18c0693f

Видяпин В.И. - Введение в экономику

Абсолютные величины


Абсолютные величины Абсолютные величины, выражающие размеры (уровни, объемы) экономических явлений и процессов, получают в результате статистического наблюдения и сводки исходной информации. Их широко используют в практике торговли, применяют в анализе и прогнозировании коммерческой деятельности. На их основе составляют хозяйственные договоры, оценивают объем спроса на конкретные товары, изделия и т.д.
Практически статистическая информация начинает формироваться с абсолютных величин, ими измеряются все стороны общественной жизни. Значение этих величин на современном этапе возрастает, поскольку необходимо знать и обеспечивать увязку товарных ресурсов с доходами населения, сбалансированности спроса покупателей на конкретные товары с возможностью их производства и т.д.
По способу выражения размеров изучаемых явлений абсолютные величины подразделяются на индивидуальные и суммарные, которые представляют собой один из видов обобщающих величин. Первые из них характеризуют размеры количественных признаков у отдельных единиц, например выработку одного продавца за конкретный период времени и т.д. Этот вид показателей служит основанием при статистической сводке для включения единиц объекта в группы. На их базе получают абсолютные величины, из которых, в свою очередь, можно выделить показатели численности совокупности и показатели объема признаков совокупности. При изучении состояния и развития торговли района, области и т.д. число предприятий можно отнести к первому виду из названных величин, а число работников, объем товарооборота — ко второму. При изменившихся задачах исследования один и тот же показатель может выступать в роли показателя численности совокупности, а в другом — показателем объема признака. Например, при изучении уровня производительности труда работников их количество будет показателем уже не объема признака, а численностью единиц объекта, поскольку в данном случае они выступают той совокупностью явлений, которая исследуется.
Абсолютные величины характеризуют совокупности экономически сравнительно простые (численность магазинов, работников) и сложные (объем товарооборота, размер основных фондов). Поэтому количественному их выражению в абсолютных величинах предшествует тщательный теоретический анализ данной экономической категории.
Абсолютные величины — всегда числа именованные, имеющие определенную размерность, единицы измерения. В зависимости от различных причин и целей анализа применяются натуральные, денежные (стоимостные) и трудовые единицы измерения. Натуральные единицы измерения в большинстве своем соответствуют природным или потребительским свойствам предмета, товара и выражаются в физических мерах веса, мерах длины и т. д. Так, продажа мяса измеряется в килограммах (кг), тоннах (т), жидких продуктов — в литрах (л), декалитрах (дкл), обуви — в парах.
Иногда одна натуральная единица измерения недостаточна для характеристики изучаемого явления. В подобных случаях используют вторую единицу в сочетании с первой. Поэтому в практике натуральные единицы измерения могут быть составными. Так, трудовые затрать! в торговле измеряются числом работников и количеством человеко-часов (чел.-ч.), человеко-дней (чел.-дн.), работа транспорта выражается в тонно-километрах (ткм). В статистике применяют и условно-натуральные единицы измерения при суммировании количества различных товаров, продуктов. Такие единицы получают, приводя различные натуральные единицы к одной, принятой за основу, эталон.
Пример. В консервной промышленности емкость банки, равная 353,4 см3, принята за условную. Если завод выпустил 200 тыс. банок емкостью 858,0 см3, то объем производства в пересчете на условную банку равен 480 тыс. (200 тыс.-S 53,0 см /353,4см).
Аналогично производится пересчет в условно-натуральные показатели и в других отраслях (текстильной, топливной и т. д.).
Абсолютные величины измеряются и в стоимостных единицах — ценах (как правило, в сопоставимых или неизменных). Это особенно важно в условиях рыночной экономики, которая не исключает и товарообмен (бартерные сделки) с другими регионами. Степень укрупнения единиц измерения объективно определяется размерами отображаемых объектов изучения. Так, объем товарооборота магазина показывается в тысячах, а города, области — в миллионах рублей и т.д. Значительно реже абсолютные величины выражаются в трудовых единицах измерения — человеко-часах, человеко-днях.
В практической деятельности торговли при отсутствии необходимой информации абсолютные величины получают расчетным путем. Так, разность валового и оптового товарооборота равна размеру розничного оборота. Можно для этих целей использовать и балансовую взаимосвязь показателей товарооборота, характеризующую движение товаров: запасы на начало периода (Зн) плюс поступление товаров (П) равняются реализации Р плюс запасы товаров на конец периода {3к). Например, запасы на начало периода рассчитываем по схеме:
Зн =Р+Зк-П; или Зк = Зн + П - Р и т.д.
На рынках объем завезенных продуктов рассчитывают следующим образом: количество привезенных мешков, ящиков, бочек умножают на вес каждого из них.
Пример. Вес картофеля в мешке составляет в среднем 50 кг, завезено их на рынок 1000 шт. Соответственно общий привоз этого продукта составит 50 т (50 кг-1000 шт.).1
Выбор, осуществляемый руководителем в области товарной и ценовой политики, основывается в основном на процедуре сопоставления и выражения одних показателей через другие. Именно сопоставление величин и расчет их соотношения в относительных значениях обеспечивают расчет последовательности действий фирмы на рынке. Остановимся подробнее на определении относительных величин в статистике.


Агрегатная форма общего рынка


Агрегатная форма общего рынка Основной формой общих индексов являются агрегатные индексы. Свое название они получили от латинского слова «aggrego», что означает «присоединяю». В числителе и знаменателе общих индексов в агрегатной форме содержатся соединенные наборы (агрегаты) элементов изучаемых статистических совокупностей.
Достижение в сложных статистических совокупностях сопоставимости разнородных единиц осуществляется введением в индексные отношения специальных сомножителей индексируемых величин. В литературе такие сомножители называются соизмерителями. Они необходимы для перехода от натуральных измерителей разнородных единиц статистической совокупности к однородным показателям. При этом в числителе и знаменателе общего индекса изменяется лишь значение индексируемой величины, а их соизмерители являются постоянными величинами и фиксируются на одном уровне (текущего или базисного периода). Это необходимо для того, чтобы на величине индекса сказывалось лишь влияние фактора, который определяет изменение индексируемой величины.
В качестве соизмерителей индексируемых величин выступают тесно связанные с ними экономические показатели: цены, количества и др. Произведение каждой индексируемой величины на соизмеритель образует в индексном отношении определенные экономические категории.
Основным условием применения в статистике коммерческой деятельности агрегатных индексов является наличие информации о поступлении или реализации товаров в натуральных измерителях и ценах единицы товара.
Примером рассмотрения индексного метода изучения динамики сложных статистических совокупностей являются данные табл. 18.3.1 о ценах и реализации товаров за два периода.
При определении по данным табл. 18.3.1 статистических индексов первый период принимается за базисный, в котором цена единицы товара обозначается ро, а количество — qo.
Второй период принимается за текущий (или отчетный), в котором цена единицы товара обозначается р1, а количество — q1.
Индивидуальные (однотоварные) индексы показывают, что в текущем периоде по сравнению с базисным цена на товар А повысилась на 25%, на товар Б осталась без изменения, а на товар В снизилась на 33%. Количество реализации товара А возросло на 27%, товара Б — на 25%, а товара В — на 50%.
Таблица 18.3.1




I период
II период
Индивидуальные
Товар
Единица измерения




индексы
цена за единицу измерения,
Руб. (Ро)
количество {qo)
цена за единицу измерения,
руб. (p1)
количество (q1)
цен ip=Pi/Po
физического объема
iq =q1/q0
1
2
3
4
5
6
7
8
А
т
20
7500
25
9500
1,25
1,27
Б
м
30
2000
30
2500
1,0
1,25
В
шт.
15
1000
10
1500
0,67
1,5

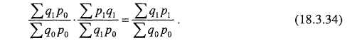
Разновеликие по направлению и интенсивности изменения индивидуальных индексов обусловливают необходимость при их обобщении определения общего для данного ассортимента изменения цен и количества реализованных товаров. Для этого вычисляются соответствующие общие индексы.
При определении общего индекса цен в агрегатной форме Ip в качестве соизмерителя индексируемых величин р1 и р0 могут применяться данные о количестве реализации товаров в текущем периоде q1 При умножении q1 на индексируемые величины в числителе индексного отношения образуется значение
p1q1, т.е. сумма стоимости продажи товаров в текущем периоде по ценам того же текущего периода. В знаменателе индексного отношения образуется значение
p0q1, т.е. сумма стоимости продажи товаров в текущем периоде по ценам базисного периода.
Агрегатная формула такого общего индекса имеет следующий вид:

Расчет агрегатного индекса цен по формуле (18.3.3) предложен немецким экономистом Г.Пааше. Поэтому индекс (18.3.3) принято называть индексом Пааше.
Применим формулу (18.3.3) для расчета агрегатного индекса цен по данным табл. 18.3.1: числитель индексного отношения
p1q1=25.9500+30-2500+10.1500 =327500 ру6.;
знаменатель индексного отношения
p0q1=20-9500+30-2500+15-1500 =287500 руб.
Полученные значения подставляются в формулу (18.3.3):
Ip=
327500/287500=1,139, и 113,9%
Применение формулы (18.3.3) показывает, что по данному ассортименту товаров в целом цены повысились в среднем на 13,9%.
При сравнении числителя и знаменателя формулы (18.3.3) в разности определяется показатель абсолютного прироста товарооборота за счет фактора изменения цен в текущем периоде по сравнению с базисным периодом:

Полученная величина прироста говорит о том, что повышение цен на данный ассортимент товаров в среднем на 13,9% обусловило увеличение объема товарооборота в текущем периоде на 40 тыс. руб. Величина этого показателя (с противоположным знаком, т.е. — 40 тыс. руб.) характеризует перерасход денежных средств населением при покупке товаров данного ассортимента по ценам, повышенным на 13,9%.
При другом способе определения агрегатного индекса цен в качестве соизмерителя индексируемых величин р1 и р0 могут применяться данные о количестве реализации товаров в базисном периоде qо. При этом умножение qо на индексируемые величины в числителе индексного отношения образует значение
p1q0, т.е. сумму стоимости продажи товаров в базисном периоде по ценам текущего периода. В знаменателе индексного отношения образуется значение
p0q0 т.е. сумма стоимости продажи товаров в базисном периоде по ценам того же базисного периода. Агрегатная форма такого общего индекса имеет вид:

Расчет общего индекса цен по формуле (18.3.5) предложен немецким экономистом Э.Ласпейресом. Поэтому индекс цен, рассчитанный по этой формуле, принято называть индексом Ласпейреса.
Применим формулу (18.3.5) для расчета агрегатного индекса цен по данным табл. 18.3.1: числитель индексного отношения
p1q0= 25 • 7500 + 30 • 2000 +10 • 1000 = 257500 дуб.;
знаменатель индексного отношения
p0q0 = 20 • 7500 + 30 • 2000 +15 • 1000 = 225000 дуб. Полученные величины подставим в формулу (18.3.5):

Применение формулы (18.3.5) показывает, что по ассортименту в целом повышение цены составило в среднем 14,4%.
При сравнении числителя и знаменателя формулы (18.3.5) определяется показатель прироста товарооборота при продаже товаров в базисном периоде по ценам текущего периода:

Применяя формулу (18.3.6), определим величину прироста товарооборота по данным табл.18.3.1:
qp(p) = 257500 - 225000 = 32500 руб.
Полученная сумма прироста товарооборота показывает, что повышение цен в текущем периоде в среднем на 14,4% обусловливает увеличение объема товарооборота на 32,5 тыс. руб.
Таким образом, выполненные по формулам (18.3.3) и (18.3.5) расчеты имеют разные показания индексов цен. Это объясняется тем, что индексы Пааше и Ласпейреса характеризуют различные качественные особенности изменения цен.
Индекс Пааше характеризует влияние изменения цен на стоимость товаров, реализованных в отчетном периоде. Индекс Ласпейреса показывает влияние изменения цен на стоимость количества товаров, реализованных в базисном периоде.
Применение индексов Пааше и Ласпейреса зависит от- цели исследования. Если анализ проводится для определения экономического эффекта от изменения цен в отчетном периоде по сравнению с базисным, то применяется индекс Пааше, который отображает разницу между фактической стоимостью продажи товаров в отчетном периоде (
p1q1) и расчетной стоимостью продажи этих же товаров по базисным ценам (
р0 q1).
Если целью анализа является определение объема товарооборота при продаже в предстоящем периоде такого же количества товаров, что и в базисном периоде, но по новым ценам, то применяется индекс Ласпейреса. Этот индекс позволяет вычислять разность между суммой фактического товарооборота базисного периода (
p0q0)  и возможного объема товарооборота при продаже тех же товаров по новым ценам (
p1q0).Эти особенности индекса Ласпейреса обусловливают его применение при прогнозировании объема товарооборота в связи с намечаемыми изменениями цен на товары в предстоящем периоде.
Вместе с тем, при изучении отчетных данных, когда целью анализа является количественная оценка изменения объема товарооборота в результате имевшегося изменения цен в отчетном периоде, для определения общего индекса цен и получаемого при этом экономического эффекта применяется формула Пааше (см. (18.3.3).
При синтезировании общего индекса цен вместо фактического количества товаров (в отчетный или базисный периоды) в качестве соизмерителей индексируемых величин (pi и ро) могут применяться средние величины реализации товаров за два или большее число периодов. При таком способе расчета формула общего индекса синтезируется в следующем виде:

где q — среднее количество товаров, реализованных за анализируемый период.
В литературе индекс (18.3.7) принято называть индексом Лоу. Если при определении индекса цен по формуле (18.3.7) исходная информация содержит лишь данные о количестве реализации товаров в базисном и текущем периодах, то средняя их величина определяется методом средней невзвешенной:

Применительно к данным табл. 18.3.1 (при средней величине реализации товара А — 8500 т, товара Б — 2250 м и товара В — 1250 шт.) расчет общего индекса цен по формуле (18.3.7) следующий:


Агропромышленный комплекс:состав и структура


Агропромышленный комплекс:состав и структура Сельское хозяйство занимает исключительное место в жизни любого общества, ибо именно здесь производится подавляющая масса продуктов питания, наличие которых является самым первым условием жизни человека.
Современное сельскохозяйственное производство невозможно представить обособленным, изолированным, развивающимся и функционирующим вне национальной экономики. В реальной жизни оно базируется на межотраслевой производственной кооперации, связывающей сельское хозяйство и сопряженные с ним отрасли экономики, которые:
- с одной стороны, представляют сельскому хозяйству средства производства, все необходимые технические условия производства;
- с другой стороны, перерабатывают сельскохозяйственное сырье и доводят     продукты питания, готовые к потреблению, до потребителя.
На основе такого взаимодействия различных отраслей возникает агропромышленный комплекс (АПК). Что же такое АПК?
АПК — это функциональная многоотраслевая подсистема, выражающая взаимосвязь, взаимодействие сельского хозяйства и сопряженных с ним отраслей экономики по производству сельскохозяйственной техники, сельскохозяйственной продукции, ее переработке и реализации.
Формирование АПК связано с переходом сельского хозяйства к машинной стадии производства, которая значительно углубила и расширила технологические и функциональные связи сельского хозяйства с другими отраслями национальной экономики.
Практически все отрасли национальной экономики прямо или косвенно участвуют в функционировании АПК, который включает три сферы.
I. Производство средств производства для сельского хозяйства АПК.
П. Собственно сельское хозяйство.
III. Переработка и реализация готовой продукции.
Важнейшей составной частью АПК является продовольственный комплекс (ПК), в который не входят отрасли переработки сельскохозяйственного сырья не пищевого назначения.
Понятие ПК широко распространено применительно к экономике стран Западной Европы, где по существу отсутствует производство собственно технологического (технического) сырья: хлопка, льна и других. В США на долю ПК приходится большая часть всей продукции, производимой АПК.
Материальной основой формирования АПК (ПК) является:
1) углубление общественного разделения труда;
2) непрерывно расширяющийся процесс производственно технологического кооперирования сельского хозяйства с другими отраслями национальной экономики.
В настоящее время непосредственный производитель сельскохозяйственной продукции (например, фермер), как правило, не доводит до полной степени готовности к потреблению свою продукцию.
Сельское хозяйство в условиях машинной стадии производства не может обходиться только собственными средствами производства. Положение собственно сельского хозяйства в АПК (ПК) характеризуется отношениями зависимости от корпораций как в области промышленного производства, так и в области торговли.
Чем больше развита межотраслевая кооперация, тем меньше доля сельского хозяйства в стоимости конечного продукта АПК (ПК).
Наиболее мощный АПК сформирован в США, конечная продукция которого составляет 12% от ВНП; в то же время доля продукции собственно сельского хозяйства США в ВНП составляет лишь 1,5%.
Высокая степень развития американского АПК обусловлена уровнем развития всей экономики, в том числе и самого сельского хозяйства:
1) углублением разделения труда;
2) перераспределением функций между сферами АПК;
3) индустриальным развитием сельского хозяйства.
Индустриализация сельского хозяйства играет ключевую роль в качественных процессах в АПК и экономике в целом. Она ведет к сокращению численности занятых в сельском хозяйстве; уменьшению нетоварной части потребляемого сельским населением продовольствия; увеличению доли городского и несельскохозяйственного населения; переходу функций по приготовлению пищи из домашнего хозяйства в сферу общественного питания на промышленной основе.
Доля занятых в ПК США в общей численности работающих составляет 12%, а в сельском хозяйстве — всего 3%.
В странах Западной Европы, в отличие от США, формирование ПК происходило не только в рамках национальной экономики, но и на основе мирохозяйственных связей. Это обусловлено тем, что страны Западной Европы не обеспечивают себя полностью не только сельскохозяйственным сырьем, но и необходимыми средствами производства. В то же время крупнейшие западноевропейские пищевые корпорации осуществляют свою деятельность и за пределами национальных границ (пример — швейцарский концерн «Нестле»). В основном же ПК здесь функционирует в рамках ЕС.
Что касается АПК Российской Федерации, ему присуща, прежде всего, деформированная, несбалансированная отраслевая структура, а также гипертрофия экстенсивного развития сельского хозяйства, доля продукции которого в стоимости продукции АПК составляет 70-80% (для сравнения в США — 10%) или в 2 раза выше аналогичного показателя США на начало века!
Агробизнес и организационные формы элементов подсистемы агропромышленного комплекса Комплексный характер производства и использования сельскохозяйственных продуктов и продовольствия в условиях рыночной экономики является основой для формирования агробизнеса.
Основоположники теории агробизнеса — американские экономисты Дж.Дэвис и Р.Голдберг, выпустившие в 1958 г. книгу «Концепция агробизнеса». Рей Голдберг долго был бессменным руководителем постоянно действующего международного семинара по агробизнесу.
Агробизнес представляется им совокупностью всех операций по производству продукции на фермах; по хранению, переработке и реализации сельскохозяйственного сырья и предметов потребления, созданных из него, в целях максимизации дохода в условиях наиболее полного обеспечения спроса на данную продукцию.
В условиях рыночной модели экономики агробизнес — это специфическая форма координации обеспечения сельского хозяйства необходимыми ресурсами и осуществления последовательных операций производства, переработки и распределения продовольствия и технического сырья. Цель агробизнеса — максимизация дохода через удовлетворение потребностей.
Присущая странам с развитой экономикой тенденция преобладания в производственной системе АПК несельскохозяйственных сфер предопределяет и ведущее значение их институтов в агробизнесе.
Для несельскохозяйственных предприятий, фирм, объединений современного агробизнеса закономерно постепенное усиление концентрации и централизации хозяйственной деятельности на все более крупных фирмах (объектах).
Так, в настоящее время 2 крупнейшие корпорации США — «Джон Дир» и «Кейс и К°»— контролируют 4/5 всех поставок фирмам тракторов и комбайнов.
Из 12 тыс. пищевых компаний на долю 200 крупнейших корпораций, составляющих лишь 1,7% их общей численности, приходится более 3/5 всей добавленной в данной отрасли США стоимости.
Ожидается, что к началу XXI в. всего 50 крупнейших фирм пищевой промышленности будут контролировать 3/4 всей конечной продукции отрасли.
Кроме того, 2/3 всего розничного товарооборота продовольственной торговли страны сосредоточено в крупных многопрофильных фирмах (от 10 до 50 магазинов) оптово-розничной торговли.
Основной организационной формой агробизнеса являются ведущие фирмы, представляющие собой крупные научно-производственные объединения, насчитывающие каждая от 10 до 100 тыс. занятых, реализующих продукцию на сумму от 5 до 20 млрд. долл. и более.
Развитие крупномасштабного производства обусловливает преобладание в несельскохозяйственных сферах акционерной формы хозяйственных субъектов. Однако в агробизнесе существенную, а иногда и возрастающую роль играют мелкие и средние несельскохозяйственные компании, способные к относительно быстрой структурной перестройке и являющиеся своего рода разведчиками и проводниками достижений научно-технического прогресса.
В собственно сельскохозяйственной сфере функционирующие организационные формы агробизнеса отличаются значительной спецификой, что обусловлено особенностями сельского хозяйства как отрасли. Преобладающим типом таких форм являются фермерские хозяйства: индивидуальные семейные фермы, семейно-групповые (партнерства, семейные корпорации и т.д.). Это относительно небольшие хозяйственные единицы, позволяющие вести производство на основе семейного капитала с использованием кредита и частично наемного труда, доля которого в общей численности среднегодовых занятых в сельском хозяйстве составляет примерно 35%. Занимаются сельскохозяйственным производством и крупные акционерные компании.
Структуру организационных форм сельскохозяйственной сферы АПК (на примере США) можно представить в виде схемы 15.1.1.
Схема 15.1.1.
Структура АПК в США

Однако даже самые крупные фермы по своим масштабам в десятки и сотни раз меньше, чем несельскохозяйственные фирмы агробизнеса.
Господствующей тенденцией в структуре организационных форм агробизнеса в сельскохозяйственной сфере является постоянное увеличение минимальных масштабов производства на одном предприятии (ферме, фирме), что способствует сокращению общего числа ферм и повышению роли крупных хозяйств.
Однако на данном этапе современные страны развитой рыночной экономики не могут освободиться от мелких и средних фермерских хозяйств. Это объясняется, в частности, тем, что общество в них заинтересовано, так как обеспокоено, что индустриализация сельского хозяйства, его монополизация приведут к удорожанию продовольствия, сужению его ассортимента и ухудшению качества. Особую активность проявляют организации потребителей, которые опасаются содержания вредных для здоровья веществ в сельскохозяйственных продуктах.
Так, в ЕС с 1 января 1988 г. запрещено применение гормонов роста в животноводстве.
Вступают в силу законы, ужесточающие требования к качеству производимого продовольствия и ограничивающие использование химических веществ в аграрном производстве.
По данным опроса, 65% населения ФРГ испытывают страх перед ядом в продовольствии, во Франции 53% населения выразили готовность платить дороже         за «чистую» говядину.
В этих условиях в ряде стран появились объединения крестьян и фермеров, ведущих так называемое альтернативное земледелие. В 1972 г. была создана и поныне действует Международная федерация органического земледелия, объединяющая более 80 тыс. фермеров из 30 стран.
Производство химически (экологически) чистого продовольствия открывает новые перспективы для выживания и существования крестьянского семейного хозяйства.
Таким образом, организационная структура агробизнеса основана на различных по форме собственности и организации производства предприятиях, постоянной динамике масштабов и структуры хозяйственных единиц в соответствии с изменениями в уровне развития факторов производства и конкретных усилий в отдельных сферах и отраслях.


Акции


Акции Акция — ценная бумага, свидетельствующая о внесении владельцем определенной суммы денег в капитал акционерного общества и дающая право на получение ежегодного дохода — дивиденда из прибылей указанного общества. Акции могут быть различных видов, но основными являются: именные, акции на предъявителя, простые и привилегированные.
Именная акция закрепляется за акционером посредством занесения в книгу записей. Передача именных акций (прав на нее) осуществляется путем передаточных надписей и их отражением в книге общества.
Акция на предъявителя, подобно деньгам, принадлежит ее фактическому владельцу и не закрепляется за каким-либо конкретным лицом. Свободная передача акций означает автоматическую смену ее владельца.
Простые акции позволяют акционерам получать доход в зависимости от результатов деятельности АО, а также принимать участие в управлении и голосовать на общем собрании.
Привилегированные акции отличаются от простых заранее установленной суммой дохода на акцию независимо от результатов работы АО и первоочередностью выплат возвратных сумм при ликвидации АО.
Главный недостаток привилегированных акций в том, что они не дают права голоса на общем собрании акционеров.
Обычно акция содержит следующие реквизиты:
-- наименование акционерного общества и ценной бумаги; вид акции, ее номер и дату выпуска;
- номинальную стоимость, имя держателя (для именной акции); количество выпускаемых акций;
- срок уплаты дивидендов;
- некоторую другую информацию.
Взамен акций акционеру нередко выделяется сертификат на все принадлежащие ему I акции, который представляет собой ценную бумагу, являющуюся свидетельством владения указанным в нем лицом определенным числом и наименованием акций общества.
Сертификат содержит все необходимые реквизиты акций, которые он замещает.
Управление акционерным обществом Органы управления акционерным обществом могут иметь 2- и 3-звенную структуру. Структура, состоящая из двух звеньев, включает в себя правление и общее собрание акционеров; 3-звенная структура дополнительно включает в себя наблюдательный совет.
Общее собрание акционеров позволяет реализовать членам АО, владеющим простыми акциями, право управления. Количество принадлежащих акционеру простых акций определяет и количество голосов на общем собрании. Собрание правомочно решать такие вопросы, как определение генеральной линии развития АО, изменение устава, создание филиалов и дочерних предприятий, утверждение результатов деятельности АО, избрание правления, определение размера дивидендов на каждую акцию.
Правомочность общего собрания определяется в различных странах по-разному, но, как правило, простым большинством: 50% голосов плюс 1 акционер. Наиболее важные решения могут приниматься не простым большинством голосов, а например, 3/4 голосов. Обычно собрание акционеров созывается не реже одного раза в год.
Правление (совет директоров, административный совет) осуществляет руководство текущей деятельностью акционерного общества и его представительство во внешних организациях.
В компетенцию правления входит:
- заключение сделок;
- счетоводство,
- оперативное управление деятельностью;
- подготовка и реализация мероприятий по финансированию и кредитованию;
- составление отчетов.
Для административного руководства правлением выбирается один или несколько председателей (директоров), полномочия которых могут быть достаточно широкими.
Наблюдательный совет является органом, контролирующим деятельность правления. В отдельных странах он выполняет часть функций, возложенных на общее собрание, Член наблюдательного совета не может одновременно быть членом правления. На наблюдательный совет могут возлагаться функции назначения и смещения членов правления.
Контроль за деятельностью исполнительной дирекции (директора) осуществляется ревизионной комиссией, создаваемой собранием акционеров. Члены дирекции или директор не могут быть членами ревизионной комиссии. Ревизионная комиссия проводит ревизии по поручению правления, по собственной инициативе либо по требованию акционеров, составляя заключения по годовым отчетам и балансам. Без заключения ревизионной комиссии баланс АО утверждению собранием акционеров не подлежит.
Внешняя проверка финансовой и хозяйственной деятельности акционерного общества в целом осуществляется финансовыми органами, аудиторскими службами, а в случае необходимости и другими государственными органами в пределах их компетенции.
Прекращение деятельности АО происходит путем его реорганизации (слияния, присоединения, разделения, выделения, преобразования) или ликвидации. При реорганизации АО вносятся необходимые изменения в учредительные документы и реестр государственной регистрации, а при ликвидации вносится соответствующая запись в реестр. Реорганизация АО влечет за собой переход прав и обязанностей, принадлежащих обществу, к его правопреемникам.
При ликвидации общества назначается ликвидационная комиссия, к которой переходят полномочия по управлению делами общества. Имеющиеся у общества денежные средства, включая выручку от продажи его имущества при ликвидации, направляются:
для расчетов с бюджетом, оплаты труда работников общества и выплат кредиторам, для выполнения обязательств перед держателями облигаций, выпущенных обществом.
Остальная часть денежных средств распределяется ликвидационной комиссией между участниками АО в порядке, предусмотренном законодательными актами и учредительными документами. Имущество, переданное обществу участниками в пользование, возвращается в прежней форме.
Тенденция к коллективизму, образованию различных форм совместного предпринимательства особенно наглядно проявилась в конце XX в. в России и других республиках бывшего СССР. После возникновения в 1990—1992 гг. многочисленных малых и индивидуальных предприятий, бирж, фермерских хозяйств уже в 1993 г. началось интенсивное их слияние в товарищества, ассоциации, холдинги, концерны и т.д., поскольку малым предприятиям трудно справиться с рыночной стихией.
Исследования показали, что в условиях свободных рыночных отношений, работая обособленно, большинство начинающих бизнесменов проявляют дилетантизм, в результате чего из 100 начинающих бизнесменов только 2-4 каким-то образом сохраняют свои средства и получают доходы. Однако при формировании коллектива вероятность потерь во много раз снижается, к тому же расширяется общий кругозор предпринимателей, концентрируются ресурсы, повышается вероятность получения дохода, необходимого для продолжения начатого дела.
Предпринимательство, как правило, ориентируется на новые формы и методы работы, что позволяет предпринимателям занять более прочные позиции в производстве и на рынке товаров (работ, услуг) и добиваться желаемых результатов.
Однако нетрадиционные подходы при всей их привлекательности связаны с неопределенностью и риском. Помимо того, сама разработка новой идеи, как правило, требует больших расходов.
В экономической литературе часто приводится следующий пример предпринимательского нововведения: основатели американской компании «Эппл компьютер» в своем гараже изготовили первый персональный компьютер, растиражированный впоследствии во всем мире в сотнях миллионов экземпляров и принесший предпринимателям миллиардные доходы. Но при этом как бы мимоходом упоминается, что эти предприниматели использовали идеи, знания и опыт, полученные ими в годы предыдущей работы в НАСА — огромной, связанной с исследованием космоса научно-технической корпорации США — ив фирме «Хьюлетт-Паккард».
Изменение форм предпринимательства в сторону усиления коллективизма — это объективное требование современной экономики.
Индивидуальные предприятия, превосходя коллективные по своему количеству, уступают им по масштабам производства. Однако, заполняя вакуум между громоздкими гигантами, они цементируют экономику, используют пустующие рыночные ниши и, кроме того, стимулируют деятельность партнеров-гигантов. Установлено, что работники мелких хозяйств проводят за работой больше времени, чем наемные работники крупных фирм.
Например, в США фермеры обычно работают в своем хозяйстве 55—65 ч в неделю, а наемные сельскохозяйственные рабочие — 45 ч.}
Проблема возникновения дополнительных расходов от несогласованности в действиях различных подразделений предприятия наиболее актуальна для частных \ производственно-хозяйственных структур. Особенность частной формы хозяйствования заключается в согласованности интересов владельца (владельцев) предприятия, обусловленной общностью родственных, хозяйственных и других целей. Хотя подобное основание существует и в других формах организации хозяйствования, но частная его форма выделяет не весь экономический процесс и его правовую обеспеченность, а отдельное экономическое действие. Именно поэтому необходимо более подробно остановиться на частных производственно-хозяйственных структурах.
Ценность любой коммерческой структуры заключается в том, что здесь определяются, достигаются условия, когда каждый ее отдельный элемент в процессе получения прибыли в общем согласованном экономическом действии имеет высокую степень самоопределения. Достигается эта цель посредством построения каждого отдельного элемента коммерческой структуры и ее самой в целом на основе наиболее оптимального сочетания организационно-правовых принципов. При этом смешанные производственно-хозяйственные структуры отражают весь спектр возможного использования существующих принципов организации производственно-хозяйственной деятельности.


Акцизы


Акцизы Акцизы — это косвенные налоги, которые устанавливаются государством в процентах от отпускной цены товаров, реализуемых предприятиями-производителями. Они устанавливаются, как правило, на высокорентабельные товары для изъятия в доход государственного бюджета полученной производителями сверхприбыли.
Плательщиками акцизов являются производящие (в том числе из давальческого сырья) и реализующие подакцизные товары предприятия и организации независимо от форм собственности и ведомственной принадлежности.
Объектом обложения акцизами являются стоимость подакцизных товаров, определяемая исходя из отпускных цен без учета акциза, а по подакцизным товарам, на
которые установлены твердые ставки акцизов (в абсолютной сумме на единицу обложения), — объем реализованных подакцизных товаров в натуральном выражении.
Акцизами не облагаются подакцизные товары, экспортируемые за пределы РФ (кроме экспорта в страны СНГ), поскольку с их помощью изымается избыточный доход, полученный в экономической зоне России (для изъятия сверхдоходов, получаемых от реализации товаров (работ, услуг) на экспорт, используется механизм таможенных пошлин).
Сумма акцизов определяется плательщиками самостоятельно исходя из стоимости реализованных на сторону товаров и установленных ставок. При этом дата совершения оборота определяется исходя из методики определения выручки от реализации товаров, принятой на каждом конкретном предприятии (либо по отгрузке, либо по оплате).
При реализации предприятиями, производящими подакцизные товары, указанных товаров на экспорт суммы акцизов возвращаются этим предприятиям налоговыми органами по месту их нахождения. Датой (моментом) реализации подакцизных товаров, за исключением природного газа, является день отгрузки (передачи) подакцизных товаров, включая произведенные из давальческого сырья. Возврат производится после документального подтверждения в течение 90 дней с момента отгрузки факта вывоза таких товаров.
Акцизы уплачиваются в бюджет в следующие сроки:
- не позднее 30-го числа месяца, следующего за отчетным месяцем, — по подакцизным товарам (за исключением природного газа), реализованная с 1-го по 15-е число включительно отчетного месяца;
- не позднее 15-го числа второго месяца, следующего за отчетным месяцем, — по подакцизным товарам (за исключением природного газа), реализован с 16-го по последнее число отчетного месяца.
Акцизы по природному газу уплачиваются исходя из фактической реализации не позднее 20-го числа месяца, следующего за отчетным.
Для последующего контроля налогоплательщики предоставляют налоговым органам по месту своего нахождения расчеты по акцизам по форме и в сроки, установленные действующим законодательством.
Учет расчетов с бюджетом по акцизам должен осуществляться на счете 68 «Расчеты с бюджетом» по отдельному субсчету «Расчеты по акцизам». Сумма акциза, учтенная по счету реализации в составе выручки, отражается по дебету счета 46 «Реализация продукции (работ, услуг)» и кредиту счета 68. Перечисление акциза в бюджет показывается по дебету счета 68 в корреспонденции со счетом 51 «Расчетный счет».
Ответственность за правильность исчисления и своевременность уплаты акцизов в бюджет возлагается на плательщиков. Перечень подакцизных товаров и ставки акцизов устанавливаются Правительством РФ.
Другие федеральные налоги. Налоги, зачисляемые в дорожные фонды Данные налоговые платежи по механизму исчисления и взимания мало чем отличаются от других косвенных налогов, однако они носят целевой характер и служат главным образом источником финансирования проводимых государством мероприятий по строительству и содержанию автомобильных дорог общего пользования общегосударственного и местного значения и соответственно зачисляются не в доход бюджета, а в специализированные целевые внебюджетные фонды — Федеральный дорожный фонд и территориальные дорожные фонды.
Плательщиками налога на реализацию горюче-смазочных материалов (автобензина, дизельного топлива, дизельных и автотракторных масел, сжатого и сжиженного газа, используемого в качестве моторного топлива) являются юридические лица, а также граждане, осуществляющие предпринимательскую деятельность без образования юридического лица.
Объектом налогообложения для предприятий — изготовителей горюче-смазочных материалов является оборот по реализации горюче-смазочных материалов исходя из фактических цен реализации (без НДС). При перепродаже горюче-смазочных материалов объектом налогообложения является сумма разницы между выручкой от реализации горюче-смазочных материалов (без НДС) и стоимостью их приобретения (без НДС).
Налог уплачивается по ставке 25%, как правило, ежедекадно, ежемесячно и ежеквартально в зависимости от величины облагаемого налогом оборота и в соответствии с действующим законодательством полностью зачисляется в Федеральный дорожный фонд.
Источником уплаты налога фактически является прибыль предприятия до исчисления и уплаты налога на прибыль, в связи с чем в бухгалтерском учете сумма налога, полученная после реализации горюче-смазочных материалов и учтенная на счете реализации в составе выручки, отражается по дебету счета 46 «Реализация продукции (работ, услуг)» и кредиту счета 67 «Расчеты по внебюджетным платежам».
Плательщиками акцизов с продажи легковых автомобилей в личное пользование граждан являются предприятия — изготовители легковых автомобилей, реализующие легковые автомобили в личное пользование граждан.
Объектом налогообложения акцизами является оборот по реализации легковых автомобилей в личное пользование граждан. Для определения облагаемого оборота принимается стоимость реализуемых легковых автомобилей, исчисленная исходя из свободных отпускных цен с включением в них суммы акциза.
Сутва эдодйзоъ определяется плательщиками самостоятельно исходя т стоимости реализованных легкоъых автомобилей ъ личное пользование граждан, за которые поступили средства на расчетный счет или в кассу плательщика, и установленных ставок.
Уплата данных акцизов производится плательщиками в Федеральный дорожный фонд исходя из фактических оборотов за каждую истекшую декаду с последующим перерасчетом суммы налога в конце каждого месяца.
Сумма акциза, учтенная по счету реализации в составе выручки, отражается по дебету счета 46 «Реализация продукции (работ, услуг)» и кредиту счета 67. Перечисление акцизов в Федеральный дорожный фонд показывается по дебету счета 67 в корреспонденции со счетом 51 «Расчетный счет».
Ставки  акцизов  на  легковые  автомобили,  реализуемые  предприятиями-производителями в личное пользование граждан, устанавливаются Правительством РФ.
Налог на пользователей автомобильных дорог уплачивают предприятия, организации и физические лица — предприниматели.
Объектом налогообложения являются: при производстве продукции, выполнении работ, оказании услуг — выручка (валовой доход) от реализации продукции (работ, услуг);
при перепродаже покупных товаров — торговый оборот. При этом из налогооблагаемой базы исключаются НДС, акцизы и налог на реализацию горюче-смазочных материалов.
Налог уплачивается по ставке 2,5% выручки (валового дохода) от реализации продукции (работ, услуг).
Выручка от реализации продукции (работ, услуг), полученная в иностранной валюте, для целей налогообложения пересчитывается в рубли по курсу Центрального банка России, действовавшему на день совершения операции.
От уплаты налога на пользователей автомобильных дорог освобождаются предприятия, осуществляющие содержание автомобильных дорог общего пользования (внегородских автомобильных дорог, которые являются государственной собственностью РФ).
К таким предприятиям относятся специализированные дорожные организации, а также другие юридические лица, выполняющие работы по содержанию дорог (в денежном выражении) в объеме не менее 75% от расчетной суммы налога на пользователей автомобильных дорог. Указанная льгота предоставляется юридическим лицам, заключившим с государственным органом, уполномоченным управлять дорожным хозяйством, или с юридическим лицом по поручению этого органа контракт (договор) на выполнение одного или нескольких видов работ по содержанию указанного в контракте (договоре) участка автомобильной дороги общего пользования.
Сумма налога на пользователей автомобильных дорог определяется плательщиками на основании бухгалтерских учета и отчетности самостоятельно и вносится в дорожный фонд либо ежемесячно, либо ежеквартально на основании налоговых расчетов.
Сумма платежей по налогу на пользователей автомобильных дорог включается плательщиками в состав затрат по производству и реализации продукции, выполненным работам и предоставленным услугам.
Налог с владельцев транспортных средств ежегодно уплачивают предприятия, объединения, учреждения и организации независимо от форм собственности и ведомственной принадлежности, а также граждане РФ, иностранные граждане и лица без гражданства, имеющие транспортные средства (автомобили, мотоциклы, мотороллеры, автобусы) и другие самоходные машины и механизмы на пневмоходу, по ставкам, установленным в зависимости от мощности двигателей (с каждой лошадиной силы).


Американский менеджмент


Американский менеджмент Во всем этом многообразии теорий и явлений живой практики американский менеджмент был и остается наиболее мощной «управленческой цивилизацией». Его ведущее значение в мире сегодня неоспоримо, а влияние на развитие теории, практики, а тем более обучения управлению наиболее велико. Нет нужды слепо следовать выводам американских теоретиков и рекомендациям их практиков, но знать их идеи, безусловно, необходимо.
Как раз этому служит американский учебник по управлению «Основы менеджмента» Ф.Катлера. Это не первая книга такого рода, переведенная на русский язык. В 1981 году вышла книга Г.Кунца и С.О'Доннела «Управление: системный и ситуационный анализ управленческих функций» (1981). Ранее мы познакомились с довольно полным «Курсом для высшего управленческого персонала» (В.И. Терещенко, 1970). Обзорный характер носила книга Д.О'Шонесси «Принципы организации управления фирмой» (1979). Среди отечественных работ по этой проблематике наиболее существенную роль сыграла книга академика Д.М. Гвишиани «Организация и управление» (1972), посвященная систематизации и анализу американской теории управления на тот момент.
Однако учебник «Основы менеджмента» носит качественно иной характер. В нем привлекают три характерных особенности:
Во-первых, это — достаточная полнота описания наиболее важных элементов современного знания об управлении, в то время как, скажем, книга Г.Кунца и С.О'Доннела, в основном, освещала принципы «классической» или «административной» школы в теории управления, а более компактный учебник Д.О'Шонесси содержал популярный обзор результатов наиболее известных исследований в этой области. Авторы «Основ менеджмента» пошли, по их признанию, по пути несколько эклектическому. Они не стали гоняться за мнимой методологической стройностью изложения, а постарались достаточно
сбалансированию осветить достижения различных подходов и школ и их реальный вклад в современную управленческую мысль. Читатель нашего учебника может быть уверен, что получит основы знаний о менеджменте, познакомится со всеми наиболее важными достижениями западной управленческой мысли, узнает наиболее известные имена авторитетов науки и практики менеджмента. В целом это подготовит к тому, чтобы сделать следующие шаги — углубиться в изучение специальной литературы по отдельным аспектам управления, обсуждать эти проблемы с западными коллегами или учиться менеджменту за рубежом. Такая особенность книги, конечно, является большим достоинством в наше время приобщения к достижениям мировой управленческой мысли.
Во-вторых, данный учебник имеет свои преимущества с точки зрения специалистов. При добротном научном уровне он написан доходчиво, увлекательно, даже живо, чего не было ни в одной из предыдущих книг такого рода — отечественных или переводных. Его можно не только внимательно прорабатывать с карандашом в руках, но и просто читать для расширения кругозора, а то и для удовольствия. Основной контингент этой книги — те, кто занялся изучением менеджмента, не имея серьезной предварительной подготовки и, может быть, даже высшего образования. В Америке этим учебником пользуются прежде всего студенты-бакалавры. С учетом специфики нашей страны этот учебник может быть использован не только студентами, но и руководителями, которые получают подготовку в области менеджмента или повышают свою квалификацию.
В-третьих, эта книга интересна с точки зрения методического подхода к организации изложения материала. Она представляет собой хороший образец высокого научного уровня, отточенности определений и формулировок, чувства меры в изложении научных истин и в то же время полновесной информации о практике управления, ярких примеров и конкретных ситуаций для анализа.
Говоря о содержании книги, следует признать, что она дает неплохое представление о состоянии американской управленческой мысли. Читая ее, можно, в частности, сформировать определенную позицию по традиционному, но до сих пор актуальному вопросу: является ли управление наукой или искусством? Имеется достаточно оснований, чтобы утверждать, что это — синтез науки, искусства и опыта. Это, -конечно, тривиально, но важно осознать тот .факт, что деятельность по управлению настолько сложна, а наука управления — еще настолько молода, что нужно с большой осторожностью оценивать ее возможности, разумеется, не умаляя полезности проверенных жизнью теорий и научно обоснованных методов. Никто не знает простых рецептов решения управленческих проблем, что многократно подчеркивается на страницах данной книги. Эта мысль лежит в основе методологии «ситуационного подхода» к управлению — едва ли не самого крупного научного результата в этой области за последние два десятилетия.
Характерные для отечественной литературы прошлых лет заверения в том, что мы якобы способны «научно управлять» не только производством, но и обществом, не выдерживают критики ни с теоретической, ни с практической точек зрения. С объективных позиций современное состояние научного знания об управлении и ведении хозяйства таково, что оно может служить источником не только озарений, но и серьезных заблуждений, а «научно обоснованные» теории и методы могут принести не только пользу, но и значительный вред. Необходимо признать, что миф о «научном управлении» долгое время был просто выгоден правящему слою бюрократии в административно-командной системе в нашей стране как один из аргументов централизации власти в ее руках. Сегодня же попытка обывателей найти виноватых в наших прошлых и настоящих ошибках среди ученых, которые якобы не то советовали руководителям, просто некорректна с позиций реальной практики управления, где погоду делают те, кто обладает властью, а не те, кто что-то им советует. Хотя в отставании науки и образования в области управления повинны, конечно, люди ученые.
В реальном управлении фигура ученого, эксперта, пожалуй, не так важна, как фигура руководителя, пусть не столь образованного, но владеющего таинствами управления как искусства в силу своих личных качеств, таланта, опыта, навыков и здравых суждений.
Соединение таланта и научного знания в этой области даст синергетический эффект, умножит способности добиваться нужных результатов на практике. Сделать все, чтобы на поверхность реальной экономической жизни поднялись настоящие таланты в области бизнеса, менеджмента, предпринимательства, чего бы это ни стоило — вот путь спасения в условиях рынка. Без этого в нашем хозяйстве не произойдет ничего хорошего.
Для читателя важно в то же время понять, что управление, менеджмент — это, конечно, самостоятельная область знаний, требующая вдумчивого освоения. Это отдельная дисциплина, а точнее — междисциплинарная область, которую правильнее всего назвать «управленческая мысль», сочетающая в себе науку, опыт, ноу-хау, приумножаемые управленческим искусством. Читатели книги убедятся, что на управленческую мысль влияют достижения многих наук, а эволюция управления в XX веке как раз и состоит в использовании этих достижений для решения главной проблемы — как получить желаемые результаты на основе согласованных действий многих людей, производящих продукцию и услуги и использующих многообразные ресурсы.
И, действительно, первый прорыв в управленческой мысли, происшедший в начале века и связанный с «тейлоризмом», был основан на положении о том, что управлять можно «научно». Это явилось одновременно и озарением, и иллюзией, но фактически состояло в перенесении идей инженерных наук на управление в низовом производственном звене. Правда, довольно скоро в мире управления осознали принципиальную ограниченность «тейлоризма». Последующий крупный шаг в развитии западной управленческой мысли, тесно связанный с предыдущим, состоял в распространении «принципов управления», сформулированных А.Файолем, что можно признать первым самостоятельным результатом «науки администрирования» в ее теперь уже классическом варианте, ориентированном прежде всего на построение «формальных» организационных структур и систем. Fie случайно американцы называют этого француза отцом менеджмента. Надо сказать, что поиски рациональных форм управления предприятиями в нашей стране велись в то время с некоторым учетом этих достижений. Так, например, решением партийной конференции «функционалка» (по Тейлору) была упразднена в пользу «линейно-функциональных» оргструктур (по Файолю). Но за всем этим стояли отнюдь не научные аргументы, над страной уже витал призрак жестко контролируемых иерархических систем управления, основанных на беспрекословном подчинении низовых уровней вышестоящим, на универсализме, стандарте и обезличенности, что стало политической и хозяйственной реальностью на многие десятилетия.
Третий прорыв в управленческой мысли, сопоставимый по своему значению с первыми двумя и называемый часто «неоклассическим» — зарождение школы «человеческих отношений» на рубеже 30-х годов и ее деятельности в 1940-60-е годы. Это направление было продолжено развитием теории организаций как социальных систем, но по своему характеру это было не что иное, как использование достижений психологии и социологии — наук о человеческом поведении — в управлении. В советской теории и практике ничего, кроме жесткого отпора «проискам» буржуазной идеологии в области налаживания «человеческих отношений», это не вызвало, а попытки отдельных наших ученых апеллировать к разуму привели лишь к разгрому социологии и остановили ее применение в управлении. Это, наряду с недооценкой психологических аспектов поведения в реальных организациях, нанесло нам огромный ущерб, который до сих пор отнюдь не восполнен.


Анализ внешней и внутренней среды экономической организации


Анализ внешней и внутренней среды экономической организации Анализ среды организации — это процесс определения критически важных элементов внешней и внутренней сред, которые могут оказать влияние на способности фирмы в достижении своих целей.
Анализ среды выполняет ряд важных функций в деятельности фирмы:
- с точки зрения стратегического планирования, улучшает учет наиболее важных факторов, влияющих на экономическую организацию и ее будущее;
- с точки зрения политики фирмы, помогает ей создать о себе наиболее благоприятное впечатление;
- с точки зрения текущей деятельности, обеспечивает информацией, необходимой для наилучшего выполнения рабочих функций.
Элементы внешней и внутренней среды организации.  Процесс анализа организационной среды начинается с определения основных элементов внутреннего и внешнего пространства фирмы. После того, как эти элементы определены, фирма должна выделить те из них, которые являются для нее наиболее важными: их называют критическими точками. Затем фирма собирает необходимую информацию о критических. точках.
Среду любой организации можно определить как совокупность трех сфер — внутренней среды, рабочей среды, общей среды.
Внутренняя среда экономических организаций включает в себя следующие основные элементы: производство, финансы, маркетинг, управление персоналом, организационную структуру. Описание внутренней среды дает представление о сильных и слабых сторонах деятельности организации, ее внутренних возможностях.
Два других пространства составляют внешнюю среду фирмы. Рабочая среда — это среда непосредственных контактов с фирмой, она включает тех участников рынка, с которыми у фирмы есть прямые отношения или которые оказывают прямое воздействие на фирму.
Это, во-первых, поставщики экономических ресурсов, необходимых фирме (сырье, финансовый капитал, производительный капитал), отдельно выделяют поставщиков труда — наемных работников, затем следуют клиенты — потребители продукции фирмы, посредники — финансовые, торговые, маркетинговые, государственные экономические структуры (например, налоговая инспекция).
Во-вторых, к элементам рабочей среды относят конкурирующие фирмы и так называемые контактные аудитории — средства массовой информации, общества потребителей и т.п., — которые оказывают существенное влияние на формирование благоприятного или неблагоприятного облика фирмы. Рабочую среду организации называют также микросредой фирмы.
Общая среда состоит из элементов, которые не связаны с фирмой напрямую, но оказывают влияние на формирование общей атмосферы бизнеса. С этой точки зрения, общую среду бизнеса иногда называют экологией фирмы. Общая среда — это среда косвенных контактов фирмы. Выделяют четыре основных элемента общей среды, включающие соответственно экономические, технологические, политические, социальные факторы. Каждый из них, в свою очередь, тесно связан с остальными факторами и воздействует на них.
Так, изменения в технологии могут привести к новой расстановке конкурентных сил. Знаменитая IBM потеряла значительную часть своего рынка в связи с созданием принципиально новой микропроцессорной технологии и появлением на рынке компактных и простых в обращении персональных компьютеров, которые потеснили большие ЭВМ, выпускавшиеся IBM.
Изменения в социальной структуре российского общества предопределили ухудшение экономической конъюнктуры и, кроме того, снизили возможность новых инвестиций в
передовые технологии, а также привели к кризису власти. Среду общего воздействия называют также макросредой фирмы.
Ознакомившись с общим строением организационной среды, фирма должна выделить из совокупности ее элементов те, которые являются для нее наиболее важными. Другими словами, уже на начальном этапе фирма должна определить пределы анализа среды.
На установление таких пределов влияют три основных фактора:
- число и характер критических точек, т.е. наиболее значимых элементов среды, которые изменяются от организации к организации;
- анализ среды ограничен временными рамками: в коротком периоде фирма во многих случаях может сосредоточиться только на тех элементах, которые критически воздействуют на ее текущее функционирование, т.е. на элементах рабочей среды, в длительном периоде у фирмы появляется возможность исследовать общий характер внешней среды;
- плодотворный анализ возможен только в том случае, если фирма сумела определить специфику элемента, его уникальный характер.
Как показывает первый фактор, у каждой организации есть свой комплекс критических точек. Они зависят от размеров организации, характера ее деятельности, выбранных ею целей, географических, исторических и прочих особенностей.
Размеры фирмы неоднозначно влияют на установление круга значимых факторов внешней среды.
С одной стороны, крупная экономическая организация имеет возможность большего контроля над окружающей средой, чем небольшая. Влияние крупной фирмы на окружающую среду может, в определенной степени, нейтрализовать воздействие внешнего мира на ее деятельность. Поэтому целый ряд элементов внешней среды представляется крупной организации менее значимым, чем мелкой (например, у нее, как правило, стабильные, хорошо налаженные контакты с поставщиками, она менее уязвима перед конкурентами, имеет серьезные финансовые преимущества в плане освоения новых технологий и т.д.).
С другой стороны, крупные фирмы, во-первых, менее подвижны и гибки, чем небольшие, а потому должны хорошо ориентироваться в окружающей среде для того, чтобы суметь заранее приспособиться к будующим изменениям. Крупные фирмы несут большую социальную ответственность перед внутренними участниками, потребителями, обществом в целом; во-вторых, крупные фирмы могут расширить анализ внешней среды по сравнению с мелкими в связи с наличием у них серьезного экономического потенциала. Крупной фирме уже в текущем, коротком периоде становится под силу провести анализ не только рабочей, но и общей среды.1
Современный механизм планирования предусматривает наличие контрольной деятельности предприятия, что обеспечивает не только взаимосогласованность планов и реальной деятельности предприятия, но и служит информационным обеспечением выявления новых направлений и возможностей развития предприятия.


Авторское право


Авторское право Авторское право регулирует гражданско-правовые отношения по использованию произведений науки, литературы и искусства. Такие отношения возникают в результате создания произведения автором. В отношении произведения у автора возникают авторские права, которые и являются основанием для различных авторских договоров.
Основным нормативным актом в сфере авторского права является Федеральный закон Об авторском праве и смежных правах от 9 июля 1993 г.
Объекты. Авторское право охраняет произведения науки, литературы и искусства, под которыми понимаются результаты творческой деятельности человека. Эти результаты охраняются авторским правом, если они имеют оригинальный характер и выражены в какой-либо объективной форме, доступной другим лицам. Если произведение состоит из нескольких оригинальных частей, то каждая из них охраняется авторским правом, причем сама по себе.
Содержание произведения (сюжет, идея произведения, факты и т.п.) охраняется лишь через оригинальную форму.
Авторское право охраняет произведение независимо от его достоинств.
Закон содержит примерный перечень произведений, охраняемых авторским правом. Это литературные произведения (включая компьютерные программы), драматические произведения, музыкальные произведения, кино-, теле- и видеофильмы, живопись, скульптура, графика, фотографии, произведения архитектуры и т.п. К объектам авторского права относятся также производные произведения (переводы, обработки, инсценировки) и сборники произведений и материалов (энциклопедии, базы данных).
Не пользуются охраной по авторскому праву официальные материалы и документы (флаги, гербы, ордена, законы и т.п.), а также произведения народного творчества.
Иностранные произведения, впервые опубликованные за рубежом, охраняются в России не во всех случаях, а только на основе международных договоров об авторских правах, в которых участвует Россия.
Субъекты. Первоначальным носителем авторских прав всегда является автор. Однако по ранее действовавшему законодательству в некоторых случаях первоначальными носителями авторских прав признавались юридические лица (киностудии, телестудии, издатели энциклопедий и др.); их авторские права сохраняют силу и в настоящее время.
Если произведение является результатом творчества двух или нескольких авторов, то все они считаются соавторами. Соавторство бывает нераздельным (если создан неделимый объект) или раздельным. Взаимоотношения соавторов определяются соглашением между ними.
Авторы зависимых произведений (переводчик, обработчик, составитель) могут использовать свое авторское право лишь в том случае, если получено согласие от автора основного (первоначального) произведения, например от автора оригинала.
Содержание авторских прав. Авторские права — сложные, они включают несколько различных правомочий. Некоторые авторские правомочия являются личными. Это — право авторства (право считаться автором, право защищаться от присвоения авторства, т.е. от плагиата), право на имя (т.е. право на использование произведения под своим именем, под псевдонимом или без указания имени, анонимно), право на опубликование произведения, право на защиту произведения от искажений.
Авторские права могут передаваться по договору в разном объеме. Например, по договору может быть передано только авторское право на издание произведения на русском языке, причем только в книжной форме. Но договор может предусматривать и более широкий объем передаваемых прав вплоть до передачи всех прав на использование произведения.
Авторские права на использование произведения могут передаваться как исключительные, и тогда автор лишается этих прав, а получатель становится монополистом в использовании этих прав. Однако авторские права по договору могут быть переданы как неисключительные. В этом случае автор может передавать те же права третьим лицам.
Выплачиваемое по договору вознаграждение за передачу авторских прав определяется соглашением сторон. Закон ориентирует договаривающиеся стороны определять вознаграждение в виде процента от дохода, получаемого от использования произведения.
Организация, получившая по договору исключительные права, может в свою очередь передать их другому лицу по новому договору, который также является авторским договором.
Коллективное управление имущественными авторскими правами. В некоторых сферах культуры и информации (радио, телевидение, концертная деятельность и т.п.) количество используемых произведений различных авторов очень велико, а заключение индивидуальных договоров с каждым автором практически неосуществимо.
Смежные права. По правилам, которые весьма сходны с авторским правом, охраняются так называемые смежные права, под которыми понимаются права артистов-исполнителей на свои исполнения, права звукозаписывающих организаций на свои звукозаписи, а также права радио- и телестанций на свои передачи.1
Условием, позволяющим развивать частное производство и предпринимательскую деятельность, является урегулированность вопросов найма, аренды зданий, земельных площадей, оборудования. Для предприятий малого и среднего бизнеса особенно затруднительно приобретать в собственность необходимые основные фонды, т.е. они нуждаются в возможности временного возмездного использования объектов собственности, им не принадлежащей, что является условием, позволяющим проявить возможности фирмы. В правовом аспекте эти вопросы регулируются правом договоров аренды, подряда.
Право собственности и другие вещные права Важное практическое значение имеет момент, с которого вещь, передаваемая по договору, считается собственностью приобретателя (покупателя). Ведь именно с этого момента на приобретателя переходит риск случайной гибели или повреждения вещи. В тех случаях, когда отчуждение имущества подлежит государственной регистрации, право собственности переходит на приобретателя. В подавляющем числе остальных случаев этот момент определяется в самом договоре. Но если в договоре этот момент не указан, то право собственности переходит на покупателя в момент передачи вещи.
Передача — это вручение вещи (передача из рук в руки). Но если приобретатель находится далеко от лица, передающего вещь, и вещь перевозится (транспортируется) третьим лицом (перевозчиком), то момент перехода права собственности на приобретателя зависит от того, какая сторона обязана доставить вещь: если вещь доставляется продавцом, то она становится собственностью приобретателя после доставки; если на продавца не возложена обязанность доставить вещь, то право собственности на нее переходит на приобретателя в момент сдачи ее перевозчику (или в организацию связи для пересылки по почте).
Прекращение права собственности. Право собственности прекращается обычно по воле собственника. Это прежде всего отчуждение (продажа) вещи, ее приобретение, прямой или косвенный отказ от права собственности.
Нередки случаи прекращения права собственности помимо воли собственника: утрата имущества, гибель имущества, а также принудительное изъятие имущества у собственника.
Под принудительным изъятием понимаются в основном следующие случаи:
1. По обязательствам собственника на его имущество может быть обращено взыскание. Обычно также взыскание осуществляется по решению суда.
2. У собственника может оказаться такое имущество, которое не может ему принадлежать по закону. Например, у общественной организации может оказаться такое имущество, которое не может использоваться для целей ее уставной деятельности. Такое имущество должно быть добровольно отчуждено (продано, передано) собственником в течение одного года с момента возникновения права собственности. Если же этого не будет сделано, то оно принудительно по решению суда изымается у собственника (с возмещением собственнику его стоимости).
3. В случае изъятия земельного участка у собственника у него возмездно изымаются и возведенные на этом участке строения.
4. Особо ценные и охраняемые государством культурные ценности могут быть изъяты (выкуплены) у собственника по решению суда, если они содержатся бесхозяйственно, что грозит их утратой.
5. В случае стихийных бедствий и иных чрезвычайных обстоятельств имущество может быть выкуплено у собственника (реквизиция).
6. В виде санкции за совершенное преступление или административное правонарушение имущество может быть безвозмездно изъято у собственника по решению суда или в административном порядке (конфискация) (ст. 245. ч. 1 ПС РФ).
Общая собственность. Имущество, которое находится в собственности двух или нескольких лиц, принадлежит им на праве общей собственности (ст. 244. ч. 1 ГК РФ). Различают общую долевую собственность и общую совместную собственность. Это — две различные категории, имеющие существенные особенности.
В долевой собственности доли каждого собственника определены; в совместной собственности такие доли не определены. Общая собственность является долевой, за исключением установленных законом случаев, предусматривающих образование совместной собственности. Но даже и в этих случаях по соглашению всех или некоторых участников совместной собственности такая собственность преобразуется в долевую собственность.
В долевой собственности доли отдельных собственников определяются законом или соглашением сторон. Если этого нет, то доли считаются равными (ст. 245 ч. 1 ГК РФ).
Другие вещные права. Наряду с правом собственности существуют и другие права на вещь. Они принадлежат не собственникам вещи, а иным владельцам. Различают следующие виды вещных прав:
1) пожизненного наследуемого владения земельным участком (ст. 265-267 ч. 1 ГК РФ);
2) постоянного (бессрочного) пользования земельным участком (ст. 268-272 ч. 1 ГКРФ);
3) прохода (проезда) по соседнему земельному участку; прокладки коммуникаций по соседнему земельному участку или зданию (сервитута) (ст. 274-277 ч. 1 ГК РФ);
4) хозяйственного ведения (ст. 294-295 ч. 1 ГК РФ);
5) оперативного управления (ст. 296 ч. 1 ГК РФ).
На двух последних вещных правах следует остановиться особо. Право хозяйственного ведения может быть учреждено только собственником государственного или муниципального имущества. Такое право предоставляется государственному или муниципальному унитарному предприятию и распространяется на любое имущество такого предприятия — как на переданное ему собственником, так и на полученное предприятием по сделкам или произведенное им. Право хозяйственного ведения, закрепленное за таким предприятием, состоит в том, что предприятие использует (эксплуатирует) это имущество для получения прибыли, но под контролем собственника. Собственник имеет право на получение части прибыли от использования имущества, находящегося в хозяйственном ведении предприятия.
Предприятие владеет и пользуется имуществом, принадлежащим ему на праве хозяйственного ведения. Оно может самостоятельно распоряжаться таким имуществом, если оно относится к категории движимого. Что касается недвижимого имущества, то предприятие может распоряжаться им (продать, сдать в аренду) по общему правилу только с согласия собственника.1


Баланс между социальными запросами граждан


Одной из важнейших проблем сегодняшнего дня в области социально-культурных расходов является нахождение разумного баланса между социальными запросами граждан, отраженными в принятых социальных программах, и источниками их финансирования. Используемый нашей практикой в течение многих лет остаточный принцип финансирования социальных потребностей привел к тому, что некоторые из вновь принятых российским парламентом социальных программ оказались без источников финансирования. Например, такая ситуация сложилась в России в октябре 1991 г., когда парламент принял Закон «Об индексации денежных доходов и сбережений граждан», а средств на его реализацию не было. Такое положение чревато либо невыполнением закона, либо ростом бюджетного дефицита со всеми вытекающими отсюда негативными последствиями.
В современных условиях без усиления социальной ориентации государственного бюджета не обойтись. Государство должно взять на себя финансирование национальных программ развития образования, здравоохранения, культуры, социального обеспечения. Вместе с тем, по мере перехода к рынку традиционный набор бюджетных расходов на социально-культурные мероприятия (содержание школ, больниц, детских дошкольных учреждений и т.д.) будет пополняться новыми видами затрат. Например, для того чтобы у трудящихся в условиях свободных цен и высокой инфляции не снижался уровень жизни, в бюджете должны предусматриваться ассигнования на обеспечение индексации доходов работников с твердо фиксированными ставками заработной платы. Предполагается не реже одного раза в квартал пересматривать размеры пенсий, стипендий, пособий и зарплаты работников организаций, финансируемых из бюджета. Размер индекса должен зависеть от темпов инфляции и устанавливаться с учетом индекса оплаты труда работников рыночного сектора.
В бюджете предусматриваются ассигнования и на компенсацию потерь населения от роста цен в условиях их либерализации. Из бюджета финансируются комплексные целевые программы по улучшению условий жизни престарелых и инвалидов, по охране семьи, материнства и детства и т.д. Расходы бюджета на выплату социальных пособий — одна из форм материальной поддержки беднейших слоев населения. Такая поддержка исключительно ценна, ибо треть населения страны находится сегодня за порогом бедности. По мере построения основ рыночной экономики перечень бюджетных расходов, направленных на обеспечение социальной защиты граждан, будет расширяться, их размер — увеличиваться, создавая условия для полной реализации социальной функции государства.
Часть бюджетных средств государство направляет на оборону. Военные расходы довольно дорого обходятся налогоплательщику — еще недавно на них использовалось от 25% до 30% валового национального продукта.
Основное место в затратах на оборону занимает закупка вооружений и военной техники; затем идут затраты по текущему содержанию армии и флота, финансированию научно-исследовательских и опытно-конструкторских работ; остальное приходится на долю военного строительства, пенсий военнослужащим и прочие расходы.
Объем расходов на оборону зависит прежде всего от степени реальной угрозы военного нападения; при благоприятной международной обстановке они сокращаются. На величину бюджетных расходов на оборону могут влиять уровень развития экономики, ее финансовые возможности. Сегодня размер военных расходов отражает происходящие в мире прогрессивные процессы, связанные с разрядкой международной напряженности и сокращением вооружений. Реализуя международные договоренности, Россия последовательно проводит практические меры по сокращению военных расходов. Наиболее крупные сокращения коснулись закупок вооружений и военной техники, военного строительства, научных исследований и опытно-конструкторских разработок.
Важную роль в сокращении бюджетных расходов на оборону призвана сыграть военная реформа. Ее подготовка и проведение позволят с меньшим объемом военных расходов качественнее и лучше решать стоящие перед армией проблемы. К тому же предполагается иначе, чем прежде, формировать оборонный бюджет, используя различные источники финансирования военных расходов. Армия должна получить возможность самостоятельно зарабатывать средства за счет, во-первых, реализации устаревшего военно-технического имущества, во-вторых, расширения сферы услуг (транспорт, строительство и т.д.), оказываемых на коммерческой основе гражданским отраслям, в-третьих, используя коммерческий потенциал программ космических исследований, субсидируемых из оборонного бюджета.
О необходимости отказа от ранее использовавшихся административно-командных методов управления с их субъективно-волевыми решениями говорилось уже давно. Но пока что делаются лишь первые радикальные шаги по пути наиболее эффективного и рационального инвестирования бюджетных средств.
И все же задача обеспечения высокой эффективности используемых государством средств налогоплательщиков пока не решена. Необходима коренная перестройка бюджетных отношений и прежде всего в материальном производстве, где бюджетное финансирование следует быстрее заменить системой субсидирования, при которой обязательными условиями предоставления средств выступали бы конкурсная борьба претендентов за сами субсидии и отбор более эффективных вариантов инвестирования бюджетных средств на основе сопоставления проектно-сметной документации и финансовых расчетов. Следует учитывать при этом опыт, накопленный мировой практикой инвестирования ресурсов в общественное производство. Так, в Японии отдают предпочтение финансовой поддержке экономически сильных, а не слабых предприятий, которые благодаря этому получают средства для значительного рывка вперед.
С переходом к субсидированию одновременно мог бы решаться вопрос о возможности долевого участия государства и хозяйств в покрытии определенных расходов на основе использования субвенционной формы финансирования. Бюджетные средства можно предоставлять и в форме инвестиционных займов, преимущества которых состоят в замене безвозвратного финансирования бюджетным кредитованием, осуществляемым на принципах платности и возвратности.
Замена бюджетного финансирования субсидиями, субвенциями и инвестиционными займами позволит реально перейти к использованию в практике бюджетной работы таких показателей, как финансоемкость и финансоотдача. Их практическое применение означало бы, что разговор о приоритетах при определении направлений использования бюджетных средств переместился из области простого декларирования в сферу принятия практических решений.
Конечно, переход на систему бюджетных субсидий, субвенций и кредитов далеко не прост и потребует осуществления целой системы мер: фундаментальной проработки самих условий субсидирования и бюджетного кредитования, создания типового положения о субсидиях и бюджетных кредитах, практического расчета показателей финансоемкости и финансоотдачи, разработки усредненной математической модели финансоотдачи и т.п. Но чем раньше общество приступит к решению этих практических задач, тем быстрее будет создана более эффективная система использования бюджетных ресурсов.
Внепроизводственной сфере бюджетное финансирование должно шире использоваться, с одной стороны, для поддержания достигнутого уровня социально-культурного обслуживания населения, а с другой — для достижения оптимальной структуры отраслей с учетом социальных приоритетов. Однако для этого необходимо перестать финансировать социально-культурные расходы исходя «из достигнутого». Сегодня достаточно хорошо видны глубочайшие пороки такого финансирования. Но беда в том, что, развенчав его морально, общество не перестало им пользоваться. Реальной альтернативы этому методу выделения бюджетных ассигнований еще не создано. Финансирование «от достигнутого» изживет себя лишь в том случае, если будет заменено реально созданной системой научно обоснованных финансовых норм и нормативов, определяемых из расчета необходимого уровня социального обслуживания граждан (например, медицинских расходов на одного жителя или других показателей).


Банки стремятся покупать векселя надежных предприятий.


Векселедержатель   (владелец)  простым  векселем  кредитует  векселедателя (плательщика), который выплачивает в определенный срок долг векселедержателю.
Переводным векселем векселедатель делает распоряжение третьему лицу (должнику векселедателя) об уплате долга, т.е. платит не векселедатель, а третье лицо, на которое переводит свое обязательство векселедатель. Обычно этим лицом выступает банк, который путем акцепта принимает на себя обязательство оплатить по векселю и взимает комиссионный процент. И простой, и переводной векселя передаются из рук в руки с помощью индоссамента (специальной передаточной надписи на обороте векселя).
Предприятие, выписывающее товарный вексель, обеспечивает его основными и оборотными средствами. Векселя надежных предприятий обращаются как средство платежа наравне с деньгами. Коммерческие банки, учитывая векселя промышленных предприятий, обращают внимание на их обеспеченность, так как в противном случае предоставленные ЦБ РФ кредиты придется возвращать коммерческому банку за счет своих средств. Банки стремятся покупать векселя надежных предприятий.
Сроки действия товарных векселей единого образца дифференцируются в зависимости от отраслевой принадлежности заемщика. Они являются основанием для бесспорного взыскания задолженности по поставкам, обеспечения банковских ссуд на оплату товарно-материальных ценностей. По истечению срока действия векселя непогашенные обязательства предъявляются к безусловному взысканию со счета должника в судебном порядке.
Разновидностью товарного векселя является коммерческий вексель, т.е. обязательство должника-покупателя продукции перед кредитором-поставщиком. Он используется для разрешения кризиса неплатежей. Ввиду низкой платежной дисциплины товарные векселя не получили пока широкого распространения.
Банки не только учитывают векселя, выписанные физическими и юридическими лицами, но и сами проводят эмиссию векселей, т.е. документов под внесенные на депозит суммы. Банковский вексель удостоверяет то, что лицо внесло в банк депозит, который он обязуется погасить при предъявлении в срок векселя. Держатель банковского векселя имеет право требовать платежа не только от векселедателя (банка), но и от любого лица, чья подпись есть на документе.
Предприятие, использующее банковский вексель, высвобождает денежные средства, погашает взаимную задолженность, экономит время на расчетах по сравнению с перечислением безналичных денег.
Банковский вексель обеспечен уставным капиталом банка и зарезервированными в ЦБ РФ суммами. Однако сумма задолженности, которую банки должны погасить своими векселями, обычно во много раз превышает финансовые активы банка. И если все одновременно предъявят к оплате векселя, то у банка может образоваться дебетовое сальдо.
Процентный вексель выписывается без указания срока действия, т.е. оплачивается по предъявлению. Процентная ставка по векселю определяется финансовым рынком и изменяется еженедельно. Вексель, выписываемый на дату, является беспроцентным, или дисконтным (дисконт-скидка с номинала), так как выписывается на большую сумму, чем за него платит покупатель.
Предприятие, выбирая стратегию участия в операциях на РЦБ, изучает финансовое состояние эмитентов и других заемщиков (из каких источников они платят проценты и возвращают долги и т.д.). По запросу предприятия как потенциального инвестора эмитент обязан подготовить для него бизнес-справку. Надежнее иметь дело с крупными банками, выпускающими ценные бумаги, так как у них собственная защита средств дополняется обязательным резервированием части привлеченных средств в Центральном банке.
Чтобы ориентироваться в кратко- и долгосрочных тенденциях РЦБ, нужно проводить корреляционный анализ факторов, сопоставлять ставки рефинансирования с текущими депозитными ставками, учитывать динамику курса валют. Выигрывает на рынке ценных бумаг тот, кто умеет предвидеть ситуацию на месяц вперед.
Валютный рынок. В настоящее время валютный рынок функционирует на основе сложившихся принципов внутренней конвертируемости рубля. Юридические и физические лица имеют право собственности на валютные ценности и могут распоряжаться ими без ограничения сумм и форм расчетов. Свободный обмен рублей на иностранную валюту распространяется только на российских лиц (не допускается для иностранцев) и ограничивается текущими внешнеэкономическими операциями (торговлей, краткосрочными кредитами, переводом прибылей по инвестициям, денежными некоммерческими переводами), т.е. не включает инвестиционную деятельность.
Обмен рублей на иностранную валюту в безналичной и наличной формах осуществляется по негосударственным каналам (через уполномоченные банки, обменные пункты, валютные биржи) по рыночным курсам. В качестве официального курса ЦБ, который в обязательном порядке должен использоваться участниками рыночного оборота в учетно-расчетных операциях, в том числе для налоговых целей, до последнего времени применялись котировки Московской межбанковской валютной биржи (ММВБ).
Международные расчеты (между российскими лицами и иностранцами) ведутся через уполномоченные коммерческие банки в свободно конвертируемой валюте (при этом 50% экспортной выручки подлежат обязательной продаже за рубли). Расчеты в рублях допускаются, но без каких-либо государственных гарантий.
Режим внутренней конвертируемости рубля сложился после либерализации торгово-экономических и валютных связей России с внешним миром. В результате государство утратило контроль за валютным оборотом, отдав его во власть негосударственных структур. Действует, по существу, стихийный механизм распределения и перераспределения иностранной валюты внутри страны.
Более того, официально отдается приоритет свободно конвертируемым валютам в качестве платежных средств по внешнеэкономическим сделкам, не организована система международных расчетов с использованием собственной валюты. А главное заключается в том, что внутренняя конвертируемость, т.е. возможность приобретения и распоряжения иностранной валютой при минимальном вмешательстве государства, не приближает к внешней конвертируемости, которая способствовала бы упорядочению связей экономики страны с мировым рынком. Идет процесс ухода валюты с внутреннего рынка и оседания ее в заграничных банках.
Свободный доступ к более сильным валютам ведет к принижению роли национальной денежной единицы, превращению рубля во второстепенную валюту.
С июля 1995 г. внутренний валютный рынок регулировался государством с помощью установления условно-фиксированного курса рубля, т.е. валютного коридора, а официальный его курс привязывался к курсу ММВБ. С 17 мая 1996 г. введен механизм установления официального курса рубля на основе котировок ЦБ РФ, исходя из соотношения спроса и предложения на иностранную валюту на межбанковском и биржевом валютных рынках, динамики показателей инфляции и платежного баланса, положения на международных рынках иностранных валют, изменения величины государственных золотовалютных резервов. Ежедневно ЦБ РФ объявляет курсы покупки и продажи долларов CUT А по своим операциям на межбанковском и биржевом валютных рынках. При этом разница между этими курсами не должна превышать 1,5%. На основе этих курсов ЦБ РФ осуществляет валютно-обменные операции с банками, являющимися ведущими участниками межбанковского валютного рынка. Официальный курс рубля к другим свободно конвертируемым валютам и валютам основных внешних экономических партнеров России устанавливается с учетом динамики их обменного курса к доллару США на международных валютных рынках. Официальный курс рубля к прочим иностранным валютам» международным счетным и временным денежным единицам устанавливается ежемесячно с учетом динамики обменного курса этих валют к доллару США.
ЦБ РФ ограничивает колебания текущего обменного курса рубля на биржевом и межбанковском валютных рынках установленными пределами.
Переход к установлению официального обменного курса рубля на базе ежедневных котировок ЦБ РФ осуществляется в целях повышения стабильности валютного рынка, защиты отечественных товаропроизводителей и сбережений населения. Правительство РФ и ЦБ намерены обеспечивать возможность беспрепятственной покупки и продажи иностранной валюты на внутреннем валютном рынке и поддерживать обменный курс рубля мерами бюджетной, денежно-кредитной и валютной политики.
Одновременно предпринимаются меры по переходу к полной конвертируемости рубля (Указ Президента РФ от 16 мая 1996 г. № 721 «О мерах по обеспечению перехода к конвертируемости рубля»).
Для того чтобы рубль признавался на международных валютных рынках, необходимы динамичный экономический рост, достаточные валютные резервы для осуществления интервенции Центральным банком на валютных рынках, ограничения доступа к иностранной валюте в наличной форме и др. условия. Опыт стран, обеспечивающих полную   конвертируемость,   свидетельствует,   что   ей   предшествует   строгий административный контроль за движением иностранных валют со стороны государства:
твердые фиксированные курсы, обязательная 100%-ная продажа экспортных и иных валютных поступлений небольшому числу уполномоченных банков и другие меры.1
Рассмотрение экономической политики указывает на необходимость контроля за финансовой и банковской системой страны, так как все экономические процессы, с одной стороны, влияют на состояние этой системы, а с другой стороны, сами находятся под ее влиянием благодаря значительной экономической мощи, как правило, сосредоточенной в финансовых и банковских кругах. В этих условиях обычно создается государственное учреждение — центральный банк — с уставом, предоставляющим ему значительную независимость от правительства. Этот факт призван оградить центральный банк от попыток использовать денежную эмиссию для финансирования бюджетного дефицита. Изучение взаимоотношений правительства и центрального банка основано на сопоставлении прав и функций последнего с учетом того, что статус центрального банка значительно варьируется в зависимости от рассматриваемой страны.


Бюджетный дефицит, управление им


Бюджетный дефицит, управление им Недостаточная степень разработки теоретических проблем в области государственного бюджета обусловила не только его долгое непризнание в качестве самостоятельной экономической категории, но одновременно препятствовала выработке модели бюджетного фонда страны, исследованию количественной его характеристики в составе используемых финансовых ресурсов. Бюджетный фонд, являющийся материально-финансовой базой деятельности государства, формировался исходя из задач функционирования административно-командной системы. Его величина была ориентирована не на оптимальные пропорции, необходимые для регулирования экономики и решения социальных задач, а на затратный подход, призванный обеспечить финансовыми ресурсами деятельность многочисленных органов государственной власти — в центре, республиках и на местах. При таком подходе сфера действия пере распределительной функции бюджета была почти безграничной, объектом перераспределения выступали все элементы стоимости общественного продукта.
Бюджетный дефицит — это финансовое явление, не обязательно относящееся к разряду чрезвычайных, исключительных событий. В современном мире нет государства, которое в те или иные периоды своей истории не сталкивалось бы с бюджетным дефицитом. Однако качество самого дефицита может быть различным:
а) дефицит может быть связан с необходимостью осуществления крупных государственных вложений в развитие экономики. В этом случае он отражает не кризисное течение общественных процессов, а государственное регулирование экономической конъюнктуры, стремление обеспечить прогрессивные сдвиги в структуре общественного производства. Еще Дж.М. Кейнс обосновал возможность допущения опережающего роста государственных расходов над доходами на определенных этапах развития общества;
б) дефицита возникают в результате чрезвычайных обстоятельств (войн, крупных стихийных бедствий и т.п.), когда обычных резервов становится недостаточно и приходится прибегать к источникам особого рода;
в) дефицит может отражать кризисные явления в экономике, ее развал, неэффективность финансово-кредитных связей, неспособность правительства держать под контролем финансовую ситуацию в стране. В этом случае он — явление чрезвычайно тревожное, требующее принятия не только срочных и действенных экономических мер (по стабилизации экономики, финансовому оздоровлению хозяйства и т.п.), но и соответствующих политических решений.'

12.1. Экономическая теория основные понятия собственности; экономические и правовые аспекты; введение в макроэкономику
Одной из основополагающих, необходимых предпосылок эффективного функционирования экономики является четкая принадлежность средств и продуктов производства определенным лицам или коллективам. Различия в отношении и праву собственности характеризуют разные экономические системы, отражают конкретный тип экономических отношений, сложившийся в обществе. Изучение права конкретных субъектов на определенные объекты (имущество) осуществляется через исследование системы трех принципов права собственности: права владения, права пользования и права распоряжения имуществом. Следовательно, глубокое понимание основных понятий собственности является критерием правильного восприятия вопросов, обсуждаемых в последующих темах. Рассматривая данный вопрос, необходимо помнить о том, что понятие собственности носит экономический характер и непосредственно входит в состав экономических взаимоотношений в обширных понятийных пространствах макроэкономики.
Макроэкономика как раздел экономической теории
Макроэкономика — это раздел экономической теории, или политической экономии, признанный выяснить, как функционирует экономическая система в целом.
Макроэкономика исследует массовые явления или силы, которые в своей совокупности определяют производство в масштабах общества в целом, в рамках государства.
В древности ученые (Платон, Аристотель) рассматривали государство как форму человеческого общения или как среду, в которой человек находит условия существования. Аристотель считал, что государство надо рассматривать как целое, а отдельную семью — как часть целого, при этом целое вообще важнее части, ибо при уничтожении целого (например, человека) не будет и его части (например, руки). Сегодня мы не можем быть так категоричны. На месте СССР возникли другие государства, семьи сохранились, но изменились условия их существования.
Макроэкономика изучает условия, факторы и результаты развития национальной экономики в целом. В числе ее объектов находятся: богатство и доход нации, темпы и факторы экономического роста, структура и пропорции общественного производства и другое.
В качестве первой проблемы необходимо рассмотреть общественное воспроизводство, что позволит нам представить национальное хозяйство как органическое целое, т.е. не просто как совокупность предприятий, домохозяйств, отраслей, сфер, комплексов, а как самовоспроизводящуюся систему. Это значит, что осуществление взаимодействия и взаимосвязи между элементами данной системы создают условия для непрерывного продолжения, возобновления и повторения экономических процессов.
Сущность и многогранность общественного воспроизводства Общественное воспроизводство есть процесс общественного производства в постоянно повторяющейся связи и в непрерывном потоке своего возобновления.
Следовательно, понятие воспроизводства означает, что всякий процесс производства есть в то же время процесс воспроизводства. Общество не может перестать потреблять, не может и перестать производить. А всякий процесс производства, рассматриваемый в постоянной связи, в непрерывном потоке своего возобновления, и есть процесс воспроизводства.
Общество не может существовать, не воспроизводя постоянно все элементы производства. Иными словами, чтобы экономическая система могла существовать, она должна воспроизводить сырье, средства производства, рабочую силу не только как элементы производства, но и как экономические отношения. Причем субъектами этих отношений выступают не отдельные экономические агенты, а укрупненные «агрегированные» группы, или «агрегаты», — массовые экономические явления.
В рыночной системе хозяйствования, построенной на общественном разделении труда и экономической обособленности производителей, воспроизводство возможно при условии, когда все товары будут проданы, все средства производства и предметы потребления возмещены. Это условие предполагает соблюдение определенных народнохозяйственных пропорций.
Впервые к этому выводу пришел французский экономист Франсуа Кенэ (1694—1774), основоположник макроэкономического анализа. Его работа «Экономическая таблица» и статьи «Зерно», «Фермеры» и другие открыли данное направление экономических исследований.
Модель воспроизводства Ф.Кенэ тесно связана с его теорией классов, которые он выделял в зависимости от их участия в создании и присвоении чистого продукта. По Кенэ, нация состоит из трех классов: производительного, собственников и бесплодного. Первый класс создает чистый продукт, второй класс (король, сеньоры, церковь) присваивает чистый продукт, к третьему классу он относит граждан, выполняющих другие функции, не занимающихся земледелием, не присваивающих и не создающих чистый продукт, а лишь преобразующих сельскохозяйственный продукт в иную натуральную форму. Он не выделяет капиталистов-фермеров и рабочих-земледельцев, объединяет их в один производительный класс.
Заслуга Ф.Кенэ состоит в том, что воспроизводство он предвидел не только как воспроизводство материальных благ, но и как воспроизводство классов, т.е. 'производственных отношений. Он впервые поставил вопрос об основных и производных доходах. Ф.Кенэ анализирует только простое воспроизводство, абстрагируясь от внешней торговли, изменчивости цен. Основное место в его теории воспроизводства занимает проблема реализации.
. Согласно модели Ф.Кенэ, процесс оборота начинается с завершением уборки урожая и проходит пять актов.
1 акт: земельные собственники покупают на 1 млрд. ливров продукты питания у производительного класса;
2 акт: земельные собственники покупают на 1 млрд. ливров у бесплодного класса промышленные товары;
3 акт: бесплодный класс покупает продукты питания на 1 млрд. ливров, полученный от землевладельцев;
4 акт: производительный класс покупает на 1 млрд. ливров промышленные товары;
5 акт: бесплодный класс покупает на 1 млрд. ливров сельскохозяйственное сырье. В сферу обращения таким образом вступают: сельскохозяйственная продукция на 3 млрд. ливров (ЗСХ), созданная производительным классом (ПК); промышленная продукция на 2 млрд. ливров (2ПП), созданная бесплодным классом (БК); денежные средства на 2 млрд. ливров (2Д), которые получили в предыдущем периоде за аренду земли земельные собственники (ЗС).
В результате этих актов реализовано промышленной продукции на 2 млрд. ливров и сельскохозяйственной продукции на 3 млрд. ливров. Производительный класс имеет 2 млрд. ливров для аренды и на 1 млрд. ливров промышленной продукции для возмещения износа основного капитала. Земельные собственники имеют для личного потребления предметы питания на 1 млрд. ливров и промышленные товары на 1 млрд. ливров. Бесплодный класс имеет земледельческую продукцию для производительных нужд на 1 млрд. ливров и для личного потребления на 1 млрд. ливров. Всего на конец периода общество имеет 2 млрд. ливров в денежной форме (2Д), на 2 млрд. ливров промышленной продукции (2ПП) и на 3 млрд. ливров сельскохозяйственной продукции (ЗСХ). Таким образом, все необходимые условия для воспроизводства созданы.


Благо как системообразующая категория хозяйствования. Понятие товара и услуг


Благо как системообразующая категория хозяйствования. Понятие товара и услуг Центральной категорией теорий товарного производства является товар, которой исторически и логически предшествует категория «благо». Рассмотрим эту категорию.
Благо — это все то, что заключает в себе определенный положительный смысл, предмет, явление, продукт труда, удовлетворяющий определенную человеческую потребность и отвечающий интересам, целям, устремлениям людей.
В экономической литературе есть и другие определения блага. А.Маршалл, например, под благом понимал все желаемые нами вещи или вещи, удовлетворяющие человеческие потребности. В этом определении блага ограничиваются лишь вещами, предметами.
Иногда блага рассматриваются как воплощенная полезность, которой могут быть не только продукты труда, но и плоды природы.
Особое место среди благ, необходимых человеку, роль которых возрастает, занимают услуги.
Услуги — это целесообразная деятельность человека, результат которой имеет полезный эффект, удовлетворяющий какие-либо потребности человека.
Для понимания благ большое значение имеет их классификация. Существует множество критериев, на основе которых выделяют различные группы (виды) благ.
Наиболее распространенным является подразделение благ на материальные и нематериальные.
1). Материальные блага включают: естественные дары природы (земля, воздух, климат); продукты производства (продукты питания, здания, сооружения, машины, инструменты и т.д.). Иногда к материальным благам относят (например, А.Маршалл) и отношения по присвоению материальных благ (патенты, авторские права, закладные). Тем самым в одну группу объединяют различные по своему характеру блага, одни из которых суть полезности, другие — форма присвоения полезности.
2). Нематериальные блага — это блага, воздействующие на развитие способностей человека, они создаются в непроизводственной сфере: здравоохранение, образование, искусство, кино, театр, музеи и т.д.
Различают две подгруппы нематериальных благ:
- внутренние — блага, данные человеку природой, которые он развивает в себе по собственной воле (голос; пение, декламация; музыкальный слух; музицирование; способности к науке и т.д.);
- внешние — это то, что дает внешний мир для удовлетворения потребностей (репутация, деловые связи, протекция и т.д.).
Кроме отмеченных групп благ рассматриваются также блага настоящие и будущие, прямые и косвенные, долго- и краткосрочные и т.д.
Особое значение имеет подразделение благ на экономические и неэкономические.
К экономическим благам (этот термин принадлежит субъективистской школе экономической науки; представитель — известный итальянский экономист А.Пезенти) относятся те, которые являются объектом или результатом экономической деятельности, т.е. которые можно получить в количестве, ограниченном по сравнению с удовлетворяемыми потребностями. Отметим, что с экономическим благом связана проблема редкости благ, обусловливающая соответствующее поведение человека (хозяйственная производственная деятельность) в условиях ограниченности (редкости) ресурсов, благ.
Неэкономические блага (даровые блага) предоставляются природой без приложения человеком усилий. Эти блага существуют в природе «свободно», в количестве, достаточном для полного и постоянного удовлетворения определенных потребностей человека (воздух, вода, свет и т.д.).
Таким образом, именно соотношение между потребностью (или в терминологии К.Менгера, видного представителя австрийской школы, — надобностью) и доступным для распоряжения количеством благ делает их экономическими или неэкономическими.
Специфической формой экономического блага является товар. Что же такое товар?
Товар — это специфическое экономическое благо, произведенное для обмена.
К.Менгер утверждал, что экономическое благо становится товаром независимо от его способности к передвижению, независимо от лиц, предлагающих его для продажи, от его материальности, независимо от характера его как продукта труда, поскольку обязательно предназначено для обмена.1
Товар как таковой обладает двумя свойствами:
а) способностью удовлетворять какую-либо человеческую потребность;
б) пригодностью к обмену.
Способность товара удовлетворять ту или иную потребность человека составляет его потребительную стоимость. Ею обладает любой товар. Характер потребностей может быть при этом самый различный (физические, духовные). Разным может быть и способ их удовлетворения. Одни вещи могут удовлетворять потребность непосредственно как предметы потребления (хлеб, одежда и т.п.); другие — косвенно, опосредованно как средства производства (станок, сырье). Многие потребительные стоимости могут удовлетворять не одну, а ряд общественных потребностей (древесина, например, используется как химическое сырье, как топливо, для производства мебели).
В качестве товара выступают услуги. В чем их специфика? Потребительная стоимость услуги не имеет вещественной формы. Потребительная стоимость услуги — это полезный эффект деятельности, живого труда.
Услуга не имеет вещной формы, ее нельзя непосредственно накопить, она может быть потреблена лишь в момент производства.
Потребительные стоимости составляют содержание богатства всякого общества. Потребительная стоимость имеет три формы проявления', а) количество; б) натуральная форма; в) качество. Последнее — это степень полезности данной потребительной стоимости, степень ее соответствия потребности, ее пригодности удовлетворять потребность в конкретных условиях потребления.
Следует отличать потребительную стоимость товара от потребительной стоимости продукта в натуральном хозяйстве.
Продукты труда в натуральном хозяйстве являются потребительной стоимостью для самих производителей, а товары обладают потребительной стоимостью для других, т.е. общественной потребительной стоимостью.
Потребительная стоимость товара переходит к непосредственному производителю только посредством обмена.



Целевой сегмент рынка и позиционирование товара


Целевой сегмент рынка и позиционирование товара - После разделения рынка на отдельные сегменты необходимо оценить степень их привлекательности и решить, на сколько сегментов должно ориентироваться предприятие, иначе говоря, выбрать целевые сегменты рынка и выработать стратегию маркетинга.
Целевой сегмент рынка — один или несколько сегментов, отобранных для маркетинговой деятельности предприятия. При этом предприятие должно с учетом выбранных целей определить свои сильные стороны в конкуренции, размер рынков, отношения с каналами сбыта, норму прибыли и свой образ.
Цели предприятия могут быть заданы как количественно, так и качественно. Они могут касаться ввода новых товаров или проникновения известных товаров на новые сегменты рынка. При этом сегмент рынка должен иметь достаточный потенциал спроса, чтобы быть выбранным в качестве целевого. Кроме того, целевые сегменты должны быть стабильными, позволяющими достаточное время осуществлять выработанную стратегию маркетинга.
Вопрос охвата рынка (выбор целевого сегмента рынка) можно решить одним из следующих способов. Во-первых, можно прогнозировать различия сегментов и выпустить на весь рынок один тип товара, обеспечивая ему средствами маркетинга привлекательность в глазах всех групп потребителей. В этом случае применяется стратегия массового маркетинга. Такую стратегию относят к стратегии больших продаж. Главная цель массового маркетинга — максимизировать сбыт. Проникновение на большое число сегментов связано с широким захватом всего рынка и требует значительных затрат ресурсов, поэтому такая стратегия, как правило, применяется крупными предприятиями. Для удачного массового маркетинга необходимо, чтобы большинство покупателей испытывали потребность в одинаковых свойствах товара. Используются методы массового распределения и массовой рекламы, один общепризнанный диапазон цен, единая программа маркетинга, ориентированная на различные группы потребителей. Однако по мере насыщения рынка, роста конкуренции такой подход становится мало продуктивным.
Во-вторых, можно сконцентрировать усилия и ресурсы производителя на одном сегменте рынка (специфической группе потребителей). В данном случае применяется стратегия концентрированного маркетинга. Эта стратегия особенно привлекательна при ограниченных ресурсах, для небольших предприятий. Предприятие концентрирует усилия и ресурсы там, где оно имеет возможность использовать свои преимущества, обеспечивая экономию на специализации производства и прочную рыночную позицию за счет высокой уникальности и индивидуальности в удовлетворении потребностей.
Стратегия концентрированного маркетинга позволяет предприятию максимизировать прибыль на единицу продукции, с небольшими ресурсами конкурировать с крупными предприятиями на специализированных рынках, обеспечивает рыночную позицию в выбранных сегментах. При этом особенно важно лучше приспосабливать маркетинговую программу к своему сегменту, чем это делают конкуренты. Маркетинговая стратегия предприятия опирается на исключительный характер своей продукции (например, экзотические товары, рассчитанные на богатых потребителей, специальная одежда для спортсменов). Но и здесь опасно влияние конкурентов и значителен риск больших потерь. Надежнее работать на нескольких рыночных сегментах, которые образуют целевой рынок данного предприятия.
Третий способ выбора целевого сегмента рынка заключается в охвате нескольких сегментов и выпуске для каждого из них своего товара или его разновидности. Здесь применяют стратегию дифференцированного маркетинга с различным планом маркетинга для каждого сегмента. Охват нескольких сегментов рынка требует использования значительных ресурсов и возможностей предприятия для производства и продвижения разных товаров. В то же время выпуск нескольких марок товаров, сориентированных на несколько сегментов, позволяет максимизировать сбыт.
В ряде случаев предприятие, начинающее со стратегии массового или концентрированного маркетинга, способно выходить на неразработанные потребительские сегменты (например, переход с выпуска универсального шампуня (массовый маркетинг) на выпуск специальных шампуней для различных типов волос, для детей). Или наоборот, прочно утвердившись на одном сегменте, предприятие расширяет свою деятельность, осваивая новый сегмент. Так, наряду с выпуском товаров для детей компания «Джонсон и Джонсон» продает шампунь для женщин старше 40 лет. В некоторых случаях предприятия используют в своей стратегии и массовый, и концентрированный маркетинг.
Нередко в процессе сегментации обнаруживаются отдельные части рынка, которыми производители по тем или иным причинам пренебрегают. Потребители, составляющие эти сегменты, не удовлетворяют полностью своих желаний и предпочтений. Примером могут служить товары для определенных категорий потребителей: пенсионеров, подростков и т.д. Такую часть рыночного сегмента принято называть рыночное окно. Производитель, стремящийся закрыть это «окно», может иметь большой успех.
Рыночные сегменты, в которых предприятие обеспечило себе господствующее и стабильное положение, принято называть рыночной нишей. Создание и укрепление рыночной ниши, в том числе и путем отыскания рыночных окон, обеспечивается лишь на основе использования методов сегментации рынка. Рыночная сегментация устанавливает различия в спросе, и товар приспосабливается к запросам покупателей.
Факторами, определяющими позицию товара на рынке, являются не только цены и качество, но также имидж фирмы, дизайн, скидки, обслуживание, имидж товара и соотношение этих факторов. Оценка предприятием своих товаров на рынке может расходиться с мнением покупателей по данному вопросу. Например, предприятие выходит на рынок и продает товар, который, на его взгляд, имеет высокое качество при относительно низких ценах. Проблема возникает в том случае, если покупатель относит этот товар к категории среднего качества с относительно высокой ценой. Задача маркетинга — убедить покупателей приобрести данный товар по цене, соответствующей высокому качеству.
Позиционирование включает комплекс маркетинговых элементов, с помощью которых людям необходимо внушить, что речь идет о товаре, созданном специально для них, чтобы они идентифицировали предлагаемый товар со своим идеалом. При этом возможны разнообразные подходы и методы, например, позиционирование на базе определенных преимуществ товара, на основе удовлетворения специфических потребностей или специального использования; позиционирование через определенную категорию потребителей, уже купивших товар, или путем сравнений; позиционирование с помощью устойчивых представлений и т.д. Естественно, позиционирование не может быть связано с обманом и дезинформацией потребителя; это может сойти один раз, после чего производителя ждут неудачи и потери.
После определения целевого сегмента рынка предприятие должно изучить свойства и образ продуктов конкурентов и оценить положение своего товара на рынке. Изучив позиции конкурентов, предприятие принимает решение о позиционировании своего товара, т.е. об обеспечении конкурентоспособного положения товара на рынке.
Последним этапом процесса сегментации рынка является разработка плана или комплекса маркетинга. После принятия решения о стратегии позиционирования товара предприятие приступает к детальной проработке составных частей комплекса маркетинга (маркетинг-микс): товар, цена, распределение, продвижение. Рассматривать их надо во взаимосвязи друг с другом, применительно к выбранному целевому рыночному сегменту.'
Любое предприятие, сталкиваясь со сложностью рыночных механизмов, встает перед проблемой создания модели своего поведения, которая отражала бы метода взаимодействия фирмы и рынка. Эта модель может быть связана с показателями о количественных результатах работы, которые необходимо достигнуть, а может служить достижению конкретных целей — выход на определенный рынок, разработка нового товара и т.д. Создание модели поведения фирмы осуществляется при помощи наблюдений за рынком, рыночных исследований и соотнесения тенденций и запросов рынка с задачами и возможностями фирмы. Таким образом, фирма создает план своей работы относительно того, что производить, как продавать, кому продавать и так далее. Ответы на эти вопросы лежат в основе разработки рыночной стратегии и товарной политики компаний.


Целевые сборы с граждан и предприятий


Целевые сборы с граждан и предприятий, учреждений, организаций на содержание милиции, благоустройство территорий и другие цели Целевые сборы с граждан и предприятий, организаций, учреждений на содержание милиции, на благоустройство территорий, на нужды образования и другие цели устанавливаются в соответствии с подпунктом «ж» п. I ст. 21 Закона РФ «Об основах налоговой системы в Российской Федерации».
Введение целевых сборов на те или иные цели определяется органами власти для решения социально-экономических проблем, возникающих в регионе.
Плательщиками указанного сбора являются предприятия, учреждения и организации независимо от их организационно-правовых форм — юридические лица, осуществляющие свою деятельность на территории, подведомственной местному органу представительной власти, который ввел этот сбор, включая филиалы (обособленные структурные подразделения), расположенные отдельно от места регистрации юридического лица, а также граждане, проживающие на соответствующей территории, в дальнейшем именуемые «физические лица».
Предельный размер ставки сборов не может превышать размера 3% фонда заработной платы, рассчитанной от установленной законом минимальной месячной оплаты труда для юридического лица, и не более 3% от 12 минимальных установленных законом размеров месячной оплаты труда для физического лица на все виды целевых сборов по совокупности.
Представительные органы власти своими решениями могут устанавливать льготы по местным налогам и сборам в соответствии со ст. 10 Закона РФ «Об основах налоговой системы в Российской Федерации», а также освобождать от уплаты целевого сбора отдельных лиц или категорий плательщиков.
Сроки уплаты целевых сборов устанавливаются представительными органами власти.
По решениям органов власти средства, поступившие в уплату целевых сборов, могут зачисляться на специальные счета местных бюджетов или во внебюджетные фонды и используются строго по назначению.
Расходы по уплате целевых сборов юридическими лицами относятся на финансовые результаты деятельности предприятий, а физическими лицами производятся за счет собственных средств.
Налогоплательщики, не выполняющие решений представительных органов власти об уплате местных налогов и сборов, несут ответственность, предусмотренную ст. 7 закона РФ «О государственной налоговой службе Российской Федерации» и ст. 13 Закона РФ «Об основах налоговой системы в Российской Федерации».
Контроль за полнотой и своевременностью уплаты целевых сборов согласно действующему законодательству осуществляют государственные налоговые инспекции городов и районов.
Современная практика управления предприятием предусматривает решение вопросов производственного, социального развития и хозяйственной деятельности с учетом выполнения требований налогового законодательства и контроля за их выполнением.
Налог на содержание жилищного фонда и объектов социально-культурной сферы Налог на содержание жилищного фонда и объектов социально-культурной сферы устанавливается на основании подпункта «ч» п. I ст. 21 Закона РФ «Об основах налоговой системы в Российской Федерации».
Плательщиками налога являются юридические лица — предприятия и организации всех организационно-правовых форм, включая предприятия с иностранными инвестициями, филиалы предприятий (другие обособленные структурные подразделения), осуществляющие свою деятельность на территории, подведомственной представительному органу власти.
Налог на содержание жилищного фонда и объектов социально-культурной сферы, его конкретные ставки, льготы по налогу устанавливаются представительными органами власти в размере, не превышающем 1,5% объема реализации продукции (работ, услуг), произведенной юридическими лицами, расположенными на соответствующей территории.
Порядок исчисления и уплаты налога в целом идентичен порядку исчисления и уплаты налога на пользователей автомобильных дорог, зачисляемого в дорожные фонды.
Кроме того, при исчислении суммы налога на содержание жилищного фонда и объектов социально-культурной сферы расходы предприятий и организаций на эти цели,
рассчитанные исходя из норм, установленных .местными органами власти, на содержание жилищного фонда и объектов социально-культурной сферы, находящихся на балансе этих предприятий и организаций или финансируемых ими в порядке долевого участия, подлежат вычету непосредственно из самих сумм начисленного налога.
В случае недостаточности суммы исчисленного налога на покрытие указанных расходов предприятия и организации не будут являться налогоплательщиками этого налога.1
При исчислении налога на содержание жилищного фонда и объектов социально-культурной сферы объемом реализации по отдельным отраслям являются:
- для предприятий, учреждений и организаций, осуществляющих предпринимательскую деятельность (кроме заготовительных,, снабженческо-сбытовых и торговых), — фактически полученная выручка от реализации продукции (работ, услуг) без НДС;
- для заготовительных, торгующих и снабженческо-сбытовых организаций — объем реализованных (выполненных) услуг, под которым следует понимать их валовой доход от реализации продукции.
При этом для заготовительных и снабженческо-сбытовых организаций валовым доходом следует считать разницу между продажной и покупной стоимостью реализуемых товаров без НДС;
по банкам и другим кредитным учреждениям налог исчисляется от суммы облагаемых доходов;
по страховым организациям налог исчисляется от суммы поступления страховых взносов (премий), комиссионных вознаграждений по перестрахованию и других услуг, связанных со страховой и нестраховой деятельностью;
по биржам налог исчисляется от сумм дохода, полученного в виде комиссионного сбора, вознаграждений со сделок, совершаемых на биржевых торгах, а также выручки, полученной от продажи и предоставления на ограниченный срок брокерских мест, платы за право участия в торгах, от стоимости информационно-коммерческих и других платных
услуг.
Предприятия и организации, имеющие филиалы в других регионах, вносят указанный налог в соответствующие бюджета пропорционально численности работающих или их фактической заработной плате в филиалах по согласованию юридического лица с исполнительными органами власти.
Расходы предприятий и организаций по уплате этого налога относятся на финансовые результаты деятельности предприятий.
Исчисление налога производится плательщиком нарастающим итогом с начала года, и налог уплачивается в сроки, установленные исполнительными органами власти с участием налоговых и финансовых органов.
Ответственность за своевременность и полноту уплаты налога несут налогоплательщики в соответствии с действующими законодательными актами.
Контроль за полнотой, правильностью исчисления налога и своевременностью его внесения осуществляют налоговые органы согласно законодательству о налоговой службе.


Ценообразование и структура рынка


Ценообразование и структура рынка Для того, чтобы понять все закономерности формирования цены, предпринимателю необходимо осознать, что ценовая политика, которую он будет проводить, целиком и полностью зависит от конкурентной структуры рынка. Обычно выделяют четыре типа рынка, каждый из которых соответствует одному из видов конкуренции: свободной, монополистической, олигополистической конкуренции и чистой монополии.
1. Рынок свободной конкуренции характеризуется тремя условиями: наличием множества фирм, когда ни одна из них не может оказать значительного влияния на уровень текущих цен, так как каждой принадлежит небольшая доля рынка; однородностью и взаимозаменяемостью конкурирующих товаров; отсутствием ценовых ограничений.
При этом роль маркетинговых исследований политики цен, системы ФОССТИС (мероприятия по формированию спроса и стимулированию сбыта, направленные на покупателей, агентов и розничных торговцев), деятельности по разработке товара крайне незначительна, так как в условиях свободной конкуренции спрос на товар полностью зависит от цены. Дело в том, что на рынке фигурируют множество фирм и ни одна из них не контролирует достаточно заметной доли рынка. Поэтому при расширении объема производства фирма, как правило, цену не меняет. Связь между спросом и ценой для данного случая представлена на 18.2.2.
Для отрасли зависимость спроса и цены окажется обратно пропорциональной, т.е. снижение цены будет способствовать увеличению спроса, а кривая спроса будет монотонно убывающей ( 18.2.3).

В случае, если предложение товаров в целом по отрасли возрастет, то цена снизится, причем это коснется всех фирм отрасли независимо от объема их производства.
Таким образом, в условиях свободной конкуренции ни одна фирма на рынке не играет в ценообразовании сколько-нибудь заметной роли, а цены складываются под воздействием только спроса и предложения. Фирмам приходится ориентироваться на сложившийся уровень цен. Однако известны случаи кратковременного воздействия на конъюнктуру рынка. Для этих целей используют стратегию «случайного» снижения цен, которая заключается в установлении цен сначала на максимально высоком уровне, затем они медленно снижаются до уровня рыночных цен. За тот небольшой период, когда цены были высокими, фирме все же удается продать какое-то количество товаров и тем самым увеличить свой доход. Стратегия ценового индикатирования возможна тогда, когда всю информацию о качестве товара покупатель получает через относительно повышенную цену. Создается впечатление, что высокая цена отражает затраты, связанные с повышением качества. Однако через некоторое время покупатель убедится в несоответствии реального качества купленного изделия и цены и больше не повторит покупки.
Рынков свободной конкуренции очень немного, в основном это международный рынок некоторых товаров, например, пшеницы, леса, ценных бумаг, руд цветных металлов.
2. Рынок монополистической конкуренции состоит из большого количества фирм, предлагающих свои товары по ценам, колеблющимся в большом диапазоне. Товары здесь не вполне взаимозаменяемы и отличаются друг от друга не только физическими характеристиками, качеством, оформлением, но и потребительским предпочтением. Разница между изделиями оправдывает широкий диапазон цен. Рынку монополистической конкуренции присущи три характерные черты: острая конкурентная борьба между фирмами; дифференциация товаров, выпускаемых фирмами-конкурентами, как за счет различий в потребительских свойствах, так и вследствие оказания неодинаковых дополнительных услуг; легкость проникновения на рынок. Особенность маркетинга в этих условиях заключается в выявлении специфических потребностей разных сегментов рынка. Большую роль при этом играет реклама изделия, присвоение товарам марочных названий. В обстановке монополистической конкуренции фирма формирует цену на производимую ею продукцию, учитывая структуру потребительского спроса, цены, устанавливаемые конкурентами, а также собственные издержки производства.
При монополистической конкуренции фирмы используют разные стратегии ценообразования.
Наиболее распространенной стратегией является установление цен по географическому принципу, когда фирма реализует продукцию потребителям в разных частях страны по разным ценам. Причем для этого используют разные варианты определения цены.
Стратегия ФОБ (free on board) означает, что фирма продает продукт в месте его производства и передает транспортной организации на условиях франко-вагон. После этого вся ответственность и права на товар переходят к покупателю, который оплачивает
транспортной фирме все расходы по перевозке продукции от места производства к месту ее назначения.
Стратегия единой цены является полной противоположностью стратегии ФОБ. Сущность метода заключается в том, что фирма устанавливает единую цену за свою продукцию с включением в нее транспортных расходов по доставке товара независимо от места положения покупателя. Причем транспортные расходы рассчитываются как единая величина. Эта цена особенно выгодна тем покупателям, которые удалены от места производства продукции и фактические транспортные расходы которых в данном случае значительно превышают средние.
Стратегия зональных цен заключается в установлении разных цен для различных зон в зависимости от величины транспортных расходов. Покупатели, находящиеся в одной зоне, платят одну и ту же цену. По мере удаленности зоны цена возрастает.
Часто применяется и политика базисных пунктов, когда фирма устанавливает в нескольких географических пунктах базисные цены на одну и ту же продукцию исходя из местных издержек производства и цен данного рынка. Фактические цены продажи рассчитываются путем прибавления к цене ближайшего от заказчика базисного пункта транспортных расходов по доставке товара.
Стратегия, отличная от установления цен по географическому принципу, характеризуется определением цен в рамках товарной номенклатуры.
Стратегия цен «выше номинала» может быть использована, когда покупательский спрос сильно дифференцирован. Покупателям с высоким уровнем доходов фирма предлагает товары категории «люкс» по очень высоким ценам. Для прочих покупателей выпускаются обычные товары, реализуемые по пониженным ценам. Эта стратегия требует от фирмы, ее использующей, строгого контроля за конкурентами, которые могут быть привлечены сверхприбылью к производству товаров «люкс».
Стратегия цен на дополняющие товары является рекламным мероприятием для завлечения покупателей. В этом случае фирма предлагает в дополнение к основному товару, выставленному по достаточно низкой цене, целый набор дополняющих изделий. Здесь возникает сложная проблема ценообразования на дополняющие товары. Перед фирмой стоит вопрос, что включить в цену изделия в качестве исходного стандарта. В США фирмы, как правило, рекламируют предельно упрощенную дешевую модель изделия с целью заинтересовать покупателя низкой ценой. Разобравшись, какие преимущества и удобства приобретаются с дополняющими устройствами, потребитель останавливается на покупке хорошо «оснащенного» дополняющими изделиями товара.
3. Олигополистическая конкуренция возникает между немногими крупными фирмами, товары которых могут быть как однородными и взаимозаменяемыми (сталь, одежда, пластмассы), так и отличными друг от друга (электротехника, автомобили). На такой рынок новой фирме проникнуть крайне сложно. В этих условиях каждый участник рынка чутко реагирует на маркетинговую деятельность конкурентов и очень осторожно относится к изменению цены на свою продукцию.
В условиях олигополистической конкуренции применяется множество стратегий ценообразования. Одна из наиболее распространенных — «следование за лидером». Все фирмы в ценообразовании следуют за лидером отрасли, не превышая его уровень цен. На взаимозаменяемую продукцию (бензин) устанавливается единая цена. Если продукция близка по параметрам друг к другу (автомобили), то в ценах возможны некоторые различия. Абсолютное лидерство наступает лишь тогда, когда фирма имеет бесспорные преимущества перед конкурентами либо в объеме выпуска продукции, либо в уровне затрат.
Другая стратегия, используемая в олигополии, — координация действий при установлении цен. Она существует в двух формах: при принятии соглашения о ценах и при проведении параллельной ценовой политики. В некоторых странах заключение соглашения о ценах запрещено законом. Параллельная ценовая политика — это закамуфлированная координация цен. Она заключается, например, в том, что все компании калькулируют издержки производства по унифицированным статьям, затем, прибавляя определенную норму прибыли, получают цену. Параллельность проявляется, когда под действием рыночных факторов цены всех компаний отрасли меняются в одной и той же пропорции и в одном направлении.
4. На рынке чистой монополии господствует только один продавец. Это может быть частная фирма или государственная организация (например, министерство связи). Используя государственную монополию, можно резко увеличить потребление товара теми группами населения, которые не смогут его купить за полную стоимость (установив цену ниже себестоимости), и наоборот, цена устанавливается высокой с целью ограничения потребления продукта.


Централизованные и децентрализованные организации


Централизованные и децентрализованные организации При департаментализации особую значимость приобретает вопрос о том, как разделить деятельность сотрудников организации по горизонтали, т.е. определить, какие задачи должна решать каждая структурная единица. Другой важный момент построения организации — это деление работ по вертикали. Решать, в каком элементе иерархической структуре должны приниматься важнейшие решения, — дело высшего руководства организации. Это определяет форму организационной структуры и эффективность управленческих решений.
Здесь мы рассмотрим вопрос об относительном объеме полномочий, делегируемых различным элементам организационной структуры. Руководитель должен делегировать подчиненному по крайней мере такой объем полномочий, который необходим последнему для решения поставленных перед ним задач. Кроме того, если норма управляемости становится слишком высокой, то линейные полномочия должны быть делегированы и введены дополнительные уровни управления, чтобы не допустить потери координации. Эти требования носят, однако, самый общий характер и существуют множество различных способов делегирования полномочий в зависимости от того, какое конкретное решение необходимо принять.
Организации, в которых руководство высшего звена оставляет за собой большую часть полномочий, необходимых для принятия важнейших решений, называются централизованными. Децентрализованные организации — это такие организации, в которых полномочия распределены по нижестоящим уровням управления.
На практике, однако, не встречается полностью централизованных или децентрализованных организаций. Такие организации представляют собой лишь предельные точки некоего континуума, между которыми лежат все встречающиеся на практике типы структур. Степень централизации варьируется от организации, где большая часть (если не все) полномочия, необходимые для принятия важнейших решений, остаются на высшем уровне управления, до организации, где большая часть таких прав и полномочий делегируется нижестоящим уровням управления. Разница состоит лишь в относительной степени делегирования прав и полномочий. Поэтому любая организация может быть названа централизованной или децентрализованной лишь в сравнении с другими организациями или в сравнении с собой же, но в другие периоды. Например, «Ай Би Эм» имеет относительно централизованную структуру управления, но расширяет использование децентрализованных структур. В Европе, к примеру, «Ай Би Эм» подразделила все свои филиалы и отделения на пять экономических центров. Руководителям этих центров даны очень большие права для принятия решений, определяющих важнейшие экономические показатели отделений.
Понять, насколько данная организация централизована в сравнении с другими, можно, определив следующие ее характеристики.
1. Количество решений, принимаемых на нижестоящих уровнях управления. Чем больше количество тех решений, которые принимают нижестоящие руководители, тем большая степень децентрализации.
2. Важность решений, принимаемых на нижестоящих уровнях. В децентрализованной организации руководители среднего и нижнего звена могут принимать решения, связанные с затратами значительных материальных и трудовых ресурсов или направлением деятельности организации в новое русло.
3. Последствия решений, принимаемых на нижестоящих уровнях. Если руководители нижнего и среднего звена могут принимать решения, затрагивающие более чем одну функцию, то организация, по-видимому, децентрализованная.
4. Качество и частота контроля за работой подчиненных. В сильно децентрализованной организации руководство высшего звена редко проверяет повседневные решения подчиненных ему руководителей, исходя из предположения, что все эти решения правильные. Оценка действий руководства делается на основании суммарных достигнутых результатов, в особенности, уровня прибыльности и роста организации.
В рамках одной и той же организации одни отделы могут быть более централизованы, чем другие. Управляющие магазинами и привилегированные арендаторы (например, в сети ресторанов «Макдоналдс») имеют почти неограниченную власть принимать решения в отношении своего персонала и некоторые полномочия в выборе закупаемых продуктов. В этой фирме решения о размещении новых ресторанов и магазинов принимаются в средних звеньях управления, в то время как решения, определяющие уровень цен и выпуск новых товаров, принимаются только высшим руководством. В обычных больницах административные функции имеют высокую степень централизации, но собственно медщинский персонал и, в первую очередь, лечащие врачи почти полностью автономны и независимы в своих действиях. В крупных университетах на разных факультетах степень, до которой преподаватель имеет право менять содержание читаемого им курса, может очень сильно варьировать.
Говоря о той или иной степени централизации или децентрализации организации, мы фактически определяем степень делегирования высшим руководством нижестоящим уровням управления своих полномочий по принятию важнейших решений в таких областях, как определение цен, разработка видов продукции, маркетинг и вопросы, связанные с эффективностью работы отдельных структурных единиц. Даже в большой степени децентрализованных организациях высшее руководство оставляет за собой право выносить решения по таким вопросам, как определение общих целей и задач организации, стратегическое планирование, формулирование политики фирмы в различных областях, коллективные договоры с профсоюзами, разработка финансовой и бухгалтерской системы фирмы. Ясно, что было бы глупо позволить руководству какого-либо одного отдела диктовать, как должна работать организация в целом. По аналогичным причинам руководство высшего звена должно оставлять за собой контроль за расходами и стратегическими планами своих важнейших отделений. Фирма «Дженерал Дайнемикс» понесла огромные убытки из-за того, что при проведении серьезной децентрализации структуры управления в ведении высшего руководства не были оставлены полномочия по решению этих вопросов. Одна из причин того, что «Бэнк оф Америка» потерял в 1986 г. почти 1 млрд. долл., заключалась в чрезмерной децентрализации решений по вопросам о предоставлении займов. Согласно результатам одного из исследований, «в настоящее время «Бэнк оф Америка» резко сокращает число своих отделений, которые могут предоставлять кредиты, и возлагает на высокопоставленных служащих центрального отделения банка обязанность регулярно проверять их работу».
Хотя в организациях с сильно децентрализованными структурами полномочия принимать решения должны делегироваться руководству среднего звена, важнейшие решения в крупных фирмах все равно принимаются только служащими, занимающими достаточно высокие должности на уровне не ниже; руководства отдела. Такая форма децентрализации в крупных фирмах называется федеральной децентрализацией.
Вскоре после первой мировой войны такие фирмы, как «Дженерал Моторс», «Дюпон», «Сирс» и «Стандарт Ойл оф Нью-Джерси» осознали серьезность потенциальных проблем, заключавшихся в функциональных централизованных структурах. Хотя функциональная организация и централизованный порядок принятия решений в прошлом доказал свою эффективность, по мере расширения номенклатуры продукции этих фирм, проявления активности в новых областях бизнеса, выхода на международные рынки руководство высшего звена осознало, что количество и сложность решений, которые они должны принимать, превышает их возможности. Руководство этих фирм пришло к выводу, что для обеспечения дальнейшего роста и развития организации, а также эффективности решений, принимаемых по ключевым вопросам, необходимо делегировать некоторые важные полномочия нижестоящим иерархическим уровням управления. Таким образом, эти организации стали переходить к децентрализованной структуре управления, при которой за высшим руководством остается решение вопросов долгосрочного планирования, распределения ресурсов фирмы по отделениям, координации и оценки деятельности отделений. Руководителям отделений было делегировано право принимать решения в областях, непосредственно связанных с продукцией и услугами, за которые они отвечают.
Эта тенденция реорганизовывать структуру фирмы в соответствии с ее стратегическими планами есть еще одна форма проявления уже приводившегося нами тезиса о том, что стратегия определяет структуру — тезиса, который получил очень много экспериментальных подтверждений. Примерно в то же время и по аналогичным причинам к децентрализованной дивизиональной структуре стали переходить и некоторые другие крупные фирмы: «Юнион Карбайд», «Вестингауз Электрик», «Ю.Эс. Раббер», «Гудрич» и сеть бакалейно-гастрономических магазинов «Эй энд Пи». Однако, как этого и следовало ожидать, подобная тенденция не стала всеобщей, и не все фирмы, внедрявшие децентрализованную структуру, продолжали двигаться в этом направлении. Например, в 1976 г. один из пионеров децентрализации — фирма «Сирс» — начала реорганизовывать свою структуру в сторону большей централизации, что было вызвано снижением уровня прибыльности. В то время как в существовавшей структуре большинство важных решений в отношении материально-технического снабжения и рекламы продукции в фирме «Сирс» ранее принималось на уровне директора магазина или управляющего районной сетью магазинов, в новой структуре они должны приниматься в штаб-квартире фирмы. Руководство фирмы «Сирс» пришло к заключению, что такой подход позволит лучше контролировать расходы, а на переговорах с поставщиками даст возможность лучше использовать все преимущества, связанные с масштабами фирмы и покупательной способностью «Сирс».


Чрезмерная стоимость


Чрезмерная стоимость. Выгоды от использования модели, как и других методов управления, должны с избытком оправдывать ее стоимость. При установлении издержек на моделирование руководству следует учитывать затраты времени руководителей высшего и низшего уровней на построение модели и сбор информации, расходы и время на обучение, стоимость обработки и хранения информации.
Число всевозможных конкретных моделей науки управления почти так же велико, как и число проблем, для разрешения которых они были разработаны. Рассмотрим общее описание некоторых наиболее распространенных типов. Наша цель состоит не в объяснении способов их использования, а в том, чтобы помочь лучше понять возможности таких моделей и разновидности решений, для которых они предназначены. Это понимание даст возможность эффективнее обмениваться информацией по вашей проблеме со штабными специалистами и расширить представление о том, как предлагаемые ими модели и методы могут помочь в принятии решений.
Теория игр. Одна из важнейших переменных, от которой зависит успех организации, -конкурентоспособность. Очевидно, способность прогнозировать действия конкурентов означает преимущество для любой организации. Теория игр — метод моделирования оценки воздействия принятого решения на конкурентов.
Теорию игр изначально разработали военные с тем, чтобы в стратегии можно было учесть возможные действия противника. В бизнесе игровые модели используются для прогнозирования реакции конкурентов на изменение цен, новые кампании поддержки сбыта, предложения дополнительного обслуживания, модификацию и освоение новой продукции. Если, например, с помощью теории игр руководство устанавливает, что при повышении цен конкуренты не сделают того же, оно, вероятно, должно отказаться от этого шага, чтобы не попасть в невыгодное положение в конкурентной борьбе.
Теория игр используется не так часто, как другие описываемые здесь модели. К сожалению, ситуации реального мира зачастую очень сложны и настолько быстро изменяются, что невозможно точно спрогнозировать, как отреагируют конкуренты на изменение тактики фирмы. Тем не менее, теория игр полезна, когда требуется определить наиболее важные и требующие учета факторы в ситуации принятия решений в условиях конкурентной борьбы. Эта информация важна, поскольку позволяет руководству учесть дополнительные переменные или факторы, могущие повлиять на ситуацию, и тем самым повышает эффективность решения.
Модели теории очередей. Модель теории очередей, или модель оптимального обслуживания, используется для определения оптимального числа каналов обслуживания по отношению к потребности в них. К ситуациям, в которых модели теории очередей могут быть полезны, можно отнести звонки людей в авиакомпанию для резервирования места и получения информации, ожидание в очереди на машинную обработку данных, мастеров по ремонту оборудования, очередь грузовиков под разгрузку на склад, ожидание клиентами банка свободного кассира. Если, например, клиентам приходится слишком долго ждать кассира, они могут решить перенести свои счета в другой банк. Подобным образом, если грузовикам приходится слишком долго дожидаться разгрузки, они не смогут выполнить столько ездок за день, сколько положено. Таким образом, принципиальная проблема заключается в уравновешивании расходов на дополнительные каналы обслуживания (больше людей для разгрузки грузовиков, больше кассиров, больше клерков, занимающихся предварительной продажей билетов на самолеты) и потерь от обслуживания на уровне ниже оптимального (грузовики не могут сделать лишнюю остановку из-за задержек под разгрузкой, потребители уходят в другой банк или обращаются к другой авиакомпании из-за медленного обслуживания).
Модели очередей снабжают руководство инструментом определения оптимального числа каналов обслуживания, которые необходимо иметь, чтобы сбалансировать издержки в случаях чрезмерно малого и чрезмерно большого их количества.
Модели управления запасалш. Модель управления запасами используется для определения размещения заказов на ресурсы и их количества, а также массы готовой продукции на складах. Любая организация должна поддерживать некоторый уровень запасов во избежание задержек на производстве и в сбыте. Для сухой очистки требуется поставка необходимого количества химикатов, для больницы — лекарств, для производственной фирмы — сырья и деталей, а также определенный задел незавершенного производства и запас готовой продукции.
Поддержание высокого уровня запасов избавляет от потерь, обусловливаемых их нехваткой. Закупка в больших количествах материалов, необходимых для создания запасов, во многих случаях сводит к минимуму издержек на размещение заказов, поскольку фирма может получить соответствующие скидки и снизить объем «бумажной работы». Однако эти потенциальные выгоды перекрываются дополнительными издержками типа расходов на хранение, перегрузку, выплату процентов, затрат на страхование, потерь от порчи, воровства и дополнительных налогов.
Кроме того, руководство должно учитывать возможность связывания оборотных средств избыточными запасами, что препятствует вложению капитала в приносящие прибыль акции, облигации или банковские депозиты. Несколько специфических моделей разработано в помощь руководству, желающему установить, когда и сколько материалов заказывать в запас, какой уровень незавершенного производства и запаса готовой продукции поддерживать.
Модель линейного программирования применяют для определения оптимального способа распределения дефицитных ресурсов при наличии конкурирующих потребностей. Согласно опросу журналом «Форчун» вице-президентов по производству из 500 фирм, модели линейного программирования и управления запасами пользуются в промышленности наибольшей популярностью.
Линейное программирование обычно используют специалисты штабных подразделений для разрешения производственных трудностей.
Экономический анализ. Почти все руководители воспринимают имитацию как метод моделирования. Однако многие из них никогда не думали, что экономический анализ — очевидно наиболее распространенный метод - это тоже одна из форм построения модели. Экономический анализ вбирает в себя почти все методы оценки издержек и экономических выгод, а также относительной рентабельности деятельности предприятия. Типичная «экономическая» модель основана на анализе безубыточности, методе принятия решений с определением точки, в которой общий доход уравнивается с суммарными издержками, т.е. точки, в которой предприятие становится прибыльным.1


Дальнейшая разработка проблемы требует ее уточнения.


Исследование любого товарного рынка всегда исходит из существующей на нем определенной проблемы и направлено на ее решение. Необходимо подчеркнуть особую
важность определения проблемы и целей исследования. От этого во многом зависит достижение намеченного результата и рациональность проведенных затрат. Не зря говорят, что правильно сформулированная проблема — наполовину решенная проблема. Именно установление проблемы исследования и его целей есть первый шаг в осуществлении предстоящей работы.
Проблематика рыночного исследования обусловливается характером и содержанием тех рыночных проблем, которые возникли на рынке исследуемого товара и требуют решения. Конкретное проявление рыночные проблемы находят в чрезмерном превышении предложения отдельных товаров над спросом на них либо, наоборот, в отставании предложения от спроса и нехватки товара на рынке.
Все рыночные проблемы в зависимости от масштабов можно классифицировать как общие и частные.
Общие рыночные проблемы характеризуются нарушением соответствия между спросом и предложением в пределах всего рынка, т.е. соответствия между общими размерами товарного предложения и совокупным платежеспособным спросом населения. В настоящее время наличие общих рыночных проблем является результатом нарушений народнохозяйственных пропорций, инфляционных процессов, миграции населения и др.
Частные проблемы характеризуются возникновением несоответствия между спросом и предложением на рынке отдельных товаров. В основе этих проблем — несоответствие ассортимента и качества предлагаемых товаров структуре платежеспособного спроса населения, нарушение соответствия между спросом и предложением на различных территориях (республиках, экономических районах, городах).
Дальнейшая разработка проблемы требует ее уточнения. Общие проблемы — мы только констатируем ситуацию — решению не поддаются. Недостаточно констатировать возникновение на том или ином товарном рынке проблемной ситуации — появление диспропорций между спросом и предложением. Следует поставить конкретные вопросы относительно причин возникшей ситуации с учетом факторов, определяющих развитие спроса и предложения данного товара. От фиксации проблемы в ее общем виде исследователь переходит к серии специфических, частных проблем и анализирует возможности их решения.
В проблематике рыночных исследований можно выделить два самостоятельных направления. Прежде всего это проблемы, вытекающие из задачи определения оптимальных народнохозяйственных пропорций в условиях имеющихся ресурсов товарного производства. Специфическими чертами такого рода «стратегических» разработок являются охват различных элементов рынка, межотраслевой характер исследований, обязательные прогнозные расчеты перспектив развития рынка на среднесрочный период, отражение региональных особенностей товарных рынков.
Примерами проблемных вопросов, изучаемых в рамках таких исследований, могут быть следующие. В области изделий легкой промышленности— мода и спрос: изучение и оценка взаимозависимости; комплектность гардероба; влияние национальных, социально-демографических, климатических и прочих факторов на потребность в изделиях легкой промышленности. В области товаров культурно-бытового и хозяйственного назначения — унификация,   конкурентоспособность   изделий   и   специализация   производства:
закономерности развития потребительских требований к бытовым приборам, аппаратам и новым товарам; комплексность потребностей, изучение факторов, определяющих спрос на товары в сфере домашнего хозяйства, культурного досуга.
Другой разновидностью являются проблемы, связанные с необходимостью улучшения процесса реализации товаров, с предупреждением нежелательных диспропорций спроса и предложения. Разработки «тактического» характера могут осуществляться по следующим направлениям:
- исследования, целью которых является определение конкретных мероприятий (расширение или сокращение выпуска, обновление ассортимента, улучшение качества продукции, изменение цен);
- исследования, результаты которых показывают направления развития рынка при возможных изменениях рыночных условий (например, при введении на рынок товаров-аналогов, изменении моды);
- исследования острых рыночных ситуаций, требующих специальных оперативных мер (при возникновении дефицита, затоваривания и т.д.).
Охарактеризовав проблемы исследования товарных рынков, необходимо определить основные требования к проведению исследования, ответить на вопрос: как изучаем^
Выявить основные проблемы товарного рынка можно на основе анализа информации, знакомясь с которой исследователь изучает проблемную ситуацию, а затем, продвигаясь дальше, нащупывает частные проблемы, находит все больше информации (проводит специальные обследования) для решения частных проблем.
Системный отбор, обработка и анализ информации о состоянии рынка — одно из основных требований к рыночному исследованию. Под системой информации понимается совокупность источников информации, характеризующая состояние товарных рынков за определенный период и позволяющая дать прогноз их развития. К основным источникам информации о рынке относятся: государственная статистика; отраслевой учет и статистика; информация, поступающая от оптовой и розничной торговли; данные специальных обследований.
Требованием к исследованию товарного рынка является комплексный подход, необходимость всестороннего изучения элементов рынка в их тесной взаимосвязи и взаимозависимости. Такой подход означает охват всех составляющих элементов рынка (анализ выпуска, поставки товаров, изучение структуры потребительского спроса, потребительских предпочтений, каналов и форм сбыта, активных форм воздействия на рынок и др.). Выпадение из поля исследовательской деятельности одного из этих элементов ведет к неполной характеристике проблемы.
Изучая проблемы товарного рынка, исследователь сталкивается с различной реакцией потребителей на предлагаемый товар. Тем не менее один и тот же товар может быть предназначен для различных групп потребителей, имеющих разные вкусы. Учет различий и ориентация продукции на конкретные группы потребителей — характерная черта концепции маркетинга. Поэтому важным требованием к исследованию товарных рынков является дифференцированный подход, позволяющий учесть особенности отдельных региональных рынков и конкретных групп потребителей.
Рассмотрев проблематику исследования товарных рынков и ответив на вопрос «Что изучаем?», а также ознакомившись с основными требованиями крыночным исследованиям и ответив на вопрос «Как изучаем?», мы должны определить «Какие задачи решаем?», что является результатом исследования.


Деньги как развитая форма товарно-денежных отношений


Деньги как развитая форма товарно-денежных отношений Самый простой ответ на вопрос, что такое деньги, будет таким: «Деньги — это все то, что обычно принимается в обмен на товары и услуги».
Действительно, в прошлом многие вещи использовались как деньги: ракушки, слоновая кость, соль, меха и др. Но такой ответ носит ненаучный характер. Существуют разные научные концепции возникновения и сущности денег: рационалистическая и эволюционная.
Рационалистическая концепция объясняет происхождение денег как результат соглашения между людьми, убедившимися в том, что для передвижения стоимостей в обмене товаров необходимы специальные инструменты. Эта идея о деньгах как договоре безраздельно господствовала вплоть до конца XVIII в. Субъективно-психологический подход к происхождению денег присутствует во взглядах и многих современных буржуазных экономистов.
Так, П.Самуэльсон определяет деньги как искусственную социальную условность. Американский экономист Дж.К. Гэлбрейт считает, что «закрепление денежных функций за благородными металлами и другими предметами — продукт соглашения между людьми».
Таким образом, деньги — это продукт соглашения между людьми.
Согласно эволюционной концепции происхождения денег, история их возникновения есть результат развития общественного разделения труда, обмена, товарного производства. Исследовав исторический процесс развития обмена и форм стоимости, можно понять, как из общей массы товаров выделился один товар, который выполняет роль денег и специальным назначением которого является роль всеобщего эквивалента.
Итак, деньги — это товар особого рода, выполняющий роль всеобщего эквивалента.
Всеобщий эквивалент означает способность товара обмениваться на любой другой товар.
Для современной экономической науки характерен подход, согласно которому сущность денег вьпюдится из их функций. Этот тезис сформулировал английский экономист Дж.Хикс:
Деньги — это то, что используется как деньги.
Сущность денег раскрывается в их функциях, особую роль среди которых играют две основные, фундаментальные: а) меры стоимости; б) средства обращения.
Теоретически для становления и бытия деньгам необходимо и достаточно этих двух фунщий, ибо они характеризуют деньги как выражение (соизмерение) стоимости и как средство реализации, сбыта товаров. Остальные функции денег, средства накопления и средства платежа — являются производными от основных и появились лишь как результат исторического развития товарного обращения вообще и денег в частности.
Функция денег как меры стоимости — это выражение способности денег соизмерять стоимость всех товаров. Изначально для выполнения этой функции деньги как особый товар должны были обладать собственной стоимостью. Исторически эту функцию стало выполнять золото.
Согласно марксистской теории, стоимость товара, выраженная в денежной форме, называется его ценой. Деньги, будучи продуктом общественного труда, обладают стоимостью, но цены они не имеют, ибо в противном случае они должны быть отнесены сами к себе.
Поскольку цена — это форма выражения стоимости, в цене как таковой заложена постоянная возможность отклонения от стоимости. Для выражения стоимости товаров нет необходимости иметь наличные деньги. Выражение стоимости в деньгах носит идеальный характер, т.е. функцию меры стоимости могут выполнять мысленно представляемые идеальные деньги.
Выражение стоимости товаров деньгами предполагает не только качественную, но и количественную определенность: данное количество товара равно определенному количеству золота. С необходимостью количественного соизмерения стоимости товаров и золота связана техническая функция денег — масштаб цен.
Масштаб цен — это фиксированное законом весовое количество золота, принятое в качестве денежной единицы.
Нельзя смешивать функцию денег как меры стоимости с их технической функцией — масштабом цен. Деньги являются мерой стоимости как воплощение общественного труда. Масштаб цен — фиксированный вес металла. Деньги в качестве меры стоимости выполняют общественную функцию — выражают стоимость товаров; масштаб цен — функция техническая, служащая для измерения различных количеств золота.
Как мера стоимости деньги функционируют стихийно, масштаб цен устанавливается государством.
Деньги как средство обращения Процесс товарного обращения порождает потребность в деньгах как средстве обращения. Деньги выступают посредниками обмена товаров (Т-Д-Т). Внутренне единый акт товарного обмена (Т- 7) распадается на два внешне самостоятельных акта: продажа (Т-Д) и купля (Д-Т). Эти акты разделены во времени и пространстве, что обусловливает возможность самостоятельного движения денег и товаров. Здесь заложена возможность разрыва купли и продажи. Собственник товара, продав его, не обязан сразу же покупать другой товар. Получив за свой товар деньги, он может их придержать у себя, купить товар в другом месте. Но если товаропроизводитель не купит товар, значит, собственник последнего не сможет его реализовать.
Обособление двух дополняющих друг друга актов товарного обращения заключает в себе формальную возможность экономических кризисов, ведет к дальнейшему углублению противоречий товарного производства.
Деньги, выполняя функции средства обращения, выражают цену товаров. При этом деньги переносят товар из рук продавца в руки покупателя, а сами в то же время удаляются из рук покупателя в руки продавца с тем, чтобы повторить этот процесс с другими товарами.
С функцией денег как средства обращения связаны формы денег. К ним относятся: монеты, бумажные деньги. Монета — это слиток металла особой формы, веса, пробы. Достоинства монет удостоверены государством.
Функцию средства обращения в отличие от функции меры стоимости могут выполнять и неполноценные деньги, символы, знаки полноценных денег. Это обусловлено природой денег как средства обращения. Деньги выполняют функцию средства обращения мимолетно, находятся в непрерывном движении. Металлические деньги стираются, теряют в весе. Реальное содержание монеты отличается от номинального. Деньги становятся неполноценными. К неполноценным деньгам относятся также серебряные, медные деньги.
В качестве форм денег, связанных с функцией денег как средства обращения, выступают бумажные деньги. Это представители золота, замещающие его в обращении. Бумажные деньги не имеют собственной стоимости, они являются знаками золота, вводятся государственной властью, которая придает им принудительный курс.
Этот принудительный курс имеет силу только в пределах данного государства. Реальная стоимость, которую представляют бумажные деньги, не зависит от государственной власти, определяется объективными законами денежного обращения.
Бумажные деньги будут обращаться по стоимости замещаемых ими золотых денег в том случае, если их выпущено столько, сколько необходимо золотых денег в соответствии с законом бумажных денег.
Если выпуск бумажных денег превышает потребности товарооборота в золотых деньгах, они обесцениваются. Имеет место рост цен. Все это характеризует инфляцию.
Следовательно, большое значение имеет проблема необходимого для обращения количества денег. Основоположниками так называемой количественной теории денег были Ш.Монтескье, Дж.Локк и Д.Юм. Однако эволюция денег обусловила и новый подход к определению количества денег в обращении, что нашло свое отражение в неоклассической теории количества денег (А.Маршалл, И.Фишер).
Согласно этой теории, определяется зависимость уровня цен от денежной массы, которая выражается формулой:
MV=PQ,                                                  (13.1.1)
где М — масса денежных единиц; V — скорость обращения денег; Р — цена товара; Q — количество товаров, представленных на рынке. Преобразуя указанную формулу, можно определить:

- формулу товарных цен:

- количество денег, необходимых для обращения Q товаров:

Уравнение, позволяющее выразить количественную зависимость между суммой товарных цен и массой обращающихся денег, позволяет нам предварительно объяснить явление инфляции как обесценивание денег, сопровождаемое повышением цен товаров.
С проблемой количества денег, необходимых для обращения, неоклассическая школа неразрывно связывает вопрос о стоимости и сущности денег. Так как в настоящее время деньги «декретируются» правительством, центральным (в США — федеральным, резервным) банком, деньги определяются как декретное средство.
Центральный банк должен ограничивать предложение денег и тем самым делать их доступность ограниченной. Если деньги перестанут обладать свойством относительной редкости, то ценность их будет падать, пока не исчезнет совсем.
Выполнение деньгами функций меры стоимости и средства обращения свидетельствует о том, что они являются абсолютным выражением богатства и наиболее ликвидны (быстро реализуемы). Отсюда — наиболее распространенное в мировой экономической литературе определение денег как абсолютно ликвидного средства обмена. Это свойство денег постепенно, по мере развития товарно-денежных отношений, порождает функцию средства накопления.
Раздвоение кругооборота (Т- Д-Т) на два самостоятельных акта (Т- Д) и (Д - Т) создает возможность и необходимость накопления денег. В процессе обращения товаров у товаропроизводителя возникает стремление удержать у себя результат продажи товаров (Т-Д), эту золотую куколку, способную перевоплощаться в любое время в любого представителя товарного мира.
Если за продажей товара не следует покупка, то у продавца остается на руках стоимость проданного товара в виде денег. Деньги сохраняются в виде сокровища, а продавец товаров становится собирателем сокровищ.
Чтобы удержать у себя золото как деньги или как элемент сокровищ, надо изъять его из обращения. Собиратель сокровищ стремится побольше продавать и поменьше покупать. Сокровища имеют следующие формы:
а) накопление золотых слитков, монет;
б) накопление эстетической формы — предметов роскоши из золота или серебра.
Функцию сокровища выполняет золото. Золото является важнейшим компонентом официальных резервов стран с развитой рыночной экономикой (в начале 1988 г.— 36 тыс.т). В частной тезаврации находится 25 тыс.т золота. Объем обоих видов сокровищ составляет свыше 60 тыс.т, что равно добыче золота в указанных странах более чем за полвека. Кроме того, в форме эстетического сокровища (ювелирных изделий) хранится примерно 13 тыс.т золота.
Образование сокровищ не только тесно связано с функцией денег как средства обращения, но и играет определенную роль в стихийном регулировании денежного обращения.
Сокровища — это резервуары, в которые при необходимости уходят избыточные деньги и из которых деньги приходят в сферу обращения при возникновении потребности увеличить находящуюся в обращении массу денег.
Изъятие из обращения денег в качестве сокровищ — это форма накопления, присущая ранним ступеням развития товарного хозяйства.


Деньги как средство платежа


Деньги как средство платежа С развитием товарного производства и обращения возникают отношения, при которых происходит продажа товаров в кредит.
К причинам, обусловливающим продажу товаров в кредит, можно отнести следующие:
- различные сроки изготовления товаров;
- различные сроки реализации товаров. При продаже товаров в кредит деньги функционируют в сфере товарного обращения:
- идеально как мера стоимости, при определении цены товаров;
- как идеальное покупательное средство, которое осуществляет переход товара из рук продавца в руки покупателей;
- по наступлении срока платежа за ранее проданный товар в кредит деньги как средство платежа действительно вступают в обращение и переходят из рук покупателя в руки продавца.
Деньги как средство платежа функционируют вне сферы товарного обращения:
- при выплате зарплаты;
- при выплате всякого рода финансовых обязательств (займы, налоги и т.д.).
Из функции денег как средства платежа возникают кредитные деньги — векселя, банкноты, чеки.
Простейшим видом кредитных денег является вексель: письменное долговое обязательство строго установленной формы, дающее его владельцу (векселедержателю) бесспорное право по истечении срока требовать с должника обозначенную денежную сумму. Вексель обращается в товарном обороте и выполняет роль денег.
Банкнота (банковский билет) появляется в результате замены частных векселей векселями банков. Банкнота есть не что иное, как вексель на банкира, по которому предъявитель во всякое время может получить деньги и которым банкир замещает частные векселя.
Бумажные деньги имеют следующие отличия от банкнот:
1) бумажные деньги выполняют функцию средства обращения, а банкноты — функцию средства платежа;
2) бумажные деньги выпускаются государством и для нужд государства, а банкнота — центральным эмиссионным банком для нужд товарного обращения;
3) бумажные деньги не обеспечены золотом, банкнота имеет обеспечение золотом и другими ценностями, частными векселями, инвалютой, находящимися в распоряжении банка.
Орудие кредитных операций — чек: документ, содержащий безусловный приказ владельца текущего счета банку о выплате указанной в нем суммы определенному лицу или предъявителю.
Итак, в качестве средства платежа выступают реальные деньги: золото, монеты, бумажные деньги, кредитные деньги (вексель, банкнота, чек).
Выполнение рассмотренных функций денег в экономическом обороте между различными странами делает их мировыми деньгами.
На мировом рынке роль денег выполняет золото, которое принимается по весу. Особенности мировых денег заключаются в том, что они:
- функционируют в качестве всеобщей меры стоимости;
- выступают как всеобщее средство платежа;
- являются всеобщим покупательным средством;
- служат всеобщим воплощением общественного богатства, например, перемещения золота из одной страны в другую.
Изучение происхождения, сущности и функций денег — важнейшее условие понимания внутреннего механизма современной эволюции денег и их эффективного использования в рыночной экономике.
Эволюция денег Эволюция денег представляет собой двуединый процесс:
1) видоизменяющаяся связь всей денежной системы с ее металлическим основанием;
2) разная степень и разные направления развития отдельных функций денег и их конкретных форм.
В современных условиях деньгами служат не золотые, а кредитно-бумажные деньги. Почему это произошло? Золото и в современных условиях не утратило способность выполнять функцию меры стоимости, ибо оно не потеряло своих свойств.
Но произошли важные перемены во внешних условиях функционирования золота в качестве денег, т.е. в товарных отношениях, что привело к утрате ими возможности служить мерой стоимостей.
Дело в том, что в процессе обмена возникает потребность не в том, чтобы определить, какая именно стоимость заключена в том или ином товаре, а в том, чтобы выяснить, во сколько раз она больше или меньше стоимости, заключенной в товаре, предложенном для обмена.
Следовательно, функцией денег в конечном счете является соизмерение стоимостей, а функция меры стоимостей — это лишь частное проявление на определенной стадию развития производственных отношений.
Для соизмерения стоимостей не требуется обязательно использовать стоимость какого-либо реально существующего в вещной форме товара.
Товарное обращение осуществляется с целью обмена в конечном счете товара на товар, а не на деньги. Поэтому с точки зрения товарного обращения важно, чтобы обращающиеся деньги представляли стоимость, эквивалентную стоимости обмениваемых товаров, но не обязательно сами обладали таковой.
Именно это и позволило заменить золото простыми бумажными знаками, которые тоже представляют собой особый товар.
Эволюция функции денег как меры стоимости связана с процессом демонетизации золота. В условиях высокоразвитой товарной формы процесс ценообразования полностью отрывается от своей золотой основы и осуществляется на основе кредитных денег, не имеющих собственной внутренней стоимости. Этот процесс связан с отменой обратимости бумажных денег в золото. Доказательства этому следующие:
1). Цена золота формируется под влиянием спекулятивного спроса и превышает цену производства. Это, по образному выражению П.Самуэльсона, настоящий «рынок сумасшедших».
2). Движение цены золота обособлено от изменения покупательной способности конвертируемых валют, в том числе доллара.
3). Изменение товарных цен не соответствует изменению цены золота. Во время первой мировой войны золото окончательно исчезло из обращения. Это было первым этапом демонетизации золота.
Во многих странах был прекращен размен банкнот на золото. Это совершалось путем введения сначала золотослиткового стандарта (денежная система, при которой банкноты размениваются не на золотые монеты, а на золото в слитках). Затем был введен золотодевизный стандарт (денежная система, при которой банкноты размениваются на девизы (иностранную валюту)). Затем в 30-х годах свободный размен банкнот на золото был прекращен во всех капиталистических странах и больше не возобновлялся.
Вторым этапом демонетизации золота послужило дальнейшее ослабление не только фактической, но и формальной связи бумажных денег с официальным золотым запасом, которое продолжалось до самых последних лет. Курс бумажных денег теперь не зависит в решающей степени от золотого запаса государства.
Процесс эволюции денег получает новый импульс с дальнейшим ужесточением требований рационализации процесса обращения. В основе этого процесса лежат следующие положения:
1). С точки зрения оптимизации обращения издержки на средства обращения, предназначенные лишь для смены форм стоимости, излишни, нерациональны.
2). Наличные деньги (как полноценные, так и неполноценные) становятся функционально ненужными, поскольку необходим процесс смены форм стоимости, а не ее фиксированный образ.
В конечном счете все это обусловливает процесс устранения денег в их традиционной непосредственной форме, их место занимают кредитные деньги, вырастающие из функции средства платежа.
Взаимные погашения долговых обязательств при достаточной концентрации платежей и развитой технике расчетов позволяют значительно уменьшить денежную массу в обороте. Эта экономия имеет двойственный эффект: повышает эффективность средств обращения; повышает скорость обращения денег.
Вытеснение золота кредитными деньгами получило свое дальнейшее развитие в сравнительно новом явлении — процессе устранения из оборота значительной части носителей денежных функций (банкнот, чеков и т.п.) путем использования кредитные карточек.
Кредитная карточка объединяет платежно-расчетную и кредитную функции. Она является своеобразным именным заменителем чека и выполняет функцию денег как средства платежа.
Впервые кредитные карточки (тогда они именовались «долговыми») появились в США в 1915 г., они были выпущены фирмой «Дайнерс клаб». Кредитные карточки имеют следующие виды:
1) возобновляемые карточки, такие, например, как «Виза», «Мастеркард», применяются в основном для расчета в магазинах, ресторанах. Карточка имеет заранее установленный лимит. После погашения задолженности карточка возобновляется;
2) одномесячные карточки («Америкен экспресс», «Дайнерс клаб») применяются для расчетов с туристическими фирмами. Эти карточки называются карточками «путешествий и увеселений». По ним лимит не устанавливается, но задолженность должна быть погашена в конце месяца;
3) фирменные карточки выпускаются отдельными компаниями («Америкен экспресс», «Барклейз кард», «Трасткард»). С помощью этих карточек оплачиваются различные служебные расходы. Действуют по типу одномесячных;
4) премиальные, или «золотые», кредитные карточки — «Амекс гоулд кард», «Гоулд Мастеркард», «Премьер кард Виза». Эти карточки выдаются только клиентам с высоким годовым доходом, аккуратно погашающим задолженность. Их преимущества состоят в следующем. Они: а) либо не имеют лимита, либо он очень высок; б) дают право на кредит по льготной ставке; в) позволяют клиенту автоматически приобретать солидную страховку от несчастных случаев (иногда на всю семью), бронировать места в отелях.


Динамика бюджетных показателей


Динамика бюджетных показателей свидетельствует, что бюджет, особенно в последние годы, был сильно перегружен расходами, связанными с экономической функцией государства, а его социальная функция, ориентированная непосредственно на человека, не получала необходимого финансового подкрепления для своей реализации. С переходом на рыночные основы хозяйствования акценты в распределении бюджетных средств непременно сместятся, отразив, во-первых, усиление социальной функции государства, во-вторых, изменения в содержании и направленности экономической функции.
Основу отраслевой группировки расходов государственного бюджета составляет общепринятое деление экономики на отрасли и виды деятельности. Исходя из него расходы в производственной сфере подразделяются по отраслям национального хозяйства: на развитие промышленности, сельского хозяйства, капитального строительства, транспорта, связи, торговли и др.; в непроизводственной — по отраслям и видам общественной деятельности: на народное образование, культуру, здравоохранение, социальное обеспечение, государственное управление и т.д. Отраслевое деление расходов позволяет выявлять пропорции в распределении бюджетных средств и, изменяя их, добиваться нужных сдвигов в отраслевой структуре общественного производства. Так, необходимость усиления социальной направленности всего общественного развития требует сегодня больше средств направлять в социальную сферу, обеспечивая ускоренные темпы ее роста. Вместе с тем, кризисное состояние экономики, десятилетиями длящееся отставание аграрного сектора обусловливают необходимость бюджетных вложений и в отрасли материального производства; такое инвестирование государственных ресурсов создает предпосылки для развития передовых технологий, реализации программы конверсии оборонных предприятий, технического перевооружения базовых отраслей народного хозяйства. Крупные средства выделяются на экологию в соответствии с комплексными целевыми программами.
В государственном бюджете сохраняется пока целевое назначение выделяемых ассигнований, отражающее конкретные виды затрат, финансируемых государством. Так, в составе расходов на народное хозяйство выделяются затраты на капитальные вложения, дотации, операционные расходы и т.д.; по учреждениям и организациям непроизводственной сферы — затраты на заработную плату, капитальный ремонт и др. Классификация расходов по целевому назначению является необходимой базой для осуществления финансового контроля за использованием бюджетных средств.
Одновременно с экономической классификацией расходов государственного бюджета используется и организационная их группировка, в основе которой лежит распределение ассигнований по целевым программам и уровням управления. Группировка расходов в разрезе целевых программ указывает на конкретных получателей бюджетных средств, ответственных за эффективное использование выделяемых бюджетных ресурсов. В соответствии с уровнем государственного управления расходы государственного бюджета России подразделяются на федеральные, субъектов Федерации и местные.
Расходы государственного бюджета тесно взаимосвязаны с его доходами. Эта взаимосвязь выражается в количественном соответствии расходов доходам, а также в их влиянии друг на друга. С одной стороны, объем расходов бюджета лимитируется жесткими рамками поступающих бюджетных доходов, причем последние, в свою очередь, определяются экономическими возможностями государства. Поэтому очень важно установить такой объем бюджетных расходов и такие сроки использования бюджетных средств, которые обеспечивали бы решение стоящих перед обществом социально-экономических задач при минимальных затратах с максимальным народнохозяйственным эффектом. С другой стороны, расходы при надлежащем использовании бюджетных средств могут оказывать обратное влияние на доходы, содействуя росту производства, развитию науки, совершенствованию кадрового потенциала и т.д.
Наиболее крупными до недавних пор были расходы бюджета на финансирование народного хозяйства. В их состав в соответствии с действующей в нашей стране бюджетной классификацией включались расходы на отрасли материального производства, жилищно-коммунального хозяйства и бытового обслуживания населения. Основная масса бюджетных ресурсов направлялась на финансирование капитальных вложений в государственном секторе экономики и выдачу предприятиям разного вида дотаций (на возмещение разницы в ценах, покрытие плановых убытков, оказание финансовой помощи низкорентабельным и убыточным хозяйствам, особенно на селе, и т.д.). В последние годы из-за неоправданно возросших масштабов бюджетного финансирования затрат, обеспечивающих простое воспроизводство (на дотации уходила примерно пятая часть валового национального продукта), резко снизилась роль бюджетных расходов в решении структурных проблем народного хозяйства.
В условиях перехода на рыночные основы хозяйствования система расходования бюджетных средств должна претерпеть существенные изменения. Бюджетные ассигнования призваны обеспечивать решение наиболее важных и крупных государственных задач:
финансировать приоритетные мероприятия, связанные с быстрыми темпами развития ключевых отраслей экономики, обеспечивать реализацию целевых комплексных программ, создавать финансовые возможности для совершенствования производственной и социально-бытовой инфраструктуры. Правда, в течение ближайшего времени целевые бюджетные дотации на некоторые виды товаров еще сохранятся. Однако и объем бюджетных расходов, и их структура претерпят существенные изменения.
Сокращение объема бюджетного финансирования затрат по народному хозяйству связывается со следующими мерами:
- постепенным прекращением дотирования предприятий в связи с введением полной имущественной ответственности субъектов хозяйствования за выполнение взятых обязательств перед партнерами и государством;
- сведением до минимума участия государства в производственных инвестициях за счет сокращения централизованных капитальных вложений и разумного акционирования строящихся объектов;
- отменой прежних дотаций на возмещение разницы в ценах по значительному числу продовольственных и промышленных товаров в связи с либерализацией цен;
- последовательной реализацией программы приватизации государственной собственности и резким сокращением сферы государственной экономики;
- жесткой экономией в расходовании бюджетных средств, достигаемой как путем исключения из состава расходов любых затрат, непосредственно не связанных со стабилизацией экономики и созданием условий для ее развития, так и благодаря контролю за рациональным использованием выделенных бюджетных ассигнований.
Тенденция к сокращению бюджетных расходов на народное хозяйство не может завершиться полным отказом от бюджетного финансирования этих затрат. И в условиях рынка останутся такие расходы, которые требуют обязательного привлечения государственных средств, ибо, во-первых, продолжает функционировать (хотя и в меньших размерах) государственный сектор экономики, требующий разработки и реализации государственных инвестиционных программ, в соответствии с которыми и осуществляется бюджетное финансирование капитальных затрат; и во-вторых, для стабилизации экономики и развития предпринимательства необходима финансовая помощь государства в виде бюджетных субсидий, субвенций, бюджетных кредитов.
Значительные бюджетные средства ежегодно направляются на финансирование социально-культурных мероприятий. Они позволяют государству развивать систему народного образования, финансировать культуру, удовлетворять минимальные потребности населения в медицинском обслуживании, осуществлять социальную защиту граждан, повышать уровень их социального обеспечения. Расходы бюджета на социально-культурные мероприятия имеют не только социальное, но и экономическое значение. Являясь финансовой базой осуществления социальных прав — на образование, медицинское обслуживание, социальную защиту и т.д., — эти расходы одновременно опосредованно влияют на общественное производство, способствуя улучшению качественного состава трудовых ресурсов, созданию условий для повышения производительности труда на основе использования научных достижений, ускорению научно-технического прогресса.
Несмотря на важную роль данной группы бюджетных расходов в социально-экономических процессах, количественные характеристики бюджетных затрат на эти цели не только далеки от оптимальных, но и отражают постепенное ухудшение уровня социального обслуживания населения нашей страны. Связано это с тем, что социальная функция государства в течение многих лет была на «втором плане», заставляя невольно экономить на затратах в социальной сфере. По оценкам некоторых экономистов, на образование, медицину и экологию, вместе взятые, приходилось в конце 80х годов лишь около 14% валового национального продукта, а на военные цели уходило от 25% до 30%.
Динамика бюджетных расходов на социально-культурные мероприятия показывает явное их отставание по темпам роста не только от общего объема бюджетных расходов, но и от расходов на народное хозяйство. Перегрузив бюджет ресурсами, направляемыми на обеспечение экономической функции, государство не смогло обеспечить средствами надлежащий уровень социального обслуживания граждан. Между тем переход на основы рыночного хозяйствования заставляет активно искать реальные пути усиления социальной ориентации расходов бюджета, ибо без этого невозможно обеспечить социальную защиту людей.


Дискриминационные цены существуют в разных формах.


Частная фирма-монополист сама определяет цены на свою продукцию, не ориентируясь на ценовую политику других фирм. Между тем, из опыта США, где монополии разрешены, например, в таких отраслях, как электроэнергетика, известно, что повышение тарифов должно быть согласовано с местными властями.
Обладая большой свободой в установлении цен, фирма определяет оптимальный уровень цены все же исходя из спроса на свою продукцию. Поэтому ценовые стратегии, осуществляемые фирмами, строятся на принципе ценовой дифференциации. Следуя этому принципу, фирма продает товар или услугу по разным ценам независимо от различий в издержках. Дискриминационные цены существуют в разных формах.
Дифференциация по группам покупателей. Разным группам покупателей один и тот же товар или услуга продается по разным ценам (иногда предоставляется бесплатно). Например, проезд на городском транспорте пенсионеры, работники налоговых инспекций, военнослужащие не оплачивают. Музеи продают билеты со скидкой детям, учащимся, пенсионерам.
Дифференциация по варианту товара или услуги. Разные варианты товаров и услуг продают по различным ценам без учета разницы в затратах. Так, стоимость перелета Пермь — Москва коммерческим рейсом в несколько раз дороже, чем обычным рейсом компании Аэрофлот.
Дифференциация по территории. Товар реализуется в разных местах по разным ценам несмотря на то, что издержки, связанные с доставкой, одинаковы.
Дифференциация по времени. Цены на товары и услуги различны по сезонам, месяцам, дням недели и даже времени суток. Так, оплата междугородных телефонных переговоров в ночное время ниже, чем в дневное.
Стратегия множественных цен основана на том, что фирма-монополист в результате анализа кривых спроса каждой группы потребителей назначает для каждой группы максимально высокую цену, какую только готовы заплатить за товар. В некоторых развитых странах эта стратегия запрещена законом.
Стратегия сегментации рынка базируется на неоднородности покупателей и спроса в пределах отдельного сегмента рынка или на различных рынках. Эта стратегия выражается в предоставлении скидок покупателям другого рынка. В этом случае большая часть продукции продается на первом рынке по ценам, возмещающим все затраты и обеспечивающим определенную прибыль. На втором рынке (иногда за границей) этот товар реализуется по сниженным ценам. Такая стратегия характерна для продажи энергоносителей, автомобилей, леса, станков. В случае, если второй рынок расположен за пределами страны, где находится фирма-монополист, подобная политика называется демпингом. Правительства большинства стран, в торговле с которыми применяются демпинговые цены, ограничивают ввоз дешевых товаров, подрывающих развитие национальной промышленности.
Между тем фирме-монополисту не всегда выгодно прибегать и к установлению высокой цены, так как из-за этого она может привлечь внимание конкурентов или вызвать введение государственного регулирования цен, а также потерять часть покупателей^
Таким образом, фирма должна помнить, что если цены на ее продукцию часто приходится пересматривать; в ценах недостаточно учитывается информация о спросе, конкурентах, покупателях и т.п.; большая часть товара реализуется на распродаже в конце сезона по сниженным ценам; спрос на товары эластичен; большая часть покупателей чувствительна к цене и привлекается низкими ценами конкурентов, то ценовая стратегия выбрана ею неудачно и следует продумать переход к другой политике цен.
Отметим, что в реальной экономической ситуации сложно увидеть любой указанный тип рынка в чистом виде. Ведь фирма может с одним своим товаром выступить на рынке чистой монополии, а с другим — на конкурентном рынке. Сложнее обстоит дело с олигополией, в недрах которой возможно появление как монополий, так и свободной конкуренции. Следует помнить, что анализ рынка конкуренции сам по себе не может дать готовых рецептов установления цен; он необходим прежде всего для определения закономерностей ценообразования в зависимости от соотношения спроса и предложения.1
В рамках маркетинга на предприятии необходимо подготовить и провести определенные действия, предшествующие собственно процессу реализации продукции. Среди них — определение уровня цен и возможных вариантов их изменения в зависимости от целей и задач, решаемых фирмой в краткосрочном периоде и в перспективе. Общей целью фирмы является получение максимальной прибыли, однако в качестве промежуточных могут быть выдвинуты такие цели, как защита своих позиций, подавление конкурентов, завоевание новых рынков, стабилизация доходов. В зависимости от решаемых задач фирма может стремиться к сохранению установленного уровня цен, к их повышению или понижению и осуществлять это постепенно или скачкообразно. Размеры фирмы, ее финансовое положение, конкуренция на рынке и многие другие факторы определяют выбор ценовой политики.


Для покрытия государственных расходов используются налоги.


Ряд  видных  экономистов  (М.Фрвдмен  и  др.)  являются  противниками государственного вмешательства в экономику. По их мнению, рыночная система сама по себе обладает способностью автоматически, на базе саморегулирования, приводить себя в равновесие. Запас прочности рыночного механизма неисчерпаем, а трудности и кризисы, возникающие в экономике, якобы навязываются извне, носят экзогенный характер и их главным виновником является именно государственное вмешательство, которое блокирует действие стихийных сил и в то же время раскачивает рынок. В связи с этим они предлагают сузить рамки государственного регулирования до минимума.
Государство обеспечивает правовую базу функционирования рыночной системы, что выражается в предоставлении законного статуса частным предприятиям, регламентации отношений между предприятиями, поставщиками ресурсов и потребителями. На основе законодательства государство получает возможность выполнять функции арбитра в области экономических связей, выявлять случаи преступной экономической деятельности и применять власть для наложения соответствующих санкций. Государство направляет усилия на реализацию антимонопольных законов в целях защиты и усиления конкуренции в качестве эффективного регулятора поведения бизнеса. Государство создает условия для перераспределения дохода общества в целях относительного нивелирования социального неравенства его членов. Эта задача решается как через платежи малоимущим, инвалидам, больным и реализацию конкретных социальных комплексных программ по защите интересов определенных групп населения, так и путем льготного ценообразования на товары и продукты первой необходимости. Государство перераспределяет также ресурсы общества для стимулирования развития так называемых общественных благ (медицинского обслуживания, образования, библиотек, музеев, армии, автомагистралей, дорог и др.), которые рыночная система не заинтересована производить, но без которых жизнь общества невозможна.
Методы государственного регулирования условно подразделяются на административные и экономические.
Административные методы базируются на силе государственной власти, разделяясь на меры запрета, разрешения и принуждения.
В странах с развитой рыночной экономикой сфера административных средств ограничивается главным образом охраной окружающей среды, созданием минимальных условий существования малообеспеченных слоев населения, а также пресечением развития теневого бизнеса.
Экономические методы подразделяются по воздействию на средства денежно-кредитной и бюджетной политики. Это — регулирование учетной ставки (осуществляется Центральным банком); установление и изменение размеров минимальных резервов, которые финансовые институты страны обязаны хранить в Центральном банке; операции государственных учреждений на рынке ценных бумаг, такие как эмиссия государственных долговых обязательств, торговля ими и погашение.
Средствами бюджетной политики осуществляется прямое  государственное экономическое регулирование. Через государственный бюджет перераспределяется в интересах государства значительная часть национального дохода.
Для покрытия государственных расходов используются налоги. Но задача государственных органов — не просто обложить налогами те или иные источники поступления средств, а создать тонко ориентированный механизм воздействия на хозяйственное поведение юридических и физических лиц. Для этого используются временно или селективно предоставляемые налоговые скидки, отсрочки уплаты налогов.
Сознательное маневрирование налогами и правительственными расходами в целях изменения реального объема национального производства и занятости, контроля над инфляцией и экономическим ростом называют дискреционной фискальной политикой. Она вызывает рост общественного производства или снижение его величины. Фискальная политика, ориентированная на борьбу с безработицей, предусматривает рост правительственных расходов, т.е. возможность бюджетного дефицита. Элементами фискальной политики, имеющей целью коррекцию инфляции спроса, становится сокращение правительственных расходов при росте налогов, т.е. явление бюджетных излишков.1
Форма воздействия государства на экономику может варьироваться в различных проявлениях в зависимости от степени необходимости внесения элемента государственного регулирования в экономический процесс. Система государственного регулирования представляет собой совокупность экономических регуляторов, косвенно воздействующих на механизм рынка, участников экономического процесса и т.д. — цены, налоги, нормы, банковские проценты, санкции.
На разных этапах экономического развития государство по-разному использует возможности фискальной политики для стабилизации общественного воспроизводства.
Эффективной мерой государственного регулирования экономики является увеличение дефицита государственного бюджета (или сокращение его положительного сальдо) в период спада и уменьшение его дефицита в период инфляции. Применяемые при этом стабилизаторы не способны полностью скорректировать нежелательные изменения величины чистого национального продукта. Поэтому для коррекции инфляции или спада в значительных масштабах применяются дискреционные фискальные мероприятия, т.е. изменения налоговых ставок, налоговой структуры и величины расходов.
Особое место в ряду средств государственного регулирования занимает ускоренное амортизационное списание основного капитала и связанные с ним образование и реализация скрытых резервов. Суть такого регулирования состоит в отрыве физического процесса снашивания машин, оборудования, зданий и сооружений от калькулируемого переноса стоимости вещественных носителей основного капитала на производимые товары и услуги, что, в свою очередь, является средством стимулирования накопления, структурных изменений в экономике и важным инструментом воздействия на хозяйственный цикл, занятость.
Государственное регулирование экономики предусматривает применение также дотаций и фиксированных цен.
Дотация — это как бы «налог наоборот». Потоварная дотация устанавливается либо в определенном проценте к цене товара, либо в абсолютной сумме в расчете на единицу товара. Потоварные дотации обычно получают производители, хотя их непосредственно могут получать и потребители.
Установление фиксированных цен — более «грубые» методы вмешательства государства в рыночные механизмы. Фиксированные цены, отличающиеся от цен равновесия, устанавливаются, как правило, на продукцию агропромышленного и нефтегазового комплексов и некоторые другие виды продукции и услуг.1


Доходы федерального бюджета от приватизации государственной собственности


Доходы федерального бюджета от приватизации государственной собственности в 1995 г. составили 7,6 трлн. рублей.
Некоторые особенности имели место в практике приватизации предприятий оборонной промышленности России. В этой отрасли указ Президента разрешал делать отступления от общих правил приватизации. Быстрыми темпами там формировались холдинговые, акционерно-промышленные компании, финансово-промышленные группы, а также федеральные научные и научно-производственные центры. Это ускоряло темпы приватизации. Если в 1991-92 гг. было приватизировано 6,5% общего количества предприятий ОП, в 1993 г. — 25%, то в 1994 г. — 60%. В 1995 г. доля приватизированных предприятий ОП составила свыше 70% общего их количества.
Внешнеэкономическая деятельность. Внешнеторговый оборот России (без учета неорганизованной торговли) составил за 1995 г. 123,7 млрд. долл., что на 18,9% больше уровня 1994 г. Оборот со странами дальнего зарубежья возрос на 22,3% — до 97,6 млрд. долл., со странами ближнего зарубежья (СНГ) — на 7,2% и составил 26,1 млрд. долларов.
Положительное сальдо торгового баланса по сравнению с 1994 г. выросло более чем на 15% и достигло 30,9 млрд. долл.
Во внешнеторговом обороте России на страны дальнего зарубежья приходилось 79%, на страны СНГ — 21%. Экспорт России в 1995 г. вырос на 77,3 млрд. долл. или на 18%. В дальнее зарубежье он составил 64,3 млрд. долл. (рост на 25%), в СНГ — 13 млрд. долл. (сократился на 7,7%). Из общего объема экспорта России на страны Европы (без СНГ) приходилось 56%, Азии (без СНГ) — 17%, Америки - 9%, Африки — 1%, страны СНГ—17%.
Значительный рост российского экспорта в 1995 г. обусловлен последовательным проведением курса на дальнейшую либерализацию внешнеэкономической деятельности, а также сокращением внутреннего спроса на продукцию отечественной промышленности, что позволило увеличить поставки на внешний рынок. Кроме того, на увеличение стоимостных объемов экспорта повлиял рост мировых цен на многие сырьевые товары традиционного российского экспорта.
Более того, введение «валютного коридора» негативно повлияло на развитие динамики российских поставок, особенно в страны дальнего зарубежья. Так, если темпы роста объемов экспорта в эти страны составили в первом и во втором кварталах 1995 г. 145% и 128,8%, то в третьем и четвертом кварталах — соответственно 117,7% и 114,5%.
В товарной структуре экспорта сохранялась сырьевая направленность с преобладанием в ней энергоносителей. В 1995 г. экспортные поставки нефти снизились на 4,2% — до 122,3 млн. тонн (в дальнее зарубежье возросли на 1,5% — до 96,8 млн. тонн), природного газа увеличились на 4,3% — до 192,2 млрд. куб. м (в дальнее зарубежье — на 11,2% — до 121,9 млрд. куб. м). Наибольший рост физического объема экспорта по сравнению с 1994 г. отмечается по калийным удобрениям, синтетическому каучуку, круглому лесу, целлюлозе, бумаге, никелю — 1,3-1,5 раза. Поставки алюминия в натуральном выражении выросли на 2,3%, однако в связи с ростом его цены на мировом рынке в стоимостном выражении они увеличились на 40,5%.
За рассматриваемый период возросли средние экспортные цены на нефть в страны дальнего зарубежья со 100 до 108 долл. за 1 тонну, на газ — с 73 до 80 долл. (тыс. куб. м), нефтепродукты — с 86 до 92 долл. за тонну, а также на удобрения, аммиак, каучук, пиломатериалы, целлюлозу, черные и цветные металлы, бумагу.
Экспорт продукции российского машиностроения (гражданского назначения) продолжал сокращаться и составил 4,6 млрд. долл. (снижение на 4,8%), что составило 6% в общем объеме российского экспорта по сравнению с 7,4% в 1994 году.
Объем российского импорта в 1995 г. возрос до 46,4 млрд. долл. и увеличился на 20,1%. В том числе из дальнего зарубежья — 33,3 млрд. долл. (рост на 17,4%), из ближнего — 13,1 млрд. долл. (увеличение на 27,4%). Из общего объема импорта 48% приходилось на страны Европы, 14,4% — Азии, 8,6% — Америки, 28,3% — страны СНГ и менее 1 % — на страны Африки и Австралию.
Структура импорта России формируется под влиянием платежеспособного спроса, а также состояния национального производства. Эти факторы особенно влияют на импорт продовольствия (около 30%). Импорт мяса вырос на 27% — до 750 тыс. тонн, масла сливочного на 63% — до 246 тыс. тонн, сахара на 40% — до 3019 тыс. тонн. Увеличение импорта машин и оборудования — на 13,7% — до 15,5 млрд. долл. свидетельствует о наметившихся положительных изменениях в экономической конъюнктуре России. «Российская экономика начинает выбираться из кризиса, или другими словами, забрезжил свет в конце тоннеля», — такую оценку состояния дел в России дал начальник отдела зарубежных исследований Управления экономического планирования Японии М.Таниуги, представляя на конференции в Токио подготовленную этим ведомством ежегодную «Белую Книгу» по мировой экономике.
«В целом же, — подчеркнул М.Таниуги, — в российской экономике остается еще масса нерешенных проблем. Прежде всего это касается сохранения относительно высокого уровня инфляции, которая в годовом исчислении продолжает составлять порядка 70-80%, Поэтому, если стремиться к тому, чтобы в стране начался действительный рост производства, необходимо приложить дополнительные усилия по контролю за инфляцией, а для этого следует продолжать жесткую финансовую политику.
Поэтому, — подчеркнул М.Таниуги, — российская экономика в ближайшей перспективе будет, по всей вероятности, переживать период умеренного роста при некотором замедлении темпов восстановления производства».1


Доходы государственного бюджета


Доходы государственного бюджета Доходы бюджета выражают экономические отношения, возникающие у государства с предприятиями (объединениями), организациями и гражданами в процессе формирования бюджетного фонда страны. Формой проявления этих экономических отношений служат различные виды платежей предприятий, организаций и населения в государственный бюджет, а их материально-вещественным воплощением — денежные средства, мобилизуемые в бюджетный фонд. Бюджетные доходы, с одной стороны, являются результатом распределения стоимости общественного продукта между различными участниками воспроизводственного процесса, а с другой — выступают объектом дальнейшего распределения сконцентрированной в руках государства стоимости, ибо последняя используется для формирования бюджетных фондов территориального, отраслевого и целевого назначения.
Состав бюджетных доходов, формы мобилизации денежных средств в бюджет зависят от системы и методов хозяйствования, а также от решаемых обществом экономических задач. В нашей стране, где собственником преобладающей массы средств производства до недавнего времени выступало государство, доходы бюджета базировались в основном на денежных накоплениях государственных предприятий. Система взимания платежей в период 1930-1990 гг. отличалась тем, что носила ярко выраженный фискальный характер, была жестко централизованной, строилась на использовании индивидуальных ставок. Эти черты отражали административно-командный подход к мобилизации финансовых ресурсов в распоряжение государства, свидетельствовали о стремлении центра сосредоточить в своих руках максимально возможную величину денежных средств.
Особенно ярко названные черты проявились в платежах из прибыли, вносимых государственными предприятиями на основе индивидуальных ставок, приспосабливаемых отраслевыми органами управления к конкретным результатам хозяйствования. Даже введение нормативных платежей из прибыли (платы за производственные фонды, трудовые ресурсы и др.) не смогло изменить систему изъятия в целом — она продолжала ориентироваться на индивидуальные результаты хозяйствования отдельных предприятий. Отсутствие объективных критериев, в соответствии с которыми обоснованно определялась бы доля участия каждого субъекта хозяйствования в формировании бюджетного фонда страны, приводило к подрыву финансовой самостоятельности предприятий, пренебрежению их экономическими интересами.
Переход на рыночные основы хозяйствования потребовал использования экономических методов руководства общественным производством, а неэффективность применявшихся ранее форм мобилизации части чистого дохода предприятий в бюджет обусловила коренное изменение системы доходных поступлений — она стала строиться на базе налоговых платежей; взаимоотношения предприятий с бюджетом были переведены на правовую основу, регулируемую законом.
Экономическая сущность налогов характеризуется денежными отношениями, складывающимися у государства с юридическими и физическими лицами. Эти денежные отношения объективно обусловленны и имеют специфическое общественное назначение — мобилизацию денежных средств в распоряжение государства. Поэтому налог может рассматриваться в качестве экономической категории с присущими ей двумя функциями — фискальной и экономической. С помощью первой формируется бюджетный фонд; реализуя вторую, государство влияет на воспроизводство, стимулируя или сдерживая его развитие, усиливая или ослабляя накопление капитала, расширяя или уменьшая платежеспособный спрос населения.
Конкретными формами проявления категории налога являются виды налоговых платежей, устанавливаемых законодательными органами власти. С организационно-правовой стороны налог — это обязательный платеж, поступающий в бюджетный фонд в определенных законом размерах и в установленные сроки. Совокупность разных видов налогов, в построении и методах исчисления которых реализуются определенные принципы, образует налоговую систему страны.
Сегодня налоговая система призвана реально влиять на укрепление рыночных начал в хозяйстве, способствовать развитию предпринимательства и одновременно служить барьером на пути социального обнищания низкооплачиваемых слоев населения. К числу наиболее важных принципов, которые должны быть реализованы в налоговой системе, относятся: разумное сочетание прямых и косвенных налогов; использование разнообразных их видов, позволяющее учесть как имущественное положение налогоплательщиков, так и получаемые ими доходы. В период обострения кризисной ситуации в экономике лучше иметь много источников пополнения бюджета со сравнительно низкими ставками и широкой налогооблагаемой базой, чем один-два вида поступлений с высокими ставками изъятия; универсализация налогообложения, обеспечивающая, во-первых, одинаковые для всех плательщиков требования к эффективности хозяйствования, не зависящие от видов собственности, организационно-правовых форм хозяйствования и т.д., а во-вторых, одинаковый подход к исчислению величины налога вне зависимости от источника полученного дохода, сферы хозяйствования, отрасли экономики; однократность обложения, состоящая в том, что один и тот же объект может облагаться налогом одного вида только один раз за определенный законом период; фискальный эффект даже в условиях падения
производства. Использование в единой системе разнообразных по объектам обложения и методам исчисления прямых и косвенных налогов позволяет государству полнее реализовать на практике обе функции налогов — и фискальную, и экономическую: под налоговым воздействием оказываются и имущество предприятий, создающее материально-техническую основу их деятельности; и потребляемые в производстве разные виды ресурсов, и рабочая сила, и получаемый доход.
Расходы государственного бюджета Расходы государственного бюджета — это экономические отношения, возникающие в связи с распределением фонда денежных средств государства и его использованием по отраслевому, целевому и территориальному назначению. В расходах бюджета находят свое выражение две стороны единого распределительного процесса: расщепление бюджетного фонда на составные части и формирование денежных фондов целевого назначения у предприятий, организаций и учреждений материального производства и непроизводственной сферы, получающих бюджетные ассигнования.
Категория расходов бюджета проявляется через конкретные виды расходов, каждый из которых может быть охарактеризован с качественной и количественной сторон. Качественная характеристика позволяет установить экономическую природу и общественное назначение каждого вида бюджетных расходов, количественная — их величину. Активная роль государства в экономической жизни общества, осуществлении социальных преобразований обусловливает многообразие конкретных видов бюджетных расходов. Оно связано с действием ряда факторов: природой и функциями государства, уровнем социально-экономического развития страны, разветвленностью связей бюджета с народным хозяйством, формами предоставления бюджетных средств и т.д. Сочетание названных факторов на каждом из этапов развития государства порождает такую систему расходов, которая соответствует потребностям экономики, типу и уровню управления ею.
Для выяснения роля и значения многообразных бюджетных расходов их обычно классифицируют по определенным признакам: по роли в воспроизводстве, общественному назначению, отраслям производства и видам деятельности, целевому назначению.
По роли в общественном производстве расходы государственного бюджета подразделяются на две части: одна связана с развитием материального производства, совершенствованием его отраслевой структуры, другая используется на содержание и дальнейшее развитие непроизводственной сферы. С помощью бюджетных расходов государство может регулировать распределение денежных средств между материальным производством и непроизводственной сферой в соответствии с потребностями общества в области экономического и социального развития; воздействовать на стоимостную структуру общественного производства, добиваясь прогрессивных сдвигов в народнохозяйственных пропорциях; стимулировать развитие принципиально новых отраслей экономики и видов производств, влиять на ускорение научно-технического прогресса. Бюджетные расходы, в силу своего пере распределительного характера, способны играть важную роль в государственном регулировании экономики и социальных процессов.
Экономическая группировка бюджетных расходов по их общественному назначению отражает выполняемые государством функции — экономическую, социальную, оборонную и др. В соответствии с общественным назначением все расходы бюджета могут быть подразделены на четыре группы: народное хозяйство, социально-культурные мероприятия, оборона, управление. Структура бюджетных расходов в разрезе названных групп в течение многих лет была у нас относительно стабильной, демонстрируя давно сложившиеся приоритеты в распределении бюджетных средств. Основные ресурсы — примерно половина — направлялись на финансирование народного хозяйства, обеспечивая реализацию экономической функции государства; около трети — на социально-культурные мероприятия.


Доходы иностранного юридического лица


к) перевозку всеми видами транспорта — фрахт;
л) реализацию на территории Российской Федерации ввозимых из-за границы товаров на условиях договоров торгового посредничества с российскими предприятиями. При этом доходом, источник которого находится на территории Российской Федерации, считается доход, выплачиваемый иностранному юридическому лицу в виде разницы или части разницы между назначенной им ценой реализации и более выгодной ценой, по которой предприятие-посредник осуществило продажу поставленных для реализации товаров.
При отсутствии документов, свидетельствующих о ввозе иностранным юридическим лицом товаров из-за границы для их реализации на территории Российской Федерации, доходом, источник которого находится на территории Российской Федерации, считается валовая выручка, выплаченная иностранному юридическому лицу за реализованный товар.
Доходы иностранного юридического лица, полученные по внешнеторговым операциям, совершаемым исключительно от имени данного иностранного юридического лица, и связанные с экспортом в Российскую Федерацию товаров, налогообложению у источника не подлежат.
Суммы доходов от фрахта, выплачиваемые иностранным юридическим лицом в связи с осуществлением морских, воздушных, железнодорожных, автомобильных и иных международных перевозок, облагаются налогом по ставке 6%, дивиденды и проценты — по ставке 15, остальные доходы — по ставке 20%.
Налог с доходов иностранных юридических лиц из источников в Российской Федерации удерживается лицом, выплачивающим доход иностранному юридическому лицу, в валюте, в которой производится выплата, с полной суммы дохода при каждом перечислении платежа и зачисляется в бюджет в порядке, установленном законодательством Российской Федерации.
При этом не имеет значения, в каком виде будет произведена выплата дивидендов: в денежном, натуральном, каком-либо другом, в виде наличного или безналичного платежа иностранному участнику, путем зачета требований или в какой-либо другой форме. Под выплатой подразумевается также реинвестирование распределенного в пользу иностранного участника дохода на увеличение его доли в уставном капитале предприятия-резидента. Для целей налогообложения не имеет значения направление выплаты: распоряжение иностранного участника своими доходами в пользу третьих лиц, своих представительств в других странах и т.д.
В случае если доходы от долевого участия, в том числе дивиденды, выплачиваются иностранным участникам предприятий с иностранными инвестициями и партнерам товариществ акциями, облигациями, товарами либо любым иным способом, зачислению в бюджет подлежит сумма налога в иностранной валюте или в рублях по курсу Центрального банка Российской Федерации на дату совершения этой операции, рассчитанная исходя из величины распределенной в пользу этого иностранного участника части чистой прибыли (рублевой) предприятия-резидента.
Лица, выплачивающие доход иностранным юридическим лицам ежеквартально, в сроки, установленные для представления квартальной бухгалтерской отчетности российскими предприятиями, представляют информацию о суммах выплаченных доходов и удержанных налогов в тот налоговый орган, в котором это российское лицо состоит на налоговом учете.
Для возврата налога в установленных случаях иностранное юридическое лицо, имеющее фактическое право на получение дохода, представляет в органы Государственной налоговой службы Российской Федерации заявление по установленной форме с официальным подтверждением факта постоянного местопребывания данного лица в стране, с которой имеются действующие межправительственные (межгосударственные) соглашения об избежании двойного налогообложения, заключенные бывшим СССР и Российской Федерацией.
При подаче заявления о возврате сумм удержанных налогов соответствующий налоговый орган в установленные сроки рассматривает заявление и осуществляет возврат излишне взысканных и уплаченных налогов. В заявление могут включаться как разовые доходы, так и доходы, полученные в течение какого-либо периода.
Заявления, поданные по истечении года со дня получения дохода, к рассмотрению не принимаются.
Если получаемые иностранным юридическим лицом доходы от источников в Российской Федерации имеют регулярный и однотипный характер и эти доходы в соответствии с международным соглашением об избежании двойного налогообложения не подлежат обложению налогом в Российской Федерации, то иностранное юридическое лицо, имеющее фактическое право на получение таких доходов, может подать заявление в местный налоговый орган о неудержании налога у источника.
Налоговый орган в двухнедельный срок рассматривает заявление и в случае соответствия указанных в нем сведений положениям конкретного соглашения об избежании двойного налогообложения дает разрешение на неудержание налога у источника выплаты.


Документальное оформление и аналитический учет


Документальное оформление и аналитический учет поступления и выбытия основных средств Независимо от организационно-правовой формы собственности предприятия учет основных средств организуется в бухгалтерии по классификационным группам в разрезе инвентарных объектов. Под инвентарным объектом понимается законченное устройство, предмет или комплекс предметов со всеми приспособлениями и принадлежностями, относящимися к данному объекту.
По отдельным классификационным группам основных средств инвентарным объектом считаются:
- по зданиям — каждое отдельно стоящее здание с его внутренними устройствами (система отопления, водогазопровод, канализация, вентиляционные устройства) и надворные постройки (сарай, забор и др.);
- по сооружениям — каждое обособленное сооружение с устройствами, составляющими с ним органическое целое (мост вместе с опорами, фермами, подъездами и подходами к нему);
- по передаточным устройствам — каждое самостоятельное устройство, не являющееся составной частью здания или сооружения;
- по силовым машинам и оборудованию — каждая силовая машина с фундаментом и всеми приспособлениями к ней и принадлежностями, приборами и индивидуальным ограждением;
- по рабочим машинам и производственному оборудованию — каждый станок или аппарат, включая входящие в его состав приспособления, принадлежности и приборы, ограждение, а также фундамент, на котором смонтирован инвентарный объект;
- по транспортным средствам — каждый объект транспортных средств с включением относящихся к нему приспособлений и принадлежностей (автомобиль грузовой, включая запасные колеса с камерой и покрышкой и комплект инструмента);
- по инструментам и инвентарю — каждый предмет, который имеет самостоятельное значение и не является составной частью какого-либо инвентарного объекта (машины, станка, аппарата и т.п.).
Для обеспечения контроля за сохранностью основных средств каждому инвентарному объекту присваивается соответствующий номер. Так, инвентарные номера зданиям присваиваются с 001 по 099; сооружениям — с 100 по 199; передаточным устройствам — с 200 по 299 и т.д.
Инвентарный номер, присвоенный объекту, проставляется на объекте и в первичных документах и сохраняется на весь период его нахождения на данном предприятии. В случае выбытия объекта его инвентарный номер не присваивается вновь поступившим объектам.
Поступление основных средств оформляется актом (накладной) приемки-передачи (внутреннего перемещения) основных средств (тип. ф. № ОС-1). Акт составляется на каждый объект, к нему прилагается техническая документация на данный объект, которая после открытия бухгалтерией инвентарной карточки передается в соответствующий отдел, цех предприятия по месту эксплуатации. Акт приемки-передачи основных средств составляется двумя сторонами — принимающей объект и передающей, с указанием времени вступления в эксплуатацию, даты изготовления, первоначальной стоимости и суммы износа в части полного восстановления. Бухгалтерия оформляет его бухгалтерской записью, т.е. указывает корреспонденцию счетов на первоначальную стоимость и на сумму износа.
Учет основных средств организуют так, чтобы можно было установить наличие основных средств по каждой классификационной группе и отдельно по каждому объекту, местам нахождения и источникам их приобретения.
Это обеспечивается аналитическим учетом основных средств на карточках, открываемых для каждого инвентарного объекта, и синтетическим учетом в целом по счету 01 «Основные средства». Установлена единая типовая форма таких карточек — ф. № ОС-6.
Предприятиям, имеющим небольшое количество основных средств, разрешается их пообъектный учет вести в инвентарной книге. Записи в книге производятся в разрезе классификационных групп (видов) основных средств и по местам их нахождения.
Заполняются инвентарные карточки и инвентарные книги на основе первичных документов-актов, технических паспортов и прочей документации. Затем инвентарные карточки регистрируются в специальных описях типовой ф. № ОС-7, записи в которых производятся по классификационным группам основных средств.
Зарегистрированные в описи карточки помещают в картотеку основных средств. В картотеке их группируют по отраслевым классификационным группам, а внутри групп — по местам нахождения, эксплуатации и по видам. Карточки не действующих основных средств группируют отдельно.
Выбытие основных средств оформляют актом и отражают в инвентарной карточке, а затем ее изымают из картотеки.
Переоцененные объекты основных средств записываются по восстановительной стоимости в разделе карточки «Реконструкция, модернизация». Сумма износа, установленная при переоценке, указывается в соответствующем разделе карточки.
В местах использования основных средств (в цехах и отделах предприятия) ведут инвентарные списки основных средств (ф. № ОС-9), в которых приводятся краткие сведения об объектах основных средств, находящихся в эксплуатации.
Инвентарные карточки на поступившие, выбывшие и перемещенные внутри предприятия основные средства после соответствующих записей до конца месяца не раскладываются, а хранятся отдельно. Это необходимо потому, что на их основе ежемесячно составляется расчет амортизации основных средств (износ). Кроме того, по окончании месяца карточки с записями за данный месяц группируются по классификационным видам основных средств, суммируются обороты по поступлению и выбытию по каждому виду и записываются в карточку учета движения основных средств.
Карточки учета движения основных средств (ф. № ОС-8) открывают в начале января на текущий год. Сначала в них указывают наличие основных средств по видам на 1 января. Затем ежемесячно после записи оборотов за месяц определяют и записывают наличие основных средств на 1 -е число следующего месяца.
Для определения непригодности к дальнейшему использованию тех или иных основных средств на предприятии, т.е. для определения необходимости ликвидации основных средств, на каждом предприятии создается постоянно действующая комиссия.
Ликвидацию объекта (слом, разборку, демонтаж), комиссия оформляет актом на списание основных средств (ф. № ОС-3). На основании акта, утвержденного руководителем предприятия, бухгалтерия отмечает в инвентарной карточке и в описи инвентарных карточек дату выбытия объекта и номер акта.
Акт является основанием для сдачи на склад оставшихся в результате ликвидации запасных частей, материалов, металлолома и т.п. Затраты по ликвидации объекта (разборка, снос, перевозка) также указываются в акте.
Основные средства могут передаваться безвозмездно другим предприятиям на основании акта ф. № ОС-1 с указанием первоначальной стоимости объекта и суммы износа. В связи с чем бухгалтерия осуществляет запись о выбытии в инвентарной карточке переданного объекта и отметку в описи инвентарных карточек (ф. № ОС-7).
По их данным составляют оборотную ведомость движения основных средств, итоги которой, сверенные с итогами «Главной книги», служат основанием для составления отчетности о наличии и движении основных средств.
Перемещение основных средств из одного цеха и участка в другие в пределах предприятия осуществляется по распоряжению соответствующего отдела предприятия (главного механика, главного технолога и т.д.) и оформляется также актом (накладной) (ф.№ ОС-1). Накладная выписывается в двух экземплярах при передаче основных средств из запаса в эксплуатацию и из цеха в цех, отдел и т.д. Бухгалтерия на основании первого экземпляра осуществляет запись в инвентарной карточке и перекладывает ее по месту нового нахождения, эксплуатации. Сдатчик на основании 2-го экземпляра накладной отмечает в инвентарном списке о выбытии объекта.


Документы для постановки на налоговый учет


При постановке на налоговый учет в Российской Федерации иностранные юридические лица обязаны руководствоваться Положением «Об особенностях учета в налоговых органах организаций, образованных в соответствии с законодательством иностранных государств, и международных организаций», утвержденным ГНС РФ 20.09.96 г. № ВА-4-Об/57н и вступившим в'действие с 15 ноября 1996 г. Данное положение разработано в соответствии с Инструкцией ГНС РФ «О порядке учета налогоплательщиков», утвержденной приказом ГНС РФ от 13.06.96 г. № ВА-3-12/45 и в связи с этим во всех случаях, особо не оговоренных в этом Положении, применяются нормы вышеуказанной Инструкции.
Необходимо отметить, что выпущенное ГНС РФ Положение является нормативным документом, который впервые на федеральном уровне подробно регламентирует вопросы, связанные с налоговым учетом иностранных юридических лиц. Налоговый учет их осуществляется на основе дифференцированного подхода в зависимости от степени вовлеченности в предпринимательскую деятельность на территории России.
Иностранное юридическое лицо может вести в Российской Федерации через свое отделение деятельность, иметь активные доходы, т.е. непосредственно выполнять работы и оказывать услуги.
Кроме того, иностранное юридическое лицо может получать на территории Российской Федерации пассивные доходы, не связанные с деятельностью, через отделение. К пассивным доходам, в частности, относятся проценты, дивиденды, доходы от отчуждения имущества, лицензионные платежи и др.
В зависимости от активного или пассивного участия в деятельности на территории Российской Федерации объем требований к иностранному юридическому лицу при его регистрации в налоговых органах колеблется от максимальных (при осуществлении деятельности на территории РФ через отделение) до самых минимальных (когда налоговый учет может быть осуществлен на основе всего лишь уведомления).
Перечень документов, необходимых для представления в налоговые органы для постановки на учет иностранного юридического лица, приводится в табл. 25.4.1. Указанные документы подаются в налоговые органы иностранным юридическим лицом или его уполномоченным представителем.











Таблица 25.4.1
Деятельность иностранного юридического лица
Документы для постановки на налоговый учет


11
22
33
44
55
66
77
88
99
110
111
112
113
ИНН
Иностранное юридическое лицо осуществляет или намеревается осуществлять деятельность в РФ через отделение в течение более чем одного месяца
++
++
++
++
++
--

--

--

--

--

--

--

--

+
Отделение иностранного юридического лица стоит на учете в налоговом органе и имеет на его территории другое место деятельности
--

--

--

--

--

++
--

--

--

--

--

--

--

-

Отделение иностранного юридического лица стоит на учете в налоговом органе и открывает на его территории новое отделение, обособленное и функционально не связанное с ранее открытым
++
++
+-

++
++
--

--

--

--

--

--

--

--

-
Отделение иностранного юридического лица стоит на учете в налоговом органе и открывает отделение на территории другого налогового органа
++
++
--

++
++
--

++
--

--

--

--

--

--

+
Иностранное юридическое лицо осуществляет или намеревается осуществлять деятельность в РФ менее одного месяца в году
--

--

--

--

--

--

--

-+
--

--

--

--

--

-
Интересы иностранного юридического лица на территории РФ представляет какая-либо организация или физическое лицо
--

--

++
--

--

--

--

--

++
++
++
--

--

-
Иностранное юридическое лицо получает пассивные доходы из источников на территории РФ
--

--

--

--

--

--

--

--

++
--

--

--

--

-

Иностранное юридическое лицо имеет имущество на территории РФ
--

--

--

--

--

--

--

--

--

--

--

-+
--

+
Для расчетов с иностранными юридическими лицами по НДС
++
++
++
+-
++
+-
--
--
--
--
--
--
--
+
Иностранное юридическое лицо (кроме банков и иных кредитно-финансовых учреждений) открывает счет в уполномоченном банке на территории РФ
--

--

--

--

--

--

--

--

--

--

--

--

++
-

При осуществлении учета идентификационный номер налогоплательщика (ИНН) иностранному юридическому лицу присваивается в следующих случаях:
- при наличии у него одного или нескольких отделений, осуществляющих деятельность в России в течение одного месяца;
- при наличии у него имущества в России, не связанного с его деятельностью через отделение;
- в целях проведения расчетов по налогу на добавленную стоимость.
Примечания.
1. Форма 2001 FE (1996) «Заявление о постановке на учет и присвоении идентификационного номера налогоплательщика».
2. Форма 2101 FE (1996) «Карта постановки на учет».
3. Легализованные выписка из торгового реестра или сертификат об инкорпорации или другой документ аналогичного характера, содержащий информацию об органе, зарегистрировавшем иностранную организацию, о регистрационном номере, дате и месте регистрации, с нотариально заверенным переводом на русский язык. Вместо подлинников указанных документов могут быть представлены нотариально заверенные копии. Для организаций, создание которых не требует специальной регистрации (внесение в торговый реестр и т.п.), — легализованные копии учредительных документов с нотариально заверенным переводом на русский язык.
4. Решение уполномоченного органа иностранного юридического лица о создании отделения в РФ или копия контракта, на основании которого осуществляется деятельность в РФ, с нотариально заверенным переводом на русский язык.
5. Доверенность, выданная иностранным юридическим лицом на главу (управляющего) отделения или его заместителя, с нотариально заверенным переводом на русский язык.
6. Уведомление произвольной формы, в котором должны содержаться сведения о ранее присвоенном ИНН, о виде деятельности, дате ее начала, адрес места осуществления деятельности, главе (управляющем) или его заместителе.
7. Копия первого экземпляра Карты по форме 2101 FE (1996), выданной налоговой инспекцией, где иностранное юридическое лицо состоит на налоговом учете.
8. Форма 1011 FE (1996) «Уведомление об источниках доходов в РФ».
9. Форма 2201 FE (1996) «Уведомление о постоянном представительстве».
10. Ко пия соглашения (договора, контракта), определяющего взаимоотношения между российским и иностранным юридическим лицом (при наличии) или между физическим лицом и иностранным юридическим лицом (при наличии).
11. Легализованные копии учредительных документов иностранного юридического лица с нотариально заверенным переводом на русский язык (в случае, если российская организация или физическое лицо являются одним из его учредителей или владельцем доли акционерного капитала).
12. Форма 3803 FE (1996) «Уведомление иностранного юридического лица об имуществе в РФ».
13. Форма 2202 FE (1996) «Уведомление».
Инструкцией Госналогслужбы Российской Федерации от 16 июня № 34 1995 г. «О налогообложении прибыли и доходов иностранных юридических лиц» предусмотрена необходимость представления в налоговые органы иностранными юридическими лицами, имеющими источник доходов на территории Российской Федерации, уведомления об источниках доходов. Оно должно направляться в месячный срок с момента возникновения права на получение доходов или начала деятельности, не осуществляемой через отделения иностранного юридического лица.
Введение положения о представлении в налоговые органы сведений об источниках доходов связано не столько с усилением контроля за получением иностранными юридическими лицами доходов из источников в Российской Федерации и их налогообложением, а в большей степени с необходимостью более четкого соблюдения положений соглашений об избежании двойного налогообложения, включая создание в необходимых случаях действенного механизма предварительного освобождения от удержания налогов у источника выплаты.
Основные требования к налоговому учету в отделениях иностранных юридических лиц на территории Российской Федерации. На иностранные юридические лица не распространяется обязанность вести бухгалтерский учет в соответствии с действующими нормативными актами Министерства финансов Российской Федерации. Налоговые
обязательства иностранных юридических лиц определяются не на основе данных бухгалтерского баланса и ведомостей бухгалтерских счетов, а расчетным способом на основе счетов-фактур, инвойсов, расписок, а также сведений из бухгалтерского учета головного офиса иностранной компании.
Вместе с тем, как показала практика налогообложения, для обеспечения своевременности и правильности уплаты налогов, одинакового понимания налогоплательщиками и налоговыми органами методов расчета налоговых обязательств и единообразного их применения налоговыми органами требуется определенная формализация процесса учета хозяйственных операций в отделениях иностранных юридических лиц и расчета налоговых обязательств.


Достойная и уверенная манера держаться.


В другом исследовании, опирающемся на опрос более чем 100 руководителей хозяйственных и государственных организаций, выявилось, что такого рода власть применялась редко. К ней прибегали лишь тогда, когда несколько руководителей приходили к выводу, что плохая производительность труда вызвана отсутствием дисциплины, а не отсутствием способностей.
Организации, где страх используется очень часто, возможно, не смогут прожить долгую жизнь в условиях частного предпринимательства и открытого общества. По словам Фреда Лутанса, «хотя принуждение и может привести к временной покорности подчиненного, оно производит нежелательные побочные эффекты — скованность, страх, месть и отчуждение. Это, в свою очередь, может привести к более низкой производительности труда, неудовлетворенности работой и большой текучести кадров». Наше представление читателям способов внушения страха не означает, что мы одобряем их, мы просто констатируем реальности, существующие во многих организациях. Заметьте, что даже в академическом мире, где так неодобрительно относятся к власти, основанной на принуждении, периодически грешат, используя страх как способ влияния.
«Не опубликуешься, не выживешь» — эту угрозу многие профессора воспринимают совершенно серьезно.
Поскольку все — личности, и их потребности имеют уникальный характер, то, что одному представляется ценным вознаграждением, может не показаться таковым другому или тому же первому, но в иной ситуации. Чтобы влиять на поведение, вознаграждение должно восприниматься как достаточно ценное. Другими словами, исполнителю должно предоставляться такое вознаграждение, чтобы оно было адекватно согласию на влияние. Эта воображаемая адекватность является главным преимуществом власти, основанной на вознаграждении, по сравнению со слабыми сторонами власти, основанной на принуждении. Джон П.Коттер отмечает,, что можно также усилить власть путем создания у других чувства обязанности, периодически оказывая им личные одолжения. Коттер утверждает, что «некоторые люди обладают большой способностью делать личные одолжения, которые отнимают у них мало времени или усилий, но которые другие лица ценят очень высоко».
Недостатки положительного подкрепления, В некотором смысле власть, основанная на вознаграждении, будет действенна всегда при условии, что руководитель сможет правильно определить то, что в глазах исполнителя является вознаграждением, и фактически предложить ему это вознаграждение. Однако на практике у руководителя масса ограничений в возможности выдавать вознаграждения. У каждой организации ресурсы ограничены, и она может выделить на поощрение персонала строго определенное количество ресурсов. Полномочия руководителя предлагать материальные стимулы также регламентируются политикой фирмы и всякими методиками. В некоторых случаях ограничения могут быть поставлены извне, как, например, в трудовом договоре с профсоюзом, где оговаривается, какие вознаграждения могут быть предложены за те или иные виды работ. Трудность использования власти, основанной на вознаграждении, увеличивается еще и тем, что часто бывает не просто определить, что же сочтут вознаграждением. Деньги и более престижная должность не всегда способны произвести впечатление на человека и повлиять на его поведение. Поэтому хороший руководитель должен научиться использовать и другие способы влияния.
Если оглянуться на историю, традиция окажется самым распространенным инструментом влияния. Руководитель пользуется традицией, чтобы удовлетворить потребность исполнителя в защищенности и принадлежности. Однако, этот метод станет действенным только при условии, что исполнитель уже усвоил ценности, которые дадут ему возможность поверить, что руководитель способен удовлетворить эти потребности. Поэтому влияние с помощью традиции возможно лишь тогда, когда нормы культуры, внешние по отношению к организации, поддерживают точку зрения, что подчинение начальству является желаемым поведением. Хэмптон, Саммер и Уэбер считают, что «система, основанная на традиции, рухнет, если она также не даст своим лояльным, покорным сторонникам тепло и защищенность».
Недостатки методики, опирающейся на традицию. Интересно отметить, что часто традиция объясняет одним словом, почему некоторые испытанные концепции теории управления не всегда широко используются на практике. Хорошим примером являются вознаграждения, основанные на заслугах. Хотя почти все разделяют мнение, что заслуги перед фирмой — лучший критерий для назначения большей заработной платы или продвижения по службе, гораздо чаще в качестве критерия используется трудовой стаж. И можно понять почему. Трудовой стаж легко вычисляется, он является объективной категорией и начисляется всем одинаково. Поскольку трудовой стаж как критерий используется уже давно, многие люди заинтересованы в нем. Этим людям потребовалось много лет для достижения их сегодняшней должности, поэтому переход на другую систему исчисления вознаграждений — по заслугам — они считают не только несправедливым, но и представляющим серьезную угрозу. В силу этого они используют приобретенную власть, чтобы сохранить статус-кво, даже если это и не в интересах организации или общества.
Не существует достаточно убедительных объяснений, почему молодые американцы не так легко поддаются влиянию традиций, как их родители. Уолтон приводит такие факторы,
как растущий уровень благополучия и защищенности, более высокий уровень образования, смещение акцента с индивидуализма на социальную принадлежность и все меньший упор на социализированное подчинение в школе, семье и церкви. Однако более глубокая причина этого явления заключается в том, что молодежь не видит такой тесной связи между традиционными ценностями и вознаграждением, с одной стороны, и удовлетворением своих собственных потребностей — с другой. Возможно, это происходит потому, что традиция лучше всего воздействует на людей, которые мотивированы, в первую очередь, защищенностью и принадлежностью, в то время как благосостояние и более продолжительный досуг в среднем увеличивают уровень потребности в том, чтобы быть мотивированным компетентностью, уважением и успехом. Или, возможно, наши современные институты подорвали основу своей собственной традиционной власти тем, что не смогли последовательно вознаграждать хороших исполнителей и наказывать тех, чье поведение мешает росту производительности. Какова бы ни была причина этого явления, руководителю организации, по-видимому, следует больше полагаться на другие механизмы влияния.
Говоря о власти руководителя и эффективности организации, И.К. Шетти отмечает, что если полагаться на традиционную власть, это обязательно породит проблемы, так как может войти в противоречие с ценностями современного трудящегося человека, связанными с его работой: причастность к организации, участие в некоторых ее мероприятиях.
Харизма — это власть, построенная не на логике, не на давней традиции, а на силе личных качеств или способностей лидера. Власть примера, или харизматическое влияние, определяется отождествлением исполнителя с лидером или влечением к нему, а также от потребности исполнителя в принадлежности и уважении. В противоположность безличному «должностному» влиянию традиции харизматическое. влияние — целиком личное. Даже невзирая на то, что исполнитель и лидер никогда не встречались, в представлении исполнителя его отношения с лидером строятся почти на равных. Исполнители могут вообразить, что у него или у нее много общего с лидером. На уровне подсознания исполнитель также ждет, что подчинение, возможно, сделает его похожим на лидера или, по крайней мере, вызовет к нему уважение. Вот некоторые характеристики харизматических личностей. 1. Обмен энергией. Создается впечатление, что эти личности излучают энергию и заряжают ею окружающих их людей. 2. Внушительная внешность. Харизматический лидер не обязательно красив, но привлекателен, обладает хорошей осанкой и прекрасно держится. 3. Независимость характера. В своем стремлении к благополучию и уважению (в их понимании) эти люди не полагаются на других. 4. Хорошие риторические способности. У них есть умение говорить и способность к межличностному общению. 5. Восприятие восхищения своей личностью. Они чувствуют себя комфортно, когда другие выражают им восхищение, нисколько не впадая в надменность или себялюбие. 6. Достойная и уверенная манера держаться. Они выглядят собранными и владеющими ситуацией.
Хороший пример харизматической личности — Мухаммед Али. Один только талант выдающегося боксера логически не в силах объяснить поклонения ему миллионов людей. Именно благодаря харизматизму его личности люди ощущают гораздо более тесную связь с Али, чём с другими чемпионами по боксу, как, например, с Джо Фрейзером. Другие примеры для сравнения — Арнольд Палмер, Уолтон Пэйтон, Лоренс Тейлор.
Люди чаще испытывают влияние тех, кто обладает восхищающими их чертами характера и кто является их идеалом, похожими на которого они хотели бы быть. Такие харизматические личности часто участвуют в рекламах, чтобы повлиять на людей и побудить их купить продукт или воспользоваться услугой. Руководитель, слывущий харизматической личностью, также может иметь и использовать власть примера. Руководители часто служат примером поведения для подчиненных. Это может быть подражание стилю поведения и манерам руководителя. Джон П.Коттер отмечает: «Как правило, чем больше руководитель является для кого-то идеалом, тем больше он или она
проявляют уважение к этому руководителю». Надлер, Хэкман и Лоулер считают, что «уважаемому и обожаемому линейному руководителю было бы достаточно власти примера: подчиненные слушались бы его потому, что любят его и отождествляют себя со своим начальником.1
Стремление организаций к более точному определению признаков в деятельности экономической системы, которые позволяют реализовывать поставленные цели, приводит к необходимости упорядочивания вопросов руководства, таких, как мотивация, разрешение конфликтов, 'социальный контроль, использование власти. Формы организации системы в сочетании с руководством позволяют реализовать последовательное соединение элементов системы, обеспечивающее оптимальный экономический рост. Поэтому необходимо более подробно остановиться на вопросах формы организации системы менеджмента, а также на формах руководства, власти и партнерстве, стиле менеджмента и имидже менеджера.


Единовременные поощрительные выплаты


Т — фактически отработанное на производстве время, ч (дни). При повременно-премиальной системе заработная плата работника [ЗПпл) может
быть определена по следующей формуле:

где  р — размер премии в процентах к тарифной ставке за выполнение установленных
показателей и условий премирования;
k — размер премии за каждый процент перевыполнения установленных показателей и условий премирования, %;
n — процент перевыполнения установленных показателей и условий премирования.
При сдельной форме оплаты труда заработная плата работникам начисляется по заранее установленным расценкам за каждую единицу выполненной работы или изготовленной продукции.
Сдельная форма оплаты труда стимулирует прежде всего улучшение объемных, количественных показателей работы. Поэтому она применяется на участках производства с преобладанием ручного или машинно-ручного труда: именно в этих условиях возможно учесть количество и качество произведенной продукции, обеспечить увеличение объема производства и обоснованность устанавливаемых норм труда.
Сдельную форму заработной платы наиболее целесообразно применять при:
- наличии количественных показателей работы, которые непосредственно зависят от данного рабочего или всей бригады;
- возможности у рабочих увеличить выработку или объем выполненных работ;
- необходимости на данном участке стимулировать рабочих к дальнейшему увеличению выработки продукции или объемов выполняемых работ;
- возможности точного учета объемов (количества) выполняемых работ;
- применении технически обоснованных норм труда.
При использовании сдельной формы оплаты труда сохраняется опасность снижения качества выпускаемой продукции, нарушения режимов технологических процессов, ухудшения обслуживания оборудования, его преждевременного выхода из строя, нарушения требований техники безопасности, перерасхода материальных ресурсов.
В ряде промышленно развитых стран Запада многие профсоюзные организации отрицательно относятся к сдельной форме оплаты труда, поскольку, с их точки зрения, она устанавливает зависимость заработка рабочего от его индивидуальных способностей и носит потогонный характер.
Сдельная форма оплаты труда подразделяется на системы по способам:
- определения сдельной расценки (прямые, косвенные, прогрессивные, аккордные, подрядные);
- расчетов с работниками (индивидуальная или коллективная);
- материального поощрения (с премиальными выплатами или без них). Эти способы используются одновременно.
Наиболее распространенными показателями и условиями премирования рабочих на отечественных предприятиях являются:
- выполнение и перевыполнение производственных заданий по выпуску продукции и повышению производительности труда;
- работа по технически обоснованным нормам выработки;
- снижение трудоемкости изготовления продукции;
- снижение брака;
- сдача продукции с первого предъявления и др.
Целесообразно дополнять основной заработок рабочего, рассчитанного по повременно-премиальной системе, количественными показателями, а рассчитанного по сдельно-премиальной системе — качественными показателями премирования.
Как показывает опыт, премирование целесообразно осуществлять по двум-трем одновременно применяемым показателям и условиям премирования.
При косвенно-сдельной системе заработной платы, применяемой прежде всего для оплаты труда вспомогательных рабочих, непосредственно занятых обслуживанием основных рабочих, определяются косвенно-сдельные расценки.
При прямой коллективной сдельной системе заработок рабочих может быть определен аналогичным образом с использованием коллективной сдельной расценки и общего объема произведенной продукции (выполнение й-работы) бригадой в целом.
При сдельно-премиальной системе рабочему-сдельщику или бригаде рабочих, кроме заработка по прямым сдельным расценкам, выплачивается премия за выполнение и перевыполнение установленных количественных и качественных показателей, предусмотренных установленным положением о премировании.
При сдельно-прогрессивной системе изготовленная продукция в пределах установленной нормы оплачивается по обычным расценкам, а произведенная сверх этой нормы — по повышенным расценкам.
Аккордная система заработной платы предусматривает установление определенного объема работ и общей величины фонда заработной платы за эту работу. Средства, предусмотренные на оплату труда, выплачиваются после завершения всего комплекса работ независимо от сроков их выполнения. Данная система заработной платы стимулирует прежде всего выполнение всего комплекса работ с меньшей численностью работающих и в более короткие сроки.
Оплата труда служащих осуществляется в соответствии с установленным им по штатному расписанию окладом и в соответствии с действующей системой премирования. По своему характеру она ближе к повременно-премиальной системе с той лишь разницей, что вместо тарифной ставки (дневной или часовой) фигурирует месячный или годовой оклад. Установленные показатели и условия премирования учитывают специфику труда служащих умственного труда, а также специфику того подразделения, в котором данный служащий работает.
Основным источником выплат заработной платы всем категориям работающих является фонд заработной платы, средства которого формируются за счет себестоимости выпускаемой продукции.
В соответствии с утвержденной инструкцией в состав фонда заработной платы включаются: оплата за отработанное время; оплата за неотработанное время; единовременные поощрительные выплаты; выплаты за питание, жилье, топливо.
Оплата за отработанное время включает в себя:
- заработную плату по тарифным ставкам и окладам, а также по сдельным расценкам;
- стоимость продукции, выданной в порядке натуральной оплаты;
- премии и вознаграждения;
- стимулирующие доплаты и надбавки к тарифным ставкам за профессиональное мастерство, совмещение профессий и должностей;
- компенсационные выплаты, связанные с режимом работы и условиями труда, и др. Оплата за неотработанное время включает в себя оплату:
- ежегодных и дополнительных отпусков;
- льготных часов работы подростков;
- простоев не по вине работника;
- вынужденного прогула и др.
Единовременные поощрительные выплаты включают в себя:
- единовременные (разовые) премии;
- вознаграждение по итогам работы за год, годовое вознаграждение за выслугу лет (стаж работы);
- материальную помощь, предоставляемую всем или большинству работников;
- денежную компенсацию за неиспользованный отпуск;
- стоимость бесплатно выдаваемых работникам в качестве поощрения акций или льгот по приобретению акций и др.
В последние годы некоторые крупные зарубежные предприятия, используя новый управленческий подход, отказываются не только от индивидуальной сдельной, но и от повременной системы оплаты труда. При этом система материального стимулирования ориентируется на фактическую квалификацию работника (на основании не диплома, а уровня выполняемой работы). На таких предприятиях работники получают фиксированное жалованье за квалификацию, а не за число человеко-часов, проведенных на своем рабочем месте.
Под фактической квалификацией понимается также способность работника не только выполнять свои непосредственные обязанности, но и участвовать в решении производственных проблем, разбираться в любом аспекте хозяйственной деятельности своего предприятия.1
Производственная деятельность предприятия включает в себя подготовку плана, или первичные действия, и действия по его реализации. Последние направлены на отслеживание свойств и отношений реализации плана в динамике его взаимодействия с рыночной средой. Особое место здесь занимают трудовые отношения, регулирование системы которых на предприятии позволяет проследить реализацию плана по основным группам действий.
Обеспечение потребности действующего предприятия в кадрах предполагает не только определение численности работников предприятия, но и ее сопоставление с имеющейся рабочей силой, оценку текучести кадров и определение дополнительной потребности или избытка кадров.
Оборот кадров — это отношение числа всех выбывших (оборот по увольнению) или вновь принятых (оборот по приему) за определенный период времени к среднесписочной численности работающих за этот же период.
Текучесть кадров — это выраженное в процентах отношение числа уволенных по собственному желанию работников за определенный период времени к среднесписочной их численности за тот же период.
На уровень текучести рабочей силы на предприятии оказывает влияние множество факторов: род деятельности предприятия, пол и возраст работающих, общее состояние конъюнктуры и др. Например, в гостиничном деле уровень текучести кадров традиционно выше, чем в производственных отраслях; текучесть женской рабочей силы значительно выше, чем мужской; текучесть рабочей силы ниже в фазе оживления и подъема экономики.
Следует отметить, что с текучестью рабочей силы связаны довольно существенные затраты:
- прямые затраты на увольняемых работников; расходы, связанные со спадом производства в период замены;
- уменьшение объема производства из-за подготовки и обучения кадров;
- плата за сверхурочные оставшимся работникам;


Факторные доходы и их функциональное распределение


Факторные доходы и их функциональное распределение В экономической теории проблема распределения и образования факторных доходов всегда вызывала огромный интерес. То, что для владельцев факторов производства является доходом, для покупателей этих факторов является издержками. Так, для владельца рабочей силы заработная плата является доходом (платой за труд), а для предприятия — это издержки производства.
Что же такое доход? В экономической теории различают два вида дохода: во-первых, доход как понятие частнохозяйственное, т.е. на микроуровне. Сюда относятся доходы от работы по найму (трудовой доход), от предпринимательской деятельности, от собственности; во-вторых, доход как понятие народнохозяйственное (национальный доход), т.е. на макроуровне.
Здесь нам предстоит проанализировать доходы, получаемые в результате функционального распределения, на основе использования факторов производства. От функционального распределения отличают персональное распределение доходов, которое представляет собой распределение совокупного дохода общества между отдельными лицами, семьями, домашними хозяйствами и т.д. Это распределение будет рассмотрено в разделе, посвященном макроэкономике.
Самое общее представление о доходе на микроуровне мы можем получить из следующего определения.
Доход — это денежные средства, полученные в результате хозяйственной деятельности за определенный промежуток времени.
Это итог работы предприятия (фирмы), физического лица или всего общества в денежном выражении (в рублях, долларах, марках и т.д.). Классификация доходов производится по разным критериям. В зависимости от субъекта присвоения (того, кто получает) можно выделить следующие доходы:
- населения;
- предприятия (фирмы);
- государства;
- общества (национальный доход).
Совокупность этих доходов определяет максимальный спрос общества. Далее в зависимости от величины полученного и реально располагаемого дохода в доходах населения выделяют:
- номинальный доход — это общая сумма полученных денег;
- располагаемый, или чистый, доход — это остаток после выплаты налогов;
- реальный доход — чистый доход с поправкой на изменение цен. При анализе доходов предприятия или фирмы обычно оперируют следующими понятиями:
- валовой доход, который равен выручке от реализации всей продукции (в денежных единицах: рублях, долларах и т.д.);
- средний доход, рассчитываемый на единицу проданной продукции;
- предельный доход, который представляет собой приращение валового дохода от продажи дополнительной единицы продукции. Его рассчитывают как отношение прироста валового дохода к приросту количества продукции:
Предельный доход =

Различение валовых и предельных доходов имеет важное значение в связи с функционированием закона убывающей доходности.
Суть закона убывающей доходности в том, что дополнительно применяемые затраты одного фактора при неизменном количестве других факторов производства дают все меньший объем дополнительной продукции и, следовательно, валового дохода.
Другой результат может быть получен при одинаковом и единовременном увеличении всех факторов производства. В этом случае увеличиваются выпуск продукции и валовой доход предприятия в такой же или даже в большей степени по сравнению с увеличением факторов производства. Данная ситуация называется ростом доходности на основе увеличения масштабов производства. Этот феномен обусловлен следующим:
- во-первых, специализация трудовых операций в масштабе укрупненного производства увеличивает производительность труда и доходы предприятия за счет роста этой производительности;
- во-вторых, такой же результат дает специализация управленческих функций;
- в-третьих, эффективно применение дорогостоящих мощных компьютеров, робототехнического комплекса.
Динамику валового дохода фирмы можно представить графически ( 15.1.5). Производство товара за пределами позиции 7 уменьшает валовой доход. Поэтому, если производится свыше 7 единиц товара, эффективность производства снижается.
Из графика валового дохода мы видим, что, продвигаясь к максимальной точке А, крутизна кривой падает и уменьшается прирост валового дохода (предельный доход).
График предельного дохода ( 15.1.6) легко определить на основе графика динамики валового дохода фирмы.
Предельный доход после позиции 7 товара отрицательный, ибо увеличение Q ведет к уменьшению валового дохода.

В условиях насыщенного рынка предельный доход обычно меньше цены. Это связано с тем, что увеличение предложения товара приводит к уменьшению рыночной цены.
Сравнение общих (валовых) издержек производства и общего (валового) дохода показывает, что фирме имеет смысл производить продукцию в том случае, когда она будет получать экономическую прибыль (разницу между денежной выручкой и всеми издержками предприятия). При всех условиях фирма стремится производить такое количество продукции, которое обеспечивает ей максимальный доход и минимальные потери. '


Факторы производства и неоклассическая концепция Хекшера — Олина


Факторы производства и неоклассическая концепция Хекшера — Олина Главным фактором, влиявшим на производство товаров, как считали А.Смит и Д.Рикардо, был труд, и цена зависела от трудовых издержек, т.е. они придерживались трудовой теории стоимости.
Последующие исследования дали возможность использовать в качестве определяющих такие факторы производства, как земля и капитал. Если рыночной ценой труда была величина заработной платы, которую мог получать рабочий, то цена капитала определялась процентной ставкой, а цена земли — величиной земельной ренты.
В 30-е годы шведские ученые Э.Хекшер и Б. Олин развили доктрину Д.Рикардо.
Основные положения их теории сводились к следующему:
1. В странах наблюдается тенденция экспортировать товары, для изготовления которых используются имеющиеся в избытке факторы производства и, наоборот, импортировать товары, для производства которых необходимы относительно редкие факторы.
2. В международной торговле, при соответствующих условиях, прослеживается тенденция к выравниванию «факторных цен».
3. Экспорт товаров может быть заменен перемещением факторов производства.
Э.Хекшер и Б.Олин, являясь последователями Д.Рикардо, негативно оценивали различные ограничения, затрудняющие межстрановое перемещение как товаров, так и факторов производства.
Концепция Хекшера — Олина включает ряд положений, касавшихся особенностей функционирования факторов.
В соответствии с первым положением допускается постепенное уменьшение величины предельной полезности каждого из дополнительно включаемых в производство факторов. Это означает, что при увеличении, например, численности рабочих, занимающихся производством картофеля на 10%, объем выпуска продукта увеличится на меньшую величину. Дальнейшее увеличение численности рабочих будет вести к меньшему росту объема производимых товаров.
Среди экономистов нет единого мнения относительно того, в каком направлении изменяется предельная полезность дополнительно вовлекаемых факторов. Д.Рикардо исходил из постоянной величины предельной полезности; многие же его последователи утверждали, что в ряде случаев, особенно при организации массового производства, предельная полезность возрастает.
Второе положение характеризует особенности потребления товаров. В обеих странах предполагаются одинаковыми структура потребления, вкусы, привычки населения. Все производители находятся в равных условиях, имеют аналогичные производственные возможности. Практически не изменяются тарифы, транспортные расходы и другие издержки производства.
Теория факторов производства исходит из того, что производство товаров есть результат использования первичных элементов — факторов производства. Классическая экономическая теория выделяет три основных фактора: труд, землю, капитал.
Под ценой фактора подразумевается вознаграждение, которое получает владелец фактора за его использование. Для труда — это заработная плата, для капитала — процентная ставка, для земли — рента.
Третье положение констатирует возможность страны расширить производство товаров, использующих значительное количество имеющихся в избытке факторов. В стране-производителе такие факторы будут расходоваться во все возрастающих объемах, а их цена повышается по мере снижения предельной полезности каждого нового фактора. В стране-импортере, где потребность в данном факторе заменятся потреблением соответствующего товара, цена фактора будет уменьшаться.
Например, производство шерсти и зерна в Австралии и Новой Зеландии с последующей продажей этих товаров в Великобританию будет означать расширение использования дешевых австралийских и новозеландских земель под зерновые и пастбища. Результатом должно стать повышение цены земли в Австралии и Новой Зеландии и снижение земельной ренты в Великобритании, которая станет импортировать австралийское зерно.
Что касается «мобильных факторов», прежде всего труда и капитала, то по концепции Хекшера — Олина, признающей возможность их передвижения за пределы национальных границ, прогнозируется вероятность замены движения товаров движением факторов производства. Так, Германия вместо расширения экспорта товаров в Польшу может перевести туда свой капитал и построить завод, начав на месте производство данного товара в Польше.
Внешняя торговля в соответствии с концепцией Хекшера — Олина осуществляется следующим образом.
Предположим одновременное существование двух стран. Назовем их условно «Индустриальной», специализирующейся на производстве промышленных товаров, и «Аграрной», или «Аграрией», производящей сельскохозяйственную продукцию.
В «Индустриальной» имеется избыточное количество капитала и относительно незначительное количество рабочей силы; в «Аграрии», наоборот, — относительный избыток земли при нехватке капитала.
При производстве некоторых видов товаров наличие капитала является решающим фактором. Так, переработка нефти, электронное машиностроение, производство машин и оборудования представляют собой капиталоинтенсивное производство при незначительном количестве работающих. Страна, обладающая избыточной массой капитала, будет ориентироваться на развитие именно этих производств.
Вместе с тем в ряде производств, например, в зерновом хозяйстве для разведения рогатого скота, требуется значительное количество земельных ресурсов. Именно ими богата «Агрария», поэтому здесь в основном и будут производиться сельскохозяйственные продукты. «Индустриальная» сможет использовать имеющиеся ограниченные земельные площади для производства промышленных товаров, обмениваемых на ввозимые из «Аграрии» зерно и мясо. Общим результатом станет более эффективное использование капитала и земли. Классическим примером подобного разделения труда была внешняя торговля Англии с такими странами, как Австралия, Новая Зеландия, Канада. В обмен на машины и оборудование в Великобританию поставлялись зерно, шерсть, мясо.
Неоклассическая концепция Хекшера — Олина оказывалась удобной для объяснения причин развития торговли между метрополиями и колониями, когда в обмен на сырьевые товары, поступающие в развитые страны, обратно вывозились машины, оборудование, капитал. Концепция Хекшера — Олина использовалась для объяснения преимуществ стран в экспорте отдельных видов продукции в современных условиях. Например, преимущества Южной Кореи в экспорте таких трудоемких товаров, как одежда или электронные блоки, объяснялись наличием у нее значительного избытка дешевой рабочей силы, а преимущества Швеции в экспорте продукции сталелитейной промышленности — очень малым количеством фосфора, содержащимся в железной руде, позволяющим получать качественную сталь при минимальных производственных издержках. Преимущества Канады и Норвегии в выплавке алюминия были вызваны географическими условиями, позволяющими вырабатывать дешевую электроэнергию.1
Модель Хекшера — Олина подверглась интенсивному развитию и ее использовали для анализа проблем, связанных с торговлей и экономическим ростом, торговлей и распределением дохода. Было доказано, что при определенных ограничениях свободная торговля продуктами может полностью заменить мобильность факторов производства и привести к выравниванию факторных цен (абсолютных и относительных) в торгующих странах. Представим, что имеются два фактора производства — земля и капитал, и две страны — L и С, причем в первой имеется изобилие земли, а во второй — капитала.
Имеются также два товара — пшеница и тракторы, при этом производство пшеницы требует больших затрат земли (land intensive), а производство тракторов — больших затрат капитала (capital intensive). Земля имеется в избытке и дешева в L, следовательно, здесь будет дешевой и пшеница. Капитал дешев в С, следовательно, здесь будут дешевы и тракторы, являющиеся капитало-интенсивным товаром. Если будет осуществляться торговля, то С будет покупать пшеницу в L, поднимая таким образом цены на пшеницу и землю в L и снижая цены на них в С. Аналогично L будет покупать тракторы в С, поднимая цены на них и на капитал в С и снижая их в L. Такая торговля создает тенденцию к выравниванию цен на землю и капитал в обеих странах.
Подход Хекшера — Олина подвергался многочисленным эмпирическим проверкам на способность объяснить характер торговли. Наиболее известное испытание было осуществлено Леонтьевым (Leontief) в 1954 г., когда он применил свой метод затрат-выпуска (input-output) при изучении структуры внешней торговли США. Он исследовал содержание факторов производства в экспорте и импорте США, причем последний рассматривал так, как будто бы он тоже производился в США, и пришел к неожиданному выводу, что экспорт США является трудоинтенсивным, а товары, заменяющие импорт — капитало-интенсивными. Так как нет сомнений в том, что США являются страной, изобилующей капиталом, полученные результаты, названные парадоксом Леонтьева, опровергали модель Хекшера — Олина.


Финансовая политика


Финансовая политика Государство в процессе своего функционирования осуществляет политическую деятельность в различных сферах общественной жизни. Объектом этой деятельности выступают экономика в целом, а также ее отдельные составные элементы: цена, денежное обращение, финансы, кредит, валютные отношения и т.п.
Содержание финансовой политики достаточно сложное, так как охватывает широкий комплекс мероприятий:
1) разработку общей концепции финансовой политики, определение ее основных направлений, целей, главных задач;
2) управление финансовой деятельностью государства и других субъектов экономики. Основу финансовой политики составляют стратегические направления, которые определяют долгосрочную и среднесрочную перспективу использования финансов и предусматривают решение главных задач, вытекающих из особенностей функционирования экономики и социальной сферы страны. Одновременно с этим государство осуществляет выбор текущих тактических целей и задач использования финансовых отношений. Они связаны с основными проблемами, стоящими перед государством, в области мобилизации и эффективного использования финансовых ресурсов, регулирования экономических и социальных процессов и стимулирования передовых направлений развития производительных сил, отдельных территорий и отраслей экономики. Все эти мероприятия тесно взаимосвязаны между собой и взаимозависимы.
Финансовый механизм — наиболее динамичная часть финансовой политики. Его изменения происходят в связи с решением различных тактических задач, и поэтому финансовый механизм чутко реагирует на все особенности текущей обстановки в экономике и социальной сфере страны. Одно и то же финансовое отношение может быть организовано государством по-разному. Так, отношения, возникающие между государством и юридическими лицами по формированию бюджета, могут строиться на основе взимания налогов или неналоговых платежей. При этом система налогов может включать различный перечень прямых и косвенных, общегосударственных и местных налогов, а каждый налог будет иметь особый субъект, объект обложения, ставки, льготы и другие элементы, изменяющиеся в связи с развитием налогового законодательства.
Управление финансами предполагает целенаправленную деятельность государства, связанную с практическим, использованием финансового механизма. Эта деятельность осуществляется специальными организационными структурами. Управление включает в себя ряд функциональных элементов: прогнозирование, планирование, оперативное управление, регулирование и контроль. Все эти элементы обеспечивают проведение мероприятий финансовой политики в текущей деятельности государственных органов, юридических лиц и граждан.
Финансовая политика является составной частью экономической политики государства. В ней конкретизируются главные направления развития народного хозяйства, определяется общий объем финансовых ресурсов, их источники и направления использования, разрабатывается механизм регулирования и стимулирования финансовыми методами социально-экономических процессов.
При выработке финансовой политики следует исходить из конкретных особенностей исторического развития общества. Она должна учитывать специфику внутренней и международной обстановки, реальные экономические нефинансовые возможности страны. Учет текущих особенностей должен дополняться изучением опыта использования экономического и финансового механизма, новых тенденций развития, а также мирового опыта.
При проведении финансовой политики особенно важно требование обеспечения ее взаимосвязи с другими составными частями экономической политики — кредитной, ценовой, денежной.
Типы финансовой политики. Развитие государства связано с изменением финансовой политики. Использование того или иного типа финансовой политики связано с особенностями текущего этапа развития экономики и социальной сферы, интересами правящих партий и социальных групп и господствующими теоретическими концепциями, влияющими на экономический и политический курс государства. Все это обеспечивает сохранение и развитие существующей в данном государстве системы общественных отношений.
Большое внимание в финансовом механизме уделяется системе государственного кредита, на основе которого проводится политика дефицитного финансирования. Государство активно развивает применение долгосрочных и среднесрочных займов. Рынок ссудных капиталов становится вторым по значению источником доходов бюджета, а дефицит бюджета используется для регулирования экономики.
В 70-х годах в основу финансовой политики многих государств была положена неоконсервативная стратегия, связанная с неоклассическим направлением экономической теории. Эта разновидность финансовой политики не отказывалась от регулирования как такового, но ограничивала вмешательство государства в экономику и социальную область. Регулирование экономики становится многоцелевым. Кроме экономического роста и занятости, государство регулирует денежное обращение, валютный курс, социальные факторы экономики, структурную перестройку хозяйства.
Финансовый механизм в этих условиях исходит из необходимости сокращения объема перераспределения национального дохода через финансовую систему, снижения бюджетного дефицита, стимулирования роста сбережений как источника производственного инвестирования.1


14.1. Экономическая теория макроэкономические проблемы инфляции и безработицы; основные макроэкономические школы; мировая экономика и экономический рост
В рамках изложения вопросов экономической теории рассматривается процесс избрания системы измерения, позволяющей отслеживать включение специальной научно-исследовательской информации в определенную последовательность объяснения взаимодействия потребления, инвестирования и дохода. Причем, количественное отслеживание соотношения данных совокупных величин предшествует рассмотрению макроэкономических проблем инфляции и безработицы. Данная процедура отслеживания является основанием для оценки достоверности использования инвестиционных мультипликатора и акселератора. Этим процессом занимались отдельные исследователи, их точка зрения определялась, в том числе, методами и подходами к решению макроэкономических проблем инфляции и безработицы той школы, к которой они относились.


Финансово-кредитная система государства


Финансово-кредитная система государства В доперестроечный период финансово-кредитная система являлась в основном проводником принятых решений. В настоящее время формируется финансовый рынок как сфера обращения (купли-продажи) денежных ресурсов, ценных бумаг, иностранных валют. Он предоставляет субъектам предпринимательства многовариантную возможность получения источников финансирования или выгодного вложения временно свободных средств.
Банки, страховые организации и другие финансово-кредитные учреждения, а также эмитенты оказывают финансовые услуги, привлекают и предоставляют на коммерческой основе средства. Предприятия имеют возможность делать вклады в банк на рублевые или валютные счета, на депозиты, приобретать или продавать ценные бумаги и т.д. Каждое предприятие на основе глубокого изучения конъюнктуры финансового рынка с учетом действующего законодательства по его регулированию формирует оптимальный портфель финансовых вложений и заимствований.
При выборе вариантов операций на финансовом рынке его субъектами учитываются различия между ценами продаж и покупок, ставками привлечения и предоставления кредитов, которые определяются как законами рынка, так и мерами государственного регулирования в лице органов законодательной и исполнительной власти РФ, Центрального банка России, а также органов экономического управления в регионах.
По своей структуре финансовый рынок делится на несколько сегментов:
- рынок кредитов (денежных ресурсов национальной валюты);
- фондовый рынок (рынок ценных бумаг);
- валютный рынок.
Рынок кредитов (денежных ресурсов национальной валюты). Общие принципы современной кредитной политики устанавливаются законодательством о банках и банковской системе, указами Президента РФ. Непосредственно рынок кредитов регулируется Центральным банком РФ, который определяет денежно-кредитную политику, тогда как коммерческие банки призваны воплощать ее в жизнь. Коммерческие банки независимы, но действуют в единой денежно-финансовой системе и поэтому вынуждены подчиняться правилам регулирования и надзора, установленным законодательством и ЦБ РФ. К нормам регулирования, затрагивающим интересы клиентов коммерческих банков, относятся:
- обязательное отчисление средств (в рублях и валюте) в резервный фонд ЦБ;
- получение кредитов под проценты из резервного фонда.
Все банки отчисляют средства в резервный фонд ЦБ. Из этого фонда в критических ситуациях банки получают кредиты под проценты на уровне учетной ставки. Нормы обязательных резервов составляют: по счетам до востребовании — 20%, по срочным обязательствам — 15%, по текущим валютным счетам — 2%. Обязательные нормы резерва необходимы для обеспечения достаточной ликвидности коммерческих банков, контроля банковской деятельности. Их размер зависит от активности этих банков в области долгосрочного кредитования и степени рискованности банковского кредитования. Наличие множества рисков невозврата средств заставляет отбирать объекты для финансирования по результатам аудита по жестким международным стандартам. Независимо от кредитополучателя, сроков, гарантов инвестиции должны иметь высокие (до 100%) резервные покрытия, обеспечиваться ликвидным залогом.
ЦБ осуществляет контроль за коммерческими банками и по другим направлениям: накопление ими собственного капитала, усиление гарантийных обязательств, обеспеченность кредитного портфеля, проведение операционных действий по наличному и валютному обороту и т.д.
В чистом виде рынок кредитов представлен на межбанковском уровне и на уровне взаимоотношений коммерческих банков с предприятиями и населением. ЦБ РФ уходит от прямого целевого кредитования отраслей, заменяя этот способ распределения централизованных кредитных ресурсов кредитными аукционами. Центральный банк организует кредитный аукцион с объявлением минимальной процентной ставки, а результаты аукциона позволяют фиксировать ее реальную величину. Учетная ставка ЦБ влияет на динамику рыночных ставок, одновременно и аукционные торги корректируют учетную ставку.1
В условиях рынка при осуществлении экономической политики выявляются возможности воздействия на денежный рынок с целью его регулирования. Основой для осуществления государственного регулирования денежного спроса и предложения является банковская система. В России она представляет собой двухуровневую систему с Центральным банком и коммерческими банками, которые отбираются и лицензируются государственными органами. Это позволяет государству проводить последовательную политику, воздействуя экономическими методами на денежный спрос и предложение через банковскую систему.
В настоящее время в России самая высокая в мире процентная ставка по кредитам, векселям и депозитам. Она устанавливается на уровне не более чем 5 процентных пунктов ниже межбанковской рыночной процентной ставки.
Величина процентной ставки влияет на стимулы получения коммерческими банками ссуд. Учетная ставка должна быть относительно низкой и стабильной (колебания не должны превышать 15—20% в год). В этом случае у банков и заемщиков снижаются риски по кредитным операциям. Запаздывание с регулированием учетной ставки увеличивает спрос на деньги, тормозит долгосрочное кредитование. Банкам нельзя долгое время кредитовать под проценты, которые ниже темпа инфляции, т.е. субсидировать экономику за свой счет.
Официальные данные о движении цен весьма ненадежны, поэтому о реальности учетной ставки лучше судить, сопоставив ее с динамикой курса твердой валюты.
Органы государственной власти и органы местного самоуправления устанавливают предельные объемы эмиссии ценных бумаг, эмитируемых органами власти соответствующего уровня.
Рынок ценных бумаг (РЦБ). Федеральным органом исполнительной власти по проведению государственной политики в области РЦБ является Федеральная комиссия по рынку ценных бумаг (Федеральная комиссия). Ее полномочия не распространяются на эмиссию долговых обязательств Правительства РФ и ценных бумаг субъектов РФ. Основные функции Федеральной комиссии:
- разработка направлений развития рынка ценных бумаг;
- утверждение стандартов эмиссии ценных бумаг, проспектов эмиссии;
- установление обязательных требований к ведению реестра;
- лицензирование профессиональной деятельности на рынке ценных бумаг. Подавляющую часть ценных бумаг составляют государственные долговые обязательства, удостоверяющие отношения займа, должником которого выступает государство (органы власти и управления). Так, государственные краткосрочные облигации (ГКО) выпускаются в целях антиинфляционного финансирования расходов бюджета. Оборот по ГКО намного превышает оборот по всем остальным ценным бумагам вместе взятым. ГКО существуют в безбумажной электронной форме; срок обращения 3, 6 и 12 месяцев. Цены на ГКО устанавливают в Минфине РФ, продаются они по цене ниже номинала. Приобретают ГКО банки, страховые компании, промышленные и др. предприятия. Аукционные торги могут идти ежедневно. Коммерческие банки торгуют ГКО по лицензии ЦБ РФ и поддерживают вторичный рынок этих бумаг. Для физических лиц минимальная сумма продажи ГКО 10-15 тыс. руб. Доход от ГКО обеспечивает разница между ценой продажи и номиналом. Доход определяется по формуле:

где Д — доходность к погашению;
Н — номинал;
П — покупная цена;
т — количество дней до погашения;
С — ставка налога.
Торговля ГКО проводилось в г.Москве через дилеров межбанковской валютной биржи. Территориальные отделения Центрального банка выполняли функции финансовых брокеров, принимали заявки на покупку и продажу ГКО.
В последние годы государство все более активизирует политику на финансовом рынке. Минфин РФ конструирует эмиссии разных видов ценных бумаг, приспосабливаясь к меняющейся ситуации и удовлетворяя интересы инвесторов и населения. Пока не сложился полноценный рынок корпоративных ценных бумаг государственные ценные бумаги остаются вне конкуренции как по доходности, так и по надежности сохранения заемного капитала.
Вексель сочетает свойства ценной бумаги, долгового обязательства и расчетного средства. Он предполагает обоюдное согласие покупателя и продавца на отсрочку платежа — продавец получает не деньги, а гарантию уплаты в будущем.
Нормативными актами вексель определяется как ценная бумага, удостоверяющая необусловленное обязательство векселедателя (плательщика) выплатить владельцу векселя (векселедержателю) определенную сумму денег, как средство оформления товарного кредита в виде отсрочки уплаты денег.
Интерес к векселю как средству кредитно-расчетных отношений повысился с принятием Указа Президента РФ от 19 декабря 1993 г. № 1662 «Об улучшении расчетов в хозяйстве и повышении ответственности за их своевременное проведение».
Вексель не подвержен инфляции, векселей нельзя выпустить больше, чем надо. Он обеспечен обязательствами векселедателя. Его сила также в установленном законом порядке взыскания долга в случае отказа от платежа. При отсутствии средств на счете должника кредитор, на которого приходится 30% и более просроченных .обязательств должника, приобретает право обратить сумму долга на имущество должника, включая недвижимость.


Финансовое планирование на предприятиях


Финансовое планирование на предприятиях При переходе экономики страны на основы рыночного хозяйствования потребность в финансовом планировании не утрачивается. Оно по-прежнему необходимо для обеспечения финансовыми ресурсами расширенного кругооборота производственных фондов, достижения высокой результативности финансово-хозяйственной деятельности, создания условий, обеспечивающих платежеспособность и финансовую устойчивость предприятия. Рынок даже еще более требователен к качеству финансового планирования, чем прежняя система директивного планирования, так как при рыночных отношениях за все неблагоприятные последствия своей деятельности, в том числе и за просчеты в финансовом планировании, ответственность несет непосредственно предприятие. Именно оно в случае неспособности учесть неблагоприятно складывающуюся рыночную конъюнктуру оказывается банкротом и подлежит ликвидации со всеми вытекающими последствиями для его учредителей.
Сохраняя и в новых условиях хозяйствования свою огромную роль, финансовое планирование вместе с тем должно быть коренным образом перестроено. Его содержание и формы выражения должны претерпеть существенные изменения в связи с новыми экономическими условиями хозяйствования и социальными ориентирами. Если прежде низовое финансовое планирование опиралось в основном на плановые показатели производственного и социального развития предприятия, которые в свою очередь определялись исходя из планов экономического и социального развития народного хозяйства страны, то сегодня эта база перестала существовать, поскольку предприятия не получают директивных указаний «сверху». Даже сохранившийся государственный заказ утратил свое прежнее директивное значение и рассматривается предприятием лишь как одна из возможных сфер реализации его продукции (работ, услуг). В этих условиях финансовое планирование должно ориентироваться на конъюнктуру рынка, учитывать вероятность наступления определенных событий (особенно в долгосрочной перспективе) и одновременно вырабатывать модели поведения предприятия при изменении ситуации с материальными, трудовыми и финансовыми ресурсами.
В условиях финансовой и хозяйственной самостоятельности предприятие само разрабатывает свои планы, руководствуясь единственной целью — достижением высокой эффективности хозяйствования. Именно поэтому в ходе финансового планирования большое внимание уделяется более полному выявлению внутренних резервов предприятия, эффективному   использованию   производственных   мощностей,   рациональному расходованию материальных, трудовых и денежных ресурсов, лучшей организации производства и т.п.
Финансовое планирование ориентируется на реальное получение финансовых источников, как собственных, так и привлекаемых, и возможности их превращения в производительный капитал. Для этого в ходе планирования заранее предусматриваются реальные каналы приобретения основных и оборотных фондов, найма производственного персонала, создания ему необходимых условий работы и удовлетворения социальных запросов; Отсюда огромное значение придается порядку определения размеров и направлений использования денежных фондов, необходимых для обеспечения потребностей расширенного  воспроизводства  и материального  стимулирования работающих.
Переход к рынку сказывается на методах финансового планирования. Если в отношении ближайшего времени конъюнктура рынка и связанное с ней поведение предприятия могут быть довольно четко просчитаны, то перспективные, долгосрочные процессы — лишь прогнозироваться. Поэтому финансовое планирование сводится, с одной стороны, к точным расчетам финансовых показателей на ближайшее время и их балансовой увязке в соответствующем финансовом документе, а с другой — к прогнозным расчетам, носящим вероятностный и многовариантный характер. Новое содержание финансового планирования требует и другого инструмента — широкого использования экономико-математических методов и моделирования наряду с ранее применявшимися способами расчетов финансовых показателей.
Финансовые процессы, охватываемые рамками одного года, находят свое отражение в финансовом плане предприятия, который, как и прежде, строится в форме баланса доходов и расходов. В этом состоит специфика финансовых планов предприятий, функционирующих на коммерческих началах. В балансе доходов и расходов в денежной форме отражаются все стороны финансово-хозяйственной деятельности предприятия, получаемые им доходы и накопления, расходование средств. Конечно, составление такого баланса требует использования плановых расчетов, разрабатываемых по всем аспектам деятельности предприятия — производственной, сбытовой, инвестиционной, социальной и т.д. Лишь опираясь на них, финансовый отдел предприятия может точно рассчитать общий финансовый результат (прибыль, убыток) и его составляющие в разрезе разных видов деятельности, платежи в бюджет и внебюджетные фонды, величину резервных фондов (фондов риска), чистую прибыль, остающуюся непосредственно в распоряжении предприятия, финансовые ресурсы (с учетом дополнительно мобилизуемых на финансовом рынке) и направления их использования.
Составляя баланс доходов и расходов, финансовый отдел предприятия должен руководствоваться некоторыми общими принципами, соблюдение которых обязательно в условиях рыночной экономики. Так, определяя конкретные направления использования финансовых ресурсов, следует учитывать различия в уровне получаемой отдачи и выбрать затраты, обеспечивающие предельно высокую рентабельность; при этом финансовые затраты необходимо соотносить со сроками их окупаемости. При выборе долгосрочных затрат нужно предусматривать наиболее экономичные методы их финансирования.
При составлении баланса доходов и расходов необходимо обязательно учитывать инфляционные процессы, оказывающие сильное влияние на деятельность предприятия. Прибыль от производственно-хозяйственной деятельности, поступления амортизационных отчислений, затраты на капитальные вложения в производственную сферу и социальную инфраструктуру, платежи за выполненные для предприятия работы и оказанные услуги, взносы в резервный фонд находятся под воздействием инфляции, а потому в балансе доходов и расходов нужно предусматривать соответствующую их корректировку с учетом индекса роста инфляции. В настоящее время этого пока не делается по двум причинам. Во-первых, отсутствуют соответствующие методические материалы; единственное исключение — Постановление правительства Российской Федерации о пересчете амортизационных отчислений. Во-вторых, нет официальных данных статистики и прогнозов о величине инфляционных коэффициентов, необходимых для корректировки финансовых показателей баланса доходов и расходов предприятия.
В финансовом плане предприятия отражаются конечные итоги плановых расчетов по всему кругу показателей, характеризующих получение разных видов финансовых ресурсов и направление их использования. Баланс доходов и расходов предприятия отражает содержание финансовых процессов, опосредующих все направления деятельности субъекта хозяйствования, и структурно состоят из следующих четырех разделов'.
1. Доходы и поступления средств, куда включаются все финансовые ресурсы предприятия, кроме полученных от банков и государства (из бюджетных и внебюджетных фондов). В составе показателей этого раздела выделяются; прибыль от основной деятельности, прибыль от инвестиционной деятельности, проценты и дивиденды по ценным бумагам, доходы по договорам за работы научно-исследовательского характера, амортизационные отчисления, выручка от реализации выбывшего имущества, прирост устойчивых пассивов и т.д.
2. Расходы и отчисления бюджета. Он отражает использование финансовых ресурсов на расширение производства, экономическое стимулирование лучших результатов деятельности, операционные и прочие расходы. Поскольку денежные расходы, связанные с производством и реализацией продукции, не требуют дополнительного привлечения финансовых ресурсов сверх авансированных ранее, они в финансовый план предприятия не включаются.
3. Кредитные взаимоотношения предприятия с банковскими учреждениями, где фиксируются полученные предприятием ссуды, их возврат и уплата процентов за пользование кредитом. Этот раздел состоит из двух частей: в доходной отражаются получаемые предприятием ссуды, а в расходной — их постепенное погашение и уплата процентов за пользование ими.
4. Взаимоотношения предприятия с бюджетом и внебюджетными фондами, состоящий по аналогам с предыдущим разделом из двух частей, — доходной и расходной, В этот раздел включены, с одной стороны, налоговые платежи в бюджет и внебюджетные фонды, а с другой — получаемые ассигнования. Специфика раздела 4 заключается в том, что он вместе с разделом 3 является балансирующим: превышение платежей в бюджет и внебюджетные фонды над полученными ассигнованиями должно точно соответствовать разнице между доходами (раздел 1) и расходами (раздел 2) с учетом сальдо кредитных взаимоотношений (раздел З).




Финансовые ресурсы предприятия, особенности их формирования и использования в условиях рынка


Финансовые ресурсы предприятия, особенности их формирования и использования в условиях рынка Финансовые ресурсы предприятия, фирмы — это денежные доходы и поступления, находящиеся в распоряжении субъекта хозяйствования и предназначенные для выполнения финансовых обязательств, осуществления затрат по расширенному воспроизводству и экономическому стимулированию работающих. Формирование финансовых ресурсов осуществляется за счет собственных и приравненных к ним средств, мобилизации ресурсов на финансовом рынке и поступления денежных средств от финансово-банковской системы в порядке перераспределения.
Первоначальное формирование финансовых ресурсов происходит в момент учреждения предприятия, когда образуется уставный фонд. Его источниками в зависимости от организационно-правовых форм хозяйствования выступают: акционерный капитал, паевые взносы членов кооперативов, отраслевые финансовые ресурсы (при сохранении отраслевых структур), долгосрочный кредит, бюджетные средства. Величина уставного фонда показывает размер тех денежных средств — основных и оборотных, — которые инвестированы в процесс производства.
Основным источником финансовых ресурсов на действующих предприятиях выступает стоимость реализованной продукции (оказанных услуг), различные части которой в процессе распределения выручки принимают форму денежных доходов и накоплений. Финансовые ресурсы формируются главным образом за счет прибыли (от основной и других видов деятельности) и амортизационных отчислений. Наряду с ними источниками финансовых ресурсов выступают: выручка от реализации выбывшего имущества, устойчивые пассивы, различные целевые поступления (плата за содержание детей в дошкольных учреждениях и т.д.), мобилизация внутренних ресурсов в строительстве и др.
Процессы приватизации государственной собственности привели к тому, что появился и играет важную роль еще один источник финансовых ресурсов — паевые и иные взносы членов трудового коллектива.
До перехода на рыночные условия хозяйствования значительные финансовые ресурсы предприятия получали на основе внутриотраслевого перераспределения денежных средств и бюджетного финансирования. Однако принципы рыночного хозяйствования, внедрение коммерческих начал в деятельность предприятий потребовали принципиально иных подходов к формированию финансовых ресурсов. Ориентация на инициативу и предприимчивость, полная материальная ответственность обусловили два важнейших изменения в области финансовых взаимосвязей предприятий с другими структурами: во-первых, развитие страховых операций, и во-вторых, существенное сокращение сферы безвозмездно получаемых ассигнований. В этой связи при переходе на рыночные основы хозяйствования в составе финансовых ресурсов, формируемых в порядке перераспределения, все большую роль постепенно играют выплаты страхового возмещения, поступающие от страховых компаний, и все меньшую — бюджетные и отраслевые финансовые источники. Предприятия могут получать финансовые ресурсы: от ассоциаций и концернов, в которые они входят, — лишь в том случае, если это предусмотрено механизмом использования соответствующих денежных фондов; от вышестоящих организаций — при сохранении отраслевых структур; от органов государственного управления — в виде бюджетных субсидий на строго ограниченный перечень затрат. Зато в условиях функционирования рынка ценных бумаг появляются такие виды финансовых ресурсов, как дивиденды и проценты по ценным бумагам других эмитентов, а также прибыль от проведения финансовых операций.
Значительные финансовые ресурсы, особенно по вновь создаваемым и реконструируемым предприятиям, могут быть мобилизованы на финансовом рынке. Формами их мобилизации являются продажа акций, облигаций и других видов ценных бумаг, выпускаемых данным предприятием, кредитные инвестиции.
С переходом на рыночные основы хозяйствования необычайно возрастает не только роль руководителей предприятий, членов правлений акционерных компаний, но и финансовых служб, игравших второстепенную роль в условиях административно-командных методов управления. Изыскание финансовых источников развития предприятия, направлений наиболее эффективного инвестирования финансовых ресурсов, операции с ценными бумагами и другие вопросы финансового менеджмента становятся основными для финансовых служб предприятий в условиях рыночной экономики. Суть финансового менеджмента заключается в такой организации управления финансами со стороны соответствующих служб, которая позволяет привлекать дополнительные финансовые ресурсы на самых выгодных условиях, инвестировать их с наибольшим эффектом, осуществлять прибыльные операции на финансовом рынке, покупая и перепродавая ценные бумаги. Достижение успеха в области финансового менеджмента во многом зависит от такого поведения работников финансовых служб, при котором главными становятся инициатива, поиск нетрадиционных решений, масштабность операций и оправданный риск, деловая хватка.
Мобилизуя денежные средства других собственников на покрытие затрат своего предприятия, работники финансовой службы прежде всего должны иметь ясное представление о целях инвестирования ресурсов и уже в соответствии с ними давать рекомендации о формах привлечения средств. Для покрытия краткосрочной и среднесрочной потребности в средствах целесообразно использовать ссуды кредитных учреждений. При осуществлении крупных капитальных вложений в реконструкцию и расширение предприятия можно воспользоваться выпуском ценных бумаг, однако подобная рекомендация может быть дана лишь в том случае, если финансисты основательно изучили финансовый рынок, проанализировали спрос на разные виды ценных бумаг, учли возможное изменение конъюнктуры и, взвесив все это, тем не менее уверены в сравнительно быстрой и выгодной реализации ценных бумаг своего предприятия.
Подготовка к выпуску и первичное размещение ценных бумаг — дело очень тонкое, кропотливое, требующее глубокого знания конъюнктуры финансового рынка и психологии потенциальных инвесторов. В странах с развитой рыночной экономикой этот весьма важный этап жизненного цикла ценных бумаг осуществляется при помощи специализированных инвестиционных институтов, которые в нашей стране только начинают создаваться, и брокерских фирм-посредников. Законодательство Российской Федерации допускает возможность первичного размещения ценных бумаг посредством публичного объявления о подписке на них, путем продажи ценных бумаг с аукциона на основе конкурса заявок инвесторов или через фондовые биржи.
Выбрав в качестве формы привлечения дополнительных финансовых ресурсов выпуск и продажу ценных бумаг, администрация предприятия должна решить вопрос о том, какой именно вид ценной бумаги — акция или облигация — и на каких условиях обеспечит наибольшую результативность.
Выпуск облигаций целесообразен в том случае, если собственник не хочет отдавать право владения и распоряжения частью своего имущества другим собственникам; при этом он надеется на получение стабильного дохода от дополнительно инвестированных средств, который позволит в течение всего срока действия займа регулярно выплачивать по облигациям, а в конце — погасить основной долг. Если же собственник увидит, что реконструкция предприятия и расширение сферы (видов) его деятельности невозможны без привлечения и постоянного использования в обороте капитала других инвесторов, то он примет решение о выпуске акций. Но и в этом случае очень важным представляется выбор между обыкновенными и привилегированными акциями, именными акциями и акциями на предъявителя.
Решая вопрос о выпуске разных видов акций, эмитент должен руководствоваться условиями их функционирования, возможностями быстрого размещения. По обыкновенным акциям уровень выплачиваемого в виде дивиденда дохода колеблется по годам в зависимости от получаемой предприятиями прибыли и направлений ее использования. Поскольку владельцы обыкновенных акций несут наибольший риск неполучения объявленных дивидендов, им предоставляется право избирать членов правления акционерного общества и решать другие вопросы (например, о размере годовой прибыли, направлениях ее использования и т.п.) на общем собрании акционеров.
Привилегированная акция отличается тем, что ее владелец, во-первых, имеет право на первоочередное получение дохода в виде фиксированного процента на вложенный капитал; во-вторых, обладает кумулятивным правом на получение дивидендов, означающим, что недополучение дохода по акциям в одном (неблагоприятном) году компенсируется соответствующим увеличением выплат в следующем (благоприятном по уровню доходности) году; в-третьих, при ликвидации предприятия пользуется преимуществом по сравнению с остальными кредиторами в удовлетворении своих имущественных прав; в-четвертых, как правило, не обладает правом голоса при выборе членов правления и решении других акционерных дел.
Привилегированные акции по сравнению с обыкновенными пользуются большим спросом на рынке, но зато налагают повышенные финансовые обязательства на эмитента. Поэтому их выпуск зависит от невозможности размещения обыкновенных акций на финансовом рынке. Ситуация на рынке с размещением ценных бумаг заставляет решать и вопрос о том, какие акции — именные или на предъявителя — следует выпускать в обращение. Преимущество именных акций в том, что заранее известен покупатель (инвестор) и нет проблемы с реализацией; к тому же жестко ограничен круг совладельцев фирмы. Однако именные акции существенно снижают возможности маневрирования средствами потенциальных инвесторов. Все эти моменты должны быть тщательно учтены работниками финансовых служб, прежде чем они будут давать рекомендации руководству фирмы, а оно — принимать решение о выпуске ценных бумаг, условиях их функционирования и порядке погашения.


Финансовые ресурсы предприятия


Финансовые ресурсы предприятия Финансовые ресурсы — это денежные средства, имеющиеся в распоряжении предприятия и предназначенные для осуществления текущих затрат и затрат по расширенному воспроизводству, для выполнения финансовых обязательств и экономического стимулирования работающих. Финансовые ресурсы направляются также на содержание и развитие объектов непроизводственной сферы, потребление, накопление, в специальные резервные фонды и др.
Формирование финансовых ресурсов осуществляется за счет целого ряда источников. На основе права собственности различают две крупные группы источников: собственные и заемные денежные средства. Возможна более детальная классификация: собственные и приравненные к ним средства; ресурсы, мобилизуемые на финансовом рынке; денежные поступления в порядке перераспределения.
Первоначальное формирование финансовых ресурсов происходит в момент учреждения предприятия, когда образуется уставный капитал (акционерный или складочный капитал). Уставный капитал — это имущество предприятия, созданное за счет вкладов учредителей. Действующим законодательством установлены минимальные размеры уставного капитала:
- для предприятий с иностранными инвестициями, акционерных обществ открытого типа, государственных и муниципальных предприятий — 1000-кратный размер минимальной оплаты труда в месяц;
- для предприятий других организационно-правовых форм, в том числе акционерных обществ закрытого типа, — 100-кратный размер минимальной оплаты труда в месяц.
Финансовые ресурсы формируются главным образом за счет прибыли (от основной и других видов деятельности), а также выручки от реализации выбывшего имущества, устойчивых пассивов, различных целевых поступлений, паевых и иных взносов членов трудового коллектива. К устойчивым пассивам относятся уставный, резервный и другие капиталы; долгосрочные займы; постоянно находящаяся в обороте предприятия кредиторская задолженность (по зарплате из-за разницы в сроках начисления и выплаты, по отчислениям во внебюджетные фонды, в бюджет, по расчетам с покупателями и поставщиками и др.).
Значительные  финансовые ресурсы, особенно во вновь создаваемых  и реконструируемых предприятиях, могут быть мобилизованы на финансовом рынке с помощью продажи акций, облигаций и других видов ценных бумаг, выпускаемых данным предприятием; дивидендов и процентов по ценным бумагам других эмитентов, доходов от финансовых операций, кредитов.
Предприятия могут получать финансовые ресурсы: от ассоциаций и концернов, в которые они входят; от вышестоящих организаций при сохранении отраслевых структур; от органов государственного управления в виде бюджетных субсидий; от страховых организаций.
В составе этой группы финансовых ресурсов, формируемых в порядке перераспределения, все большую роль играют выплаты страховых возмещении, и все меньшую — бюджетные и отраслевые финансовые источники, которые предназначены на строго ограниченный перечень затрат.
Структура финансовых ресурсов предприятия представлена на 24.2.4.

24.2.4. Структура финансовых ресурсов предприятия
Использование финансовых ресурсов предприятия осуществляется по следующим направлениям:
- текущие затраты на производство и реализацию продукции (работ, услуг);
- инвестирование средств в капитальные вложения, связанные с расширением производства и его техническим обновлением, использованием нематериальных активов;
- инвестирование финансовых ресурсов в ценные бумаги;
- платежи финансовой, банковской системам, взносы во внебюджетные фонды;
- образование различных денежных фондов и резервов (на развитие; поощрительного и социального характера);
- благотворительные цели, спонсорство и т. п.
Затраты предприятий Предприятие в процессе своей деятельности совершает материальные и денежные затраты на простое и расширенное воспроизводство основных фондов и оборотных средств, производство и реализацию продукции, социальное развитие своего коллектива и др.
Наибольший удельный вес во всех расходах предприятий занимают затраты на производство продукции. Совокупность производственных затрат показывает, во что обходится предприятию изготовление выпускаемых товаров, т.е. составляет производственную себестоимость продукции. Предприятия имеют также затраты по реализации (сбыту) продукции, т.е. осуществляют внепроизводственные, или коммерческие, расходы (на транспортировку, упаковку, хранение товаров, рекламу и др.). Производственная себестоимость и коммерческие расходы составляют полную, или коммерческую, себестоимость продукции. Ее реальное определение на предприятии необходимо: для маркетинговых исследований и принятия на их основе решений о начале производства нового изделия (оказания нового вида услуг) с наименьшими затратами; определения степени влияния отдельных статей затрат на себестоимость продукции (работ, услуг); ценообразования; правильного определения финансовых результатов работы, а соответственно и налогообложения прибыли.
Себестоимость продукции (работ, услуг) — это стоимостная оценка используемых в процессе производства продукции (работ, услуг) природных ресурсов, сырья, материалов, топлива, энергии, основных фондов, трудовых ресурсов, а также других затрат на ее производство и реализацию.
Затраты, образующие себестоимость продукции (работ, услуг), группируются в соответствии с их экономическим содержанием по следующим элементам: материальные затраты (за вычетом возвратных отходов); затраты на оплату труда; отчисления на социальные нужды; амортизация основных фондов; прочие затраты.
Материальные затраты — наиболее крупный элемент затрат на производство, доля которого в общей сумме затрат составляет 60—90% (лишь в добывающих отраслях промышленности его доля невелика). Состав материальных затрат неоднороден и включает расходы на сырье и материалы (за вычетом стоимости возвратных отходов по цене их возможного использования или реализации, учитывая, что отходы одного производства могут служить полноценным сырьем для другого). В стоимость сырья и материалов включаются комиссионные вознаграждения, оплата брокерских и иных посреднических услуг. Стоимость потребленного в процессе производства сырья и материалов включается в себестоимость продукции без налога на добавленную стоимость (НДС). Но существуют и исключения из этого правила. Так, если продукция предприятия освобождена от НДС, то оно не имеет возможности вычесть сумму уплаченного НДС из суммы налога, полученного при реализации своей продукции. В подобных случаях предприятию разрешается отнести уплаченный НДС на себестоимость продукции (т.е. в конечном счете НДС оплачивает не изготовитель продукции, а ее покупатель).
К материальным затратам также относятся:
- топливо и энергия, расходуемые на технологические цели и хозяйственные нужды;
- покупные комплектующие изделия и полуфабрикаты, подвергающиеся в дальнейшем монтажу, сборке или дополнительной обработке на данном предприятии;
- затраты на приобретение тары и упаковки, тарных материалов (если стоимость тары не включена в стоимость материалов, поставляемых в этой таре), за исключением стоимости тары по цене ее возможного использования;
- запасные части для ремонта машин и оборудования;
- производственные услуги сторонних предприятий и организаций, а также своих (состоящих на балансе предприятия) хозяйств, не относящихся к основной деятельности предприятия;
- износ малоценных и быстроизнашивающихся предметов труда со сроком службы менее года или стоимостью менее 50-кратного размера минимальной месячной оплаты труда за единицу, инструментов, инвентаря, лабораторного оборудования, спецодежды и др.;
- отчисления, налоги и сборы, связанные с использованием природного сырья:
отчисления на воспроизводство минерально-сырьевой базы, плата за недра, за воду, забираемую из водохозяйственных систем в пределах установленных лимитов, отчисления на рекультивацию земель или оплата работ по рекультивации земель, плата за древесину, отпускаемую на корню, и др.;
- потери от брака и простоев по внутрипроизводственным причинам; потери от недостач в пределах норм естественной убыли и при отсутствии виновных лиц.
Затраты на оплату труда — это затраты на оплату труда основного производственного персонала предприятия, включая премии за производственные результаты, стимулирующие и компенсирующие выплаты, в том числе в связи с повышением цен и индексацией доходов в пределах норм, предусмотренных законодательством, а также затраты на оплату труда не состоящих в штате предприятия работников, занятых в основной деятельности.
В затраты на оплату труда включаются:
- выплаты заработной платы за фактически выполненную работу в соответствии с тарифными ставками, должностными окладами и др.;
- стоимость продукции, выдаваемой в порядке натуральной оплаты работникам;
- премии, надбавки к окладам за производственные результаты;
- стоимость бесплатно предоставляемых работникам отдельных отраслей в соответствии с законодательством коммунальных услуг, питания, форменной одежды, жилья и др.;
- оплата очередных (ежегодных) и учебных отпусков;


Финансовые стимулы выхода отечественных предприятий на мировой рынок


Финансовые стимулы выхода отечественных предприятий на мировой рынок и организация их деятельности за рубежом Национальное предприятие (объединение, организация), наделенное правами юридического лица и обладающее экспортными возможностями, имеет право самостоятельно выходить на мировой рынок, устанавливать прямые связи с иностранными партнерами. Внешнеэкономическая деятельность осуществляется на основе валютной самоокупаемости. Ее результаты входят в общий итог хозяйственной деятельности предприятия. Для финансирования внешнеэкономических операций на предприятиях создается валютный фонд, формируемый после обязательной продажи валютных средств за счет части валютной выручки, остающейся в распоряжении предприятия и перечисляемой на текущий валютный счет в уполномоченном банке. Величина валютного фонда зависит от результатов внешнеэкономических операций. Его целевое назначение — повысить экономическую заинтересованность предприятий в развитии экспорта товаров, создании условий для обновления материально-технической базы производства и реализации экономических интересов производителей экспортной продукции.
Предприятия могут объединять свои валютные фонды, передавать их другим организациям и банкам на взаимовыгодных условиях, вкладывать в активные операции за границей. Эти операции можно осуществлять только с теми средствами, которые остаются свободными после погашения валютных кредитов.
Предприятиям предоставлено право совершать свои внешнеэкономические операции через специализированные внешнеэкономические объединения на базе договоров при активном определении наилучших условий экспорта и импорта. В случае необходимости они имеют право создавать собственные хозрасчетные внешнеторговые фирмы на общем балансе предприятия, входящие в его состав, или на самостоятельном балансе со статусом юридического лица.
Учреждение предприятий за рубежом можно осуществлять путем создания новых предприятий со 100-процентным уставным капиталом или на долевых условиях; с помощью приобретения акций функционирующих предприятий; в качестве совладельца или пайщика объектов, сооружаемых по линии экономического и технического содействия иностранным государствам; путем покупки активов действующих фирм. Создание новых предприятий за рубежом требует меньших валютных ресурсов.
Источниками финансирования зарубежных инвестиций могут быть собственные средства отечественных предприятий, централизованные валютные фонды отраслевых органов управления, заемные средства. Финансирование операций с ценными бумагами осуществляется за счет двух источников: собственных и заемных средств. Заемные средства, в свою очередь, аккумулируются из средств валютных фондов заинтересованных предприятий и организаций, кредитов банков, уполномоченных на ведение валютных операций, иностранных банков, банков с участием иностранного капитала, отечественных банков за границей.
Зарубежная хозяйственная деятельность предполагает получение доходов. Они могут быть в виде прибылей, дивидендов от деятельности зарубежных предприятий, доходов от операций с ценными бумагами. Полученные доходы можно переводить в нашу страну или реинвестировать за границей. Переводимые в страну доходы включаются в общие результаты хозяйственной деятельности предприятий.
Если зарубежные предприятия образованы за счет собственных и заемных средств, то дивиденды и доходы в иностранной валюте полностью зачисляются в валютные фонды отечественных предприятий-учредителей. Если в финансировании уставного капитала использовались средства отраслевых валютных фондов, то полученные доходы в соответствующих пропорциях поступают в валютные фонды предприятий и в отраслевой валютный фонд.1




16.1. Менеджмент менеджмент, вид деятельности и система управления; развитие менеджмента, интеграционные процессы в менеджменте, природа и состав функций менеджмента, стратегические и тактические планы в системе менеджмента
Принимая во внимание, что сам менеджмент представляет собой целенаправленное воздействие по согласованию действий для получения предполагаемого результата деятельности человека, а также то, что менеджмент возник и оформился в своеобразную концепцию практического управления в условиях свободного предпринимательства, конкуренции, экономической мотивации, подчеркнем, что он в современных экономических условиях в своих подходах, принципах и методах отдает предпочтение экономическим средствам и методам управления. Причем любое действие в менеджменте осуществляется на аналитической основе, где не все показатели системы управления имеют строго расчетную форму. Иными словами, менеджмент проецирует востребуемые взаимосвязи из области экономической в область управленческую, задействуя элементы социального так, чтобы эффективно использовались ресурсы организации или общества в целом. Проблемы менеджмента рассматриваются по материалам учебников Ю.Г. Одегова, П.В. Журавлева «Управление персоналом» (1997) и «Основы менеджмента» М.Х. Мескона, М. Альберта, Ф.Хедог/pu (1994).
Наука и искусство менеджмента Важная часть знания, как показывает мировой опыт, — постижение науки и искусства менеджмента.
С легкой руки американцев это английское слово стало известно сегодня каждому практическому образованному человеку. В упрощенном понимании, менеджмент — искусство добиваться поставленных целей, используя труд, интеллект, мотивацию других людей. Возникает вопрос — можно ли считать, что английское понятие «менеджмент» и русское «управление» и, соответственно, «менеджер» и «руководитель» — это одно и то же. И да, и нет. В общем смысле, пожалуй, — да. Вместе с тем есть и отличия в трактовке и применении этих понятий, интересные, правда,- в основном лишь специалистам. Однако два отличия представляются существенными. Во-первых, говоря о «менеджменте», американцы почти всегда подразумевают фигуру «менеджера» — человека, субъекта управления, действующего в некоторой организации. В более общем смысле они применяют термин «администрация», «администрирование» (administration), который в большей степени отражает обезличенную систему управления. Во-вторых, когда говорят «менеджер», то, по большому счету, имеют в виду профессионального управляющего, осознающего, что он представитель особой профессии, а не просто инженер или экономист, занимающийся управлением. К тому же менеджер — это человек, прошедший, как правило, специальную подготовку.
В культуре развитых капиталистических стран понятие «менеджмент» очень часто соседствует с понятием «бизнес». Бизнес — это деятельность, направленная на получение прибыли путем создания и реализации определенной продукции или услуг. «Управление бизнесом» (business management) — это управление коммерческими, хозяйственными организациями. Наряду с этим практически как синоним применяется термин business administration, который можно перевести как «деловое администрирование». Термин «менеджмент» применим к любым типам организаций, но, если речь идет о государственных органах любого уровня, более правильно использовать термин public administration — «государственное управление».
Бизнесмен и менеджер — это не одно и то же. Бизнесмен — это тот, кто «делает деньги», владелец капитала, находящегося в обороте, приносящего доход. Им может быть деловой человек, в подчинении которого никто не находится, или крупный собственник, который не занимает никакой постоянной должности в организации, но является владельцем ее акций и, может быть, состоит членом ее правления. Менеджер же обязательно занимает постоянную должность, в его подчинении находятся люди. Несколько более частный случай бизнеса — это предпринимательство. Этот вид деятельности еще больше связывается с личностью человека-предпринимателя, который осуществляет бизнес, затевая новое дело, реализуя некоторое нововведение, вкладывая собственные средства в новое предприятие и принимая на себя личный риск. Различия между менеджером и предпринимателем будут очень велики, если менеджер тяготеет к бюрократическому стилю руководства, но они в определенной мере стираются, если он придерживается предпринимательского стиля управления. Решить это противоречие пока удается очень немногим крупным фирмам, и все же читатель найдет некоторые примеры успеха в этом деле на страницах настоящего учебника.
Широкий общественный интерес к менеджменту в значительной степени связан со становлением и развитием школ бизнеса или школ менеджмента, наиболее распространенных в США и являющихся частью «инфраструктуры управления». Инфраструктурные отрасли в производстве (энергетика, транспорт, телекоммуникации и т.п.), и в непроизводственной сфере (образование, издательское дело, компьютерные сети общего пользования, консультирование и т.п.) — весьма развиты именно в рыночной экономике, где особенно важны горизонтальные связи, а также услуги общего пользования, удовлетворяющие некую общественную потребность и оплачиваемые потребителем, быстро оформляются в самостоятельный большой, средний или малый бизнес. Сегодня США — страна самой развитой в мире управленческой инфраструктуры. Только зарегистрированных, имеющих официальный сертификат Американской ассамблеи университетских школ бизнеса, программ в области бизнеса и управления в Америке свыше 1300, в том числе 600 — это школы бизнеса, самостоятельно действующие в рамках многопрофильных университетов. Они дают регулярное образование в области бизнеса и менеджмента. В стране действует свыше 10 тыс. консультативных фирм, не считая десятков тысяч независимых консультантов, которые оказывают услуги по различным аспектам этой деятельности.  Более 70 периодических изданий,  свыше десятка издательств специализируются на литературе по управлению и бизнесу. США — лидер науки управления, исследований в области бизнеса и менеджмента с точки зрения и численности исследователей, и объема затрачиваемых средств, и широты охватываемых проблем.


Финансовый аспект формирования и использования оборотных средств


Финансовый аспект формирования и использования оборотных средств Для производства продукции предприятию наряду с основными фондами необходимы оборотные производственные фонды, включающие в свой состав производственные запасы (сырье, материалы, топливо, тара и др.), остатки незавершенного производства и расходы будущих периодов. Потребленные в процессе производства оборотные фонды вступают в сферу обращения уже в товарной форме (в виде готовой продукции на складе и в отгрузке), которая затем — по мере реализации готовой продукции — переходит в денежную (денежные средства в расчетах, денежные средства в кассе предприятия и на его счетах в банке). Товарная и денежная формы ресурсов, находящихся в сфере обращения, относятся к фондам обращения.
Для обеспечения бесперебойного процесса производства и реализации продукции каждое предприятие, фирма должны располагать одновременно и оборотными производственными фондами, и фондами обращения. Поэтому в момент ввода в эксплуатацию предприятие нуждается в денежных средствах в составе сформированного уставного фонда, которые обеспечили бы ему приобретение материальных оборотных фондов и были достаточными для обслуживания процесса производства и реализации продукции. Денежные средства, авансированные в оборотные производственные фонды и фонды обращения, составляют оборотные средства предприятия. Объединение оборотных фондов и фондов обращения в одном понятии основано на экономической сущности оборотных средств, призванных обеспечить непрерывность всего процесса воспроизводства, в ходе которого фонды обязательно проходят как стадию производства, так и стадию обращения.
Оборотные средства обеспечивают текущие потребности предприятия. Характерная особенность оборотных средств заключается в том, что при нормальном осуществлении хозяйственной деятельности они не покидают производственную сферу: оборотные средства не расходуются, а авансируются в различные виды текущих затрат предприятия. Обслуживая кругооборот производственных фондов (Д-Т. . .П. . .Т-Д ), оборотные средства Д принимают различные функциональные формы: материальную Г, производительную П, товарную Т, возвращаясь после окончания каждого производственного цикла к своей исходной денежной Д форме.
Ритмичность, слаженность и высокая результативность работы предприятия во многом зависят от его обеспеченности оборотными средствами.
По своей сущности оборотные средства — не финансовая, а общеэкономическая категория; в связи с этим величина находящихся в обороте предприятия денежных средств не может быть отнесена к финансовым ресурсам. Тем не менее именно финансовые отношения образуют исходную основу существования фонда оборотных средств, а финансовые ресурсы — базу для первоначального формирования и последующего изменения его размера. Финансовые отношения в сфере функционирования оборотных средств возникают в трех случаях:
- в ходе образования уставного фонда предприятия;
- в процессе использования финансовых ресурсов на увеличение собственных оборотных средств;
- при инвестировании излишка оборотных средств в ценные бумаги.
Формирование собственных оборотных средств происходит в момент организации предприятия, когда создается его уставный фонд. Источники формирования здесь почти те же, что и у основных средств: акционерный капитал, паевые взносы, устойчивые пассивы, бюджетные средства (в государственном секторе), перераспределяемые средства (если сохраняется вертикальная система управления).
В дальнейшем первоначальная величина собственных оборотных средств может изменяться в зависимости от объема, условий и результатов хозяйственной деятельности на данном предприятии. Успешное выполнение производственной программы, экономия материальных и финансовых ресурсов, повышение качества продукции, бесперебойная ее реализация и т.п. - все это сказывается на состоянии оборотных средств, их сохранности и эффективном использовании.
В свою очередь обеспеченность предприятия оборотными средствами, эффективность их использования оказывают заметное влияние на процесс воспроизводства, способствуя его бесперебойности, ритмичности. В конечном итоге эффективность использования оборотных средств сказывается на финансовых результатах деятельности предприятия. Поэтому работники финансовых служб должны постоянно следить за состоянием оборотных средств, структурой оборотных активов, результативностью их использования. Важное значение в связи с этим приобретают показатели, характеризующие состояние и эффективность использования оборотных средств: наличие собственных оборотных средств, соотношение между собственными и заемными ресурсами, платежеспособность предприятия, его ликвидность, оборачиваемость оборотных средств и др.
Наличие собственных оборотных средств, их сохранность, соотношение между собственными и заемными оборотными средствами характеризуют степень финансовой устойчивости предприятия, его положение на финансовом рынке, возможности мобилизации финансовых ресурсов с помощью выпуска ценных бумаг. В условиях административно-командной системы управления финансовой устойчивости субъекта хозяйствования не уделялось должного внимания, так как существовавшая в то время система государственной финансовой помощи ни при каких обстоятельствах не допускала его банкротства. Предоставляя бюджетные ассигнования на капитальные вложения, списывая просроченную задолженность предприятий банкам, разрешая выделять хозяйствам отраслевые финансовые ресурсы на восполнение недостатка оборотных средств, государство не допускало, чтобы предприятие оказалось в положении несостоятельного должника даже при низкой эффективности производства и наличии огромных потерь от бесхозяйственности.
С переходом к рынку положение меняется коренным образом. Принятые в 1992 г. законодательные акты «О банкротстве» и «О залоге» возлагают на предприятие всю меру ответственности за использование находящихся в его распоряжении ресурсов. В этих условиях вопросы рационального использования оборотных средств, платежеспособности, финансовой устойчивости приобретают огромное значение.
Платежеспособность предприятия определяется его возможностью своевременно и полностью выполнять платежные обязательства, вытекающие из торговых, кредитных и иных операций денежного характера. Платежеспособность впрямую влияет на формы и условия коммерческих сделок, в том числе на саму возможность получения кредита и условия его предоставления (на какой срок, под какие проценты и т.д.). Платежеспособность определяется с помощью специальной системы коэффициентов, учитывающих реальные и потенциальные финансовые ресурсы предприятия, соотношение между его платежами и текущими денежными поступлениями.
Платежеспособность в области долговых обязательств предприятия выражает его ликвидность, последняя отражает способность предприятия в любой момент совершать необходимые расходы. Ликвидность зависит от величины задолженности, а также о^ объема ликвидных средств, к которым относятся наличные денежные средства, ресурсы на счетах в банках, ценные бумаги. Неспособность предприятия погасить свои долговые обязательства перед кредиторами и бюджетом приводит его к банкротству. Причем основаниями для признания государственного предприятия банкротом являются не только невыполнение им в течение трех месяцев своих финансовых обязательств перед бюджетом, но и невыполнение требований юридических и физических лиц, имеющих к нему имущественные претензии.
Оборачиваемость оборотных средств — это показатель эффективности их использования. Оборачиваемость определяется временем, в течение которого денежные средства совершают полный оборот, начиная от приобретения производственных запасов и заканчивая поступлением денег на счета предприятия; длительность одного оборота выражается в днях. Чем быстрее оборачиваются авансированные оборотные средства, тем лучший достигается результат — с помощью одной и той же суммы средств производится и реализуется больше продукции. Важным фактором ускорения оборачиваемости оборотных средств является экономия материальных ресурсов, используемых в производстве, сокращение их расхода на единицу продукции. Именно поэтому в современных условиях такое большое значение приобретает разработка программ, направленных на более рациональное использование сырья, топлива, электроэнергии и других материальных ресурсов, в которых предусмотрены меры по ужесточению правил использования материальных ценностей, усилению экономического стимулирования и повышению материальной ответственности за их расходование.1
Необходимость соотнесения процесса финансового обеспечения предприятия с развитием денежного обращения призвана обеспечить включение процессов принятия финансовых решений в систему функционирования финансов в данной отрасли. Наличие системы финансирования, в частности предприятий, обусловлена наличием отношений источника денежных средств и их получателя. Одновременно рассматривается вопрос кредиторов и заемщиков в аспекте кредитования предприятий на условиях возвратности и платности. Отсюда следует необходимость проанализировать систему финансирования и кредитования предприятий.


Финансовый аспект формирования и использования оборотных средств


Финансовый аспект формирования и использования оборотных средств Для производства продукции предприятию, фирме, наряду с основными фондами, необходимы оборотные производственные фонды, включающие в свой состав производственные запасы (сырье, материалы, топливо, тара и др.), остатки незавершенного производства и расходы будущих периодов. Потребленные в процессе производства оборотные фонды вступают в сферу обращения уже в товарной форме (в виде готовой продукции на складе и в отгрузке), которая затем — по мере реализации готовой продукции — переходит в денежную: денежные средства в расчетах, денежные средства в кассе предприятия и на его счетах в банке. Товарная и денежная формы ресурсов, находящихся в сфере обращения, относятся к фондам обращения.
Для обеспечения бесперебойного процесса производства и реализации продукции каждое предприятие должно располагать одновременно и оборотными производственными фондами, и фондами обращения. Поэтому в момент ввода в эксплуатацию оно нуждается в такой величине денежных средств в составе сформированного уставного фонда, которая обеспечила бы ему приобретение материальных оборотных фондов и была достаточной для обслуживания процесса производства и реализации продукции. Денежные средства, авансированные в оборотные производственные фонды и фонды обращения, составляют оборотные средства предприятия, фирмы. Объединение оборотных фондов и фондов обращения в одном понятии основано на экономической сущности оборотных средств, призванных обеспечить непрерывность всего воспроизводственного процесса, в ходе которого фонды обязательно проходят как стадию производства, так и стадию обращения.
Оборотные средства обеспечивают текущие потребности предприятия. Характерная особенность оборотных средств заключается в том, что при нормальном осуществлении хозяйственной деятельности они не покидают производственную сферу: оборотные средства не расходуются, а авансируются в различные виды текущих затрат предприятия. Обслуживая кругооборот производственных фондов (Д-Т...П...Т-Д), оборотные средства (Д) принимают различные функциональные формы: материальную (Т), производительную (П), товарную (Т), возвращаясь после окончания каждого производственного цикла к своей исходной денежной (Д) форме.1
Одной из задач предприятия, фирмы является такая организация капиталовложений, которая сохраняла бы определенную структуру развития фирмы. В то же время не всегда реально изыскать собственные средства для необходимых инвестиций. В таких случаях предприятие может сохранить и продолжить избранную программу капитальных вложений за счет заимствования средств в кредитных учреждениях. При таком варианте использования привлекаемых средств и получения дохода от вложений, например, за счет использования вновь созданных фондов в производстве, возможно в срок рассчитаться с банком за кредит. Эти и другие вопросы рассматриваются при изучении основных принципов капиталовложений.
Кругооборот стоимости основных фондов Наряду с прибылью для финансирования капитальных вложений используются также средства, мобилизуемые в самом строительстве (прибыль и экономия по строительно-монтажным работам, выполняемым хозяйственным способом, мобилизация внутренних ресурсов и др.), доходы от реализации выбывшего имущества, средства фондов социального развития и жилищного строительства.
Важную роль в обновлении и техническом совершенствовании основных фондов народного хозяйства призваны сыграть иностранные инвестиции. В настоящее время в нашей стране продолжает развиваться тяжелейший финансово-экономический кризис.
Расходование прибыли предприятия является одним из ключевых вопросов финансового плана предприятия. Капитальные вложения в само предприятие создает возможности для перехода в качественно иное состояние за счет повышения технологического и других уровней. Результатом таких инвестиций должен становиться рост производства и при соответствующих условиях увеличение выручки, часть которой — прибыль — может быть вновь использована на капитальные вложения предприятий.

Роль финансов в кругообороте основных производственных фондов Материально-технической основой процесса производства на любом предприятии являются основные производственные фонды. В условиях рыночной экономики первоначальное формирование основных фондов, их функционирование и расширенное воспроизводство осуществляются при непосредственном участии финансов, с помощью которых образуются и используются денежные фонды целевого назначения, опосредующие приобретение, эксплуатацию и восстановление средств труда.
Первоначальное формирование основных фондов на вновь создаваемых предприятиях происходит за счет основных средств, являющихся частью уставного фонда. Основные средства — это денежные средства, инвестированные в основные фонды производственного и непроизводственного назначения. В момент приобретения основных фондов и принятия их на баланс предприятия величина основных средств количественно совпадает со стоимостью основных фондов. В дальнейшем, по мере участия основных фондов в производственном процессе их стоимость раздваивается: одна ее часть, равная износу, переносится на готовую продукцию, другая выражает остаточную стоимость действующих основных фондов.
Сношенная часть стоимости основных фондов, перенесенная на готовую продукцию, по мере реализации последней постепенно накапливается в денежной форме в специальном амортизационном  фонде.  Данный  фонд  формируется  посредствам  ежегодных амортизационных отчислений и используется для простого и частично расширенного воспроизводства основных фондов. Направление амортизации на расширенное воспроизводство основных фондов обусловлено спецификой ее начисления и расходования: начисляется она в течение всего нормативного срока служба основных фондов, а необходимость в ее расходовании наступает лишь после фактического их выбытия. Поэтому до момента замены выбывших из эксплуатации основных фондов начисленная амортизация является временно свободной и может использоваться как дополнительный источник расширенного воспроизводства. Кроме того, использованию амортизации на расширенное воспроизводство содействует научно-технический прогресс, в результате которого некоторые виды основных фондов могут удешевляться: в действие вводятся более совершенные и более производительные машины и оборудование.
Величина амортизационного фонда ежегодно рассчитывается путем умножения балансовой стоимости основных фондов на норму амортизации. Экономически обоснованные нормы амортизации имеют большое значение. Они позволяют, с одной стороны, обеспечить полное возмещение стоимости выбывающих из эксплуатации основных фондов, а с другой — установить подлинную себестоимость продукции, составным элементом которой выступают амортизационные отчисления. С точки зрения коммерческого расчета, одинаково плохо как занижение норм амортизации (ибо оно может привести к недостатку финансовых ресурсов, необходимых для простого воспроизводства основных фондов), так и их необоснованное завышение, вызывающее искусственное удорожание продукции и снижение рентабельности производства. Нормы амортизации периодически пересматриваются, так как изменяются сроки службы основных фондов, ускоряется процесс переноса их стоимости на изготовляемый продукт под воздействием научно-технического прогресса и других факторов. Так же периодически производится и переоценка основных фондов; ее цель состоит в том, чтобы привести балансовую стоимость основных фондов в соответствие с действующими ценами и условиями воспроизводства.
В практике хозяйствования применяются разные методы исчисления амортизационного фонда: линейный; регрессивный; ускоренной амортизации. При этом нормы амортизации устанавливаются либо в процентах к балансовой стоимости основных фондов, либо в твердых суммах на единицу выработанной продукции; иногда они зависят от объема выполненных работ.
При линейном методе исчисление амортизационных сумм происходит по фиксированным нормам в течение всего срока производительного использования основных фондов. Применение равномерного метода начисления амортизации в условиях стабильных цен на основные виды средств труда было оправданным. Но в условиях роста цен, особенно по вновь вводимой технике, целесообразно перейти на регрессивный метод, при котором наиболее высокая норма амортизации устанавливается в начале амортизационного периода, а затем она постепенно снижается. В условиях либерализации цен переход к регрессивному методу исчисления амортизации мог бы способствовать своевременному накапливанию финансовых ресурсов, необходимых для обновления основных фондов.
Механизм формирования и использования амортизационных отчислений, будучи важным звеном общей системы воспроизводства основных фондов, одновременно является инструментом реализации государственной структурной политики в области производственных инвестиций. Достижение структурных сдвигов осуществляется прежде всего через нормы амортизации.
В составе собственных финансовых ресурсов предприятия, фирмы, используемых на капитальные вложения, важное место занимает прибыль. В последнее время в отдельных отраслях народного хозяйства наблюдается тенденция некоторого увеличения абсолютного размера и доли прибыли в источниках финансирования капитальных вложений. Эту тенденцию необходимо развивать. Ее прогрессивность заключается в том, что источники воспроизводства основных фондов непосредственно увязываются с результатами производственной деятельности. В итоге усиливается материальная заинтересованность предприятий в достижении лучших результатов производства, так как именно от них зависит своевременность и полнота формирования финансовых источников капитальных затрат.1




Финансы как стоимостная категория. Сущность финансов


Финансы как стоимостная категория. Сущность финансов Финансы как научное понятие обычно ассоциируется с теми процессами, которые на поверхности общественной жизни проявляются в разнообразных формах и обязательно сопровождаются движением (наличным или безналичным) денежных средств. Идет ли речь о распределении прибыли и формировании фондов внутрихозяйственного назначения на предприятиях, или о перечислении налоговых платежей в доходы государственного бюджета, или о внесении средств во внебюджетные или благотворительные фонды — во всех этих и подобных им финансовых операциях происходит движение денежных средств.
Будучи очень приметным, движение денежных средств само по себе не раскрывает сущности финансов. Для ее постижения необходимо выявить те свойства, которые характеризуют внутреннюю природу всех финансовых явлений.
Если отвлечься от многочисленных конкретных форм, в которых протекают финансовые процессы, можно увидеть то общее, что их объединяет, — лежащие в основе финансовых операций отношения между различными участниками общественного производства, или общественные отношения. По характеру эти отношения — производственные (экономические), поскольку непосредственно связаны с общественным производством.
Экономические отношения исключительно многообразны: они возникают на всех стадиях (фазах) воспроизводственного процесса, на всех уровнях хозяйствования, во всех сферах общественной деятельности. При этом однородные экономические отношения, характеризующие одну из сторон общественного бытия, будучи представлены в обобщенном абстрактном виде, образуют экономическую категорию. Финансы выражают реально существующие в обществе производственные отношения, имеющие объективный характер и встречное движение стоимостей, одна из которых находится в денежной форме, а другая — в товарной.
В этой связи неправомерно относить к финансам не только денежные, но и натуральные отношения. Существование натуральных повинностей в эпоху феодализма, взимание рабовладельческим государством дани со своих граждан и покоренных народов, натурализация общественных отношений в условиях расстроенного денежного обращения, имевшая место в истории нашей страны, отнюдь не доказывают натуральный характер финансовых взаимосвязей. Они говорят о другом: функционирование финансов возможно только при определенных условиях, отсутствие которых сразу же сужает границы действия этой категории.
Появление финансовых отношений всегда дает о себе знать реальным движением денежных средств. Отсутствие такого движения на стадиях производства и потребления процесса воспроизводства свидетельствует о том, что они не являются местом возникновения финансов.
Реальное движение денежных средств происходит на первой и третьей стадиях воспроизводственного процесса — в распределении и обмене. Однако характер движения стоимости (в ее денежной форме) на этих стадиях различная, что не позволяет относить их к сфере функционирования финансов.
На второй стадии движение стоимости в денежной форме осуществляется обособленно от движения товаров и характеризуется ее отчуждением (переходом из рук одних владельцев в руки других) или целевым обособлением каждой части стоимости (в рамках одного владельца). На третьей стадии распределенная стоимость (в денежной форме) обменивается на товарную форму, т.е. совершаются акты купли-продажи. Отчуждение самой стоимости здесь не происходит; она лишь меняет свою форму — с денежной на товарную.
Таким образом, на второй стадии воспроизводства имеет место одностороннее (без встречного эквивалента) движение денежной формы стоимости; на третьей — двустороннее.
Областью возникновения и функционирования финансов является вторая стадия воспроизводственного процесса, на которой происходит распределение стоимости общественного продукта по целевому назначению и субъектам хозяйствования, каждый из которых должен получить свою долю в произведенном продукте. Поэтому важным признаком финансов как экономической категории является распределительный характер финансовых отношений. Однако и этого признака недостаточно для полной характеристики сущности финансов. Разнообразие распределительных отношений приводит к тому, что на второй стадии процесса воспроизводства действуют разные экономические категории: финансы, кредит, заработная плата, цена. Финансы существенно отличаются от других категорий, функционирующих на стадии стоимостного распределения.
Первоначальной сферой возникновения финансовых отношений являются процессы первичного распределения стоимости общественного продукта, когда эта стоимость распадается на составляющие ее элементы и происходит образование различных форм денежных доходов и накоплений. Вычленение в составе выручки от реализации продукции прибыли, отчислений на социальное страхование, амортизационных отчислений и т.д. осуществляется с помощью финансов и отражает процесс распределения стоимости в соответствии с целевым назначением каждой ее части. Дальнейшее перераспределение стоимости между субъектами хозяйствования (изъятие части прибыли в распоряжение государства, уплата налогов гражданами страны и т.д.) и конкретизация целевого ее использования (направление прибыли на капитальные вложения, формирование фондов экономического стимулирования за счет разных источников и др.) тоже происходит на основе финансов. Благодаря им осуществляются многообразные процессы перераспределения стоимости общественного продукта во всех структурных подразделениях экономики (в отраслях материального производства и непроизводственной сферы) и на разных уровнях хозяйствования.
Распределение и перераспределение стоимости с помощью финансов обязательно сопровождается движением денежных средств, принимающих специфическую форму финансовых ресурсов; они формируются у субъектов хозяйствования и государства за счет различных видов денежных доходов, отчислений и поступлений, а используются на расширенное воспроизводство, материальное стимулирование работающих, удовлетворение социальных и других потребностей общества.
Потенциально финансовые ресурсы образуются на стадии производства, когда создается новая стоимость и осуществляется перенос старой. Но именно потенциально, поскольку рабочий, стоя у станка, производит не финансовые ресурсы, а продукты труда в товарной форме. Реальное формирование финансовых ресурсов начинается только на стадии распределения, когда стоимость реализована и в составе выручки вычленяются конкретные экономические формы реализованной стоимости. Вот почему, к примеру, прибыль, хотя и создается на стадии производства, однако количественно формируется только в процессе стоимостного распределения.
Использование финансовых ресурсов осуществляется в основном через денежные фонды специального целевого назначения, хотя возможна и не фондовая форма их использования.
Финансовые фонды — важная составная часть общей системы денежных фондов, функционирующих в народном хозяйстве. Фондовая форма использования финансовых ресурсов объективно предопределена потребностями расширенного воспроизводства и обладает некоторыми преимуществами по сравнению с не фондовой формой: позволяет теснее увязать удовлетворение любой потребности с экономическими возможностями общества, обеспечивает концентрацию ресурсов на основных направлениях развития общественного производства, дает возможность полнее увязать общественные, коллективные и личные интересы и тем активнее воздействовать на производство.
Рассмотрение финансовых ресурсов в качестве материальных носителей финансовых отношений позволяет выделить финансы из общей совокупности категорий, участвующих в стоимостном распределении. Ни одна из них, кроме финансов, не характеризуется таким материальным носителем. Потому важным специфическим признаком финансов, отличающим их от других распределительных категорий, является то, что финансовые отношения всегда связаны с формированием финансовых ресурсов. Этот признак является общим для отношений любых общественно-экономических формаций. При этом формы и методы, с помощью которых образуются и используются финансовые ресурсы, менялись в зависимости от изменения социальной природы общества.
Исследование экономической сущности финансов, выявление специфических черт этой категории позволяет дать следующее определение.
Финансы — это денежные отношения, возникающие в процессе распределения и перераспределения стоимости валового общественного продукта и части национального богатства в связи с формированием денежных доходов и накоплений у субъектов хозяйствования и государства и использованием их на расширенное воспроизводство, материальное стимулирование работающих, удовлетворение социальных и других потребностей общества.
Будучи частью производственных отношений, финансы относятся к экономическому базису; их обусловленность стоимостным распределением подчеркивает исторически преходящий характер финансов.



Форма хозяйствования предприятия.


Немаловажно, какую форму хозяйствования избирает предприятие. Ведь по факту этого действия будут осуществляться дальнейшие взаимодействия предприятия с внешней средой экономики. Принимая решение о форме собственности, экономический субъект создает первичную структуру осуществления своих действий в экономическом пространстве.
Немаловажное значение составит выбор формы предпринимательства, в первую очередь, между предпринимательством индивидуальным и коллективным. Избрав индивидуальную форму, предприниматель действует на свой страх и риск. Его предприятие является частным, оно принадлежит ему на правах собственности или членам его семьи на правах общей долевой собственности. В случае неудачи собственник несет полную ответственность по обязательствам предприятия и расплачивается своими средствами, своим имуществом.
Сделав выбор в пользу коллективной формы предпринимательства, предприниматель делит ответственность с партнерами по предприятию. Такая форма позволяет уменьшить риск, привлечь дополнительные ресурсы.
В соответствии с Гражданским кодексом Российской Федерации (часть первая), введенным в действие с 1 января 1995 г., юридические лица, являющиеся коммерческими организациями, могут создаваться в форме хозяйственных товариществ и обществ, производственных кооперативов, государственных и муниципальных унитарных предприятий.
Хозяйственные товарищества могут создаваться в форме полного товарищества и товарищества на вере (коммандитного товарищества). Хозяйственные общества могут создаваться в форме акционерного общества, общества с ограниченной или дополнительной ответственностью.
Полным признается товарищество, участники которого (полные товарищи) в соответствии с заключенным между ними договором занимаются предпринимательской деятельностью от имени товарищества и несут ответственность по его обязательствам принадлежащим им имуществом.
Товариществом на вере (коммандитным товариществом) признается товарищество, в котором наряду с участниками, осуществляющими от имени товарищества предпринимательскую деятельность и отвечающими по обязательствам товарищества своим имуществом (полными товарищами), имеется один или несколько участников-вкладчиков (коммандитистов), которые несут риск убытков, связанных с деятельностью товарищества, в пределах сумм внесенных ими вкладов и не принимают участия в осуществлении товариществом предпринимательской деятельности.
Акционерным признается общество, уставный капитал которого разделен на^ определенное число акций; участники акционерного общества (акционеры) не отвечают по его обязательствам и несут риск убытков, связанных с деятельностью общества, в пределах стоимости принадлежащих им акций.
Акционерное общество может быть открытым или закрытым. Акционерное общество, участники которого могут отчуждать принадлежащие им акции без согласия других акционеров, признается открытым. Такое акционерное, общество вправе проводить открытую подписку на выпускаемые им акции и их свободную продажу на условиях, устанавливаемых законом и иными правовыми актами. Оно обязано ежегодно публиковать для всеобщего сведения годовой отчет, бухгалтерский баланс, счет прибылей и убытков.
Закрытым признается такое акционерное общество, акции которого распределяются только среди его учредителей или иного, заранее определенного, круга лиц. Акционеры такого общества имеют преимущественное право приобретения акций, продаваемых другими акционерами этого общества.
Обществом с ограниченной ответственностью признается учрежденное одним или несколькими лицами общество, уставный капитал которого разделен на доли определенных учредительными документами размеров. Участники этого общества не отвечают по его
обязательствам и несут риск убытков, связанных с деятельностью общества, в пределах стоимости внесенных ими вкладов.
Участники общества с дополнительной ответственностью солидарно несут субсидиарную ответственность по его обязательствам своим имуществом в одинаковом для всех кратном размере к стоимости их вкладов, определяемом учредительными документами общества.
При банкротстве одного из участников его ответственность по обязательствам общества распределяется между остальными участниками пропорционально их вкладам, если иной порядок распределения ответственности не предусмотрен учредительными документами общества.
Выбор формы предприятия — весьма ответственное дело. Поэтому не следует ограничиваться только собственной интуицией, собственным предпочтением. Необходимо учитывать и хозяйственную, и правовую среду, и общественный порядок, в которых предстоит действовать предприятию.1
Предприятия в своих различных экономических формах образуют единую совокупность — рыночное хозяйство, — которое, учитывая особенности каждого субъекта в отдельности, проецирует суммарную направленность их интересов. По результатам деятельности данного хозяйства в целом по отношению к другим подобным рыночным хозяйствам оценивается эффективность применения тех или иных экономических методов управления и нормирования.


Формирование ассортимента и управление им


Формирование ассортимента и управление им Сущность планирования, формирования и управления ассортиментом заключается в том, чтобы товаропроизводитель своевременно предлагал определенную совокупность товаров, которые бы, соответствуя в целом профилю его производственной деятельности, наиболее полно удовлетворяли требованиям определенных категорий покупателей. Набор товаров, предлагаемых предприятием-изготовителем на рынке, называют ассортиментом.
Номенклатура, или товарный ассортимент, — это вся совокупность изделий, выпускаемых предприятием. Она включает различные виды товаров. Вид товара (автомобиль, трактор, металлообрабатывающий станок) делится на ассортиментные группы (типы) в соответствии с функциональными особенностями, качеством, ценой, Каждая группа состоит из ассортиментных позиций (разновидностей или марок), которые образуют низшую ступень классификации. Например, предприятие производит холодильники и стиральные машины. Холодильники представлены одно-, двух-, и трехкамерными моделями и морозильными камерами. Последние имеют несколько марок, отличаются объемом и некоторыми техническими данными.
Товарный ассортимент характеризуется широтой (количеством ассортиментных групп), глубиной (количеством позиций в каждой ассортиментной группе) и сопоставимостью (соотношением между предлагаемыми ассортиментными группами с точки зрения общности потребителей, конечного использования, каналов распределения и цен).
Формирование ассортимента — проблема подбора конкретных товаров, их отдельных серий, определения соотношений между «старыми» и «новыми» товарами, товарами единичного и серийного производства, «наукоемкими» и «обычными» товарами, овеществленными товарами, лицензиями и «ноу-хау». При формировании ассортимента возникают проблемы установления ценовой политики, требований к качеству товара, определения гарантий и уровня сервисного обслуживания и др. Важно также определить, собирается ли производитель играть роль лидера в создании принципиально новых видов продуктов или вынужден следовать за другими изготовителями.
Формированию ассортимента предшествует разработка предприятием ассортиментной концепции.   Она   представляет  собой  направленное   построение   оптимальной ассортиментной структуры, товарного предложения, при этом за основу принимаются, с одной стороны, потребительские требования определенных групп (сегментов рынка), а с другой — необходимость обеспечить наиболее эффективное использование предприятием сырьевых, технологических, финансовых и иных ресурсов с тем, чтобы производить изделия с низкими издержками.
Достижение соответствия между структурно-ассортиментным предложением товаров предприятием и спросом на них связано с определением и прогнозированием структуры ассортимента. Прогноз структуры ассортимента на долгосрочный период, в котором были бы учтены такие важные для потребителя признаки товара, как эстетические характеристики, точные размеры, конкретная цена, маловероятен. Дело не в детализации ассортимента по потребительским свойствам (например, по цветовой гамме, размерам изделий, соотношению цен), а, к примеру, в оптимальном разнообразии ассортимента по определенным признакам (типы телевизоров, наборы предметов кухонного обихода, целесообразные градации цен и т.д.) с расчетом на конкретные группы (сегменты) потребителей. Прогнозируется лишь тенденция развития ассортимента (а более точно — ассортиментная структура спроса и товарного предложения). Так, можно определить, какое разнообразие телевизоров будет отвечать требованиям различных групп потребителей, но нереально дать прогноз потребности в конкретных моделях (с набором конкретных свойств) на перспективу. Указанные прогнозы, учитывая влияние фактора взаимозаменяемости товаров, необходимо рассматривать во взаимосвязи. Прогноз тенденции развития ассортимента должен показывать такую траекторию развития процесса, которая позволит обеспечить достижение намечаемого соответствия товарного предложения предприятия меняющейся в перспективе ассортиментной структуре спроса на рынке.
Итак, суть проблемы формирования ассортимента состоит в планировании практически всех видов деятельности, направленных на отбор продуктов для будущего производства и реализации на рынке и на приведение характеристик этих продуктов в соответствие с требованиями потребителей. Формирование на основе планирования ассортимента продукции — непрерывный процесс, продолжающийся в течение всего жизненного цикла продукта, начиная с момента зарождения замысла о его создании и кончая изъятием из товарной программы. Система формирования ассортимента включает следующие основные моменты.
1, Определение текущих и перспективных потребностей покупателей, анализ способов использования данной продукции и особенностей покупательского поведения на соответствующих рынках.
2. Оценка существующих аналогов конкурентов по тем же направлениям.
3. Критическая оценка выпускаемых предприятием изделий в том же ассортименте, что и в п.п. 1 и 2, но уже с позиций покупателя.
4. Решение вопросов: «Какие продукты следует добавить в ассортимент, а какие исключить из него из-за изменений в уровне конкурентоспособности; следует ли диверсифицировать продукцию за счет других направлений производства предприятия, выходящих за рамки его сложившегося профиля?»
5. Рассмотрение предложений о создании новых продуктов, усовершенствовании существующих, а также о новых способах и областях применения товаров.
6. Разработка спецификаций новых или улучшенных продуктов в соответствии с требованиями покупателей.
7. Изучение возможностей производства новых или усовершенствованных продуктов, включая вопросы цен, себестоимости и рентабельности.
8. Проведение испытаний (тестирование) изделий с учетом потенциальных потребителей в целях выяснения приемлемости этих товаров по основным показателям.
9. Разработка специальных рекомендаций для производственных подразделений предприятия относительно качества, фасона, цены, наименования, упаковки, сервиса и т.д. в соответствии с результатами проведенных испытаний, подтверждающих приемлемость характеристик изделия или предопределивших необходимость их изменения.
10. Оценка и пересмотр всего ассортимента.
Планирование и управление ассортиментом — неотъемлемая часть маркетинга. Даже хорошо продуманные планы сбыта и рекламы не смогут нейтрализовать последствия ошибок, допущенных ранее при планировании ассортимента.
Управление ассортиментом предполагает координацию взаимосвязанных видов деятельности — научно-технической и проектной, комплексного исследования рынка, организации сбыта, сервиса, рекламы, стимулирования спроса. Трудность решения данной задачи состоит в сложности объединения всех этих элементов для достижения конечной цели — оптимизации ассортимента с учетом поставленных предприятием стратегических рыночных целей. Если этого достигнуть не удается, то может получиться, что в ассортимент начнут включаться изделия, разработанные скорее для удобства производственных подразделений предприятия, нежели для потребителя. С точки зрения концепции маркетинга — это прямо противоречит тому, что необходимо действительно делать. Задачи планирования и формирования ассортимента состоят прежде всего в том, чтобы подготовить «потребительскую» спецификацию на изделие, передать ее проектному (конструкторскому) отделу, а затем проследить, чтобы опытный образец был испытан, при необходимости модифицирован и доведен до уровня требований потребителей. Иначе говоря, в формировании ассортимента решающее слово должно принадлежать руководителям службы маркетинга предприятия, которые должны решать вопрос о том, когда более целесообразно вложить средства в модификацию изделия, а не нести дополнительные возрастающие расходы по рекламе и реализации устаревающего товара или снижать цену на него. Именно руководитель службы маркетинга предприятия должен решать, настало ли время ввести в ассортимент новые продукты взамен существующих или в дополнение к ним.
Формирование ассортимента, как свидетельствует практика, может осуществляться различными методами, в зависимости от масштабов сбыта, специфики производимой продукции, целей и задач, стоящих перед изготовителем. Вместе с тем, их объединяет то, что управление ассортиментом обычно подчинено руководителю службы маркетинга. В  определенных  случаях  целесообразно  создание  постоянного  органа  под председательством генерального директора (его заместителя), в который в качестве постоянных членов включались бы руководители ведущих служб и отделов предприятия. Его главная задача — принятие принципиальных решений относительно ассортимента, включая: изъятие нерентабельных видов продукции, ее отдельных моделей, типоразмеров; определение необходимости исследований и разработок для создания новых и модификации существующих изделий; утверждение планов и программ разработки новых или совершенствования уже выпускаемых продуктов; выделение финансовых средств на утвержденные программы и планы.
Насущный вопрос для предприятия-изготовителя — необходимо ли разрабатывать стандартный товар, годный для всех отобранных рынков, или приспосабливать его к специфическим требованиям и особенностям каждого отдельного сегмента, создавая для этого определенное число модификаций базового изделия. И в том, и в другом случаях есть свои плюсы и минусы. Так, хотя создание стандартного товара, единого для всех рынков, весьма заманчиво, но это практически неосуществимо. В то же время политика дифференциации не оправдывает себя экономически там, где условия рынка позволяют осуществлять частичную или полную стандартизацию (универсализацию) изделия.
К выгодам такого рода стандартизации товара следует отнести: снижение затрат на производство, распределение, сбыт и обслуживание; унификацию элементов комплекса маркетинга; ускорение окупаемости капиталовложений и др. Неполное использование (в сравнении с дифференциацией) потенциальных возможностей рынка, недостаточно гибкая реакция маркетинга на меняющиеся рыночные условия в этом случае сдерживают нововведения.
Модификация товара позволяет более полно использовать «поглощающие» возможности рынков с учетом специфики их требований в отдельных регионах страны и зарубежных странах, заполнять те товарные ниши, где нет конкуренции или она незначительна. Однако определение такого направления в ассортиментной стратегии — дорогостоящее дело, связанное с необходимостью модернизации и расширения производственных мощностей, диверсификации и перестройки сбытовой сети и, конечно, расширения комплекса маркетинга. В конечном счете использование стандартизации, дифференциации или их сочетания зависит от конкретных условий деятельности изготовителя и определяется конечным результатом — уровнем экономической эффективности сбыта и его объемом, достигаемых с помощью этих методов.
Еще один важный элемент ассортимента и в целом товарной политики — изъятие из программы неэффективных товаров. Изыматься могут товары, морально устаревшие и экономически неэффективные, хотя и, возможно, пользующиеся некоторым спросом. Принятию решения об изъятии или оставлении товара в программе предприятия предшествует оценка качества показателей каждого товара на рынке. При этом необходимо учитывать объединенную информацию со всех рынков, где они реализуются, чтобы установить реальный объем продаж и уровень рентабельности (прибыльности) в динамике, которые обеспечивает изготовителю каждый из его товаров.
Таким образом, изготовитель должен организовать систематический контроль за поведением товара на рынке, за его жизненным циклом. Только при таком условии будет получена полная и достоверная информация, позволяющая принимать верные решения. Для облегчения решения проблемы следует располагать методикой оценки положения товара на различных рынках, где предприятие работает, а методика должна быть относительно простой.
Принятие окончательного решения об изъятии товара из программы или о продолжении его реализации можно упростить, если уже на стадии разработки изделия установить количественные требования к нему: уровень (норматив) окупаемости, объем продаж и/или прибыли (с учетом полных затрат ресурсов). Если товар перестает отвечать этим критериям, то тем самым предопределяется и характер решения по его изъятию.
Исчерпавший свои рыночные возможности товар, вовремя не изъятый из производственной программы, приносит большие убытки, требуя несоразмерно получаемым результатам затрат средств, усилий и времени. Поэтому, если производитель
не будет иметь четкой системы критериев изъятия товаров из производственно-сбытовой программы и не будет систематически проводить анализ изготовляемых и реализуемых товаров, то его ассортимент неизбежно окажется «перегруженным» неэффективными изделиями со всеми вытекающими отсюда отрицательными последствиями для производителя.


Формирование рыночной экономики — сложный, противоречивый процесс.


5) чрезмерный рост цен, безудержная инфляция, нарушение денежного обращения, бюджетный дефицит, огромная эмиссия денег и т.д.;
6) расцвет теневой экономики, «серого» и «черного» рынков;
7) попытка усиления региональных рынков, разгул центробежных сил;
8) расцвет бартерных сделок вместо более развитых торгово-денежных отношений;
9) деформация экономических интересов субъектов рыночных отношений (например, у торговцев возникает интерес не продать, а припрятать товар), отсутствие мотивации к эффективному труду, риску в хозяйственной деятельности;
10) отсутствие у потребителя права выбора товара.
Чтобы устранить деформацию рынка, ликвидировать болезни рыночной экономики (безработицу, инфляцию, нестабильность), необходимо создать условия для перехода к рыночному хозяйству в России и последующего его развития.
Такими условиями являются:
- наличие в экономике разнообразных форм собственности (полиморфизм собственности) и многообразных форм хозяйствования, а также свободной конкуренции между ними, свобода участия всех хозяйственников в конкуренции и выхода из нее, достаточное количество производителей, должно быть не менее 15-20 изготовителей однотипной продукции (если производителей 4-5 — это олигополия, если 1-2 — монополия, что может сдерживать развитие рынка);
- обеспечение свободы хозяйственной деятельности, выбора партнеров по хозяйственным связям, самостоятельность, независимость и ответственность за хозяйственные решения рыночных субъектов, их способность самостоятельно заключать контракты, договоры, размещать и принимать заказы; способность свободно распоряжаться частью своих доходов; отсутствие жесткого административного товарного распределения (по карточкам, талонам), фондирования и др., т.е. свободная купля-продажа;
- формирование механизма свободного ценообразования, право рыночных субъектов самим устанавливать цены. Это не жесткое условие, ибо классический рынок как бы задает извне, «невидимой рукой», цену покупателям и продавцам. Наличие союзов производителей и потребителей как своеобразная реакция на цены, не устраняет рынок;
- свободное маневрирование ресурсами, их наличие, обеспечивающее мобильность в использовании факторов (материальных, трудовых, финансовых) производства для его развития; возможность изменить условия производства, его технологию, свободное перемещение любых капиталов в любую сферу приложения; недогрузка мощностей — это обязательное условие для функционирования здоровой рыночной экономики;
- полнота и доступ к информации о состоянии рынка всех хозяйственников;
-наличие рыночной инфраструктуры, т.е. комплекса отраслей, систем, служб, предприятий, обслуживающих рынок;
-сохранение, наряду с распространением рыночных отношений, значительного нерыночного сектора экономики;
-последовательная интеграция национальной экономики в систему мирохозяйственных связей;
- обеспечение со стороны государства социальных гарантий гражданам, предоставление всем равных возможностей в «зарабатывании средств» и поддержка нетрудоспособных и социально уязвимых членов общества.
Развитие рынка в России, как и везде в мире, происходит при обстоятельствах, которые люди не свободно выбирают, а которые имеются налицо, даны им и перешли от прошлого. Это позволяет выделить общие закономерности и условия развития рынка и специфические — для России.
Современная модель рыночного хозяйствования, которая сложилась в странах с высоко- и среднеразвитой рыночной экономикой, характеризуется следующими общими закономерностями: максимальной приватизацией, открытостью рынков, высоким уровнем развития экономики страны в целом и инфраструктуры рынка в частности, развитой системой методов финансово-бюджетного регулирования национальной экономики, конвертируемостью валюты, экономическим ростом и циклическим характером развития экономики в целом.
Специфика вхождения России в систему социально ориентируемого рыночного хозяйствования определяется следующим: относительно низким уровнем развития производительных сил по сравнению с развитыми странами; ослабленностью мирохозяйственных связей по всей широте и глубине, присущих современным интеграционным процессам; сохраняющимся засильем элементов административно-командной системы хозяйствования; чрезвычайно высоким уровнем концентрации производства при незначительном противовесе в виде сферы малого и среднего предпринимательства; глубоко монополизированной структурой экономики и основных рынков; несбалансированностью экономики; оторванностью от человека (отчуждением от производства); необходимостью сочетания общефедеральных и республиканско-региональных интересов; сочетанием противоречивых процессов — «регионализация» рынков и усиление хозяйственной взаимозависимости экономик отдельных республик, регионов, районов и т.д.; необходимостью единого экономического пространства.
Основные закономерности развития рынка проявляются как тенденции. Вопрос перехода общества к рыночным структурам не прост. Трудность понимания проблемы заключается в том, что наши теоретические воззрения и общественная практика не всегда совпадают, а для некоторых авторов они прямо противоположны. Одни в рынке видят главный путь выхода из кризиса, другие утверждают, что именно рынок загнал наше общество в тупик.
Формирование рыночной экономики — сложный, противоречивый процесс. Рыночная экономика может разрушительно воздействовать на общественные структуры (вспомним мировой кризис 30-х годов XX в.), и тогда необходимо вмешательство государства. Чрезмерное же огосударствление экономики вызывает обратную тенденцию, характерную для преобразования современного российского общества.
Рынок как социальная форма организации экономики, с одной стороны, вызывает в человеке активность (предприимчивость), а с другой — порождает социальное расслоение населения, безработицу, не всегда управляемый рост цен. Вот почему крайне необходимы культура экономики, культура рынка и соответствующее развитие их субъектов.
Поэтому программа экономических реформ в России должна учитывать эти моменты и отражать определенную логику и следующие этапные задачи формирования рыночной экономики в России:
1) разгосударствление экономики, приватизация, развитие предпринимательства;
поиск и использование резервов и возможностей;
2) формирование рынка и его инфраструктуры, установление хозяйственных связей рыночного типа и становление новых мотивационных механизмов развития предпринимательства;
3) демонополизацияэкономикииустранениеорганизационныхструктур, сложившихся в рамках административно-командной системы и препятствующих развитию рынка;
4) постепенное ограничение государственного контроля над ценами, переход к свободному ценообразованию;
5) осуществление жесткой кредитно-денежной и финансовой политики, направленной на ограничение денежной массы в обращении;
6) создание сильной системы социальных гарантий и поддержки населения, облегчающей людям адаптацию к условиям рыночной экономики;
7) осуществление активной структурно-инвестиционной политики, которая, опираясь преимущественно на экономические методы, обеспечила бы необходимые структурные сдвиги в народном хозяйстве в направлении социальной переориентации.
Таким образом, экономические реформы в России должны быть «настроены» на человека, на удовлетворение его потребностей, развитие его личности.1



Формирование современной налоговой системы в РФ


Некоторые проблемы формирования современной налоговой системы в России В июне 1997 г. Россия официально принята в Клуб восьми промышленно развитых стран мира. Однако в России пока не создана полноценная рыночная экономика, и одной из причин этого является торможение качественных изменений в финансовом механизме. На финансовом рынке по-прежнему господствует государство и его ресурсы, а накопления частного сектора либо укрываются «в матрицах», либо перетекают за рубеж. Способствует этому прежде всего налоговая политика правительства, которая вытесняет капиталы из производственного сектора и не позволяет развиться нормальному инвестиционному процессу.
Между тем по своим внешним параметрам и составу налогов российская система налогообложения практически полностью копирует западную модель, а там налоги отнюдь не рассматриваются как фактор подавления рыночной активности граждан и предприятий. В чем же причины такого расхождения?
Наверное, не требует особых доказательств тот факт, что одни и те же виды налогов по-разному проявляют себя в различных экономических условиях и для разных экономических субъектов. На Западе основным плательщиком налогов является средний класс населения, получающий доходы в основном легальными путями — большей частью в виде зарплаты, перечисляемой безналичным путем на банковские счета граждан. Кроме того, в большинстве западных стран экономика находится на подъеме, доходы населения растут, в них велика доля различного рода социальных пособий, поэтому высокие ставки налогов оправданы ситуацией и функционально используются властями как средство «охлаждения» рынка и сокращения избыточного спроса.
В России значительная часть доходов имеет криминальный или полулегальный характер, в частном товарном обороте велика доля наличных денег, учет на большинстве предприятий отстает от западных стандартов. При этом производственная активность в стране особенно низка, многие предприятия находятся в критическом финансовом состоянии и не имеют средств даже на выплату заработной платы своим работникам. Неудивительно, что налоги, которые на Западе не считаются чрезмерно обременительными для производственной и инвестиционной деятельности, в России превращаются в угрозу экономической безопасности государства и справедливо вызывают резкие протесты общества.
Как пишет международный эксперт М.Хадсон, «Советы, которые получает Россия (по реформированию налоговой системы) от Международного валютного фонда. Всемирного банка и американских консультантов — не лучшего свойства. Российская налоговая система сейчас стимулирует биржевые спекуляции, а не производство. Если будет принят новый налоговый кодекс, закрепляющий эту систему, то основное бремя налогов будет возложено на простых граждан».
Даже при использовании этих видов налогов Россия отходит от западных стандартов. Речь идет в первую очередь о следующих моментах:
- принципиальном исключении из налогообложения частных доходов граждан в пределах, обеспечивающих их достойное существование (высокий необлагаемый минимум);
- фактическом исключении из налогообложения капиталов, вложенных в производство, и прибылей, реинвестируемых на цели развития предприятий;
- поддержании максимально благоприятного налогового режима для частных инвестиций в национальную экономику.
В России же в результате последовательных налоговых реформ доходы рядового наемного работника оказались «урезанными» на 60—70% сверх уже удержанных подоходных налогов. Эта сумма слагается из платежей в социальные фонды — примерно 40%, НДС — 10-20% плюс акцизы и таможенные пошлины. Только в пенсионные фонды переводится почти 30% выплачиваемой зарплаты, что выглядит полным абсурдом для мужской части населения России: средняя продолжительность жизни мужчин не достигает 60 лет, т.е. они просто не доживают до пенсии, за которую платят всю жизнь. (Для сравнения в Западной Европе платежи в пенсионные фонды в среднем не превышают 15—20% при средней продолжительности жизни населения 70 лет). К этому следует еще добавить налоги на автомобили, на жилье, на дачи, на земельные участки и т. д. Но еще до всех этих налогов из доходов наемных работников удерживается подоходный налог по прогрессивно растущим налоговым ставкам начиная с минимальной ставки 12% и при невероятно низком необлагаемом минимуме.
Для сравнения в советское время необлагаемый минимум был установлен на уровне 70 руб. в месяц, что составляло по тогдашнему обменному курсу примерно 100 долл. США (этому курсу можно доверять, поскольку он рассчитывался исходя из самых ординарных и широко потребляемых товаров).1
Для общества в целом гораздо важнее обеспечить устойчивость и поступательность развития национального производства, чем сохранить у власти то или иное правительство. В налоговой сфере этот принцип выражен на Западе в самой недвусмысленной форме — как бессрочные «налоговые каникулы» для капиталов, вложенных в производство и остающихся в нем.
Но это только отправная точка — на самом деле в большинстве стран власти идут дальше и оказывают поддержку национальному производству в самых разных формах. Если говорить о налогах, то там нормально работающее предприятие совершенно законно не платит вообще никаких налогов (кроме НДС, который обычно перекладывается на потребителя, а при экспорте полностью компенсируется), если не имеет так называемой налогооблагаемой прибыли.
Правила же ее расчета таковы, что позволяют предприятиям делать ряд финансовых списаний из своей выручки (важнейшие — списания на амортизацию оборудования, приобретенную технологию и на формирование резервов). Эти списания в сумме дают объем накоплений, позволяющий финансировать не только процесс производства, но и его обновление и даже (до определенных пределов) расширение.
Если предприятие получает налогооблагаемую прибыль, оно, конечно, должно платить налог. Но в противовес этому и в качестве компенсации законом предусмотрены льготы или даже прямые субсидии, которые предприятие получает, если совершает действия, к которым его хочет побудить правительство.
Например, часто предприятию возвращают уже уплаченные налоги, если оно направляет свою прибыль на новые капиталовложения или на другие одобренные цели (экологию и т.д.), дают льготные кредиты, предоставляют бесплатно участки земли, помещения, безвозвратные субсидии и т.д. Другой формой поддержки предприятий, часто даже более значимой для них, являются расходы государства на развитие инфраструктуры (в районах, выделенных под промышленное развитие), развитие передовых систем связи, новые технологии и т.д. (например технологии Интернета, разработанные военным ведомством целиком на бюджетные деньги, совершенно бесплатно переданы правительством США для освоения частному бизнесу).
Если все это суммировать, то на практике оказывается, что на Западе предприятия должны платить налоги только тогда, когда доходы изымаются из производства на цели потребления (на зарплату наемных работников и на выплату дивидендов акционерам предприятия) или когда их хозяева решат окончательно изъять свои капиталы из бизнеса. В остальных случаях они могут не беспокоиться о налогах, и это не временная поблажка, а всеми признанная и неизменная политика.
При этом в западной прессе часто пишут, что налогоплательщики активно и часто весьма успешно разными средствами скрывают свои доходы и налоговые власти вроде бы ведут неустанную борьбу с такой практикой. Однако с этой борьбой тоже не все так просто. Известно, что так называемые оффшорные центры в огромных количествах собирают «спасающиеся» от налогов капиталы из всех стран мира. Американские капиталы «бегут» на Багамы, британские — на острова в Ла-Манше, немецкие — в Швейцарию и Люксембург и т.д. И странно слышать, что власти никак не могут справиться с этим бегством капиталов.
На самом деле терпимость, проявляемая правительствами развитых стран по отношению к этим оффшорным центрам, вовсе не случайна. Многие из этих центров были или остаются колониями или зависимыми территориями, имеют тесные экономические связи со своими метрополиями и, самое главное, полностью контролируются банками из этих стран. Американские капиталы не просто бегут на Багамы, они бегут в американские банки, находящиеся на Багамах, британские капиталы бегут в филиалы британских же банков на островах, кстати, остающихся в подданстве британской короны. При желании, разумеется, эти лазейки были бы немедленно закрыты. Но если бы британцы поступили так со своими островами, то британские капиталы стали бы искать убежища в американских банках на Багамах или в немецких в Швейцарии. Естественно, это существенно отразилось бы на положении Лондона как мирового финансового центра.
Все это хорошо понимают, и правительства западных стран давно признают оффшорные центры как наименьшее и неизбежное зло. Но некоторые из них идут дальше и по своей инициативе создают оффшорные центры непосредственно на своей территории. Американцы, например, создали такой оффшорный банковский центр в самом Нью-Йорке, другие страны создают специальные безналоговые зоны на своей территории или допускают на определенных условиях создание оффшорных компаний в рамках своих законов и со счетами в своих банках.


Формирование товарной политики


Формирование товарной политики Товарная политика предполагает определенный курс действий товаропроизводителя или наличие у него заранее обдуманных принципов поведения. Она призвана обеспечить преемственность решений и мер по формированию ассортимента и его управлению; поддержанию конкурентоспособности товаров на требуемом уровне; нахождению для товаров оптимальных товарных ниш (сегментов); разработке и осуществлению стратегии упаковки, маркировки, обслуживания товаров. Отсутствие товарной политики ведет к неустойчивости структуры ассортимента из-за воздействия случайных или преходящих текущих факторов, к потере контроля над конкурентоспособностью и коммерческой эффективностью товаров. Принимаемые руководителем текущие решения в таких случаях нередко основываются исключительно на интуиции, а не на трезвом расчете, учитывающем долговременные интересы.
Хорошо продуманная товарная политика не только позволяет оптимизировать процесс обновления товарного ассортимента, но и служит для руководства предприятия своего рода указателем общей направленности действий, способных скорректировать текущие ситуации. Отсутствие генерального курса, без которого нет и долгосрочной товарной политики, может привести к неправильным решениям, распылению сил и средств, отказу от запуска изделий в производство, когда на это уже затрачены огромные средства.
Товарная политика, хотя и очень важная, но тем не менее лишь составная часть хозяйственной и маркетинговой политики предприятия. В силу этого принцип «товар выбирает покупателя» в сочетании с созданием для покупателей широких возможностей выбора должен закладываться непосредственно в производстве. Система конструирования, моделирования, дизайна, механизм стимулирования должны ориентироваться на конкретного потенциального потребителя, в расчете на которого производитель собирается выпускать товары.
Разработка и осуществление товарной политики требуют соблюдения как минимум следующих условий: четкого представления о целях производства, сбыта и экспорта на перспективу; наличия стратегии производственно-сбытовой деятельности предприятия; хорошего знания рынка и характера его требований; ясного представления о своих возможностях и ресурсах (исследовательских, научно-технических, производственных, сбытовых) в настоящее время и в перспективе.
В условиях необходимости мобилизации все более крупных ресурсов для решения производственно-сбытовых и иных задач, неопределенности коммерческих результатов (особенно при экспорте) требуется тщательная проработка всего комплекса вопросов, входящих в товарную политику. Необходимо продуманное на длительную перспективу решение таких проблем, как: оптимизация ассортимента (номенклатуры) производимых изделий с учетом их потребительских характеристик и особенностей технологии производства; темпы обновления продукции в целом и по отдельным ее видам с учетом жизненного цикла; соотношение новых и «старых» изделий в программе, новых и освоенных рынков при сбыте; уровень обновления товаров; выход на рынок с принципиально новыми видами продукции; выбор времени выхода на рынок с новыми товарами и изъятия из программы существующих, но теряющих рыночные позиции товаров, и др. Эти проблемы решаются в тесной привязке к рынку, его требованиям, к поведению конкурентов.
Поскольку рыночный (конечный) успех отныне является главным критерием оценки деятельности отечественных предприятий, а их рыночные возможности предопределяются правильно разработанной и последовательно осуществляемой товарной политикой, то именно на основе изучения рынка и перспектив его развития предприятие получает исходную информацию для решения вопросов, связанных с формированием, управлением ассортиментом и его совершенствованием.
К решению задач товарной политики на любом хозяйственном уровне необходим стратегический подход. Это означает, что любое решение в указанной области должно приниматься не только с точки зрения текущих интересов, но и с учетом того, как оно «работает» на конечные цели. Такой подход требует концентрации усилий на решающих направлениях.
Стратегия — это долговременный курс товарной политики, рассчитанной на перспективу и предусматривающей решение принципиальных задач. Разработанная применительно к тому или иному периоду (3—5 лет или более) товарная стратегия в своей основе в течение данного времени остается, как правило, практически неизменной.
Товарная политика неразрывно связана с реальными условиями деятельности предприятия-изготовителя, специфики его профиля. Вместе с тем, как показывает практика, находящиеся примерно в одинаково тяжелых условиях сложившейся рыночно-экономической обстановки в России промышленные предприятия по-разному решают свои товарные проблемы: одни проявляют полное неумение и беспомощность, а другие, следуя принципам и методам маркетинга, находят перспективные пути.
Показательна в этом отношении деятельность Таганрогского комбайнового завода. В свое время Таганрогу была отведена роль лидера в создании новинок в отечественном комбайностроении. Здесь находятся головное конструкторское бюро отрасли и мощный серийный завод. Их содружество было и остается плодотворным, учитывая, что все известные модели комбайнов — от СК-4 до «Колосса» и «Дон-Ротора» — были созданы ими. Правда, путем административного давления, а не в результате честной конкуренции, Таганрогский комбайновый завод (ТКЗ) уступил свои позиции известному заводу «Ростсельмаш». ТКЗ не дали поставить на производство новые образцы комбайнов взамен устаревших моделей «Нива» и «Колосс», отведя ему роль поставщика комплектующих деталей для комбайна «Дон», производимого «Ростсельмашем».
Получив свободу в решении своих проблем, ТКЗ довольно умело распорядился ею. За последние годы он смог заложить прочный фундамент для своих производственных и коммерческих успехов благодаря правильно выбранной стратегии товарной политики. Руководством ТКЗ заблаговременно было принято решение освоить новую для него товарную нишу рынка, включающую малую сельскохозяйственную технику.
Предвидя изменение структуры спроса на сельскую технику в результате радикальных преобразований экономики села в России, ТКЗ в 1989 г. приступил к созданию модели небольшого универсального комбайна производительностью 3 кг биомассы в секунду, способного хорошо действовать на сравнительно небольших полях сложной конфигурации. Эффективность КЗС-3 подтверждена тремя годами его испытаний в различных экономических зонах. Проведенное маркетинговое исследование показало, что комбайн будет пользоваться повышенным спросом у многопрофильных крестьянских хозяйств, выращивающих пшеницу, кукурузу, подсолнечник, заготавливающих корма. В 1994 г. начато производство машины. Ожидается, что КЗС-3, вероятно, вытеснит комбайны «Дон» «Ростсельмаша» со Средней полосы России, из Прибалтики и даже несколько потеснит их в южных зернопроизводящих районах. Одновременно ТКЗ начинает производство еще одного изделия — так называемого тракторно-автомобильного средства, ТАС-30. Это небольшая маневренная машина, сочетающая достоинства автомобиля и трактора. Она способна поднимать и транспортировать грузы, выполнять земляные работы и производить другие операции.
Кроме того, чтобы выжить, ТКЗ за год освоил выпуск ряда остродефицитных видов техники, не имеющих отечественных аналогов. В их числе адаптеры для уборки подсолнечника ПСП-10, которые навешиваются на комбайны «Дон». Они срезают стебли подсолнечника, выбивают семечки из корзинок, ссыпают их в бункер, а стебли измельчают и равномерно разбрасывают по полю. Другая новинка — МПУ-150. Это универсальный подборщик для кормовых трав, с помощью которого можно заготавливать силос, сено или сенаж.
Таким образом, завод поворачивается лицом к реальным потребителям, их потребностям и нуждам, строя соответственно свою товарную политику. Этому будет способствовать и создание разветвленной дилерской и сервисной сети для обслуживания коллективных хозяйств и фермеров. В ближайшей перспективе ТКЗ намеревается осуществить выполнение программы «Комбайн по индивидуальному заказу».


Формирование товарной политики


Формирование товарной политики Товарная политика предполагает определенный курс действий товаропроизводителя или наличие у него заранее обдуманных принципов поведения. Она призвана обеспечить преемственность решений и мер по формированию ассортимента и его управлению; поддержанию конкурентоспособности товаров на требуемом уровне; нахождению для товаров оптимальных товарных ниш (сегментов); разработке и осуществлению стратегии упаковки, маркировки, обслуживания товаров. Отсутствие товарной политики ведет к неустойчивости структуры ассортимента из-за воздействия случайных или преходящих текущих факторов, потере контроля над конкурентоспособностью и коммерческой эффективностью товаров. Принимаемые руководителем текущие решения в таких случаях нередко основываются исключительно на интуиции, а не на трезвом расчете, учитывающем долговременные интересы.
Хорошо продуманная товарная политика не только позволяет оптимизировать процесс обновления товарного ассортимента, но и служит для руководства предприятия своего рода указателем общей направленности действий, способных скорректировать текущие ситуации. Отсутствие генерального курса, без которого нет и долгосрочной товарной политики, может привести к неправильным решениям, распылению сил и средств, отказу от запуска изделий в производство, когда на это уже затрачены огромные средства.
Товарная политика, хотя и очень важная, но тем не менее лишь составная часть хозяйственной и маркетинговой политики предприятия. В силу этого принцип «товар выбирает покупателя» в сочетании с созданием для покупателей широких возможностей выбора должен закладываться непосредственно в производстве. Система конструирования, моделирования, дизайна, механизм стимулирования должны ориентироваться на конкретного потенциального потребителя, в расчете на которого производитель должен выпускать товары.
Разработка и осуществление товарной политики требуют соблюдения как минимум следующих условий: четкого представления о целях производства, сбыта и экспорта на перспективу; наличия стратегии производственно-сбытовой деятельности предприятия; хорошего знания рынка и характера его требований; ясного представления о своих возможностях и ресурсах (исследовательских, научно-технических, производственных, сбытовых) в настоящее время и в перспективе.
В условиях необходимости мобилизации все более крупных ресурсов для решения производственно-сбытовых и иных задач, неопределенности коммерческих результатов (особенно при экспорте) требуется тщательная проработка всего комплекса вопросов, входящих в товарную политику. Необходимо продуманное на длительную перспективу решение таких проблем, как оптимизация ассортимента (номенклатуры) производимых изделий с учетом их потребительских характеристик и особенностей технологии производства; определение темпов обновления продукции в целом и по отдельным ее видам с учетом жизненного цикла; соотношение новых и «старых» изделий.2
Предприятие, производящее товар (или услугу), помимо исследования этого товара, обязано обратить внимание на состояние потенциальных потребителей, на их доход. Существует показатель эластичности спроса по доходу, т.е. степень изменения количества спрашиваемых товаров (или услуг) в ответ на изменения в размере доходов потребителей. Именно доход является условием приобретения товара после того, как его функциональное назначение совпало с нуждами потребителей. Поэтому для предприятия важно следить за товарными рынками и проводить их исследование с целью наиболее удачного сбыта именно его продукции, наиболее полно удовлетворяющей нужды потребителей.
Изучение товарной структуры рынка. Рыночные исследования выступают как информационная основа достижения таких целей, как реализация определенного объема продаж, создание и выведение на рынок новых товаров, увеличение рыночной доли. Постановка этих целей предполагает, что речь идет о рынке конкретного товара. В данной связи, раскрывая содержание рыночного исследования, в первую очередь необходимо остановиться на изучении товарной структуры рынка. Нужно определить, что и как необходимо исследовать и какие задачи должны быть решены в процессе исследования.
Понятие «рынок» в данном случае используется с определением «товарный» Под товарным рынком понимается сфера реализации конкретного товара (услуги) или группы товаров, связанных между собой определенными признаками производственного или потребительского характера. Например, рынок музыкальных инструментов и рынок аккордеонов, рынок одежды и рынок легкого платья.
Основой подобной классификации рынка является материально-вещественная форма товара. Степень агрегирования потребительских благ зависит от целей исследования. Могут быть выделены следующие уровни детализации:
а) общегрупповой: продукты питания; вино-водочные и табачные изделия непродовольственные товары; предметы длительного использования; услуги;
б) групповой — по группам товаров (услуг) : радиотовары; одежда; мебель и т.д.;
в) видовой — по видам товаров в каждой группе: телевизоры; радиоприемные устройства; пальто мужские; платья летние и т.д.
Существует множество различных признаков классификации товарных рынков. Использование тех или иных признаков зависит от целей исследования. Отметим лишь наиболее важные, которые имеют первостепенное значение для нужд практического исследования рынка.
Одним из важных признаков товарных рынков является территориальный охват. Анализ рынка в каждом конкретном исследовании проводится в рамках внутреннего (совокупного) рынка, внешнего (мирового), регионального (определенного территориального подразделения). Исследования совокупного внутреннего и внешнего рынков, как правило, носят стратегический характер и проводятся по укрупненным товарным группам. При исследовании регионального товарного рынка (экономический район, республика, город и т.д.) наряду с региональными особенностями необходимо учитывать состояние совокупного рынка.
Товарные рынки могут различаться по характеру конечного использования товара:
рынки товаров потребительского назначения (ТНП); рынки товаров производственного назначения. Специфика исследования рынков ТНП связана с тем, что эти товары рассчитаны на множество индивидуальных потребителей; большое внимание в таких исследованиях уделяется изучению вкусов, желаний, поведения потребителей. Характерной особенностью товаров производственного назначения является их тесная связь с производственным процессом. Особое внимание в исследовании подобных рынков уделяется изучению взаимосвязей потенциальных покупателей и производителей товара.
Классификация рынка может проводиться и по способности товаров удовлетворять потребности определенных групп потребителей: рынок мужской, женской одежды, рынок товаров для фотолюбителей, туристов, охотников и т.п. Особенностью исследования таких товарных рынков является учет взаимосвязей различных форм и средств удовлетворения определенной потребности.
Различные типы товарных рынков могут быть выделены по срокам использования товаров:  товары  длительного  использования,  среднего  срока  использования, краткосрочные (одноразовые). Специфика такой классификации товаров особенно важна
для процесса реализации продукции, поэтому при исследовании этих рынков особое внимание уделяется изучению наиболее эффективных методов сбыта и распределения конкретных товаров.
Рыночные исследования требуются, если производитель товаров хочет сориентироваться относительно рынков, на которых он может реализовать свою продукцию, и факторов, воздействующих на данные рынки. Иными словами, производителей и, прежде всего, маркетинговые службы многих предприятий интересует рынок сбыта продукции.
Рынок сбыта продукции — это часть рынка (совокупного, регионального), в пределах которой осуществляется сбыт (оптовая реализация и розничная продажа) товаров, производимых данным предприятием, объединением, отраслью. Рынок сбыта формируется и развивается в рамках определенного товарного рынка.
Рынок сбыта отдельного товара ( 17.2.1) можно условно разделить на несколько частей: потребители, которые не знают о товаре (спящий сегмент); знают о товаре, но не приобретают его; приобретают продукцию конкурентов; приобретают нашу продукцию (конкретного предприятия).

На 17.2.1 наглядно представлена доля рынка конкретного предприятия. Доля рынка — это удельный вес продукции предприятия в совокупном объеме реализации товара или продажах отрасли.
Подобное представление рынка сбыта товара показывает необходимость анализа существующих и потенциальных покупателей и позволяет определить объект рыночного исследования. Объект исследования товарных рынков представляет ту совокупность населения, которая является объектом наблюдения (население страны, отдельного региона, города, отдельные половозрастные группы потребителей).
Предметом исследования рынков отдельных товаров является соотношение спроса и предложения этих товаров при определенных экономических и социальных условиях. Представление об объекте и предмете исследования товарных рынков позволит определить проблематику исследований и ответить на вопрос: что мы изучаем?


Формы безналичных расчетов


Формы безналичных расчетов Участники хозяйственной сделки имеют право выбрать любую форму безналичных расчетов с учетом конкретных хозяйственных операций. Вся система расчетов строится так, чтобы создавались благоприятные условия для совершения платежей и ускорения кругооборота средств. Задержка в расчетах лишает поставщиков выручки от реализации, затрудняет выполнение производственных и хозяйственных задач. При задержке платежей у покупателей образуется кредиторская задолженность и нарушаются важнейшие принципы хозяйствования.
В современных условиях рекомендуются следующие формы безналичных расчетов:
- платежными поручениями;
- чеками;
- аккредитивами;
- платежными требованиями-поручениями;
- платежными требованиями1.
Объектом краткосрочного кредита выступает, как правило, формирование оборотных средств предприятия. В этой ситуации задачей экономического субъекта является координация доли собственных и заемных средств, а также инвестиций. Для целостного раскрытия этого вопроса необходимо остановиться на краткосрочном кредите в хозяйственном механизме управления предприятием.
Банковский кредит. Это — одна из наиболее распространенных форм кредитных отношений в экономике, объектом которых выступает процесс передачи в ссуду непосредственно денежных средств. Предоставляется он исключительно специализированными кредитно-финансовыми организациями, имеющими лицензию на осуществление подобных операций от центрального банка. В роли заемщика могут выступать только юридические лица, инструментом кредитных отношений является кредитный договор или кредитное соглашение. Краткосрочные ссуды предоставляются, как правило, на восполнение временного недостатка собственных оборотных средств у заемщика.
Совокупность подобных операций образует автономный сегмент рынка ссудных капиталов — денежный рынок. Средний срок погашения по этому виду кредита обычно
не превышает шести месяцев. Наиболее активно применяются краткосрочные ссуды на фондовом рынке, в торговле и сфере услуг, в режиме межбанковского кредитования. В современных отечественных условиях краткосрочные кредиты, получившие однозначно доминирующий характер на рынке ссудных капиталов, характеризуются следующими отличительными признаками: более короткими сроками, обычно не превышающими одного месяца; обслуживанием в основном сферы обращения, так как недоступны из-за цен для структур производственного характера.
Координация фрагментов деятельности предприятия, относящихся к финансам и производству, включается в механизм управления предприятием с целью возможного внесения  изменений  в  характеристики различных  направлений  деятельности. Одновременно вопросы финансирования производства включаются в процессы планирования, организации, мотивации и контроля, что необходимо для достижения поставленных целей. Условием эффективной реализации этих процессов является раскрытие и использование механизма управления предприятием.
Управление финансами Управление финансами в Российской Федерации прежде всего осуществляют высшие законодательные органы власти.
Важнейшим органом, осуществляющим управление финансами РФ, выступает Министерство финансов России и его органы на местах.
Основными задачами Министерства финансов РФ являются:
- составление проекта и исполнение федерального бюджета;
- обеспечение устойчивости государственных финансов и их активного воздействия на социально-экономическое развитие страны, на осуществление мер по развитию финансового рынка;
- разработка предложений по привлечению в экономику страны иностранных кредитов;
- совершенствование методов бюджетного планирования, финансирования и отчетности;
Важнейшими департаментами Министерства финансов России являются: бюджетный департамент, который составляет проект федерального бюджета; отраслевые департаменты финансирования промышленности, строительства и строительной индустрии; транспортных систем и связи; сельского хозяйства, пищевой промышленности и охраны природы;
оборонного комплекса и др; иностранных кредитов и внешнего долга; налоговых реформ;
государственных ценных бумаг и финансового рынка и др. Важным подразделением Министерства финансов выступает Главное управление федерального казначейства, отвечающее за кассовое исполнение бюджета.
Налоговая полиция имеет право налагать административный арест в установленном порядке на имущество лиц, уклонившихся от уплаты налогов, и осуществлять проверки, оформляя их актами.
В конце декабря 1995 г. Департамент налоговой полиции РФ был переименован в Федеральную службу налоговой полиции РФ, которая получила новые полномочия: право возбуждать уголовное дело, проводить по нему дознание, предварительное следствие и передавать материалы непосредственно в суд. Это направлено на уменьшение числа правонарушений и преступлений в области налогообложения и должно повысить собираемость налогов.
В целом таможенные органы осуществляют контроль за соблюдением налогового законодательства при пересечении товаров границы РФ, правильностью исчисления и уплатой таможенных пошлин.
В условиях административно-командной системы, централизованно планируемой социалистической экономики финансовый менеджмент не получил должного развития. При переходе к рыночным механизмам финансовый менеджмент приобретает первостепенное значение.
В странах с развитой рыночной экономикой в 1990-е гг. наибольшее воздействие на финансы акционерных обществ и предприятий оказывали интернационализация хозяйственной жизни, глобализация деловых операций и расширение применения компьютерной техники.
Конечно, всегда будут функционировать предприятия, ориентированные только на национальные рынки, но предпринимателям следует иметь в виду, что наибольшие возможности для успешной деятельности имеют те предприятия, которые строят свой бизнес в глобальном масштабе.
Основная задача финансового менеджмента по мобилизации и использованию денежных фондов корпораций состоит в максимизации реальных пассивов и активов корпораций. При этом важнейшее значение имеют следующие кардинальные вопросы финансового менеджмента:
1. Планирование и прогнозирование финансовой стороны деятельности корпораций. Финансовое управление корпорации разрабатывает финансовые планы, которые представляют собой прогнозы объемов производства и реализации продукции, развития научно-технического прогресса, внедрения новых управленческих решений и финансовых ресурсов их обеспечения (на один год и пять лет). Такие финансовые планы определяются для каждого подразделения корпорации, т.е. для отдельных фирм в рамках корпорации и для отдельных отраслевых управлений (департаментов) внутри одной фирмы. Главные показатели в процессе финансового планирования: объем реализации продукции, прибыль, капитальные вложения.
2. Координация финансовой деятельности корпорации со всеми ее службами. Например, решения в области маркетинга влияют на объем реализации, что в свою очередь оказывает воздействие на размер прибыли и инвестиций.
3. Проведение крупных операций на финансовом рынке по мобилизации дополнительных капиталов, реализации собственных акций и облигаций.


Формы и системы оплаты труда


Формы и системы оплаты труда Формы и системы оплаты труда определяют разные способы начисления заработка работникам.
Существуют две формы заработной платы — сдельная и повременная. Использование той или иной формы оплаты труда зависит от условий производства. В каждом конкретном случае должна применяться та форма оплаты труда, которая в наибольшей степени соответствует организационно-техническим условиям производства и тем самым способствует улучшению результатов трудовой деятельности.
Сдельная форма оплаты труда. При ней размер заработка рабочему начисляется за каждую единицу произведенной продукции или выполненного объема работ по сдельным расценкам, которые рассчитываются исходя из тарифной ставки, соответствующей разряду данного вида работ, и установленной нормы выработки (времени).
Применение сдельной оплаты труда возможно только при соблюдении следующих условий:
- имеются количественные показатели выработки, правильно отражающие затраты труда и возможность применить их с достаточной точностью;
- рабочим созданы реальные возможности увеличить выпуск продукции (объем выполненных работ) по сравнению с установленными нормами;
- существует необходимость увеличивать объем производства или выполняемых работ на данном рабочем месте;
- выяснена эффективность затрат на организацию нормирования труда и проведен точный учет изготовленной продукции или выполненного объема работ;
- обеспечен рост выработки вследствие сдельной оплаты труда, исключающий ухудшение качества продукции, нарушения технологии производства и правил техники безопасности.
Сдельная форма оплаты труда в зависимости от способа учета выработки и применяемых видов дополнительного поощрения (премии, повышенные расценки) подразделяется на системы: прямую сдельную, косвенную сдельную, сдельно-премиальную, сдельно-прогрессивную, аккордную.
В зависимости от того, как определяется заработок рабочего — по индивидуальным или групповым показателям работы, — каждая из этих систем может быть индивидуальной или коллективной (бригадной).
При прямой сдельной системе заработной платы труд рабочего оплачивается по расценкам за единицу произведенной продукции, которые определяются делением тарифной ставки разряда работы на соответствующую норму выработки или умножением тарифной ставки разряда работы на соответствующую норму времени. Общий заработок рассчитывается путем умножения сдельной расценки на количество произведенной продукции за расчетный период.
Создавая значительную личную материальную заинтересованность рабочего в повышении индивидуальной выработки, прямая сдельная система оплаты труда в то же время слабо материально заинтересовывает его в достижении высоких общих показателей работы бригады, участка, цеха, а также в повышении качественных показателей работы, экономном расходовании материальных ценностей. Поэтому она чаще применяется в сочетании с премированием рабочих за выполнение и перевыполнение как общих, так и конкретных количественных и качественных показателей.
При косвенной сдельной системе оплаты труда размер заработка рабочего ставится в прямую зависимость от результатов труда обслуживаемых им рабочих-сдельщиков. Эта система оплаты труда, как правило, применяется для оплаты вспомогательных рабочих, наладчиков и настройщиков в машиностроении, помощников мастеров в текстильной промышленности и других работников, занятых обслуживанием основных технологических процессов.
Общий заработок рассчитывается либо путем умножения ставки вспомогательного рабочего на средний процент выполнения норм обслуживаемых рабочих-сдельщиков, либо умножением косвенной сдельной расценки на фактический выпуск продукции обслуживаемых рабочих.
Расценка определяется как частное от деления тарифной ставки рабочего, оплачиваемого по данной системе, на суммарную норму выработки обслуживаемых им производственных рабочих.
При сдельно-премиальной системе заработной платы рабочий сверх заработка по прямым сдельным расценкам дополнительно получает премию за определенные количественные и качественные показатели, предусмотренные действующими на предприятии условиями премирования. Премирование рабочих может осуществляться как из фонда заработной платы, так и из фонда материального поощрения на основе следующих показателей:
- при повышении производительности труда и увеличении объема производства, в частности при выполнении и перевыполнении производственных заданий и личных планов, технически обоснованных норм выработки, снижении нормируемой трудоемкости;
- при повышении качества продукции и улучшении качественных показателей работы (например, увеличение производства продукции высшего качества, повышение сортности продукции, бездефектное изготовление продукции и т.д. — условия премирования);
- при экономии сырья, материалов, инструмента и других материальных ценностей.
Система премирования и размер премии определяются задачами улучшения деятельности предприятия, значением и ролью данного производственного участка, характером норм, объемом и сложностью плановых заданий.
Премирование рабочих производится, как правило, по результатам работы за месяц.
Эффективное применение сдельно-премиальной системы оплаты труда зависит прежде всего от правильного выбора показателей и условий премирования, которые должны зависеть непосредственно от результатов труда данного работника. Важное значение имеет также точный учет выполнения установленных показателей.
При сдельно-прогрессивной системе заработной платы труд рабочего в пределах выполнения норм оплачивается по прямым сдельным расценкам, а при выработке сверх этих исходных норм —- по повышенным расценкам. Предел выполнения норм выработки, сверх которого работа оплачивается по повышенным расценкам, устанавливается, как правило, на уровне фактического выполнения норм за последние три месяца, но не ниже действующих норм.
Размер увеличения сдельных расценок в зависимости от степени перевыполнения исходной базы показателей определяется в каждом конкретном случае специальной шкалой.
К основным требованиям при использовании сдельно-прогрессивной системы следует отнести правильное установление исходной базы, разработку эффективных шкал повышения расценок, точный учет выработки продукции и фактически отработанного каждым рабочим времени.
Применение данной системы оплаты труда на практике оправдано лишь на «узких» участках производства, а также там, где нужно стимулировать ускоренный выпуск продукции.
При аккордной системе оплаты труда расценка устанавливается на весь объем работы, а не на отдельную операцию. Размер аккордной оплаты определяется на основе действующих норм времени (выработки) и расценок, а при их отсутствии — на основе норм и расценок на аналогичные работы.
Обычно при аккордной оплате рабочие премируются за сокращение сроков выполнения заданий, что усиливает стимулирующую роль этой системы в росте производительности труда.
К основным условиям эффективного применения этой системы оплаты труда следует отнести установление обоснованных норм выработки (времени) и расценок на заданный объем работы, введение эффективной системы премирования и контроля за качеством выполнения работ (чтобы сокращение сроков выполнения аккордного задания не сказывалось отрицательно на качестве его выполнения).
За последние годы во многих отраслях промышленности широкое распространение получили коллективные системы оплаты труда. Они усиливают материальную заинтересованность в результатах работы бригады, участков, цехов и предприятия в целом. Применение различных систем коллективной заработной платы, особенно коллективной сдельной оплаты труда, эффективно в условиях развитой кооперации труда, когда индивидуальный труд отдельного рабочего не может быть рационально использован, и поэтому заработок рабочего необходимо поставить в зависимость от количества продукции (работ), произведенной всей бригадой, участком, сменой.
Коллективная (бригадная) сдельная оплата труда имеет две разновидности: с применением индивидуальных расценок по конечным результатам работы бригады и с применением коллективных сдельных расценок.
Оплата по индивидуальным сдельным расценкам за конечные результаты работы бригады применяется в тех случаях, когда при бригадной работе требуется строгое разделение труда технологически связанных между собой рабочих. Это характерно для большинства участков металлургического производства, для конвейерных участков в машиностроении, швейной и обувной промышленности.
Индивидуальные сдельные расценки устанавливаются для каждой профессии в бригаде, исходя из тарифных ставок и общебригадной нормы выработки.
Количество операций, выполняемых каждым рабочим, размер его заработка на конвейерных и поточных линиях зависят от общего объема продукции, полученной с конвейера.
Заработок определяется путем умножения индивидуальной сдельной расценки работ соответствующего разряда на объем продукции, снятой с конвейера и принятой отделом технического контроля. '























Формы организации труда


Формы организации труда Подбор, подготовка, переподготовка и повышение квалификации работников. Работа с персоналом относится к организации труда, потому что без обеспечения определенного уровня умелости работника, без его профессионализма нельзя рассчитывать на сколько-нибудь эффективную его деятельность на производстве.
Подготовке кадров должен предшествовать профессиональный отбор кандидатов на то или иное рабочее место. В нашей стране профессиональный отбор получил распространение пока лишь при укомплектовании должностей и профессий, которые предъявляют очень высокие требования к психофизиологическим качествам работника и к его здоровью. Однако задача профессионального отбора — определение пригодности человека к выполнению конкретной работы и подбор наиболее эффективных исполнителей и руководителей если не для всех, то для большинства рабочих мест и должностей — становится актуальной в системе рыночных отношений.
Профессиональная пригодность устанавливается путем проведения необходимой диспансеризации работника,  определения некоторых его  психофизиологических параметров, необходимых для избранной им профессии. При этом могут использоваться тестовый и другие методы. При профессиональном отборе необходимо обращать особое внимание на наличие или отсутствие тех свойств личности, которые не поддаются изменению, тренировке, формированию и которые определяются генотипом человека. Отметим, что фенотип здесь не столь важен, т.к. он определяет совокупности свойств человека, которые можно формировать или изменять. Перечень необходимых для конкретной профессии личных качеств человека отражается в профессиограммах — документах, в которых формулируются требования к предполагаемым исполнителям или работникам вообще. Подготовка рабочих для современного производства осуществляется через систему профессионально-технического образования и через обучение на производстве. Реформа общеобразовательной и профессиональной школ предусматривает ' превращение профессионально-технического образования в основную форму подготовки квалифицированных рабочих путем создания единого типа многопрофильных профтехучилищ со средним сроком обучения три года для окончивших неполную среднюю школу и до одного года — для выпускников средней школы.
Профессиональное обучение на производстве охватывает подготовку новых рабочих, переподготовку и обучение вторым профессиям, повышение квалификации работников.
Подготовка новых рабочих на производстве осуществляется в форме индивидуальной и групповой подготовки на рабочих местах и курсовой системы обучения на учебно-производственной базе предприятия или в учебно-производственных комбинатах. На предприятиях подготовка молодых рабочих проводится под руководством не освобожденных от основной работы квалифицированных рабочих, в учебно-производственных комбинатах — под руководством мастеров производственного обучения.
Переподготовка преследует цель обучения рабочих новым профессиям в соответствии с требованиями научно-технического прогресса.
Обучение вторым профессиям направлено на расширение производственного профиля рабочих, на возможность совмещения профессий в целях повышения производительности труда, повышения его содержательности и привлекательности.
Современное производство требует постоянного роста профессионального мастерства рабочих, совершенствования их знаний, навыков, умений. Этому способствует система повышения квалификации рабочих, которое осуществляется путем обучения на производственно-технических курсах, курсах целевого назначения (или овладения новой техникой и технологией), на курсах бригадиров и др.
Большое значение приобретает в современных условиях переподготовка работников в соответствии с требованиями рынка труда. Эту работу организует Федеральная служба занятости населения.
Важным элементом организации труда является разделение труда, т.е. обособление видов трудовой деятельности между работниками, бригадами и другими подразделениями на предприятии. Это — отправной пункт организации труда, который, исходя из целей производства, состоит в закреплении за каждым работником и за каждым подразделением их обязанностей, функций, видов работ, технологических операций. Решение этого вопроса предусматривает, наряду с требованием наиболее рационального использования рабочего времени и квалификации работника, такую его специализацию, чтобы сохранялась содержательность труда, не допускалась его монотонность, обеспечивалась гармонизация физических и психических нагрузок.
Различают следующие формы разделения труда на предприятиях:
- функциональное — в зависимости от характера выполняемых работниками функций на производстве и участия их в производственном процессе. По этому признаку работники делятся на рабочих, служащих, младший обслуживающий персонал, сторожевую и пожарную охраны, учеников. В свою очередь рабочие могут составлять функциональные группы основных рабочих и вспомогательных. Среди последних выделяются группы ремонтных и транспортных рабочих, контролеров качества, рабочих по энергетическому обслуживанию и т.д.;
- технологическое — по фазам, видам работ, изделиям, узлам, деталям, технологическим операциям. Оно определяет расстановку работников в соответствии с технологией производства и в значительной степени влияет на уровень содержательности труда. При узкой специализации в работе появляется монотонность, при слишком широкой специализации повышается вероятность некачественного выполнения работ. Ответственная задача организатора труда состоит в нахождении оптимального уровня технологического разделения труда. Разновидностями этой формы разделения являются постадийное, предметное и пооперационное разделение труда;
- профессиональное — по специальностям и профессиям. Исходя из этой формы разделения труда, устанавливается потребная численность работников разных профессий;
- квалификационное — по сложности и точности работ в соответствии с профессиональными знаниями и опытом работы. Разделение труда здесь осуществляется по уровню квалификации работников исходя из требуемой квалификации работ.1
Выбор формы организации труда в рамках отдельного производственного процесса определяет необходимость организации данной формы в ряду других форм такой работы. Так, например, выделяют разделение труда, которое на уровне предприятия означает фрагментацию общего задания на ряд заданий и их распределение между специализированными исполнителями.
По способам установления плановых заданий и учета выполненной работы выделяют:
- индивидуальную форму организации труда, когда задание устанавливается каждому работнику отдельно, ведется индивидуальный учет выполненной работы и каждому работнику начисляется индивидуальный заработок;
- коллективную форму организации труда, когда производственное задание устанавливается всему коллективу в целом, учет выработки продукции также ведется по конечным результатам работы коллектива И всему коллективу начисляется заработок.
Коллективные формы организации труда по способу разделения и кооперации предусматривают образование разновидностей коллективов:
- с полным разделением труда, когда каждый работник занят только выполнением работы строго по своей специальности на одном рабочем месте;
- с частичной взаимозаменяемостью, когда работники владеют двумя или большим числом профессий и могут выполнять работы не только на своем рабочем месте, но и по совмещаемой профессии;
- с полной взаимозаменяемостью, когда каждый член коллектива может работать на любом рабочем месте или меняться рабочими местами по заранее продуманной схеме.
По способу формирования средств для осуществления деятельности различаются следующие формы организации труда: индивидуальная трудовая деятельность, подряд, аренда, кооператив, малое предприятие^.
Форма организации труда зависит также от формы его оплаты. Различают следующие формы оплаты труда и распределения заработка: индивидуальную, коллективную по тарифу, коллективную с использованием различных коэффициентов для распределения коллективного заработка (КТУ — коэффициент трудового участия, ККТ — коэффициент качества труда и др.).
По способам взаимодействия с вышестоящими органами могут быть следующие формы организации труда: прямое подчинение, договор подряда, договор аренды, контракт.
По способам управления коллективом различают: полное самоуправление, частичное самоуправление, без самоуправления.
По размерам трудовых коллективов и их месте в иерархии управления на предприятии коллективные формы организации труда могут быль: звеньевыми, бригадными, участковыми, цеховыми, групповыми, отделъскими и др.
Все указанные формы организации труда и их разновидности могут соединяться в различных комбинациях, например, бригадная форма организации труда с полной взаимозаменяемостью, бригадный подряд, аренда предприятия и др.
Каковы же условия эффективности форм организации труда? Для этого нужно выделить прогрессивные элементы, характерные для отдельных форм. Прогрессивными можно считать те элементы, которые обеспечивают автономию и свободу выбора средств для решения производственных задач, перемену труда и гармоничное развитие людей в процессе труда, создают условия для самоуправления, проявления творчества и инициативы, способствуют экономии времени, росту производительности труда, повышают ответственность за результаты труда.
К таким элементам относятся:
- частичная или полная взаимозаменяемость работников в коллективе;
- планирование по единому наряду и оплата только за конечный результат;
- подрядные и арендные отношения;
- самоуправление трудового коллектива;
- использование дополнительных средств в виде различных коэффициентов для распределения коллективного заработка между работниками трудового коллектива;
- планирование и учет не только выпуска продукции, но и тех средств, которые необходимо затратить на этот выпуск, поощрение за экономию эксплуатационных затрат;
- сквозное построение подразделений, работающих в многосменном режиме. Если формируются коллективы, в которых присутствуют все или большинство из названных элементов повышения эффективности труда, то можно быть уверенным, что работа их будет успешной. При этом не следует забывать, что необходимо предварительное обоснование принимаемых решений и проектирование разнообразных организационных новшеств.
Четкое представление о сущности, содержании, формах и функциях организации труда на современном предприятии, в учреждении, фирме необходимо каждому специалисту и руководителю любого ранга.1







Формы управления крупными диверсифицированными объединениями


Формы управления крупными диверсифицированными объединениями Стандартной системы управления ассоциацией, холдинговой компанией, ФПГ не существует. В зависимости от доли участия в уставном капитале объединенных в сообществе предприятий, степени их диверсификации и географического размещения управление холдинговой компанией или ФПГ может осуществляться по принципу предприятия, т.е. в режиме жесткой подчиненности центру. Чаще используется форма ассоциативного управления, но без права свободного выхода субъектов из системы холдинга. Иногда используется смешанная форма.
В странах Запада система более жесткая, чем в России. В частности, когда доля участия холдинга в уставном капитале предприятия превышает 50%, холдинговая компания фактически становится полноправным хозяином этого предприятия и управляет им из центра по принципу управления концерном.
В России отсутствуют традиции и какие-либо стандарты образования предпринимательских союзов. Часто они создаются на месте бывших министерств, отраслевых или территориальных хозяйственных управлений. Не вполне ясны юридический статус таких образований, права и функции органов управления. Несмотря на то, что в Гражданском кодексе РФ приведен определенный порядок создания и функционирования подобных союзов, практика пока расходится с теорией.
Учредители предпринимательских сообществ, совершенно не знакомые ни с отечественной, ни с зарубежной практикой, зачастую сами придумывают названия сообществ, на основании которых порой трудно определить их истинный статус и задачи формирования. Поэтому различить, что образовано холдинг ФПГ или концерн, практически невозможно.
Характерный пример — транснациональная нефтяная компания «Гермес-Союз», в учредительном договоре которой, заключенном его участниками в 1992 г., даны помимо указанного еще 2 наименования юридического статуса этой компании: акционерное общество открытого типа «Гермес-Союз», многопрофильный концерн «Гермес». Глава компании «Гермес-Союз» и члены правления, будучи специалистами в совершенно иной отрасли производства, чем та, к которой относилась предполагаемая деятельность компании, оказались незнакомыми с экономикой, методами предпринимательства, менеджментом, допускали множество промахов, в результате чего к 1996 г. компания прекратила свое существование.
На основании этого можно сделать вывод, что при организации предпринимательских союзов и обществ необходимо:
- соблюдать определенные правила и использовать отечественный и зарубежный опыт;
- привлекать к управлению союзами и обществами специалистов, менеджеров, экономистов, юристов.
Ассоциации (корпорации) Ассоциация — это добровольное объединение (союз) независимых производственных предприятий, научных, проектных, конструкторских, строительных и прочих организаций, имеющее, как правило, ограниченную, а порой чисто номинальную ответственность.
Участники ассоциации являются самостоятельными юридическими лицами и полностью отвечают по своим обязательствам перед законом и партнерами. Они несут ответственность за результаты деятельности ассоциации лишь тем имуществом, которое ими было добровольно передано в коллективное пользование, и не отвечают остальным имуществом и обязанностями, закрепленными непосредственно за предприятием. Ассоциация не отвечает за результаты деятельности вошедших в нее предприятий, если это специально не оговорено в уставе.
Предприятия и организации, входящие в ассоциацию, постоянно координируют свою деятельность, но лишь в той области хозяйствования, к которой имеет отношение ассоциация. Как правило, входящие в ассоциацию предприятия самостоятельно разрабатывают планы собственного экономического и социального развития. Иногда они разрабатывают годовые и долгосрочные планы, согласуя их с партнерами по ассоциации. После согласования планов по установленному перечню показателей составляется объединенный план, выполнение которого контролируется правлением ассоциации.
Предприятия и организации, вступившие в ассоциацию, заключают договор о совместной деятельности. Члены ассоциации могут вступать и в иные договорные обязательства без согласования с другими ее участниками. Коллективным органом управления является хозяйственный совет, в состав которого входят директора и иногда другие специалисты. Совет, как правило, собирается не реже двух раз в год.
Решения совета принимаются большинством голосов (50%+1). Хозяйственный совет ассоциации избирает правление и образует исполнительную дирекцию, выбирает председателя ассоциации, который возглавляет правление.
Совет и исполнительная дирекция ассоциации не могут принимать решений, противоречащих интересам отдельного предприятия или остальных членов ассоциации.
В функции хозяйственного совета обычно входят:
- определение основных, выгодных для участников ассоциации, направлений ее деятельности;
- утверждение нормативных документов, регулирующих взаимоотношения внутри ассоциации;
- согласование планов деятельности предприятий и утверждение отчетов об их выполнении;
- утверждение инвестиционной политики и программ технического развития входящих в ассоциацию единиц;
- организация прямых внутренних и внешних хозяйственных связей между предприятиями.
Текущая координация хозяйственной деятельности в период между заседаниями совета возложена на правление и исполнительную дирекцию ассоциации.
Основная цель членов ассоциации — повышение эффективности работы на основе коллективного предпринимательства. Для этого по соглашению участников ассоциации могут быть полностью или частично централизованы функции управления: материально-техническим обеспечением, сбытом, внешнеэкономическими связями, маркетингом, капитальным строительством, конструкторскими и технологическими разработками и организацией технического развития производства, планово-экономическими расчетами и бухгалтерским учетом. В аппарате управления создаются соответствующие подразделения, которые частично субсидируются предприятиями, но зачастую действуют на основе хозрасчета по договорам с предприятиями.
Основным источником дохода аппарата ассоциации являются субсидии, поступающие на его содержание от учредителей, а также средства, полученные за выполнение заключенных договоров, в том числе со сторонними заказчиками. За несвоевременное оказание обязательных услуг членам ассоциации центр несет материальную ответственность в размере, предусмотренном соглашением.
По соглашению участников в рамках ассоциации могут быть образованы централизованные инвестиционные фонды капитальных вложений, фонды технического развития и социального развития, уменьшения риска, конкретные целевые фонды, финансирующие отдельные целевые программы, принятые участниками ассоциации, например программы по созданию и развитию социальной инфраструктуры, созданию и освоению выпуска новых изделий и т.д.
Кроме того, для оказания помощи предприятиям и организациям, входящим в ассоциацию и испытывающим временные финансовые затруднения,  создается централизованный страховой фонд. Он образуется на добровольных началах в доле, согласованной и принятой на правлении, и расходуется строго по смете, утвержденной правлением ассоциации.


Формы власти и влияния


Формы власти и влияния Для того, чтобы руководить, необходимо влиять, а чтобы влиять — необходимо иметь основу власти. Здравый смысл подсказывает нам, что для того, чтобы обладать властью, вы должны иметь возможность держать под своим контролем что-либо, имеющее значение для исполнителя, то, что создаст его зависимость от вас и заставит его или ее действовать так, как желаете вы. Это «что-то» есть у нас всех. По определению Маслоу — основные потребности следующие: физиологические потребности, потребность в защищенности, социальные потребности, потребности в уважении и самовыражении. Власть зиждется на обращении к активным потребностям исполнителя.
Все формы влияния побуждают людей исполнять желания другого человека, удовлетворяя неудовлетворенные потребности или препятствуя их удовлетворению, или они побуждают исполнителя ожидать, что потребность будет или не будет удовлетворена в зависимости от поведения исполнителя. Как мы уже говорили, люди строят предположения относительно того, что может произойти, если они будут вести себя определенным образом. Видя именно такое поведение, человек начинает представлять в уме воздействие его или ее поведения на состояние его или ее потребностей. А руководитель также представляет эффект своего влияния на поведение будущего исполнителя. В результате руководитель и исполнитель усваивают схожую или несхожую манеру поведения на будущее. Этот процесс влияния руководителя на подчиненного показан на 17.1.3.

Власть может принимать разнообразные формы. Френч и Рэйвен, исследователи в области власти и лидерства (руководства), разработали удобную классификацию основ власти. Согласно их классификации, имеется пять основных форм власти.
1. Власть, основанная на принуждении. Исполнитель верит, что влияющий имеет возможность наказывать таким образом, который помешает удовлетворению какой-то насущной потребности, или вообще может сделать какие-то другие неприятности.
2. Власть, основанная на вознаграждении. Исполнитель верит, что влияющий имеет возможность удовлетворить насущную потребность или доставить удовольствие.
3. Экспертная власть. Исполнитель верит, что влияющий обладает специальными знаниями, которые позволят удовлетворить потребность.
4. Эталонная власть (власть примера). Характеристики или свойства влияющего настолько привлекательны для исполнителя, что он хочет быть таким же, как влияющий.
5. Законная власть. Исполнитель верит, что влияющий имеет право отдавать приказания, и что его или ее долг — подчиняться им. Он или она исполняют приказания влияющего, так как традиция учит, что подчинение приведет к удовлетворению потребностей исполнителя. Поэтому законную власть очень часто называют традиционной властью. Законная власть бывает действенна тогда, когда подчиненный повинуется указанию руководителя только потому, что он или она стоит на более высокой ступеньке организационной иерархии. Все руководители пользуются законной властью, потому что им делегированы полномочия управлять другими людьми. Эти основы власти являются инструментом, с помощью которого руководитель может заставить подчиненных выполнять работу, направленную на достижение целей организации. Они также являются средствами, которые могут быть использованы неформальным лидером, чтобы помешать достижению целей организации.
Власть посредством принуждения, влияние через страх — так представляют себе власть люди, критикующие ее. Страх, как правило, создает образы насилия: заряженный пистолет, угроза пытки, поднесенный к лицу кулак. Но если бы физическая боль была бы единственным механизмом страха и принуждения, власть, основанная на принуждении, навсегда исчезла бы из организаций после того, как эмансипация отменила кнут Саймона Легри. Жестокость часто служит посредником страха, но никогда не является целью. Когда у человека замирает сердце от страха, это происходит потому, что напрямую угрожают его фундаментальной потребности — выживанию или защищенности.
Методика принуждения, как правило, сопутствует власти во всех случаях, когда человеку действительно что-то нужно, и он уверен, что другой способен отобрать это у него. Яркий пример этого «что-то» — своя собственная жизнь или жизнь любимого человека. Но есть множество примеров, имеющих менее экстремальные свойства. Многие люди испытывают острейшее беспокойство по поводу того, что они могут лишиться защищенности, любви или уважения. Поэтому даже в тех ситуациях, где насилие не присутствует, страх является распространенной причиной того, почему люди — сознательно или бессознательно — разрешают на себя влиять. В книге «Брокеры власти» Дэйвид Кипнис говорит: «Отдельные личности осуществляют власть путем принуждения, опираясь на силу, риторические способности, а также возможность оказать или не оказать эмоциональную поддержку другим людям. Это дает таким личностям средства наносить физические увечья, запугивать, унижать или отказывать в любви другим».
Страх на рабочем месте. Рабочее место дает богатые возможности развивать власть, используя страх и принуждение, потому что множество наших потребностей удовлетворяются именно так. Например, страх потерять работу свойствен, кажется, всем. В определенных обстоятельствах можно так легко и эффективно использовать страх, что некоторые руководители часто прибегают к нему: даже намек на увольнение, лишение каких-либо полномочий или понижение в должности обычно дает немедленные результаты.
При большом спросе на компетентных, опытных руководителей грубые угрозы увольнения обычно не имеют должного эффекта. Вместо желаемого действия такие угрозы иногда приводят ни к чему иному, как к дополнительным расходам на выплату комиссионных агентству по найму и к долгому мучительному поиску подходящей замены. Гораздо чаще страх, нагоняемый на руководителя, направлен не на его материальные интересы, а на его самолюбие. Поскольку авторитет руководителей держится на уважении к их личности, они, как правило, болезненно реагируют на всякие унижения. Чтобы избежать чрезмерного воздействия, унижение выдается руководителям в малых дозах: вскользь брошенное замечание, что другой руководитель уже справился со своим заданием; намек, что кандидата в вице-президенты лучше найти на стороне; назначение на непрестижную должность, от которой не отказываются; выделение менее удобного кабинета. Это лишь малая доля имеющихся способов вселить в руководителя страх, что он или она не пользуются должным уважением и им, возможно, следует работать более напряженно.
Слабые стороны метода влияния через страх. Страх может быть использован и фактически используется в современных организациях, но не часто, т.к. он со временем может стать весьма дорогостоящим способом влияния. Банкротство У.Т. Гранта, одно из крупнейших во всей истории бизнеса, показывает, что в конечном счете страх может действовать и в обратную сторону. Поэтому к нему прибегать не следует.
У.Т. Грант, который до 1975 г. был одним из крупнейших в мире владельцев сети розничной торговли, знал, что его компания испытывает трудности с кредитами, поступающими от потребителей. Эта проблема решалась на уровне директоров магазинов. Грант предложил свой вариант решения проблемы: создать для директоров программу отрицательных стимулов под названием «Бифштекс и Бобы». Директоры, которые не могли выполнить намеченные для них задания, подвергались унизительным процедурам: им швыряли в лицо пирог, заставляли гонять носом арахисовый орех и бегать задом наперед по всему магазину, разрезали пополам шейный галстук и т.п. И все это, естественно, прилюдно. Большая часть директоров почти сразу же отреагировала: возросла эффективность продаж. И все же, несмотря на эти видимые улучшения, пассивы Гранта продолжали расти. Новому руководству, которое было поставлено кредиторами компании, удалось обнаружить причину происходившего. Директоры магазинов, зная неэффективность финансового планирования и контроля в компании Гранта и стараясь избежать унижений, подделывали свои отчетные документы.
В компании У.Т. Гранта страх не достиг поставленных целей по той же причине, по которой власть, основанная на принуждении, не действует на большинство руководителей — из-за отсутствия доверия и слишком высоких затрат, связанных с ее применением. Действительно, страх может одерживать верх только тогда, когда имеется довольно высокая вероятность того, что человека поймают в момент неуставного поведения. Для того, чтобы использовать такой инструмент, как страх, необходимо иметь эффективную систему контроля. Но эффективную систему контроля создавать нелегко, и удовольствие это дорогое, даже при наиболее благоприятном стечении обстоятельств. Когда основой власти является главным образом принуждение, почти невозможно поддерживать эффективный контроль при умеренных затратах, так как усиливается стремление людей сознательно обманывать организацию.
Даже если представляется возможность создать эффективную систему контроля при умеренных затратах, лучшее, чего можно добиться посредством страха — минимально адекватная производительность труда. Поскольку человеку не дают возможности удовлетворить его более высокие потребности на работе, он или она могут начать искать их удовлетворения в другом месте. Исследования показывают, что организации, где используется власть, основанная на принуждении, скорее всего характеризуются менее высокой производительностью труда и более низким качеством продукции. Одно из исследований, посвященных управляющему, который использовал власть, основанную на принуждении, показало, что сотрудники, занимавшиеся сбытом, испытывали неудовлетворенность своей работой.


Французский «ростовщический» империализм


Французский «ростовщический» империализм Мировое промышленное производство за период с 1870 по 1913 гг. выросло в 5 раз, французское же — только в 3 раза. Так же, как для Англии, для Франции этого времени огромную роль играл вывоз капитала. 75% накопленных во Франции капиталов вывозилось и только 15% вкладывалось в хозяйство Франции. Доходы от вывоза капитала, как и в Англии, были больше доходов от своей промышленности. Франция вывозила капиталы все же меньше, чем Англия, но не Англию, а Францию принято называть мировым ростовщиком. Почему? Потому что англичане вывозили капитал преимущественно в производительной форме: сами ехали с ним в колонии и вкладывали там в хозяйство. А Франция вывозила капиталы преимущественно в ростовщической форме, в форме кредита: давала взаймы другим государствам.
Таким образом, ростовщический характер французской экономики сохранялся. Отставая по развитию промышленности, Франция лидирует по концентрации банков, по развитию финансового капитала.
Как и Англия, Франция в это время захватила большие колониальные владения, территория ее колоний была в 20 раз больше территории самой Франции. Но колонии не играли существенной роли для французского хозяйства. Достаточно сказать, что накануне первой мировой войны в колонии направлялось лишь 10% экспорта капитала и 10% экспорта товаров из Франции.
Германский «юнкерско-буржуазный» империализм Германский империализм принято называть «юнкерско-буржуазным» и «военно-государственным». Юнкерско-буржуазный потому, что в Германии сильные позиции занимали помещики-юнкера. Они сохранили господствующее положение в сельском хозяйстве, активно участвовали в промышленной и банковской сфере, в их руках оставалась армия. Человек, не имевший дворянского звания, не мог сделать военной карьеры. Как традиционные военные, они были заинтересованы в милитаризации, росте военных ассигнований, военных приготовлениях. Но германская буржуазия тоже была заинтересована в военных приготовлениях: ее обделили при разделе колоний и она стремилась к их переделу в свою пользу.
Германский империализм принято называть также военно-государственным, потому что здесь государство в военно-политических целях усиленно вмешивалось в хозяйственную жизнь. Оно не только давало военные заказы промышленникам, но и занималось организацией промышленных предприятий, ставило перед промышленниками конкретные задачи. Короче говоря, в Германии раньше, чем в других странах, начинается государственное регулирование промышленности.
Промышленное производство Германии за период с 1870 по 1913 гг. развивалось опережающими темпами, германская промышленность обогнала английскую и французскую и к началу века вышла на первое место в Европе и на второе в мире.
При этом впереди шла тяжелая промышленность. На первое место в мире вышли германская металлургия и германская химическая промышленность. Германия стала монополистом и по производству анилиновых красителей. Первое место в мире занимала германская электротехническая промышленность. Германия производила половину электротехнических товаров мира, и отсюда в другие страны вывозились динамо-машины, трамваи, электролампы.
Поскольку предприятия тяжелой промышленности, особенно новых отраслей, получивших преимущественное развитие в Германии, не могли быть мелкими, Германия выходит на первое место в Европе по концентрации производства. Высокая концентрация облегчала образование монополий, и в начале XX в. Германия становится классической страной монополий.
Среди германских монополий особое место занимал военный концерн Круппа. Созданный при участии государства и действовавший по государственной программе, он стал государством в государстве. В состав концерна входили не только военные предприятия, но и шахты, металлургические и машиностроительные заводы. Поскольку артиллерийские заводы строились тогда, когда еще недостаточно были развиты другие отрасли промышленности, они строились по феодальному принципу «самообслуживания». Крупповские пушки готовились из крупповской стали на крупповских станках.
Как и в других странах, монополизация сделала наибольшие успехи в новых отраслях промышленности. В электротехнической промышленности возникли корпорации, сохранившиеся до настоящего времени: «Всеобщее электрическое общество» (АЭГ) и общество «Сименс».
Два концерна возникли и в химической промышленности. В старых отраслях пока преобладали низшие формы монополии. Из них можно отметить «Рейнско-вестфальский угольный синдикат» и «Германский стальной синдикат».
Американский империализм К концу XIX в. США превратились в крупнейшую индустриальную державу. Если мировое промышленное производство с 1870 по 1913 г. выросло в 5 раз, то промышленное производство США — в 8,6 раза. США выходят на 1-е место в мире по промышленному производству.
В американской промышленности в это время происходят структурные изменения: прежнее ведущее место занимала легкая промышленность, теперь на первое место выдвигается тяжелая. Решающую роль в этом сыграли новые отрасли: электротехническая, нефтяная, резиновая, алюминиевая, автомобильная. Развитие этих отраслей было связано с достижениями науки и техники. Американская промышленность все еще испытывала недостаток рабочих, поэтому изобретательство, новая техника получили здесь особенно благоприятную почву.
В результате серии изобретений Эдисона в области электротехники в 80-х годах XIX в. рождается знаменитая фирма Эдисона, которая в дальнейшем перерастает в крупнейшую электротехническую корпорацию «Дженерал Электрик». Электротехническая промышленность становится одной из ведущих отраслей промышленности в США.
Одной из первых монополий США стал основанный Рокфеллером нефтяной трест «Стандард Ойл», который уже в 1880 г. перерабатывал свыше 90% всей американской нефти. Рокфеллеру удалось договориться с железнодорожными компаниями о пониженной плате за перевозку грузов своего треста, что значительно облегчило ему конкуренцию с соперниками.
Под давлением общественного мнения в 1890 г. был принят «антитрестовский» закон Шермана. Законом запрещались объединения, стеснявшие свободу конкуренции, т.е. формально запрещались монополии. Однако закон Шермана был бессилен именно против трестов. Он предусматривал меры против «сговора» нескольких фирм на рынке, т.е. был направлен против монополий низшего порядка — картелей и синдикатов, а когда эти фирмы сливались в одну, т.е. возникал трест, закон не усматривал здесь сговора, да и не мог вмешиваться во внутренние дела фирм.
После закона Шермана усиленное распространение получает новая форма монополий — холдинг-компании. Холдинг — это общество, которое держит портфель акций разных фирм, получает дивиденды и распределяет их между пайщиками.


Функции налогов


Функции налогов Функция налога — это проявление его сущности в действии, способ выражения его свойств. Функция показывает, каким образом реализуется общественное назначение данной экономической категории как инструмента стоимостного распределения и перераспределения доходов государства. Отсюда возникает главная распределительная функция налогов, отражающая их сущность как особого централизованного звена распределительных отношений.
Первой и наиболее последовательно реализуемой функцией налогов выступает фискальная (бюджетная) функция.
Формирование доходной части государственного бюджета на основе стабильного и централизованного взимания налогов превращает само государство в крупнейшего экономического субъекта.
Посредством фискальной функции реализуется главное общественное назначение налогов — формирование финансовых ресурсов государства, аккумулируемых в бюджетной системе и внебюджетных фондах и необходимых для осуществления его собственных функций (военно-оборонительных, социальных, природоохранных и др.).
Другая функция налогов как экономической категории состоит в том, что появляется возможность количественного отражения налоговых поступлений и их сопоставления с потребностями государства в финансовых ресурсах, что обуславливает контрольную функцию налогов. Благодаря контрольной функции налогов оценивается эффективность каждого налогового канала и налогового «пресса» в целом, выявляется необходимость внесения изменений в налоговую систему и бюджетную политику. Контрольная функция налогово-финансовых отношений проявляется лишь в условиях действия распределительной функции.
Таким образом, обе функции налогов, фискальная и контрольная, в органическом единстве определяют эффективность налогово-финансовых отношений и бюджетной политики.
Осуществление контрольной функции налогов, ее полнота и глубина в известной мере зависят от налоговой дисциплины. Суть ее в том, чтобы налогоплательщики (юридические и физические лица) своевременно и в полном объеме уплачивали установленные законодательством налоги. Практика работы налоговых органов показывает, что нарушение сроков и полноты уплаты налогов явление частое: число привлеченных налоговыми органами к уплате граждан-предпринимателей составило 343,5 тыс. в 1992 г. и 726,4 тыс. в 1993 г., а из общего числа проверенных налоговыми органами выявлено нарушений у 13,5% в 1992 г. и 14,6% в 1993 г., т.е. каждый седьмой гражданин-предприниматель пытался (намеренно или по незнанию) недоплатить в казну.
Распределительная функция налогов обладает рядом свойств, характеризующие многогранность ее роли в воспроизводственном процессе. Это прежде всего то, что изначально функция налогов носила чисто фискальный характер:  наполнить государственную казну, чтобы иметь возможность содержать армию, чиновничий аппарат, а со временем и социальную сферу (просвещение, здравоохранение и т.д.). Но с тех пор, как государство посчитало необходимым активно участвовать в организации хозяйственной жизни в стране, у него появились регулирующие функции, которые осуществлялись через налоговый механизм.
В налоговом регулировании появились стимулирующие и сдерживающие (дестимулирующие) подфункции, а также подфункция воспроизводственного назначения.
В отлаженной налоговой системе реализуются все функции и подфункции налогов. На начало 1994 г. на территории РФ было установлено 44 вида налогов, сборов и других платежей, в том числе 16 федеральных, 5 региональных, т.е. налогов субъектов РФ — республик в составе РФ, краев, областей и автономных образований, и 23 местных. Большая их часть имеет чисто фискальное предназначение, и лишь по некоторым просматривается регулирующая функция.
Казалось бы, акцизы на табачные и алкогольные изделия, увеличивающие их продажную цену, призваны сдерживать рост потребления этих изделий, так как интересы здоровья нации для государства превыше всего. Однако даже в условиях экономического кризиса производство табачных и алкогольных изделий и их потребление в России (сюда надо добавить и импортируемое количество) не уменьшаются. В целях предотвращения наплыва в страну импортируемых винно-водочных изделий низкого качества Правительство РФ в феврале 1994 г. ставки ввозных пошлин увеличило более чем в 2 раза.
В 1994—96 гг. в связи с Указом Президента РФ от 22.12.1993 г. № 227 «О некоторых изменениях в налогообложении во взаимоотношениях бюджетов различных уровней» налоговое творчество региональных и местных властей довело перечень налогов до 200 (в каждом субъекте РФ было принято по 1-2 местных налога). В правительственном проекте Налогового кодекса РФ (1998 г.) предлагается установить закрытый перечень налогов и сборов — 12 федеративных, 8 региональных и 12 местных.
Стимулирующая подфункция налогов реализуется через систему льгот, исключений, преференций, увязываемых с льготообразующими признаками объекта налогообложения. Она проявляется в изменении объекта обложения, уменьшении налогооблагаемой базы, понижении налоговой ставки.
В законе «Об основах налоговой системы в Российской Федерации» предусмотрены следующие виды льгот: необлагаемый минимум объекта; изъятие из обложения определенных элементов объекта; освобождение от уплаты налогов отдельных лиц или категорий плательщиков; понижение налоговых ставок; целевые налоговые льготы, включая налоговые кредиты (отсрочки взимания налогов), вычет из налогового оклада (налогового платежа за расчетный период), прочие налоговые льготы.
Действующие льготы по налогообложению прибыли предприятий направлены на стимулирование:
- финансирования затрат на развитие производства и непроизводственное строительство; малых форм предпринимательства;
- занятости инвалидов и пенсионеров; благотворительной деятельности в социально-культурной и природоохранной сферах.
Преференции установлены в виде инвестиционного налогового кредита и целевой налоговой льготы для финансирования инвестиционных и инновационных затрат. Налоговый кредит, как и всякий кредит, предоставляется на условиях возвратности и платности, оформляется соответствующим договором между предприятием и региональным налоговым органом.
Целевая налоговая льгота в отличие от инвестиционного налогового кредита может предоставляться любому предприятию органами исполнительной власти субъекта РФ на взаимовыгодной основе, но в пределах суммы налоговых поступлений в региональный бюджет. Порядок и условия предоставления те же, что и у налогового кредита.
Подфункцию воспроизводственного назначения несут в себе плата за воду, потребляемую промышленными предприятиями, платежи за пользование природными ресурсами, отчисления в дорожные фонды, на воспроизводство минерально-сырьевой базы и лесной доход. Эти налоги имеют четкую отраслевую принадлежность.
Особое значение имеет дифференциация налогов по источнику обложения: издержки производства (себестоимость), прибыль. Правильность расчетов налога на прибыль требует знания состава затрат по производству и реализации продукции (работ, услуг), включаемых в себестоимость продукции (работ, услуг), и порядка формирования финансовых результатов (прибыли или убытка). Непосредственно в себестоимость включаются налоги, идущие на формирование дорожных фондов, транспортный налог, земельный налог, платежи за пользование природными ресурсами.
При классификации налогов по объектам налогообложения образуются пять групп: налоги на имущество, ресурсные налоги (включая земельный налог), налоги на доход или прибыль, налоги на действия (хозяйственные акты, финансовые операции, обороты по реализации) и прочие, охватывающие некоторые налоги и разовые сборы.
Основополагающим принципом построения налоговой системы является разделение на налоги прямые и косвенные, что в своей сущности формирует основные структуры налоговой системы, а корректировка их осуществляется в случае вариации пропорционального соотношения тех и других в конкретном случае.
Известный экономист Адам Смит в своем классическом сочинении «Исследование о природе и причинах богатства народов» считал основными принципами налогообложения всеобщность, справедливость, определенность и удобность. Подданные государства должны давать «средства к достижению цели общества или государства» каждый по возможности и соразмерно своему доходу по заранее установленным правилам (сроки платежа, способ взимания), удобным для плательщика. Со временем этот перечень был дополнен принципами обеспечения достаточности и подвижности налогов (налог может быть увеличен или сокращен в соответствии с объективными нуждами и возможностями государства), выбора надлежащего источника и объекта налогообложения, однократности обложения.
Перечисленные принципы налогообложения учитывались и при формировании новой налоговой системы России, адекватной рыночным преобразованиям. В конце 1991 г. был принят Закон РФ «Об основах налоговой системы Российской Федерации». В течение 1992—93 гг. серьезные изменения вносились в механизм налогообложения и структуру налогов. Однако неоднократно при этом нарушался принцип справедливости: вносимые изменения утверждались законодательными актами «задним числом».2


Функции органов управления предприятием


Функции органов управления предприятием Функция — это круг деятельности и обязанностей отдельного лица или органа управления, представляющих часть общей системы. В управлении различают профессионально-отраслевые и структурно-пространственные пообъектные функции. К профессионально-отраслевым, которые основаны на профессиональном разделении труда и охватывают род деятельности персонала системы управления, относятся: планово-экономическая,   учетно-статистическая,   коммерческая,   инженерно-технологическая, расчетно-аналитическая, оперативно-производственная, кадровая и другие функции управления.
Структурно-пространственные функции управления основаны на разделении обязанностей руководителей и специалистов по группам цехов, отделов, филиалов. К ним относятся управление группой цехов (основных, вспомогательных), руководство отдельными цехами, участками, бригадами.
На предприятиях в одинаковой мере применяются оба вида функций органов управления. Они закрепляются за отдельными лицами или органами на основе устава предприятия и конкретных положений о деятельности данного лица или органа.
Возглавляет администрацию предприятия директор (генеральный директор). Он назначается владельцем предприятия, т.е. является государственным органом, в чьем ведении находится предприятие, если оно государственное, или частным лицом, если предприятие частное. В последнем случае владелец предприятия может назначить себя его директором.
Акционерное предприятие возглавляется директором, избранным на собрании акционеров. Акционеры имеют право расширить или ограничить права и обязанности директора, однако во всех случаях он должен располагать достаточными полномочиями для разработки стратегии и организации текущей работы предприятия.
Директор действует от имени предприятия, представляет его во всех хозяйственных и государственных учреждениях. В соответствии с законодательством и уставом предприятия он издает приказы, осуществляет наем и увольнение работников, накладывает на них взыскания или определяет меры поощрения за хорошую работу.
Директор распоряжается имуществом предприятия, заключает договоры со сторонними организациями, выдает от своего имени доверенности другим лицам, открывает в банках расчетные счета и распоряжается денежными средствами на счетах.
Часть своих полномочий директор передает своим заместителям: по производству, коммерческим и финансовым вопросам, инженерно-техническим вопросам, кадрам и быту персонала. На особо крупных предприятиях функции заместителя директора по какому-либо вопросу выполняют 2—3 человека.
На средних и малых предприятиях, наоборот, функции заместителей интегрируются, и у директора часто имеется лишь один заместитель.
Вместе с тем, ни директор, ни его заместители, как правило, не самолично исполняют возложенные на них обязанности, а с помощью специалистов, имеющихся в группах специализированных отделов, цехов, лабораторий, бюро.
Заместителю директора по производству функционально подчинены цехи основного производства, а также планово-производственный, диспетчерский и транспортный отделы. Подчиненность эта носит не всеобъемлющий, а избирательный, функциональный характер и касается исключительно изготовления и сдачи на склад готовой продукции. Другие стороны работы указанных цехов и отделов — экономическая, кадровая, инженерно-техническая — находятся в ведении других заместителей директора.
Планово-производственный отдел (НПО) осуществляет календарное оперативно-производственное планирование производства. На основе заказов потребителей и общего текущего плана производства ППО разрабатывает в натуральных показателях месячные, декадные, суточные, сменные и часовые планы и графики запуска в производство и выпуска готовой продукции. Планы и графики составляются по отдельным цехам, а внутри цехов — по участкам, бригадам и рабочим местам. ППО контролирует выполнение планов.
Диспетчерский отдел осуществляет оперативное регулирование хода производства на предприятии: организует устранение сбоев режима работы, добивается равномерности загрузки мощностей предприятия, докладывает руководству предприятия о ходе выполнения заданий цехами и производственными участками.
В обязанности транспортного отдела входит организация перевозки грузов внутри предприятия и за его пределами.
Заместителю директора по коммерческим и финансовым вопросам подчинены плановый, финансовый отделы, отдел маркетинга и сбыта, материально-технического обеспечения, нормирования труда и заработной платы, а также бухгалтерия, экономическая лаборатория, сметно-финансовый отдел.
Плановый отдел разрабатывает комплексные долгосрочные и текущие планы деятельности предприятия, включая производство, кадры, финансы, техническое развитие, капитальное строительство; определяет экономическую эффективность производства и капитальных вложений; организует анализ хозяйственной деятельности предприятия и его звеньев.
Финансовый отдел управляет финансовыми операциями предприятия, разрабатывает планы его доходов и расходов, контролирует поступление на расчетный счет денежных средств и порядок их расходования, обеспечивает получение кредитов и выплату налогов в бюджет.
Отдел маркетинга и сбыта исследует рынки сбыта, заключает договоры на поставку продукции и осуществляет ее доставку потребителям.
Отдел материально-технического обеспечения находит и определяет поставщиков ресурсов, необходимых предприятию: сырья, материалов, комплектующих изделий, инструментов, оборудования; заключает договоры с поставщиками; организует доставку ресурсов на склад предприятия; обеспечивает их хранение и выдачу цехам по их требованиям.
Отдел нормирована труда и заработной платы разрабатывает порядок нормирования труда персонала и осуществляет его, устанавливает по согласованию с директором и представителями трудового коллектива систему и уровень оплаты труда, ведет работу по совершенствованию организации труда, следит за соблюдением законов о труде.
Бухгалтерия учитывает поступление и расходование материальных и финансовых ресурсов на предприятии, рабочей силы; готовит отчеты о деятельности предприятия и предоставляет их руководителям предприятий, а также государственным и местным хозяйственным органам.
Заместителю директора по инженерно-техническим вопросам подчинены проектно-конструкторский, технологический отделы, отделы технического контроля, главного механика, главного энергетика, лаборатории. Следует подчеркнуть, что указанные технические отделы и лаборатории лишь условно можно отнести к органам управления. В их задачу входит, главным образом, инженерно-техническое обслуживание предприятия.
Проектно-конструкторский отдел разрабатывает новые конструкции и рецептуры новых материалов, выпуск которых осваивает предприятие; ведет учет недостатков качества выпускаемой продукции и разрабатывает меры по их устранению; принимает меры к снижению себестоимости выпускаемой продукции.
Технологический отдел разрабатывает технологию производства новых изделий и вносит усовершенствования в действующее производство; контролирует соблюдение цехами технологического режима; принимает меры к повышению качества обработки изделий и снижению затрат на обработку.
Отдел технического контроля осуществляет сплошной контроль качества выпускаемой продукции; контролирует пооперационное качество обработки на рабочих местах; организует входной контроль качества поступающих на предприятие материалов и других изделий; совместно с проектно-конструкторским и технологическим отделами проводит сертификацию выпускаемой продукции.
Начальники вспомогательных и обслуживающих цехов организуют бесперебойное обслуживание основных производственных цехов.
Начальник цеха имеет заместителей, один из которых решает вопросы, связанные с экономикой и организацией работы цеха, другой — вопросы инженерно-технического обслуживания цеха. По такому же принципу создаются функциональные подразделения цеха: планово-диспетчерское бюро, бухгалтерия, бюро кадров, а также технологическое бюро, служба механика и энергетика.
Отдел кадров обычно подчиняется одному из заместителей (помощников) директора или самому директору. На него возлагаются: наем и увольнение работников; регистрация (табельный учет) явки персонала на работу; контроль за соблюдением режима рабочего дня и трудовой дисциплины; обучение кадров; инструктаж по технике безопасности сотрудников.
При отсутствии санитарно-бытового отдела отдел кадров организует медицинское и медико-профилактическое обслуживание персонала, питание на предприятии, принимает меры по улучшению жилищных условий работников; контролирует соблюдение трудового законодательства.
Здесь приведен лишь общий спектр управленческих функций на предприятии. Но в зависимости от масштабов и степени диверсификации предприятия указанные функции могут дробиться и выполняться значительно большим количеством отделов, подотделов, секций, лабораторий или, наоборот, интегрироваться вплоть до назначений одного-двух сотрудников, ответственных за исполнение всех названных функций, что характерно, как уже упоминалось, для весьма небольших предприятий.


Германия


Германия «Экономическое чудо» и его причины. Довоенный уровень промышленного производства в ФРГ был восстановлен несколько позже, чем в других европейских странах — только в 1951 г. И не только из-за больших военных разрушений. Восстановление хозяйства задерживали проводимые в стране реформы по ликвидации военной промышленности, по разукрупнению монополий, задерживали финансовое истощение страны и наложенные на Германию репарации.
Но затем промышленность ФРГ стала ускоренно развиваться, что особенно отразилось на среднегодовых темпах роста промышленного производства ФРГ в 1950-1966 гг. За период с 1948 г. по 1990 г. промышленное производство ФРГ выросло в 12 раз, тогда как производство развитых капиталистических стран в целом — в 5,7 раза. В Германии производится более 9% промышленной продукции развитых капиталистических стран.
Ускоренный экономический рост разгромленной в войне Германии и ее выдвижение в 50-х гг. на 2-е место в мире журналисты назвали «экономическим чудом». Чем это «чудо» объяснялось?
Обновлением основного капитала при усиленном участии государства и низких военных расходах. Поскольку довоенный уровень производства был восстановлен несколько позже, чем в других странах, то, следовательно, несколько позже было завершено и обновление основного капитала. А позже — значит на более высокой технической основе, потому что за эти несколько лет производственная техника успела сделать значительный шаг вперед.
Проводилось обновление капитала в значительной степени силами государства, потому что провести техническое перевооружение ослабленные корпорации оказались не в состоянии. По мере того, как развивалась промышленность и насыщался накопленный спрос, по мере того, как заканчивали реконструкцию промышленности, а другие страны усиливали конструкцию своих предприятий, внутренний рынок Германии стал снова узким.
По мере сужения внутреннего рынка стал увеличиваться экспорт промышленной продукции. Занимая 3-е место среди развитых капиталистических стран по промышленному производству, Германия занимает 2-е место по экспорту. Она вывозит товаров намного больше, чем Япония и почти столько же, сколько вывозят США.1
Вопрос государственного регулирования предусматривает определение действий государства, гарантирующих совпадение интересов всех экономических субъектов. Данное совпадение является условием проверки достоверности выводов отдельных исследователей относительно уровня государственного регулирования в капиталистических системах.
Корпорации, финансовые группы и государственное регулирование в Германии. После окончания войны на Потсдамской конференции было принято решение ликвидировать монополии, которые работали за спиной Гитлера. В Западной Германии это решение было проведено в жизнь в форме разукрупнения: гигантский трест делился на ряд
самостоятельных компаний. «Стальной трест» был разбит на 10 частей, концерн Круппа — на 7. Однако это не препятствовало им через некоторое время путем слияний восстанавливаться в прежнем объеме, и в настоящее время у них ведущие места в списке.
К началу 80-х годов среди 10 крупнейших банков мира не было ни одного германского. Из 20 крупнейших промышленных корпораций мира лишь одна германская, «Сименс», да и та занимает предпоследнее место.
В 80-х годах в хозяйстве ФРГ господствовало несколько финансовых групп. Крупнейшая из них, которую возглавляют немецкий банк и электротехническая корпорация «Сименс», контролируют 1/3 акционерного капитала страны. В ее состав вошли концерн «Тиссен», до этого составляющий самостоятельную группу, АЭГ, прежде входивший в состав группы Дрезденского банка, «Даймлер-Бенц». Группа контролирует предприятия черной металлургии, электротехнические, автомобильные и др.
На втором месте —- группа, возглавляемая Дрезденским банком и концерном Круппа. В ее составе предприятия черной металлургии, машиностроения, некоторых отраслей легкой промышленности.
Третье место занимает группа Коммерческого банка, контролирующая торговые компании, машиностроительные и строительные концерны.
Нетрудно заметить, что головное положение в финансовых группах Германии занимают рядом с банками промышленные корпорации. Более того, еще недавно некоторые промышленные корпорации «Тиссен», «Флик», химические компании — наследницы «Фарбениндустри» составляли самостоятельные группы, без банков. Это было следствием относительного ослабления власти банков над промышленностью после мировых войн. После войны «большую тройку» германских банков пришлось даже спасать от банкротства, потому что их капитал к этому времени в основном составляли долговые обязательства фашистского государства, которые, конечно, теперь ничего не стоили. Другая особенность корпораций и финансовых групп ФРГ — далеко зашедший процесс диверсификации. Отрасли разрезаны между разными группами и в составе разных групп — одни и те же отрасли. Переход к многоотраслевой структуре здесь облегчали два обстоятельства: старая традиция образования многоотраслевых монополий с расчетом на «самообслуживание» («Крупп», «Стальной трест»); «разукрупнение» монополий после войны: разукрупненные компании сращивались уже с учетом процесса диверсификации.
Государственный сектор Германии сравнительно невелик — меньше 20% акционерного капитала страны. В послевоенные годы здесь не проводилась национализация. В руки боннского правительства перешла собственность фашистского государства и военных преступников, а в дальнейшем государственный сектор увеличивался за счет государственных инвестиций и нового строительства. Впрочем, государственные компании дают 95% электроэнергии ФРГ, 75% каменного угля, 80% железной руды, 50% алюминия, 40% автомобилей. В руках государства находится почти вся инфраструктура. В кредитной системе страны также господствует государственный сектор. Через государственный бюджет проходит около 40% валового национального продукта и именно бюджет является главным государственным регулятором экономического развития.
В ФРГ, как и во Франции, практикуется индикативное планирование. Государственные программы воздействия на экономику разделяются на краткосрочные (антициклические) и долгосрочные (структурные), связанные с прогнозированием и программированием. Антициклические меры заключаются в том, что в периоды спадов государство увеличивает инвестиции, в основном в отрасли инфраструктуры, и усиленно субсидирует промышленников, а в годы подъема государственные инвестиции и субсидии уменьшаются. Долгосрочное планирование ориентировано на поддержание оптимальной структуры производства.



Государственная поддержка малого предпринимательства


Государственная поддержка малого предпринимательства Практически во всех индустриально развитых странах малым предприятиям даются определенные льготы и оказывается государственная поддержка, поскольку удельные издержки производства и обращения у небольших предприятий, как правило, выше, чем у крупных. Им труднее получить кредит, наладить рекламу, относительно больше требуется затрачивать средств на обучение и переподготовку кадров, изучение рынка, получение необходимой коммерческой и научно-технической информации. Без помощи государства малые предприятия не могут существовать и конкурировать с монополиями, свободно овладевающими рынками, устанавливающими всеобщий контроль за ценами, качеством продукции в ущерб потребителям.
Для поддержки средних и малых предприятий во Франции, например, по инициативе министерства экономики и финансов создано Французское общество по страхованию капиталов от риска «Софарис», которое берет на себя гарантии-поручительства за кредиты средних и малых предприятий, выдаваемые банками. Если финансовое состояние предприятия внушает доверие этому обществу, то оно дает банку гарантию на 50—60% риска капитала; если же предприятие, взявшее кредит под гарантию «Софарис», разорилось и не в состоянии возвратить полученную сумму, то половину или 60% этой суммы погашает данное страховое общество из собственных фондов, которые образуются на акционерной основе с участием частного и, в основном, государственного (более 1 млрд. франков) капитала.1
Помимо льгот по налогообложению и кредитам малым предприятиям обычно создаются привилегии в области информации.
В России, согласно законодательству, налоговые льготы для малых предприятий дифференцируются в зависимости от вида их деятельности (за исключением тех предприятий, что создаются за счет вычленения из структурных единиц действующих крупных и средних предприятий).
Малые предприятия, занятые переработкой сельскохозяйственной продукции, производством товаров народного потребления, ремонтно-строительными работами, в течение первых двух лет могут полностью освобождаться от уплаты налогов. Остальные, как правило, в 1-й год после их образования платят 25%, а во 2-й год — 50% установленной ставки налога на прибыль. Далее налог берется полностью — в соответствии с установленным нормативом.
В США малый бизнес получает поддержку со стороны и государственных, и акционерных коммерческих организаций. Государственная комиссия США по делам малого бизнеса, имеющая 68 местных отделений по всей стране, помогает малым предприятиям, гарантируя их кредиты и содействуя повышению квалификации персонала.
Малый бизнес США поддерживает также Национальная ассоциация независимых предпринимателей, в которую входят более 500 тыс. мелких и средних предприятий.
В России по мере развития частного предпринимательства и укрепления рыночных отношений  также  возникли  общественные  организации  малого  и  среднего предпринимательства, например Союз предпринимателей России, который распространяет свое влияние и на многие страны бывшего СССР. Существуют также федеральные и местные фонды финансовой помощи, среди задач которых прежде всего стимулирование развития приоритетных производственных видов деятельности малых предприятий.
Формирование малого бизнеса В конкретных российских условиях конца XX в. малые предприятия создавались двумя путями: за счет выделения структурных подразделений из крупных и средних предприятий, когда небольшие цехи, филиалы предприятия, отдельные участки получали право юридического лица и полную самостоятельность; путем образования ТОО или АО на основе личной инициативы предпринимателей — частных или юридических лиц.
С чего начинается образование малых форм предпринимательства? При выделении структурного подразделения из состава крупного государственного предприятия прежде всего должно быть решение трудового коллектива соответствующей структурной единицы (цеха, участка, филиала) об отделении и о создании на ее базе малого предприятия.
Такое решение оформляется протоколом общего собрания данного структурного подразделения. Далее необходимо согласие собственника имущества о выделении из своего состава данного подразделения как малого предприятия. Такое согласие, как правило, оформляется приказом руководителя предприятия (организации), из состава которого выделяется новое малое предприятие.
Собственник имущества выступает в качестве учредителя малого предприятия. Подписывается учредительный договор, в соответствии с которым малое предприятие берет на себя обязательство выполнять требования учредителя, а учредитель дает определенные гарантии содействия малому предприятию.
После этого разрабатывается устав предприятия, в котором четко указывается: вид и сфера деятельности; уставный капитал; учредители, их доля в уставном капитале; почтовый адрес, телефон (факс) предприятия, фамилии и инициалы руководителя и главного бухгалтера. Затем в местный орган власти подается заявление с просьбой о регистрации предприятия и сдаются подготовленные учредительные документы.
Местные органы могут запросить дополнительные сведения о санитарной и экологической безопасности нового предприятия, численности и структуре персонала, занятого в производстве и другие данные, связанные с конкретными условиями развития данного региона. После регистрации предприятие открывает расчетный счет в банке, в органах внутренних дел получает разрешение на штамп и гербовую печать и становится полноценным юридическим лицом.
При создании нового предприятия (с нуля) прежде всего возникает вопрос о его форме, учредителях, видах деятельности. Может быть создано индивидуальное частное предприятие или акционерное товарищество с ограниченной или другой ответственностью. В первом случае учредителем становится частное лицо — 1 человек, который, определив свои возможности, подготавливает устав. Дальнейшее оформление соответствует указанному порядку.
Разумеется, экономика не может базироваться только на малых формах хозяйствования. Колоссальные масштабы современного производства обусловлены прежде всего наличием крупномасштабного предпринимательства, которое способствует процветанию и малого бизнеса.


Государственная политика занятости


Государственная политика занятости Основные направления роста занятости. Формирование спроса на рабочую силу подчинено потребностям и интересам работодателя и может быть осуществлено по следующим направлениям.
Сохранение и модернизация рабочих мест, создание новых и ликвидация излишних или неэффективных. Эти меры осуществляются на действующих предприятиях при поддержке местных и региональных органов власти, содействующих привлечению необходимых средств, в первую очередь в сфере производства потребительских товаров и услуг.
Создание рабочих мест путем развития предпринимательства. Эффективно в этом плане создание малых предприятий и развитие внутреннего предпринимательства на действующих крупных предприятиях в процессе их приватизации и преобразования структурных подразделений в самостоятельные организации, которые помогают экономической связи со своими учредителями и спонсорами, расширяют масштабы своей деятельности за счет внешних заказов.
-Организация оплачиваемых  общественных работ означает предоставление безработным временной работы, связанной со строительством, ремонтом, уборкой, обслуживанием на объектах, находящихся в ведении местных органов управления.
Создание рабочих мест для лиц с ограниченной возможностью использования трудового потенциала. Несмотря на явно выраженную социальную направленность, сохраняется первичное значение спроса на рабочую силу с тем лишь отличием, что содержание и характер работы при выполнении заказов на те или иные виды изделий или услуг должны в полной мере учитывать индивидуальные ограничения физических возможностей человека, способствуя в то же время его трудовой реабилитации. С этой целью должна осуществляться политика поддержки организаций, создающих указанные рабочие места как по собственной инициативе, так и в порядке квотирования, путем освобождения их от налогов на прибыль от реализации соответствующей части продукции.'
Государство, осуществляя политику в области занятости, не может прямо воздействовать на найм рабочей силы, так как в рыночных условиях далеко не все предприятия находятся в собственности государства. Таким образом, экономические и, отчасти, административно-правовые методы являются основным связующим звеном в проведении государственной политики занятости, главная роль в которой отведена предприятиям.
Органы управления человеческими ресурсами в регионах основное внимание уделяют вопросам занятости, социальной политике, регулированию взаимоотношений работодателей и работополучателей на уровне региона.
Для проведения единой государственной политики занятости, оказания бесплатных услуг в трудоустройстве, профессиональной подготовке и переподготовке, социальной защиты временно незанятых граждан в России действует служба занятости, которая координирует решение вопросов занятости.
Решение проблемы занятости предполагает не только материальную помощь безработным и их трудоустройство. Изучается конъюнктура рынка труда, организуется научно обоснованная профориентация, профессиональная переподготовка, активизируется влияние на системы общего образования, профессиональной подготовки, общественных работ, создаются новые рабочие места, налаживается сотрудничество служб занятости со службами персонала.
Конкурентоспособность организации на рынке труда — это способность организации быть выбранной в качестве места работы или, другими словами, совокупность предоставленных работникам условий, которые выгодно отличают данную организацию от других, аналогичных по профилю.
Анализ состояния внутреннего рынка труда в каждой организации имеет целью выявление имеющегося дисбаланса между платежеспособным спросом и предложением рабочей силы (в целом и по сегментарным группам), выявление скрытых безработных, т.е. числящихся в штате работников, которые заняты на производстве частично или вовсе не заняты. В процессе анализа определяются реальные возможности обеспечения эффективной занятости указанной категории, выявляются работники, подлежащие сокращению, а также дополнительно требующиеся организации.
На основе результатов анализа разрабатывается программа улучшения занятости и преодоления скрытой безработицы. Программа включает две группы мероприятий. К первой относятся действия, направленные на увеличение платежеспособного спроса на рабочую силу: сохранение и создание рабочих мест для инвалидов и других лиц с ограниченной возможностью использования трудового потенциала. Ко второй группе относятся меры, направленные на ограничение предложения рабочей силы и ее качественную адаптацию к изменившимся условиям: обучение и переобучение работников, развитие самозанятости и регулирование продолжительности рабочего времени, т.е. применения гибких форм занятости.
Все эти направления могут быть реализованы при условии поддержки организаций, осуществляющих соответствующие меры, путем создания и целенаправленного использования специальных фондов, формируемых из средств фондов занятости, развития предпринимательства, образования и социального обеспечения, а также путем регулирования налогообложения и предоставления льготных кредитов.
В качестве показателей, оценивающих положение организации на рынке труба, могут быть использованы:
1) уровень удовлетворенности работников организацией [Ку}, количественно
оцениваемый коэффициентом
Ку=1-(Чсж-Ч)                                                               (19.1.1)
где  Чсж — количество работников, уволившихся из организации по собственному
желанию за определенный период;
Ч — среднесписочное количество работников организации за этот же период. При помощи данного показателя можно в первом приближении определить, насколько удовлетворен спрос, предъявленный работниками к предприятию, т.е. насколько конкурентоспособно предприятие на рынке труда с позиций удовлетворения потребностей работников;
2) уровень укомплектованности кадрами (Ук) — показатель, рассмотрение которого в динамике позволит определить не только популярность организации на рынке труда, но и степень активности кадровой политики, эффективность процедур набора персонала. Этот уровень может быть рассчитан следующим образом:
Ук =Ч/Чпр                                                                  (19.1.2)
 где Чпр — проектная (расчетная) численность персонала.
В условиях, когда рабочее место все более широко используется как планово-учетная единица для определения потребности в рабочей силе и баланса развития личного и вещественных факторов производства, данный показатель может быть рассчитан по формуле
У.=Чф/Мф,                                                               (19.1.3)
где Чф — фактическая численность персонала; Мф — фактическое число рабочих мест в организации, в фирме.
Ввиду того, что на одном рабочем месте' могут последовательно или параллельно трудиться несколько работников, в связи с чем для полного укомплектования рабочих мест требуется большее число работников плановая численность работников (Чпл), необходимая для полного укомплектования рабочих мест, может быть рассчитана по формуле
Чпл=Мпл*Ксм*Кн                                                          (19.1.4)
 где Мпл — число рабочих мест в плановом периоде; Ксм — плановый коэффициент сменности; Кн — коэффициент наполняемости рабочих мест. Если на одном рабочем месте занят один рабочий, то Кн = 1;
3) средняя заработная плата — рассматривается в динамике. При этом сравниваются темпы роста средней заработной платы в организации с темпами роста средней заработной платы в регионе. Заработная плата, будучи одним из факторов удовлетворенности работника организацией, выделяется особо как в связи с ее стимулирующей ролью, так и в связи с инфляцией, нарастание которой не может не сказаться на ориентациях работников;
4) качество трудовых ресурсов организации: оценка качества трудовых ресурсов осуществляется укрупненно исходя из социально-демографической структуры коллектива организации. Известно, что наибольшую производительность обеспечивают работники конкретной возрастной группы, и трудовой потенциал организации в определенной степени зависит от того, каков удельный вес этой возрастной группы в общем числе оаботников.
Кроме того, могут быть выделены наиболее производительные группы по стажу работы в организации и определен их удельный вес в численности работников. На основании результатов расчета можно судить, насколько привлекательна организация для работников, обеспечивающих высокую производительность труда;
5) наличие льгот, предоставляемых организацией работникам, что в настоящее время является существенным фактором конкурентоспособности организации на рынке труда;
6) местоположение организации и ее положение по отношению к транспортной сети города, что особо важно для больших городов и для организаций, на которых используются сквозные профессии.1
Любая фирма, работающая в современных рыночных условиях, несмотря на экономическую свободу, ограничена, тем не менее, рамками, устанавливаемыми государством. В любом аспекте деятельности предприятия необходимо осознавать причины, по которым вводит те или иные ограничения. Не менее важно разбираться в принципах осуществления государственного регулирования. Рассмотрим один из аспектов работы фирмы —управление персоналом — в системе государственного регулирования.


Государственное регулирование отношений собственности


Государственное регулирование отношений собственности и предпринимательства Рыночные отношения предусматривают функционирование предприятий и организаций различных форм собственности. В конкурентной борьбе на рынках участвуют на равных основаниях акционерные, арендные, частные, государственные предприятия.
Собственность представляет форму отношений между людьми по поводу присвоения материальных благ, и в особенности присвоения средств, факторов производства. Формы собственности предполагают способы распределения, обмена, потребления материальных благ; положение определенных групп, классов. При частной собственности отношения строятся на обособленном присвоении, при общественной — на совместном присвоении.
Предприятия частного сектора экономики различаются в зависимости от того, сколько (одно или несколько) лиц являются владельцами предприятия, от ответственности за деятельность предприятия, способа включения единоличных капиталов в общий капитал предприятия.
В настоящее время в экономике взят курс на переход к системе, сочетающей частную, государственную и смешанную формы собственности на средства производства. Каждая форма собственности по-своему приспосабливается к конкретной сфере экономики, специфическому виду экономической деятельности. Так как рынок предполагает свободу производственной и коммерческой деятельности, конкуренцию между производителями, то исключается господство какой-либо одной формы собственности.
Крупным  шагом  в  этом  направлении является  реализация  программы разгосударствления и приватизации государственных и муниципальных предприятий.
Разгосударствление включает в себя как приватизацию, так и изменение функций государственного управления хозяйством. Последнее означает передачу государством функций непосредственного управления предприятиям или их объединениям. В ходе разгосударствления предприятие как государственный хозяйствующий субъект обретает полную самостоятельность и ответственность.
Приватизация — наиболее короткий путь к созданию конкурентной среды через нивелирование монополизма государственной собственности. Причем действующее законодательство предусматривало следующее: продажу долей (акций) в капитале акционерных обществ (товариществ); продажу имущества предприятия, сданного в аренду с правом выкупа; безвозмездную передачу.
Приватизация методом акционирования реализовывалась путем предоставления льгот трудовым коллективам приватизируемых предприятий по трем вариантам.
1. Предусматривалась передача всем членам трудового коллектива единовременно и безвозмездно именных привилегированных неголосующих акций, составляющих 25% уставного капитала. Обыкновенные акции до 10% уставного капитала продавались по подписке членам трудового коллектива со скидкой 30% от их номинальной стоимости и предоставлением рассрочки до трех лет, при этом величина первоначального взноса не может бъпъ менее 15% номинальной стоимости акций. Должностным лицам администрации (руководителю, его заместителю, главному инженеру, главному бухгалтеру) предоставлялось право на приобретение обыкновенных акций по номинальной стоимости в пределах до 5% от величины уставного капитала.
2. Предполагалось предоставление всем членам трудового коллектива права приобретения обыкновенных (голосующих) акций, составляющих до 51% от величины уставного капитала. В этом случае безвозмездная передача акций и продажа акций на льготных условиях не осуществлялась. При преобразовании государственных и муниципальных предприятий в акционерные общества открытого типа комитеты по управлению имуществом по предложению администрации приватизируемого предприятия с согласия трудового коллектива могли предоставлять персонально работникам предприятий, входящим в единый технологический комплекс с приватизируемым предприятием, право участия в закрытой подписке на акции, проводимой среди работников приватизируемого предприятия. Общее количество акций, подлежащих продаже работникам приватизируемого предприятия и работникам предприятий, входящих с ним в единый технологический комплекс, не могло превышать 51% от величины уставного капитала акционерного общества.
3. Если группа работников предприятия брала на себя ответственность за выполнение плана приватизации предприятия, недопущение его банкротства и получала согласие общего собрания трудового коллектива на заключение соответствующего договора, срок действия которого не мог быть более одного года, то членам такой группы предоставлялось право (опцион) на приобретение по истечении указанного срока и при выполнении условий упомянутого договора 20% уставного капитала в виде обыкновенных акций предприятия по их номинальной стоимости. На период действия договора указанной группе передавалось право на 20% голосующих акций, принадлежащих соответствующему фонду имущества. В план приватизации включались условия договора, заключение которого с указанной группой соответствующим фондом имущества являлось обязательным. В договоре оговаривались обязательства членов группы и пределы их материальной ответственности имуществом, принадлежащим им на правах частной собственности (вносимым в виде залога), на сумму не менее 200 установленных законодательством России минимальных размеров месячной оплаты труда в расчете на каждого члена группы. При данном варианте всем работникам предприятия (включая членов группы) продавались обыкновенные акции, составляющие 20% величины уставного капитала, но на сумму не более 20 установленных законодательством России минимальных размеров месячной оплаты труда в расчете на одного работника, со скидкой 30% от их номинальной стоимости и с предоставлением рассрочки на 3 года. При этом величина первоначального взноса не могла быть менее 15% номинальной стоимости акций.
В процессе приватизации значительная часть акций приватизируемых предприятий .осталась в собственности государства. Следовательно, многие предприятия с точки зрения формы собственности превратились в смешанные.
Отличительная особенность проведенной первого этапа приватизации — в открытом доступе к приватизации всех граждан России главным образом через приватизационные чеки (ваучеры), розданные вне зависимости от пола, возраста, характера занятости. И несмотря на многочисленные критические замечания ряда экспертов, главные цели этого этапа были достигнуты: сформирован широкий слой частных собственников; привлечены в производство инвестиции, в том числе иностранные; предложены мероприятия по социальной защите населения, а также защите прав частных собственников (акционеров).
Первоначальная чековая приватизация обычно завершается формированием акционерных обществ, эмиссией акций и их реализацией на первичном рынке. На этом этапе формально преобразуются отношения собственности и создаются предпосылки для привития акционерам и работникам предприятия предпринимательского и хозяйственного стилей поведения, формирования акционерного механизма развития производства и повышения его эффективности и качества продукции. Создается нормативная база образования и функционирования акционерных обществ и устанавливается государственный контроль за выполнением законодательства.
По мере социально-психологической адаптации акционеров и работников предприятия к новым отношениям собственности в России в 1992—1997 гг. осуществлялась реальная трансформация отношений собственности и образование мотивационного механизма роста и развития производства. Акционеры включались в управление на основе возможностей акционерной демократии, формировались инвестиционная и дивидендная политика, складывается группировка акционеров, заинтересованных в перспективе доходов на основе роста и развития производства. Руководители и специалисты приобретали навыки и стиль рыночного поведения, реакции на изменение внешней среды.
Если первый этап приватизации предполагал главным образом бесплатную (с помощью ваучера) или на льготных условиях раздачу государственного и муниципального имущества, то второй этап предполагает продажу акций за деньги. Причем предусматриваются различные варианты продаж: аукционная продажа, передача пакетов акций в залог и доверительное управление, использование конвертируемых облигаций и производных ценных бумаг при раскреплении пакетов акций из федеральной собственности.
На этапе денежной приватизации и формирования инвестиционных фондов предусматривается создание структуры акционерной собственности и складывается твердое ядро акционеров, состоящее из образовавшейся на предыдущем этапе группировки, нацеленной на перспективы развития производства и привлечение новых инвесторов. Политика в области формирования структуры акционерной собственности содействует образованию «среднего класса» и ограничивает имущественное расслоение. Постепенно акционерные общества будут осуществлять дополнительную эмиссию акций для реализации на фондовом рынке, что будет означать развитие вторичного рынка ценных бумаг. Акции этих предприятий, пройдя независимую экспертизу на надежность, будут иметь более высокий курс, чем те, которые реализуются акционерными обществами самостоятельно.


Государственное регулирование отношений собственности и предпринимательства


Государственное регулирование отношений собственности и предпринимательства Рыночные отношения предусматривают функционирование предприятий и организаций различных форм собственности. В конкурентной борьбе на рынках участвуют на равных основаниях акционерные, арендные, частные, государственные предприятия.
Собственность представляет форму отношений между людьми по поводу присвоения материальных благ, и в особенности присвоения средств, факторов производства. Формы собственности предполагают различные способы распределения, обмена, потребления материальных благ, определяют положение определенных групп, классов в обществе. При частной собственности отношения строятся на обособленном присвоении, при общественной — на совместном присвоении.
Предприятия частного сектора экономики различаются в зависимости: от того, сколько (одно или несколько) лиц являются владельцами предприятия; от уровня ответственности за деятельность предприятия; от способа включения единоличных капиталов в общий капитал предприятия.
В настоящее время в экономике взят курс на переход к системе, сочетающей частную, государственную и смешанную формы собственности на средства производства. Каждая форма собственности по-своему приспосабливается к конкретной сфере экономики, специфическому виду экономической деятельности. Так как рынок предполагает свободу производственной и коммерческой деятельности, конкуренцию между производителями, то исключается господство какой-либо одной формы собственности.
Крупным  шагом  в  этом  направлении  является  реализация  программы разгосударствления и приватизации государственных и муниципальных предприятий.
Разгосударствление включает в себя как приватизацию, так и изменение функций государственного управления хозяйством. Последнее означает передачу государством функций непосредственного управления предприятиям или их объединениям. В ходе разгосударствления предприятие как государственный хозяйствующий субъект обретает полную самостоятельность и ответственность.
Приватизация — наиболее короткий путь к созданию конкурентной среды через нивелирование монополизма государственной собственности. Одним из критериев выбора способов приватизации стал размер предприятий.
В России до сих пор сохраняется вера во всесилие государства, которое может заплатить долги, повысить зарплату, поставить топливо, наладить подачу электроэнергии и т.п. Может быть, поэтому мы терпим раздутый бюрократический аппарат, как плохую погоду.
Фискальная политика держится на принуждении. В то же время российская действительность,  более чем какая-либо другая,  подтверждает справедливость классического тезиса: «Когда дамба преграждает путь реке, река находит новое русло». Деловые люди России — мастера по нахождению обходных путей.
Второе, альтернативное фискальному, направление государственного вмешательства — так называемое косвенное, или монетарное, регулирование. Его главная сцена — денежное обращение и кредит. Денежно-кредитная политика призвана создавать условия, .при которых свободный выбор экономического человека совпадал бы со стратегией правительства.
Над умелым, соответствующим времени и месту сочетанием двух основных рычагов регулирования бьется экономическая мысль и политическая практика.
В начале 90-х гг. дебатировались вопросы: с чего начать, где находится тот рычаг, который позволит «паруснику» набрать скорость и обойти пороги?
Коммунистическое руководство страны тянуло привычную мистерию до тех пор, пока не возникли очевидные признаки голода, пока экономический пейзаж не стал трагическим. Пытались использовать частичные реформы. Они лежали в основе действий таких «мастеров полутени», как Косыгин или Горбачев. Но в 1991 г. выхода уже не было. Гайдар вынужден был «освободить» цены, начать радикальные реформы. Но сам он стал падающей звездой.
Вряд ли целесообразно прилежно повторять, заимствовать все правила игры, накопленные на Западе. Это относится, на наш взгляд, и к доктрине «догоняющего развития», т.е. прямого следования за лидером. Главным для любой власти остается одно ключевое правило — обеспечить союз с человеком-работником, желающим и умеющим трудиться.1
Иностранный опыт и рецептуру приватизации невозможно механически переносить на российскую почву. Не следует забывать ту простую истину, что в США живут американцы, в Германии — немцы, в Китае — китайцы, а в России — русские; что большие масштабы страны не способствуют радикализации реформ и быстрому их осуществлению. Но зарубежный опыт тем не менее учит работать.
Особенностью приватизации в России является то, что перевод предприятий в частногрупповую собственность, ее рассеивание происходят при сохранении «рыночной слепоты» значительной части директоров, почти полном отсутствии навыков здоровой конкуренции.
На начало 1997 г. в стране существовало 1246 тыс. приватизированных предприятий, составляющих 60% госпредприятий и производящих около 70% ВВП.
Основными способами приватизации были выкуп ранее арендованного имущества, продажа недвижимости и акционирование. После завершения этапа массовой приватизации на первый план выдвигаются, пожалуй, три взаимосвязанные проблемы. Во-первых, распространяется такая форма, как приватизация по индивидуальным программам; во-вторых, весьма актуальной стала работа по повышению эффективности управления разгосударствленньши предприятиями и, наконец, на повестке дня оказывается вопрос о разгосударствлении земли. В этом нуждаются уже приватизированные предприятия, находящиеся на том или ином земельном участке. Они заинтересованы в применении новых технологических линий, расширении своих владений, инвестициях, уходе за территорией предприятия и т.п. А государство нуждается в дополнительных доходах.
В книге «Россия: рождение рыночной экономики» (1996) А.Ослунд, бывший экономический советник правительства России, считает приватизацию главным достижением реформаторского курса. Разумеется, разгосударствление открывает простор для развития рынка. Но нельзя не видеть, что применявшиеся у нас организационные формы и методики были далеки от совершенства.
Мы не можем отрешиться от старых идеологий и понять, что приватизация по своей сути не может быть «общенародной», хотя ее можно сделать выгодной для общества, для детей, стариков, инвалидов в особенности. Вместе с тем децентрализация экономической власти позволит потеснить российский истеблишмент, освободиться от его диктата, встать на рельсы демократии.
Обратим внимание на каналы, по которым распределяются выкупные платежи и прочие доходы от приватизации (табл. 17.4.1).
Мы не можем отрешиться от старых идеологий и понять, что приватизация по своей сути не может быть «общенародной», хотя ее можно сделать выгодной для общества, для детей, стариков, инвалидов в особенности. Вместе с тем децентрализация экономической власти позволит потеснить российский истеблишмент, освободиться от его диктата, встать на рельсы демократии.
Обратим внимание на каналы, по которым распределяются выкупные платежи и прочие доходы от приватизации (табл. 17.4.1).
Таблица 17.4.1
Распределение средств, полученных от приватизации предприятий г
Распределение средств
1995 г.
1996 г.
III квартал
IV квартал
I квартал
II квартал
III
квартал
Выплачено средств работникам приватизированных предприятий (в млн.. руб.)
5,1
7,1
3,1
2,2
8,5
Перечислено из поступившей выручки от продажи имущества приватизированных предприятий - всего (в млрд. руб.)
551,6
830,8
855,3
539,6
499,6
В том числе, в % к итогу:










В местные бюджета
28,9
34,0
31,2
34,1
42,9
В бюджета субъектов
Федерации
22,5
19,1
15,7
16,1
14,2
В федеральный бюджет
23,3
28,0
29,8
22,4
27,9
В федеральный фонд поддержки предпринимательства
1,4
2,1
2,4
2.9
2,0
Государственным органам по приватизации
12,4
7.8
10,4
11,4
4.5
Приватизированным
предприятиям
7,7
4,7
6,0
7,7
3,9

Кроме этих способов приватизации, действующее законодательство предусматривает:
продажу долей (акций) в капитале акционерных обществ (товариществ); продажу имущества предприятия, сданного в аренду с правом выкупа; безвозмездную передачу.2


Государственный контроль за экспортом


Однако сохранен государственный контроль за экспортом стратегических товаров через систему спецэкспортеров. Другими словами, право на экспорт, например, нефти и нефтепродуктов имеет ограниченное число фирм-производителей или торгующих организаций. Все эти организации, вывозящие за рубеж любые стратегические товары, обязаны регистрировать каждый экспортный контракт с указанием количества вывозимого за рубеж товара и его экспортной цены.
Экспортируемые сырьевые материалы должны проходить экспертизу со стороны независимых фирм. Экспертиза призвана подтвердить, что экспортируемый товар соответствует характеристикам и спецификациям, записанным в контракте.
На импортируемые товары могут вводиться количественные ограничения или повышенные таможенные пошлины. Применяются они в тех случаях, когда такие товары поступают в весьма больших объемах или на таких условиях, что способны нанести ущерб производителям подобных или непосредственно конкурирующих товаров на территории России.
Защита отраслей национальной экономики от неблагоприятных воздействий на нее мировой конъюнктуры осуществляется прежде всего путем протекционизма наиболее важных для российской экономики отраслей: авиакосмической индустрии, некоторых отраслей ВПК и др.
Одной из эффективных форм экспортно-импортного взаимодействия между странами является создание Таможенного союза. Соглашение о создании такого союза было подписано в 1995 г. тремя странами — членами СНГ: Россией, Белоруссией и Казахстаном. Оно предусматривает установление режима Свободной торговли с отменой всех тарифных и нетарифных барьеров. В этих странах вводится согласованное таможенное законодательство на базе аналогичного законодательства России, а также общий режим торговли с третьими странами.
Преимущество Таможенного союза проявляется в том, что Россия получает право беспошлинного транзитного провоза товаров через территорию этих двух стран и дополнительные гарантии предотвращения незаконного реэкспорта российских товаров. В свою очередь, Белоруссия и Казахстан смогут покупать российское топливо по ценам внутреннего рынка России.
Для усиления позиций страны на мировом рынке полезно углубление экономической и научно-технической кооперации с быстроразвивающимися странами Юго-Восточной Азии, Индией, Китаем, Японией, Кореей, странами Латинской Америки и Ближнего Востока. На рынках этих стран имеются большие возможности наращивания российского экспорта,  особенно  наукоемкой  продукции,  развития  взаимовыгодных  форм
сотрудничества. Приоритетным является также восстановление, по существу, утерянных рынков в странах Восточной Европы, расширение связей с западноевропейскими странами. Важным остается сохранение взаимовыгодных хозяйственных связей рынка государств Содружества.1
Таким образом, регулирование экономических взаимоотношений прежде всего осуществляется на основе результатов исследования существующих пространственно-временных характеристик, которые фиксируют происходящие изменения в мировом экономическом положении.
Экономические отношения между государствами постоянно приобретают различное звучание и динамику. Но само по себе их регулирование представляет особый образ выявления объективных и субъективных факторов, которые следует держать под контролем для исключения второстепенных из системы экономических отношений.
Важнейшее значение во внешнеэкономической деятельности имеет валютное регулирование. Основным органом его осуществления является Центральный банк Российской Федерации. Он, наряду с другими функциями в этой области, определяет порядок обращения в России иностранной валюты и ценных бумаг в иностранной валюте.
Валютный контроль направлен на соблюдение валютного законодательства при осуществлении валютных операций. Базовым документом валютного контроля, оформляемым экспортером в банке, является Паспорт сделки. Он содержит изложенные в стандартной форме сведения о внешнеэкономической сделке, необходимые для осуществления таможенного контроля. Этот документ является обязательным для предоставления таможенным органам при выпуске товаров наряду с грузовой таможенной декларацией.
Таможенно-банковский контроль должен препятствовать утечке валюты, способствовать возвращению валютной выручки за поставленную за рубеж продукцию, пресекать фиктивные импортные операции.
Центральным банком России совместно с Государственным таможенным комитетом введена с 1 января 1996 г. Инструкция «О порядке осуществления валютного контроля за обоснованностью платежей в иностранной валюте за импортируемые товары».
Теперь все фирмы-импортеры обязаны оформлять в уполномоченных банках паспорт импортной сделки и осуществлять расчеты только через счета резидентов-импортеров. Товар должен быть ввезен в страну в течение 180 дней или же, если он не поступил в эти сроки, должен быть произведен возврат валюты. Кроме этого, если импортер не выполняет данных условий, то на него налагается штраф в размере 100% от суммы сделки.
Вместе с тем вне сферы контроля продолжают оставаться многие операции по перемещению капиталов за рубеж. К их числу относятся взносы в уставный капитал совместных предприятий за рубежом, приобретение недвижимости в других странах и т.п. Все они должны осуществляться только на основе лицензий Центрального банка России.
Для эффективного участия государства в международных отношениях и для укрепления национальной валюты создаются централизованные валютные фонды как в масштабе государства, так и на уровне административно-территориальных образований в составе Российской Федерации. Они образуются в первую очередь за счет обязательно продаваемой валютной выручки всеми предприятиями независимо от форм собственности и места регистрации.
Валютный резерв Центрального банка России складывается из централизованного фонда страны и валютных фондов местных органов власти. В свою очередь, этот резерв делится на стабилизационный фонд, средства которого идут на поддержку курса рубля, и на ту часть, которая продается Министерству финансов Российской Федерации. Она направляется на формирование фонда, необходимого для удовлетворения
государственных нужд: обеспечение платежей по обслуживанию внешнего долга, безусловных платежей и др.
Соотношение сумм платежей, произведенных страной за границей, и поступлений, полученных из-за границы за определенный период времени, отражается в платежном балансе. В нем выражаются как количественно, так и качественно масштабы, структура и характер внешнеэкономических связей государства.
Платежный баланс условно можно разделить на три части:
1. Текущие операции — по ним рассчитываются результаты движения товаров, услуг и денежных переводов.
2. Движение капиталов — составляется с целью балансирования притока и оттока инвестиционных средств.
3. Балансирующие операции — отражают операции государственных органов по уравновешиванию платежного баланса.
В результате образуется итоговое сальдо платежного баланса, которое фиксируется, т.е. погашается (если оно отрицательно) или распределяется (если оно положительно).
Национальные деньги в любой своей форме (монеты, банкноты, казначейские векселя и др.) являются законным платежным и расчетным средством лишь на территории эмитирующего их государства. Для расчета за товары, услуги одних стран с другими возникает необходимость обмена денег этих стран.
В зависимости от степени интегрированное™ страны в мировое хозяйство, уровня развития производительных сил, используемых методов управления экономикой может быть установлен различный режим обратимости (конвертируемости) национальной валюты.
Обратимость валют может быть полной или частичной. В своей полной форме она распространяется на все без исключения категории владельцев денежных средств и все видь! внешнеэкономических операций.
Частичная же обратимость валюты может распространяться, во-первых, только на определенные категории ее владельцев: на национальные юридические и физические лица (в этом случае говорят о «внутренней» обратимости) или на иностранные организации и граждан (так называемая «внешняя» обратимость); во-вторых, на отдельные виды внешнеэкономических сделок (на расчеты по внешнеторговым и другим текущим операциям либо на расчеты, связанные с движением капитала).
Наиболее важное значение для экономики имеет отсутствие валютных ограничений по текущим операциям. В международной практике национальные денежные единицы государств с таким режимом относят к категории свободно конвертируемых валют, фактически выполняющих в настоящее время функции мировых денег.
С 1 июня 1996 г. Россия ввела свободную конвертацию рубля по текущим операциям, приняв на себя обязательства по Соглашению Международного валютного фонда, ст. VIII, разд. 2—4. Ранее Правительство и ЦБ РФ внесли изменения в систему валютного регулирования, освободив ее от ограничений на валютные операции по текущим счетам и переводам.
К настоящему моменту сохранен только особый порядок конвертируемости рублевых остатков на текущих счетах нерезидентов и корреспондентских счетах банков-нерезидентов. Оставшиеся ограничения устраняются. Дальнейшие меры государственного валютного регулирования в РФ будут относиться только к операциям, связанным с движением капитала.1


Готовая продукция и ее оценка


Готовая продукция и ее оценка. Учет поступления готовой продукции Готовая продукция — это изделия и полуфабрикаты, полностью законченные обработкой, соответствующие действующим стандартам или утвержденным техническим условиям, принятые на склад или заказчиком.
Основными задачами бухгалтерского учета готовой продукции являются:
- правильный и своевременный учет наличия и движения готовой продукции на складах, холодильниках и в других местах хранения продукции;
- контроль за выполнением планов по объему, ассортименту, качеству выпущенной продукции и обязательств по ее поставкам;
- контроль за сохранностью готовой продукции и соблюдением установленных лимитов;
~ контроль за выполнением плана по реализации продукции и своевременностью оплаты за реализованную продукцию;
- выявление рентабельности всей продукции и ее отдельных видов.
Готовая продукция, как правило, должна быть сдана на склад в подотчет материально ответственному лицу. Крупногабаритные изделия и продукция, которая не может быть сдана на склад по техническим причинам, принимаются представителем заказчика на месте изготовления, комплектации и сборки.
Планирование и учет готовой продукции ведут в натуральных, условно-натуральных и стоимостных показателях.
Условно-натуральные показатели используют для получения обобщенных данных об однородной продукции. Например, количество выработанной каустической соды выражается в тоннах условного веса, консервов — в условных банках и т.д.
Поступление из производства готовой продукции оформляется накладными, спецификациями, приемными актами и другими первичными и сводными документами.
Количественный учет готовой продукции по ее видам и местам хранения обычно осуществляется аналогично учету материальных запасов. В последнее время многие организации применяют бескарточный метод учета готовой продукции. При данном методе с помощью ЭВМ ежедневно составляют оборотные ведомости учета выпуска из производства и движения готовой продукции относительно складов и других мест хранения. Остатки готовой продукции периодически инвентаризируют.
На автоматизированных складах вместо карточек складского учета используют, как правило, оперативные машинограммы и видеограммы остатков и движения готовой продукции по каждому наименованию и виду.
Как и по материальным запасам, по готовой продукции составляют номенклатуру — ценник. Помимо ценника разрабатываются справочники продукции, в которых содержатся сведения об облагаемой и необлагаемой различными видами налогов продукции, о плательщиках и грузополучателях, среднеквартальной и среднегодовой себестоимости и др.
Оценка готовой продукции. В настоящее время применяют следующие виды оценки готовой продукции:
- по фактической производственной себестоимости. Этот способ оценки готовой продукции используется сравнительно редко, в основном на предприятиях индивидуального производства, выпускающих крупное уникальное оборудование и транспортные средства. Может применяться на предприятиях с ограниченной номенклатурой массовой продукции;
- по неполной (сокращенной) производственной себестоимости продукции, исчисляемой по фактическим затратам без общехозяйственных расходов; может применяться в тех же производствах, где применяется первый способ оценки продукции;
- по оптовым ценам реализации. Оптовые цены используются в качестве твердых учетных цен. Отклонения фактической себестоимости продукции учитывают на отдельном аналитическом счете. При устойчивых оптовых ценах этот вариант оценки продукции был самым распространенным, поскольку позволял сопоставлять оценку продукции в текущем учете и отчетности, что важно для контроля за правильным определением товарного выпуска. При значительном колебании уровня оптовых цен данный способ теряет свои преимущества;
- по плановой {нормативной) производственной себестоимости, также выступающей в качестве твердой учетной цены. Обусловливается необходимость отдельного учета отклонений фактической производственной себестоимости продукции от плановой или нормативной. Достоинство данного способа оценки готовой продукции заключается в обеспечении единства оценки в планировании и учете. Однако, если плановая или нормативная себестоимость продукции изменяется часто, то усложняется переоценка остатков готовой продукции. Если же оценивать продукцию по среднегодовой себестоимости, то она не соответствует оценке в месячных и квартальных планах. Вариантом данного способа оценки готовой продукции является оценка по сокращенной плановой производственной себестоимости;
- по свободным отпускным ценам и тарифам, увеличенным на сумму налога на добавленную стоимость, — при выполнении единичных заказов и работ;
- по свободным рыночным ценам — при учете товаров, реализуемых через розничную сеть.
Синтетический учет готовой продукции. Учет наличия и движения готовой продукции осуществляют на активном счете 40 «Готовая продукция». Этот счет используется предприятиями отраслей материального производства. Готовые изделия, приобретенные для комплектации или в качестве товаров для продажи, учитывают на счете 41 «Товары». Стоимость выполненных работ и оказанных услуг на сторону также не j отражают на счете 40 «Готовая продукция». Фактические затраты по ним списывают со счетов затрат на производство в дебет счета 46 «Реализация продукции (работ, услуг)». Продукция, подлежащая сдаче на месте и не оформленная актом приемки, остается в составе незавершенного производства и на счете 40 «Готовая продукция» не учитывается.
Синтетический учет готовой продукции может осуществляться в двух вариантах: без использования счета 37 «Выпуск продукции (работ, услуг)» и с использованием счета 37.
При первом варианте, являющемся традиционным для нашей учетной практики, i готовую продукцию учитывают на синтетическом счете 40 по фактической произ-; водственной себестоимости. Однако аналитический учет отдельных видов готовой i продукции осуществляют, как правило, по учетным ценам (плановой себестоимости, | оптовым ценам и др.) с выделением отклонений фактической себестоимости готовой | продукции от стоимости по учетным ценам отдельных изделий и учитываемых на i отдельном аналитическом счете.
|     Оприходование готовой продукции по учетным ценам оформляют бухгалтерской ! записью по дебету счета 40 «Готовая продукция» и кредиту счета 20 «Основное 1 производство».
По окончании месяца исчисляют фактическую себестоимость оприходованной готовой продукции, определяют отклонение фактической себестоимости продукции от стоимости ее по учетным ценам и списывают это отклонение с кредита счета 20 «Основное j производство» в дебет счета 40 «Готовая продукция» способом дополнительной бухгалтерской проводки или способом «красное сторно».
Если готовая продукция полностью используется на самом предприятии, то ее можно приходовать по дебету счета 10 «Материалы» и других аналогичных счетов с кредита счета 20 «Основное производство».
Сельскохозяйственные предприятия учитывают движение сельскохозяйственной продукции в течение года по плановой себестоимости, а по окончании года ее доводят до фактической себестоимости.
Отгруженную или сданную на месте готовую продукцию в зависимости от условий поставки, оговоренных в договоре на поставку продукции, списывают по учетным ценам с кредита счета 40 «Готовая продукция» в дебет счетов 45 «Товары отгруженные» или 46 «Реализация продукции (работ, услуг)». По окончании месяца определяют отклонение фактической себестоимости отгруженной (реализованной) продукции от стоимости ее по учетным ценам и списывают с кредита счета 40 дополнительной проводкой или способом «красное сторно» в дебет счетов 45 или 46.
Готовую продукцию, переданную другим предприятиям для реализации на комиссионных началах, списывают с кредита счета 40 в дебет счета 45 «Товары отгруженные».
Особенности учета выпуска продукции при использовании счета 37 «Выпуск продукции (работ, услуг)». При использовании для учета затрат на производство продукции счета 37 «Выпуск продукции (работ, услуг)» синтетический учет готовой продукции осуществляют на счете 40 по нормативной или плановой себестоимости.
По дебету счета 37 отражают фактическую себестоимость продукции (работ, услуг), а по кредиту — нормативную или плановую себестоимость.
Фактическую производственную себестоимость продукции (работ, услуг) списывают с кредита счетов 20 «Основное производство», 23 «Вспомогательные производства», 29 «Обслуживающие производства и хозяйства» в дебет счета 37.
Нормативную или плановую себестоимость продукции (работ, услуг) списывают с кредита счета 37 в дебет счетов 40 «Готовая продукция», 46 «Реализация продукции (работ, услуг)» и других счетов (10, 11,21,28,41, 79).
Сопоставлением дебетовых и кредитовых оборотов по счету 37 на 1-е число месяца определяют отклонение фактической себестоимости продукции от нормативной или плановой и списывают с кредита счета 37 в дебет счета 46 «Реализация продукции (работ, услуг)». При этом превышение фактической себестоимости продукции над нормативной или плановой списывают дополнительной проводкой, а экономию — способом «красное сторно». Счет 37 закрывают ежемесячно, и сальдо на отчетную дату он не имеет.
При использовании счета 37 отпадает необходимость в составлении отдельных расчетов отклонений фактической себестоимости продукции от стоимости ее по учетным ценам по готовой, отгруженной и реализованной продукции, поскольку выявленное отклонение по готовой продукции сразу списывают на счет 46 «Реализация продукции (работ, услуг)».
В бухгалтерском балансе готовую продукцию отражают:
- по фактической производственной себестоимости (если не используется счет 37);
- по нормативной или плановой себестоимости (если используется счет 37);
- по сокращенной фактической себестоимости (по прямым статьям расходов), когда косвенные расходы списываются со счета 26 «Общехозяйственные расходы» в дебет счета 46 «Реализация продукции (работ, услуг)»;
- по неполной нормативной или плановой себестоимости (при использовании счета 37 и списании общехозяйственных расходов со счета 26 на счет 46).


Готовая продукция, товары и реализация.


II. Кредиты и другие заемные средства.
Кредиты банка — суммы полученных краткосрочных и долгосрочных ссуд банка (непогашенные).
Заемные средства — суммы выпущенных и проданных предприятием акций трудового коллектива, акций предприятия и облигаций, краткосрочные и долгосрочные займы и др.
Расчеты и прочая кредиторская задолженность — суммы задолженности поставщикам за товары и услуги, по выданным векселям, по авансам полученным, по оплате труда, по страхованию, бюджету и др.
Понятно, что стоимостный и натурально-вещественный состав хозяйственных средств определяется спецификой производственной (хозяйственной) деятельности предприятия, основу которой составляют три хозяйственных процесса:
- заготовление — приобретение товарно-материальных ценностей различного вида, необходимых для осуществления производственных и хозяйственных нужд и для реализации товаров;
- производство — выполняется основная задача предприятия — изготовляется продукция, оказываются услуги, выполняется работа;
- реализация — осуществляются договорные обязательства перед заказчиками и покупателями, а выручка от реализации продукции, выполненных работ и оказанных услуг зачисляется на расчетный счет или возникает дебиторская задолженность.
В результате учета процесса заготовления и производства, путем сопоставления плановых (сметных) и отчетных показателей выявляется экономия или перерасход, а в учете процесса реализации — прибыль (доход) или убытки. Отсюда вытекает, что главными задачами бухгалтерского учета являются:
- обеспечение контроля за наличием и движением имущества, использованием материальных, трудовых и финансовых ресурсов в соответствии с установленными нормами, нормативами и сметами;
- формирование полной и достоверной информации о хозяйственных процессах и результатах деятельности предприятия, необходимой для оперативного руководства и управления, а также для использования инвесторами (учредителями, собственниками и лицами, вложившими средства, капитал), поставщиками, покупателями, кредиторами, налоговыми и банковскими органами;
- вьывление внутрипроизводственных резервов, их мобилизация и эффективное использование.
Указанные задачи решаются при ведении бухгалтерского учета посредством использования различных способов и приемов, совокупность которых называется методом бухгалтерского учета. Он включает отдельные элементы, из которых главными являются:
документация, инвентаризация, счета, двойная запись, баланс, отчетность, оценка и калькуляция. Использование каждого из данных элементов оговорено в соответствующих положениях, инструкциях, разрабатываемых и утверждаемых в установленном законодательством порядке.
Кратко рассмотрим перечисленные выше элементы метода бухгалтерского учета.
Документация — письменное свидетельство о совершенной хозяйственной операции, придающее юридическую силу данным бухгалтерского учета. Первичные документы, в том числе на бумажных машиночитаемых носителях информации, обеспечивают бухгалтерскому учету сплошное и непрерывное отражение хозяйственной деятельности предприятия. К учету принимается только правильно оформленный документ, а именно тот, в котором имеются все реквизиты, предусмотренные стандартами. Установлено, что такими реквизитами являются: наименование предприятия, наименование документа, его номер, дата, краткое содержание хозяйственной операции, ее количественное и денежное выражение, подписи лиц, отвечающих за данную хозяйственную операцию. Первоочередное требование к документам — своевременность составления, полнота и достоверность информации, обеспечивающие возможность предварительного и текущего контроля за хозяйственной деятельностью предприятия и активного воздействия на результаты его работы.
Работники предприятия, на которых возложена обязанность составления документов, необходимых для бухгалтерского учета и контроля, несут ответственность за их некачественное оформление, задержку передачи в бухгалтерию, недостоверность содержащихся в них данных, а также за составление документов, отражающих незаконные операции.
Инвентаризация как элемент метода бухгалтерского учета позволяет через проверку в натуре материальных ценностей, денежных средств и финансовых обязательств выявить их фактическое состояние. Она или подтверждает данные бухгалтерского учета, или выявляет неучтенные ценности или допущенные потери, хищения, недостачи. Поэтому при помощи инвентаризации контролируется сохранность материальных ценностей и денежных средств, проверяется полнота и достоверность данных бухгалтерского учета и отчетности.
Счета и двойная запись. Счета бухгалтерского учета предназначены для группировки и текущего учета однородных хозяйственных операций. На каждый вид хозяйственных .средств и их источников открывается отдельный счет. Различают два вида счетов: активные и пассивные. Свое название они получили от названия сторон баланса и отражают их содержание. Так, активные счета предназначены для учета хозяйственных средств по их составу и размещению, пассивные — для учета источников хозяйственных средств по их целевому назначению. Строение счетов, независимо от их вида, одинаково — это таблица двусторонней формы, левая сторона которой есть дебет, а правая — кредит. Для большинства счетов характерно наличие остатка (сальдо) на начало и на конец месяца и оборотов за месяц по дебету и кредиту. Необходимо помнить, что при одинаковом строении счетов назначение сторон (дебета и кредита) в активных и пассивных счетах различно, что видно из приведенных ниже схем счетов.
Сумма каждой хозяйственной операции записывается на счетах дважды (по дебету одного счета и по кредиту другого счета), что и называется двойной записью. Она обеспечивает взаимосвязанное отражение хозяйственной деятельности предприятия в бухгалтерском учете. Кроме того, ее использование имеет большое контрольное значение, так как требует обязательной сбалансированности (равенства) итогов записей на счетах.1
Активные и пассивные счета бухгалтерского учета делятся по способу группировки и обобщения учетных данных на синтетические и аналитические.
Синтетические счета предназначены для укрупненной, обобщенной группировки и учета состава и движения средств предприятия, их источников и хозяйственных процессов в едином денежном измерителе (выражении). Учет, осуществляемый на этих счетах, называется синтетическим. Его данные используются при заполнении форм бухгалтерской отчетности, и прежде всего баланса, а значит, для анализа финансово-хозяйственной деятельности предприятия. Однако для оперативного управления и руководства работой предприятия, контроля и планирования объема материально-технического снабжения, контроля за сохранностью всех видов собственности, учета затрат на производство, для организации расчетов с рабочими и служащими, с поставщиками, с бюджетом требуются детальные, частные сведения, характеризующие подробно все стороны деятельности предприятия.
Счета, предназначенные для такого вида учета, называются аналитическими. Они открываются в развитие определенного синтетического счета в разрезе его видов, частей, статей, и где это требуется, с оценкой информации в натуральном, трудовом и денежном выражении.
Между синтетическим счетом и относящимися к нему аналитическими счетами существует определенная взаимосвязь: сальдо одного синтетического счета должно быть равно сумме сальдо всех аналитических счетов, к нему относящихся; суммы оборотов по дебету и кредиту одного синтетического счета должны быть равны суммам оборотов (соответственно) по дебету и кредиту всех аналитических счетов, к нему относящихся. Понятно, что если синтетический счет активный, то и относящиеся к нему аналитические счета активные. По способу регистрации хозяйственных операций в бухгалтерском учете различают записи в хронологическом и систематическом порядке.
Хронологическая запись предусматривает отражение хозяйственных операций независимо от содержания в последовательности их совершения во времени и оформления документами. С этой целью разработаны специальные бланки, формы журналов регистрации хозяйственных операций.
Систематическая запись предусматривает регистрацию тех же хозяйственных операций, но согласно их содержанию на счетах бухгалтерского учета посредством двойной записи, т.е. сумма каждой операции записывается по дебету одного и кредиту другого счета. Сумма оборотов по дебету всех счетов за отчетный месяц должна быть равна сумме оборотов по кредиту всех счетов и одновременно общей сумме по журналу регистрации хозяйственных операций. На практике для обобщения и сверки данных применяются оборотные ведомости, использование которых позволяет проверить правильность и взаимоувязку  хронологических  и  систематических  записей  синтетического  и аналитического учета.
Для надлежащей организации бухгалтерского учета на предприятии большое значение имеет правильное использование плана счетов бухгалтерского учета финансово-хозяйственной деятельности предприятия и инструкции по его применению, где даются характеристика каждого счета и типовая корреспонденция счетов по ним. План счетов содержит девять разделов.
1. Основные средства и другие долгосрочные вложения.
2. Производственные запасы.
3. Затраты на производство.
4. Готовая продукция, товары и реализация.
5. Денежные средства.
6. Расчеты.
7. Финансовые результаты и использование прибыли.
8. Фонды и резервы.
9. Кредиты и финансирование.
В каждом разделе указаны: наименование синтетических счетов (счетов первого порядка), их номер, а также номера и наименования субсчетов (счетов второго порядка). Так, синтетическому счету «Материалы» присвоен номер 10, а субсчету «Сырье и материалы» — номер 1. Поэтому субсчет будет иметь номер 10/1. Такая группировка счетов позволяет по их показателям дать всестороннюю характеристику хозяйственной деятельности предприятия, состояния хозяйственных средств и их источников, финансовых результатов.
На основе типового плана счетов бухгалтерского учета главный бухгалтер предприятия разрабатывает так называемый рабочий план счетов, подлежащий использованию на данном предприятии, а также документооборот, права и обязанности должностных лиц, занимающихся ведением учета.
На небольших (малых) предприятиях может использоваться сокращенный план счетов.
Баланс в бухгалтерском учете рассматривается как способ обобщения и группировки хозяйственных средств предприятия и их источников на определенную дату. Он делится на разделы и статьи и представляется в установленные адреса и сроки. По своему строению он представляет собой двустороннюю таблицу, левая сторона которой — актив — отражает состав и размещение хозяйственных средств, а правая — пассив — отражает источники образования хозяйственных средств и их целевое назначение. В переводе с латинского слово «баланс» означает «двухчашечный, весы», поэтом}7 в нем должно присутствовать обязательное равенство итогов: сумма всех статей актива баланса должна быть равна сумме всех статей пассива баланса. Его данные необходимы для контроля за наличием и структурой хозяйственных средств и их источников, для анализа финансового состояния и платежеспособности предприятия, размещения средств, степени изношенности основных средств и пр.
Бухгалтерская отчетность как элемент метода бухгалтерского учета является завершающим этапом учетного процесса. В ней отражаются имущественное и финансовое положение предприятия, результаты хозяйственной деятельности за отчетный период. Информация, содержащаяся в бухгалтерских отчетах и балансах, основывается на данных синтетического и аналитического учета.
Оценка и калькуляция как элементы метода бухгалтерского учета вызваны необходимостью оценки в денежном выражении находящегося в распоряжении предприятия имущества и каждой совершенной хозяйственной операции, вызывающей изменения в составе хозяйственных средств и их источников. Так, установлено, что основные средства предприятия отражаются в бухгалтерском учете и отчетности по первоначальной стоимости, т.е. в сумме затрат на их изготовление, приобретение, сооружение, а все виды оборотных средств — по фактической себестоимости. Под калькулированием себестоимости продукции (работ, услуг) понимается расчет затрат, связанных с ее производством и реализацией, как по предприятию в целом, так и по видам
продукции и на ее единицу. По данным бухгалтерского учета рассчитывается фактическая себестоимость выпущенной и реализованной продукции. Состав и содержание калькуляционных статей могут определяться типовыми методическими рекомендациями.
Себестоимость продукции определяется на всех предприятиях на основе нормативных актов, устанавливающих состав затрат на производство и реализацию продукции, включаемых в ее себестоимость.


Группы и их значимость


Группы и их значимость Человек нуждается в общении с себе подобными и, по-видимому, получает радость от такого общения. Большинство из нас активно ищет взаимодействия с другими людьми. Во многих случаях наши контакты с другими людьми кратковременном и незначительны. Однако, если двое или более людей проводят достаточно много времени в непосредственной близости друг к другу, они постепенно начинают психологически осознавать и существование друг друга. Время, требующееся для такого осознания, степень осознания очень сильно зависят от ситуации и от характера взаимосвязи людей. Однако результат такого осознания практически всегда один и тот же. Осознание того, что о них думают и чего-то ждут от них другие, заставляет людей некоторым образом менять свое поведение, подтверждая тем самым существование социальных взаимоотношений. Когда такой процесс происходит, случайное скопление людей становится группой.
Каждый из нас принадлежит одновременно ко многим группам. Мы — члены нескольких семейных групп: своей непосредственной семьи, семей бабушек и дедушек, двоюродных сестер и братьев, родственников жены или мужа и т.д. Большинство людей принадлежит также к нескольким группам друзей — кругу людей, которые довольно регулярно видятся друг с другом.
По определению Марвина Шоу, «группа — это два лица или более, которые взаимодействуют друг с другом таким образом, что каждое лицо оказывает влияние на других и одновременно находится под влиянием других лиц».
Исходя из определения Шоу, можно считать, что организация любого размера состоит из нескольких групп. Руководство создает группы по своей воле, когда производит разделение труда по горизонтали (подразделения) и по вертикали (уровни управления). В каждом из многочисленных отделов большой организации, такой, как Военно-морской флот Соединенных Штатов или компания «Эксон», может существовать десяток уровней управления. Производство на заводе можно разделить на более мелкие подразделения, например, механообработки, окраски, сборки. Эти производства, в свою очередь, можно делить и дальше.
Эти группы, созданные по воле руководства для организации производственного процесса, называются формальными группами. Как бы малы они ни были, это — формальные организации, чьей первейшей функцией по отношению к организации в целом является выполнение конкретных задач и достижение определенных, конкретных целей. В организации существует три основных типа формальных групп: группы руководителей, производственные группы и комитеты.
Командная (соподчиненная) группа руководителя состоит из руководителя и его непосредственных подчиненных, которые, в свою очередь, также могут быть руководителями. Президент компании и старшие вице-президенты — вот типичная командная группа. Такую же группу образуют директор магазина розничной торговли, заведующие различными его отделами, либо заведующий каким-либо отделом и его или ее продавцы. Однако, несмотря на то, что они входят в его или ее цепь команд, продавцы не являются членами командной группы президента компании, потому что они не подчинены ему напрямую. Другим примером командной соподчиненной группы являются командир авиалайнера, второй пилот и бортинженер.
Второй тип формальной группы — это рабочая (целевая) группа. Она обычно состоит из лиц, вместе работающих над одним и тем же заданием. Хотя у них есть общий руководитель, эти группы отличаются от командной группы тем, что у них значительно больше самостоятельности в планировании и осуществлении своего труда. Рабочие (целевые) группы имеются в составе «Хьюлетт Паккард», «Шэкли Корпорейшн», «Моторола», «Тексас Инструменте» и «Дженерал Моторс». Более двух третей от общего числа сотрудников компании «Тексас Инструменте» (89 с лишним тыс. человек) являются членами целевых групп. За повышение общей эффективности деятельности компании они могут получать 15-процентную надбавку к своему бюджету. В этой компании руководство считает, что целевые группы ломают барьеры недоверия между руководителями и рабочими. Кроме того, предоставляя рабочим возможность самим думать о своих производственных проблемах и решать их, они могут удовлетворять потребности рабочих более высокого уровня.
Все командные и рабочие группы, а также комитеты должны эффективно работать — как единый слаженный коллектив. Однако имеется множество факторов, которые влияют на поведение отдельной личности в коллективе. К сожалению, руководители этих групп не всегда считают своим долгом повышать свой личный вклад в достижение общих целей.
Неформальные лидеры. Так же, как и формальные, неформальные организации имеют своих лидеров. Неформальный лидер приобретает свое положение, добиваясь власти и применяя ее по отношению к членам группы, аналогично тому, как это делает лидер формальной организации. По существу, нет никаких серьезных различий в средствах, применяемых лидерами формальных и неформальных организаций для оказания воздействия.
Таким образом, обширный материал, трактующий вопросы власти и лидерства, в равной мере относится и к неформальным лидерам. Их существенно отличает только то, что лидер формальной организации имеет поддержку в виде делегированных ему официальных полномочий и обычно действует в отведенной ему конкретной функциональной области. Опора неформального лидера — признание его группой. В своих действиях он делает ставку на людей и их взаимоотношения. Сфера влияния неформального лидера может выходить за административные рамки формальной организации. Несмотря на то, что неформальный лидер одновременно является одним из членов управленческого персонала формальной организации, очень часто он или она занимают там сравнительно невысокую ступень в организационной иерархии.
Существенные факторы, определяющие возможность стать лидером неформальной организации, включают: возраст, должностное положение, профессиональную компетентность, расположение рабочего места, свободу передвижения по рабочей зоне и отзывчивость. Точные характеристики определяются принятой в группе системой ценностей. Так, в некоторых неформальных организациях пожилой возраст может считаться положительной характеристикой, а в других — наоборот.
Неформальный лидер имеет две первостепенные функции: помогать группе в достижении ее целей и поддерживать и укреплять ее существование. Иногда эти функции выполняются разными людьми. Если это так, то в неформальной группе возникают два лидера: один для выполнения целей группы, другой — для социального взаимодействия.'
Эффективность деятельности организации обусловлена в аспекте менеджмента последовательным сочетанием действий по воспроизведению целей организации в конкретном экономическом действии. Со стороны менеджмента исходит действие по стимулированию персонала и факторов его деятельности. При этом ситуация столкновения противоположных интересов решается на уровне раскрытия проблемы управления группой, а также проблемы конфликтности в менеджменте.


Группы магазинов по объему товарооборота


Многообразие общественных явлений обусловливает необходимость дифференцированного подхода к образованию и использованию типологических группировок.
Наряду с выделением типов хозяйств, разделением населения по социальным группам в практике коммерческих служб торговли и быта выделяются однородные группы, которые различаются между собой качественными особенностями. Эту многоярусность типологических группировок необходимо определять, поскольку социально-экономическую их сущность нельзя беспредельно расширять. Например, группировку магазинов по специализации (продовольственные, непродовольственные, смешанные) не следует ставить в один ряд с социально-экономическими группировками, так как она отражает определенную специфику в характере организации труда и торгового процесса. Среди продовольственных могут быть магазины, разные по формам собственности, организации труда и другим признакам, которые нельзя включать в одну социально-экономическую группу.
Таблица 16.3.1
Пример группировки торговых предприятий района по объему товарооборота (в % к итогу)
Группы магазинов по объему товарооборота, тыс. руб.
Число магазинов
Розничный товарооборот
Г-у*
Торговая площадь
До 1700
21,87
11,22
18,05
1700—2000
28, 13
19,04
21,38
2000—3000
21,87
20,00
19,08
3000—4200
15,63
22,23
19,47'
Свыше 4200
12,50
27,51
22,02
Всего
100,0
100,0
100,0

Структурные группировки. Выделенные типы явления с помощью типологической группировки могут изучаться с точки зрения их структуры и состава. При этом используются структурные группировки. Это — группировки, используемые для изучения строения изучаемой совокупности. В большинстве своем структурные группировки формируются на основе образования качественно однородных групп, хотя нередко они применяются и без предварительного расчленения совокупности на части.
С помощью структурных группировок изучается, например, состав товарооборота по товарным группам; торговая сеть — по специализации; работники торговли — по профессиям, возрасту, стажу работы, образованию и т.д. Так, группировка по образованию за ряд лет может характеризовать качественные сдвиги в рабочей силе по данному признаку. Структурная группировка, кроме того, позволяет оценить процесс концентрации, если в их основание положен существенный признак, что видно из данных табл. 16.3.1.
Приведенная в табл. 16.3.1 группировка содержит систему показателей, характеризующих структуру изучаемой совокупности по ряду признаков, концентрацию торгово-закупочного процесса, нашедшего свое выражение в укрупнении магазинов по величине товарооборота. Крупные магазины имеют большую долю в обороте, чем в общей их численности.
Данная группировка, кроме того, позволила выявить определенную последовательность в изменении показателей, характеризующих выделенные части. На практике структурная группировка с комплексным решением задач встречается довольно часто. Однако в коммерческой деятельности нередко применяется другой вид группировки. Так, для изучения явления, а также связи между отдельными признаками явления используются аналитические группировки взаимосвязей между признаками, выступающими в роли причины или следствия явления. Из    можно выделить следующие:
1) когда фактором выступает количественный признак, а результатом — качественный (стаж работы и квалификация продавца, продолжительность договорных связей между поставщиками товаров и предприятиями торговли, с одной стороны, и качеством товаров — с другой);
2) когда в основу группировки положен качественный признак, а результатом — представлен количественный (например, квалификация продавцов и производительность их труда);
3) когда в роли фактора и результата выступает качественный признак (например, категории работников торговли и их образование);
4) когда в группировке факторный и результативный показатели представлены количественным признаком (например, производительность труда и заработная плата). Наиболее распространенный вид коммерческих связей представлен в табл. 16.3.2.
Таблица 163.2
Качество продукции и продолжительность договорных связей поставщиков с магазином
Продолжительность связей магазина с поставщиками, лет
Число поставщиков


абсолютная величина
% к итогу
Доля стандартной гфодукции, %
До З
3-7
7—11
Свыше 11
4
9
7
5
16
36
28
20
73
78
85
98
Итого:
25
100,0
88,5

Данные группировки позволяют сделать вывод о том, что устойчивые и надежные хозяйственные связи между сторонами, основанные на договорах, оказывают положительное влияние также и на качество поставляемых товаров.
Комбинированные группировки. Образование групп по двум и более признакам, взятым в определенном сочетании, называется комбинированной группировкой. При этом группировочные признаки принято располагать, начиная с атрибутивного, в определенной последовательности, исходя из логики взаимосвязи показателей.
Применение комбинированных группировок обусловлено многообразием экономических явлений, а также необходимостью их всестороннего изучения. Но увеличение числа группировочных признаков ограничивается уменьшением наглядности, что снижает эффективность использования статистической информации. Примером комбинированной группировки может служить разделение образованных групп по формам хозяйствования на подгруппы по уровню рентабельности (доходности) или по другим признакам (производительность труда, фондоотдача и т.д.).


Холдинговые компании


Холдинговые компании Подобные объединения образуются, когда одно акционерное общество овладевает контрольными пакетами акций других акционерных фирм в целях финансового контроля за их работой и получения дохода на вложенный в акции капитал.
Различают 2 типа холдингов:
1) чистый холдинг, т.е. получение компанией доходов посредством участия в акционерном капитале других фирм;
2) смешанный холдинг, когда холдинговая компания занимается самостоятельной предпринимательской деятельностью и одновременно в целях расширения сферы влияния организует новые зависимые фирмы и филиалы.
Компании чистого холдинга, как правило, возглавляются крупными банками. Во главе смешанного холдинга может находиться любое крупное объединение, преимущественно связанное с производством.
Естественно, эта классификация достаточно условна. Современный диверсифицированный концерн может быть холдингом по отношению к своим дочерним фирмам и филиалам и одновременно сам входить в качестве дочерней фирмы в состав более могущественного холдинга.
Гигантские холдинги могут контролировать финансовую деятельность сотен акционерных обществ, включая крупные концерны и банки. Их собственный капитал и активы при этом часто бывают в несколько раз меньше суммарного капитала дочерних фирм. Некоторые компании создаются с участием большой доли государственного капитала, что позволяет правительству контролировать и регулировать развитие отдельных важнейших отраслей экономики страны.
После распада СССР в России холдинги и другие объединения создавались главным образом не ради прибыли, а для сохранения прежних производственных связей и взаимопомощи, без которых не могли бы функционировать многие отрасли экономики. Перечисляя в распоряжение холдинга часть прибыли, предприятия получали взамен поддержку при заключении договоров на поставку сырья и материалов, топлива и других средств производства, а также помощь при организации сбыта своих изделий.
Имея свои банки или крупные суммы на счетах в других банках, холдинги предоставляют дочерним предприятиям льготные кредиты, оказывают помощь в вопросах технического перевооружения производства.
Так, АО «АСМ-холдинг», которое с 1992 по 1996 г, объединило 167 предприятий, в том числе десятки крупнейших автомобильных, тракторных и других машиностроительных заводов из всех стран СНГ, действовало на правах государственного органа. В составе АО образованы: инвестиционный Автобанк; коммерческий центр, решающий вопросы материально-технического обеспечения предприятий холдинга в масштабах всех стран на территории бывшего СССР; внешнеторговое общество; товарно-фондовая биржа;
аудиторская фирма; финансово-расчетный клиринговый центр с филиалами в ряде республик и другие научно-технические и коммерческие органы.
В кризисном 1992 г. при общем спаде производства в странах СНГ на 20—30% и более АО «АСМ-холдинг» удержало объемы производства на уровне 94% по отношению к 1991 г., что подтверждает эффективность его работы.
В целях сдерживания роста цен на конечную продукцию участники «АСМ-холдинг» в 1996 г. приняли решение о замораживании цен на комплектующие изделия при расчетах внутри холдинга.
Структура, подобная АО «АСМ-холдинг», характерна для финансово-промышленных групп (ФПГ), при формировании которых в качестве главной ставится задача объединения банковского капитала и производственного потенциала. При этом основным доходом деятельности банка, входящего в ФПГ, должны быть дивиденды от повышения эффективности работы предприятий, а не процент на кредит.
Холдинги, ФПГ и другие межотраслевые объединения с государственным капиталом могут получить статус независимого органа и руководствоваться в своей деятельности непосредственно законами или подчиняться Правительству РФ.
Механизмы образования холдинговых компаний, ФПГ, крупных диверсифицированных концернов на территории бывшего СССР существенно отличаются от механизма создания подобных хозяйственных структур в странах Запада.
Создание западных национальных и транснациональных корпораций (ТНК) начинается с удачной инициативы отдельных предпринимателей, которые в одиночку или объединившись на основе собственного и заемного капитала интенсивно наращивают свое состояние, захватывают крупные секторы производства, торговли, финансового оборота и начинают подавлять конкурентов, скупая их предприятия, торговые дома, долю банковского капитала, в результате чего и становятся корпорациями.
Примером подобной эволюции может служить итальянский концерн «Ферруци», основатель которого, являясь владельцем небольшой семейной фермы, начинал с мелкой торговли сельскохозяйственным сырьем, а затем наладил собственное производство строительных материалов, спрос на которые в послевоенные годы был высоким.
Через 15 лет «Ферруци» вышел на международные рынки, занимаясь строительством товарных складов, закупая морские суда для перевозки грузов из Америки в Европу и обратно, приобретая крупные земельные участки в США, Бразилии, Аргентине. Концерном были построены новые заводы и выкуплены активы действующих предприятий по производству химических и строительных материалов, лекарств, по выработке электроэнергии. Наряду с торговлей, которая остается основной сферой деятельности концерна, «Ферруци» охватил области страхования, научно-исследовательских и проектно-конструкторских работ.
В конце 80-х гг. «Ферруци» был уже диверсифицированным гигантом мирового уровня с годовым оборотом в 23 млрд долл. и занимал 14-е место среди крупнейших компаний Западной Европы. Его предприятия размещены во многих странах мира.1
Аналогичный путь развития прошла и одна из самых крупных южнокорейских компаний «ДЭУ», основатель и президент которой в 1967 г. начинал с капитала примерно 4000 долл. США. Уже к 1992 г. годовой объем продаж компании составил 19 млрд долл., и «ДЭУ» стала транснациональной компанией.
В разных странах и у себя в Корее «ДЭУ» производит морские суда и автомобили, тяжелые станки и роботы, средства связи и бытовые приборы, ткани и многие другие товары. Подобные примеры всегда вызывают желание установить причину такого успеха.
Ким У Джунг, основатель компании «ДЭУ», убежден, что такие высокие достижения были обусловлены его стремлением осуществить свою мечту: «Мечта — это движущая сила, которая изменяет жизнь, преобразовывает мир. Самая моя большая мечта — чтобы в памяти людей осталось имя Ким У Джунга, уважаемого бизнесмена... не богача, а человека, принесшего успех и счастье другим людям».2
Безусловно, личные мотивы предпринимателя играют важную роль, но объективные процессы сильнее субъективных. Роль и значение крупного капитала определяется условиями, в которых он возникает и действует, а не только пожеланиями отдельных лиц.
Успех одиночек все же не является всеобщим правилом. Сотни тысяч мелких предпринимателей порою прозябают или разоряются, и лишь единицы становятся гигантами, составляющими основу экономики всех индустриально развитых стран мира. На долю только транснациональных компаний в середине 80-х гг. приходилось свыше 1/3 промышленного производства, более 50% внешней торговли и около 80% патентов на новую технику и технологию в капиталистическом мире.1


Хозяйственные связи и расчетные отношения предприятий


Хозяйственные связи и расчетные отношения предприятий Хозяйственные связи — необходимое условие деятельности предприятий, так как они обеспечивают бесперебойность снабжения, непрерывность процесса производства и своевременность отгрузки и реализации продукции. Оформляются и закрепляются хозяйственные связи договорами, согласно которым одно предприятие выступает поставщиком товарно-материальных ценностей, работ или услуг, а другое — их покупателем, потребителем, а значит, и плательщиком.
У предприятия возникают взаимоотношения с персоналом, выполняющим производственное задание, что также влечет за собой расчеты с работниками предприятия, с органами социального обеспечения и другими организациями и лицами. Все эти расчеты осуществляются в денежной форме.
Между предприятиями, учреждениями и организациями расчеты производятся безналично. Безналичные расчеты ведутся путем перечисления (перевода) денежных средств со счета плательщика на счет получателя с помощью различных банковских операций (кредитных и расчетных), замещающих наличные деньги в обороте. При этом посредником при расчетах между предприятиями и организациями выступают соответствующие учреждения банков (государственных и коммерческих).
Кредитные отношения банков с предприятиями оформляются кредитными договорами. Их цель — повышение эффективности использования кредитных ресурсов и усиление воздействия кредитного механизма на конечные результаты работы предприятий.
Кроме расчетных счетов, в банках открываются текущие и специальные счета для хранения средств строго целевого назначения (приватизационный фонд, аккредитивы и чековые книжки).
Основными задачами учета денежных средств и расчетов являются:
- своевременное и правильное документирование операций по движению денежных средств и расчетов;
- оперативный, повседневный контроль за сохранностью наличных денежных средств и ценных бумаг в кассе предприятия;
- контроль за использованием денежных средств строго по целевому назначению;
- контроль за правильными и своевременными расчетами с бюджетом, банками, персоналом;
- контроль за соблюдением форм расчетов, установленных в договорах с покупателями и поставщиками;
- своевременная выверка расчетов с дебиторами и кредиторами для исключения просроченной задолженности.
Учет операций по расчетному счету Расчетные счета открываются предприятиями, являющимися юридическими лицами и имеющими самостоятельный баланс и др.
Для открытия расчетного счета предприятие представляет в банк следующие документы:
- заявление на открытие счета;
- временное свидетельство о регистрации с последующей заменой на постоянное;
- копии устава и учредительного договора, заверенные нотариально;
- два экземпляра банковских карточек с образцами подписей;
- справка о постановке на учет в налоговой инспекции и в пенсионном фонде и др.
В этот же период подписывается договор на банковское обслуживание и по распоряжению управляющего банком предприятию присваивается номер расчетного счета и открывается лицевой счет для учета движения его денежных средств. Номера счетов различны в зависимости от принадлежности к форме собственности (госпредприятия, акционерные общества, крестьянские хозяйства, физические лица). Следует отметить, что предприятия, имеющие расчетные счета, могут открывать своим подразделениям, филиалам, магазинам, находящимся вне места расположения предприятия, текущие счета. Эти счета предназначены для осуществления филиалом операций, связанных с выдачей наличных денег, зачислением средств с расчетного счета предприятия для выдачи заработной платы и командировочных расходов, перечислений во вклады граждан и удержаний из их заработной платы, а также для выполнения производственных задач.
На расчетном счете сосредоточиваются свободные денежные средства и поступления за реализованную продукцию, выполненные работы и услуги, краткосрочные и долгосрочные ссуды, получаемые от банка, и прочие зачисления.
С расчетного счета производятся почти все платежи предприятия: оплата поставщикам за материалы, погашение задолженности бюджету, соцстраху, получение денег в кассу для выдачи заработной платы, материальной помощи, премий и т.п. Выдача денег, а также безналичные перечисления с этого счета банком осуществляются, как правило, на основании приказа предприятия-владельца расчетного счета или с его согласия (акцепта).
При расчетах между предприятиями, банками и государством применяется календарная система расчетов. Это значит, что все платежи с расчетного счета, включая отчисления в бюджет и выплату заработной платы, производятся в порядке календарной очередности, т.е. в порядке их поступления в банк. Отменено бронирование сумм на заработную плату, что обязывает руководителей предприятий, их экономические службы глубже вникать в суть финансового положения предприятий, особое внимание уделять
планированию поступлений на расчетный счет денежных средств, разработке графиков платежей, сроков оплаты и т.д.
Прием и выдача денег или безналичные перечисления производятся банком на основании документов специальной формы, утвержденной им же. Из них наиболее распространенными являются: объявление на взнос наличными, чек (денежный), платежное поручение, расчетный чек, платежное требование-поручение.
Для расчетов между предприятиями за отпущенную продукцию могут применяться платежные требования-поручения.
Предприятие периодически (ежедневно или в другие установленные банком сроки) получает от банка выписку из расчетного счета, т.е. перечень произведенных им за отчетный период операций. К выписке банка прилагаются документы, полученные от других предприятий и организаций, на основании которых зачислены или списаны средства, а также документы, выписанные предприятием.
Выписка банка заменяет собой регистр аналитического учета по расчетному счету и одновременно служит основанием для бухгалтерских записей. Все приложенные к выписке документы гасятся штампом «погашено». Ошибочно зачисленные или списанные с расчетного счета суммы принимаются на счет 63 «Расчеты по претензиям», а банку немедленно сообщается о таких суммах для внесения исправлений. В последующих выписках банк вносит исправления, а в бухгалтерском учете предприятия задолженность списывается.
На полях проверенной выписки против сумм операций и в документах проставляются коды счетов, корреспондирующих со счетом 51 «Расчетный счет», а на документах указывается еще и порядковый номер его записи в выписке. Эти данные необходимы для контроля за движением денежных средств, автоматизации учетных работ, справок, проверок и последующего хранения документов. Проверка и обработка выписок должны производиться в день их поступления.1
Отметим, что денежные средства в бухгалтерском учете, помимо того, что они представляют собой фиксированное количество денег, находящихся у данного предприятия в распоряжении, являются основой для последующего устойчивого воспроизведения целостного экономического действия предприятия во внешней экономической среде.
Для учета движения средств в иностранной валюте в плане счетов предусмотрен счет 52 «Валютный счет». Согласно Указаниям по заполнению квартальной бухгалтерской отчетности предприятий в 1993 г. (п. 11) рекомендовано открывать к этому счету следующие субсчета: 1 «Транзитные валютные счета», 2 «Текущие валютные счета», 3 «Валютные счета за рубежом». Наименование субсчетов дано во множественном числе потому, что аналитический и синтетический учет в разрезе субсчетов организуется по кодам валют. Например, доллар США — 001, немецкая марка — 048 и т.д.
В любых случаях учет инвалюты отражается в двух оценках: в валюте иностранного государства и в валюте РФ (национальной).
Отделение банка уведомляет предприятие о движении инвалюты по его лицевому счету выпиской как из транзитного, так и из текущих счетов. На основании выписок из текущих валютных счетов ведется журнал-ордер № 2/1 для оборотов по кредиту и ведомость № 2/1 — по дебету. По валютному счету необходимо также вести карточки аналитического учета по наименованию валют.


Индекс цен Лоу



т.е. цена в текущем периоде повысилась в среднем на 14,1%.
Индекс цен Лоу применяется в расчетах при закупках или реализации товара в течение продолжительных периодов времени (пятилетка, десятилетие и т.д.). Этот метод дает возможность анализа цен с учетом происходящих внутри отдельных субпериодов изменений в ассортиментном составе товаров.
По полноте охвата единиц статистической совокупности индексы цен могут определяться на основе информации, отображающей изменения уровней цен и реализации общего количества всех товаров. Такие расчеты могут охватывать несколько десятков и сотен тысяч ассортиментных позиций и характеризовать общий результат изменения цен на товары народного потребления. Это так называемые тотальные индексы розничных цен государственной и кооперативной торговли, которые публикуются в статистических ежегодниках и сборниках.
Большое значение имеет определение индексов цен по ограниченному кругу — набору наиболее важных товаров-представителей, составляющих так называемую потребительскую корзину. Так, в 1989 г. проведена регистрация цен 650 товаров-представителей по выборочной сети магазинов государственной торговли в 150 регионах страны. Результаты этой работы показали, что определение индексов цен по товарам-представителям позволяет изучать: динамику прейскурантных цен на сопоставимую продукцию, появление новых видов товаров, влияние договорных и временных цен. Этот метод позволяет показывать изменения затрат покупателя на единицу потребительной стоимости товара данного качества, исключать воздействие ассортиментных и структурных сдвигов. Сводный индекс цен товаров-представителей отображает влияние цен и объемов реализации продукции в государственной, кооперативной и колхозной торговле, а также кооператоров и индивидуальной трудовой деятельности. Именно эти достоинства обусловливают применение таких индексов в мировой практике для определения инфляции на потребительском рынке.
Рассмотренная методика определения общих индексов цен в агрегатной форме может быть применена и к другим индексам качественных показателей: себестоимости, производительности труда /у и др. Это можно видеть из схематического их представления в табл. 18.3.2.
Таблица 18.3.2
Индекс
Индексируемые величины
Индивидуальный индекс
Соизме-рители
Агрегатная форма общего индекса I
1
2
3
4
5
Цен
p1 и ро
I1= p1/ ро
q1


q0
 (18.3.3)
(18.3.5)

Себестоимости
z1 и zо
I1= z1/ zо
Q1


q0
(18.3.10)
(18.3.11)

Производительности труда
t1 и tо
I1= t0/ t1
Q1


q0
(18.3.13)
(18.3.14)

В табл. 18.3.2 в дополнение к уже рассмотренным выше категориям принята следующая символика: z1 и zо — себестоимость единицы продукции в текущем и базисном периодах;
z1q1 и
z0q0 —фактические затраты на производство продукции в текущем и базисном периодах.
Другим важным видом общих индексов, которые широко применяются в статистике торговли, являются агрегатные индексы физического объема товарной массы.
При определении агрегатного индекса физического объема товарной массы Iq в качестве соизмерителей индексируемых величин q1 и q0 y могут применяться неизменные цены базисного периода р0. При умножении рц на индексируемые величины в числителе индексного отношения образуется значение
q1p0, т.е. сумма стоимости товарной массы текущего периода в базисных ценах. В знаменателе —
 q0p0 т.e. сумма стоимости товарной массы базисного периода в ценах того же базисного периода. Агрегатная форма общего индекса имеет следующий вид:

Поскольку в числителе формулы (18.3.15) содержится сумма стоимости реализации товаров в текущем периоде по неизменным (базисным) ценам, а в знаменателе — сумма фактической стоимости товаров, реализованных в базисном периоде в тех же неизменных (базисных) ценах, то данный индекс является агрегатным индексом товарооборота в сопоставимых (базисных) ценах.
Используем формулу (18.3.15) для расчета агрегатного индекса физического объема реализации товаров по данным табл. 18.3.1:
числитель индексного отношения
q1p0=9500 -20 +2500 -30 +1500 -15= 287500^6.;
знаменатель индексного отношения
 q0p0 = 7500 • 20 + 2000 • 30 +1000 • 15 = 225QQOpy6.
Подставляя полученные суммы в формулу (18.3.15), получают:
287 500
Iq = 287500/225000= 1,278, или 127,8%,
т.е. по данному ассортименту товаров в целом прирост физического объема реализации в текущем периоде составил в среднем 27,8%.
При сравнении разности числителя и знаменателя индексного отношения (18.3.15) получаем показатель, характеризующий прирост суммы товарооборота в текущем периоде по сравнению с базисным периодом в сопоставимых базисных ценах:

Применяя    формулу (18.3.16) к данным табл. 18.3.1, вычислим сумму  прироста товарооборота:
qp(p) = 287500-225000= 62500 руб.,
т.е. в результате изменения физического объема реализации товаров в текущем периоде получен прирост объема товарооборота в сопоставимых ценах на 62,5 тыс. руб.
Агрегатный индекс физического объема товарооборота может определяться посредством использования в качестве соизмерителя индексируемых величин p1, и q0 цен текущего периода р1.
При умножении р1 на индексируемые величины в числителе индексного отношения образуется значение
q1p1, т.е. сумма фактического товарооборота текущего периода.
В знаменателе —
q0p1, т.е. расчетная сумма товарооборота базисного периода в ценах текущего периода.
Агрегатная формула общего индекса имеет следующий вид:

При сопоставлении числителя и знаменателя индекса (18.3.11) (в разности) определяется показатель, характеризующий прирост суммы фактического товарооборота в текущем периоде по сравнению с расчетной при продаже количества товаров базисного периода по ценам текущего периода:

Таким образом, при определении агрегатных индексов физического объема товарной массы по формулам (18.3.15) и (18.3.17) получены разновеликие их значения. Это обусловлено  различиями  используемых  при их расчетах  весов-соизмерителей индексируемых величин.
В индексе (18.3.15) в качестве веса-соизмерителя используются базисные цены или цены, которые приняты за неизменные (например, оптовые цены 1983 г. для оценки объема производства и поставки товаров в 1983—90 гг.). Этот способ расчета индексов физического объема использовался при разработках рядов динамики в сопоставимых ценах.
Но уже при оценке итогов социально-экономического развития за 1989 г. расчет обобщающих показателей был произведен в текущих ценах, т.е. на основе индекса (18.3.17). Это позволило исключить влияние фактического роста цен, так как цены всегда тесно связаны с натуральной формой товаров.
При индексном методе анализа коммерческой деятельности следует учитывать, что факторы, влияющие на объем товарооборота, — количество реализации товаров q и их цены р — действуют одновременно. При этом как направление, так и интенсивность проявления отдельных факторов могут быть различными. Поэтому в анализе важно определять общий результат их совокупного взаимодействия.1


Индексный метод в статистических исследованиях экономики


Индексный метод в статистических исследованиях экономики. Статистические индексы и их роль в изучении коммерческой деятельности Важное значение в статистических исследованиях коммерческой деятельности имеет индексный метод. Полученные на основе этого метода показатели используются для характеристики развития анализируемых показателей во времени, по территории, для изучения структуры и взаимосвязей, выявления роли факторов в изменении сложных явлений.
Индексы широко применяются в экономических разработках государственной и ведомственной статистики. Так, в кратком статистическом сборнике «Российская Федерация в цифрах. 1992» содержатся материалы, полученные на основе индексного метода.
Индексный метод имеет широкое применение в статистике торговли. В зависимости от характера изучаемого явления здесь вычисляются индексы объемных и качественных показателей. Посредством индексов объемных показателей характеризуются изменения объема поступления и реализации товаров, уровня товарных запасов и т.д. Индексами качественных показателей характеризуются изменения цен, производительности труда, издержек обращения, прибыли и других показателей.
Статистический индекс — это относительная величина сравнения сложных совокупностей и отдельных их единиц. При этом под сложной понимается такая статистическая совокупность, отдельные элементы которой непосредственно не подлежат суммированию.
Например, ассортимент продовольственных товаров состоит из товарных разновидностей, первичный учет которых на производстве и в оптовой торговле ведется в натуральных единицах измерения: молоко — в литрах, мясо — в центнерах, яйцо — в штуках, консервы — в условных банках и т.д. Для определения общего объема производства и реализации продовольственных товаров суммировать данные учета разнородных товарных масс в натуральных единицах измерения нельзя. Не подлежат непосредственному суммированию и данные о количестве произведенных и реализованных непродовольственных товаров различных видов. Было бы, например, бессмысленно для получения общего объема реализации суммировать данные о продаже тканей (в метрах), костюмов (в штуках), обуви (в парах) и т.д.
В этих сложных статистических совокупностях единицами наблюдения являются товары с различными потребительскими свойствами. Данные о натурально-вещественной форме реализации отдельных товарных разновидностей непосредственному суммированию не подлежат. Для получения в сложных статистических совокупностях обобщающих (суммарных) величин прибегают к индексному методу.
Основой индексного метода при определении изменений в производстве и обращении товаров является переход от натурально-вещественной формы выражения товарных масс к стоимостным (денежным) измерителям. Именно посредством денежного выражения стоимости отдельных товаров устраняется их несравнимость как потребительных стоимостей и достигается единство.1
Индивидуальные и общие индексы В зависимости от степени охвата подвергнутых обобщению единиц изучаемой совокупности индексы подразделяются на индивидуальные (элементарные) и общие.
Индивидуальные индексы характеризуют изменения отдельных единиц статистической совокупности. Например, если при изучении оптовой реализации продовольственных товаров определяются изменения в продаже отдельных товарных разновидностей, то получают индивидуальные (однотоварные) индексы.
Общие индексы выражают сводные (обобщающие) результаты совместного изменения всех единиц, образующих статистическую совокупность. Например, показатель изменения объема реализации товарной массы продуктов питания по отдельным периодам будет общим индексом физического объема товарооборота. Из общих индексов выделяют иногда групповые индексы (субиндексы), охватывающие только часть (группу) единиц в изучаемой статистической совокупности.
Важной особенностью общих индексов является то, что они обладают синтетическими и аналитическими свойствами.
Синтетические свойства индексов состоят в том, что посредством индексного метода производится соединение (агрегирование) в целое разнородных единиц статистической совокупности.
Аналитические свойства индексов состоят в том, что посредством индексного метода определяется влияние факторов на изменение изучаемого показателя. Использование индексов в аналитических целях — один из важных аспектов экономических разработок. На основе изучения состава и роли факторов, выявления силы их действия осуществляются возможности квалифицированного управления развитием экономических процессов не только в нужном направлении, но и с заранее заданными параметрами.
Дм определения индекса надо произвести сопоставление не менее двух величин. При изучении динамики социально-экономических явлений сравниваемая величина (числитель -индексного отношения) принимается за текущий (или отчетный) период, а величина, с которой производится сравнение, — за базисный период. Если в индексном отношении сравнивается величина фактического уровня развития явления с величиной планового задания, то основание сравнения называют плановым уровнем.
Основным элементом индексного отношения является индексируемая величина. Под индексируемой величиной понимается значение признака статистической совокупности, изменение которой является объектом изучения. Так, при изучении изменения цен индексируемой величиной является цена единицы товара р. При изучении изменения
физического объема товарной массы в качестве индексируемой величины выступают данные о количестве товаров в натуральных измерителях q.
Индивидуальные индексы принято обозначать i, а общие индексы — I. Индивидуальные индексы физического объема реализации товаров i определяются по формуле

при этом q1 и q0 — количество продаж отдельной товарной разновидности в текущем и базисном периодах в натуральных измерителях.
Для определения индивидуальных индексов цен i применяется формула

Для эффективной работы фирмы необходимо собирать, обрабатывать и изучать информацию о движении продукции, чтобы планировать систему транспортировки сырья, продвижения товара от начальной стадии до конечной. Та же задача стоит и перед органами государственной статистики, на информацию которых опирается правительство при принятии решений об экономической политике страны. Следовательно, для достижения положительных результатов на всех уровнях экономики важно применение и изучение статистики продукции.


Индексы с постоянными и переменными весами


Индексы с постоянными и переменными весами При изучении динамики коммерческой деятельности приходится производить индексные сопоставления более чем за два периода. Поэтому индексные величины могут определяться как на постоянной, так и на переменной базах сравнения. При этом, если задача анализа состоит в получении характеристик изменения изучаемого явления во всех последующих периодах по сравнению с начальным, то вычисляются базисные индексы. Например, сопоставление объема розничного товарооборота II, III и IV кварталов с I кварталом.
Но если требуется охарактеризовать последовательное изменение изучаемого явления из периода в период, то вычисляются цепные индексы. Например, при изучении объема розничного товарооборота по кварталам года сопоставляют товарооборот II квартала с I кварталом, III квартала — со II кварталом и IV квартала — с III кварталом.
В зависимости от задачи исследования и характера исходной информации базисные и цепные индексы исчисляются как индивидуальные (однотоварные), так и общие.
Способы расчета индивидуальных базисных и цепных индексов аналогичны расчету относительных величин динамики. Общие индексы в зависимости от их вида (по экономическому содержанию) вычисляются с переменными и постоянными весами — соизмерителями. Так, рассмотренная в предыдущих разделах агрегатная форма общего индекса физического объема вычисляется как индекс с постоянными весами-соизмерителями. Агрегатная форма общего индекса цен исчисляется как индекс с переменными весами-соизмерителями.
Пример. Рассмотрим способы вычисления базисных и цепных индексов цен и физического объема на данных табл. 18.3.3.
Для изучения изменения цен по месяцам IV квартала определяются цепные и базисные общие индексы цен.
Среднее изменение цен в ноябре по сравнению с октябрем:

В системе индексных сопоставлений индексы (18.3.26) и (18.3.27) образуют цепные индексы цен: ноября по отношению к октябрю (126%) и декабря по отношению к ноябрю (122,7%).
Среднее изменение цен в декабре по сравнению с октябрем:

В системе индексных сопоставлений индексы (18.3.26) и (18.3.28) образуют базисные индексы цен: ноября по отношению к октябрю (126%) и декабря по отношению к октябрю (156%).
В анализе статистических данных изменения индексируемой величины р1 часто фиксируются на уровне количества продажи товаров изучаемого периода q1. Это дает цепные и базисные индексы с переменными весами-соизмерителями. Они показывают, как изменились цены на товары, продаваемые в каждом изучаемом периоде: ноябрьский индекс исчисляется по ноябрьским количествам продажи товаров, декабрьский — по декабрьским количествам.
Цепные и базисные индексы с постоянными весами-соизмерителями находятся в следующей взаимосвязи:
1) произведение цепных индексов дает базисный индекс (последнего периода), т.е.

2) деление последующего базисного индекса на предыдущий базисный индекс дает цепной индекс (последующего периода), т.е.

В индексах с переменными весами-соизмерителями такой зависимости нет. Так, произведение цепных индексов (18.3.26) и (18.3.27) не дает базисного индекса:

Взаимосвязи индексов товарооборота. Выявление роли факторов динамики сложных явлений Изучаемые в статистике торговли показатели находятся между собой в определенной связи. Так, для каждого периода объем розничного товарооборота зависит от количества реализованных товаров и от уровня цен на эти товары. Ясно, чем больше продано товаров при данном уровне цен, тем больше объем товарооборота. Изменения цен также вызывают соответствующие изменения объема товарооборота. Связь между изменениями объема товарооборота, количеством продажи товаров и уровнем их цен выражается в системе взаимосвязанных индексов товарооборота.
Поскольку величина объема товарооборота равна произведению количества продажи товаров на цены, то индекс физического объема Iq , умноженный на индекс цен Ip, дает индекс товарооборота в фактических ценах Iqp :
Iq * Ip = Iqp.                                                         (18.3.31)
Значение формулы (18.3.31) состоит в том, что на ее основе выявляется влияние отдельных факторов на изменение товарооборота.
Так, если в отчетном периоде товарооборот в фактических ценах возрос по сравнению с базисным периодом на 12%, а цены на реализованные товары снижены в среднем на 3%, то на основе этой информации можно определить изменение товарооборота в неизменных ценах:

По исходной информации имеем: Iqp == 1,12; Iр = 0,97. Подставляя эти данные в формулу (18.3.32),  определим индекс физического объема продажи товаров:
Iq=1,12:0,97=1,154, или 115,4%, т.е. товарооборот в сопоставимых ценах увеличился в текущем периоде на 15,4%.
На основе формулы (18.3.33) можно по известным индексам товарооборота в фактических ценах Iqp и товарооборота в сопоставимых ценах Iq определить индекс цен Ip:

Так, если в отчетном периоде товарооборот в фактических ценах возрос на 7%, а физический объем реализованной товарной массы увеличен на 10%, то для определения по этим данным изменения цен используется формула (18.3.33): Ip = 1,07:1,1 == 0,97, т.е. цены в отчетном периоде снизились на 3%.
При использовании формул взаимосвязанных индексов (18.3.31)—(18.3.33) надо иметь в виду, что взаимосвязь образуется лишь при условии, когда веса-соизмерители в индексах физического объема и цен берутся на разных уровнях.
В предыдущих разделах показано, что при анализе отчетных данных изменение количества реализованной продукции (q0 и p0 — в индексе физического объема) часто фиксируется по ценам базисного периода p0 , а изменения цен р1 и р0 в индексе цен могут фиксироваться по количествам отчетного периода. Такая система фиксации изменений индексируемых величин позволяет их применять в анализе компонентной зависимости:

Взаимосвязанные индексы применяются для изучения влияния структурных сдвигов на изменение социально-экономических явлений. В таком анализе индексы находятся во взаимосвязи со средними величинами. Из формулы средней

следует, что на среднюю величину оказывает влияние как значение усредняемого признака Xi, так и численность отдельных вариантов изучаемой совокупности
i. Так, на среднюю цену овощей, продаваемых на рынках, влияют как различия индивидуальных цен, так и изменения объема реализации. Поэтому при анализе изменения цен важно определить, в какой мере это вызвано изменениями индексируемых величин и в какой — структурными сдвигами количества реализованной продукции.
Это выполняется с помощью системы взаимосвязанных индексов, в которой индекс изменения средней величины I
выступает как произведение индекса в неизменной структуре Ix на индекс, отображающий влияние изменения структуры явления на динамику средней величины Iстр.
В общем виде эта зависимость записывается так:

Индекс (18.3.37) называется индексом переменного состава, так как в качестве весов-соизмерителей в нем выступает состав продукции (товаров) текущего
1 и базисного
0 периодов;

Индекс (18.3.38) называется индексом постоянного (фиксированного) состава, так как в качестве весов-соизмерителей выступает состав продукции (товаров) текущего периода
1

В индексе (18.3.39) изменяются лишь веса-соизмерители
0. Поэтому данный индекс отображает влияние структурных сдвигов на изучаемый показатель.1
Статистика занимается сведением различных явлений в экономике в стройную систему показателей. Это позволяет находить интересующие взаимосвязи и отношения в рассматриваемом экономическом явлении. Необходимость сравнивать цифровые данные разных единиц измерения, особенно в отраслевой, государственной статистике, объясняет применение индексного метода. Статистика, таким образом, получает более широкие возможности для описания экономических процессов.


Интерактивное планирование


В планировании большую часть времени занимают сбор фактов и их первичная обработка. Аналитические отделы бывают чрезвычайно раздуты — нужно постоянно «держать руку на пульсе». Наиболее ценными работниками признаются не те, кто обладает наибольшим опытом, а те, кто умеет схватить суть происходящего, имеет многочисленные связи, то есть так называемые знающие люди.
Недостатками инактивного планирования являются следующие:
1. Неспособность приспосабливаться к изменениям. Хорошо идет работа только в стабильных, благоприятных условиях. При этом выживают только те из предприятий, чьи доходы не зависят от рынка, а формируются из бюджетных средств, но и бюджетные организации выживают только в том случае, если материальное состояние общества велико и оно может обеспечить бюджет необходимыми финансовыми ресурсами. В российской экономике бюджетные организации, применяющие инактивное планирование, обречены на вьмирание.
2. Слабое использование творческого потенциала сотрудников фирмы, ограничение их служебной самостоятельности.
Положительной стороной инактивного планирования является осторожность в планировании хозяйственной деятельности.
Постепенные и осмотрительные действия обычно не приводят к катастрофическим последствиям и, по крайней мере, «смерть» организации в данном случае никогда не бывает внезапной.
Современная российская действительность полна образцами предприятий, которые в той или иной мере сочетают в себе планирование с оглядкой на прошлое и планирование по принципу «минимум изменений». В большей степени это относится к государственным или приватизированным предприятиям, еще недавно бывшим государственными, — от гигантских заводов до небольших торговых предприятий, которые пока не готовы отказаться от прежних представлений в хозяйствовании и не умеют приспосабливаться к изменениям. Следовательно, в основе неудач многих предприятий переходного типа заложена неправильная идеология планирования. Вновь создаваемый в России частный бизнес обычно менее тяготеет к реактивизму и инактивизму и предпочитает другие типы планирования.
Преактивное планирование (упреждение) ориентировано в основном на будущие изменения.
В противовес инактивистам, преактивисты стремятся ускорить изменения, побыстрее приблизить будущее. Особенно важной у преактивистов считается возможность угадать вероятные направления изменений и оседлать их «первую волну» для того, чтобы достичь своих целей; причем эти цели обычно связывают не только и не столько с увеличением прибыльности, сколько с выживанием и ростом организации.
Преактивное планирование ориентируется не на минимизацию усилий, а на поиск оптимальных решений. Из нескольких вариантов развития преактивисты выбирают тот, который представляется оптимальным с экономической точки зрения.
Преактивисты положительно относятся к технике и к научным, в том числе экономико-математическим, методам планирования.
Планирование осуществляется сверху вниз: на высших уровнях прогнозируются внешние условия, формулируются цели и стратегии, затем определяются цели низших уровней и программы их действий.
Недостатки преактивного планирования:
- слабое использование накопленного опыта;
- недостаточное внимание к повседневным нуждам организации;
- чрезмерное увлечение футурологией и новыми методами исследований, когда к каждому методу относятся как к панацее.
Основным достоинством преактивного метода является адекватная оценка преактивистами внешней среды и стремление учесть факторы внешней среды в процессе планирования.
Интерактивное планирование обладает двумя основными чертами:
- основано на принципе участия и максимально мобилизует творческие способности участников организации;
- предполагает, что будущее подвластно контролю и в значительной мере является продуктом созидательных действий участников организации. Цель интерактивного планирования — проектирование будущего.
Р.Акофф, являясь сторонником интерактивного планирования, проводит следующую аналогию:
- инактивисты стремятся удержаться в бурном потоке;
- реактивисты пытаются плыть против него;
- преактивисты стараются оседлать его первую волну;
- интерактивисты намерены поменять течение реки.
С интерактивным планированием связаны две основные проблемы:
1. Интерактивное планирование — это, скорее, идеальное построение, чем практическая модель менеджмента. Даже в странах с длительным опытом рыночного хозяйствования, в соответствии с исследованиями известного английского специалиста по корпоративному планированию Дж.К. Хиггенса, большинство менеджеров, людей практических, до последних десятилетий придерживались философии удовлетворения: предпочитали формулировать цели не слишком преувеличенные, распределять ресурсы и осуществлять контроль способами, наиболее приемлемыми в сегодняшних условиях. То есть наиболее распространенной формой планирования вплоть до последних двух [ десятилетий был инактивизм, который в нынешних условиях медленно уступает место планированию, ориентированному на будущие изменения и их учет.
2. Даже с теоретической точки зрения экономическая организация, взятая отдельно, не может полностью контролировать свое будущее. Самое большое, на что она способна, — эффективно приспособиться к нему. Следовательно, способом отношения фирмы к своему будущему является не проектирование его, а адаптация, приспособление. Но даже этот тип медленно находит свое признание в среде бизнеса, хотя применение этого способа подстегивается многочисленными внешними факторами.
В зависимости от того, какой горизонт (период) времени охватывают планы, составленные организацией, планирование разделяют на 3 типа:
- долгосрочное планирование;
- среднесрочное планирование;
- краткосрочное планирование.
Классификацию по длительности горизонта планирования нельзя путать с предыдущей классификацией — по временной ориентации идей. Последняя предполагает существование принципиально различных философий планирования в зависимости от отношения к прошлому, настоящему и будущему. Разделение планирования на долго-, средне- и краткосрочное означает различие отрезков времени, необходимых для выполнения плановых показателей, и имеет технический характер.
Долгосрочное планирование обычно охватывает длительные периоды времени — от 10 до 25 лет. Одно время долгосрочное планирование отождествлялось со стратегическим, но теперь эти два понятия существуют отдельно. Стратегическое планирование по своему содержанию гораздо сложнее долгосрочного, которое осуществляется за счет простого удлинения периода планирования. Стратегическое планирование — это не просто функция времени.
Среднесрочное планирование конкретизирует ориентиры, определенные долгосрочным планом, бывает рассчитано на более короткий период. До недавнего времени горизонт среднесрочного планирования равнялся 5 годам. Однако непредвиденный характер и скорость изменения внешней среды вынудили многие фирмы сократить промежуток планирования с 5 до 3 лет, соответственно 5-летние планы перешли в разряд долгосрочных.
Краткосрочное планирование — это разработка планов на 1-2 года (обычно краткосрочные планы — это годичные планы). Краткосрочные планы включают в себя конкретные способы использования необходимых для достижения целей ресурсов организации, определенных в более длительных планах. Содержание краткосрочных планов детализируется по кварталам и месяцам.
Все три типа планирования должны увязываться между собой и не противоречить друг Другу.1
Устойчивое функционирование, однако, должно включать в себя установление связей с источником внешней среды, который влияет на оптимальное поддержание требуемых параметров. К этому процессу относятся: структурирование производственных подразделений, координация функциональных элементов; оценка конкурентоспособности; рациональное распределение денежных ресурсов; выбор альтернативных действий и критериев оценки результатов деятельности. Все эти элементы изучаются в рамках стратегического планирования.
Планы действий любой организации можно охарактеризовать либо как наступательные, либо как оборонительные. Наступательные планы предполагают развитие организации: производство новых товаров и услуг, выход на новые рынки сбыта, завоевание конкурентного превосходства. Наступательные планы обычно создают крупные, обладающие высоким экономическим потенциалом фирмы.
Средние и мелкие фирмы во многих случаях довольствуются оборонительными планами, нацеленными на удержание своих позиций на рынке и предупреждение банкротства фирмы.
План развития организации, являясь выражением наступательных планов, включает в себя комплекс мероприятий, необходимых для создания новых сфер деятельности фирмы. План развития должен определять пути выхода на новые позиции и уметь давать ответы на следующие вопросы:
- Каковы будут условия спроса в будущем, каких товаров и услуг будут ждать потребители от данной экономической организации?
- Каков должен быть характер внутренних элементов организации, необходимый для ее развития?
- Какими новыми видами продукции должна быть дополнена номенклатура предприятия или же какая часть основной продукции должна быть заменена новыми товарами и услугами?
- Каковы должны быть методы предупреждения ошибок при вложениях капитала и разработке новой продукции?
- Каков должен быть диапазон экономических ресурсов, нужный для производства новых товаров и услуг?
- Каковы должны быть организационные способы создания новых производств, будет ли это поглощение в форме скупки (аквизиций) других предприятий, слияние с организациями, производящими нужные продукты, или создание новых производств собственными силами, путем проведения научных исследований и разработок и осуществления предпринимательских проектов.
План развития для отдельной деловой единицы оформляется в виде бизнес-плана.
Вариантом оборонительных планов является ликвидационный план. Ликвидационный план включает в себя рекомендации по избавлению от ненужных организации элементов, т.е. от таких элементов, которые создают препятствия на пути ее развития. Это могут быть конкретные виды убыточных или низкорентабельных товаров и услуг, неэффективно работающая собственность, отдельные организационные единицы.
Характерной для экономической организации является разработка программ и проектов.
Программы обычно определяют развитие одного из важных аспектов жизни экономической организации. Это могут программы по совершенствованию технологии, программы организации контроля качества, программы учета движения запасов и другие.
Проекты отличаются от программ тем, что, ориентируясь на определенный аспект жизнедеятельности и развития организации, они имеют установленную стоимость, график выполнения, включают технические и финансовые параметры, т.е. отличаются высоким уровнем конкретной проработки. Обычно проекты бывают связаны с созданием и продвижением на рынок новых продуктов и услуг фирмы.
Нельзя преувеличивать возможности проектов при определении точных сроков выполнения или получения конкретных характеристик нового товара. В форме проекта обычно составляется бизнес-план.
Кроме указанных видов плановых документов организация должна составлять вспомогательные планы, которые нужны для лучшей организации планирования на предприятиях: план организации планирования, планы действий при непредвиденных обстоятельствах, программы обратной связи, программы оценки планов.1
Также нужно помнить, что одновременное присутствие в экономической среде государственных экономических элементов определяет необходимость последовательного раскрытия поведения государства в отношении экономики страны. Иными словами, государственное регулирование экономики выступает условием соблюдения целостности рассматриваемого явления.


Источники инфляции


Источники инфляции Рассмотрев типы и виды инфляции, мы могли убедиться, что инфляция, в какой бы форме она не протекала, есть результат неравновесия на различных рынках и связана с факторами, дезорганизующими денежное обращение. Теперь мы должны ответить на вопрос, кто конкретно запускает инфляционную волну и наполняет денежный рынок новыми обесценивающимися деньгами.
Прежде всего следует назвать Центральный банк. Он проводит в рыночной экономике эмиссию денег. Его задача выпустить их ровно столько, чтобы обеспечить нормальное товарное обращение. Если денег выпустить больше этой величины, они начнут обесцениваться. Такая ситуация обычно возникает в условиях бюджетного дефицита, когда у государства расходы превышают доходы. При милитаризации экономики такая ситуация становится характерной. В наших условиях, когда долгие годы Центральный банк подчинялся правительству, он финансировал все государственные расходы, выдавал субсидии, а также кредиты под производство, эффективность которых зачастую была сомнительной, списывал долги по кредитам. Это означало безудержную денежную эмиссию. В таких условиях инфляция, приняв открытую форму, быстро раскрутилась и набрала высоту.
Милитаризация экономики вызывает инфляцию и по другой причине, не связанной с дефицитом государственного бюджета. Она истощает ресурсы общества, гражданские отрасли начинают отставать. Рост потребительского комплекса замедляется. А ведь именно он материализует денежные доходы работников. Поэтому на какой-то момент времени рост суммы заработных плат в обществе не находит адекватного товарного покрытия. Налицо деформация отраслевой структуры — источник развития структурной инфляции. Обычно все страны, заканчивающие войну, вынуждены принимать срочные антиинфляционные меры.
Одним из главных субъектов, виновных в раскручивании инфляционного процесса, является монополия. Сокращая конкуренцию, она ведет к уменьшению предложения, за счет чего устанавливаются и удерживаются монопольно высокие цены. В нашей стране, где действует дефицитный рынок с очень высокой долей уникальных предприятий, давление монополий на цены весьма остро ощутимо.
Толчком для роста инфляции могут стать непомерно высокие налоги или процентные ставки за кредит. Здесь возможны две реакции предприятия: 1) сокращение предложения из-за невыгодности производства, что усиливает давление на рынок спроса; 2) переложение их на цены выпускаемого товара. В этом случае цены тоже растут. Такая же картина возникает и при успешных действиях профсоюзов в отношении роста заработной платы.
Внешним толчком инфляции становится рост цен на мировых рынках. В этом случае инфляция импортируется в страну, так как определенная часть сырья закупается за пределами национальной экономики. В результате развертывается инфляция издержек.
Применительно к российской ситуации можно отметить и дополнительные инфляционные факторы. Развал Советского Союза, СЭВ а привел к разрыву кооперационных связей, что резко уменьшило предложение товаров. Из-за разрыва хозяйственных связей деньги перестали быть всеобщим покупательным средством, что породило переход к бартерному обмену, в свою очередь бартер умножает инфляцию, так как сокращает возможности торговли за деньги, предложение товаров на нормальном товарно-денежном рынке сокращается еще больше.
Но все же главными причинами инфляционного взрыва в России и странах Восточной Европы были и остаются бюджетный дефицит, утяжеленная структура экономики, сохранение неэффективного производства. Эксперты отмечают, что инфляционные трудности нашей экономики в значительной степени вызваны разделением денег на неликвидные безналичные и наличные. Невозможность автоматического перевода безналичных счетов в реальные наличные деньги привело при либерализации цен к недопоставкам продукции. Это резко снизило общий уровень производства, и в результате сильно подскочили цены.
Варианты антиинфляционной политики Реакция государства на разрастающуюся инфляцию может быть двоякой:
1) формирование условий наименее болезненной адаптации к ней населения;
2) выработка системы мер, способных ей противоборствовать. В этом случае государство пытается погасить негативные экономические эффекты, связанные с инфляцией. Например, затормозить вызванное инфляцией падение курса национальной валюты или усилить заинтересованность бизнеса в инвестировании, которая подавлялась ранее нарастанием цен. Одновременно со смягчением последней от инфляции должна быть продумана система мер, гасящих источники инфляции.
Умеренная инфляция (до 10% в год) не считается опасной, поэтому современные правительства в этом случае выбирают тактику непротивоборства с ней, пытаясь заглушить ее негативные последствия для населения.
При сильной инфляции, погасить которую за короткий срок невозможно, государство вынуждено оценивать величины ожидаемых потерь из-за ухудшения рыночной конъюнктуры. Эти потери в значительной степени несут потребители, у которых снижается жизненный уровень. Поэтому правительство обычно проводит политику амортизации ударов инфляции. Она включает два направления:
- индексация потерь доходов;
- компенсация потерь от инфляции.
Коэффициент индексации должен строиться с учетом темпов инфляции. Поскольку инфляция не прекращается, время от времени приходится проводить индексацию. Достоинством адаптивной антиинфляционной политики является смягчение социальной напряженности, установление предела падения жизненного уровня. Но достигаются эти результаты тяжелой ценой. Затягивается период выхода из инфляционной волны. Компенсации проводятся в государственном секторе за счет бюджета, который уже находится в состоянии дефицита. Дефицит бюджета углубляется. Причины инфляции не устраняются, временно сглаживаются лишь ее последствия.
Борьба с инфляцией имеет место лишь тогда, когда снимаются вызвавшие ее причины. Как мы уже знаем, инфляция связана с деформациями на товарных и денежных рынках, которые приводят к устойчивому превышению совокупного спроса над совокупным предложением. Поэтому антиинфляционная политика государства должна обязательно включать два блока:
1) регулирование совокупного спроса;
2) регулирование совокупного предложения.
Эволюция рыночного мировоззрения сформировала два направления антиинфляционной политики: кейнсианское и монетаристское.
Кейнс считал, что поднять уровень предложения можно, создав эффективный спрос, который для предпринимателей должен стать внешней активизирующей силой. Другим рычагом роста предложения должны стать дополнительные инвестиции, подстегнутые дешевым кредитом. Эффективный спрос правительство создает тем, что оно предоставляет крупным частным фирмам весомый государственный заказ. Фирмы, связанные со смежниками, дают им тоже соответствующие заказы. В результате создается мультипликационный эффект, приводится в движение большой комплекс предприятий. Спад сокращается, безработица снижается. Предложение, подстегнутое заказами и дешевым кредитом, растет, что приводит в конечном счете к падению цен, к сокращению инфляции.
Особенностью кейнсианских рецептов является углубление бюджетного дефицита. Государственный заказ частному бизнесу представляет собой дополнительный государственный расход. Общественные работы, которые Кейнс рекомендовал в качестве условия выживаемости для безработных, также становились дополнительным расходом.
Дефицит государственного бюджета как неизбежное следствие кейнсианских программ ни в коем случае не должен покрываться дополнительной эмиссией денег. Последняя — самая разрушительная форма инфляции, ибо мгновенно распространяется и имеет самый большой спектр действия. Кейнс считал целесообразным другой путь — прибегнуть к государственным займам, которые можно будет погасить в дальнейшем, когда страна переборет экономические болезни.
Монетаристские антиинфляционные концепции появились несколько позже, когда кейнсианское регулирование экономики было достаточно апробировано.
Монетаристы во главе с М.Фридменом (Чикаго) обратили внимание на то, что кейнсианские рецепты не дают кризису до конца выполнить свою очищающую функцию — освободить на какой-то срок экономику от хозяйственных диспропорций и восстановить в стране экономическое равновесие. Поэтому страна, следуя за кейнсианской политикой, досрочно выходит из кризиса, но при этом старые диспропорции в значительной мере сохраняются. В дальнейшем на них накладываются новые, и за сравнительно короткий срок экономика вновь вползает в кризис и инфляцию. Поэтому кейнсианцы причины инфляции окончательно устранить не могут.
Недостаточность кейнсианских программ с годами делалась более очевидной в связи с тем, что во многих странах стал значительно расти государственный долг, и увеличивать его не представлялось возможным.
Кроме того, преждевременный выход страны из кризиса по кейнсианским рецептам оборачивается сокращением периода устойчивого сбалансированного роста. В США в послевоенное время вплоть до 70-х годов кризисы повторялись через каждые 4 года, в то время как раньше их периодичность измерялась более длительным сроком.
В странах с неразвитой инфраструктурой экономика не может задействовать мультипликационный эффект любого регулятора, используемого банком или государством,
так как нет возможности использовать оздоравливающий передаточный механизм взаимодействия предприятий.
В начале 70-х годов инфляция приняла острые формы, в отдельных странах она стала перерастать в гиперинфляцию. В этих условиях ждать, когда задействуют стимулы предложения, невозможно. Необходимы срочные, «пожарные» меры, гасящие ее источники. Такая политика опирается на сокращение совокупного спроса.
Новое течение, предлагающее радикальный способ борьбы с инфляцией, получило название «монетаризм». Его родоначальник — М.Фридмен, представитель чикагской школы, он был советником Рейгана при проведении им стабилизационной программы. Ее реализация позволила всего за 6 месяцев не только выйти из кризиса, но и войти в фазу подъема, который продолжался как никогда долго, 11 лет. Заслуги М.Фридмена отмечены Нобелевской премией.
М.Фридмен считает, что инфляция есть чисто денежный феномен, вызванный необоснованным вмешательством государства в ход экономических процессов. В условиях дефицита государственного бюджета последний нельзя перегружать. Следует искать рецепты, которые не требовали бы от государства дополнительных расходов. Монетаристы акцентировали внимание на антиинфляционном блоке, связанном с ростом предложения, который не требовал дополнительных инвестиций.
Для этой цели они рекомендуют продавать все, что можно — ресурсы, информацию и т.д., вести решительное наступление на монополизм в экономике, поощрять мелкий и средний бизнес. Если в стране большой государственный сектор, возможна разумная приватизация. Рынки следует либерализовать, убрать всяческие барьеры притоку капиталов.
Безусловно, факторы, воздействующие на рост предложения, должны дать эффект не сразу, а по истечению довольно значительного срока. Поэтому процесс подтягивания предложения относится к долгосрочной антиинфляционной стратегии. Самое мощное наступление на инфляцию связано с ограничением спроса. Эти меры быстро ударят по инфляционной волне, поэтому использование этого блока относится к мерам тактического свойства.
Сократить совокупный спрос можно и денежной реформой конфискационного плана. Ее цель — уменьшить количество денег у населения. Это сразу значительно сократит спрос. Такое действие относится к самым сильным средствам. Но возможны и не столь радикальные меры, уменьшающие возможность населения предъявлять спрос. Это замораживание сбережений, которое снижает уровень их ликвидности, поощрение покупок недвижимости и драгоценностей. В этом случае сбережения не должны усиливать давление спроса на потребительском рынке.
Сокращение совокупного потребительского спроса связывается с уменьшением бюджетного дефицита, прежде всего за счет освобождения от чрезмерных социальных программ и поддержания дотациями и субсидиями неэффективного производства.
Задействовано два антиинфляционных блока: стимулирование совокупного предложения и сокращение совокупного спроса.
Монетаристы считают, что меры, сдерживающие спрос, тяжело переносятся населением. Поэтому антиинфляционная программа должна дать эффект за относительно небольшой срок, иначе она станет слишком изнурительной.
Монетаристы применяют рецепты, противоречащие теории Кейнса. Они предлагают ввести дорогой кредит. В этом случае для малоэффективного производства он становится недоступным и такое производство разоряется. На рынок выходят самые сильные производители, которых правительство поощряет более низкой ставкой налогов. Они быстро наполняют рынок, цены начинают падать. Монетаристские рецепты были широко использованы в США (рейганомика), Великобритании (тэтчеризм) и в других странах. . В развитых странах борьба с инфляцией таким методом привела к последующему сравнительно длительному и эффективному подъему.
Современные правительства в борьбе с инфляцией ориентируются больше на другое направление, уменьшающее бюджетный дефицит, — сокращение государственных расходов. Для нашей страны это прежде всего сокращение военных расходов, дотаций для неэффективного производства и, к сожалению, социальных программ.


Источники права


Источники права Обратим теперь внимание на формальные источники права. В различных системах права разное значение придается закону, обычаю, судебной практике, доктрине, справедливости. При изучении иностранного права надо знать, что наши представления об иерархии различных источников права не применимы к другим странам; что методы и рассуждения, используемые юристами для установления норм права и развития права в целом, весьма разнообразны. Одна система может носить религиозный характер, и никакой законодатель не может изменять нормы такого права. В других странах законы — лишь модель, которую считают естественным нарушать, если того требует обычай. Где-либо еще судебному решению придается значение, выходящее за рамки данного процесса. Использование общих принципов и формул также может в некоторых правовых системах служить для того, чтобы подправить в ту или иную сторону формальную норму действующего права. Все это надо знать в отношении правовых систем, которые предполагается изучать на сравнительной основе. Дело усложняется тем, что вывода теоретиков об источниках права или способах толкования закона не всегда дают точное представление о реальном положении. Так, доктрина во Франции утверждает, что судебная практика не является источником права; тем не менее в действительности при определенных обстоятельствах решения Кассационного суда или Государственного совета часто играют роль не меньшую, чем закон. Еще и сегодня в Англии закон охотно изображают как исключительный феномен в системе, которая является классической системой судейского права. Однако законы в Англии столь же многочисленны, и они играют там роль ничуть не меньшую, чем во Франции. Их перестали толковать буквально и ограничительно, как это предписывалось старинными канонами. Остается верным лишь то, что английские юристы по-прежнему плохо чувствуют себя в присутствии норм, сформулированных законодателем, и стремятся как можно скорее растворить их в судебных решениях, вынесенных в ходе применения этих норм. Доктрина ислама не допускает, чтобы законодатель мог изменять нормы права, составляющие священное мусульманское право; это запрещение не препятствует тому, чтобы различными путями - полицейскими или процессуальными — властитель в мусульманских странах фактически парализовал действие той или иной нормы или подчинил ее применение различным условиям, не затронув ортодоксальных принципов.1
Выявление элементов сходства и различия в процедурах правовых взаимоотношений одного порядка позволяет разработать условия предварительной формализации алгоритма действия с последующим внесением специфического в конкретной ситуации.
Международное взаимопонимание: международное публичное право. Сравнительное право полезно для взаимопонимания между народами и создания наилучшего режима отношений в международной жизни.
Этот — третий — аспект сравнительного права стал, может быть, главным в нашу эпоху. Он затрагивает прежде всего международное публичное право. Условия современного мира требуют полного обновления международного права: надо, чтобы между государствами установились, помимо просто мирного сосуществования, новые отношения сотрудничества, как региональные, так даже и всемирные. Ясно, что эти отношения не могут установиться или развиваться должным образом при незнании правовых систем, которые отражают понимание справедливости и регулируют, с учетом политических взглядов, структуры различных государств. Устав ЮНЕСКО (ст. 3) предусматривает укрепление взаимопонимания между народами путем развития во всемирном масштабе изучения иностранного права и использования сравнительного метода.
Кафедры римского права были созданы в Англии королем Генрихом VIII в XVI веке, чтобы способствовать образованию дипломатов, которым предстояло представлять Англию в странах континентальной Европы, где право основывалось на римских традициях. Наши дипломаты — составители завтрашних торговых договоров или международных конвенций — также должны быть готовы понимать точки зрения других, знать, как и какими аргументами они смогут убедить своих контрагентов. В переговорах с США надо знать о конституционном праве этой страны. Надо, в частности, отдавать себе отчет в наличии законодательных ограничений полномочий федеральных властей.
Одним из источников международного публичного права, предусмотренных статусом Международного суда, являются «общие принципы права, признанные цивилизованными нациями»; толкование этой формулы может осуществляться только на основе сравнительного права.
Международное частное право. Сравнительное право, необходимое для развития и применения международного публичного права, призвано сыграть не меньшую роль в сфере международного частного права. В настоящее время международное частное право находится в сложном положении. Оно состоит в основном из коллизионных норм, призванных определять, компетентно ли данное национальное право рассматривать то или иное правоотношение с иностранным элементом и какое именно национальное право следует к нему применять. Такой метод мог бы быть приемлемым, если бы в различных странах пришли к единообразным решениям. Но на деле коллизии законов и юрисдикции в каждой стране решаются без учета того, что в этом плане делается в другой стране, в результате чего для отношений с иностранным элементом в разных странах установлены различные режимы.
Одна из главных задач юристов нашей эпохи — положить конец этой анархии. В мире, где международные связи расширяются из года в год, важно создать для них прочную правовую основу. Разным странам следует достичь согласия и установить, что повсюду к тому или иному виду отношений будут применяться одинаковые нормы. Государства должны выработать и принять в каждой области единообразные нормы. Для этой цели могут быть заключены международные конвенции, а, кроме того, судебная практика каждой страны должна принимать во внимание, создавая коллизионную норму, как данная проблема решена законом или судебной практикой в других странах.
Международная унификация права. Вместо попытки унифицировать коллизионные нормы с практической точки зрения более предпочтительно выработать единые материальные нормы, регулирующие те или иные категории правоотношений.
Международная унификация права, регулирующего отношения международного права, — без сомнения, одна из важнейших задач нашего времени. Некоторые люди — приверженцы партикуляристских взглядов прошлого века — называют такую задачу химерой. Однако химерой скорее можно назвать взгляды тех, кто считает возможным увековечить в современном мире нормы, утверждающие анархию в международно-правовых отношениях. При осуществлении международной унификации права речь не идет о замене различных национальных правовых систем единообразным наднациональным правом, принятым законодателем в мировом масштабе. Нет необходимости заходить столь далеко. Другими путями с большой гибкостью достигается определенный прогресс с точки зрения улучшения режима отношений в области международного права. Некоторая унификация и гармонизация международного права достигнуты уже сегодня, и еще более они нужны для завтрашнего мира. Для достижения этой цели в свою очередь необходимо сравнительное право. Без него нельзя установить моменты совпадения или расхождений, существующие между правом различных стран и существенные в плане кодификации. Оно также необходимо, чтобы примирить различную технику, применяемую в разных странах, и сделать так, чтобы усилия, направленные на унификацию, увенчались максимальным успехом, какого можно ожидать в настоящих условиях.
Роль компаративистов. Сравнительное право призвано сыграть огромную роль в обновлении правовой науки и в выработке нового международного права, отвечающего условиям современного мира. Однако для компаративистов недостаточно выявить ту роль, которая принадлежит сравнительному праву. Вторая их цель — сделать юристов способными выполнить, каждому в своей отрасли, возложенные на них задачи. Сравнительное право — это не область деятельности отдельных юристов, интересующихся данной областью права. Все юристы должны заинтересоваться сравнительным правом для того, чтобы лучше выполнить стоящие перед ними задачи. Для одних сравнительное право — это только метод, точнее, сравнительный метод; для других, напротив, сравнительное право — это автономная отрасль науки познания права. Рядом с юристами, которые просто используют сравнительное право, есть место и для компаративистов, задача которых ограничивается подготовкой почвы с тем, чтобы другие смогли успешно использовать в своей работе сравнение.
Сравнение различных правовых систем действительно иногда очень сложно: надо знать, прежде чем этим заняться, об опасностях, которые подстерегают, и о необходимых мерах предосторожности.
Это все долго ускользало от юристов, так как круг правовых систем, которыми они интересовались, оставался ограниченным. Потребности в особой компаративистской подготовке не было до тех пор, пока во Франции интересовались только европейскими правовыми системами, более или менее близкими праву французскому по их традициям, структуре, методам, сфере действия. И сегодня можно оставаться на тех же позициях, если интересоваться только правовыми системами, принадлежащими к той же «семье», что и наше право. В этом случае не надо быть компаративистом.
Однако сегодняшний мир уже не тот, что был раньше. Все чаще и чаще мы связаны с людьми, с юристами, получившими иное образование, нежели мы; они рассуждают иначе, используют другие понятия, их мировоззрение и понимание права отличны от наших. Тут нужны компаративисты, чтобы обучить юристов понимать своих собеседников и быть понятыми ими, предупредить юристов о тех трудностях, с которыми они при этом встретятся. Именно этим объясняется прежде всего современное развитие курсов и институтов, где преподается сравнительное право.
Сравнительное право и социология права. Сравнительное право многими рассматривалось как один из аспектов социологии права. Относясь сдержанно к такой позиции, все же надо признать, что между сравнительным правом и социологией права существует много точек соприкосновения, у них есть ряд общих областей. Сравнительное право должно прежде всего, как и социология, искать ту степень, в какой право определяет поведение людей, и то место, которое они отводят ему как социальному фактору.
Живя в обществе, где право ценится очень высоко и считается способным регулировать самые разные аспекты общественных отношений, мы склонны думать, что так обстоит дело во всех странах или по меньшей мере во всех обществах, достигших такого же уровня развития, что и мы. Мы склонны также думать, что действующее право — это единственная реальность, забывая прежний дуализм, который существовал веками в самих наших странах между правом, преподававшимся в университетах, и нормами, на основании которых действовали суды.
Тому, кто обращается к иностранному праву, следует помнить, что право, каким оно предстает в официальных источниках, не единственный фактор, формирующий общественные отношения.
Правовые нормы и процедуры, которые мы считаем существенными, могут в иной среде иметь лишь вспомогательное, почти ничтожное значение, так как общественные отношения основаны на иных принципах. Так, в японском праве нормы гири, на Мадагаскаре — законы фомба, в некоторых других странах предписания религиозных властей и тому подобные факторы могут превратить право просто в ширму, фасад, от которого реальная общественная жизнь достаточно отлична. Опасность такого несовпадения имеется во многих странах, где право высоко чтится, но имеется тенденция рассматривать его как практически недосягаемый идеал: так обстоит дело во многих странах, где господствует ислам. Такое же несовпадение может иметь место и там, где, напротив, право презирается, например в странах Дальнего Востока, где граждане улаживают свои споры в порядке примирительной процедуры и где обращение в суд и ссылки на право считаются постыдными. Даже в западных странах очевидно, что право опосредствует далеко не всю реальную общественную жизнь: не все уголовные правонарушения становятся объектом расследования, не все штрафы взыскиваются, не все судебные решения исполняются. Существует практика административная, торговая, профессиональная; факторы коммерческого, религиозного и социального плана оказывают влияние на действия индивидов. Тот, кто опирается только на теорию права, получит ложное представление о методе регулирования общественных отношений и о том, что же представляет собой право в действительности.'
Иными словами, правоведение охватывает все пространство взаимоотношений любого характера в силу природы своей сущности. Оно направлено на соблюдение равенства сторон взаимодействия и является основой построения любого развивающегося процесса.











Итак, суть эффекта мультипликатора действительно проста.


Далее он приходит к выводу о том, что «принцип мультипликатора позволяет дать общий ответ на вопрос о том, каким образом колебания инвестиций, составляющих относительно небольшую долю национального дохода, способны вызывать такие колебания совокупной занятости и дохода, которые характеризуются гораздо большей амплитудой».
Но, по его убеждению, «хотя в бедном обществе размеры мультипликатора сравнительно велики, влияние колебаний в размерах инвестиций на занятости окажется много сильней в богатом обществе, так как можно предположить, что именно в последнем текущие инвестиции составляют гораздо большую долю текущей продукции».
Итак, суть эффекта мультипликатора действительно проста. Тем не менее здесь нелишне привести красноречивое высказывание М.Блауга о значении эффекта мультипликатора. Он, в частности, пишет: «Капиталисты, учил нас Кейнс, могут вытащить себя из затруднительного положения с помощью шнурков от собственных ботинок, а именно через мультипликатор. Решающим моментом при этом является побуждение инвестировать».
Спустя несколько десятилетий, разделяя идеи Дж.М. Кейнса о «склонности людей к сбережению», Дж.К. Гэлбрейт писал, что «эти доходы должны быть инвестированы и, таким образом, истрачены (или компенсированы затратами кого-либо еще). В противном случае покупательная способность будет снижаться. Товары будут оставаться на полках, объем заказов уменьшится, объем производств упадет, безработица увеличится. В результате произойдет спад».
Итогом своего исследования Дж.М. Кейнс считал создание теории, которая «указывает на жизненную необходимость создания централизованного контроля в вопросах, которые ныне в основном предоставлены частной инициативе... Государство должно будет оказывать свое руководящее влияние на склонность к потреблению частично путем соответствующей системы налогов, частично фиксированием нормы процента и, возможно, другими способами», ибо «именно в определении объема занятости, а не в распределении» труда тех, кто уже работает, существующая система оказалась непригодной». Вот почему, по убеждению Дж.М.Кейнса, «учреждение централизованного контроля, необходимого для обеспечения полной занятости, потребует, конечно, значительного расширения традиционных функций правительства... Но все же остаются широкие возможности для проявления частной инициативы и ответственности».
Эффективность регулирования государством экономических процессов, согласно Дж.М. Кейнсу, зависит от изыскания средств (государственные инвестиции, достижения) по полной занятости населения, снижения и фиксирования нормы процента. Он при этом полагал, что государственные инвестиции в случае их нехватки должны гарантироваться выпуском дополнительных денег, а возможный дефицит бюджета будет предотвращаться возрастанием занятости и падением нормы процента. Иначе говоря, по концепции Дж.М. Кейнса, чем ниже норма ссудного процента, тем выше стимулы к инвестициям, к росту уровня инвестиционного спроса, что в свою очередь расширяет границы занятости, ведет к преодолению безработицы. При этом исходным для себя он считал такое положение о количественной теории денег, в соответствии с которым в реальной действительности «вместо постоянных цен при наличии неиспользованных ресурсов и цен, растущих пропорционально количеству денег в условиях полного использования ресурсов, мы практически имеем цены, постепенно растущие по мере увеличения занятости факторов».
В этой связи М.Блауг пишет: «Для Кейнса полная занятость зависит от правильного соотношения процентной ставки и заработной платы и может быть достигнута скорее путем понижения первой, чем сокращения второй. Фундаментальная причина безработицы у Кейнса состоит в том, что ставка процента в долгосрочной перспективе остается слишком высокой...». Вместе с тем, по Блаугу «согласно кейнсианской теории удвоение денежной массы не приводит к удвоению уровня цен, но при этом воздействует на процентную ставку потому, что кейнсианская функция спроса на деньги, в частности спекулятивного, учитывает «денежную иллюзию» или реакцию индивидов на любое, даже номинальное, изменение запасов наличности».1
Анализ развития различных экономических явлений в исторической перспективе предполагает выявление зависимости данного явления от воздействия условий, в которых оно функционирует. Иными словами, такой анализ выделяет принципы, лежащие в основании данного экономического явления. В процессе преобразования факторов производства в товары и услуги современные субъекты рынка используют различные, но связанные с первоначальными, принципы производства. При этом уровень и характер развития явления играет весьма существенную роль. Так, вопросы об азиатском способе производства и об античном рабстве выступают основой более позднего экономического развития.
Техническая вооруженность первобытного общества была настолько низкой, что человек своим трудом мог прокормить только себя и свою семью. Потом произошла «железная революция»: появились железные орудия труда. Производительность труда увеличилась, теперь человек мог производить больше пищи, чем потреблял, т.е. появился прибавочный продукт. Например, когда каменную мотыгу сменил железный плуг, земледелец мог обработать и засеять больше земли и получить больше зерна.
За счет этого прибавочного продукта теперь могли существовать люди, которые сами пищи не добывали. Их руки и головы были освобождены для других занятий: они могли изготавливать ремесленные изделия, заниматься наукой, искусством. С появлением этого нового слоя людей прогресс человечества резко ускорился. Однако необходимо было отобрать прибавочный продукт у тех, кто его производил. А это было возможно лишь при разделении общества на классы и рождении государства.


Издержки производства и экономическое равновесие фирмы


Издержки производства и экономическое равновесие фирмы Издержки производства — важнейшая категория исследования современной политической экономии. Ее задача определить величину и структуру затрат фирмы на производство продукции, которая бы обеспечила предприятию устойчивое процветание. Как мы видим, подход к проблеме чисто практический.
Следует обратить внимание на экономическую среду, которая избрана для исследования издержек производства. В современной литературе ее часто называют рынком потребителей или насыщенным рынком. Имеется в виду рыночная ситуация, где производителей данного продукта достаточно много. И сложность проблемы заключается не в том, чтобы купить продукт, как это бывает на дефицитном рынке, а чтобы его продать. Когда у производителя нет недостатка в конкурентах, он постоянно находится в состоянии поиска улучшения структуры производства. Он ищет самый рациональный вариант.
Попробуем и мы это сделать, изучая издержки производства применительно к определению оптимальных объемов производства фирмы. Но предварительно остановимся на вопросе, что считать издержками производства, на характеристике их видов (типов).
Издержки производства и их виды. Издержки производства представляют собой оплату приобретенных факторов производства.
Естественно, что исследование этих факторов должно обеспечить денежную выручку от изготовленной и проданной продукции в таком размере, чтобы она покрыла произведенные затраты и дала к тому же излишек — прибыль. Прибыль является тем движущим мотивом, который определяет смысл предпринимательской деятельности. Но достижение этой цели в значительной степени зависит от величины произведенных затрат. Вот почему издержки производства являются важнейшим блоком экономического анализа. Безусловно, к издержкам и прибыли у предпринимателя различные подходы. Прибыль при данных издержках должна обеспечить наилучшие возможности производства. Издержки же при данной прибыли должны быть сведены к тому минимальному уровню, который не может финансировать расточительное производство.
Современные исследователи издержек производства рассматривают их под углом зрения хозяйственника, предпринимателя. Решением теоретических задач, обосновывающих оптимальную стратегию фирмы, достигается и другая цель, которую когда-то отметил К.Маркс, — обосновать принцип получения равного дохода на каждый доллар, потраченный на покупку любого фактора производства. Таким образом, современные исследователи рыночного хозяйства получили тот же результат — образование средней нормы прибыли. Здесь политическая экономия сблизилась с математикой, где часты случаи решения одной и той же задачи разными способами.
Теория издержек производства Маркса является конкретизацией анализа процесса создания стоимости. Стоимость, по Марксу, есть результат общественно необходимого труда, создающего товар. Стоимость, таким образом, является результатом производства. Само же производство служит основой жизни общества. Поэтому из всех совокупных издержек — расходов на производство товаров — К.Маркс выделяет издержки производства. Кроме них, отмечается и наличие издержек, связанных с реализацией товара. Это издержки обращения.
Издержки производства — расходы, денежные траты, которые необходимо осуществить для создания товара. Такого рода расходы покрывают оплату материалов (сырья, топлива, энергии), заработную плату работников, амортизацию, расходы, связанные с управлением производством. При продаже товара стоимость обращается в деньги и предприниматель получает денежную выручку. Одна часть ее компенсирует издержки производства (т.е. затраты денег, связанные с производством товара), другая дает прибыль, то, ради чего организуется производство. Это значит, что издержки производства меньше стоимости товара на величину прибыли.
Поскольку стоимость у Маркса отражает все затраты овеществленного и живого труда общества на производство товара, стоимость он назвал издержками общества. Издержки же предприятия меньше издержек общества на величину прибыли.
Маркс различал также авансирование производства, т.е. авансированные затраты капитала, и отделял их от текущих издержек производства.
Авансирование капитала предполагает, кроме закупок сырья, топлива, оплату труда работников и большие единовременные затраты: строительство производственного здания, покупку станков, вложение денег в коммуникации. Эти деньги вкладываются сразу. Но при продаже товара компенсируется лишь часть единовременных затрат: допустим, не вся стоимость производственного здания, а лишь та небольшая часть его амортизации, которая вошла в цену проданного товара.
Таким образом, издержки производства — это затраты на производство данной готовой продукции в отличие от единовременных затрат, связанных с авансированием капитала, который нужен для первоначальной организации производственного процесса.
Издержки обращения, по Марксу, связаны с процессом реализации товаров и делятся на чистые и дополнительные. К чистым издержкам обращения К.Маркс относил затраты, связанные с куплей-продажей в чистом виде, а именно заработную плату работников оптовой и розничной торговли, содержание торговых помещений, затраты на консультации, рекламу, изучение потребительского спроса и т.д. Эти издержки, по мысли Маркса, не увеличивают стоимость товара, а возмещаются после продажи товара из прибыли, созданной в процессе производства. К дополнительным издержкам обращения К.Маркс относил затраты на упаковку, сортировку, транспортировку и хранение товаров. Этот вид издержек обращения является, по существу, затратами, связанными с продолжением процесса производства в сфере обращения. Входя в стоимость товара, они увеличивают ее и возмещаются после продажи товара из полученной суммы выручки.
Современная экономическая теория не восприняла идею Маркса о необходимости выделения из всех издержек, связанных с производством и реализацией продукции, некоей части, которая якобы не входит в стоимость товара и по сути дела не является ценообразующим фактором. Речь идет о чистых издержках обращения. В современных учебниках экономической теории предполагается, что предприниматель от всех без исключения своих издержек, затрат денег на производство ждет дохода, который был бы достаточен для его устойчивого положения на рынке.
Следует обратить внимание на два аспекта исследования издержек производства, характерных для современного анализа.
1. В издержки производства в экономической теории Запада включают доход предпринимателя (у Маркса он назывался средней прибылью на вложенный капитал). При этом такой доход рассматривается как плата за риск, которая вознаграждает предпринимателя и стимулирует его держать свои финансовые активы в пределах этого предприятия и не отвлекать их для иных целей.
Поэтому доход, полученный сверх издержек производства, по существу является избыточным доходом, полученным в результате каких-то особо благоприятных обстоятельств. У Маркса такого рода прибыль называется дополнительной, избыточной. В качестве примера можно назвать ее разновидность — монопольную прибыль.
Издержки производства, включающие нормальную и среднюю прибыль, представляют собой экономические издержки.
Экономическими, или вмененными, издержками в современной теории считают расходы фирмы, осуществленные в условиях принятия наилучшего хозяйственного решения по использованию ресурсов. Это идеал, к которому фирма стремится. Безусловно, реальная картина формирования общих (валовых) издержек несколько иная, так как любой идеал является труднодостижимым.
Надо сказать, что экономические издержки не равнозначны тем, которыми оперирует бухгалтерский учет. В бухгалтерские издержки прибыль предпринимателя вообще не входит.
На наш взгляд, разночтения между издержками производства, которыми оперируют экономическая теория и хозяйственная практика, затрудняют экономический анализ и являются, по-видимому, данью традициям, сложившимся в теории маржинализма.
2. Издержки производства, которыми оперируют экономическая теория и бухгалтерский учет, различаются оценкой внутренних издержек. Последние связаны с затратами, которые осуществляются за счет использования собственной продукции в производственном процессе. Например, часть выращенного урожая зерна используется на повторный засев земельных площадей фирмы. Такое зерно хозяин использует для внутренних нужд и его не оплачивает.
В бухгалтерском учете внутренние издержки учитываются по себестоимости. Но с позиций формирования цены выпущенного товара такого рода издержки нужно оценивать по рыночной цене этого ресурса.
Издержки, связанные с использованием собственной продукции, которая превращается в ресурс дальнейшего производства фирмы, получили название внутренних издержек.
Внешние издержки — это затраты денег, которые осуществляются для приобретения ресурсов, находящихся в собственности тех, кто не является владельцем фирмы. Эти затраты станут доходами поставщиков ресурсов.
Издержки производства, которые возникают при производстве товара, можно классифицировать не только в зависимости от того, какие ресурсы используются, будь то ресурсы фирмы или ресурсы, за которые пришлось заплатить. Возможна классификация издержек в зависимости от влияния на них увеличения масштабов производства. Рассмотрим структуру общих (валовых) издержек с этих позиций.


Эффективность национальной экономики


Эффективность национальной экономики Эффективность сегодня — одна из главных характеристик человеческой деятельности. Она является важнейшей категорией экономической науки.
Простейшее представление об экономической эффективности можно получить в результате сопоставления полезного эффекта (результата) и затрат. Повысить эффективность — значит добиться сокращения затрат на единицу эффекта (единицу продукта, объем производства и т.д.) или увеличить эффект на прежнюю величину затрат (материальных, финансовых и трудовых). Рост эффективности производства требует такого ведения хозяйства, при котором каждый рубль, вложенный в производственный объект, затраченный на сырье, материалы, топливо и энергию, оплату труда работников, давал бы максимальную отдачу, чтобы объем выпускаемой готовой продукции быстро увеличивался, а совокупные затраты на единицу продукции уменьшались.
Эффективность применительно к отдельно взятой хозяйственной единице не тождественна эффективности в масштабах общества. Если предприятие осуществляет свою деятельность с минимальными затратами всех факторов производства, в этом случае мы говорим о производственной эффективности или эффективности производства отдельной хозяйственной единицы.
Экономическая эффективность характеризует результативность всего общественного производства. С точки зрения национальной экономики, эффективным будет считаться такое состояние, при котором наиболее полно удовлетворены потребности всех членов общества при данных ограниченных ресурсах.
Экономическая эффективность национальной экономики — это состояние, при котором невозможно увеличить степень удовлетворения потребностей хотя бы одного человека, не ухудшая при этом положение другого члена общества. Такое состояние называется Парето-эффективностью (по имени итальянского экономиста В.Парето).
Под словом «эффективность» не следует понимать только результат, достигаемый народным хозяйством в целом или отдельной отраслью, предприятием за тот или иной отрезок времени. Этот результат правильнее было бы охарактеризовать как эффект, а не эффективность.
Эффект может быть значительным, но если он достигнут ценой больших затрат, то эффективность может остаться неизменной или даже снизиться. Следовательно, необходимо различать эффект и эффективность, ибо последняя свидетельствует не только о приросте показателей производства, но, что не менее важно, и о том, какой ценой (за счет каких затрат) обеспечены достигнутые приросты. Эффективность — это величина не абсолютная, а относительная.
Наметившийся переход к рыночной экономике призван сочетать наивысшую эффективность производства с гуманистическими целями его развития. При этом по отношению к общественному производству рынок выполняет определенные регулирующие функции (с помощью механизма спроса и предложения, равновесных цен и др.), которые государство или другой экономический центр может использовать для повышения эффективности функционирования национальной экономики на основе применения денежного, финансово-кредитного и налогового регуляторов производства и обращения. Например, введение налога повышает цену, уплачиваемую потребителем, и снижает цену, получаемую производителем, что, в свою очередь, сокращает производство и потребление тех или иных товаров. Разница идет в пользу государства, установившего размер налога. Полученный доход государство может перераспределить с целью выравнивания доходов отдельных товаропроизводителей и групп населения, стимулирования увеличения производства недостающих населению или производству товаров. Таким образом, государство совместно с рыночным механизмом, объективно стимулирующим необходимые обществу пропорции производства и распределения через конкурентное равновесие, может влиять на эффективность общественного производства.
Эффективность производства имеет многоаспектный характер. Политико-экономическое исследование сущности и форм проявления эффективности производства предполагает учет самых разнообразных признаков и форм проявления эффективности.
Различают эффективность воспроизводства совокупного общественного продукта или действительного процесса производства, взятого в целом, или (что то же самое) народнохозяйственную эффективность, включающую эффективность производства, распределения, обращения и потребления общественного продукта; эффективность отдельных фаз воспроизводства. С учетом структуры организации общественного производства различают эффективность различных крупных регионов страны, республик в составе РФ (это региональная эффективность); эффективность народного хозяйства, отдельных его отраслей, объединений, предприятий и, наконец, цеха, бригады, группы, а также эффективность отдельных работников различных сфер экономики. Принимая во внимание структуру международных отношений, различают национальную и интернациональную эффективность.
В современных условиях все большее значение приобретает эффективность внешнеэкономических связей и мирового хозяйства, что превращает категорию эффективности в интернациональную. Дело в том, что современная ступень развития всех стран характеризуется усилением процессов мировой взаимозависимости и более тесными мирохозяйственными связями. Сегодня имеют место политическая, технико-экономическая и экологическая взаимозависимости. Согласно первой, необходимы решительный отказ от гонки вооружений и накопления оружия массового уничтожения, баланс интересов, всеобщая система безопасности человечества. В соответствии со второй следует отказаться от развития общества на основе модели закрытой национальной экономики, ибо постоянно усиливаются процессы формирования единого мирового экономического пространства. По прогнозам отдельных экономистов, к 2000 г. примерно 1/3 всей продукции, производимой в мире, будет предметом международного обмена, против 20-22% в настоящее время. Согласно третьей — необходима сознательная концентрация усилий всех стран для преодоления негативных сторон развития цивилизации, ликвидации токсических отходов производства, губительных для окружающей среды и человека, разработки современных установок для переработки отходов, научно-технических программ «общество - производство - окружающая среда» и т.д.
Рост эффективности производства — это не случайный, а закономерный, устойчивый, повторяющийся и причинно обусловленный процесс, действующий объективно. При этом необходимо заметить, что чем цивилизованнее общество, тем важнее становится повышение эффективности производства, так как возрастает потребность и понимание необходимости экономии общественных затрат чрезвычайно возросшего производства;
целью производства становится удовлетворение потребностей всех членов общества, и при этом приоритет отдается не материальному, а социальному результату.
Все это позволяет говорить, что повышение эффективности общественного производства приобретает черты экономического закона, который можно сформулировать как закон повышающейся эффективности производства.
Закон повышающейся эффективности производства — это закон-тенденция, поскольку росту эффективности совокупного общественного труда нередко препятствуют противодействующие факторы. Наибольший прирост эффективности производства достигается при интенсивном типе расширенного воспроизводства, который характерен для современного этапа развития общества и экономики развитых стран.
Главнейшими показателями эффективности общественного производства являются производительность общественного труда (определяемая как отношение совокупного общественного продукта к числу работающих в сфере материального производства); фондоотдача (отношение национального дохода к/среднегодовой стоимости основных фондов и оборотных средств); фондоемкость (показатель, обратный фондоотдаче); национальный доход на душу населения; темпы экономического роста, характеризующие эффект общественного производства; издержки производства и обращения на 1 рубль общественного продукта и экономия материальных, финансовых и трудовых затрат.
Право собственности сводится, как правило, к трем правомочиям: праву владения, праву пользования и праву распоряжения имуществом, что представляет собой стройную систему.
Это обуславливает использование соответствующего подхода к изучению, заключающегося в последовательном рассмотрении каждого из трех принципов, определяющих понятие «собственность». В то же время важно определить правовые ситуации, когда право собственности как-либо ограничено, а также какими из прав обладает, например, арендатор по отношению к арендуемой собственности.
Иными словами, необходимо выяснить, какими способами и методами может оперировать экономический субъект, обладая личной или арендованной собственностью, чтобы эффективно реализовать имеющийся экономический потенциал.


Экономическая нестабильность и безработица


Экономическая нестабильность и безработица, ее оценка с позиций экономического роста Сбалансированный (равновесный) экономический рост — тот идеальный вариант развития, когда все элементы хозяйственной системы работают согласованно, обеспечивая поступательный рост благосостояния всех участников производства. Равновесный рост следует рассматривать как тенденцию, которая выдерживается не в каждом конкретном случае, а как нечто среднее, погашающее крайние отклонения.
Если эти отклонения носят устойчивый характер, в экономике нарастают конфликтные ситуации — несогласованные действия, хаотичное движение ресурсов, что приводит к снижению экономической эффективности и вследствие этого — к снижению деловой активности. Страна впадает в период экономического кризиса, когда валовой национальный продукт перестает расти и может произойти прямое сокращение производства.
В такие периоды повышенный риск предпринимательской деятельности может гасить импульсы производства. Макроэкономические диспропорции усиливают риск предпринимательской деятельности, создают ситуацию экономической нестабильности. Нарастание экономической нестабильности углубляет спад производства, вследствие чего растет безработица.
Последняя связана с ухудшением уровня жизни и самих безработных и работающих, ибо избыток предложения рабочей силы является благоприятным фоном для уменьшения цены труда. Создается и реальная угроза социальных конфликтов, что еще больше ухудшает стимулы деловой активности.
В такие периоды у капитала, имеющего свободные средства, активность может проявиться в «бегстве» из зоны бедствия в те районы, которые характеризуются более стабильным экономическим развитием. Таким образом, безработица ведет к утечке капиталов, что ухудшает экономическую конъюнктуру и отодвигает горизонты сбалансированного роста.
Снижение жизненного уровня населения ведет к сокращению потребительского спроса, снижению уровня сбережений, что также способствует свертыванию части производства. Безработица, будучи порождением спада производства, становится тем звеном экономической нестабильности, которое способно этот спад усугубить. Нарастание нестабильности можно представить в виде схемы 14.1.1:

Безработица становится реактивом, ускоряющим процессы дестабилизации. Поэтому выход страны на путь сбалансированного роста требует специальных мер по сокращению армии безработных.
Однако специалисты рыночной экономики никогда не ставят перед страной задачи обеспечения полной занятости, как это было записано в сталинской конституции. Считается, что в известной мере умеренная безработица является благом для экономического роста. Что при этом имеется в виду?
1. Безработица представляет собой резерв незанятой рабочей силы, который можно задействовать при последующем расширении производства или при структурных перестройках. Трудности перехода нашей страны на рельсы интенсивного развития во многом были связаны с полной занятостью. Новые стройки, цеха оказались не задействованы, так как работникам было легче работать на старых, уже освоенных рабочих местах. Капиталовложения оказались омертвленными, эффективность развития страны на определенном этапе стала снижаться.
2. Наличие безработицы ограничивает агрессию профсоюзов и их требования повышения заработной платы и тем самым усиливает стимулы предпринимательской деятельности.
3. Страх потерять работу и влиться в число высвободившихся из сферы производства является самым лучшим организатором дисциплины труда и, кроме того, создает условия для поддержания необходимого качества затрат труда.
В силу отмеченных причин умеренная безработица (от 3 до 5% занятых) считается необходимым спутником развития рыночной экономики.
Либеральная и социал-демократическая политэкономия рассматривают безработицу в совершенно ином аспекте. Они видят в ней потери для общества и считают, что эти потери даже превосходят величину убытков, вызванных монополизацией народного хозяйства. Какие же потери общества вызывает безработица?
1. При безработице недоиспользуется экономический потенциал общества. Незанятая рабочая сила не участвует в росте национального богатства. Поэтому в стране возникают потери от недоиспользованных производственных возможностей.
2. При продолжительной безработице теряется квалификация высвободившихся работников. Даже при последующем включении в производственный процесс работник выходит на нормальный устойчивый уровень производительности труда примерно за полугодовой срок. И весь этот период адаптации работник недодает в результатах своего труда по сравнению с постоянными рабочими кадрами той или иной квалификации при равных условиях труда.
3. Рост безработицы, как показала медицина, подрывает психическое здоровье нации. Считается, что стресс, полученный при извещении об увольнении, по своей силе равнозначен реакции на смерть близкого родственника или на сообщение о неизбежности тюремного заключения.
4. Рост безработицы служит фактором роста преступности.
5. Оценивая безработицу как потери общества, следует упомянуть и те факторы экономической нестабильности, о которых уже ранее говорилось. Это: снижение покупательного спроса; сокращение сбережений; снижение инвестиционного спроса;
сокращение предложения, спад производства.


Экономические учения эпохи нерегулируемых рыночных отношений


Экономические учения эпохи нерегулируемых рыночных отношений Общие признаки и этапы развития «классической школы». По мере дальнейшего формирования в развитых странах мира основ рыночных экономических отношений становилось все более очевидным то обстоятельство, что государственное вмешательство в экономическую деятельность не является панацеей в деле преодоления преград в приумножении национального богатства и достижения согласованности во взаимоотношениях хозяйствующих субъектов как на внутреннем, так и на внешнем рынках.
«Классическая школа» повела решительную борьбу с протекционистской идеологией меркантилистов, обратившись к самым новым методологическим достижениям науки той эпохи и развернув поистине фундаментальные теоретические исследования. Ее представители противопоставили эмпиризму меркантилистской системы профессионализм, который, по словам того же П.Самуэльсона, не позволял впредь «советникам при короле» убеждать своих монархов в том, что увеличение богатства страны сопряжено с установлением государственного контроля над экономикой, в том числе со сдерживанием импорта и поощрением экспорта и тысячей других «детальных» распоряжений».
«Классики», в отличие от меркантилистов, по существу, заново сформулировали и предмет, и метод изучения экономической теории. Так, возросшая степень мануфактуризации экономики (затем и ее индустриализации) обусловила выдвижение на первый план предпринимателей, занятых в промышленном производстве, оттеснив на второй план капитал, занятый в торговле, денежном обращении и ссудных операциях. По этой причине в качестве предмета изучения «классики» предпочитали главным образом сферу производства.
Что же касается метода изучения и экономического анализа, то его новизна в «классической школе» связана, как уже упоминалось, с внедрением новейших методологических приемов, которые обеспечивали достаточно глубокие аналитические результаты, меньшую степень эмпиричности и спасательного, т.е. поверхностного, осмысления хозяйственной (деловой) жизни. Об этом свидетельствуют также высказывания Л.Мизеса и М.Блауга — крупнейших авторитетов современности в области методологии экономической науки.
Таким образом, можно утверждать, что смена меркантилизма классической политической экономией стала свершением еще одной исторической метаморфозы в отношении наименования и назначения экономической науки. Как известно, в бытность древнегреческих философов термин «экономия» или «экономика» воспринимался почти в буквальном переводе слов «ойкос» (дом) и «носом» (хозяйство) и имел смысловую нагрузку процессов домоводства, управления семьей или личным хозяйством. В период меркантилистской системы экономическая наука, получившая благодаря А.Монкретьену наименование «Политическая экономия», воспринималась уже как наука о государственном хозяйстве или экономике национальных государств, управляемых монархами. Наконец, в период «классической школы» политическая экономия обрела черты подлинно научной дисциплины, изучающей проблемы экономики свободной конкуренции.
Кстати, К.Маркс, с чьим именем связано введение в научный оборот термина «классическая политическая экономия», исходил прежде всего из того, что «классики» в творчестве своих лучших, как он полагал, авторов А.Смита и Д.Рикардо совершенно не допускали ни апологетики, ни скольжения по поверхности экономических явлений. Но, по его мысли, «классическая школа» со свойственной ей классовой направленностью «исследовала производственные отношения буржуазного общества». Данное положение, похоже, не оспаривал и Н.Д. Кондратьев, считавший, что в учении «классиков» речь шла об анализе условий свободной хозяйственной деятельности «только капиталистического строя».
Теперь правомерно перейти к характеристике общих признаков и особенностей соответствующих классической политической экономии этапов, которых с определенной условностью можно выделить четыре.
Первый этап. Его начальная стадия приходится на конец XVII — начало XVIII вв., когда в Англии благодаря творчеству У.Петти и во Франции с появлением трудов П.Буагильбера стали формироваться признаки зарождающегося альтернативного меркантилизму нового учения, которое впоследствии назовут классической политической экономией. Эти авторы резко осуждали сдерживающую свободу предпринимательства протекционистскую систему. В их трудах были сделаны первые попытки затратных трактовок стоимости товаров и услуг (посредством учета количества затраченного в процессе производства рабочего времени и труда). Ими подчеркивалось приоритетное значение либеральных принципов хозяйствования в создании национального (не денежного) богатства в сфере материального производства.
Следующая стадия этого этапа связана с периодом середины и начала второй половины XVIII в., когда с появлением так называемого физиократизма — специфического течения в рамках «классической школы» — меркантилистская система подверглась более глубокой и аргументированной критике. Физиократы (особенно Ф.Кенэ и А.Тюрго) значительно продвинули экономическую науку, обозначив новое толкование ряда микро- и макроэкономических категорий, хотя их внимание почти целиком было сосредоточено на проблемах сельскохозяйственного производства в ущерб другим сферам экономики и особенно сфере обращения.
Итак, на первом этапе ни один представитель классической политической экономии, не будучи профессиональным экономистом, не смог достичь углубленной проработки теоретических проблем эффективного развития как промышленного производства, так и фермерского хозяйства.
Второй этап. Временной отрезок этого периода развития «классической школы» целиком и полностью связан с именем и творчеством великого ученого-экономиста Адама Смита, чье гениальное творение «Исследование о природе и причинах богатства народов» (1776) стало особым и наиболее значительным достижением экономической науки всей последней трети XVIII в.
Третий этап. Хронологические рамки этого этапа охватывают практически всю первую половину XIX в., в течение которой в развитых странах мира (прежде всего, в Англии и Франции) состоялся переход от мануфактурного производства к машинному, или, как говорят, индустриальному, производству, знаменующему свершение промышленного переворота. В этот период наибольший вклад в сокровищницу «классической школы» внесли называвшие себя учениками и последователями А.Смита англичане Д.Рикардо, Т.Мальтус и Н.Сепиор, французы Ж.Б. Сэй, Ф.Бастиа и др. И хотя все эти авторы, следуя своему кумиру, главной в экономической науке считали теорию стоимости и так же, как он, придерживались затратой концепции (в соответствии с которой происхождение стоимости товаров и услуг видели либо в количестве затраченного труда, либо в издержках производства), тем не менее каждый из них оставил в истории экономической мысли и становления либеральных рыночных отношений довольно заметный след.
Например, Ж.Б. Сэй явился автором одной из самых одиозных в «классической школе» концепций, получившей название «закона рынков» или просто «закона Сэя». Этот «закон» более 100 лет разделяли вначале «классики», а затем и «неоклассики» потому, что в основу рассматриваемой с его помощью проблематики равновесия между совокупным спросом и совокупным предложением, обеспечивающего в условиях колебаний конъюнктуры рынка тот или иной уровень реализации общественного продукта, и Ж.Б. Сэй, и его единомышленники вкладывали по сути следующее смитовское положение: при гибкой заработной плате и подвижных ценах процентная ставка будет уравновешивать спрос и предложение, сбережения и инвестиции при полной занятости.
Другой исследователь, Д.Рикардо, более других своих современников полемизировавший с А.Смитом и при этом полностью разделявший взгляды последнего на природу происхождения доходов «главных классов общества», впервые выявил закономерную в условиях свободной конкуренции тенденцию нормы прибыли к понижению, разработал законченную теорию о формах земельной ренты. Ему также принадлежит заслуга одного из лучших для того времени обоснований закономерности изменения стоимости денег как товаров в зависимости от их количества в обращении.
Четвертый этап. На этом завершающем этапе во второй половине XIX в. доминировали труды Дж.С. Милля и К.Маркса, всесторонне обобщивших лучшие достижения «классической школы». Как известно, в данный период уже началось формирование нового, более прогрессивного направления экономической мысли, получившего впоследствии название «неоклассической экономической теории». Однако популярность теоретических воззрений «классиков» оставалась весьма внушительной.
Причиной тому в значительной мере было то, что последние лидеры классической политической экономии, будучи строго привержены положению об эффективности ценообразования в условиях конкуренции и. осуждая классовую тенденциозность и вульгарную апологетику в экономической мысли, все же, говоря словами П.Самуэльсона, симпатизировали рабочему классу и были обращены «к социализму».


Экономические воззрения У.Петти и П. Буагильбера


Экономические воззрения У.Петти и П. Буагильбера Знакомство с творчеством первых авторов классической политической экономии в лице У.Петти (Англия) и П.Буагильбера (Франция) целесообразно предварить двумя высказываниями известных ученых-экономистов, проливающими свет на основной замысел данного и ряда последующих структурных подразделов настоящей книги.
Одно из них принадлежит Ш.Жиду и Ш.Ристу и суть его сводится к следующему: те, кого относят к «классической школе», должны оставаться верными принципам, завещанным первыми учителями экономической науки, стараясь наилучшим образом доказать, развить или даже исправить их принципы, но «не изменяя в них того, что составляет их существо».
Другое высказывание, принадлежащее М.Фридмену, указывает экономистам на то, что процесс формирования экономической науки надо обсуждать не в логических, а в психологических категориях и не по «трактатам о научном методе», а «по автобиографиям и биографиям», стимулируя этот процесс «с помощью афоризмов и примеров».
Ушьям Петти (1623—1687) — основоположник классической политической экономии в Англии, изложивший свои экономические взгляды в произведениях, опубликованных в 60-80-е годы XVII в. По словам К.Маркса, У.Петти — «отец политической экономии ..., гениальнейший и оригинальнейший исследователь-экономист».
В отличие от меркантилистов, богатство, по мнению У.Петти, образуют не только драгоценные металлы и камни, включая деньги, но и земли страны, дома, корабли, товары и даже домашняя обстановка.
У.Петти полагал, что для увеличения богатства страны вместо наказания тюремным заключением необходимо ввести денежные штрафы, а «несостоятельных воров» отдавать «в рабство», заставлять трудиться. Это, в противовес меркантилистам, означало, что богатство создается, прежде всего, трудом и его результатами, т.е. отрицалась «особая» роль денег в хозяйственной жизни. Поэтому, уточнял У.Петти, если какое-либо государство прибегает к порче монет, то это характеризует его упадок, бесчестное положение государя, измену общественному доверию к деньгам.
В развитие данной мысли У.Петти обращает внимание на бессмысленность и невозможность запрета вывоза денег. Подобное деяние государства равносильно, по его словам, запрету ввоза в страну импортных товаров. В этих и других суждениях У.Петти проявляет себя как сторонник количественной теории денег, демонстрируя понимание закономерности о количестве денег, необходимом для обращения. Однако в то же время очевидна и его упрощенческая позиция по поводу роли денег в экономике. С одной стороны, количественная теория денег действительно показала, что «деньги сами по себе не конституируют богатства», с другой же — У.Петти, а затем другие авторы классической политической экономии не поняли, что эта теория, говоря словами М.Блауга, «вела к игнорированию взаимосвязи между товарным и денежным рынками, проистекающей от функции денег как средства сохранения ценности».
Вот почему справедливая во многом критика меркантилизма сопровождается в трудах У.Петти и некоторыми тенденциозными соображениями. Он, например, совершенно предвзято отрицает участие торговли и торгового капитала в создании национального богатства, настаивая даже на сокращении значительной части купцов. Последних У.Петти сравнивает с «игроками», занятыми распределением «крови» и «питательных соков» государства, под которыми имел в виду продукцию сельского хозяйства и промышленности.
Доходы предпринимателей и землевладельцев охарактеризованы У.Петти посредством унифицированного им, по существу, понятия «рента». В частности, называя рентой с земли разницу между стоимостью хлеба и издержками на его производство, он подменял им такое понятие, как «прибыль фермера». В другом примере, рассматривая суть происхождения ссудного процента, У.Петти вновь прибегает к упрощению, заявив, что этот показатель должен быть равен «ренте с такого-то количества земли, которое может быть куплено на те же данные в ссуду деньги при условии полной общественной безопасности».
Еще в одном примере У.Петти ведет речь об одной из форм проявления земельной ренты, обусловленной местоположением земельных участков и рынка. При этом он заключает, что поблизости населенных мест, для пропитания населения которых нужны большие районы, земли не только приносят более высокую ренту, но и стоят большей суммы годичных рент, чем земли совершенно такого же качества, но находящиеся в более отдаленных местностях. Тем самым У.Петти затронул еще одну проблему, связанную с определением цены земли.
В то же время подход У.Петти к определению цены земли имеет отдельные достоинства, заложенные в его идее о взаимосвязи ссудного процента и ренты с земли за год. На это указывал еще К.Маркс.
Пьер Буагильбер {1646—1714) — родоначальник классической политической экономии во Франции. Как и основатель подобной школы экономической мысли в Англии У.Петти, он не был профессиональным ученым-экономистом.
Вклад П.Буагильбера в историю экономической мысли и формирование рыночных отношений во Франции трудно переоценить. Именно его произведения стали теоретико-методологической базой для окончательного развенчания меркантилистских идей и формирования специфических традиций «французской школы» классической политической экономии. Он, безотносительно от У.Петти, также пришел к концепции о том, что богатство страны заключается не в физической массе денег, а во всем многообразии полезных благ и вещей.
Другим важным достижением П.Буагильбера, как и У.Петти, является обоснование трудовой теории стоимости, к пониманию которой он пришел, анализируя механизм ценового отношения между товарами на рынке с учетом количества затраченного труда или рабочего времени. Несмотря на известное несовершенство такой концепции (в ее основе лежит затратный принцип), она для своего времени была, несомненно, прогрессивной, поскольку, в отличие от меркантилистской, не исходила из якобы естественной (природной) роли денег в ценообразовании.
Вместе с тем, во многом справедливо осуждая меркантилизм, П.Буагильбер намеренно абсолютизировал роль сельского хозяйства в экономическом росте страны, недооценивая роль денег как товара, отрицал реальное значение в приумножении имущественного богатства промышленности и торговли. Он явился единственным среди всех представителей классической политической экономии, кто считал возможным и необходимым упразднение денег, нарушающих, на его взгляд, обмен товаров по «истинной стоимости».


Экономическое развитие Англии в 1914-1990 гг.


Экономическое развитие Англии в 1914-1990 гг. Особенности промышленного развития. Казалось, Англия должна была выиграть в результате первой мировой войны —она была одной из стран-победительниц. Ее главный конкурент, Германия, была разгромлена, к Англии перешла часть германских колоний. Но выигранная война ухудшила положение английской экономики. В ходе войны Англия потеряла половину своего торгового флота. Связи с колониями ослабли —между Англией и колониями лежали океаны, где караулили немецкие субмарины. Долг Англии Соединенным Штатам был столь большим, что на его погашение ежегодно тратилось до 40% государственного бюджета.
Весь период между мировыми войнами английская промышленность испытывала хронический застой с массовой безработицей и недогрузкой производственных мощностей. Англии приходилось хуже, чем другом странам, потому что главную роль в ее хозяйстве играли традиционные «старые» отрасли — угольная, металлургическая, текстильная, а эти отрасли теперь оттеснялись на задний план «новыми». Уголь вытеснялся нефтью, относительная потребность в черном металле снижалась; сбыт английских товаров за границей уменьшился; английские ткани в Азии вытеснялись японскими, более дешевыми.
Правда, в Англии стали развиваться «новые» отрасли: химическая, автомобильная, электротехническая, авиационная. Но удельный вес этих отраслей пока был невысок, и они не могли стать основой нового промышленного подъема. Поэтому к 1929 г., к началу мирового экономического кризиса, английская промышленность еще не восстановила довоенный уровень производства, а к началу второй мировой войны производство лишь на 22% превысило уровень 1913 г.
В результате второй мировой войны Англия вновь была в числе победителей, и снова это не обеспечило ей процветания. Промышленность Англии и в послевоенный период развивается медленней, чем ожидалось. Правительство ликвидировало некоторые мелкие фирмы.
В 80-х гг. правительство М.Тэтчер приватизировало ряд фирм. В национализированные отрасли, которые до этого были монополией государства, был допущен частный сектор. Были уменьшены государственные инвестиции в хозяйство. Проводились меры по ограничению государственного регулирования, в какой-то степени близкие «рейганомикс». Однако эти меры лишь немного сократили государственный сектор хозяйства. В эти годы усиленно приватизировались предприятия коммунальных услуг, жилые дома, свыше миллиона англичан выкупили у государства дома, теперь 65% населения владеет собственным жильем. В ходе приватизации преимущественным правом при покупке акций пользовались работники приватизируемых фирм. В результате, за годы правления М.Тэтчер число акционеров выросло с 7 до 25% взрослого населения страны.
К настоящему времени вес государства в хозяйстве страны определяется следующими величинами. В государственном секторе производится около 20% промышленной продукции Англии. Через государственный бюджет проходит до 40% валового национального продукта. Очевидно, что в Англии, как и в США, именно государственный бюджет, а не государственный сектор, является главным инструментом государственного регулирования хозяйства.
В сфере этого регулирования находится и сельское хозяйство. Выше говорилось, что к началу первой мировой войны сельское хозяйство Англии свелось преимущественно к пригородному, а 2/3 потребляемого продовольствия поступало из-за границы. Во время первой мировой войны, когда Германия топила суда, которые шли с продовольствием в Англию, в стране возник продовольственный дефицит и сельскохозяйственное производство расширялось. После войны потребности в «домашних» продуктах упали. Но ситуация повторилась в период второй мировой войны. И после этой войны государство стало поддерживать искусственными мерами фермеров. Оно стала покрывать около четверти их производственных расходов: скупало их продукцию по гарантированным твердым ценам, платило премии за повышение урожайности, продуктивности . животноводства и другие достижения. В результате с начала 50-х по начало 80-х годов сельскохозяйственное производство Англии выросло более чем втрое, и свыше 60% потребляемого продовольствия Англия стала производить сама.
Правда, со вступлением Англии в «Общий рынок» перед ее сельским хозяйством встали новые трудности. Сельскохозяйственная продукция Англии дороже аналогичной продукции партнеров по «Общему рынку», поэтому при объединении рынков сельскохозяйственной продукции она оказывается неконкурентоспособной, и потребовались дополнительные государственные ассигнования в помощь фермерам. Это порождает конфликты с партнерами по «Общему рынку».1
Экономическое развитие Японии в 1914-1990 гг. Военный подъем и послевоенные трудности. В первой мировой войне Япония приняла участие на стороне Антанты. У нее не было особых противоречий с Германией, но на стороне Антанты действовать было выгоднее: у Германии на Дальнем Востоке не было вооруженных сил, но были колониальные владения, которые можно было захватить. Если же Япония выступила бы против Антанты, ей пришлось бы воевать против России.
Япония вступила в войну, ссылаясь на свой союзнический долг перед Англией. Договор с Англией у нее действительно был, но не обязывал Японию воевать на стороне Англии. Английское правительство, понимая, что участие Японии в войне ведет к захвату германских колоний, пыталось отговорить Японию, но безуспешно.
Так и получилось. Участие Японии в войне было номинальным, но соседние германские владения — концессию в Шандуне, а также Маркавские, Каролинские и Маршалловы острова на Тихом океане — она успешно захватила.
Этим выгоды от войны не исчерпывались. Европейские державы в годы войны перестали вести свои товары на азиатские рынки, и Япония стала спешно осваивать эти рынки. Экспорт из Японии вырос в 3 раза, а промышленное производство — в 5 раз. Экспорт обеспечил приток золота в бедную Японию, и золотой запас Японии в годы войны вырос почти в 7 раз.
Но все закончилось с концом военной конъюнктуры. Европейские товары вернулись на азиатские рынки, и экспорт Японии сократился на 40%, а из-за этого на 10% упало промышленное производство. От этого кризиса 1920-1921 гг. Япония не могла оправиться много лет. Лишь в 1925 г. производство восстановило уровень докризисного 1919 г., но в 1926-1927 гг. Японию охватил «промежуточный» кризис, которого не было в других странах. Четверть производственных мощностей застыла в бездействии, обанкротился ряд банков и торговых домов.
Японское экономическое чудо и его причины. Промышленное производство Японии к концу второй мировой войны сократилось в 10 раз по сравнению с довоенным уровнем. Поэтому естественно, что восстановление здесь продолжалось дольше, чем в других странах: довоенный уровень производства был восстановлен только в 1952 г. Но более существенно другое — восстановление происходило на старой технической основе, т.е. того технического обновления, которое совершалось в ходе восстановления в других странах, здесь не было. Японские промышленники надеялись по-прежнему выигрывать на дешевизне труда и восстанавливали отрасли, не требующие больших капиталов и высокой техники, но много живого труда.
Но к концу периода восстановления выяснилось, что в новых условиях старые методы социального демпинга неэффективны: Япония все более утрачивала прежнее положение в мировой экономике. Тогда лидеры Японии резко изменили приоритеты и началось японское «экономическое чудо»: по темпам роста основных экономических показателей Япония опередила весь мир.
С 1950 по 1970 гг. среднегодовые темпы роста промышленного производства составили около 15%. К 1990 г. промышленное производство Японии выросло по сравнению с уровнем 1938 г. (или 1952) в 21,1 раза. Высокими остаются темпы Японии и в последние десятилетия: с 1970 по 1990 гг. промышленность Японии увеличила производство в 2,2 раза.
По основным экономическим показателям — валовому национальному продукту и промышленному производству — Япония вышла на 2-е место в капиталистическом мире. Она заняла 1-е место в мире по производству судов, стали (что особенно удивительно). 1-е место заняла страна, не имеющая ни руды, ни угля и т.д. В чем заключаются причины хозяйственных успехов Японии?
Особый характер и особые условия обновления основного капитала. Мы говорили о том, как в других странах при послевоенном восстановлении промышленность оснащается новейшей техникой, т.е. происходит технический скачок. При этом изменяется и структура промышленности: на первый план выдвигаются новейшие отрасли. Но в Японии степень военных разрушений потребовала особенно полного обновления основного капитала. Более того — это обновление, техническое переоснащение промышленности происходило не во время восстановления, а позже, на более высоком техническом уровне.
Кроме того, в Японии существует такая практика: производственные операции, которые не требуют высокой техники, но требуют много живого труда, крупные фирмы сами не выполняют, а передают мелким, иногда даже полукустарным заведениям. Это обходится значительно дешевле.
Высокий удельный вес расходов на развитие хозяйства связан и с низкими военными расходами. Согласно японской конституции военные расходы не могут превышать 1% валового национального продукта. Они растут, потому что растет сам национальный продукт.
Милитаризация в Японии запрещена конституцией, в которой сказано: «Японский народ навсегда отвергает войну как суверенное право нации и угрозу применения силы как средство решения международных вопросов... Право объявления страны в состоянии войны не будет признаваться».
Наконец, объяснение высоких темпов роста японской промышленности было бы неполным без анализа особенностей государственного регулирования экономики. В Японии государству принадлежит более трети основных производственных фондов, 20% валового национального продукта производится по государственным заказам. Через государственный бюджет проходит 30% валового национального продукта.
Экономическим планированием занимается орган, который так и называется «Управление экономического планирования». В нем активно участвуют представители финансовых групп и корпораций. Парламент ни в разработке, ни в утверждении планов
участия не принимает. Здесь считают, что планирование хозяйства должно быть делом тех, в чьих руках реально находится хозяйство. В этом смысле планирование строго централизованное: совет корпораций и групп планирует свое будущее. Планы принимаются группами и корпорациями к неуклонному исполнению: санкции за нарушение пойдут не от государства, а от «своих», что значительно больнее.
Разрабатываются планы двух видов — общегосударственные и отраслевые. Цель общегосударственных планов — обеспечить определенные темпы роста. Для достижения этой цели план намечает по каждой отрасли объем капиталовложений, которые должны делать сами корпорации. Цель отраслевых планов — ликвидировать слабые места японской экономики, т.е. обеспечить рост тех частей хозяйства, которые не могут обойтись без государственной помощи. Если общегосударственные планы обеспечиваются частными инвестициями, то отраслевые—государственными.1


Экономическое развитие Франции в 1914-1990 гг.


Экономическое развитие Франции в 1914-1990 гг. Промышленный подъем 20-х годов во Франции продолжался дольше, чем в других странах—до лета 1930 г. К 1930 г. промышленное производство Франции выросло на 40% по сравнению с уровнем 1913 г. Темпы промышленного роста Франции были в то время выше, чем США и Германии, не говоря об Англии. От войны хозяйство Франции пострадало значительно: промышленное производство сократилось на 40%, сельскохозяйственное — на 1/3. Но в отличие от Англии война обеспечила возможность ускорения экономического роста.
1. Франции были возвращены Эльзас и Лотарингия, области, которые отошли к Германии после франко-прусской войны 1871 г. Лотарингия — металлургический район с большими запасами руды. С присоединением Лотарингии по добыче руды Франция выдвинулась на первое место в Европе. Эльзас имел развитую текстильную промышленность и с его присоединением мощности текстильной промышленности Франции выросли в полтора раза. Результатом присоединения Эльзаса и Лотарингии стало то, что во Франции «старые» отрасли, металлургическая и текстильная, в 20-е годы намного увеличили производство, тогда как в других странах они испытывали застой.
2. Франция получила в качестве репараций от Германии 8 млрд. золотых марок. Значительная часть этих репараций была выплачена каменным углем. Уголь правительство сбывало промышленникам по крайне низким ценам, сокращая их производственные затраты и увеличивая конкурентную способность.
3. Способствовало промышленному росту Франции и обновление основного капитала как следствие военных разрушений. Тогда это было больше исключением, чем правилом.
Мировой экономический кризис наступил во Франции позже, чем в других странах, только в 1930 г. Промышленность Франции еще продолжала увеличивать производство, когда в других странах уже начался спад.
В период кризиса промышленность сократила выпуск продукции на 1/3, сельскохозяйственное производство упало на 40%. Начавшись позже, чем в других странах, кризис закончился во Франции тоже позже — только в 1936 г. Некоторые отрасли (угольная, судостроение) так и не вышли из кризиса до начала второй мировой войны.
После кризиса новый промышленный подъем не наступил. Кризис сменился депрессией, затем очень слабым экономическим оживлением. Если до кризиса французская промышленность росла быстрее, чем в других странах, то теперь она снова отстает от них. В 1938 г. было выпущено столько же продукции, что ив 1913 г. Застой наблюдался и в сельском хозяйстве. В 1938 г. сельскохозяйственное производство лишь на 10% превысило уровень 1913 г.
Чем объяснялись длительность кризиса и наступившая после него депрессия? Почему все, что Франция успела накопить в 20-х годах, она потеряла в 30-х? Потому что факторы роста, обеспечившие подъем 20-х годов, теперь перестали действовать, а производительные силы Франции оставались на низком уровне. Французские товары имели низкую конкурентоспособность на мировом рынке. К началу второй мировой войны Франция еще оставалась наполовину аграрной страной: в сельском хозяйстве было занято 37% самодеятельного населения, а в промышленности — только 25%. Отсталой была и структура промышленности. Хотя в 20-х годах и стали ускоренно развиваться «новые» отрасли тяжелой промышленности, но и легкая промышленность все еще преобладала: в текстильной, обувной и пищевой отраслях было занято больше половины промышленных рабочих.
В промышленности Франции в 20-30-х гг. усиливаются такие монополии, как военно-промышленный концерн «Комите де форж», химический концерн «Кюльман», но в целом по концентрации производства и технической оснащенности французская промышленность отставала от передовых стран. Достаточно сказать, что 40% промышленных рабочих накануне второй мировой войны было занято в ремесленных мастерских с ручным трудом и числом рабочих до 10 человек. В новых условиях производство модных товаров не играло уже решающей роли в экономическом развитии, и традиционная специализация тянула Францию назад.
Экономическое развитие Франции после второй мировой войны. После войны первоначально во Франции был взят курс на пропорциональное развитие всего комплекса отраслей. Этот курс противоречил интеграции, поскольку предполагал самообеспечение Франции видами продукции вместо участия в международном разделении труда. Этот курс был и экономически нецелесообразен, потому что предполагал дальнейшее развитие и тех традиционных отраслей, продукция которых не пользовалась спросом на мировом рынке. А эти отрасли составляли до 40% французской промышленности.
В 70-х годах курс изменился. Теперь правительство стало стимулировать развитие тех перспективных отраслей, продукция которых могла быть на мировом рынке достаточно конкурентоспособной. Особенно значительные успехи были достигнуты в автомобильной, авиаракетной и электротехнической промышленности. Уже к началу 80-х годов доля Франции по этим отраслям превышала 10% от совокупного производства развитых капиталистических стран (а не 6%, как по промышленности в целом).
В 1980 г. в промышленности было занято 25,8% населения страны, в сфере услуг — 57%, т.е. вдвое больше, чем в промышленности. Доля занятых в сельском хозяйстве сократилась до 8,7%. Теперь Францию уже нельзя назвать наполовину аграрной страной.
Однако сельское хозяйство Франции дает на экспорт более трети всей продукции, По величине сельскохозяйственного экспорта Франция занимает 1-е место в Европе и отстает по этому показателю только от США.
Длительный застой в сельском хозяйстве объяснялся тем, что основу его все еще составляли мелкие парцеллярные крестьянские хозяйства. По расчетам французских специалистов треть этих хозяйств не могли прокормить владельцев. Иными словами, в сельском хозяйстве Франции еще не завершился переход к капитализму. Поэтому было решено ликвидировать мелкие нерентабельные хозяйства, чтобы перевести сельское хозяйство на капиталистический путь, обеспечить переход к рациональным фермерским хозяйствам. Государство в принудительном порядке выкупало нерентабельные хозяйства, что вызвало тогда массовые выступления крестьян, которым, конечно, трудно было найти место в экономической жизни города.
Государство через банк «Креди агриколь» стимулировало образование крупных фермерских хозяйств, рационализацию и повышение технического уровня сельского хозяйства. Очевидно, результатом этой перестройки и явилось ускорение роста сельскохозяйственного производства в последние десятилетия.
Особенности корпораций и финансового капитала Франции. В число 10 крупнейших коммерческих банков мира входит 4 французских: «Банк насьонал де Пари», «Креди агриколь», «Креди Лионе», «Сосьете женераль». В число 10 крупнейших промышленных компаний мира ни одна французская не входит. Та особенность, которая была характерна для Франции начала XX в. (высокая концентрация капитала, но низкая концентрация производства), сохраняется до настоящего времени.
Национализация и государственное регулирование хозяйства. В первом правительстве, которое приняло в свои руки руководство страной после второй мировой войны, пять министерских портфелей принадлежало коммунистам, причем именно под их руководством оказались министерства, ведавшие экономикой. Поэтому национализация была проведена по программе коммунистов. В руки государства перешло 5 крупнейших банков (60% банковского капитала страны), угольная и газовая промышленность, электростанции, военная промышленность, транспорт, авиационная, часть автомобильной промышленности. В руках государства оказалось 20% производственных мощностей.


Экономическое развитие СССР в 60— 80-х годах


Экономическое развитие СССР в 60— 80-х годах Почему мы выделяем в особый период развитие хозяйства именно с 60-х годов? Казалось бы, было логичнее начинать новый период с 50-х годов, т.е. с того времени, когда закончилось послевоенное восстановление, тем более, что именно в 50-х годах были проведены первые хозяйственные реформы, направленные против чрезмерной централизации управления хозяйством, против административной системы. Однако в 50-х годах даже теоретически не ставились задачи ликвидации самой административной системы и изменения пути экономического развития, т.е. те задачи, которые стали основным содержанием хозяйственной перестройки 80-90-х годов. Такие задачи были поставлены в начале периода, к рассмотрению которого мы переходим, и опыт этого периода привел к неизбежности коренной перестройки хозяйства страны.
В 1959 г., когда принимался семилетний план на 1959-65 гг., впервые была поставлена и научно обоснована задача интенсификации производства, со вторичного выдвижения которой на первый план начались и реформы в середине 80-х годов. Промышленность может развиваться либо экстенсивным путем, либо интенсивным. Экстенсивный путь — это путь количественного роста через увеличение производственных мощностей, численности занятых и количества перерабатываемых ресурсов. В определенные периоды истории, например при послевоенном восстановлении хозяйства, экстенсивный рост может быть и очень быстрым. Интенсификация — это рост производства за счет увеличения производительности труда, за счет технического прогресса.
Необходимость перехода к интенсификации диктовалась тем обстоятельством, что экстенсивным путем невозможно увеличить производство в расчете на душу населения, повысить материальный уровень жизни людей. Между тем, мирные условия развития, когда не надо было уже концентрировать усилия на восстановлении хозяйства или индустриализации, выдвигали на первый план задачу именно повышения материального уровня жизни. Экстенсивный путь означает, что количество продукции на занятого в производстве работника не увеличивается, следовательно, не увеличивается оно и на душу населения. Увеличить производство на душу населения можно лишь через рост производительности труда. Следует оговориться, что практически не бывает «чисто» экстенсивного роста. В основе развития производства лежит сочетание экстенсивных к интенсивных факторов, так что можно говорить лишь о преобладании того или иного направления. Очевидно, исходя из задачи анализа интенсификации производства, следует анализировать развитие промышленности в 60-80-х годах.
На первый взгляд, промышленность в годы семилетки развивалась вполне успешно. Было намечено увеличить промышленное производство на 80%, а выросло оно на 84%, так что количественно план был перевыполнен. Произошли структурные сдвиги, отражавшие технический прогресс. Черная металлургия увеличила производство на 66-67%, а цветная — в 2-3 раза. Для изготовления новых машин требовалось не так много, как прежде, черного металла, зато больше — сплавов цветных металлов. Добыча угля выросла только на 16%, добыча нефти — в 2,2 раза. Новые двигатели требовали жидкого топлива. Химическая промышленность увеличила производство в 2,5 раза: рост выпуска синтетических материалов был одним из ведущих направлений в техническом прогрессе нового времени. Однако некоторые из этих прогрессивных структурных сдвигов происходили с запозданием: угольная промышленность и черная металлургия перешли в разряд «старых» отраслей уже после первой мировой войны. Теперь на первый план выдвигались отрасли научно-технической революции: роботехника, микроэлектроника и т.п. Впрочем, технический прогресс в годы семилетки выражался не только в структурных сдвигах. Именно в это время происходил переход к индустриальным методам в строительстве, когда детали здания готовились на заводе, а строительная площадка превращалась в сборочную. На железных дорогах переходили от паровозов к тепловозам и электровозам.
Но за годы семилетки темпы роста производительности труда не увеличились, а понизились. Сократилась фондоотдача, т.е. выпуск продукции на единицу основных фондов. Выпуск продукции вырос на 84%, а основные фонды промышленности — на 100%. А ведь при интенсификации фондоотдача должна расти: новые фонды — новая техника, более производительная. Таким образом, те показатели, которые отражают процесс интенсификации, свидетельствовали о замедлении этого процесса. Лозунг интенсификации не подкреплялся экономическими стимулами. Административная система исключала конкуренцию, а без нее предприятия не были заинтересованы в техническом прогрессе.
Поэтому в 1965 г. было принято решение о проведении экономической реформы — о переходе от административных к экономическим методам управления хозяйством. Экономические методы — использование экономических законов, рыночных отношений, материальной заинтересованности. Правда, как будто материальная заинтересованность у нас до этого использовалась: практиковалась сдельная оплата труда, тарифные ставки по квалификации, премии за перевыполнение плана и норм. Но при этом не учитывалось то обстоятельство, что работник в процессе производства не прямо связан с обществом, а через предприятие, что производственной единицей общества является именно предприятие. Использовалась материальная заинтересованность работника, но не предприятия.
По новому положению прибыль предприятия стали делить на две части. Одна по-прежнему передавалась государству, другая оставалась в распоряжении предприятия и расходовалась на обновление оборудования, на повышение заработной платы (точнее — на премии), на культурно-бытовые нужды работников предприятия. Таким образом, процветание коллектива предприятия в какой-то степени ставилось в зависимость от его рентабельности.
В связи с этим были изменены и плановые показатели работы предприятий, которыми оценивалась его деятельность. Прежде главным показателем считалась валовая продукция, т.е. общее количество произведенной продукции. Может быть, это была ненужная продукция, которая не находила спроса, но предприятие не отвечало за ее реализацию.
По новому положению на первый план в оценке деятельности предприятий были выдвинуты два других показателя: реализованная (проданная) продукция и рентабельность.
Новые показатели требовали увеличения хозяйственной самостоятельности предприятий, поэтому было принято «Положение о социалистическом предприятии», которое несколько расширяло их права. В новых условиях, чтобы обеспечить сбыт продукции, а не просто сдать ее на склад, надо было найти покупателей, заказчиков, заключить с ними контракты, а это, как предполагалось, было возможно только при достаточно высоком качестве продукции. И экономисты уже говорили, что со временем план предприятия будет комплектоваться на основе портфеля его заказов.
Таковы были основные направления экономической реформы 1965 г. Почему она не обеспечила переход к экономическим методам хозяйствования? Прежде всего потому, что сохранялся стереотип: социализм — это план, капитализм — это рынок. Хозрасчетные, товарно-денежные отношения были приняты лишь как дополнение к административному планированию. По-прежнему план определял объем продукции и другие показатели, и только сверхплановая продукция подпадала под действие рынка.
Фонд и размер заработной платы по-прежнему определялись сверху и обеспечивались за счет бюджета, и только премии зависели от прибыли. Но и эти премии из поощрения за хорошую работу превратились в узаконенную тринадцатую зарплату. Предполагалось, что в новых условиях хорошо работающие должны зарабатывать и жить намного лучше, чем плохо работающие. Но в это была внесена оговорка, что работники нерентабельных предприятий не должны страдать, что все трудящиеся должны иметь одинаковые условия. В результате у тех, кто добивался успехов, часть заработанного отбиралась и передавалась тем, кто сам не мог заработать. Тенденция уравниловки победила.
Реформа вообще не задела центральные органы управления хозяйством. Предполагались прямые торговые связи между предприятиями и, как следствие, конкуренция. Но это противоречило сохранявшейся системе централизованного распределения ресурсов. И план предприятия определялся не портфелем заказов, а тем количеством ресурсов, которое удавалось получить по линии Госснаба.
Сельское хозяйство в годы семилетки и новые задачи. Интенсификация в годы семилетки была принята как главное направление развития и сельского хозяйства. Но в отличие от промышленности, в сельском хозяйстве главное направление интенсификации — увеличение производства не на занятого работника, а на единицу площади используемой земли, т.е. увеличение производства на тех же площадях сельскохозяйственных угодий, следовательно, за счет роста урожайности, продуктивности животноводства. Рост производительности труда тоже входит в понятие интенсификации сельскохозяйственного производства, но уже в качестве второго по значению направления. Почему?
Земля — основа сельского хозяйства. Но площадь земли, которую можно использовать в сельском хозяйстве, ограничена. В нашей стране последним крупным шагом по увеличению посевных площадей стало освоение целинных земель. Дальнейшее увеличение производства за счет вовлечения в сельское хозяйство новых земель практически невозможно без нарушения экологического равновесия.


Экономическое развитие Западной Европы в эпоху феодализма


Экономическое развитие Западной Европы в эпоху феодализма Формированию феодализма в Королевстве франков VII—Х вв. предшествовала гибель рабовладельческого строя вместе с Римской империей. Но феодализм возник не сразу после гибели Рима. Обычное представление, что рабовладельческий строй непосредственно сменяется феодальным, не совсем точно. Чаще феодальный строй заново возникал из первобытнообщинного. Народы, которые завоевали Рим, находились на стадии первобытнообщинного строя и не переняли римских рабовладельческих порядков. Лишь через несколько веков у них появилось классовое общество, но уже в форме феодализма.
Почему мы рассматриваем формирование феодализма именно в королевстве франков? Потому что именно франки стали преемниками Рима в Западной Европе. Франки — одно из германских племен. Сначала они жили по Рейну, но в III в. начали свою экспансию и к VI в. завоевали центральную часть Западной Европы.
Что из себя представляло общество франков в период завоеваний? Племя франков делилось на общины — марки. Марка — это уже не родовая община, а сельская. Если родовая община — это большая семья, которая состояла из кровных родственников и вела общее хозяйство, то в марке только земля оставалась в общей собственности, но и она делилась для пользования между членами марки и каждая семья вела свое отдельное хозяйство. А дом, скот и все остальное имущество находилось уже в безусловной частной собственности.
Государства пока еще не было. У франков в это время был строй военной демократии, стадию которого переживали все народы на пороге классового общества. Верховным органом власти в племени было народное собрание, которое для ведения военных действий выбирало военного вождя. Естественно, в ходе завоеваний власть короля усиливалась, а власть народного собрания сходила на нет. Да и трудно теперь было собрать франков на одно собрание с огромной территории. Король стал превращаться в независимого от народа монарха, а вместе с ним возвышалась военная верхушка — королевские дружинники. Они уже не состояли в марках и часто были даже не франками, а галлами, римлянами — королю было выгодно привлекать на службу людей, не связанных с его народом. Иначе они могли бы от имени народа ограничивать его власть, а так они зависели от милостей короля.
Однако появление правящей верхушки — это еще не феодализм. Феодализм начинается с возникновения феодального землевладения.
В ходе завоеваний у франков рядом с общинной собственностью на землю появляется частная — аллод. В качестве вознаграждения за службу король стал раздавать землю своим дружинникам. Но поскольку они не состояли в общинах, земля им, естественно, давалась не в общинную, а частую собственность. Однако аллод оказался невыгодным для королевской власти: его владелец теперь должен был заниматься хозяйством вместо военной службы.
Поэтому в VIII в. короли франков вводят новую форму земельного владения — бенефиций. Бенефиций давался уже не в собственность, а только во владение при условии несения военной службы. Кроме того, бенефиций — это земля вместе с живущими на ней крестьянами, причем эти крестьяне обязаны нести феодальные повинности в пользу бенефициария.
Введение бенефициев было частью военной реформы, которая выдвигала на первый план новый род войска — тяжеловооруженную конницу в рыцарских доспехах. Эта рыцарская конница стала ядром, основной силой франкского войска, усилила боевую мощь франков и позволила завершить завоевания. Для службы в такой коннице надо было иметь постоянный и достаточно большой доход, который освобождал бы рыцаря от хозяйственных дел. Такой доход он и получал в виде феодальной ренты с живущих в бенефиции крестьян.
Со временем бенефиции стали превращаться из условного и временного владения в полную феодальную наследственную собственность. Не довольствуясь землями, пожалованными королем, феодалы увеличивали свои владения, захватывая новые земли с крестьянами. Но чаще крестьяне сами, добровольно, шли под власть феодалов.

Сельское хозяйство Западной Европы в период развитого феодализма В период феодализма развитие производительных сил было в основном чисто количественным, экстенсивным: распахивалось все больше земли, росло количество скота, и получалось соответственно больше продуктов земледелия и скотоводства. Повсеместно установилось трехполье. Пашня делилась на три поля: одно засевалось озимым хлебом, второе яровым, третье отдыхало под паром, и ежегодно происходило чередование полей.
Толчком к дальнейшему развитию отношений в сельском хозяйстве стали крестовые походы XI—XIII вв. До них быт, одежда и пища феодала принципиально не отличались от крестьянских. Но на Востоке рыцари-феодалы увидели роскошь верхов общества, которая служила показателем престижа: ведь по уровню цивилизации Восток тогда существенно превосходил Европу. И вернувшись домой, феодал уже стыдился носить домотканную одежду. Теперь ему нужны были тонкие восточные ткани, восточные пряности, дорогая посуда и мебель. Но все это не производилось в своем феоде, все это надо было покупать. А чтобы покупать, надо иметь деньги, т.е. продавать часть произведенного в феоде.
Феодальное хозяйство начинает терять свою замкнутость и натуральность, втягивается в торговлю, становится все менее феодальным. Этот процесс продолжался несколько веков и выражался в поочередной ликвидации форм феодальной ренты, в переводе их на деньги. Такой перевод феодальной ренты на деньги принято называть коммутацией.
Процесс этот имел особенности в различных странах. Во Франции процесс начался с ликвидации барщины. Барщина, т.е. принудительный труд крестьян в хозяйстве самого феодала — это то, что в феодализме осталось от рабства. При барщине у крестьянина нет материальной заинтересованности, поэтому производительность труда очень низкая. И барщину в первую очередь заменяли денежными платежами, т.е. денежным оброком. Ликвидация барщины означала ликвидацию собственного хозяйства, собственной пашни феодала: на ней было некому работать.
Крестьян коммутация связала с рынком, предоставила больше возможностей крестьянской инициативе. Не следует, однако, думать, что эта эволюция феодального способа производства давала крестьянам одни только преимущества. Продать на рынке продукцию, чтобы заплатить ренту деньгами, в уровнях слабого еще развития товарно-денежных отношений было труднее, чем отвезти эту продукцию на двор феодала. К тому же, кроме феодальной ренты, крестьяне должны были платить десятину церкви и растущие налоги государству. При переходе к денежной ренте у крестьян появился новый эксплуататор — ростовщик. Чтобы заплатить оброк и налог, крестьянин нередко был вынужден брать ссуду у ростовщика и попадал к нему в кабалу.
К тому же Франция в это время была ареной постоянных войн, разорявших крестьянское хозяйство. Деревни состояли из глиняных хижин под соломенными крышами, без окон. В тесном помещении ютилась семья вместе со скотом и домашней птицей. А крестьянские восстания во Франции следовали одно за другим.
В Англии феодальные отношения формировались в процессе двух завоеваний. В V в. она была завоевана германскими племенами англосаксов. Местное население, бритты, было частью истреблено, частью обращено в рабов и зависимых людей, а часть его бежала на континент и заселила нынешнюю Бретань. Появление зависимой группы бриттов стало толчком к началу феодализации. Впрочем, этот процесс тормозило то обстоятельство, что основную часть завоевателей составляли крестьяне-воины, которых подчинить феодалам было очень трудно.
Но в середине XI века Англия снова была завоевана Вильгельмом-завоевателем, герцогом Нормандии. Это и завершило процесс феодализации: завоевателями были норманны и франки, пришедшие с континента, где феодализм уже укоренился.
Одна из особенностей английского феодализма — очень слабая феодальная раздробленность. Частью это было связано с островным положением страны, частью с тем, что феодализм был установлен в процессе завоеваний. Это обстоятельство содействовало развитию торговли, складыванию внутреннего рынка и в целом ускоряло экономическое развитие Англии.
Другая особенность — ранняя специализация сельского хозяйства. Из-за климатических условий еще в XII в. ведущей отраслью стало овцеводство (разведение овец на шерсть). Но шерсть производилась прежде всего на продажу, поэтому сельское хозяйство стало товарным.
Развитие товарно-денежных отношений ускоряло экономические процессы, и коммутация в Англии прошла уже в XII—XIII вв. В XIV в. феодальная рента утратила прежнее значение. На первый план выдвинулись новые дворяне - джентри, которые уже не считали своей профессией военное дело, а занимались производством шерсти на рынок с использованием наемного труда. Торгуя шерстью, они постепенно сливались с буржуазией города. У английских дворян того времени было даже в обычае отправлять одного из сыновей на выучку к купцу.
Германия перешла к феодализму позже Англии и Франции. Это было связано с тем, что она находилась дальше от старых центров цивилизации, от Рима. Если Галлия была в прочной зависимости от Рима и испытала сильное влияние римской культуры, то Германию римляне так до конца и не завоевали. Поэтому экономические процессы там происходили с некоторым опозданием.
К тому же Германия была покрыта лесами, а леса тормозили развитие сельского хозяйства. Чтобы отвоевать землю у леса, нужен был коллективный, общинный труд, и это задержало разложение общины. Поэтому феодальные отношения здесь формировались лишь в XI—XIII в.
Развитие феодальных отношений в XII в. было приостановлено экспансией рыцарей на восток. До этого территория Восточной Германии была занята славяно-литовскими племенами, но в XII в. немецкие рыцари начали захватывать эти земли, оттесняя и истребляя местное население. Для колонизации новых владений приглашались крестьяне с запада, естественно, на льготных условиях. Наличие свободных для заселения земель задержало феодализацию.
Особенностью Германия было сильная и затянувшая феодальная раздробленность. В сущности, до 1871 г. Германии не было, мы лишь условно называем Германией множество мелких и крупных государств, которые потом были объединены в единое германское государство. Это значит, что Германия была и экономически раздробленной, что не существовало единого германского рынка. Главным результатом всех этих обстоятельств было то, что здесь вообще не было коммутации. Развитие товарно-денежных отношений, которое в Западной Европе вело к ликвидации крепостного права и появлению коммутации, в Германии было следствием усиления крепостничества.
В условиях феодальной раздробленности внутренний рынок сельскохозяйственной продукции еще не сложился, что тормозило рост товарности крестьянского хозяйства. Избыток сельскохозяйственной продукции шел преимущественно на экспорт, а продавать продукцию за границу у феодалов было больше возможности, чем у крестьян. Поэтому в торговлю, в товарное производство здесь втягивались не крестьяне, а сами феодалы. Но для продажи требовалось больше продукции, чем для личного потребления. Поэтому феодалы расширяли свои поля. Тем самым они увеличивали барщину, потому что поле феодала обрабатывается трудом крестьян. А барщина, как уже сказано, требовала крепостной зависимости крестьян, поэтому усиливалось и крепостничество. Крепостное право доходило здесь до степени рабства. Некоторые германские феодалы нашли, что очень выгодно продавать крестьян в солдаты, и тысячи немецких крестьян были проданы в солдаты в другие государства. Происходило, правда, все это позже, в XVI—XVIII вв.
Получался парадокс: втягивание сельского хозяйства в рыночные отношения, свойственные скорее капитализму, чем феодализму, вело к усилению крепостничества. А крепостничество принято считать одной из важных сторон феодализма. Однако крепостничество «второго издания» имело иное качество. Усиление крепостничества теперь не означало усиления феодализма. Это был лишь другой путь его разложения. Если, с одной стороны, реставрировались архаичная барщина и крепостничество, то, с другой стороны, развивалось крупное товарное производство в имениях феодалов, которое впоследствии стало базой «прусского пути» развития капитализма в сельском хозяйстве. Крепостничество стало тем инструментом, который позволял развить крупное товарное производство в интересах класса феодалов.
Итак, главным направлением развития феодализма в сельском хозяйстве Западной Европы был рост товарного производства, который в одних случаях выражался в коммутации, в других - во «втором издании крепостничества». Но сам рост товарности означал, в сущности, разложение феодализма, потому что классически «чистый» феодализм - это натуральное хозяйство. Сразу же после того, как феодальный способ производства сформировался, он стал разлагаться, готовя почву для следующего способа производства. «Чистого» феодализма почти не существовало. Феодализм, как и другие формации, в сущности был переплетением нескольких укладов.


Экономическое учение А.Маршалла


Экономическое учение А.Маршалла Альфред Маршалл (1842—1924) — один из ведущих представителей неоклассической экономической теории, лидер кембриджской школы маржинализма.
Главный труд А. Маршалла — шестикнижие «Принципы экономике» — издан в 1890 г. и впоследствии постоянно им дополнялся и перерабатывался в восьми вышедших при его жизни изданиях.
С точки зрения преемственности идей «классиков», А.Маршалл исследовал экономическую деятельность людей с позиций «чистой» экономической теории и идеальной модели хозяйствования, возможной благодаря «совершенной конкуренции». Но придя через новые маржинальные принципы к идее равновесия экономики, он характеризовал ее лишь как «частную» ситуацию, т.е. на уровне фирмы, отрасли (микроэкономики). Подобный подход стал определяющим как для созданной им кембриджской школы, так и для большинства неоклассиков конца XIX — первой трети XX в.
Термин «экономике» А.Маршалл ввел в первой же главе книги I «Принципов экономике», которая начинается со следующего определения: «Политическая экономия, или экономическая наука (Economics), занимается исследованием нормальной жизнедеятельности человеческого общества; она изучает ту сферу индивидуальных и общественных действий, которая теснейшим образом связана с созданием материальных основ благосостояния». Заметим, что автор всемирно известного учебника «Экономикс» П.Самуэльсон, говоря о том, что «само название предмета моей науки — «экономика» — подразумевает экономию или максимизацию», ссылается именно на «Принципы» А.Маршалла, полагая, что в них «большое внимание было уделено проблеме оптимального объема производства, при котором чистая прибыль достигает максимума».
В отличие от своих ортодоксальных предшественников, классиков, А.Маршалл считает нецелесообразным прибегать к определениям экономических категорий на каузальной основе, требующей «доказывать» те или иные сущностные разграничения. На его взгляд, судя по предисловию к первому изданию «Принципов», «в реальной жизни нет четкого разграничения между вещами, которые являются капиталом и не являются им, которые относятся к насущным жизненным средствам и не относятся к ним, так же, как между трудом производительным и непроизводительным».
А.Маршалл признает, что в современной ему экономике «распределение национального дивиденда плохое». Но если допустить «равное распределение национального дохода, — пишет он, — ...доходы народных масс — хотя они, конечно, значительно возрастут разово вследствие устранения всех неравенств — и близко не поднимутся даже временно к уровню, предсказываемому социалистическими ожиданиями золотого века.
Однако это осторожное мнение, — заключает ученый, — не означает молчаливого одобрения существующего неравенства богатства... Неравномерность богатства... серьезный дефект в нашем экономическом устройстве. Любое уменьшение его, достигнутое средствами, которые не подрывают мотивов свободной инициативы,.. было бы, по-видимому, явным общественным достижением».
Но центральное место в исследованиях А.Маршалла занимает проблема свободного ценообразования на рынке, характеризуемом им как единый организм равновесной экономики, состоящий из мобильных и информированных друг о друге хозяйствующих субъектов. Рыночную цену он рассматривает как результат пересечения цены спроса, определяемой предельной полезностью, и цены предложения, определяемой предельными издержками. А.Маршалл фактически сохранил заимствованную у «классиков» исходную позицию о совершенной конкуренции, предопределяющую положение о том, что цена задается рынком, а не предприятием. Кроме того, полагая, что каждый человек, приобретая вещь, исходит «из представляющихся ему возможностей или из складывающейся обстановки, или... из конъюнктуры», он вводит понятие «потребительский избыток». Последнее, на его взгляд, — это «разница между ценой, которую покупатель готов был бы уплатить, лишь бы не обойтись без данной вещи, и той ценой, которую он фактически за нее платит», т.е. «экономическое мерило его добавочного удовлетворения».
Одной из важных заслуг А. Маршалла является обобщение положений ранних маржиналистов о функциональной зависимости таких факторов, как цена, спрос и предложение. Он показал, в частности, что с понижением цены спрос растет, а с ростом цены — снижается и что, в свою очередь, с понижением цены предложение падает, а с ростом цены — растет.
Устойчивой, или равновесной, А.Маршалл считал такую цену, которая установлена в точке равновесия спроса и предложения (на графиках точку пересечения кривых спроса и предложения принято называть «крестом Маршалла»). Отсюда, как полагает А.Маршалл, если на рынке цена выше цены равновесия, то предложение превысит спрос и цена станет снижаться, и наоборот, если на рынке цена ниже цены равновесия, то спрос превысит предложение и цена станет повышаться.
В развитие теории «цены спроса» А.Маршалл выдвинул концепцию об «эластичности спроса». Последняя характеризуется им как показатель зависимости объема спроса от изменения цены. Он выявил разную степень эластичности спроса товаров в зависимости от структуры потребления, уровня доходов и других факторов, показал, что наименьшая эластичность спроса присуща товарам первой необходимости, но почему-то не признал подобное относительно предметов роскоши.
Но, по Маршаллу, существует особая зависимость влияния спроса и предложения на уровень рыночной цены от анализируемого периода времени. Рассматривая эту взаимосвязь «как общее правило», суть его он поясняет так: «Чем короче рассматриваемый период, тем больше надлежит учитывать в нашем анализе влияние спроса на стоимость, а чем этот период продолжительнее, тем большее значение приобретает влияние издержек производства на стоимость».1


Экономическое учение А. Смита


Экономическое учение А. Смита Предмет и метод изучения. Исторически сложилось так, что почти повсеместно формирование экономической науки чаще всего увязывается с именем и творчеством Адама Смита (1723—1790) — величайшего английского ученого-экономиста конца XVIII в. Эта «человеческая слабость» будет преодолена, очевидно, не скоро, ибо в отличие от естественных наук, требующих, как правило, представления о современном уровне знаний, экономическую науку едва ли можно постичь, не познакомившись с теоретическими воззрениями выдающихся экономистов классической политической экономии. В их числе Адам Смит является, несомненно, центральной фигурой. И хотя экономическая наука начинается действительно не с этого автора, но именно он, как сказал М.Блауг, стал тем, кто создал «первый в экономической науке полноценный труд, излагающий общую основу науки».
В своей книге «Исследование о природе и причинах богатства народов» (1776) он выделил центральную проблему, а именно экономическое развитие общества и повышение его благосостояния.
Уже первые слова, с которых начинается книга: «Годичный труд каждого народа представляет собою первоначальный фонд, который доставляет ему все необходимые для существования и удобства жизни продукты», позволяют понять, что экономика любой страны, по Смиту, развиваясь, приумножает богатство народа не потому, что этим богатством являются деньги, а потому, что его надо видеть в материальных (физических) ресурсах, которые доставляет «годичный труд каждого народа».
Таким образом, А.Смит с первой же фразы своей книги осуждает меркантилистское мышление, выдвигая для этого, казалось бы, совсем не новый аргумент о том, что сущностью и природой богатства является исключительно труд. Далее данную мысль он развивает весьма интересной концепцией роста разделения труда, а по сути, доктриной технического прогресса как основного средства роста богатства «любой страны во все времена».
Между тем величие А.Смита как ученого состоит в его экономических прогнозах и фундаментальных теоретико-методологических позициях, которые более чем на целое столетие предопределили и последующую экономическую политику многих государств и направление научного поиска огромной когорты ученых-экономистов. Чтобы объяснить феномен успеха А.Смита, прежде всего необходимо обратиться к особенностям его методологии.
Центральное место в методологии исследования А.Смита занимает концепция экономического либерализма, в основу которой, как и физиократы, он положил идею естественного порядка, т.е. рыночных экономических отношений. В то же время, в отличие, скажем, от Ф.Кенэ, в понимании А.Смита, и он это постоянно подчеркивает, рыночные законы лучшим образом могут воздействовать на экономику, когда частный интерес стоит выше общественного, т. е. когда интересы общества в целом рассматриваются как сумма интересов составляющих его лиц. В развитие этой идеи автор «Богатства народов» вводит ставшие затем знаменитыми понятия «экономический человек» и «невидимая рука».
В числе теоретических проблем, охваченных А.Смитом, нельзя обойти его концепцию о производительном труде. Это важно, несмотря даже на то, что современная экономическая наука отвергает ее основные постулаты. Дело в том, что автор «Богатства народов» вводит в третьей главе книги II понятие производительного труда, сформулировав его как труд, который «увеличивает стоимость материалов, которые он перерабатывает», а также «закрепляется и реализуется в каком-либо отдельном предмете или товаре, который можно продать и который существует по крайней мере некоторое время после того, как закончен труд». Соответственно, непроизводительный труд, по Смиту, — это услуги, которые «исчезают в самый момент их оказания», а труд для выполнения (оказания) которых «ничего не добавляет к стоимости,.. имеет свою стоимость и заслуживает вознаграждения, не закрепляется и не реализуется в каком-либо отдельном предмете или товаре, пригодном для продажи».
Доход рабочих, заработная плата, в смитовском рассмотрении, находится в прямой зависимости от уровня национального богатства страны. Достоинство его теории заработной платы состоит прежде всего в том, что, в отличие, скажем, от У.Петти, физиократов, а затем и Д.Рикардо, он отрицал так называемую закономерность снижения величины оплаты труда до уровня прожиточного минимума. Более того, по его убеждению, «при наличии высокой заработной платы мы всегда найдем рабочих более деятельными, прилежными и смышлеными, чем при низкой заработной плате,..». Разве что, предупреждает автор «Богатства народов», «хозяева всегда и повсеместно находятся в своего рода молчаливой, но постоянной и единообразной стачке с целью не повышать заработной платы рабочих выше ее существующего размера».
Экономическое учение Д. Рикардо Давид Рикардо (1772—1823) — одна из ярких личностей классической политической экономии Англии, последователь и одновременно активный оппонент отдельных теоретических положений наследия великого Адама Смита.
Со слов Д.Рикардо, экономическая наука вызвала у него особый интерес после обстоятельного знакомства в 1799 г. с «Богатством народов» А.Смита. С этого времени состоятельный человек Д.Рикардо занятиям по минералогии все более стал предпочитать политическую экономию, ищущую, как он понимал, ответы на вопросы о причинах материального богатства общества.
Начиная знакомство с лучшим произведением Д.Рикардо — «Началами политической экономии и налогового обложения» (а оно со времени своего первого издания в 1817 г. переиздавалось еще дважды), — обратим внимание на то, что уже в предисловии к книге он
в свойственной ему лаконичной форме высказал собственное понимание двух, на его взгляд, ключевых проблем экономической теории. Во-первых, солидаризируясь с А.Смитом, он также выделяет в обществе три основных класса (владельцы земли; собственники денег и капитала, необходимого для ее обработки; рабочие, трудом которых она обрабатывается) и три вида доходов (рента, прибыль, заработная плата). И во-вторых, дал свою трактовку «главной задачи политической экономии», заключающуюся, по его словам, в том, чтобы определить законы, которые управляют распределением доходов.
Аналогично концепции естественного порядка А.Смита, для приумножения богатства страны, рассматриваемого как соответствующая величина физического объема производства, Д.Рикардо главным условием считает свободную конкуренцию и другие принципы политики экономического либерализма. Это, в частности, видно из его недвусмысленного заявления о том, что только плодотворная страна, особенно если она разрешает свободный ввоз пищевых продуктов, может накоплять капитал в изобилии без значительного уменьшения нормы прибыли или значительного возрастания земельной ренты.
Из положений, высказанных Д.Рикардо в связи с характеристикой категории «стоимость», выделим еще два, которые по праву входят в «золотой фонд» классической политической экономии. Суть их состоит в следующем. Первое: деньги как товары при снижении своей стоимости обусловливают необходимость роста заработной платы, что в свою очередь «...неизменно сопровождается повышением цены товаров». И второе: деньги как всеобщее средство обмена между всеми цивилизованными странами «...распределяются между ними в пропорциях, которые изменяются с каждым усовершенствованием в торговле и машинах, с каждым увеличением трудности добывания пищи и других предметов жизненной необходимости для растущего населения».
Категорию «капитал» Д.Рикардо характеризовал как «часть богатства страны, которая употребляется в производстве и состоит из пищи, одежды, инструментов, сырых материалов, машин и пр., необходимых, чтобы привести в движение труд». Здесь его позиция в принципе созвучна с другими представителями классической политической экономии, обращавшимися к теории капитала, но, в отличие от них, он сумел показать, что из-за неравенства прибыли на вложенный капитал последний «...перемещается из одного занятия в другое».
Концепция Д.Рикардо о ренте сохраняет свою актуальность и в наше время. Главные ее идеи заключаются в том, что рента всегда платится за пользование землей, поскольку ее количество не беспредельно, качество — неодинаково, а с ростом численности населения обработке начинают подвергаться новые участки земли, худшие по своему качеству и расположению, затратами труда на которых определяется стоимость сельскохозяйственных продуктов. Как пояснял Д.Рикардо, «не потому хлеб дорог, что платится рента, а рента платится потому, что хлеб дорог», а сама «рента не есть составная часть цены товаров». Очевидно, что для Д.Рикардо, как и для других классиков, земля невоспроизводима и рассматривается как ресурс физический, а не экономический. Поэтому в его понимании не только земля, но и рента выступают в качестве «свободного дара земли». И поскольку ограниченный фонд земли используется только одним способом (например, как пашня или как пастбище), да еще и с закономерностью убывающей отдачи от нее (земли), Д.Рикардо высказывает предостережение: «Труд природы оплачивается не потому, что она делает много, а потому, что она делает мало. Чем скупее становится она на свои дары, тем большую цену требует она за свою работу».
Взгляды Д.Рикардо на заработную плату, или, как он писал, «естественную» и «рыночную цену труда», вероятнее всего, сложились под влиянием теоретических воззрений его друга Т.Мальтуса, «предупреждавшего» человечество о катастрофических последствиях, если темпы роста населения будут опережать прирост необходимых средств для существования людей.
Неоднозначные суждения высказал Д.Рикардо в связи с формированием, динамикой и перспективой роста прибыли предпринимателей. По этому поводу он вновь исходил из сомнительного положения о том, что «прибыль зависит от высокой или низкой заработной платы, а заработная плата — от цены предметов жизненной необходимости,.. потому что количество всех других потребных предметов может быть увеличено почти беспредельно». Как и в случае с заработной платой, в условиях свободной конкуренции, по мнению Д.Рикардо, «прибыль имеет естественную тенденцию падать, потому что с прогрессом общества и богатства требующееся добавочное количество пищи получается при затрате все большего и большего труда». Однако здесь же он вполне правомерно добавил следующее: «К счастью, эта тенденция, это, так сказать, тяготение прибыли приостанавливается через повторные промежутки времени благодаря усовершенствованиям в машинах, применяемых в производстве предметов жизненной необходимости, а также открытиям в агрономической науке, которые позволяют нам сберечь часть труда, требовавшуюся раньше, и таким образом понизить цену предметов первой необходимости рабочего».
Кроме того, Д.Рикардо был сторонником количественной теории денег, увязывая изменение их стоимости как товаров с их (денег) количеством в обращении.
Исследуя закономерности экономического развития общества, в котором господствуют принципы неограниченной свободной конкуренции предпринимателей и свободы торговли, Д.Рикардо, пожалуй, не предвидел того, что в условиях экономического либерализма (и это подтвердил практический опыт мировой цивилизации) неотвратимы ограничивающие их тенденции и, как следствие, кризисы несоответствия произведенной товарной продукции и услуг платежеспособному спросу на эти товары и услуги, т.е. так называемые кризисы перепроизводства (или, по другой трактовке, кризисы недопотребления). Подобный кризис впервые произошел в 1825 г. на родине ученого спустя два года после его смерти.
Сказанное свидетельствует о том, что Д.Рикардо признавал «закон рынков Сэя», т.е. догму о бескризисном и равновесном состоянии экономики при полной занятости. В частности, как бы в признание «закона Сэя» он писал: «Продукты всегда покупаются за продукты или услуги; деньги служат только мерилом, при помощи которого совершается этот обмен. Какой-нибудь товар может быть произведен в излишнем количестве, и рынок будет до такой степени переполнен, что не будет даже возмещен капитал, затраченный на этот товар. Но это не может случиться одновременно со всеми товарами».


Экономическое учение Дж.Б. Кларка


Экономическое учение Дж.Б. Кларка Джон Бейтс Кларк (1847—1938) — основатель американской школы маржинализма, внесший заметный вклад в формирование неоклассической экономической теории конца XIX в.
Сочинения этого ученого, в том числе фундаментальные, были опубликованы в 80-90-х гг. XIX в. Из них наиболее значимы книги «Философия богатства» (1886) и «Распределение богатства» (1899), в которых, особенно в последней, ему удалось углубиться в наиболее популярные в ту пору маржинальные идеи и обозначить неординарные положения и даже, как он называл их, «законы» экономической науки.
Лучшие его научные достижения необходимо рассматривать в двух аспектах: методологическом и теоретическом. В первом случае имеется в виду новизна методологии в рамках выдвинутого учения о трех естественных разделах (отделах) экономической науки. Во втором речь идет об обоснованном на микроэкономическом анализе так называемом законе предельной производительности факторов производства. С этой целью в дальнейшем изложении будем обращаться к уже упомянутому «Распределению богатства» Дж.Б. Кларка.
Структура данной работы весьма специфична. В первых двух главах из двадцати шести кратко сформулированы почти все ключевые идеи и трактовки. Из числа основных в несколько упрощенной редакции, но без ущерба содержанию приведем следующие.
1. «Распределение общественного дохода» регулируется общественным законом, который «при совершенно свободной конкуренции» может обеспечить каждому фактору производства создаваемую им сумму богатства.
2. «Богатство» — это количественно ограниченные источники материального человеческого благосостояния.
3. «Каждый фактор производства» имеет в общественном продукте ту долю богатства, которую именно он производит.
4. Разложение всего дохода общества на различные виды дохода (заработная плата, процент и прибыль) непосредственно и целиком является «предметом экономической науки».
5. Названные виды дохода получаются соответственно «за выполнение работы», «за предоставление капитала» и «за координирование заработной платы и процента».
6. При определении доходов «со здравым смыслом» ни один из «классов людей», занятых в производстве, не будет «иметь претензий друг к другу».
7. В экономическом смысле производство продукта не закончено до тех пор, пока представители торговли не довели его до покупателя и продажа состоялась, что являет собой «завершающий акт общественного производства».
Рассмотрим теперь специфическое учение Дж.Б. Кларка о разделах экономической науки, включающее в себя положения о статике и динамике и соответственно о статическом и динамическом типах производства. В нем выдвинута идея о том, что теория, базировавшаяся на старом, сбивающем с толку плане четырехчленного деления всей науки на производство, распределение, обмен и потребление, не могла, «как и в случае механики», решить предлагаемую прогрессом проблему всестороннего познания статических законов раньше, чем «законы движения могли быть поняты». Основной аргумент в пользу этой идеи — возможность в целях теоретического исследования создать в воображении статическое общество, так как «все естественные общества динамичны».
Как видим, исключительно теоретически, в исследовательских целях Дж.Б. Кларк считает целесообразным иную, чем предлагали до него, «границу между естественными отделами экономической науки». В результате появилась новая версия о ее границах, изложенная ученым так: «Мы имеем теперь перед собой границы трех естественных разделов экономической науки. Первый охватывает универсальные явления богатства. Второй включает социально-экономическую статику и говорит о том, что происходит далее с богатством... Третий отдел включает социально-экономическую динамику и говорит о том, что происходит с богатством и благосостоянием общества при том условии, если общество меняет форму и способы деятельности».
По мнению лидера американской школы, воображаемому статическому общественному производству присущ неизменный характер операций, связанных с постоянным выпуском одних и тех же видов благ при прежних технологических процессах, видах орудий и материалов, не позволяющих ни увеличивать, ни уменьшать величину доставляемого производством богатства. Кроме того, добавляет он, в состоянии социально-статического производства земля возделывается одними и теми же орудиями и получается один и тот же вид урожая, а на фабриках работают с теми же машинами и материалами, т.е. ничего не меняется в способе производства богатства или, другими словами, производительный организм сохраняет свою форму неизменной.
Итак, в состоянии статики можно констатировать движение как бы в замкнутой системе, что предопределяет равновесность и стабильность экономики. Но что же такое реальные динамические силы и порождающиеся ими в экономике отклонения и изменения? Что имел в виду исследователь, заявляя, что благодаря действию великих сил экономической динамики «нормальное богатство мира будет больше и естественный уровень заработной платы будет значительно выше в 2000 году, чем теперь»?
Обстоятельные суждения Дж.Б. Кларка в связи с поставленными вопросами мы находим в шестой главе «Распределения богатства». Прежде всего обратим внимание на названные им здесь общие виды изменений, которые образуют динамические условия, дестабилизирующие экономик)'. Их пять: 1) увеличение населения; 2) рост капитала; 3) улучшение методов производства; 4) изменение форм промышленных предприятий; 5) выживание более производительных предприятий вместо устраняемых менее производительных. Причем каждый вид рекомендуется выделять в качестве фактора, поддерживающего общество в динамическом состоянии и возвещающего о своем наличии воздействием на социальную структуру.
В конце главы, расценив исследования Д.Рикардо и его последователей как неосознанную попытку создать статический мир, не позволившую придать их собственной системе законченное и реалистическое научное построение, американский профессор излагает предположение о том, что люди еще до окончания XX в. будут знать о последствиях, к которым приводят факторы динамического состояния общества, и произойдет это благодаря «чистой теории экономической динамики», позволяющей провести качественный анализ явлений изменчивости и перенести теорию в новую плоскость, расширив во много раз предмет политической экономии.
В «Распределении богатства» Дж.Б. Кларк, будучи приверженным основополагающим принципам маржинализма, оперирует такими категориями, как «предельный рабочий», «предельный характер работы», «предельная полезность», «конечная полезность», «предельная производительность», и другими. Он всецело принимает и принцип приоритетности микроэкономического анализа, утверждая, в частности, что «жизнь Робинзона была введена в экономическое исследование вовсе не потому, что она важна сама по себе, а потому, что принципы, управляющие хозяйством изолированного индивидуума, продолжают руководить и экономикой современного государства». Но главная заслуга главы американской школы и одного из завершителей «маржинальной революции», приведшей к формированию неоклассической экономической теории, состоит прежде всего в разработке концепции распределения доходов на основе принципов предельного анализа цен факторов производства, которую в экономической литературе называют, как правило, законом предельной производительности Дж.Б. Кларка.
По мнению ученого, этот закон имеет место в условиях свободной (совершенной) конкуренции, когда мобильность всех хозяйствующих субъектов способствует достижению параметров равновесия экономики. Им даже признается, что основная идея закона, позволяющая вести речь о предельной отдаче каждого основного фактора производства для достижения наиболее эффективного (оптимального) производственного процесса, созвучна с суждениями И.Г. Тюнена.
Очевидно, исходя из данных соображений, Дж.Б. Кларк решил сосредоточиться на принципе убывающей предельной производительности однородных, т.е. обладающих одинаковой эффективностью, факторов производства. Это означает, что при неизменной капиталовооруженности предельная производительность труда начнет снижаться с каждым вновь привлеченным работником и, наоборот, при неизменной численности работающих предельная производительность труда может быть выше только благодаря возросшей капиталовооруженности.
Построив разработку своей теории предельной производительности на микроуровне и в основном на примере свободно функционирующего конкурентного предприятия, в восьмой главе «Распределения богатства» Дж.Б. Кларк утверждает о существовании некой «зоны безразличия» или «предельной сферы», которая в сфере работы каждого предприятия считается контролируемой.
В изложении содержательной части теории предельной производительности Дж.Б. Кларка примечательно и то обстоятельство, что, доказывая собственную позицию о природе происхождения процента на капитал, он не преминул напомнить и, по существу, поддержать во многом похожее суждение Э.Бем-Баверка о «теории ожидания».
Однако в принципе из «закона» предельной производительности Дж.Б. Кларка возможен удручающий вывод о том, что цена фактора производства обусловлена ее относительной дефицитностью. Это, в частности, наводит на мысль, что «справедливая заработная плата» всегда соответствует предельной производительности труда, а последняя может быть относительно ниже другого более производительного фактора, т.е. капитала. Сам Дж.Б. Кларк, похоже, не до конца осознавая возможный из его теории вывод, оставался уверенным в том, что «если они создают небольшую сумму богатства и получают ее полностью, им незачем стремиться к социальной революции...».
Таким образом, суть «закона» Дж.Б. Кларка сводится к следующему: фактор производства — труд или капитал — может приращиваться до тех пор, пока стоимость продукта, производимого этим фактором, не сравняется с его же ценой (например, численность работающих на предприятии возможно увеличивать лишь до определенного предела, т.е. пока данный фактор не вступил в «зону безразличия»). Действие этого «закона» в практике хозяйствования предполагает, что стимул увеличивать фактор производства исчерпывает себя, когда цена этого фактора начинает превышать возможные доходы предпринимателя. Следовательно, Дж.Б. Кларк является одновременно и предшественником современных теорий, связанных с проблематикой оптимизации структуры издержек производства.



Экономическое учение Дж.М. Кейнса и его последователей


Экономическое учение Дж.М. Кейнса и его последователей Мировой экономический кризис 1929-1933 гг. обрушился с колоссальной силой как на развитые, так и неразвитые в промышленном отношении страны. Поэтому именно в 1929-1933гг. закончился период «скрытого» развития экономики; то было время конца целого ряда старых и открытия новых технологических горизонтов, проблеска новой цивилизованной системы. Иными словами, 1930 г. положил предел тому типу роста, который был характерен для XIX в., и тщетно пытался сочетать старые, традиционные приемы использования пространства и материи с инновационными механизмами.
Если «сила» неоклассической экономической теории конца XIX — начала XX в. распространялась главным образом на микроэкономический анализ, то в условиях нетипичного, можно сказать, кризиса, сопровождавшегося всеобщей безработицей, стал необходим и иной - макроэкономический анализ, к которому, в частности, обратился один из величайших экономистов нынешнего столетия английский ученый Дж.М. Кейнс. Итак, мировой экономический кризис 1929-1933 гг. предопределил возникновение новых научных исследований, которые не утрачивают своей актуальности ив наши дни, ибо основное их содержание — это государственное регулирование экономики в рыночном хозяйстве. С тех пор берут свое начало нацеленные на решение этих проблем два теоретических направления. Одно из них опирается на учение Дж.М. Кейнса и его последователей и называется кейнсианским (кейнсианство), а другое, обосновывающее альтернативные кейнсианству концептуальные решения, называется неолиберальным (неолиберализм).
Джон Мейнард Кейнс (1883-1946) - выдающийся ученый-экономист современности. Он учился у не менее именитого ученого, основателя Кембриджской школы экономической мысли А.Маршалла. Но, вопреки ожиданиям, не стал его наследником и едва не затмил славу своего учителя.
Своеобразное  осмысление  последствий  самого  длительного  и  тяжелого экономического кризиса 1929-1933 гг. отразилось в совершенно неординарных в тот период положениях изданной Дж.М. Кейнсом в Лондоне книги под названием «Общая теория занятости, процента и денег» (1936). Это произведение принесло ему чрезвычайно широкую известность и признание, поскольку уже в 30-е годы послужило теоретико-методологической базой программ стабилизации экономики на уровне правительств в ряде государств Европы и США. А сам автор книги был советником в составе правительства Великобритании и разработал многие практические рекомендации в области экономической политики, что добавило к его научному успеху и значительное личное состояние, и высокое общественное положение. Ведь за всю парламентскую историю Великобритании Дж.М. Кейнс стал первым среди ученых-экономистов, кто был удостоен английской королевой титула лорда, дающего ему право участия в качестве пэра в заседаниях верхней палаты парламента в Лондоне.
В числе его публикаций: «Трактат о вероятности» (1921), «Трактат о денежной реформе» (1923), «Экономические последствия мистера Черчилля» (1925), «Конец свободного предпринимательства» (1926), «Трактат о деньгах» (1930) и некоторые другие, приближавшие великого ученого к самому главному, вышедшему в 1936 г. труду — «Общей теории».
По оценкам многих экономистов, «Общая теория» Дж.М. Кейнса явилась поворотным пунктом в экономической науке XX в. и во многом определяет экономическую политику стран и в настоящее время. Ее главная новая идея состоит в том, что система рыночных экономических отношений отнюдь не является совершенной и саморегулируемой и что максимально возможную занятость и экономический рост может обеспечить только активное вмешательство государства в экономику.
Новаторство экономического учения Дж.М. Кейнса в методологическом плане проявилось, во-первых, в предпочтении макроэкономического анализа микро-экономическому подходу, сделавшим его основоположником макроэкономики как самостоятельного раздела экономической теории, и, во-вторых, в обосновании (исходя из некоего «психологического закона») концепции о так называемом эффективном спросе, т.е. потенциально возможном и стимулируемом государством спросе. Опираясь на собственную, «революционную» по тем временам методологию исследования, Дж.М. Кейнс в отличие от своих предшественников и наперекор господствовавшим экономическим воззрениям говорил о необходимости недопущения с помощью государства урезания заработной толпы как основного условия ликвидации безработицы, а также о том, что потребление ввиду психологически обусловленной склонности человека к сбережению растет гораздо медленнее доходов.
По Кейнсу, психологическая склонность человека сберегать определенную часть дохода сдерживает увеличение дохода из-за сокращения объема капиталовложений, от которых зависит перманентное получение дохода. Что касается предельной склонности человека к потреблению, то она, по мнению автора «Общей теории», постоянна и может поэтому обусловливать устойчивое соотношение между увеличением инвестиций и уровнем дохода.
В методологии исследования Дж.М. Кейнса учитывается немаловажное влияние на экономический рост и неэкономические факторы, как-то: государства (стимулирующего потребительский спрос на средства производства и новые инвестиции) и психологии людей (предопределяющей степень осознанных взаимоотношений хозяйствующих субъектов). Вместе с тем кейнсианское учение являет собой по преимуществу продолжение основополагающих   методологических   принципов   неоклассического   направления экономической мысли, поскольку и сам Дж.М. Кейнс, и его последователи (впрочем, как и неолибералы), следуя идее «чистой экономической теории», исходят из приоритетного значения в хозяйственной политике общества прежде всего экономических факторов, определяя выражающие их количественные показатели и связи между ними, как правило, на базе методов предельного и функционального анализа, экономико-математического моделирования.
Дж.М. Кейнс не отрицал влияния меркантилистов на созданную им концепцию государственного регулирования экономических процессов. Его общие с ними суждения очевидны:
- в стремлении увеличения массы денег в стране (как средство их удешевления и соответственно снижения ставок ссудного процента и поощрения инвестиций в производство);
- в одобрении роста цен (как способ, стимулирующий расширение торговли и производства);
- в признании того, что недостаток денег служит причиной безработицы;
- в понимании национального (государственного) характера экономической политики.
В упомянутой «Общей теории» Дж.М. Кейнса отчетливо прослеживается мысль о нецелесообразности чрезмерной бережливости и накопительства и, наоборот, возможной пользе всемерного расходования средств, поскольку, как полагал ученый, в первом случае средства, скорее всего, приобретут неэффективную ликвидную (денежную) форму, а во втором — могут быть направлены на увеличение спроса и занятости. Он также резко и аргументирование критикует тех экономистов, которые привержены догматическим постулатам «закона рынков» Ж.Б. Сэя и другим сугубо «экономическим» законам, называя их представителями «классической школы».
В данной связи Дж.М. Кейнс, в частности, писал: «Со времен Сэя и Рикардо экономисты-классики учили: предложение само порождает спрос..., что вся стоимость продукции должна быть израсходована прямо или косвенно на покупку продуктов». На основании подтверждающих данный тезис выдержек из «Основ политической экономии» Дж.С. Милля и «Чистой теории национальных стоимостей» А.Маршалла Дж.М. Кейнс заключает, что у классиков и их преемников «теория производства и занятости может быть построена (как у Милля) на основе натурального обмена; деньги же никакой самостоятельной роли в экономической жизни не играют», поэтому «закон Сэя... равносилен предположению, что не существует препятствий к достижению полной занятости».
Но Дж.М. Кейнс делает контрвывод: «Психология общества такова, что с ростом совокупного реального дохода увеличивается и совокупное потребление, однако не в такой же мере, в какой растет доход». И в этом его недвусмысленная теоретико-методологическая позиция, в соответствии с которой для выявления причин неполной занятости и неполной реализации, неравновесности экономики, а также для обоснования методов ее внешнего (государственного) регулирования «психология общества» имеет не меньшее значение, чем «законы экономики».
Между тем наращивание инвестиций и обусловленный этим рост национального дохода и занятости населения может рассматриваться как целесообразный экономический эффект. Последний, получивший в экономической литературе название эффекта мультипликатора, означает, что «увеличение инвестиций приводит к увеличению национального дохода общества, причем на величину большую, чем первоначальный рост инвестиций». В специфичной разгадке механизма этого «эффекта» заключается ответ на вопрос, почему в научных изысканиях Дж.М. Кейнса столь много внимания уделено концепции мультипликатора, которую, по его словам, ввел в экономическую теорию еще в 1931 г. Ричард Фердинанд Кан.
Однако, характеризуя «мультипликатор занятости» Р.Ф. Кана как показатель, позволяющий измерять «отношение между увеличением совокупной занятости в отраслях, непосредственно связанных с инвестициями», рекомендуемый собственный коэффициент Дж.М. Кейнс назвал «мультипликатором инвестиций», который в отличие от мультипликатора Р.Ф. Кана характеризует положение о том, что «когда происходит прирост общей суммы инвестиций, то доход увеличивается на сумму, которая в К раз превосходит прирост инвестиций». Причина такого положения, подчеркивает Дж.М. Кейнс, заключается в постоянно упоминаемом им же «психологическом законе», в силу которого «по мере того, как реальный доход возрастает, общество желает потреблять постоянно уменьшающуюся его часть».


Экономическое учение Дж.С. Милля


Экономическое учение Дж.С. Милля Джон Стюарт Миллъ (1806—1873) — один из завершителей классической политической экономии и «признанный авторитет в научных кругах, чьи исследования выходят за пределы технической экономики».
Между тем позиции, принимаемые как «логический вывод» из учения Д.Рикардо, и позиции, демонстрирующие творческие достижения непосредственно Дж.С. Милля, сосредоточены в основном в его лучшем труде, полное наименование которого «Основы политической экономии и некоторые аспекты их приложения к социальной философии».
Как видно уже из книги I пяти книг, Дж.С. Милль принял рикардианский взгляд на предмет политической экономии, выдвинув на первый план «законы производства» и «законы распределения». Причем в последней главе книги III автор «Основ» почти повторяет своих предшественников по «школе», указывая, что «в экономическом развитии нельзя не считаться с возможностями сельского хозяйства».
В области методологии исследования Дж.С. Милля очевидно как повторение достигнутого классиками, так и существенное поступательное продвижение. Так, в седьмой главе книги III он солидаризируется со сложившейся концепцией «нейтральности» денег, и в ряде последующих глав этой книги несомненна его приверженность количественной теории денег. Отсюда из-за недооценки функции денег как меры ценности товарного запаса Дж.С. Милль дает упрощенную характеристику богатства. Последнее, на его взгляд, определяется как сумма покупаемых и продаваемых на рынке благ.
В то же время специфичным для методологии автора «Основ» является противопоставление законов производства и законов распределения. Первые, как он полагает, неизменны и заданы техническими условиями, т.е. наподобие «физических истин» они имеют характер, «свойственный естественным наукам», «в них нет ничего, зависящего от воли». А вторые, поскольку ими управляет «человеческая интуиция», таковы, «какими их делают мнения и желания правящей части общества, и весьма различны в разные века и в разных странах». Именно законы распределения, на которые влияют «законы и обычаи данного общества», предопределяют персональное распределение собственности посредством распределения доходов между «тремя основными классами общества».
Качество образования, по Миллю, выявляется не сразу, и чтобы не позволить правительству «лепить мнения и чувства людей, начиная с юного возраста», им рекомендуется не общедоступное государственное образование, а система частных школ или обязательное домашнее образование до определенного возраста. Государственные школы, по его мнению, могут быть исключением только для отдаленных районов. Общественный образовательный минимум, поставленный на частную основу, полагает автор «Основ», необходимо сочетать с системой государственных экзаменов (взимаемый с родителей налог за неуспех на экзамене явится компенсацией за продолжение образования), вменив в обязанность государства обеспечение «денежной поддержки начальной школы».\
Таким образом, отметим необходимость определения в процессе организации исследования конкретной рыночной ситуации соответствующего отношения к собственности как со стороны экономиста-исследователя, так и в самом экономическом явлении. Данное положение выступает фактором, определяющим характер связи частей интересующего явления. При этом обязательным является фиксация критерия оценки результатов исследования. Наиболее точно данная проблема отражается в исследовании периода зарождения рыночной экономики и предпринимательства (меркантилисты, физиократы, английская классическая школа, ранние представители социализма и т.д.).
11.3. Математические методы исследования экономики стратегические и математические методы оптимизации; теория игр; стохастические методы; экономические методы
Особое место при исследовании экономических отношений между субъектами экономики занимают математические методы, которые представляют собой инструментарий, позволяющий воспроизводить реально существующие экономические отношения посредством абстрагирования от незначительных моментов. Отображая различные фрагменты экономических отношений, математические методы позволяют в то же время исследовать рассматриваемое экономическое явление с различных позиций. Изучить данные вопросы дает использование учебной литературы по данному предмету: Замков 0.0., Толстопятенко А.В., Черемных Ю.И. Математические методы в экономике. М.: МГУ им. М.В. Ломоносова, Изд-во «ДИС», 1997.; Тихомиров Н.П., Попов В.А. Методы социально-экономического прогнозирования. М.: Изд-во ВЗПИ, А/О «Росвузнаука», 1992.; Основы экономического и социального прогнозирования. Под ред. Д.М. Крук, Лукин B.C., Мосин В.И. и др. М.: Высшая школа, 1985.
Экспертные методы исследований в экономике Начиная со второй половины XX в. экспертные метода»! находят большое применение в прогнозировании социально-экономических процессов, что обусловлено необходимостью предвидеть будущее явлений, закономерности развития которых не поддаются однозначной формализации. Прежде всего это относится к процессам, системное представление которых затруднено из-за наличия большого числа неоднозначных взаимосвязей между их элементамие отображения, причем развитие пр, имеющими, как правило, различную качественную природу. К тому же такие процессы часто имеют качественно неоднородные цели, не всегда сохраняющие определенность в ходе развития. В этих условиях трудно рассчитывать на разработку моделей, которые с достаточной степенью реальности отражали бы структуру процессов. Иными словами, реальная действительность часто оказывается настолько сложной, что самые детальные математические модели становятся непригодными для процессов может опережать их формальное познание.
Кроме того, использование формальных методов в прогнозировании в значительной степени ориентировано на достаточно полную и достоверную информацию. Вместе с тем, в современных условиях явление так быстро меняет характер, что информация о нем либо вообще отсутствует (как правило, это справедливо в отношении новых процессов), либо она устаревает и не отражает его приобретенные свойства, что затрудняет формализацию описания процесса и его взаимосвязей с внешней средой. Определенная часть экономических воздействий может носить случайный характер, закономерности (закон распределения воздействия) которого предвидеть или установить бывает весьма затруднительно по многим причинам (не повторяемости, изменчивости качественных и количественных характеристик и т.д.). Информация часто отражает только качественную сторону явления и не поддается однозначной количественной оценке. Вместе с тем, поскольку она показывает существенное воздействие на процесс воздействия реальных факторов на ход явлений, то ее нельзя не учитывать в прогнозе. В таких условиях практически невозможно какое-либо обобщение и распространение опыта прошлого на будущее, на чем, собственно, и основано использование многих формальных методов прогнозирования. Однако формальные методы не могут обеспечить необходимые результаты в отношении тех процессов, направления развития которых зависят от принимаемых решений. В основном это относится к частично или полностью управляемым процессам (различными способами достижению цели, когда любой из предлагаемых вариантов может приводить к совершенно разным побочным результатам).
Роль формального аппарата в экспертном прогнозировании сводится к уменьшению неопределенности картины будущего, отсеиванию случайных факторов, воздействующих на характер решения, выявлению оригинальных суждений, свободных от влияния устаревших «традиций». Однако формальные методы не избавляют исследователей от необходимости выбора прогнозного решения. Они лишь в некоторой степени облегчают его получение путем систематизации получаемой информации.1


Экономическое учение физиократов. Ф. Кенэ — основоположник школы физиократов


Экономическое учение физиократов. Ф. Кенэ — основоположник школы физиократов Франсуа Кенэ (1694—1774), признанный лидер и основоположник школы физиократов — специфического течения в рамках классической политической экономии. Слово «физиократия» имеет греческое происхождение и в переводе означает «власть природы». В этом смысле представители физиократизма исходили из определяющей роли в экономике земли, сельскохозяйственного производства.
По словам Ф.Кенэ, именно постоянно воспроизводимые богатства сельского хозяйства служат основой для всех профессий, способствуют расцвету торговли, благополучию населения, приводят в движение промышленность и поддерживают процветание нации. Иначе говоря, земледелие он считал основой для всей экономики государства.
В сочинениях Ф.Кенэ решительно осуждаются взгляды меркантилистов на экономические проблемы, что, по сути, явилось отражением нараставшей во Франции на протяжении ряда десятилетий неудовлетворенности состоянием сельского хозяйства, к которому привел так называемый кольбертизм времен короля Людовика XIV (это отмечал и А.Смит, характеризуя физиократию как реакцию на меркантилистскую политику Ж.Б. Кольбера). В них отражена его убежденность в необходимости перехода к фермерскому хозяйству как основе свободного (рыночного) механизма хозяйствования на принципах полной свободы ценообразования в стране и вывоза за границу сельскохозяйственной продукции.
Методологической платформой экономического исследования Ф.Кенэ стала разработанная им концепция о естественном порядке, юридической основой которой, на его взгляд, являются физические и моральные законы государства, охраняющие частную собственность, частные интересы и обеспечивающие воспроизводство и правильное распределение благ. Как утверждает ученый, частный интерес одного никогда не может быть отделен от общего интереса всех, а это бывает при господстве свободы. Мир идет тогда сам собой. Поэтому, по его мысли, желание наслаждаться сообщает обществу движение, которое становится постоянной тенденцией к возможно лучшему состоянию.
Одновременно Ф.Кенэ предупреждает, что верховная власть не должна быть аристократической или предоставленной крупным земельным собственникам; последние, соединившись вместе, могли бы образовать власть более могущественную, чем сами законы, поработить нацию, причинить своими честолюбивыми и жестокими распрями разорение, неустройства, несправедливости, наиболее зверские насилия и создать самую разнузданную анархию.
В теоретическом наследии Ф.Кенэ важное место занимает учение о чистом продукте, который сейчас называют национальным доходом. По его мнению, источниками чистого продукта являются земля и приложенный к ней труд людей, занятых в сельскохозяйственном производстве. А в промышленности и других отраслях экономики чистой прибавки к доходу не производится и происходит только смена первоначальной формы этого продукта. Рассуждая так, Ф.Кенэ не считал промышленность бесполезной. Он исходил из выдвинутого им же положения о производительной сущности различных социальных групп общества — классов. При этом Ф.Кенэ утверждал, что нация состоит из трех классов граждан: класса производительного, класса собственников и класса бесплодного; к производительному классу относил всех людей, занятых в сельском хозяйстве, включая крестьян и фермеров; к классу собственников — землевладельцев, включая короля и духовенство; к бесплодному классу — всех граждан вне земледелия, т.е. в промышленности, торговле и других отраслях сферы услуг.
Вместе с тем, Ф.Кенэ отнюдь не тенденциозен, подразделяя общество на классы, поскольку, как он полагал, «трудолюбивые представители низших классов» вправе рассчитывать на работу с выгодой. Зажиточность возбуждает трудолюбие потому, что люди пользуются благосостоянием, которое оно доставляет, привыкают к удобствам жизни, к хорошей пище и одежде и боятся бедности и, как следствие, воспитывают своих детей в такой же привычке к труду и благосостоянию, а удача доставляет удовлетворение их родительским чувствам и самолюбию.
Ф.Кенэ принадлежит первое в истории экономической мысли достаточно глубокое теоретическое обоснование положения о капитале. Если меркантилисты отождествляли капитал, как правило, с деньгами, то Ф.Кенэ считал, «что деньги сами по себе представляют собой бесплодное богатство, которое ничего не производит». По его терминологии, сельскохозяйственные орудия, постройки, скот и все то, что используется в земледелии в течение нескольких производственных циклов, представляют «первоначальные авансы» (по современной терминологии — основной капитал). Затраты на семена, корма, оплату труда работников и другие, осуществляемые в период одного производственного цикла (обычно до года), он относил к «ежегодным авансам» (по современной терминологии — оборотный капитал). Но заслуга Ф.Кенэ состоит не только в подразделении капитала на основной и оборотный по его производительному признаку. Кроме того, он смог убедительно доказать, что в движении находится наряду с оборотным и основной капитал.
О торговле Ф.Кенэ высказал ряд интересных и неординарных суждений. Так, признавая торговлю «бесплодным занятием», он в то же время предостерегал от ложного впечатления, что благодаря всемирной конкуренции она становится вредной и что иностранные купцы увозят и расходуют на своей родине то вознаграждение, которое им уплачивают за оказанные в данной стране услуги, и, таким образом, этим вознаграждением обогащаются прочие нации. Не соглашаясь с таким заблуждением, Ф.Кенэ утверждал, что необходима только «абсолютная свобода торговли» как условие расширения торговли, изгнания монополии и сокращения торговых издержек.
Наконец, расскажем коротко о знаменитой «Экономической таблице» Ф.Кенэ, в которой выполнен первый научный анализ кругооборота хозяйственной жизни, т.е. общественного воспроизводственного процесса. Идеи этой работы свидетельствуют о необходимости соблюдения и обоснованного прогнозирования определенных народнохозяйственных пропорций в структуре экономики. Им выявлена взаимосвязь, которую он характеризовал так: «Воспроизводство постоянно возобновляется издержками, а издержки возобновляются воспроизводством».
Рассматривая «Экономическую таблицу» Ф.Кенэ как первую попытку макроэкономического исследования, тем не менее нетрудно заметить в ней формальные недостатки. Среди них следующие: простая иллюстрация взаимозависимости отраслей; обозначение так называемого непроизводительного сектора, обладающего основным капиталом; признание экономической деятельности на земле источником чистого дохода, не выясняя механизма превращения земли в источник ценности, и т.д.


Экономическое учение Ж.Б, Сэя


Экономическое учение Ж.Б, Сэя Жан Батист Сэй (1767—1832) — последовательный и значительный продолжатель творческого наследия А.Смита в первой трети XIX в. во Франции, абсолютизировавший идеи своего кумира об экономическом либерализме, стихийном рыночном механизме хозяйствования.
Отметим, что Ж.Б. Сэй, как и другие классики, конструировал политическую экономию по образцу точных наук, таких, например, как физика. В методологическом плане это означает признание законов, категорий и теории, имеющих универсальное и первостепенное значение. Но нельзя не сказать также о том, что, по Сэю, назначение политической экономии всего лишь теоретическое и описательное.
Ж.Б. Сэй снискал себе несомненный авторитет последователя А.Смита, безоговорочно приняв принципы свободы рынков, ценообразования, внутренней и внешней торговли (фритредерство), неограниченной свободной конкуренции предпринимателей и недопустимости никаких проявлений протекционизма и возведя эти принципы в ранг абсолюта. В случае их принятия он предвещал человечеству объективную невозможность ни перепроизводства, ни недопотребления общественного продукта, т.е. экономических кризисов. Положение Ж.Б. Сэя о реализации общественного продукта позже получило название «закона рынков», или просто «закона Сэя», и разделяли этот «закон» не только столпы классической политической экономии Д.Рикардо, Т.Мальтус и др., но и экономисты многих других школ экономической мысли вплоть до начала XX в. Как образно выразился в данной связи Дж.К. Гилбрейт, принятие или непринятие человеком «закона Сэя» было до 30-х гг. XX в. основным признаком, по которому экономисты отличались от дураков.
В истории экономических учений имя Ж.Б. Сэя ассоциируется, как правило, с образом ученого, беззаветно верившего в гармонию интересов классов общества в условиях рыночных экономических отношений и проповедовавшего для их утверждения принципы смитовской концепции экономического либерализма, саморегулируемости экономики. Критика основных идей Ж.Б. Сэя, в том числе и той, что принято называть «законом Сэя», по которой экономические кризисы появляются закономерно, несмотря на многочисленные в этой связи попытки опровержения социалистами-утопистами и марксистами, более чем 100 лет (т.е. до появления экономического учения Дж.М. Кейнса) оставалась для теории и практики мирового хозяйства недостаточно убедительной.
Однако чем же можно объяснить «долгожительство» концепции Ж.Б. Сэя о беспрепятственной и полной реализации общественного продукта и о бескризисном экономическом росте, воплотившейся в так называемом законе рынков? Здесь, пожалуй, можно указать на три обстоятельства, своими корнями уходящие в наследие А.Смита. Во-первых, смитовский «естественный порядок» предполагает гибкость цен и гибкость заработной платы, взаимовыгодный при пассивной роли денег обмен трудом и результатами своего труда всех субъектов рынка. С учетом этого, по «закону Сэя», иной ход вещей совершенно неприемлем. Во-вторых, также «благодаря» А.Смиту, «закон Сэя» исключает всякое вмешательство в экономику извне. В нем поддерживается требование о минимизации бюрократического по своей природе государственного аппарата, недопущении протекционизма. И в-третьих, «закон Сэя» предрекает поступательное развитие рыночных экономических отношений и общества на базе достижений научно-технического прогресса.
Итак, квинтэссенция «закона Сэя» состоит в том, что при достижении и соблюдении обществом всех принципов экономического либерализма производство (предложение) будет порождать адекватное потребление (спрос), т. е. производство товаров и услуг в условиях смитовского «естественного порядка» обязательно порождает доходы, на которые эти товары и услуги свободно реализуются. Подобным образом «закон Сэя» воспринимался всеми сторонниками концепции экономического либерализма, полагавшими, что гибкое и свободное ценообразование на рынке будет приводить к почти мгновенной реакции на изменения в конъюнктуре хозяйства, являясь гарантией саморегулируемости экономики.
Вместе с тем, примечательно то обстоятельство, что сам Ж.Б. Сэй фразу «предложение создает соответствующий ему спрос» никогда не использовал, а изобретена она была Дж.М. Кейнсом. Последний, очевидно, прибег к ней, чтобы опровергнуть главную мысль Ж.Б. Сэя о том, что только тот или иной товар в отдельности может быть произведен в избытке, но никогда не все товары сразу. При этом классиком, по Кейнсу, является любой автор, разделявший «закон рынков Сэя».
К.Маркс, считавший себя продолжателем учения не только А.Смита, но и Д.Рикардо, особо резко критиковал последнего и всех тех, кто разделял положение Ж.Б. Сэя о невозможности экономических кризисов. В своей теории общественного воспроизводства К.Маркс, как известно, доказывал неизбежность периодических (циклических) кризисов перепроизводства. Он, кроме того, считал неприемлемыми трактовки экономических кризисов как кризисов недопотребления, как это следовало из трудов Т.Мальтуса, социалистов-утопистов, а также С.Сисмонди, П.Прудона и некоторых других экономистов.
Наряду с Д.Рикардо экономические взгляды Ж.Б. Сэя получили определенное одобрение и отражение в трудах Т.Мальтуса. В частности, популярная на значительном протяжении XX в. теория издержек производства Мальтуса практически целиком зиждется на положениях выдвинутой немногим ранее него Ж.Б. Сэем теории трех главных факторов производства: труда, капитала и земли. Это еще раз говорит о полярности «извлечений», сделанных последователями творческого наследия А.Смита.
Экономическое учение Т.Мальтуса Томас Роберт Мальтус (1766—1834) — видный представитель классической политической экономии Англии. Творчество этого ученого формировалось в основном в первой четверти XIX в., но результаты его научных изысканий ценны и для современной экономической теории.
Т.Мальтус написал и опубликовал книгу «Опыт о законе народонаселения». В чем же состоит новизна и оригинальность теории народонаселения Т.Мальтуса, принесшая ему, говоря словами М.Блауга, совершенно невероятный успех, ни с чем не сравнимый в истории экономической мысли. Соображения самого М.Блауга на этот счет сводятся к следующему:
Т.Мальтус явился создателем теории народонаселения, из которой вытекают определенные аналитические выводы, превратившие ее в неотъемлемую часть наследия классической экономической мысли. Эта теория стала неким стандартом в суждениях классиков об экономической политике, сводя причину бедности к простому соотношению темпа прироста населения с темпом прироста жизненных благ, определяющих прожиточный минимум. По Мальтусу, всякая сознательная попытка усовершенствования человеческого общества с помощью социального законодательства будет сметена неодолимой людской массой, и поэтому каждому человеку необходимо заботиться о себе самому и полностью отвечать за свою непредусмотрительность.
В самом деле, биологическую способность человека к продолжению рода Т.Мальтус характеризует его природными инстинктами так же, как и у животных. Причем эта способность, полагает он, несмотря на постоянно действующие принудительные и предупредительные ограничения, превосходит физическую способность человека наращивать продовольственные ресурсы. Столь простые и не требующие дополнительных аргументов и фактов идеи стали истинной причиной многочисленных и неоднозначных откликов на теорию Т.Мальтуса.
Резюмируя все «за» и «против» в связи с «Опытом» Т.Мальтуса, М.Блауг утверждает:
«Неверные прогнозы мальтусовской теории народонаселения объясняются тем, что мотивы к ограничению рождаемости вовсе не были независимы от исхода гонки между величиной населения и объемом средств существования». Поэтому он делает вывод о том, что даже в результате столетней дискуссии по поводу теории народонаселения этого автора его теорию можно интерпретировать так, чтобы она соответствовала критерию опровержимости (в этом виде она и была опровергнута).
Обращает на себя внимание то, что критиками творчества Т.Мальтуса, как правило, замалчивается или упоминается вскользь сам факт многолетних дружественных отношений и научных контактов между ним и Д.Рикардо. В лучшем случае их дружба и сотрудничество преподносятся как нечто случайное, обусловленное идейными спорами и разногласиями «разных» по призванию коллег.
Между тем Т.Мальтус и Д.Рикардо имели немало общих суждений по социально-экономическим и общественным проблемам. Например, Д.Рикардо разделял «железный закон заработной платы» Т.Мальтуса, которой вытекает из его теории народонаселения и в соответствии с которым зарплата в обществе якобы не может расти, неизменно оставаясь на низком уровне.
Почти идентичными по существу были и теории стоимости Т.Мальтуса и Д.Рикардо, имея в виду не только затратный принцип, который лежит в их основе, но и сделанные к ним личные комментарии. В частности, в очередном издании своих «Начал» в главе «О стоимости» Д.Рикардо добавил примечание с полной выдержкой сравнения трудовой теории и мальтусовской теории издержек в «Принципах политической экономии», на которые ответил: «Г-н Мальтус думает, по-видимому, что, согласно моей теории, издержки производства какой-либо вещи и стоимость ее тождественны; это так, если он под издержками понимает издержки производства, включающие прибыль».
К сказанному добавим также, что Т.Мальтус фактически повторил Д.Рикардо в освещении теории прибыли. Последнюю оба автора представляли себе в качестве составной части цены. Причем, по формулировке Т.Мальтуса, для ее выявления из стоимости (цены) товара следует вычесть издержки в процессе производства на труд и капитал.
Личный вклад Т.Мальтуса в разработку классической политической экономии и концепции рыночных экономических отношений отнюдь не ограничивается выявлением взаимосвязи экономических процессов и природы или полемикой с Д.Рикардо, помогавшей обоим ученым вносить коррективы в свои теоретические и методологические позиции. Важный аспект, в котором Т.Мальтус пошел дальше Д.Рикардо и других экономистов той поры и который остался в истории экономической мысли, — это его исследование проблем реализации совокупного общественного продукта. Дело в том, что в соответствии с достигнутым к началу XIX в. «классической школой» уровнем экономической теории (особенно «благодаря» А.Смиту и Д.Рикардо) ключевой проблемой в экономике считалось накопление, обеспечивающее инвестирование дальнейшего роста производства. Возможные трудности в потреблении, т.е. реализации производимой товарной массы, во внимание не принимались и оценивались как частное преходящее явление. И это несмотря на завершившийся к тому времени в развитых европейских странах промышленный переворот, который сопровождался и такими новыми социальными невзгодами, как разорение в конкурентной борьбе мелких собственников-предпринимателей и безработица.
Учитывая определенную тенденциозность суждений своих предшественников и современников «по школе» о производительном и непроизводительном характере труда различных «классов» общества, Т.Мальтус в «Принципах» выдвинул неожиданное в ту пору положение о недостижимости достаточного спроса и полной реализации производимого общественного продукта без посильного и столь же необходимого участия в этом наряду с производительными классами и «непроизводительных классов». Тем самым Т.Мальтус бросил смелый вызов тем, кто допускал абсурдную мысль о паразитизме огромных масс людей, относимых к непроизводительным классам из-за их деятельности, скажем, в вооруженных силах (армии) или религиозных и административных учреждениях и т.п. По мнению Т.Мальтуса, чиновничество и другие непроизводительные слои общества представляют собой совокупность «третьих лиц», содействующих и созданию, и реализации общественного продукта. В частности, по Мальтусу, интересы землевладельцев отнюдь не противоречат всегда интересам остального общества — напротив, экономическое процветание зависит от процветания класса лендлордов.
Исходя из этого заблуждения о «самоуничтожающихся сбережениях», Т.Мальтус, как и Д.Рикардо, считает, что пределов для расширения производства не существует, а на вопрос о масштабах перепроизводства отвечает: «Вопрос о перепроизводстве состоит исключительно в том, может ли оно быть всеобщим, так же, как и затрагивать отдельные сферы экономики, а не в том, может ли оно быть перманентным, так же, как и временным». Следовательно, по Мальтусу, в отличие от Рикардо, возможны не только частные, но и общие кризисы. Но при этом оба они единодушны в том, что любые кризисы — явления временные, и в этом смысле доводы об их отступничестве от постулатов «закона Сэя» исключаются.
Более 100 лет спустя Дж.М. Кейнс признал, что именно Т.Мальтус явился для него тем автором, кто вооружил его антикризисными идеями о факторах «эффективного спроса», роли в потреблении произведенного продукта промежуточных слоев общества и др.
Они заключаются в следующем:
1) уничтожение наемного труда при помощи кооперативной производительной ассоциации;
2) социализация земельной ренты при помощи земельного налога;
3) ограничение неравенства богатства при помощи ограничения права наследования.


Экономика особых экономических форм и организаций


Общая экономическая теория — это общественная наука, которая изучает поведение людей и групп в производстве, распределении, обмене и потреблении материальных благ в целях удовлетворения потребностей при ограниченных ресурсах (понимая это не в физическом смысле, хотя это имеет место, а как невозможность полного удовлетворения потребностей всех членов общества одновременно и полностью), что порождает конкуренцию за их использование.
Такая характеристика предмета общей экономической теории не означает отказ от исследования производственных отношений. Это те же производственные отношения, но акцент делается не на объекте отношений (средства производства, предметы потребления), а на субъекте этих отношений — человеке. Такой акцент чрезвычайно важен для социально ориентируемого рыночного хозяйства, на формирование которого направлены современные преобразования в России.
Постоянное увеличение материальных и духовных благ, поступление их в обмен обуславливают экономический рост общества. Общественный рост — показатель и источник экономической динамики. Экономическая теория изучает закономерности и факторы экономического роста в пофазной динамике воспроизводства: производстве,
распределении, обмене, потреблении. Возобновление производства и его экономический рост происходят на уровне отдельного предприятия (фирмы) и в общественном масштабе. В связи с этим экономическая теория структурно включает микроэкономику (поведение отдельных экономических субъектов) и макроэкономику (поведение или функционирование национальной экономической системы в целом); можно также выделить мезоэкономику (поведение определенных подсистем национальной экономики или отраслей народного хозяйства) и супермакроэкономику (поведение мировой экономики в целом).
Закономерности и факторы экономического роста предопределяют цели, ради которых они используются. И зарубежные, и отечественные экономисты при огромном многообразии оценок экономических явлений сходятся в том, что цель экономического роста достигается во имя человека, удовлетворения его материальных и духовных потребностей, усиления нравственных основ в развитии общества. Материальное положение, знания, навыки, способности человека образуют «человеческий капитал». Он — источник роста уровня жизни, инвестиции в «человеческий капитал» увеличивают общий экономический рост национальной и мировой экономики.
При изучении предмета экономической теории с целью более четкого его осмысления целесообразно выделять:
- сферу исследования — экономическая жизнь или среда, в которой осуществляется хозяйственная деятельность;
- объект исследования     — экономические явления;
- субъект исследования   — человек, группа людей, государство;
- предмет исследования  — жизнедеятельность «экономического человека», группы людей и государства, их экономическое поведение в связи с той экономической средой, в которой они находятся.
При этом важно подчеркнуть, что основная задача экономической теории — дать не. просто описание экономических явлений, а показать их взаимосвязь и взаимообусловленность, т.е. раскрыть систему экономических явлений, процессов и законов. В этом ее отличие от конкретных экономических дисциплин.
Еще представитель исторической школы К.Менгер подчеркивал, что экономическое знание дает не одна экономическая наука, а целая сеть самостоятельных конкретных экономических дисциплин с особыми задачами, предметами и логическими приемами. Конкретные экономические дисциплины вырабатывают систему правил, необходимых для практической деятельности, и потому относятся не к области обшей теории, а к искусству хозяйственной практики.1
Устойчивое понимание экономических процессов, основанных на использовании критериальное™ исследовательских действий экономиста, выступает возможностью выполнения условия доступности результатов в дальнейшем экономическом развитии. К такому условию относится, прежде всего, понимание взаимосвязи причины и ее следствия с точки зрения экономики всего национального хозяйства, включающего отрасли материального производства и нематериальной сферы. В этой связи следует отметить, что мы применяем однозначное толкование терминов как в частных разделах экономической теории, так и во введении в экономику, создавая основу для более глубокого теоретического и практического исследования.
Экономическая теория является методологическим фундаментом целого комплекса наук: отраслевых (экономика торгового дела, промышленности, транспорта, строительства и т.д.); функциональных (финансы, кредит, маркетинг, менеджмент, прогнозирование и др.); межотраслевых (экономическая география, демография, статистика и др.).
Экономическая теория — одна из общественных наук, наряду с историей, философией, правом и др. Она призвана раскрыть определенную часть социальных явлений жизнедеятельности человека, наука права — другую, наука нравственности — третью и т.д., и только совокупность теоретических социальных и исторических наук в состоянии объяснить нам всю общественную жизнь.
Экономическая теория учитывает знания, достигнутые конкретными экономическими науками, а также социологией, психологией, историей и др., без учета которых полученные экономической теорией выводы могут оказаться ошибочными или ложными.
Связь экономической теории с другими экономическими науками в самом общем виде можно представить в виде следующей схемы (схема 11.1.1.).


Взаимосвязь экономических наук
 Схема 11.1.1.
Конкретно-экономические науки
Экономика отраслей Экономика предприятий Экономика стран и т.д.
Экономика особых экономических форм и организаций
Общая экономическая теория (политэкономия)
Информационно-аналитические науки
Финансы Кредит Маркетинг Экономика природопользования и т.д.
Экономико-математические методы Статистика Анализ хозяйственной деятельности


Историко-экономические науки


История экономической мысли История народного хозяйства

Практическая значимость экономической теории (известная формула О.Конта) состоит в том, что знание ведет к предвидению, а предвидение — к действию. Экономическая теория должна лежать в основе экономической политики, а через нее пронизывать область житейской практики. Действие (практика) ведет к знанию, знание — к предвидению; предвидение — к правильному действию.
Экономическая теория — это не набор правил о том, как стать богатым. Она не дает готовых решений для всех проблем. Теория — лишь инструмент, способ осмысления экономической действительности. Владение этим инструментом, знание основ экономической теории помогут каждому сделать правильный выбор во многих жизненных ситуациях.
При исследовании экономических явлений очень важно отрешиться от всех симпатий и антипатий, личных выгод и интересов, стараться высказывать лишь истину в том виде, как. она представляется, помня прекрасную формулу французской судебной присяги: «Я скажу правду, всю правду, ничего кроме правды».
Курс экономической теории — это научное руководство к познанию экономической действительности без претензий на монополию истины.1
Причинно-следственная связь экономических явлений выявляется через экономический анализ. Любой экономический анализ представляет собой:
- расчленение изучаемого явления на отдельные элементы и нахождение (выбор) показателей (индикаторов), характеризующих состояние и динамику каждого элемента;
- сравнение численных значений выбранных показателей со значениями базового периода (с другими периодами), с показателями других аналогичных объектов (с развитием других сторон, предприятий, товаров и т.д.), с нормативным (эталонным) уровнем;
- формулирование выводов, служащих основой для принятия эффективных решений и возможности рассмотрения исследуемого явления с иных позиций.
Таким образом, открывается реальная возможность рассмотрения исследуемых экономических отношений с иных позиций посредством изучения основ экономического анализа.
Отсюда следует, что для серьезного аналитического изучения экономических проблем вопросы методологии имеют первостепенное значение.
Методология — это наука о методах.
Методология экономической теории — наука о методах изучения хозяйственной жизни, экономических явлений. Она предполагает наличие общего подхода к изучению экономических явлений, единое понимание действительности, единую философскую основу. Методология призвана помочь решить главный вопрос: с помощью каких научных способов, приемов познания действительности экономическая теория добивается истинного освещения функционирования и дальнейшего развития той или иной экономической системы. В методологии общей экономической теории можно выделить четыре главных подхода:
1) субъективистский (с позиций субъективного идеализма);
2) неопозитивно-эмпирический (с позиций неопозитивистского эмпиризма и скептицизма);
3) рационалистический;
4) диалектико-материалистический.
При субъективистском подходе в качестве исходного пункта анализа экономических явлений берется хозяйствующий субъект, воздействующий на окружающий мир, причем суверенное «Я» абсолютно независимо, поэтому все равны. Объектом экономического анализа является поведение субъекта экономики («гомоэкономикса»),поэтому теоретическая экономика рассматривается как наука о человеческой деятельности, определяемой границами потребностей. Главная категория при таком подходе — потребность, полезность. Экономика становится теорией выбора, осуществляемого хозяйствующим субъектом из различных вариантов.


Экономико-математическая модель


Любой экономический процесс содержит в своей основе исходный фрагмент своего развития. Наличие или поиск сведений об этом фрагменте выступает ресурсом для принятия решения в рамках анализа конкретного экономического процесса. При этом изучение экономических процессов и систем путем построения их моделей является наиболее экономичным способом для принятия наиболее эффективного решения. Таким образом, способы понимания поведенческих, организационных и технических взаимосвязей могут быть представлены в теории моделей.
В экономическом и социальном прогнозировании широко используются различные модели. Слово «модель» произошло от латинского «modulus», означающего меру, образец. В науке термин «модель» означает какой-либо условный образ объекта исследования, а в экономическом и социальном прогнозировании — образ экономических или социальных процессов.
Модель является одним из важнейших инструментов экономического прогнозирования, научного познания исследуемого процесса. Содержанием процесса моделирования является конструирование модели на основе предварительного изучения объекта или процесса, выделения его существенных характеристик или признаков, теоретический и экспериментальный анализ модели, сопоставление результатов моделирования с фактическими данными об объекте или процессе, корректировка и уточнение модели.
Для изучения закономерностей развития экономики, социальных процессов широко используется экономико-математическая модель. Она представляет собой систему формализованных соотношений, описывающих основные взаимосвязи элементов, образующих экономическую систему.
Система экономико-математических моделей эконометрического типа служит для описания относительно сложных процессов экономического или социального характера. Эконометрическое моделирование основано на обработке статистической информации ретроспективного характера, оценке отдельных переменных величин, их параметров.
Экономико-математическая модель может быть представлена, например, в виде зависимости Z = аХ , которая может быть использована, предположим, для прогноза потребности в материалах, требующихся для изготовления какого-либо изделия. В этом случае Х — количество изделий, а — норма расхода материала на одно изделие, Z — общая потребность в материалах.
Экономико-математическая модель приобретает более сложный вид, если определяется потребность в материалах для изготовления нескольких видов изделий:

Эта модель показывает зависимость потребности в материалах от двух факторов: количества изготовляемых изделий и норм расхода материалов на изделия. Такая модель называется дескриптивной (описательной от лат. desckribo).
Определенные виды моделей экономического и социального прогнозирования могут классифицироваться в зависимости от критерия оптимизации или наилучшего ожидаемого результата. Так, например, различают экономико-математические модели, в которых минимизируются затраты, и модели, в которых желательно рассчитать, например, максимум продукции.
С учетом фактора времени модели могут быть статическими (т. е. когда ограничения в модели установлены для одного определенного отрезка времени в течение планового периода и при этом минимизируются затраты или максимизируется конечный результат), или динамическими (в этом случае ограничения установлены для нескольких отрезков времени при той же минимизации или максимизации эффекта за весь плановый период).
Принято различать следующие эконометрические модели: факторные, структурные и комбинированные. Один и тот же тип моделей может быть применим к различным экономическим объектам. В зависимости от уровня агрегирования показателей развития народного хозяйства различают макроэкономические, межотраслевые, межрайонные, отраслевые, региональные модели. По аспектам развития национального хозяйства различают модели воспроизводства основных фондов, трудовых ресурсов, системы финансов и ценообразования и др.
Факторные модели описывают зависимость уровня и динамики того или иного экономического показателя от уровня и динамики влияющих на него экономических показателей—аргументов.
Переменные эконометрической модели подразделяются на экзогенные (внешние) и эндогенные (внутренние). Например, экзогенный фактор в модели может представлять собой для предприятия ритмичность поставок; эндогенный — наличие трудовых ресурсов на предприятии.
Факторные модели могут включать различное количество переменных величин и соответствующих им параметров. Простейшими видами факторных моделей являются однофакторные, в которых фактором является какой-либо временной параметр. В этом случае анализ и прогноз какого-либо показателя осуществляются в зависимости от хронологического ряда времени и тем самым выявляются тренды (зависимости, характеризующие общую тенденцию изменения какого-либо динамического ряда).
Многофакторные модели линейного, нелинейного типа позволяют одновременно учитывать воздействие нескольких факторов на уровень и динамику прогнозируемого показателя. Такими моделями могут быть модели, описывающие макроэкономические производственные функции, модели анализа спроса на отдельные предметы потребления в зависимости от доходов населения, цен, уровня насыщения, рациональных норм потребления и др.
Структурные модели описывают соотношения, связи между отдельными элементами, образующими одно целое или агрегат. Эти модели являются моделями структурно-балансового типа, где наряду с разбивкой какого-либо агрегата на составляющие элементы рассматриваются взаимосвязи этих элементов. Такие модели имеют матричную форму и применяются для анализа и прогноза межотраслевых и межрайонных связей. С их помощью описываются взаимосвязи потоков, например межсекторные поставки продукции. Наиболее распространенной формой структурно-балансовой модели является межотраслевой баланс производства и распределения продукции.
Комплекс межотраслевых моделей включает укрупненную динамическую и развернутую натурально-стоимостную модель. Единство системы обеспечивается использованием для построения натурально-стоимостного межотраслевого баланса основных показателей укрупненной динамической модели, таких, как национальный доход, структура его распределения, а также показателей, характеризующих потребность отраслей материального производства в капитальных вложениях и др.
Современные динамические межотраслевые модели позволяют предвидеть перспективы развития экономики с учетом трех групп основных факторов, определяющих темпы и пропорции экономического развития, а именно: исходного уровня экономического потенциала, характеризующегося масштабом и структурой накопленных к началу планового периода основных производственных фондов; перспективных тенденций изменения показателей эффективности использования трудовых ресурсов; перспективной структуры конечных потребностей общества.
В зависимости от номенклатуры продукции, сырья и других факторов различают однопродуктовые и многопродуктовые модели. К первым относятся модели, в которых установлено одно ограничение по спросу на продукцию, вырабатываемую отраслью в целом, либо одно ограничение на количество сырья или другого ресурса, потребляемого ею.
Однопродуктовая модель может использоваться не только в отраслях с однопродуктовым производством, но в ряде случаев и в многопродуктовых отраслях, если производимые в них продукты взаимозаменяемы в потреблении или их можно свести к одному продукту посредством использования относительных показателей, например коэффициентов пересчета. Эти коэффициенты позволяют соизмерять потребительные стоимости различных продуктов по какому-либо одному полезному качеству, имеющему главное значение. Например, в топливной промышленности — по теплотворной способности энергоносителя.
В многопродуктовых моделях рассматриваются два и более ограничений по спросу на продукцию, вырабатываемую отраслью в целом, и на потребление сырья или любого другого ресурса. В этих моделях может использоваться возможность приведения различных продуктов к однородным с учетом взаимозаменяемости в потреблении. В этом случае составляющие спроса характеризуют не отдельные продукты, а величины потребностей, которые удовлетворяются различными взаимозаменяемыми продуктами. Тогда даже значительное число производимых в отрасли продуктов можно свести к ограниченному количеству групп продуктов. Разновидностью многопродуктовой модели является внутриотраслевая межпродуктовая модель, в которой учитывается передача продукции между заводами внутри отрасли.
По степени влияния транспортного фактора модели оптимального отраслевого планирования имеют две разновидности: производственную, в которой транспортный фактор не учитывается, и производственно-транспортную, в которой он находит отражение.1
Ситуация выбора, стоящая перед экономическим субъектом повторяется и в процессе модельного исследования интересующего его экономического процесса. В зависимости от того, какие поведенческие, организационные и технические взаимосвязи интересуют экономиста, осуществляется выбор того уровня экономики, который принимается для моделирования. При этом фиксация хода и направленности экономического явления будет изменяться в соответствии с уровнем экономики. В этой связи моделирование различных уровней экономики выносится в отдельный раздел нашего учебника.


Эмиссионная цена, как правило, ниже номинальной.


Важнейшая сторона деятельности финансовой службы предприятия состоит в рациональном использовании свободных финансовых ресурсов, нахождении наиболее эффективных направлений инвестирования средств,  приносящих предприятию дополнительную прибыль. Прибыльное инвестирование денежных средств достижимо лишь с помощью тех работников финансовых служб, которые соединяют в себе искусство предвидения динамики экономических процессов с высокопрофессиональным владением техникой совершения финансовых операций. Осуществляя, в частности, сделки на финансовом рынке, работники предприятия учитывают специфику обращения ценных бумаг.
Выпускаемые в обращение ценные бумаги — акции, облигации и др. — имеют номинальную (нарицательную) стоимость, именно в соответствии с ней определяется, в частности, долг эмитента перед держателями облигаций, выплачиваемый в момент погашения займа. Стремясь побыстрее разместить акции (облигации), эмитент может
устанавливать эмиссионную цену, по которой ценная бумага реализуется первоначально банками. Эмиссионная цена, как правило, ниже номинальной.
Колебания спроса и предложения по ценным бумагам, обращающимся на финансовом рынке, приводят к тому, что рыночный курс акций и облигаций, т.е. цена, по которой они продаются и покупаются, не совпадает с номинальной ценой. Рыночный курс зависит прежде всего от двух факторов: он прямо пропорционален размеру дохода, приносимого ценной бумагой, и обратно пропорционален норме ссудного процента, действующего в народном хозяйстве. Кроме того, на рыночный курс оказывают влияние экономическая конъюнктура, состояние рынка ссудных капиталов, политическая обстановка в стране, социальные и психологические факторы и др. Определение рыночного курса ценной бумаги называется котировкой; осуществляется она на биржах специальными котировальными комиссиями. Рыночные курсы ценных бумаг публикуются в биржевых бюллетенях.
При инвестировании денежных средств в ценные бумаги работники финансовых служб обязаны соблюдать ряд требований, если они не хотят причинить вред своему предприятию, и наоборот, стремятся способствовать его процветанию. Эти требования таковы: покупая акции (облигации) других предприятий, необходимо инвестировать только избыточные финансовые ресурсы, причем у предприятия всегда должна быть денежная наличность на случай чрезвычайных обстоятельств.
Денежная наличность предприятия может быть либо в форме денежного запаса на банковском счете, либо в высоколиквидных правительственных ценных бумагах (облигациях и казначейских обязательствах). Прежде чем приобрести акции (облигации) любого предприятия, необходимо всесторонне изучить его деятельность, проанализировать динамику его финансовых результатов, ведь ценность акции определяется прежде всего теми доходами, которые ожидаются в будущем, а вовсе не теми, которые обещаны в указанном на акции уровне дивидендов.
Лучше не полагаться на собственный анализ, а получить консультации у двух-трех надежных экспертов или брокеров. Чтобы обезопасить инвестора от финансового просчета, сопутствующего, как правило, нацеленности только на один объект (который как раз и может оказаться неудачным), нужно инвестировать средства в ценные бумаги нескольких предприятий, причем лучше, если они будут представлять разные отрасли экономики. Еще предпочтительнее приобрести акции ведущих и известных фирм, но, конечно, в периоды, когда цены на эти акции приемлемы; необходимо регулярно изучать финансовые отчеты тех предприятий, в акции (облигации) которых инвестированы денежные средства.
При рассмотрении отчетных данных не следует ограничиваться лишь показателями балансовой и чистой прибыли, ее распределением, величиной и уровнем дивидендов, нужно определять и изучать динамику таких коэффициентов, как норма прибыли на акционерный капитал, уровень рентабельности и коэффициент прибыльности, скорость оборота авансированных средств, соотношение собственных и заемных средств, коэффициент ликвидности и др. Положение дел на интересующем инвестора предприятии необходимо сравнивать с общей ситуацией в соответствующей отрасли экономики; не рекомендуется отказываться от приобретения акций (облигаций) только из-за невысоких дивидендов (процентов).
Иногда лучше пойти на сравнительно невысокие дивиденды, если при этом обеспечивается их неснижаемая стабильность и долгосрочный характер получения. К примеру, на западном рынке наибольшей популярностью пользуются как раз ценные бумаги с твердо фиксированным доходом. Инвестирование средств считается целесообразным, если норма доходности от инвестиций превышает процент, выплачиваемый кредитной системой за пользование временно свободными денежными средствами.
Соблюдению перечисленных выше требований в нашей стране мешает отсутствие необходимых условий, сопутствующих обращению ценных бумаг в странах с развитой рыночной экономикой. У нас продажа и покупка акций (облигаций) совершается пока что в нецивилизованных условиях. Причиной тому служат два обстоятельства. Во-первых, отсутствует необходимая информация, которая только и может обеспечить честность совершаемых сделок с ценными бумагами. Например, в США фирма, осуществляющая широкую подписку на акции, обязана сообщать о себе разносторонние сведения по 31 категории информации, включающей не только показатели балансов и отчетов, ликвидности и платежеспособности, прогнозов развития на ближайшую и отдаленную перспективу, но и сведения о составе руководителей фирмы (членов правления), сферах деятельности, социальных мероприятиях и т.д. У нас же в стране продавцы ценных бумаг не только не сообщают покупателю ту информацию, которой они сами располагают, но и подчас скрывают ее, идя на заведомый обман. Во-вторых, в нашей стране пока что отсутствует государственное регулирование выпуска и торговли ценными бумагами. Принятый акт о ценных бумагах не содержит соответствующих положений на этот счет, а потому на его основе заниматься государственным регулированием операций с ценными бумагами невозможно. Отмеченные обстоятельства могут создавать основу для широкого диапазона мошенничества на биржах, начиная от сокрытия рисковых операций фирм, приукрашивания неблагоприятных тенденций в их развитии и заканчивая торговлей акциями несуществующих компаний.1
Совокупность затрат, направляемых на создание и воспроизводство фондов, обязательно присутствует в структуре использования инвестором своего капитала. Эти вложения осуществляются регулярно для воспроизводства основных фондов как со стороны юридических лиц, так и со стороны государства. Инвестиции в строительство и реконструкцию, расширение и техническое перевооружение действующих предприятий, являясь видами капиталовложений, представляют интерес для экономиста.


Этапы развития предпринимательства


Этапы развития предпринимательства Существует неправильное мнение, что предпринимательство — удел лишь отдельных частных лиц, мелких фирм; такой взгляд характерен для экономики прошлых времен.
Простота основных потребительских изделий, несложная технология изготовления, относительно небольшие масштабы производства и потребления — вот та среда, в которой действовал предприниматель в прошлом, не подвергаясь особенному риску и имея небольшой капитал. На современной стадии развития экономики положение коренным образом изменилось.
Появились новые формы собственности: общественная и государственная. За последнее время почти полностью видоизменились производство и быт людей, а потребность поиска все более эффективных сфер приложения труда и капитала осталась. Поэтому по-прежнему сохранилась надобность в предпринимательстве — изменились лишь его формы, многократно увеличились масштабы, в основном в связи с развитием производительных сил.
Не плуг и телега с конной тягой, к примеру, нужны современному крестьянину, а трактор и автомобиль с набором различных инструментов и приспособлений.
Их производство и обслуживание технологически весьма сложно и требует больших капиталовложений.
Все чаще новое доходное дело оказывается не по силам не только одному человеку, но даже крупному предприятию. Поэтому предпринимательство становится делом коллективным. Конечно, остается место и малому, в том числе индивидуальному, предпринимательству, но его деятельность ограничивается в основном коммерцией, сферой обслуживания и частично сельским хозяйством. Промышленность и финансы переходят в руки крупного капитала, представленного многочисленными коллективами.
Предпринимательство начиналось с развития малого бизнеса. Предприниматель в малом бизнесе активен и ориентирован прежде всего на какие-то достижения. Вложив в собственное предприятие огромное количество энергии, отдавая ему все свое время, предприниматель в малом бизнесе, как правило, демонстрирует энтузиазм, усердие и преданность делу, что не всегда наблюдается у менеджеров больших компаний. Поэтому человек, владеющий большим капиталом и заинтересованный в развитии крупных компаний, стремится придать менеджменту предпринимательские черты.
Изначально предпринимательство появилось в сфере ремесленничества и торговли и в течение столетий приобретало современные черты.
Постепенно примерно к XV в. образовалось сообщество предпринимателей, состоящее из ремесленников, купцов, ростовщиков и им подобных. Именно в то время появился термин «предпринимательство», который относился ко всем лицам, занятым деятельностью, направленной на развитие производства, торговли, получение дохода.
Ко второй половине XIX в. появилась, однако, необходимость проведения различий между предпринимателем и владельцем капитала — капиталистом. Новые методы корпоративного финансирования способствовали образованию предпринимательских союзов, в которых капиталисты не всегда выступают в роли предпринимателей, а предприниматели не всегда являются капиталистами. Конечно, различия между капиталистом и предпринимателем будут стираться, если капиталист придерживается предпринимательского стиля управления.
Старое понятие «предпринимательство» в последнее время получило, таким образом, новое содержание. В современном мире предприниматель — это человек, способный понять перспективу и потребности рынка и сочетать это понимание со знаниями в области управления производством и использованием производственных ресурсов в расчете на получение дохода.1
Изучение проблем экономической деятельности предприятия включает усвоение вопросов, связанных с обеспечением адекватности его конкретных действий процессам, происходящим в экономическом пространстве, что способствует успешному осуществлению предпринимательской деятельности. Для более подробного рассмотрения этого аспекта в отдельные пункты данного учебника выносятся вопросы планирования и регулирования предпринимательской деятельности.
Финансовое планирование В современных условиях предприятие с помощью финансового плана само определяет направления использования прибыли, остающейся в его распоряжении после уплаты налогов.
Цель составления финансового плана — определение возможных объемов финансовых ресурсов, капитала и резервов на основе прогнозирования величины финансовых показателей. Важным моментом финансового планирования является его стратегия, т.е. определение центров доходов (прибыли) и центров расходов хозяйствующего субъекта. Центр доходов хозяйствующего субъекта — это его подразделение, которое приносит ему максимальную прибыль. Центр расходов — это подразделение хозяйствующего субъекта, являющееся малорентабельным или вообще некоммерческим, но ,  играющее важную роль в общем производственно-торговом процессе. Например, в западных странах многие фирмы придерживаются правила «двадцать на восемьдесят», т.е. 20% затрат капитала должны давать 80% прибыли. Следовательно, остальные 80% вложений капитала приносят только 20% прибыли. Финансовое планирование на предприятиях осуществляется на 5 лет, год или квартал. В соответствии с этим существуют перспективные (стратегические, в том числе 5-летние), текущие и оперативные планы.
Перспективный финансовый план определяет важнейшие показатели, пропорции и темпы расширенного воспроизводства.
Пятилетний план — это главная форма реализации целей и задач развития предприятий, стратегии инвестиций и , предполагаемых накоплений. Перспективный финансовый план обычно является коммерческой тайной предприятия.
Текущее финансовое планирование включает в себя годовой баланс доходов и расходов, сметы образования и расходования фондов денежных средств: фонда оплаты труда; фонда средств, направляемых на развитие и совершенствование производства (фонда накопления); фонда средств, направляемых на социальные нужды; резервных и других фондов. Текущие финансовые планы разрабатываются на основе перспективных планов путем их конкретизации и детализации. Производится конкретная увязка каждого вида вложений или фонда и источника их финансирования.
Оперативное финансовое планирование заключается в составлении и использовании платежного календаря — подробного финансового документа, отражающего оперативный денежный оборот предприятия. Поскольку весь оборот проходит через расчетный, текущий, валютный и ссудный счета, то в нем представлено движение денежных средств по их поступлению и использованию. Платежный календарь обеспечивает оперативное t   финансирование, выполнение расчетных и платежных обязательств, фиксирует происходящие изменения в платежеспособности предприятия, позволяет отслеживать состояние собственных средств, а также привлекать в необходимых случаях банковский или коммерческий кредит. Составление и использование платежного календаря являются реализацией распределительной и контрольной функций финансов предприятия.
При сравнении квартальных платежных календарей выявляются тенденции и проблемы в деятельности предприятия. Результаты анализа используются для разработки очередного текущего финансового плана, пример которого приводится ниже.
Финансовый план предприятия (баланс доходов и расходов)


Этика и социофакторы в процессе управления


Этика и социофакторы в процессе управления Одним из требований к оптимальному и социально ориентированному менеджменту является соблюдение этики и учет социофакторов в процессе управления. Поэтому при поиске решения проблем в менеджменте необходимо в структуру управления встраивать ценностный элемент — этику, который преобразует неформализованные аспекты действия по управлению объектом в систему критериев, удовлетворение которых является задачей менеджмента при его ориентации на социальность происходящих процессов.
По убеждению Ю.Г. Одегова, организации должны направлять часть своих ресурсов и усилий на пользу местных сообществ, в которых функционируют предприятие и его подразделения, и общества в целом. Как указывает проф. Ли Престон, «организации не могут длительное время работать ответственным образом, находясь в конфликте со своим окружением». Он утверждает далее, что для успешного управления организация должна уметь приспосабливаться и откликаться на проблемы, возникающие в социальной среде, чтобы сделать эту среду более благожелательной к организации. Расходы на социальную ответственность оправданы фактом совершенствования различных сегментов общества, а также улучшением отношения общественности к фирме. Это должно вести к повышению лояльности потребителей к производителям продукции, снижению уровня регулирующего вмешательства государства и общему улучшению состояния общества. Ясно, что организации не должны заниматься сбором продуктов питания для аборигенов Паго-Паго, чтобы стать социально ответственными. Организации должны, скорее, анализировать собственные прямые действия и окружающую их среду и выбирать такие программы социальной ответственности, которые помогут этой среде в наибольшей мере.
Важно подчеркнуть также, что не следует думать, будто на социально ответственное поведение способны только крупные организации. Организация по уборке мусора или предприятие, торгующее пиццей и ставшее спонсором бейсбольной команды, и мелкое обрабатывающее предприятие, которое разрешает школьникам экскурсии для ознакомления с его работой, — все они являются социально ответственными. Таковой является и больница, направляющая своего работника в высшее учебное заведение для обсуждения со студентами возможностей карьеры в здравоохранении.
Тем не менее не подлежит сомнению, что прибыль важна для выживания предприятий. Для любого предприятия на первом месте стоит выживание и только потом — проблемы общества. Если предприятие не способно вести дело с прибылью, вопрос о социальной ответственности становится по преимуществу академическим. Но как бы то ни было, организации должны вести свои дела в соответствии с общественными ожиданиями. Иначе говоря, социальная ответственность для предприятия означает нечто большее, чем просто филантропическую деятельность. Подразумевается, что организация действует ответственно и в согласии с заботами и надеждами широкой публики. Эта точка зрения отражена в следующем высказывании Эдуарда Дж. Харнеса, главы фирмы «Проктер энд Гэмбл»:
«Руководство компании обязано использовать весь свой талант, чтобы отдавать наивысшие приоритеты прибыли и развитию. Однако ему нужно также иметь достаточно широкие взгляды, чтобы в интересах своей компании осознать важность выполнения компанией любого разумного ожидания, сформировавшегося по отношению к ней внутри местного сообщества и различных заинтересованных слоев общества. Открытое признание приоритетов и социально ответственное поведение обеспечивают компании достижение важных вторичных целей. Прибыльность и развитие идут бок о бок с честным отношением к работникам, потребителям всех уровней и местному сообществу».
Чтобы сделать выбор в пользу правильного поведения, важно иметь начальное представление об этике. Этика имеет дело с принципами, определяющими правильное и неправильное поведение. Однако этика бизнеса затрагивает не только проблему социально ответственного поведения. Она сосредоточена на широком спектре вариантов поведения управляющих и управляемых. Более того, в фокусе ее внимания — и цели, и средства, используемые для их достижения теми и другими. Например, почти все американцы скорее всего считают, что неэтично давать взятку иностранному чиновнику ради получения контракта. В этом случае неэтичны средства. Представим, однако, что речь идет о контракте на закупку шкур котиков, используемых для производства одежды. Некоторые люди, для которых защита диких животных стоит на высоком месте, могут считать, что использование котиковых шкур неэтично, даже если их можно получить, не давая взятки. Здесь неэтичной считается цель, поскольку подобные действия рассматриваются как неправильное поведение. С этой точки зрения, поведение неправильно не потому, что противозаконно, а потому, что противоречит личным ценностям и является действием, которое не может быть поддержано. Еще одна иллюстрация: многие люди считали неэтичным ведение компаниями дел с ЮАР вследствие политики апартеида, проводимой этой страной. Мнение этих людей являлось результатом действий правительства ЮАР, нарушивших ценностные представления людей об отношении к индивидам в обществе.
Действия руководителей или рядовых работников, нарушающие закон, также следует расценивать как неэтичные. Например, Э.Ф. Хаттон признан виновным в подделке 2000 почтовых и телеграфных отправлений, т.е. в действии, определенно нарушающем закон. Это верно. Однако действия, не нарушающие закона, могут рассматриваться, а могут и не рассматриваться неэтичными в зависимости от личной системы ценностей. Представим ситуацию с изъятием из продажи капсул «Тейлинола» фирмой «Джонсон энд Джонсон». По большей части, люди должны считать это действие этичным. Некоторые должны полагать неэтичным поведение фирмы «Форд Мотор», поскольку она возражала против изъятия модели «Пинто» или перепроектирования топливной системы в целях ликвидации возможных опасностей, связанных с бензобаком.
Другой пример сомнительной этики представлен действиями корпорации «Менвилл», которая десятилетиями блокировала данные, свидетельствовавшие о том, что вдыхание асбестовой пыли убивает рабочих фирмы. Суд штата Нью-Джерси в конечном счете установил, «что корпорация «Менвилл» сознательно и хладнокровно приняла деловые решения о неприятии защитных или восстановительных для здоровья мер в полном пренебрежении к правам других людей». Суд потребовал, чтобы компания перевела 80% своих акций в соответствующий фонд для выплаты из него компенсаций многим людям, предъявившим иск. Рассматривая это дело, Сол Геллермен указывал: «Как ни смотреть, компанию погубило несоблюдение корпоративной этики. Случай фирмы «Менвилл» выявляет четкую линию, разграничивающую приемлемое и неприемлемое поведение руководства. Руководители должны выдерживать равновесие — блюсти интересы компании, но не преступать границ того, что при взгляде извне представляется недопустимым».
По мнению Ляру Осмера, этические проблемы в бизнесе имеют отношение к конфликту или по меньшей мере к вероятности такого конфликта между экономическими показателями организации, измеряемыми доходами, издержками и прибылью и показателями ее социальной ответственности, выражаемыми через обязательства по отношению к другим людям как внутри организации, так и в обществе.
Помимо старших руководителей, часто демонстрирующих неэтичное корпоративное поведение, любое лицо в организации может также действовать неэтично. Рассмотрим следующие ситуации. Вы агент по закупкам, и один из поставщиков, с которым вы ведете дела, предлагает вам ящик хорошего вина. Принять ли вам его?
Вы видите, как некоторые ваши коллеги ведут из конторы междугородные телефонные разговоры по личным вопросам. Следует ли вам делать то же самое? Вы имеете возможность использовать для себя лично то, что предназначено для конторы, и унести это домой. Следует ли вам использовать эту возможность? Вот всего несколько этических дилемм, с которыми каждый человек может столкнуться на работе. Следует подчеркнуть, что в этих примерах нет речи о нарушении закона, однако, соответствующие действия могут быть расценены многими как неправильные. К неэтичным действиям людей с явным нарушением закона относятся фальсификация документов, отправляемых службам государственного регулирования, присвоение средств, расовая дискриминация и сексуальные домогательства в рабочей среде. Действия с нарушением закона, которые относятся к загрязнению окружающей среды, безопасности продукции и безопасности труда, также следует считать неэтичными. Вы можете оценить этику вашей организации с • помощью теста в примере 16.1.1.
Пример 16.1.1. Тест на этику организации
Многие ситуации повседневного бизнеса нелегко квалифицировать по признаку правильно-неправильно, они скорее находятся в промежуточной, «серой» области. Чтобы продемонстрировать комплекс моральных дилемм, поджидающих американца XX в., ниже приведен «ненаучный» тест на уклонение. Не стремитесь набрать высокую сумму баллов. Не в этом суть. Просто ответьте на вопросы и подсчитайте результат.
1. Не следует ожидать, что рабочие будут сообщать о своих ошибках руководству.
2. Бывают случаи, когда руководитель должен игнорировать требования контракта и нарушать стандарты безопасности, чтобы справиться с делом.
3. Не всегда возможно вести точную регистрацию расходов для отчетности; иногда поэтому необходимо давать примерные цифры.
4. Бывают случаи, когда нужно скрыть неблагоприятную информацию от начальства.
5. Нам следует делать так, как велят наши руководители, хотя мы можем сомневаться в правильности этих действий.
6. Иногда необходимо заняться личными делами в рабочее время.
7. Психологически иногда целесообразно задавать цели, немного превышающие норму, если это поможет стимулировать усилия работников.
8. Я бы раскрыл «желательную» дату отгрузки заказа, чтобы заполучить этот заказ.
9. Можно пользоваться служебной линией связи для личных телефонных разговоров, когда ею не пользуется компания.
10. Руководство должно быть ориентированным на конечную цель, поэтому цель обычно оправдывает средства.
11. Если ради получения крупного контракта потребуется устройство банкета или легкая деформация политики компании, я дам на это разрешение.
12. Без нарушения политики компании и существующих инструкций жить невозможно.
13. Отчеты по контролю товарных запасов нужно составлять так, чтобы по полученным товарам фиксировались «нехватки», а не «излишки». (Этическая проблема здесь та же самая, что у кассы, когда кассир сдает меньше сдачи.)
14. Использовать время от времени копировальную машину компании для личных или местных целей - вполне приемлемо.
15. Унести домой то, что является собственностью компании (карандаши, бумага, ленты для пишущей машины и т.п.), для личных нужд - приемлемая дополнительная льгота.
Определите свою систему ценностей в нижеследующих ситуациях, используя такой код: совершенно согласен - СС; согласен - С; не согласен - НС, совершенно не согласен -CНС.
Оценка ответов в баллах: СНС - О, НС - 1, С - 2, СС - 3. Если вы набрали в сумме:
О - готовьтесь к церемонии канонизации в качестве святого.
1-5 - вам можно идти в епископы.
6-10 - высокий этический уровень.
11 -15 - приемлемый этический уровень.
16-25 - средний этический уровень.
26-35 - требуется моральное совершенствование.
36-44 - происходит быстрое соскальзывание в пропасть.
45 - охраняйте ценные вещи от самого себя.
По данным исследований с середины 70-х гг. около 2/3 из числа 500 крупнейших американских компаний в той или иной форме вели себя противозаконно. Опросы общественного мнения показали, что по мнению широкой публики приверженность этичному поведению в США падает. Согласно одному опросу, 65% американцы считают, что общий этический уровень в стране снизился за последнее десятилетие и только 7% американцев полагают, что он повысился. На вопрос о наиболее распространенных вариантах неэтичной деловой практики руководитель одного из финансовых учреждений сказал: «Взятки, подделка документов, недостоверные финансовые отчеты, искусственное завышение цен, тайные сговоры о ценах». Еще одно исследование, охватившее 15-летний период, показало, что руководители предприятий стали более цинично, чем 15 лет назад, относиться к этике поведения руководства в целом.
К причинам расширения неэтичной практики ведения дел руководители предприятий относят:
1) конкурентную борьбу, которая оттесняет на обочину этические соображения;
2) усиливающееся стремление указывать уровень прибыльности каждые 3 месяца, т.е. в квартальных отчетах;
3) неудачи с обеспечением должного вознаграждения руководителей за этичное поведение;
4) общее снижение значения этики в американском обществе, что исподволь извиняет неэтичное поведение на рабочем месте;
5) нажим со стороны организации на рядовых работников в целях нахождения ими компромисса между собственными личными ценностями и ценностями управляющих.
Существование этой последней причины подтверждается результатами проведенного более 20 лет назад исследования, в котором было установлено, что основное влияние на принятие неэтичных решений служащими имело поведение их руководителей. В широком смысле «то, что делает, и как ведет себя хозяин» — основной фактор влияния на поведение подчиненного. Таким образом, ведя себя этично, вы как руководитель можете заметно влиять на этику поведения своих подчиненных.


К.Менгер —основоположник австрийской школы маржинализма


К.Менгер —основоположник австрийской школы маржинализма Карл Менгер (1840—1921) как ученый-экономист с мировым именем и глава австрийской школы маржинализма занимает достойное место в ряду лучших представителей экономической науки второй половины XIX в.
Главным элементом в методологическом инструментарии К.Менгера является микроэкономический анализ, позволивший, с одной стороны, противопоставить учению «классиков» об экономических отношениях между классами общества анализ экономических отношений и показателей на уровне отдельного хозяйствующего субъекта (по терминологии К.Менгера — «хозяйство Робинзона»), но с другой — увлечься предвзятым положением о том, что якобы выявить и решить экономические проблемы возможно, рассматривая их только на уровне индивида, на микроуровне с учетом феномена собственности и обусловленного относительной редкостью благ человеческого эгоизма.
Методологические проблемы пронизывают, если так можно выразиться, почти всю содержательную часть «Оснований политической экономии», хотя исключительно на них К.Менгер сосредоточивается только в первых двух главах книги. А далее, начиная с третьей и до последней, восьмой, главы работы, он переходит непосредственно к теоретическим положениям политической экономии, в том числе к таким, как «ценность», «обмен», «товар», «деньги» и другие. Причем во втором разделе третьей главы К.Менгер настраивает читателя на терпеливое и вдумчивое осмысление его достаточно объемного сочинения, заявив так: «Но по примеру Адама Смита я отваживаюсь все-таки быть несколько скучным, если от этого выиграет ясность изложения».
В третьей главе «Оснований», разрабатывая теорию стоимости (ценности), определяемую предельной полезностью, К.Менгер как бы заново открыл «законы Госсена». Он убежден, что ценность экономических благ выявляется человеком в процессе удовлетворения потребностей, т.е. тогда, когда он сознает зависимость от их наличия в своем распоряжении; соответственно не имеют для человека никакой ценности, в том числе потребительной, только неэкономические блага. Кроме того, он поясняет, что «ценность не есть нечто присущее благам, не свойство их, но, наоборот, лишь то значение, которое мы прежде всего придаем удовлетворению наших потребностей...». Чтобы подтвердить такого рода суждение, К.Менгер приводит пример оазиса, где вода из источника, покрывающая все потребности людей в ней, не имеет ценности и, наоборот — вода приобретает для жителей оазиса ценность, когда внезапно поступление воды из источника сократится настолько, что распоряжение определенным количеством воды станет необходимым условием для удовлетворения конкретной потребности жителей оазиса.
В итоге возникает менгеровская субъективистская трактовка ценности, ставшая впоследствии общей исходной позицией австрийской школы, а именно: «Ценность — это суждение, которое хозяйствующие люди имеют о значении находящихся в их распоряжении благ для поддержания их жизни и их благосостояния, и поэтому вне их сознания не существует». Но какова мера ценности, если она не существует вне сознания? Ответ К.Менгера лаконичен: «Ценность субъективна не только по своему существу, но и по своей мере».
Таким образом, автор «Оснований» посягнул на святая святых классической политической экономии — трудовую теорию стоимости (ценности). По его мнению, «затрать! труда и его количества или других благ на производство того блага, о ценности которого идет речь, не находятся в необходимой и непосредственной связи с величиной ценности». Причем и здесь К.Менгер использует «доказательство», обращаясь к примеру о ценности бриллианта и давая комментарий, суть которого такова: величина ценности этого минерала не зависит от того, нашли ли его «случайно» или он «добыт из месторождений путем затраты тысячи рабочих дней», так как определяющим моментом «при обсуждении его ценности» считается то количество «услуг», которого можно лишиться, не будь его в нашем распоряжении. Но наряду с этим «несостоятельно и то мнение, — заключает ученый, — что количество труда или прочих предметов производства, необходимое для воспроизводства благ, является моментом, определяющим меру ценности благ».
Между тем предложенная К.Менгером и поддержанная его учениками теория стоимости (ценности) так же, как и аналогичная теория «классиков», представляет собой тупиковый вариант определения истинной цены товаров (благ). Ведь фактически по данной теории австрийской школы, получившей название «теории вменения», предполагается, что доля стоимости (ценности) блага «первого порядка» вменяется благам «последующих порядков», использованным при его изготовлении. В основе этой версии лежит тезис автора «Оснований», в соответствии с которым «при всех условиях ценность благ высшего порядка определяется предполагаемой ценностью благ низшего порядка, на производство которых они предназначаются или предположительно предназначаются людьми». Другими словами, менгеровская «предполагаемая ценность продукта» является принципом определения величины ценности «благ высшего порядка».
Блага высшего порядка рассматриваются К.Менгером в качестве неизбежной предпосылки производства благ. Причем к их числу он предлагает относить не только совокупность сырых материалов, труд, используемые участки земли, машины, инструменты и пр., но и «пользование капиталом и деятельность предпринимателя». Далее следует серьезное замечание ученого о том, что «не строго только определенные количества отдельных благ высшего порядка вступают в соединение в процессе производства друг с другом, как это бывает при химических реакциях... Наоборот, самый элементарный опыт учит нас, — заключает он, — что блага высшего порядка могут произвести определенное количество какого-нибудь блага низшего порядка, находясь в самых разнообразных количественных отношениях друг к другу...». Следовательно, распоряжение благами низшего порядка, требующими комплиментарных количеств благ высшего порядка, в реальной действительности не сопряжено с жесткой регламентацией.
К.Менгер считает ошибочным ставить в вину социальному строю возникающую якобы «возможность... отнимать у рабочих часть продукта труда». Он пишет, что труд представляет собой только один элемент производственного процесса, который «является не в большей степени экономическим благом, чем элементы производства». Поэтому, по его мнению, владельцы капитала и земли живут не за счет рабочих, а «за счет пользования землей и капиталом, которое для индивида и общества имеет ценность так же точно, как и труд».
Автор «Оснований» подвергает серьезной критике и теорию заработной платы «классиков», по которой цена простого труда тяготеет к минимуму, но она при этом должна «прокормить» рабочего и его семью, «иначе, — отмечает К.Менгер, — представление его в распоряжение общества не будет продолжительным...». По мнению лидера австрийской школы, такой подход неправомерен, поскольку идея о заработной тате как источнике «для поддержания жизни» будет всегда приводить к увеличению числа работников и снижению цены труда до прежнего (минимального) уровня. Поэтому во избежание регулирования цены простого труда по принципу минимума средств существования им рекомендуется сведение более высокой цены остальных видов труда на затрату капитала, на ренту с таланта и т. л.
Проблематике обмена К.Менгер посвятил четвертую главу «Оснований», возвращаясь затем к ней и в последующих главах. Сущность этой категории сведена в книге ученого преимущественно к индивидуальному акту партнеров, результат которого якобы обоюдовыгоден, но не эквивалентен.
По его словам, всякий экономический обмен благ для обменивающихся индивидов означает присоединение к их имуществу нового имущественного объекта, и поэтому обмен можно сравнить в хозяйственном смысле с продуктивностью промышленной и сельскохозяйственной деятельности. Вместе с тем обмен, по Менгеру, — это не только выгода, но и экономическая жертва, вызванная меновой операцией, отнимающей «часть экономической пользы, которую можно извлечь из существующего менового отношения», что нередко делает невозможной реализацию там, где она была бы еще мыслима.
Высоко оценивая место и роль обмена в экономической жизни, Глава австрийской школь! осудил негативное отношение к занятым в этой сфере людям со стороны представителей классической политической экономии, особенно американца Г.Ч. Кэри. «Если Кэри изображает людей торговли хозяйственными паразитами, — пишет К.Менгер, — потому что они берут себе некоторую часть выгоды, являющейся результатом реализации находящегося налицо случая экономического обмена, то это основано на его ложных представлениях о продуктивности обмена». Все, кто способствует обмену, т.е. экономическим меновым операциям, продолжает автор «Оснований», являются такими же производителями, как земледельцы и фабриканты, ибо цель всякого хозяйства состоит не в физическом увеличении количества благ, а в возможно более полном удовлетворении человеческих потребностей. В попытке предостеречь от представления о том, что величина цен на товары «есть существенный момент обмена» и что количества благ в акте обмена являются «эквивалентами», К.Менгер утверждает: «...исследователи в области явлений цены напрягали свои усилия для решения проблемы сведения предполагаемого равенства между двумя количествами благ к его причинам, и одни искали эти причины в затрате одинакового количества труда на данные блага, другие — в равных издержках производства, возникал даже спор о том, отдаются ли блага в обмен одно на другое, потому что они — эквивалентны, или блага потому эквивалентны, что в акте мены отдаются одно за другое, тогда как в действительности нигде не бывает равенства в ценности двух количеств благ (равенства в объективном смысле)».1


Кадровое планирование: цели и задачи


Кадровое планирование: цели и задачи Кадровое планирование позволяет учитывать средствами планирования экономические и ориентированные на работополучателей позиции, согласовывать их друг с другом и способствовать тем самым уравновешиванию интересов работодателей и работополучателей. Предпосылкой для этого является то обстоятельство, что кадровое планирование является всеобъемлющим. Совершенно однозначным образом оно должно охватывать большее число аспектов, нежели преобладавшее в прошлые годы планирование потребностей в кадрах, ориентировавшееся преимущественно на производственно-экономические вопросы.
Однако кадровое планирование еще не везде находит свое признание в полном объеме в противоположность планированию производства, сбыта, капиталовложений. Организационно-технические   изменения   производства   делают   необходимым своевременный поиск и подготовку персонала для решения новых производственных и управленческих задач, а также снижения социальной напряженности по отношению к работникам, рабочие места которых изменяются или ликвидируются. Эти задачи нельзя решить за короткий срок. Таким образом, кадровое планирование является признаком ответственности организации по отношению к своему персоналу.
Кадровое планирование призвано обеспечить оптимальное раскрытие потенциала наемных работников и их мотивацию в условиях противоречия между производственными требованиями и задачами организации, с одной стороны, и интересами и потребностями работников — с другой.
Кадровое планирование, в частности, должно дать ответы на следующие вопросы.
- Каким образом можно привлечь необходимый и сократить излишний персонал, учитывая социальные аспекты (планирование привлечения или сокращения штатов)']
- Каким образом можно использовать работников в соответствии с их способностями (планирование использования кадров)?
- Каким образом можно целенаправленно содействовать повышению квалификации кадров и приспосабливать их знания к изменяющимся требованиям (планирование кадрового развития)^
- Каких затрат потребуют планируемые кадровые мероприятия (расходы по содержанию персонала)?
Предпосылки кадрового планирования.
1. Готовность руководства организации к интеграции личностного аспекта в общее планирование и к созданию для этого необходимых организационных и кадровых предпосылок.
2. Выбор частных аспектов кадрового планирования, которым следует отдать. предпочтение. Как показывает опыт, разумно начинать планирование с определения потребности в кадрах, решения вопроса их привлечения или увольнения, а позже дополнить его планированием использования и развития кадров, расходов.
3. Выбор периода планирования на первом этапе его введения можно было бы ограничить одним—двумя годами, постепенно дополняя его среднесрочным (до трех лет) и долгосрочным планированием (свыше трех лет).
4. Решение о том, насколько дифференцированным должно быть кадровое планирование, зависит от типа организации: чем разнообразнее квалификация сотрудников, необходимая для решения производственных задач, тем более дифференцирование следует определять плановые даты.
5. Минимальный набор информационных документов с возможностью различать данные, касающиеся рабочих мест, органов управления, кадров и статистики.
Структурированные модели планирования, которые можно взять на вооружение при сравнительно незначительных затратах труда и средств, в целом вполне отвечают требованиям, предъявляемым к малым и средним организациям. Поэтому каждая отдельная организация должна попытаться внедрить у себя планирование, соответствующее своим потребностям. Крупным организациям с дифференцированной структурой персонала придется осуществлять более детальное планирование, нежели малым организациям с относительно однородным и легкообозримым трудовым коллективом.
Хотя кадровое планирование методически имеет много общего с другими областями планирования, тем не менее по ряду важных аспектов оно от них отличается.
Проблемы кадрового планирования обусловлены:
~ трудностью планирования кадров, обусловленной сложностью прогнозирования трудового поведения, возможностью возникновения конфликтов и др. Возможности использования кадров в будущем и будущее отношение их к работе прогнозируются, если это вообще возможно, с высокой степенью неопределенности. В связи с этим в процессе планирования они представляют собой ненадежные элементы. К тому же участники организации сопротивляются тому, чтобы быть «объектами» планирования, не соглашаются с результатами планирования и реагируют на это так, что не исключается возможность возникновения конфликта;
- двойственностью системы экономических целей в кадровой политике. Если при планировании в области маркетинга, инвестиций производства и т.д. цели планирования затрагивают экономические аспекты, то при планировании кадров к экономической добавляются компоненты социальной эффективности. Отсюда вытекают проблемы урегулирования конкуренции целей в планах, касающихся кадров. Проблемы согласования планов (на основании качественно различных целей) усугубляются отсутствием возможности сравнивать различную информацию по планированию. Если в других областях, не связанных с персоналом, можно оперировать количественными величинами (например, суммы денег), то данные при планировании кадров носят преимущественно качественный характер (например, данные о способностях, оценки проделанной работы и др.).
Таким образом, кадровое планирование (планирование персонала) — это целенаправленная деятельность по подготовке кадров, обеспечению пропорционального и динамичного развития персонала, расчету его профессионально-квалификационной структуры, определению общей и дополнительной потребности, контролю за его использованием.
Основные задачи кадрового планирования:
- разработка процедуры кадрового планирования;
- увязка кадрового планирования с планированием организации в целом;
организация эффективного взаимодействия между плановой группой кадровой службы и плановым отделом организации;
- проведение в жизнь решений, способствующих успешному осуществлению стратегии организации;
- содействие организации в выявлении главных кадровых проблем и потребностей при стратегическом планировании;
- улучшение обмена информацией по персоналу между всеми подразделениями организации.
Кадровое планирование включает в себя:
- прогнозирование перспективных потребностей организации в персонале (по отдельным его категориям);
- изучение рынка труда (рынка квалифицированной рабочей силы) и программы мероприятий по его «освоению»;
- анализ системы рабочих мест организации; разработку программ и мероприятий по развитию персонала.
При кадровом планировании организация преследует следующие цели: получить и удержать людей нужного качества и в нужном количестве; наилучшим образом использовать потенциал своего персонала; быть способной предвидеть проблемы, возникающие из возможного избытка или нехватки персонала.
В процессе кадрового планирования необходимо выделять и согласовывать цели и виды планирования.1
Организационная структура системы управления персоналом предприятия отражает взаимодействие между его элементами. Организационные структуры управления могут быть линейные, функциональные, линейно-функциональные, проектные, матричные и др., т.е. структура в своей основе является способом организации действий фирмы в своей внутренней среде ( 20.1.1).
Профориентация и адаптация: введение нанятых работников в организацию и ее подразделения, развитие у работников понимания того, что ожидает от них организация и какой труд в ней получает заслуженную оценку.
Обучение: разработка программ обучения персонала в целях эффективного выполнения работы и его продвижения.
Оценка трудовой деятельности: разработка методик оценки трудовой деятельности и доведения ее до работника.
Повышение, понижение, перевод, увольнение: разработка методов перемещения работников на должности с большей или с меньшей ответственностью, развития их профессионального опыта путем перемещения на другие должности или участки работы, а также процедур прекращения договора найма.
№№ пп
Наименование показателя
Сумма, ден. ед.


Разработка и проведение кадровой политики
Оплата и стимулирование труда
Групповое управление, взаимоотношения в коллективе и с профсоюзами
Социально-психологические аспекты управления
Принципы подбора и расстановки кадров персонала
Формы оплаты
труда
Вовлечение работников в управление на низовом уровне
Мотивация труда работников и творческая инициатива
Условия найма и увольнения
Пути повышения производительности труда
Рабочие бригады и их функции
Организационная культура фирмы
Обучение и повышение квалификации
Поощрительные системы оплаты труда
Взаимоотношения в коллективе
Влияние управления персоналом на деятельность фирмы и ее организацию
Оценка персонала и его деятельности

Взаимоотношения с профсоюзами


20.1.1. Структура управления персоналом (принципиальная схема)
Подготовка руководящих кадров, управление продвижением по службе: разработка программ, направленных на развитие способностей и повышение эффективности труда руководящих кадров.
Трудовые отношения: осуществление переговоров по заключению коллективных договоров.
Занятость: разработка программ обеспечения равных возможностей занятости. Обеспечение гарантий занятости для персонала делает любую фирму более прибыльной и конкурентоспособной, особенно если стратегия стабилизации состава работников используется в качестве средства для повышения гибкости в управлении персоналом, создания условий для тесного взаимодействия работников и сохранения наиболее квалифицированного их состава.1


Каналы, распределения товаров


Каналы, распределения товаров Природа каналов распределения. Выбор каналов распределения продукции является сложньш управленческим решением, поскольку выбранные каналы самым непосредственным образом влияют на все другие решения в сфере маркетинга.
Реализация продукции в большинстве случаев проводится через посредников, каждый из которых формирует соответствующий канал распределения. Использование посредников в сфере обращения выгодно прежде все для производителей. В этом случае им приходится иметь дело с ограниченным кругом заинтересованных лиц по реализации продукции. Кроме того обеспечивается широкая доступность товара при движении его непосредственно до рынка сбыта. С помощью посредников возможно сократить количество прямых контактов производителей с потребителями продукции. Нетрудно убедиться ( 19.2.4), что при трех производителях и трех потребителях продукции количество связей между ними будет равно девяти. Участие же посредника в реализации продукции сокращает количество связи до шести.

В качестве посредников могут выступать снабженческо-сбытовые организации, крупные оптовые базы, биржевые структуры, торговые дома и магазины. Среди основных причин, обуславливающих использование посредников, можно выделить следующие:
- организация процесса товародвижения требует наличия определенных финансовых ресурсов;
- создание  оптимальной  системы  товародвижения  предполагает  наличие соответствующих знаний и опыта в области конъюнктуры рынка своего товара, методов торговли и распределения.
Посредники благодаря своим контактам, опыту и специализации позволяют обеспечить широкую доступность товара и доведение его до целевых рынков.
Предприятия в условиях рыночной экономики значительное внимание уделяют проблемам оптимизации процесса продвижения товаров от производителя к потребителю. Результаты их хозяйственной деятельности во многом зависят от правильности выбора каналов распределения товаров, формы и методов их сбыта, широты ассортимента и качества предоставляемых предприятием услуг, связанных с реализацией продукции.
Канал распределения принимает на себя и помогает передать кому-либо право собственности на конкретный товар или услугу на пути производителя к потребителю. Канал распределения можно трактовать как путь (маршрут) передвижения товаров от производителей к потребителям. Участники каналов распределения выполняют ряд функций, способствующих успешному решению требований маркетинга. К ним следует отнести  такие   функции,   как:   проведение   научно-исследовательской  работы, стимулирование сбыта, налаживание контактов с потенциальными потребителями, изготовление товаров в соответствии с требованиями покупателей, транспортировка и складирование товаров, вопросы финансирования, принятие ответственности за функционирование канала распределения.
Структура и уровни каналов распределена. Каналы распределения могут быть трех видов: прямые, косвенные и смешанные.
Прямые каналы связаны с перемещением товаров и услуг без участия посреднических организаций. Они чаще всего устанавливаются между изготовителями и потребителями, которые сами контролируют свою маркетинговую программу и располагают ограниченными целевыми рынками.
Косвенные каналы связаны с перемещением товаров и услуг сначала изготовителя к незнакомому участнику-посреднику, а затем от него — к потребителю. Такие каналы обычно привлекают предприятия и фирмы, которые в целях увеличения своих рынков и объемов сбыта согласны отказаться от многих сбытовых функций и расходов и соответственно определенной доли контроля над сбытом, а также готовы несколько ослабить контакты с потребителями.
Смешанные каналы объединяют черты первых двух каналов товародвижения. Так, предприятия машиностроительного комплекса мало используют преимущества прямых контактов с поставщиками, они реализуют продукт через систему посредников. Возникают и другие государственные и коммерческие посреднические организации и предприятия, гарантирующие значительно больший набор снабженческо-сбытовых услуг.
Естественно, изготовитель заинтересован сбывать свою продукцию непосредственно потребителям при наличии собственных региональных складов. Но прежде чем прибегнуть к прямому маркетингу (прямой сбыт), менеджеры изготовителя должны убедиться в том, что продукция предприятия может быть полностью реализована.
Каналы распределения можно охарактеризовать и по числу составляющих их уровней. Уровень канала распределения — это любой посредник, который выполняет ту или иную работу по приближению товара и права собственности на него к конечному покупателю. Протяженность канала определяете числом имеющихся в нем промежуточных уровней.
Одноуровневый канал включает одного посредника на рынках товаров промышленного назначения. Этим посредником может быть агент по сбыту или брокер.
Двухуровневый канал состоит из двух посредников. На рынках товаров промышленного назначения такими посредниками могут выступать промышленные дистрибьютеры (снабженческо-сбытовые организации) и дилеры.
Трехуровневый канал включает трех посредников. Например, в перерабатывающей промышленности между оптовыми и розничными торговцами обычно стоят мелкие оптовики, которые скупают товары у крупных оптовиков и перепродают их небольшими партиями в розничную торговлю. Существует и большее число уровней, но они встречаются реже. С точки зрения производителей, чем больше уровней имеет канал распределения, тем меньше возможностей контролировать его.
Роль посреднических организаций в распределении продукции. Посреднические оптовые предприятия в системе рыночных отношений можно разделить на две группы: независимые посреднические организации и зависимые. Независимые организации для изготовителей и получателей продукции являются самостоятельными посредническими организациями, приобретающими материалы в собственность с последующей их реализацией потребителям. Зависимые посредники не претендуют на право собственности на товары, работая за комиссионное вознаграждение за выполняемые услуги. К ним относятся различные сбытовые агенты, брокеры, комиссионеры.
Аукционы — один из видов деятельности сбытовых предприятий, осуществляемый чаще всего на рынках бывшего в употреблении оборудования. Операционные расходы аукционов по отношению к продажам составляют около 3%. В нашей стране аукционная форма торговли имеет благоприятные перспективы, учитывая, что объем рынка подержанного оборудования у нас довольно значителен.
Смешанные каналы товародвижения. При высокой концентрации рынка в одном районе, разбросе потребителей в другом и небольшом спросе на продукцию одной номенклатурной позиции целесообразно использовать смешанные каналы товародвижения. В определенных случаях в одном районе рационален прямой сбыт, в другом — реализация изделия оптовым посредникам или сбытовым агентам.1
Комплекс маркетинговых предприятий имеет своей целью удовлетворение покупательской потребности. Если продукция компании соответствует этому требованию, то в задачи маркетинга входит организация сбыта и доставки. Чтобы повысить объемы продаж или продвинуть на рынок новый товар, маркетологи используют различные метода стимулирования сбыта. Рассмотрим их отдельно.
Управление каналами товародвижения. При выборе канала товародвижения основным условием является его доступность для изготовителя. Для достижения коммерческого успеха при использовании того или иного канала товародвижения нужно тщательно  проанализировать все  финансовые  вопросы.  Необходимо провести сравнительную характеристику затрат предприятия на возможные каналы сбыта. В эти затраты входят: расходы на подбор и обучение сбытового персонала; административные расходы; затраты на рекламу и стимулирование сбыта, на организацию товародвижения, включая расходы на транспортировку, складское хозяйство; уровень комиссионных выплат. При этом следует иметь в виду, что на начальной стадии работы предприятия сбытовые издержки возрастают, но они не носят постоянного характера.
Сравнительная оценка стоимости отдельных каналов сбыта должна также увязываться с перспективами роста объемов реализации товаров. Важно отметить и то, что выбор канала сбыта обычно связан с заключением долгосрочных соглашений между контрагентами, Неправильный выбор канала распределения может вызвать аннулирование юридических соглашений, что, естественно, скажется на результатах работы предприятия и участвующих в этом соглашении посредников.
Коммерческие отношения изготовителя с посредниками закрепляются контрактом, в котором оговариваются ответственность и обязательства сторон при возникновении убытков, нечетком выполнении договорных обязательств, размер комиссионных и премиальных отчислений и др. Заключение контракта с посредником служит юридической основой разрешения споров и разногласий.
В контракт обычно включают пункт, запрещающий посреднику производить какие бы то ни было изменения в товаре без письменного согласия изготовителя. Для гарантии бесперебойной реализации изделий, как правило, вносится пункт, обязывающий посредника сразу после подписания контракта приобрести определенное количество изделий и запасных частей, чтобы создать складской запас. В контракте должна быть подробно и точно оговорена процедура его расторжения.


Коллектив предприятия выкупил имущество у завода-учредителя


автомобилей, деревянного бруса, паркетной доски и других изделий. На операциях, где не хватало мощностей, использовался трехсменный режим работы по графику без остановки оборудования в выходные дни.
Со всеми работниками, поступающими на предприятие, заключался контракт на 3 года с обязательным испытательным сроком в течение 3 мес. В контракте указывались основные экономические и административные меры воздействия за нарушения сторонами договора, несоблюдение правил внутреннего распорядка, техники безопасности, отказ работника от выполнения порученных работ.
В течение одного года предприятие значительно увеличило объем производства и собственный доход. Производительность труда повысилась почти в 3,5 раза, а реальная средняя заработная плата — более чем в 2,5 раза.
В дальнейшем коллектив предприятия выкупил имущество у завода-учредителя, приобрел новое деревообрабатывающее и литейное оборудование, ряд отделочных машин и механизмов.
Трудности, с которыми в первую очередь столкнулось предприятие «Скорость», — это недисциплинированность поставщиков и потребителей, проблема взаимных расчетов, сложности информационного и правового обеспечения, высокая стоимость оборудования и относительно небольшие суммы финансовых ресурсов, которыми оно располагало, дороговизна получения кредита.
Особенно тяжелое положение сложилось с поставками сырья, материалов и других производственных ресурсов, поскольку мелкие партии, которые требуются для небольших объемов производства, не представляют интереса для поставщиков. Естественно, что все эти трудности препятствуют эффективной деятельности малого предприятия.
В послевоенной Японии, где разрушенная экономика начала возрождаться путем образования миллионов мелких и мельчайших фирм, успешно работающие отдельные предприниматели вскоре становились совладельцами крупного капитала, вкладывая свой доход в акции фирмы-патрона. В 1950 г. 70% всего количества выпущенных в Японии акций принадлежала физическим (т.е. частным) лицам. Однако процесс концентрации производства и капитала привел к тому, что уже в 1993 г. частные лица владели всего 30% акций страны.1 По отношению к чистой прибыли корпораций доля дивидендов по акциям в 1991 г. составляла 10%, а по отношению к национальному доходу — 2,б%.2 Большая часть акций перешла, таким образом, в руки юридических лиц (фирм). Считается, что «снижение удельного веса акционеров — физических лиц — и высокая концентрация акций в руках юридических лиц представляет собой интернациональное явление и нет никаких признаков того, что эта тенденция будет ослабевать».3
Следовательно, можно считать, что эпоха расцвета крохотного индивидуально-частного бизнеса заканчивается. Очевидно, что в дальнейшем он сможет существовать не как основное, а как вспомогательное производственное предпринимательство. Это подтверждает и российский опыт.
Основной правительственный замысел развития индивидуального и малого предпринимательства в России в конце 80-х — начале 90-х гг. связывался главным образом с производственной сферой экономики, возможностью увеличения товарной массы на потребительском рынке, появлением массовых конкурентов крупным производителям продукции. Для этого законодательно создавались необходимые экономические условия для развития малого бизнеса: выдавались льготные кредиты, снижались налоги, а в первый год образования малые предприятия вовсе не платили налогов.
Спустя несколько лет стало ясно, что надежды, возлагавшиеся на малый бизнес, не оправдались. Из 624 тыс. зарегистрированных в середине 1993 г. малых предприятий в сфере производства удержались очень немногие, и их доля в промышленном производстве и строительстве составила менее 1 % — в основном они сосредоточились преимущественно в сфере торговли и посредничества.1
Вместе с тем неразвитость малого производственного предпринимательства отражает серьезные недостатки в структуре экономики страны, которые трудно исправить на основе перемещения и диверсификации крупного капитала. Насыщение рынка товарами мелких партий, развитие сферы производственно-технического и бытового обслуживания вблизи жилых массивов и дорожных магистралей — это сфера деятельности в основном малого предпринимательства.
Развитие малых городов, поселков, сел немыслимо без участия малых производственных предприятий. Их создание снижает социальную напряженность, возникающую в результате роста безработицы, в частности обусловленной научно-техническим прогрессом. Малые предприятия и создаваемые на их основе художественные и различные кустарные промыслы способствуют укреплению экономики небольших поселений, сглаживают различия между центром и провинцией, выравнивают интеллектуальный уровень и образ жизни населения.
Чрезмерная концентрация производства в Советском Союзе стала одной из главных причин упадка малых городов, разорения и полного исчезновения десятков тысяч сел и деревень, переселения десятков миллионов людей в крупные города, где создались хронические неразрешимые проблемы жилья, бытового и культурно-массового обслуживания, транспорта, экологии, преступности.
Перед малыми предприятиями реально может ставиться задача не завоевания рынков путем вытеснения монополий, а заполнения «свободной ниши», образующейся в промежутках между товарной массой, поставляемой на рынок предприятиями-гигантами, в том числе и в небольших поселениях.
Вследствие того, что потребителей конкретных товаров на современных рынках, как правило, в сотни и тысячи раз больше, чем поставщиков, индивидуальные запросы каждого потребителя не могут быть удовлетворены. Крупные поставщики ориентируются в основном на усредненные стандарты и потребности, из которых выпадает масса неудовлетворенного или не полностью удовлетворенного розничного спроса. Это и есть «ниша» для малого предпринимательства.
Есть примеры, когда, заполняя пустующие рыночные «ниши», малые предприятия открывают колоссальный рынок сбыта и постепенно сами становятся гигантами производства. Такие примеры встречаются и в современной России. В частности, таганрогская фирма «Шельф», начав в 1990 г. со стартового капитала в 10 тыс. руб., взятого в кредит ее основателем, к 1993 г. имела 3 млн. руб. оборотных средств, а основные ее фонды составляли 900 млн. руб. (в ценах 1993 г.).
Свою деятельность фирма начала со строительства спортивных яхт, первую партию которых удалось выгодно реализовать в Болгарии. Затем фирма стала выступать в качестве посредника поставок оборудования для нефтегазодобывающих и перерабатывающих предприятий Поволжья, Сибири, Татарстана. Фирма одновременно заключает договора с предприятиями-поставщиками и потребителями данного оборудования, отслеживает своевременность и комплексность его изготовления и организует отправку потребителю, получая за услуги 10% комиссионных.
В 1993 г. помимо строительства спортивных яхт и посредничества в области поставок оборудования фирма начала строительство в Таганроге завода по производству кирпича, соорудила физкультурно-оздоровительный комплекс, т.е. вышла из разряда малых. Уже через 2 года после создания фирма «Шельф» начала успешно конкурировать со средними и крупными предприятиями.2 Подобные примеры правильно выбранной «ниши» предпринимательской деятельности скорее являются исключением из правил. Большинству мелких фирм не удается выйти в разряд крупных — часто они или сливаются в более
крупные предприятия на основе долевого (акционерного) участия, или поглощаются крупным капиталом, или разоряются. Эти процессы характерны не только для России, но и для ФРГ, США, Англии и других стран.
Какие предприятия относятся к малым? Единого международного стандарта дифференциации предприятий на малые, средние и крупные не существует. Это зависит от конкретной ситуации, уровня развития и структуры экономики каждой страны.
В основном, главным критерием отнесения предприятия к одной из этих групп является численность работников с дифференциацией по отраслям экономики.
В России до 1995 г. в отраслях промышленности и строительства к малым предприятиям относились объекты со среднегодовой численностью работников до 200 человек, в науке — до 100 человек, в других отраслях производственной сферы (транспорт, бытовое обслуживание, сельское хозяйство) — до 50 человек, в розничной торговле и отраслях непроизводственной сферы — до 15 человек. При этом к среднегодовой численности работников основного персонала добавляется среднесписочная численность работников, не состоящих в штате предприятия, т.е. работающих по совместительству, трудовым соглашениям, договорам подряда.
Предприятия, осуществляющие несколько видов деятельности (многопрофильные), относятся к малым на основании выделения того вида деятельности, который приносит наибольшую долю суммарной выручки от реализации продукции (выполненных работ, оказанных услуг).
С 1996 г. к малым предприятиям в промышленности, строительстве и транспорте стали относить предприятия с численностью до 100 человек, в сельском хозяйстве — до 60, в розничной торговле и бытовом обслуживании — до 30, в прочих отраслях — до 50 человек.
Эти изменения, а также мировая практика свидетельствуют о некой условности разделения предприятий по их размерам.
В Японии при разделении предприятий на группы в зависимости от их размеров помимо отраслевой дифференциации, как правило, используются 2 показателя: размер капитала (величина, аналогичная уставному капиталу в России) и численность персонала. Здесь большей частью проводится разделение предприятий на мелкие и средние. К последним в отраслях промышленности, транспорта, строительства, связи относятся предприятия с капиталом до 100 млн. иен (около 660 тыс. дол.) и численностью работающих до 300 человек; в оптовой торговле — соответственно до 30 млн. иен (около 200 тыс. дол.) и до 100 работающих; в розничной торговле и сфере услуг — до 10 млн. иен (около 66 тыс. дол.) и до 50 работающих. К малым в производственных отраслях относятся предприятия с численностью до 50 работающих, в торговле и сфере услуг — до 5 работающих.1


Коллективные и индивидуальные трудовые договоры


Существуют три возможных способа разрешена возникающего противоречия между общенациональными и групповыми интересами. Первый способ связан с так называемой политикой социальной ответственности сторон. Реакцией на взрыв инфляции и беспокойство правительства относительно экономической стабильности становится сознательное ограничение и умеренность требований профсоюзов в области заработной платы. В коллективных соглашениях на первый план выступают технологические требования, предусматриваются сокращение рабочих часов, ранний уход на пенсию, поощрение частичной занятости, увеличение отпусков, внутренние перемещения как защита от безработицы.
Естественно, что этот способ не может выступать кардинальным решением проблем, особенно в условиях гиперинфляции и массовой безработицы, а служит лишь временным средством сглаживания противоречий.
Недавно уточнена и расширена уголовная ответственность за нарушения трудового законодательства. Сейчас должностные лица организаций, независимо от форм собственности, несут уголовную ответственность за незаконное увольнение работника, за неисполнение решения суда о восстановлении работника на работе, за задержку выплат заработной платы и за иные существенные нарушения законодательства РФ о труде.
Коллективные и индивидуальные трудовые договоры и соглашения призваны обеспечить реализацию основных социальных прав персонала. Они лишь часть правового
поля, на базе которого функционируют трудовые отношения, идет согласование социально-экономических интересов работников и работодателей.
Решение социальных вопросов, вызывающих психологическую напряженность персонала, может эффективно осуществляться, если в организации сформировались и соблюдаются демократические нормы поведения.
Конкретизируя общедемократические нормы поведения, можно выделить следующие основные права персонала.
Занятость и оплата труда. Каждый имеет право на свободный выбор и реализацию своей профессии согласно порядку, действующему в соответствующей области.
Любой труд должен быть оплачен в справедливом размере. Для этого рекомендуется, чтобы:
- рабочим и служащим была дана гарантия справедливой оплаты труда, позволяющая им жить на адекватном жизненном уровне;
- рабочие и служащие, работающие на основе трудового соглашения, отличающегося от договора по постоянной работе на полный рабочий день, получили соответствующую cnpcii^ пивую оплату труда;
- оплата труда мч/кет удерживаться, отчуждаться или подвергаться аресту только согласно законам государства; в соответствии с этими положениями рабочие и служащие должны оставаться со средствами, необходимыми для покрытия жизненных издержек для себя и своей семьи.
В 1997—1998 гг. серьезной проблемой стали задержки с выплатой заработной платы. С учетом этого КЗоТ РФ (ст. 96) дает ряд гарантий своевременности оплаты труда и предусматривает санкции за нарушение сроков. В случае задержки заработной платы более чем на 10 дней работники имеют право приостановить работу на весь период задержки с оплатой этого времени в размере тарифной ставки (должностного оклада) как за простой не по вине работника. Кроме того, они имеют право на возмещение сверх того и в бесспорном порядке материального ущерба в размере одного процента от невыплаченных в установленный срок сумм за каждый день просрочки. Работодатели несут административную ответственность за нарушение сроков выплаты зарплаты и уголовную — в случае использования средств на оплату труда не по назначению. При задержке расчета с работником при его увольнении он имеет право (ст. 98) на компенсацию за моральный ущерб в размере одного процента недовыплаченных сумм за каждый день просрочки.
Право свободного передвижения. Все рабочие и служащие имеют право свободного передвижения на всей территории России с оговоркой ограничений, оправданных по причинам общественного порядка, безопасности и здоровья.
Профессиональное обучение. Все рабочие и служащие должны иметь доступ к профессиональному обучению и должны обладать этой возможностью в течение всей трудовой жизни. Условия доступа к профессиональному обучению не могут содержать дискриминацию по гражданству.
Территориальные органы управления, организации или социальные партнеры должны создавать в сфере их компетенции условия для повышения и совершенствования квалификации, позволяющие всем желающим проходить переобучение, повышать уровень квалификации и получать актуальные знания, особенно в связи с современными техническими достижениями.
Равноправие мужчины и женщины. Равенство возможностей между мужчинами и женщинами должно быть обеспечено и непрерывно развиваться. С этой целью везде, где это необходимо, надо принять меры, направленные на обеспечение осуществления равноправия мужчины и женщины, в первую очередь по таким вопросам, как получение работы, оплата труда, социальная защита, общее и профессиональное обучение, а также возможность служебного продвижения.
Охрана здоровья и безопасность условий трудового процесса. Все рабочие и служащие должны иметь удовлетворяющие нормам условия трудового процесса по отношению к охране здоровья и безопасности. Надо принимать соответствующие меры по гармонизации условий труда.
Охрана труда детей и молодежи. Интеграция молодежи в трудовую жизнь обеспечивается путем профессионального обучения. Минимальный возраст при вступлении в трудовую жизнь должен быть не ниже возраста освобождения от обязательного обучения.
Вся работающая молодежь должна получать адекватную оплату труда. Надо принимать необходимые меры для изменения положений трудового права, касающихся работающей молодежи, таким образом, чтобы они соответствовали требованиям индивидуального развития личности и потребностям в профессиональном обучении и доступе к работе.
По истечении срока обязательного обучения молодые люди должны иметь возможность получить основное профессиональное обучение, чтобы приспособиться к требованиям будущей трудовой жизни.
Особенно надо ограничить рабочее время всех рабочих и служащих моложе восемнадцати лет, причем нельзя обходить это требование, прибегая к сверхурочной работе, работе в ночное время. Исключения могут быть допущены в случае определенных видов профессиональной деятельности, установленных правовыми положениями.
Пожилые люди. Все рабочие и служащие пенсионного возраста должны обладать средствами в размере, гарантирующем им адекватный жизненный уровень, а каждый человек, достигший пожилого возраста, не имея, однако, права на пенсионное обеспечение, должен иметь возможность получать в случае заболевания достаточные пособия, средства социальной помощи, которые соответствуют его специфическим потребностям.1


Концепция естественного порядка


Данная модель воспроизводства показывает, что повторение процесса производства возможно при условии пропорциональности, которая достигается на основе конкуренции и свободной игры цен, т.е. на основе «естественного порядка». Вмешательство государства нарушает этот порядок.
Концепция естественного порядка переносила вечность законов природы на экономические законы, что является ошибкой.
Теория воспроизводства Ф.Кенэ была первой попыткой рассмотрения процесса воспроизводства в масштабе общества.
Позднее к процессу воспроизводства в масштабах общества обратился К.Маркс. Он создал теорию воспроизводства общественного капитала, которая состоит из трех взаимосвязанных частей:
- абстрактной теории реализации;
- теории национального дохода;
- теории экономических кризисов.
Основные положения теории воспроизводства общественного капитала сводятся к следующему.
1. Производство материальных благ в любом обществе есть непрерывно повторяющийся процесс, или воспроизводство.
2. Воспроизводство общественного капитала выступает как его движение в сфере производства и в сфере обращения. Результат этого движения выражается в совокупном общественном продукте (СОП), а сам общественный капитал, по К.Марксу, есть совокупность взаимосвязанных посредством рыночного механизма индивидуальных капиталов.
3. Процесс воспроизводства — это единство трех процессов: воспроизводства совокупного общественного продукта, производительных сил и производственных отношений. Эти три момента можно разделить лишь теоретически, в реальной действительности они осуществляются в единстве и взаимодействии. Материальной основой непрерывного возобновления и развития производства является совокупный общественный продукт, который в условиях рыночной экономики носит товарный характер, его реализация необходима для непрерывности производства. Поэтому центральной проблемой общественного производства является реализация совокупного общественного продукта. Воспроизводство производительных сил включает воспроизводство рабочей силы и средств производства. Своеобразие воспроизводства рабочей силы состоит в том, что человек воспроизводит себя не только как работник со своими физическими и интеллектуальными способностями, но и как работник определенного качества или типа. Важной частью этого процесса является воспроизводство природных ресурсов, или естественных условий экономического роста. По мере развития общества воспроизводство все более приобретает эколого-экономический характер.
4. Воспроизводство охватывает все четыре фазы (момента) общественного производства: собственно производство (процесс создания материальных благ, необходимых для существования и развития общества); распределение (процесс определения доли, количества, пропорции участия каждого члена общества в произведенном продукте); обмен (процесс движения материальных благ и услуг от одного субъекта к другому и форма общественной связи производителей и потребителей, опосредования результатов производства для удовлетворения определенных потребностей) и потребление. Все эти фазы (моменты) находятся во взаимосвязи.
5. Условием прогрессивного развития общества является расширенное воспроизводство, основанное на машинной технике. Источником расширения (накопления) общественного капитала является прибавочная стоимость.
6. Условием непрерывности общественного производства является создание и наличие материальных запасов, общественных резервов в размере годового объема
продукции.
7. Воспроизводство предполагает соотношение между структурой производства и структурой общественных потребностей, т.е. определенную пропорциональность.
8. Все общественное производство разделяется на два подразделения: I — производство средств производства и П — производство предметов потребления. Преимущественное развитие имеет I подразделение.
В современной западной экономической литературе непрерывность производства в масштабах общества рассматривается в модели экономического оборота продуктов и дохода, которую можно представить следующим образом (схема 12.1.1).
Модель экономического оборота Схема 12.1.1.

Хозяйственная деятельность в национальной экономике поразительно многообразна. Между хозяйствующими субъектами существуют самые различные отношения. Предприятия производят и продают; домохозяйства потребляют и накапливают;
государственные бюджетные учреждения взимают налоги и удовлетворяют коллективные потребности. Для того, чтобы упростить все множество запутанных процессов в национальной экономике, непрерывное повторение актов производства и потребления можно представить в виде модели экономического оборота. При этом одинаковые хозяйственные единицы объединяются (агрегируются) в секторы (хозяйствующие субъекты), а аналогичные хозяйственные операции — в величины потока (поток товаров и услуг, или товарное обращение, и денежный (монетарный) поток, или денежное обращение).
Основным созидающим звеном экономического оборота являются предприятия (фирмы), изготавливающие необходимые обществу (домохозяйством) продукты и услуги. Предприятия функционируют не изолированно, а в тесной, необходимой для их существования связи не только с покупателями, создающими спрос на их продукцию, но и с движением ресурсов.
Эти связи (взаимосхема связи) через куплю-продажу осуществляются на потребительском рынке, где реализуется продукция производства, и на рынке ресурсов, где приобретаются факторы производства. Постоянное возобновление, повторение и продолжение этих взаимосвязей является критерием общественного производства.1
'В экономическом росте и страны, и предприятия роль собственности, ее использования весьма важна. Правильный подход к эффективному задействованию собственности, которая может приносить доход, и является основой экономической динамики.
Государственная собственность занимает одну из важнейших позиций в определении направления экономического развития страны, в частности, через контроль государственных предприятий, сдачу своих зданий в аренду и прочее. Аналогично и собственность граждан, распоряжающихся своей способностью к труду, и собственность юридических лиц участвуют в производстве и иной деятельности, создавая и приумножая имущество за счет доходов.
Данную позицию в отношении собственности чрезвычайно легко отследить путем оценки эффективности использования данного объекта, что непосредственно отражается на национальной экономике и ее эффективности в целом.


Концепция народнохозяйственного планирования


Концепция народнохозяйственного планирования Большая часть десятилетия 20-х гг. была заполнена также напряженной работой Н.Д. Кондратьева по разработке теории народнохозяйственных планов. Ученый не раз подчеркивал, что в послереволюционных условиях государство, используя национализированную собственность (на землю, преобладающую часть промышленности, транспорта, кредитной системы и значительную часть торговли), способно оказывать значительно более сильное воздействие не только на общественный, но и на частный сектор, народное хозяйство в целом. Главным методом такого воздействия Н.Д. Кондратьев считал планирование.
Наряду с теоретическими изысканиями, Н.Д. Кондратьеву принадлежит заслуга непосредственного участия в составлении первых планов. Как уже отмечалось, в течение ряда лет он возглавлял Управление сельскохозяйственной экономики и плановых работ Наркомзема РСФСР, был директором Конъюнктурного института при Наркомфине СССР. Молодой директор (Кондратьеву не было тогда и сорока лет) ставил перед институтом задачу создания макроэкономической теории планирования и прогнозирования. В решении вопросов конъюнктурных исследований (динамика цен, индексы объемов производства в промышленности, сельском хозяйстве и т.д.) Кондратьев и его сотрудники стояли на передовых рубежах мировой науки.
Как уже отмечалось, к середине 20-х гг. в отечественной экономической мысли сложились два основных подхода к планированию.
Первый (генетический) строился на основе экстраполяции в будущее (на величину планового периода) тех основных тенденций в развитии экономики, которые имелись в настоящем. Второй (телеологический) делал главный упор на постановку определенной задачи плана для того, чтобы затем выяснить способы ее реализации. Н.Д. Кондратьев, как и большинство крупнейших экономистов того времени, выступал за разумное сочетание обоих методов. Им, в частности, подчеркивалось, что «учет объективной обстановки столь же необходим при построении планов промышленности, как и при построении планов развития сельского хозяйства. И генетический и телеологический методы должны быть, очевидно, использованы как при построении одних, так и при построении других. Различие же между первыми и вторыми планами обусловливается вовсе не тем, что в одном случае мы пользуемся генетическим методом, а в другом — телеологическим методом. Различие это лежит в ином, а именно в пределах возможного влияния государства на промышленность и на сельское хозяйство».
Будучи убежденным сторонником сочетания «телеологии»  и «генетики», Н.Д. Кондратьев много делал для изучения объективных характеристик и тенденций рыночной экономики. Для него рынок был не просто символом стихийного начала, но рассматривался в качестве связующего звена между национализированным, кооперативным и частным секторами, а также как важный источник хозяйственной информации. Предназначение же плана ученый видел в том, чтобы обеспечить более быстрый, чем при спонтанном развитии, темп роста производительных сил. Кроме того, задачу планирования Н.Д. Кондратьев усматривал в обеспечении не только быстрого, но сбалансированного роста производства. Концепция разумного сочетания рыночных и плановых начал (равно как одновременного использования принципов «генетики» и «телеологии») представлялась ему пригодной для всех секторов экономики.
Вместе с тем, как показал Н.Д. Кондратьев, указанная концепция модифицировалась в зависимости от того, какой именно сектор рассматривался в качестве объекта планирования. Так, в сфере сельского хозяйства, основанного тогда на частной собственности крестьян, по необходимости должны были преобладать методы косвенного воздействия на рынок, план здесь должен был принимать преимущественно генетический характер. Напротив, в национализированной промышленности элементы сознательного, планового влияния способны были обрести гораздо больший вес. Соответственно возрастало значение приемов телеологического планирования. Но в любом случае построить научный план, а главное, воплотить его в жизнь можно было, согласно Кондратьеву, только сообразуясь с реальной обстановкой, объективными законами рынка, стремясь к равновесию спроса и предложения, устойчивости денежного обращения.
Заслуга Н.Д. Кондратьева заключалась в том, что он разработал довольно стройную концепцию научного планирования, сознательного воздействия на экономику, причем в условиях НЭПа, при сохранении механизмов рыночного регулирования и рыночной сбалансированности. Неудивительно, что эта концепция оказалась «не по вкусу» сталинскому руководству, намечавшему форсированный, но без учета реальных условий, переход к административному государственному социализму. В своей речи на конференции аграрников-марксистов, т.е. в том самом выступлении, где он пообещал «отбросить НЭП к черту», Сталин грубо раскритиковал теорию равновесия (равновесного развития), развитую Кондратьевым и его единомышленниками, назвав ее одним из «буржуазных предрассудков». Для Сталина, как и для других идеологов «волевого», командного планирования, были неприемлемы научно взвешенные, умеренно реформаторские концепции Кондратьева и его школы. Но сегодня можно объективно оценить заслуги русского ученого в критике теоретических предпосылок «планового» волюнтаризма.
Учение о «больших циклах конъюнктуры» Мировой экономической науке Н.Д. Кондратьев известен прежде всего как автор теории больших циклов хозяйственной конъюнктуры. В ряде своих работ, среди которых выделяются монография «Мировое хозяйство и его конъюнктуры во время и после войны» (1922) и доклад «Большие циклы экономической конъюнктуры» (1925), ученый развивал идею множественности циклов, выделяя различные модели циклических колебаний: сезонные (продолжительность меньше года), короткие (продолжительность 3-3,5 года), торгово-промышленные (средние) циклы (7-11 лет) и, наконец, большие циклы, длящиеся 48-55 лет.
Концепция больших циклов Н.Д. Кондратьева распадалась на три основные части: 1) эмпирическое доказательство существования «большой модели цикла»; 2) некоторые эмпирически установленные закономерности, сопровождающие длительные колебания конъюнктуры; 3) попытка их теоретического объяснения, или собственно теория больших циклов конъюнктуры.
Чтобы установить, существуют ли большие циклы, Н.Д. Кондратьев обработал значительный фактический материал. Им были изучены статистические данные по четырем ведущим капиталистическим странам — Англии, Франции, Германии и США. Кондратьев анализировал динамические ряды цен, процента на капитал, заработной платы, объема внешней торговли, а также производства основных видов промышленной продукции. Динамика производства угля и чугуна учитывалась также по «индексам общемирового производства».
Большинство взятых данных (за редким исключением) обнаружило наличие циклических волн продолжительностью в 48-55 лет. Причем периоды в колебаниях отдельных показателей совпадали между собой весьма близко. Период статистических наблюдений и анализа составлял максимально 140 лет (по некоторым данным меньше). На этот отрезок времени — к середине 20-х гг. — пришлось всего два с половиной закончившихся больших цикла. «Очевидно, — писал Н.Д. Кондратьев, — что если доступный нашему изучению отрезок времени и достаточен, чтобы решить вопрос о существовании больших волн конъюнктуры, то он не достаточен, чтобы с полной категоричностью признать и цикличность этих волн. Однако мы считаем имеющиеся данные достаточными, чтобы признать большую вероятность этой цикличности».
Согласно оценкам Н.Д. Кондратьева, периоды больших циклов с конца XVIII в. оказались приблизительно следующие.
1. Повышательная волна: с конца 80-х — начала 90-х гг. XVIII в. до 1810—1817 гг.
2. Понижательная волна: с 1810—1817 гг. до 1844—1851 гг..
3. Повышательная волна: с 1844—1851 гг. до 1870—1875 гг.
4. Понижательная волна: с 1870—1875 гг. до 1890—1896 гг.
5. Повышательная волна: с 1890—1896 гг. до 1914—1920 гг.
6. Вероятная понижательная волна: с 1914—1920 гг.
Таким образом, несмотря на довольно высокую конъюнктуру, наблюдавшуюся в 20-е годы в главных капиталистических странах, Н.Д. Кондратьев относил указанное десятилетие к началу очередной понижательной волны, что вскоре нашло подтверждение в драматических событиях мирового экономического кризиса 1929—1933 гг. и последующей многолетней депрессивной фазы. Можно утверждать, что Н.Д. Кондратьев во многом предугадал «великую депрессию» 30-х гг.
Если   экстраполировать   основные   тенденции,   намеченные   профессором Кондратьевым, получится, что к настоящему времени развитые страны Запада должны были пережить уже четыре больших цикла и вступить в пятую большую повышательную волну хозяйственной конъюнктуры. Фактически большие циклические колебания были примерно следующими.
1. Повышательная волна: с 1890—1896 гг. до 1914—1920 гг.
2. Понижательная волна: с 1914—1920 гг. до 1939—1945 гг.
3. Повышательная волна: с 1939—1945 гг. до 1967—1973 гг.
4. Понижательная волна: с 1967—1973 гг. до 1982—1985 гг.
5. Повышательная волна: с 1982—1985 гг.
Как видно, понижательная волна 4-го большого цикла была необычно краткой (всего 16-19 лет), но в целом предсказание Н.Д. Кондратьевым динамики длительных колебаний конъюнктуры оказалось довольно точным. Не случайно интерес к модели «больших циклов» резко возрос именно с середины 70-х гг., когда спустя почти полвека после «великой депрессии» на Западе повсеместно наблюдался очередной всеобщий хозяйственный спад.
Как уже отмечалось, Н.Д. Кондратьев выделил и целый ряд эмпирических закономерностей, сопровождавших длительные колебания экономической конъюнктуры. Так, он полагал, что «перед началом и в начале повышательной волны каждого большого цикла наблюдаются глубокие изменения в условиях экономической жизни общества. Эти изменения выражаются в значительных изменениях техники (чему предшествуют, в свою очередь, значительные технические открытия и изобретения), в вовлечении в мировые экономические связи новых стран, в изменении добычи золота и денежного обращения».
Главную роль, по мнению Н.Д. Кондратьева, играли здесь научно-технические новации. Так, в развитии первой повышательной волны (конец XVIII в.) решающую роль сыграли изобретения и сдвиги в текстильной промышленности и производстве чугуна. Рост в течение второй волны (середина XIX в.) был обусловлен прежде всего строительством железных дорог, бурным развитием морского транспорта, что позволило освоить новые хозяйственные территории и преобразовать сельское хозяйство. Наконец, третья повышательная волна (конец XIX — начало XX вв.) была подготовлена, по Н.Д. Кондратьеву, изобретениями в сфере электротехники и основывалась на массовом внедрении электричества, радио, телефона и других новшеств.
Другими эмпирическими закономерностями,  сопровождающими длительные конъюнктурные колебания, Н.Д. Кондратьев считал следующие:
а) на периоды повышательной волны каждого большого цикла приходится наибольшее количество социальных потрясений (войн и революций);
б) периоды понижательной волны каждого большого цикла сопровождаются длительной и особенно резко выявленной депрессией сельского хозяйства;
в) в период повышательной волны больших циклов средние капиталистические циклы характеризуются краткостью депрессий и интенсивностью подъемов; в период понижательной волны больших циклов наблюдается обратная картина.
В настоящее время концепция больших циклов Кондратьева имеет среди экономистов как горячих сторонников, так и столь же упорных противников. Какова бы ни была ее дальнейшая судьба, ясно, что она внесла немалый вклад в развитие особого раздела мировой экономической мысли — теории хозяйственной конъюнктуры.


Конъюнктурный обзор


- расчеты могут, а в ряде случаев и должны, осуществляться с учетом различных условий и разных количественных значений факторов.
Результаты исследований конъюнктуры рынка могут быть представлены в виде различных аналитических документов.
1. Сводный обзор, или доклад. Это основной документ с обобщающими показателями рынка товаров народного потребления. Анализируются динамика общеэкономических и отраслевых показателей, особые условия конъюнктуры. Проводится ретроспектива и дается прогноз показателей конъюнктуры, освещаются наиболее характерные тенденции, выявляются взаимосвязи конъюнктуры отдельных товарных рынков.
2. Тематический (проблемный или товарный) обзор конъюнктуры. Документы, отражающие специфику конкретной ситуации или отдельного товарного рынка. Выявляются наиболее актуальные проблемы, типичные для ряда товаров, либо проблема конкретного товарного рынка.
3. Оперативная  (сигнальная) , конъюнктурная информация.  Это  документ, содержащий оперативную информацию, которая является своего рода «сигналом» об отдельных процессах конъюнктуры рынка. Основными источниками оперативной информации являются данные торговых корреспондентов, опросов населения, экспертные оценки специалистов.
В качестве примера приведем схему конъюнктурного обзора рынка сбыта товаров. Конъюнктурный обзор состоит из следующих разделов.
Раздел 1. Оценка конъюнктуры рынка в текущем периоде
Такая оценка осуществляется исходя из анализа информации о производстве, поставке, продаже и запасах товаров (конкретного предприятия), ритмичности поставок;
результатах специальных наблюдений; данных о работе по обновлению продукции;
повышении качества товаров и др.
Сопоставление показателей конъюнктуры рынка сбыта товаров может осуществляться по следующей форме (табл. 17.2.2).
Таблица 17.2.2
Сопоставление показателей конъюнктуры рынка сбыта товара
Характеристика спроса
Показатели
Производство
Продажа
Запасы
Рост
Без
изменений
Снижение
Рост
Без изменений
Снижение
Рост
Без изменений
Снижение
Ограниченный спрос
+
+
+


+
+
+




Стабильный спрос
+
+


+
+


+
+


Повышенный спрос
+




+






+
+
Товар дефицитен


+
+


+
+


+
+

В конъюнктурном обзоре отражаются итоги анализа указанных показателей в виде перечня товаров, пользующихся и не пользующихся повышенным спросом.
Результаты оценки работы предприятия отражают итоги анализа информации о ходе поставок товаров (нарушение договоров на поставку), проверках качества товаров и данных о рекламациях.
Раздел 2. Прогноз основных показателей рынка
Освещаются основные направления развития конъюнктуры рынка на предстоящие один-два квартала. В данном разделе отражаются основные тенденции развития конъюнктуры рынка в прогнозируемом периоде:
- каких товаров будет недостаточно на рынке и какие могут оказаться в избытке;
- какие изменения могут произойти в продаже и товарных запасах; какие затруднения могут возникнуть с выполнением договорных обязательств под воздействием складывающейся конъюнктуры?
Прогноз возможных соотношений товарного предложения и потребностей рынка в товарах в предстоящих двух кварталах основан на балансовой увязке ожидаемого производства (поставки), прогноза потребности в товарах и необходимого уровня товарных запасов.
Раздел 3. Предложения и рекомендации
Этот раздел отражает результаты проведенного анализа и содержит следующее.
1. Перечень мер, которые необходимо принять для нормализации рынка сбыта (совершенствование графиков поставок, предложения по прямым связям, изменение зон сбыта, реклама, техническое обслуживание и т.д.).
2. Перечень товаров, выпуск которых необходимо сократить.
3. Перечень товаров, выпуск которых следует увеличить.
4. Перечень товаров, рекомендуемых к снятию с производства.
Конъюнктурные исследования проводятся в рамках маркетинговой деятельности предприятия. Для их регулярного осуществления необходимо иметь соответствующих квалифицированных специалистов. К исследованиям могут привлекаться и специализированные исследовательские организации.


Конкуренция и предприятие


Конкуренция и предприятие Важнейшим фактором в рыночной экономике является дух соперничества. Он в значительной степени определяет формы хозяйственной деятельности людей. Наиболее яркое проявление соперничества — конкуренция.
Конкуренция — это экономическое состязание изготовителей одинаковых товаров на рынке за привлечение как можно большего числа покупателей и получение благодаря этому максимальной выгоды.
Конкуренция — важное средство контроля в рыночной системе. Рыночный механизм предложения и спроса доводит пожелания потребителей до предприятий-изготовителей продукции, а через них — и до поставщиков ресурсов. Однако именно конкуренция заставляет предприятие-изготовитель и поставщиков ресурсов надлежащим образом удовлетворять эти пожелания потребителей. Конкуренция вызывает расширение производства и понижение цены продукта до уровня, соответствующего издержкам производства.
Однако этим не ограничивается положительное воздействие конкуренции на экономику, ее эффективность. Конкуренция заставляет предприятия наиболее полно воспринимать научно-технические достижения, применять эффективные технику, технологию, современные методы организации производства и труда.
Понятием, противоположным конкуренции, является монополия. В условиях монополии на рынке имеются только один продавец и множество покупателей. Являясь единственным производителем данного товара, монополист назначает за этот товар на рынке монопольно высокую цену. В результате общество будет нести повышенные издержки, так как относительно меньше потребителей смогут покупать товар, произведенный и предлагаемый в условиях монополии, а те, кто покупает этот товар, будут платить за него больше. В условиях свободной конкуренции у монополиста меньше предложений.
Отметим также, что монополист как единственный производитель данного товара находится в очень выгодном положении. Он может свободно повышать цену товара, так как не беспокоится о конкурентах, которые, назначая более низкую цену, могли бы захватить рынок. Однако это не означает, что монополист может бесконечно повышать цену, назначать ее сколь угодно высокой. Прежде чем принять решение о цене, монополист изучает рыночный спрос, анализирует издержки своего производства, издержки сбыта продукции. В соответствии с характером кривой рыночного спроса чем выше цена, тем ниже спрос, и наоборот; при этом монополист устанавливает цену товара и определяет объем его производства и продажи.
В классической экономической литературе (в частности, в трудах Адама Смита) существует термин «невидимая рука». Суть его действия в том, что предприятия-изготовители и поставщики ресурсов, добивающиеся увеличения собственной выгоды и действующие в рамках остроконкурентной рыночной системы, одновременно, как бы направляемые «невидимой, рукой», способствуют обеспечению государственных, общественных интересов. При существующей конкурентной конъюнктуре предприятия используют наиболее экономичную комбинацию ресурсов для производства данного объема продукции, поскольку это отвечает их частной выгоде. Вместе с тем, такое использование ресурсов отвечает и интересам общества. В итоге концепция «невидимой руки» приводит к тому, что если предприятия максимизируют свою прибыль, общественный продукт также максимизируется.
Насколько конкурентоспособны малые предприятия? Могут ли они противостоять крупным предприятиям? По мнению ряда зарубежных экономистов, основанному на практическом опыте, малым предприятиям присущи многие положительные качества, которыми обделены крупные компании.
Какие же недостатки характерны для крупных фирм? Прежде всего они не в состоянии уследить за всеми своими товарами и всеми рынками и смотрят на любые перемены, как на риск. Крупные предприятия не в состоянии ладить с людьми одержимыми, которые нередко являются инициаторами новых идей. Такой фирме очень трудно принять решение о вложении денег в проект, который, возможно, начнет давать прибыль через семь-десять лет. Крупные компании тратят слишком много и слишком быстро. Процесс ожидания скорой отдачи средств начисто лишает их необходимой потенции. Наконец, на крупных фирмах не принято вознаграждать за риск. Здесь управляющие компаниями одобряют и утверждают планы, а не товары.
В противоположность крупным компаниям малые фирмы действуют по принципу «ориентации на нужды». Им жизненно необходимо предлагать рынку что-то новое, реально действенное. В мелких фирмах инициатором всего нового является, как правило, один человек, обладающий знаниями и энергией. Следует отметить, что подавляющее большинство новых товаров рождается на мелких фирмах.
Малые фирмы умеют мыслить перспективно. У них относительно невысоки издержки производства на начальном этапе инновационного процесса, поскольку, как правило, длительность этого этапа может повлиять на освоение и выпуск новой продукции.
Общеизвестна гибкость, присущая малым фирмам. При неудаче в одной сфере деятельности они умеют быстро переключаться на другую, более эффективную. Помимо того, малые фирмы, как правило, работают над несколькими идеями сразу, т.е. осуществляют множественный конкурентный подход.
Надо отметить также, что мелкие фирмы «терпимы к хаосу», что совсем или почти невозможно для традиционной крупной компании. Вместе с тем, надо иметь в виду, что инновации — это в основном процесс неорганизованный, проходящий, как правило, рывками то вверх, то в стороны.1
21.3. Бухгалтерский учет сущность бухгалтерского учета; учет денежных средств и расчетов
Оценивая бухгалтерский учет с позиций целостности восприятия происходящих экономических процессов, нужно отметить, что в данной системе присутствует элемент тотальности при проведении любой операции, что дает основания сделать вывод о цикличности данной системы, что и обеспечивает ей необходимую устойчивость и реальность отображения протекающих процессов в деталях.


Конкурентоспособность Великобритании


Повышение конкурентоспособности производства во Франции сопровождалось снижением конкурентоспособности некоторых торговых партнеров Франции, особенно в рамках Европейского сообщества, где с 1987 года по сентябрь 1992 года среди стран-членов организации МВК (Механизм регулирования валютных курсов) действовали главным образом фиксированные обменные курсы. Так, две страны, вышедшие из МВК в сентябре, — Италия и Соединенное Королевство Великобритании и Северной Ирландии — испытывали особенно резкое ослабление своих конкурентных позиций.
Соединенное Королевство вступило в МВК лишь в октябре 1990 года, отчасти в целях введения определенной внешней дисциплины для ограничения все более быстрого роста номинальной заработной платы, который, как считалось, имел негативные последствия для конкурентоспособности на внешнем рынке. Рост реальной заработной платы был замедлен, если не фиксацией курса фунта, то экономическим спадом Соединенного Королевства в период 1991-1992 годов, однако падение конкурентоспособности на внешнем рынке продолжалось. Правда, темпы инфляции Великобритании во время экономического спада быстро снижались и оказались меньше темпов инфляции Германии. Это должно было вести к повышению конкурентоспособности, однако фунт вырос по отношению к доллару и иене, поскольку курс немецкой марки повышался, а фунт удерживался в сетке МВК. Таким образом, конкурентоспособность Великобритании продолжала ухудшаться. В первом квартале 1992 года темпы роста совокупного объема импорта опережали темпы роста внутреннего спроса, а за год в целом импорт возрос на 6%. Как было отмечено выше, зафиксированные в рамках МВК обменные курсы стали неприемлемыми, и в результате начался валютный кризис. (Благодаря последующей девальвации фунта реальный действующий обменный курс по отношению к валютам торговых партнеров из числа промышленно развитых стран снизился на 15% по сравнению с его максимальным августовским уровнем 1992 г. В результате ожидалось, что британские производители товаров, пользующихся спросом на внешнем рынке, должны частично восстановить конкурентоспособность в 1993 году, и, несмотря на сохранение вялой конъюнктуры на экспортных рынках, возможно сокращение уровня импортной экспансии и улучшение перспектив внутриэкономического роста.
Ослабление конкурентоспособности Италии вплоть до сентября 1992 года также было весьма заметным. В 1991 году рост физического объема экспорта прекратился, а его стоимость в долларах сократилась. Столь низкие показатели экспорта отмечались в последний раз в начале 80-х годов. Как и в Соединенном Королевстве, ставки заработной платы росли значительно быстрее, чем в странах-конкурентах. Относительный показатель затрат на рабочую силу в расчете на единицу продукции в обрабатывающей промышленности возрос на 10% по сравнению с основными торговыми партнерами с момента проведения последней корректировки МВК в 1987 году по первую половину 1992 года. Однако в результате начавшегося в сентябре выравнивания валютного курса это накопившееся отставание в уровне конкурентоспособности стало постоянно выравниваться.
В условиях спада в Европе и Японии в 90-х годах повышается значение азиатских и латино-американских рынков для многих американских, японских и европейских экспортеров, в особенности производителей дорогостоящих потребительских товаров и средств производства. За пятилетие в 1986-1991 гг. объем американского экспорта, например только в Мексику, почти утроился. В течение 80-х годов американский экспорт в Сингапур, Тайвань и Гонконг вырос на 160%. Возрастает он и в 90-е годы. Эти три региона являются сейчас более крупным рынком для американских товаров, чем любая европейская страна, взятая в отдельности.
В целом же примерно 63-64% общего мирового экспорта товаров (с некоторыми колебаниями) приходится на развитые страны. Из этой доли около 75% экспорта реализуется в отношениях между самими развитыми странами, приблизительно 20% товаров идет в развивающиеся страны, а около 5% приходится на постсоциалистические страны. В свою очередь, развивающиеся страны вывозят в промышленно развитые страны около 70% своих экспортных товаров. И тоже примерно 20% товаров реализуется в их взаимной торговле, а около 5% приходится на поставки в бывшие социалистические страны. Удельный вес постсоциалистических стран в международной торговле составляет около 11%.
Почти 60% мирового экспорта товаров реализуется в развитых странах рыночной экономики, 15% идет в развивающиеся страны (эта доля снизилась в 1985-1988 гг. с 20%). Наибольшая часть, т.е. около 40% мирового экспорта и импорта товаров, приходится на Западную Европу, примерно 20% — на Северную Америку, приблизительно столько же — на Азию, около 5% — на Латинскую Америку, 5% — на Средний Восток, 3,5% — на страны Африки.
Огромной торговой мощью обладает объединенная группа стран в рамках ЕЭС. Разумеется, ЕЭС не означает закрытость экономики этой группы стран по отношению к внешнему миру. Более того, обостряющаяся конкурентная борьба способствует поиску новых рынков сбыта, источников сырья, партнеров по кооперации и стран ЕЭС. В их торговле с третьими странами можно выделить следующие основные направления: внутриевропейская торговля, торговля с государствами, входящими в состав Европейской ассоциации свободной торговли (ЕАСТ), торговля с США, Японией, другими индустриальными странами (Канадой, Австралией, Новой Зеландией и т.п.), торговля со странами переходной экономики и развивающимися странами.
Являясь в количественном отношении менее весомым в общей структуре импорта Германии, ввоз предметов роскоши резко сократился, особенно золота (на 22% по стоимости) и произведений живописи (на 62%), что объясняется крахом непомерно раздутого финансового капитала.
Из представленных данных видно, что сокращение импорта энергоносителей и сырья привело к снижению доли торговли развитых стран с третьими странами. В то же время неуклонно возрастает экспорт по статье «машины и транспортные средства» — с одной стороны, за счет внутреннего обмена между развитыми странами, а с другой — происходит рост их экспорта в развивающиеся страны. Резко возрос и импорт машин и транспортных средств.
Из сравнения товарной структуры экспорта и импорта стран высокоразвитого рыночного хозяйства очевидна более высокая доля экспорта готовой продукции по сравнению с ее импортом, более высокий удельный вес импорта топлива, примерно равная доля импорта и экспорта сырья, почти одинаковая доля продовольственных товаров и сельскохозяйственных продуктов, удельный вес которых в дальнейшем вряд ли будет уменьшаться — по-видимому, он достиг возможного «порога» падения. Наиболее быстрыми темпами развивался экспорт и импорт топлива. На втором месте -— готовые изделия, за которыми следуют продовольственные товары, сельскохозяйственная продукция и, наконец, промышленное сырье.
Если до 70-х годов в международном товарообмене преобладала торговля промышленной продукцией, с одной стороны, а сырьем — с другой, то сейчас все более утверждается обмен промышленными изделиями, сложной наукоемкой продукцией (электроника, информационная техника, технологические системы и целые заводские комплексы, не говоря уже о комплектующих к машинам, узлам и т.д.), главным образом, между промышленно развитыми странами.
Снижение доли продовольственных товаров связано с ростом производства сельскохозяйственной продукции в развитых странах, вследствие чего давно достигнута их продовольственная самообеспеченность. Одновременно растут объемы взаимного обмена продовольствием между развитыми странами. Каждая из них выступает и экспортером, и импортером продовольствия, что отражает высокий уровень специализации в производстве и потреблении пищевых продуктов, а также действие закона повышения потребностей человека в современных условиях, что дает возможность в условиях современного рыночного общества так или иначе реализовать требование этого общесоциологического закона.
Уменьшение доли импорта сырья, в свою очередь, объясняется тремя главными причинами: расширением производства синтетических материалов на базе развития химической промышленности, большим использованием ресурсов отечественного сырья и переходом на ресурсосберегающие технологии, когда снижается удельный вес сырья на производство единицы промышленный продукции. В то же время резко возросла международная торговля минеральным топливом — нефтью и природным газом, — как следствие развития химической промышленности и изменений в структуре топливно-энергетического баланса. Но и эта тенденция имеет неустойчивый характер и находится в зависимости от изменений в технологической базе производства, а также от динамики промышленного цикла в мировой экономике.
Невидимый экспорт. Важную роль в международной торговле развитых стран играет экспорт и импорт услуг (т.е. невидимый экспорт). Сюда относятся все виды международного и транзитного транспорта, иностранный туризм, услуги банков и страховых компаний, платежи за патенты, авторские гонорары и права, доходы от рекламы, продажи произведений искусства, услуги здравоохранения, обучение, программное обеспечение вычислительной техники, торгово-техническая деятельность.
Общий объем экспортируемых услуг в рамках мировой торговли возрос со 155 млрд. долл. в 1975 г. до более 10 трлн. долл. в 1982-1992 гг., имея те же темпы роста, что и экспорт товаров. За послевоенные десятилетия производство товаров и услуг в США возросло более чем в 30 раз. Во столько же возрос и объем мировой торговли товарами и услугами. Доля экономически развитых стран в этом международном обмене услугами составляет около 80%. Если же иметь в виду объем торговли услугами Национальной информационной системы (НИС), эта доля превысит 85%. Удельный вес экспорта услуг в экспорте товаров всей мировой системы в начале 90-х гг. приблизился к 30%. И, по-видимому, эта тенденция будет ускоряться.
При уменьшении экспорта некоторых традиционных услуг (транспорт и т.п.) быстро развивался экспорт услуг, связанных с применением научно-технических достижений, с внедрением вычислительной техники, консультационных, торговых и технических услуг, ноу-хау, услуг в области дальней связи, услуг банков, страховых агентств и т.п.



Конституция США даже запрещает их использование.


Введем дополнительный импортный налог T1, повышающий цену товара до уровня Р2. В этом случае общее количество уменьшившегося потребления будет определяться величиной Q2Q3, в то же время национальные производители увеличат объем производства на величину Q1Q2 потери для иностранных поставщиков будут равны сумме отрезков Q1Q2 и Q3Q4.
Площадь прямоугольника P1P2D2L будет определять величину потерь или дополнительных расходов, понесенных потребителями в связи с общим увеличением цен продаваемых товаров. Эта сумма включает в себя дополнительные прибыли, полученные национальными производителями (четырехугольник «
»), и потери общества, возникающие в связи с тем, что в производство вовлекаются новые, менее эффективные факторы, использование которых стало возможным благодаря протекционистской политике правительства (треугольник «b»). Треугольник «d» показывает потери, возникающие в связи с уходом с рынка части иностранных производителей, а прямоугольник «с» — величину выигрыша лиц, получающих средства, собранные налогами.
Большинство современных экономистов исходят из того, что материальные преимущества от следования принципу свободной торговли, несомненно, больше, нежели потери национальной экономики. Протекционизм снижает конкурентное давление на национальных производителей и приводит к уменьшению эффективности производства. Кроме того, если он используется в течение десятилетия (например, в Латинской Америке в I960—1970 гг.), то он блокирует доступ к новым и новейшим технологиям. Это вредно для рынка, характеризуемого как совершенной (наличие множества производителей и потребителей), так и несовершенной (наличие одной или нескольких монополий) конкуренцией. В условиях монопольного производства производитель получает сверхприбыль. При импорте свободная конкуренция сокращает величину сверхприбыли.
В теоретическом плане экономисты классической школы допускают возможность наличия ряда оговорок к идее «свободной торговли». Наиболее распространенной является возможность установления «оптимального» таможенного тарифа. Суть ее сводится к следующему: если страна достаточно велика, то она в состоянии обеспечить снижение цен на импортируемые товары за счет сокращения спроса на них. В этом случае она может ввести таможенный тариф с целью улучшения условий торговли», т.е. заставить иностранных поставщиков снизить цены. Такая ситуация свойственна для ряда сельскохозяйственных товаров, обладающих низким уровнем эластичности потребления, при этом производство и потребление их сконцентрированы в нескольких местах.
Поставщик после введения дополнительного налога (импортной пошлины), опасаясь потерять большой экспортный рынок, может пойти на снижение цены, превышающее величину вводимого налога.
Такое явление называется «парадоксом Мецлера», графически его можно представить на 13.4.2.


На графике линия WWs обозначает динамику предложения товара на мировом рынке до момента введения таможенного тарифа; линия WW
— тенденцию предложения на рынке к моменту установления тарифа T, когда поставщики, опасаясь потерять рынки, снизили цену на величину Р1P3, превышающую величину тарифа T, линия WW
— предложение товара на рынке после установления тарифа. Параметры Q1, Q2, Q3 показывают соответствующее количество приобретенного товара, а линия DD1 — потребность в импортном товаре, изменяющаяся в зависимости от цены.
Как видно из графика, при снижении цен объем расходов потребителей в связке с общим увеличением поставок с Q1 до Q2 будет определяться площадью прямоугольника P2D2Q2O вместо величины, равной площади P2D1Q1O, а выгода для потребителей составит сумму четырехугольника «
» и треугольников «b» и «с».
Обязательным условием, при котором экспортеры оказываются готовыми пойти на такое снижение цены, выступает большая величина потребления в импортирующей стране или странах, вводящих новые таможенные пошлины. В качестве примера возникновения «парадокса Мецлера» могут служить поставки какао из Ганы в 1960 г. и масла из Новой Зеландии в начале 70-х годов в Великобританию.
Вступление Великобритании — основного потребителя новозеландского масла — в «Общий рынок» и последовавшее за этим увеличение ввозных пошлин заставило новозеландских поставщиков резко снизить цены даже за счет уменьшения прибыли с целью сохранения большей части английского рынка.
Характеристика таможенных пошлин. Таможенные пошлины относятся к наиболее традиционным и в то же время наиболее активно применяемым мерам государственного регулирования экспортно-импортных операций. Такое их положение определяет многообразие форм, в которых они выступают, и объем задач, выполняемых ими для государственного регулирования внешней торговли. В зависимости от того, накладываются ли они на импортируемый, экспортируемый или проходящий транзитом товар, они называются соответственно импортными, экспортными или транзитными.
Импортные пошлины, характеризующие налогообложение ввозимых в страну товаров, встречаются наиболее часто. В дальнейшем речь будет идти прежде всего об импортных пошлинах, являющихся главным средством национального протекционизма.
На начальном этапе развития капитализма с помощью импортных пошлин обеспечивались налоговые поступления; сейчас их значимость резко сократилась, а фискальные функции выполняют другие налоговые поступления (например, налог на прибыль). Если в США еще в конце девятнадцатого столетия за счет импортных пошлин покрывалось до 50% всех поступлений в бюджет, то в настоящее время эта доля не превышает 1,5%. Не превышает нескольких процентов доля поступлений от импортных пошлин и в бюджет подавляющего большинства промышленно развитых стран.
Другими словами, если в начале своего существования импортные пошлины обеспечивали получение денежных средств, т.е. играли фискальную роль, то сегодня их функции связаны в первую очередь с обеспечением проведения определенной торгово-экономической политики.
В развивающихся странах, наоборот, импортные пошлины используются прежде всего как средство финансовых поступлений. Это объясняется относительно большей возможностью контроля и простотой процедуры сбора налогов с товаров, пересекающих таможенную границу.
Что касается России, то последние изменения таможенного законодательства свидетельствуют, что роль импортных российских пошлин как фискального средства увеличивается.
Реже используются экспортные пошлины. Их цель — получение дополнительного количества валюты для пополнения государственной казны.
Экспортные пошлины удорожают стоимость товара на мировом рынке, где конкуренция значительна. Они применяются для сырьевых товаров, по которым страна обладает монопольным преимуществом, или в тех случаях, когда государство стремится ограничить вывоз данного товара.
В других случаях задачей экспортных пошлин, взимаемых странами, обладающими монопольными природными преимуществами, является ограничение поставок на мировой рынок сырьевых товаров, увеличение цен и повышение доходов казны и производителей. Такая задача ставится при налогообложении экспорта риса Таиландом и Мьянмой, какао-бобов Ганой и кофе Бразилией. Аналогичную роль играют экспортные пошлины на сырье в России.
В развитых капиталистических странах экспортные пошлины практически не применяются. Конституция США даже запрещает их использование.
Транзитные пошлины взимаются с товаров, пересекающих национальную территорию транзитом. Они сдерживают товарные потоки, рассматриваются как крайне нежелательные, нарушающие нормальное функционирование международных связей и сейчас практически не применяются.
В связи с использованием адвалорных пошлин возникает вопрос: какие издержки, связанные с поставкой товаров, следует включать в стоимость, подлежащую налогообложению? Страна вправе использовать цену сиф (включающую стоимость страхования и фрахта) или цену фоб. Вариантом цены фоб может быть цена фас, которая меньше цены фоб на стоимость погрузочных работ. Цена сиф совпадает со стоимостью товара в порту прибытия судна и выше цены фоб на стоимость транспортных расходов и страхования товара в пути.
Торгующие страны могут находиться в различных договорно-политических отношениях, т.е. являться членами таможенного или экономического союза, иметь подписанный договор о предоставлении им режима наибольшего благоприятствования или, наконец, не иметь никаких специальных соглашений в сфере торговли.
В зависимости от режима и устанавливаются пошлины, взимаемые с поставляемого товара. Они соответственно бывают преференциальными (особо льготными), договорными (минимальными) и генеральными (автономными), т.е. максимальными.
Особо следует выделить преференциальные таможенные пошлины. Ставки этих пошлин ниже минимальных и зачастую равны нулю, т.е. товар ввозится беспошлинно. Право использования преференциальных пошлин получают страны, входящие в экономические интеграционные группировки: зоны свободной торговли, таможенные и экономические союзы и т.д.
Например, страны «Общего рынка» предоставляют друг другу преференциальные пошлины по импорту товаров (равные нулю), которые не распространяются на другие развитые страны, такие, как США или Япония.


Кредиторы - вкладчики капитала со стороны


Кредиторы (вкладчики капитала со стороны) — это, в частности, банки, дающие кредиты. Они заинтересованы в договоренности о возможно высоких ценах на предоставляемый капитал (проценты), ожидают своевременной выплаты за услуги по предоставлению капитала (процент и погашение) и достаточных гарантий на непредвиденный случай. При наличии крупных кредитов они также заинтересованы в информации и влиянии на менеджеров фирмы.
Поставщики необходимых материалов заботятся о длительных и выгодных связях фирмы. Они стремятся к максимальным доходам, к выгодным условиям соглашения для себя относительно их поставок, к минимальным расходам со своей стороны.
Клиенты (потребители результатов работ) желают получить необходимые им изделия высокого качества по низким ценам и на выгодных условиях. Они стремятся к широкому ассортименту товаров и к хорошему обслуживанию.
Государство заботится прежде всего о функционировании рыночного хозяйства с организациями, конкурентоспособными на международном рынке. Последний увеличивает общественный продукт, обеспечивает благосостояние, снабжение населения товарами и рабочими местами и способствует внешнеторговому равновесию. Наряду с этим государство постоянно заботится о стабильности цен (борьба с инфляцией) и социальном мире (например, отсутствии рабочего движения).
Общественность состоит из гетерогенных групп (например, средства информации, партии, церкви, союзы и объединения, гражданские инициативы и непосредственно граждане). Их интерес относительно предприятий заключается в том, чтобы они могли способствовать групповым целям или по меньшей мере не препятствовать им. Чтобы иметь об этом своевременную информацию, общественность должна знать все и точно о действительном состоянии предприятия. Особое значение для общественности имеет сохранение здоровья и экосферы, поэтому использование ресурсов и эмиссии, воздействующие на окружающую среду, рассматриваются критически как продукты и способы производства, вредящие здоровью. Участники деятельности предприятия и их интересы в реальности не могут быть определены с резким разграничением: лицо может одновременно принадлежать к нескольким группам (например, поставщик в качестве кредитора; сотрудник, корпорант в качестве кредитора), поэтому оно преследует различные интересы. Кроме того, разнообразные интересы часто не гомогенны в пределах одной группы. Однако чаще всего существует общая заинтересованность в сохранении предприятия и получении доходов, что постоянно облегчает равновесие интересов среди участвующих. Особое место занимают менеджеры, которые могут быть как собственниками, так и наемными работниками.
В менеджменте персонал организации воспринимается в настоящее время как социально-экономическая категория и как практический термин. Как категория персонал выражает стремление или форму реализации демократических начал для формирования целостной социальной организации. В этом смысле употребление понятия «персонал предприятия» предполагает некоторое единство и социальную общность всех работников конкретного предприятия, что подтверждается формальными актами государственных правовых положений трудовых договоров, тарифных соглашений, а также общими правилами и регламентами для всего персонала каждой организации.
В наиболее общем виде понятие «персонал предприятия» охватывает всю совокупность наемных работников данного предприятия (организации), выполняющих совершенно определенные задачи.
Персонал организации — это совокупность физических лиц, состоящих с организацией как юридическим лицом в отношениях, регулируемых договором найма. В таких отношениях могут состоять не только наемные работники, но и физические лица — собственники или совладельцы организации, если они помимо причитающейся им части доходов получают соответствующую оплату за то, что принимают участие в деятельности организации своим личным трудом.
Лица, занимающиеся индивидуальной трудовой деятельностью, и лица, занятые на так называемых семейных предприятиях, хотя и зарегистрированных в качестве юридического лица, не включаются в состав персонала, работающего по найму, так как вознаграждение за свой труд они получают из дохода, остающегося в их распоряжении после уплаты налогов и других обязательных платежей.
С практической точки зрения, персонал представляет собой важнейший ресурс предприятия, эффективная реализация потенциала которого требует специальных решений в зависимости от особенностей конкретных производственных задач, решаемых каждой группой наемных работников либо отдельным работником.
Персонал организации в качестве социальной системы формируется, видоизменяется и развивается в зависимости и в соответствии с целями владельца организации. При этом цели определяются интересами собственника и являются основой для выработки стратегии и политики управления предприятием, которые, в свою очередь, предполагают эффективную реализацию поставленных целей. Ведущая роль в выполнении стратегических решений по достижению этих целей принадлежит персоналу предприятия.1
В основе управления персоналом лежат определенные принципы. Они являются в большой степени теоретическими, но, как и всякие принципы, обобщают имеющиеся о предмете знания с тем, чтобы направить действия по управлению по верному пути. Принципы управления были выявлены на основе изучения процессов управления и взаимосвязи различных элементов и субъектов в этих процессах. Анализируя и сопоставляя найденные принципы, можно использовать их для общих рекомендаций, которые можно углублять их в конкретной ситуации более детально.


Критерии сегментации рынка


Критерии сегментации рынка Углубленное исследование рынка предполагает необходимость его рассмотрения как дифференцированной структуры в зависимости от групп потребителей и потребительских свойств товара, что в широком смысле определяет понятие рыночной сегментации.
Рыночная сегментация представляет собой, с одной стороны, метод для нахождения частей рынка и определения объектов, на которые направлена маркетинговая деятельность предприятий. С другой стороны — это управленческий подход к процессу принятия предприятием решений на рынке, основа для выбора правильного сочетания элементов маркетинга. Сегментация проводится с целью максимального удовлетворения запросов потребителей в различных товарах, а также рационализации затрат предприятия-изготовителя на разработку программы производства, выпуск и реализацию товара.
Объектами сегментации являются прежде всего потребители. Выделенные особым образом, обладающие определенными общими признаками, они составляют сегмент рынка. Под сегментацией понимается разделение рынка на сегменты, различающиеся своими параметрами или реакцией на те или иные виды деятельности на рынке (рекламу, методы сбыта).
Несмотря на возможность осуществления сегментации рынка по различным объектам, основное внимание в маркетинге уделяется поиску однородных групп потребителей, имеющих сходные предпочтения и одинаково реагирующих на маркетинговые предложения.
Необходимым условием сегментации является неоднородность ожидания покупателей и покупательских состояний. Достаточными для успешной реализации принципов сегментации являются следующие условия:
- предприятия (организации) способны осуществлять дифференциацию структуры маркетинга (цен, способов стимулирования сбыта, места продажи продукции);
- выбранный сегмент должен быть достаточно устойчивым, емким и иметь перспективы роста;
- предприятие должно располагать данными о выбранном сегменте, измерить его характеристики и оценить требования;
- выбранный сегмент должен быть доступным для предприятия, т.е. иметь соответствующие каналы сбыта и распределения продукции, систему доставки изделий потребителям;
- предприятие должно иметь контакт с сегментом (например, через каналы личной и массовой коммуникации);
- имеется возможность оценить защищенность выбранного сегмента от конкуренции, определить сильные и слабые стороны конкурентов и собственные преимущества в конкурентной борьбе.
Только получив ответы на перечисленные вопросы и оценив потенциал предприятия, можно принимать решение о сегментации рынка и выборе данного сегмента для конкретного предприятия.1
Поступление информации о рынке товара (или услуги), производимого конкретным предприятием, позволяет определить внешние условия, имеющие значение для определения сегмента рынка товара (или услуги). При этом поступление информации выступает ключевым элементом в принятии экономическим субъектом решений на рынке. Проведение маркетинга с целью успешного сочетания условия выполнения индивидуальных требований покупателя с технико-экономическими возможностями предприятия, фирмы осуществляется на основе комплексного исследования товарных рынков посредством их сегментации.
Сегментация рынка Среди недостатков сегментации следует назвать высокие затраты, связанные, например, с дополнительными исследованиями рынка, с составлением вариантов маркетинговых программ, обеспечением соответствующей упаковки, применением различных способов распределения.
Сегментация может иметь преимущества и недостатки, однако обойтись без нее невозможно, поскольку в современной экономике каждый товар может быть успешно продан лишь определенным сегментам рынка, но не всему рынку.
Сегментация рынка может производиться с использованием различных критериев. Для сегментации рынка товаров народного потребления основными критериями (признаками) являются: географические, демографические, социально-экономические, психографические.
К географическим признакам относятся: величина региона, плотность и численность населения, климатические условия, административное деление (город, село), удаленность от предприятия-производителя. Этот критерий использовался на практике раньше других, что  обусловливалось  необходимостью  определения  пространства  деятельности предприятия. Его применение особенно необходимо, когда на рынке существуют климатические различия между регионами или особенности культурных, национальных, исторических традиций.
Демографические признаки — возраст, пол потребителей, размер и жизненный цикл семьи, количество детей — относятся к наиболее часто применяемым критериям сегментации. Это обусловлено доступностью их характеристик, а также наличием, как правило, между ними и спросом (объемом продаж) существенной корреляционной связи. Поэтому, проводя сегментацию рынка по демографическому критерию, необходимо прежде всего ориентироваться на общность специфических запросов соответствующего сегмента к качеству, ассортименту и цене. В настоящее время по демографическому признаку выделяют такие группы потребителей, как дети, молодежь, лица среднего возраста, пожилые, пенсионеры, многодетные семьи. Нередко демографические признаки применяются в комбинации друг с другом.
Сегментация по социально-экономическому критерию заключается в выделении групп потребителей на основе общности социальной и профессиональной принадлежности, уровням образования и доходов. Все эти переменные рекомендуется рассматривать во взаимосвязи друг с другом или с переменными других критериев, например, демографических. Заслуживает внимания объединение выделенных групп по доходу с группами по возрасту, в том числе главы семьи.
Рассмотренные выше три группы критериев представляют собой общие объективные критерии сегментации рынка. Однако зачастую однородные по общим объективным критериям сегменты оказываются значительно дифференцированными с точки зрения их поведения на рынке. Так, данные о переписи населения содержат полезные сведения о группах населения, но не дают возможности объяснить причины, по которым товары находят собственные ниши на рынке, привлекая к себе какую-то часть покупателей. Очевидно, что применение только объективных критериев явно недостаточно. В этих случаях используют субъективные специфические критерии, связанные со спецификой рассматриваемого рынка и конкретной ситуацией на нем, с субъективной оценкой покупателем того или иного продукта. Один и тот же человек может купить недорогой телевизор, но курить самые дорогие сигареты. Владелец дорогого автомобиля может носить недорогую одежду.
Переменные, характеризующие поведение индивида, это такие факторы, как стиль жизни (интересы, организация досуга), психологические, личностные качества (к какому типу людей относится потребитель), мотивы покупательского поведения гораздо точнее характеризуют реакцию покупателей на тот или иной товар, чем точные количественные оценки сегментов рынка по географическим или демографическим признакам. Так, по мотивам совершения покупки выделяют группы потребителей с ориентацией на низкую цену, на длительный срок службы изделия, высокое качество, приверженность к определенной марке товара.
По реакции потребителей на нововведения выделяют следующие группы: приобретающие новый товар в момент появления его на рынке (новаторы); приобретающие новый товар после того, как его купят новаторы и сообщат свой опыт использования (быстро адаптирующиеся к новому товару); приобретающие товар, который в течение длительного времени находится на рынке (медленно адаптирующиеся к новому товару); отвергающие новинку (консерваторы, ретрограды).
Важными признаками являются также степень нуждаемости в товаре (слабая, средняя, сильная) и степень использования или уровень потребления товара (субъекты, не приобретающие товар, приобретающие в небольших количествах, приобретающие в значительных количествах). Люди, покупающие товар в значительных количествах (с высокой нормой потребления), составляют, как правило, относительно небольшую часть рынка. По данным ряда исследований, на 20% покупателей приходится 80% объема продаж, так называемый принцип «80—20», или закон Парето. Такой подход к сегментации рынка, основанный на выявлении части населения с высокой нормой потребления товара, опирается не на причину, а на следствие.
В отличие от сегментации рынка товаров народного потребления, где большое внимание уделяется психологическим критериям, характеризующим поведение покупателей, для сегментации рынка товаров производственного назначения первостепенное значение имеют экономические и технологические критерии, к которым относятся:
- вид отрасли (промышленность, транспорт, сельское хозяйство, строительство, культура, наука, здравоохранение, торговля);
- формы собственности (государственная, частная, коллективная, иностранных государств, смешанная);
- сфера деятельности (НИОКР, основное производство, производственная инфраструктура, социальная инфраструктура);
- размер предприятия (малое, среднее, крупное);
- географическое положение (тропики, Крайний Север).
Важными признаками сегментации являются также периодичность заказов на данные товары, специфика организации закупки (сроки поставки, условия оплаты, метода расчетов), формы взаимоотношений. Как и для рынка товаров народного потребления, сегментация потребителей товаров производственного назначения осуществляется на основе комбинации нескольких критериев.
За время использования сегментации в маркетинговых исследованиях произошли следующие изменения в определении критериев сегментации.
1. Выявление критериев сегментации стало в большей мере основываться на результатах специальных обследований (в том числе опросов населения).
2. Наряду с  общими переменными стали использоваться  ситуационные специфические признаки (имеющие отношение к конкретному товару).
3. Большое значение стало уделяться психологическим критериям, объясняющим потребительское поведение.
4. Понимание того, что потребительское поведение объясняется не одним, а множеством факторов, привело к использованию множественных критериев сегментации.


Кризисная ситуация возникла в конце 60-х


Однако, вне зависимости от имевшихся намерений, на практике такая цена стимулировала дальнейшее «вымывание» золота из международных расчетов (оно все больше «утекало» на частный коммерческий рынок) и замену его долларовыми резервами. Эта тенденция стала особенно явной к концу 60-х годов.
Фиксированный курс валют при международных расчетах приводил к тому, что инфляционные программы одного правительства как бы выходили через национальную границу, приводя к образованию национальной задолженности или, наоборот, избытку иностранных ресурсов при дефляционной политике.
Кризисная ситуация возникла в конце 60-х годов в связи с тем, что сумма краткосрочных обязательств США превысила сумму имеющихся в стране запасов золота, обеспечивающих курс доллара. В это время США вступили в период инфляции и замедления темпов экономического роста. Результирующий в 1970 г. (10 млрд. долл.) и 1971 г. (30 млрд. долл.) дефицит американского платежного баланса поставил под сомнение надежность использования валюты одной страны в качестве основы для фиксации валютного курса.
Страны, накопившие долларовые авуары, оказались перед опасностью их обесценивания. США, чья валюта являлась основой международных расчетов, столкнулись с рядом трудностей. В международном плане страна сохраняла за собой обязательство продавать золото, т.е. обменивать долларовые авуары на золото по явно заниженной цене. Низкие цены на золото не только ограничивали его добычу, но и приводили к его утечке в сферу коммерческого обращения.
Стремясь спасти положение, правительство США попыталось ограничить вывоз денежных средств из страны. Была сокращена в 5 раз стоимость товаров, которые американцы могли ввезти в США беспошлинно (с 500 до 100 долл.). Были введены ограничения на американские инвестиции за границей.
Однако принятые меры оказались недостаточными. Положение усугубилось экономическим кризисом, разразившимся в США в 1969-70 гг., результатом чего стало снижение процентных ставок и «бегство» краткосрочного капитала из страны.
Безуспешными оказались и попытки США убедить страны, накопившие значительное количество долларовых авуаров, ревальвировать свои валюты (это относилось прежде всего к Японии и ФРГ).
Доверие к доллару как прочной и стабильной международной валюте, базирующейся на фиксированном уровне — курсе золота, было подорвано. Разразился финансовый кризис. Уже в середине 1971 г. Бундесбанк был вынужден скупить колоссальное количество избыточных долларов, наводнивших мировой валютный рынок. Когда объем скупки достиг 1 млрд. долл. в час, Бундесбанк прекратил операции с долларом по фиксированному курсу и объявил о «свободном плавании» марки (5 мая 1971 г.). Вслед за ним об этом же было объявлено правительством Дании, а Австрия и Швейцария ревальвировали свою валюту. США объявили о прекращении размена долларов на золото и заявили о введении «свободного плавания» валют (15 августа 1971 г.).
Вплоть до декабря 1971 г. продолжалось «свободное плавание» доллара, когда было заключено Смитсоновское соглашение. Его важнейшими положениями были следующие.
1. США повысили официальную цену золота до 38 долл. за унцию.
2. В среднем на 12% ревальвированы по отношению к золоту валюты других стран.
3. Расширились пределы колебаний курсов (вместо прежнего 1% установлена величина 2,25%) с возможностью отклонения в обе стороны (суммарная величина отклонений составила 4,5%).
Американское правительство приветствовало Смитсоновское соглашение в качестве величайшего исторического решения.
Введение «плавающего» курса доллара послужило катализатором перехода других стран к «плавающим» валютным курсам.
Особо следует выделить развитие программы регулирования платежных балансов европейских стран, где она проводилась в жизнь наиболее последовательно.
Европейская валютная система (ЕВС). Специфика регулирования расчетов между западноевропейскими странами определялась двумя обстоятельствами.
Практически для всех европейских стран характерна значительная доля внешней торговли в общем объеме валового национального продукта. Ликвидация тарифных и значительное ограничение сферы применения остальных форм торговых барьеров превратили внешнюю торговлю в важный фактор экономического развития, на долю которого приходится 30-40% ВЫП. Наконец, успехи интеграции привели к относительно большей однородности используемых макроэкономических программ воздействия на национальные экономики, унификации методов регулирования платежных балансов.
Задача сглаживания колебаний валют, вызываемых временными дефицитами платежных балансов, стала важным элементом дальнейшего укрепления западноевропейского интеграционного процесса. Решалась она в несколько этапов. Первый этап, декларированный в 1970 г. и осуществленный в 1972 г., представлял собой соглашение о сокращении пределов взаимных колебаний курсов валют. Стержнем, вокруг которого колебались величины валют, был доллар. Такие колебания, ограниченные пределами 2,25% в обе стороны, названы «змеей в тоннеле». Прогнозировалось дальнейшее сокращение пределов колебаний.
На первом этапе стабилизации выявились определенные трудности, связанные с различиями в экономической политике стран-участниц. Если для ФРГ основная задача макроэкономики состояла в борьбе с инфляцией, то Италия и Франция, стремясь не допустить роста безработицы, шли по пути увеличения объемов государственных расходов. Соответственно страны разделились на те, у которых была «сильная» валюта (ФРГ, страны Бенилюкс), «слабая» валюта (Италия, Великобритания) и занимающие промежуточное положение (Франция).
Не желая сокращать свои государственные расходы, Великобритания вышла из системы «змеи» через два месяца, Италия — через четыре. «Выпускала» свою валюту за пределы, предусмотренные соглашением, и Швеция. Они вынуждены были «выпускать» свои валюты для того, чтобы не «навешивать на себя» издержки, связанные с инфляционными вливаниями, осуществляемыми Англией и Италией в свою экономику.
Главные причины неудач жесткой привязки или фиксации курсов валют коренились в различиях национальной экономической политики стран-участниц. Неудовлетворительной оказалась и методика использования одной валюты в качестве базиса для привязки Общая неудовлетворенность стимулировала создание в 1978 г. Европейской валютной системы (ЕВС).
Задача ЕВС заключалась в минимизации колебаний валют. Основой системы являлась европейская денежная единица (экю), представлявшая собой средневзвешенную величину ряда европейских валют. Каждая европейская валюта имела фиксированный курс по отношению к экю. Этот курс, будучи зафиксированным, мог быть изменен только в результате общего решения стран-участниц.
Страны-участницы обязуются проводить такую денежную и фискальную политику, которая обеспечивает колебания в пределах определенных рамок.
На первом этапе, начавшемся в 1990 г., ставилась задача отмены ограничений на передвижение капитала между странами-участницами.
Второй этап, с января 1994 г., предусматривал создание Европейского валютного фонда в качестве предшественника Европейского центрального банка. На этом этапе предполагалось перейти к более тесной координации политики стран-участниц.
На третьем этапе валютные курсы будут связаны между собой жестко, правила Европейского союза станут обязательными,, и новый Европейский центральный банк обеспечит переход к единой валюте.


Крупномасштабное предпринимательство


Крупномасштабное предпринимательство Крупные фирмы имеют больше оснований рассчитывать на предпринимательский успех, поскольку по сравнению с мелкими имеют ряд преимуществ. Прежде всего они могут использовать новейшую дорогостоящую высокопроизводительную технику, снижая себестоимость продукции, повышая ее качество и завоевывая в связи с этим рынки сбыта, приносящие им высокий доход. Новая дорогостоящая техника, как правило, недоступна малому бизнесу из-за ее низкой рентабельности на малых предприятиях, обусловленной небольшими объемами производства, наращивать которое они не в силах.
Помимо того, у крупных предприятий и организаций за счет концентрации капитала имеется возможность проводить широкомасштабные маркетинговые исследования, что уменьшает потери на рисковых мероприятиях. Внутренняя специализация и кооперирование позволяют этим предприятиям повышать общий уровень квалификации персонала, увеличивать загрузку оборудования, снижать удельные потери на складских и транспортных операциях, рекламе и т.д.
По данным статистики 500 крупнейших корпораций в США (всего в США более 4,5 млн. торгово-промышленных единиц) и такое же их количество в Западной Европе сосредоточивают в своих руках примерно 1/4 национального капитала и около 25% занятого в этих регионах мира населения.
Вследствие произошедших перемен предпринимательство на современном этапе стало составной частью деятельности руководителей и специалистов крупных фирм, банков, холдингов. Здесь предпринимательство поставлено на научную основу, развернута широкомасштабная работа по совершенствованию методов руководства.
Концентрация финансовых и людских ресурсов в предельно небольшом числе корпораций позволяет им осуществлять внутрифирменную диверсификацию капитала из одной отрасли экономики в другую, что наряду с преимуществами, которые они имеют за
счет концентрации ресурсов, дает им возможность существования даже в самые неблагоприятные для экономики периоды.
При снижении спроса на одни виды продукции, производимые суперкорпорацией, она увеличивает выпуск продукции, спрос на которую удерживается. Диверсификация наряду с | научно-техническим прогрессом оказалась главным направлением предпринимательства современного крупного капитала.
На крупных предприятиях бывшего Советского Союза диверсификация производства развивалась на иной основе, чем в странах Запада. Из-за постоянных дефицитов и сбоев в материально-техническом обеспечении советские предприятия диверсифицировались главным образом с целью самообеспечения, превращаясь в громоздкие, чуть ли не натуральные хозяйства. Такие объединения, как Уралмаш, ЗИЛ, ВАЗ, ММК и другие, были загружены производством различных мелкосерийных изделий, не свойственных их профилю.
В частности, ЗИЛ в 1980 г. производил около 140 тыс. наименований инструмента, Горьковский автозавод — около 80 тыс. наименований. Некоторые изделия изготавливались всего по 5 штук в год, что, разумеется, не повышало, а снижало технический уровень производства в целом. Однако, производя расширенную номенклатуру изделий, эти громоздкие предприятия оказывались в лучшем положении, чем малые и средние фабрики и заводы, постоянно испытывающие сбои с поставками сырья, материалов, комплектующих изделий, инструмента и пр.
Предпринимательские ассоциации и союзы В целях координации деятельности, защиты общих коммерческих интересов и повышения эффективности капиталовложений предприятия могут на основании договора создавать объединения в форме ассоциаций (корпораций), консорциумов, синдикатов и прочих союзов.
В мировой практике все названные формы объединений прочно заняли свое место в производственной, коммерческой и финансовой деятельности.
Основой для создания союзов обычно становятся сходный характер технологических процессов, взаимозависимое развитие хозяйства, синхронный рост технико-экономического уровня связанных производств, необходимость комплексного использования сырья и других ресурсов, диверсификация.
На стыках различных отраслей часто возникают сложные экономические процессы. Для их эффективного развития и управления необходимы концентрация ресурсов и объединение усилий предприятий и организаций различной отраслевой принадлежности, вследствие чего возникает необходимость создания специальных организационных форм управления межотраслевого характера.
Основными задачами формирования подобных хозяйственных объединений являются:
- повышение эффективности работы в результате объединения усилий участников, а также развития внутренней кооперации производственных, научных, проектных, строительных и других организаций в единый хозяйственный комплекс;
- завоевание и удержание рынков сбыта;
- закрепление поставщиков сырья, материалов, комплектующих изделий и прочих ресурсов;
- ускорение технического развития производства. Главные принципы образования хозяйственных союзов:
- добровольность объединений;
- равноправие партнеров;
- свобода выбора организационных форм;
- самостоятельность участников;
- ответственность только по обязательствам, взятым каждым предприятием при вступлении в объединение.
По юридическому статусу указанные хозяйственные образования могут быть разделены на 2 группы: действующие на постоянной правовой и хозяйственной основе и ассоциативные, или предпринимательские, — с правом свободного присоединения и свободного выхода, а также свободного предпринимательства в рамках ассоциации.
Наиболее широкое распространение получили такие хозяйственные структуры, как хозяйственные, финансово-промышленные ассоциации, холдинги, синдикаты и консорциумы. Каждая организационная структура имеет свои особенности, характеризующиеся наличием внутренних имущественных и юридических прав.


Л.Я. Юровский: концепции рыночного равновесия и финансовой стабилизации


Л.Я. Юровский: концепции рыночного равновесия и финансовой стабилизации В истории нашей страны имя Леонида Наумовича Юровского {1884—1938) тесно связано с денежной реформой 1922—1924 гг. Но Юровский был не только практиком, но и видным экономистом-теоретиком. Наряду с теорией финансового оздоровления экономики его вклад заметен и в абстрактной теории ценности, и в концепции «товарно-социалистического хозяйства» 20-х гг. Научные взгляды Л.Н. Юровского формировались еще в дореволюционный период под сильным влиянием неоклассической школы, а также крупнейших российских профессоров, бывших его учителями, — А.А. Чупрова, М.И. Туган-Барановского, П.Б. Струве.
Направления неоклассицизма в экономической мысли отвергались Л.Н. Юровским по одной и той же причине — он был категорически не согласен с необходимостью «субстанциализирования» ценности, т.е. сведения цены «к чему-то такому, что не есть цена». «Мы вправе сказать, — писал он в своих «Очерках по теории цены», — что в основе цен лежат субъективные хозяйственные оценки. Но это не значит, что они не зависят от цен». Опираясь на теорию равновесия Л.Вальраса, Юровский стремился доказать, что «цены всегда покоятся на ценах и искать выхода из этих взаимных зависимостей, не выходя вместе с тем за пределы народного хозяйства, было бы совершенно бесполезным занятием...».
Особенно много внимания уделял автор «Очерков» критике теории предельной полезности как заведомо не доказуемой и излишней части современной ему экономической науки. В отличие от М.И. Туган-Барановского, считавшего, что «только с точки зрения этой теории можно говорить о законе спроса и предложения как о научном законе, а не грубом эмпирическом обобщении», его бывший ученик характеризовал предельную полезность как «довольно бессодержательную гипотезу», не более чем «психологический комментарий» к действительно научной теории ценности — цены. Причину же всемирной популярности теории предельной полезности Юровский объяснял тем, что в «психологической форме учение о факторах спроса и предложения поддается несравненно более популярному... изложению».
«Новейшая теоретическая экономика, — писал Л.Н. Юровский, — рассматривает хозяйственную ценность и цену как функцию количества благ, и, кажется, прогресс экономической теории заключается в значительной мере в приближении к последовательному применению этой точки зрения». Развитие идеи о функциональной, двусторонней зависимости между ценами и количествами товаров автор «Очерков» внимательно .прослеживал от Д.Рикардо и А.0. Курно до А.Маршалла, Л.Вальраса и Й.Шумпетера. Причем особое значение он придавал применению в экономической теории математических методов функционального анализа, «заставивших» экономистов встать на единственно правильные, по его убеждению, методологические позиции.
Дальнейший прогресс теории равновесных цен Л.Н. Юровский связывал, в частности, с уточнением понятий статического и динамического равновесия. По мнению этого исследователя, определение статики, предложенное Дж.Б. Кларком, оставляло вне поля зрения проблему равновесия «данного спроса и данного предложения, не стоящего в непосредственной связи с издержками производства», поскольку они в схеме Кларка не относились ни к статике, ни к динамике.
Кроме того, Юровский упрекал Дж.Б. Кларка, а заодно и А.Маршалла, в неточном понимании характера «динамического равновесия цен, к которому приводит принцип издержек производства». В отличие от статического равновесия — при данных величинах спроса и предложения — динамическое равновесие, по его мнению, всегда неустойчиво. Соответственно новая цена издержек производства установится неизбежно на новом уровне, отражающем динамику экономической системы. Равновесие, охватывающее собой взаимодействие не только цен, спроса и предложения, но и производства и доходов, как раз и следует считать «динамическим равновесием». Таким образом, раздел динамики, по Л.Н. Юровскому, должен был включать в себя три теории: а) теорию стационарного хозяйства; б) теорию хозяйственной эволюции; в) теорию хозяйственных циклов.
Против отнесения теории стационарного хозяйства к разделу динамики выступил в своих методологических рукописях Н.Д. Кондратьев. Однако в основе позиции Н.Д. Кондратьева лежало принципиальное отрицание самого понятия «динамическое равновесие». Намеченное же Л.Н. Юровским представление о динамическом равновесии по замыслу было, вероятно, близко к разработанным позднее концепциям неокейнсианцев, т.е. намного опередило свое время.
Последний раздел «Очерков» Л.Н. Юровский посвятил критике так называемой «социальной теории распределения», на первенство в выдвижении которой претендовали как М.И. Туган-Барановский, так и П.Б. Струве. И снова ученик вступил в полемику с учителями: проблема распределения доходов, по его мнению, никакой особой «социологичностью» не отличается и должна считаться лишь частью более общей проблемы ценообразования. Юровский считал, что от общих социальных условий зависят не только процент и заработная плата, но «все цены без всякого исключения».
В целом можно заключить, что в «Очерках по теории цены» (1919) были предсказаны многие направления развития мировой экономической мысли 1920—1930-х гг. К ним относятся все более решительный отказ от гипотезы непосредственной измеримости предельной полезности, разработка теории несовершенной конкуренции.
Л.В. Канторович •— создатель теории линейного программирования Леонид Витальевич Канторович (1912—1986) родился в Санкт-Петербурге в семье врача. Его выдающиеся способности проявились рано — в 14 лет он поступил в Ленинградский государственный университет. Закончив ЛГУ за 4 года, он поступил в аспирантуру. В 1932 г. он становится доцентом, а в 1935 г. — профессором ЛГУ. В 1935 г. ему присвоено звание доктора физико-математических наук без защиты диссертации. В 1958 г. он избран членом-корреспондентом АН СССР по экономике, а в 1964 г. — академиком.
Серьезные занятия экономикой начались для Канторовича с того, что в 1938 г. к нему за консультацией обратились несколько инженеров из лаборатории фанерного треста. Смысл их проблемы заключался в том, что при обработке различного сырья на разных лущильных станках получалась различная производительность и стояла задача максимизации выпуска продукции при заданном соотношении между ее видами. В современной терминологии эту проблему можно сформулировать как задачу максимизации линейной функции при наличии линейных ограничений. В простом случае решение легко найти перебором экстремальных точек допустимого множества, однако даже в задаче фанерного треста, при пяти станках и восьми видах сырья, это потребовало бы решения около миллиарда систем линейных уравнений.
Для решения предложенной ему задачи Канторович в январе 1939 г. разработал специальный метод, при котором с каждым ограничением исходной задачи связывалась специальная оценка, называемая разрешающим множителем. Оптимальный план задачи определялся в результате итеративного процесса, в ходе которого происходила последовательная корректировка разрешающих множителей. Таким образом, Канторович открыл новый раздел математики — линейное программирование, изучающий задачи нахождения экстремума линейной функции на допустимом множестве, задаваемом линейными ограничениями и неравенствами, и предложил алгоритм решения таких задач.
Результаты своих исследований Канторович изложил в брошюре «Математические методы организации и планирования производства», опубликованной в 1939 г. в издательстве Ленинградского университета тиражом 1000 экземпляров. В ней, наряду с задачей фанерного треста, получившей впоследствии наименование станковой, рассматривались и другие проблемы: наиболее полное использование механизмов, максимальное уменьшение отходов, наиболее рациональное использование топлива, наилучшее выполнение плана строительства, наилучшее распределение посевной площади, наилучший план перевозок. Метод Канторовича был пригоден для решения всех этих задач.
Идеи Канторовича долго не признавались экономистами. Когда в 1939 г. он выступал с докладами о своей работе, ему возражали, что она «использует математические методы,
а на Западе математическая школа в экономике — средство апологетики капитализма». Во время одной из дискуссий известный в то время статистик Б.С. Ястремский сказал Канторовичу: «Вы говорите об оптимуме, и Парето говорит об оптимуме. А ведь Парето — фашист!». В связи с этим при написании брошюры Канторович был вынужден максимально избегать экономической терминологии; не удалось также подробно раскрыть экономический смысл разрешающих множителей, в частности проблему их связи с системой цен.
Тем не менее Канторович описал ряд важных с точки зрения экономической науки свойств этих множителей. Если продукт не дефицитен, соответствующий множитель равен нулю. Таким образом, множители выступают показателями дефицитности продукции. Они также являлись показателями эквивалентности для различных деталей, и с помощью множителей можно было определять, как влияют величины запасов сырья или выпуска деталей, выступающие в задаче в качестве ограничений, на оптимальное значение целевой функции.
До этого экономическая наука знала два вида эквивалентности разнородных потребительных стоимостей — по стоимости и по полезности. Разрешающие множители давали третий вид эквивалентности — по влиянию на целевую функцию, и вполне естественно, что впоследствии остро встал вопрос о его соотношении с первыми двумя.
В своей работе Канторович рассмотрел возражения против применения математики в технико-экономических расчетах. Эти возражения были связаны с тем, что многие обстоятельства учесть математически невозможно, для применения метода разрешающих множителей нужно иметь много данных, они неточны, эффект от расчетов составляет всего 4-5%, применение метода порой невозможно из-за организационных препятствий. Канторович же полагал, что с помощью его метода многое нужно учесть, что требуемые данные нужны и для нормальной плановой работы, поэтому их неточность не имеет большого значения. При массовом применении эффект от их использования был бы очень велик, даже если бы он составлял 1%.
По мнению Канторовича, если будет доказана эффективность применения оптимального плана, то необходимые организационные изменения будут сделаны. Аргументация Канторовича была совершенно правильной, но он явно недооценивал организационные препятствия для оптимизационных расчетов.
Получив ряд фундаментальных результатов в линейном программировании, Канторович продолжил более глубокую разработку как частных проблем, намеченных в брошюре, так и общих вопросов применения математического метода в экономике.
В 1940 г. он опубликовал математический вариант некоторых своих результатов. Из частных задач прежде всего следует выделить транспортную задачу. Работа, содержавшая ее решения, была подготовлена Л.В. Канторовичем и М.К. Гавуриным в 1940 г., однако из-за негативного отношения экономистов к математике в этот период ее долгое время не удавалось опубликовать. Абстрактный вариант транспортной задачи был опубликован Канторовичем в 1942 г.
В настоящее время российские ученые уделяют недостаточное внимание теоретическим выводам из его концепции — общие проблемы теории ценности не считаются первоочередными во время дискуссий о переходе к рынку. Несомненно, однако, что такой переход предполагает придание теории цены современной формы и имя Канторовича, исследовавшего взаимосвязь формирования ценности и ограниченности ресурсов, получит признание.1


Ликвидационная стоимость основных фондов


Нормы амортизации должны быть экономически обоснованы и направлены на своевременное возмещение основных фондов. При их расчете очень важно правильно определить экономически целесообразный срок службы основных фондов с учетом следующих факторов: долговечность основных фондов; моральный износ (первого и второго вида); перспективные планы технического перевооружения; баланс оборудования; возможности модернизации и капитального ремонта. В разных отраслях промышленности эти факторы могут иметь различное значение.
Предприятия могут применять метод ускоренной амортизации в отношении основных фондов, используемых для увеличения выпуска средств вычислительной техники, новых прогрессивных видов материалов, приборов и оборудования, расширения экспорта продукции, в случаях, когда они заменяют изношенную и морально устаревшую технику (при этом нормативы согласовываются с государственными финансовыми органами).
Ускоренную амортизацию предприятия проводят на базе равномерного (линейного) метода ее начисления, когда утвержденная в установленном порядке норма амортизации на соответствующий инвентарный объект увеличивается, но не более чем в 2 раза.
Метод ускоренной амортизации, как правило, не распространяется на следующие виды машин, оборудования и транспортных средств:
- машины, оборудование и транспортные средства, нормативный срок которых составляет до 3 лет;
- отдельные виды оборудования самолетно-моторного парка, нормативный срок службы которых определяется в зависимости от количества часов работы самолетов и вертолетов;
- подвижной состав автомобильного транспорта, по которому начисления амортизации производятся по нормам, определяемым в процентах от стоимости автомашины, отнесенным к 1000 км фактического пробега;
- уникальная техника и оборудование, предназначенные для использования только при определенных видах испытаний и производства ограниченного количества видов конкретной продукции.
Для малых предприятий часто устанавливается льгота: они могут в первый год эксплуатации списывать дополнительно как амортизационные отчисления до 50% первоначальной (балансовой) стоимости основных фондов со сроком службы свыше 3 лет. На общих основаниях малые предприятия могут производить ускоренную амортизацию активной части основных фондов. Однако при прекращении деятельности малого предприятия до истечения 1 года сумма дополнительно начисленной амортизации подлежит восстановлению за счет увеличения балансовой прибыли предприятия.
В российской экономике длительное время применялся (и сейчас еще применяется) равномерный (линейный) метод амортизации, т.е. каждый год в стоимость продукции включается одинаковая часть стоимости основных фондов ( 24.2.8)

где Фп — перенесенная часть стоимости (руб.);
На — норма амортизации (%);
Фп(б) — первоначальная стоимость основных фондов (руб.).
Такой метод расчета амортизации прост, нагляден и в определенной степени учитывает процесс переноса стоимости. Относительность учета переносимой стоимости обусловлена рядом обстоятельств.
Во-первых, равномерный метод предполагает, что к завершению срока службы ликвидационная стоимость равна 0 (эта ликвидационная стоимость включает в себя стоимость реализации изношенных и снятых с производства основных фондов; обычно это определяется по цене металлолома).
Во-вторых, этот метод предусматривает равномерный износ основных фондов за весь срок службы. Но в течение срока службы бывают простои оборудования, его поломка и неполная загрузка за смену, т.е. в реальном производстве оборудование изнашивается неравномерно и стоимость основных фондов на продукцию переносится неравномерно.
Еще один недостаток равномерного метода — отсутствие учета морального износа основных фондов, который снижает стоимость изготавливаемых машин или уменьшает потребительную стоимость за счет введения в эксплуатацию новых, более эффективных машин и оборудования. Это обусловливает досрочное, т.е. до окончания нормативного срока амортизации, выбытие устаревшей техники и приводит к ее недоамортизации, величина котопой оппеделяется по (Ьоомуле:

где Н — недоамортизация основных фондов,    выбывших ранее  истечения амортизационного периода (руб.);
Фо — остаточная стоимость (руб.);
Рл — расходы, связанные с ликвидацией указанных основных фондов (руб.);
Фл — ликвидационная стоимость основных фондов (руб.).
Убытки от ликвидации не полностью амортизированных основных фондов (т.е. от недоамортизации) отражаются на результатах хозяйственной деятельности предприятий.
Кроме равномерного (линейного) в мировой практике применяются методы ускоренной (регрессивной) амортизации. Исторически эти методы в развитых странах возникли в военных отраслях производства, в совершенствовании которых было особенно заинтересовано государство. Затем ускоренная амортизация стала источником финансовых ресурсов для развития прогрессивных отраслей производства (например, электронной промышленности).
Методы ускоренной амортизации в течение первой половины нормативного срока службы основных фондов позволяют возместить до 60—75% их стоимости, а при использовании равномерного метода было бы возмещено только 50% стоимости основных фондов. Во вторую половину срока службы основных фондов величина амортизации уменьшается.
Среди методов ускоренной амортизации чаще всего за рубежом применяются метод по удвоенной норме и кумулятивный метод («метод суммы чисел»), использующий формулы арифметической прогрессии.
Кумулятивный метод характеризуется нелинейной зависимостью, и норма амортизации здесь — величина переменная, а не постоянная, как в равномерном методе. Рассчитывается норма амортизации путем деления числа лет (оставшихся до окончания амортизационного срока службы) на кумулятивное число, представляющее собой сумму членов арифметической прогрессии от 1 до 10 при сроке службы в 10 лет (55).
Нормы амортизации, рассчитанные по этому числу, будут равны:
в первый год (когда осталось 10 лет срока службы) 10: 55 • 100% = 18,18%;
во второй год (когда осталось 9 лет срока службы) 9 : 55 • 100% = 16,36% и т.д.
При использовании этого метода в первые 5 лет в фонде амортизации будет накоплено около 73% стоимости машин, а через 8 лет — уже 95%, в то время как при равномерном методе — только 80%. При необходимости заменить старую машину на новую при использовании кумулятивного метода недоамортизация составит 5%, а при использовании равномерного метода — 20%, т.е. потери стоимости по кумулятивному методу амортизации будут меньше. Сравнение равномерного и ускоренного методов амортизации приведено на 24.2.9.

На рисунке видно, что при моральном износе (который вызывает необходимость ранней замены действующих основных фондов и уменьшения срока службы до 7 лет) потери от недоамортизации при равномерном методе составят 37 тыс. руб., а при ускоренном (кумулятивный метод) — только 10 тыс. руб. Следовательно, хотя кумулятивный метод несколько сложнее равномерного, но экономически он более выгоден, особенно при учете морального износа.
В последнее время в развитых странах используется новый метод ускоренного списания стоимости машин — комбинация методов регрессивной и прогрессивной амортизации.


Магистерская степень — профессиональная, а докторская — ученая.


Система образования по бизнесу и менеджменту, как и по большинству других специальностей, является в США трехступенчатой. После окончания средней школы, проучившись четыре года в университете или колледже, можно получить степень бакалавра, что примерно соответствует нашему диплому о высшем образовании. При этом после первых двух лет можно прервать образование, что будет равносильно окончанию «младшего колледжа». Далее следует двухгодичное образование по магистерским программам: «магистра делового администрирования» — Master of Business Administration — знаменитой MB А (Эм Би Эй); «магистра науки управления» — Master of Management Science — MMS (Эм Эм Эс); «магистра международного менеджмента» — Master of International Management — MIM (Эм Ай Эм) и подобным им.
Обычно на магистерские программы поступают люди в возрасте 25-30 лет, имеющие кроме степени бакалавра не менее двух лет практической работы. Степень магистра, присваиваемая в результате обучения, вообще говоря, не является ученой. Эта степень скорее «профессиональная», свидетельствующая о том, что получивший ее выпускник имеет не только теоретические, но и практические знания и отчасти навыки в области бизнеса и менеджмента на основе разбора большого количества управленческих ситуаций, участия в управленческих играх, стажировок в крупных фирмах, за границей и т.п. Программы МВА — основные для школ бизнеса, особенно ведущих. Они отличаются исключительной интенсивностью учебы и гарантируют высокое качество специалистов. За выпускниками первой десятки наиболее котирующихся школ бизнеса идет настоящая охота. Например, начальная зарплата магистра Гарвардской школы бизнеса, вот уже много лет занимающей первое место, как правило, превышает 60 тыс. долл. в год. Ее постоянный соперник — Стэнфордская школа бизнеса, ведущие места занимают Уортонская школа в Пенсильвании, Слоуновская школа в Массачусетсом технологическом институте, Школа бизнеса Мичиганского университета и другие. И в то же время у тех, кто оканчивает менее престижные школы, могут возникнуть проблемы с трудоустройством. В целом же, чтобы сделать карьеру профессионального управляющего в США, особенно в крупной фирме, или же специалиста по бизнесу и менеджменту высокого ранга, наличие магистерской степени считается весьма желательным. В последнее время широко распространяются вечерние программы обучения по магистерским программам для руководителей-практиков высшего звена (Executive MBA). В целом профессиональную степень МВА ежегодно получают около 72 тыс. американцев, что составляет четвертую часть всех магистров, которых готовят американские университеты по всем специальностям.
Третьей ступенью обучения бизнесу и управлению являются программы, ведущие к получению степени доктора философии — Philosophy Doctor — Ph.D. (Пи Эйч Ди). Они предусматривают трех — четырехгодичное обучение с обязательной защитой диссертации и присвоением ученой степени Ph.D. Эта степень, примерно равная степени кандидата наук в сильном отечественном ВУЗе или научно-исследовательском институте, выше степени магистра, но существует как бы параллельно. Магистерская степень — профессиональная, а докторская — ученая. Те, кто ее получают, не намереваются становиться менеджерами-практиками, а будут заниматься исследованиями, преподаванием в этой области, либо профессиональной работой плановика, аналитика на фирмах. Высокое качество Ph.D. в университетах США (где, кстати, нет аналогов второй, более высокой степени «доктора наук», присваиваемой у нас и в Европе) определяется освоением прежде всего огромного массива научной литературы и многочисленными специальными курсами по предмету. Нередко аспирант, начинающий программу Ph.D. в одном университете, заканчивает ее в другом, что диктуется его научными интересами, логикой исследования, наличием крупных ученых, занятых исследованиями по интересующим его проблемам. На программу Ph.D. поступают аспиранты, имеющие степень бакалавра, а иногда (совсем не обязательно) — степень магистра, в этом случае срок обучения уменьшается. Эта американская система является весьма разветвленной, гибкой и дорогостоящей. Плата за обучение по программе МВА обычно составляет в ведущем университете около 15 тыс. долл. в год, а получение степени Ph.D. обходится еще дороже.
В последнее время эта система образования нередко подвергается критике. По мнению некоторых, она формирует людей, находящихся «в башне из слоновой кости», имеющих высокие амбиции, но не знающих реальной жизни, неспособных приспособиться к переменам. Тем не менее, школы бизнеса в США отнюдь не разоряются. Более того, доходы от магистерских программ — это обычно хорошая поддержка для других, некоммерческих видов деятельности американских университетов. Если какие-то магистерские программы перестают пользоваться спросом, их заменяют другими. Чтобы усилить связь науки и практики, многие школы бизнеса предпочитают брать в преподаватели людей, поработавших на руководящих должностях в фирмах и госведомствах и в то же время имеющих степень Ph.D., опытных в обучении и научных исследованиях. Профессора, прошедшие такого рода «ротацию» — это особая, очень ценная для школ бизнеса категория преподавателей.
Следует однако подчеркнуть, что американский путь формирования менеджеров — не единственный в мировой практике. В Японии, например, существует всего лишь три школы бизнеса главным образом для подготовки тех, кто намеревается работать за границей. Руководителей готовят сами фирмы на основе концепции «обучения посредством опыта», планомерно перемещая их по разным должностям. Это позволяет познать специфику различных аспектов бизнеса и досконально изучить свою фирму. Лишь в возрасте около
35 лет сотрудники имеют шанс получить первую руководядтую должность. На японских фирмах учатся все — от рабочих до президента, и главная ответственность за это возлагается на руководителей каждого из подразделений, старшие учат младших. Направление практиков на обучение в сторонние учебные центры — дело не частое, хотя, например, на фирме «Мацусита Дэнки» существует Академия Мацуситы, где способных молодых людей с высшим образованием обучают еще целых пять лет. Но это исключение для элиты.
Европейцы также имеют школы бизнеса. В их ведущей европейской ассоциации EFMD зарегистрировано около 300 полноценных центров обучения менеджеров. Многие из них отличаются высоким уровнем подготовки, хотя магистерские степени в области бизнеса и управления не так распространены и не столь высоко котируются, как в США. Несколько большее значение в европейских школах имеют приближенные к производству дисциплины, изучение социальных, а также страновых и международных аспектов бизнеса и управления.
И все же следует признать, что подготовка, формирование менеджеров в разных странах очень сближаются и по существу, и по методам организации обучения, особенно в последнее десятилетие. Менеджмент' как профессия, как область знания становится поистине интернациональным. Освоение опыта управления каждой из стран, передача этого опыта — дело очень ценное и полезное, что начинают понимать все. Ведь это позволяет не только понять, как вести бизнес за границей, но и научиться избегать ошибок в ситуациях, которые не встречались в настоящем и прошлом, но вполне возможны в будущем. История чужого успеха или неудачи тоже бывает очень поучительна. И, конечно, научные и эмпирические обобщения, выработка общих принципов эффективного управления, типизация его различных форм и условий их применения — все это предмет серьезной работы тех, кто думает о менеджменте в научном плане, продвигает вперед управленческую мысль.


Мануфактурный период в Англии


Мануфактурный период в Англии Мануфактура — капиталистическое предприятие, где уже существовало разделение труда, но труд был пока ручным.
К.Маркс писал, что в мануфактуре «подчинение труда капиталу было лишь формальным», что «самый способ производства еще не обладал специфически капиталистическим характером».
Как это понимать? Средства производства, т.е. ремесленные инструменты в рассеянной мануфактуре принадлежали не капиталисту, а работнику, непосредственному производителю. Положение этого работника отличалось от положения ремесленника лишь тем, что он работал не по заказу потребителя его товара, а по заказу мануфактуриста. Но он работал столько, сколько считал нужным, для него еще не существовало «дисциплины наемного труда». Очевидно, что бездомный бродяга рабочим мануфактуры быть не мог.
Производственные затраты хозяина мануфактуры в основном сводились к платам за сырье и за работу. Основной капитал даже в централизованной мануфактуре был невелик. Не было пока четкой границы между рабочим и капиталистом.
Технический прогресс на мануфактурной стадии ускорился и выражался не только в специализации инструментов, но и в появлении машин, приводимых в движение силой человека, рабочего скота или падающей воды. Здесь нет противоречия: выше отмечалось, что мануфактура — это производство без машин, а машины, оказывается, были. Дело в том, что машина без механического, парового двигателя формально еще не считается машиной.

Развитие капитализма в Голландии Север Голландии имел существенные преимущества для дальнейшего развития. Если развитие мануфактур на юге Европы тормозили цеховые регламенты, то в Голландии цеха не получили полного развития, и условия для развития мануфактур были лучше. Поэтому, хотя мануфактурное производство здесь возникало позже, но развивалось оно быстрее: мануфактуристы юга постепенно переселяются на север.
Север Нидерландов представлял исключение в экономической истории — здесь практически не было феодализма: крестьяне Голландии никогда не были в феодальной зависимости. Одной из причин были природные условия: Голландия — болотистая страна, заливаемая морем. Феодалы не стремились захватывать это заливаемое морем болото. А отсутствие феодализма ускорило развитие производительных сил.
В Амстердаме рождается и первая в мире фондовая биржа, т.е. биржа, где торговали уже не товарами, а ценными бумагами: акциями, облигациями государственных займов. Сначала эти бумаги продавались на товарной бирже, а потом фондовая биржа выделилась в самостоятельный орган.
Но с начала XVIII в. Голландия постепенно теряет мировое значение. Это объяснялось тем, что ее торговое господство не соответствовало промышленному потенциалу.
В XVI в. сельское хозяйство севера Нидерландов уже не было натуральным: вс*-продукция шла на продажу в город. Это был район товарного земледелия, который поставлял на рынок масло, сыр и пшеницу.
Эти обстоятельства сделали неизбежным перенесение экономических центров Нидерландов с юга на север.
Но Нидерланды в XVI в. входили в состав испанских владений, подчинялись испанскому королю. Сначала это было даже выгодно для Нидерландов, потому что, пользуясь своей принадлежностью к Испании и ее отсталостью, Нидерланды наладили торговлю с испанскими колониями, получая огромные прибыли.
К середине XVI в. положение резко изменилось. Испанский король настолько увеличил налоги с жителей Нидерландов, что отсюда стало поступать в Испанию в 4 раза больше доходов, чем из всех заокеанских колоний. В Нидерланды проникла испанская инквизиция, сюда приехал герцог Альба, который казнил около 20 тысяч голландцев и ввел новый торговый налог — алькабалу: десятая часть стоимости любого товара при его продаже переходила в испанскую казну. Поскольку товар часто перепродавался несколько раз, пока шел к потребителю, алькабала парализовала хозяйство страны.
Все это и вызвало буржуазную революцию в Голландии, которая проходила здесь в форме национально-освободительной войны против господства Испании. Отметим, что буржуазная революция нередко принимает форму борьбы с внешним врагом. В Нидерландах роль феодальной верхушки, тормозившей экономическое развитие страны и угнетавшей местное население, играла испанская, колониальная по сути дела, администрация. Война длилась почти всю вторую половину XVI в. и закончилась образованием на севере Нидерландов независимой буржуазной республики. Нидерландская республика, мы будем для упрощения называть ее просто Голландией, испытывает после этого стремительный, хоть и короткий, экономический взлет. В южной части Нидерландов, которая впоследствии составила основу Бельгии, революция потерпела поражение, и господство Испании сохранилось.
Голландия начинает активную колониальную экспансию. В начале XVII в. голландцы захватывают некоторые испанские и португальские колонии и создают свою колониальную империю.1
Известно, что не существует идеальной модели экономики, реализованной на практике. Именно поэтому постоянные преобразования и реформы в странах с не устоявшейся экономикой требуют соблюдения четкой последовательности действий в условиях, когда выявляется низкая эффективность экономической системы. При этом изменяются не отдельные взгляды на экономическое действие, а принципы построения всей экономической системы. Условием эффективного преобразования является изучение реформаторского пути перехода крыночной экономике.
Промышленный переворот в Англии и его последствия Почему капитализм побеждает только со второй половины XVIII в.? Потому что только с этого времени начинается промышленный переворот: переход от мануфактуры к фабрике, от ручного труда к машинам. Мануфактура с ее ручным трудом еще не может использовать все преимущества капитализма, преимущества крупного производства перед мелким.
Но промышленный переворот — это не только переворот в технике, он сопровождается изменениями и в общественных отношениях. Увеличивая производительность труда, т.е. количество продукции на занятого работника, машины увеличивают величину лишь прибавочного продукта, а необходимый продукт остается прежним. Если при переходе к машинам рабочий производит в 10 раз больше продукции, чем производил прежде, то его зарплата, расходы на его содержание не увеличиваются в 10 раз.
Если на мануфактурной стадии производства рабочий еще мог надеяться стать хозяином, то завести оснащенную машинами фабрику на свои сбережения рабочий явно не мог. Между рабочим и капиталистом вырастает стена. Промышленный переворот завершает формирование двух классов буржуазного общества: буржуазии и рабочего класса.
В разных странах переворот происходил в разное время, но раньше всего в Англии. Началось с новой тогда отрасли промышленности, хлопчатобумажной. Хлопчатобумажное производство с древности было развито в Индии. Оттуда ткани из хлопка привозили в Англию, и народ их охотно раскупал, потому что они были относительно дешевыми. Английские промышленники попытались наладить хлопчатобумажное производство у себя дома, но оказались не в состоянии конкурировать с индийскими ткачами, ткани которых были и лучше, и дешевле. Перед хозяевами английских хлопчатобумажных мануфактур встала задача усовершенствовать производство, чтобы снизить стоимость продукции.
Хозяйство капиталистических стран. Переход к империализму (1871—1914 гг.)
Известно, что уже к 70-м годам XIX в. Англия успела захватить больше колоний, чем другие страны. В последней трети этого столетия она еще увеличивает колониальные владения, присоединив огромные территории в Африке.
Остальные континенты к этому времени были уже разделены на сферы влияния, а в Африке европейцы владели только небольшими территориями по океанским берегам. Внутренние земли оставались для европейцев белым пятном. Туда пробираются лишь отдельные путешественники, купцы, миссионеры. Они, по сути дела, ведут разведку для будущих колониальных захватов.
В конце 70-х годов XIX в. положение резко меняется. Крупные страны бросают в Африку вооруженные силы и начинают двигаться от своих опорных баз на побережье в глубь континента, присоединяя все новые территории.
Англичане двигались главным образом с двух сторон: с севера, где их опорой был Суэцкий канал, и с юга, где английскую экспансию направляли месторождения золота и алмазов. Эти месторождения были обнаружены в Южноафриканской бурской республике. И предлогом для захвата этой республики было жестокое отношение буров к туземцам.
За два десятка лет вся Африка была поделена. В 1898 г. на последней незанятой территории у крепости Фашода в Судане встретились английский и французский отряды, отправленные для захвата этой земли. Англичане стремились этим захватом соединить свои северные владения с южными, французы — западные с восточными. Но пути пересеклись. В маленькой крепости стояли два отряда, над ней развевались английский и французский флаги, а командиры вежливо разговаривали в ожидании решения дипломатов. Последний кусок «ничейной» земли был поделен. Раздел был неравным. В руки Англии попала Нигерия — страна золота, марганца и олова, а французы получили часть Сахары (через Сахару французы собирались строить железную дорогу, соединяющую их владения). Журналисты иронизировали: «Французы получили больше квадратных миль земли, но в стране с сыпучей, даже очень сыпучей почвой». Однако потом на этой земле была обнаружена нефть.
Фашодский инцидент стал переломом. С этого момента мир был поделен, причем больше половины всех колоний на Земле принадлежало Англии. Территория английских колоний была в сто раз больше территории самой Англии, и англичане гордо заявляли, что над Британской империей никогда не заходит солнце.
Колонии обеспечивали Англии огромные преимущества перед другими странами, но именно эти преимущества затормозили рост английской экономики.
Но особенно страдало собственное сельское хозяйство Англии. Дешевые сельскохозяйственные продукты шли из всех колоний, и это дополнялось притоком дешевого хлеба из Америки. Английские фермеры не могли выдержать конкуренции: ведь они част? доходов были вынуждены отдавать в качестве арендной платы лендлордам. Фермеры разорялись. Накануне первой мировой войны сельским хозяйством занималось только 8% населения Англии.
В результате английское сельское хозяйство сохранило значение только в качестве пригородного. Оно поставляло в города свежие овощи и продукты животноводства. 2/3 потребляемой сельскохозяйственной продукции теперь поступало из колоний. Большие территории земли в Англии отводились под заповедники для охоты, площадки для игры в гольф и парки. Ландшафт Англии приобретал современный вид.
Но получая огромные доходы от колоний, Англия стала богатейшей страной мира. Английская денежная единица фунт стерлингов была основной единицей международного обращения.
Англия занимала первое место в мире по вывозу капитала, причем до 15% вывозимого капитала направлялось в колонии. Прибыли от вывоза капитала стали главной статьей национального дохода Англии. Они были вчетверо больше дохода от своей, английской промышленности.


Маркетинговые структуры предприятия


Маркетинговые структуры предприятия
Виды организационных структур службы маркетинга. Достижение целей предприятия зависит в основном от трех факторов выбранной стратегии, организационной структуры и от того, каким образом эта структура функционирует.
Организационная структура маркетинговой деятельности на предприятии может быть определена как конструкция организации, на основе которой осуществляется управление маркетингом, иными словами — как совокупность служб, отделов, подразделений, в состав которых входят работники, занимающиеся той или иной маркетинговой деятельностью.
Маркетинговая структура имеет решающее значение для успешной реализации концепции маркетинга. Для организации маркетинга не существует универсальной схемы. Отделы маркетинга могут быть созданы на разных основах, они, как правило, являются частью коммерческой сферы деятельности предприятия. Однако на предприятиях, производящих специфическую продукцию эти отделы иногда становятся элементом технической сферы. Каждое предприятие (фирма) создает отдел маркетинга с таким расчетом, чтобы он наилучшим образом способствовал достижению маркетинговых целей (выявление неудовлетворенного спроса покупателей, географическое расширение рынков, изыскание новых сегментов рынка, увеличение прибыли и т.д.).
Вместе с тем маркетинговые структуры в значительной степени зависят от размера ресурсов предприятия, специфики выпускаемой продукции и рынков, на которых они реализуются, от сложившейся структуры управления предприятием. Несмотря на очень большое число вариантов, реальное соединение маркетинговой деятельности предприятий чаще всего осуществляется по функциям или по товарам. Организационная структура служб маркетинга может иметь одну из следующих ориентации: по функциям; товарам; рынкам и покупателям; регионам; функциям и товарам; функциям и рынкам; функциям и регионам.
Структура функционального типа целесообразна для предприятий, у которых количество товаров и рынков невелико. В этом случае рынки и производимые товары рассматриваются как однородные, для работы с которыми создаются специализированные отделы. Для предприятий, выпускающих большое количество разнообразной продукции, требующей специфических условий производства и сбыта, целесообразна организация маркетинга по товарному принципу ( 20.2.1). Она имеет ряд достоинств. Управляющий по определенному товару координирует весь комплекс маркетинга по этому товару и быстрее реагирует на возникающие на рынке проблемы. Такая маркетинговая структура обходится дороже, чем функциональная, поскольку требуется больше расходов на оплату труда из-за увеличения количества работников. Поэтому организация службы маркетинга по товарному принципу распространена только на крупных предприятиях, где объем продаж каждого товара достаточен для того, чтобы оправдать неизбежное дублирование в работе. Подобная маркетинговая структура в развитых странах имеет место в крупных децентрализованных компаниях, где каждый филиал специализируется на выпуске конкретного товара.
Маркетинг конкретного товара в последнее время приобретает большое значение потому, что в странах развитого рынка дифференциация товара становится одним из главных факторов конкурентной борьбы. В этой связи важной является деятельность управляющего по товару. Круг его обязанностей в разных фирмах (предприятиях) неодинаков, тем не менее можно отметить его основные функции:
- составление плана и бюджета маркетинга своего товара, прогнозирование возможных изменений на рынке товара; сбор информации и изучение деятельности конкурентов: координация деятельности всех подразделений предприятия, влияющих на маркетинг конкретного товара;
- контроль за соотношением цен и соблюдением статей бюджета; введение новых товаров и снятие с производства старых.
Следует отметить, что в зависимости от конкретных условий деятельности предприятия эти функции могут быть несколько иные. Ответственность за маркетинг должна лежать на управляющем по товару в тех случаях, когда покупательские привычки определяются характером товара и аналогичны для всех категорий промышленных покупателей и конечных потребителей. Если же можно сгруппировать различия в потребностях и привычках отдельных групп потребителей, последние могут рассматриваться как различные рынки.

Для предприятий, продающих свою продукцию на разных рынках, где наблюдаются неодинаковые товарные предпочтения, а товары требуют специфического обслуживания, целесообразна организация маркетинга по рынкам. Рынком может выступать отрасль промышленности либо сегмент однородных покупателей. Введение должности управляющего по рынку ставит запросы покупателей в центр внимания. Основные рынки закрепляются за управляющими по рынкам, последние сотрудничают со специалистами функциональных подразделений в разработке планов по различным направлениям функциональной деятельности. Для каждого рынка должна быть выработана своя стратегия маркетинга.
Эффективная система связей между подразделениями обеспечивает четкую передачу информации. Система связей должна обязательно иметь обратную связь.
Принцип единого подчинения. Служащий должен получать приказы только от одного начальника. Для совокупности выполняемых функций, имеющих одну и ту же цель, должен быть один руководитель.
Малозвенность маркетинговой структуры. Чем меньшим количеством звеньев характеризуется структура, тем менее длительной оказывается передача информации снизу вверх и распоряжений дирекции сверху вниз. Координацию ответственности должно осуществлять высшее руководство службы маркетинга.
Под влиянием быстрого изменения потребительского спроса, высоких темпов научно-технического прогресса, роста масштабов и усложнения производства, а также других факторов изменяется характер и направление целей предприятия, способы их достижения. В силу этого маркетинговые структуры должны обладать определенной гибкостью и приспособляемостью.
Маркетинговые структуры могут считаться гибкими только в том случае, если они способны менять свои организационные формы при изменении стратегии предприятия. Организационные перестройки могут быть быстрыми и без снижения эффективности работы предприятия, если способность к изменениям заложена в самой структуре. Для то чтобы маркетинговые структуры были гибкими, предприятия должны постоянно располагать текущей информацией о внутреннем состоянии дел и внешней среде, которая представлена демографическими, экономическими, природными, техническими, политическими и культурными факторами.
Организационные структуры могут быть двух типов: «жесткие» (механистические), «мягкие» (организмические). Жесткая структура имеет следующие особенности: круг обязанностей работников четко определен контрактом; усилена централизация и специализация власти; работник обязан выполнять работу, не предусмотренную должностью; действует множество формальных инструкций.
Немалое значение для достижения поставленных маркетинговых целей имеет создание внутренних организационных подразделений в службе маркетинга предприятия (фирмы). Здесь, как правило, организуются следующие структурные подразделения.
1. Отдел по исследованию рынка, включающий: информационно-исследовательскую группу (бюро), группу (бюро) по исследованию спроса на продукцию, группу (бюро) технического обслуживания исследования рынка. В информационно-исследовательской группе необходимы специалисты по экономической информации, в области сбора и переработки коммерческой информации, библиотечно-информационного обслуживания. Группа по исследованию спроса на продукцию должна иметь специалистов в области анализа и прогнозирования спроса. В группе технического обслуживания исследования рынка нужны специалисты по автоматизированной обработке информации и ЭВМ.
2. Отдел по управлению ассортиментом продукции, включающий группы (бюро) по управлению ассортиментом старой продукции и управлению ассортиментом новой продукции. В указанных подразделениях должны быть специалисты по формированию ассортимента продукции, а также по качеству продукции.
3. Отдел сбыта, содержащий подразделения по оперативно-сбытовой работе, число и название которых определяются в основном широтой номенклатуры производимой продукции и спецификой производственно-хозяйственной деятельности предприятия.
4. Отдел по формированию спроса и стимулированию сбыта. В состав его, как правило, входят группы (бюро) рекламы; стимулирования. Группу рекламы должны составлять специалисты по основным формам, средствам рекламы, сюда входят экономист по ассигнованиям на рекламу, специалист по организации выставок и ярмарок, витрин, демонстрации товаров, организации фирменных магазинов и проведению торговых мероприятий.
5. Отдел сервисного обслуживания создается только на предприятиях (фирмах), производящих сложную технику, машины. В отделе должны работать специалисты по управлению сетью сервисного обслуживания, ремонтными мастерскими, по обеспечению запасными частями мастерских, центров обслуживания.


Маржинальные идеи У.Джевонса и Л.Вальраса


Маржинальные идеи У.Джевонса и Л.Вальраса Уилъям Стенли Джевонс (1835—1882) участвововал в разработке маржинальной экономической теории. Его главные работы: «Теория политической экономии» (1871) и «Принципы науки» (1874).
Субъективизм маржинальных идей в трудах У.Джевонса очевиден из следующего.
Во-первых, максимальное удовлетворение потребностей при минимуме усилий является, на его взгляд, сугубо экономической задачей, не связанной с политическими, моральными и другими факторами. При этом приоритетное значение придавалось им проблематике полезности, т.е. потребления и спроса, о чем свидетельствует, в частности, его трактовка главной задачи экономической науки. «Дан определенный уровень населения с различными потребностями и производственными возможностями, обладающего определенным количеством земли и других материальных ресурсов; требуется найти способ приложения  его  труда,  который  будет  максимизировать  полезность произведенного».
Во-вторых, рассматривая полезность и ценность по функциональной зависимости, У.Джевонс считал, что цена товара функционально зависит от предельной полезности, а последняя, в свою очередь, зависит от товарных цен, обусловленных издержками производства. Это значит, что он не придавал самостоятельного значения издержкам и предельной полезности, как это затем «открыли» А.Маршалл и В.Парето.
И в-третьих, У.Джевонс разделял положение «классиков» о совершенной конкуренции, позволяющей продавцам и покупателям иметь доступ друг к другу и обладать полной взаимной информацией. Отсюда он пришел к заключению, что субъекты рынка обеспечивают получение человеком такой комбинации товаров, которая в наибольшей степени удовлетворяет его потребности. В этом свидетельство постижения им принципов предельного анализа («законов Госсена») и основание считать его одним из родоначальников маржинализма.
Меньшая популярность вплоть до конца XIX в. трудов У.Джевонса (равно как и Л.Вальраса) была вызвана главным образом математической формой самовыражения, которая все еще не воспринималась читателями, не желавшими как бы по инерции находить ответы по социальной проблематике в математических уравнениях и прочих средствах математики. Вместе с тем, ни тот, ни другой (и конечно, К.Менгер) не «вторгались» с помощью математических средств маржинализма в сферу производства, в том числе никто из них не строил ни кривых спроса, ни кривых предложения, хотя У.Джевонс был к этому, казалось бы, ближе других, учитывая возможность, которую давали ему построения кривых издержек производства.
У.Джевонс оказался в числе тех ученых, которые находились под влиянием утилитаристских идей английского философа Иеремии Бентама, интерес к которым возродился еще в середине прошлого столетия. Он полагал, что его (Бентама) убеждение об исчислении наслаждений и страданий возможно приложить к экономическому подходу в осмыслении человеческого поведения. Поэтому представляется, что высказывание У.Джевонса о том, что Д.Рикардо «перевел поезд экономической науки на ложный путь», явилось бентамистской реакцией на классовую позицию своего соотечественника. Кроме того, его утверждение — «все товары в результате обмена распределяются таким образом, чтобы доставить максимум выгоды» — почти созвучно основному постулату И.Бентама:«Природа поставила человечество под управление двух верховных властителей: страдания и удовольствия. Им одним предоставлено определять, что мы можем делать, и указывать, что мы должны давать... Они управляют нами во всем, что мы делаем, что мы говорим, что мы думаем».
Леон Валърас (1834—1910) интерес к экономической теории проявил благодаря отцу, обратившему его внимание на работы А.0. Курно. В этом также причина отражения в интересовавшей его политической экономии средств математического «языка» (базовым образованием Л.Вальраса была математика). В 1874 г. вышел основной труд Л.Вальраса «Элементы чистой политической экономии», который позволяет и его отнести к числу маржиналистов первой волны.
Вместе с тем, Л.Вальрас не ограничился характеристикой предельной полезности (считая ее основой ценности товара), формулировкой понятия «функция спроса» и других понятий. Он впервые попытался применить математическую модель для выявления проблем существования равновесия экономической системы и придания этой системе стабильности. Но в отличие от моделей рыночного равновесия А.0. Курно, У.Джевонса, А.Маршалла и других, модель Л.Вальраса характеризует не частное, а общее экономическое равновесие симметричных рынков. Поэтому Л.Вальрас по праву считается основоположником современного макроэкономического моделирования. Кроме того, наличие единомышленников и продолжателей его учения превратили Л.Вальраса в основоположника лозаннской школы маржинализма.
Разработанная Л.Вальрасом модель общего экономического равновесия отражает взаимосвязь рынков готовой продукции и рынков факторов производства в условиях рыночного механизма хозяйствования с совершенной конкуренцией, приводящей к единственному равновесию множество рынков. Она позволяет понять, что определение цен на производимые для рынка продукты и цен факторов производства может быть только одновременным, а не поочередным в том или ином порядке, что частичное равновесие на определенном количестве рынков не гарантирует общего равновесия для всей экономики с данным количеством рынков.
В числе допущенных упрощений в уравнениях модели Л.Вальраса имели место: заданные функции предельной полезности, что означало заданное первоначальное количество товаров и услуг, которые реализуются на рынке; заданные функции предельной производительности, что означало допущение идентичных издержек, т.е. их постоянную отдачу; изменения цены прямо зависят от величины превышения спроса над предложением и др.1
Сопоставление современных (послевоенных) экономических теорий с элементами экономической системы дает возможность изучения причинно-следственных связей в экономике на более глубоком уровне за счет той их особенности, что развитие экономических теорий протекало параллельно с развитием самой экономики и возникновением новых элементов в этой системе. В этом разделе представлена история современных экономических теорий, изучение которой является важным звеном подготовки квалифицированного экономиста.


Математическая модель и ее основные элементы


Математическая модель и ее основные элементы Математическая модель экономического объекта — это его гомоморфное отображение в виде совокупности уравнений, неравенств, логических отношений, графиков. Гомоморфное отображение объединяет группы отношений элементов изучаемого объекта в аналогичные отношения элементов модели. Модель — это условный образ объекта, построенный для упрощения его исследования. Предполагается, что изучение модели дает новые знания об объекте либо позволяет определить наилучшие решения в той или иной ситуации.
Для описания основных элементов экономической модели рассмотрим конкретную ситуацию и построим соответствующую ей модель.
Пусть имеется фирма, выпускающая несколько видов продукции. В процессе производства используются три вида ресурсов: оборудование, рабочая сила и сырье; эти ресурсы однородны, количества их известны и в данном производственном цикле увеличены быть не могут. Задан расход каждого из ресурсов на производство единицы продукции каждого вида. Заданы цены продуктов. Нужно определить объемы производства е целью максимизации стоимости произведенной продукции (или, в предположении, что вся она найдет сбыт на рынке — общей выручки от реализации).
Для решения поставленной задачи нужно построить математическую модель, наполнить ее информацией, а затем провести по ней необходимые расчеты. Вначале при построении модели нужно определить индексы, экзогенные и эндогенные переменные и параметры. Далее опишем экзогенные переменные — те, которые задаются вне модели, т.е. известны заранее, и параметры — это коэффициенты уравнений модели. Часто экзогенные переменные и параметры в моделях не разделяют. Поставленная задача далеко не всегда хорошо описывает ситуацию и соответствует задачам лица, принимающего решение (ЛПР). В действительности, по крайней мере:
1) ресурсы до некоторой степени взаимозаменяемы;
2) затраты ресурсов не строго пропорциональны выпуску (есть постоянные затраты, не связанные с объемом выпуска; предельные затраты меняются);
3) объемы ресурсов не строго фиксированы, они могут покупаться и продаваться, браться или сдаваться в аренду;
4) внутри каждого вида ресурсов можно выделить составляющие, функционально или качественно различные, в той или иной мере заменяющие или дополняющие друг друга и по-разному влияющие на объем выпуска.
Если модель является оптимизационной, то наряду с ограничениями должна быть определена целевая функция, т.е. максимизируемая или минимизируемая величина, отражающая интересы принимающего решение субъекта.
Математические модели, используемые в экономике, можно подразделять на классы по ряду признаков, относящихся к особенностям моделируемого объекта, цели моделирования и используемого инструментария: модели макро- и микроэкономические, теоретические и прикладные, оптимизационные и равновесные, статические и динамические.
Макроэкономические модели описывают экономику как единое целое, связывая между собой укрупненные материальные и финансовые показатели: ВНП, потребление, инвестиции, занятость, процентную ставку, количество денег и другие.
Микроэкономические модели описывают взаимодействие структурных и функциональных составляющих экономики либо поведение отдельной такой составляющей в рыночной среде. Вследствие разнообразия типов экономических элементов и форм их взаимодействия на рынке, микроэкономическое моделирование занимает основную часть экономико-математической теории. Наиболее серьезные теоретические результаты в микроэкономическом моделировании в последние годы получены в исследовании стратегического поведения фирм в условиях олигополии с использованием аппарата теории игр.
В моделировании рыночной экономики особое место занимают равновесные модели. Они описывают такие состояния экономики, когда результирующая всех сил, стремящихся вывести ее из данного состояния, равна нулю. В нерыночной экономике неравновесие по одним параметрам (например, дефицит) компенсируется другими факторами (черный рынок, очереди и т.п.). Равновесные модели дескриптивны, описательны. В нашей стране долгое время преобладал нормативный подход в моделировании, основанный на оптимизации. Оптимизация в теории рыночной экономики присутствует в основном на микроуровне (максимизация полезности потребителем или прибыли фирмой); на макроуровне результатом рационального выбора поведения экономическими субъектами оказывается некоторое состояние равновесия.
В моделях статических описывается состояние экономического объекта в конкретный момент или период времени; динамические модели включают взаимосвязи переменных во времени. В статических моделях обычно зафиксированы значения ряда величин, являющихся переменными в динамике, например, капитальных ресурсов, цен и т.п. Динамическая модель не сводится к простой сумме ряда статических, а описывает силы и взаимодействия в экономике, определяющие ход процессов в ней. Динамические модели обычно используют аппарат дифференциальных и разностных уравнений, вариационного исчисления.
Детерминированные модели предполагают жесткие функциональные связи между переменными модели. Стохастические модели допускают наличие случайных воздействий на исследуемые показатели и используют инструментарий теории вероятностей и математической статистики для их описания.
Математическая экономика и эконометрика Математическая экономика—раздел экономической науки, занимающейся анализом свойств и решений математических моделей экономических процессов. В некоторых случаях эти модели могут рассматриваться как часть математической теории на стыке с экономической наукой. Математическая экономика отделяется обычно от эконометрики, занимающейся статистической оценкой и анализом экономических зависимостей и моделей на основе изучения эмпирических данных. В математической экономике исследуются теоретические модели, основанные на определенных формальных предпосылках (линейность, выпуклость, монотонность и т.п. зависимости, конкретные формулы взаимосвязи величин). Математическая экономика, вообще говоря, не занимается изучением степени обоснованности того, что данная зависимость имеет тот или иной вид (например, что величина потребления является линейной возрастающей функцией дохода), — это оставляется для эконометрики. Задачей математической экономики является изучение вопроса о существовании решения модели, условиях ею не отрицательности, стационарности, наличия других свойств. Это обычно осуществляется, как и в математике, путем дедуктивного получения следствий (теорем) из априорно сделанных предпосылок (аксиом).
Разумеется, предметная область, методология и инструментарий экономической науки не исчерпываются подходами математической экономики и эконометрики — обычно в экономических исследованиях используются также методы качественного анализа, индуктивные, эвристические подходы, перемежающиеся с элементами математической экономики и эконометрики. Таким образом, математическая экономика выступает и как самостоятельный раздел экономической науки, и как один из ее инструментов. При этом разделы математической экономики, исследовавшиеся ранее в чисто теоретическом плане, все больше становятся теоретической базой и элементами прикладных исследований.
Среди моделей математической экономики можно выделить два крупных класса — модели равновесия в экономических системах и модели экономического роста. Модели равновесия (например, модель Эрроу-Дебре, модель «затраты-выпуск» В.Леонтьева) помогают исследовать состояния экономических систем, в которых равнодействующая всех внешних сил равна нулю. Это, вообще говоря, статические модели, в то время как экономическая динамика описывается с помощью моделей роста (модель Харрода-Домара, модель Солоу, модели магистрального типа и пр.). Ключевым моментом исследования моделей роста является анализ и отыскание траекторий стационарного роста (роста с постоянными, в том или ином смысле, структурными характеристиками), к выходу на которые обычно стремится описываемая моделью экономическая система. Исследование траектории стационарного роста является одновременно базой для анализа более сложных типов роста и связующим звеном с моделями экономического равновесия.
Эконометрика — наука, исследующая количественные закономерности и взаимозависимости в экономике при помощи методов математической статистики. Основа этих методов — корреляционно-регрессионный анализ. Использование современных методов математической статистики началось в биологии. В последней четверти XIX века английский биолог К.Пирсон положил начало современной математической статистике изучением кривых распределения числовых характеристик человеческого организма. Затем он и его школа перешли к изучению корреляций в биологии и построению линейных функций регрессии.
Первые работы по эконометрике появились в конце XIX — начале XX вв. В 1897 г. вышла работа одного из основателей математической школы в экономической теории В.Парето, посвященная статистическому изучению доходов населения в разных странах.
В самом начале XX века опубликовано несколько работ английского статистика Гукера, в которых он применил корреляционно-регрессионные методы, разработанные Пирсоном и его школой, для изучения взаимосвязей экономических показателей, в частности влияния числа банкротств на товарной бирже на цену зерна. В работах Гукера содержалась идея временного лага между экономическими переменными, а также идея корреляционного анализа не самих величин, а их приращений. В дальнейшем появилось огромное число работ как по развитию теории математической статистики и ее прикладных элементов, так и по практическому приложению этих методов в экономическом анализе. К первой группе могут быть, например, отнесены работы Р.Фишера по дисперсионному анализу, ко второй — работы по оценке и исследованию производственных функций, в частности классическая работа Кобба и Дугласа в 1928 г.
Эконометрические модели и методы в настоящее время — это не только мощный инструментарий для получения новых знаний в экономике, но и широко применяемый аппарат для принятия практических решений в прогнозировании производства, банковском деле, бизнесе.1



Местное ассоциативное предпринимательство


Местное ассоциативное предпринимательство Для решения региональных проблем субъектов Российской Федерации создаются различные ассоциативные территориальные межотраслевые объединения (ТМО), состоящие, как правило, из предприятий и организаций местного подчинения, продукция и услуги которых направлены непосредственно на удовлетворение потребностей территориальной экономики.
ТМО могут самостоятельно расширяться, создавать совместные предприятия, в том числе с другими заинтересованными партнерами независимо от их ведомственной принадлежности, включая инофирмы. ТМО предоставляется право образовывать в своем составе новые предприятия и объединения, организовывать в установленном порядке кооперативы.
При формировании ТМО решаются следующие задачи:
- комплексное экономическое и социальное развитие территории;
- использование местных материальных, финансовых и трудовых ресурсов и вторичного сырья, отходов для увеличения выпуска и расширения ассортимента товаров народного потребления и услуг;
- развитие территориальных форм кооперации, концентрации и специализации основных и вспомогательных производств;
- содействие решению общих для предприятий и организаций региона вопросов научного и технического развития;
- активизация внешнеэкономической деятельности;
- совершенствование форм и методов хозяйствования;
- повышение   эффективности   производства:   увеличение   прибыли,   рост производительности труда на основе широкого использования территориальных производственных и социальных факторов интенсификации.
ТМО могут быть специализированными, но обычно это многопрофильные образования, занимающиеся одновременно промышленной, аграрно-промышленной, торговой, строительной и другой деятельностью.
Участники ТМО сохраняют хозяйственную самостоятельность и права юридического лица. Руководство ТМО осуществляет по отношению к ним функции координирующего органа, что вовсе не означает пассивное наблюдение за происходящим и обеспечение участников какими-то необязательными рекомендациями. Располагая достаточными финансовыми ресурсами, информацией и хозяйственными связями, руководство ТМО имеет возможность создавать такие условия, при которых участники объединения могут эффективно работать, только находясь в нем и подчиняясь его правилам.
Деятельность межотраслевой ассоциации «Уральский фермер», например, основана на принципах холдинга. Его дочерние фирмы «Фермер-снаб» и «Фермер-маркетинг» обеспечивают фермерские хозяйства Челябинской области машинами и механизмами, строительными материалами, кредитами на выгодных для них условиях. Ассоциация организовала совместные лесоразработки и распиловку леса на деловую древесину.
Ассоциация «Уральский фермер» создала совместные предприятия по переработке и реализации сельскохозяйственной продукции, использованию природно-сырьевых ресурсов и недр земли. Многие крестьянские хозяйства Челябинской области, которые не могут обеспечить себе нормальную работу, нуждаются в промышленной и коммерческой инфраструктуре, созданной этой ассоциацией, и, следовательно, обязаны подчиняться ее правилам.
В отдельных случаях аппарат управления ТМО может быть одновременно и подразделением местной администрации соответствующего уровня территориальной и производственной инфраструктуры. При этом он работает под руководством местной администрации и совета объединений.
Консорциумы. Синдикаты. Промышленные узлы Наряду с бессрочными организационными объединениями типа холдинга или ассоциации могут возникать временные объединения предприятий, организаций для решения конкретных задач в течение определенного периода времени, называемые консорциумами. Они обычно объединяют предприятия любой подчиненности и любой формы собственности. Участники консорциума сохраняют хозяйственную самостоятельность и могут быть одновременно членами других ассоциаций, совместных предприятий, консорциумов. После выполнения задач консорциум прекращает свое существование.
К консорциумам следует отнести и временные межотраслевые инвестиционные, научно-технические и другие комплексы, создаваемые для реализации научно-технических, инвестиционных, экологических и других программ. Например, в задачи консорциума «Арал», созданного в конце 1990 г. по решению бывшего союзного Правительства, входило экологическое спасение Аральского моря и его бассейна. В состав консорциума в свое время входили ряд союзных и республиканских министерств и ведомств, многие предприятия и организации. После развала СССР консорциум прекратил свое существование.
Одной из ассоциативных форм коллективного предпринимательства является синдикат. Данная форма предпринимательства связана, в основном со сбытом продукции и распространена главным образом в добывающих отраслях, сельском и лесном хозяйствах. На долю, например, известного международного синдиката ОПЭК, занимающегося добычей и реализацией нефти на мировых рынках, приходится около 2/3 мирового экспорта нефти.
Как правило, синдикат организует единую службу (контору) по сбыту, в ведение которой члены синдиката должны сдавать по заранее оговоренной цене и квоте продукцию, предназначенную для совместной продажи.
Дирекция синдиката в ряде случаев организует закупку сырья, материалов и других продуктов для участников синдиката на деньги, вырученные от продажи их продукции. Внутри синдиката допускается конкурентная борьба. Основная цель синдиката — расширить и удержать рынки сбыта, регулировать объемы выпуска продукции внутри синдиката и цены на внешних рынках сбыта продукции.
Промышленные узлы — это группа предприятий и организаций, которые размещаются на смежных территориях и совместно используют производственную и социально-бытовую инфраструктуру, природные и другие ресурсы, создают общие производства межотраслевого и местного территориального значения, сохраняя при этом свою самостоятельность.
В промышленных узлах формируются условия для развития микротерриториальной интеграции, кооперации, специализации производства, более полного использования уникального оборудования, производственных площадей и мощностей по переработке вторичных ресурсов, организации межотраслевых производств, обслуживающего хозяйства.
Предпринимательство, таким образом, перестало считаться приоритетной областью действия одиночек, превратившись в повседневные занятия руководителей и специалистов крупных предприятий и затронув государственные и межгосударственные отношения. Это объясняется тем, что крупномасштабные предпринимательские союзы (концерны, холдинги, ассоциации и др.) во многих отраслях экономики могут более гибко и надежно, чем каждое предприятие в отдельности, реализовать достоинства предпринимательства:
- применять различные формы организации производства: аренду, подряд, кооперативы;
- добиваться многоканального использования сырьевой базы, широкого тиражирования и комплексного применения прогрессивной техники и технологии;
- полностью перевести цикл «исследование — производство — потребление» на межотраслевую, в том числе кооперативную, основу;
- развивать коллективные вспомогательные и обслуживающие производства;
- создавать территориальную производственную и социальную инфраструктуру.
Однако было бы совершенно неправильно указывать только позитивные стороны новых производственных формирований.
При их создании возникает много проблем. В России это обусловлено прежде всего несовершенством законодательства: не полностью проработаны методы согласования работы комплексов с центральными и местными административно-хозяйственными ведомствами; не установлены границы экономической самостоятельности этих комплексов;
взаимоотношения ассоциаций, концернов с государственными и местными органами управления во многих случаях не имеют четкой правовой регламентации; не разработаны правовые основы информационного обслуживания комплексов, недостаточны условия развития кооперации, сохранения сложившихся производственных связей.
Кроме того, при образовании крупных производственных комплексов, как правило, обостряется  проблема монополизма.  Создание  сверхкрупных  производственных комплексов, сосредоточивающих на своих предприятиях выпуск основной части однотипной продукции страны, представляет реальную угрозу из-за монополизации рынка, усиления инфляции, сдерживания научно-технического прогресса.
Решение проблемы состоит в организации параллельных производств однотипной продукции, развитии внешнеэкономических связей. Однако на создание параллельных структур и конкурсное размещение заказов требуется значительное время. Поэтому государственные органы считают первоочередным и наиболее доступным методом ограничения монополизма разработку системы экономических и правовых мер государственного регулирования процессов интеграции производства в рамках концернов и ассоциаций.1


Местные сборы


Местные сборы Сбор со сделок, совершаемых на биржах. Источником уплаты данного сбора является прибыль предприятия, остающаяся в его распоряжении после уплаты налога на прибыль.
Объектом сбора является сумма сделок, совершаемых на бирже.
Плательщиками сбора являются участники сделки, осуществляющие в установленном порядке эти операции, за исключением сделок, предусмотренных законодательными актами о налогообложении операций с ценными бумагами.
Сбор вносится участниками сделки в размере, не превышающем 0,1% суммы сделки.
Исчисление сбора производится плательщиками исходя из суммы сделок, совершаемых на бирже (за исключением сделок по операциям с ценными бумагами). Налог на операции, осуществленные в иностранной валюте, исчисляется в рублях в пересчете по рыночному курсу Центрального банка РФ на дату регистрации этой операции.
Сумма сбора исчисляется поквартально нарастающим итогом с начала года от суммы сделок.
Плательщики сбора со сделок, совершенных на биржах, представляют в налоговые органы по месту нахождения расчеты по установленной форме вместе с бухгалтерским отчетом в установленные сроки для представления квартальной и годовой бухгалтерской отчетности.
Уплата сбора производится по квартальным расчетам в пятидневный срок со дня, установленного для представления бухгалтерского отчета за квартал, а по годовым расчетам — в десятидневный срок со дня, установленного для бухгалтерского отчета за год.
Сумма платежей по сбору со сделок, совершаемых на биржах районов, зачисляется в районные бюджета, на биржах городов — в городские бюджета либо по решению районных и городских органов власти — в бюджета районов (в городах).
Плательщики несут ответственность за правильность исчисления и своевременность уплаты сбора в порядке, предусмотренном Законом РФ «Об основах налоговой системы в Российской Федерации».
Контроль за правильным исчислением и своевременностью уплаты сбора осуществляется налоговыми органами в соответствии с Законом РФ «О государственной налоговой службе Российской Федерации».
Сбор за право торговли Сбор устанавливается районными, городскими (без районного деления), районными (в городе), поселковыми, сельскими представительными органами власти.
Плательщиками сбора являются предприятия и организации всех организационно-правовых форм, включая предприятия с иностранными инвестициями, являющиеся юридическими лицами по законодательству РФ, их дочерние образования и филиалы, а также граждане РФ и других государств (физические лица), осуществляющие торговлю товарами и изделиями как через постоянные торговые точки (магазины, столовые, кафе, киоски и др.), так и в порядке свободной торговли с рук, выносных лотков, открытых прилавков и автомашин в местах, определенных местными органами исполнительной власти.
Торговля товарами, облагаемыми в соответствии с установленным порядком акцизами, включая импортные товары, производится юридическими и физическими лицами на основе обязательного лицензирования и уплаты установленных платежей.
Юридические и физические лица, осуществляющие торговлю только этими товарами и уплатившие лицензионный сбор, сбор за право торговли не уплачивают.
Конкретные  ставки сбора за право торговли определяются  местными представительньши органами власти при принятии решения о введении этого сбора в зависимости от места расположения торговой точки, объема реализации и вида товара и т.д.
Ставку платы за лицензию на право торговли товарами, облагаемыми акцизами, рекомендуется устанавливать в зависимости от объявленного дохода от их реализации. При этом следует иметь в виду, что в решениях следует предусматривать перерасчет сумм платы на фактически полученный доход от их реализации.
Местные органы власти могут устанавливать и иной порядок определения платы за торговлю этими товарами — в размерах фиксированной ставки от установленной законом минимальной месячной оплаты труда как отдельно по каждому виду подакцизного товара, так и в целом по группе товаров.
Юридические и физические лица, осуществляющие торговлю в постоянных торговых точках, приобретают временный патент на право торговли.
В патенте на право торговли должны быть указаны период, на который он выдается, группы товаров, которыми будет производиться торговля, и места торговли (точки). На право торговли с временных торговых точек в местах, определенных исполнительными органами власти, юридическим и физическим лицам выдается разовый талон.
Уплата сбора производится путем приобретения разовых талонов по месту торговли. Реализация указанных талонов может производиться по решению исполнительных органов власти специально выделенными сборщиками с оплатой их работы за счет средств, поступающих от местных налогов и сборов, и может быть возложена на администрацию рынка.
Разовый талон для удобства может быть реализован на любое число дней торговли. Стоимость его определяется в этом случае исходя из стоимости разового талона за один день торговли.
В талоне проставляются фамилия, имя, отчество гражданина или представителя юридического лица, осуществляющего торговлю.
В случае, если сумма сбора уплачена в учреждение банка, талон на право торговли выдается взамен предъявленной квитанции об уплате этого сбора.
В местах массовой торговли (ярмарки, рынки) вместо разовых именных талонов участники торговли при наличии кассовых аппаратов получают кассовый чек, который действителен только на указанный день торговли.
На торговлю товарами, облагаемыми акцизами, исполнительными органами власти, на территории которых производится торговля, выдается лицензия сроком на 1 год. Порядок выдачи этих лицензий, требования, предъявляемые для организации торговли этими товарами, определяются специальным положением о лицензировании торговли этими товарами, утверждаемым исполнительным органом местной власти.
Основанием для выдачи лицензии является заявление юридического или физического лица с представлением документов, удостоверяющих источник поступления товара и гарантирующих его качество.
Уплата сбора за право торговли производится при приобретении патента или лицензии на право торговли, разового талона. При установлении ставок в зависимости от полученного дохода по согласованию с налоговыми органами могут быть определены и иные сроки его уплаты и представления расчетов по этому сбору.
Уплата сбора за право торговли не освобождает плательщика от уплаты лицензионного сбора за право торговли подакцизными товарами, в то же время при наличии лицензии на торговлю этими товарами сбор за право торговли не взимается.
Патенты и лицензии, разовые талоны на право торговли являются документами строгой отчетности, в них проставляются серия и номер. Их изготовление, учет, организация работы по выдаче осуществляются местными органами исполнительной власти.
Средства от сбора за право торговли поступают в доход местного бюджета того региона, на территории которого осуществляется торговая деятельность. Предприятия, имеющие филиалы (подведомственные предприятия) без образования юридического лица на территории другого района (города), уплачивают сбор в бюджет района по месту расположения филиала по ставкам, действующим в этом регионе. Плата производится юридическим лицом по расчетам, согласованным с налоговыми инспекциями заинтересованных регионов.
Расходы предприятий и организаций по уплате сбора за право торговли осуществляются за счет прибыли, остающейся после уплаты налога на прибыль (доход).
Местные органы власти могут устанавливать для отдельных категорий плательщиков льготы по уплате сбора за право торговли, которые должны быть определены в принимаемом решении.
Льготы по уплате налогов, установленные законодательными актами по отдельным отраслям народного хозяйства, по местным налогам и сборам действуют в том случае, если они подтверждены решением местного органа власти по введению этих налогов.
Физические лица-участники торговли обязаны вести учет доходов, полученных от свободной торговли, своевременно сообщать о них в декларациях в налоговые органы.
Плательщики сбора за право торговли несут ответственность за своевременность и полноту его уплаты в соответствии с Законом РФ «О государственной налоговой службе Российской Федерации» и Законом РФ «Об основах налоговой системы в Российской Федерации».
Осуществление торговли без уплаты этого сбора и отсутствие у плательщика патента или лицензии на право торговли, разового талона являются сокрытием объекта налогообложения (права на торговлю). К юридическим и физическим лицам, осуществляющим торговлю без уплаты установленных платежей, применяются меры воздействия, предусмотренные ст. 13 Закона РФ «Об основах налоговой системы в Российской Федерации», — взыскания сумм налога (сбора за право торговли) за сокрытый объект налогообложения и штрафа в размере той же суммы, а при повторном нарушении — соответствующей суммы и штрафа в двойном размере этой суммы.
В случае если юридические и физические лица, осуществляющие торговую деятельность, допускают сокрытие получаемых доходов, к ним применяются также и меры по взысканию всей суммы сокрытого или заниженного дохода.
Налоговые органы вправе принять к плательщикам, нарушающим налоговое законодательство о местных налогах и сборах, и другие меры, предусмотренные ст. 13, 14 указанного Закона.
Кроме того, на должностных лиц и граждан, допускающих нарушение налогового законодательства, налагаются административные штрафы в соответствии со ст. 7 Закона РФ «О государственной налоговой службе Российской Федерации».


Метод статистики


Метод статистики Для изучения своего предмета статистика разрабатывает и применяет разнообразные методы, совокупность которых образует статистическую методологию. Применение в статистическом исследовании конкретных методов предопределяется поставленными при этом задачами и зависит от характера исходной информации.
Общей основой разработки и применения статистической методологии являются принципы диалектического подхода к изучению явлений жизни общества. Это прежде всего требование рассмотрения фактов, характеризующих изучаемые явления, в их целостности, во взаимосвязи и взаимообусловленности, что весьма важно при статистическом изучении причинных отношений.
Важнейшим положением диалектического метода познания является рассмотрение изучаемого явления в развитии, движении от возникновения до исчезновения. В соответствии с этим общим гносеологическим требованием является то, что статистика изучает динамику социально-экономических явлений в их исторической обусловленности.
При статистическом изучении социально-экономических явлений руководствуются положением материалистической диалектики о переходе количественных изменений в качественные. Это имеет важное значение при изучении количественных изменений в массовых социально-экономических явлениях для познания глубоких качественных изменений.
Статистика опирается на диалектические категории случайного и необходимого, единичного и массового, индивидуального и общего.
Все многообразие статистических методов изучения коммерческой деятельности в курсе «Общая теория статистики» систематизируется по их целевому применению в последовательно выполняемых при этом трех основных стадиях экономико-статистического исследования:
1) сбор первичной статистической информации;
2) статистическая сводка и обработка первичной информации;
3) анализ статистической информации.
На первой стадии статистического исследования решается задача получения соответствующих поставленной задаче значений изучаемых признаков по отдельным единицам статистической совокупности. Для осуществления этой начальной стадии статистического исследования применяются методы массового наблюдения. Требование массовости единиц наблюдения обусловливается тем, что изучаемые статистикой закономерности проявляются в достаточно большом массиве данных на основе действия закона больших чисел.
Основное содержание закона больших чисел заключается в том, что в сводных статистических характеристиках действия элементов случайности взаимопогашаются, хотя они и могут проявляться в признаках индивидуальных единиц статистической совокупности. Так, например, в условиях, развитых рыночных отношений каждый покупатель магазина выбирает именно тот товар, который ему в данный момент требуется. Но в целом по магазину возможно сравнительно точно предвидеть как общий объем, так и структуру спроса за год, отдельные сезоны и даже дни недели. Для выявления конкретных закономерностей покупательского спроса необходима статистическая информация, отображающая специфику спроса по дням недели, времени года и в целом за год.
На второй стадии статистического исследования собранная в ходе массового наблюдения информация подвергается статистической обработке, включающей получение итогов по изучаемой совокупности в целом и отдельным ее частям, систематизацию единиц совокупности по признакам сходства и т.д.
Важнейшим методом второй стадии статистического исследования является метод статистических группировок, позволяющий выделять в изучаемой совокупности социально-экономические типы. Основное содержание второй стадии статистического исследования заключается в переходе от характеристик единичного к сводным (обобщающим) показателям совокупности в целом или ее частей (групп). Отграничение качественно однородных в существенном отношении групп социально-экономических явлений — одно из непременных условий научного применения в статистическом исследовании метода обобщающих  статистических  показателей. Нарушение принципа качественной однородности изучаемой совокупности приводит к получению нетипичных характеристик, искажению результата исследования.
На третьей, заключительной, стадии статистического исследования проводится анализ статистической информации на основе применения обобщающих статистических показателей: абсолютных, относительных и средних величин, статистических коэффициентов и др.
Анализ статистической информации позволяет раскрывать причинные связи изучаемых явлений, определять влияние и взаимодействие различных факторов, оценивать эффективность принимаемых управленческих решений, возможные экономические и социальные последствия складывающихся ситуаций. В сравнении обобщающих статистических показателей изучаемых явлений определяются количественные оценки их распространенности в пространстве и развития во времени, устанавливаются характеристики связи и зависимости. Сопоставлением единичного с общим определяются мера развития индивидуального, его отличие от других единиц изучаемой совокупности.
При анализе статистической информации широкое применение имеют табличный и графический методы.
В «Общей теории статистики» рассматриваются основные категории и методы статистической науки, природа статистических совокупностей, познавательные свойства  современной вычислительной техники.
Представляя базовый курс статистической науки, «Общая теория статистики» основополагающей учебной дисциплиной, с изучением которой начинают формироваться  необходимые  профессиональные  качества экономистов  высшей коммерсантов, менеджеров. Создается фундамент для усвоения и статистической методологии познания закономерностей социально-экономических  в условиях рыночной экономики.
Статистика в своей сущности призвана определять характер и форму данного явления по отношению к совокупности в соответствии с фиксированным количеством элементов, включаемых в поле исследования, которые оказывают воздействие на исследуемое явление.


Методологические вопросы статистических группировок


Методологические вопросы статистических группировок, их значение в экономическом исследовании Сводка статистической информации, как правило, не ограничивается получением общих итогов по изучаемой совокупности.
Различающиеся между собой единицы статистической совокупности по значениям изучаемого признака можно объединить в группы (по их сходству или различию в существенном отношении).
Например, признак квалификации продавцов представлен тремя категориями: первой, второй, третьей. При расчленении совокупности продавцов по этому признаку получают группы коммерческих работников по квалификации. Их можно дифференцировать и по стажу работы. Однако и здесь, систематизировав всю численность продавцов по признаку продолжительности работы, их можно объединить в отдельные группы по стажу, например с 3-летним интервалом: до 3 лет, 3—б, 6—9, 9—12 и т. д.
Опираясь на диалектическое единство синтеза и анализа как дополняющих друг друга способов познания, допуская определенную степень абстракции, статистическое исследование производит расчленение множества единиц изучаемой совокупности на различающиеся между собой, но внутренне однородные части и одновременно с этим объединяет их в типичные группы по существенному для них признаку. Именно при таком подходе к изучению социально-экономических явлений группировки являются важнейшим методом статистического исследования, позволяющим уловить переход количественных изменений в качественные, выявить закономерности их развития.
Существование множества форм развития социально-экономических явлений, а также • конкретных целей исследования и неоднородных по содержанию исходных данных обусловливает необходимость осуществления разнообразных приемов группировок. Их методологическую сущность можно сформулировать следующим образом: «Группировка— это процесс образования однородных групп на основе расчленения статистической совокупности на части или объединение изучаемых единиц в частные совокупности по существенным для них признакам».
Иначе говоря, в зависимости от содержания и форм изучаемых признаков статистические группировки образуются или посредством разделения совокупности на отдельные части, характеризующиеся внутренней однородностью и различающиеся между собой рядом признаков, или благодаря объединению в группы единиц совокупности по типичным признакам. Результатом осуществления этого двуединого процесса является разделенный на группы объект наблюдения.
Располагая информацией по совокупности торговых предприятий, можно осуществить группировку по одному или нескольким из следующих признаков: объему товарооборота, численности работающих, величине основных фондов и др. Признаки, по которым производится распределение единиц наблюдаемой совокупности на группы, называются группировочными признаками, или основанием группировки. Их правильный выбор определяется научным анализом законов развития тех явлений и процессов, по признакам которых и образуются различные группы.
Особым видом группировок являются классификации, получившие широкое распространение в статистике. Объективная необходимость разработки классификации обусловлена многообразием атрибутивных признаков при изучении многочисленных явлений и процессов (классификации по труду, основным фондам, объему выпуска товаров и др.), создающих трудности при отнесении единиц совокупности к определенной группе или классу. При наличии нескольких признаков у отдельной единицы статистической совокупности ее относят к определенной группе  по  признаку,  имеющему преимущественное значение: кассир и продавец, шофер и грузчик и т.п.; в подобных случаях этих работников относят к конкретной группе по их основной деятельности.

Классификация, представляющая собой устойчивую номенклатуру классов и групп, образованных на основе сходства и различий единиц наблюдаемого объекта, имеет фундаментальное значение для всего цикла статистических работ, особенно для составления баланса народного хозяйства, позволяющего следить за пропорциональностью экономического развития отдельных регионов. С помощью классификации общественных явлений вариация их признаков фиксируется в определенном системном виде. Классификации выступают в роли своеобразного статистического стандарта. Из множества такого рода номенклатур в качестве примера можно привести несколько классификаций из числа действующих в настоящее время: классификация производимой продукции, товаров народного потребления, учитываемых в розничном товарообороте, издержек обращения, а также классификации по труду — по профессиям, занятиям и др.
В современных условиях, связанных с переходом к рыночной экономике, возникает потребность внесения соответствующих корректив в действующие классификации и создания новых, отвечающих задачам коммерческой деятельности коллективов магазинов, объединений, ассоциаций и других предприятий, организаций торговли. Это прежде всего классификации деклараций доходов отдельных лиц или их групп, работающих в разных отраслях народного хозяйства, расширения номенклатуры продукции промышленности, классификации типов покупателей по характеру спроса, роду занятий, размеру и составу семьи и т.д., сегментации рынка, т.е. разделения покупателей на группы по целому комплексу, по ряду количественных характеристик, связанных с потребительскими свойствами товаров, и др.
Наряду с этим в условиях рынка многократно возрастает потребность в соответствующей систематизации и группировке информации для характеристики договорных связей торговых предприятий с производителями товаров в исследовании емкости и насыщенности рынка отдельных регионов по конкретным изделиям (например, холодильникам, стиральным и швейным машинам и др.), в изучении интенсивности покупательских потоков в отдельных магазинах и т.д.
Одно из требований, предъявляемых в процессе осуществления группировки, состоит в том, что образуемые группы должны быть реальными. Но это не означает, что они существуют в действительности в готовом виде. Чаще всего для их получения необходимы глубокое и всестороннее осмысление цели исследования, оценка исходной информации и учет других обстоятельств, связанных с изучаемым объектом. Только исходя из всей этой теоретико-методологической основы, делается заключение о возможных группах, способах образования и выделения их из всей совокупности. Этот вопрос является наиболее сложным и ответственным во всей методологии статистических группировок.
Значение статистических группировок состоит в том, что они раскрывают объективное положение вещей и выявляют самые существенные черты и свойства изучаемых явлений, а также позволяют получать информацию о размерности отдельных групп, соотношении их в общей совокупности и о связях между изучаемыми показателями, характеризующими выделенные части, и признаками, положенными в основу группировки. Этого можно достичь в том случае, когда применение метода статистических группировок опирается на положения экономической науки.
Задачи статистических группировок, их виды
Содержание и приемы группировок многообразны. Различны и задачи, выполняемые ими. Однако принято выделять следующие основные задачи, решаемые с помощью метода статистических группировок: образование социально-экономических типов явлений; изучение строения изучаемых явлений и структурных изменений, происходящих в них; выявление связи между изучаемыми признаками.
Для решения этих задач соответственно применяют типологические, структурные и аналитические группировки. Следует отметить, что приведенная классификация статистических группировок по выполняемым ими задачам имеет некоторую условность, поскольку они на практике применяются в комплексе. Это обусловлено многогранностью процессов, протекающих в общественной жизни, в том . числе и в коммерческой деятельности.
Типологические группировки. Важнейшим их содержанием является выделение из множества признаков, характеризующих изучаемые явления, основных ткпоз и превращения их в качественно одаородные.
Типологические группировки шггроко применяются в эковомкческих, социальных и других исследованиях. Необходимость проведения типологической группировки обусловлена прежде всего потребностью теореткческого обобщения первичной статистической информации и получения на этой основе обобщающих статистических показателей. Именно в выделении социальзю-экономических типов явлений, позволяющих проследить их зарождение, развитие и отмирание, состоит основная задача типологических группировок.
При использовании метода типологических группировок важное значение имеет правильный выбор группировочного признака. При атрибутивном признаке с незначительным разнообразием его значений число групп определяется свойствами изучаемого явления: группировка населения по половозрастному признаку, предприятий торговли — по формам собственности и т.д.
Выделение типов на основе количественного признака состоит в определении групп с учетом значений (величины) изучаемых признаков. При этом очень важно правильно установить интервал группировки, на основе которого количественно различаются одни группы от других, намечаются границы выделения их нового качества.


Методологическое и программное обеспечение


- методологическое и программное обеспечение проведения переписей населения, единовременных учетов и обследований в области промышленности, в том числе в топливно-энергетическом комплексе, других базовых отраслях — сельском хозяйстве, капитальном строительстве, процессов, происходящих в социальной сфере.
Осуществляемая в народном хозяйстве экономическая реформа ставит на передний план изменение основных функций внутренней и внешней торговли, обеспечивающих переход от распределительного механизма к регулирующему удовлетворению населения товарами народного потребления. Это, в свою очередь, предопределяет требования к статистике коммерческой деятельности.
К основным функциям внутренней торговли относятся: изучение и определение товарного потенциала регионов, региональных балансов производства — потребления, экономического оборота (ввоза-вывоза) между регионами как отражение сложившегося, объективно существующего разделения общественного труда внутри народнохозяйственного комплекса. Статистические методы должны позволять прогнозировать развитие рынка товаров народного потребления, способствовать рациональному регулированию межрегиональных поставок в соответствии со сложившимся разделением труда и национальными особенностями.
Разработка механизма изучения товарных ресурсов, их перераспределения, создания гибкой информационной базы спроса-предложения товаров народного потребления является первоочередной задачей коммерческих служб.
Основное направление коммерческой деятельности в новых условиях — всемерно способствовать повышению уровня жизни населения. В своей деятельности торговля должна опираться на научно обоснованную систему расчетов, определяющих прожиточный минимум средств на удовлетворение потребностей населения по научно обоснованным нормам потребления основных продуктов питания и непродовольственных товаров. Выполнению этого важного требования будет способствовать разработка статистикой обобщающего показателя измерения уровня жизни населения как по социальным группам и группам доходности, так и по другим отдельным слоям общества.
Совершенствуя механизм обеспечения населения товарами, торговля призвана осуществлять и социальные функции защиты прав потребителя; должна представлять его интересы. Для этого заказ торговли на производство и поставку товаров должен стать основой формирования объемов производства промышленных предприятий и организаций аграрно-промышленного комплекса. В связи с этим целесообразно также предусмотреть эффективную систему штрафных санкций за нарушения договорных условий и гибкую систему учета деятельности этих предприятий по обеспечению товарами народного потребления, включающую показатели не только количественной (затратной) оценки, но и отражающую качество выпускаемых изделий, их соответствие международным стандартам.
Качество товаров тесно связано с политикой цен. Существующая система цен не дает репрезентативных результатов, а практика не обеспечивает корректность расчетов, так как не отражает рост цен на       товары, не отличающиеся новыми качествами, что не отражает объективно фактическую ситуацию.
В настоящее время ценообразование разошлось с качеством товаров, с анализом их потребительских стоимостей, с фактической издержкоемкостью товаров.
Рыночный механизм ценообразования требует  создания  гибкой системы статистических показателей как информационной основы моделирования рыночных ситуаций, а на их основе — научно обоснованного прогнозирования последствий.
В условиях развития рыночных отношений необходим высокий профессионализм коммерческих работников. Вот почему необходима разработка модели нового торгового специалиста — коммерсанта, в совершенстве владеющего статистической методологией анализа ситуаций и прогнозирования рыночных отношений.
Эффективность и направленность коммерческой деятельности в условиях рыночной экономики определяются критерием максимальной прибыли при оптимальных расходах. Основным достоинством рыночной экономики является принцип саморегулирования производства товаров через выравнивание размеров прибыли. Потребительская стоимость товаров из абстрактного понятия переходит в ранг регулятора, происходит смена затратного механизма на рыночные отношения. Для работы в этих условиях должен быть изменен торговый механизм, а специалисты торговли—коммерсанты, менеджеры, экономисты — должны владеть новыми методами управления, обладать знаниями коммерческого товароведения, методами предвидения последствий принимаемых решений.
С развитием международных экономических отношений начинается процесс создания совместных торговых предприятий с иностранными фирмами. Здесь необходима глубокая проработка комплекса вопросов российскими предпринимателями и их партнерами в зарубежных странах, с одной стороны, а с другой — регулирующих функций в защиту населения от оттока дефицитных товаров за границу и притока некачественных зарубежных товаров. В этой связи важна научно-практическая разработка вопросов организационного, экономического, этического плана в области внешнеэкономических связей, обеспечивающая выполнение их на высоком профессиональном уровне для достижения эффективных результатов.
Как внутренняя, так и внешняя торговля в условиях рыночных отношений нуждается в определенном государственном регулировании. При этом имеется в виду экономическое и правовое их рзгулифование. К первому относятся система санкций, налоговый контроль, система стаЕда-стов, ценовая политика и т.п. Ко второму — -правовая защищенность
потребителя от диктата произБО.цмтеля, наличие действенного торгового права и надзора за его Есполненмзм. В этих целях подлежат пересмотру многие нормативные акты, действующие з торговле, нужна перестройка ряда аспектов статистической работы, в том числе и статисткой коммерческой деятельности на рынке товаров и услуг.1
Информация в стстистеке может быть -извлечена из некоторого объема данных, которые обладают достаточной степенью достоверности. При этом данные обладают как количественными, так и качественными параметрами, что делает необходимым введение элемента единообразия в систему гзмерений, тек как использование информации, недетерминированной общим знаменателем, приводит к искажению реальной сущмости происходящего явления.


Методы и организация государственного регулирования экономики


Методы и организация государственного регулирования экономики Государственное регулирование экономики в тех или иных масштабах присуще любой экономической системе. В экономике, основанной на рыночной конкуренции и макроэкономическом регулировании, государству отводится весьма значительная роль. Вмешательство государства в экономические процессы осуществляется с целью обеспечения прогрессивных сдвигов в пропорциях воспроизводства, условий для добросовестной конкуренции, предотвращения негативных социальных и экономических последствий.
Государство в современных условиях,  как показывает опыт развитых индустриальных стран, все шире применяет прогнозирование, программирование и планирование на макроэкономическом уровне. Не исключаются и традиционные средства: пошлины, налоги, преференции отечественным производителям, субсидирование ряда отраслей и т.д. Без этих рычагов регулирования нельзя обеспечить структурную перестройку экономики, определить приоритеты развития, выправить платежный баланс, сохранить на должном уровне обороноспособность страны.
Воздействие государства на экономические процессы базируется на сочетании рыночного саморегулирования с государственными регуляторами. Рынок выполняет такие функции,  как  обмен  продуктами  труда  обособленных  товаропроизводителей; стимулирование повышения ими качества продукции, снижения издержек производства; побуждение покупателей к экономии, увеличению доходов.
Государство применяет определенные регуляторы, стабилизаторы, социальные компенсации. Для общества важной является контрольная функция, например разработка различных стандартов (экономических, социальных и др.). Налоги позволяют государству регулировать определенные виды предпринимательской деятельности,  а через государственные расходы оно стимулирует фирмы и предприятия, удовлетворяет социальные потребности. Государством применяются методы прямого и косвенного регулирования экономики.
К методам прямого государственного воздействия относятся:
- определение стратегических целей развития экономики и их выражение в индикативных и других планах, целевых программах;
- государственные заказы и контракты на поставки определенных видов продукции, выполнение работ, оказание услуг;
- государственная поддержка программ, заказов и контрактов; нормативные требования к качеству и сертификации технологий и продукции;
- правовые и административные ограничения и запреты по выпуску определенных видов продукции и т.п.;
- лицензирование операций по экспорту и импорту товаров, т.е. внешнеторговых операций.
Прямые методы государственного регулирования экономики не связаны с созданием дополнительного материального стимула или опасностью финансового ущерба и базируются на силе государственной власти.
Методы косвенного государственного регулирования экономических процессов опираются, в основном, на товарно-денежные рычаги, определяют «правила игры» в рыночном хозяйстве и воздействуют на экономические интересы субъектов хозяйственной деятельности. К ним следует отнести:
- налогообложение, уровень обложения налогами и систему налоговых льгот;
- регулирование цен, их уровня и соотношений;
- платежи за ресурсы, ставки процента за кредит и кредитные льготы;
- таможенное регулирование экспорта и импорта, валютные курсы и условия обмена валют.
Сфера применения косвенного регулирования по мере развития рыночной экономики значительно расширяется, сужая возможности прямого вмешательства государства в процессы расширенного воспроизводства.
Важнейшей предпосылкой государственного регулирования экономики является разработка прогнозов. Государственное прогнозирование представляет собой систему научно обоснованных представлений о тех или иных направлениях социально-экономического развития страны. В условиях перехода к рыночным отношениям прогнозирование приобретает весьма большое значение и становится начальной стадией, основой всей системы управления. Это связано с тем, что в условиях рынка меняются траектории развития, увеличивается выбор его вариантов, усиливается интенсивность поиска выходов из нежелательных, негативных ситуаций. Достигается это с помощью развитой системы альтернативных прогнозов. Кроме того, в рыночной экономике увеличивается число субъектов, которые самостоятельно, под свою ответственность, принимают те или иные решения (государственные предприятия и предприятия с иностранными инвестициями, кооперативы, фермерские хозяйства, местные органы власти республик, краев, областей). Каждому из этих субъектов необходимо предвидеть изменения рыночной конъюнктуры, возможные последствия своих решений.
Прогнозы разрабатываются в нескольких вариантах и включают в себя количественные показатели и качественные характеристики развития макроэкономической ситуации. Основу их составляет система демографических, социальных, научно-технических, экологических, внешнеэкономических, а также отраслевых, региональных и др. прогнозов отдельных сфер деятельности. Результатом государственного прогнозирования являются документы, необходимые для регулирования развития экономики и для разработки концепции развития страны.
Под концепцией социально-экономического развития Российской Федерации понимается система представлений о стратегических целях и приоритетах социально-экономической политики государства, важнейших направлениях и средствах их реализации.
В России созданы материальные, технологические и социальные основы индустриального общества. Таким образом, стратегическая цель развития экономики страны — постепенное преобразование ее в постиндустриальное общество на основе внедрения передовых технологий, резкого возрастания выпуска качественной продукции, перехода от товаропроизводящей к наукоемкой экономике, ввода элементов рационального контроля над технологическими и социальными изменениями, увеличения численности занятых в сфере услуг, повышения качества жизни.
Концепция развития экономики разрабатывается как на долгосрочную, так и на среднесрочную перспективу. В ней конкретизируются варианты социально-экономического развития страны, определяются возможные цели этого развития, а также пути и средства достижения целей. Элементы концепции освещаются в одном из разделов послания, с которым Президент Российской Федерации ежегодно обращается к Федеральному Собранию. В нем характеризуется состояние экономики страны, формируются и обосновываются стратегические цели и приоритеты социально-экономической политики государства, направления их реализации, важнейшие задачи, подлежащие решению на федеральном уровне, а также приводятся целевые макроэкономические показатели, характеризующие социально-экономическое развитие на среднесрочную перспективу.
Государственное программирование позволяет предвидеть перспективы развития, предоставляет информацию предприятиям, компаниям о намерениях государства, является координирующим звеном для всех других форм регулирования. Программирование придает рынку более целенаправленное развитие.
При программно-целевом  подходе  обеспечивается  концентрация  ресурсов, достижение конечных результатов, потребностей. С его помощью решаются основные проблемы экономического, социального и научно-технического развития, имеющие важное хозяйственное значение и, как правило, межотраслевой или межрегиональный характер. Программирование является достаточно жестким методом воздействия на процессы воспроизводства и, следовательно, применяется в тех случаях, когда использование других методов регулирования не может принести требуемых результатов.
Целевые программы разрабатываются как на долгосрочную, так и на среднесрочную перспективу. Они характеризуются конкретно выраженными конечными (целевыми) результатами (показателями); включают в себя полную совокупность заданий, мероприятий и соответствующих ресурсов; отличаются высокой степенью комплексности, имеют определенный период реализации. При этом цель программы должна быть измерима, ясно выражена качественно и количественно, а система мероприятий разработана не только с учетом достижения основной цели, но и с решением промежуточных задач. Определяются также возможные исполнители и сроки реализации отдельных мероприятий и программы в целом.
Программа социально-экономического развития Российской Федерации представляет собой комплексную систему целевых ориентиров социально-экономического развития страны и планируемых государством эффективных путей и средств достижения указанных ориентиров. В такой программе, рассчитанной на среднесрочную перспективу, приводится оценка итогов социально-экономического развития Российской Федерации за предыдущий период и дается характеристика состояния экономики. Вот основные разделы этой программы.
-         концепция программы социально-экономического развития        страны на среднесрочную перспективу;
-         макроэкономическая политика;
-         институциональные преобразования;
-         инвестиционная и структурная политика;
-         аграрная политика;
-         экологическая политика;
-         социальная политика;
-         региональная экономическая политика;


Методы рыночной сегментации


Методы рыночной сегментации Сегментация представляет собой базу для разработки маркетинговой программы (включая выбор вида товара, ценовой, рекламной политики, каналов сбыта), ориентированную на конкретные группы потребителей. Процесс сегментации состоит из нескольких этапов ( 17.2.2).

В качестве единицы наблюдения для построения сегментации, как правило, используется отдельный  индивид,  если товар  рассматривается  как  предмет индивидуального пользования, или семья, когда исследуется товар общесемейного пользования. Выбор единицы наблюдения зависит от товара и фазы развития рынка, на котором осуществляется сегментация. Если на начальных этапах развития конкретного товарного рынка предприятие концентрирует внимание на товаре, то с увеличением числа конкурентов оно вынуждено дифференцировать предложение. Начинается поиск сегментов для определения различий в предпочтениях у потребителей одного и того же товара. Сегменты могут быть сформированы на основе предпочтений покупателями различных свойств товара. Следовательно, с развитием товарного рынка возрастает необходимость выделения отдельных сегментов, а также повышаются требования к обоснованности выбора критериев сегментации. На этапе формирования критериев сегментации рынка необходимо прежде всего ответить на вопросы: «Кто основные потребители товара? В чем их сходство и различия?». Контингент основных покупателей определяется на основе анализа демографических и социально-экономических характеристик, делается попытка связать интенсивность приобретения данного товара с определенными показателями.
Не составляет большого труда выделить рыночный сегмент для зависимости, например, от возраста, пола. Так, верными покупателями одежды для беременных женщин являются молодые женщины, ждущие ребенка. Не столь однозначна ситуация с одеждой, товарами для новорожденных, ибо их нередко приобретают в качестве подарков. На рынке мужских сорочек (казалось бы — типичный «рынок мужчин») 60—70% покупок совершают женщины. Исследование показало, что на успех можно рассчитывать лишь в том случае, если мода на мужские сорочки найдет одобрение среди женщин.
Большое значение при сегментации рынка имеют социально-экономические факторы. Доходы сами по себе не обеспечивают возможности для достаточно тонкой сегментации. Однако вкупе с социальным положением, жилищными условиями, культурными факторами они играют определяющую роль. Для осуществления сегментации рынка товаров длительного использования, поиска сегмента потенциальных потребителей важна степень оснащенности (обеспеченности) семей различными товарами длительного использования (автомобили, радио- и телеаппаратура, бытовые машины).
В формировании критериев сегментации определенное место занимает выбор характеристик и требований к товару. При этом учитываются данные, включающие:
- потребительские предпочтения и намерения при выборе товаров по сравнению с аналогичными изделиями конкурирующих предприятий;
- характеристику вероятного спроса на новые изделия (на стадии опытной партии);
- предпочтения населения относительно тех или иных потребительских свойств изделий (цвет, технические характеристики, габариты, качество);
- цена.
Информация о потребительских оценках может быть получена в результате специальных обследований населения (анкетного опроса, тестирования, наблюдения).
Потребительские предпочтения могут определяться на основе оценок: альтернативных, прямых балльных и относительных. Структура потребительских предпочтений относительно изделий-аналогов, выпускаемых различными предприятиями, формируется с помощью альтернативных оценок. Они базируются на подсчете положительной и отрицательной реакций населения на каждый оцениваемый товар (типа «нравится — не нравится», «да — нет» и т.д.). Определение той же структуры с помощью балльных оценок проводится с использованием соответствующей шкалы, например, пятибалльной, десятибалльной.
Относительные оценки позволяют выявить степень соответствия изучаемых изделий запросам потребителей по следующей шкале возможных вариантов ответов: соответствует полностью, соответствует в основном, соответствует частично, не соответствует (изделие может быть оценено как очень хорошее, хорошее, среднее, плохое). Наряду с оценкой соответствия каждого изделия может проводиться оценка важнейших параметров товара, поскольку набор заданных параметров изделия по-разному воспринимается различными потребителями.
Следующий этап сегментации рынка — выбор метода сегментации и его применение. Такая работа осуществляется с применением специальных методов классификации по выбранным критериям (признакам). Данный этап, по существу, представляет собой выбор и реализацию алгоритма классификации.
Существует множество методов классификации, порожденных различием целей и задач, стоящих перед исследователями. Наиболее распространенными методами сегментирования рынка являются метод группировок по одному или нескольким признакам и методы многомерного статистического анализа.
Суть метода группировок состоит в последовательной разбивке совокупности объектов на группы по наиболее значимым признакам. Какой-либо признак выделяется в качестве системообразующего (владелец товара, потребитель, намеревающийся приобрести новый товар), затем формируются подгруппы, в которых значимость этого критерия значительно выше, чем во всей совокупности потенциальных потребителей данного товара. Путем последовательных разбивок (на две части) выборка делится на ряд подгрупп. Для целей сегментации рынка используются также методы многомерной классификации, когда классификация проводится по комплексу анализируемых признаков одновременно. Наиболее эффективными из них являются методы автоматической классификации, или кластерного анализа, таксономии. Схемы классификации базируются на следующих предположениях. В один класс (тип) объединяются люди, сходные между собой по ряду признаков. Степень сходства у людей, принадлежащих к одному классу, должна быть выше, чем степень сходства у людей, принадлежащих к разным классам. С помощью этих методов решается задача типизации с одновременным использованием демографических, социально-экономических, психологических показателей.
В качестве примера рассмотрим решение задачи о сегментации рынка одежды путем построения типологии потребителей, под которой понимается разделение потребителей на типические группы, имеющие одинаковое или схожее потребительское поведение. Построение типологии — это процесс разбивки исследуемой совокупности объектов на достаточно однородные и устойчивые во времени и пространстве группы. В действительности объективно существуют достаточно однородные группы (классы) потребителей с характерным для каждой из них типом потребительского поведения. Это особенно заметно на рынке одежды, где сегментация неизбежна, поскольку расхождения в запросах потребительских групп существеннее, чем на рынках товаров длительного использования. С помощью методов многомерной статистики такие группы могут быть выделены и проанализированы.
Процесс формирования потребностей и спроса населения рассматривается как взаимодействие двух многомерных явлений. К первому относится поведение людей на рынке, ко второму — факторные признаки (демографические, социально-экономические), обусловливающие данное поведение. Процедура типологизации заключается в многомерной классификации по одному набору характеристик — многомерному признаку потребительского поведения. Затем проводится оценка однородности полученных групп по набору факторных признаков, характеризующих условия формирования потребностей и спроса. Если в полученных группах объекты будут однородны и по факторным признакам, а различия между группами значимы, то можно считать типологию построенной. Исходной информацией для сегментации рынка одежды служат данные опроса потребительской панели.
В качестве основных критериев при построении типологии потребительской одежда были взяты признаки, характеризующие поведенческую реакцию на моду:
- склонность к приобретению вещей в зависимости от отношения людей к моде (шесть градаций от «приобретения модных новинок, пока их никто не носит» до «мода не имеет значения»);
- готовность заплатить высокую цену за модные вещи; доля особо модных изделий в желаемом гардеробе. В результате типологии выявлены пять типов потребителей одежды в зависимости от поведенческой реакции на появление модных новинок. Из пяти типов потребителей два являются женскими (I и II), а два — мужскими (III и IV). Тип V оказался смешанным по полу: здесь и мужчин, и женщин объединяет безразличие к моде в одежде —
мужские и женские типы были соответственно объединены по реакции потребителей на моду. Следующим этапом процесса сегментации рынка является интерпретация, или описание профилей групп потребителей (полученных сегментов).
С одной стороны, эти группы характеризуются определенными потребительскими запросами и предпочтениями, а с другой — они достаточно однородны и по социально-экономическим, и по демографическим признакам.
В рассматриваемом примере получены следующие обобщенные типы потребителей:
А — «избирательный», Б — «независимый», В — «безразличный». При описании типов потребителей одежды будем пользоваться суммарными типами А и Б, объединяющими мужчин и женщин вследствие идентичности их потребительского поведения.
Тип А — «избирательный». Его представители проводят тщательный отбор появившихся модных новинок, приобретают изделия избирательно, в зависимости от своего вкуса, выработанного в соответствии с представлением образа своего «Я». Тип А — самый многочисленный, сюда отнесено 50,2% объектов исследуемой совокупности. Это самый «женский» тип — женщины составляют 80,1%, самый «городской» — около 85% проживают в городе, и наконец, самый молодой — средний возраст женщин 32 года, мужчин — 33,3 года. Большую часть типа А составляют служащие, ИТР, студенты. Здесь самые высокие уровни образования и среднедушевого дохода.
При покупке одежды потребителей данного типа не отпугивает цена. Наибольшее значение для них имеют такие свойства одежды, как качество, удобство, соответствие моде, оригинальность, что коррелирует с их общей установкой на соблюдение принципа моды в одежде в совокупности с собственным вкусом.
Тип Б — «независимый». Его представители одеваются независимо от моды, сдержанно реагируют на появление модных новинок, приобретая как модные, так и немодные вещи. Для них главным является верность своему стилю, который в данный момент может быть и несовременным. Эти потребители консервативны в своем поведении по сравнению с потребителями, входящими в тип А. По численности тип Б занимает второе место, сюда отнесено 41,7% объектов исследуемой совокупности. По возрасту данный тип старше, чем «избирательный». Большей частью это люди среднего возраста от 30 до 55 (мужчины до 60) лет. Здесь больше жителей села и меньше жителей города. Представители типа Б — в основном рабочие, служащие, работники сельского хозяйства. По уровню образования и среднедушевого дохода они уступают потребителям типа А. Здесь больше семей, состоящих из 4—5 человек.
Представители типа Б реже обновляют свой гардероб, чем потребители типа А, зачастую отказываются от покупки из-за высокой цены. При выборе покупки они чаще прислушиваются к советам родных и рекомендациям продавцов, больше внимания обращают на такие свойства одежды, как долговечность, легкость чистки, стирки. Вместе с тем, они считают, что привлекательность, качество, удобство — важные свойства одежды.
Тип В — «безразличный». Это самый однородный по составу тип. Для всех его представителей фактор моды не имеет никакого значения, главное, чтобы изделия были недорогими, практичными и хорошо сшитыми. Тип самый малочисленный, по проведенной классификации сюда отнесено лишь 8,1% объектов исследуемой совокупности. По возрасту данный тип самый старый, основу его составляют лица старше 45 лет — рабочие, работники сельского хозяйства, служащие и пенсионеры. Этот тип характеризуется самыми низкими образовательным уровнем и среднедушевым доходом.
В выборе покупки потребители группы В бывают несамостоятельны, для них первостепенную роль играют советы родных и продавцов. Как правило, представители данного типа отказываются от покупки, если цена на нее высока. Важное значение для них имеют такие свойства изделий, как теплозащищенность, водонепроницаемость, удобство, долговечность и качество, а также цена.
На данном примере показана возможность сегментирования отечественного рынка одежды по демографическим факторам, социально-экономическим и поведенческим признакам. Группы потребителей могут формироваться более детально, с выделением более малочисленных подгрупп.\


Международная валютно-финансовая система


Международная валютно-финансовая система и вопросы регулирования платежного баланса России Создание международной валютной системы регулирования платежных балансов стран, участвующих в мирохозяйственных связях, насчитывает несколько периодов, каждый из них имеет свои особенности. Условно можно выделить три периода.
Период до 1914 г. Исторически платежные балансы регулировались с помощью фиксированных курсов валют на базе золотого стандарта, т.е. стоимость национальной валюты приравнивалась к весовой единице золота и жестко фиксировалась. Такая система, окончательно сложившаяся к концу девятнадцатого столетия, стала господствующей в Германии, Италии, Франции, Норвегии, Голландии, Дании, Швеции. В 90-е годы прошлого века к этим странам добавились Россия, Япония, США. В перечисленных странах бумажные банкноты свободно обменивались на золото.
При золотом стандарте английский фунт стерлингов содержал 113,0016 грана чистого золота. Американский доллар, в свою очередь, был равен 23,22 грана. Поскольку обе валюты были привязаны к золоту, то один фунт был равен 4,87 долл.
Дефицит платежного баланса, возникший, например, в Англии, приводил к оттоку золота из страны. Господствовавшая в этот период теория, разработанная английским экономистом Хьюмом в середине восемнадцатого столетия, прогнозировала автоматическое выравнивание платежного баланса торгующих стран. Выравнивание должно было происходить в два этапа.
На первом этапе избыток экспорта и недостаток импорта должны бьыи компенсироваться притоком золота в страну, имеющую положительное торговое сальдо. Поток золота становился «противовесом» экспортному потоку товаров (теория долгосрочного перелива капитала еще не появилась) и должен был привести к увеличению количества золота в стране. Страна с дефицитом платежного баланса, наоборот, лишится значительной части золота и соответственно денежных средств (в тот период выпуск денег ограничивался объемом имеющегося и обеспечивающего их золота).
На втором этапе в стране, где количество золота и обеспеченных бумажных средств увеличится, произойдет денежная инфляция и повысятся цены на товары.
В стране, длительное время имеющей отрицательное сальдо, положение будет противоположным. Повысится денежная стоимость товара в стране с преимущественным экспортом и понизится стоимость единицы товара в денежном эквиваленте в стране-контрагенте. Более дорогой товар страны «А» не сможет найти покупателей в стране «Б», в результате снизится экспорт и выравнится платежный баланс.
До первой мировой войны выравнивание балансов происходило успешно, хотя его механизм был и не совсем таким, как он прогнозировался в теории.
В конце девятнадцатого столетия в формировании платежного баланса активную роль начали играть автономные потоки долгосрочного капитала, которые компенсировали дефицит торгового баланса. Например, США в течение значительной части девятнадцатого столетия имели отрицательное торговое сальдо и не испытывали при этом каких-либо проблем с оттоком золота. Причина заключалась в потоках долгосрочного капитала, двигавшихся в страну. Аналогичная ситуация сложилась в Англии, Швеции и др. Здесь движение капитала было автономно и не связано с отрицательным сальдо торгового баланса.
Немаловажное значение для глобальной стабильности имел тот факт, что большинство стран, внешняя торговля которых определяла положение на мировых валютных рынках, обладали уравновешенным платежным балансом или его положительным сальдо.
Исключением из правила в этот период была Великобритания, постоянно имевшая отрицательное сальдо платежного баланса. Дефицит Великобритании был настолько значительным, что в 1913 г. количество золотых резервов страны не покрывало и трети ее ликвидных обязательств. Большинство стран-кредиторов относилось к этому довольно спокойно.
При необходимости проводились жесткие ограничительные меры. Центральный банк Англии поднимал учетную ставку, ограничивая кредитование. В результате сокращалось производство, снижались доходы и цены. Более дешевые национальные товары экспортировались, в то время как спад производства, национального дохода и заработной платы сокращал импорт. Повышение учетной ставки приводило к притоку денежных средств в страну, которая рассматривалась как резервный центр для мировых денежных рынков.
В отдельные периоды перед первой мировой войной ряд стран, испытавших экономические трудности, на некоторое время отказывались от фиксированного стандарта в пользу «плавающих» курсов. Такие ситуации возникли в России в конце 80-х годов прошлого столетия и в США в период гражданской войны. В обоих случаях правительства оказались не в состоянии сохранить золотое обеспечение рублей и долларов. Впоследствии конвертация возобновлялась и цена валюты восстанавливалась.
Поддерживаемая относительно благоприятной общеэкономической конъюнктурой система фиксированных курсов функционировала относительно удовлетворительно. Впоследствии это время называлось золотым веком в развитии мировой валютной системы.
Немаловажным фактором, способствовавшим стабильности финансовой ситуации, явилось общее благоприятное положение в мировой экономике — отсутствие войн, значительных экономических потрясений. Наконец, общество не требовало от правительства обеспечения гарантированной занятости работников и стабильности цен.
Период между первой и второй мировыми войнами. Валютная политика большинства стран мира после 1918 г. складывалась под воздействием двух величайших потрясений: первой мировой войны и Великой депрессии 1929—1933 гг.
Резкое увеличение денежной массы в связи с ростом военных расходов в европейских странах заставило национальные правительства прекратить размен национальной валюты на золото.
Для решения проблемы бюджетного дефицита правительства таких стран, как Франция и Италия, пошли по пути инфляционной «накачки» денежной массой финансового рынка. Особенно сложным оказалось положение в Германии, где предложение денег возросло в миллионы раз.
Иной путь выбрала Великобритания, попытавшаяся вернуться к предвоенному золотому стандарту. Завышенный курс фунта стерлингов, приравненный к предвоенному, жесткая денежная политика, большие военные расходы и общее снижение конкурентоспособности английских товаров вызвали массовую безработицу, а также застой в экономике и производстве товаров. Возросло отрицательное сальдо в торговле Великобритании с другими странами.
США, превратившиеся в результате войны в крупнейший финансовый центр и занявшие место Англии на мировых валютных рынках, не выдержали натиска Великой депрессии 1929—1933 гг. В 1934 г. вслед за Англией США девальвировали доллар (с 20,67 долл. за тройскую унцию до 35 долл.).
Таким образом, период между двумя мировыми войнами характеризовался жестокими валютными потрясениями, поколебавшими систему фиксированных курсов, и тщетностью попыток поддержать фиксированные валютные курсы в подобной ситуации. Как показали исследования, неконтролируемый рост денежной массы приводил к значительным снижениям курсов, показывал дестабилизирующее влияние на платежный баланс и национальную экономику. Последующий переход к гибким валютным курсам позволил реально отразить различия в состоянии национальных хозяйств и покупательной способности отдельных валют.
Послевоенный период. В послевоенный период вновь был поставлен вопрос о создании новой системы многостороннего регулирования международных расчетов. При ее разработке развитые страны учитывали опыт предшествующего периода.
Опыт довоенного функционирования системы «плавающих» валютных курсов свидетельствовал об их низкой эффективности: бесконтрольная деятельность национальных правительств, преследующих узконационалистические цели, приводила к дестабилизации мировой системы платежей. Во время Великой депрессии была продемонстрирована важность свободы действий при выборе страной независимой экономической политики для решения вопросов занятости и экономического роста.
Введение фиксированного курса с предоставлением права единовременного пересмотра (система «регулируемой привязки» валюты) позволило достигнуть компромисса между корректируемыми и фиксированными курсами с некоторым перевесом в пользу фиксированных.
Установление фиксированной цены золота в долларах и жесткой привязки всех валют к доллару способствовало твердой фиксации курса валют. В случае крайней необходимости после многосторонних консультаций могла быть осуществлена разовая корректировка курса. Накопив по результатам второй мировой войны основную массу золотых запасов мира, США установили цену доллара в размере 35 долл. за одну тройскую унцию. Фактически это было закрепление цены на золото, установленной еще в 1934 г.
С 1947 г. и до начала 70-х годов США покупали на мировом рынке золото, когда его цены снижались (с целью выравнивания его цены) и продавали золото, когда его цена возрастала и превышала допустимые пределы.
Назначение такого рода интервенций состояло в том, что США поддерживали не столько балансы отдельных стран, сколько, прежде всего, регулировали международные расчеты.
В установлении заниженной цены золота не последнюю роль сыграли и политические мотивы. В период «холодной войны» США не стремились поддерживать крупнейших производителей золота: СССР и ЮАР, с которыми у них были более чем прохладные отношения.


Международное движение научно-технических знаний


Международное движение научно-технических знаний Международное движение научно-технических знаний, растущее очень быстрыми темпами, — это еще один фактор интернационализации производительных сил. Это движение — одна из быстро развивающихся форм вывоза капитала. Характерная черта данного этапа развития НТР — растущая интернационализация науки и научно-технических знаний. Передача научно-технических достижений между отдельными странами происходит прежде всего путем обмена новой научно-промышленной продукцией, внесения прямых технических инвестиций за границей и продажи патентов и лицензий.
Международное движение научно-технических знаний развивается и некоммерческим путем. В этих целях используются международные научные конференции, публикации новых научно-технических достижений, подготовка высококвалифицированных специалистов за границей и т.п.
Главной формой международного обмена научно-техническими достижениями между капиталистическими странами является продажа лицензий. Это означает, что владелец определенного научно-технического достижения (изобретения, охраняемого патентом) разрешает другой стороне пользоваться им за вознаграждение или за определенные обязанности.
Международная торговля лицензиями развивается более быстрыми темпами, чем сама международная торговля. Крупнейший экспортер лицензий — США, импортеры — ФРГ и Япония. Главные развитые капиталистические страны в среднем на покупку лицензий затрачивают более 10% общих расходов на научно-исследовательскую деятельность.
Основная часть новых технологий направляется в новые, наиболее прогрессивные отрасли, какими являются электротехническая, химическая, металлургическая и машиностроительная промышленности. Научно-технические отношения между странами, ставшие интегральной и весьма значительной составной частью международных экономических и политических отношений, являются фактором, вызывающим техническую, экономическую и политическую зависимость от крупнейших мировых экспортеров лицензий и технологий.
Возникновение и реализация новых технологий продолжают оставаться важными факторами, влияющими на международную торговлю, экспорт и импорт капитала — на их объем, структуру, качество и цену.
Немаловажное влияние на международный обмен научно-техническими достижениями имеют военно-политические аспекты, что не следует недооценивать в общем анализе проблемы. Становится очевидным, что разработка новых научно-технических достижений и международный обмен ими будут оказывать растущее влияние как на развитие отдельных национальных экономик, так и на всю область международных экономических и политических отношений.1
Расходование средств на закупку материалов, оборудования и наем рабочей силы внутри одной страны не всегда эффективно. В современном мире предприятия выработали различные формы организации совместного производства с участием иностранных партнеров из нескольких стран. Партнеров связывает структура подобных объединений, основанная на распределении программ выпуска продукции, единстве коммерческих условий сотрудничества, взаимной гарантии рисков, защите зарубежных инвестиций и промышленных секретов. На практике в рамках таких объединений идут не только процессы международной кооперации, но и процессы перелива капиталов.
Международный бизнес. ТНК в мировой экономике В последнее десятилетие необычайно усилился процесс переплетения хозяйственных связей разных стран рыночной экономики. Причем географический фактор, связанный с отдаленностью от центров мировой экономики, заметно потерял свое значение. Переплетение хозяйственных связей перерастает в переплетение хозяйственных структур. Основным организующим началом в этом процессе выступает транснациональная корпорация (ТНК), воплощающая в себе современный международный бизнес. Причем не всегда речь идет о транснациональных компаниях гигантских размеров — наоборот, часто эти ТНК, как показывает опыт 80-х годов, бывают сравнительно небольшими по масштабам операций, но необычайно гибкими, исключительно эффективными с точки зрения производства и прибыли (особенно в сфере наукоемкой технологии, обслуживания и др.).
Феномен ТНК. Международные монополии — отнюдь не новое явление: уже в 1939 г. в мире было около 300 транснациональных корпораций, а в 1986 г. — более 12 тыс. с более 85 тыс. заграничных филиалов. На долю ТНК приходится примерно половина капиталистического мирового промышленного производства, около 70% свободных валютных и ликвидных средств. Это в два раза больше свободных средств, которыми располагали государства, государственные банки и международные организации несоциалистического мира.
Вывоз капитала как ведущая форма международных экономических отношений капитализма Суть вывоза капитала сводится к изъятию части капитала из процесса национального оборота в одной стране и включению в производственный процесс или иное обращение в других странах и в различных формах. В результате за рубеж в этом случае переносится уже не акт реализации прибавочной стоимости, заключенной в экспортируемых товарах, а сам процесс его создания.
Мировой рынок, создав систему устойчивой зависимости национального расширенного воспроизводства от мирового хозяйства, сыграл исторически непреходящую роль. Но в домонополистическую эпоху нации втягивались в обмен товаров, но еще не в капиталистическое производство. Экспорт товаров — характерная форма зарубежных операций эпохи свободной конкуренции. Империализм это изменил. Империализм обусловлен, между прочим, вывозом капитала. Неоимпериализм (понятие, введенное профессором Р.И. Хасбулатовым) в какой-то мере способствовал «снятию» политико-идеологического аспекта с вывоза капитала. Почему? Потому что вывоз капитала — это усиливающаяся функция народных хозяйств всех стран, в том числе развивающихся и стран с переходной экономикой. Это становится общей нормой для любой национальной экономики.


Международный бизнес —ТНК в мировой экономике


Международный бизнес —ТНК в мировой экономике Исследователи из ООН считают, что сейчас имеется по крайней мере 35 тысяч ТНК, контролирующих около 170 тысяч иностранных филиалов. (В 1939 году их насчитывалось около 30). В пределах этого числа сконцентрирована власть; крупнейшие 100 ТНК, за исключением банковских и финансовых компаний, имели в 1990 году в своем распоряжении мировые активы на общую сумму 3,1 триллиона долларов, из которых активы на сумму 1,2 триллиона были вне тех стран, где находились эти компании. Они контролируют 90% прямых капиталовложений за рубежом, объем произведенной ими продукции в 90-е годы превысил 1 триллион долларов ежегодно.
Сто наиболее крупных ТНК имеют 40-50% всех зарубежных активов. Если сравнить активы 100 компаний с общей суммой во всем мире, которые можно оценить в 20 триллионов долларов, то получится, что эти 100 компаний имеют приблизительно 16% мировых производительных активов всего мира, а 300 наиболее крупных компаний контролируют, вероятно, 25% всех активов.
Отличительной чертой ТНК наших дней по-прежнему остается международный характер их деятельности, но уже не столько по признаку страны происхождения капитала, сколько по району его деятельности. Решающим является вопрос не столько, из каких стран поступает капитал, сколько куда он устремляется, где оперирует, откуда извлекает прибыли. Подавляющая часть современных международных корпораций представляет лишь какой-то один национально обособленный, а вовсе не многонациональный капитал.
Корпорации становятся интернациональными в ходе борьбы за повышение прибыли — решение основной задачи любого собственника капитала. ТНК как международная корпорация — реальный показатель того, что уровень концентрации капитала и производства перерос национальные границы, что она стала занимать прочные позщии не только в национальной, но и в мировой экономике.
Мы уже писали выше, что вывоз капитала выступает одной из главных форм интернационализации капитала национальных корпораций. По мере вывоза капитала хозяйствующие субъекты превращаются в совокупность корпораций, действующих в различных странах мира. Интернационализация производства прибавочной стоимости представляет  существенную  форму  проявления  интернационализации  капитала международной корпорации.
По оценке американского журнала «Форбс», в 1992 году 500 крупнейших иностранных (неамериканских) компаний общей стоимостью в 21 трлн. долл. продали продукции на 6,5 трлн. долл. и имели общий доход в 113 млрд. долл. В этих компаниях занято 20,4 млн. работающих. 500 крупнейших американских компаний общей стоимостью 8,1 трлн. долл. продали продукции на 3,6 трлн. долл. и имели доход в 179 млрд. долл. В этих компаниях занято 20,4 млн. работающих. Эти данные также иллюстрируют масштабы и влияние ТНК в мировой экономике.
Некоторые известные теоретики-исследователи ТНК не только признают все проникающее влияние ТНК на экономику и политику государств, но и объявляют его величайшим благом. При этом данная точка зрения основывается на том, что менеджеры ТНК лишены «узконациональных предрассудков», и следовательно, продуктом деятельности этих корпораций являются «блага для всех», а их деятельность направлена «на пользу мира», поскольку географическая рассредоточенность ТНК как раз и требует сохранения мирных условий. Отчасти это действительно так — экономическая и технологическая мощь современных ТНК такова, что их устраивал бы бесконфликтный мир, в котором спорные вопросы решались бы исключительно политическими средствами.
Современные многонациональные корпорации имеют две черты: с одной стороны, установление системы международного производства, основанной на распылении производственных единиц по многим странам, и с другой - их проникновение в передовые отрасли производства, быстрое развитие которых предполагает наличие огромных капиталовложений и привлечение высококвалифицированного персонала. Все это обеспечивает им надежную безопасность перед лицом возможных попыток их национализации. Они размещают свои производственные и торговые предприятия на местах, удобных для них самих, не всегда принимая в расчет интересы «принимающей» страны.
В сфере деятельности ТНК традиционно находятся самые крупные и современные предприятия, «работающие» не столько на внутренний, сколько на мировые рынки, часто монополизирующие производство в соответствующих отраслях, хотя это и не обязательное их свойство. Это обстоятельство, несомненно, усугубляет экономические проблемы страны, в которой действуют ТНК. Поэтому если действия ТНК вообще трудноконтролируемы, то еще меньше они могут быть поставлены под эффективный контроль в слабых странах, странах переходного периода, а также развивающихся странах. Мощные ТНК, действующие в различных отраслях обрабатывающей, добывающей, нефтехимической и нефтегазовой промышленности, электронике, разных отраслях машиностроения, координируют свое производство и сбыт с предприятиями, разбросанными по всем континентам, управляют процессами международной кооперации и специализации в глобальных масштабах. Располагая универсальной промышленной базой, ТНК проводит такую производственно-торговую политику, которая обеспечивает высокоэффективное планирование производства, товарного рынка, динамичную политику в области капиталовложений и научно-исследовательских работ в национальном, континентальном и международном масштабах для всех подразделений (филиалов) материнской корпорации как единого целого. Манипулируя политикой трансфертных цен, дочерние компании ТНК, действующие в различных странах, умело обходят национальные законодательства в целях укрытия доходов от налогообложения путем перекачивания средств в другую отрасль, из одной страны в другую или штаб-квартиру ТНК в развитых странах. В результате нейтрализуется действие тенденции нормы прибыли к понижению, достигается главная цель капитала — прибыль.
Действия указанного характера ведут к изменению самой основы международного разделения труда на американском и европейском континентах, в Азиатско-Тихоокеанском регионе. Производство автомобилей, тракторов, сельскохозяйственных машин, ЭВМ, самолетов, различных станков и т.д., сконцентрированное на предприятиях в США, Канаде, Западной Европе, Японии, Латинской Америке, Азии, контролируется одними и теми же ТНК, которым выгодна организация специализированного и диверсификационного производства на мировом уровне. Такая организация производства, не учитывающая национальные границы государств, предполагает создание собственной торгово-сбытовой сети на базе одной или группы взаимосвязанных ТНК, действующих во многих странах. Поскольку отдельные предприятия связаны с материнской корпорацией производственно-технологическими процессами, последняя разрабатывает и проводит единую глобальную (или континентальную) стратегию, независимо от того, действуют ее предприятия на «своей» или «чужой» территории.
Отличительная особенность международной монополизации экономической жизни заключается в том, что она развивается не столько на основе интернационализации рынка, как в начале века, сколько на базе интернационализации производства в глобальных масштабах. Рынок же, в свою очередь, «настраивается» на интернациональное производство.
Это обусловило необходимость соответствующих изменений в организационных формах производства по схеме: «финансово-промышленная группа — производственные, торговые, банковские и прочие корпорации — отдельные предприятия». Как правило, международная монополия, ТНК и выступают в качестве ядра той или иной финансово-промышленной группы, являющейся выражением высшей формы монополизации современной экономики. В результате за последние десятилетия произошла перегруппировка финансово-промышленного капитала. Сейчас происходит новая их перегруппировка. Конечная цель перегруппировки - укрепление технико-производственных возможностей крупного капитала и его финансовой базы, совершенствование торгово-сбытового механизма, повышение конкурентоспособности промышленности на мировых рынках, «подключение» к ним Восточной Европы и Евразии. Отток- капитала из Англии уже в первой половине 80-х годов превысил показатели оттока капитала из США. Быстро возросло значение Японии, превратившейся с конца 80-х — начала 90-х годов в крупнейшего инвестора капиталов в мире.
Изменения, происходящие в мировом хозяйстве, с одной стороны, стимулируются самими ТНК, с другой — они изменяют и сами ТНК. В частности, в процесс транснационализации производства и капитала все в большем масштабе вовлекаются средние фирмы, приобретающие транснациональный характер, в том числе в зонах развивающихся и новых стран. Все это предопределяет необходимость переосмысления роли ТНК как центров ускорения процессов инноваций. Эта идея превалирует и в IV обзоре Центра ООН по ТНК. Подчеркивая эту мысль, профессор Карл Саван пишет, что это переосмысление «в основном идет в русле изменения представлений о том, что могут дать эти корпорации для структурных изменений и стимулирования внутренних факторов технического прогресса. ТНК действуют в глобальном масштабе и поэтому способны быстро реагировать на изменения в международных условиях конкуренции». Действительно, ТНК во многих отраслях (текстильная, электроника) играют роль проводника технологии от развитых стран к менее развитым, что проявляется не только в росте числа их филиалов, но и в субконтрактных соглашениях с фирмами разных стран.
Именно ТНК имеют наиболее благоприятные возможности кооперирования со многими фирмами, «подтягивая» их до уровня ТНК, организуя совместные предприятия, сотрудничая в области исследований, осуществляя обмен лицензиями на новые товары и технологию и т.д. Такие соглашения о кооперации обычно охватывают фирмы разных государств, создавая новую экономическую ситуацию, характерную для транснациональных процессов. Кооперационные соглашения, устраняя непроизводительное дублирование, чаще всего характеризуются повышенной эффективностью, выступают фактором повышения производительности труда и снижения цен на товары и услуги. Такое развитие является во многом следствием транснационализации капитала, формирования крупных и средних транснациональных банков. Международная экспансия промышленных корпораций выдвинула проблему дополнительных источников  финансирования. Транснациональные банки (ТНБ) заняли центральную позицию в подключении ТНК к мировому рынку капиталов.1


Миграционная политика индустриальных государств


Миграционная политика индустриальных государств и «черный рынок» труда. «Утечка мозгов» Возросшие социальные издержки применения иностранной рабочей силы обусловили такую особенность современного мирового рынка труда, как его государственное и межгосударственное регулирование. Страны-реципиенты поставлены перед необходимостью не только совершенствовать миграционное законодательство и ограничивать прибытие иностранцев в страну, в особенности в 70-е и 80-е годы, но и проводить активную социальную  политику,  способствуя адаптации иммигрантов  и поднятию  их общеобразовательного, квалификационно-профессионального и культурного уровней.
Ожесточившаяся в последнее двадцатилетие миграционная политика США и стран Западной Европы, тем не менее, не смогла кардинально уменьшить приток иммигрантов. Однако такая политика во многом способствовала резкому увеличению масштабов нелегальной миграции и распространению полурабских форм использования труда иностранцев. Формированию «черного рынка» труда содействовал целый ряд факторов. Это и прежнее стремление предпринимателей использовать дешевую рабочую силу и экономить на оплате труда, технике безопасности, социальном страховании и пенсионном обеспечении. Подобному стремлению отвечает и готовность большинства иммигрантов из развивающихся стран, а в последние годы — из стран Восточной Европы и бывшего СССР, работать на любых условиях. Определить истинные размеры нелегальной миграции практически невозможно. По оценкам экономиста Э.П. Плетнева, ежегодный приток нелегальных иммигрантов в США доходил в 80-е годы до 1,2 млн. человек, а общее число подпольных иммигрантов в стране варьирует от 2 до 13 млн. человек. Большое распространение получила нелегальная миграция в Японии, Южной Америке. Растет приток нелегальных мигрантов и в Западную Европу, а также на Ближний Восток. Попытки стран-реципиентов противодействовать этой тенденции варьируют от ужесточения законодательных мер, пограничного контроля до принудительной депортации. Однако подпольное применение иностранной рабочей силы не сокращается в силу особой выгодности для предпринимателей этого самого бесправного и дешевого контингента рабочей силы. Штрафные санкции со стороны государства многократно компенсируются получаемыми прибылями. Кроме того, «черный рынок» рабочей силы оказывает, несомненно, некоторое давление на легальный рынок, увеличивая общее предложение труда.
Вместе с тем, необходимо отметить и такую черту, как сложившееся своеобразие разделения труда между иностранцами и местными рабочими. Первые, как правило, выполняют самую неквалифицированную, грязную и низкооплачиваемую работу. Подтверждением этой тенденции служит тот факт, что с активизацией ограничительной миграционной политики в 70-е годы в странах Западной Европы выросло число вакансий в некоторых секторах занятости, где традиционно трудились иностранцы, поскольку местное население в какой-то степени отвыкло выполнять не престижную и неквалифицированную работу.
Неквалифицированные рабочие, преимущественно выходцы из развивающихся стран, составляют важный, но не единственный значимый поток рабочей силы в развитые индустриальные страны. Характерной чертой современного мирового рынка труда является миграция интеллектуального труда, известная как «утечка мозгов», а также миграция высококвалифицированных рабочих и технического персонала. «Погоня за умами» стала одним из определяющих факторов экономического процветания в условиях международной гиперконкуренции. Безусловное лидерство в этой области принадлежит США, которые за последние два с лишним десятилетия привлекли из развивающихся стран 250 тыс. высококвалифицированных специалистов, из Западной Европы — порядка 20 тыс. человек лишь за 1968-78 гг. Активно привлекают иностранных специалистов и сами западноевропейские страны.
Миграция специалистов обусловлена в целом теми же факторами, что и неквалифицированной рабочей силы. В первую очередь, надо отметить различный уровень экономического и социального развития стран. Ученые и специалисты покидают свою страну, если находят в другой стране более высокое материальное вознаграждение, неограниченные возможности для творчества и саморазвития, лучшее лабораторное оборудование, более комфортные бытовые условия, больше гражданских прав и демократических свобод.
Миграция специалистов имеет отличные от миграции неквалифицированных рабочих последствия как для страны-донора, так и для страны-реципиента. Миграция неквалифицированных рабочих достаточно благоприятна для страны-донора, так как позволяет уменьшить безработицу и связанные с ней социальные издержки и расходы и, во-вторых, эмигранты, пересылая часть заработка на родину или привозя его домой по возвращении, снабжают тем самым отечественную экономику валютными ресурсами. В 1973 г., когда ограничительное законодательство западноевропейских стран и кризис еще не начали сдерживать приток мигрантов, совокупная сумма пересылаемых на родину средств была максимальной за послевоенный период и составляла по отношению к экспортной выручке в Турции 90%, в Португалии — 59, в Греции — 51, в Югославии — 49, в Италии — 23%. Страна-донор также выигрывает в том отношении, что часть эмигрантов получает за границей образование, профессиональную подготовку, приобщается к производственной культуре и в случае возвращения на родину приносит с собой более высокую культуру производства. То есть происходит повышение ценности и экономической эффективности трудовых ресурсов стран-доноров.
При эмиграции квалифицированных рабочих и инженерно-технического персонала, ученых и специалистов страна-донор оказывается в большем проигрыше. Она теряет все капитальные затраты, вложенные в подготовку этих кадров. Отечественный рынок труда теряет «сливки» рабочей силы, интеллектуальную элиту, творческий потенциал которой служил первоосновой и залогом развития экономики в условиях НТР. Таким образом, страна-донор ухудшает свое сегодняшнее положение и утрачивает перспективы развития в будущем. Соответственно все потери страны-донора оборачиваются выигрышем страны-реципиента. По самым скромным подсчетам, экономия США лишь в сфере образования и научной деятельности составила за последнюю четверть века более 15 млрд. долл. Прибыль, получаемая от использования иностранных специалистов, в Канаде в 7 раз, а в Великобритании в 3 раза выше суммы, выделяемой в качестве помощи развивающимся странам.
Развитые индустриальные страны привлекают иностранных специалистов в количестве, намного превышающем реальные потребности. Тем самым создается конкуренция не только между местными и вновь прибывшими работниками, но и среди самих иммигрантов. Все это способствует снижению оплаты труда и повышению интенсивности   труда   иностранных   специалистов.   Кроме   того,   оставшаяся невостребованной часть ученых и специалистов вообще не используется в соответствии с их профессией. Многие мигранты — артисты, врачи, ученые — не могут устроиться по специальности и работают таксистами, сторожами, официантами. Печальный опыт ряда соотечественников тем не менее не служит фактором, сдерживающим дальнейшую эмиграцию, в частности из стран Восточной Европы и бывшего СССР. Как ни прискорбно это констатировать, но даже неквалифицированная работа не по специальности в чужой стране часто оплачивается выше, чем труд физика-ядерщика, врача, инженера, профессора у себя на родине. Поэтому поток квалифицированных работников из бывшего Советского Союза не сокращается, а напротив, имеет тенденцию увеличиваться в связи со снятием ограничений на выезд и по мере обострения социально-экономических противоречий внутри страны. По оценкам, в ближайшие 10 лет эмиграция из бывшего Советского Союза может достигнуть от 7 до 30 и даже 50 млн. человек. Если отбросить крайние оценки, принять во внимание установление квот на прием наших эмигрантов в странах Запада, все равно результаты прогноза окажутся печальными, ибо будут означать невосполнимую для страны людскую потерю.
Совершенно очевидно, что в России назрел вопрос о разработке целостной системы государственного регулирования национального рынка труда с учетом влияния на него мирового рынка рабочей силы. По мере вовлечения нашей страны в мировой миграционный кругооборот возникает потребность в создании системы социально-правовой защиты эмигрантов, организации консультационной помощи для выезжающих и въезжающих в страну, оказании помощи при заключении трудовых контрактов и т.д. При этом необходимо, чтобы такая политика строилась на основе двух- и многосторонних межгосударственных соглашений. Опыт подобного сотрудничества государств-доноров и государств-реципиентов уже имеется в мировой практике.1



Министерство экономики РФ


-         внешнеэкономическая политика.
Данная программа представляется Правительством РФ в Совет Федерации и Государственную Думу. Анализ выполнения программы социально-экономического развития страны на среднесрочную перспективу и ее уточнение с выделением задач на предстоящий год содержатся в специальном разделе ежегодного послания Президента Российской Федерации.
По каждой целевой программе указываются: краткая характеристика, включающая указание целей, основных этапов и сроков их выполнения; результаты выполнения основных этапов для переходящих федеральных целевых программ; необходимые объемы финансирования не только в целом, но и по годам с указанием источников финансирования; объемы финансирования за счет средств федерального бюджета в предстоящем году; государственные заказчики программы.
Целью Правительственной среднесрочной программы на 1995—1997 гг. являлось достижение устойчивой стабилизации общего объема производства и возобновление экономического роста, а также осуществление макроэкономической стабилизации и создание на этой основе предпосылок для повышения инвестиционной активности. Большое внимание в этой программе уделялось и таким важным целям, подлежащим реализации, как дальнейшее улучшение условий для предпринимательства и деловой активности; активизация структурно-инвестиционной политики путем стимулирования инвестиций и высокоэффективных, конкурентоспособных производств при одновременном сохранении наиболее ценных элементов накопленного научно-технического потенциала; обеспечение роста уровня жизни населения.
К числу важных методов государственного регулирования экономики относится планирование. Оно осуществляется путем разработки заданий по целенаправленному воздействию на процесс воспроизводства. Планы представляют собой документы, в которых в форме заданий и показателей отражены основные цели намеченных преобразований по развитию экономики страны. Они могут носить директивный и индикативный характер. В условиях рыночной экономики планирование не может принимать форму всеобщего охвата сторон экономической и социальной деятельности. Однако рыночная экономика ни в коем случае не отвергает планирование, поскольку план есть не что иное, как надлежаще оформленное управленческое решение. Являясь одной из основных функций управления, планирование обеспечивает не только целенаправленное, но и динамичное и пропорциональное развитие объекта управления. Свою конкретизацию планирование получает в соответствующих плановых показателях.
Наибольшей степени централизованное директивное планирование воспроизводства достигло в период существования Советского Союза и других социалистических стран. Основу этого планирования составляла государственная форма собственности. С течением времени централизованное директивное планирование перестало оказывать регулирующее воздействие на сбалансированное, пропорциональное развитие отраслей экономики страны.
Индикативное планирование не имеет директивного начала и может охватывать как государственный, так и частный сектор экономики.
Важнейшими целями индикативного планирования являются систематизация и улучшение качества информации о деловой конъюнктуре, предполагаемых инвестициях государства и расходах госбюджета с тем, чтобы содействовать принятию наиболее эффективных решений. Другой целью является предложение системы показателей (индикаторов) экономической деятельности, которая может заинтересовать частный сектор. В индикативном плане наблюдается малая степень детализации показателей.
Для привлечения внимания предпринимателей к участию в реализации индикативного плана государство использует различные экономические стимулы: прямые и косвенные субсидии, льготные амортизационные списания, сокращающие налоговые выплаты в бюджет, различные формы целевого кредита и т.п.
В наибольшей мере поддается прямому плановому воздействию стадия воспроизводства продукции, в наименьшей — стадия формирования потребностей и потребления; на стадиях распределения и обращения преобладают косвенные методы регулирования.
Обоснование плановых заданий, мероприятий предполагает использование соответствующих балансов и балансовых расчетов. Балансы позволяют обеспечить соответствие между ресурсами, необходимыми для выполнения заданий, и их наличием. Балансовый метод планирования служит инструментом для планомерного (сознательного) установления и соблюдения материально-вещественных и стоимостных пропорций в хозяйстве страны.
В практике планирования составляются и используются материальные, трудовые и финансовые балансы. С их помощью устанавливаются и поддерживаются необходимые пропорции в развитии отдельных отраслей и регионов.
Материальные балансы представляют собой совокупность балансов, показатели которых характеризуют производство и потребление конкретных видов продукции. Они подразделяются на материальные балансы средств производства и предметов потребления и разрабатываются по определенным схемам, в которых отражаются преимущественные направления использования продукции. Балансы различных видов продукции связаны между собой, поскольку каждая отрасль хозяйства страны выступает одновременно и как производитель продукции других отраслей.
Система трудовых балансов включает в себя совокупность балансов, характеризующих различные стороны воспроизводства трудовых ресурсов. Источником формирования последних является население как трудоспособного возраста, так и за пределами этого возраста (например, работающие пенсионеры). С помощью этих балансов выявляются важнейшие закономерности использования трудовых ресурсов как по стране в целом, так и по ее отдельным (как правило, наиболее крупным) регионам. Поэтому наряду со сводным балансом трудовых ресурсов составляются частные трудовые балансы или выполняются расчеты по отдельным элементам баланса рабочей силы. Данные трудовых балансов используются для определения общей численности трудовых ресурсов, уровня занятости населения, структуры работающих по профессиям и т.д.
Для обеспечения в экономике необходимых стоимостных пропорций составляются финансовые (или стоимостные) балансы, которые характеризуют процесс формирования и использования денежных доходов и фондов участников расширенного воспроизводства. К числу наиболее важных следует отнести баланс доходов и расходов государства, сводный финансовый баланс, платежный баланс и др. Каждый из них решает конкретные задачи, однако все они взаимосвязаны через показатели друг с другом.1
Именно поэтому взаимодействие государства и рыночных процессов определяет во многом устойчивость тех или иных форм функционирования отдельных элементов рынка, таких, как организации, фирмы, предприниматели, и определяет их отдельные действия в рамках, экономической деятельности. Однако необходимо учитывать, что взаимодействие государства и рынка происходит, в том числе, при участии государственных органов. Очевидность влияния характера воздействия государственных органов на рыночные процессы приводит к необходимости выявления условий, образующих различные модификации этих отношений. Условием обнаружения отклонений от устоявшейся формы взаимодействия государственных органов является различение в структуре государства уровней государственного управления.
Важное значение в государственном регулировании имеют экономические нормативы и показатели. Экономические нормативы определяют общие для всех хозяйственных агентов или дифференцированные для их групп «правила игры» — ставки налогов, таможенных пошлин, валютных курсов и т.п. Они являются инструментом регулирования и позволяют хозяйственным единицам определять планы своей деятельности с учетом региональных и федеральных интересов.
Показатели характеризуют в количественном выражении изменения темпов и пропорций воспроизводства на всех его уровнях, затраты ресурсов и эффективность их использования. Они могут выражаться в натуральном, стоимостном виде и в относительных величинах. На уровне основного производственного звена преобладают натуральные показатели, на отраслевом, региональном, международном — стоимостные.
В соответствии с Конституцией Российской Федерации государственное руководство экономическим развитием страны осуществляют Президент РФ, Федеральное Собрание, Правительство, Центральный банк, представительные и исполнительные органы власти субъектов РФ. Компетенция органов определена в Федеральном договоре о разграничении предметов ведения и полномочий между федеральными органами государственной власти Российской Федерации и органами власти субъектов Российской Федерации.
К ведению федеральных органов в области экономического развития относятся: принятие и изменение федеральных законов и контроль за их исполнением, установление основ федеральной экономической политики, правовых основ единого рынка, денежная эмиссия, основы ценовой политики, федеральный бюджет, налоговое законодательство, внешнеэкономические отношения.
Территориальные органы управления обладают всей полнотой государственной власти на подведомственной территории, являются самостоятельными участниками внешнеэкономических связей, ведают вопросами пользования и распоряжения природными ресурсами, регулируют отношения между бюджетами субъектов РФ и местными бюджетами, обеспечивают гарантии финансовой самостоятельности местного самоуправления, минимальных социальных стандартов и т.д.
В системе государственного регулирования особое место занимает Министерство экономики РФ, которое не только непосредственно участвует в реализации социально-экономической стратегии государства, но и координирует усилия министерств и ведомств, опираясь на законы РФ, указы и распоряжения Президента РФ, постановления Правительства РФ.
Министерство экономики РФ осуществляет следующие функции:
- участвует в формировании федеральной социальной политики, включая развитие потребительского рынка, структуру потребления и доходов населения; определении форм государственной поддержки отраслей социальной сферы, а также общих направлений политики в области трудовых ресурсов, занятости;
- разрабатывает предложения по внешнеэкономической деятельности;
- подготавливает предложения по общим направлениям финансовой, налоговой, кредитно-денежной и валютной политики;
- разрабатывает на основе тщательного анализа комплексный прогноз социально-экономического развития страны;
- организует с участием министерств, ведомств разработку федеральных целевых программ развития приоритетных отраслей и сфер экономики.}
Наличие различных характеристик государственных органов (зависимость от государственного устройства, организационные формы, характер компетенции, порядок решения подведомственных вопросов) обуславливает различие проявлений их модификаций. В этой связи изучение взаимодействия государственных органов на различных уровнях  является  условием  изучения  возможности  существования интересующего рыночного элемента в устойчивой по отношению к государству форме.


Мировая валютная система и ее модификации


Мировая валютная система и ее модификации Российская Федерация все более включается в мировое хозяйство. Она стала членом Международного валютного фонда (МВФ), группы Международного банка реконструкции и развития (МБРР), Европейского банка реконструкции и развития (ЕБРР), в 1997 г стала членом Всемирной торговой организации (ВТО).
В условиях интернационализации хозяйственной жизни, резкого расширения внешнеторговых, научно-технических и других межстрановых связей во второй половине XX в. мировая валютная система претерпела существенные изменения.
Мировая валютная система базируется на функции мировых денег. Они служат мировым платежным средством, мировым покупательным средством и материальным воплощением общественного богатства. В течение длительного исторического периода в роли мировых денег выступало золото. Однако на практике международные расчеты всегда осуществлялись в наиболее сильной и устойчивой валюте мира.
В современных условиях золото выполняет функции мировых денег опосредованно — через операции на рынках золота, где на золото можно приобрести необходимые валюты и соответственно товары. Золото выступает как необходимый страховой фонд государства и частных лиц.
Помимо доллара США и других свободно конвертируемых валют в качестве мировых денег использовались СДР (специальные права заимствования) и экю — денежная единица, применявшаяся странами Европейского Союза. СДР — международное платежное средство, созданное МВФ в 70-х годах. Паритет СДР устанавливается на базе валютной корзины, т.е. соизмерения средневзвешенного курса одной валюты по отношению к определенному набору других валют.
В основе формирования курсов валют находятся стоимостные пропорции обмена — интернациональные стоимости определенного количества товаров и услуг, представляемых в той или иной денежной единице. На практике стоимостные пропорции обмена валют получают отражение в виде соотношения покупательной способности валют.
Отмена золотого содержания валют и переход к «плавающим» валютным курсам не изменили ни саму сущность валютного курса как экономической категории, ни его функций в процессе воспроизводства. Валютный курс сохраняет объективную стоимостную основу, которая выступает в виде покупательной силы сравниваемых валют на мировом рынке.
Валюты сопоставляются по интернациональным стоимостям определенного количества товаров и услуг, представляемых той или иной денежной единицей.
Курс валюты зависит также от соотносительных темпов инфляции в различных странах, темпов роста производительности труда и ее соотношения между странами, от темпов роста ВНП (основы товарного наполнения денег), места и роли страны в мировой торговле, вывозе капитала. Чем выше темпы инфляции в стране, тем ниже курс ее валюты. Именно эти фундаментальные факторы прежде всего определяют курс валюты той или иной страны. Долгосрочные тенденции развития валютного курса являются отражением хода воспроизводственного процесса в национальной экономике и роли страны в мировом хозяйстве.
Наибольшее значение среди последних факторов имеет состояние платежного баланса. При улучшении платежного баланса курс валюты повышается, поскольку возрастает спрос на эту валюту. При ухудшении платежного баланса, то есть при его дефицитности, курс валюты падает, поскольку на такую валюту спроса нет. Однако в условиях золотых валют и валют с зафиксированным золотым содержанием отклонения валютного курса от паритета были незначительны. Они происходили в пределах так называемых золотых точек. Предприниматели не покупали валюту по курсу, значительно превышавшему паритет, а предпочитали рассчитываться путем пересылки золота. Поэтому отклонения курса от паритета могли быть в пределах стоимости пересылки золота из одной страны в другую и его страхования.
Таким образом, формирование валютного курса и его динамика представляют собой многофакторный процесс.
Данные положения можно проиллюстрировать на примере изменений валютных курсов и валютной политики западных стран с развитой рыночной экономикой.
До второй мировой войны практически во всех зарубежных странах применялись «плавающие» валютные курсы, то есть курсы, которые складывались в зависимости от спроса и предложения на ту или иную валюту. Недостаток этой системы состоял в резких колебаниях курсов валют, в применении странами частых девальваций своих валют в целях стимулирования экспорта товаров для облегчения процесса их реализации. Ситуация в целом в валютной сфере характеризовалась хаотическими изменениями курса валют.
Пытаясь создать условия валютной стабильности, западные страны в 1944 г. в американском городе Бреттон-Вудсе на международной конференции, посвященной валютным проблемам, заключили соглашения, которые стали называться Бреттон-Вудскими соглашениями.
Бреттон-Вудская валютная система основывалась на долларе США и золоте. Ее характеризовали следующие основные черты:
- центральные банки и правительственные валютные органы стран-членов имели возможность обменять принадлежащие им доллары на американское золото по официальной твердой цене — 35 долл. за унцию золота;
- в мировом обороте в качестве резервных и платежных средств наряду с золотом широко использовались две основные резервные валюты — доллар США и английский фунт стерлингов.
Однако Бреттон-Вудские соглашения не смогли обеспечить стабилизацию валютных курсов стран-членов. То одна, то другая страна вынуждена была проводить девальвацию или ревальвацию своих валют.
В условиях действия Бреттон-Вудских соглашений девальвация означала официально объявленное понижение золотого содержания денежной единицы и соответственное уменьшение ее курса по отношению к доллару США.
Вместе с тем, девальвация является мощным наступательным средством в конкурентной борьбе на мировом рынке. Девальвация всегда стимулирует экспорт товаров из страны, девальвировавшей валюту, что улучшает состояние торгового и платежного балансов. Так, в 1949 г. вынуждены были объявить о девальвации на 30% фунта стерлингов Великобритания и соответственно страны бывшей стерлинговой зоны. В ноябре 1967 г.
Великобритания вновь провела девальвацию своей валюты, при которой золотое содержание фунта стерлингов было понижено на 14,3% и соответственно снижен курс фунта по отношению к доллару США.
В годы после второй мировой войны неоднократно проводила девальвации своей валюты (французского франка) Франция.
Бреттон-Вудская валютная система просуществовала до 1973 г. Ее крах был вызван резким обострением положения доллара США в начале 70-х годов, что было связано с ухудшением торгового и платежного балансов США. В 1971 г. торговый баланс США впервые за предшествовавшие 80 лет был сведен с дефицитом в 2 млрд. долл. США осуществляли крупные военные расходы за границей, оказывая помощь развивающимся странам.
Однако девальвация не оказала существенного воздействия на состояние платежного баланса. И в феврале 1973 г. США были вынуждены пойти в течение 14 месяцев на проведение второй девальвации. Доллар США был девальвирован еще на 10%; его золотое содержание понизилось до 0,736 г чистого золота и официальная цена золота была повышена до 42,22 долл. за унцию.
Вследствие кризиса доллара США расширенная группа десяти стран (США, Великобритания, Япония, Канада, ФРГ, Франция, Италия и др.) в марте 1973 г подписала соглашение о переходе от фиксированных паритетов к «плавающим» валютным курсам.
В целях уменьшения колебаний валютных курсов и стимулирования интеграционных процессов в марте 1979 г. между странами Европейского экономического сообщества (ныне Европейский Союз - ЕС) была создана Европейская валютная система (ЕВС).
С созданием ЕВС объем ресурсов Европейского фонда валютного сотрудничества был увеличен с 10,4 млрд. до 25 млрд. экю, из которых 14 млрд. экю предназначены для предоставления краткосрочных ссуд и 11 млрд. — для среднесрочных кредитов странам — членам ЕВС на срок от 2 до 5 лет. С 1993 г. установлен предел взаимных колебаний курсов валют в размере ± 15% от центрального курса; до этого года для большинства валют действовали более узкие рамки (=ь 2,25). Однако ЕВС не стала зоной валютной стабильности. В рамках ЕВС ряд стран (Италия, Франция, Дания) неоднократно девальвировали свои валюты, а другие (ФРГ, Нидерланды) ревальвировали курсы валют.
В июне 1996 г. были определены основные параметры новой ЕВС, которая вступила в силу с 1 января 1999 г. одновременно с началом функционирования Валютного союза. В соответствии с достигнутыми договоренностями в странах ЕС введена единая коллективная валюта, получившая название ЕВРО. ЕВС останется главным инструментом валютной интеграции для стран Европейского Союза, которые не будут сразу переходить к единой валюте.
В 1995 г. наиболее стабильными валютами ЕВС были немецкая марка, бельгийский франк, голландский гульден и австрийский шиллинг, а наиболее слабыми — французский франк, ирландский фунт, испанская песета и португальское эскудо.
И, таким образом, в современных условиях большинство зарубежных стран применяют «плавающие» валютные курсы, ориентированные на ведущие валюты стран с развитой рыночной экономикой (в основном на доллар США, СДР, корзины валют). Имеются страны, применяющие свободно плавающие курсы. Государства ЕС используют фиксированные валютные курсы.
Основными органами национального регулирования выступают центральные банки и министерства финансов.
Межгосударственное регулирование курсов валют осуществляют МВФ, ЕВС и другие организации. Регулирование курсовых соотношений направлено на сглаживание резких колебаний валютных курсов, обеспечение сбалансированности внешнеплатежных позиций страны, на создание благоприятных условий для развития национальной экономики, стимулирование экспорта и т.д.
Валютные интервенции центральных банков имеют целью противодействовать снижению курса национальной валюты или, наоборот, его повышению. Однако следует отметить, что валютные интервенции могут быть эффективным методом воздействия на валютные курсы в краткосрочном плане, поскольку только интервенциями невозможно обеспечить такие уровни курсов, которые не соответствуют базисным экономическим и финансовым показателям. Наиболее эффективными являются валютные интервенции, в которые сопровождаются соответствующими мероприятиями в области общеэкономической политики государства.
В зарубежных странах широко применяется дисконтная политика, заключающаяся в манипулировании учетным процентом. Стремясь повысить курс валюты, центральный банк повышает учетный процент, что стимулирует приток иностранных капиталов. Улучшается состояние платежного баланса, повышается валютный курс. Если правительство ставит цель понизить валютный курс, центральный банк снижает учетный процент, капиталы перемещаются в зарубежные страны и в результате курс валюты ; понижается.
С введением «плавающих» валютных курсов регулирование процесса курсо-образования через МВФ ослабло. В современных условиях межгосударственное регулирование валютных курсов осуществляется в основном в рамках ЕВ С.
В настоящее время основной валютой, в которой осуществляется около 80% всех международных расчетов, выступает доллар США, фактически сохранивший статус, резервной валюты. В этом же качестве используются марка ФРГ и японская иена.
Национальная валютная система — форма организации валютных отношений страны, закрепленная национальным законодательством, составная часть денежной системы страны.
Основой национальной валютной системы выступает установленная законом денежная единица государства.
Основа валютной системы Российской Федерации — российский рубль, введенный в обращение в 1993 г. и заменивший рубль СССР. В СССР в 1922-92 гг. законодательно было установлено весовое количество золота в рубле. С переходом к российскому рублю золотое содержание рубля зафиксировано не было.
СССР имел свой особый валютный режим, резко отличавшийся от системы курсообразования и конвертируемости валют стран с развитой рыночной экономикой.1
Анализ такой глобальной проблемы, как кризис внешней задолженности, когда развивающиеся страны по различным причинам оказались не в состоянии расплатиться с долгами, до сих пор вызывает дискуссии, главным образом по поводу путей ее решения. При изучении этой проблемы необходимо рассмотреть вопросы, связанные с международным кредитованием, так как именно этот процесс явился источником возникновения задолженности как таковой. Следует уяснить, явилась ли проблема результатом ошибок в условиях представления кредитов или в их использовании, в какой степени ответственность за разрешение кризиса лежит на правительственных и банковских структурах.
Конечным итогом должны стать обоснование текущих тенденций в связи с проблемой глобальной задолженности развивающихся стран и выводы относительно возможностей более безболезненного участия страны в международном кредитовании.
Интернационализация экономических процессов хорошо характеризует современные тенденции мировой экономики. Транснациональные компании, обладая доступом на рынки с возможностями продажи и производства на них, имеют большое влияние на состояние экономики отдельных развивающихся стран, которые становятся в некоторой степени зависимыми от этих промышленно-финансовых гигантов. Поэтому встает вопрос о рациональном использовании привлекаемых ресурсов и соблюдении интересов принимающей стороны. Для этого формируется правовая основа, регулирующая процесс привлечения прямых инвестиций и взаимоотношений с  транснациональными корпорациями.


Мировой рынок труда и воспроизводство рабочей силы


Мировой рынок труда и воспроизводство рабочей силы Массовая международная миграция и мировой рынок труда оказывают заметное влияние на весь ход процесса воспроизводства, не только на количественные, но и на качественные характеристики рабочей силы. В современных условиях человек может родиться в одной стране, получить дошкольное воспитание в другой, обучаться в третьей, работать в четвертой, пятой и т.д. Повышение стабильности населения, интенсификация научно-технических, информационных, культурных межнациональных связей приводят к выравниванию многих параметров личной и производственной жизни. При этом наблюдается явная ориентация на американский или западноевропейский образец. Хотя не все работники и не во всех странах могут достичь желаемого уровня, все стремятся воспроизвести, хотя бы в упрощенном и удешевленном варианте, американский образ жизни с аналогичным набором материальных и духовных ценностей. Происходит формирование некоторого общемирового стандарта потребления при общем повышении потребностей населения, что действует в сторону увеличения стоимости рабочей силы и ее цены.
Объективные потребности развития производства в условиях НТР, а также углубление международного пооперационного и по детального разделения труда, производственной и технологической кооперации привели к неизбежному выравниванию уровней образования и профессиональной подготовки, к унификации стандартов образования и производственных условий в разных странах. Межнациональный обмен кадрами, открытие зарубежных филиалов крупными корпорациями, обмен технологией служат основой формирования общемировых стандартов производственной культуры, управленческих систем, межличностных отношений. Организационные структуры, типы используемой технологии становятся все более схожими в разных странах, однако в поведении индивидов национальные и культурные различия сохраняются и даже усиливаются. Так, при использовании в США и Франции аналогичной технологии поведение французов и американцев различно, отличается даже способ применения технологии. В силу этого обстоятельства менеджмент должен учитывать особенности национальной культуры, системы ценностей и мотивационных установок, исторически сложившихся в той или иной стране.
Сложности, возникающие при выходе корпораций на мировой рынок рабочей силы, можно частично преодолеть, если приспособление персонала к организационной системе корпорации и используемой технологии начнется не на стадии применения рабочей силы, а в процессе ее предварительной подготовки. И в рамках национальных макроэкономических систем, и в мировом масштабе корпорации не довольствуются использованием рабочей силы, а принимают все большее участие в самом процессе ее формирования. Наибольшую активность в этой области проявляют, пожалуй, японские предприниматели. Идет проникновение японского бизнеса во все уровни системы образования и профессионально-технического обучения других стран, в первую очередь США. Масштабы этой деятельности впечатляющи. За последние несколько лет фирма «Тойота» только для реализации своей продукции наняла свыше 500 выпускников американских школ и колледжей. Прогнозируя в будущем потребность в семи тысячах дополнительных рабочих мест для механиков в год, «Тойота» передала американским школам и колледжам различные станки и оборудование, легковые автомобили и грузовики, выделила стипендии учащимся.
Японские университеты покупают или арендуют студенческие кампусы в Лондоне, в пригородах Нью-Йорка и других городов для своих студентов, открывают свои подразделения в европейских университетах. Японские корпорации уже давно поддерживают исследовательские проекты и программы, оплачивают работу американской университетской профессуры. В настоящее время японские корпорации подключились к строительству. Ирвин-университет в Калифорнии предоставил японской корпорации «Хитачи» участок в аренду на 40 лет под строительство здания для лаборатории. В новом здании исследователи фирмы займут два верхних этажа, а университетские ученью — первый этаж. По условиям аренды «Хитачи» обеспечивает университет высокотехнологичным лабораторным пространством бесплатно. По окончании срока аренды все здание переходит университету. Официально объявленная цель состоит в установлении контактов лаборатории со студентами, часть которых будет иметь возможность работать в фирме.
Данный пример не единичен. Компания «Отсука» открыла лабораторию в Вашингтонском университете для разработок в области медицины и фармацевтики. «ПЕК Корпорейшн» открывает в Принстонском университете лабораторию по передовой компьютерной технике и т.п. Данные факты свидетельствуют об объективной тенденции интернационализации знаний и процесса подготовки кадров.
Воздействие на мировой рынок рабочей силы осуществляется на корпорационном, государственном и межгосударственном уровнях. Так, на протяжении последних двух десятилетий активно развивается региональная система высшего образования в масштабах ЕС. Разработана примерная Программа межуниверситетской кооперации в Европе, предусматривающая меры по составлению единых программ обучения студентов, а также по расширению обмена преподавателями и исследователями. Укреплению сотрудничества на межуниверситетском уровне во многом способствует постоянная Конференция ректоров, президентов и вице-секретарей европейских университетов — КПЕ. «Европеизация» системы высшего образования проявляется также в создании двусторонних исследовательских консорциумов, междисциплинарных проблемных групп, в разработке научно-технических проектов.
Большое внимание в рамках ЕС уделяют унификации и стандартизации системы профессионального обучения. Это тем более необходимо, что в рамках программ создания единого рынка ЕС было предусмотрено взаимное признание дипломов, ученых степеней, а также свидетельств о профессиональной подготовке всеми странами ЕС. Предполагается также введение единого европейского диплома профессионального образования, что повысит мобильность рабочей силы и облегчит получение работы по специальности в другой стране.
Процессы интернационализации и межгосударственного регулирования затрагивают не только отдельные аспекты воспроизводства рабочей силы. Принципиально новым является стремление стран ЕС сформировать «единое социальное пространство». В декабре 1989 г. в Париже после длительных дискуссий Европейский Совет проголосовал 11 голосами за «Хартию основных социальных прав трудящихся». Несмотря на сугубо декларативный характер принятого документа, Великобритания высказалась против него, поскольку в документе признавалось право трудящихся на забастовку, на социальную защиту и пр.
Хартия содержит 12 глав и 26 статей и декларирует такие права, как свободное передвижение рабочей силы в пределах ЕС; занятость и оплата труда в соответствии с законодательством каждой страны; сближение в отдельных странах продолжительности рабочего времени, режимов ночных работ; право на пособия по социальному обеспечению; свобода ассоциаций и коллективных переговоров; развитие «социального диалога», участие трудящихся в управлении и прочее.
Принятая Хартия явилась лишь первым и весьма сдержанным шагом на пути создания единых социальных условий. Потребуются время и новые программы для устранения существующих национальных различий в социальной сфере, для преодоления противодействия ряда предпринимателей и правительств объективной тенденции к унификации условий труда и условий социальной жизни. И хотя преждевременно говорить о завершении процесса интернационализации воспроизводства рабочей силы, понимание общности человечества и стоящих перед ним глобальных задач будет во многом способствовать этому процессу. Национальная изоляция в области производства, образования, культуры, науки бесперспективна и ведет к застою. Напротив, осознание объективных закономерностей формирования и использования рабочей силы в сложной многоуровневой структуре позволяет органично интегрировать национальную экономику в мирохозяйственную систему.
Процесс миграции рабочей силы оказывает влияние на благосостояние как развитых, так и развивающихся стран. В развитых странах привлечение иностранных граждан в уже сложившуюся структуру вызывает социальные проблемы, так как безработица в результате повышается. Главное же внимание сосредоточено на развивающихся странах, которые теряют зачастую лучшие кадры. Особое беспокойство вызывает «утечка умов» — иммиграция квалифицированных специалистов в ведущие капиталистические страны. Следствием этого процесса оказывается негативное воздействие на научно-технический потенциал развивающихся стран. Количественная оценка «утечки умов» затруднена из-за отсутствия единой классификации квалифицированных работников. Но тем не менее меры по привлечению и использованию интеллектуального потенциала страны должны являться первоочередными для успешного развития любой экономики.


Мировой рынок u внешняя торговля


Мировой рынок u внешняя торговля «Ниша» внешней торговли в системе мирового хозяйства. Известно, что появление крупной машинной индустрии обусловливает резкое возрастание внешнеторговых связей. Промышленности требуется все больше сырья, материалов, топлива, емких товарных рынков. Структурные сдвиги, происходящие в экономике индустриальных стран под влиянием технологической революции, специализация и кооперация промышленного производства усилили взаимодействия национальных хозяйств. Особенно большую роль в мировом хозяйстве стали играть транснациональные корпорации, захватывающие все большую часть мирового рынка, на долю которых приходится растущая часть товарообменных потоков.
Экономическая теория всегда рассматривала внешнюю торговлю как фактор, действующий против тенденции нормы прибыли к понижению. Используя более дешевую рабочую силу, сырье, рынки за границей, монополии снижают издержки производства, добиваются повышения прибыльности операций. Фирмы ориентируют производство товаров уже не только на национальные и местные, но и на мировые рынки, осуществляют массовое, крупносерийное производство, снижая издержки и на постоянный капитал. Внешняя торговля, удешевляя отчасти элементы постоянного капитала, а также необходимые жизненные средства, в которые превращается переменный капитал, способствует повышению нормы прибыли (поскольку повышает норму прибавочной стоимости) и понижает себестоимость постоянного капитала. Тем самым внешняя торговля позволяет расширить масштабы производства. В результате производители-экспортеры из развитых стран получают добавочную прибыль за счет реализации своих товаров на рынках менее развитых стран. В период 1988-1992 годов рост объема мирового производства резко замедлился — с 4,4% до 0,6% в год. Рост мировой торговли также замедлился, но в значительно меньшей степени — с примерно 8% до 4,5% в год. Иными словами, рост мировой торговли остался более энергичным, чем рост объема мирового производства.
Физический объем мирового экспорта возрос на 4,5% в 1992 году по сравнению с примерно 3,5% в 1991 году. Прирост был скромным по сравнению с темпами конца 80-х годов, однако он намного превысил прирост мирового производства, которое едва оправилось от спада в 1991 году.1
Для производства любого продукта или оказания услуги необходимо совершить последовательность действий, в том числе по соединению необходимых элементов, каковыми являются, в первую очередь, факторы производства. Эти факторы могут привлекаться не только с национального рынка, но и с мирового, что нередко более выгодно конкретной фирме. Сравнивая текущую структуру своих затрат с существующими альтернативами, предприятие может принять решение импортировать сырье для своей продукции или ввозить станки для ее производства или даже использовать иностранную рабочую силу.
Эффективное распределение ресурсов является основной проблемой не только отдельных предприятий, но и государства в целом, которое стремится с наибольшей выгодой участвовать в международном разделении труда и оптимально использовать существующие в рамках всемирного хозяйства возможности, что обуславливает изучение международного движения факторов производства как с позиций государства, так и с позиций национального экономического субъекта.
Вследствие политических и социально-экономических потрясений конца 80-х—начала 90-х гг., охвативших огромные просторы Евразии, произошли геополитические изменения, повлекшие за собой коренные изменения международных экономических отношений. Каким будет этот новый мир? На данный вопрос нет и не может быть пока дан однозначный ответ. Везде идут на этот счет довольно жаркие дискуссии, поиски. Есть силы, выступающие практически с прежних позиций, отвергающие изменения. Есть влиятельные силы, открыто ставящие задачу подчинить Россию, другие страны Содружества Западу. Есть и силы, реально оценивающие сложившуюся международную ситуацию и выступающие за новую политическую, экономическую и социальную интеграцию различных стран з глобальном, планетарном масштабе, сохраняя свою национально-государственную самобытность и понимая свои интересы.
Но и среди них нет единства в оценках перспектив международного развития. Приведем одну из типичных оценок. Так, французский политолог Пьер Аснер считает, что развитой Запад — это сравнительно стабильный центр, по отношению к которому Восток и Юг определяют собой неспокойные, зависимые и соперничающие территории. Ситуация усугубляется тем, что в посткоммунистическом мире отношения «Восток-Запад» стали больше напоминать прошлые отношения «Север-Юг», ибо обнаружились те же задолженность, необходимость помощи, проблема миграции и т.д. В этих условиях ведущие страны мира не могут выбрать иного пути, кроме интеграции и вмешательства. Это — не чудодейственные средства, но такова реальность: «чем меньше окружающий нас мир поддается контролю, тем меньше мы можем позволить себе роскошь отгородиться от него и бросить его на произвол судьбы». Конец устойчивых равновесии должен был бы также обозначить конец международной свободы действий. Как видим, здесь обосновывается необходимость ограничительного воздействия Запада на Евразию, страны которой испытывают огромные трудности. И такое воздействие мы уже испытываем сегодня.
Каковыми могут быть подобные ограничения? В какой степени они будут касаться международных экономических отношений? Не будут ли они тормозить мировое экономическое развитие? Каков может и должен быть механизм международно-правовых действий, направленных на те или иные ограничения? И так далее. На эти и подобные вопросы ответов тоже пока нет. Пока ясно лишь одно: мир находится на пороге нового периода своего развития, точные направления которого все еще не выявлены. Разрушение прежних связей, отношений никогда не проходит бесконфликтно. Тем более это относится к сфере международных отношений. Начинают действовать новые факторы (этнические, религиозные), не игравшие в последние два столетия определяющей роли в мировой политике. Без понимания этих и других новых факторов трудно оценить складывающуюся геополитическую обстановку, вследствие чего начало нового периода может быть отмечено глобальными беспорядками и потрясениями. Очевидно, что международная политическая стабильность есть основа успешного развития экономических отношений между странами и регионами.
Отсюда — необычайно серьезно возрастающее значение фактора международной безопасности. Известный американский политолог З.Бзежинский считает, что международная безопасность в эпоху окончания «холодной войны» будет зависеть от того, в какой степени Европе удастся укрепить свое политическое и военное единство и без особого промедления расширить его рамки; от успешной трансформации участников содружества (СНГ) в гибкую и добровольную конфедерацию, которая, с одной стороны, не была бы прервана в результате резкого возврата к централизованной диктатуре, а с другой — не привела бы к чрезмерным взрывам насилия; от усилий, направленных на выработку на Дальнем Востоке региональных соглашений по вопросам безопасности, которые на конструктивной основе связали бы взаимными обязательствами Японию, Китай, Соединенные Штаты, а также, возможно, государства Содружества (бывший Советский Союз) и другие заинтересованные страны; от усилий со стороны Соединенных Штатов (их доминирующие позиции в сложившемся ныне однополюсном мире позволяют им оказывать мощное влияние в целом на динамику мирового политического процесса).
Небезынтересны в этом плане некоторые суждения З.Бжезинского. Он, подчеркивая глобальные обязательства США в новой геополитической обстановке, тем не менее считает, что складывающаяся глобальная система, по-видимому, не будет определяться ни американской гегемонией, ни внезапно установившейся в мире международной гармонией. И хотя .Америка является сейчас единственной в мире сверхдержавой, она практически не в состоянии взять на себя задачу по установлению равенства в масштабах всего мира. Истинно новый мировой порядок, основанный на господстве права, на принципах консенсуса и мирного урегулирования спорных вопросов, — дело далекого будущего. Остается следующая реальная альтернатива: либо усиление хаоса и насилия в странах бывшего Советского Союза, дестабилизация в Восточной Европе, эскалация ближневосточного конфликта, новые противоречия на Дальнем Востоке, что в своей совокупности способно нанести катастрофический удар по системе глобальной безопасности; либо формирование структур глобальной безопасности, основанных на все расширяющемся и все более самостоятельном сотрудничестве, подкрепленном селективными обязательствами США.
Помимо Азиатско-Тихоокеанского региона, развивающегося в последнее время особенно бурно, необходимо учитывать изменения в Латинской Америке, государства которой постепенно выходят на уровень экономического развития, освобождаясь, хотя и с большим трудом, от прежней задолженности развитым странам. Если иметь в виду происходящие и там интеграционные процессы, то становится очевидным, что значение этого региона в международных экономических 'отношениях также не может быть преуменьшено. Более того, расширяющиеся трансокеанские связи и кооперационные отношения во многом будут определять и будущее положение в мировой экономике Старого света.
Ещё один немаловажный фактор международных экономических отношений — это африканский континент. Пока он раздирается войнами, междоусобицами, люди испытывают огромные трудности с продовольствием, здравоохранением.Черный континент объектом всего мирового сообщества в плане разнообразной помощи. Но ведь Африка — это и огромная «кладовая»
минеральных и энергоресурсов, динамичное использование. которых со временем будет оказывать растущее влияние на всю мировую экономику.
Растущее значение в мировой экономике имеет арабский фактор, финансово-производственный потенциал этих стран явно недооценивается, что неправомерно, и наконец, такой фактор, как неизбежное и закономерное изменение функций в системе мировой экономики различных составляющих ее элементов. По некоторым прогнозам, роль и влияние Соединенных Штатов Америки, Европы в международных экономических отношениях будет снижаться; напротив, роль Азиатско-Тихоокеанского, арабского регионов, Латинской Америки, Африки, новых индустриальных стран будет возрастать. Это, безусловно, будет накладывать свой отпечаток на все международное экономическое развитие современного мира независимо от «полюсов» в международных политических отношениях. Роль «полюсов» будет, однако, расти, если неравновесное кризисное состояние в мире будет продолжаться.
Многообразие глобального политического и общественно-экономического развития в мире воспринимается, во-первых, через сложное, противоречивое взаимодействие индустриально развитых стран и государств Евразии и Восточной Европы, а во-вторых, через активное приобщение к мировым процессам экономически слаборазвитых стран, находящихся в некотором отдалении от эпицентров мировой политики и мировой экономики, хотя политика «малых стран» все больше вплетается в ткань политики мировых центров.
Главной тенденцией в развитии мировых производительных сил выступает явная тяга к их интернационализации, интеграции процессов, ведущих к реальному формированию мирового хозяйства как всеобщей мировой экономической целостности. Выявилась удручающая ограниченность тех стран, которые практически занимали изоляционистские позиции, тщательно оберегая свою национальную экономику от привнесения в нее «иностранного экономического элемента», концентрируя все внимание на разных формах торговой деятельности, не влекущих за собой развитых форм кооперации.
Эта ограниченность, в частности, стала выступать в форме наметившегося уже в 70-х годах резкого технологического отставания стран социалистической системы, внутренняя политика которых препятствовала развитию процессов интернационализации их национальных хозяйств (отрицание принципа частной собственности способствовало их блокированию). Консервировался изол-яционизм, торжествовала автаркия, что наносило ущерб не только самим этим странам, но и всей системе международных экономических отношений.
Целостность современного мирового хозяйства только формируется. Этому в значительной степени способствует все большее понимание человечеством того обстоятельства, что важнейшие проблемы — это сохранение мира и безопасности, снижение военного противостояния, разоружение, развитие прав человека, культуры, экологическая безопасность, преодоление продовольственного кризиса в целом ряде стран.


Модель «продукт-рынок»


Модель «продукт-рынок» Эта модель предложена А.Дж. Стейнером в 1975 г. и представляет собой матрицу, включающую классификацию рынков и классификацию продуктов на существующие;
новые, но связанные с существующими; и совершенно новые.
Матрица показывает уровни риска и соответственно степень вероятности успеха при различных сочетаниях рынок-продукт ( 24.1.3). Модель используется:
- для определения вероятности успешной деятельности при выборе того или иного вида бизнеса;
- выбора между различными видами бизнеса, в том числе при определении соотношения инвестиций для разных деловых единиц, т.е. при формировании портфеля ценных бумаг фирмы.1
          Продукт

рынок
существующий
новый, связанный с существующим
совершенно новый
существующий
низкий риск

высокий риск
новый, связанный с существующим



совершенно новый
высокий риск

чрезмерно высокий риск
24.1.3. Матрица «рынок-продукт»

При формировании стратегического плана следует учитывать, что предприятие, руководствуясь планируемыми показателями, тем не менее может отклоняться от их выполнения, что объясняется объективными факторами, воздействующими на внешнее и внутреннее функционирование предприятия. В такие моменты, во избежание наступления кризисных ситуаций, требуются чёткие и быстрые согласованные действия всех подразделений предприятия, что возможно лишь при наличии на предприятии развитой системы менеджмента хозяйственных подразделений.



Модели макроэкономической динамики


Модели макроэкономической динамики Паутинообразная модель. Эта модель позволяет исследовать устойчивость цен и объемов товаров на рынке, описываемом традиционными кривыми спроса и предложения ( 14.3.2.) при наличии запаздывания во времени (лага).

Модель Харрода-Домара. В качестве примера модели с непрерывным временем рассмотрим модель макроэкономической динамики (простейший ее вариант — модель Харрода-Домара). Модель описывает динамику дохода У(t), который рассматривается как сумма потребления C(t) и инвестиций I(t). Экономика считается закрытой, поэтому чистый экспорт равен нулю, а государственные расходы в модели не выделяются. Основная предпосылка модели роста — формула взаимосвязи между инвестициями и скоростью роста дохода. Предполагается, что скорость роста дохода пропорциональна инвестициям:

где В — коэффициент капиталоемкости прироста дохода, или приростной капиталоемкости (соответственно, обратная ему величина
называется приростной капиталоотдачей). Тем самым, в модель фактически включаются следующие предпосылки:
- инвестиционный лаг равен нулю: инвестиции мгновенно переходят в прирост капитала. Формально это означает, что
K(t)= I(t) где K(t) — непрерывная функция
прироста капитала во времени;
- выбытие капитала отсутствует;
- производственная функция в модели линейна; это вытекает из пропорциональности прироста дохода приросту капитала:

Линейная производственная функция Y(t)=aL(t)+bK(f)+c, где b =
обладает этим свойством в том случае, если либо а = 0, либо L(t) = const. Тем самым следующие предпосылки таковы:
- затраты труда постоянны во времени, либо выпуск не зависит от затрат труда, поскольку труд не является дефицитным ресурсом;
- модель не учитывает технического прогресса.
Перечисленные предпосылки, конечно, существенно огрубляют описание динамики реальных макроэкономических процессов, делают затруднительным применение данной модели, например, для непосредственного расчета или прогноза величины совокупного выпуска или дохода. Однако данная модель и не предназначена для этого; в то же время ее относительная простота позволяет более глубоко изучить взаимосвязь динамики инвестиций и роста выпуска, получить точные формулы траекторий рассматриваемых параметров при сделанных предпосылках.
Зависимость, связывающая между собой во времени показатели инвестиций, определяемый ими объем основного капитала и уровень выпуска (дохода), является базовой во всех моделях макроэкономической динамики. Кроме того, в этих моделях необходимо определить принципы формирования структуры выпуска (дохода), распределения его между составляющими, прежде всего — между потреблением и накоплением. Эти принципы могут основываться на оптимизационном подходе (обычно это максимизация совокупных объемов потребления в той или иной форме), экстраполяционном, равновесном и других. В рассматриваемой модели предполагается, что динамика объема потребления C(t) задается экзогенно. Этот показатель может считаться постоянным во времени, расти с заданным постоянным темпом или иметь какую-либо другую динамику.
Простейший вариант модели получается, если считать C(t)= 0. Этот случай совершенно нереалистичен с практической точки зрения, однако в нем все ресурсы направляются на инвестиции, в результате чего могут быть определены максимальные технически возможные темпы роста. В этом случае получаем:

Это — линейное однородное дифференциальное уравнение, его решение имеет вид Y(t) = Y(0)е
(что легко проверить дифференцированием). Непрерывный темп прироста здесь равен
. Это максимально возможный (технологический) темп прироста.1
Модель Солоу. Другой тип модели экономического роста представляет модель, предложенная лауреатом Нобелевской премии Р.Солоу. По сравнению с уже рассмотренной моделью роста модель Солоу позволяет более точно описать некоторые особенности макроэкономических процессов. Во-первых, производственная функция в этой модели нелинейна и обладает свойством убывания предельной производительности. Во-вторых, модель учитывает выбытие основного капитала. В-третьих, в модель Солоу включается описание динамики трудовых ресурсов и технического прогресса и их влияние на экономический рост. В-четвертых, здесь ставится и решается задача максимизации уровня потребления на некотором множестве устойчивых траекторий. Все это, конечно, усложняет структуру модели и получение точных формул для траекторий изменения основных ее показателей становится существенно более сложной задачей. Поэтому некоторые другие аспекты описываются в базовой модели Солоу упрощенно: например, считаются постоянными норма сбережений и норма выбытия капитала, инвестиционные лаги отсутствуют, а производственная функция имеет постоянную отдачу от масштаба. Кроме того, на начальном уровне анализа модели ищутся не траектории изменения всех ее показателей (как в модели Харрода-Домара), а характеристики состояний устойчивого равновесия, к которым система выходит в долгосрочном периоде. С формальной точки зрения это представляет собой существенно более простую задачу.
Предпосылки и обозначения модели Солоу.Производственная функция имеет вид Y =F(K,L) (Y — выпуск или доход, К — капитал, L — труд). Отдача от масштаба постоянна: F(
K,
L) =
F(К, L). Предельная производительность факторов положительна, но убывает:
Y
0; Y
0; Y
0; Y
0.
Величина выбытия капитала W пропорциональна его величине К :
W=
K,                                                    (14.3.4)
 Где
 —  норма выбытия;
Норма сбережений (инвестиций) а постоянна, и инвестиции I равны
Y. Доход распределяется на потребление и инвестиции: Y = С +1.
Численность занятых L растет с постоянным темпом n.
Трудосберегающий технический прогресс имеет темп g, то есть число единиц труда с постоянной эффективностью в расчете на одного работающего растет с темпом g.
При сделанных предпосылках производственную функцию У можно рассматривать Y как зависимость производительности труда у=
от его капиталовооруженности k=
; y=f(k) (здесь L — число единиц труда с постоянной эффективностью, (т.е. численность занятых при отсутствии трудосберегающего технического прогресса, либо численность условных работников с одинаковой эффективностью при его наличии). Это вытекает из того, что Y= F(K, L)== LF
= LF(k). Инвестиции приводят к росту  капиталовооруженности, а выбытие капитала, рост численности работающих и числа единиц труда с постоянной эффективностью — к ее снижению. Прирост капиталовооруженности k в результате инвестиций равен i=
. Темп снижения  капиталовооруженности за счет остальных факторов равен [
+ n + g) (в точности равен, если Y, K, L — непрерывные функции времени, и приближенно равен в дискретном случае при малых (
, n, g). Величина снижения капиталовооруженности за счет этих факторов равна (
+ n + g)k.
Величина k находится в состоянии устойчивого равновесия, если ее прирост за счет инвестиций равен ее уменьшению за счет других факторов. Поскольку Y=C+I, после деления этого тождества на L имеем y = c + i, где у — доход, с — потребление, a i — инвестиции на одну единицу труда с постоянной эффективностью. Следовательно, величина I равна аf(k) Условие стабильности показателя k, таким образом, записывается как

и величина k* называется устойчивым уровнем капиталовооруженности.1
Таким образом, общий алгоритм математического моделирования предусматривает возможность включения дополнительного элемента в модель. Необходимо учитывать, что экономика находится в процессе постоянного развития, и модель должна отражать потенциальные возможности этого развития. При этом открываются возможности более глубокого понимания экономических процессов и получения объективных знаний об их динамике.


Моделирование в экономике


Моделирование в экономике и его использование в развитии и формализации экономической теории Современная экономическая теория, как на микро-, так и на макроуровне, включает как естественный, необходимый элемент математические модели и методы. Использование математики в экономике позволяет, во-первых, выделить и формально описать наиболее важные, существенные связи экономических переменных и объектов: изучение столь сложного объекта предполагает высокую степень абстракции. Во-вторых, из четко сформулированных исходных данных и соотношений методами дедукции можно получать выводы, адекватные изучаемому объекту в той же мере, что и сделанные предпосылки. В-третьих, методы математики и статистики позволяют индуктивным путем получать новые знания об объекте: оценивать форму и параметры зависимостей его переменных, в наибольшей степени соответствующие имеющимся наблюдениям. Наконец, в-четвертых, использование языка математики позволяет точно и компактно излагать положения экономической теории, формулировать ее понятия и выводы.
Математические модели использовались с иллюстративными и исследовательскими целями еще Ф.Кенэ (1758 г. «Экономическая таблица»), А.Смитом (классическая макроэкономическая модель), Д.Рикардо (модель международной торговли). В XIX веке большой вклад в моделирование рыночной экономики внесла математическая школа (Л.Вальрас, О.Курно, В.Парето. Ф.Эджворт и др.). В XX веке математические методы моделирования применялись очень широко, с их использованием связаны практически все работы, удостоенные Нобелевской премии по экономике (Д.Хикс. Р.Солоу. В.Леонтьев, П.Самуэльсон и др.). Развитие микроэкономики, макроэкономики, прикладных дисциплин связано с все более высоким уровнем их формализации. Основу для этого заложил прогресс в области прикладной математики — теории игр, математического программирования, математической статистики. В России в начале XX века большой вклад в математическое моделирование экономики внесли В.К. Дмитриев и Е.Е. Слуцкий. В 1930-1950 годы в этой области не наблюдалось прогресса вследствие идеологических ограничений тоталитарного режима. В 1960-1980 г.г. экономико-математическое направление возродилось (B.C. Немчинов, В.В. Новожилов. Л.В. Канторович), но было связано в основном с попытками формально описать «систему оптимального функционирования социалистической экономики» (Н.П. Федоренко, С.С. Шаталин и др.). Строились многоуровневые системы моделей народно-хозяйственного планирования, оптимизационные модели отраслей и предприятий. Сейчас важной задачей является моделирование процессов переходного периода.
Любое экономическое исследование всегда предполагает объединение теории (экономической модели) и практики (статистических данных). Мы используем теоретические модели для описания и объяснения наблюдаемых процессов и собираем статистические данные с целью эмпирического построения и обоснования моделей.
Экономические модели. Для изучения различных экономических явлений экономисты используют их упрощенные формальные описания, называемые экономическими моделями. Примерами экономических моделей являются модели потребительского выбора, модели фирмы, модели экономического роста, модели равновесия на товарных, факторных и финансовых рынках и многие другие. Строя модели, экономисты выявляют существенные факторы, определяющие исследуемое явление и отбрасывают детали не существенные для решения поставленной проблемы.  Формализация основных  особенностей функционирования экономических объектов позволяет оценить возможные последствия воздействия на них и использовать такие оценки в управлении.
Методика построения экономической модели.
1. Формулируются предмет и цели исследования.
2. В рассматриваемой экономической системе выделяются структурные или функциональные элементы, соответствующие данной цели, выявляются наиболее важные качественные характеристики этих элементов.
3. Словесно, качественно описываются взаимосвязи между элементами модели.
4. Вводятся  символические  обозначения  для учитываемых  характеристик экономического объекта и формализуются, насколько возможно, взаимосвязи между ними. Тем самым формулируется математическая модель.
5. Проводятся расчеты по математической модели и анализируется полученное решение.
Следует различать математическую структуру модели и ее содержательную интерпретацию.
Роль моделей в экономической теории и принятии решений. Экономические модели позволяют выявить особенности функционирования экономического объекта и на основе этого предсказывать будущее поведение объекта при изменении каких-либо параметров. В модели все взаимосвязи переменных могут быть оценены количественно, что позволяет получить более точный и надежный прогноз.
Для любого экономического субъекта возможность прогнозирования ситуации означает, прежде всего, получение лучших результатов или избежание потерь, в том числе и в государственной политике.
По своему определению любая экономическая модель абстрактна и, следовательно, неполна, поскольку, выделяя наиболее существенные факторы, определяющие закономерности функционирования рассматриваемого экономического объекта, она абстрагируется от других факторов, которые, несмотря на свою относительную малость, все же в совокупности могут определять не только отклонения в поведении объекта, но и само его поведение. Так, в простейшей модели спроса считается, что величина спроса на какой-либо товар определяется его ценой и доходом потребителя. На самом же деле на величину спроса оказывает также влияние ряд других факторов: вкусы и ожидания потребителей, цены на другие товары, воздействие рекламы, моды и так далее. Обычно предполагают, что все факторы, не учтенные явно в экономической модели, оказывают на объект относительно малое результирующее воздействие в интересующем нас аспекте. Состав учтенных в модели факторов и ее структура могут быть уточнены в ходе совершенствования модели.


Моделирование


Моделирование Хотя некоторые модели, используемые наукой управления, настолько сложны, что без компьютера обойтись невозможно, концепция моделирования проста. По определению Шеннона: «Модель — это представление объекта, системы или идеи в некоторой форме, отличной от самой целостности». Схема организации, к примеру, это и есть модель, представляющая ее структуру.
Главной характеристикой .модели можно считать упрощение реальной жизненной ситуации, к которой она применяется. Поскольку форма модели менее сложна, а не относящиеся к делу данные, затуманивающие проблему в реальной жизни, устраняются, модель зачастую повышает способность руководителя к пониманию и разрешению встающих перед ним проблем. Модель также помогает руководителю совместить свой опыт и способность к суждению с опытом и суждениями экспертов.
Существует ряд причин, обусловливающих использование модели вместо попыток прямого взаимодействия с реальным миром. К ним относятся: естественная сложность многих организационных ситуаций, невозможность проведения экспериментов в реальной жизни, даже когда они необходимы, и ориентация руководства на будущее.
Сложность. Как все школы управления, наука управления стремится быть полезной в разрешении организационных проблем реального мира. Может показаться странным, что возможности человека повышаются при взаимодействии с реальностью с помощью ее модели. Но это так, поскольку реальный мир организации исключительно сложен и фактическое число переменных, относящихся к конкретной проблеме, значительно превосходит возможности любого человека и постичь его можно, упростив реальный мир с помощью моделирования.
Эксперимент. Встречается множество управленческих ситуаций, в которых желательно опробовать и экспериментально проверить альтернативные варианты решения проблемы. Конечно, руководители фирмы были бы не правы, если бы вложили огромные средства в новое изделие, сначала не установив экспериментально, что оно будет функционировать как намечено, и, вероятно, будет принято потребителями. Определенные эксперименты в условиях реального мира могут и должны быть выполнены. Когда фирма «Боинг» проектирует       самолет, «Ниссан» — новый автомобиль, «Ай Би Эм» — новую модель компьютера,    всегда изготавливают образец, проверяют его в реальных условиях и только потом начинают полномасштабное производство. Но прямое экспериментирование такого типа дорого стоит и требует времени. Представьте, сколько стоил бы автомобиль и    мало было бы в нем нововведений, если бы фирма «Дженерал Моторс» в самом деле изготавливала и испытывала каждую из тысяч деталей, придуманных инженерами.
Существуют бесчисленные критические ситуации, когда требуется принять решение, но нельзя экспериментировать в реальной жизни. К примеру, когда фирма «Фольксваген» решила построить производственное предприятие в США, ей пришлось выбирать место с достаточным обеспечением рабочей силой, благоприятными условиями налогообложения и экономически подходящее с точки зрения приемки необходимых материалов и отгрузки готовых автомобилей. Ей пришлось затем определять последовательность сборки многих тысяч деталей модели «Рэббит», выяснять, какие детали завод мог бы производить сам, а какие покупать, устанавливать необходимые уровни запасов каждой детали. Ясно, что фирма не могла решить эти проблемы, построив в порядке эксперимента в каждом возможном месте по заводу, да    и по нескольким проектам.
Ориентация управления на будущее. Невозможно наблюдать явление, которое еще не существует и может быть никогда не состоится, как и проводить прямые эксперименты. Однако многие руководители стремятся рассматривать только реальное и осязаемое, и это, в конечном счете, должно выразиться в их повороте к чему-то видимому. Моделирование — единственный к настоящему времени систематизированный способ увидеть варианты будущего и определить потенциальные последствия альтернативных решений, что позволяет их объективно сравнивать. Как указывает Дэвид Б. Херц:
«Руководитель должен выбрать лучшую из имеющихся альтернатив, чтобы распределить свои ресурсы, установить для     и других последовательность действий, привлечь новых людей и материальные ресурсы. Для этого ему нужно довериться некоторым описаниям особенностей и стабильности среды, в которой проявятся последствия решений как в краткой, так и долгосрочной перспективе. Он должен представлять всю неопределенность такой среды, которая является .одновременно неизбежной и непредсказуемой».
Модели науки управления в наибольшей мере приспособлены к целям управления и как мощное аналитическое средство позволяют преодолевать множество проблем, связанных с принятием решений в сложных ситуациях.
Прежде чем рассматривать широко используемые современными организациями модели и задачи, для решения которых они наиболее пригодны, необходимо вкратце описать три базовых типа моделей. Речь идет о физических, аналоговых и математических моделях.
Физическая модель представляет то, что исследуется с помощью увеличенного или уменьшенного описания объекта или системы. Как указывает Шеннон: «Отличительная характеристика физической (называемой иногда «портретной») модели состоит в том, что в некотором смысле она выглядит как моделируемая целостность».
Примеры физической модели — синька чертежа завода; его уменьшенная фактическая модель; уменьшенный в определенном масштабе чертеж проектировщика. Такая физическая модель упрощает визуальное восприятие и помогает установить, сможет ли конкретное оборудование физически разместиться в пределах отведенного для него места, а также разрешить сопряженные проблемы, например, размещение дверей, ускоряющее движение людей и материалов. Автомобильные и авиационные предприятия всегда изготавливают физические уменьшенные копии новых средств передвижения, чтобы проверить определенные характеристики типа аэродинамического сопротивления. Будучи точной копией, модель должна вести себя аналогично разрабатываемому новому автомобилю или самолету, но при этом стоит она много меньше настоящего. Подобным образом строительная компания всегда строит миниатюрную модель, прежде чем начать' строительство производственного или административного корпуса или склада.
Аналоговая модель представляет исследуемый объект аналогом, который ведет себя как реальный объект, но не выглядит как таковой. График, иллюстрирующий соотношения между объемом производства и издержками ( 16.1.4), является аналоговой моделью. График показывает, как влияет уровень производства на издержки.

Другой пример аналоговой модели — организационная схема. Выстраивая ее, руководство в состоянии легко представить себе цепи прохождения команд и формальную зависимость между индивидами и деятельностью. Такая аналоговая модель явно более простой и эффективный способ восприятия и проявления сложных взаимосвязей структуры крупной организации, чем, скажем, составление перечня взаимосвязей всех работников.
Математическая модель.  В  математической модели,  называемой  также символической, используются символы для описания свойств или характеристик объекта или события. Пример математической модели и аналитической ее силы как средства, помогающего нам понимать исключительно сложные проблемы, — известная формула Эйнштейна Е == mc2. Если бы Эйнштейн не смог построить эту математическую модель, в которой символы заменяют реальность, маловероятно, чтобы у физиков появилась даже отдаленная идея о взаимосвязи материи и энергии.
Постановка задачи. Первый и наиболее важный этап построения модели, способный обеспечить правильное решение управленческой проблемы, состоит в постановке задачи. Правильное использование математики или компьютера не принесет никакой пользы, если сама проблема не будет точно диагностирована. Согласно Шеннону: «Альберт Эйнштейн однажды сказал, что правильная постановка задачи важнее даже, чем ее решение. Для нахождения приемлемого или оптимального решения задачи нужно знать, в чем она состоит. Как ни просто и прозрачно данное утверждение, чересчур многие специалисты в науке управления игнорируют очевидное. Миллионы долларов расходуются ежегодно на поиск элегантных и глубокомысленных ответов на неверно поставленные вопросы».
Рассматривая эту тему, Чарлз Дж. Хитч, работавший ранее в министерстве обороны, указывает: «По опыту знаю, что самое трудное для специалиста по системному анализу — не техника анализа. По сути дела, методы, используемые нами в бюро министра обороны, как правило, просты и старомодны. Полезного и продуктивного аналитика отличает умение сформулировать (спроектировать) задачу».
Далее, из того только, что руководитель осведомлен о наличии проблемы, вовсе не следует факт идентификации истинной проблемы. Руководитель обязан уметь отличать симптомы от причин. Рассмотрим для примера фармацевтическую компанию, получающую множество жалоб от аптек из-за задержек с выполнением их заказов. Истинная проблема, как оказалось, не в этой задержке. Изучение вопроса показало, что заказы задерживаются из-за производственных затруднений на трех химических предприятиях фирмы. Это было вызвано нехваткой исходных химических реагентов и запасных частей к оборудованию, что в свою очередь было обусловлено некачественным прогнозированием потребности в материалах и запасных частях.


Мотивация труда


Мотивация труда Побуждение работников предприятия к реализации поставленных перед ними целей и задач является объективной необходимостью и осознается всеми руководителями. Однако в течение длительного периода наука управления персоналом преувеличивала значение материальных стимулов.
В результате проведенных исследований было установлено, что удовлетворенность работников материальными условиями труда (заработной платой, пособиями и др.) далеко не во всех случаях приводит к повышению производительности труда. Как показывает практика, наиболее эффективными стимулирующими факторами являются соответствие выполняемой работы потребностям человека в признании его как личности и возможность самовыражения.
Например, в результате одного из многочисленных опросов рабочих, проводимых в целях выяснения их отношения к труду, было установлено, что самыми главными их желаниями являются уверенность в постоянной занятости, затем потребность в признании и уважении, а также интерес к работе.
Размер же заработной платы занимал одно из последних мест в списке первоочередных потребностей рабочих.
Подобные настроения работников заставляют руководителей предприятий придавать большее значение не административным методам управления и материального стимулирования, а мотивации труда.
Мотивация труда — это одна из важнейших функций менеджмента, представляющая собой стимулирование работника или группы работников к деятельности по достижению целей предприятия через удовлетворение их собственных потребностей.
Потребности рассматриваются в данном контексте как осознанное отсутствие чего-либо, вызывающего побуждение к действию, и разделяются на первичные (врожденные) и вторичные (образующиеся в ходе приобретения определенного жизненного опыта).
На 25.2.2 приведена одна из наиболее распространенных за рубежом классификаций потребностей — иерархия потребностей по А.Маслоу.

Раскрывая содержание схемы, заметим, что:
- потребность в самовыражении — это потребность полностью развить свой творческий потенциал относительно работы, потребность вырастить, дать воспитание и образование своим детям и др.;
- потребность в уважении — это потребность в самоуважении и уважении других людей, престиже, славе и др.;
- социальные потребности связаны с желанием человека входить в какую-либо группу людей, поддерживать с членами этой группы дружеские отношения и др.;
- потребность безопасности — это потребность в защите и порядке;
- к физиологическим потребностям относятся потребности в пище, тепле, жилище и др.
Согласно теории Маслоу, пять приведенных основных типов потребностей людей определяют поведение человека. При этом потребности более высокого уровня не мотивируют его поведение, если хотя бы частично не удовлетворены потребности нижнего уровня.
Однако эта иерархическая структура не является абсолютно жесткой и относительная значимость потребностей в различных странах может меняться.
Существуют и другие, тоже достаточно распространенные классификации потребностей работников (например, разделение их на материальные, духовные и социальные).
Теория потребностей Маслоу и его последователей (Херцберг, Мак-Грегор и др.) находит свое выражение в разработанных на предприятиях конкретных системах мотивации (стимулирования) труда.
Основными формами мотивации (стимулирования) работников предприятия являются следующие.
1. Заработная плата, характеризующая оценку вклада работника в результаты деятельности предприятия (абсолютная величина и соотношение с уровнем оплаты других работников предприятия). Она должна быть сопоставима и конкурентоспособна с оплатой труда на аналогичных предприятиях отрасли и региона.
Заработок работника определяется в зависимости от его квалификации, личных способностей и достижений в труде и включает различные доплаты и премии. К нему приплюсовываются доходы от участия в прибылях и в акционерном капитале предприятия.
2. Системы внутрифирменных льгот работникам предприятия:
- субсидированное и льготное питание, установка на предприятии автоматов для продажи горячих напитков и закусок;
- продажа продукции предприятия своим работникам со скидкой (обычно 10% и более);
- полная или частичная оплата расходов на проезд работника к месту работы и обратно;
- предоставление своим работникам беспроцентных ссуд или ссуд с низким уровнем процента;
- предоставление права пользования транспортом фирмы; оплата больничных листов сверх определенного уровня, страхование здоровья работников за счет предприятия;
- эффективное премирование, доплаты за стаж работы на предприятии и др.
3. Нематериальные (неэкономические) льготы и привилегии персоналу:
- предоставление права на скользящий, гибкий график работы;
- предоставление отгулов, увеличение продолжительности оплачиваемых отпусков за определенные достижения и успехи в работе;
- более ранний выход на пенсию и др.
4. Мероприятия, повышающие содержательность труда, самостоятельность и ответственность работника, стимулирующие его квалификационный рост.
Привлечение работников к управлению предприятием также повышает их мотивацию, поскольку в данном случае решается проблема отчуждения их от предприятия и его руководителей.
Всемерное развитие горизонтальных связей и горизонтальных структур управления является организационной основой для мотивации работников.
5. Создание благоприятной социальной атмосферы, устранение статусных, административных, психологических барьеров между отдельными группами работников, между рядовыми работниками и работниками аппарата управления, развитие доверия и взаимопонимания внутри коллектива.
Образование различных неформальных функциональных групп работников (например, кружки качества), участие в которых формирует чувство непосредственной причастности к делам своего предприятия. Моральное поощрение работников.
6. Продвижение работников по службе, планирование их карьеры, оплата обучения и повышения квалификации.
Данные мероприятия по повышению мотивации труда позволяют более эффективно использовать трудовой потенциал предприятия и повысить его конкурентоспособность на рынке.1


Мультипликатор экономического роста


Рост резервной нормы увеличивает количество ресурсов, которые должны будут держать коммерческие банки в Центральном банке России. При понижении резервной нормы при прежних размерах финансовых ресурсов коммерческие банки могут выдавать кредиты в больших размерах.
Наиболее радикальным средством влияния на производство является регулирование процентных ставок за кредиты. Решение об изменении ставки рефинансирования Центробанка РФ автоматически отражается на процентных ставках коммерческих банков. Чем выше уровень процентных ставок, тем менее привлекательными оказываются кредиты (особенно долгосрочные), и наоборот. Ставки за кредиты в размере 100, 150% годовых с учетом инфляции становятся непреодолимой преградой для заемщиков средств на осуществление долговременных проектов. Снижение процентных ставок Центробанком страны обычно способствует оживлению капитального строительства, производства строительных материалов и конструкций, машин и оборудования, техническому обновлению предприятий, создает базу экономического роста в целом по стране.
Непосредственное влияние на материальное производство государство оказывает путем бюджетного финансирования инвестиций. Теории рыночной экономики оперируют понятием мультипликатора экономического роста, который свидетельствует о величине
изменения производства в зависимости от изменений объемов инвестиций в экономику. Возможные изменения объемов производства (индексы) рассчитываются по формуле
Инд= М*Iинв,                                                                             (19.4.1)
где  М — мультипликатор экономического роста;
Iинв — индекс первоначального изменения инвестиций.
В России в последние годы принят ряд законодательных и других нормативных актов, касающихся инвестиционной политики: федеральные законы об инвестиционной деятельности в стране, об основах бюджетного устройства и бюджетного процесса в Российской Федерации, постановления Правительства РФ, утвердившие Положения о финансировании и кредитовании капитального строительства на территории Российской Федерации, комплексную программу стимулирования отечественных и иностранных инвестиций в экономику России.
Государственное регулирование инвестиционной деятельности осуществляется путем поддержки инвестиционных проектов посредством направления финансовых ресурсов на выполнение целевых программ и на другие государственные нужды. Средства на эти цели предусматриваются в государственном бюджете и в некоторых внебюджетных фондах.
Основной контроль за использованием централизованно выделяемых финансовых ресурсов на инвестиции в производственную сферу ложится на Министерство экономики, Министерство финансов и особенно Казначейство РФ.
Одной из форм воздействия государства на инвестиционные процессы в стране является участие в осуществлении коммерческих проектов. Оно допускается в размере 20% необходимых средств для реализации проектов в том случае, если срок окупаемости затрат по ним не более двух лет. Государственные инвестиции предоставляются в порядке конкурсного отбора прошедших экономическую экспертизу предложений. В особых случаях доля государства в финансировании коммерческих проектов может быть по решению высших органов государственной власти повышена. Например, согласно Указу Президента РФ от 17 октября 1995 г. Московскому акционерному обществу «Завод имени И.А. Лихачева» разрешено участвовать в конкурсе на получение государственных капитальных вложений для реализации коммерческих проектов при условии, что само АО вкладывает не менее 60% собственных и заемных средств.
Финансовая поддержка из средств федерального бюджета предоставляется предприятиям всех организационно-правовых форм и видов собственности выделением ссуд на срок, не выходящий за пределы финансового года, на возвратной основе и за плату в размере, обеспечивающем оплату процентов по государственному долгу, т.е. фактически без процентов. Финансовая поддержка может быть предоставлена также в виде отсрочки в уплате налогов. Краткосрочная финансовая поддержка предоставляется:
- на проведение структурной перестройки производства;
- для расчетов по кредитам, взятым на закупку оборудования и материалов;
- на разработку, внедрение и приобретение новых технологий, оборудования и материалов, в том числе за рубежом.
Акционерные и частные предприятия отвечают за выданные ссуды при их невозврате своим имуществом. Руководители государственных предприятий и акционерных обществ, где держателем акций является государство, при заявке на получение ссуды дают согласие на переоформление их трудовых контрактов на контракты, заключаемые в соответствии с Указом Президента РФ от 10 июня 1994 г. «О мерах по обеспечению государственного управления экономикой», согласно которому решение об освобождении от работы руководителя предприятия может принимать орган власти.
Приняты законодательные акты о государственном регулировании тарифов на электрическую и тепловую энергию, газ, перекачку, перевалку и налив нефти. Угольная промышленность раньше получала дотации за счет введенного в 1994 г. специального налога, а в настоящее время — за счет других доходных источников бюджета Российской Федерации. Для предприятий по добыче нефти установлен льготный порядок экспорта продукции.
Для обеспечения баланса интересов потребителей и производителей государство регулирует деятельность коммерческих и некоммерческих организаций, являющихся естественными монополиями. К числу естественных монополий относятся фирмы по передаче электроэнергии, транспортировке нефти и газа, железнодорожным перевозкам, перевозу товаров любым транспортом в труднодоступные регионы РФ, услуги связи и др. Образованы государственные  органы,  призванные  контролировать  деятельность естественных монополий и других монополистических образований в России.
Одним из способов воздействия на важнейшие отрасли сырьевого и обрабатывающел о комплексов является система государственного заказа. Согласно федеральному закону РФ «О поставках продукции для общегосударственных нужд» государственный заказ может размещаться на предприятиях, в организациях и учреждениях любой формы собственности. Госзаказ на поставку продукции размещается для создания и поддержания государственных материальных резервов, обеспечения необходимого уровня обороноспособности страны и ее безопасности, выполнения экспортных поставок, реализации федеральных программ. Поставки продукции для федеральных нужд финансируются за счет средств федерального бюджета и внебюджетных источников, привлекаемых для этих целей.
Элементом государственного регулирования деятельности предприятий является применение процедуры банкротства (несостоятельности). Несостоятельность предприятия свидетельствует о том, что оно не может нормально функционировать в складывающихся на рынке условиях и должно реорганизоваться или прекратить свое существование как хозяйственная единица. С государственных позиций прекращение деятельности предприятий может быть нежелательным даже при их убыточности. Поэтому государственные предприятия, утратившие возможность самостоятельного хозяйствования, то есть предприятия-банкроты, могут получить статус казенного завода. При этом в структуре федеральной исполнительной власти создаются органы, имеющие широкие полномочия по управлению казенными предприятиями, особенно по планированию и финансированию.
Производственно-хозяйственная деятельность казенного завода осуществляется в соответствии с планом-заказом и планом развитии завода, которые разрабатываются на основе выявляемой уполномоченным органом потребности в продукции (работах, услугах), производимой заводом с целью обеспечения поставок для государственных нужд. Заводу за три месяца до начала планируемого года доводится утвержденный план-заказ в составе следующих показателей:
- объем поставок продукции (работ, услуг), производимой заводом в натуральном выражении с указанием номенклатуры и ассортимента требований к качеству продукции (работ, услуг), сроков поставок, цен и условий их изменения;
- фонд оплаты труда и норматив уменьшения его при невыполнении показателей плана-заказа;
- лимит численности работников;
- объем средств, выделяемых из бюджета, и условий их предоставления. Для организации работы по поставкам продукции Правительство Российской Федерации утверждает государственных заказчиков, которыми могут быть федеральные органы исполнительной власти, казенные предприятия или государственные учреждения. На государственных заказчиков возложена обязанность по заключению договоров с поставщиками продукции. Правительство предоставляет гарантии по обязательствам государственного заказчика. Государственным контрактом может быть предусмотрен контроль за ходом работ по выполнению договора поставок, но без вмешательства в оперативно-хозяйственную деятельность поставщика продукции.
Размещение государственных заказов на поставку продукции проводится путем организации торгов, конкурсов, аукционов. Для предприятий-монополистов и казенных заводов может быть предусмотрен режим обязательного заключения контрактов на поставку продукции для федеральных государственных нужд. В случае необоснованного


Налог на имущество иностранных юридических лиц


Порядок исчисления и уплаты налога на имущество иностранных юридических лиц Плательщиками налога на имущество являются иностранные юридические лица, имеющие имущество в Российской Федерации.
Иностранные юридические лица, имеющие имущество в Российской Федерации, но не осуществляющие какой-либо деятельности в Российской Федерации, или их уполномоченные представители обязаны направлять уведомления о таком имуществе в государственную налоговую инспекцию по субъекту Российской Федерации по месту нахождения имущества и копии в Государственную налоговую службу Российской Федерации по соответствующей форме.
Уведомление направляется в месячный срок с момента возникновения права собственности или получения в аренду имущества с последующим переходом права собственности к арендатору.
Для иностранных юридических лиц, направивших уведомления, не требуется представления каких-либо еще документов для постановки на учет в налоговых органах в связи с наличием имущества в Российской Федерации.
В случаях, если имущество иностранного юридического лица является одновременно источником доходов, о котором направлено уведомление в налоговые органы в соответствии с Инструкцией Госналогслужбы России от 16 июня 1995 г. № 34 «О налогообложении прибыли и доходов иностранных юридических лиц», или если оно относится к имуществу, ввозимому в Российскую Федерацию и реализуемому через комиссионеров или поверенных, а также к имуществу, ввезенному в рамках внешнеторговых контрактов до перехода права собственности к импортеру, уведомление в налоговые органы не направляется.
Учет в налоговых органах иностранных юридических лиц, имеющих имущество в Российской Федерации, производится путем их включения в Государственный реестр налогоплательщиков на основании поданного уведомления.
При постановке на учет в налоговом органе иностранному юридическому лицу присваивается идентификационный номер налогоплательщика, который указывается во всех документах, представляемых в налоговые органы, и в расчетно-платежных документах, связанных с уплатой налога.
Объектом налогообложения имущества иностранных юридических лиц являются основные средства, нематериальные активы, малоценные и быстроизнашивающиеся предметы, запасы, включая находящиеся в Российской Федерации на условиях временного ввоза, а также затраты по производству продукции (работ, услуг) указанных организаций в России и расходы будущих периодов.
К облагаемому налогом имуществу относится имущество, находящееся в собственности иностранного юридического лица, а также переданное иностранному юридическому лицу российским или иностранным лицом по договору аренды с последующим переходом права собственности к арендатору.
Отнесение имущества к основным средствам, нематериальным активам, запасам, малоценным и быстроизнашивающимся предметам и затратам производится в соответствии с нормативно-правовыми актами Российской Федерации.
Основой для определения стоимости основных средств, нематериальных активов, малоценных и быстроизнашивающихся предметов для целей налогообложения является остаточная стоимость, определяемая исходя из первоначальной стоимости (стоимости приобретения), с учетом начисленного износа по законодательству страны постоянного местопребывания иностранного юридического лица. При этом суммы начисленной амортизации по законодательству страны постоянного местопребывания, принимаемые в уменьшение стоимости имущества, для целей налогообложения не могут превышать за год следующих размеров:
- категория А (здания и сооружения) — 5%;
- категория Б (автомобили легковые, конторская мебель и оборудование, компьютеры, информационные системы и средства обработки данных) — 25%;
- категория С (другое имущество) — 15%.
Имущество, приобретаемое в Российской Федерации, подлежит оценке в совокупности с имуществом, ввозимым иностранным юридическим лицом из-за границы.
Оценка стоимости имущества производится по цене приобретения его отделением или по стоимости этого имущества у головного офиса на момент передачи отделению в Российской Федерации с учетом фактически произведенных затрат по его транспортировке, установке, таможенных платежей и других затрат.
Моментом передачи отделению имущества головного офиса считается дата принятия к оформлению грузовой таможенной декларации.
Для определения стоимости имущества в первый год приобретения могут приниматься во внимание также данные, указанные в грузовых таможенных декларациях.
В случае отсутствия счетов на приобретение имущества в Российской Федерации, а также если стоимость имущества не отражена в выписке из головного офиса, данное имущество учитывается для целей налогообложения по рыночным ценам.
Затраты, подлежащие налогообложению, рассчитываются как разница между суммой затрат отчетного периода, относимых на издержки производства и обращения в соответствии с законодательством Российской Федерации, и суммой затрат, фактически отнесенных в этом же отчетном периоде к завершенной производством продукции (работам, услугам).
В случае если не представляется возможным определить затраты, отнесенные к завершенной производством продукции (работам, услугам), затраты, учитываемые для налогообложения, рассчитываются исходя из общей суммы затрат в каждом отчетном периоде с применением коэффициента 0,25.
Первичный учет имущества, приобретенного за иностранную валюту, ведется в валюте приобретения. Стоимостная оценка имущества, учитываемого в иностранной валюте, производится в каждом отчетном периоде путем пересчета в рубли по курсу Банка России или по курсу рубля к иностранным валютам, рассчитанному через курсы к третьей валюте (кросс-курсу), действующему на последний календарный день отчетного периода.
Для целей налогообложения определяется среднегодовая стоимость имущества иностранного юридического лица. Среднегодовая стоимость имущества за отчетный период (квартал, полугодие, 9 месяцев и год) определяется путем деления на 4 суммы, полученной от сложения половины стоимости имущества на 1 января отчетного года и на 1-е число следующего за отчетным периодом месяца, а также суммы стоимости имущества на каждое 1-е число кварталов отчетного периода.
Сумма налога, подлежащая уплате в бюджет, определяется с учетом ранее начисленных платежей за отчетный период.
Стоимость имущества на 1-е число месяца, следующего за отчетным кварталом, определяется с учетом затрат отчетного периода, не отнесенных в этом периоде к завершенной производством продукции (работам, услугам).
Если при определении стоимости имущества не представляется возможным установить затраты, отнесенные к завершенной производством продукции (работам, услугам), затраты на 1-е число месяца, следующего за отчетным кварталом, рассчитываются исходя из общей суммы затрат в том же отчетном периоде с применением коэффициента 0,25.
Если отделение иностранного юридического лица начинает свою деятельность с начала какого-либо квартала (кроме первого), среднегодовая стоимость имущества определяется как частное от деления на 4 суммы, полученной от сложения половины стоимости имущества на 1-е число квартала, в котором начата деятельность (1 апреля, 1 июля, 1 октября), половины стоимости имущества на 1-е число месяца, следующего за отчетным периодом, и стоимости имущества отделения на 1-е число всех остальных кварталов отчетного периода.
Если отделение начинает свою деятельность в первой половине квартала (до 15-го числа второго месяца квартала включительно), то при исчислении среднегодовой стоимости имущества период до момента начала деятельности принимается за полный квартал; если отделение начинает свою деятельность во второй половине квартала, то среднегодовая стоимость рассчитывается, начиная с 1-го числа квартала, следующего за кварталом, в котором начата деятельность данного отделения.
В случае если международным соглашением предусматривается, что какая-либо часть имущества не подлежит налогообложению в Российской Федерации, указанное имущество включается в расчет среднегодовой стоимости имущества. При этом для целей налогообложения из среднегодовой стоимости имущества вычитается стоимость указанной части имущества.
Стоимость имущества, объединенного в целях осуществления совместной деятельности без образования юридического лица, для целей налогообложения принимается в расчет участниками договоров о совместной деятельности, внесшими это имущество.
Не облагается налогом имущество иностранных юридических лиц, освобожденное от налогообложения в соответствии с законодательством Российской Федерации и международными договорами, включая имущество дипломатических и приравненных к ним представительств.
Среднегодовая стоимость имущества иностранного юридического лица, исчисленная для целей налогообложения, уменьшается на стоимость имущества, не подлежащего налогообложению в соответствии с законодательством Российской Федерации.
Предельный размер налоговой ставки на имущество иностранных юридических лиц не может превышать установленного законом уровня. Конкретные ставки устанавливаются законодательными (представительными) органами субъектов Российской Федерации.
При отсутствии решений законодательных (представительных) органов субъектов Российской Федерации об установлении конкретных ставок налога на имущество применяется максимальная ставка налога, предусмотренная Законом Российской Федерации «О налоге на имущество предприятий».
Сумма налога на имущество исчисляется плательщиками самостоятельно ежеквартально, нарастающим итогом с начала года, исходя из определяемой за отчетный период среднегодовой стоимости имущества и ставки налога. Исчисленная сумма налога вносится в бюджет по месту нахождения имущества; расчеты сумм налога и среднегодовой стоимости имущества осуществляются до 30-го числа месяца, следующего за отчетным кварталом, а по годовому расчету — в сроки, установленные для представления декларации о доходах.
К годовому расчету прилагается также выписка из головного офиса иностранного юридического лица, заверенная печатью и подписью, об имуществе, переданном отделению в Российской Федерации.
Уплата налога производится:
- по квартальным расчетам — в 5-дневный срок со дня, установленного для представления расчета за квартал;
- по годовым расчетам — в 10-дневный срок со дня, установленного для представления годового расчета.
Последовательность действий по задействованию экономических факторов, относящихся к внешнеэкономической деятельности, включает правительственные правила и законы, изменяющие или контролирующие международные экономические отношения. Государственное регулирование международных экономических отношений выделено в отдельный пункт в связи с большой степенью его влияния на развитие экономики в целом.


Налог на прибыль предприятий, объединений и организаций


Налог на прибыль предприятий, объединений и организаций Налог на прибыль наряду с налогом на добавленную стоимость является составным элементом налоговой системы России и служит инструментом перераспределения национального дохода.
Однако в отличие от НДС данный налог является прямым, т.е. его окончательная сумма целиком и полностью зависит от конечного финансового результата хозяйственной деятельности предприятий и организаций.
Плательщиками налога на прибыль являются предприятия и организации, их филиалы и другие аналогичные подразделения, имеющие отдельный баланс и расчетный счет.
Объектом обложения налогом является валовая прибыль, которая представляет собой сумму прибыли (убытка) от реализации продукции (работ, услуг), основных фондов, иного имущества предприятия и доходов от внереализационных операций, уменьшенных на сумму расходов по этим операциям.
Решение проблем, связанных с правильным применением действующего законодательства о налогообложении прибыли предприятий и организаций, следует начинать с ответа на следующий вопрос: «Какие средства, полученные предприятием при его создании и в процессе осуществления финансово-хозяйственной деятельности как в денежной, так и в материально-вещественной форме, следует считать доходами, подлежащими обложению налогом на прибыль?»
Для этих целей предприятия следует разделить на две основные группы: 1) осуществляющие деятельность в целях получения прибыли (дохода); 2) не преследующие цели получения дохода.
К первой группе относятся практически все предприятия, созданные для осуществления предпринимательской деятельности.
Ко второй группе предприятий следует отнести бюджетные организации, т.е. предприятия, расходы которых, связанные с осуществлением основной деятельности, полностью или частично покрываются из бюджетов всех уровней, а также некоммерческие организации (общественные организации и фонды, концерны, объединения и союзы предприятий, международные некоммерческие организации и фонды), деятельность которых согласно условиям, определенным в их уставах, финансируется главным образом за счет средств учредителей.
В состав доходов предприятий, относящихся ко второй группе, не включаются средства, полученные как в денежной, так и в материально-вещественной форме (основные средства, нематериальные активы, материалы, фактически произведенные затраты и т.п.) в результате целевых отчислений на содержание таких предприятий от других предприятий и организаций (так называемые спонсорские взносы), членские вступительные взносы, долевые ( паевые и целевые) вклады участников этих предприятий. К этой же группе средств относятся «гранты», которые следует понимать как целевые средства, предоставляемые безвозмездно иностранными благотворительными организациями предприятиям и организациям в денежной или натуральной форме на проведение научно-исследовательских и опытно-конструкторских работ, обучение, лечение и другие цели с последующим отчетом об их использовании.
Для всех без исключения предприятий не включаются в состав налогооблагаемой прибыли следующие средства:
а) внесенные участниками предприятия доли в уставный фонд в размерах, предусмотренных учредительными документами. Средства, направленные на пополнение уставного фонда сверх вышеназванных размеров, в полном объеме включаются в состав облагаемой налогом прибыли.
В случае, когда взнос участника в уставный фонд предприятия осуществляется в иностранной валюте по курсу Центрального банка РФ на дату подписания учредительного договора или другую дату, установленную учредительными документами, возникшая на момент фактического внесения средств в уставный фонд курсовая разница относится не на финансовые результаты, а на увеличение (уменьшение) средств фондов специального назначения;
б) объединяемые предприятиями для осуществления совместной деятельности без образования юридического лица на балансе одного из участников такой деятельности, который в соответствии с достигнутыми соглашениями выполняет обязанности по ведению учета доходов и расходов, возникающих при осуществлении совместной деятельности, в пределах размеров, установленных договором о совместной деятельности.
Не подлежат обложению налогом на прибыль также средства:
а) от добровольных пожертвований и взносов граждан;
б) полученные от учреждений банков, других кредитных учреждений, предприятий и организаций во временное пользование в виде ссуд, займов, финансовой помощи (в том числе и по договорам совместной деятельности). Если по истечению установленного договорами срока пользования временно полученными средствами, а также установленного законодательством срока исковой давности (в настоящее время срок давности составляет три года) такие средства не будут возвращены кредитору, они в полном размере включаются в состав внереализационных доходов;
в) поступившие предприятию либо филиалу или структурному подразделению, не имеющему статуса юридического лица, от других филиалов и структурных подразделений, входящих в состав данного предприятия, в порядке перераспределения средств, оставшихся в их распоряжении после уплаты налога на прибыль;
г) ассигнования из бюджета, полученные для финансирования капитальных вложений, других мероприятий целевого назначения (кроме ассигнований на покрытие убытков);
д) доходы, полученные от долевого участия в деятельности других предприятий, от акций (налогообложение таких доходов, выплачиваемых за счет средств, остающихся в распоряжении предприятий после уплаты налога на прибыль, производится по установленным ставкам у источника выплаты).
Определив перечень доходов, не подлежащих налогообложению, перейдем к рассмотрению отдельных элементов облагаемой налогом прибыли.
Прибыль от реализации продукции (работ, услуг) исчисляется исходя из полученной выручки от реализации и затрат на производство и реализацию продукции (работ, услуг), перечень которых согласно действующему законодательству устанавливается Правительством РФ. Для предприятий, осуществляющих прямой обмен или реализацию продукции (работ, услуг) по ценам ниже себестоимости, под выручкой для целей налогообложения понимается сумма сделки, которая определяется исходя из рыночных цен.
Затраты на производство продукции (работ, услуг) включаются в себестоимость продукции (работ, услуг) того отчетного периода, к которому они относятся, независимо от времени их оплаты — предварительной или последующей.
Материальные затраты включаются в себестоимость продукции (работ, услуг) в том периоде, в котором сырье, материалы, запасные части, горюче-смазочные материалы, покупные комплектующие изделия и полуфабрикаты были фактически использованы при производстве продукции (выполнении работ, оказании услуг). Такие расходы должны быть документально подтверждены путем составления соответствующим должностным лицом предприятия отчета об использовании материальных ресурсов.
Стоимость работ и услуг производственного характера, выполняемых сторонними предприятиями, производствами или хозяйствами, а также гражданами, осуществляющими предпринимательскую деятельность без образования юридического лица, включается в издержки производства и обращения в том периоде, в котором они выполнены. Для этих целей в актах о выполнении работ (оказании услуг) в обязательном порядке необходимо отражать календарный период, в котором работы выполнены (услуги оказаны).
При этом необходимо учитывать, что для включения в издержки производства и обращения стоимости работ и услуг, выполненных гражданами, зарегистрированными в установленном порядке в качестве предпринимателей, необходимо наличие в заключенных между предприятиями и гражданами хозяйственных договорах сведений о реквизитах свидетельства о регистрации, выданного местным органом государственного управления, даты выдачи свидетельства и его порядкового номера, наименования органа, выдавшего свидетельство, календарного периода, на который данное свидетельство выдано, вида предпринимательской деятельности. При отсутствии таких сведений, а также при несоответствии вида деятельности, которой гражданину разрешено заниматься без образования юридического лица, характеру работ, являющихся предметом заключенного договора, стоимость выполненных гражданином работ (оказанных услуг) включается в себестоимость продукции (работ, услуг) не по статье «Услуги производственного характера», а входит в состав расходов на оплату труда.
Затраты на оплату труда персонала предприятия, занятого в основной деятельности, работающего по трудовому соглашению (контракту), совместительству, по договорам гражданско-п^авового трактора, вджочауэтсл ъ й^гето^ймостъ продукции (^работ, услуг) в том периоде, в котором гражданами были выполнены работы (оказаны услуги), независимо от времени фактической выплаты заработной платы как по объективным (отсутствие денежных средств на расчетном счете, наличие условий, согласно которым вознаграждение выплачивается по окончании производства работ), так и субъективным (невозможность выплаты заработной платы ввиду отсутствия работника и др.) причинам. Календарный период, в котором заработная плата должна быть начислена, определяется на основании данных учета фактически отработанного времени, которое при выполнении работ по совместительству не может превышать половины установленной трудовым законодательством продолжительности рабочего дня, а по договорам подряда и другим договорам гражданско-правового характера — срок действия договора.


Налог на рекламу


Налог на рекламу Налог на рекламу является одним из самых существенных по объему поступающих платежей и возникает у предприятий и граждан, осуществляющих расходы по рекламе собственной продукции, работ и услуг.
Рекламой считается любая форма публичного представления товаров, работ, услуг через средства распространения информации.
К средствам распространения информации относятся печать (газеты, журналы, каталоги, прейскуранты, справочники, отправления прямой печатной рекламы и другой печатной продукции), эфирное, спутниковое и кабельное телевидение, радиовещание, световые газеты (бегущая строка, световая фиксированная строка), иллюстративно-изобразительные средства (щиты, вывески, афиши, календари, плакаты и т.п.), аудио- и видеозапись имуществ юридических и физических лиц и др.
Юридическое и физическое лицо, от имени которого осуществляется реклама, именуется рекламодателем.
Место, на котором размещается реклама, именуется рекламным носителем.
Юридическое или физическое лицо, осуществляющее изготовление рекламы по заявке рекламодателя, именуется рекламоизготовителем; размещающее рекламу на рекламных носителях —рекламорапространителем.
К рекламным услугам не относятся изготовление и распространение: информационных вывесок о режиме работы и правилах обслуживания потребителей, размещаемых в помещениях, используемых для реализации товаров, включая витрины; объявлений органов государственной власти и управления, содержащих информацию, связанную с вьшонением возложенных на них функций; предупреждающих табличек, содержащих сведения об ограничении производства работ, передвижений и т.д. в связи с особенностями данной территории или участка; прочих информационных сведений, объявлений, не содержащих характер рекламы.
Плательщиками налога на рекламу являются следующие рекламодатели:
- предприятия и организации независимо от. форм собственности и ведомственной принадлежности, имеющие согласно законодательству РФ статус юридических лиц, филиалы и другие аналогичные подразделения предприятий и организаций, имеющие отдельный баланс, расчетный или иной счет, а также иностранные юридические лица;
- физические лица, зарегистрированные в установленном порядке в качестве предпринимателей, осуществляющие свою деятельность на территории города.
Объектом налогообложения является стоимость работ и услуг по изготовлению и распространению рекламы собственной продукции (работ, услуг).
К расходам предприятия на рекламу относятся расходы на разработку и издание рекламных изделий (иллюстрированных прейскурантов, каталогов, брошюр, альбомов, проспектов, плакатов, афиш, рекламных писем, открыток и т.д.), разработку и изготовление эскизов этикеток, образцов оригинальных и фирменных пакетов, упаковки, приобретение и изготовление рекламных сувениров и т.д.; рекламные мероприятия через средства массовой информации (объявления в печати, передачи по радио и телевидению и т.д.); световую и иную наружную рекламу, на приобретение, изготовление, копирование, дублирование и демонстрацию рекламных кино, видео-, диафильмов и др.; хранение и экспедирование рекламных материалов; оформление витрин, выставок-продаж, комнат образцов, расходы на уценку товаров, полностью или частично потерявших свое первоначальное качество при
экспонировании в витринах; проведение иных рекламных мероприятий, связанных с предпринимательской деятельностью.
Не облагаются налогом услуги по рекламе, не преследующей коммерческие цели, включая рекламу благотворительных мероприятий.
Ставка налога на рекламу устанавливается в размере до 5% от стоимости (величины фактических затрат) рекламных работ и услуг у рекламодателя.
Налог на рекламу исчисляется исходя из установленной ставки налога и стоимости рекламных работ (услуг), определяемой исходя из фактически произведенных расходов в действующих ценах и тарифов без налога на добавленную стоимость.
Стоимость рекламных работ и услуг, оплаченных в иностранной валюте, для исчисления налога на рекламу пересчитывается в рубли по курсу Центрального банка России, действующему на момент совершения хозяйственной операции.
Если рекламодатель производит рекламные работы самостоятельно (изготавливает собственными силами иллюстративно-изобразительные и другие средства распространения рекламы и т. д.), то стоимость таких работ для целей налогообложения определяется исходя из фактически произведенных прямых (материальные затраты, затраты на заработную плату с отчислением в пенсионный фонд и на социальное страхование, амортизационные отчисления на полное восстановление оборудования, непосредственно используемого при изготовлении средств распространения рекламы, другие затраты) и косвенных, общепроизводственных и общехозяйственных расходов.
Юридические лица, являющиеся рекламодателями, ежеквартально представляют налоговым органам по месту своего нахождения в сроки, установленные для сдачи бухгалтерской отчетности, расчеты сумм налога, подлежащего перечислению в городской бюджет, согласно устанавливаемой форме.
Физические лица представляют налоговым органам расчет налога на рекламу за отчетный год одновременно с подачей декларации о фактически полученных доходах от предпринимательской деятельности, но не позднее 1 апреля года, следующего за отчетным.
Если налоговым органом в результате проверки расчетов будет установлено, что налог на рекламу подлежит взносу в большей сумме, чем показано в расчете плательщика, уплата в бюджет доначисленных сумм налога по результатам перерасчета производится в 10-дневный срок со дня сообщения налоговым органом о сумме доплаты, а пеня начисляется по истечению срока, установленного для представления налогового расчета.
Излишне внесенная сумма налога на рекламу засчитывается в счет очередных платежей или возвращается плательщику налоговым органом в 10-дневный срок со дня получения его письменного заявления.
В целях правильности определения сумм налога на рекламу, подлежащих внесению в доход бюджета, плательщики ведут обособленный учет расходов по рекламе с выделением их на отдельном субсчете счетов по учету затрат на производство и реализацию продукции (работ, услуг).
Физические лица, занимающиеся предпринимательской деятельностью, отражают сумму налога на рекламу в общем составе расходов, исключаемых при исчислении подоходного налога.
Ответственность за правильность исчисления, полноту и своевременность перечисления сумм налога в бюджет возлагается на юридических и физических лиц, являющихся плательщиками налога на рекламу.
Контроль за полнотой, правильностью и своевременностью внесения налога на рекламу осуществляется налоговыми органами в соответствии с Законом Российской Федерации «О Государственной налоговой службе РФ» и Законом РФ «Об основах налоговой системы в Российской Федерации».
Изучая вопросы, посвященные налоговой системе, необходимо отметить, что налог — это один из источников пополнения государственной казны и основная его
функция — регулирование экономики. Налог затрагивает интересы всех субъектов экономики. Поэтому необходимо было рассмотреть законодательно установленный порядок взимания налогов и особенное внимание уделить теме налогообложения местного уровня.


Налоги США


Налоги США Один из авторов Декларации независимости США Б.Франклин (1706—1790) когда-то произнес такую фразу: в жизни нет ничего неизбежного, кроме смерти и налогов. С тех пор налоговая система США совершенствовалась, принимала все более разветвленный характер, способствовала развитию рыночных отношений. Она отвечает задачам не просто фискальным — обеспечивать доходами федеральный бюджет, бюджеты штатов и местные бюджета — налоги выступают в качестве инструмента регулирования развития экономики. Формирование и движение бюджетных средств занимают центральной место в реализации экономической политики американского государства. Основное место в финансовой системе США принадлежит бюджетному механизму федерального правительства. Налоги, дающие наиболее крупные и стабильные поступления, направляются в федеральный бюджет. На его долю приходится примерно 70% доходов и расходов.
Но и местные органы управления обладают значительными собственными источниками финансовых ресурсов, в первую очередь за счет местных налогов. Причем в последние 10—15 лет в США, как, кстати, и в большинстве западноевропейских стран, наблюдается быстрый рост объема финансов местных органов управления, увеличение их удельного веса в общем фонде мобилизуемых через финансовую систему средств. Одновременно на местные финансы перекладывается существенная часть расходов. В ряде отраслей производственной и социальной инфраструктуры финансы штатов и местных органов власти выступают в качестве основного источника финансовых ресурсов. Так, в финансировании за счет государства социального обеспечения, образования, здравоохранения, дорожного строительства, в содержании полицейского аппарата их удельный вес составляет от 70 до 90%; в охране окружающей природной среды, сохранении природных ресурсов, гражданском и жилищном строительстве — около 40%.
К финансам местных органов управления в США относятся финансы графств, муниципалитетов, тауншипов (поселков в сельской местности), школьных дистриктов (округов), специальных дистриктов. Звеньями системы местных финансов являются местные бюджеты, а также специальные фонды, финансы предприятий, принадлежащих местным органам управления. В настоящее время в стране более 83 тыс. местных органов управления, располагающих собственной финансовой базой.
В федеральных доходах преобладают прямые налоги. Доходы штатов и местных органов власти формируются главным образом за счет косвенных налогов и поимущественного налогообложения.

Налоговые системы некоторых западноевропейских стран Система налогов в развитых западноевропейских странах так же многообразна и разветвлена, как в США. Также имеются федеральные, или общегосударственные, налоги, налоги регионов (земель, провинций, департаментов, графств и т.д.) и местные налоги.
Степень налогообложения в Европе, пожалуй, выше, чем в Северной Америке. Так, удельный вес обязательных отчислений по отношению к ВВП в США составляет около 30%, в Канаде — 31—34%. Во Франции, Австрии, Дании, Бельгии, Нидерландах, Швеции их доля превышает 40%, в Германии составляет 37—38%.
В США при приоритете федеральных налогов местные налоги занимают весомое место в бюджетах городов и других местных органов. Они составляют основу местных бюджетов, дополняющуюся субвенциями и дотациями из федерального и штатных бюджетов. В европейских странах, как правило, местные налоги при всей их множественности играют вспомогательную роль. Основные (федеральные) налоги распределяются в законодательно определенном соотношении между бюджетами всех уровней. Особенно отчетливо это проявляется в Германии.
Исходя из того, что начиная с 1992 г. в российской налоговой системе одним из основных стал НДС, наибольший интерес для нас представляет налоговая система родины этого налога. НДС разработан во Франции в 50-х годах и внедрен в этой стране с 1954 г.
Остановимся на французской налоговой системе подробнее. Налоги Франции можно классифицировать на три крупные группы: подоходные налоги, взимаемые с дохода в момент его получения; налоги на потребление, взимаемые тогда, когда доход тратится; налоги на капитал, взимаемые с собственности, т.е. с овеществленного дохода. При этом налоговая система страны нацелена в основном на обложение потребления. Налоги на доходы (прибыль) и на собственность являются умеренными.
Уплата НДС определяется характером совершаемой сделки и не принимает в расчет финансовое состояние налогоплательщика. Ставка налога едина независимо от цены товара, к которому она применяется. Объектом налогообложения является продажная цена товара или услуги. Кроме розничной цены, сюда включаются все сборы и пошлины, кроме НДС.
Из общей суммы вычитается размер налога, уплаченного поставщикам сырья и полуфабрикатов.
Налогообложению во Франции подлежит чистая прибыль предприятий, которая определяется с учетом сальдо всех операций, осуществляемых данным предприятием. Она равняется разнице между доходами предприятия и расходами, произведенными в интересах производственной деятельности.
Если предприятие в отчетном году понесло убыток, то налоги могут быть вычтены из облагаемой прибыли будущих лет, а в специально оговоренных случаях — из чистой прибыли предыдущих лет.
Основой для расчета налога служит годовая прибыль (убыток) предприятий. Каждое предприятие заставляют ежегодно составлять детальную декларацию о доходах и представлять ее в налоговое ведомство в течение трех месяцев после составления ежегодного бухгалтерского отчета или до 1 апреля года, следующего за отчетным, если такой отчет составлен не был. До окончательных годовых расчетов предприятие вносит авансовые квартальные платежи.
Важное место в налоговой системе Франции занимают местные налоги. Местные органы представляют около 80 тыс. самостоятельных бюджетов (коммуны, объединения коммун, департаменты, регионы и т.д.). Местные органы власти являются важными субъектами экономической жизни. Общие затраты местных административных органов в начале 90-х годов составляли более 10% ВВП. Для сравнения заметим, что в 1970 г. эта величина была в пределах 7,3%. Общая величина местных бюджетов доходит до 60% государственного бюджета страны. Их динамика характеризуется быстрым ростом.
Из системы местных налогов следует выделить четыре основных:
- земельный налог на застроенные участки;
- земельный налог на незастроенные участки;
- налог на жилье;
- профессиональный налог.
Ставки этих налогов определяются местными органами власти (генеральными советами, муниципальными советами) при определении бюджета на будущий год. Причем ставки не могут превышать законодательно установленного максимума.1
Наличие в стране внешнеэкономической активности определяет необходимость ее соответствующего регулирования. В этой связи налоговая система задействует совокупность мер косвенного воздействия государства на развитие производства путем изменения нормы изъятия средств в бюджет путем повышения или понижения уровня налогообложения. Здесь наблюдается прямая зависимость уровня налогообложения и уровня внешнеэкономической активности. Именно поэтому значительна роль налогов в регулировании внешнеэкономической деятельности.


Налогообложение иностранных физических лиц


Налогообложение иностранных физических лиц Действующее в Российской Федерации законодательство о подоходном налогообложении физических лиц основано на принципах резидентства, т.е. исходит из факта продолжительности пребывания человека на территории нашей страны. В связи с этим Закон Российской Федерации «О подоходном налоге с физических лиц», вступивший в силу с 1 января 1992 г., делит плательщиков налога независимо от того, являются они гражданами России, лицами без гражданства или иностранными гражданами, на две категории: имеющих постоянное местожительство в Российской Федерации и не имеющих его.
К первой из этих категорий относятся те, кто проживает в Российской Федерации более 183 дней в календарном году, хотя бы и с перерывами во времени. Такие лица обязаны уплачивать в России подоходный налог по всему совокупному доходу, который они получили в течение календарного года, будь то доходы из российских источников или доходы, полученные за границей или из-за границы.
Ко второй категории относятся те, кто проживает в России менее 183 дней в календарном году. Эти лица привлекаются к уплате подоходного налога только по тем доходам, которые они получают из российских источников.
Соответственно этот Закон предусматривает и разный механизм налогообложения названных категорий плательщиков. Лица, имеющие постоянное местожительство в России, уплачивают налог в течение года у источников выплаты им доходов, а по окончании года обязаны декларировать свой совокупный годовой доход, полученный из всех источников, налоговому органу, и последний в зависимости от величины облагаемого дохода в соответствии с прогрессией ставок налога либо предлагает лицу доплатить налог сверх тех сумм, которые были удержаны или уплачены в течение года, либо, наоборот, возвратить излишне уплаченный налог.
Те же, кто не имеет постоянного местожительства в России и, таким образом, не рассматривается в качестве налогового резидента нашей страны, уплачивают налог в течение года у источников выплаты по прогрессивным ставкам, если это касается заработной платы и подобных выплат, и по твердой ставке 20%, если это касается других доходов, и по окончании года деклараций о годовых доходах налоговому органу не представляют.
Нельзя не указать на то, что в российском налоговом законодательстве пока не приведено полное определение понятия «постоянное местожительство». Поэтому в налоговых целях обычно применяется толкование, которым руководствуются налоговые органы всех государств в соответствии с рекомендациями Организации экономического сотрудничества и развития (ОЭСР).
Имеется в виду, что лицо считается имеющим постоянное местожительство в том или ином государстве, если оно располагает в нем постоянным жилищем, имеет в этом государстве наиболее тесные личные и экономические связи (центр жизненных интересов) и обычно проживает в этом государстве. По-видимому, по мере совершенствования в России законодательства о налогах потребуется ввести соответствующую норму. Пока же толкование понятия «постоянное местожительство» содержится в межправительственных и межгосударственных налоговых соглашениях, которые заключены между Россией и другими государствами.
Кроме того, в международных соглашениях, заключаемых между Правительством нашей страны и правительствами зарубежных государств, определяется перечень физических лиц, пользующихся налоговыми льготами в стране временного пребывания. Одна из основных льгот — и это общее правило в международном законодательстве о налогах (независимо даже от того, существует ли соглашение об устранении двойного налогообложения) — состоит в том, что при пребывании иностранца в той или иной стране более определенного срока (обычно более 183 дней) он в налоговом отношении рассматривается как гражданин данной страны и- обязан уплачивать там все существующие налоги. То есть после истечения срока физическое лицо получает автоматически статус «резидента» и переходит под полную юрисдикцию налоговой системы данного государства.
Помимо этого общего правила, в конкретном международном соглашении об устранении двойного налогообложения оговариваются дополнительные льготы во временном отношении (например, трехлетняя льгота для финских граждан) и в отношении отдельных категорий плательщиков (как правило, это студенты, преподаватели, корреспонденты печати, радио и телевидения, спортсмены и т.д.).
Вопросы льгот в соглашениях определяются на основе законодательства договари-. вающихся сторон и возможности достижения согласия по предоставлению льгот в двустороннем порядке.
Рассмотрим это на следующем примере. Российским законодательством определено общее правило, по которому объектом налогообложения у граждан, имеющих постоянное местожительство в Российской Федерации, является совокупный доход, полученный в календарном году на территории России, континентальном шельфе, в ее экономической зоне и за пределами Российской Федерации как в денежной (национальной или иностранной валюте), так и натуральной форме.
На практике это означает, что вновь прибывший в Российскую Федерацию иностранный гражданин, предполагающий находиться на ее территории более 183 дней, декларирует все доходы, полученные и предполагаемые к получению им за весь календарный год.
Это общее правило нарушается только в том случае, если иное предусмотрено международным соглашением по устранению двойного налогообложения, поскольку в каждом нормативном документе, затрагивающем международные вопросы, действует правило доминанты положения международных договоров, соглашений над национальным законодательством.
В соответствии с действующим налоговым законодательством иностранное физическое лицо, прибывшее в Российскую Федерацию, в течение месяца со дня своего приезда подает декларацию о предполагаемых в текущем году доходах, если намерено находиться в России не менее 183 дней в календарном году.
При прекращении в течение календарного года деятельности иностранного физического лица на территории России и выезде за ее пределы декларация о фактически полученных за период пребывания доходах должна быть представлена им не позднее чем за месяц до отъезда.
Иностранные физические лица, имеющие постоянное местожительство в России и получающие доходы как на территории России, так и за ее пределами, представляют декларации о всех полученных ими доходах.
Таким образом, данные физические лица, находящиеся в России 183 дня и более, должны уплачивать подоходный налог со своих доходов путем заполнения деклараций, сначала предварительной, затем окончательной.
Облагаемым доходом указанных лиц выступает совокупный доход в денежной и натуральной формах с учетом:
- надбавок, выплачиваемых иностранным физическим лицам в связи с проживанием в Российской Федерации;
- компенсаций по расходам на обучение детей в школе, питание, поездки членов семьи плательщика в отпуск и др.
Суммы, получаемые иностранным физическим лицом в виде компенсации расходов на оплату жилья, содержания автомобиля для служебных целей, а также сумма командировочных расходов не учитываются при исчислении совокупного дохода. Для расчета налога используются те же ставки, что и для аналогичных доходов, получаемых гражданами Российской Федерации.
Налог уплачивается на основе декларации по платежному извещению, направляемому плательщику налоговым органом. Уплата налога за текущий год осуществляется равными долями к 15 мая, 15 августа и к 15 ноября.
Льготы по подоходному налогу иностранным гражданам предоставляются на тех же основаниях, что и гражданам России.
Не подлежат налогообложению такие категории иностранных граждан, как: главы и члены представительств иностранных государств, имеющие дипломатический и консульский ранг, члены их семей, проживающие вместе с ними, если они не являются гражданами Российской Федерации, — по всем доходам, кроме доходов из источников в России, не связанных с дипломатической и консульской службой; члены административно-технического персонала представительств и домашние работники сотрудников, если они не являются гражданами России или не проживают на ее территории постоянно, — по всем доходам, полученным ими по своей службе; сотрудники международных организаций — в соответствии с положениями уставов этих организаций.
Как видно из рассмотрения порядка налогообложения всех видов доходов, важнейший момент налоговых расчетов — проведение перерасчета налогов по годовым декларациям плательщиков. Доход исчисляется в рублях путем умножения дохода в валюте на курс валюты на день получения дохода.
Далее рассчитывается годовая сумма дохода. Необлагаемый налогом доход исчисляется путем умножения необлагаемого минимума оплаты труда на количество отработанных месяцев. Затем рассчитываются доход, подлежащий обложению налогом, и годовая сумма налога.1


Налоговое регулирование внешнеэкономических связей


Налоговое регулирование внешнеэкономических связей Россия участвует в системе международных налоговых отношений как по линии инкорпорирования соответствующих норм в свое внутреннее налоговое законодательство, так и через заключение международных налоговых соглашений.1
Однако в этой сфере до сих пор еще не выработана четкая политика, нормы не увязаны в единую систему и не согласованы между собой, что препятствует их эффективному и целенаправленному применению. Отсутствие прочной внутренней базы зачастую лишает цели и смысла как действующие, так и заключаемые налоговые соглашения. Кроме того, выбор стран-партнеров с точки зрения материальных интересов России осуществляется достаточно непоследовательно.
К примеру, принято решение о выплате долгов Франции и одновременно подписывается соглашение с той же Францией, препятствующее удержанию Россией налогов с этих сумм (что необъяснимо, поскольку теперь налоги с российских доходов будет собирать Франция).
При определении своей юрисдикции в отношении налогоплательщиков Россия сейчас ориентируется на общепринятую практику, используя понятие резидента вместо гражданина. В целом в сфере налогового регулирования международной деятельности и доходов позицию России можно представить следующим образом.
В соответствии с законодательством иностранные лица могут привлекаться к налогообложению в России, если они осуществляют коммерческую (предпринимательскую) деятельность на ее территории или имеют доходы из ее источников. Коммерческой обычно признается всякая деятельность, имеющая своей целью извлечение прибылей. Прибыль может быть реализована только в результате продаж, поэтому продажи всегда считаются коммерческой деятельностью. Кроме того, коммерческой считается любая деятельность, подготавливающая продажи (производство, упаковка, реклама, закупка в целях перепродажи и др.).
Продажи считаются имеющими место в России, если право собственности на товары или сами товары фактически передаются на ее территории (независимо от того, как этот акт описан в контракте и каковы условия оплаты товара).
Коммерческая деятельность также имеет место в России, если: а) иностранное лицо имеет в России свое место деятельности (помещения, станки, машины, торговые точки и др.); б) место деятельности используется лицом/лицами, зависящими от иностранного лица или действующими по его указаниям. При этих условиях считается, что иностранное лицо имеет в России «деловое учреждение» (представительство) и подлежит налогообложению в ней по доходам, относящимся к этому деловому «учреждению».
В соответствии с законом о налоге на прибыль (ст. 3) налогообложению подлежит только та часть прибыли иностранного лица, которая получена в связи с деятельностью на территории России. При этом деятельностью на территории России не считаются внешнеторговые операции, совершаемые исключительно от имени иностранного лица и связанные с закупкой продукции (работ, услуг) в России, а также товарообмен и операции по экспорту в Россию продукции (работ, услуг), при которых российский покупатель становится собственником продукции (работ, услуг) до пересечения ею государственной границы России.
Налоговые органы считают, что все доходы иностранного лица, имеющего «деловое учреждение» в стране, относятся к деятельности этого «делового учреждения» включая и доходы из источников в этой стране. В случае несогласия обязанность доказывать обратное возлагается на само иностранное лицо.
Иностранное лицо не считается имеющим «деловое учреждение» по любым своим действиям и операциям, осуществляемым через брокера или другого агента с независимым статусом, действующего в рамках свой обычной деятельности.
Режим деятельности через агента с независимым статусом признается, если:
а) агент не контролируется иностранным лицом и не получает от него никаких указаний относительно своих действий;
б) агент действует «в рамках своей обычной деятельности» т.е. заключает сделки и ведет операции от своего имени и никак не представляет интересы иностранного лица:
в) все риски от осуществления сделок и операций остаются на агенте, не передаются иностранному лицу и не разделяются с ним.
Таким образом, в режиме деятельности иностранное лицо не подлежит налогообложению в России, если это лицо: а) не осуществляет деятельности в России;
б) осуществляет деятельность в России, но не в порядке, создающем «деловое учреждение».
Если иностранное лицо не подлежит налогообложению в России в режиме деятельности, оно может привлекаться к уплате налогов в России, если получает доходы из ее источников. При этом доходами из источников считаются любые доходы, не связанные с деятельностью в России, но получаемые от владения имуществом и пользования имущественными правами на территории России (так называемые пассивные доходы). Для налоговых органов решающим критерием считается физическое нахождение имущества (движимого или недвижимого) и физическое использование имущественных прав на территории России.
Основным методом обложения является удержание налогов у источника в момент перевода доходов со счета резидента на счет нерезидента. Порядок выплаты доходов не является решающим для налоговых органов; они могут требовать уплаты налога и в отношении не выплаченных, но так называемых причитающихся или полагающихся доходов. При этом юридическая ответственность за неуплату налога может быть возложена как на плательщика дохода (резидента), так и на его получателя (нерезидента).
В случае если владение имуществом или использование имущественных прав имеет активный характер (имущество, т.е. здания, квартиры, суда, ценные бумаги и т.д., — перепродается, сдается в аренду, в залог, используется в производственных, торговых целях; права — связаны с поставками товаров, с заключением других сделок), применяется режим обложения по коммерческой деятельности.
Если в режиме «деятельности» решение о порядке обложения принимают налоговые органы и налогоплательщик (иностранное лицо) может только просить принимать факты в его интерпретации, то в отношении пассивных доходов налогоплательщик, как правило, имеет право выбора. В частности, иностранное лицо, получающее такие доходы, может подать заявление в налоговые органы о том, что оно имеет в России представительство, и на этом основании требовать своего перевода на режим обложения по деятельности и освобождения от удержания налогов «у источника».
Что же касается проблемы устранения двойного налогообложения, то российским законодательством предусмотрено, что налоги, уплаченные за рубежом, «зачитываются при уплате налога на доходы в РФ». Вместе с тем «размер засчитываемых сумм не может превышать сумму налога на доход, подлежащую уплате в РФ в отношении дохода, полученного за рубежом».
В налоговых соглашениях, заключаемых Россией с другими странами, предусмотрены специальные процедуры устранения двойного налогообложения. Так, в налоговом соглашении с США общий режим устранения двойного налогообложения предусмотрен ст. 22, согласно которой каждая сторона обязуется предоставлять скидку в порядке налогового кредита своим резидентам (а в США и своим гражданам) на сумму подоходных налогов, уплаченных ими в другой стране.
Однако эта статья не предусматривает каких-либо специальных процедур или согласования для регулирования этого вопроса и фактически лишь подтверждает действующие в обеих странах режимы. В частности, каждая из стран ограничивает сумму предоставляемого налогового кредита суммой налоговых платежей, которые она сама предъявляет своим налогоплательщикам. В частности, каждая из стран ограничивает сумму предоставляемого налогового кредита суммой налоговых платежей, которые она сама предъявляет своим налогоплательщикам.
Но, как уже отмечалось, ситуация с двойным налогообложением может возникать и по другим причинам. В таких случаях применяется процедура, предусмотренная ст. 24 соглашения, — решение вопроса «компетентными властями по взаимному согласию». В рамках этой процедуры Министерства финансов России и США вступают между собой в прямой контакт (ст. 24, п. 4). Указанная процедура может быть запущена по инициативе либо налогоплательщика, либо самих компетентных властей — в случае определения спорного резидентства (ст. 4, п. 3, 4), либо при возникновении трудностей, связанных с выполнением отдельных положений соглашения.
Такие ситуации, в частности, могут возникать при распределении доходов (вычитаемых расходов, предоставляемых льгот) между налогоплательщиками двух стран или между налогоплательщиком и его «деловым учреждением» (в другой стране), при . определении вида получаемых доходов или источника дохода, при вынесении наказаний, наложении штрафов и др.
Кроме того, соглашение предусматривает: обязательность действий «по взаимному согласию» при определении прибылей «постоянного делового учреждения», обязательность внесения поправок в свои действия для одной из сторон в зависимости от действий другой стороны.
В первом случае установлено (ст. 6, п. 2), что при налогообложении резидента одной страны, имеющего «постоянное деловое учреждение» в другой стране, обе стороны должны рассчитывать облагаемые прибыли этого делового учреждения таким образом, как если бы оно действовало в качестве независимого и отдельного от налогоплательщика предприятия. Иначе говоря, для обеих стран обязательно применение так называемого правила «вытянутой руки» (т.е. исключение отношений зависимости). Разумеется, каждая из сторон может по-разному трактовать понятие зависимости; в этих ситуациях стороны должны прибегать к процедуре взаимного согласия.
Во втором случае речь идет о ситуации, когда резидент одного государства прямо или косвенно контролирует налогоплательщика другого государства и на этом основании поддерживает с последним торговые отношения на условиях, отличающихся от условий торговли между независимыми лицами (ст. 7, п. 1). В такой ситуации сторона, которая чувствует себя ущемленной в налоговом отношении (вследствие занижения подпадающего под ее юрисдикцию дохода), имеет право добавить сумму занижения к облагаемой прибыли налогоплательщика, а другая сторона уже обязана внести соответствующие поправки в расчет своих налогов для того же налогоплательщика. Для уточнения и согласования размеров этих поправок также может использоваться процедура взаимного согласия (ст. 7, п. 2).
Что же касается регулирования по линии трансфертных цен, то в законе о налоге на прибыль есть общая норма, определяющая метод расчета облагаемого дохода для предприятий, продающих свою продукцию (работы, услуги) с отклонениями от независимых (рыночных) цен; есть также и нормы, действующие для иностранных лиц.
По предприятиям, осуществляющим реализацию продукции (работы, услуги) по ценам не выше фактической себестоимости, для целей налогообложения принимается рыночная цена на аналогичную продукцию (работы, услуги), сложившаяся на момент реализации, но не ниже фактической себестоимости. При этом, если сложившиеся рыночные цены на эту продукцию оказались ниже фактической себестоимости этой продукции, то для целей налогообложения применяется фактическая цена реализации. Для иностранных юридических лиц действует та же норма, и, кроме того, существует особый порядок расчета доходов постоянного представительства.
В тех случаях, когда иностранное лицо осуществляет деятельность не только в России, но и за ее пределами, и при этом не ведет отдельного учета прибыли, позволяющего определить прибыль от деятельности,  осуществляемой им через  постоянное представительство, сумма прибыли, подлежащей налогообложению в России, может быть определена на основе особого расчета, согласованного налогоплательщиком с налоговым органом.
Если же по тем или иным причинам такой расчет не представлен, то налоговый орган вправе самостоятельно определить прибыль иностранного лица, подлежащую налогообложению в России, на основании валового дохода или произведенных расходов исходя из нормы рентабельности 25%.


Налоговые соглашения России


Налоговые соглашения России Соглашения по вопросам налогообложения направлены на урегулирование налоговых взаимоотношений между странами путем закрепления за каждым государством права налогообложения определенных видов доходов, получаемых юридическими или физическими лицами из одной страны в другой стране, а также имущества этих лиц, расположенного на территории другого государства.
На практике встречаются две группы налоговых соглашений: специальные (ограниченные), которые регулируют ограниченный круг вопросов (международные перевозки, таможенные пошлины, льготный налоговый режим и т.д.) и общие, наиболее распространенные.
При заключении налоговых соглашений государства решают следующие основные задачи:
- определение схемы устранения двойного налогообложения. За каждым из договаривающихся государств закрепляется исключительное право взимать налоги с того или иного дохода;
- установление механизма двойного налогообложения, когда право налогообложения сохраняется за обоими государствами;
- защита плательщика от дискриминационного обложения в других государствах;
- взаимный обмен информацией с целью выполнения конвенции и выявления уклоняющихся от налога.
При этом рассматриваются четыре группы вопросов: сфера применения конвенции;
распределение налогов между государствами; устранение двойного налогообложения;
правила поведения. Определяются также перечень лиц и виды налогов, которые регулируются этим соглашением, а также понятийный аппарат (лицо, компания, резидент, постоянное представительство и др.).
Как правило, двойное налогообложение устраняется либо методом освобождения, либо путем предоставления налогового кредита.
Во всех соглашениях, заключенных бывшим СССР, предусматривается применяемое на взаимной основе и при выполнении соответствующих условий полное либо частичное освобождение отдельных видов доходов и имущества от налогообложения в одном из государств, а также процедура устранения двойного налогообложения доходов и имущества.
С помощью таких соглашений достигается разграничение налоговой юрисдикции в отношении доходов юридических и физических лиц между налоговыми властями стран-партнеров, устраняется возможность неправомерного применения в одностороннем порядке национального режима налогообложения.
В период с 1976 по 1991 г. бывшим СССР было заключено 22 соглашения по налоговым вопросам с различными странами, которые признаны действующими нотой МИД Российской Федерации от 13 января 1992 г. о выполнении обязательств по международным договорам, 9 соглашений заключено Российской Федерацией.
Соглашения построены на принципах двусторонних договоренностей между странами-партнерами, за исключением соглашений между странами — бывшими членами СЭВ, которые заключены на многосторонней основе.
При наличии общего или специальных налоговых соглашений для каждой из сторон и при выполнении установленных этими актами условий предусматривается льготный режим налогообложения определенных видов доходов и имущества.
Льготы по налогообложению юридических и физических лиц различаются в зависимости от конкретных соглашений. Отсутствие соглашений не дает права на получение каких-либо специальных налоговых льгот в стране-источнике дохода. В этом случае применяется национальное налоговое законодательство страны, где получен доход.
Действующие соглашения по вопросам налогообложения позволяют определить налоговый статус иностранных или российских юридических и физических лиц, осуществляющих разрешенную в установленном порядке деятельность.
В общих налоговых соглашениях, как правило, предусматривается, что положения данного соглашения не затрагивают других действующих соглашений, в которых каким-либо образом регулируются вопросы налогообложения и которые были заключены ранее или могут быть заключены между договаривающимися государствами. Однако в том случае, если общее налоговое соглашение предусматривает более благоприятный налоговый режим, применяется это соглашение.
Положения соглашений по вопросам налогообложения не затрагивают налоговых привилегий сотрудников дипломатических и консульских представительств (включая приравненные к ним другие организации и учреждения), установленных общими нормами международного права или на основании международных соглашений.
Все доходы, получаемые иностранными юридическими лицами от источников на территории Российской Федерации, подразделяются на доходы, получаемые от деятельности через постоянное представительство, и доходы, не связанные с деятельностью через постоянное представительство.
Налогообложение прибыли и доходов иностранных юридических лиц Плательщиками налога на прибыль являются иностранные юридические лица, которые осуществляют предпринимательскую деятельность на территории Российской Федерации через постоянные представительства.
Иностранные юридические лица, получающие доход, не связанный с их деятельностью через постоянные представительства, являются плательщиками налога с дохода, получаемого от источника в Российской Федерации.
Под постоянным представительством иностранного юридического лица в Российской Федерации для целей налогообложения понимаются филиал, отделение, бюро, контора, агентство, любое другое постоянное место регулярного осуществления деятельности по извлечению дохода на территории России или за границей, а также любые организации и физические лица, уполномоченные иностранными юридическими лицами осуществлять представительские функции в Российской Федерации.
Эта деятельность может быть связана с разработкой природных ресурсов, проведением предусмотренных контрактами работ по строительству, установке, монтажу, сборке, наладке, обслуживанию оборудования. Эксплуатацией игровых автоматов, продажей продукции с расположенных на территории Российской Федерации и принадлежащих иностранному юридическому лицу или арендуемых им складов, оказанием услуг и осуществлением иных видов деятельности по извлечению дохода.
Иностранное юридическое лицо может также рассматриваться как имеющее постоянное представительство в случае, если оно осуществляет предпринимательскую деятельность в Российской Федерации через российскую организацию или физическое лицо, которые на основании договорных отношений с иностранным юридическим лицом представляют его интересы в Российской Федерации, действуют от его имени и имеют полномочия, в частности, на заключение контрактов от имени данного иностранного юридического лица или имеющие полномочия обговаривать существенные условия контрактов.
Существенными могут быть признаны условия контрактов, определяющие цену поставляемых товаров (работ, услуг), валюту цены и валюту платежа, сроки поставки и т.п.
Если российская организация или физическое лицо осуществляют эту деятельность в рамках своей основной (обычной) деятельности, то такая организация или физическое лицо не рассматриваются как постоянное представительство иностранного юридического лица, а являются, в терминах международных соглашений об избежании двойного налогообложения доходов и имущества, агентами с независимым статусом. При этом оно является как юридически, так и экономически независимым от этого лица.
К таким независимым агентам относятся внешнеторговые организации, осуществляющие закупки товаров у иностранных фирм-поставщиков от своего имени или от имени российских предприятий-заказчиков товаров, брокеры, дилеры, другие специализированные посредники.
Термин «постоянное представительство» применяется только для определения налогового статуса иностранного юридического лица или его агента и не имеет организационно-правового значения. Постоянным представительством может быть признан филиал иностранного юридического лица, представительство, любое иное место осуществления деятельности в зависимости от того, подпадает ли такая деятельность иностранного юридического лица в соответствии с законодательством Российской
Федерации и международными соглашениями об избежании двойного налогообложения под определение «постоянного представительства».
Установление наличия или отсутствия постоянного представительства относится к одним из наиболее важных и в то же время наиболее сложных вопросов международного налогообложения как с теоретической точки зрения, так и с точки зрения реализации процедуры установления постоянного представительства налоговыми органами. В этой области остается еще ряд вопросов, требующих в первую очередь теоретической доработки (уточнения критерия постоянства осуществления деятельности, определения деятельности, носящей подготовительный характер, степени зависимости лица от представляемого им предприятия и т.п.).
Постановка иностранных юридических лиц на учет в налоговых органах. Иностранные юридические лица, осуществляющие деятельность в Российской Федерации, обязаны встать на учет в налоговом органе независимо от того, будет ли в дальнейшем их деятельность признана налоговым органом подлежащей налогообложению или нет в соответствии с законодательством Российской Федерации и международными соглашениями.
Иностранные юридические лица подлежат постановке на учет в налоговом органе по месту осуществления деятельности в России. Если иностранное юридическое лицо осуществляет деятельность в нескольких местах на территории Российской Федерации, то оно обязано встать на учет в каждой соответствующей государственной налоговой инспекции.


Неопозитивистско-эмпирический подход


Неопозитивистско-эмпирический подход основан на более тщательном изучении явлений и их оценках. Во главу угла ставится технический аппарат исследования, который из инструмента превращается в предмет познания (математический аппарат, эконометрика, кибернетика и т.д.), а результатом исследования выступают различного рода экономические модели, которые здесь являются главными категориями. Этот подход предполагает деление на микроэкономику (экономические проблемы на уровне фирмы и отрасли) и макроэкономику (экономические проблемы в масштабе общества).
Рационалистический подход ставит целью открытие «естественных», или рациональных, законов цивилизации. Это требует исследования экономической системы в целом, экономических законов, регулирующих данную систему, изучение экономической «анатомии» общества. Экономические таблицы Ф.Кенэ — вершина такого подхода. Целью экономической деятельности человека является стремление получить пользу, а цель экономической теории — изучение не человеческого поведения, а законов, регулирующих производство, распределение общественного продукта, именно того, как это происходит (Д.Рикардо). Такой подход позволял признавать деление общества на классы в отличие от подхода субъективистов, представляющих общество как совокупность равноправных субъектов. Главное внимание при таком подходе уделялось стоимости, цене, экономическим законам.
Диалектико-материсшистический подход лежит в основе единственно правильного решения научных проблем на базе не эмпирического позитивизма (опыта), а объективного анализа, вскрывающего внутренние связи явлений, существующие в реальности, и причины их развития. Экономические процессы и явления постоянно возникают, развиваются и уничтожаются, т.е. находятся в постоянном движении, — ив этом их диалектика.
Методологию нельзя смешивать с методами — инструментами, совокупностью приемов исследования в науке и воспроизведения их в системе экономических категорий и законов.
Экономическая теория использует широкий спектр методов научного познания. Одним из таких методов при изучении хозяйственных явлений служит метод научной абстракции (лат. «abstractio» — отвлечение). Исследователь отвлекается от второстепенных аспектов явлений, чтобы выявить то, что в них существенно и постоянно повторяется. Так возникают общие понятия — «производство вообще», «потребности», «распределение», «обмен» и др. При помощи абстрактного мышления шаг за шагом происходит раскрытие сущности экономических явлений, что требует формирования определенных логических понятий, более или менее полно отражающих реальную экономическую действительность в ее развитии.
Логические понятия, отражающие наиболее общие и существенные стороны экономической жизни общества, называются экономическими категориями.
Такими категориями являются, например, спрос, предложение, кредит, собственность, рынок, заработная плата, прибыль и многие другие.
В экономике, как и в любой другой области общественной жизни и как в природе, сквозь внешне кажущийся хаос и нагромождение случайностей прокладывает себе путь необходимость, закономерность развития. Экономическими процессами в обществе управляют внутренние, присущие им законы — законы общественных действий людей, или экономические законы. В книге «Основы философии права» Гегель писал о политэкономии как о науке, которая делает «честь мысли», потому что она, имея перед собой массу случайностей, отыскивает их законы. Всякий закон выражает собой сущность того или иного явления, закон и сущность — понятия однородные (однопорядковые) и выражают глубину познания человеком явлений, мира. Явление шире, богаче закона, однако закон улавливает внутреннюю сущность явления.
Чтобы дать определение экономического закона, необходимо вспомнить философское определение закона как устойчивого, прочного, многократно повторяющегося явления и как выражение внутренней, существенной, необходимой, причинно-следственной, постоянной, всеобщей, качественной и количественной взаимосвязи (отношения), свойственной данному явлению или процессу.
Это определение можно полностью отнести и к экономическому закону. Именно то, что не случайно, а типично, постоянно, выражает внутреннюю сущность экономических явлений и процессов, — экономические законы. Не следует смешивать экономические законы с законами природы, с законами естествознания, поскольку имеется ряд существенных и принципиальных различий:
1) естественные законы — это законы природы, экономические — законы развития общественной жизни, хозяйственной деятельности людей;
2) естественные законы — вечны, экономические носят исторический характер;
3) открытие и применение естественных законов -проходит более или менее гладко, а экономические законы встречают сильное противодействие со стороны отмирающих сил общества.
Экономические законы в своей совокупности образуют систему экономических законов развития общества, которая включает в себя различные группы сил общества.
Экономические законы классифицируются по следующим группам (в зависимости от их исторической устойчивости):
1) специфические экономические законы;
2) особенные экономические законы (законы для ряда эпох);
3) общие экономические законы.
Специфические экономические законы' — это законы развития конкретных, исторически определенных форм хозяйствования, например, законы распределения при рабовладельческом строе, крепостничестве и др.
Особенные экономические законы — это законы, свойственные тем историческим эпохам, где сохраняются условия для их действия, например закон стоимости (ценности).
Общие экономические законы — законы, свойственные всем без исключения историческим эпохам. Они выражают поступательный процесс развития общественного производства, например закон экономии времени, закон возвышения (возрастания) потребностей, закон разделения общественного труда.
Экономические законы сами по себе, однако, не действуют, экономический прогресс автоматически не осуществляется. Для этого необходимы действия людей, а они приводятся в движение своими потребностями и интересами.
Потребности — это объективная нужда людей в чем-либо, объективно необходимом для поддержания жизнедеятельности и развития организма, развития личности, требующая удовлетворения.
Потребности человека многообразны. Наибольшее распространение получила теория американского ученого А.Маслоу, согласно которой все потребности по принципу иерархии располагаются в следующем восходящем порядке от «низших» — материальных до «высших» — духовных:
1) физиологические (в еде, питье, сексуальные и т.д.);
2) в безопасности (защите от боли, гнева, страха и т.д.);
3) в социальных связях (любви, нежности, причастности к какой-либо группе и т.д.);
4) самоуважения (в достижении цели, признании, одобрении);
5) в самоактуализации (реализации способностей, понимании, осмыслении и т.д.).
Первые две группы потребностей, согласно А.Маслоу, низшего порядка, последние две — высшего. До тех пор, пока не удовлетворены потребности низшего порядка, не действуют потребности высшего порядка.
Эту классификацию потребностей можно расширить выделением потребностей материальных и духовных, рациональных и иррациональных, абсолютных и действительных, осознанных и неосознанных, ложно понятых и т.п.
Только при осознании потребностей возникает мотивация к труду. В этом случае потребности приобретают конкретную форму — форму интереса.
Экономический интерес — это форма проявления экономических потребностей.
Экономические интересы выражают хозяйственную пользу, выгоду, реализуя которые субъект хозяйствования обеспечивает самостоятельность, саморазвитие. Без этого он не сможет стать достойным партнером в следующем цикле хозяйственных связей, сохранить и воспроизвести себя и сойдет с арены экономической жизни, обанкротится.
Многообразие субъектов хозяйствования порождает многообразие экономических интересов. Классификация экономических интересов проводится путем использования различных критериев. На основе выявления носителя интересов различают интересы общественные, коллективные и личные, национальные и интернациональные, региональные и ведомственные, групповые и семейные, классовые, различных социальных групп (работающих, неработающих, молодежи, пенсионеров и т.д.). Особые группы составляют интересы текущие и перспективные, рациональные и нерациональные, подлинные и ложно понятые, финансовые, трудовые, морально-нравственные и т.д.
Все эти интересы существуют в единстве, но между ними есть и противоречия. Так, личный интерес в получении наибольших благ может находиться в противоречии с коллективным интересом.
Экономическая теория (политэкономия) изучает не только объективные, но и субъективные формы проявления существующих объективных общественно-производственных связей, не только конкретные формы проявления экономических интересов, но и их столкновение, отражающее внутренние противоречия и борьбу противоположностей, а также способы их разрешения.
Метод научной абстракции хотя и важнейший, но не единственный метод научного познания, используемый в экономической теории. Здесь активно применяются и такие методы, как анализ и синтез, индукция и дедукция, исторический и логический методы, экономико-математическое моделирование, экономический эксперимент и др.


Но такая политика требовала дополнительных расходов.


На практике в результате действия дополнительных факторов, таких, например, как государственная политика или крайняя неустойчивость экономики в период кризиса, ставка процента может достигать своего максимума при сокращении производства.
К примеру, в результате поощрительной политики администрации Рейгана в 80-е годы ставка процента была очень высокой и достигала 18-20%, а реальные средние доходы на инвестиции колебались на уровне 8-10%. Но такая политика требовала дополнительных расходов.
Другой случай — кризис. Произведенные товары не находят сбыта. Срочно нужны деньги для оплаты долговых обязательств. Спрос на них повышается, предложение сокращается, ставка процента растет и достигает максимума. Ставка процента будет повышаться, но не столь стремительно, как в приведенных выше случаях, а также в фазе подъема, когда растут прибыли производителей и требуется заемный капитал.
Минимальная граница ставки процента теоретически равна нулю. На практике она максимально снижается в период депрессии, когда промышленность переживает застой, а предложение ссудного капитала возрастает, так как многие капиталы не находят применения.
Соотношение ставки процента и дохода на капитал графически можно представить следующим образом ( 15.1.4).

Вертикальная линия SS — это величина предлагаемого накопленного капитала, которая на данный момент есть величина постоянная; кривая d — это спрос на капитал. Пересечение прямой SS и кривой d в точке Е показывает величину дохода на капитал, или ставку процента, которая в нашем примере составляет 10% в год.
На этом уровне спрос и предложение уравниваются, так как при более высокой ставке процента упадет предложение капитала, а при более низкой спрос превысит предложение. Существуют другие методики для определения ставки процента в зависимости от предложения и спроса на капитал, которые учитывают воздействие самых разнообразных факторов, таких, например, как инфляция, динамика развития, рассматриваемый период прогноза и т.д. Но это уже больше относится к практической стороне вопроса. Нам остается сделать следующий вывод: в условиях рыночной экономики уровень ставки процента должен складываться только под влиянием конкуренции, под влиянием спроса и предложения капиталов.
Следует добавить, что в марксистской литературе процент рассматривается как одна из форм прибыли. Последняя имеет два вида — предпринимательский доход и ссудный процент. Та часть прибыли, которую вручает заемщик собственнику капитала, называется ссудным процентом, оставшаяся часть — предпринимательским доходом. В западной литературе любой доход на капитал будет называться процентом на капитал или прибылью. С точки зрения методологии, по мнению К.Маркса, прибыль и процент есть такие формы прибавочной стоимости, которые скрывают неоплаченный труд рабочих, и отсюда следует вывод о неизбежности экспроприации этого неоплаченного труда у капиталистов. Этот вывод выходит за рамки исследования чисто экономической теории и рыночных отношений. Западные же теоретики ограничиваются анализом рынка и не делают политических выводов.
К.Маркс предполагал, что с развитием технического прогресса процент на капитал должен снижаться. Технический прогресс он связывал с ростом органического строения капитала (C/Y ), который должен снижать норму прибыли:
Норма прибыли =

Процент, по мысли К.Маркса, есть часть нормы прибыли, и его величина вслед за нормой прибыли должна снижаться.
Однако этот прогноз не оправдался. Статистика последних 150 лет его не подтвердила. Причиной тому являются, по крайней мере, следующие два обстоятельства:
- технический прогресс далеко не всегда шел по линии роста органического строения капитала (С/У);
- капитал в условиях, когда норма прибыли начала падать, перебрасывался на производство нового продукта, на завоевание новых рынков. Такая стратегия обеспечивала устойчивые высокие доходы. Кроме того, ускорение научно-технического прогресса вызывало необходимость более динамичного обновления производства и вместе с ним усиливало давление спроса на свободные деньги, что также не могло способствовать падению величины процента.'
Конкуренция, являясь конкретной формой функционирования рыночных отношений, составляет важный элемент рыночного механизма, что позволяет выделить в рыночном механизме две стороны:
1) механизм взаимосвязи спроса и предложения с целевой функцией их сбалансирования;
2) механизм конкуренции с целевой функцией стимулирования товаропроизводителей.
Конкуренция (от лат. «конкуррере» — сталкиваться) — это соперничество между участниками рыночной экономики за лучшие условия производства, купли и продажи
товаров. Она выступает в качестве силы, обеспечивающей взаимодействие спроса и предложения, уравновешивающей рыночные цены.
Конкуренция очень сильно зависит от количества производителей-продавцов и покупателей. Она развертывается среди продавцов, которые хотят продать свой товар дороже. В этой борьбе побеждают те из них, кто сбывает товар подешевле, чтобы стимулировать покупательский спрос, но продает больше.
Активно развивается конкуренция среди покупателей, которые стремятся приобрести товар по меньшей цене. В соперничестве между ними побеждают те, кто предложил более высокую цену по сравнению с рыночной ценой.
Наконец, главной линией развертывания конкуренции является соперничество продавцов и покупателей, которые стоят на противоположных позициях в отношении уровня цены на товары. В результате этого соперничества устанавливается общая цена на однородные товары и конкретный вид кривой спроса и предложения.
Чем сильнее конкуренция среди продавцов, тем в большей мере предложение товаров превышает спрос покупателей. Когда конкуренция среди продавцов ослабевает, спрос начинает превышать предложение товаров. Конкуренция среди продавцов, среди покупателей и между теми и другими выступает как сила, вызывающая движение цены к уровню равновесия.
В экономической науке выделяют несколько типов конкуренции. Прежде всего в западной экономической литературе различают совершенную и несовершенную конкуренцию. Совершенная конкуренция означает такое состояние экономической системы, когда влияние каждого участника экономического процесса на общую ситуацию настолько мало, что им можно пренебречь. В условиях совершенной конкуренции каждый отдельный агент рыночной экономики при принятии решений исходит из задаваемых ему рыночных цен и не может влиять на ценообразование. Совершенная конкуренция предполагает полную мобилизацию производственных ресурсов. Каждый владелец такого ресурса выбирает выгодную для себя сферу приложения и не ограничен в этом выборе ничем, кроме конкуренции со стороны аналогичных ресурсов. Понятие совершенной конкуренции включает в себя также полную информированность всех без исключения участников производства о тех хозяйственных возможностях, которые имеются в ней. Обычно выделяются следующие признаки совершенной конкуренции: множественность продавцов и покупателей, однородность выпускаемого продукта, отсутствие возможности покупателей и продавцов влиять на цены, мобильность производственных ресурсов, абсолютное знание предпринимателями состояния рынка.
Несовершенная конкуренция имеет место, когда лишь несколько крупных фирм производят основную массу определенного товара. Она проявляется в виде монополии и монопсонии.
Монополия (происходит от греч. слов «монос» — один, «полео» — продаю) возникает тогда, когда отдельный производитель занимает доминирующее положение и контролирует рынок данного товара.
Определяющим моментом при этом являются не размеры предприятия, а доля его производства в выпуске товаров на рынке. Первые монополии возникли очень давно и были связаны с невоспроизводимыми условиями производства и возможностями диктовать потребителям свои условия. В.Ленин связывал появление монополии прежде всего с ростом концентрации и централизации производства и капитала. Есть и другие условия образования монополий —такие, как естественная монополия, связанная с невоспроизводимыми элементами производства (залежи полезных ископаемых, плодородные участки земли и т.д.), использованием научно-технических достижений и т.д. Наконец, может возникать административная монополия, поддерживаемая государством, подчиняющая судопроизводство, охрану правопорядка, государственную безопасность и т.д.
Со стороны спроса аналогом монополии выступает монопсония. Это такая ситуация на рынке, когда существует лишь один покупатель. При монополии и монопсонии у продавцов и покупателей появляется возможность влиять на процесс ценообразования. При этом монополия оказывает влияние на цену путем изменения объема производства, а монопсония — посредством изменения размеров закупок.
Монополия расширяет производство не бесконечно. Она это делает до тех пор, пока каждая дополнительная единица продукции будет приносить доход больший, чем затраты на его производство. Доход и затраты на каждую дополнительную единицу продукции называют предельными. Расширение производства монополий ограничено кривой спроса и растущими предельными затратами.
Монополия и монопсония — это крайние случаи несовершенной конкуренции. Чаще встречается олигополия (от греч. слов «олигос» — немногий, «полео» — продаю): когда основная масса товаров сосредоточена у нескольких крупных продавцов, и олигопсония: когда есть несколько крупных покупателей. Примером олигополии могут служить три гиганта автомобильной промышленности США — «Дженерал моторе», «Форд» и «Крайслер», которые вместе производят свыше 90% всех автомобилей в стране.
Олигополии используют новый способ борьбы за покупательский спрос — неценовую конкуренцию. В этом случае борьба идет на основе технического превосходства, высокого качества и надежности изделий, более эффективных методов сбыта, использования маркетинга, расширения видов предоставляемых услуг и гарантий покупателям, улучшения условий оплаты и других приемов.
Неценовая конкуренция меняет рыночный механизм регулирования взаимосвязи цен и стоимости. Если на рынке господствует цена, установленная олигополией, то цена не может совершать прежнего движения вокруг стоимости товара. Величина стоимости изменяется в соответствии с уровнем зафиксированной цены продуктов, в зависимости от остроты конкуренции увеличиваются или снижаются расходы олигополий на повышение качества товара, поддержание сети обслуживания потребителей, рекламу и др. Затраты на изготовление и сбыт продукции монополий и олигополий меняются быстрее и оказываются более гибкими, чем рыночная цена.
Современное процветание разного рода монополий (олигополий), возникновение транснациональных корпораций свидетельствуют о том, что образование монополий — закономерный процесс, и объясняется это тем, что сама конкуренция — важный элемент рыночного механизма —- порождает их, ибо каждый конкурент на рынке мечтает стать монополистом.1
Структура рынков и их функционирование представляют интерес для изучения, потому что для предприятия, фирмы необходимо найти пути оптимального взаимодействия с рынком факторов производства. С точки зрения государства, экономическая теория помогает находить закономерности  функционирования макроэкономических, механизмов, которые затем используются для эффективного распределения национального дохода страны между субъектами, выполняющими в экономике различные функции. Государство может влиять на экономические процессы, зависящие от состояния факторных рынков, через разделение дохода, стимулируя или сдерживая определенные сектора, эти же экономические процессы обуславливают политику государства. Таким образом, очевидна необходимость тщательного изучения механизмов рынков факторов и распределения дохода и их взаимосвязи.


Новые тенденции всемирных экономических отношений и международного разделения труда


Новые тенденции всемирных экономических отношений и международного разделения труда Основной тенденцией современной мировой экономики является ее глобализация. Этот решающий фактор нынешних международных экономических отношений отмечают многие исследователи в разных странах. Одно из распространенных мнений специалистов заключается в том, что мы переходим сейчас от исторического периода, для которого была характерна абсолютизация интересов собственно национальной экономики (с законодательными и политическими рамками, присущими каждому отдельному государству), что было, кстати, вполне оправданным и логичным, к другому этапу — глобальной экономике, не имеющей единого жесткого регулирующего аппарата. С одной стороны, развиваются процессы анархии (это касается прежде всего валютно-финансовой системы), с другой стороны, усиливаются тенденции к олигархии (это заметно на концентрации промышленности и финансов, формировании технологических союзов между отдельными фирмами. В результате такого развития образуются огромные корпорации, не знающие границ). Таким образом, формирующаяся глобальная экономика конца столетия не сможет обеспечить эффективную базу развития в мировом масштабе без адекватных всепланетных законодательных и политических рамок.
Последний фактор — необходимость создания всепланетных законодательных и политических рамок, — кстати, отнюдь не новая идея, — лишь отражение глобальных тенденций, — вызывала (и сейчас вызывает) у исследователей и политических деятелей разноречивые мнения. Во-первых, на их формирование понадобятся долгие годы, не говоря уже о том, что это требует стабильной международной обстановки и обеспечения безопасности не только политической, но и экономической. Во-вторых, высказываются сомнения относительно возможности достижения каких-то согласованных действий различных стран в нынешней сложной международной обстановке. И главное — сам феномен глобализации мировой экономики вызывает подчас определенное беспокойство именно своей неуправляемостью. Глобализация. — источник возросшей эффективности, значительных улучшений условий для потребителей. Товары, да и вообще все факторы производства — капиталы, труд и информация, движутся все более свободно, становятся доступными всем и по все более дешевой цене (не в странах бывшего восточного блока). Зато в глобальной экономике обостряется конкуренция. Предприятия находятся в условиях такой конкуренции, какой они никогда еще не знали. Это, конечно, выгодно потребителю. Но это означает также, что стремление к эффективности, постоянное обновление производства и распределительной сети стали крайне настоятельными требованиями. Глобализация ведет к пересмотру целого ряда привычек, убеждений, культурных ориентиров. Нужно приспосабливаться к новому положению вещей, а это нелегко и вызывает тревогу людей.
Существует еще одна проблема, связанная с отмеченной общей тенденцией к глобализации мировой экономики, которая тоже требует к себе пристального внимания. Речь идет о сложном взаимовлиянии и взаимодействии двух процессов. С одной стороны, происходит глобализация рынков, а с другой — образование региональных экономических блоков. Нет ли противоречия между этими двумя тенденциями? Не грозит ли их параллельное развитие в конечном счете экономической войной между мощными региональными группами? Эти тенденции необходимо изучать и учитывать.
Тем не менее тенденция к глобализации более рельефно выражена. Речь идет о качественно ином этапе, ведущем к образованию единого глобального рынка. Об этом можно судить по многим признакам. К примеру, один из его символов, убедительных для потребителя, — универсальная платежная карточка. Всего лишь один пластиковый документ позволяет производить все или почти все расчеты в Мадриде и Токио, Пекине и Давосе, не говоря уже о Лондоне, Нью-Йорке, Сингапуре. Тенденции глобализации особенно благоприятствуют технические факторы, например, развитие средств связи, а двигают ее вперед многонациональные фирмы. Она охватывает все секторы экономической жизни — научные исследования, промышленность, сферу услуг, финансы. Она оказывает воздействие на все стороны жизни (посредством стандартизации и унификации производственных методов и финансовых расчетов). Она, естественно, развернулась благодаря открытию границ и либерализации торговли. Но параллельно в мировой экономике происходит и другая глубокая эволюция: формирование региональных экономических блоков, то есть развивается процесс интеграции, конвергенции. Что хзает-с дезинтеграции в 1990 г. Совета Экономической Взаимопомощи, объединявшего страны Восточной Европы и СССР, распада СССР и дезинтеграции экономик бывших его республик — это не что иное, как исключение из общего правила. Здесь требуются дополнительные специальные исследования — какое значение имел объективный фактор и какое — субъективный.
Новый этап в развитии Европейского сообщества, начавшийся в 1992 году, принятие соглашения о свободной торговле в Северной Америке, создание зоны свободной торговли странами АСЕАН — всюду одни и те же экономические силы подталкивают к формированию региональных торгово-экономических блоков. Переговоры по вопросам интеграции всегда идут трудно, однако движение представляется неодолимым, поскольку оно объективно.
Однако не входит ли возникновение таких блоков в противоречие с глобализацией рынка? Если региональные блоки — это зоны свободной торговли, открытые во внешний мир, то тогда современный регионализм вполне совместим с многосторонностью, как полагает профессор экономики Колумбийского университета (США) Джагдиш Бхагвати, один из видных теоретиков в области изучения мировой торговли. На самом деле современные блоки — не крепости. Они открыты для новых участников. Европейская интеграция в рамках ЕС, мобилизовавшая сначала шесть государств, сейчас охватывает двенадцать стран. Изучаются просьбы о приеме в ЕС новых стран. Продолжаются переговоры с ЕАСТ о создании европейского экономического пространства, включающего девятнадцать стран. Раздаются призывы к созданию континентального общего рынка из 50 государств, включающего страны Старого континента, в том числе государства, образованные на пространстве бывшего Советского Союза. Фактически все организующиеся сейчас альянсы открыты для новых членов, во всяком случае, формально.
Далее. Эти блоки создаются не в целях регионального самообеспечения, а скорее для того, чтобы извлечь большие выгоды из международной торговли. Они подвергаются внутренним давлениям, которые влекут страны к либерализации и открытости внешнему миру. Внутри региональная торговля не кажется составляющим блоки странам несовместимой с торговлей между ними и остальным миром. Переговоры о Североамериканском общем рынке, которые шли продолжительное время между Канадой, Соединенными Штатами и Мексикой, подталкивали, например, Мехико в направлении открытости и либерализации своей экономики.
Требования мировой торговли таковы, что для новых объединений невозможно стремиться к замене национальных границ региональными границами. Зона свободной торговли, предусматриваемая странами АСЕАН, не может быть закрытым блоком. В странах-членах АСЕАН происходило быстрое экономическое развитие (в 80-х—начале 90-х годов ежегодный рост их ВНП составлял 7%) в основном благодаря развитию их экспорта, объем которого увеличивался на 12% каждый год.
Поэтому сегодняшний регионализм не имеет ничего общего с регионализмом 30-х годов, выражением которого были двусторонние соглашения, заключавшиеся для того, чтобы придержать «аутсайдеров». Поэтому участникам СНГ не стоит использовать мировой опыт 30-х годов, создавая между собой таможенные и иные границы, напротив, необходимо энергично сближать законодательство, используя для этих целей, например, межпарламентскую ассамблею (МПА) Содружества.
Итак, в мировой экономике происходит двойная интеграция — глобальная и региональная. Хотя глобализация и регионализм в той форме, какую они принимают в настоящее время, не являются несовместимыми, это не значит, что не возникает противоречий в отдельных областях сотрудничества. Их можно наблюдать в ходе переговоров о либерализации международной торговли (Уругвайский раунд). Но в данном случае сомнению подвергается не сам факт образования региональных блоков, а наличие усиления протекционистского нажима, связанного с экономической конъюнктурой, депрессией 90-х гг. Как правило, во время кризисов некоторые страны стремятся усилить протекционистские действия, но они наталкиваются на противодействие со стороны других стран, включая своих партнеров, и одновременно вступают в противоречие с действием мощных сил, двигающих экономический мир к глобализации.1
В условиях рыночной экономики торговля между странами является одним из основных источников валютных поступлений. Естественно, это происходит при активном участии государства как в экспорте, так и в импорте, так как фактор взаимности во внешней торговле играет важную роль.
Внешняя торговля, являясь совокупностью отдельных коммерческих сделок по экспорту и импорту товаров и услуг, основывается на заключении внешнеторговых контрактов между конкретными экономическими субъектами разной национальной принадлежности. В то же время действия этих субъектов регулируются государством, которое использует для этого таможенный тариф, лицензирование и другие нетарифные методы, прямое и косвенной субсидирование и другие средства.
Таким образом, и действия экономических субъектов, и роль государства в экономике реализуются во внешней торговле по-разному, в зависимости от преференций и задач тех или иных стран; они меняются под воздействием внешних и внутренних факторов, что и является предметом изучения в данной теме.


«Новый курс» Рузвельта


«Новый курс» Рузвельта Кризис 20-х гг. был такой катастрофой, что экономисты стали говорить о конце капитализма, о том, что в прежнем виде капиталистическая экономика не сможет продолжать существование. В это время рождаются новые экономические теории, рецепты спасения и перестройки хозяйства. Наиболее важной из них, пожалуй, стала теория английского экономиста Дж.М. Кейнса. Это учение и послужило теоретической основой того, что мы называем государственно-монополистическим капитализмом. Нам необходимо уточнить это понятие. Нередко определяли государственно-монополистический капитализм так: «Это слияние монополий с государством, т.е. такое положение, когда монополии контролируют, держат в своих руках государственную власть».
Очевидно, сущность государственно-монополистического капитализма заключается в другом. Государство начинает регулировать хозяйственное развитие, управлять им, организует программирование экономики, т.е. приобретет функции, которых прежде капиталистическое государство не имело. Поэтому правильней говорить не о государственно-монополистическом капитализме, а о государственном регулировании экономики. Почему происходит переход к государственному регулированию? Потому что оно позволяет избежать кризисов.
Как это происходило в США? Новый президент США Франклин Д. Рузвельт провозгласил систему мер оздоровления экономики—так называемый «новый курс».
При правительстве была создана «Национальная администрация по восстановлению промышленности». Во главе ее встал «мозговой трест» — совет из крупнейших экономистов и промышленников, который и стал осуществлять государственное регулирование хозяйства.
Промышленность была разделена на 17 отраслевых групп. Во главе каждой группы был поставлен свой орган и для каждой группы были введены свои правила — «кодексы честной конкуренции». «Кодексы» устанавливали объем производства, цены и т.д., ставили производство в определенные рамки в соответствии с емкостью рынка сбыта, т.е. с расчетом не производить продукции больше, чем может поглотить рынок.
Другим направлением курса Рузвельта была организация больших государственных работ, на которые было ассигновано свыше 3 млрд. долл., — строительство дорог, аэродромов, школ, больниц и других сооружений в основном в сфере инфраструктуры. Для организации этих работ было построено 2,5 тысячи палаточных лагерей, куда и собирали безработных.
Эти работы уменьшали безработицу и увеличивали рынок сбыта, потому что бывшие безработные теперь получали зарплату и покупали товары, да и для самих работ приобретались с рынка стройматериалы, строительные механизмы и многое другое. Таким образом, эти работы поглощали товары с рынка, не производя товаров, и это рассасывало кризис.
Соответствующие меры были приняты и в сельском хозяйстве. Государство стало скупать земли у фермеров, оставляя эту купленную землю как пустошь, без использования, стало выплачивать премии за сокращение поголовья скота, за сокращение продукции, т.е. старалось сократить объем сельскохозяйственного производства, привести его в соответствии с возможностями сбыта.
Такое государственное регулирование было необычным для старого капитализма и воспринималось как нечто некапиталистическое. Писатель Герберт Уэллс писал: «Мне кажется, что в Соединенных Штатах речь идет о глубокой реорганизации, о создании планового, т.е. социалистического хозяйства». Так думал, однако, не только Уэллс. Поскольку меры Рузвельта ограничивали свободу предпринимательства, Верховный суд США признал политику Рузвельта противоречащей конституции, и в 1934 г. большинство мероприятий «Нового курса» было запрещено.
После окончания кризиса подъем был довольно слабым. В 1937 г. качался новый кризис. Промышленное производство упало на 36%, число безработных выросло до 10,5 млн. Выход из этого кризиса был связан уже с началом второй мировой войны.
Экономика США в период второй мировой войны и после нее. В годы второй мировой войны для США повторилась ситуация первой. Военные действия проходили в Европе, ее хозяйство разрушалось. В войну США вступили позже других стран, но и после этого не испытали ее разрушительного действия: на территории США военные действия не велись. Людские потери на территории США составили б человек, погибших от взрыва бомбы, запущенной из Японии на воздушном шаре. Согласно проведенным обследованиям американское население в годы войны одевалось и питалось лучше, чем в довоенные годы.
Вклад США в победу над Германией был преимущественно материальным. 46 млрд. долл. составили поставки по ленд-лизу, т.е. передача участникам войны против Германии различных военных материалов. Это не было подарком. Президент Трумэн справедливо отмечал: «Деньги, истраченные на ленд-лиз, безусловно, спасли множество американских жизней».
Но ленд-лиз был выгоден не только этим. Чтобы отправить снаряжение союзникам, оно закупалось у американских корпораций; ленд-лиз вызвал патриотическое оживление, увеличение занятости, новые доходы, новое строительство.
В годы войны увеличился вес государства. Военные промышленные предприятия строило тогда государство. Было построено 2,5 тыс. новых заводов, оснащенных передовой техникой. После войны эти предприятия были проданы монополиям, причем продавались они в 3-5 раз дешевле, чем обошлись государству. Естественно, что в этих условиях война обеспечила новый скачок в экономическом развитии США. Промышленное производство выросло с 1938 по 1948 гг. более чем в два раза.
Выросла и доля США в мировом производстве. Если перед войной США давали 40% мировой капиталистической промышленной продукций, то к концу войны — 62%1
В рамках изучения истории экономических учений рассматриваются вопросы, связанные с деятельностью экономических субъектов и изменением характера их взаимодействия. Отображение существенных сторон данного взаимодействия является основанием выделения особенностей монополизации экономики.
Промышленные корпорации и финансовые группы. С начала века монополии существенно изменились. Во-первых, в большинстве случаев они перестали быть монополиями в прежнем смысле слова. Они обычно уже не монополизируют производство какого-то товара, но это практически стало и невозможно в условиях мирового рынка. Как правило, в отрасли действует несколько корпораций, конкурирующих между собой. Идет процесс диверсификации — перехода к многоотраслевым корпорациям — конгломератам. В условиях неравномерности развития отраслей стало рискованно опираться на одну отрасль. Корпорации стремятся включать в свой состав несколько отраслей, чтобы в трудное время переключать силы на наиболее перспективные.
Во-вторых, в условиях интеграции, усиления международных связей крупнейшие корпорации все более становятся транснациональными. Как правило, крупная корпорация имеет много филиалов, дочерних компаний в разных странах. Это облегчает сбыт продукции за границей, позволяет использовать ресурсы и благоприятные возможности, имеющиеся в той или иной стране. Например, в слаборазвитую страну переносятся трудоемкие, простейшие операции, чтобы использовать дешевизну местной рабочей силы.
В рамках истории экономических учений предполагается выявить принципы представительства монополий в экономике страны на основе рассмотрения основных направлений борьбы с монополизацией рынка. Полное представление о монополии как элементе экономической системы  складывается,  если рассмотреть  процесс монополизации экономики в различных странах. Определение условий развития производства и экономики в целом представляется возможным осуществить в рамках изучения истории экономических учений. Отношения собственности, распределение ресурсов, рыночное взаимодействие раскрываются через рассмотрение становления различных систем регулируемого капитализма.


Новый рывок в управленческой мысли


Новый рывок в управленческой мысли — развитие современных количественных методов обоснования решений в 1950-60-е годы — оказался прямым следствием применения математики и компьютеров в управлении. В нашей стране в этот период экономико-математическое движение было особенно сильным, оно оказало большое и в целом положительное влияние на экономическую и управленческую мысль, хотя и не было лишено серьезных иллюзий и значительных недостатков. Именно «количественная школа» в мировой управленческой мысли стимулировала привлечение положений теории систем, кибернетики — областей науки, синтезирующих, интегрирующих сложные явления — к управлению, что по прошествии времени способствовало преодолению конфликта между рационализмом сторонников «науки управления» и романтизмом энтузиастов налаживания гармонии в человеческих отношениях, организациях и обществе.
На рубеже 1970-х годов переломной для всей управленческой мысли явилась четко сформулированная идея о том, что организация — это открытая система, которая приспосабливается к своей весьма многообразной внешней и внутренней среде, и главные причины того, что происходит внутри организации, следует искать вне ее. 70-80-е годы прошли в интенсивных поисках взаимосвязей между типами среды и различными формами управления. Увы, и этот переход от универсализма к «ситуационному подходу», сравнимый с переходом от плоскости к трехмерному пространству, от немого черно-белого кино к цветному со стереофоническим звуком, в отечественной управленческой мысли, находившейся, как и все общество, в застое, к сожалению, прошел почти незамеченным.
Десятилетие 80-х ознаменовалось новым прорывом — неожиданным для многих американцев открытием значения «организационной культуры» как мощного инструмента управления, особенно эффективно используемого японцами. Сегодня многие американские теоретики склонны ставить культуру по силе воздействия на людей вровень с организацией как управленческим инструментом, а учебные программы по преобразованию культуры в организациях — модное новшество ведущих школ бизнеса в 90-е годы. Как представляется, в этом есть рациональное зерно. Ведь и мы во второй половине 80-х годов обнаружили, что главный потенциал и в то же время главная опасность для прогрессивных изменений кроется в человеке, а точнее, в его сознании, в культуре, в том числе в культурных стереотипах поведения в организациях.
Если говорить о годах 90-х, то здесь просматриваются три наиболее интересные тенденции. Первая из них связана с некоторым возвратом к прошлому — осознанием значения материальной, технологической базы современного производства и оказания услуг. Это вызвано не только применением компьютеров в управлении, но и вообще усилением влияния технического прогресса на достижение целей организации, повышением роли производительности и качества для победы в конкуренции. Не случайно в данном учебнике об основах управления появились самостоятельные разделы об управлении операциями и достижении высокой производительности посредством синтеза деятельности людей и использования технологических факторов производства. Как представляется, управленческая мысль снова вступает в период некоторого усиления в ней «технократизма» на новой, более глубокой и здоровой основе.
Однако, параллельно с этим наблюдается и вторая тенденция, касающаяся уже социальных, поведенческих аспектов, — это усиление внимания не только к организационной культуре, о чем говорилось выше, но и к различным формам демократизации управления, участия рядовых работников в прибылях, в осуществлении управленческих функций, в собственности. Эта идея, зародившаяся в 30-е годы и настойчиво развиваемая теоретиками 50-60-х годов, в практике американского менеджмента реализовывалась, впрочем, довольно вяло. Этим американский менеджмент отличался от европейского и японского (хотя и очень своеобразного в этом смысле) управления. Но сегодня демократизация управления, участие в управлении — это реальность. Уже общепризнано — ив Европе, и в Японии, и в США — что за демократизированными, «партисипативньми» формами управления — будущее. Этот феномен, по-видимому, будет обобщаться и осмысливаться в ближайшие годы специалистами по управлению. Наша практика может дать в этой области много своеобразного и интересного, так же как и в вопросах этики бизнеса — еще одного традиционного, но ставшего опять весьма актуальным аспекта хозяйствования в условиях рынка, экономической свободы.
Наконец, третья особенность управленческой мысли в 90-е годы — усиление международного   характера   управления.   Вслед   за   переходом   большинства постиндустриальных стран к открытой, экономике, резким повышением роли международной конкуренции и в то же время кооперации производства, развитием траснациональных корпораций и т.п. интернационализация управления ставит очень много новых вопросов перед управленческой теорией и практикой. Важнейшие из них — что есть общее и особенное в управлении, какие закономерности, формы, методы управления являются универсальными, а какие действуют в диапазоне конкретных условий разных стран, как наилучшим образом выполнять функции управления во внешнеэкономической деятельности, в чем состоят особенности национального стиля в управлении, в организационном поведении, насколько эти особенности важны для достижения желаемых результатов, как иностранцам быстрее приспособиться к национальной местной среде. Все это исключительно интересные новые вопросы, многие из которых еще ждут своего ответа. Для нас же и в этой области предстоит преодолевать серьезное отставание, потому что международный бизнес для многих — дело новое, ему надо учиться с азов. Предприятий и организаций, участвующих во внешнеэкономической деятельности, уже более 30 тысяч, и обучить и проконсультировать весь их персонал в короткие сроки невозможно. И все же поиск кратчайших путей к успеху в этой области, учитывающих опыт других стран, не повторяющих чужих ошибок, — достойная задача для творчески мыслящих людей в нашей стране.
Достоинство данного учебника в том, что он, освещая состояние управленческой мысли в научном и в прикладном аспектах, доводит нас примерно до середины 80-х годов. В то же время он — очень американский, тесно связанный с развитием именно американской управленческой мысли, основанный на многих ценностях, характерных для американского общества, культуры, менеджмента. Он содержит яркие примеры из практики прежде всего этой страны. Поэтому нужно сделать и некоторую скидку на эту специфику, оставить место и для определенной доли скептицизма, для свободного поиска мысли и учета наших, особенных условий. В то же время надо ясно осознавать, что в этой книге речь идет всего лишь об основах управления. Реальное профессиональное знание по управлению, по менеджменту требует освоения как специальной управленческой литературы по разным разделам данной дисциплины, так и освоения основополагающих работ по смежным дисциплинам — экономике, социологии, психологии, математике, кибернетике и т.п. Это нужно прежде всего, конечно, для тех, кто намерен посвятить себя исследованиям и преподаванию в области управления. Для практиков же, по-видимому, намного важнее углубиться в изучение конкретных ситуаций, а в более общем плане — в изучение истории хозяйствования на примере известных организаций, знаменитых проектов, деятельности выдающихся руководителей и т.п. Думается, что этот эмпирический пласт в управленческой мысли для нас пока еще — неосвоенная целина. Подняв его, мы многое поймем в нашем управлении, научимся отделять зерна от плевел, извлечем уроки из прошлого, сделаем реальный шаг вперед.1


Объекты гражданского права


Объекты гражданского права Объектом, или предметом гражданского права, является направление его воздействия. По закону (ст. 128 ч. 1 ГК РФ) объекты гражданского права подразделяются на следующие пять видов: 1) имущество; 2) работа и услуги; 3) информация; 4) результаты интеллектуальной деятельности; 5) нематериальные блага.
Объекты гражданских прав по-разному участвуют в гражданских правоотношениях, в гражданском обороте.
Большинство объектов могут свободно отчуждаться (продажа, мена и т.п.) либо переходить к другим лицам в порядке универсального правопреемства (т.е. при наследовании или реорганизации юридического лица). Такие объекты называют оборотоспособными.
Некоторые объекты гражданских прав ограничены в гражданском обороте: они могут либо принадлежать только государственным организациям, либо только российским гражданам и юридическим лицам, либо находиться в гражданском обороте только по специальным разрешениям (оружие, право на пользование природными ресурсами и т.п.).
К числу объектов, ограниченных в гражданском обороте, относятся земля и другие природные ресурсы: они могут отчуждаться или переходить от одного лица к другому только в той мере, в какой это допускается законами о земле и других природных ресурсах.
Наконец, некоторые объекты гражданских прав вовсе исключены из гражданского оборота. Сюда относятся, в частности, особо важные культурные объекты (например, Большой театр России).
Имущество — это самая важная и наиболее сложная категория объектов гражданских прав. Сюда относятся вещи (в это понятие включаются материальные предметы, деньги и ценные бумаги) и иное имущество, в том числе имущественные права.
Вещи. В узком значении слова эти материальные объекты для целей гражданского права могут быть подразделены на следующие категории:
а) средства производства и предметы потребления;
б) недвижимые вещи и движимые вещи. К недвижимым вещам относятся земельные участки, участки недр, а также все, что прочно связано с землей (здания, сооружения, многолетние насаждения). Недвижимые вещи и сделки с ними подлежат обязательной государственной регистрации. Остальные вещи относятся к движимым, которые по общему правилу государственной регистрации не подлежат;
в) делимые и неделимые вещи; делимой является вещь, которая может быть разделена без изменения ее назначения; делимость является важным правовым свойством вещи;
г) вещи, определенные индивидуальными признаками, и вещи, определенные лишь родовыми признаками. Если вещь является уникальной (единственной) или если она выделена из ряда других аналогичных вещей, например, этот мешок сахара, то она определена индивидуальными признаками. Вещи, определенные индивидуально, в гражданском обороте участвуют иначе, чем вещи, определенные только родовыми признаками;
д) потребляемые вещи (исчезающие при их разовом использовании) и непотребляемые вещи. Последние потребляются постепенно (амортизируются);
е) главная вещь и принадлежность; принадлежностью считается вещь, предназначенная для обслуживания главной вещи (например, смычок для скрипки); обычно принадлежность следует судьбе главной вещи, например передается вместе с ней при покупке;
ж) основные вещи и полученные от них плоды, продукция, доходы; плоды, продукция, доходы принадлежат лицу, использующему вещь на законном основании, если иное не предусмотрено законом или договором.
Предприятие. Как объект права — это сложная вещь, имущественный комплекс, который используется для осуществления предпринимательской деятельности. Оно в целом признается недвижимостью. Предприятие полностью или частично может быть объектом купли-продажи, залога, аренды.
В состав предприятия входят все виды имущества, предназначенные для его деятельности: земельный участок, здания, сооружения, сырье, продукция; права требования, долги, фирменное наименование, товарный знак и т.п.
Деньги (валюта). Рубль является законным платежным средством, обязательным к применению в России. Отказ принять рубль в оплату платежей является нарушением закона.1
Количественно  экономические  связи  расширяются,  а  правовые  аспекты экономических отношений в современном обществе усложняются. Тем более важным становится понимание и способность ориентироваться в вопросах права индивидуального владения, собственности и регламентирующих передачу права собственности документов (контракт купли-продажи и т.д.).
Гражданско-правовые сделки Понятие сделки. Обстоятельства (основания), с наступлением которых связываются установление, изменение или прекращение гражданских прав и обязанностей, определены в законе.
В частности, ГК РФ устанавливает юридические факты, которые обусловливают возникновение гражданских прав и обязанностей. Одним из таких юридических фактов являются сделки.
Гражданско-правовая сделка — это наиболее часто встречающийся юридический факт, на основе которого возникают гражданские права и обязанности. В сделках выражаются разнообразные имущественные отношения как между организациями, так и между этими организациями и гражданами, а также между гражданами. Особенно велико значение сделок в сфере имущественных отношений между коммерческими организациями. Здесь они выступают в качестве эффективного средства рыночного хозяйства.
Сделки определяются как действия граждан и юридических лиц, направленные на установление, изменение или прекращение гражданских прав и обязанностей.
Примером заключения сделки посредством установления гражданских прав и обязанностей является принятие гражданином-покупателем предложения магазина о заключении договора розничной купли-продажи.
Примером совершения сделки посредством действий, направленных на изменение прав и обязанностей, может служить дополнительное соглашение сторон договора купли-продажи товаров об изменении продавцу первоначально установленных сроков продажи.
Если же оптовая и розничная торговые организации заключают соглашение о зачете взаимных требований, то такое соглашение является примером сделки, прекращающей ранее существовавшие правоотношения.
Сделки являются волевыми актами. Они выражают волю их участников. Волевым характером сделки отличаются от другого вида юридических фактов — событий, которые наступают помимо воли людей и от нее не зависят.
Воля участников сделки направлена на установление правомерных юридических последствий. Этим сделка как юридический факт отличается от правонарушения (деликта). Лицо, причиняющее вред, обычно не желает наступления правовых последствий, они возникают помимо его воли. Участники же сделки заключают ее, желая вызвать те или другие юридические последствия.
Действия лиц, не имеющие целью добиться юридических последствий, не могут привести к сделке. Например, принятие работником приглашения профкома участвовать в туристическом походе является волевым актом, выражающим определенное намерение лица. Однако это волеизъявление не создает гражданско-правовую сделку, так как оно лишено намерения породить юридические последствия.
Каждый из участников сделки при ее совершении обладает определенным намерением (внутренней волей) достичь известного правового результата. Именно из совершенных действий субъектов сделки можно узнать об этом намерении. Чтобы воля могла быть взаимно воспринята участниками сделки и третьими лицами, необходимо выразить ее вовне. Внешнее выражение внутренней воли участников сделки, из которого можно составить представление о ее содержании, называется волетлзъявлением.
Односторонними являются сделки, которые совершаются на основе волеизъявления одного лица. Возникая в силу волеизъявления одной стороны, односторонние сделки создают гражданские правоотношения, в которых участвуют не менее двух лиц. Например, выдача торговой базой доверенности на получение материальных ценностей является односторонней сделкой, но в силу этой сделки у доверителя и у поверенного возникают определенные гражданские права и обязанности.
Число односторонних сделок, совершаемых в гражданском обороте, весьма ограничено. К ним относятся, например, акцепт платежных требований, отказ от их акцепта, выдача чека и платежного поручения, объявление публичного конкурса для создания произведений науки, литературы и искусства, составление завещания, отказ от наследства, отказ арендатора от договора аренды и др.
Двухсторонние сделки выражают согласованное волеизъявление двух сторон и именуются договорами. Таким образом, всякий договор является сделкой, но не всякая сделка может быть договором. Многосторонние сделки также являются договорами.
Однако, в отличие от двусторонних сделок они возникают на основе волеизъявления более чем двух сторон.
Заблуждение в мотивах сделки обычно не имеет юридического значения. Например, профсоюзная организация предприятия, полагая, что предстоящее спортивное состязание вызовет интерес у работников, закупает определенное число билетов для посещения стадиона. Однако оно не вызвало ожидаемого интереса. По этому мотиву нельзя признать сделку купли-продажи билетов недействительной. Напротив, если мотивы включены в самое содержание сделки, то заблуждение в мотивах сделки приобретает юридическое значение.


Объекты налогообложения


Основным фактором воздействия на форму создания налога является определение момента взаимодействия с текущим экономическим действием. Выделение этапа включения в него и служит основанием для разделения налогов:
-         платежи, включаемые в себестоимость продукции;
-         платежи, уплачиваемые из балансовой прибыли;
-         платежи, уплачиваемые из выручки от реализации продукции.
По методу установления налоги подразделяются на прямые и косвенные. К числу прямых относятся: подоходный налог, налог на прибыль, ресурсные платежи, налоги на имущество, владение и пользование которым служат основанием для обложениг. Косвенные налоги вытекают из хозяйственных актов и оборотов, финансовых операций (налог на добавленную стоимость, акцизы, таможенная пошлина, налог на операции с ценными бумагами).
В развитых странах роль прямых налогов, доказавших свою эффективность, значительно возросла и составила в 1987 г.: в США — 91,1%, Японии — 71,2, Англии — 54,3, в ФРГ — 44,1%. В России на долю прямых налогов приходится примерно 45% (1995 г.).
По мере повышения материального благосостояния населения, расширения круга товаров массового потребления косвенные налоги эволюционировались: от однократного налогообложения потребительских товаров на стадии конечного потребления — к многократному обложению хозяйственного оборота, начиная со стадии производства, т.е. от акциза к налогу с оборота и затем к налогу на добавленную стоимость и акцизам.
В нашей стране платежи государственных предприятий из прибыли не носили налогового характера. В 1913 г. государственное хозяйство, включая казенную винную монополию, обеспечивало 60% доходов бюджета, а прямые налоги — всего лишь 6%. В 1987 г. доля прямых налогов в доходах госбюджета СССР составляла 8,2%, а платежи госпредприятий из прибыли и налог с оборота — 61%. Другими словами, налоговая система в России хотя и видоизменялась по составу и значению отдельных налогов, но по сути оставалась закостенелой.
Осуществление рыночных преобразований в экономике России активизировало работу по совершенствованию налоговой системы. Вместо налога с оборота и его (принятого в 1991 г.) «сателлита» — налога с продаж — были введены два других косвенных налога: акцизный (на ограниченный круг товаров) и на добавленную стоимость. Введение с 1992 г. налога на добавленную стоимость соответствует требованиям рыночных отношений, ибо охватывает и потребительские товары (которыми в основном ограничивался налог с оборота), и товары производственно-технического назначения на всех стадиях их производства и реализации вплоть до конечного потребления.1
Как и любая система в сфере экономики, налоговая система требует систематизации и контроля, поэтому организация налоговой службы представляется объективно необходимым действием в рамках любой экономики. Таким образом, создание налоговой системы представляет собой способ упорядочения и анализа экономических потоков между субъектами хозяйствования.
На издержки становления налоговой системы можно отнести и несоблюдение принципа стабильности. Только в 1992 г. в налоговое законодательство семь раз вносились изменения и дополнения. Вносились они и в другие годы в целях совершенствования налоговой и бюджетной систем.
Источником налоговых платежей (взносов) независимо от объекта налогообложения является валовой национальный доход (ВНД), который количественно не совпадает с ВВП. ВНД образует первичные денежные доходы основных участников общественного производства и государства как организатора хозяйственной жизни в национальном масштабе (и соорганизатора наряду с другими государствами регионального хозяйства): оплата труда работников, прибыль хозяйствующих субъектов и централизованный доход государства (налоги в бюджет, а социальные отчисления — во внебюджетные фонды). Образованием первичных денежных доходов не ограничивается процесс стоимостного распределения валового продукта. Он продолжается в перераспределении денежных; доходов основных участников общественного производства в пользу государства: от работников — в форме подоходного налога (12% и более) и отчислений в пенсионный фонд (1%), а от хозяйствующих субъектов — в форме налога на прибыль и других налоговых платежей и сборов.
Законодательством установлено, что объектами налогообложения являются:
- прибыль (доход); стоимость определенных товаров;
- добавленная стоимость продукции;
- имущество юридических и физических лиц;
- передача имущества (дарение, продажа, наследование);
- операции с ценными бумагами; отдельные виды деятельности;
- другие объекты, установленные законом.
Один и тот же объект облагается налогом одного вида только один раз за установленный период налогообложения (месяц, квартал, полугодие, год).
Общее количество налогоплательщиков определяется количеством юридических лиц (предприятий, организаций, учреждений), численностью граждан, зарегистрированных в налоговых органах в качестве лиц, занимающихся предпринимательской деятельностью, и численностью граждан, уплачивающих подоходный налог по месту получения заработной платы.
По данным Госналогслужбы РФ, на 1 января 1997 г. в России зарегистрировано более 26625 тыс. налогоплательщиков — юридических лиц, из которых две трети (66,4%) действующие предприятия, а остальные — «неживые» налогоплательщики (не предоставляют отчетность, не платят налоги, находятся в розыске).1
Действующие предприятия удерживали на 1.1.1994 г. подоходный налог с 115,7 млн. физических лиц, включая совместителей. Численность граждан-предпринимателей составила 1024 тыс. человек. Рыночные преобразования способствовали количественному росту налогоплательщиков: за 1993 г. их общее число (без физических лиц, уплачивающих подоходный налог) возросло в полтора раза.
Налоговая система РФ на начало 1994 г. представлена совокупностью налогов, сборов, пошлин и других, платежей (всего 44, а на начало 1992 г. было 40), взимаемых в установленном порядке с плательщиков — юридических и физических лиц на территории страны. Все налоги, сборы, пошлины и другие платежи «питают» бюджетную систему РФ. Кроме того, существует около 20 государственных внебюджетных фондов, доходная часть которых формируется за счет целевых отчислений. На долю отчислений в эти фонды приходится 46% (1993 г.) суммы изъятия финансовых ресурсов в бюджетную систему РФ. Причем 3/5 общей суммы отчислений во внебюджетные фонды составляют отчисления в так называемые социальные фонды. Источником этих отчислений также является произведенный ВВП, за счет которого на стадии образования доходов осуществляются соответствующие платежи. В частности, внебюджетные фонды социального назначения формируются по тарифам страховых взносов, привязанных к оплате труда и включаемых в себестоимость продукции. Ставки отчислений в фонды составляют:
- в пенсионный фонд — 28% (кроме того, 1% уплачивается работником из его заработной платы);
- в фонд социального страхования — 5,4;
- в фонд занятости населения — 2;
- в фонд обязательного медицинского страхования — 3,6%.2


Общая характеристика институционализма


Общая характеристика институционализма В начале XX в. ученые-экономисты США, активизировав анализ усилившихся монополистических тенденций в экономике и содействуя антитрестовской политике собственной страны, обрели статус лидеров концепций социального контроля над экономикой, осуществляемого разнообразными методами. Их теории положили начало новому направлению экономической мысли, которое ныне принято называть социально-институциональным, или просто институционализмом.
Институционализм •— это в определенном смысле альтернатива неоклассическому направлению экономической теории. Если неоклассики исходят из смитианского тезиса о совершенстве рыночного хозяйственного механизма и саморегулируемости экономики и придерживаются «чистой экономической науки», то институционалисты движущей силой экономики, наряду с материальными факторами, считают также духовные, моральные, правовые и другие факторы, рассматриваемые в историческом контексте. Другими словами, институционализм в качестве предмета своего анализа выдвигает как экономические, так и неэкономические проблемы социально-экономического развития. При этом объекты исследования, институты не подразделяются на первичные или вторичные и не противопоставляются друг другу.
В области методологии институционализм, по мнению многих исследователей, имеет много общего с исторической школой Германии. Например, В.Леонтьев пишет, что выдающиеся представители американской экономической мысли, имея в виду Т.Веблена и У.К. Митчелла, «в своей критике количественных аналитических методов в экономической науке продолжили общую линию немецкой исторической школы. Частично это можно объяснить тем обстоятельством, что на рубеже веков влияние немецкой школы в США было столь же велико, а возможно, и более значительно, чем влияние английской».
Следует, однако, отметить, что историзм и учет факторов социальной среды для обоснования путей экономического роста хотя и символизируют схожесть методологических принципов институционализма и исторической школы Германии, но отнюдь не означают полной и безоговорочной преемственности традиций последней. И причин здесь несколько. Во-первых, находясь под теоретическим влиянием А.Смита, немецкие авторы второй половины XIX в. всецело поддерживали юнкерские круги Пруссии в их борьбе за утверждение в Германии свободы торговли и других принципов экономического либерализма, включая необходимость неограниченной свободной конкуренции предпринимателей. Во-вторых, историзм в исследованиях немецкой школы проявлялся преимущественно в утверждении естественного характера рыночных экономических отношений и поддержке положения об автоматическом установлении равновесия в экономике на всем протяжении развития человеческого общества. И в-третьих, в трудах авторов исторической школы Германии не допускались даже какие-либо намеки на возможность реформирования экономической жизни общества на принципах, ограничивающих свободное предпринимательство.
Институционализм, таким образом, являет собой качественно новое направление экономической мысли. Он вобрал в себя лучшие теоретико-методологические достижения предшествовавших школ экономической теории — и прежде всего основанные на математике и математическом аппарате маржинальные принципы экономического анализа неоклассиков (в части выявления тенденций в развитии экономики и изменений конъюнктуры рынка), а также методологический инструментарий исторической школы Германии (для исследования проблем «социальной психологии» общества).
Во многом похожее суждение высказывает М.Блауг, по мнению которого, пытаясь определить суть институционализма, мы обнаруживаем три черты, относящиеся к области методологии:
1) неудовлетворенность высоким уровнем абстракции, присущим неоклассике, и в особенности статическим характером ортодоксальной теории цен;
2) стремление к интеграции экономической теории с другими общественными науками, или «вера в преимущества междисциплинарного подхода»;
3) недовольство недостаточной эмпиричностью классической и неоклассической теорий, призыв к детальным количественным исследованиям.
Основные течения институциональной теории В обозначившихся трех течениях институционализма Т.Веблен возглавляет социально-психологический (технократический) вариант институциональных исследований, Дж.Коммонс — социально-правовой (юридический), У.К. Митчелл — конъюнктурно-статистический (эмпирико-прогностический).
Торстейн Веблен (1857—1929) — автор значительного числа крупных трудов в области экономики и социологии, в которых он исходил из теории эволюции природы Ч.Дарвина, принципа взаимосвязи и взаимообусловленности всех общественных отношений, в том числе экономических и социально-психологических. Его теоретическое наследие получило наибольшую популярность и применение для ряда последующих творческих изысканий в русле социально-институционального направления экономической мысли во всех трех его течениях.
По определению Т.Веблена, «институты — это результаты процессов, происходивших в прошлом, они приспособлены к обстоятельствам прошлого и, следовательно, не находятся в полном согласии с требованиями настоящего времени». Отсюда, по его мысли, необходимость их обновления в соответствии с законами эволюции, т.е. привычными способами мышления и общепринятым поведением.
За образ своих мыслей многими идеологами того времени он воспринимался как американский Маркс. И причиной тому было не только и не столько то, что Т.Веблен — в прошлом студент самого Дж.Б. Кларка — стал противником экономической теории своего учителя, придерживавшегося «чистой экономической науки», сколько острая критическая оценка последствий того, к чему привели национальные экономики различных стран проповедники  абсолютизации  смитианских  идей  экономического  либерализма, саморегулируемости и бескризисности народного хозяйства, «естественного» совпадения в условиях свободного предпринимательства личных интересов «экономического человека» с общественными. Вот почему в своих рассуждениях о «теологии» и «апологии» он «решительно возражал против центрального тезиса неоклассической теории благосостояния, согласно которому совершенная конкуренция при некоторых ограничениях ведет к оптимальным результатам» и почему эволюционная наука для него — это «исследование происхождения и развития экономических институтов и взгляд на экономическую систему как на «кумулятивный процесс», а не «самоуравновешивающийся механизм».
Особое видение проблем социально-экономического развития общества Т.Веблен подчеркивал даже в названиях изданных им работ, в числе которых «Теория праздного класса» (1899), «Инстинкт мастерства» (1914), «Инженеры и система цен» (1921), «Собственность отсутствующего» (1923) и др.
Свою убежденность в эволюционном преобразовании общества Т.Веблен основывал на своеобразном преломлении теории эволюции природы Ч.Дарвина. Отталкиваясь от ее постулатов, он, в частности, пытался аргументировать положение об актуальности в человеческом обществе «борьбы за существование». При этом им используется историческая оценка развития «институтов» общества, в которой отрицаются марксистские положения о «классовой эксплуатации» и «исторической миссии» рабочего класса. На его взгляд, экономическими мотивами людей движут прежде всего родительское чувство, инстинктивное стремление к знаниям и высокому качеству выполняемой работы.
В теории «праздного класса», судя по содержанию одноименной книги Т.Веблена, отношение этого «имущего непроизводственного» класса к экономическому процессу характеризуется как отношение «стяжательства, а не производства, эксплуатации, а не полезности». Этот класс, по Веблену, предпочитает «обычаи мира бизнеса», сложившиеся «под направляющим и избирательным действием законов хищничества или паразитизма». В частности, для представителей именно этого класса могут, очевидно, существовать особые цены на товары, символизирующие показатель их «престижности», а не истинное проявление закона спроса, что ныне принято называть «эффектом Веблена».1


Общественный продукт: сущность и структура


Общественный продукт: сущность и структура
Общественный продукт -— это выраженная в рыночных ценах совокупность товаров и услуг, произведенных в течение одного года.
Говоря об общественном продукте, мы имеем в виду такую комбинацию имеющихся в обществе факторов производства, которая позволяет в течение одного года получать возможно большую массу товаров. Поэтому в нем отражается эффективность национальной экономики и благосостояние народа.
Экономисты, оставившие сколько-нибудь заметный след в теории воспроизводства, стремились раскрыть структуру общественного продукта по натурально-вещественному содержанию, функциональному значению и стоимости (ценности). Так, Ф.Кенэ, создавая экономическую таблицу, выделял из общественного продукта продукцию сельского хозяйства и промышленности, в пределах которых он разграничивал средства производства и предметы потребления.
А.Смит выделял две группы рабочих, одна из которых занята производством средств производства, а другая — предметов потребления.
К.Маркс на основе такой структуры общественного продукта обосновывал деление общественного производства на два соответствующих подразделения.
Такого же подхода к анализу общественного воспроизводства придерживался и Дж.М. Кейнс, однако применительно лишь к сфере обращения. Он не мог не заметить, что весь общественный продукт делится на две группы товаров: средства производства и предметы потребления. Но особенность его подхода состоит в том, что при определениивеличины потребления он вычитает из всей совокупности продаж средства производства (по определению Кейнса, это то, что предприниматели покупают друг у друга) и получает объем продаж предметов потребления, справедливо утверждая, что в своем движении они подчиняются несколько отличающимся закономерностям.
Стоимостная структура общественного продукта является важнейшей проблемой исследования общественного воспроизводства, ибо последняя выступает как проблема возмещения всего общественного продукта в натурально-вещественной форме и по стоимости.
Первое наиболее полное представление о стоимостной структуре общественного продукта мы находим у К.Маркса, показавшего, что структура стоимости как отдельного товара, так и общественного продукта, состоит из двух частей, соответствующих участвующим в самом процессе производства двум факторам (материально-вещественному и личному), а именно: из материальных затрат и вновь созданной стоимости. Последняя включает необходимый продукт (необходимый для воспроизводства рабочей силы) и прибавочный продукт (необходимый для расширения производства, а также удовлетворения общественных потребностей).
Стоимостную структуру общественного продукта рассматривал и Дж.М. Кейнс. Но и здесь, как и в исследовании натурально-вещественного состава общественного продукта, он исходил не только из процесса производства, но и из процесса обращения, где стоимостная структура получала свой завершенный вид.
Согласно западной экономической мысли, в стоимостной структуре общественного продукта выделяются четыре элемента:
1) издержки использования (U);
2) факториальные издержки (F);
3) добавочные издержки (V);
4) совокупный доход предпринимателей (D).
Издержки использования (U) определяются из следующего уравнения:
U-(K'-B')=(K-A'),                                                (12.1.1)
где К'— первоначальная стоимость данных основных средств плюс затраты на их содержание и улучшение;
В' — затраты на содержание и улучшение основных средств производства. Поскольку средства производства использовались для производства продукции, то издержки (В') не были израсходованы на их содержание и улучшение, поэтому они и вычитаются из К', т.е. остается только первоначальная стоимость основных средств;
К— текущая ценность (стоимость) капитального оборудования к концу периода, т.е. остаточная стоимость основных средств производства после завершения производства, а также остаток незавершенного производства и готовой продукции;
А'— стоимость законченной продукции, купленной предпринимателями друг у друга и использованной для производства данной продукции. Таким образом, если ((K'—B')—K) есть в основном стоимость изношенных в данном процессе средств производства (сырье, материалы, энергия, комплектующие детали и т.д.), покупаемых предпринимателем у других производителей и используемых целиком для производства данной продукции, то А'— это стоимость оборотного капитала, израсходованного на производство данной продукции. Использование данного элемента иногда ведет к повторному счету.
Второй элемент — факториальные издержки, которые представляют собой суммы, уплачиваемые предпринимателем другим «факторам производства» за их текущие услуги и выступающие как доход этих факторов, исключая других предпринимателей. Итак, факториальные издержки F — это: 1) заработная плата; 2) процент на ссудный капитал; 3) земельная рента, т.е. доходы нефункционирующих собственников:
F=V+(m-p).                                                  (12.1.2)
Сумма издержек использования и факториальных издержек называется непосредственными издержками, которые предприниматели стремятся довести до минимума, чтобы получить максимальный доход.
Третий элемент стоимостной структуры общественного продукта — это добавочные издержки, под которыми следует понимать обесценение оборудования или превышение фактических издержек использования над предполагаемым обесценением. Речь идет о моральном износе оборудования V. В целом издержки производства I можно представить в следующем виде:

I=U+F+V.                                                   (12.1.3)
 Четвертый элемент стоимостной структуры — это доход (D) предпринимателя в отличие от совокупного дохода общества. Под доходом предпринимателя имеется в виду прибыль, которая достается функционирующему собственнику (предпринимателю) и которая определяется как превышение стоимости товара (W) над издержками (U+F+V).
D=W-(U+F+V).                                            (12.1.4)
В целом стоимостная структура общественного продукта имеет формулу:
W=U+F+V+D.(                                               2.1.5)
Такое представление стоимостной структуры является более конкретным и в большей степени соответствует современной рыночной экономике.
При оценке общественного продукта возникает ряд трудностей. Такие весьма различные товары, как жилые дома, одежда, велосипеды, пища, которые произведены в течение одного года, нельзя просто суммировать или сравнивать, если им не придать денежное выражение.
Поэтому общественный продукт определяется в рыночных ценах. Так как большинство товаров создано для рынка, они получают рыночную цену, и здесь проблем не возникает. Труднее обстоит дело с продукцией или услугами, не имеющими рыночной цены. Безвозмездные услуги государства (оборона, правовая защита, образование) рассчитываются по стоимости издержек, которые фактические сложились в момент оказания этих услуг.
Собственное производство на предприятиях (фирмах), например изготовление какого-либо станка для своих собственных нужд, оценивается по сопоставимым ценам. Услуги в домохозяйствах, выполняемые самими членами семьи, не выносятся на рынок, их учет чрезвычайно сложен, поэтому при определении величины общественного продукта они не учитываются.
В экономической литературе и хозяйственной практике имеют место два подхода к определению величины общественного продукта. Согласно одному подходу, основанному на марксистской теории, совокупный общественный продукт — результат материального производства, а поэтому услуги не включаются в стоимость данного продукта. Такой подход многие годы использовался в нашей стране.
Мировая хозяйственная практика (при подсчете общественного продукта) исходит из того, что масса производственных товаров включает не только материальные блага, но и услуги врача, налогового инспектора, банков или государства и других, а поэтому общественный продукт есть результат двух сфер народного хозяйства — материального производства и сферы услуг. Показателем, характеризующим величину общественного продукта, является валовой внутренний продукт (ВВП).



Общие принципы эконометрического прогнозирования


Общие принципы эконометрического прогнозирования Эконометрические прогнозные исследования, начало которым было положено в конце 20-х гг., к 70-м гг. образовали самостоятельное научное направление в мировой экономической науке. И у нас в стране, и за рубежом тысячи научных коллективов, отдельных исследователей в научных центрах, университетах и институтах, государственных учреждениях и частных компаниях занимаются разработкой и использованием эконометрических моделей и методов в решении многих и многих проблем. Например, только в США стоимость эконометрических разработок, по оценкам журнала «Бизнес уик», уже в 1981 г. превысила 100 млн. долларов.
Наиболее ранние эконометрические исследования проводились норвежским экономистом Р.Фришом. В дальнейшем это направление стало использоваться на Западе для прогнозирования самого широкого круга процессов в области политики, научно-технического прогресса, производительности труда, финансов и цен, спроса и потребления и т.п. на различный период. Особенно возросло значение эконометрических прогнозов с развитием государственно-монополистического регулирования и связанной с этим необходимости разработки инструментария для анализа эффективности экономической политики. Это позволяет многим специалистам считать эконометрику наиболее важным из методов прогнозирования, который играет огромную и все возрастающую роль в прогнозных разработках.
Бурное развитие эконометрики в некоторой степени обусловлено относительной ясностью и определенностью принципов разработки прогнозов на базе эконометрических моделей и методов. Использование прогнозных разработок эконометрических моделей так или иначе основано на предположении о сохранении в будущем основных причинно-следственных отношений между характеристиками исследуемого процесса и влияющими на них факторами, которые имели место на протяжении некоторого периода времени в прошлом и настоящем.2
Рассмотрение того или иного экономического явления может быть сопряжено как с необходимостью учета временных факторов, так и с ее отсутствием. В связи с этим выявление необходимости фиксации характера временных изменений параметров, описывающих экономическое явление, обусловливает использование динамических методов, а выявление необходимости фиксации соотношения между параметрами, не зависящими от времени, обусловливает использование статических математических методов.
Так, модели, используемые в краткосрочном прогнозировании, в целом предназначены для определения политики стабилизации, выявления точек перегиба траекторий развития исследуемых процессов. Они отражают ближайшие перспективы развития экономики, состояние рынка капитала, динамику рабочей силы и т.д. Они разрабатываются в основном на базе квартальной статистики и отличаются значительной «жесткостью» своей структуры. По мере накопления статистического материала через определенные интервалы времени такие модели подвергаются уточнению. Модели среднесрочного и долгосрочного прогнозирования применяются для определения эффективных направлений экономической политики в области стабилизации цен, поддержки определенного уровня занятости на основе управления налогообложения учетными ставками и т.п. При этом долгосрочные модели, как правило, направлены на отражение динамики предложения, оценку экономического потенциала с учетом демографического фактора, научно-технического прогресса, крупных инвестиций, воздействие которых на экономику проявляется на достаточно продолжительном отрезке времени. Такие модели часто разрабатываются для изучения проблем цикличности экономики.
Очень широкое применение эконометрическое прогнозирование находит в нашей стране. Область применения методов эконометрического прогнозирования охватывает:
макроэкономические процессы на уровне соседних стран, республик и областей; процессы, характеризующие изменчивость народного благосостояния, социальное развитие, миграцию, рождаемость, смертность; производственные процессы (производительность труда, управление запасами, выпуск продукции); процессы регионального развития и межрегионального взаимодействия и др.1
Иногда экономическая деятельность сопряжена с такими аспектами, которые характеризуются, как деятельность двух или нескольких субъектов с противоположными интересами в условиях конкуренции. В этом случае для отображения данной экономической деятельности в математическом пространстве используется теория игр, которая позволяет не только зафиксировать всевозможные стратегии поведения экономических субъектов, но и позволяет выявить из этой совокупности оптимальную, т. е. устраивающую обоих субъектов.
Математическая теория игр Теория игр исследует оптимальные стратегии в ситуациях игрового характера. К ним относятся: ситуации, связанные с выбором наивыгоднейших производственных решений; системы научных и хозяйственных экспериментов; организация статистического контроля; налаживание хозяйственных взаимоотношений между предприятиями промышленности и др. Формализуя конфликтные ситуации математически, их можно представить как игру двух, трех и т.д. игроков, каждый из которых преследует цель максимизации своей выгоды, своего выигрыша за счет другого.
Решение подобных задач требует определенности в формулировании их условий: установления количества игроков и правил игры, выявления возможных стратегий игроков, возможных выигрышей (отрицательный выигрыш понимается как проигрыш/ Важным элементом в условии задач является стратегия, т.е. совокупность правил, которые в зависимости от ситуации в игре определяют однозначный выбор данного игрока. Количество стратегий у каждого игрока может быть конечным и бесконечным, отсюда и игры подразделяются на конечные и бесконечные. При исследовании конечной игры задаются матрицы выигрышей, а бесконечной — функции выигрышей. Для решения задач применяются алгебраические методы, основанные на системе линейных уравнений и неравенств, итерационные методы, а также сведение задачи к некоторой системе дифференциальных уравнений.
На промышленных предприятиях теория игр может использоваться для выбора оптимальных решений, например при создании рациональных запасов сырья, материалов, полуфабрикатов, в вопросах качества продукции и других экономических ситуациях. В первом случае противоборствуют две тенденции: увеличения запасов, в том числе и страховых, гарантирующего бесперебойную работу производства; сокращения запасов, обеспечивающего минимизацию затрат на их хранение; во втором — стремления к выпуску большего количества продукции, ведущего к снижению трудовых затрат — к повышению качества, сопровождающемуся часто уменьшением количества изделий и, следовательно, возрастанием трудовых затрат. В машиностроительном производстве противоборствующими направлениями являются стремление к максимальной экономии металла в конструкциях, с одной стороны, и обеспечение необходимой прочности конструкций — с другой.
В сельском хозяйстве теория игр может применяться при решении экономических задач, в которых оппозиционной силой выступает природа, и когда вероятность наступления тех или иных событий многовариантна или неизвестна.
Природные условия нередко сказываются и на эффективности работы промышленных предприятий.
Возьмем для примера швейную фабрику, выпускающую детские платья и костюмы, сбыт которых зависит от состояния погоды (предприятие реализует свою продукцию, допустим, через фирменный магазин).
Затраты фабрики в течение апреля — мая на единицу продукции составили: платья — 8 денежных единиц, костюмы — 27, а цена реализации равняется соответственно 16 и 48. По данным наблюдений за прошлое время, фабрика может реализовать в течение этих месяцев в условиях теплой погоды 600 костюмов и 1975 платьев, а при прохладной погоде — 625 платьев и 1000 костюмов.
Задача заключается в максимизации средней величины дохода от реализации выпущенной продукции, учитывая капризы погоды. Фабрика располагает в этих ситуациях двумя следующими стратегиями: в расчете на теплую погоду (стратегия А); в расчете на холодную погоду (стратегия   В ).
Если предприятие примет стратегию А, т.е. продукция, соответствующая теплой погоде (стратегия природы С), будет полностью реализована, то доход фабрики в этой ситуации составит:
               DАс = 600(48 - 27) +1975(1 б - 8) = 28400.
Если продажа осуществляется в условиях прохладной погоды (стратегия природы D), то костюмы будут проданы полностью, а платья только в количестве 625 шт. Доход предприятия в данном случае составит:
DAD = 600(48 - 27) + 625(1 б - 8) - (l 975 - 625) • 8 == 6800.
Аналогично определим доход предприятия в случае применения им стратегии В . Для условий теплой погоды доход фабрики определится в сумме:
dbc = 600(48 - 27) + 625(16 - 8) - (l 000 - 600) • 27 = 6800.
Применение той же стратегии, но в условиях холодной погоды, приведет к другим результатам:
dbd = 1000(48 - 27) + 625(16 - 8) = 26000.
Рассматривая предприятие {Р1) и природу (Р2 ) в качестве двух игроков, получим так называемую платежную матрицу следующего вида (табл. 11.3.1.):

Игроки
Р2 (природа)
Р1 (предприятие)
Стратегии
Стратегия С
Стратегия D
min по строкам
Стратегия А
28400
6800
6800
Стратегия В
6800
26000
6800
mах по столбцам
28400
26000




Общие (валовые) издержки


Общие (валовые) издержки на произведенное количество товара — это все издержки на данный момент времени, необходимые для производства того или иного товара.
Общие издержки делятся на постоянные и переменные. Постоянные издержки — это - те, которые предприятие должно нести в любом случае и которые до определенной степени мало зависят от объема производства. Речь идет о здании, освещении, оплате управленческого и административного аппарата и т.д.
Переменные издержки — те, которые связаны с затратами на покупку сырья, рабочей силы и применение которых непосредственно сказывается на объеме производимой продукции (чем больше продукции, тем больше объем используемого сырья).
Это различие четко прослеживается на небольшом отрезке времени и при сравнительно небольших скачках объемов производства. Если приходится завоевывать рынок и объемы вырастают в несколько раз, то приходится строить новые здания и подъездные пути, расширять управленческий персонал. В этом случае постоянные издержки перестают быть фиксированными.
Однако мы рассмотрим более плавный рост объемов выпускаемой продукции фирмы ( 15.1.7). Издержки производства в этом случае подразделяем на постоянные и переменные.
Мы видим из графика, что издержки в 256 единиц присущи любому объему производства.

Из графика ( 15.1.8) мы видим, что линия, изображающая переменные издержки, с ростом производства (его объема) поднимается вверх. Это значит, что при увеличении производства переменные издержки растут:
а) вначале они растут пропорционально изменению объема производства (до достижения точки А)',
б) затем достигается экономия переменных издержек при массовом производстве и скорость их роста уменьшается (до достижения точки В),
в) третий период, отражающий изменение переменных издержек (движение вправо от точки В), характеризуется ростом переменных издержек из-за нарушения оптимальных размеров предприятия. Это возможно при увеличении транспортных расходов из-за
возросших объемов привозимого сырья, объемов готовой продукции, которую необходимо отправить на склад, и т.д.
Если наложить друг на друга эти два графика, получим новый график, отражающий валовые издержки, которые равны сумме постоянных и переменных издержек ( 15.1.9).

Чтобы более четко определить возможные объемы производства, при которых фирма удерживает себя от чрезмерного роста издержек производства, исследуется динамика средних издержек.
Понятие средних, издержек содержится в «Капитале» К.Маркса. На базе этого вида издержек он построил концепцию цен производства, средней нормы прибыли, приходящейся на капитал. Этот вид издержек существует и в бухгалтерском учете фирмы. Однако ее арсенал более объемный, в нем главенствующая роль принадлежит общим (валовым) издержкам, а также предельным издержкам. Анализ их динамики и структуры необходим для определения оптимального выбора объема производства, возможных границ движения издержек, при которых производство сохраняет выгодность.
Если валовые издержки отнести к количеству выпускаемой продукции (валовые издержки/Q}, получим средние издержки ( 15.1.10).
График имеет U - образную форму. Это вызвано следующими обстоятельствами:
1) вначале, при движении слева направо, наблюдается большая доля постоянных издержек, которая уменьшается до точки М. Это происходит потому, что достигается эффект массового производства, когда постоянные издержки распределяются на больший объем продукции;
2) затем, при движении вправо от точки М, возникают затруднения в управлении, растут транспортные расходы, переменные и средние издержки.
15.1.11 отражает изменения средних постоянных и переменных издержек. Средние издержки сравниваются с рыночной ценой товара. Если средние издержки ниже рыночной цены, то фирма может работать рентабельно в границах объема производства Q1Qi ( 15.1.12). На 15.1.13 средние издержки превышают цену единицы товара, поэтому производство товара для фирмы будет нерентабельно и за него браться не стоит.


Альтернативные издержки. На первый взгляд, издержки производства зависят только от особенностей самого производственного процесса, требующего определенных затрат на выпуск продукции. Они зависят также от сложившихся цен на рынке факторов производства.
Сугубо отраслевой взгляд на издержки производства лежал в основе административного ценообразования в период так называемого государственного ценообразования, когда административные цены строились на среднеотраслевых издержках, которые выступали как минимальные требования к эффективности производства.   Среднеотраслевые   издержки   были   отправной   точкой  расчета административной цены.
Между тем в рыночной экономике цены на различные товары зависят друг от друга. Поэтому и издержки производства, которые представляют собой оплату цен купленных факторов производства, тоже должны быть взаимосвязанными с ценами, складывающимися на всех товарных рынках. Поясним эту мысль на примерах.
Известно, что в 70-х годах в результате соглашения нефтедобывающих стран ОПЕК цены на нефтепродукты резко подскочили. Но в 80-х годах эти же цены резко упали, так как появилась потребность в новых видах материалов и энергии, усилилось использование вторичных ресурсов. Снизились удельные потребности в энергоносителях и сырье в результате изменений в самой структуре производства. Значит, цены добывающих отраслей оказались зависимыми от производства товаров (в данном случае от машиностроения, электроники, а также новых технологий), которые к производству энергоносителей прямого отношения не имели.
В предпринимательской деятельности часто приходится сталкиваться с вопросом: «до каких пределов следует совершенствовать производство?». Ведь совершенствование связано с издержками. Оправдают ли себя эти издержки? Решая эту задачу, предприниматель должен для себя решить, могут ли затраты денег в другом виде производства дать доход больший по сравнению с выбранным полем предпринимательской деятельности. Сравнение можно также вести, опираясь на фиксированную величину дохода. Допустим, 1 млн. долл. дохода (прибыли) можно получить на своем производстве при издержках в 300 тыс. долл., а при ориентации на иной товар — в 200 тыс. долл. При перестройке произойдет утечка капитала из отрасли. Если совершенствование производства требует меньших затрат по сравнению с эффективным хозяйствованием в другой сфере, предприниматель усиливает свои позиции в освоенном виде деятельности. Таким образом, мы видим, что процесс хозяйствования требует постоянного сопоставления издержек производства различных отраслей. В результате такого анализа можно выявить альтернативные издержки, т.е. издержки производства иного товара, от выпуска которого предприниматель отказывается, посчитав, что его товар позволит обеспечить большую для него эффективность. Всегда важно знать, насколько эффективно развивается предприятие. Эта информация необходима для принятия хозяйственных решений. Снижение эффективности является сигналом для смены стратегии. Для оценки выявления эффективности используются два варианта расчетов: 1) сравнение абсолютных величин валовых издержек и валовой выручки от реализации продукции; 2) сравнение скоростей прироста издержек производства и прироста предельного дохода.
В нашей стране традиционно используется первый способ. В учебниках по рыночной экономике обычно считают более наглядным второй.


Оценка конъюнктуры рынка


Оценка конъюнктуры рынка Общая цель рыночных исследований состоит в определении условий, при которых обеспечивается наиболее полное удовлетворение спроса населения в товарах данного вида и создаются предпосылки для эффективного сбыта произведенной продукции. В соответствии с этим первоочередной задачей изучения рынка является анализ текущего соотношения спроса и предложения на данную продукцию, т.е. конъюнктуры рынка. Конъюнктура рынка — это совокупность условий, при которых в данный момент протекает деятельность на рынке. Она характеризуется определенным соотношением спроса и предложения на товары данного вида, а также уровнем и соотношением цен.
Рассматриваются три уровня исследования конъюнктуры рынка: общеэкономический, отраслевой и товарный.
В связи с тем, что изучение конъюнктуры связано с текущим состоянием рынка, программа исследований должна быть ориентирована прежде всего на обоснование коммерческих решений, принимаемых на уровне предприятия, когда в основном ведутся
исследования конъюнктуры конкретных товарных рынков. Однако при этом учитывается состояние общеэкономических и отраслевых условий реализации.
Основная цель изучения конъюнктуры товарного рынка — установить, в какой мере деятельность промышленности и торговли влияет на состояние рынка, на его развитие в ближайшем будущем и какие меры следует принять, чтобы полнее удовлетворить спрос населения на товары, более рационально использовать имеющиеся у производственного предприятия возможности. Результаты изучения конъюнктуры предназначены для принятия оперативных решений по управлению производством и сбытом товаров.
Комплексный подход к изучению конъюнктуры рынка предполагает: использование различных взаимодополняющих источников информации; сочетание ретроспективного анализа с прогнозом показателей, характеризующих конъюнктуру рынка; применение совокупности различных методов анализа и прогнозирования.
Сбор информации — важнейший этап изучения конъюнктуры рынка. Не существует единого источника информации о конъюнктуре, который содержал бы все сведения об изучаемых процессах. При исследовании используются различные виды информации, полученные из различных источников. Различают информацию: общую, коммерческую, специальную.
Общая информация включает данные, характеризующие рыночную ситуацию в целом, в увязке с развитием отрасли или данного производства. Источниками ее получения являются данные государственной и отраслевой статистики, официальные формы учета и отчетности.
Коммерческая информация — это данные, извлекаемые из деловой документации предприятия по вопросам сбыта вырабатываемой продукции и получаемые от партнеров в порядке информационного обмена. К ним относятся: заявки и заказы торговых организаций; материалы служб изучения рынка предприятий, организаций и учреждений торговли (материалы о движении товаров в оптовых и розничных организациях, конъюнктурные обзоры, предложения по текущей замене ассортимента и т.п.).
Специальная информация представляет данные, полученные в результате специальных мероприятий по изучению рынка (опросов населения, покупателей, специалистов торговли и промышленности, экспертов; выставок-продаж, конъюнктурных совещаний), а также материалы научно-исследовательских организаций.
Специальная информация имеет особую ценность, поскольку содержит сведения, которые нельзя получить другим путем. Поэтому при изучении конъюнктуры рынка особое внимание следует уделять получению обширной специальной информации.
Для обеспечения наблюдения за товарным рынком или рынком сбыта предприятия (объединения) могут создавать собственные источники информации в виде: магазинов-опорных пунктов (базовых); сети торговых посредников; специализированных потребительских панелей.
Сеть магазинов-опорных пунктов создается предприятием для ведения наблюдения за развитием спроса населения в зоне сбыта (прямой маркетинг). Эта сеть формируется из числа фирменных магазинов торговли, осуществляющих продажу данных товаров в зоне сбыта и согласившихся на договорных началах наблюдать за развитием спроса.
Сеть торговых посредников организуется службой изучения рынка предприятия для осуществления наблюдения за развитием спроса оптовых покупателей и складывающейся конъюнктурой на рынке соответствующего товара. В качестве торговых посредников целесообразно отбирать оптовые фирмы и торговые предприятия.
Потребительская панель организуется службой изучения рынка предприятия как выборочная совокупность потребителей (семей), подвергаемых повторяющимся исследованиям. Панельные исследования позволяют установить тенденции в изменении потребления и потребительских оценок в результате сравнения результатов опроса. Панель формируется по правилам, обеспечивающим представительность ее состава по ряду ключевых признаков, таких, например, как место жительства, пол, возраст, уровень личных доходов.
Изучение конъюнктуры товарного рынка базируется на анализе показателей, характеризующих производство и поставку товаров этой группы, объем и структуру розничной продажи, товарных запасов на складах предприятия, в оптовой и розничной торговле. Поэтому главная цель информационного обеспечения исследований конъюнктуры рынка — создание системы показателей, позволяющих получить количественную и качественную характеристики основных закономерностей и особенностей развития спроса населения и товарного предложения, выявить факторы формирования рыночной конъюнктуры. К таким показателям относятся:
- производство товаров в ассортименте; обновление товарного ассортимента;
- обеспеченность материалами, сырьем, производственными мощностями; запасы товаров в ассортименте (в том числе на предприятии, в торговых организациях);
- забраковка товаров и рекламации (перечень товаров ограниченного и повышенного спроса);
- продажа товаров в ассортименте (в том числе оптовая, розничная, фирменная);
- изменение доли рынка, занимаемого предприятием; изменение доли рынка, занимаемого конкурентами; выполнение заявок на поставку товаров; изменение в спросе потребителей; величина неудовлетворенного спроса в развернутом ассортименте;
- динамика цен;
- продажа товаров по сниженным ценам (в том числе уценка, сезонная распродажа и др.).
Служба изучения рынка предприятия анализирует данные о динамике производства товара в сопоставлении с заявками и заказами оптовых покупателей, анализирует сведения о движении товаров в розничной торговой сети.
Анализ этих данных позволяет сделать достаточно надежные выводы о тенденциях развития спроса на исследуемый товар. Сопоставляя динамику поступления, продажи и запасов по отдельным позициям ассортимента товаров рассматриваемой группы и долю каждой из них в поступлении, продаже и запасах, можно определить, во-первых, сдвиги в микроструктуре спроса, во-вторых, степень соответствия ассортимента товаров потребностям рынка.
При изучении конъюнктуры товарного рынка ставится задача не только определения состояния рынка на тот или иной момент, но и предсказания вероятного характера дальнейшего его развития по крайней мере на один-два квартала, но не более чем на полтора года. Результаты анализа прогнозируемых показателей конъюнктуры рынка в сочетании с отчетными и плановыми данными дают возможность заблаговременно выработать меры, направленные на развитие позитивных процессов, устранение имеющихся и предотвращение возможных диспропорций.
По своему характеру прогноз показателей конъюнктуры является краткосрочным прогнозом. Специфика его заключается в том, что, с одной стороны, точность краткосрочных прогнозов повышается по сравнению со средне- и долгосрочными за счет более полной и достоверной информации о факторах и степени их влияния, а с другой стороны — более высокая вариация квартальных показателей по сравнению с годовыми снижает эту точность.
При исчислении ожидаемых показателей конъюнктуры не ставится задача предопределить на перспективу количественные значения факторов (размеры доходов, уровень цен и т.д.). Имеется в виду, что сложившиеся к моменту прогноза условия и тенденции в прогнозируемом периоде существенно не изменятся. Следовательно, требуется определить возможные результаты действия уже известных факторов, условий, тенденций и дать, по возможности, точную количественную оценку этих результатов, которые проявляются в изменении объема и структуры продажи и запасов товаров.
Учитывая особенности прогноза показателей конъюнктуры, наиболее целесообразным является  применение  экономико-статистических  методов  анализа  и  моделей прогнозирования (индексный, графический, метод группировок), которые предусматривают определение структурных показателей путем обработки и изучения динамических рядов. На основе анализа динамических рядов устанавливается тенденция развития и распространяется на ближайшую перспективу с учетом сложившихся закономерностей в развитии ресурсов товаров, покупательных фондов населения.
Расчеты вероятных значений показателей конъюнктуры носят многовариантный характер. Это определяется следующими обстоятельствами:
- любая расчетная величина носит вероятностный характер, не может быть дана однозначно и должна находиться в определенном интервале значений; один и тот же показатель может быть рассчитан с использованием различных методов, позволяющих получить различные итоговые данные;


Описание работы включает в себя


- затраты на обучение;
- более высокий процент брака в период обучения и др.
Таким образом, деятельность предприятия, направленная на снижение текучести кадров, может оказать непосредственное влияние на повышение эффективности производства в целом. Поэтому работа с увольняющимися и разработка мероприятий по сокращению текучести кадров являются важными элементами работы с кадрами (элементы менеджмента).
При работе с увольняющимися следует учитывать основные причины увольнения. В рыночных условиях хозяйствования увольнение может происходить по собственному желанию и по инициативе администрации.
В соответствии со ст. 29 КЗОТ Российской Федерации основаниями прекращения трудового договора (контракта) являются:
- соглашение сторон; истечение срока договора (контракта);
- призыв или поступление работника на военную службу;
- расторжение трудового договора (контракта) по инициативе работника, по инициативе администрации или по требованию профсоюзного органа;
- перевод работника с его согласия на другое предприятие, в учреждение, организацию или переход на выборную должность;
- отказ работника от перевода на работу в другую местность вместе с предприятием, а также отказ от продолжения работы в связи с изменением существующих условий труда;
- вступление в законную силу приговора суда.
Увольняющиеся по собственному желанию чаще всего не удовлетворены характером или условиями работы, ее оплаты, не видят перспектив роста и т.д. Увольнения по собственному желанию, помимо финансовых потерь, имеют и такую опасность для предприятия (фирмы), как ухудшение репутации на рынке труда.
Причинами увольнений по инициативе администрации являются профнепригодность (неэффективность деятельности, несовместимость с другими членами коллектива), дисциплинарные проступки (опоздания, недисциплинированность), сокращение численности (истечение сроков контракта, ухудшение рыночной конъюнктуры, сокращение производственной программы и др.).
Высокий уровень оборота рабочей силы и текучести кадров может объясняться либо особенностями производственно-хозяйственной деятельности и бизнеса, либо неудачной кадровой политикой предприятия. Поэтому для сокращения текучести кадров могут быть предусмотрены следующие мероприятия:
- улучшение условий труда и его оплаты;
- максимально полное использование способностей работников; совершенствование коммуникаций и обучения;
- проведение эффективной политики социальных (корпоративных) льгот;
- постоянный анализ и корректировка кадровой политики и заработной платы;
- повышение степени привлекательности выполняемых видов деятельности и др.
Определение места и времени дефицита рабочей силы и прогнозирование спроса на рабочую силу на рынке труда в первую очередь связаны с планированием и прогнозированием трудовых ресурсов определенных специальностей и квалификации на тех или иных региональных рынка труда. При этом чем выше уровень квалификации рабочей силы, тем выше конкуренция между предприятиями на данных рынках.
Наем работников осуществляется для вновь созданных предприятий и их внутренних подразделений, отделов и служб, а также на действующих предприятиях в случае расширения объема выпускаемой продукции или выполняемых работ и на замену выбывшим по различным причинам и основаниям.
Наем квалифицированной рабочей силы часто оказывается дорогостоящей задачей, затраты на решение которой можно уменьшить, используя наиболее рациональные процедуры приема (найма) работников.
Наем работников из внешних и внутренних источников осуществляется на вновь создаваемые или освобождающиеся рабочие места — вакансии.
Рациональная организация найма работников предусматривает такие процедуры, как анализ и описание работы, а также требования к ее исполнителю. Эти сведения можно привести в должностной инструкции.
Анализ работы предусматривает ее содержание в целом и содержание отдельных ее элементов, начальные требования при выполнении работы, права и обязанности работника, условия работы, социальную базу. Описание работы обычно включает в себя:
- наименование работы и ее содержание;
- общее описание работы в целом и всех отдельных ее частей и уровень ответственности за данную работу;
- физические требования и уровень подготовки;
- социальное взаимодействие (изолированная работа или коллективное взаимодействие);
- условия занятости (возможности продвижения, нормальное рабочее время, регламентация сверхурочных).
На базе описания работы определяются требования к работникам, выполняющим эту работу: уровень образования; физические возможности, включая возраст; опыт работы; способности и склонности к выполнению данной работы; интересы, инициатива и энергичность.
Заполнение вакансий производится за счет внутренних (передвижение кадров внутри предприятия) и внешних (население страны или региона в трудоспособном возрасте)
источников. Отделу кадров целесообразно установить контакты с биржами труда, центрами трудоустройства, школами, колледжами, высшими и средними специальными учебными заведениями, частными (негосударственными) агентствами по трудоустройству.
Опыт показывает, что эффективными способами найма рабочей силы являются рассылка рекламных объявлений, а также неформальные контакты с кадровыми службами сходных организаций.
В процессе выбора работника из всех кандидатов используются анкетирование, собеседование, тестирование и другие процедуры.
Обучение, подготовка и переподготовка работников связаны с необходимостью обеспечения максимального соответствия способностей и возможностей работника характеру и содержанию работы, а также с пожеланием максимального использования и развития всех способностей работника.
Занятые на производственных предприятиях работники постоянно находятся в процессе обучения, поскольку появляется новое оборудование, применяются новые технологические процессы, осуществляется реорганизации производства и управления и т.д.
В процессе обучения следует выделять образование, подготовку и профессиональное развитие кадров. Образование связано с получением теоретических знаний и осуществляется в школах, высших и средних специальных учебных заведениях, подготовка связана с использованием и применением знаний к той или иной конкретной работе, а профессиональное развитие кадров — с повышением уровня (степени) овладения приемами и навыками применительно к конкретной профессии.
Основными причинами, обусловливающими необходимость обучения и переподготовки кадров непосредственно на предприятии, являются:
- недостаток квалифицированной рабочей силы на национальном уровне;
- увеличивающаяся стоимость рабочей силы как важнейшего производственного ресурса;
- конкуренция, требующая сокращения затрат и более эффективного использования трудовых ресурсов;
- технологические изменения, требующие овладения новыми знаниями и переподготовки работников; появление новых производственных процессов;
- укрупнение производства, требующее новых навыков управления и координации деятельности внутренних подразделений предприятия; подготовка к занятию новой, более высокой должности; развитие потенциала работников; рост объемов производства и реализации; социальная ответственность предприятия за своих работников.
На большинстве крупных российских предприятий руководство подготовкой и повышением квалификации кадров возлагается на главного инженера. В его подчинении находятся отделы или бюро технического обучения или отдельные работники, выполняющие аналогичные функции, а также соответствующие учебные подразделения (курсы, школы, учебно-производственные комбинаты и др.). Специалисты по техническому обучению имеются и в крупных цехах. Кроме того, значительную работу по обучению персонала осуществляют линейные руководители предприятия, особенно мастера и старшие мастера.
Обучение, подготовка и переподготовка кадров на предприятии осуществляются с учетом категорий и групп работающих.
Обучение рабочих на производстве является преобладающей формой их подготовки. Обычно выделяются три основных вида подготовки: подготовка новых рабочих (ранее не имевших профессий); переподготовка и обучение рабочих вторым профессиям (в случае их высвобождения, расширения профиля или потребностей производства) и повышение квалификации (последовательное совершенствование профессиональных знаний и навыков по имеющейся профессии). При этом подготовка осуществляется обычно по курсовой, групповой или индивидуальной системам обучения.
Обучение служащих на производстве осуществляется в форме самостоятельной работы, для чего на предприятиях создаются библиотеки и бюро технической и экономической информации, а также в вечерних высших и средних специальных учебных заведениях и на специальных курсах различной продолжительности по тем или иным проблемам управленческой деятельности.
В процессе обучения работников предприятия применяются и такие способы и методы обучения, как инструктаж, использование тренажеров, ролевые игры, изучение прецедентов, лекции, дискуссии, фильмы и телепередачи, ротация кадров, создание кадрового резерва.
Условия труда — это часть производственной обстановки, в которой работники предприятия осуществляют свою трудовую деятельность.
Они определяются особенностями производственных процессов и применяемого оборудования и технологий, тяжестью и напряженностью труда, воздействием внешней среды на организм работников, режимом труда и отдыха, а также психологическим климатом в коллективе.
В целях совершенствования, облегчения условий труда на предприятии необходимо специально разрабатывать и реализовывать мероприятия по уменьшению влияния вредных воздействий на организм работников, соблюдению санитарных норм, обеспечению благоприятной производственной обстановки, соблюдению рациональных годовых, недельных и внутрисменных режимов труда и отдыха, техники безопасности и экологических характеристик производства.


Определение емкости рынка


Определение емкости рынка Определение емкости рынка является главной задачей рыночного исследования. Под емкостью товарного рынка понимается возможный объем реализации товара (конкретных изделий предприятия) при данном уровне и соотношении различных цен. Емкость рынка характеризуется размерами спроса населения и величиной товарного предложения. В каждый момент времени рынок имеет количественную и качественную определенность, т.е. его объем выражается в стоимостных и натуральных показателях продаваемых, а следовательно, и покупаемых товаров.
Для определения емкости национальных товарных рынков при подготовке и проведении экспертных операций применяется понятие «видимого» потребления товаров, т.е. собственное производство товара в стране за вычетом экспорта и с добавлением импорта аналогичных товаров.
Следует различать два уровня емкости рынка: потенциальный и реальный. Потенциальный уровень определяется личными и общественными потребностями и отражает адекватный им объем реализации товаров. В маркетинге используется также термин «потенциал рынка». Реально складывающаяся емкость рынка может и не соответствовать его потенциальной емкости. Расчет емкости рынка должен носить пространственно-временную определенность.
Емкость рынка формируется под влиянием множества факторов, каждый из которых может в определенных ситуациях как стимулировать рынок, так и сдерживать его развитие, ограничивая его емкость. Всю совокупность факторов можно разделить на две группы:
общего и специфического характера.
Общими являются социально-экономические факторы, определяющие емкость рынка любого товара: объем и структура товарного предложения, в том числе по предприятиям-
изготовителям; ассортимент и качество выпускаемых изделий; размеры импорта по данному товару или группе; достигнутый уровень жизни и потребностей населения;
покупательная способность населения, уровень и соотношение цен на товары; численность населения; его социальный и половозрастной состав; степень насыщенности рынка; состояние сбытовой, торговой и сервисной сетей; географическое расположение рынка.
В настоящее время состояние рынка подвержено значительному влиянию таких процессов, как обособление территории и введение новых денежных единиц, образование коммерческих структур, инфляция, введение новых таможенных ограничений и т.д.
Специфические факторы определяют развитие рынков отдельных товаров, причем каждый рынок может иметь характерные только для него факторы. В этом случае специфический фактор по степени влияния может оказаться определяющим для формирования и развития спроса и предложения по конкретному товару. К числу специфических факторов относятся:
- размер и состав гардероба, природно-климатические условия, изменения моды, национально-бытовые традиции (для рынков тканей, одежды и обуви);
- достигнутый уровень обеспеченности, сроки физического и морального износа, рост жилищного строительства, развитие прокатной сети, рационализация быта, рост цен на энергоносители (для товаров длительного использования).
Совокупность факторов, определяющих развитие спроса и предложения на отдельных товарных рынках, находится в сложной диалектической взаимосвязи. Изменение действия одних факторов вызывает изменение действия других. Особенностью одних факторов является то, что они вызывают изменения как общей емкости, так и структуры рынка, а других — то, что они, не изменяя общей емкости рынка, вызывают его структурные изменения. В процессе исследования рынка необходимо объяснить механизм действия системы факторов и измерить совокупные результаты их влияния на объем и структуру спроса и предложения на том или ином товарном рынке.
Выявление причинно-следственных связей на исследуемом рынке проводится на основе систематизации и анализа данных. Систематизация данных заключается в построении грушшровочных и аналитических таблиц, динамических рядов анализируемых показателей, графиков, диаграмм и т.п. Это — подготовительная стадия анализа информации для ее количественной и качественной оценки.
Обработка и анализ данных осуществляются с использованием известных и описанных в учебных пособиях по статистике методов, а именно: группировки, индексного и графического методов, построения и анализа динамических рядов. Причинно-следственные связи и зависимости устанавливаются в результате корреляционно-регрессионного анализа динамических рядов.
В  конечном  итоге  описание  причинно-следственных  связей,  вызванных взаимодействием различных факторов, позволит построить модель развития рынка и определить его емкость. Построению такой модели должно предшествовать уточнение рабочей гипотезы, которая первоначально формулируется на начальном этапе работ наряду с определением целей и задач исследования. Углубленный анализ источников информации может существенно изменить начальные представления о перспективах развития рынка. Уточненная гипотеза представляет собой форму постановки экономической задачи, исходя из которой разрабатываются модель развития рынка и аппарат прогнозирования.
Модель развития рынка представляет собой условное отображение реальной действительности и схематически выражает внутреннюю структуру и причинные связи данного рынка. Она позволяет при помощи системы показателей в упрощенном виде охарактеризовать качественное своеобразие развития всех основных элементов рынка на современном этапе и на заданном отрезке времени в будущем.
Формализованная модель развития рынка представляет систему уравнений, охватывающую его основные показатели. Для каждого рынка система может иметь различное число уравнений и постоянных, однако в любом случае она должна включать в себя уравнение спроса и предложения.
При построении модели развития рынка возникает ряд вопросов методического характера, которые необходимо отметить.
Во-первых, следует иметь в виду, что определение перспектив развития конкретного рынка не может осуществляться изолированно от других социально-экономических прогнозов (демографических, региональных и т.д.), от аналогичных расчетов по взаимодополняемым и взаимозаменяемым товарам. Учет этих факторов обеспечивается, как правило, заданием различного рода ограничений в разрабатываемой модели.
Во-вторых, учет влияния на развитие товарного рынка большого числа факторов, тенденции развития которых в будущем могут существенно измениться, определяет необходимость построения нескольких вариантов моделей развития рынка и нахождения оптимального варианта из нескольких.
Третьим существенным моментом, составляющим проблематику построения модели развития рынка, является определение степени агрегации товарных групп. Надо четко представлять, на каком уровне следует строить прогноз емкости товарного рынка, — в целом по товарной группе, по видам, типам, моделям.
Все эти моменты в значительной степени зависят от периода прогноза. Различают несколько видов прогнозирования: конъюнктурное (3-6 месяцев), краткосрочное (1-2 года), среднесрочное (3-5 лет), долгосрочное (5-10 лет), перспективное (более 10 лет).
Очевидно, чем короче период прогноза, тем легче предусмотреть и правильно оценить степень воздействия на развитие рынка определяющих его факторов. С удлинением периода прогноза увеличивается число вариантов модели.
От длины периода прогноза зависит и степень агрегации товарной группы. Чем короче период прогнозирования, тем выше степень дезагрегации товарной группы, точнее приближение ее к развернутому товарному ассортименту. Прогнозы на долгосрочную перспективу целесообразно строить по видам и типам товаров.
Существенный момент, составляющий проблематику построения модели, — выбор методов прогнозирования. Наиболее общим классификационным признаком для этого является способ получения прогнозной информации.
Основными источниками информации о будущих характеристиках рынка являются:
- человеческий опыт и интуиция;
- экстраполяция тенденций, процессов, закономерности развития которых в прошлом и настоящем достаточно хорошо известны;
- модель исследуемого процесса, отражающая ожидаемые или желательные тенденции его развития.
В соответствии с этим существуют три дополняющих друг друга способа разработки прогноза.
1. Анкетирование — выявление мнений населения, экспертов с целью получения оценок прогнозного характера. Методы, построенные на анкетировании, используются, как правило, в случаях, когда по ряду причин закономерности развития процесса не могут быть отражены формальным аппаратом, когда отсутствуют необходимые данные. Экспертные методы, основанные на знаниях и интуиции специалистов, широко применяются в прогнозных исследованиях рынка, особенно при оценке емкости рынка, новых (модифицированных) товаров.
Одним из распространенных методов экспертной оценки является метод «Дельфи», представляющий собой ряд последовательных процедур по подготовке и обоснованию прогноза. Эти процедуры характеризуются: анонимностью (независимостью ответов экспертов) опроса; регулируемой обратной связью между результатами опроса предыдущего этапа и подготовкой их нового варианта; групповым характером ответа. Регулярная обратная связь осуществляется путем проведения нескольких туров опроса, на каждом из которых характеристики ответов обрабатываются с применением статистических методов и результаты сообщаются экспертам. Групповой ответ формируется путем обработки и анализа результатов ответов экспертов. Критерием окончания его разработки, как правило, является «близость» указанных ответов.


Определение направления движения


Определение направления движения После того, как анализ внутренней и внешней сред завершен, фирма определяет основные ориентиры своей деятельности, основанные на итогах предыдущего этапа. Иногда определение целей в стратегическом планировании предшествует анализу среды. Такая практика имеет свой смысл: само существование экономической организации предполагает, что у нее есть некоторые цели и мотивы жизнедеятельности.
Всю совокупность ориентиров деятельности фирмы можно разделить на три основных типа:
- идеалы — ориентиры, которые мы не рассчитываем достичь в обозримом периоде, но допускаем приближение к ним;
- цели — наиболее общие ориентиры деятельности фирмы в плановом периоде, достижение которых предполагается в полном объеме или в своей большей части;
- задачи — конкретные, количественно измеряемые ориентиры, описания серии рабочих функций, определяющие форму и время выполнения задания.
Разработка стратегии предполагает определение идеалов и целей. В рамках оперативного планирования фирма намечает конкретные задачи для каждого из участков деятельности.
К идеалам экономической организации можно отнести ее видение.
Видение — это руководящая философия бизнеса, обоснование существования фирмы, не сама цель, а, скорее, чувство основной цели фирмы. Видение — это идеальная картина будущего, то состояние, которое может быть достигнуто при самых благоприятных условиях. Видение определяет уровень притязаний в процессе стратегического планирования.
Несколько примеров видения.
А. Видение фирмы «Эгш» (производителя персональных компьютеров) — осуществлять вклад в мировое развитие интеллектуальных средств, совершенствующих человечество.
Б. Видение фирмы «Мерк», специализирующейся в сфере здравоохранения: «Мы занимаемся бизнесом для сохранения и улучшения человеческой жизни. Все наши действия должны быть измерены с точки зрения достижения этой цели».
В. Очень просто сформулирована видение компании Диснея: «Делать людей счастливыми».
Концепция видения завоевывает все большую популярность в мире бизнеса. Возрастающее значение видения определяется следующими факторами
1. Видение является хорошим средством мотивации работников фирм, особенно крупных, децентрализованных, оно помогает сплачивать, объединять деятельность людей в едином направлении. В видении обычно не подчеркивается желание получить прибыль, оно объединяет индивидуальные идеалы всех участников организаций в единый эталон ценностей. С этой точки зрения видение пересекается с внутрифирменной культурой, основным элементом которой является система ценностей организации.
2. Видение создает чувство перспективы в деятельности организации, обеспечивает преемственность следующих друг за другом целей фирмы. Любая цель ограничивает рамки действий фирмы, а у видения нет финишной черты, оно создает импульс для постоянного прогресса.
Миссия экономической организации Миссия является гораздо более конкретным ориентиром, чем видение. В отличие от видения у миссии есть своя финишная черта — период времени, по истечении которого она должна быть выполнена. Миссия должна быть сформулирована так, чтобы ее выполнение сочеталось с напряжением сил в организации, с определенным риском деятельности. Срок выполнения миссии должен быть обозримым и достаточно невелик (чаще всего это 5 лет)
для того, чтобы нынешнее поколение работников могло увидеть результаты своего труда. Так же, как и видение, миссия дает общее направление деятельности организации.
Миссия — это цель, для которой организация существует и которая должна быть выполнена в плановом периоде. Миссия является комплексной целью, она включает как внутренние (например, повышение производительности труда), так и внешние (например, связанные с конкуренцией) ориентиры деятельности фирмы, выражая таким образом суть того успеха, которого должна добиться организация.
В чем заключено особое значение миссии для деятельности организации?
Во-первых, миссия является базисом, точкой опоры для всех плановых решений организации, для дальнейшего определения ее целей и задач.
Во-вторых, миссия создает уверенность, что организация преследует непротиворечивые, ясные, сравнимые цели.
В-третьих, миссия помогает сосредоточить усилия работников на выбранном направлении, объединяет их действия.
В-четвертых, миссия создает понимание и поддержку среди внешних участников организации (акционеров, финансовых фирм и т.д.), тех, кто заинтересован в ее успехе.
Содержание миссии должно включать в себя следующие основные пункты.
1. Описание продуктов и/или услуг, предлагаемых организацией.
2. Характеристику рынка — организация определяет своих основных потребителей, клиентов, пользователей.
3. Цели организации, выраженные в терминах выживания, роста, доходности.
4. Характеристику технологии: дается характеристика оборудования, технологических процессов, инноваций в области технологии.
5. Философию деятельности: здесь должны быть выражены базовые взгляды и ценности организации, служащие основой для создания системы мотивации.
6. Внутреннюю концепцию, в рамках которой организация излагает собственное мнение о себе, указывая источники силы, основные слабости, степень конкурентоспособности. фактор выживания.
7. Внешний образ компании, ее имидж, подчеркивающий экономическую и социальную ответственность компании перед партнерами, потребителями, обществом в целом. Здесь фирма определяет впечатление, которое хочет произвести на внешний мир.
Содержательные пункты обычно отражаются в положении о миссии, их последовательность и сочетание могут быть различными в зависимости от решения конкретной фирмы.
Формирование миссии является обычным явлением для высокоразвитого бизнеса. В российской экономике в последнее время формулированием миссии начали заниматься вновь возникшие частные экономические организации, достигшие определенного роста и успеха. Определение миссии является, безусловно, полезным занятием также и для небольших фирм или только создающихся форм бизнеса (тогда миссия включается в состав бизнес-плана).
Иногда, обучая составлению планов, эксперты советуют российским фирмам выражать миссию очень кратко, одним предложением, например для известного банка Менатеп: «Менатеп должен стать надежным международным банком, предлагающим высококачественные услуги организациям и частным лицам в России и в Европе». Компания Лукойл главной своей целью считает стать компанией мирового класса. Таким образом выделяется основная, наиболее значимая цель деятельности фирмы. Этот прием характерен также и для западного бизнеса. Острие деятельности фирмы «Пепси-кола» выражено в миссии-лозунге: «Превзойти Коку!»
Предпочтительным является сочетание короткого лозунга, определяющего основное направление действий фирмы, с хорошо проработанным текстом миссии, включающим все перечисленные пункты.1
При  рассмотрении  причин   несоответствия   деятельности   предприятия запланированным действиям следует учитывать, что любой план и его составляющие части должны подвергаться корректировке с точки зрения достижения реальных результатов и на основании достоверной информации о функционировании предприятия и его подразделений. Подробнее этот аспект деятельности предприятия рассматривается в пунктах, посвященных внутрифирменному планированию.
Цель модели жизненного цикла — правильно определить стратегию бизнеса для каждого этапа существования товара на рынке. Существует большое количество модификаций жизненных циклов в зависимости от типов товаров. Тем не менее нельзя слишком тесно привязывать стратегию деятельности фирмы к модели жизненного цикла. Очень часто жизнь товара на рынке не укладывается в рамки кривой зависимости.
Модели кривой опыта и жизненного цикла являются наиболее простыми методами стратегического анализа, поскольку связывают разработку стратегии лишь с одним из факторов деятельности фирмы. Описанные далее методы имеют более комплексный характер, идут по пути увязки различных компонентов внутренней и внешней среды организации.


Организация управления цехом


Организация управления цехом Цех — основное производственное звено предприятия, от работы которого полностью зависит успех или неудача работы всего предприятия. В конечном счете управление предприятием сводится к тому, чтобы в заводских цехах своевременно и качественно выполнялась работа, необходимая для своевременного изготовления конечной продукции поступающей на рынки сбыта.
Для руководства цехом директор предприятия назначает начальника цеха и его заместителей, в задачу которых входит организация выполнения получаемых от руководителей предприятия производственно-технических заданий.
Первостепенная задача начальника производственного цеха — своевременное и качественное изготовление закрепленной за цехом продукции. В то же время начальник цеха и подчиненный ему персонал отвечают за бережное отношение к выделенным цеху ресурсам, соблюдение установленных нормативов расходования сырья, материалов, заработной платы, энергии, выполнение правил и норм техники безопасности, санитарного содержания цеха.
Бригадиры получают задания от мастера и распределяют их среди рабочих бригады, организуют выполнение заданий, оказывают профессиональную помощь рабочим, помогают мастеру контролировать и удерживать на должном уровне производственную и трудовую дисциплину в бригаде.
Особенности механизма управления концерном Предприятия могут входить в состав различных концернов, холдингов, ассоциированных и других объединений. В таком случае внутренняя структура предприятия может оставаться неизменной, но функции управления частично меняются, прежде всего в сторону ограничения прав.
Концерн — одна из основных форм объединения диверсифицированного капитала в рамках единой системы управления. В России высший орган управления концерном — совет директоров, в который по соглашению могут входить и выборные представители трудовых коллективов. Текущую работу выполняет правление концерна, избранное советом директоров.
Правление создает рабочие органы управления концерном. При необходимости формируются временные комиссии и комитеты из числа работников подразделений концерна.
Несмотря на то, что концерн может создаваться на добровольных началах, его участники теряют все прежние права или часть их. В частности, они не могут одновременно входить в состав других объединений. Выход из концерна возможен только с разрешения правления.
Хотя некоторые стратегические вопросы деятельности концерна решаются коллегиально, управление им осуществляется на принципах единоначалия — генеральным директором и его заместителями, которые избираются советом директоров или владельцами пакета акций концерна.
При этом часть функций управления концерном генеральный директор обычно делегирует дирекции входящих в него объединений и предприятий. В составе генеральной дирекции и создаются подразделения, выполняющие эти функции. По договоренности входящими в концерн предприятиями и организациями могут быть созданы и другие структуры и формы управления.1
Оплата труда Заработная плата является формой вознаграждения за труд и важным стимулом работников предприятия, поскольку выполняет воспроизводственную и стимулирующую (мотивационную) функции.
В промышленно развитых странах Запада обычно различают такие понятия, как «зарплата» и «жалованье». Обычно под зарплатой понимают вознаграждение работников физического труда, а под жалованьем — вознаграждение работников умственного труда. Оба этих термина в связи с расширением социальных условий постепенно сближаются, но имеют и различия: если заработная плата ограничена относительно коротким сроком (1 день, 1 час) и ее уровень определяется путем переговоров между профсоюзом и работодателем, то выплаты жалованья обусловливаются более продолжительным периодом (1 месяц, 1 год), а его уровень определяется путем индивидуальных переговоров.
К вознаграждениям относятся пенсии, пособия по нетрудоспособности, оплачиваемые отпуска, право пользования транспортом компании и другие дополнительные льготы, а также комиссионные, доля в прибыли фирмы и др.
Общий уровень оплаты труда на предприятии может зависеть от следующих основных факторов:
- результатов хозяйственной деятельности предприятия, уровня его прибыльности;
кадровой политики предприятия;
- уровня безработицы в регионе, области, среди работников соответствующих специальностей;
- влияния профсоюзов, конкурентов и государства;
- политики предприятия в области связей с общественностью и др.
Рациональная организация оплаты труда на предприятии позволяет стимулировать результаты труда и деятельность его работников, обеспечивать конкурентоспособность на рынке труда и готовой продукции, необходимую рентабельность и прибыльность продукции.
Цель рациональной организации оплаты труда — обеспечение соответствия между его величиной и трудовым вкладом работника в общие результаты хозяйственной деятельности предприятия, т.е. установление соответствия между мерой труда и мерой потребления.
В основу организации оплаты труда на многих российских предприятиях положены следующие основные принципы:
- осуществление оплаты в зависимости от количества и качества труда;
- дифференциация заработной платы в зависимости от квалификации работника, условий труда, отраслевой и региональной принадлежности предприятия;
- систематическое повышение реальной заработной платы, т.е. превышение темпов роста номинальной заработной платы над инфляцией;
- превышение темпов роста производительности труда над темпами роста средней заработной платы.
Организация оплаты труда непосредственно на предприятии состоит из следующих основных элементов: формирование фонда оплаты труда; нормирование труда;
установление тарифной системы; определение формы и системы заработной платы. Фонд оплаты труда представляет собой источник средств, предназначенных для выплат заработной платы и выплат социального характера.
Нормирование труда дает возможность учитывать качество труда и индивидуальный вклад работника в общие результаты деятельности предприятия.
Тарифная система позволяет соизмерять разнообразные конкретные виды труда, учитывая их сложность и условия выполнения, т.е. учитывать качество труда, и является самой распространенной на отечественных предприятиях. Она состоит из следующих основных элементов:
- тарифные сетки, устанавливающие дифференциацию в оплате труда с учетом разряда работы и отраслевой принадлежности предприятия;
- тарифные ставки, определяющие абсолютный размер оплаты простого труда (1-го разряда) в единицу времени (день, час);
- тарифно-квалификационные справочники, подразделяющие различные виды работ на группы в зависимости от их сложности;
- районные коэффициенты к заработной плате, компенсирующие различия в стоимости жизни в различных природно-климатических условиях (регионах);
- доплаты к тарифным ставкам и надбавки за совмещение профессий, расширение зон обслуживания, сверхурочные работы, работу в праздничные и выходные дни, вредность, работу во вторую и третью смены и др.
Формы и системы заработной платы устанавливают связь между величиной заработка и количеством и качеством труда и обусловливают определенный порядок ее начисления в зависимости от организационных условий производства и результатов труда.
На большинстве предприятий действуют две основные формы оплаты труда:
повременная и сдельная.
Повременной называется такая форма оплаты труда, при которой заработная плата работникам начисляется по установленной тарифной ставке или окладу за фактически отработанное на производстве время.
Исходя из механизма оплаты, повременная форма стимулирует прежде всего повышение квалификации работающих и укрепление дисциплины труда.
Повременная форма оплаты труда обычно применяется в следующих случаях:
- если рабочий не может непосредственно влиять на увеличение выпуска продукции, который определяется прежде всего производительностью машины, аппарата или агрегата;
- если отсутствуют количественные показатели выработки, необходимые для установления сдельной расценки, при условии правильного применения норм труда.
Применение повременной формы оплаты труда наиболее целесообразно в следующих условиях:
- на участках и рабочих местах, где обеспечение высокого качества продукции и работы являются главным показателем работы;
- при выполнении работ по обслуживанию оборудования, а также на конвейерных линиях с регламентированным ритмом;
- на работах, где учет и нормирование труда требуют больших затрат и экономически нецелесообразны, а также где труд работника не поддается точному нормированию;
- на работах, которые можно формально пронормировать и учесть их результаты, но выработка при выполнении этих работ не является основным показателем.
Для повременной формы оплаты труда характерны две основные системы заработной платы: простая повременная и повременно-премиальная.
При простой повременной системе заработная плата работника \ЗП^} за
определенный отрезок времени может быть определена следующим образом:

где m — часовая (дневная) тарифная ставка рабочего соответствующего разряда, руб.;


Организационные отношения в менеджменте


Организационные отношения в менеджменте
Любая ситуация, возникающая в процессе управления, является задачей для руководителя-менеджера и требует от него принятия решений, в частности, в отношении изменения целей и программы действий. Это касается всех уровней управления. Управляемый объект (предприятия, фирмы и их хозяйственно самостоятельные подразделения) имеет внешнюю среду — рыночные отношения, к состоянию которой он должен приспосабливаться на основе обратной связи. Всякое управленческое решение — это результат обратной связи с рынком и другими элементами внешней среды.
Управленческие решения принимаются на основе информации, получаемой и обрабатываемой в процессе подготовки решений. Принятое управленческое решение конкретизируется для исполнителей и для контроля за выполнением.
Принятое решение — прерогатива менеджеров всех уровней, имеющих соответствующие полномочия. Менеджер рассматривает принимаемое решение с точки зрения лиц, отвечающих за доведение решений до исполнителей, и лиц, обеспечивающих контроль исполнения. Это заставляет менеджера не только подбирать меры воздействия и выбирать средства контроля, но и рассматривать варианты решений в отношении их практической осуществимости в данной конкретной обстановке.
Анализ информации и принятие на ее основе управленческих решений составляет технологию менеджмента. Иерархия в системе управления решает проблемы передачи ответственности на более низкие уровни управления, централизации и децентрализации процесса принятия решений и самой организации управления.
Процесс функционирования системы управления включает работу по ее совершенствованию и рационализации, поскольку современный менеджмент основан на рациональных способах принятия решений.
Каждый аспект подхода к менеджменту как к системе управления требует ее изучения в статике и динамике, в рамках глобальной деятельности на текущий момент и на перспективу. А это отражается на формулировке целей, выборе методов воздействия для их достижения, на организационной структуре управления, на функционировании фирмы как управляемого объекта.
Конечная цель менеджмента состоит в обеспечении прибыльности в деятельности фирмы путем рациональной организации производственного процесса, включая управление производством и развитие технико-технологической базы, а также эффективное использование кадрового потенциала при одновременном повышении квалификации, творческой активности и лояльности каждого работника.1
Управление развитием производства на предприятии, в фирме — это сознательное регулирование процесса производства в целях повышения его эффективности, роста производительности труда, улучшения качества продукции.
Организация работы по оперативному управлению производством зависит от размереов и производственной структуры предприятия, от типа организации производства и характера технологического процесса.
Матричная структура управления — это современный тип организационной структуры управления, который создается путем совмещения структур двух видов: линейной и программно-целевой.
В соответствии с линейной структурой (по вертикали) строится управление по отдельным сферам деятельности предприятия, а в соответствии с программно-целевой структурой (по горизонтали) организуется управление программами, проектами, темами. Для обеспечения работы в рамках матричной структуры требуется произвести изменения в производственной структуре: создать в материнской компании специальные целевые подразделения, объединяющие ведущих специалистов для совместной выработки основных идей программы, — проектные организации.2
Проектная организация — это временная структура, создаваемая для решения конкретной задачи. Смысл ее создания состоит в том, чтобы собрать в одну команду самых квалифицированных сотрудников организации для осуществления сложного проекта в установленные сроки с заданным уровнем качества, не выходя за пределы установленной сметы. Когда проект завершен, команда распускается. Ее члены переходят в новый проект, возвращаются к постоянной работе в своем «родном» отделе или уходят из этой организации.
Основное преимущество проектной организации в том, что она концентрирует все усилия на решении одной-единственной задачи. В то время как руководитель обычного отдела должен разрываться между несколькими проектами одновременно, руководитель проекта концентрируется исключительно на нем.
Существует несколько типов проектных организаций. В так называемых сводных проектных структурах временная группа специалистов в сущности представляет собой уменьшенную по масштабам копию постоянной функциональной структуры данной организации. В этом случае руководителю проекта полностью подчинены и все члены группы, и все выделенные для решения этой задачи ресурсы. Чисто проектные структуры используются только для решения каких-либо особенно крупномасштабных задач, например, для создания космического корабля. В случае менее крупных проектов затраты на дублирование уже существующих в организации служб в проектной структуре становятся непозволительными. В таких относительно небольших проектах руководитель в основном является консультантом высшего руководства фирмы. Кто-нибудь из высшего руководства организации координирует реализацию проекта в рамках обычной функциональной структуры.
Матричные структуры Наиболее широко известный вариант проектной организации настолько сильно отличается от только что описанных ее типов, что заслуживает отдельного названия. Он называется матричной организацией. Начало применению матричной организации было положено средними по размеру авиакосмическими фирмами в 50-е и 60-е годы нашего столетия. Эти фирмы были слишком малы, чтобы оказалась эффективной чисто проектная организация. Тем не менее, они были достаточно велики, чтобы столкнуться с проблемами,
порождаемыми функциональными структурами, в которых интеграция происходит только на самой вершине пирамиды управления. Для того, чтобы использовать преимущества и функциональных, и проектных структур, такие фирмы, как «Дженерал Электрик», «Эквентабл Лайф Иншуэренс», «Ти Ар Дабл Ю», «Доу Кемикл» провели эксперименты по наложению проектной структуры на постоянную для данной организации функциональную структуру. Блок-схема подобной структуры показана на 17.1.1. Она напоминает решетку, отсюда и название матричная структура.
В матричной структуре члены проектной группы подчиняются как руководителю проекта, так и руководителям тех функциональных отделов, в которых они работают постоянно. Руководитель проекта обладает так называемыми проектными полномочиями. Эти полномочия могут варьировать от почти всеобъемлющей линейной власти над всеми деталями проекта до практически чистых штабных полномочий. Выбор конкретного варианта определяется тем, какие права делегирует ему высшее руководство организации.

Руководители проектов в матричной организации отвечают в целом за интеграцию всех видов деятельности и ресурсов, относящихся к данному проекту. Для того, чтобы они смогли добиться этого, все материальные и финансовые ресурсы по данному проекту передаются в их полное распоряжение. Руководители проекта также отвечают за планирование проекта, особенно за составление графика. Руководитель проверяет ход выполнения проекта, чтобы убедиться, что соблюдены запланированные затраты по проекту, его количественные, качественные и временные показатели. Руководители функциональных отделов делегируют руководителю проекта некоторые из своих обязанностей, решают, как и где должна быть сделана та или иная работа. Руководство функциональных отделов контролирует также ход выполнения задач.
Основной недостаток матричной структуры — ее сложность. Как указывает фирма «Дженерал Электрик» в своем «Бюллетене организации и планирования», «матричная структура — это слишком сложная, трудная и порой непонятная форма организации, чтобы постоянно прибегать к ней». Очень много проблем возникает из-за наложения вертикальных и горизонтальных полномочий, что подрывает принцип единоначалия. Исследования показывают, что такое наложение часто приводит к конфликтам.
Исследователи в области управления Стенли Дэвис и Пол Лоуренс указывают и на некоторые другие проблемы, возникающие в матричной организации: борьбу за власть, неприспособленность к неблагоприятным экономическим условиям, конформизм в принятии групповых решений, чрезмерные накладные расходы. Эти авторы указывают также, что поскольку «сотрудники не видят начальника, кому бы они подчинялись, существует тенденция к анархии, и весь контроль пытаются захватить функциональные руководители».
Несмотря на все эти возможные сложности, матричная организация стала использоваться во многих отраслях промышленности: химической, банковском деле и страховании, фасованных товаров, электронике и производстве вычислительной техники. Различные варианты матричной организации используются также в больницах, банках, правительственных учреждениях, профессиональных организациях. И легко понять почему. Матричная структура (если использовать ее эффективно) дает организации возможность получать некоторые преимущества, присущие как функциональным, так и дивизиональным структурам. Матричная организация позволяет достичь определенной гибкости, которая никогда не присутствует в функциональных структурах, поскольку в них все сотрудники постоянно закреплены за определенными функциональными отделами. В матричной организации — обратная картина: поскольку сотрудники набираются из различных функциональных отделов для работы в конкретном проекте, по мере появления новых проектов трудовые ресурсы можно гибко перераспределять в зависимости от конкретных потребностей каждого проекта. Помимо значительно большей гибкости, матричная организация дает большую возможность координации работ, характерную для дивизиональных структур. Это достигается за счет создания должности руководителя проекта, который координирует все связи между участниками проекта, работающими в различных функциональных отделах.
Еще один подход к созданию адаптивных организационных структур связан с появлением организации типа конгломерата. Это не какая-то установившаяся и упорядоченная структура. Скорее вся организация приобретает форму, которая лучше всего подходит для данной конкретной ситуации. Так, в одном отделении фирмы может использоваться продуктовая структура, в другом — функциональная структура, а в третьем — проектная или матричная организация.
Некоторые крупные конгломераты (такие, как «Биэтрис», «Сирс Робак», «Ай Ти Ти», «Галф энд Уэстерн», «Пепсико») развивались в основном за счет поглощений и слияний, а не за счет внутреннего расширения и роста. В результате их деятельность часто оказывалась слишком диверсифицированной, чтобы ее можно было уместить в рамки какой-либо системы или структуры. Поэтому руководство конгломерата дает возможность руководству каждой входящей в его состав фирмы выбрать ту структуру управления, которая ей более всего подходит.
Еще одна серьезная причина, по которой фирмы, входящие в состав конгломерата, сохраняют свои собственные организационные структуры, состоит в том, что при этом можно очень быстро свертывать и развертывать деловую активность в различных областях с минимальным нарушением сложившихся связей. Между отдельными фирмами, входящими в состав конгломерата, почти не существует взаимозависимости в отличие от типичной департаментализации. Бьыо бы немыслимо представить, например, что фирма с функциональной структурой ликвидировала бы свой отдел маркетинга только потому, что он работал ниже возможностей. Конгломерат, наоборот, может продать любую фирму, входящую в его состав, из-за ее неудовлетворительной деятельности и купить фирму, отличающуюся хорошими экономическими перспективами, и все эти изменения вряд ли даже будут замечены другими подразделениями конгломерата. Эти возможности сделали конгломераты очень популярными среди предпринимателей в наукоемких отраслях, где нужно быстро переходить к новым видам продукции и столь же быстро прекращать выпуск устаревших.


Органы государства


Органы государства Президент Российской Федерации является главой государства. Он является гарантом Конституции, принимает меры по охране суверенитета России, ее независимости и территориальной целостности. Президент определяет основные направления внутренней и внешней политики страны.
Президент избирается на 4 года на основе всеобщего прямого тайного голосования. Одно и то же лицо не может занимать должность Президента более двух сроков подряд.
Президент назначает Председателя Правительства, формирует и возглавляет Совет Безопасности, назначает выборы Государственной Думы, подписывает и обнародует федеральные законы, подписывает международные договоры России. Он также является Верховным Главнокомандующим Вооруженными Силами страны.
Президент издает указы и распоряжения. В некоторых случаях он может быть досрочно отстранен от должности, для чего применяется определенная процедура.
Федеральное Собрание, или парламент Российской Федерации, является высшим представительным и законодательным органом РФ. Федеральное Собрание состоит из двух палат — Совета Федерации и Государственной Думы.
В Совет Федерации входят по два представителя от каждого субъекта РФ: один — от представительного, другой — от исполнительного органа государственной власти. Таким образом, Совет Федерации насчитывает 178 членов.
Государственная Дума состоит из 450 депутатов, которые избираются на срок 4 года. Депутаты Государственной Думы работают на профессиональной основе, они не могут находиться на государственной службе и заниматься другой оплачиваемой деятельностью (кроме преподавательской, научной и творческой деятельности).
Совет Федерации и Государственная Дума избирают из своего состава своих Председателей.
Основная функция Федерального Собрания — принятие федеральных законов.
Проект закона поступает сначала в Государственную Думу, где он принимается простым большинством общего числа депутатов. Затем закон поступает в Совет Федерации, который может его рассмотреть в течение 14 дней и принять простым большинством голосов общего числа членов этой палаты. Если закон не рассмотрен Советом Федерации в указанный срок, то обычно он считается принятым (за исключением некоторых законов по бюджету, налогам и финансам, а также законов, касающихся международных договоров).
Отклоненный Советом Федерации закон возвращается в Государственную Думу, после чего либо образуется согласительная комиссия из представителей обеих палат, либо Государственная Дума повторно его принимает, для чего требуется уже 2/3 голосов.
Принятый федеральный закон направляется на подпись Президенту РФ, который должен в течение 14 дней подписать и обнародовать его.
Отклоненный Президентом закон может быть снова рассмотрен Федеральным Собранием. Если при повторном рассмотрении федеральный закон одобрен в ранее принятой редакции большинством в 2/3 голосов как в одной, так и в другой палатах парламента, то он должен быть в течение 7 дней подписан Президентом.
Правительство Российской Федерации осуществляет исполнительную власть в стране. Оно состоит из Председателя, его заместителей и федеральных министров.
Председатель Правительства представляет Президенту РФ предложения о структуре органов исполнительной власти.
Правительство разрабатывает и представляет Государственной Думе федеральный бюджет и обеспечивает его исполнение. Правительство также обеспечивает проведение единой финансовой, кредитной и денежной политики, единой государственной политики в области культуры, науки, образования, здравоохранения и социального обеспечения. Оно принимает меры по обеспечению законности, правопорядка, по борьбе с преступностью.
По вопросам своей компетенции Правительство принимает постановления и распоряжения. Они обязательны к исполнению в Российской Федерации.
Судебная власть осуществляется посредством конституционного, гражданского, административного и уголовного судопроизводства.
Правосудие в России осуществляется только судом. Судьи являются независимыми. Они подчиняются только закону. Судьи несменяемы и обладают неприкосновенностью. Разбирательство дел во всех судах открытое, за исключением случаев, предусмотренных федеральным законом (например, необходимость соблюдения государственной тайны).
Система судов состоит их трех частей: Конституционного Суда РФ; судов общей юрисдикции; арбитражных судов.'




19.1. Менеджмент государственная политика занятости и роль предприятий в ее реализации; управление персоналом в системе государственного регулирования   трудовых   отношений;   отношения   социального партнерства и трудовое законодательство
Одной из важнейших задач государства в экономике является создание условий для расширенного воспроизводства. Для этого правительство поддерживает активную экономическую деятельность граждан, связанную с удовлетворением их личных потребностей и приносящую им заработок. Государство  обеспечивает  проведение  политики  содействия  полной, продуктивной и свободно избранной занятости, направленной на реализацию права граждан на труд. В управлении персоналом необходимо учитывать проводимую государственную политику занятости.


Основная заработная плата производственных рабочих.


- выплаты работникам, высвобождаемым с предприятий в связи с реорганизацией, сокращением штатов и др.
В себестоимость продукции не включаются выплаты, не связанные непосредственно с оплатой труда: материальная помощь и подарки работникам, ссуды на улучшение жилищных условий, оплата отдыха (если она производится не из средств фонда соцстраха) и т.п.
Следующий крупный элемент затрат — износ основных производственных фондов, равный сумме амортизационных отчислений. Сюда же относят ускоренную амортизацию основных фондов и ее индексацию.
Прочие затраты в составе себестоимости продукции (работ, услуг) — это налоги, сборы, отчисления в специальные внебюджетные фонды, производимые в соответствии с установленным законодательством порядком, платежи за предельно допустимые выбросы (сбросы загрязняющих веществ), обязательное страхование имущества предприятия, учитываемого в составе производственных фондов, а также отдельных категорий работников, занятых в производстве соответствующих видов продукции (работ, услуг), вознаграждения за изобретения и рационализаторские предложения, платежи по кредитам в пределах ставок, установленных законодательством, оплата работ по сертификации продукции, затраты на командировки по установленным законодательством нормам, подъемные, плата сторонним предприятиям за пожарную и сторожевую охрану, подготовку и переподготовку кадров, затраты на организованный набор работников, гарантийный ремонт и обслуживание, оплата услуг связи, вычислительных центров, банков, плата за аренду основных производственных фондов, износ по нематериальным активам и др.
К затратам на производство относятся все виды расходов по поддержанию основных производственных фондов в рабочем состоянии — на капитальный, средний и текущий ремонт, уход, содержание и эксплуатацию машин и оборудования и др. В случае неравномерности затрат на проведение особо сложных видов ремонта основных производственных фондов предприятия могут (но не обязаны) формировать за счет себестоимости продукции резервный фонд затрат на ремонт. Это особенно касается предприятий, на которых принято один раз в несколько лет приостанавливать на период ремонта функционирование преобладающей части оборудования и предоставлять очередной отпуск всему персоналу, кроме ремонтников и лиц, поддерживающих условия жизнеобеспечения предприятия (энергетики и др.). В таких случаях резкое возрастание затрат на ремонт вызывает определенные трудности, которых можно избежать усреднением затрат, включаемых в себестоимость продукции, в частности путем формирования с начала года резервного фонда.
Затраты в иностранной валюте отражаются в рублях по курсу Центрального банка Российской Федерации на дату совершения операций. Структура затрат предприятия приведена на 24.2.5. При определении себестоимости отдельных видов продукции (работ, услуг) используется группировка затрат на единицу продукции по статьям калькуляции, необходимая в процессе ценообразования на различные виды изделий.
Затраты предприятия
Включае
Смешанные
Относимые на финансовые результаты (счет
Осуществляемые
мые в
затраты*
«Прибыли и убытки»)
за счет чистой
себестои




прибыли
мость






продукции






по элемен






там






1. Матери
Процент за
Затраты по аннулированным производственным
Оплата «смешан
альные
кредит.
заказам, а также затраты на производство, не
ных» затрат
затраты
Командиро
давшее продукции. Затраты на содержание
сверх установ
2.Затраты
вочные
законсервированных производственных
ленных норм.
на оплату
расходы.
мощностей и объектов (кроме затрат,
Оплата процен
труда
Представи
возмещаемых за счет других источников). Не
тов по просро
3. Отчис
тельские
компенсируемые виновниками потери от
ченным ссудам и
ления на
расходы.
простоев по внешним причинам. Убытки от
др. Затраты на
социаль
Расходы на
операций с тарой. Судебные издержки и
содержание
ные нужды
подготовку
арбитражные расходы. Присужденные или
культурно-быто
4. Аморти
кадров.
признанные штрафы, пени, неустойки и другие
вых объектов, по
зация
Расходы на
виды санкций за нарушение условий
благоустройству
основных
рекламу.
хозяйственных договоров, а также расходы по
города. Расходы,
фондов
Образова
возмещению причиненных убытков. Суммы
связанные с соде
5 Прочие
ние страхо
сомнительных долгов по расчетам с другими
ржанием и оказа
затраты
вых фондов
предприятиями, а также отдельными лицами,
нием бесплатных


и др.
подлежащие резервированию в соответствии с
услуг учебным




законодательством. Убытки от списания
заведениям.




дебиторской задолженности, по которой срок
Материальная




исковой давности истек, и других долгов,
помощь, подарки,




нереальных для взыскания. Убытки по
дополнительные




операциям прошлых лет, выявленные в текущем
отпуска, надбав




году. Некомпенсируемые потери от стихийных
ки к пенсиям и




бедствий (уничтожение и порча
т.п. Доходы по




производственных запасов, готовых изделий и
ценным бумагам




других материальных ценностей, потери от
предприятия. Ряд




остановки производства и прочее), включая
местных налогов




затраты, связанные с предотвращением или
(сбор за право




ликвидацией последствий стихийных бедствий.
торговли, со




Некомпенсируемые убытки в результате
сделок на бирже).




пожаров, аварий, других чрезвычайных
Образование




ситуаций, вызванных экстремальными
различных




условиями. Убытки от хищений, виновники
фондов предпри




которых по решению суда не установлены. Ряд
ятия и т.п.




налогов (на имущество, рекламу и др.) |
24.2.5. Структура затрат предприятия

* Смешанными называются затраты, только часть которых в соответствии с установленными нормами для целей налогообложения может включаться в себестоимость, а сверх норм покрывается за счет чистой прибыли. Для целей общего учета эти затраты полностью относятся на себестоимость.
В качестве типовой группировки применяется следующая номенклатура статей калькуляции.
1. Сырье и материалы.
2. Покупные полуфабрикаты, комплектующие изделия, услуги кооперированных предприятий.
3. Возвратные отходы (вычитаются).
4. Топливо и энергия на технологические цели.
5. Основная заработная плата производственных рабочих.
6. Дополнительная заработная плата производственных рабочих.
7.  Отчисления на социальное страхование.
8.  Расходы на подготовку и освоение производства.
9.  Износ инструментов и приспособлений целевого назначения.
10. Расходы на содержание и эксплуатацию оборудования.
11. Цеховые расходы.
12. Общезаводские расходы.
13. Потери от брака.
14. Прочие производственные расходы.
15. Внепроизводственные расходы.
Одно из главных условий повышения эффективности работы предприятия — снижение себестоимости продукции (работ, услуг).
К факторам, обеспечивающим снижение себестоимости, относятся применение новейших технологий, экономия сырья, топлива, электроэнергии, повышение производительности труда, снижение потерь от брака и простоев, улучшение использования основных производственных фондов, сокращение расходов по сбыту продукции, упорядочение затрат на аппарат управления, изменения структуры производственной программы в результате ассортиментных сдвигов и др. Себестоимость изделия может снижаться и за счет сокращения условно-постоянных расходов в результате роста объемов производства и реализации.
Во избежание возникновения серьезных перерасходов средств предприятия могут использовать различные нормы и нормативы затрат материальных, трудовых и финансовых ресурсов — отраслевые (стандарты) или самостоятельно разработанные предприятиями.
Управление текущими затратами подразумевает разработку и контроль за исполнением сметы затрат на. производство — внутреннего документа, позволяющего не только контролировать общий уровень затрат и их динамику, но и сопоставлять их величину по структурным подразделениям и филиалам. Смета затрат позволяет определить уровень самоокупаемости по предприятию в целом и его отдельным подразделениям.
При разработке смет затрат определяется себестоимость единицы продукции, создается база для расчета оптовых цен, устанавливается возможность снижения затрат на производство и реализацию продукции за счет внедрения новых технологий, рационализации товародвижения, закладывается основа для получения прибыли. Сметы используются также для определения потребностей предприятия в оборотных средствах, объемов реализации продукции и размеров возможной прибыли.
В последние годы наблюдается тенденция роста затрат на производство и реализацию продукции. К увеличению себестоимости приводят удорожание стоимости сырья, материалов, топлива, энергии, оборудования, рост процентных ставок за пользование кредитом, повышение тарифов на транспортные услуги, рост расходов на рекламу, представительских расходов. Увеличивается сумма амортизационных отчислений основных фондов, в том числе из-за их переоценок и введения индексации. Большую роль играет повышение удельного веса заработной платы в структуре затрат в условиях либерализации цен и социальной напряженности. Одновременно повышаются отчисления на социальное и медицинское страхование, пенсионное обеспечение, в фонд занятости населения, различные компенсационные выплаты. Все это впоследствии обусловливает очередной виток инфляции.1
При определении принципов деятельности предприятия в экономическом пространстве необходимо определить, что обеспечивает существование предприятия или фирмы в рыночном пространстве вообще.
Для обеспечения целостного изучения данного вопроса целесообразно изучение тем, посвященных предпринимательству и предпринимательской деятельности.


Основные факторы производства


Основные факторы производства Производство — это процесс изготовления материальных благ. Производя продукт, человек воздействует на объекты природы, придает им форму, пригодную для удовлетворения материальных потребностей. Как уже отмечено, производство — это переработка веществ природы для непосредственного потребления или для дальнейшего производства. Такая функция производства сохраняется при любой его социальной форме.
Для нас важно выяснить вопрос о том, какие факторы участвуют в изготовлении благ. В экономической теории под фактором производства понимается особо важный элемент или объект, который оказывает решающее воздействие на возможность и результативность производства. Таких факторов, которые используются для производства продукта, очень много. Причем для производства каждого продукта существует свой набор факторов. Поэтому возникает потребность их классифицировать, объединить в большие группы.
Существуют различные подходы в выделении факторов и их классификации в отдельные группы.
Марксистская теория в качестве факторов выделяет рабочую силу, предмет труда и средства труда, подразделяя их на две большие группы: личный и вещественный факторы производства.
В качестве личного фактора производства всегда рассматривается рабочая сила — совокупность физических и интеллектуальных способностей человека к труду.
В качестве вещественного фактора принимаются в совокупности все средства производства.
Личный и вещественный факторы образуют сложную взаимодействующую систему, эффективность которой определяется технологией и организацией производства. При этом технология выражает взаимодействие между главными факторами производства. Она предполагает использование разнообразных методов обработки, изменения свойств, формы, состояния предмета труда.
Организация производства обеспечивает согласованное функционирование всех факторов производства, их пропорциональное количественное соотношение, взаимозаменяемость и т.д.
Маржиналистская теория традиционно выделяет четыре группы факторов производства: земля, труд, капитал, предпринимательская деятельность.
Земля рассматривается как естественный фактор. Она не является результатом человеческой деятельности. К этой группе элементов (факторов) производства относят и природные богатства, залежи ископаемых, которые применимы в производственном процессе. В эту категорию включаются пахотные земли, леса и т.д.
Капитал как фактор производства выступает в виде совокупности благ, используемых в производстве товаров и услуг. Это инструменты, машины, оборудование, складские помещения, транспортные коммуникации, средства связи и т.д. Их техническое состояние постоянно совершенствуется и оказывает решающее влияние на общую результативность лроизводственного процесса и его эффективную целесообразность.
Труд представлен интеллектуальной и физической деятельностью, направленной на изготовление благ и оказание услуг. Совокупность способностей личности, обусловленная образованием, профессиональным обучением, навыками, здоровьем, представляет собой человеческий капитал. Чем квалифицированнее труд человека, тем выше его капитал, а соответственно и доход по этому капиталу (оплата труда). Инвестиционные вложения в человеческий капитал в настоящее время являются самыми эффективными и быстро окупающимися для общества.
Предпринимательская деятельность — специфический фактор производства. Она предполагает использование инициативы, смекалки и риска в организации производства.
Предпринимательская способность — особый вид человеческого капитала, представленный деятельностью по координации и комбинированию всех остальных факторов производства в целях создания благ и услуг. Специфика этой разновидности человеческого ресурса состоит в умении и желании в процессе производства на коммерческой основе внедрять новые виды производимого продукта, технологий, форм организации бизнеса при определенной степени риска и возможности понести убытки. Предпринимательская деятельность по своим масштабам и результатам приравнивается к затратам высококвалифицированного труда.
В чем же различие подходов к классификации факторов производства? Во-первых, марксизм исходит из того, что факторы производства как экономическая категория определяют социальную направленность производства. Уже в исходной основе процесса производства формируется классовый состав общества и необходимость борьбы классов за «справедливость». Маржиналисты же рассматривают факторы как общие технико-экономические элементы, без которых процесс производства немыслим.
Во-вторых, маржиналисты под капиталом понимают средства и предметы труда, а природные условия выделяют в особый фонд. Марксисты объединяют природные условия, средства труда и предметы труда в единый вещественный фактор. Если же речь идет об особых природных условиях в производстве, то специфика их учитывается через ренту. По их мнению, это уже особый отдел экономической науки.
В-третьих, если маржиналисты признают предпринимательскую деятельность как фактор производства, то марксисты отрицают ее.
В целом же различие в классификации факторов обусловлено главным — классовым подходом к анализу естественного производства.
Приведенные классификации факторов производства не являются застывшими, навсегда данными. В экономической теории постиндустриального общества в качестве факторов производства выделяются информационный и экономический факторы.
Оба они тесно связаны с достижениями современной науки, которая сама по себе тоже выступает в качестве самостоятельного фактора, так как оказывает решающее воздействие на уровень эффективности производства, процесс подготовки квалифицированной рабочей силы и повышения уровня и возможностей человеческого капитала.
Информация обеспечивает систематизацию знаний, материализованных в систему механизмов, машин, оборудования, моделей менеджмента и маркетинга.
Все большее значение в современном производстве приобретает экологический фактор производства, который выступает либо в качестве импульса экономического роста, либо как ограничитель его возможностей в связи с вредностью, загазованностью, загрязнением и т.д.
Подводя итог анализу факторов, отметим, что производство возможно только при введении в производственный процесс всех факторов. Производство определенной вещи или услуги требует определенного набора факторов, но главными из них являются земля, труд и капитал. Они действуют взаимосвязанно и дополняют друг друга. Например, для изготовления турбин требуется особое производство, оформленное юридически. Для этого нужны земельный участок и капитал в виде производственных зданий, сооружений, станков, сырья, труда рабочих и менеджеров. Отсутствие одного из них ведет к разрушению системы и делает невозможным производственный процесс.
Следует заметить, что факторы обладают взаимозаменяемостью. Она обусловлена разнообразными потребительскими свойствами продукта. В результате возможно производство любого продукта или блага при использовании различных факторов в разнообразных сочетаниях и пропорциях. Такая взаимозаменяемость и пропорциональная количественная переменность особенно типичны для современного производства: от изготовления химических продуктов до индустриального строительства жилых зданий.
Взаимозаменяемость факторов обусловлена не только спецификой потребностей и конструктивных особенностей изделия, но и главным образом ограниченностью ресурсов, с одной стороны, и эффективностью их использования, с другой. Предприниматель выбирает такую технологию производства, при которой дефицитный или сравнительно дорогой фактор производства используется в меньшей мере. Именно этим обстоятельствам общество обязано появлению высотных зданий при ограниченности свободной земли, полупроводников, заменителей, многообразных моделей бензиносберегающих машин и т.д. Предпринимательство, таким образом, предполагает использование различных комбинаций факторов производства, руководствуясь потребностями неизбежного снижения издержек производства. Оно исчисляется путем сопоставления рыночной цены и затрат на изготовление предельного продукта.
Независимо от классификации все факторы в конечном счете используются для изготовления продукта. Представим, что при очень упрощенном производстве один фактор используется для изготовления одного продукта:
Q=
, где Q — продукт, А — фактор производства.

В данном случае продукт выступает функцией одного фактора. В реальной же действительности процесс производства протекает сложнее, а его итог (продукт) — результат использования множества факторов. Могут встречаться разнообразные ситуации, которые условно можно свести к четырем: фактор не используется; его возможности используются наполовину; он применяется для производства оптимального количества продукта; он используется для изготовления чрезмерно большого количества продукта.
Бесчисленное множество использованных в производстве продукта факторов можно изобразить графически ( 15.1.1).

На графике изображены ситуации Х1X4 использования фактора А (уровень использования), Y1Y4 — количество производимого продукта. Линия АА — количество продукта, которое можно получить при оптимальном использовании фактора А Линия QQ1 — реально произведенный продукт при том или ином уровне загрузки (использования) фактора А
Если процесс производства постоянно находится на линии АА — фонд производства используется оптимально и постоянно возмещается. Если ниже, он недоиспользуется, а выше — чрезмерно используется. В последних случаях равновесие производства нарушается и возникает либо дефицит, либо потребность в дополнительном запасе фактора (сырья, оборудования, инструмента и т.п.). В процессе функционирования фирм предполагается бесчисленное множество вариантов использования факторов в различных комбинациях. Множественность комбинаций обусловлена научно-техническим прогрессом и состоянием рынка факторов производства. Научно-технический прогресс и технические перевороты ведут к появлению новых (взаимозаменяющих) факторов (A1) и нового продукта (Q2). В результате возрастает возможность при помощи фактора A1 произвести продукта Q столько, сколько необходимо для возмещения фактора и дополнительного (прибавочного) продукта, который не нужен для возмещения фактора A1 Этот дополнительный запас продукта Q1 назовем прибавочным продуктом. С его производством возможно дальнейшее увеличение производства. Отсюда следует вывод: лучшее использование доходов производства является условием дальнейшего увеличения его масштабов, условием расширения воспроизводства.
Таким образом, в результате соединения факторов производства создаются продукты труда, совокупность материальных благ. Количественное отношение объема (массы) полученного продукта к труду, затраченному на его изготовление, характеризует производительность труда. Показатель производительности можно представить в следующем виде:
Производительность труда = Q/'Т,
где Q — количество созданного продукта в натуральном или денежном выражении; Т — затраты, труда (например, человеко-час или количество занятых в данном производстве).


Основные фонды предприятия


Основные фонды предприятия Каждое предприятие обладает уставным капиталом, который состоит из основных фондов и оборотных средств.
В используемой классификации одни из элементов основных фондов (машины и оборудование) принимают непосредственное участие в производственном процессе и поэтому относятся к активной части основных фондов; другие (производственные здания и сооружения) обеспечивают нормальное функционирование производственного процесса и являются пассивной частью основных фондов.
Физический и моральный износ основных фондов. При физическом износе происходит утрата основными фондами их потребительной стоимости, т.е. ухудшение технико-экономических и социальных характеристик под воздействием процесса труда, сил природы, а также вследствие неиспользования основных фондов. Соотношение различных групп -основных фондов в общей их стоимости составляет видовую структуру основных фондов, которая зависит от технико-экономических особенностей отраслей промышленности.
В хозяйственной практике предприятий различают первоначальную (балансовую) восстановительную, остаточную, ликвидационную и среднегодовую стоимости основных фондов.
Первоначальная стоимость — это стоимость (цена) приобретения данного вида основных фондов (станка или прибора); транспортные расходы на доставку; стоимость монтажа, наладки и т.п. Эта стоимость выражается в ценах, действовавших в момент приобретения данного объекта, и на основании ее величины на предприятиях происходят регистрация элементов основных фондов, учет их на балансе предприятия, вследствие чего она еще называется балансовой стоимостью основных фондов.
В связи с длительностью производственного функционирования и под влиянием роста производительности труда цена основных фондов, созданных в разное время, может снижаться (это возможно в нормальных экономических условиях, при низком проценте инфляции) ( 24.2.7).
Поэтому для устранения искажающего влияния ценового фактора основные фонды оценивают по их восстановительной стоимости, т.е. по стоимости их производства в условиях сегодняшнего дня. На практике восстановительная стоимость определяется путем переоценки действующих основных фондов с учетом их физического и морального износа.
Остаточная стоимость — это первоначальная стоимость основных фондов за вычетом износа, сумма которого определяется по величине амортизационных отчислений завесь прошедший период службы данного объекта основных фондов.
Ликвидационная стоимость — это стоимость реализации изношенных и снятых с производства основных фондов (часто это цена лома).
Среднегодовая стоимость основных фондов определяется на основе первоначальной стоимости с учетом их ввода и ликвидации по следующей формуле:

где Фс — среднегодовая стоимость основных фондов;
Фп(б) — первоначальная (балансовая) стоимость основных фондов;
Фвв — стоимость введенных фондов;
ЧМ — число месяцев функционирования введенных основных фондов;
Фл — ликвидационная стоимость;
М — количество месяцев функционирования выбывших основных фондов.

где Тф— фактический срок службы (лет);
Гн — нормативный срок службы (лет).
Для более точного определения износа следует установить техническое состояние элементов основных фондов.
Амортизация основных фондов. Процесс амортизации означает перенесение по частям стоимости основных фондов в течение срока их службы на производимую продукцию и последующее использование этой стоимости для возмещения потребленных основных фондов. Перенесенная стоимость основных фондов в составе продукции покидает сферу производства и поступаетв сферу обращения.
После реализации продукции (превращение «Т—Д») часть денежной суммы, соответствующая перенесенной стоимости основных фондов, поступает в амортизационный фонд, в котором накапливается до полной величины, в основном соответствующей первоначальной стоимости (за вычетом изношенных основных фондов). Этот амортизационный фонд (сумма накопленных денег) используется для приобретения новых вещественных элементов основных фондов взамен изношенных, т.е. происходит восстановление основных фондов.
Величина переносимой на продукцию стоимости определяется, во-первых, первоначальной стоимостью основных фондов, так как чем выше первоначальная стоимость, тем больше переносимая часть стоимости основных фондов.
Во-вторых, эта величина определяется видом основных фондов, так как, например, нормативный срок службы зданий в промышленности составляет 30—50 лет (в зависимости от специфики производства), а нормативный срок службы машин и оборудования — от 3—5 до 15—20 лет.
В-третьих, величина стоимости основных фондов, переносимая на продукцию, обусловлена еще отраслевой спецификой производства: в одних отраслях доля амортизации в затратах на производство промышленной продукции выше, чем в среднем по промышленности, а в других ниже. Основные функции амортизации — это обеспечение воспроизводства, восстановление основных фондов и учет. В карточках учета основных средств (формы № ОС-7) отражаются данные по амортизации и определяется величина износа основных фондов за годы их эксплуатации.
Кроме этого, амортизация в определенной степени выполняет и стимулирующую функцию, предусматривая наиболее полное использование основных фондов: чем длительнее период функционирования оборудования, тем больше производится продукции и тем скорее будет перенесена стоимость основных фондов. Это позволит уменьшить их недоамортизацию вследствие морального износа и снизить потери предприятия, что очень важно в условиях рынка.
В хозяйственной практике предприятий для учета амортизации используются амортизационные отчисления, т.е. денежное выражение перенесенной стоимости. Амортизационные отчисления входят в состав себестоимости продукции (издержек производства).
Величина амортизационных отчислений определяется по нормам амортизации от первоначальной (балансовой) стоимости основных фондов с учетом срока их службы. В соответствии с этим норма амортизации рассчитывается по формуле

где На — норма амортизации основных фондов в год (%);
Фп(б) -— первоначальная (балансовая) стоимость основных фондов;
Фл — ликвидационная стоимость;
Tсл — срок службы основных фондов.
Норма амортизации представляет собой годовой процент погашения стоимости основных фондов.
В ряде отраслей в зависимости от технологических особенностей производства, режима и сменности работы оборудования, степени нагрузки и физического объема выполненных работ, условий внешней среды, географического расположения объектов и других факторов нормы амортизации могут быть повышены или понижены. Если, например, нормы амортизации по машинам и оборудованию установлены исходя из трехсменного режима работы, то при фактической работе в 2 смены применяется понижающий поправочный коэффициент. Напротив, если нормы амортизации установлены исходя из режима работы в 2 смены, то при фактической работе оборудования в 3 смены будет применяться повышающий поправочный коэффициент.


Основные этапы развития экономической науки


Основные этапы развития экономической науки Тенденции развития интересующего экономиста явления могут быть выявлены наиболее рациональным образом на основе анализа взаимодействия характеристик данного явления, находящих свое отражение в основных этапах развития экономической науки. При этом структура исследовательского действия должна совпадать со структурой единого целостного устройства функционирующего экономического исследуемого явления в зависимости от изменения взглядов на его развитие на конкретном этапе развития экономической науки.
Охарактеризуем теперь кратко последовательность и суть направлений и этапов развития экономической мысли, концепция которых раскрывается в учебнике Ядгарова Я. С. «История экономических учений».
l.Экономические учения эпохи дорыночной экономики. Эта эпоха включает в себя периоды Древнего мира и средневековья, в течение которых преобладали натурально-хозяйственные общественные отношения и воспроизводство было преимущественно экстенсивным. Экономическую мысль в эту эпоху выражали, как правило, философы и религиозные деятели. Достигнутый ими уровень систематизации экономических идей и концепций не обеспечил достаточных предпосылок для обособления теоретических построений того времени в самостоятельную отрасль науки, специализирующуюся сугубо на проблемах экономики.
Данную эпоху завершает особый этап в эволюции и экономики, и экономической мысли. С точки зрения истории экономики, этот этап в марксистской экономической литературе называют периодом первоначального накопления капитала и зарождения капитализма; по неклассоформационной позиции — это период перехода к рыночному механизму хозяйствования. С точки зрения истории экономической мысли, этот этап называется меркантилизмом и трактуется также двояко: в марксистском варианте — как период зарождения первой школы экономической теории капитализма (буржуазной политической экономии), а по неклассоформационному варианту — как период первой теоретической концепции рыночной экономики.
Зародившийся в недрах натурального хозяйства меркантилизм стал этапом широкомасштабной (общенациональной) апробации протекционистских мер в сфере промышленности и внешней торговли и осмысления развития экономики в условиях формирующейся предпринимательской деятельности. И поскольку отсчет своего времени меркантилистская концепция начинает фактически с XVI столетия, то и начало обособленного развития экономической теории как самостоятельной отрасли науки относят чаще всего к данному рубежу
В частности, на заре своего исторического восхождения экономическая наука, базировавшаяся на меркантилистских постулатах, пропагандировала целесообразность государственного регулирующего воздействия посредством экономических мотивов и сделок с тем, чтобы «новые» отношения, получавшие впоследствии наименование то «рыночных», то «капиталистических», распространились на все аспекты общественных отношений государства.
2. Экономические учения эпохи нерегулируемой рыночной экономики. Временные рамки этой эпохи охватывают период примерно с конца XII в. до 30-х гг. XX в., в течение которого в теориях ведущих школ и направлений экономической мысли доминировал принцип абсолютного невмешательства государства в деловую жизнь или, что одно и то же, принцип экономического либерализма.
В данную эпоху экономика благодаря промышленному перевороту совершила переход от стадии мануфактурной к так называемой индустриальной стадии своей эволюции. Достигнув своего апогея в конце XIX — начале XX вв., индустриальный тип хозяйствования также подвергся качественной модификации и обрел признаки монополизированного типа хозяйства.
Но именно обозначенные типы хозяйствования, обусловленные преобладанием идеи саморегулируемости экономики свободной конкуренцией, предопределили своеобразие постулатов и исторически сложившуюся последовательность господства в экономической науке данной эпохи вначале классической политической экономии, а затем неоклассической экономической теории.
Классическая политическая экономия занимала «командные высоты» в экономической теории практически около 200 лет — с конца XVII в. по вторую половину XIX в., заложив, по существу, основы для современной экономической науки. Ее лидеры, во многом правомерно осудив протекционизм меркантилистов, основательно противостояли антирыночным реформаторским концепциям первой половины XIX в., изложенным в трудах своих современников как из числа сторонников перехода к обществу социальной справедливости на базе воссоздания ведущей роли в хозяйстве мелкотоварного производства, так и идеологов утопического социализма, призывавших к всеобщему одобрению человечеством преимуществ такого социально-экономического устройства общества, при котором не будет денег, частной собственности, эксплуатации и прочего «зла» капиталистического настоящего.
Вместе с тем «классики» совершенно неоправданно упускали из поля .зрения значимость поиска взаимосвязи и взаимообусловленности факторов экономической среды с факторами национально-исторического и социального свойства, настаивая на незыблемости принципов «чистой» экономической теории и не принимая всерьез достаточно успешные наработки в данном направлении в трудах авторов так называемой немецкой исторической школы во второй половине XIX в.
Сменившая в конце XIX в. классическую политическую экономию, неоклассическая экономическая теория стала ее преемницей прежде всего благодаря сохранению «верности» идеалам «чистой» экономической науки. При этом она явно превзошла свою предшественницу во многих теоретико-методологических аспектах. Главным же в этой связи явилось внедрение в инструментарий экономического анализа базирующихся на математическом «языке» маржинальных (предельных) принципов, придавших новой (неоклассической) экономической теории большую степень достоверности и способствовавших обособлению в ее составе самостоятельного раздела — микроэкономики.
3. Экономические учения эпохи регулируемой (социально ориентированной) рыночной экономики. Данная эпоха — эпоха новейшей истории экономических учений — берет свое начало с 20-30-х гг. XX в., т.е. с тех пор, когда в полной мере обозначили себя антимонопольные концепции и идеи социального контроля общества над экономикой, проливающие свет на несостоятельность принципа экономического либерализма и нацеливающие на многообразные меры демонополизации хозяйства посредством государственного вмешательства в экономику. В основе этих мер лежат значительно более совершенные аналитические построения, предусмотренные в обновленных на базе синтеза всей совокупности факторов общественных отношений экономических теориях.
В этой связи имеются в виду, во-первых, новое, сложившееся к 30-м гг. XIX в. социально-институциональное направление экономической мысли, которое в обозначившихся трех его научных течениях часто просто называют американским институционализмом, во-вторых, появившиеся в 1933 г. доказательные теоретические обоснования функционирования рыночных хозяйственных структур в условиях несовершенной (монополистической) конкуренции и, наконец, в-третьих, зародившиеся также в 30-х гг. два альтернативных друг другу направления (кейнсианское и неолиберальное) теорий государственного регулирования экономики, давшие статус самостоятельного еще одному разделу экономической теории — макроэкономике.
В результате на протяжении последних семи-восьми десятилетий завершающегося XX в. экономическая теория смогла вынести на суд общественности ряд принципиально новых и неординарных сценариев возможных вариантов (моделей) роста национальной экономики государств в условиях переживаемых ими небывалых прежде проблем, вызванных последствиями современной научно-технической революции. Экономическая наука наших детей как никогда близка к выработке наиболее достоверных «рецептов» на пути к стиранию социальных контрастов в цивилизованном обществе и формированию в нем действительно нового образа жизни и мышления.
К примеру, теперь ученые-экономисты многих стран в обозначении прошлого и будущего состояния общества не прибегают более к противопоставлению друг другу (во всяком случае, явному) бывших антиподов экономической теории — «капитализма» и «социализма» и соответственно «капиталистической» и «социалистической теории». Вместо них всеобщее распространение в экономической литературе получают теоретические изыскания о «рыночной экономике» или «рыночных экономических отношениях».
В завершение отметим, что посредством предложенной в настоящем учебнике неклассовой структуры курса истории экономических учений преследуется решение двуединой задачи, а именно — обосновать, что необходимы идеологизированные принципы периодизации направлений и этапов эволюции экономической мысли как времен предыстории рыночной экономики и рыночной экономической теории, так и сегодняшних реалий в теории и практике регулируемого (социально ориентированного) рынка и что критерием прогресса науки и истины никогда не должны быть ни «всеобщее согласие», ни «согласие большинства».1
Изучение экономической среды в целом и конкретного экономического явления в частности требует от исследователя организации систематичности самого исследовательского процесса. Степень данной организованности и ее характер и будут влиять на характер результатов исследования и их согласованность вокруг поставленной проблемы. При этом дробление экономического явления на фрагменты определяет частность подхода к его изучению. Соблюдение условия организации системы изучения явления позволяет проявить в целостном экономическом элементе принцип его незавершенности по сравнению с другими элементами. Данные тенденции присутствуют в развитии экономических учений Древнего Востока, античного мира и средневековья.


Основные категории предмета


Основные категории предмета Мировая экономика, или всемирное хозяйство, — это совокупность национальных хозяйств, находящихся в постоянной динамике, в движении, обладающих растущими связями и взаимосвязями и соответственно сложнейшим взаимовлиянием, в результате чего формируется крайне противоречивая, но вместе с тем более или менее целостная мировая экономическая система. Изучение и всестороннее исследование многообразных проблем всемирного хозяйства имеет неоценимое теоретико-методологическое и практическое значение для правильного понимания не только процессов, происходящих как в целом современном мире, так и в его отдельных частях и регионах, но и для осмысления тенденций общемирового развития.
Изучением международных экономических отношений занимались многие выдающиеся ученые, в их числе А.Смит, Д.Рикардо, К.Маркс, Ф.Энгельс, В.И. Ленин, Р.Гильфердинг, В.Леонтьев, Дж.М. Кейнс, Ф.Визер, А.Маршалл, Дж.Б. Кларк, Л.Вальрас, Л. фон Мизес, В.Парето, П.Самуэлсон, Дж.Гэлбрейт, Дж.И. Мид, Я.Тинберген, А.М. Румянцев, Ф.А.фон Хаек, М.Фридмен, В.И. Мартынов, Л.И. Абалкин, Г.А. Арбатов, С.С. Шаталин, Н.Я. Петраков, А.А. Пороховский, В.В. Журкин, И.Д. Иванов, Ю.В. Ярёменко и многие другие. Все они так или иначе исходили из движения капитала как первичной ячейки национальной, а затем и мировой экономики.
Всемирное хозяйство — объект изучения теории международных экономических отношений (МЭО). Он (объект изучения) представляет собой особую сферу научного познания, сформировавшийся на основе общей политико-экономической теории. Предмет исследования и изучения в специальной теории международных экономических отношений тот же, что и у общей теории политической экономии: взаимоотношения между людьми по поводу производства, распределения, обмена и потребления жизненных благ. Специфика же мирового хозяйства и, соответственно международных экономических отношений, определяется тем обстоятельством, что взаимоотношения в гражданском обществе, в частности между социальными слоями, осуществляются через государственные границы и предстают в качестве международных экономических отношений. Отсюда — отличия в методологии рассмотрения исторически развивающихся категорий и соотношения между понятиями. При этом многие классики экономической науки справедливо отмечали автономный характер действия законов, вытекающих из общих всемирных экономических отношений. Проблема для социалистических стран состояла в том, что они были «выключены» из системы всемирных экономических отношений (ВЭО). Задача «вторжения» в систему МЭО была отнюдь не простой, она не вела (и не ведет — как увидим), автоматически к позитивным решениям вслед политическим изменениям в системе государства.
Весь многообразный и сложный комплекс вопросов мировой экономики и всемирных экономических отношений является объектом изучения теории экономических отношений, по крайней мере, на трех уровнях: а) развитых стран; б) развивающихся стран; в) постсоциалистических стран. В своей совокупности эти отношения и их тесное взаимопереплетение и образуют отношения всемирного хозяйства, или отношения мировой экономики.
Остановимся на собственно экономических задачах нашей книги, далеко не однозначных. Известно, что внешнее описание объекта исследования предшествует самому анализу, углубленному познанию этого предмета. Следовательно, постановка задачи — важная часть в определении предмета изучения. Скажем, студент или аспирант, специально изучающие международные экономические отношения, могут рассматривать задачи одного порядка. Любознательный человек, для которого эти вопросы представляют частный интерес, видимо, будет анализировать ее содержание с иных позиций, сравнивая свои знания с теоретическими выкладками. Специалист-практик, менеджер, получивший в последний период возможность прямого выхода на внешний рынок, конечно, будет стремиться извлечь максимум практической пользы — над ним довлеет рационализм и прагматизм. Специалист-теоретик, ученый, волей или неволей, будет стремиться анализировать те или иные положения с позиций научной новизны и т.д. При всей разности подходов очевидно, что потребность в таком рассмотрении высока. В последнее время в России объект исследования усложнился, ранее существовавшие внутренние экономические отношения перестали быть таковыми — они приобрели внешнеэкономический, или точнее — промежуточный между внутренними и внешними отношениями, характер; они не могли и не могут в один день эволюционировать в «классические» типы международных отношений, отражая состояние переходности государства, общества, экономики, поскольку очевидно изменение самой парадигмы развития: речь идет об изменениях фундаментального свойства — изменении самого строя общества.
Актуальность решаемых здесь вопросов возрастает и потому, что время требует подготовки большого числа специалистов, обладающих серьезными теоретическими знаниями в области международных экономических отношений. Они нужны коллективам десятков тысяч предприятий, перед которыми открываются возможности непосредственного выхода на мировые рынки.
Основная цель данного раздела — дать студентам и аспирантам, молодым ученым, преподавателям вузов, менеджерам, специалистам добротную теоретическую базу в области мировой экономики и международных экономических отношений. '
Международное движение товаров, услуг и факторов производства является основой международных экономических отношений. Торговля представляет собой первоначальный, основной вид внешнеэкономической деятельности государств. Доход от продаж на рынках других стран всегда являлся главным фактором в пользу участия той или иной страны в международных экономических отношениях, тогда как на более поздних этапах доступность иностранных факторов производства также рассматривалась как основа для получения выгод стран от участия в международных экономических отношениях.



Основные налоги России


Основные налоги России Как уже отмечалось, налоговая система России включает в себя налоги трех уровней:
федеральные, республиканские и местные. В состав федеральных налогов входят налог на добавленную стоимость, подоходный налог с физических лиц, налог с имущества, переходящего в порядке наследования и дарения, налог на прибыль предприятий и организаций, акцизы, таможенные пошлины, госпошлина, гербовый сбор и некоторые другие. К республиканским налогам относятся налог на имущество предприятий, лесной налог и др. Местные налоги включают налог на имущество физических лиц, земельный налог и ряд других налогов, вводимых местными властями с учетом своих нужд. Взносы в пенсионный и другие социальные фонды имеют общефедеральный характер и собираются от имени соответствующих внебюджетных фондов. Всего в России насчитывается до 300 налогов и сборов различного рода.
По абсолютным размерам налоговых сборов первое место занимает налог на добавленную стоимость, за ним следует налог на прибыль предприятий. Вместе с тем в первом чтении (июнь 1997 г.) принят Налоговый кодекс РФ, согласно которому резко сокращается число налогов и ограничиваются налоготворческие права местных органов власти.
Налог на прибыль предприятий и организаций. Налог на прибыль предприятий и организаций принят законом Российской Федерации от 27 декабря 1991 г. и действует с учетом изменений и дополнений, принятых в последующие годы. Налог на прибыль имеет две налоговые ставки: по первой ставке налог в размере 13% взимается в пользу федерального бюджета, вторая ставка налога определяется на уровне субъектов РФ (республик) и представляет собой налог, поступающий в их бюджеты. Субъекты РФ могут самостоятельно устанавливать ставку этого налога (но не правила его исчисления и взимания) в пределах до 22% (для посреднической деятельности, банков, страховых компаний, бирж и т.д. до 30%). Таким образом максимальная суммарная ставка этого налога может составлять 35% (для банков — 43%).
Плательщиками налога на прибыль являются предприятия и организации, являющиеся юридическими лицами по законодательству России и занимающиеся предпринимательской деятельностью, а также филиалы и другие подразделения этих предприятий и организаций, имеющие отдельный баланс и расчетный счет. Налогом на прибыль могут облагаться и бюджетные организации — в части осуществляемой ими предпринимательской деятельности. Кроме того, субъекты РФ вправе облагать налогом на прибыль расположенные на их территории территориально обособленные структурные подразделения предприятий, имеющих головную контору и место регистрации в других регионах, даже если эти подразделения не имеют отдельного баланса и расчетного счета.
В этом случае определение доли прибыли, относящейся к этому подразделению, осуществляется расчетным методом — по доле этого подразделения в общем фонде оплаты труда и в общей стоимости основных производственных фондов предприятия. Соответственно эта доля прибыли подлежит вычету из облагаемой базы при исчислении налога с головного предприятия и, поскольку речь идет о применении только налогов, взимаемых субъектами РФ, каждый из них применяет свою налоговую ставку для обложения относящейся к нему доли прибыли предприятия. Предприятия железнодорожного транспорта и связи, а также объединения и предприятия по газификации и эксплуатации газового хозяйства облагаются налогом в особом порядке, устанавливаемом правительством РФ.
Предприятия-резиденты подлежат обложению налогом по всем своим доходам, в том числе и полученным за пределами России. Подоходный налог, уплаченный за рубежом, засчитывается при уплате налога на прибыль, но сумма такого зачета не может превышать размера налоговых обязательств, рассчитанных по российскому законодательству для соответствующей суммы дохода.
Компании, фирмы и любые другие организации, образованные по законам иностранных государств, облагаются налогом на прибыль, если они осуществляют предпринимательскую деятельность в России через свое постоянное представительство. При этом под постоянным представительством может пониматься филиал, бюро, контора, агентство или любое другое место осуществления деятельности, связанное с разведкой или разработкой природных ресурсов, проведением работ по строительству, монтажу, сборке, наладке, обслуживанию оборудования, оказанием услуг или проведением других работ. Иностранное предприятие также может быть привлечено к обложению этим налогом, если оно использует другие организации или граждан (включая российские) для осуществления представительских функций в их пользу на территории России.
Налоговые соглашения, которые имеет Россия с большинством развитых стран, могут предусматривать иные налоговые режимы и пониженные налоговые ставки в отношении доходов и имущества иностранных юридических лиц. Обычно в таких случаях для некоторых видов работ (строительно-монтажных, пусконаладочньгх) устанавливаются льготные сроки, в течение которых деятельность иностранных предприятий не считается создающей для них режим «постоянного делового учреждения», и более низкие ставки налога «у источника» (вплоть до его полной отмены) для дивидендов, процентов и роялти.
Налогооблагаемой базой в отношении налога на прибыль законом определяется валовая прибыль предприятия: разность между валовым доходом (выручкой) предприятия от продажи товаров, оказания услуг и выполнения работ, выручкой от продажи основных фондов и земельных участков, принадлежащих предприятию, а также доходами от внереализованных операций и продажи иного имущества, и расходами, связанными с этими операциями и с этой деятельностью. Валовой доход (выручка) предприятия при этом рассчитывается без учета НДС и акцизов, а также уплаченных экспортных пошлин. Для расчета чистого дохода от продажи имущества предприятия за основу берется первоначальная цена или остаточная стоимость имущества, увеличенная на индекс инфляции, исчисленный в порядке, установленном Правительством РФ.
Состав затрат и порядок их отнесения на себестоимость в целях исчисления налогооблагаемой базы определяется Постановлением Правительства РФ от 5 августа 1992 г. № 552. В соответствии с этим Постановлением на затраты, уменьшающие валовой доход (выручку) предприятия, относятся:
- по факту, без ограничений и нормативов:
расходы на оплату труда работников, расходы на оплату сырья и материалов, потребленных в процессе производства,
расходы на ремонт основных средств, расходы, связанные с управлением производства, расходы на уплату процентов по полученным ссудам и кредитам (кроме кредитов, используемых на приобретение основных средств);
- в пределах установленных лимитов и нормативов:
расходы на командировки, расходы на обучение работников, расходы на рекламу, представительские расходы.
Затраты на приобретение основных средств списываются в порядке ежегодного ' исчисления амортизации по утвержденным нормам. На начало 1997 г. эти нормы составляли: для машин и оборудования 4,0—33,3%, для транспортных средств — до 20%, для компьютеров и оргтехники 7,0—12,5%, для зданий и сооружений капитального характера, построенных из камня, кирпича или бетона, 0,4—1,7% и для деревянных строений — до 5% в год. Кроме того, в пределах, установленных законодательством, за счет средств, относимых на уменьшение налогооблагаемой базы, разрешается создавать страховые фонды и некоторые виды резервов. Структура затрат, относимых на себестоимость, для банков и страховых учреждений утверждена отдельными постановлениями правительства.
Расчет налога на прибыль производится поквартально, нарастающим итогом: за 3, б, 9 и 12 месяцев. Авансовые платежи налога вносятся ежемесячно или дважды в месяц из расчета 1/3 или 1/6 от квартального расчета. Годовой отчет (декларация) по налогу предоставляется не позднее 15 марта года, следующего за отчетным, и доплата налога (если требуется) производится и десятидневный срок после сдачи отчета.
Отчетный год совпадает с календарным годом. Аудиторское заключение обязательно для акционерных предприятии, для предприятий с участием иностранного капитала и для банков и страховых организаций (независимо от их юридической формы).
В налогооблагаемую базу предприятий не включаются дивиденды и проценты, полученные по ценным бумагам, принадлежащим предприятию, а также доходы от долевого участия в капитале других предприятий. Эти виды доходов подлежат обложению «у источника», ставка налога для них составляет 15%. Также не включаются в сумму налогового дохода предприятий для целей исчисления налога на прибыль доходы от проведения концертных мероприятий (для них предусмотрен специальный налог по ставке 50%) и доходы от казино и игровых автоматов (которые облагаются налогом по ставке 70%).
Для доходов типа роялти (платежи по авторским правам, за лицензии и т.д.) и от использования имущества (арендная плата) при выплате их в пользу нерезидентов предусмотрено удержание налога у источника по ставке 20% и для платежей за фрахт, переводимых за рубеж, — по ставке 6%.
Подоходный налог с физических лиц. Доходы граждан (физических лиц) облагаются налогами в соответствии с законом «О подоходном налоге с физических лиц».


Основные направление экономической деятельности государства


Основные направление экономической деятельности государства. Пределы государственного вмешательства в экономику. Даже в системе «свободного» рынка нельзя обойтись без государства. Оно берет на себя функции, которые принципиально не может осуществить сам рынок. Это по крайней мере три функции:
1) обеспечение экономики нужным количеством денег;
2) регулирование так называемых «внешних» (или побочных) эффектов;
3) удовлетворение потребностей в «коллективных благах» (или в «общественных товарах»).
Взаимодействие участников экономической системы многообразно по формам и социальным последствиям. Большинство из них охвачено рынком. Но есть и такие, что оказываются вне его, т.е. деятельность производителя и потребителя порождает внешние для рынка эффекты, которые могут и не иметь денежной оценки, но тем не менее реально влияют на благосостояние рыночных субъектов. Внешние эффекты могут быть как отрицательными, так и положительными. Классическим примером отрицательного эффекта является строительство плотины в верховьях реки. В этом случае для живущих в нижнем течении реки ухудшаются условия ловли рыбы. Пример положительного внешнего эффекта: фермер проводит оросительный канал на свой земельный участок, вследствие чего качество соседних земельных участков улучшается без вложения капитала их владельцев.
Регулирование внешних для рынка эффектов берет на себя государство. Большое значение для современной экономики имеет государственное регулирование внешних эффектов, связанных с экологическим аспектом производства. Ориентированная на спрос рыночная экономика в течение столетий стимулировала вовлечение все больших природных ресурсов в хозяйственный оборот, что в конце концов поставило на грань выживания современное общество. Ухудшение экологической ситуации привело к тому, что появились специальные государственные регуляторы, призванные предотвратить негативные социальные последствия рыночной конкуренции.
Следующая функция государства — удовлетворение потребностей в «общественных товарах». Механизм рынка нацелен на удовлетворение только тех потребностей, которые выражаются через спрос. Но есть и такие потребности, которые нельзя измерить в деньгах и превратить в спрос. Рынок пройдет мимо таких потребностей. Речь идет о товарах и услугах коллективного пользования, в потреблении которых участвуют члены общества. Это оборона,  охрана общественного порядка,  государственное управление,  единая энергетическая система и т.д. — эти блага в мировой экономической науке называются общественными товарами. Их особенностью является неисключаемость из потребления, достаются они всем потребителям поровну и часто потребляются коллективно. Предоставление населению общественных товаров является функцией государства, а их финансирование осуществляется через центральный или местный бюджет. Иногда, правда, бывает трудно отличить общественные товары от частных. Так, например, высшее образование имеет черты общественного товара, так как студенты потребляют его услуги коллективно и поровну, но оно же имеет и черты частного товара, так как не отвечает принципу неисключаемости из потребления. Поэтому система высшего образования может развиваться на сочетании рыночной и государственной основ.
Три указанные выше функции — это максимум того, что может делать государство в условиях свободного рынка, и одновременно минимум того, что оно делает в реальной рыночной экономике.
Государственное вмешательство в экономику связано с ограниченностью самого рыночного механизма. Обычно в учебниках «Экономикс» выделяют три глобальные функции государства: обеспечение эффективности, справедливости и стабильности.
Эффективность. Государство призвано создать такой экономический «фон», используя различные экономические инструменты, который обеспечил бы эффективное функционирование производства. В частности, большое значение имеет антимонопольная деятельность государства, обеспечение максимально благоприятных условий для действия рыночного механизма, активизации конкуренции. Современное государство оказалось «встроенным» в рыночную систему хозяйствования. Поддержание действия конкуренции — его важнейшая функция.
Справедливость. Рынок признает лишь один критерий распределения доходов: итог участия в конкуренции на рынке товаров и услуг, капиталов и рабочей силы. Поэтому справедливыми будут считаться как высокие доходы тех, кто преуспел в конкуренции, так и низкие тех, кто потерпел неудачу. Чисто рыночное распределение вовсе не гарантирует получение прожиточного минимума. Понадобилось определенное время, чтобы общество осознало и признало, что распределение доходов, справедливое с точки зрения рынка, несправедливо в общечеловеческом плане. В конце концов, государство взяло на себя функцию перераспределения доходов через налоги, а также поддержание нетрудоспособных, престарелых и т.п.
Кроме того, рыночная экономика не обеспечивает полной занятости населения, в ней неизбежна вынужденная безработица (естественной считается безработица до 6%), поэтому регулирование рынка рабочей силы, материальное обеспечение безработных — это тоже функция государства в рыночной экономике. Государство к тому же должно позаботиться о занятых, гарантировать минимальный уровень их потребления через минимальную зарплату.
Стабильность. Государство вовлекается в макроэкономическую функцию поддержания экономической стабильности, сглаживания цикличности развития экономики. Проводит оно и антиинфляционную политику.
Помимо этих глобальных задач, государство берет на себя обеспечение правовой основы и социального климата, способствующих эффективному функционированию рыночной экономики; компенсацию негативных сторон рынка; поддержку малого и среднего бизнеса; проведение фискальной политики — изъятие части дохода хозяйствующих субъектов с целью формирования государственного бюджета; обеспечение развития фундаментальных научных исследований; стимулирует развитие таких направлений НТП, которые требуют вложения очень больших средств, длительных сроков окупаемости и связаны с большим риском. Это же касается развития новых отраслей с неясными перспективами. Государство также берет на себя решение региональных проблем.
Итак, государственное регулирование дополняет, корректирует чисто рыночный механизм. Как образно пишет П.Самуэльсон, управлять экономикой в отсутствие того или другого — равно, что пытаться аплодировать одной рукой. Однако, говоря о государственном вмешательстве в экономику, мы должны поставить вопрос о допустимых пределах этого вмешательства. Это исключительно важно. Если государство, пусть даже руководствуясь исключительно благими намерениями, переступает этот предел, то происходит деформация самого рыночного механизма. В этом случае рано или поздно приходится говорить о разгосударствлении экономики. Правда, надо отметить, что в экономической теории существуют разные точки зрения по поводу допустимых границ вмешательства государства. Ответ на этот вопрос будет различным в зависимости от того, кто отвечает: кейнсианцы или сторонники неоклассических теорий. Но в любом случае надо иметь в виду, что экономическими регуляторами следует пользоваться осторожно, не ослабляя рыночные стимулы, среди них нет ни одного идеального, который, давая положительный результат в одной сфере, не давал бы негативного эффекта в другой (подобно лечению человека лекарствами).
Итак, попробуем классифицировать основные направления государственного регулирования экономики (схема 13.1.1).
Государственное регулирование осуществляется через:
1) правовые регуляторы, большое значение здесь имеет правовая основа предпринимательства;
2) административные регуляторы, которые следует употреблять очень осторожно;
3) экономические регуляторы — основные.
Особое место занимает экономическое программирование, или индикативное (рекомендательное) планирование, т.е. процесс ориентации государством развития общественного производства посредством регулярного и комплексного воздействия на его структуру в соответствии с предусмотренным вариантом социально-экономического развития и хозяйственной стратегии. Опыт программирования экономики имеют многие страны. Возникло оно сразу после второй мировой войны во Франции, Нидерландах, Норвегии, Японии.
Позже программирование применялось также в Швеции, Финляндии, Великобритании и других странах. При программировании осуществляется ранжирование приоритетов, между которыми, как правило, существует противоречие (например, между установкой на полную занятость и на отсутствие инфляции), и увязка выбранных целей с системой регуляторов.

Помимо участия государства в экономике в качестве регулирующей силы, оно действует и в качестве самостоятельного хозяйствующего субъекта — это так называемый государственный сектор. Его доля различна для разных стран: традиционно минимальна для США (удельный вес государственной продукции в национальном доходе в середине 80-х годов - 1-2%) и значительна в странах Западной Европы (удельный вес госсектора в ВВП Австрии - 26%, Франции - 20%, Швеции - 14%, Италии - 12%). В США 10-12% предприятий строятся государством, около 6% остаются в его собственности, а остальные передаются частным компаниям для эксплуатации. Принципиальная разница в положении госсектора США и Западной Европы объясняется размахом деятельности и силой крупных фирм.
Важнейшие причины исторического роста государственного сектора в экономике: войны и национальная оборона, инфраструктурное обеспечение макродинамических процессов, рост народонаселения, урбанизация, проблемы охраны окружающей среды.
После второй мировой войны в Западной Европе частный сектор не охватил все сферы деятельности, чем и вызвано появление значительного государственного сектора. Так, в Германии в настоящее время государству принадлежит около 1/4 национального имущества, как правило, в капиталоемких отраслях.

В мировой экономической науке понятие госсектора связано не столько с самой государственной собственностью, сколько со всей совокупностью форм участия государства в производстве, распределении, обмене и потреблении (схема 3.1.2). В таком понимании этот сектор выступает в качестве основы, опираясь на которую государство может выполнять свои функции.
Например, бюджет нужен ему для перераспределения доходов, финансирования выпуска «общественных товаров» и т.д. В сфере распределения удельный вес государства очень велик. В производстве вмешательство государства должно быть минимальным, в обмене — практически равно нулю.
Государственный сектор в более традиционном для нас понимании — это прежде всего совокупность государственных предприятий. Большой проблемой является эффективное функционирование этого сектора, так как здесь возникают хорошо знакомые из советской экономики тенденции к снижению эффективности, качества и т.п., что связано с гораздо меньшим давлением на эти предприятия рыночных сил, с одной стороны, и поддержкой государства — с другой. Поэтому проблема поиска оптимальных пределов огосударствления собственности, а также проблема разгосударствления далеко не национальная проблема, а общемировая (так, в 70-80-е годы во многих западных странах прокатилась «волна» разгосударствления).
В последние 30-40 лет возникло новое явление: формирование смешанных государственно-частных предприятий и корпораций. Часто государство не является собственником производства, но осуществляет жесткий контроль. Этот сектор получил название «третьего», т.е. не частного и не государственного.
Итак, в заключение еще раз подчеркнем, что государственное регулирование осуществляется по принципу: «Конкуренция — везде, где возможно, регулирование — везде, где необходимо!». При этом регулирование осуществляется на трех уровнях: микро-(предприятие, корпорация), мезо- (средний уровень, в основном отрасль) и макроуровне (общегосударственный). Причем прямое регулирование в минимальной степени распространяется на микроуровень, а в максимальной — на макроуровень.1


Основные признаке единого географического рынка


Схемы развития и размещения производительных сил регионов включают обоснование хозяйственной специализации каждого региона, структуры и пропорций его хозяйства, включая развитие инфраструктуры, внутрирайонное размещение производства. Они содержат: оценку экономико-географического положения (население и трудовые ресурсы, производственные фонды, природные ресурсы); прогноз ресурсного потенциала;
концепцию экономического и социального развития; определение основных направлений комплексного развития экономики района, совершенствование внутрирайонных пропорций;
совершенствование системы городского и сельского расселения с учетом изменения в развитии и размещении производства и территориальной организации хозяйства; систему мероприятий по охране окружающей среды.
В региональных схемах особое внимание уделяется комплексности развития, т.е. взаимодействию развития различных отраслей на территории, увязке развития всего производства с трудовыми ресурсами, ресурсами земли, воды, с инфраструктурой, комплексному использованию природных ресурсов. В каждом регионе должно быть обеспечено соответствие числа рабочих мест и численности трудоспособного населения, необходимое развитие производственной и социальной инфраструктуры.
Наиболее эффективно производство развивается в форме территориально-производственных комплексов (ТПК). Под ТПК понимается совокупность экономически и технологически взаимосвязанных предприятий независимо от их подчиненности, находящихся на ограниченной территории и использующих ее ресурсы и общую инфраструктуру. В наибольшей мере сейчас уделяется внимание развитию Саянского, Канско-Ачинского, Южно-Якутского и других районов.
Целевые программы территориального развития являются одной из традиционных форм государственного регулирования. Программа регионального развития включает экономические, научно-технические и организационные мероприятия, обеспечивающие решение определенных территориальных проблем: вовлечение в хозяйственный оборот природных богатств на вновь осваиваемых территориях и охрану окружающей среды на освоенных территориях; решение крупных экономических проблем на какой-либо территории в целях выравнивания уровня ее развития с другими районами страны и т.д.
Реализуя данную программу, государство осуществляет селективную поддержку регионов, направленную на ускорение развития в них приоритетных отраслей, стимулирование предпринимательской деятельности, экспортного потенциала и развитие экономики России в целом. Федеральные региональные программы разрабатываются по определенному кругу регионов, имеющих особо важное геополитическое значение для всей России, и призваны решать такие задачи общефедерального уровня, которые не под силу одному региону и расположенным в нем предприятиям. Программы, имеющие федеральное значение, финансируются не только из федерального бюджета, но также и из местных бюджетов, через банковские кредиты, иностранные инвестиции, средства предприятий, организаций, предпринимательских структур.
По данным Министерства экономики РФ, за счет средств федерального бюджета на основе ранее принятых программ проводятся мероприятия в регионах (их 21), подвергшихся атмосферным влияниям после катастрофы на Чернобыльской АЭС. Осуществляются федеральные государственные программы развития экономики и культуры малочисленных народов Севера, социально-экономического развития Курильских островов. В 1993 г. начата реализация федеральных региональных программ «Великий Водораздел» (социально-культурного развития Тверской области), «Возрождение, строительство, реконструкция и реставрация исторически малых и средних городов России». Подготавливаются и рассматриваются экономические обоснования для разработки федеральных программ экономического и социального развития кузбасского топливно-промышленного комплекса Калининградской области, программы развития Ингушской Республики.
Размещение хозяйства и населения, производственной и социальной инфраструктуры на сравнительно небольших территориях конкретизирует районная планировка, в которой учитываются архитектурно-строительные и инженерно-технические факторы, даются детальные физико-географические и инженерные характеристики района. Проекты районной планировки базируются на принятых схемах развития и размещения производства. В них большое внимание уделяется выбору конкретных площадок для строительства. Для организации работ по районным планировкам большое значение имеют схемы расселения, предусматривающие рациональные размещения населения, ограничение роста крупнейших городов, развитие малых и средних городов, перспективных сельских населенных пунктов. В районных планировках детально рассматриваются вопросы создания объектов производственной инфраструктуры — линий электропередач, коммунального транспорта, связи, а также культурно-бытовых объектов, учреждений здравоохранения, просвещения и т.д.
Некоторые регионы требуют расширения экономических полномочий, в том числе в вопросах приватизации, использования ресурсов, проведения реформ; увеличения части оставляемого на данной территории дохода, налоговых, таможенных и внешнеэкономических льгот, льготных кредитов; расширения бюджетных дотаций и субсидий;
усиления мер государственного протекционизма; равных прав всех субъектов России;
сохранения экономических преимуществ для республик в составе России.
Есть регионы, которые перечисляют в федеральный бюджет до 60—65% доходов и покрывают 85—95% своих расходов средствами федерального бюджета. Из 89 регионов 41 получает из федерального бюджета 40% расходуемых ими средств, причем на 22 региона приходится более 60% выделяемых дотаций.
Бездотационные регионы (их менее 20) — это области, края и республики, образующие «узкий пояс», который охватывает Сибирь, Урал и центр России, а также два автономных округа, где в основном добывается нефть. На Тюменскую область и г. Москву приходится около 20% поступлений в федеральный бюджет.
Весьма различны также потенциальные запасы и степень обеспеченности регионов природными, минерально-сырьевыми, топливно-энергетическими ресурсами; уровни развития отраслей специализации, производственных связей. Все это требует регулирования   пропорций   из   центра   с   учетом   конкретных   особенностей воспроизводственного процесса каждого региона.
Указом Президента РФ от 3 июня 1996 г. № 803 утверждены «Основные положения региональной политики в Российской Федерации». Одним из главных условий реализации задач региональной политики признано обеспечение единства экономического пространства страны, которое определяется общностью государственного руководства, денежной, налоговой, бюджетно-финансовой систем. При этом должно углубляться территориальное разделение труда на основе государственного воздействия на регионы прежде всего методами прогнозирования и программирования, привлечения инвестиций, регулирования цен в сфере энергетики и транспорта в целях выравнивания условий хозяйствования в различных регионах.
Главной проблемой является стимулирование экономического развития регионов на основе максимального использования местных конкретных условий и потенциала региональных рынков. В России эффективного национального рынка не может быть без развитых региональных рынков.
Согласно принятому в 1995 г. Федеральному закону «О конкуренции и ограничении монополистической деятельности на товарных рынках» региональный рынок — это сфера обращения товаров на части территории России, определяемой экономической возможностью покупателя приобретать товар на соответствующей территории или отсутствием этой возможности за ее пределами.
Географические границы товарного рынка создаются экономическими, технологическими, административными барьерами, ограничивающими возможности участия потребителей в приобретении данного товара на рассматриваемой территории. Территория рынка определяется по принципу признания покупателями равной доступности товаров, продаваемых в различных регионах. Основными признаками единого географического рынка являются:
- возможность перемещения спроса между территориями ввиду доступности транспортных средств для перемещения покупателя к продавцу, незначительных (в пределах 5% от цены товара) транспортных расходов на это перемещение;
- возможность  перемещения товара между территориями  ввиду  малых дополнительных издержек (в пределах 5% от цены товара) на транспортировку от продавца к покупателю, сохранности качества товара в процессе транспортировки;
- отсутствие на данной территории административных ограничений на ввоз или вывоз товара;
- сопоставимый уровень цен на соответствующие товары внутри границ этого рынка.
Государство создает предпосылки для формирования региональных рынков:
разграничение собственности по уровням управления, определение статуса федеральных и региональных природных ресурсов, разграничение функций между центром и регионами в сфере финансов, налогообложения, внешних связей и т.д.
Региональные рынки формируются под воздействием реализуемых федеральных целевых программ, для финансирования которых используются бюджетные средства, а также другие формы поддержки регионов. Так, Указом Президента РФ от 15 июня 1996 г. № 911 для поддержки модели реформирования экономики региона Кузбасса в 1997—2000 гг. вновь созданным на территории Кемеровской области предприятиям разрешено предоставлять инвестиционный налоговый кредит по всем видам налогов, которые вносятся в федеральный бюджет.
После распада СССР 35 субъектов Российской Федерации стали приграничными регионами, а вместе с прибрежными — 43. Такие изменения обусловили необходимость более полного учета интересов регионов при осуществлении внешнеэкономических связей России. Государство содействует вхождению регионов в международное сотрудничество, поддерживает их внешнеэкономическую деятельность, способствующую развитию и улучшению условий жизни населения. При огромных расстояниях между регионами России торговля с соседними странами позволяет резко сократить транспортные издержки. Экономическое взаимодействие регионов с зарубежными партнерами позволяет им также ускорять решение своих проблем, минуя центр.
Регулирующая роль государства в отношении региональных рынков проявляется по многим другим направлениям. Так, за счет получения дотаций из бюджета поддерживаются
на соответствующем уровне цены. Важное значение придается борьбе с монополизмом на региональных рынках.
Законом не допускается доминирующее, исключительное положение хозяйствующего субъекта или нескольких хозяйствующих субъектов на рынке, дающее возможность оказывать решающее влияние на общие условия обращения товара или затруднять доступ на рынок другим хозяйствующим субъектам. Доминирующим признается положение хозяйствующего субъекта, доля которого на рынке товара составляет 65% и более. Антимонопольный орган может признать доминирующим положение хозяйствующего субъекта, доля которого на рынке составляет менее 65%, исходя из соответствующих критериев, характеризующих товарный рынок. Не может быть признано доминирующим положение хозяйствующего субъекта, доля которого на рынке товара не превышает 35%.
Региональные рынки особого рода формируются в границах свободных экономических зон.1
В условиях рынка необходимо быть уверенным в развитии событий, хотя бы в какой-то степени. Эта потребность реализуется в системе страхования — особого вида экономических отношений. Эта система включает в себя образование специального фонда средств и его использование для преодоления и возмещения для разного рода потерь, ущерба. Происходит это путем выплаты страхового возмещения и страховых сумм. Государство, регулирующее рынок, стимулирует создание и развитие устойчивых страховых компаний, что повышает надежность, и, следовательно, привлекательность экономики.
Функции государства многоплановые и в проведении экономической политики правительство должно учитывать все последствия принимаемых мер и заботиться, в частности, о защите прав граждан, об их социальной защите. Этим вопросом занимается система социального страхования, которая представляет собой систему материального обеспечения в случае временной потери нетрудоспособности, старости, инвалидности, а также система здравоохранительных мероприятий. Государство участвует в этом процессе как непосредственно — через государственное социальное страхование, так и опосредованно — через создание нормативной базы для негосударственного социального страхования и контроль заработай системы.


Основные средства и задачи их учета


Основные средства и задачи их учета Причины, по которым однотипные предприятия имеют разное экономическое развитие, заключаются во взаимодействии элементов основных средств и нематериальных активов, образующих основу функционирования предприятия. Именно основные средства создают возможности для реализации потенциала развития предприятия, заложенного во взаимодействии различных элементов в направлении их интеграции. С другой стороны, нематериальные активы образуют потенциал рыночной позиции предприятия. С этих точек зрения рассматриваются основные средства и нематериальные активы в бухгалтерском учете.
Производственно-хозяйственная деятельность предприятий обеспечивается не только за счет использования материальных, трудовых и финансовых ресурсов, но и за счет основных фондов — средств труда и материальных условий процесса труда.
Средства труда — это станки, рабочие машины, передаточные устройства, инструмент и т.п., а материальные условия процесса труда — это производственные здания, транспортные средства и др.
Отличительной особенностью основных средств является их многократное использование в процессе производства, сохранение первоначального внешнего вида (формы) в течение длительного периода. Под воздействием производственного процесса и внешней среды они снашиваются постепенно и переносят свою первоначальную стоимость на затраты производства в течение нормативного срока их службы путем начисления износа (амортизации) по установленным нормам.
К основным средствам относятся предметы, срок службы которых более года, а стоимость — не менее 50-кратного установленного Законом размера минимальной месячной оплаты труда на дату приобретения за единицу.
К основным средствам не относятся и учитываются в составе малоценных и быстроизнашивающихся предметов (МБП) средства труда с эксплуатацией менее одного года независимо от их стоимости; средства труда стоимостью на дату приобретения не более 50-кратного установленного Законом размера минимального месячной оплаты труда за единицу независимо от срока их службы, за исключением сельскохозяйственных машин и орудий, строительно-механизированного инструмента, а также рабочего и продуктивного скота, которые относятся к основным средствам независимо от стоимости; специальные инструменты и специальные приспособления независимо от их стоимости; специальная одежда, специальная обувь и постельные принадлежности независимо от их стоимости и срока службы.
Основные средства играют огромную роль в процессе труда, так как они в своей совокупности образуют производственно-техническую базу и определяют производственную мощь предприятия.
На протяжении длительного периода использования основные средства поступают на предприятие и передаются в эксплуатацию; изнашиваются в результате эксплуатации; подвергаются ремонту, при помощи которого восстанавливаются их физические качества;перемещаются внутри предприятия; выбывают с предприятия вследствие ветхости или
нецелесообразности дальнейшего использования. Одним из показателей эффективного применения основных фондов является увеличение времени их работы за счет сокращения простоев, повышения коэффициента сменности, роста производительности труда на базе внедрения новых техники и технологий, повышения фондоотдачи, т.е. увеличения выпуска продукции, объема выполняемых работ и услуг на каждый рубль основных фондов.
Предприятия имеют право владения, пользования и распоряжения основными средствами: безвозмездно передавать или продавать другим предприятиям; обменивать, сдавать в аренду, предоставлять бесплатно во временное пользование либо взаймы принадлежащие ему здания, сооружения, оборудование, транспортные средства, инвентарь; списывать с баланса, если они изношены или морально устарели, независимо от того, полностью ли они амортизированы или нет.
Основными задачами бухгалтерского учета основных средств являются:
- контроль за сохранностью и наличием основных средств по местам их использования; правильное документальное оформление и своевременное отражение в учете их поступления, выбытия и перемещения;
- контроль за рациональным расходованием средств на реконструкцию и модернизацию основных средств;
- исчисление доли стоимости основных средств в связи с использованием и износом для включения в затраты предприятия;
- контроль за эффективностью использования рабочих машин, оборудования, производственных площадей, транспортных средств и других основных средств;
- точное определение результатов от списания, выбытия объектов основных средств. Эти задачи решают с помощью надлежащей документации и обеспечения правильной
организации учета наличия и движения основных средств, расчетов по их амортизации и
учета затрат по их ремонту.
Классификация и оценка основных средств Основные средства предприятия разнообразны по составу и назначению. Чтобы вести их учет, необходима классификация их по видам, назначению или характеру участия в процессе производства; отраслям народного хозяйства; степени использования и по принадлежности.
Типовая классификация основных средств по их видам установлена органами госстатистики. В соответствии с этой классификацией основные средства по их видам подразделяются на:
I.   Здания.
II. Сооружения.
Ш. Передаточные устройства.
IV. Машины и оборудование, в том числе:
а) силовые машины и оборудование; б) рабочие машины и оборудование; в) измерительные и регулирующие приборы, устройства и лабораторное оборудование г) вычислительная техника; д) прочие машины и оборудование.
V.  Инвентарь и принадлежности. VIII. Транспортные средства. VI Инструмент. VII. Производственный Хозяйственный инвентарь.
IX. Рабочий и продуктивный скот.
X.  Многолетние насаждения.
XI. Капитальные затрать! по улучшению земель (без сооружений).
XII. Прочие основные фонды.
По классификационным видам ведется учет основных средств и составляется отчетность о наличии и движении основных средств.
В зависимости от назначения в производственно-хозяйственной деятельности основные средства подразделяются на производственные и непроизводственные.
К основным средствам производственного назначения относятся: машины, станки, аппараты, инструменты, а также здания основных и вспомогательных цехов, отделов и служб, предназначенные для производственного процесса, или здания складов, резервуары, транспортные средства, используемые для перемещения и хранения предметов и продуктов труда. Основные средства непроизводственного назначения непосредственно не участвуют в процессе производства, но их используют для культурно-бытовых нужд работников предприятия (основные средства жилищно-коммунального хозяйства, поликлиник, медицинских пунктов, клубов, стадионов, детских садов и т.п.).
Для обеспечения учета основных средств по отраслям национального хозяйства предусмотрена классификация, т.е. деление их на следующие группы: промышленность, сельское хозяйство, лесное хозяйство, транспорт, связь, строительство, торговля и общественное питание, материально-техническое снабжение и сбыт, информационно-вычислительное обслуживание, жилищно-коммунальное хозяйство, здравоохранение, физическая культура и социальное обеспечение, народное образование, культура и др.
По степени использования в производственно-хозяйственной деятельности основные средства подразделяют на основные средства, находящиеся в запасе, в эксплуатации, на консервации, в аренде. Это необходимо потому, что начисление амортизации происходит внутри групп различно. Так, по основным фондам, находящимся в запасе, амортизация начисляется в части полного восстановления; по основным средствам в эксплуатации начисляется не только амортизация на полное восстановление, но и при необходимости создается ремонтный фонд; по основным фондам, находящимся на консервации (по решению правительства), амортизация вообще не начисляется.
По принадлежности основные средства подразделяются на собственные и арендованные. Собственные основные средства предприятия числятся у него на балансе, а арендованные принадлежат другому предприятию, эксплуатируются временно за определенную плату, учитываются за балансом без начисления на данном предприятии амортизации (износа).
Необходимое условие правильного учета основных средств — единый принцип их оценки. Различают три оценки основных средств: первоначальную, восстановительную и остаточную. Первоначальная стоимость (балансовая) складывается в момент вступления объекта в эксплуатацию на данном предприятии. По первоначальной стоимости объект учитывается в течение периода нахождения на предприятии.
В зависимости от источника поступления основных средств под их первоначальной стоимостью понимается:
- стоимость внесенных учредителями основных средств в счет их вклада в уставный фонд предприятия — по договоренности сторон;
- стоимость изготовленных на самом предприятии, а также приобретенных за плату у других предприятий и лиц основных средств — в сумме фактических затрат, включая расходы по доставке, монтажу и установке;
- стоимость полученных безвозмездно объектов основных средств, а также в качестве субсидий (помощи) в сумме, определенной экспертным путем или по данным документов приемки-передачи.
Основные средства в процессе использования изнашиваются, ветшают, отчего их первоначальная стоимость уменьшается. Денежное выражение потери объектами своих физических и технико-экономических качеств называется износом основных средств. Износ основных средств отражается в балансе отдельной статьей.
Первоначальная стоимость за вычетом суммы износа называется остаточной стоимостью основных средств. Оценка одинаковых объектов основных средств, введенных в эксплуатацию в разное время, может быть различной. Это зависит от времени, места и способа сооружения и приобретения основных средств, поэтому и возникает необходимость в определении восстановительной стоимости основных средств.
Под восстановительной стоимостью основных средств понимается стоимость воспроизводства основных средств, т.е. приобретения или строительства инвентарных объектов исходя из действующих цен на момент переоценки.
Принципы оценки основных средств одинаковы для всех предприятий независимо от форм собственности. Однако первоначальная стоимость основных средств может быть изменена при переоценке основных средств, достройки, дооборудования, реконструкции и частичной ликвидации соответствующих объектов.1
В рамках деятельности предприятия учет основных средств и нематериальных активов раскрывает наиболее оптимальные связи в их структуре. Анализ этих связей позволяет выявить интеграционный элемент, организующий своим воздействием другие элементы структуры производства. Здесь учет выступает как фиксация условий и расположения этих элементов в рыночной среде. Остановимся подробнее на учете основных средств на базе взаимосвязей элементов предприятия.


Основы методологии и методы  регулирования экономики


Основы методологии и. методы  регулирования экономики Предметом дисциплины «Государственное регулирование экономики» является изучение совокупности методов воздействия на экономику, обеспечивающих ее устойчивое развитие при формировании рыночных отношений, в интересах общества.
Под экономикой в данном случае понимается общественный уклад страны со своей моделью собственности, управления, организации и распределения, со своим рынком как формой связи между субъектами производственно-экономических отношений.
Устойчивое развитие экономики предполагает реализацию комплекса мер, направленных на рост национального дохода, сохранение жизни и здоровья человека, решение демографических проблем, уменьшение дифференциации в доходах населения, искоренение бедности.
Осуществляемые в стране реформы ведут к изменению характера участия государства в хозяйственной деятельности, сокращению доли государственной собственности, созданию экономических условий, обеспечивающих высокую деловую активность, повышающих роль граждан и организаций в принятии хозяйственных решений. Всякая крупная акция требует тщательной подготовки и осмысления. Здесь не может быть безальтернативных вариантов. Государственное регулирование экономики ставит своей целью создание такой хозяйственной системы, которая ориентируется на выбор наиболее эффективных вариантов использования имеющихся факторов производства.
Ориентиры, которыми руководствуется государство в процессе регулирования экономики, включают показатели, характеризующие уровень экономического развития и качества жизни: продолжительность жизни человека, доход (валовой внутренний продукт) на душу населения, уровень занятости, степень реализации прав человека, уровень знаний, состояние окружающей среды.
Государственное регулирование охватывает все стороны общественного воспроизводства. Но первостепенное внимание уделяется регулированию отношений собственности и предпринимательства, инвестиций и структурной перестройки отраслей материального производства, социального развития и рынка труда, финансового рынка и денежного обращения, территориальных пропорций и региональных рынков, природопользования, внешнеэкономической деятельности. Все эти вопросы составляют основу содержания дисциплины. При этом вначале, в силу сложившихся особых условий реформирования, решаются острые экономические и социальные проблемы, в том числе структурные преобразования, технологическое обновление, преодоление кризисных явлений.
Государство применяет различные регуляторы для воздействия на процесс расширенного воспроизводства. При этом формы и методы государственного
регулирования всецело зависят от конкретной экономической обстановки, характера и масштабов решаемых задач. Страны, развивающиеся в острой экономической ситуации, нуждаются в более сильном государственном руководстве и участии, применении прямых административных методов, чем развитые страны, имеющие стабильное положение. При этом во всех случаях необходимое государственное планирование экономики не может опуститься ниже определенного предела, за которым становится невозможным -воспроизводство.
Государственное регулирование стало постоянным функционирующим механизмом в национальном и международном масштабах. Системы свободного рынка и директивной экономики изжили себя, что убедительно доказали великая депрессия 30-х гг. в США и распад экономики СССР в начале 90-х гг. На смену им пришла система экономического управления, сочетающая рыночные и государственные методы регулирования.
Однако в России в процессе реформирования основной упор был сделан на разрушение прежней государственной системы управления и смену формы собственности. В короткие сроки государственная форма собственности и государственный механизм управления (бюрократический централизм) обернулись в свои противоположности, т.е. в преобладание частной собственности и стихию незрелого рынка. В результате этой метаморфозы в экономике произошли нежелательные изменения (табл. 16.4.1). Объем производства катастрофически сократился.
Таблица 16.4Л
Основные показатели социально-экономического развития России в 1991-1996 гг.1 (в ценах соответствующих лет)
Показатель
1991 г.
1992г.
1993 г.
1994 г.
1995г.
1996 г.
Валовой внутренний продукт в фактических
ценах (в трлн. руб.)
1,4
19
171,5
611
1631
2256
ВВП (в % к предш. году)
95
85,5
91,3
87
96
94
Промышленное производство (в % к предш. году)




88,3
79,1
97
95
В том числе потребительских товаров
99,2
85
89
74
88
92
Валовая продукция сельского хозяйства (в % к предш. году)


91
96
88
92
93
Инвестиции за счет всех источников
финансирования (в % к предш. году)
85
60
88
76
87
82
Розничные продажи (в % к предш. году)
97
97
102
100,1
93
103
Экспорт (в млрд. руб.)
50,9
42,4
44,2
50,1
65,2
88,3
Импорт (в млрд. руб.)
Z5114
37,0
32,8 ]
l——iL°
40,5
61,1
Доходы на душу населения (в тыс. руб./мес.)
0,446
4,0
45,2
206,3
785,1
934,3
Расходы на душу населения
(в тыс. руб./мес.)
0,420
3,5
41,0
197,1
605,0
852,5
Прожиточный минимум (в тыс. руб.)
-
1,9
20,6
86,6
264,4
371

Показатель
1991 г.
1992 г.
1993 г.
1994г.
1995 г.
1996 г.
Доля граждан, имеющих доходы ниже прожиточного минимума (в %)


33,5
31,5
22,4
24,7
22
Индекс потребительских цен, декабрь к декабрю
260
2610
841
320
230
122
Рост денежной массы (Мз), декабрь к декабрю (в%)


742
516
285
221
130
Скорость обращения М^, (раз)
-
2,7
4,7
6,8
7
7,3
Дефицит консолидированного
бюджета в % к ВВП (по методике МФ) (по методике МВФ)
10,4
5,3 11,1
10,3
5,3
10,4
7,7
2,9
3,8
3,5 7,7

По насыщенности рынка товарами можно было бы сделать вывод об успешном проведении реформ. В действительности именно потребительскому рынку реформа нанесла наиболее сильный удар. Потребление продовольствия в 1995 г. к уровню 1990 г. снизилось до 48%, причем 50% продовольствия было импортным.1
В смешанной экономике, представляющей совокупность структур экономического производства, при котором частная система управляется рыночным механизмом, а общественные институты и правительства, опираясь на рыночный механизм, воздействуют на экономику посредством директив и налоговой политики, само по себе государство играет роль организатора проведения мероприятий, корректирующих и стабилизирующих текущие процессы в экономике, но не оказывает значительного влияния.
Рыночная экономика привносит режим конкуренции. Конкуренция и рынок потребителя являются ключевыми условиями экономического прогресса. Изменение же форм собственности имеет смысл тогда, когда устраняется монопольное положение производителя. Сама смена собственности никак не влияет на эффективность, а доходность может снизиться, так как надо платить еще и собственнику. Частная собственность имеет преимущества в мелком производстве, основанном на личном трудовом участии. Применительно к крупным предприятиям большим стимулом становится не частная . собственность, а приватизация управления.
При реформировании широко использовались теории и советы западных экспертов, которые, возможно, и грамотные специалисты, но далеки от российской действительности. Известно, что даже положительный опыт полезен только в конкретных условиях. Сделанный с помощью западных советников выбор модели оказался неспособным обеспечить современный уровень организации и управления производством. Чистый продукт, который прежде направлялся на нужды всех граждан страны, теперь в большой степени присваивается владельцами капитала. Следовало рыночные отношения постепенно вмонтировать в планирование, а не ликвидировать его; дать больше самостоятельности хозяйствующим субъектам, а не проводить дележ общенародной собственности.
Задачей государственного регулирования поэтому является объединение в едином механизме преимуществ обеих систем. Это тем более актуально, что в стране осуществлен лишь первый, самый простейший этап перехода к рынку — либерализация экономики. Второй этап — финансовая стабилизация — затягивается, а начало последнего третьего этапа — повышение эффективности, стимулирование производства и инвестиций, освоение модели интенсивного экономического роста — пока не поддается прогнозированию.
Государству отводится ведущая роль в создании экономических стимулов, заинтересованности граждан и юридических лиц в развитии производственных отношений; гарантий безопасности в политической, социальной, экологической, оборонной и других сферах; ' разработке программных и прогнозных документов, стратегии действий долгосрочного и краткосрочного характера с ориентированием на соответствующие приоритеты; введении необходимых ограничений хозяйственной деятельности и контроля за их соблюдением. От государства требуется обеспечение развития инфраструктурных отраслей экономики, подавление негативных проявлений рыночного механизма, осуществление заботы о подрастающем поколении, поддерживание образования и культуры общества, субсидирование экологических организаций. Кроме того, если не поставить под государственный контроль крупные монополии, то они повышением цен сведут платежеспособный спрос до критического уровня.


Особенности антиинфляционной политики России в середине 90-х годов XX в.


Особенности антиинфляционной политики России в середине 90-х годов XX в. Хозяйственный механизм государственного социализма в России, отягощенный непомерными военными расходами, не приводил к тесной увязке производства с запросами конечного потребителя. В результате производство вело к хроническим дефицитам, разбуханию промежуточного продукта, углублению деформаций межотраслевой структуры, формированию замкнутых хозяйственных технологических циклов, оторванных от динамики спроса потребительского рынка. Исчерпание возможностей реформирования государственного социализма потребовало использовать механизм саморегулирования пропорций, свойственный рынку. В идеале к этому механизму следовало бы перейти, предварительно подготовив материальные предпосылки. К ним следует отнести формирование:
- основ рыночной инфраструктуры;
- конкурентной среды, для чего необходим был предшествующий этап разгосударствления и активной антимонопольной политики;
- резервных фондов, без которых, как известно, рыночная экономика не может действовать эффективно.
Переход к рынку должен был бы происходить на базе реформирования хозяйственного права, охраняющего интересы частных собственников. Но сложность ситуации заключалась в том, что неэффективное хозяйство государственного социализма развивалось гораздо быстрее, чем осознавались необходимые направления перехода к рынку. Разрушение СЭВа и СССР усугубило ситуацию, привело к разрыву традиционных хозяйственных связей, что обернулось резким падением производства. В этих условиях дефицит стал не просто хроническим и тотальным, но и принял угрожающий характер. Началось бегство населения и предприятий от денег и переход к натуральному обмену, бартеру, использованию дополнительных форм обмена, что еще больше ограничило хозяйственные связи. Экономика оказалась в состоянии, которое можно назвать «у последней черты». Время для постепенных реформ было упущено.
Теперь необходимы были пожарные меры, способные вернуть товары на полки магазинов и возвратить рублю функцию всеобщего платежного средства. Как известно, это было сделано с помощью освобождения цен, превратившего подавленную инфляцию в открытую.
После этого формирование основ здорового рынка должно было происходить в условиях открытого роста цен. Поскольку подтягивание доходов населения отставало от темпов инфляции, ценой реформ стало снижение жизненного уровня населения. Положение осложнилось чрезмерным ростом цен, переходящим допустимый рубеж. Открытая инфляция перерастала в гиперинфляцию. Рост цен в 1993 г. составил 900-1400% в годовом исчислении или 20-25% в месяц.
О гиперинфляции свидетельствует затухание инвестиционной деятельности в России и устремление свободного капитала исключительно в спекулятивный бизнес. Гиперинфляция не увеличивает предложение товаров и поэтому отодвигает выход из экономического кризиса. Итак, пока задействовать очищающие силы рыночной саморегуляции не удалось. Они могут развернуться на фоне подавления инфляции, перевода ее на путь инфляции регулируемой при одновременном подтягивании рыночной инфраструктуры и укреплении конкурентной среды.
Сложность борьбы с гиперинфляцией усугубили новые деформации хозяйственного механизма. Среди них:
- образовавшийся с ростом цен дефицит наличных денег, так называемый кризис наличности;
- повышенный спрос на рынке безналичных денег и формирование кризиса неплатежей предприятий,
Сглаживание новых деформаций до сих пор приводило к подхлестыванию инфляционных процессов. И это закономерно, если увеличение массы наличных денег у населения на 10% вызывает рост потребительских цен в среднем на 7%. Кризис неплатежей в 1992 г. временно затих благодаря кредитам ЦБР. Однако, как показала жизнь, подобный рычаг стабилизации хозяйственных процессов лишь сглаживает остроту проблемы, но кардинально ее не решает. Ведь эти кредиты поддерживают не самое эффективное производство, а наоборот, то, которое не смогло приспособиться к новым условиям. Поэтому этот рычаг не ускоряет процесс формирования эффективной производственной структуры, а консервирует стабильность неэффективных производителей и тем самым продлевает агонию отживших хозяйственных структур.
В этих условиях образуется замкнутый круг: рост кредитных вливаний не увеличивает адекватно массу отечественных товаров, что вызывает еще больший рост цен. Это, в свою очередь, рождает дополнительный спрос на деньги, отсюда удорожание кредита. Последний на фоне товарного дефицита становится инфляционным фактором. Цены растут, что увеличивает издержки предприятий и их задолженность друг другу. Возникает новый кризис неплатежей и жажда предприятий в дополнительных кредитных вливаниях. Создавшееся положение углубило жесткость в проведении финансово-кредитной политики, связанной с уменьшением дотаций и субсидий из государственного бюджета и с перекрытием источников так называемой кредитной инфляции со стороны Центрального банка России.
Безусловно, натиск на гиперинфляцию оборачивается углублением спада производства. К 1995 г. производительность труда в российской промышленности составляет лишь чуть больше половины уровня 1990 г., а по целому ряду отраслей — заметно меньше половины.
Первое полугодие 1994 г. дало давно ожидаемый ценовой фон — замедление инфляционных процессов. К середине лета месячные темпы инфляции составили 6%. По многим видам продукции обрабатывающих отраслей дальнейший рост цен натолкнулся на спросовые ограничения, что указывает на процесс выравнивания экономической структуры, на процесс закладки основ общего экономического равновесия. Это существенный заслон для процессов нарастания инфляции.
Итак, первой ласточкой грядущего эффективного развития явилось создание ситуации, обусловившей необходимость для предприятий приспосабливаться к спросу и даже прибегать к перепрофилированию. Это и первый шаг, ведущий к превращению рынка продавца в рынок покупателя. Спросовые ограничения делают невозможным увеличение доходности предприятий за счет роста цен. Выживаемость их во время спада обусловлена теперь только мобилизацией внутренних ресурсов и поисками новых путей экономического роста.
Другим сдерживающим фактором инфляционной волны стало изменение соотношения внутренних и мировых цен. Когда внутренние цены были значительно ниже мировых, производители имели возможность повышать цены на свою продукцию. Покупателю приходилось ее оплачивать, так как зарубежный товар-аналог был значительно дороже. Следует иметь в виду, что в этих условиях повышение цен на ресурсы порождало в стране инфляцию издержек и вело к массовому психозу адаптивных инфляционных ожиданий. На современном этапе приближение внутренних цен к мировым является фактором, тормозящим рост внутренних цен, мощным заслоном для гиперинфляции.
Наступление на инфляцию выявило два блока хозяйственного механизма реформ, нуждающихся в совершенствовании:
- оптимизация процесса давления на инфляцию;
- приведение антиинфляционной политики в соответствие с реальным валютным курсом рубля.
Развертывание инфляционных процессов укрепляло монетаристское мышление, связывающее оздоровление экономики с быстрыми дефляционными преобразованиями. Но оборотной стороной такой политики становится углубление спада и рост безработицы. Учитывая, что в течение 73 лет советской власти не действовал механизм выбытия убыточного производства, масштабы последнего стали чрезмерными. В этих условиях перегиб в политике денежного сжатия может привести к экономическому коллапсу, к остановке отечественного производства. Уход со сцены неэффективного производства не может осуществиться мгновенно и только монетарными методами. По-видимому, этот процесс должен быть растянут не на один год, что, естественно, ограничивает возможности антиинфляционной политики.
Ориентация антиинфляционной политики на регулирование внутреннего рынка в отрыве от процессов, уравновешивающих курс различных валют, обернулась для России в октябре 1994 г. трагическим событием — резким обесцениванием рубля. Завышенный курс рубля спровоцировал банки обменять на доллары рублевые кредиты, которые они получили от Министерства финансов для размещения среди предприятий и областей, нуждающихся в субсидиях. Кредиты необходимо было выплатить в ближайшие 2-3 недели. Банки же на полученную валюту пустились в спекулятивные операции, играя на повышение. Обмен рублевой массы банками на доллары и спекулятивный спрос на валюту со стороны банков обусловили резкое повышение курса доллара и обесценение национальной валюты. Поскольку наша экономика постепенно делается открытой, резко поднялись цены на импортные товары, что повлияло и на внутренние цены. Все это, безусловно, подняло уровень инфляции.
Повышение цен, как уже наблюдалось и при первоначальном освобождении цен, оборачивается увеличением спроса на деньги. Тем не менее эксперты утверждают, что деньги, подкачанные в хозяйство, могут и не спровоцировать угрожающую инфляционную волну — сказались спросовые ограничения и выравнивание внутренних цен с мировыми. Возможно, часть этих денежных средств станет накапливаться и формировать резерв свободного капитала. Если бы это произошло, то, в свою очередь, появилась бы тенденция, удешевляющая кредит, и было бы положено начало формированию в стране благополучного инвестиционного климата.
Следует предположить, что спекулятивный капитал, который накопил значительные средства, должен стремиться проникнуть во властные структуры. Политическая власть всегда определяется собственностью. Поэтому стратегические интересы капитала, в том числе и спекулятивного, состоят в инвестициях в производство. Весьма вероятно, что при формировании благоприятного инвестиционного климата найдутся желающие им воспользоваться.
Однако еще сохраняется определенный инфляционный импульс, связанный с продолжающейся гиперинфляцией, которая пока не подавлена. Речь идет о подъеме уровня цен на энергоносители, платные услуги, жилье и т.д. События, связанные с военными действиями в Чечне, оказали негативное воздействие на динамику товарных цен, так как инфляционное давление дефицита государственного бюджета возросло, что уменьшило возможность достигнуть весомого эффекта от задействованных антиинфляционных рычагов.1


Особенности безработицы в условиях реформирования экономики России


Особенности безработицы в условиях реформирования экономики России Сегодня Россия переживает спад производства. Объемы производства сократились в результате структурных изменений. Казалось бы, спад производства должен сопровождаться ростом зарегистрированной безработицы и адекватным перераспределением рабочей силы по отраслям.
Однако ожидаемые процессы не происходят. Предприятия, находящиеся в кризисных условиях, пытаются лавировать и сохранить свой коллектив. Практикуется система длительных административных отпусков и использование частичной занятости (работа в течение неполного рабочего времени). Фактически сформировалась скрытая безработица. Масштабы ее возрастают по мере свертывания производства.
Следует иметь в виду, что квалифицированные работники с таких предприятий уходят, что ведет к снижению квалификационного уровня производственных коллективов. В связи с этим курс реформ встает перед проблемой цены, которую общество за них платит. А она говорит о себе сразу же, ибо первые шаги перехода к рынку значительно снизили уровень потребления населения. Продвижение в направлении реформ ставит и другую проблему сопоставления: во что обходится поддержка неэффективных рабочих мест и сколько стоит открытая безработица по сравнению с финансированием содержания безработных, их переобучения и содействия в трудоустройстве.1
Теории экономического равновесия и экономического роста
Макроэкономическое равновесие является центральной проблемой общественного воспроизводства. Это ключевая категория экономической теории и экономической политики, характеризующая сбалансированность и пропорциональность экономических процессов: производства и потребления, предложения и спроса, производственных затрат и результатов, материально-вещественных и финансовых потоков. Равновесие отражает тот выбор, который устраивает всех в обществе. Различают идеальное и реальное равновесие.
Идеальное (теоретически желаемое) равновесие достигается в экономическом поведении индивидов при полной оптимальной реализации их интересов во всех структурных элементах, секторах, сферах национального хозяйства.
Достижение такого равновесия предполагает соблюдение следующих условий воспроизводства:
- все индивиды должны найти на рынке предметы потребления;
- все предприниматели должны найти на рынке факторы производства;
- весь продукт прошлого года должен быть реализован. Идеальное равновесие исходит из предпосылок совершенной конкуренции и отсутствия экстерналий — побочных эффектов.
В реальной экономике наблюдаются различные нарушения этих требований. Прежде всего, опыт показывает, что не существует таких явлений, как совершенная конкуренция и «чистый рынок». Велика роль положительных и отрицательных побочных эффектов предпринимательской деятельности. Циклические и структурные кризисы, инфляция выводят экономику из состояния сбалансированности. Вместе с тем, даже в условиях этих диспропорций экономическую систему можно привести в динамическое равновесие, которое будет отражать рыночные реалии со всеми их противоречиями.
Реальное макроэкономическое равновесие — это равновесие, устанавливающееся в экономической системе в условиях несовершенной конкуренции и при внешних факторах воздействия на рынок.
Экономисты различают частичное и общее равновесие.
Частичным называется равновесие на отдельно взятом рынке товаров, услуг, факторов производства.
Общее равновесие есть одновременное равновесие на всех рынках, равновесие экономической системы в целом, или макроэкономическое равновесие.
Несовпадение реального равновесия с идеальным, или теоретически желаемым, не умаляет важности теоретического анализа закономерностей общественного воспроизводства и выработки абстрактных схем и моделей макроэкономического равновесия. Эти модели помогают понять экономический механизм, выявить факторы отклонения реальных процессов от идеальных, сформировать оптимальную экономическую политику. К настоящему времени в экономической теории имеется большой набор моделей макроэкономического равновесия, характеризующих особенности подходов к данной проблеме в различные исторические периоды.
Каждое общество представляет собой взаимосвязь хозяйственных единиц. Их поведение однотипно: они приспосабливаются к платежеспособному спросу и в то же время стремятся обеспечить себе постоянный и устойчивый доход. Предприятия связаны между собой поставками, денежными отношениями. В этих условиях возможности увеличения производства в одной хозяйственной единице должны корреспондировать с таким же процессом в смежных производствах, в транспортном обеспечении. А если учесть, что производство какого-либо конечного продукта предполагает взаимосвязь от 200 до 500 предприятий, можно представить, каков общий масштаб взаимоувязок хозяйственных . единиц. Эти пропорции в условиях рынка очень подвижны, тем более что каждая производственная единица обладает известной автономностью.
Если при сохранении этой подвижности в условиях действия рыночных механизмов обеспечивается стабильное развитие всей экономической системы, мы говорим о сбалансированном, равновесном росте экономики. Равновесный, сбалансированный рост достижим при различных комбинациях ресурсов. Результат получается разный, поэтому сбалансированности можно достигнуть при разной эффективности производства.
Сбалансированный рост и эффективный рост — не тождественные понятия, хотя они предполагают друг друга.
Сбалансированность, или равновесие, характеризует состояние экономической системы как единого целостного организма.
Необходимые, устойчивые, повторяющиеся, причинно обусловленные связи между экономическими явлениями, имеющими «очаговое» распространение, регулируются законами локального характера (например, законом замещения факторов производства). Они обычно характеризуют развитие отдельной подсистемы или движение ее внутренних элементов.
Экономические связи переплетаются, поэтому локальные пропорции сводятся к общей пропорциональности. Например, спрос на факторы производства зависит не только от механизма их замещения, но и от спроса на товары, которые производятся с помощью этих факторов; спрос на конечный товар зависит от структуры совокупного спроса. Однако обилую пропорциональность нельзя представить как механическую сумму локальных пропорций. Связанность экономических процессов неизбежно приводит к их соподчинению, корректировке, что формирует новый качественный уровень пропорциональности, вытекающей из единства экономики. Таким образом, пропорциональность системы нельзя рассматривать как явление, оторванное от нее. Субординационная зависимость и переплетение хозяйственных связей неизбежно предполагают взаимную согласованность всей системы общих, частных и единичных пропорций общественного производства, т.е. сбалансированное развитие экономической системы.
Экономические пропорции не осуществляются с аптекарской точностью, ибо в условиях рынка велико влияние случайных процессов. Пропорциональность в народном хозяйстве прокладывает дорогу как тенденция, тем более, что отдельные элементы, звенья экономической системы обладают определенной автономностью. Поэтому согласование экономических процессов всегда относительно. Оно предполагает возможность определенных отклонений, в пределах которых процессы сбалансированности осуществляются на условиях развития самой экономической системы.
Чтобы экономика развивалась сбалансировано, она должна опираться на резервы, которые необходимы для экономического маневра. В этом случае рынок насыщенный, предполагающий некоторый избыток товаров над спросом, создает в стране стабильность хозяйственных связей. Наличие запаса необходимых ресурсов локализует сбои производства, не дает им распространиться на широкую степень связанных между собой разделением труда хозяйственных проблем. Такой вид перепроизводства блокирует возникшую диспропорциональность и, что естественно, укрепляет устойчивость экономической системы.
С другой стороны, при насыщенном рынке возрастает роль хозяйственного договора. В ситуации, когда трудность состоит не в том, чтобы купить товар, а в том, чтобы его продать, нарушение хозяйственного договора означало бы уменьшение возможности продаж, т.е. вело к потере доходов, что лишило бы предприятие конкурентоспособности. Поэтому в условиях насыщенной экономики хозяйственный договор строго соблюдается.
Таким образом, проблемы сбалансированного (равновесного) роста и эффективного роста не всегда решаются одновременно. Но в долгосрочном периоде для общества характерно стремление к равновесию различных блоков экономической структуры при поступательном движении НТП.
Проблемы экономического равновесия системы по-разному стоят в обществах, опирающихся на экстенсивный и интенсивный типы развития.
Экстенсивное развитие в условиях устойчивого спроса обычно существенно не меняет сложившуюся структуру народно-хозяйственных пропорций. Общество в этом случае тиражирует имеющийся способ производства и в принципе может развиваться высокими темпами. Такая ситуация сохраняется до тех пор, пока общество не столкнулось с естественными ограничителями возможностей экстенсивного роста — нехваткой дополнительных ресурсов, особенно естественных. В условиях экстенсивного роста эта преграда, как правило, преодолевается за счет включения в хозяйственный оборот отдельных труднодоступных полезных ископаемых, что удорожает ресурсы. В результате единица стоимости ресурсов дает при переработке все меньший рост конечного продукта. Пропорциональность в экономике меняется при снижении ее эффективности, темпы экономического роста начинают падать.
Экстенсивное развитие на деле показало свои экономические пределы. Общество, оказавшееся перед такой ситуацией, вынуждено переориентироваться на энерго-, материально- и фондосберегающие виды технического прогресса. В этом случае мы наблюдаем, как НТП способствует расшивке узких мест в общей пропорциональности производства и создает условия для достижения равновесия в национальном хозяйстве на новой технической и технологической основе.
Исчерпание источников экстенсивного развития создает у общества острую потребность в поисках возможностей интенсивного роста. Интенсивное развитие усиливает риск предпринимательства, так как происходит переориентация производства на новый качественный уровень: новые средства производства, к которым следует приспособиться, новые требования к рабочей силе и системе управления. Все это предполагает не только новые, более объемные капиталовложения, но и новые хозяйственные решения.
Общество, находящееся на рубеже перехода к интенсивному воспроизводству, а также при переходе к новому его качественному уровню, обычно не в состоянии на первых порах обеспечить мощный прирост общественного продукта, ибо экономика находится в условиях перестройки. Темпы экономического развития в таком случае снижаются. Это не означает, что общество не развивается. Если в нем происходят одновременно и структурные перестройки, оно не лишается при этом своего динамизма. Просто последний не улавливается в таком показателе эффективного роста, как темпы экономического роста.
Итак, динамизм экономического развития выражается:
1) в темпах экономического роста;
2) в прогрессивных структурных перестройках, в становлении хозяйственной пропорциональности.
О чем говорят нулевые темпы роста? Они не всегда сопровождаются стагнацией общества. Если в это время общество переходит на рельсы прогрессивных форм технического и технологического развития, оно находится на стадии становления нового витка экономического равновесия. В этот период оно не в состоянии осуществлять одновременно экономическую перестройку и наращивать производство. Увеличения темпов можно ожидать в последующий период.
По-видимому, каждый этап поступательного движения имеет свои пределы темпов роста. Темпы роста не должны претендовать на то, чтобы стать единственным критерием эффективного роста. Именно такой подход к проблеме экономического роста был характерен для советских программ периода 30-70-х годов, китайской политики больших скачков в 60-е годы. Разновидностью такого подхода можно считать недавнюю программу ускорения экономического и технического развития народного хозяйства СССР середины 80-х годов.
Динамизм экономических процессов, усиливающийся НТП вносят существенные новации в механизм экономического роста. Ускоряется процесс насыщения возникающих потребностей, усиливается мобильность структурных перестроек национального хозяйства. За более короткий срок морально устаревают экономические пропорции и одновременно сокращаются сроки формирования нового уровня экономического равновесия. Эффективно развивающаяся экономика не та, которая лишена диспропорций, а та, которая мобильно перестраивается на их ликвидацию, обеспечивая себе условия для дальнейшего сбалансированного роста.
Итак, способность экономики динамично перестраиваться, переходя на более высокий уровень сбалансирования с наименьшими потерями ресурсов и продукции, — одно из главных проявлений эффективного развития общества. Неизбежность потерь при такой перестройке требует от общества защитных мер от их возможного роста. Среди них следует особо отметить образование специальных хозяйственных резервов сверх страхового фонда, так называемого фонда стабилизации, предназначенного для экономического маневра как средства для ликвидации непредвиденных диспропорций.1
Определение пространственно-временных условий внутреннего взаимодействия между реальным соотношением совокупных величин потребления, инвестирования и дохода и научным описанием данного явления основными макроэкономическими школами в рамках экономической теории является основой понимания содержания практического и теоретического представления данного явления. Кроме того, это — средство адекватизации теоретических представлений основных экономических школ практике пространственно-временных закономерностей реального рыночного пространства.


Особенности экономического развития стран Древнего Востока


Особенности экономического развития стран Древнего Востока Первые государства на Земле, первые очаги цивилизации сложились в строго определенных местах, в странах с жарким климатом, в долинах рек с плодородными наносными почвами: в долине Нила (за 3000 лет до н.э.), затем в долинах Тигра и Евфрата, в долине Ганга, в лессовых долинах китайских рек. Эти государства и принято называть государствами Древнего Востока.
Очаги будущей европейской цивилизации, античные государства, возникли позже. Если всю историю человечества от рождения первых государств до наших дней разделить на две равные по времени части, то ясно, что вся первая половина истории это только история стран Древнего Востока. Античная цивилизация возникла лишь на рубеже между этими двумя отрезками.
Почему древневосточная цивилизация появилась так рано? Потому что жаркий климат в сочетании с плодородными наносными почвами позволял получать от земли значительный прибавочный продукт даже при тогдашнем низком уровне техники земледелия. Например, семья египетского крестьянина получала втрое больше продовольствия, чем было необходимо для удовлетворения ее потребностей. А прибавочный продукт — главное условие рождения цивилизации. Без него не может быть ни ремесленников, ни науки, ни городской жизни, потому что каждый сам должен добывать пищу.
Получить же прибавочный продукт можно было только, создав оросительные системы. Каждая община в одиночку не могла построить и регулировать такую систему. Для этого надо было объединить силы всего населения речной долины. Такое объединение сил было основой рождения государств Древнего Востока.
Особенности этих государств были следующие:
1) рабы не составляли главную производительную силу общества, т.е. производством материальных благ, сельским хозяйством и ремеслом занимались в основном люди, которые считались свободными;
2) земля находилась не в частной, а в государственной или в государственно-общинной собственности;
3) государства на Востоке постепенно приобретали форму «восточной деспотии», т.е. наблюдалось полное бесправие жителей перед лицом государства.
В чем же причины такого положения? Прежде всего, в судьбах общины. В античных странах, а потом и у других европейских народов, общины распадались при рождении государства. Члены общины, которые прежде имели землю в общей собственности и вели общее, общинное хозяйство, делили землю между собой, и каждая семья стала вести свое хозяйство. Общей осталась лишь обязанность защищать эту землю и свой народ с оружием в руках.
На Востоке так получиться не могло: работы по орошению требовали коллективного труда. Поэтому коллективный труд, коллективное ведение хозяйства, а значит и сама община сохранились внутри государства.
Само государство, как было отмечено, возникло из необходимости объединить силы для строительства оросительных систем. Естественно, что эти системы стали государственной собственностью. Но в уровнях орошения земля без воды ценности не представляет. Поэтому и земля становится государственной собственностью.
Поскольку государство объединяло силы людей для строительства оросительных систем, то прежняя общинная трудовая обязанность людей совместно вести общее хозяйство превратилась в государственную трудовую повинность; через общественные работы восточные владыки подчинили себе свободных общинников-земледельцев, те фактически перестали быть свободными. В этих условиях труд рабов, естественно, играл второстепенную роль.
В отличие от обычных рабов, это была даровая рабочая сила: ее не надо было покупать, кормить, одевать. Поэтому труд этих людей можно было расходовать очень расточительно. К тому же, в отличие от обычных рабов, которые находились в собственности отдельных рабовладельцев и использовались в их частных интересах, эта огромная трудовая армия использовалась централизованно, для общественных (государственных) работ большого масштаба. Поэтому в странах Древнего Востока и строились такие циклопические сооружения, как пирамиды, зиккураты, грандиозные храмы.
Дискуссия о сущности этого способа производства, о сущности социально-экономического строя этих государств время от времени возобновляется в отечественной исторической науке. Одни считают, что это особая формация, другие — что это особый вариант рабовладельческой формации, третьи — что это затянувшийся переходный период от первобытнообщинного строя к классовому обществу.
Но для нас важнее другое: основные черты «азиатского способа производства» сохранялись на Востоке очень долго, на протяжении всего периода Европейского феодализма. И феодализм в Азии был особым, «восточным», не соответствующим принятому у нас представлению о феодализме. Там оставалась государственная или государственно-общинная собственность на землю, т.е. крестьяне зависели не от отдельных феодалов, а от государства и государственных чиновников. Территория государства являлась как бы общим поместьем всего правящего класса, а государственные налоги с крестьян были как бы формой феодальной ренты, поскольку за счет этих налогов и существовала правящая верхушка. Вообще говоря, там не было классов, т.е. групп людей, которые различались по отношению к собственности. Вместо них были касты — группы людей, которые различались по положению в государстве и обществе. Сохранялась община, сохранялся восточный деспотизм.
Хозяйство Древнего Египта Экономическое развитие этих стран почти не шло — это принято называть восточной стагнацией. Главной причиной стагнации было то, что интересы личности подавлялись общественными интересами общины, касты, государства. Общинно государственная собственность на землю препятствовала развитию личной предприимчивости. И дело не только в том, что подавлялась предпринимательская инициатива, немыслимая без свободного распоряжения собственностью. Дело еще в том, что общинные порядки по природе консервативны. Община - это законсервированные на века традиции, когда каждое действие предопределено обычаем.
В качестве примера экономики стран Древнего Востока рассмотрим особенности хозяйства лишь одной из этих стран Древнего Египта. Первое, что бросается в глаза при анализе этого хозяйства, — то, что это было государственное централизованное хозяйство. Очевидно, эта особенность была следствием государственной собственности на землю.
Правда, здесь были частные хозяйства отдельных знатных людей, но лишь постольку, поскольку эти люди занимали определенное положение в государстве. Богатство не определяло положение человека в египетском обществе, а определялось положением: человек мог быть лишь постольку богатым, поскольку занимал определенную должность.
Главным занятием населения было земледелие. Сеяли ячмень, пшеницу, лен. Земледелие всецело зависело от орошения. Ирригационная система делила все поля на верхние и нижние. Нижними назывались те, которые затоплялись во время разлива Нила. Для орошения этих полей создавались водохранилища, которые заполнялись водой во время разлива, а в сухое время года вода оттуда самотеком поступала на поля. На верхние поля, куда во время разлива вода не доходила, ее приходилось поднимать при помощи журавлей-шадуфов и водяных колес.
Землю обрабатывали мотыгой и примитивным плугом. Разбросав по полю посевное зерно, пускали затем на пашню скот, чтобы он копытами затоптал зерно в землю. При молотьбе тоже использовали скот: гоняли его по снопам, и он копытами вымолачивал зерно.
Государственным характером хозяйства определялось и положение крестьянина. Он жил своим домом со своей семьей и вел свое хозяйство, но даже быков для обработки земли он получал от государства на время.1
Проблема гармонизации экономики в различных странах сводится к наличию различных критериев проведения экономического исследования или действия. Следует помнить, что различие в этих критериях объясняется теми способами и теми представлениями, которые использовались в конкретной стране в конкретное время. Так, например, жесткая статусная структура общества сохранилась в Европе, начиная со времен феодализма. Поэтому для обеспечения целостности изучения экономических дисциплин следует обратить внимание на исследование классической модели феодальной экономики (Франция) и особенностей феодального хозяйства (Англия, Германия, Россия, Япония).


Особенности раннего и позднего меркантилизма


Особенности раннего и позднего меркантилизма В экономической литературе в развитии меркантилизма различают обычно два этапа — ранний и поздний. Основным критерием такого деления является «обоснование» путей (средств) достижения активного торгового баланса, т.е. положительного сальдо во внешней торговле. Апогей раннего меркантилизма соответствует примерно середине
XVI в., а позднего — охватывает почти целиком XVII столетие. Особенности же этих этапов можно охарактеризовать следующим образом1:
Ранний меркантилизм
Поздний меркантилизм
Уровень внешней торговли
Торговые связи между странами развиты слабо, носят эпизодический характера
Торговля между странами достаточно развита и носит регулярный характер.
Рекомендуемые пути достижения активного торгового баланса
Установление максимально высоких цен на экспорт товаров;
Допускаются относительно низкие цены на экспорт, в том числе при перепродаже товаров других стран за границей;
всемерное ограничение импорта товаров;
допускается импорт товаров (кроме предметов роскоши) при условии положительного сальдо во внешней торговле;
запрет вывоза из страны золота и серебра как денежного богатства.
вывоз денег допускается в целях выгодных торговых сделок и посредничества и сохранения активного торгового баланса.
Позиции в области теории денег
Преобладает номиналистическое восприятие теории денег; правительство, как правило, занимается порчей национальной монеты, снижая ее ценность;
«Революция цен» XVI в. обусловила переход к количественной теории денег (ценность денег обратно пропорциональна их количеству; уровень и вес цен прямо пропорционален количеству денег; рост предложения денег, увеличивая спрос на них, стимулирует торговлю);
устанавливается фиксированное соотношение в обращении золотых и серебряных денег (система биметаллизма);
устанавливается система монометаллизма;
констатация денежной сущности золота и серебра в силу их природных свойств;
констатация товарной сущности денег, но по-прежнему в силу якобы естественных свойств золота и серебра;
в качестве функций денег признаются такие, как мера стоимости, образование сокровищ и мировые деньги.
из числа известных функций денег определяющей признается уже не функция накопления, а функция средства обращения.
Монетаристские позиции
Доминирует идея «денежного баланса».
Господствует положение о «торговом балансе».



Особенности равновесия фирмы


Особенности равновесия фирмы Равновесие на рынке совершенной (чистой) конкуренции. Как было показано выше, равновесие фирмы, ее устойчивое положение в отрасли достигается при равенстве предельного дохода и предельных издержек. При этом следует иметь в виду, что сам предельный доход равен цене товара. Так получается потому, что увеличение предложения товара на предельно малую величину (единицу) дает прирост дохода, и это прибавит к общей выручке цену одного товара. Значит, предельный доход приравнивается к цене товара.
Итак, равновесие фирмы, в условиях которого она выбирает оптимальный выпуск продукции, предполагает следующее равенство: Р=МС-МК, где Р — цена товара; МС — его предельные издержки; MR — его предельный доход.
Равновесие фирмы в условиях монополистического рынка. Здесь положение несколько иное. Прежде всего монополия как лидер в отрасли имеет возможность навязывать цену рынку, в то время как при совершенной конкуренции производитель приспосабливается к ней. Поэтому кривая спроса для монополиста совпадает с ценой. Что же касается кривой предельного дохода, то она располагается, как правило, ниже линии цены.
Так получается потому, что монополист при насыщенном рынке может увеличить производство, только снижая цены. При этом происходит снижение цен не только на добавочную продукцию, поступившую на рынок, но и на весь аналогичный товар продавца. Каждая новая партия снижает цены на весь представленный к продаже товар. Поэтому .предельный доход будет формировать не только цена добавочного товара, которая определяет прирост валового дохода. Последний корректируется на величину убытков от снижения цен всей партии товаров, ранее представленных рынку. Допустим, на рынок было представлено две партии товара по цене 5 долл., а с прибытием третьей партии цены были понижены до 4 долл. В этом случае предельный доход третьей партии (т.е. прирост дохода) будет составлять прирост выручки, уменьшенной на величину убытков от понижения цен на предыдущие, пока не проданные две партии. Предельный доход будет равен 2 долл. (4 долл. + (- 2 долл.)). Он, как мы видим, меньше цены (4 долл.).
Итак, в условиях монополистической конкуренции при насыщенном рынке производителя цена выше предельного дохода Р MR
Что же касается сравнения предельного дохода и предельных издержек, то правило, определяющее оптимальный выпуск продукции и максимальную величину прибыли, остается прежним: МС == MR. Это связано с тем, что монополия, как правило, не является абсолютной, раз и навсегда зафиксировавшей свое исключительно выгодное положение. Монополия боится международной конкуренции, а также того, что покупатели при повышенной цене уменьшат свои покупки, перейдя на потребление товаров-заменителей. Поэтому в условиях монополистической конкуренции предприниматель сохраняет стратегию, характерную для рынка совершенной конкуренции, когда скорость приращения дохода не должна превышать скорости прироста издержек. В этом случае отрасль будет ограждена от наплыва конкурентов.
Однако когда монополия уверена в своей уникальности, что характерно для замкнутой экономики, криминализированного рынка, особенно если речь идет о производстве и продаже товаров неэластичного спроса, ее поведение становится иным.
1. Монополист начинает активно завышать цены, что ущемляет интересы потребителей.
2. Ограждение от конкуренции ведет к изменению критерия эффективности производства. Фирму в этих условиях уже не устраивает равенство предельного дохода и предельных издержек. Она выбирает такой вариант развития, когда скорость наращивания дохода превышает скорость прироста издержек. Итак, MR МС В этих условиях монополия может и при меньших объемах производства максимизировать свой доход. Такая монополия формирует обычно цены более высокие, а объемы более низкие по сравнению с условиями чистой конкуренции. С точки зрения общества, это означает, что ресурсы по отраслям и предприятиям распределяются не самым рациональным образом, так как монополия посредством завышенной цены собирает дань с остальных производителей, лишая их части дохода.
Сужение масштабов предложения означает, что запросы потребителей удовлетворяются не в полной мере, а это приводит к расхождению между фактически произведенным совокупным продуктом общества и потенциальными возможностями общества.
Примерно такая же картина раскрывается при анализе действия монополии на дефицитном рынке в условиях, когда повышенный спрос нельзя за короткий срок покрыть приростом предложения.1

Издержки производства в условиях дефицитного рынка Надо иметь в виду, что в развитой рыночной экономике исходной является рыночная цена. Под нее предприниматель выбирает различные технологии с тем, чтобы средние издержки были, ниже этой цены. Далее определяются объемы производства, которые обеспечивают наибольший доход. В нашей командно-административной экономике объемы производства директивно спускались предприятию, поэтому его аналитические службы не ставили себе задачу определить наиболее эффективные объемы производства, т.е. не производили расчет эффективного использования ресурсов, который необходим для развитого рынка. Поэтому проблема выбора наилучших решений применения альтернативных ресурсов не могла стоять перед предприятием. В результате наша экономика по сравнению с рыночной давала устойчивый перерасход ресурсов на единицу продукции.
В современных условиях управление народным хозяйством отошло от директивного планирования, хотя роль государственного заказа еще очень велика, так как для многих предприятий государство осталось единственным покупателем. Это в большей степени касается предприятий военно-промышленного комплекса. Они всегда работали в условиях государственного обеспечения наилучшими ресурсами, когда выпуск продукции осуществлялся при весьма эластичном лимите ресурсов. Это формировало нерыночный тип управления, уводящий хозяйственные решения от поисков наиболее рационального использования ресурсов, что утяжеляет издержки производства.
Многие предприятия, потеряв государственные дотации, не выдерживают требований рынка. Их издержки столь высоки, что не позволяют им получить доход, достаточный для развития при сложившейся равновесной цене. Сегодня ожидается вступление в действие механизма банкротства, сопровождающего рыночную экономику. Сложность ситуации заключается в обильной массе неэффективных предприятий. Их мгновенное исчезновение означало бы глубокий спад производства, который парализовал бы страну на долгие годы. Поэтому приходится искусственно затягивать этот процесс. Выход из создавшегося положения связан с двумя направлениями: 1) внедрением новой техники и технологии, способствующей снижению издержек; 2) перепрофилированием производства на выпуск товаров, отвечающих требованиям спроса.
Оба направления требуют средств, новой организации труда, поисков новой стратегии. Выход на решение этих задач сложен, но не идти по этому пути нельзя. У нас нет выбора.1
Экономическая теория структурирует всю сферу экономики, разбивая ее на части — отрасли, объединяющие схожие виды деятельности. Это необходимо для применения научного инструментария эмпирических данных, что позволяет получить знания о той или иной области хозяйственной деятельности. Такие данные, в свою очередь, используются для нахождения зависимости общенациональных макроэкономических процессов от состояния и динамики в конкретных секторах. Особое внимание уделяется отраслям, создающим продукты питания и обеспечивающим промышленность сырьем, так как это является базой для развития других отраслей, определения форм участия страны в международном разделении труда. В этом аспекте целесообразно рассмотреть экономику сельскохозяйственных и природных ресурсов.


Отделения иностранных юридических лиц


В связи с этим в Инструкцию Росналогслужбы от 16 июня 1995 г. № 34 «О налогообложении прибыли и доходов иностранных юридических лиц» введен раздел о налоговом учете в отделениях иностранных юридических лиц.
Отделения иностранных юридических лиц на территории Российской Федерации, осуществляющие деятельность через постоянные представительства, ведут регистры бухгалтерского учета, такие, как журналы, главные книги, оборотные ведомости, кассовые книги и другие, как самостоятельные хозяйствующие субъекты.
Прибыль в постоянных представительствах иностранных юридических лиц может определяться либо с использованием метода признания выручки от реализации продукции по отгрузке товаров (выполнению работ, услуг), либо по мере оплаты отгруженных товаров (выполненных работ, оказанных услуг).
Бухгалтерские регистры могут вестись и храниться за границей при условии, что они представляются по первому требованию налоговых органов в приемлемые для них сроки. Эти сроки должны определяться исходя из того, что такие бухгалтерские документы в обязательном порядке имеются в головном офисе, не требуют дополнительной доработки и время необходимо только для получения запроса от отделения и доставки документов из-за границы. Если эти условия не выполняются, налоговые органы могут потребовать от постоянного представительства вести учет и хранить документы в Российской Федерации.
В случае, если иностранное юридическое лицо осуществляет деятельность в нескольких местах на территории Российской Федерации, каждое из которых образует постоянное представительство, бухгалтерские регистры могут вестись в каком-либо одном месте, но раздельно по каждому месту осуществления деятельности. При этом они должны предоставляться по первому требованию налоговых органов, на территории которых осуществляется деятельность в Российской Федерации, и в приемлемые для них сроки.
Для ведения налогового учета иностранными юридическими лицами, осуществляющими деятельность в России через постоянные представительства, были разработаны специальные формы учета доходов и расходов и формы ведомостей.
Учет доходов и расходов должен включать все полученные доходы и все понесенные затраты по операциям постоянного представительства в течение учетного периода, за которое оно несет ответственность как на территории России, так и за границей.
Эти операции включают все товары, наличные средства, другие активы и услуги, предоставляемые головным офисом иностранного юридического лица или другими его обособленными подразделениями постоянному представительству в России, а также товары, наличные средства, другие активы и услуги, предоставляемые этим постоянным представительством головному офису или другим обособленным подразделениям иностранного юридического лица.
Имущество, передаваемое головным офисом постоянному представительству, учитывается последним по стоимости этого имущества у головного офиса на момент передачи с учетом фактически произведенных затрат по его транспортировке, установке, таможенных платежей и других затрат.
В случае необходимости (при проведении проверок, подготовки разъяснений по письмам налогоплательщиков и т.п.) налоговые органы могут запросить описание учетной системы, принятой иностранным юридическим лицом. Сведения об учетной системе включают информацию о порядке начисления амортизации основных средств и нематериальных активов, оценке готовой продукции, производственных запасов и незавершенного производства, принятом бухгалтерском стандарте, плане счетов и их кодах и др.
Ведение счетов должно осуществляться таким способом, чтобы можно было указать, каким образом были заполнены декларации, ведомости, формы, предусмотренные Инструкцией, т.е. должна быть ясная связь между записями в счетах и формах учета.
При проведении контрольной работы (камеральных и документальных проверках) налоговые органы также могут запросить сведения о долгосрочных контрактах, лизинговых и арендных сделках, сделках по расширению имущественных прав, гарантийных обязательствах по продукции и услугам и другие сведения.
Все записи в бухгалтерских регистрах отделений иностранных юридических лиц должны подтверждаться оправдательными документами, в частности контрактами, заключенными при участии отделения, выписками из банковских счетов, счетами-фактурами и т.п. Наличные выплаты как в рублях, так и в иностранной валюте также должны подтверждаться соответствующими первичными документами (ведомости на выдачу заработной платы, расходные ордера, расписки и т.п.).
Формами учета предусмотрена детализация прямых затрат по статьям. При этом особое внимание уделяется правильности учета заработной платы и других выплат персоналу отделения и другим привлекаемым российским и иностранным гражданам.
При постатейном распределении непрямых затрат необходимо иметь заполненный список, показывающий, какие затраты вовлечены в постатейное распределение, и перечень соответствующих статей. Числовые значения непрямых затрат, включенных в постатейное распределение, должны быть подтверждены независимым аудитором, если их невозможно удостоверить иным способом, приемлемым для налоговых органов. Объяснения используемых методов распределения, включая особенности того, как распределяются издержки и доходы между головным офисом и соответствующими отделениями, должны прилагаться к отчету.
Издержки, понесенные головным офисом и распределенные постоянному представительству, дебетуются у представительства на счету издержек с одновременным кредитованием счета головного офиса.
Для определения налоговых обязательств отделения иностранного юридического лица в соответствии с внутренним законодательством России и международными договорами, в том числе для установления обоснованности применения тех или иных налоговых льгот, доходы должны быть специфицированы по каждому виду деятельности отделения. Должна иметься возможность проверить все фактически полученные доходы и понесенные расходы, касающиеся каждого вида деятельности.
Вся учетная документация, включая первичные документы с приложениями, контракты, корреспонденции, бухгалтерские записи и любые другие документы, относящиеся к налоговому учету отделения, должны храниться в течение б лет, т.е. в течение срока, установленного статьей 24 Закона России об основах налоговой системы для бесспорного взыскания недоимок по налогам с юридических лиц.
Если иностранное юридическое лицо не выполняет требований или ранее нарушало требования, установленные Инструкцией, налоговые органы могут обязать его вести учет в полном объеме на территории России. Указанное также применяется к иностранным юридическим лицам-резидентам тех стран, из которых невозможно получить данные учета для проверки. В таких случаях данные учета должны храниться в России и быть подготовлены по запросу.
Для отделений иностранных юридических лиц, деятельность которых не приводит к образованию постоянного представительства, либо в случае, когда налоговый статус (постоянное представительство или нет) отделения иностранного юридического лица не может быть определен заранее, но иностранное юридическое лицо предполагает, что его деятельность в России не будет образовывать постоянного представительства, оно может обратиться в соответствующий налоговый орган для согласования ведения налогового учета по упрощенной форме.
Упрощенная форма предполагает ведение только ведомостей учета прихода и расхода денежных средств.
Порядок исчисления и уплаты в бюджет налога на прибыль. Налог на прибыль иностранного юридического лица исчисляется налоговым органом по месту осуществления деятельности в Российской Федерации.
Расчеты налоговых обязательств отделений иностранных юридических лиц, осуществляющих строительные работы в России, производятся по каждой отдельной строительной площадке. Консолидация отчетности и налоговых обязательств одного и того же иностранного юридического лица по нескольким объектам строительных работ, если деятельность на них будет приводить к возникновению постоянных представительств, не допускается.
Налог на прибыль постоянного представительства иностранного юридического лица, осуществляющего строительно-монтажные работы, уплачивается им ежегодно.
При этом если прибыль по долгосрочным договорам на выполнение подрядных работ признается постоянным представительством по мере выполнения отдельных этапов работы, то уплаченная по итогам соответствующего отчетного года сумма налога является окончательной.
Если прибыль признается постоянным представительством по мере завершения и сдачи всей работы, то сумма уплаченных ежегодных платежей может корректироваться. В случае если по итогам выполнения всей работы фактически уплаченные суммы налога на прибыль превысят окончательные налоговые обязательства постоянного представительства, то суммы переплаченного налога могут возмещаться налоговыми органами в течение месяца после сдачи налоговой декларации или засчитываться в счет предстоящих платежей в бюджет.
Налогообложению подлежит прибыль постоянного представительства, определяемая как разница между выручкой от реализации продукции (работ, услуг) без НДС, . специального налога и акцизов, других доходов, и затратами, непосредственно связанными ; с осуществлением деятельности иностранного юридического лица в России, включая 11


Относительные величины, их значение и основные виды


Относительные величины, их значение и основные виды Изучая экономические явления, статистика не может ограничиваться исчислением только абсолютных величин. В анализе статистической информации важное место занимают производные обобщающие показатели — средние и относительные величины. Остановимся на характеристике относительных величин.
Анализ — это, прежде всего, сравнение, сопоставление статистических данных. В результате сравнения получают качественную оценку экономических явлений, которая выражается в виде относительных величин.
Относительные величины в статистике представляют собой частное от деления двух статистических величин и характеризуют количественное соотношение между ними.
При расчете относительных величин следует иметь в виду, что в числителе всегда находится показатель, отражающий то явление, которое изучается, т.е. сравниваемый показатель, а в знаменателе — показатель, с которым производится сравнение, принимаемый за основание, или базу сравнения. База сравнения выступает в качестве своеобразного измерителя. В зависимости от того, какое числовое значение имеет база сравнения (основание), результат отношения может быть выражен либо в форме числа (коэффициента) или процента, либо в форме промилле или децимилле. Существуют также именованные относительные величины. Например, показатель фондоотдачи в торговле получают делением объема товарооборота на среднегодовую стоимость основных фондов. Этот коэффициент показывает, сколько рублей товарооборота приходится на каждый рубль основных фондов.
Если значение основания или базы сравнения принимается за единицу (приравнивается к единице), то относительная величина (результат сравнения) является коэффициентом и показывает, во сколько раз изучаемая величина больше основания. Расчет относительных величин в виде коэффициента применяется в том случае, если сравниваемая величина существенно больше той, с которой она сравнивается. Если значение основания или базу сравнения принять за 100%, результат вычисления относительной величины будет выражаться также в процентах.
В тех случаях, когда базу сравнения принимают за 1000 (например, при исчислении демографических коэффициентов), результат сравнения выражается в промилле (%о). Относительные величины могут быть выражены и в децимилле, если основание отношения равно 10000 (%оо).
Форма выражения относительных величин зависит от количественного соотношения сравниваемых величин, а также от смыслового содержания полученного результата сравнения. В тех случаях, когда сравниваемый показатель больше основания, относительная величина может быть выражена или коэффициентом, или в процентах. Когда сравниваемый показатель меньше основания, относительную величину лучше выразить в процентах; если же сравнительно малые по числовому значению величины сопоставляются с большими, относительные величины выражаются в промилле. Так, в промилле рассчитываются коэффициенты рождаемости, смертности, естественного и механического прироста населения.
В каждом отдельном случае следует выбирать ту форму выражения относительных величин, которая более наглядна и легче воспринимается. Например, лучше сказать, что объем товарооборота магазина за анализируемый период вырос почти в 2 раза, чем сказать, что объем товарооборота составил 199,5%.
Расчет относительных величин может быть правильным лишь при условии, что показатели, которые сравниваются, являются сопоставимыми. Причины, вызывающие несопоставимость показателей, неодинаковы, например различия в методологии сбора, обработки статистической информации, в длительности периодов времени, за которые исчислены сравниваемые показатели, и др. Во всех этих случаях расчет относительных величин можно выполнять только после приведения изучаемых показателей к сопоставимому виду.
По своему познавательному значению относительные величины подразделяются на следующие виды: выполнение договорных обязательств, структура, динамика, сравнение, координация, интенсивность.
В связи с переходом экономики страны на рыночные отношения в статистической отчетности не будет содержаться плановых показателей. Поэтому в процессе анализа относительные величины выполнения плана рассчитываться не будут. Вместо них исчисляется относительная величина выполнения договорных обязательств — показатель, характеризующий   уровень   выполнения   предприятием   своих   обязательств, предусмотренных в договорах.
Расчет этих показателей производится путем соотношения объема фактически выполненных обязательств (например, объема фактической поставки товара) и объема обязательств, предусмотренных в договоре (объем поставки товаров по договору). Выражаются относительные величины выполнения договорных обязательств в форме коэффициентов или в процентах.

Относительные   величины   структуры   характеризуют   состав   изучаемых совокупностей. Исчисляются они как отношение абсолютной величины каждого из элементов совокупности к абсолютной величине всей совокупности, т.е. как отношение части к целому, и представляют собой удельный вес части в целом. Как правило, относительные величины структуры выражаются в процентах (база сравнения принимается за 100). Показатели структуры могут быть выражены также в долях (база сравнения принимается за 1).
Сравнивая структуру одной и той же совокупности за разные периоды времени, можно проследить структурные изменения, происшедшие во времени.

Пример. Из общей численности населения России, равной на конец 1985 г. 143,8 млн. человек, 104,1 млн. составляли городские жители, 39,7 млн. — сельские. Рассчитав относительные величины структуры, можно определить удельные веса (или доли городских и сельских жителей) в общей численности населения страны, т.е. структуру населения по месту жительства:
городское — (104,1:143,8) • 100 % = 72,4 %;
сельское — (39,7 :148,7) • 100 % = 27,6 %.
Спустя б лет численность населения страны составила 148,7 млн. человек, в том числе:
городских жителей — 109,7 млн., сельских — 39,0 млн. человек. Исходя из этих данных исчисляются показатели структуры населения:
городское — (109,7 :148,7) • 100 % = 73,8 %;
сельское — (39,0:148,7) • 100 % = 26,2 %.
Сравнив состав населения страны в 1985 г. и в 1991 г., можно сделать вывод о том, что происходит увеличение удельного веса городских жителей.
Относительные величины структуры широко используются в анализе коммерческой деятельности торговли и сферы услуг. Они дают возможность изучить состав товарооборота по ассортименту, состав работников предприятия по различным признакам (полу, возрасту, стажу работы), состав издержек обращения и т.д.
Относительные величины динамики характеризуют изменение изучаемого явления во времени, выявляют направление развития, измеряют интенсивность развития. Расчет относительных величин выполняется в виде темпов роста и других показателей динамики.
Пример. Реализация хлопчатобумажных тканей секцией универмага составила в январе 3956 тыс. руб., в феврале — 4200 тыс. руб., в марте — 4700 тыс. руб.
Темпы роста:
базисные (база — уровень реализации в январе)

Кф/я = 4200: 3950 • 100% = 106,3 %;
Км/я= 4700: 3950 • 100 % = 118,9 %;                  цепные
Кф/я=4200: 3950-100% = 106,3%;
Км/ф= 4700: 4200 • 100 % = 111,9 %.
Относительные величины сравнения характеризуют количественное соотношение одноименных показателей, относящихся к различным объектам статистического наблюдения.
Пример. По данным Всесоюзной переписи населения 1989 г., численность населения Москвы составила 8967 тыс., а численность населения Ленинграда (ныне Санкт-Петербурга) — 5020 тыс. человек.
Рассчитаем относительную величину сравнения, приняв за базу сравнения численность жителей Санкт-Петербурга: 8967:5020=1,79. Следовательно, численность населения Москвы в 1,79 раза больше, чем Санкт-Петербурга.
Можно использовать относительные величины сравнения для сопоставления уровня цен на один и тот же товар, реализуемый через государственные магазины и на рынке. В этом случае за базу сравнения, как правило, принимается государственная цена.
Относительные величины координации представляют собой одну из разновидностей показателей сравнения. Они применяются для характеристики соотношения между отдельными частями статистической совокупности и показывают, во сколько раз сравниваемая часть совокупности больше или меньше части, которая принимается за основание или базу сравнения, т.е., по существу, они характеризуют структуру изучаемой совокупности, причем иногда более выразительно, чем относительные величины структуры.
Пример. На начало года численность специалистов с высшим образованием, занятых в ассоциации «Торговый дом», составила 53 человека, а численность специалистов со средним специальным образованием — 106 человек. Приняв за базу сравнения численность специалистов с высшим образованием, рассчитаем относительную величину координации:
106:53=2,0:1,0, т.е. на двух специалистов со средним специальным образованием приходится один специалист с высшим образованием.
Относительные  величины  интенсивности показывают,  насколько  широко распространено изучаемое явление в той или иной среде. Они характеризуют соотношение разноименных, но связанных между собой абсолютных величин.
В отличие от других видов относительных величин относительные величины интенсивности всегда выражаются именованными величинами.
Рассчитываются относительные величины интенсивности делением абсолютной величины изучаемого явления на абсолютную величину, характеризующую объем среды, в которой происходит развитие или распространение явления. Относительная величина показывает, сколько единиц одной совокупности приходится на единицу другой совокупности.
Примером относительных величин интенсивности может служить показатель, характеризующий число магазинов на 10000 человек населения. Он получается делением числа магазинов в регионе на численность населения региона и умножением на 10000.
Эффективность использования статистических показателей во многом зависит от соблюдения ряда требований и прежде всего необходимости учета специфики и условий развития общественных явлений и процессов, а также комплексного применения абсолютных и относительных величин в статистическом исследовании. Это обеспечивает наиболее полное отражение изучаемой действительности.
Одним из условий правильного использования статистических показателей является изучение абсолютных и относительных величин в их единстве. Если это условие не соблюдено, можно прийти к неправильному выводу. Только комплексное применение
абсолютных и относительных величин дает всестороннюю характеристику изучаемого явления.1
Исследование рынка на основе показателей соотношения элементов (относительных величин) не способно полностью удовлетворить требованиям скорости принятия решения, которые предъявляет руководителю (менеджеру) рыночная действительность. Для создания целостного представления о происходящих экономических процессах и тенденции их развития используют средние величины. Они обеспечивают воссоздание общих признаков, которые могут быть задействованы как основания для расчета. При этом даже качественные характеристики иногда рассчитываются на основе знания средних значений требуемых качеств создаваемого результата. Рассмотрим средние величины в рамках статистики.
Средняя величина — величина абстрактная, потому что характеризует значение абстрактной единицы, а значит, отвлекается от структуры совокупности.
Средняя абстрагируется от разнообразия признака у отдельных объектов. Но то, что средняя является абстракцией, не лишает ее научного исследования. Абстракция есть необходимая ступень всякого научного исследования. В средней величине, как и во всякой абстракции, осуществляется диалектическое единство отдельного и общего.
Применение средних должно исходить из диалектического понимания категорий общего и индивидуального, массового и единичного.
Средняя отражает то общее, что складывается в каждом отдельном, единичном объекте. Благодаря этому средняя получает большое значение для выявления закономерностей, присущих массовым общественным явлениям и не заметных в единичных явлениях.
Отклонение индивидуального от общего — проявление процесса развития. В отдельных единичных случаях могут быть заложены элементы нового, передового. В этом случае именно конкретные факты, взятые на фоне средних величин, характеризуют процесс развития. Поэтому в средней и отражается характерный, типичный, реальный уровень изучаемых явлений. Характеристики этих уровней и их изменений во времени и в пространстве являются одной из главных задач средних величин. Так, через средние проявляется, например, закономерность изменения производительности труда рабочих, свойственная предприятиям на определенном этапе экономического развития; изменение благосостояния населения находит свое отражение в средних показателях заработной платы, доходов семьи в целом и по отдельным социальным группам, уровня потребления продуктов, товаров и услуг.
Однако в маркетинговой деятельности нельзя ограничиваться лишь средними цифрами, так как за общими благоприятными средними могут скрываться крупные серьезные недостатки в деятельности отдельных подразделений предприятия, акционерного общества.


Отражена сумма НДС по отгруженной продукции

















Таблица 23.3.1
Методы реализации продукции
№ п/п
Операции
«По оплате»
«По отгрузке»
Дебет
Кредит
Дебет
Кредит
1



2





3



4



5



6



7





8





Отгрузку продукции
по цене реализации (включая НДС)

 Списывается
производственная себестоимость
отгруженной
продукции

Списываются коммерческие
расходы

Отражена сумма НДС по отгруженной продукции

Поступили платежи
за реализованную
продукции

Начислена задолженность бюджету по НДС

Перечислено с
расчетного счета в
погашение
задолженности перед бюджетом

Списывается
финансовый
результат от
реализации
продукции: прибыль убыток
62



46





46



46



51,52



76



68






46 80
46



40





43



76



62



68



51






80 46
62



46





46



46



51,52



-



68






46 80
46



40





43



68



62



-



51






80 46
Далее приведен порядок бухгалтерских записей по реализации продукции при условии, когда договором поставки обусловлен отличный от общего порядка момент перехода права владения, пользования и распоряжения ею и риска ее случайной гибели от организации к покупателю или заказчику.
Порядок бухгалтерских записей по реализации продукции            Таблица 23.3.6

п/п
Операции
Корреспондирующие счета
Дебет
Кредит
1


2

3



4


5

6



7


8


9



10


11


Отгружена продукция по
производственной себестоимости

Списываются коммерческие расходы

Отражен момент перехода права
владения продукцией от поставщика к
покупателю на сумму реализации

Списывается производственная себестоимость

Списываются коммерческие расходы

Отражена сумма НДС, исчисленная по
реализованной продукции при
реализации «по оплате»

Поступили платежи за реализованную
Продукции

Отражена задолженность перед
бюджетом по НДС

Отражена задолженность перед
бюджетом по НДС при реализации
«по отгрузке»

Погашена задолженность перед
бюджетом по НДС

Списывается финансовый результат
от реализации: прибыль, убыток
45


45

62



46


46

46



51,52


76


46



68



46
80
40


43

46



45


43

76



62


68


68



51,52



80
46

На счете 45 «Товары отгруженные» указываются также готовые изделия и товары, переданные другим предприятиям для реализации на комиссионных и иных подобных началах. При отпуске таких изделий и товаров они списываются с кредита счетов 40 «Готовая продукция» и 41 «Товары» в дебет счета 45 «Товары отгруженные». При поступлении извещения от комиссионера о реализации переданных ему изделий и товаров они списываются с кредита счета 45 «Товары отгруженные» в дебет счета 46 «Реализация продукции (работ, услуг)» с одновременным отражением по дебету счета 62 «Расчеты с покупателями и заказчиками» и кредиту счета 46 «Реализация продукции (работ, услуг)».
Стоимость сданных работ и оказанных услуг списывается по фактической или нормативной (плановой) себестоимости с кредита счета 20 «Основное производство» или 37 «Выпуск продукции (работ, услуг)» в дебет счета 46 «Реализация продукции (работ, услуг)» по мере предъявления счетов за выполненные работы и услуги. Одновременно сумму выручки отражают по кредиту счета 46 «Реализация продукции (работ, услуг)» и дебету счета 62 «Расчеты с покупателями и заказчиками».
В последнее время широко применяется предварительная оплата намечаемой к поставке готовой продукции.
При предварительной оплате поставки, оговоренной в договорных условиях, поставщик выписывает счет-фактуру и направляет ее покупателю. После получения этого документа покупатель платежным поручением переводит поставщику сумму платежа за продукцию.
При предоплате сумму поступивших платежей отражают в бухгалтерском учете до момента отгрузки продукции как кредиторскую задолженность и оформляют следующей бухгалтерской записью:
- дебет счета 51 «Расчетный счет»;
- кредит счета 62 «Расчеты с покупателями и заказчиками».
После отгрузки продукции она считается реализованной и списывается в дебет счета 62 с кредита счета 46 «Реализация продукции (работ, услуг)».
Если предварительная оплата выступает в форме авансового платежа и непосредственно не связана с конкретным счетом-фактурой, то поступившие платежи отражают по кредиту счета 64 «Расчеты по авансам полученным».
Покупатель может отказаться от оплаты отгруженной в его адрес продукции, если груз послан ошибочно, с нарушением сроков поставки, низкого качества продукции и по другим причинам. В этом случае в бухгалтерии поставщика составляют обратные записи по отгрузке продукции:
- дебет счета 40 «Готовая продукция»;
- кредит счета 46 «Реализация готовой продукции (работ, услуг)»;
- дебет счета 46 «Реализация продукции (работ, услуг)»;
- кредит счета 62 «Расчеты с покупателями и заказчиками».
Как уже отмечалось, при любом методе учета реализации продукции предприятия уплачивают налог на добавленную стоимость и акцизы.
Объектом налогообложения по НДС являются обороты по реализации товаров, выполненных работ и услуг, и товары, ввозимые на территорию РФ.
Ставка налога на добавленную стоимость взимается в следующих размерах:
10% — по продовольственным товарам (кроме подакцизных) и товарам для детей по перечню, утвержденному Постановлением Правительства РФ;
20% — по остальным товарам (работам, услугам), включая подакцизные продовольственные товары.
Исчисленную сумму НДС по реализованной продукции оформляют следующей бухгалтерской записью:
- дебет счета 46 «Реализация продукции (работ, услуг)»;
- кредит счета 68 «Расчеты с бюджетом», субсчет «Расчеты по налогу на добавленную стоимость».
Объектом обложения акцизами является оборот по реализации подакцизных товаров собственного производства, включая их реализацию государствам — членам СНГ.
Для определения облагаемого оборота принимается стоимость подакцизных товаров, исчисленная исходя из следующих показателей:
- свободных отпускных цен с включением в них суммы акциза;
- регулируемых цен (за вычетом торговых скидок), сниженных на сумму НДС по расчетной ставке 16,67%.
Учет расчетов с бюджетом по акцизам осуществляют на счете 68 «Расчеты с бюджетом», субсчет «Расчеты по акцизам».
На сумму акциза в составе выручки дебетуют счет 46 «Реализация продукции (работ, услуг)» и кредитуют счет 68, субсчет «Расчеты по акцизам». Перечисление акциза отражают по дебету счета 68, субсчет «Расчеты по акцизам», и кредиту счета 51 «Расчетный счет».
Особенности учета при использовании счета 36 «Выполненные этапы по незавершенным работам». Организации, осуществляющие работы долгосрочного характера (строительные, научные, проектные, геологические и др.), могут признавать реализацию работ и услуг (а следовательно, и прибыль):
а) в целом за законченную и сданную заказчику работу;
б) по отдельным этапам выполненной работы.
Первый вариант является традиционным, и учет реализации продукции осуществляется по одному из уже изложенных методов учета реализации продукции, работ, услуг.                                                                        
При втором варианте расчеты осуществляются по законченным этапам или комплексам, имеющим самостоятельное значение, или осуществляется авансирование заказчиком организации до полного окончания работ в размере договорной стоимости. При втором варианте используется счет 36 «Выполненные этапы по незавершенным работам».
По дебету этого счета учитывают стоимость оплаченных заказчиком законченных организацией этапов работ, принятых в установленном порядке и отражаемых по кредиту счета 46. Одновременно затраты по законченным и принятым этапам работ списываются с кредита счета 20 на дебет счета 46. Суммы поступившей оплаты отражают по дебету счетов учета денежных средств с кредита счета 64 «Расчеты по авансам полученным».
По окончании всех этапов работы в целом оплаченную заказчиком стоимость этапов списывают со счета 36 в дебет счета 62 «Расчеты с покупателями и заказчиками». Стоимость полностью законченных работ, учтенную на счете 62, списывают на сумму полученных авансов в дебет счета 64 и на сумму, полученную в окончательный расчет в дебет счетов по учету денежных средств.1


Планирование есть элемент управления


С переходом к рыночным отношениям ситуация изменилась коренным образом. Рыночным отношениям чужда система административного навязывания хозяйствующим субъектам планов их действий, так как они полностью самостоятельны в правовом и экономическом отношениях от органов государственной власти и управления. Хозяйственная деятельность коммерческих организаций регламентируется лишь существующим в стране законодательством и договорными отношениями со своими контрагентами. Поэтому вполне закономерно возникают такие вопросы: совместимо ли планирование с рыночной экономикой? В какой мере оно необходимо для организации деятельности хозяйствующих субъектов и выполнении государством его функций?
Поскольку планирование есть элемент управления, причем занимающий в системе управления центральное место, необходимо обратиться к объективным основам возникновения потребности в управлении. Управление — это свойство, внутренне присущее обществу на любой ступени его развития. Оно имеет всеобщий характер и обусловлено тем решающим обстоятельством, что для производства товаров и оказания услуг, осуществления других видов своей жизнедеятельности люди должны общаться, совместно трудиться, обмениваться продуктами своей деятельности. Труд был и навсегда останется трудом общественным. Для того, чтобы успешно противостоять силам природы, люди с первых же шагов своего существования должны были трудиться сообща, объединяться в коллективы.
Однако трудовой коллектив немыслим без организованности, порядка, разделения труда, определения места каждого работника в коллективе, его функций. Это означает, что разделение труда, установление определенных пропорций между различными элементами производства необходимы в любом обществе. Отсюда следует, что управление совместным трудом есть не что иное, как установление согласованности, координации усилий работников, совместно осуществляющих производство товаров или услуг. Оно обеспечивает необходимый в производственном процессе порядок, регулярность его повторения, а следовательно, и расширенное воспроизводство.
Очевидным становится и ответ на вопрос об объективных основах возникновения потребности в управлении экономикой. Это общественное разделение труда и его кооперация. Однако управление необходимо не только для того, чтобы стал возможным процесс производства. Без управления невозможно протекание социально-экономических и политических процессов, происходящих в обществе, поскольку с его помощью устанавливаются общие правила экономического и социального поведения людей, обеспечивается консенсус между ними. Посредством реализации определенных функций управления решаются и все вопросы, связанные с осуществлением взаимодействия друг с другом различных государств.1
Стратегическое прогнозирование является достаточно сложным процессом в планировании действий предприятия из-за необходимости соотнесения на избранной основе факторов настоящего периода функционирования с вероятностными, прогнозными, которые в целом представляют собой внешнеэкономическую среду предприятия и подлежат измерению, оценке и анализу.
В условиях рыночной экономики возрастает роль такой процедуры стратегического планирования, как прогнозирование. Это связано с двумя обстоятельствами. Во-первых, с тем, что рыночное хозяйство отличается постоянными колебаниями конъюнктуры, которые непосредственно отражаются на доходах и судьбе каждого продавца и покупателя товаров или услуг. Чтобы не допускать крупных, подчас непоправимых ошибок, нужно оценивать возможные альтернативы рыночной динамики, поведения контрагентов и конкурентов на внутреннем и внешнем рынках. Именно поэтому стратегическое прогнозирование становится необходимым элементом формирования рыночной стратегии и тактики на любом уровне хозяйствования — от индивидуального производителя, коммерческих организаций и их ассоциаций, до субъектов федерации и общества в целом. Во-вторых, в рыночном хозяйстве стратегическое прогнозирование выступает как исходный пункт при обосновании проектов долгосрочных программ и планов. Это связано с тем, что многие процессы, охватываемые программами и планами, выступающие в качестве важнейших факторов воспроизводства (природные процессы и зависящие от них колебания продуктивности сельского хозяйства, изменения численности и структуры населения страны и, прежде всего, его экономически активной части, спрос на товары и услуги на внутреннем и внешнем рынках и т.д.), имеют чрезвычайно высокую степень неопределенности. Поэтому можно лишь прогнозировать их динамику и воздействие на социально-экономическое развитие.
В чем же состоит сущность, содержание и функции стратегического прогнозирования? Прогнозирование — это важнейшая процедура стратегического планирования развития национальной экономики в целом, ее отдельных звеньев и структурных элементов. Оно является одной из форм плановой деятельности, состоящей в научном предвидении состояния объекта прогнозирования в определенный момент будущего, основанном либо на анализе тенденций социально-экономического развития объекта за соответствующий (обычно двух-трехкратный) по сравнению с периодом прогноза период в прошлом и экстраполировании этих тенденций (генетический подход), либо на использовании нормативных расчетов (нормативный или целеполагающий подход). Содержанием стратегического прогнозирования является разработка селективных, долгосрочных и среднесрочных прогнозов, касающихся национальной экономики в целом, ее составных подсистем и элементов.
Под стратегическим прогнозом понимаются эмпирическое или научно обоснованное суждение о возможных состояниях объекта прогнозирования в будущем, об альтернативных путях и сроках его осуществления.
Стратегическое прогнозирование выступает в качестве важнейшего связующего звена между теорией и практикой регулирования всех областей жизни общества, предпринимательских структур. Оно выполняет две важнейшие функции. Первая из них — предсказательная. Иногда ее еще называют описательной. Вторая, непосредственно связанная с первой, — предписателъная, или предуказательная, способствующая оформлению прогноза, плана деятельности.
Предсказательная функция состоит в описании возможных или желательных перспектив, состояний объекта прогнозирования в будущем.
Процесс и результаты прогностической деятельности могут использоваться в двух важнейших направлениях: теоретико-познавательном и управленческом. Теоретико-познавательное значение стратегического прогнозирования состоит в изучении и совершенствовании методологии и методики работы по составлению прогнозов, выявлении тенденций, проявившихся в развитии национальной экономики и в системе социальных отношений, факторов, способствующих возникновению и их существованию, возможных изменений этих факторов, а соответственно и самих тенденций. Управленческий аспект стратегического прогнозирования — использование прогнозов экономического и социального развития общества для создания необходимых предпосылок, обеспечивающих повышение научного уровня подготавливаемых управленческих решений.
По масштабу прогнозирования выделяют: а) макроэкономические (развитие национальной экономики в целом) и структурные (межотраслевые и межрегиональные) прогнозы; б) прогнозы развития отдельных комплексов национальной экономики (топливно-энергетического, агропромышленного, инвестиционного, производственной и социальной инфраструктуры, финансово-кредитного и т.д.); в) прогнозы отраслевые и региональные; г) прогнозы деятельности хозяйствующих субъектов и их ассоциаций, а также отдельных производств и продуктов.
По времени и характеру решаемых проблем прогнозы подразделяются на:
а) стратегические и тактические; б) оперативные; в) краткосрочные; г) среднесрочные;
д) долгосрочные и е) дальнесрочные. Стратегические прогнозы имеют своей целью предвидение важнейших характеристик (параметров) формирования управляемых объектов в среднесрочной и далее перспективах. Оперативные предназначены для выявления возможностей по решению конкретных проблем стратегических прогнозов в текущей деятельности и краткосрочных перспективах. Оперативный прогноз имеет период упреждения до одного месяца; краткосрочный — от 1 месяца до 1 года; среднесрочный— от года до пяти лет; долгосрочный — от 5 до 15—20 лет; дальнесрочный — свыше 15—20 лет.
Деление прогнозов в зависимости от характера исследуемых объектов связано с различными аспектами воспроизводственного процесса. По этому признаку выделяют следующие виды прогнозов: развитие экономических, социальных и внутриполитических отношений; социально-экономических предпосылок и последствий НТП; динамики развития национальной экономики (ее темпов, факторов и структуры); воспроизводства населения, состояние рынка труда, подготовки кадров; экономического использования природных ресурсов и состояния природной среды; уровня и качества жизни населения, доходов и цен; развитие финансово-кредитных отношений; воспроизводства основного капитала и объема инвестиций в него; внешнеэкономических связей, международных отношений.
По  функциональному  признаку  (направлениям  прогнозирования)  прогнозы подразделяются на два типа: поисковые и нормативные. Поисковый прогноз основан на условном продолжении в будущее тенденций развития исследуемого объекта в прошлом и настоящем и отвлекается от условий (факторов), способных изменить эти тенденции. Нормативный прогноз в отличие от поискового разрабатывается на базе заранее определенных целей.
Его задача состоит в том, чтобы определить пути и сроки достижения возможных состояний объекта прогнозирования в будущем, принимаемых в качестве целей. В то время как поисковый прогноз при определении будущего состоянии объекта прогнозирования отталкивается от его прошлого и настоящего, нормативный прогноз разрабатывается в обратном порядке: от заданного состояния в будущем к существующим тенденциям и изменениям в свете поставленной цели.


Платежи за пользование кредитами банков


Платежи за пользование кредитами банков (кроме процентов по отсроченным и просроченным ссудам) в пределах учетной ставки Центрального банка РФ, увеличенной на три пункта, подлежат включению в себестоимость продукции (работ, услуг) в зависимости от установленного этим договором порядка и сроков выплаты ссудного процента. Отражение данной операции в бухгалтерском учете производится по дебету счетов 26 «Общехозяйственные расходы», 43 «Коммерческие расходы», 44 «Издержки обращения» и кредиту счета 90 «Краткосрочные кредиты банков».
При формировании данной статьи затрат необходимо учесть следующее.
В соответствии с действующим законодательством банки — это коммерческие учреждения, являющиеся юридическими лицами, которым при наличии лицензии, выдаваемой Центральным банком РФ, предоставлено право привлекать от предприятий и граждан денежные средства и от своего имени размещать их на условиях возвратности, платности и срочности, а также осуществлять иные банковские операции.
Отдельные банковские операции при наличии лицензии Центрального банка РФ могут выполнять учреждения, не являющиеся банками, которые именуются другими кредитными учреждениями.
Предприятия могут также получать денежные средства во временное пользование (займы) от других предприятий и организаций на условиях платности.
Однако, поскольку в себестоимость продукции (работ, услуг) включаются только платежи по кредитам банков, а также затраты на оплату процентов по кредитам поставщиков (производителей работ, услуг) за приобретение товарно-материальных ценностей (проведение работ, оказание услуг), не подлежат включению в издержки производства и обращения расходы- по уплате процентов за пользование заемными средствами, предоставленными другими предприятиями и организациями в виде различных ссуд, займов, временной финансовой помощи.
Включение в себестоимость продукции (работ, услуг) оплату услуг банков по расчетно-кассовому обслуживанию, услуг связи и вычислительных центров, консультационных, информационных и других услуг, оказываемых сторонними предприятиями и организациями и носящих разовый характер, производится, как правило, в момент их оплаты. В случаях, когда, например, консультационные и информационные услуги оказываются в соответствии с заключенными договорами в течение длительного времени (абонементное обслуживание и т.д.), расходы по их оплате включаются в издержки производства и обращения равномерно в течение периода, на который заключен договор, независимо от даты их оплаты.
Плата за аренду в случае аренды отдельных объектов основных производственных фондов включается в себестоимость продукции равными долями в течение срока действия договора аренды.
При этом, если арендодателем является физическое лицо, оно должно быть зарегистрировано в качестве предпринимателя, осуществляющего деятельность без образования юридического лица.
В состав доходов (расходов) от внереализационных операций включаются: доходы, получаемые от долевого участия в деятельности других предприятий, от сдачи имущества в аренду, доходы (дивиденды, проценты) по акциям, облигациям и иным ценным бумагам, принадлежащим предприятию, а также другие доходы (расходы) от операций, непосредственно не связанных с производством продукции (работ, услуг) и ее реализацией, включая суммы, полученные и уплаченные в виде санкций и в возмещение убытков (за исключением сумм экономических санкций, вносимых в доход государственного бюджета, — за нарушения налогового законодательства, дисциплины цен и др.).
Доходы предприятий, полученные в иностранной валюте, подлежат налогообложению по совокупности с выручкой, полученной в рублях. При этом доходы, полученные в иностранной валюте, пересчитываются в рубли по курсу Центрального банка РФ, действовавшему на день получения дохода.
Одна из самых сложных проблем в налоговом законодательстве — это правильное i определение для целей налогообложения доходов и расходов, полученных и произведенных в иностранной валюте, возникающих как при проведении операций в иностранной валюте в пределах РФ, так и при осуществлении деятельности за рубежом и экспортно-импортных операций (включая товарообменные (бартерные) сделки).
В соответствии с действующими правилами выручка от реализации продукции, | товаров, работ и услуг за иностранную валюту определяется по курсу рубля, котируемому ЦБ России на дату совершения операции, которая в зависимости от принятой на предприятии в отчетном периоде учетной политики представляет собой дату отгрузки продукции (выполнения работ, оказания услуг). При этом зачислением денежных средств на валютные счета предприятий считается первичное поступление иностранной валюты на один из видов открытых им валютных счетов, а именно: транзитный валютный счет, текущий валютный счет, валютные счета за рубежом. В случае, когда выручка от реализации поступает на транзитный валютный счет и после обязательной продажи ее части поступает на текущий валютный счет, моментом включения денежных средств в состав доходов от реализации продукции (работ, услуг) считается дата зачисления денежных средств на транзитный валютный счет.
При экспорте продукции (работ, услуг) в условиях, когда выручка от реализации определяется предприятием на момент отгрузки продукции (выполнения работ, оказания услуг), доход исчисляется по курсу рубля к иностранной валюте на дату составления экспортной грузовой таможенной декларации. Аналогично определяется величина дохода от реализации продукции (работ, услуг) при осуществлении товарообменных операций.
Затраты предприятия, произведенные в иностранной валюте, для целей налогообложения определяются по курсу, котируемому ЦБ России на дату совершения операции, которая определяется следующим образом.
При приобретении основных средств, нематериальных активов, товаров и прочих материальных ценностей за иностранную валюту их стоимость для целей налогообложения пересчитывается в рубли по курсу на дату оприходования в бухгалтерском учете, т.е. в день фактического поступления, а при осуществлении импортных операций — на дату составления грузовой таможенной декларации.
Расходы по оплате выполненных работ (оказанных услуг), произведенные в иностранной валюте, пересчитываются в рубли на дату составления актов выполненных работ (оказанных услуг).
Заработная плата, выплачиваемая сотрудникам предприятий в иностранной валюте за выполнение трудовых и приравненных к ним обязанностей по основному месту работы, по совместительству, договорам гражданско-правового характера, по которым работы выполняются более одного месяца, для целей включения в издержки производства и обращения пересчитывается в рубли по курсу на последний календарный день того периода, в котором она начислена.
Затраты, произведенные за счет денежных средств в иностранной валюте, выданных под отчет, определяются в рублях по курсу ЦБ РФ на дату утверждения авансового отчета.
Другие доходы и расходы предприятий, полученные и произведенные в иностранной валюте, возникают вследствие наличия положительных и отрицательных курсовых разниц от переоценки валютных статей баланса, а также от осуществления операций по купле-продаже иностранной валюты.
Доходы и расходы по операциям купли-продажи иностранной валюты, связанные с текущим изменением курса рубля, также подлежат отнесению на финансовые результаты по завершении таких операций.
Налог на прибыль предприятий и организаций уплачивается в бюджет исходя из облагаемой налогом прибыли и установленной ставки налога.
В настоящее время налог на прибыль уплачивается предприятиями и организациями в федеральный бюджет по ставке 13%, в бюджеты субъектов РФ — 22%, для банков и страховщиков, бирж, брокерских, контор, по прибыли от посреднической деятельности — 30%.
При этом к посредническим операциям и сделкам относится деятельность предприятия, выступающего в роли комиссионера или поверенного в договоре комиссии или поручения. В соответствии с действующим законодательством по договору поручения поверенный обязуется совершать от имени и за счет доверителя определенные периодические действия за счет вознаграждения, по договору комиссии комиссионер обязуется по поручению комитента (лица, по поручению которого совершается сделка) совершить одну или несколько сделок от своего имени за счет комитента за вознаграждение.
Для решения наиболее важных задач, решаемых государством в рамках реализации основных направлений экономической политики, действующим законодательством установлена система налоговых льгот, позволяющих существенно снизить сумму налога на прибыль.
При исчислении налога на прибыль облагаемая налогом прибыль при фактически произведенных затратах и расходах за счет прибыли, остающейся в распоряжении предприятия, уменьшается на суммы, направленные на финансирование капитальных вложений по развитию собственной производственной, а также в порядке долевого участия, включая расходы на погашение кредитов банков, выданных на эти цели, и всеми предприятиями на жилищное строительство.
Данная льгота, являясь наиболее существенной налоговой льготой для всех категорий плательщиков, предоставляется при условии полного использования ими сумм начисленного износа на последнюю отчетную дату и не должна уменьшать фактическую сумму налога на прибыль, исчисленную без учета льгот, более чем на 50%.


Платежная матрица


Из платежной матрицы видно, что игрок P1 (предприятие) никогда не получит дохода меньше 6800. Но если погодные условия совпадут с выбранной стратегией, то выручка (выигрыш) предприятия будет составлять 26000 или 28400. Если игрок Р1 будет постоянно применять стратегию А, а игрок Р2 — стратегию D, то выигрыш снизится до 6800. То же самое произойдет, если игрок Р1 будет постоянно применять стратегию В , а игрок Р2 —стратегию С. Отсюда вывод, что наибольший доход предприятие обеспечит себе, если будет попеременно применять то стратегию А, то стратегию В. Такая стратегия называется смешанной, а ее элементы (А и В ) — чистыми стратегиями.
Оптимизация смешанной стратегии позволит игроку Р1 всегда получать среднее значение выигрыша независимо от стратегии игрока Р2. Для иллюстрации этого продолжим начатый пример.
Обозначим частоту применения игроком Р1 стратегии А через х, тогда частота применения им стратегии В будет равна (1 — х).
Если игрок Р1 применяет оптимальную смешанную стратегию, то и при стратегии С (теплая погода), и при стратегии D (холодная погода) игрока Р2 он должен получить одинаковый средний доход:
28400х + 6800(1 - х) = 68OOx + 26000(l - х);
28400x – 6800x – 6800x + 26000x = 26000 - 6800;
408000х== 19200;
Действительно, при стратегии С игрока Р2 средний доход предприятия составит:
28400*8/17+6800*9/17=1/17*(227200+61200)=1/17*288400
16965
при стратегии D игрока Р2 средний доход предприятия составит:
Следовательно, игрок Р1, применяя чистые стратегии А и В в отношении 8:9, будет иметь оптимальную смешанную стратегию, обеспечивающую ему в любом случае средний доход в сумме 16965, т.е. средний платеж, равный 16965 единицам.
Средний платеж, который получается при реализации оптимальной стратегии, называется ценой игры.
В заключение определим, какое количество платьев и костюмов должно выпускать предприятие для максимизации своего дохода:

(600k.+1975пл.)*8/17+(1000к.+625пл.)*9/17=1/17*(13800к.+21425пл.)=812к.+1260пл.
Значит, оптимальная стратегия предприятия означает выпуск 812 костюмов и 1260 платьев; тогда при любой погоде оно получит средний доход в сумме 16965.1
Экономическая деятельность часто бывает сопряжена с необходимостью прогнозирования конкретной ситуации или результатов конкретной деятельности. Математические методы представляют собой тот инструментарий, который позволяет оценить состояние экономической системы и ее элементов в будущий момент времени. Данные методы носят название «стохастических» и находят широкое применение при исследовании экономических отношений.
Экономические отношения, которые складываются между различными экономическими субъектами, могут быть представлены в виде определенной модели, которая описывается совокупностью измеримых параметров. В связи с этим при изучении экономической науки необходимо рассмотреть эконометрические методы исследования экономических отношений, позволяющие моделировать экономическую систему и количественно ее описывать.
Эконометрические модели, как правило, используются в разработках прогнозов генетического (изыскательского) характера путем экстраполяции тенденций рассматриваемых процессов и решений. При этом различают формальную и прогнозную экстраполяцию. Формальная экстраполяция предполагает полную неизменность существовавших в прошлом тенденций, прогнозная — допускает совмещение имеющихся тенденций с некоторыми гипотезами в отношении закономерностей развития процессов, следующих из их логической или физической сущности. В своей основе это совмещение делает возможной корректировку результатов формальной экстраполяции либо параметров уже построенной эконометрической модели исходя из дополнительных сведений, предположений. В целесообразности такой корректировки американский экономист П.Самуэльсон заметил«...я подозреваю, что лучшие прогнозы, не использующие формальных методов, так же хороши или плохи, как и лучшие эконометрические прогнозы. В самом деле, на такие мысли должен наводить тот факт, что почти все эконометрики, за редким исключением, корректируют параметры моделей с помощью неформальных методов, считая, что это улучшает результаты».
Очень часто для таких корректировок применяют экспертные методы, так что в этом случае можно говорить о некоторой системе эконометрического и экспертного прогнозирования. По этому поводу американский экономист М.Уитмен пишет: «Эконометрические модели облегчают обработку громадных массивов информации и оценку различных эконометрических сценариев и альтернативных вариантов экономической политики. Использование эконометрических моделей позволяет опираться на критерии точных дисциплин и получать внутренние согласованные прогнозы. Однако сырые результаты модельных расчетов так же, как и их основополагающие предпосылки, должны быть подвергнуты тщательному экспертному анализу». Как было отмечено ранее, одной из причин, обусловливающих необходимость таких корректировок, является довольно высокая степень недостоверности исходной информации, используемой в специальных разработках.
Вместе с тем существуют и объективные причины «недоверия» прогнозам, полученным на основе формальной экстраполяции. Они связаны с действием закона перехода количества в качество. Дело в том, что прогнозная модель разрабатывается на основе исходных характеристик процессов, имевших место в прошедший период времени. Для этого периода она может достаточно точно отражать взаимосвязи между исследуемыми явлениями, однако в будущем масштабы данных явлений могут измениться, как и характер взаимосвязей, т.е. для прогнозного периода «более подходящей» должна быть другая модель, о которой в принципе нельзя ничего предположить на основе имеющейся информации. Эту другую модель можно получить из экстраполяционной, по существу, лишь путем корректировки последней, проводимой с учетом каких-либо интуитивных догадок, следующих из анализа рассматриваемой проблемы.1


Платежный баланс. Его статьи и их характеристика


Платежный баланс. Его статьи и их характеристика Движение товаров и услуг через национальные границы как бы уравновешивается движением в противоположном направлении финансовых потоков (денежных средств), представляющих собой платежи за товары и услуги. Эти потоки регистрируются и обобщенно отражаются в статьях платежного баланса.
Под платежным балансом понимается статистическая запись всех экономических сделок или обязательств, осуществленных (или срок по которым наступил) в течение определенного отрезка времени (месяц, квартал, год) между резидентами данной страны и резидентами любых других стран мира.
Платежный баланс как средство анализа внешнеэкономического положения страны имеет свою историю. Еще до разработки сложных налоговых систем отдельные государства применяли таможенное налогообложение экспортных и особенно импортных товаров, что требовало их регистрации. «Ростки» платежного баланса появились еще во времена пополнения королевской казны, зависевшей от налоговых поступлений.
В эпоху меркантилизма составление платежного баланса было необходимо в связи с экономической политикой, направленной на расширение экспорта, сдерживание импорта и накопление золотого запаса. Для стран, не обладавших собственными месторождениями золота, это был единственный способ накопить достаточные средства.
Таким образом, с начала своего существования платежный баланс сформировался как метод статистического и информационного учета, ставящий скорее фискальные, чем исследовательские задачи и цели.
В настоящее время платежный баланс всесторонне изучается специалистами в области международных экономических отношений как источник важнейшей информации, раскрывающей особенности участия страны в международном обмене товарами, услугами и капиталами.
Основа платежного баланса — группировка всех видов сделок, результаты которых I связаны с ростом потребностей в товарах и услугах (отток валюты из страны) или с поступлением иностранной валюты (приток ее в страну). Попытаемся определить виды внешнеторговых сделок, приводящих к поступлению в Россию иностранной валюты из других стран.
1. Экспорт товаров. В него включаются все товары, пересекающие таможенную границу России.
2. Экспорт услуг. К нему относятся платежи за фрахт отечественных судов, обслуживание иностранных туристов, дипломатов и бизнесменов, прибывающих в страну.
3. Проценты и дивиденды, выплачиваемые российским владельцам иностранных   1 акций. Это — проценты на закупленные на фондовом рынке акции иностранных компаний, а также доходы, переводимые действующими за границей российскими предприятиями   \ (в форме смешанных обществ).
4. Односторонние переводы и трансферты. Сюда относятся переводы пенсий, помощь иностранных государств и пересылаемая своим родственникам заработная плата эмигрантов, все программы правительственной или частной гуманитарной помощи, предоставляемой России.
Особенность данного вида сделки состоит в том, что она включает все переводы, которые не предусматривают обратного потока ресурсов в обмен на полученные средства.
5. Долгосрочные займы и инвестиции иностранных резидентов в России. Они охватывают займы, предоставляемые иностранными государствами и фирмами России и российским организациям. В сфере частного предпринимательства ими являются покупка   | иностранцами российских производственных предприятий, строений, земли и другой недвижимости. Иногда такие сделки суммируются в виде экспорта капитала.
Сущность сделок заключается в том, что страна продает свою землю или другую недвижимость и как бы осуществляет тот же экспорт, но только особых товаров, за которые   , и получает денежные средства в иностранной валюте.
6. Краткосрочные инвестиции и займы иностранных фирм и организаций, предоставляемые России. Эти сделки аналогичны предшествующим (пункт 5) с той лишь разницей, что они краткосрочны (краткосрочные фирменные или банковские кредиты, предоставляемые иностранными банками и фирмами своим филиалам или российским фирмам). Такими же сделки будут и в том случае, если российская фирма примет решение перевести часть своих банковских активов в Россию.
7. Иностранные резервы. К ним относятся суммы валюты или иных резервов, приобретенных или полученных иностранными государствами у Центрального банка России для создания собственных запасов (резервов).
Каждый из перечисленных видов сделок имеет свою противоположную форму, связанную с оттоком иностранной валюты из России, охватывающую импорт иностранных товаров, переводы пенсий и различных денежных средств, кредиты иностранным государствам и частным фирмам и т.д.
Объединив экспорт и импорт товаров, услуг, проценты и дивиденды, односторонние переводы и трансферты, получаемые и предоставляемые долгосрочные и краткосрочные займы, а также приток и отток государственных резервов, получаем документ, называемый в международной экономической литературе «платежный баланс».
Рассмотренные виды сделок условно можно объединить в три группы: сделки по текущим счетам, к которым относятся прежде всего экспортно-импортные операции  i (пункты 1, 2, 3 и 4); сделки, связанные с движением капитала (пункты 5 и 6); счета официальных резервов (пункт 7).
Первая группа сделок регистрирует операции, связанные с передачей права  ' собственности на товары и услуги, вторая группа — с передачей права собственности на капитал; третья группа регистрирует приобретение официальных резервов в центральном государственном банке страны. Для тех государств, чьи валюты сами являются частью государственных резервов других стран, третья группа отражает приобретение их валют (долларов США, фунтов стерлингов, немецких марок и т.д.) другими государствами.
Принцип двойного счета. В соответствии с принятой практикой платежный баланс составляется по принципу двойного счета. Последний заключается в том, что каждая сделка записывается одновременно на двух счетах: дебетовом, свидетельствующем о поступлении товара или средств на данный счет, и кредитовом, характеризующем предоставление товара или выплату средств с данного счета.
Каждая проводимая операция включает две стороны, например поступление товара и его оплату. Получив товар, необходимо за него заплатить. В традиционно подготавливаемый баланс дебетовые записи вносятся со знаком «минус» (-), а его кредитовые — со знаком «плюс» (+).
Для решения вопроса о том, на какой счет, дебетовый или кредитовый, следует относить конкретную сделку, надо иметь в виду: кредитовые записи со знаком «+» касаются сделок, в результате которых деньги поступают в страну, составляющую баланс;
дебетовые записи со знаком «-» касаются сделок, в результате которых страна расходует валюту.
Экспорт товаров и услуг, дары, приток капитала — все это фиксируется на кредитовом счете платежного баланса со знаком «+». Импорт же товара или зарубежные инвестиции, займы и кредиты, направляемые за рубеж, дары и пенсии, переводимые иностранцами, — все это отражается на дебетовом счете со знаком «-».
Рассмотрим пример с экспортом российского товара на украинский рынок. Если Россия продала автомобиль на рынке Украины, то ей надо будет обменять украинские гривны на российские рубли для того, чтобы компенсировать издержки, понесенные в рублях (аренда помещений, покупка сырья, заработная плата рабочим и т.д.). Результатом продажи станет получение гривен с их последующим обменом на рубли, которые затем будут положены на счета российских резидентов — автомобильной фирмы или ее дилеров. Экспорт увеличивает потребность в рублях на международном рынке и оценивается со знаком «+».
В случае с импортом товаров из Украины положение будет противоположным.
Для России основными сделками, обеспечивающими поступление рублей на расчетные счета, являются экспорт товаров, предоставление услуг иностранцам.
К уменьшению запасов национальной валюты России — рублей, — кроме импорта товаров и услуг, следует отнести расходы на туризм (например, отдых в Крыму) и расходы на содержание российских войск за границей.
Существует распространенное заблуждение, когда экспорт товаров и экспорт капитала рассматриваются как однородные виды сделок. Между тем, по существу, они противоположны. Экспорт товаров означает приток иностранной валюты в государство, осуществляющее поставку товаров за границу, и регистрируется со знаком «+». Экспорт капитала, наоборот, означает отток денежных средств и должен записываться со знаком «-», поскольку влечет за собой отток валюты со счетов резидентов.
Когда Российское государство или российская фирма предоставляют кредит нерезиденту, денежные средства, российские рубли, будут обмениваться на иностранную валюту, тем самым увеличится «сброс» рублей.
Принцип двойного счета предполагает равенство или нулевое сальдо. Здесь есть определенная логика. Учет всех сделок как движения товаров или как движения капитала дает результат, равный нулю.
Если владелец фирмы или государство тратит больше, чем зарабатывает, то избыток потребляемых средств каким-то образом должен быть учтен. Для этого либо используются сбережения, либо берется заем у знакомых или в банке. Сальдо расходов и доходов всегда должно быть равно нулю.
Отрицательное (пассив) или положительное (актив) сальдо свидетельствует о нарушении равновесия в одном из следующих разделов платежного баланса: а) «видимая» торговля, связанная с продажей товаров; б) «невидимая» торговля, к которой, в частности, относятся разные услуги и транспортные перевозки; в) движение капитала из одной страны в другую.
С одной стороны, при общей сумме по дебету, превышающей общую сумму по кредиту по счетам текущих операций или операций с капиталом, нетто-дебет характеризует возникновение дефицита платежного баланса страны. Этот дефицит должен быть компенсирован изменением (увеличением) международных резервов. С другой стороны, страна имеет актив платежного баланса, если общая сумма по кредиту превышает общую сумму по дебету по счетам текущих операций и операций с капиталом. Положительное сальдо компенсируется дебетовым балансом (уменьшением) по счету международных резервов.
Основные и балансирующие статьи платежного баланса. Принцип двойного счета, используемый в платежном балансе, предполагает два действия (сделки), чему соответствуют записи. Одно действие дополняет или является результатом другого. Например, покупая товар, покупатель расплачивается за него деньгами. При этом важно, что первичным было решение приобрести товар, как следствие — передать за него продавцу деньги, а не наоборот. Аналогичным образом при импорте товаров или услуг первичным будет желание воспользоваться услугами и вторичным — оплата услуг.
Этому соответствует деление всех статей на автономные и компенсирующие. Главным моментом, определяющим вид сделки, служит первичность или производность их возникновения.
Наилучшим правилом для отнесения к какому-либо виду той или иной сделки было бы выявление ее мотивов. Практически это сделать невозможно.
К основным (автономным) относят статьи, отражающие движение товаров или капитала, объясняемое обычными коммерческими соображениями; к балансирующим (компенсирующим) — статьи, отражающие перевод средств на обеспечение движения товаров или капитала.
Основные статьи охватывают экспорт и импорт товаров и услуг, поскольку это первичные операции, выполняемые на базе переговоров и оценки качества товаров. Аналогично, первичными (основными) будут инвестиции в создание производственных филиалов. Подчеркнем, что в основных статьях фиксируются текущие операции и движение долгосрочного капитала.
В балансирующих статьях отражаются методы и источники урегулирования сальдо платежного баланса, включая движение валютных резервов, изменение объема краткосрочных активов, государственную помощь, государственные займы и кредиты международных финансовых организаций.
Сальдо по основным статьям, свидетельствующее о притоке иностранных денежных средств и капитала в страну («+») и, наоборот, об их оттоке («-»), — есть то «сальдо платежного баланса», которое рассматривает объем сделок.


Платежный баланс России


Платежный баланс России Начиная с 1993 г., Государственный комитет по статистике России публикует платежный баланс страны за предшествующий год. При его составлении использован упоминавшийся ранее принцип «двойного счета», в соответствии с которым каждая позиция отражается на дебетовом и кредитовом счетах, что в итоге и приводит баланс в равновесие.
Баланс (счет) текущих операций сведен с положительным сальдо в 6,2 млрд. долл., главным образом благодаря активному торговому балансу. В 1993 г. экспорт товаров составил 43,7 млрд. долл., в то время как по импорту (включая поправки по бартеру и на данные статистики стран-контрагентов) было ввезено товаров почти на 33 млрд. долл. Основным источником финансирования импорта были экспортные поступления. Однако частично товары поставлялись в счет краткосрочных (коммерческих) или долгосрочных (государственных) кредитов. Средства от экспорта пошли также на уплату процентов и платежей по основному долгу.
При этом методика составления платежного баланса России позволяет определить состояние российского долга. Поставки товаров и услуг, как и платежи по ним, регистрируются в России «на момент совершения сделки» и таким образом отражают в платежном балансе задержки, связанные с оплатой ее внешнего долга.
Уже упоминавшийся актив торгового баланса России в 1993 г. составил более 10,7 млрд. долл. Рост этого актива по сравнению с предшествующим годом произошел в основном за счет роста физического объема поставок (на 10%), так как средние экспортные цены сократились за этот период на 8%.
В платежном балансе фигурирует еще одна позиция «поправки к импорту», которая свидетельствует о неблагополучной ситуации, сложившейся в сфере товарообменных операций. Разница в 1,2 млрд. долл. в пользу импортеров образовалась при пересчете по мировым ценам экспорта и импорта по бартеру и клирингу и свидетельствует о занижении российскими экспортерами стоимости поставляемых товаров.1
Международное движение капиталов и миграция рабочей силы являются факторами международных экономических отношений. Для достоверной оценки их масштабов необходимо использовать единые критерии и многофункциональные источники информации. Определенные международные организации аккумулируют эти данные, что позволяет использовать их в исследованиях о причинах, тенденциях и последствиях этих процессов. Международное движение капиталов, как и миграция рабочей силы, затрагивает в каждом конкретном случае две и более страны, но в отличие от движения рабочей силы вызывается в большей степени экономическими причинами — стремлением к повышению прибылей, тогда как во втором случае доминируют социальные и политические моменты. Однако в обоих случаях это — многофакторные процессы, являющиеся неотъемлемой частью современной экономики и представляющие возрастающий интерес для стран переходной экономики.
Межстрановые миграции населения и мировой рынок труда Неотъемлемым элементом современной системы мирового хозяйства является мировой рынок труда. Эффективное развитие национальных экономических комплексов становится возможным только на пути активного использования преимуществ всемирного разделения труда и свободного перелива рабочей силы из одной страны в другую. Без высокой мобильности населения невозможна интенсификация научно-технических, информационных, культурных межнациональных связей.
Межстрановые миграции известны с древнейших времен. В основе этих процессов лежали кочевой образ жизни скотоводов, военные и колониальные захваты, стихийные бедствия, политические и религиозные преследования, географические открытия и освоение новых жизненных пространств. В настоящее время при резком возрастании общих масштабов миграции главенствующую роль приобрела трудовая миграция, или миграция рабочей силы. Это значит, что при сохранении прочих факторов, предопределяющих переселение, доминировать стали сугубо экономические причины. Целью миграции стали поиски работы, новой сферы приложения труда, что отражает или отсутствие возможностей трудоустройства на прежнем месте жительства, или недостаточную эффективность труда у себя на родине. Существуют резкие Межстрановые различия в уровнях безработицы, оплаты труда, стоимости жизни, по многим иным показателям уровня жизни, которые являются фактором, постоянно подпитывающим международную миграцию.
Вместе с тем миграция вряд ли была бы возможна в значительных масштабах, если бы не существовало экономической целесообразности, а подчас и необходимости использования иностранной рабочей силы. Применение иностранной рабочей силы во все большей степени связано с действием следующих факторов:
— стремления снизить издержки производства за счет использования более дешевой, по сравнению с национальной, иностранной рабочей силы; «погони за головами», т.е. привлечения квалифицированных работников, от рабочего до ученого-исследователя, что явилось непосредственной причиной такого явления, как «утечка мозгов»;
— деятельности транснациональных корпораций, которая не только повышает географическую мобильность рабочей силы, но и выравнивает условия ее применения в мировом масштабе;
— развития средств транспорта и связи, что стимулирует географическую мобильность населения;
— информатизации производства и общественной жизни, растущего взаимодействия науки и культуры разных стран, что ведет к унификации критериев образования и квалификации.
Миграционные процессы послужили основой формирования мирового рынка рабочей силы и в настоящее время характеризуются следующими особенностями. Во-первых, международные миграционные процессы затрагивают трудящихся практически всех стран, что само по себе беспрецедентно в истории. Масштабы международной трудовой миграции постоянно и значительно возрастают. На начало 90-х годов только в странах, ранее называвшихся капиталистическими, насчитывалось не менее 25 млн. трудящихся-мигрантов. С учетом членов их семей, а также вместе с мигрантами-сезонниками, рабочими-фронтальерами и нелегальными мигрантами общая численность иммигрантов, видимо, в 3-5 раз выше.
. Основной поток мигрантов направлен из развивающихся стран в развитые индустриальные, прежде всего в США и Западную Европу. Иностранные рабочие составляли в 80-е годы 34,4% совокупной рабочей силы в Люксембурге, 17 — в Швейцарии, 7,8 — в ФРГ, 7,7 — в Бельгии, 7,1 — во Франции, 5,8 — в Австрии, 5,3 — в Швеции, 4,3% в Нидерландах. Основными экспортерами рабочей силы из стран Западной Европы являются Италия, Турция, Португалия, Испания. В последнее время активизировался выезд рабочей силы из государств Восточной Европы и бывшего СССР.
Масштабы миграции настолько существенны, что реально сказываются на демографической ситуации даже в такой крупной стране, как США. По оценкам американских специалистов, в 80-е годы около половины прироста населения США приходилось на иммигрантов. Всего в США насчитывается около 2,4-3 млн. легальных иностранных рабочих.
Одновременно активизируются переезды населения из одной развитой страны в I    другую в связи с учебой, долговременными командировками и контрактами, сменой места жительства и работы. Этому в немалой степени способствуют интеграционные процессы. В конце 80-х годов внутриевропейская миграция составила 5 млн. человек, что в 5 раз больше, чем в 60-е годы.
Наблюдается и усиление межстрановых переселений в рамках так называемого «третьего мира». Новым в мировой миграции является формирование центров притяжения иностранных рабочих на Ближнем и Среднем Востоке (Саудовская Аравия, Бахрейн, Кувейт, Израиль), в Латинской Америке (Аргентина, Бразилия, Венесуэла), в Юго-Восточной Азии (Сингапур, Гонконг, Япония), на юге Африке (ЮАР). При этом иммигранты составили в конце 80-х годов до 60% населения Кувейта, 75% населения Катара и Объединенных Арабских Эмиратов против 5% в 1950 г.
Важной особенностью современного мирового рынка рабочей силы является снижение степени активности миграции с середины 80-х годов. Это обусловлено рядом объективных причин. Прежде всего необходимо учесть, что 70-е годы ознаменовались общим ухудшением экономической ситуации, кульминация которого пришлась на кризис 1973-75 гг. Обострилась ситуация и на рынках труда в странах Западной Европы и США — основных центрах притяжения иностранной рабочей силы. Одновременно снизилась экономическая выгодность использования иностранной рабочей силы. Если в условиях высокой конъюнктуры 50-х и 60-х годов использование преимущественно неквалифицированного труда выходцев из развивающихся стран позволяло предпринимателям экономить на оплате труда, оказывать понижающее давление на средний уровень заработной платы в стране, повышать в результате конкурентоспособность своей продукции в мировом масштабе, то беспрецедентный за послевоенный период рост безработицы в середине 70-х годов «принял на себя» эти задачи. Привлекательность иностранных рабочих для западноевропейских предпринимателей уменьшилась также вследствие резкого возрастания социальных издержек и усиления социальной напряженности в связи с иммиграцией.
Первоначально благоприятное в экономическом отношении массовое использование иностранной рабочей силы повлекло за собой целый ряд острых демографических и социально-экономических проблем для развитых стран Запада. Помимо абсолютного и относительного увеличения общего числа иностранного населения, крайне неблагоприятно для стран-реципиентов меняется и половозрастная структура мигрантов. Неуклонно возрастает доля женщин и детей. Если в 60-е годы доля женщин составляла в странах Западной Европы 30%, то к 80-м годам она увеличилась до 40-45%. По данным ОЭСР, доля женщин-мигрантов в Австрии — 40% (1980 г.), в Бельгии — 46,9 (1977 г.), в ФРГ — 43,5 (1980 г.), в Швеции — 48,3% (1978 г.). Ожидается, что в недалеком будущем женщины составят большинство иностранцев в развитых европейских странах.
Одновременно растет и доля молодежи в общем числе мигрантов. Этот показатель колеблется от 40% (Франция, ФРГ, Люксембург, Норвегия, Швеция) до 50% (Бельгия, Нидерланды). При этом доля молодежи среди иностранцев во всех странах превышает долю молодежи среди коренного населения: в Бельгии — на 15 процентных пунктов, в Нидерландах — на 12, в Швеции — на 8.
Для современной международной трудовой миграции характерно также увеличение продолжительности резиденции мигрантов в стране занятости. В 1981 г. средний период занятости иностранных рабочих в ФРГ составлял 9,5 лет. Во Франции на 1981 г. 70% иностранцев проживали в стране более 11 лет. Продолжительность резиденции в стране занятости обусловлена, с одной стороны, крайне малым возвращением мигрантов на . родину, с другой — возможностью воссоединения семей в стране занятости. В результате баланс внешней миграции у большинства стран Западной Европы положительный.
При столь длительном пребывании в стране занятости встает вопрос об интеграции иностранцев в чужую социальную среду и культуру. Особенно это касается второго поколения иммигрантов. В условиях, когда и родители не торопятся возвращаться к родным местам, маловероятно, что когда-либо это сделают их дети. Во-первых, для них историческая родина является чужой и неизвестной страной. Во-вторых, их переезду будет мешать та же самая неблагоприятная экономическая ситуация, которая побудила их родителей искать лучшей доли на чужбине.
В настоящее время в Западной Европе насчитывается более 7 млн. детей иностранных рабочих. Это не столь многочисленная, но самая социально уязвимая демографическая группа — кандидаты в безработные и правонарушители. Несмотря на законы об обязательном обучении всех детей в странах-реципиентах, многие дети иммигрантов не посещают дошкольные и школьные учреждения. В ФРГ около 20% детей иммигрантов не ходят в школу. Одновременно отмечается в целом их более низкий уровень развития и культуры. В ФРГ только 6% школьников-иностранцев достигают высшей ступени средней школы. Во Франции из 100 детей-иностранцев 20 покидают школу в 16 лет, не умея читать и писать по-французски, у 60 детей были в школе серьезные трудности и проблемы, и только 20 человек получили настоящую школьную подготовку. Плохая успеваемость детей-иностранцев является следствием целого ряда причин, среди которых на первом месте стоит слабое знание языка и обычаев страны-реципиента, низкий социально-экономический статус, постоянная неуверенность и незащищенность семей мигрантов в отношении занятости, проживания, условий оплаты и социального страхования и т.д. Такое положение усугубляют, с одной стороны, трудности интеграции молодого поколения в социальную и экономическую макросистему. С другой стороны, такая интеграция необходима не только самим иностранцам, но и странам-реципиентам. Как отмечалось выше, иностранцы первого и второго поколения станут, по оценкам экспертов, основной составляющей трудовых ресурсов многих развитых стран.1


Поэтому регулирование экономики государством представляет собой.


Многие экономические и социальные проблемы не могут быть решены в рамках саморегулирующегося рыночного механизма. К ним можно отнести финансирование малорентабельных или нерентабельных, с точки зрения частного капитала, производств, но актуальных для продолжения воспроизводства в национальных масштабах, преодоление социального расслоения, реализацию региональных и национальных экономических программ, решение проблемы безработицы, налаживание денежного обращения и конвертируемости валюты, проведение научно-исследовательских изысканий, особенно фундаментальных, и др.
Концентрация производства и капитала, наличие крупных монополий и финансово-промышленных групп, успехи прогнозирования, компьютеризация и информатика усиливают необходимость и расширяют возможности государственного регулирования вплоть до учета размеров и структуры производства и рынка, планомерного регулирования в национальном и международном масштабах.
Изучение дисциплины «Государственное регулирование экономики» должно способствовать повышению уровня общеэкономической подготовки специалистов, выработке ими государственного мышления, т.е. умению при решении любых вопросов видеть и удовлетворять общенациональные интересы.
Для решения экономических проблем общество может использовать множество институциональных структур и координационных механизмов. Совокупность всех экономических процессов, совершающихся в обществе на основе действующих имущественных отношений и организационных форм, представляет собой экономическую систему этого общества.1
Любая экономика нуждается в системе регулирования для поддержания стабильных процессов, происходящих в ней в аспекте сохранения эффективности производственных и социальных явлений. Поэтому регулирование экономики государством представляет собой. систему действий государства по отношению к деятельности хозяйственных субъектов и самой рыночной конъюнктуре в целях обеспечения нормальных условий для функционирования рыночного механизма и решения социальных проблем.
Основными элементами экономической системы являются: социально-экономические отношения, базирующиеся на формах собственности на ресурсы; организационные формы хозяйственной деятельности; хозяйственный механизм, т.е. способ регулирования деятельности на макроэкономическом уровне; экономические связи между хозяйственными субъектами.
Рыночная система функционирует в качестве механизма, посредством которого индивидуальные решения и предпочтения предаются гласности и координируются. Тот факт, что товары и услуги производятся, а ресурсы предлагаются в условиях конкуренции, означает, что существует много самостоятельно действующих покупателей и продавцов каждого продукта и ресурса. В результате экономическая власть широко рассеяна. Роль правительства ограничивается защитой форм собственности и установлением надлежащей правовой структуры, облегчающей функционирование рынков».
Командную экономику характеризуют общественная собственность практически на все материальные ресурсы и коллективное принятие экономических решений посредством централизованного  планирования.  Все крупные решения,  касающиеся объема используемых ресурсов, структуры и распределения продукции, организации производства, принимаются центральным  органом.  Предприятия  функционируют  на  основе государственных директив. Основные социально-экономические соотношения, в том числе между средствами производства и предметами потребления,  устанавливаются централизованно.
Кроме деления экономических систем по типам, в каждой системе существуют еще и свои национальные модели организации хозяйства, свойственные данной стране и основанные на уровне экономического развития, исторических, культурных, бытовых традициях.
Так, американская модель построена на всемерном поощрении предпринимательской .активности, «обогащения» наиболее активной части населения. Для уменьшения социальной напряженности малообеспеченным группам населения гарантируется приемлемый уровень жизни за счет частичного перераспределения национального дохода. Эта модель основана на социально-культурных особенностях нации — массовой ориентации на достижение личного успеха.
Японская модель характеризуется определенным отставанием уровня жизни населения от роста производительности труда. За счет этого достигается снижение себестоимости продукции, повышение ее конкурентоспособности на мировом рынке. В целях поощрения предпринимательской активности не принимаются серьезные меры по контролю за имущественным расслоением. Существование такой модели возможно при исключительно высоком развитии национального самосознания, приоритете интересов нации над интересами конкретного человека, готовности населения идти на определенные материальные жертвы ради благосостояния страны.
Шведская модель отличается сильной социальной политикой, направленной на сокращение имущественного неравенства за счет перераспределения национального дохода • в пользу наименее обеспеченных слоев населения. Главным содержанием данной модели является сохранение основных средств производства в частном владении при отторжении от капитала права распоряжения доходами. Государство располагает всего четырьмя основными фондами, зато доля государственных расходов находится на уровне 70% ВВП, причём более половины из них направляется на социальные цели. Естественно, это возможно только в условиях высокой нормы налогообложения.
Германская модель экономики исходит кз того, что в центре преобразований находится челоазк с его интересами как свободная личность, сознающая свою ответственность перед обществом. Выполняя определенные функции, человек извлекает пользу для себя, для семьи к своей социальной группы. Функцией государства является обеспечение хорошо отлаженной конкуренции. Наибольшее внимание при этом уделяется мелким и средним предприятиям.
Во всех экономических системах государство регулирует экономику. Причем его роль возрастает с развитием технического прогресса, ростом масштабов производства и углублением мирового разделения труда.
Государственное регулирование экономики опирается на знание и правильное использование объективных экономических законов развития общества. Экономические законы отражают широкий круг основных, устойчивых связей между явлениями и процессами хозяйственной жизни. Сознательное использование экономических законов предполагает, во-первых, познание обществом их сущности и механизма действия и, во-вторых, реализацию общественного знания в практической деятельности.
Первостепенную роль в экономике играет закон спроса и предложения. Спрос характеризуется шкалой, которая раскрывает готовность покупателей в данный отрезок времени приобретать продукт по предложенным на рынке ценам.
Для потребителей цена представляет собой барьер, мешающий им совершать покупку. Высокая цена отбивает у потребителей желание покупать, а низкая, наоборот, стимулирует покупку.
Потребление подвержено также действию закона убывающей предельной полезности,. согласно которому последующие единицы данного продукта приносят все меньше и  меньше удовлетворения — потребители покупают дополнительные единицы продукта , лишь при условии, что цена его снижается. При более низкой цене человек может позволить себе купить больше данного продукта, не отказывая в приобретении каких-либо альтернативных товаров. Y яето появляется стимул приобрести дешевый товар вместо аналогичных товаров, которые теперь относительно дороже.
Зависимость объема предложения от цен фиксируется законом предложения, который выражает желание производителей изготовить на продажу большее количество своего продукта по высокой цене. Поставщик выступает в роли получателя денег за продукт. Для него цена представляет собой выручку за каждую единицу продукта и служит стимулом к тому, чтобы производить и предлагать свой продукт к продаже.
Изменения соотношений между спросом и предложением и вызываемые ими колебания рыночных цен регулируются законом стоимости. Если под влиянием неценовых факторов происходит повышение спроса при неизменном предложении или сокращение предложения при неизменном спросе, то цена возрастает; если, наоборот, при неизменном предложении спрос сокращается или при неизменном спросе увеличивается предложение, то цена снижается. Цены играют роль сигнальной системы, с помощью которой и предприниматели, и владельцы производственных ресурсов ориентируются на рынке. Данная сигнальная система эффективно действует в условиях свободной конкуренции.
Адекватное соответствие объективных экономических законов современному высокому уровню развития производительных сил может быть достигнуто лишь с помощью государственного вмешательства в экономику.1
Государственное регулирование экономики — форма взаимодействия государства и экономических субъектов, которая реализуется через социально-экономическую, валютно-финансовую, структурно-инвестиционную и научно-техническую политику ' в целях перспективного воздействия на развитие общественного производства и решение социальных проблем посредством различных рычагов.
Крупным американским теоретиком системы государственного регулирования экономики считается Дж.Кейнс. По его учению, факторы, управляющие «большой» экономикой, не являются просто увеличенной версией факторов, управляющих поведением ее «малых» частей. Различие между макро- и микросистемами предопределяет разницу в терминах и методах анализа. И если макроэкономика изучает национальную экономику в целом, рассматривает проблемы экономического роста и занятости, возможности и противоречия экономического механизма, то микроэкономика рассматривает процессы принятия   экономических   решений   отдельными   экономическими   субъектами, потребителями и др., анализирует процессы взаимодействия экономических субъектов на отдельных рынках.


Показатели и пути улучшения использования основных фондов


Показатели и пути улучшения использования основных фондов предприятия Для характеристики использования основных производственных фондов применяются различные показатели, которые условно можно разделить на две группы: обобщающие и частные показатели. Обобщающие показатели, к которым относят прежде всего фондо-отдачу и рентабельность, применяются для характеристики использования основных фондов на всех уровнях хозяйства — для предприятий, отраслей и национального хозяйства в целом.
Частные показатели — как правило, натуральные, применяются для характеристики использования основных фондов чаще всего на предприятиях или в их подразделениях. Эти показатели подразделяются на показатели экстенсивного и интенсивного использования основных фондов.
Показатели экстенсивного использования основных фондов характеризуют их использование во времени, а показатели интенсивного использования основных фондов характеризуют величину съема продукции (выполненной работы) на единицу времени с определенного вида оборудования (или производственных мощностей).
К числу важнейших показателей экстенсивного использования основных фондов относятся коэффициенты использования планового, режимного и календарного времени работы оборудования, коэффициент сменности работы оборудования, показатель внутрисменных простоев и пр.
Наибольшее значение среди частных показателей экстенсивного использования имеет коэффициент сменности работы оборудования, который определяется как отношение суммы машино-смен в течение суток к общему числу машин. Повышение коэффициента сменности работы оборудования — это важный источник роста объема производства продукции и повышения эффективного использования основных фондов.
Коэффициент сменности работы оборудования определяется по формуле:

где -К — коэффициент сменности использования оборудования;
МС — сумма фактически отработанных машино-смен за сутки;
Кол. оборуд. — общее количество установленного оборудования.
Главное назначение повышения сменности использования оборудования — это совершенствование формирования основных фондов. Именно в процессе их формирования с учетом специфики данного предприятия должна быть достигнута главная пропорция — между рабочей силой и основными фондами, должны соблюдаться соответствие роста основных фондов и увеличения объема продукции, а также соотношение между активной и пассивной частями основных фондов, должна постоянно совершенствоваться структура основных фондов, т.е. увеличиваться доля прогрессивного и более «молодого» по возрасту эксплуатации оборудования, должно совершенствоваться вспомогательное производство, за счет которого можно добиться высвобождения рабочих и направления их в основное производство, т.е. повысить сменность использования оборудования.
Большое значение в повышении коэффициента сменности работ оборудования в рамках предприятия имеют расширение зоны многостаночного обслуживания и совмещение профессий. Возможности для расширения зоны обслуживания создаются за счет технического совершенствования оборудования, развития комплексной механизации и автоматизации производства.
В практике предприятий сложились две основные формы многостаночного обслуживания: закрепление за одним рабочим двух или более станков однотипного технологического назначения; применение бригадного метода организации труда (бригада обслуживает несколько единиц оборудования, обеспечивая их эффективную работу в 2 или 3 смены). При многостаночном обслуживании, как показывает хозяйственная практика, тарифные ставки рабочего при сдельной оплате в среднем увеличиваются на 25—30%.
При совмещении профессий (например, наладчик и станочник; станочник и ремонтник и т.д.) также должна производиться доплата.
Одно из важных направлений повышения сменности оборудования — устранение его избытка на предприятиях. Сложность заключается в том, что оборудование, которое используется лишь 3—4 ч. в смену, нельзя реализовать или передать другому предприятию, так как оно все же необходимо производству. В то же время неэффективное использование такого оборудования не позволит ему в течение срока службы перенести стоимость на продукцию, что вызовет значительную недоамортизацию, которая повлияет на экономические показатели предприятия. Для устранения относительного избытка оборудования можно, во-первых, изменить структуру остального оборудования путем реализации или списания устаревших станков и машин; приобрести новое оборудование и, повышая тем самым общую производительность, более полно загрузить все оборудование; во-вторых, провести кооперирование предприятий по использованию производственных мощностей.
Еще один путь повышения сменности использования оборудования — расширение сети хозрасчетных организаций проката станков, оборудования и других элементов основных фондов. Такие хозрасчетные организации скупают у предприятий лишние элементы основных фондов, ремонтируют или модернизируют их в случае необходимости и отдают в прокат предприятиям-потребителям. Экономическую выгоду имеют все участвующие стороны: предприятия, продающие лишнее оборудование хозрасчетной организации, получают денежную сумму, значительно превышающую затраты на демонтаж, разработку и выручку от ликвидации оборудования в металлолом; предприятия-потребители могут быстро приобрести на свои денежные средства необходимые элементы основных фондов.
Наряду с техническими и организационными факторами важную роль в повышении сменности оборудования играют и социальные факторы. Так, социологические исследования, проведенные на предприятиях С.-Петербурга, выявили причины, мешающие организации использовать оборудование во вторую смену: слабое обеспечение второй смены услугами вспомогательного производства (ремонтное обеспечение, электроснабжение и др.); недостатки в организации питания, медицинского обслуживания и т.д.; отсутствие на местах необходимых ремонтных служб заводоуправления; недостатки в организации производственной и социально-бытовой инфраструктуры городов, рабочих поселков; невысокий уровень квалификации кадров; не полное соответствие квалификации кадров уровню техники.
Среди показателей экстенсивного использования основных фондов важное значение имеет и показатель внутрисменных простоев оборудования, дополняющий показатель сменности оборудования.
Главные причины внутрисменных простоев оборудования — низкий уровень организации производства, необеспеченность рабочих мест инструментами, материалами, деталями; неисправность и внеплановый ремонт оборудования; недостаточное количество рабочих. Для уменьшения внутрисменных простоев необходимо прежде всего улучшить учет и контроль работы оборудования, шире применять различные системы механизированного и автоматизированного учета работы станков и машин.
На сокращение внутрисменных простоев машин и оборудования оказывают влияние совершенствование ремонтного обслуживания станочного парка и материально-технического снабжения, улучшение планирования и диспетчеризации, повышение трудовой дисциплины рабочих.
Для оценки основных фондов применяются и показатели интенсивного их использования.
Интенсивная нагрузка основных фондов приводит к снижению себестоимости продукции (за счет сокращения всех постоянных расходов) и росту производительности труда. Однако показатель интенсивной нагрузки основных фондов в большей степени, чем показатель экстенсивной нагрузки, связан с характером производства и технологического процесса.
Например, в черной металлургии для доменного производства показателем интенсивной нагрузки является коэффициент использования полезного объема доменных печей; в цементной промышленности — часовая производительность цементных печей; в ткацком производстве — количество метров ткани в среднем на ткацкий станок в час.
Кроме показателей экстенсивного и интенсивного использования оборудования важное значение имеют и показатели использования производственных площадей и сооружений. Рациональное использование производственных площадей дает возможность получить прирост выпуска продукции без капитального строительства и тем самым сократить размеры капиталовложений; при этом выигрывается и время, так как организовать производство на высвобожденных производственных площадях можно гораздо быстрее, чем осуществить новое строительство.
Среди показателей использования производственных площадей наиболее важны коэффициенты экстенсивного и интенсивного использования производственных площадей; коэффициент загрузки производственных площадей цеха, участка; коэффициент использования промышленно-производственных площадей под оборудование и показатель съема продукции с 1 кв. м производственной площади. Использование сооружений оценивается на основании производственных характеристик объектов — обычно их пропускной способности или мощности (водонапорные башни, бункера, резервуары и цистерны). В большинстве случаев частные (натуральные) показатели, к которым относятся, как упоминалось, показатели экстенсивного и интенсивного использования оборудования, не могут быть применены, так как они показывают лишь степень использования отдельных элементов основных фондов, поэтому для определения использования всей массы основных фондов на предприятиях, в отраслях народного хозяйства применяются обобщающие показатели.


Показатели рабочего времени


Характер производства во многом определяет использование персонала и техники в производстве. Но очень важно учитывать, как в этой системе расходуется такой ресурс, как время. Статистические наблюдения за использованием рабочего времени также
представляют предмет изучения, которое показывает возможности применения получаемой информации для оптимизации производственных процессов.
Показатели рабочего времени по данным статистической отчетности и их анализ. Рабочее время — часть календарного времени, затрачиваемого на производство продукции или выполнение определенного вида работ. В связи с интенсификацией общественного производства и повышением его эффективности стоят задачи активного внедрения научной организации труда, более рационального использования рабочего времени, сокращения его непроизводительных затрат и потерь за счет организационных, технологических и социальных мероприятий. Процесс решения этих задач отражают статистические показатели использования рабочего времени. Исходным служит показатель календарного фонда времени — число календарных дней месяца, квартала, полугода, года, приходящихся на одного рабочего или на коллектив рабочих.
Например, календарный годовой фонд времени одного рабочего равен 365 (366) дней, а коллектива 1000 рабочих — 365000 чел.-дней (366000 чел.-дней).
Показатель календарного фонда времени отражает рабочее и внерабочее время. Человеко-дни явок на работу — это человеко-дни, фактически отработанные, и человеко-дни целодневных простоев. Человеко-дни неявок на работу — это человеко-дни невыхода на работу по уважительным и неуважительным причинам. Человеко-дни неявок на работу по уважительным причинам включают человеко-дни очередных отпусков, праздничных и выходных дней, отпусков по беременности и родам, неявок по болезни и в связи с выполнением общественных и общегосударственных обязанностей и других неявок, разрешенных законом. Человеко-дни неявок по неуважительным причинам — это человеко-дни невыходов с разрешения администрации и прогулы.
Подробный анализ использования рабочего времени на предприятиях осуществляется по данным статистической отчетности (квартальной и годовой), которая составляется по данным первичного учета, а также по данным фотографий рабочего дня, хронометражных наблюдений и различных единовременных обследований.1
Статистика позволяет отслеживать качество использования труда на предприятии. Это происходит на основе соотнесения реального использования элементов труда в производстве с возможным уровнем их использования. В исследовании этого вопроса процесс труда разделяется на составные части, которые, будучи проанализированы отдельно, вновь соединяются в единое целое. Этими вопросами занимается статистика труда.
Условием роста эффективности предприятия могут являться успехи в производстве. Этого, в свою очередь, можно добиться через повышение производительности труда, т.е. объема производства на единицу использованных ресурсов. Рост производительности является средством роста эффективности использования труда.
Расчет уровня производительности труда. Производительность труда — это плодотворность трудовой деятельности работников в сфере материального производства. Важнейшие показатели развития и совершенствования народного хозяйства — это показатели эффективности общественного производства. В системе показателей, характеризующих эффективность общественного производства, ведущий — производительность труда.
Уровень  производительности труда  выражается  количеством  продукции, произведенной в единицу времени: отношением количества произведенной продукции к живому труду, непосредственно затраченному на ее производство, или же ко всему воплощенному в ней труду — живому и овеществленному.
Методы расчета уровня производительности труда. Уровень производительности труда характеризуется прямыми и обратными показателями. Прямым показателем служит количество продукции, выработанной в единицу времени. Если количество продукции
обозначить Q, затраты рабочего времени на весь объем продукции — Т, а уровень производительности труда— w, то:

Показателем, обратным уровню производительности труда, является трудоемкость, т.е. время, затраченное на производство единицы продукции:

При выпуске однородной продукции уровень производительности труда исчисляется в натуральных показателях (например, количество произведенной электроэнергии в единицу времени). Если продукция одноименная, но разнокачественная, то уровень производительности труда измеряется в условных натуральных показателях (например, выплавка чугуна в единицу времени в пересчете на передельный чугун).
Обобщающим показателем уровня производительности труда является количество продукции (в денежном выражении), выработанной в единицу времени:

где 
Q =
 qp , здесь q — продукция в натуральных измерителях, р — цена единицы продукции, в которой учтено различие в качестве продукции (при правильном ценообразовании).
Денежное выражение дает возможность обобщить разнородную продукцию (различные потребительные стоимости) и рассчитать уровень производительности труда по различным участкам работы (бригаде, цеху, предприятию, отрасли, народному хозяйству отдельных регионов и в целом по стране).
Уровень производительности труда при выпуске разнородных видов продукции может быть также представлен в трудовом измерении, т. е. как количество продукции в человеко-часах (чаще всего в нормативных), выработанной в единицу времени:

Знаменатель дроби может быть выражен в человеко-часах, человеко-днях или же среднесписочньм числом работающих, соответственно получаем выработку продукции за человеко-час, человеко-день или же на одного рабочего или работающего за месяц, квартал, год (за человеко-месяц, человеко-квартал, человеко-год).
Средняя выработка продукции за 1 чел.-час показывает уровень производительности труда за время чистой работы (без учета потерь времени в минутах и секундах); выработка за 1 чел.-день зависит от часовой выработки и степени использования рабочего дня, а выработка на одного работающего — от дневной выработки и от степени использования рабочего месяца, квартала, года (количества отработанных дней за данный период).
Если выработку за 1 чел.-час умножить на среднюю фактическую продолжительность рабочего дня, то получим выработку за 1 чел.-день; если выработку за 1 чел.-день умножить на среднюю фактическую продолжительность рабочего месяца (квартала, года), получим выработку на одного рабочего за месяц, (квартал, год).1
Заработная плата является показателем и фактором, с помощью которого рассматривается множество явлений как в макро- , так и в микроэкономике. Более того, заработная плата является связующим звеном, через которые взаимодействуют эти два уровня экономики. Макроэкономическая инфляция может повлечь рост номинальной зарплаты на конкретном предприятии, что, в свою очередь, может повысить спрос на товары. Это лишь небольшой пример, объясняющий важность и необходимость отслеживания этого момента и использования статистики заработной платы, о которой здесь рассказывается.


Понятие динамического равновесия в экономике. Простейшая модель равновесия


Понятие динамического равновесия в экономике. Простейшая модель равновесия В экономической теории важным является понятие равновесия, то есть такого состояния объекта, которое он сохраняет при отсутствии внешних воздействий. Задачи экономической динамики включают как описание процессов выхода к состоянию равновесия, так и процессов трансформации самого этого состояния под воздействием внешних сил.
Рассмотрим простую экономическую систему в состоянии равновесия и опишем движение такой системы в непрерывном и дискретном случаях. В первом случае динамика системы описывается с помощью дифференциального уравнения, во втором — разностного уравнения.
Дифференциальное уравнение связывает изменения показателя х со скоростью его движения х
или х Будем считать, что скорость изменения показателя х пропорциональна величине его отклонения от равновесного значения хе. Иными словами, чем дальше показатель отклонился от равновесного значения, тем быстрее он стремится вернуться к нему.
Если в уравнении присутствует только первая производная х по времени, а сама связь линейна, то это линейное дифференциальное уравнение. Пусть оно имеет, например, следующий вид:

где k — коэффициент. В этом уравнении kxe — свободный член; без него уравнение x=kx называется однородным и его общее решение х=сеkt. Исходное неоднородное уравнение имеет частное решение х = хe (если величина х находится в состоянии равновесия), а общее его решение есть сумма любого частного решения и общего решения однородного уравнения, т.е. х = Xe + сеkt.
Учитывая, что при t=0 величина х равна х(0), получаем с=х(0)-хe, x(t)= х+(х(о)- xe)ekt. Если k0, то еkt
 0 и равновесие устойчиво, то есть при отклонении величины х(t) от значения хe она вновь стремится принять это значение.
При k 0 величина еkt —
и, соответственно, х(t) стремится к бесконечности (если начальное состояние не совпадает с состоянием равновесия).
Система приходит к состоянию хe различными способами: как это показано на рисунке 14.3.1a.; на 14.3.1б (при к 0) или на 14.3.1в,г.

Поведение в дискретном времени может быть описано с помощью разностного уравнения, связывающего величины х в соседние моменты времени, то есть xt и хt-1.
Например, в дискретной ситуации, аналогичной уже описанной, может использоваться разностное   уравнение    хt = хt-1 + k(xt-1 – хe), решением которого является х = хe + (х(0)— Xe) (1 + r)t . Это решение может быть найдено (аналогично непрерывному случаю) как сумма общего решения  xt = c(l + k)t  для однородного уравнения xt=(l+k)xt-1 и частного решения xt = xe для исходного разностного уравнения; с учетом хt = х(о) при t = 0. При k 0 система в случае отклонения от xe будет двигаться в направлении xe, при k 0 уходить еще дальше от него. Равновесие устойчиво при -2 k 0 и неустойчиво при k 0 или k -2 (при k -1 показатель х каждый раз «перескакивает» равновесное значение х, причем при k -2 — слишком далеко, чтобы приблизиться в конце концов к х).1
Нужно отметить, что математическое моделирование предполагает определение элементов, составляющих модель, с целью их введения в конкретную модель экономического равновесия. Причем под экономическим равновесием понимается такое состояние системы, которое характеризуется равенством спроса и предложения всех ресурсов, где элементы модели должны совпадать с элементами экономического равновесия.
В целом, в рамках моделирования экономических систем рассматривается вопрос — насколько точно модель экономической динамики отражает процессы, реально происходящие в экономике. Достоверность отражения моделью реальных экономических процессов основывается на практической оценке сопоставления реальности и модели экономической динамики.
Существуют два вида моделей макроэкономической динамики, реализующих дискретный и непрерывный подходы. В обоих случаях модели носят весьма общий, абстрактный характер. В то же время решение может быть найдено в явном виде, причем из него вытекают важные особенности для различных частных случаев соотношения параметров. На этих моделях удобно продемонстрировать простейший аппарат дискретного и непрерывного динамического моделирования, проиллюстрировать важнейшие категории и проблемы макроэкономической динамики.


Понятие и типы государства


Понятие и типы государства Государство — политическая организация, при помощи которой осуществляется управление обществом. Признаками государства являются территориальная организация населения, государственный суверенитет, сбор налогов, законотворчество. Государство подчиняет себе все население, проживающее на определенной территории, независимо от административно-территориального деления.
Государственная власть является суверенной, т.е. верховной, по отношению ко всем организациям и лицам внутри страны, а также независимой, самостоятельной по отношению к иным государствам. Государство является официальным представителем всего общества, всех его членов, именуемых гражданами.
Взимаемые с населения налоги и полученные от него займы направляются на содержание государственного аппарата власти. Государство — это особая организация политической власти, которая располагает специальным аппаратом (механизмом) управления обществом для обеспечения его нормальной деятельности.
Издание законов и правил, обязательных для всего населения данного государства, осуществляется государственным законодательным органом.
Государство и право неразрывно связаны. Государство издает нормы права — правила поведения юридического характера, устанавливаемые или санкционированные государством. Совокупность правовых норм и есть право. Таким образом, право служит своему государству, закрепляет его интересы. В то же время право может воздействовать на развитие общества, производственных отношений.
Изучение государства и права следует начинать с происхождения государства. Возникновению государства предшествовал первобытнообщинный строй, при котором основой производственных отношений была общественная собственность на средства производства. Переход от самоуправления первобытного общества к государственному управлению длился столетия; в различных исторических регионах распад первобытнообщинного строя и появление государства происходили по-разному в зависимости от исторических условий.
Первые государства были рабовладельческими. Вместе с государством возникло и право как выражение воли господствующего класса.
Известно несколько исторических типов государства и права — рабовладельческий, феодальный, буржуазный. Государство одного и того же типа может иметь разные формы устройства, правления, политического режима.
По форме правления различают монархию и республику. Под формой правления понимается организация высших органов государственной власти (порядок их образования, взаимоотношений, степень участия народных масс в их формировании и деятельности). При одном и том же типе государства могут быть разнообразные формы правления. Так, при буржуазном типе государства могут существовать республиканские формы правления и конституционные монархии. Республика может быть парламентарной и президентской.
По форме государственного устройства государства делят на унитарные и федеративные. Унитарные — это единые государства, состоящие лишь из административно-территориальных единиц — областей, провинций, губерний и т.д. Федеративные — это союзные государства, складывающиеся из ряда государственных образований — штатов, кантонов, земель, республик. Конфедерация — союз государств, созданный для определенных целей.
Политический режим может быть демократическим и антидемократическим; государство — правовым, авторитарным, тоталитарным.
Признаками правового государства в условиях демократии являются: выполнение законодательных и контрольных функций представительными органами; наличие государственной власти, включая исполнительную власть; наличие муниципального самоуправления; подчиненность всех подразделений власти закону; независимое и сильное правосудие; утверждение в обществе неотъемлемых, фундаментальных прав и свобод человека.
Правовое государство — это такая форма организации и деятельности государственной власти, которая строится во взаимоотношениях с индивидами и их различными объединениями на основе норм права. Действующее законодательство еще не свидетельствует о наличии в обществе правовой государственности. Российское государство ставит своей целью стать правовым.
Незыблемыми основами конституционного строя России являются народовластие, федерализм, республиканская форма правления, разделение властей.
Функции российского государства Основные, наиболее важные направления деятельности государства проявляются в его функциях. В функциях государства выражается его сущность, та роль, которую государство играет в сановных направлениях общественного развития и удовлетворения потребностей граждан. Функции нашего государства реализуются в основных направлениях деятельности внутри страны и на международной арене.
К внутренним функциям государства относятся:
1) экономическая, которая состоит в выработке и координации стратегических направлений развития экономики страны в условиях перехода от планового хозяйства к рыночной экономике;
2) социальная, которая состоит в совершенствовании общественных отношений, обеспечении всестороннего развития личности, ее социальной защищенности, нормальных условий жизни всех членов общества;
3) культурно-воспитательная, направленная на формирование человека нового общества, развитие демократии, науки, образования, обеспечение всестороннего развития личности, воспитание высокой сознательности;
4) охрана правопорядка, которая заключается в неуклонном проведении в жизнь гарантий законности, реальном воплощении правовых норм в поступках, делах членов общества, в охране частной собственности, прав и законных интересов граждан и организаций;
5) природоохранительная (экологическая) функция, направленная на защиту окружающей среды.
К внешним функциям государства относятся:
1) оборона страны;
2) взаимовыгодное сотрудничество с зарубежными странами;
3) межгосударственное экономическое и политическое сотрудничество государств;
4) культурное и научно-техническое сотрудничество. В настоящее время деление на внутренние и внешние функции утрачивает свое значение, так как многие внутренние функции приобретают внешний характер (например, экологическое направление деятельности государства, исследование космоса и др.) и наоборот.
К основным функциям государства предлагается относить: управленческо-обеспечительную (создание условий и правил для поддержания нормальной жизни и развития общества) и охранительную (пресечение нарушений установленного порядка, воздействие на нарушителей, восстановление нарушенного состояния).
Есть в юридической литературе и другое разделение функций: к внутренним функциям  относят  охранительные,  регулятивные,   социальные,  экономические, налогообложение и взимание налогов; к внешним — оборону страны, международную, внешнеэкономическую, внешнеполитическую деятельность.
Под функциями государства понимается направление, предмет деятельности того или иного политико-правового института, содержание этой деятельности, ее обеспечение.
Функции государства осуществляются его органами. В ст. 3 Конституции РФ сказано:
«Система государственной власти в Российской Федерации основана на принципах разделения законодательной, исполнительной и судебной властей, а также разграничения предметов ведения и полномочий между Российской Федерацией, составляющими ее республиками, краями, областями, автономной областью, автономными округами и местным самоуправлением.
Все государственные органы, формируемые в соответствии с законом путем демократических выборов, и должностные лица подотчетны народу».
Выполнение функций обеспечивается всем государственным механизмом, под которым понимается система органов и учреждений государства, подразделяемых на виды: органы государственной власти, органы государственного управления, суды. Важной составной частью государственного механизма являются вооруженные силы, милиция, органы государственной безопасности, исправительные учреждения. Государственный аппарат состоит из их представителей и осуществляет свою деятельность при широком их участии. Орган государства является, составной частью государственного аппарата, он наделен определенной компетенцией, властными полномочиями, правом действовать от имени государства, опираясь в случае необходимости на содействие аппарата принуждения. Органом государства может быть должностное лицо, выступающее представителем органа государственного управления.1
Право личности представляет собой охраняемую законом возможность что-либо сделать, возможность поступать каким-либо образом, т.е. является осознанно используемой возможностью реализации своих потребностей и нужд.


Понятие комплексной оценки


Понятие комплексной оценки. Комплексная оценка хозяйственной деятельности представляет собой ее характеристику, полученную в результате комплексного исследования, т. е. одновременного и согласованного изучения совокупности показателей, отражающих все (или многие) аспекты хозяйственных процессов, и содержащую обобщающие выводы о результатах деятельности производственного объекта на основе выявления качественных и количественных отличий от базы сравнения (плана, нормативов, предшествующих периодов, достижений на других аналогичных объектах, других возможных вариантов развития).
Для того чтобы комплексная оценка была действенным орудием хозяйственного управления, необходимо разрабатывать практические методы ее конструирования, которые можно было бы использовать в ежедневной работе экономистов-аналитиков.
Комплексная оценка служит инструментом учета, анализа и планирования; индикатором научно-технического состояния хозяйственного объекта в изучаемой совокупности; критерием сравнительного оценивания коммерческой деятельности предприятий и их подразделений; показателем эффективности принятых ранее управленческих решений и полноты их реализации; основой выбора возможных вариантов развития производства и показателей ожидаемых результатов в будущем; стимулятором производства.
В настоящее время, к сожалению, существуют препятствия как методологического, так и организационного характера тому, чтобы комплексная оценка удовлетворяла этим требованиям. Поэтому нередко возникают ситуации, когда полученные тем или иным приемом обобщающие оценки производственно-хозяйственной деятельности не соответствуют экономической действительности или на практике не оправдывают усилий, затраченных на сбор и обработку данных.
При малом числе оцениваемых параметров и относительно небольшом количестве объектов балансовые комиссии как основные звенья на предприятиях, занимающиеся обобщением результатов работы, удачно справляются с поставленными перед ними задачами выявления комплексной оценки.
При увеличении количества объектов и особенно показателей-критериев оценки решение задачи усложняется. Теоретически следует, что надо оценивать достижения предприятий или их подразделений по одному какому-либо показателю, синтезирующему все стороны деятельности этого объекта. Однако сложность производственно - хозяйственной деятельности не позволяет выделить из числа обобщающих результативных показателей какой-либо один в качестве основного.
Задача сводится к определению комплексной оценки хозяйственной деятельности на основе системы показателей с агрегированием различных приемов качественного и количественного анализа. При этом эффективность производственно-хозяйственной деятельности одного хозяйственного объекта может сравниваться с эффективностью деятельности других объектов. В данном случае принято говорить о превращении комплексной оценки в сравнительную комплексную оценку производственно-финансовой деятельности. Причем саму процедуру комплексной сравнительной оценки можно типизировать и расчленять на следующие относительно самостоятельные этапы:
- конкретизация целей и задач комплексной оценки, выбор исходной системы показателей, организация сбора исходной информации, расчет и оценка значений частных показателей (мест, балльных оценок, коэффициентов по исходным показателям и т.д.);
- обеспечение сравнимости оцениваемых показателей (определение коэффициентов сравнительной значимости);
- выбор конкретной методики, т.е. разработка алгоритмов и программ расчета комплексных сравнительных оценок;
- расчет комплексных оценок, экспериментальная  проверка адекватности комплексных обобщающих оценок реальной экономической действительности, анализ и использование комплексных сравнительных оценок.
Осуществление разных этапов построения комплексных оценок связано со многими нерешенными проблемами, например при выборе целей оценки, определении системы оцениваемых показателей и коэффициентов их сравнительной значимости, а также с затруднениями при разработке вычислительного алгоритма. Становится ясно, что конкретные значения обобщающих оценок определяются не только трудовым вкладом коллективов исследуемых хозяйственных объектов, но во многом зависят от совершенства проведения отдельных этапов построения комплексных оценок. По этой причине их нахождение и использование требуют пристального внимания и существенного совершенствования.
Постановка задачи комплексной оценки результатов хозяйственной деятельности. В качестве примера построения комплексной оценки рассмотрим подведение итогов хозяйственной деятельности.
На фирме подводятся итоги за месяц по следующим показателям бизнес-плана: выпуску реализованной продукции, выпуску товарной продукции, групповому ассортименту, сортности продукции, производительности труда, экономии фонда заработной платы (в процентах к предшествующему периоду), соотношению роста производительности труда и фонда заработной платы (в процентах по сравнению с соответствующим периодом прошлого года), себестоимости продукции, ритмичности. Заметим, что система показателей оценки диктуется конкретными условиями производства.
Для получения обобщающих комплексных оценок можно применять различные методы сведения различных показателей в единый интегральный показатель.
Сведение ряда показателей в единый интегральный показатель позволяет определить отличие достигнутого состояния от базы сравнения в целом по группе выбранных показателей и, хотя не дает возможности измерить степень отличия, позволяет сделать однозначный вывод об улучшении (ухудшении) результатов работы за анализируемый промежуток времени. Однако конструирование интегрального показателя не означает, что для оценки используется лишь он один. Напротив, интегральный показатель предполагает исследование системы показателей, лежащих в основе оценки, а выводы, полученные только на базе интегрального показателя, носят лишь ориентировочный характер, выполняют вспомогательную (хотя и важную) роль определения характера изменений (отличий) в результатах хозяйственной деятельности в целом по всем показателям. И именно потому, что интегральный показатель дает существенную дополнительную информацию для объективной оценки результатов деятельности производственного объекта, необходимо разрабатывать и совершенствовать методы построения интегрального показателя.
Методы детерминированной комплексной оценки. Интегральный показатель комплексной оценки получается методом сумм, т.е. суммированием фактических значений, или же рассчитывается для каждого производственного объекта по формуле

где — х
, х
соответственно фактическое и базисное значения i -гo показателя на j –м производственном объекте; i = 1, 2,..., п; j = 1, 2,..., m.
Необходимым условием правильной оценки при использовании интегральных показателей, полученных по приведенной выше формуле, является однонаправленность исследуемых показателей, т.е. увеличение (уменьшение) значения любого частного показателя расценивается как улучшение результатов хозяйственной деятельности, а соответственно уменьшение (увеличение) значения частного показателя — как ухудшение результатов деятельности производственного объекта. Однонаправленность частных показателей позволяет ранжировать производственные объекты по возрастанию (убыванию) значений интегрального показателя.
Оценка результатов хозяйственной деятельности по методу сумм может строиться по различным частным показателям, и не только в сравнении с планом, но и с предыдущими периодами (оценка динамики) и с эталонными значениями показателей по группе производственных объектов.
Недостатком метода сумм является возможность высокой оценки результатов по интегральному показателю при значительном отставании по какому-либо частному показателю, которое покрывается за счет высоких достижений по другим частным показателям. В определенной степени этот недостаток может быть ликвидирован, если наряду с единым интегральным показателем рассчитывать два дополнительных показателя, отражающих отдельно сумму положительных и сумму отрицательных отклонений значений частных показателей от базы сравнения.1
Процедура, используемая исследователем теории и практики экономики для фиксации избранного фрагмента, воздействует как на дальнейший ход исследования, так и на условия различения содержания и направленности развития данного фрагмента на практике. Присутствие при этом долгосрочных целей в характере реализации любых, в том числе и тактических задач, требует учета интересов различных субъектов. Условием эффективного учета различных интересов в практике отдельного экономического действия является изучение и использование моделей согласования интересов.


Понятие о статистических рядах динамики


Понятие о статистических рядах динамики Коммерческая деятельность на рынке товаров и услуг развивается во времени. Изучение происходящих при этом изменений является одним из необходимых условий познания закономерностей их динамики. Динамизм социально-экономических явлений есть результат взаимодействия разнообразных причин и условий. И поскольку их совокупное действие происходит во времени, то при статистическом изучении динамики коммерческой деятельности время предстает как собирательный фактор развития.
Основная цель статистического изучения динамики коммерческой деятельности состоит в выявлении и определении закономерностей ее развития во времени. Это достигается посредством построения и анализа статистических рядов динамики.
Рядами динамики называются статистические данные, отображающие развитие изучаемого явления во времени.
В каждом ряду динамики имеются два основных элемента:
1) показатель времени t;
2) соответствующие ему уровни развития изучаемого явления у.
В качестве отчета времени в рядах динамики выступают либо определенные даты (моменты) времени, либо отдельные периоды (годы, кварталы, месяцы, сутки).
Уровни рядов динамики отображают количественную оценку (меру) развития во времени изучаемого явления. Их можно выражать абсолютными, относительными или средними величинами.
В зависимости от характера изучаемого явления уровни рядов динамики могут относиться или к определенным датам (моментам) времени, или к отдельным периодам. В соответствии с этим ряды динамики подразделяются на моментные и интервальные.
Моментные ряды динамики отображают состояние изучаемых явлений на определенные даты (моменты) времени.
Примером моментного ряда динамики является следующая информация о списочной численности работников магазина в 1998 г.:
Дата
1.01. 1998 г.
1.04. 1998 г.
1.07. 1998г.
1.10. 1998г.
1.01. 1999 г.
Число работников, чел.
192
190
195
198
200

Особенностью моментного ряда динамики является то, что в его уровни могут входить одни и те же единицы изучаемой совокупности. Так, основная часть персонала магазина, составляющая списочную численность на 1.01.1999 г., продолжающая работать в течение данного года, отображена в уровнях последующих периодов. Поэтому при суммировании уровней моментного ряда динамики может возникнуть повторный счет.
Посредством моментньгх рядов динамики в торговле изучают товарные запасы, состояние кадров, количество оборудования и другие показатели, отображающие состояние изучаемых явлений на отдельные даты (моменты) времени.
Интервальные ряды динамики отображают итоги развития (функционирования) изучаемых явлений за отдельные периоды (интервалы) времени.
Примером интервального ряда динамики могут служить данные о розничном товарообороте магазина в 1994-98 гг. (выражены в одном масштабе):
Год
1994
1995
1996
1997
1998
Объем розничного товарооборота, тыс. руб.
885,7
932,6
980,1
1028,7
1088,4

Особенностью интервального ряда динамики является то, что каждый его уровень складывается из данных за более короткие интервалы (субпериоды) времени. Например, суммируя товарооборот за первые три месяца года, получают его объем за I квартал, а сумма товарооборота четырех кварталов дает объем товарооборота за год и т.д.
Свойство суммирования уровней за последовательные интервалы времени позволяет получать ряды динамики более укрупненных периодов.
Посредством интервальных рядов динамики в торговле изучается изменение во времени поступления и реализации товаров, суммы издержек обращения и других показателей, отображающих итоги функционирования (развития) изучаемых явлений за отдельные периоды.
Статистическое отображение развития изучаемого явления во времени может быть представлено рядами динамики с нарастающими итогами. Их применение обусловлено потребностями отображения результатов развития изучаемых показателей не только за данный отчетный период, но и с учетом предшествующих периодов. При составлении таких рядов производится последовательное суммирование смежных уровней. Этим достигается суммарное обобщение результата развития изучаемого показателя с начала отчетного периода (месяца, квартала, года и т.д.).
Ряды динамики с нарастающими итогами строятся при определении общего объема товарооборота в розничной торговле. Так, объем продаж товаров в магазине определяется каждый месяц обобщением товарно-денежных отчетов за отдельные операционные периоды (пятидневки, недели, декады и т.д.).
В качестве примера воспользуемся следующими данными о ходе реализации товаров в магазине за октябрь 1997 г. (табл. 17.3.3).
Таблица 17.3.3
Пятидневки
Розничная реализация товаров, тыс. руб.
за пятидневку
с начала месяца
Первая
5,2
5,2
Вторая
4,3
5,2 + 4,3 = 9,5
Третья
12,4
9,5+12,4=21,9
Четвертая
18,0
21,9+18,0=39,9
Пятая
21,9
39,9+21,9=61,8
Шестая
18,4
61,8+18,4=80,2

Данные гр. 3 табл. 17.3.3 отображают обобщенные с начала месяца результаты продаж товаров по отдельным периодам месячного цикла работы магазина.
С помощью рядов динамики изучение закономерностей развития социально-экономических явлений осуществляется в следующих основных направлениях:
1) характеристика уровней развития изучаемых явлений во времени;
2) измерение динамики изучаемых явлений посредством системы статистических показателей;
3) выявление и количественная оценка основной тенденции развития (тренда);
4) изучение периодических колебаний;
5) экстраполяция и прогнозирование.


Порядок ценообразования


Порядок ценообразования Ценообразование —сложный и многоэтапный процесс, который можно представить в следующем виде ( 18.2.4).

Выбор цели. Любая фирма должна прежде всего определить, какую цель она преследует, выпуская конкретный товар. Если четко определены цели и положение товара на рынке, то проще и легче сформировать комплекс маркетинга и установить цену. Существуют три основные цели ценовой политики маркетинга: обеспечение сбыта (выживаемости), максимизация прибыли, удержание рынка.
Обеспечение сбыта — главная цель фирм, осуществляющих свою деятельность в условиях жесткой конкуренции, когда на рынке много производителей с аналогичными товарами. Эту цель фирмы выбирают в случаях, когда: во-первых, ценовой спрос потребителей эластичен (Эр); во-вторых, фирма желает добиться максимального роста объема сбыта и увеличения совокупной прибыли путем некоторого снижения дохода с каждой единицы товара; в-третьих, фирма предполагает, что увеличение объема реализации сократит относительные издержки производства и сбыта; в-четвертых, ясно, что низкие цены отпугивают конкурентов; в-пятых, существует большой рынок потребления. Для достижения поставленной цели используются заниженные цены — цены проникновения; они предназначены для захвата большей доли рынка и способствуют увеличению объема сбыта.
Цель, основанная на максимизации прибыли, имеет несколько разновидностей. Например, фирма стремится к достижению стабильно высокого уровня прибыли (на год или ряд лет). Такая цель ставится не только компанией, имеющей устойчивое положение на рынке, но и не слишком уверенной в своем будущем фирмой, пытающейся максимально использовать выгодную для себя конъюнктуру рынка. Разновидностями цели, основанной на максимизации прибыли, могут быть:
- установление фирмой стабильного дохода на ряд лет, соответствующего размеру средней прибыли;
- расчет роста цены, а следовательно, и прибыли в связи с ростом стоимости капиталовложений;
- стремление к быстрому получению первоначальной прибыли, так как компания не уверена в благоприятном развитии бизнеса или ей не хватает денежных средств.
Прибыль, к получению которой стремится фирма, может исчисляться в относительном или абсолютном выражении.
Абсолютная прибыль — это доход, который получает продавец от реализации всех товаров за вычетом расходов.
Относительная прибыль рассчитывается на одно изделие. Таким образом, абсолютную прибыль можно получить и как произведение относительной прибыли на количество единиц реализованного товара. Разные товары имеют различную относительную прибыль. Так, товары первой необходимости (хлеб, молоко) имеют низкую относительную прибыль, в то время как предметы, удовлетворяющие престижные потребности, обладающие высоким качеством, обеспечивают высокие относительные прибыли. Такие прибыли, как правило, опираются на престижные цели. Однако заметим, что общий высокий доход получают и компании, использующие цены проникновения.
Выбирая цель, основанную на максимизации прибыли, фирма дает оценку спроса и издержек применительно к разным условиям, и останавливается на таких ценах, которые обеспечат в будущем максимальную прибыль.
Цель, основанная на удержании рынка, состоит в сохранении фирмой существующего положения дел на рынке или благоприятных условий для своей деятельности. С этой целью фирма предпринимает все возможные шаги для предотвращения спада сбыта и обострения конкурентной борьбы.
Работая в реальных условиях, компании тщательно следят за ситуацией на рынке:
динамикой цен, появлением новых товаров, действиями конкурентов. Они не допускают чрезмерного завышения или занижения цен на свою продукцию и стремятся снижать издержки производства и сбыта.
Определение спроса. Следующим этапом установления цены является определение спроса. Нельзя устранить или отложить этот важный этап исследования рынка, так как невозможно рассчитать цену, не изучив спрос на данный товар. Вместе с тем следует иметь в виду, что высокая или низкая цена, назначенная фирмой, сразу не отразится на спросе на товар. Зависимость между ценой и соответствующим ей уровнем спроса отражена кривой спроса ( 18.2.5). Кривая спроса показывает, что чем выше цена, тем ниже спрос. При прочих равных условиях покупатель с ограниченным бюджетом откажется от приобретения товара с высокой ценой, если ему будет предложен выбор альтернативных товаров. Однако это соотношение будет другим, если речь идет о сбыте престижных товаров. Потребители престижных товаров считают, что рост цен с Р^ до Р^ вызван улучшением качества товара, его соответствием моде, а также ростом инфляции.

Ни одна фирма не может не следить за изменением спроса. Различия в подходах к определению спроса обусловливаются типом рынка. В условиях чистой монополии, где на рынке всего один продавец, кривая спроса показывает обратную зависимость между спросом и ценой, а также обоснованность спроса при той цене, которую установила фирма. С появлением конкурентов кривая спроса будет меняться под влиянием ценовой политики других фирм.
Определяя величину спроса на свой товар, фирма должна провести его оценку при разных ценах и попытаться выяснить причины его изменения.
Как было отмечено, на величину спроса влияют разные факторы, среди которых выделяются потребность в товаре, отсутствие замены или конкурентов, платежеспособность потенциальных покупателей, покупательские привычки и т.п. Приспосабливая цену товара к спросу, следует помнить, что спрос по-разному реагирует на цену. Степень чувствительности спроса к изменению цены показывает коэффициент эластичности спроса. Исследователю рынка при определении спроса необходимо обязательно рассчитывать этот коэффициент.
Анализ издержек. Спрос на товар очерчивает верхний уровень цены, которую фирма может установить. Валовые издержки производства (сумма постоянных и переменных издержек) определяют минимальную ее величину. Это важно учитывать, если фирма снижает цены. Тогда появляется реальная угроза понести убытки из-за снижения цен ниже издержек. Подобную политику фирма может проводить только в короткий период проникновения на рынок. Не говорят о хорошо продуманной политике цен и частые пересмотры цен, вызванные колебаниями издержек и спроса. Целесообразнее учитывать издержки по нормативам.
Анализ цен конкурентов. Существенное влияние на цену оказывает поведение конкурентов и цены на их продукцию. Каждая фирма должна знать цены на продукцию конкурентов и отличительные черты их товаров. С этой целью делаются сравнительные покупки, в результате которых проводится анализ цен, товаров и качества. Фирма может использовать полученную информацию как исходную для целей ценообразования и определения своего места среди конкурентов.
Выбор метода ценообразования. Пройдя все описанные этапы установления цены, проанализировав спрос, рассчитав валовые издержки, зная цены конкурентов, фирма может приступить к определению цены на товар. Очевидно, что оптимальная цена должна полностью возмещать все издержки производства, распределения и сбыта товара, а также обеспечивать получение определенной нормы прибыли. Возможны три направления установления уровня цены: минимальные цены, определяемые затратами; максимальные цены, сформированные спросом; оптимально возможные цены ( 18.2.6). Существует несколько основных методик расчета цены и в каждой фирма стремится учесть хотя бы одно из направлений установления цены.


Слишком низкая цена
Возможная цена
Слишком высокая цена
Получение прибыли при этой цене невозможно
Себестоимость продукции
Цены конкурентов и цены товаров-заменителей
Уникальные достоинства товара
Формирование спроса при этой цене
18.2.6. Три направления установления уровня цены

Наиболее простой и распространенной считается методика «средние издержки плюс прибыль», которая заключается в начислении наценки на себестоимость товара. Величина наценки, добавляемая фирмой, может быть стандартной для каждого вида товара и широко дифференцируется в зависимости от вида товара, стоимости единицы изделия, объемов продаж и т.д.
Однако стандартная наценка не позволяет в каждом конкретном случае учесть особенности покупательского спроса и конкуренции, а следовательно, определить и оптимальную цену. И все же данная методика очень продуктивна. Это объясняется тремя причинами.
Во-первых, как бы тщательно продавцы ни изучали спрос покупателей и цену конкурентов, но издержки они знают лучше. Поэтому, устанавливая цены на базе издержек, они не обязаны все время пересматривать цены вслед за колебаниями спроса.
Во-вторых, признано, что это самый справедливый метод по отношению и к продавцу, и к покупателю.
В-третьих, метод уменьшает ценовую конкуренцию, так как все фирмы отрасли рассчитывают цену по одному и тому же принципу «средние издержки плюс прибыль», поэтому их цены очень близки друг к другу.
Другой метод ценообразования, основанный на издержках, ориентирован на получение целевой прибыли. В этом случае цена сразу устанавливается фирмой из расчета желаемого объема прибыли. Однако для возмещения издержек производства необходимо реализовать определенный объем продукции по данной цене или же по более высокой цене, но не меньшее ее количество. Здесь особую важность приобретает ценовая эластичность спроса. Используя этот метод ценообразования, фирма должна рассчитать, при каком уровне цены будут достигнуты объемы продаж, позволяющие покрыть валовые издержки и получить целевую прибыль.
Расчет цены на основе «ощущаемой ценности» товара является одним из самых оригинальных методов ценообразования, широко применяемых в настоящее время в разных странах. В данном методе затратные ориентиры отходят на второй план, уступая место восприятию покупателем товара. Для того, чтобы усилить в его сознании ценность товара, продавец использует ценовые меры воздействия: предоставляет сервисное обслуживание, особые гарантии покупателям, право пользования товарной маркой фирмы в случае перепродажи и т.д. Цена только подкрепляет ощущаемую ценность товара.
Установление окончательной цены — это заключительный этап ценообразования. Остановив свой выбор на одной из перечисленных выше методик, фирма может приступить к расчету окончательной цены. При этом следует помнить, что цена должна учитывать психологическое восприятие товара фирмы покупателем. Например, для многих потребителей единственная информация о качестве товара заключена в цене, т.е. цена выступает показателем качества. Известно немало случаев, когда с ростом цен увеличивается объем сбыта.
Важно иметь в виду и симпатии покупателей к неокругленным ценам (не 10000 руб., . а 9989 руб., тогда многие воспринимают эту цену как девять с лишним тысяч). У покупателя создается иллюзия, что ему делается уступка ценой.
Назначаемую цену надо также проверить на соответствие ценового образа фирмы проводимой ценовой политике.
И наконец, необходимо прогнозировать реакцию конкурентов на предлагаемую цену.1
Информация, необходимая для принятия решения по ценам. Приступая к решению вопроса о цене товара, фирма-производитель должна собрать полную информацию о рынке выпускаемого товара. Данные служат лишь исходным материалом, анализируя который, можно получить доброкачественную информацию. Не проведя такой анализ, фирма будет иметь просто набор фактов и цифр, которые только затруднят принятие правильного решения по ценам. Руководству фирмы нужно определить: в каких направлениях собирать данные; по каким вопросам требуется информация; какой широты информация потребуется по каждому вопросу. Как правило, компании собирают информацию по следующим основным направлениям: рынок товара (тип конкуренции); отрасль промышленности, в которой осуществляет свою деятельность фирма; конкурирующие отрасли промышленности; правительственная деятельность.
Как правило, компании необходима исчерпывающая информация о конкурентах и конкурирующих товарах; производстве и затратах; соотношении между выручкой от реализации товара и прибылью; о правительственной политике.
Процесс ценообразования на продукцию фирмы не заканчивается установлением окончательной цены. В связи с тем, что рынок и уровень сбыта товаров подвержены влиянию некоторых постоянно меняющихся факторов (политическая нестабильность, общеэкономические факторы, истощение природных ресурсов, изменение экологической обстановки, демографическая ситуация и т.д.), перед фирмой стоит задача управления ценами, которое осуществляется при помощи внесения соответствующих изменений в прейскуранты, оговорок в контракты, компенсаций.
Прейскуранты — это систематизированный сборник цен на продукцию фирмы, предлагаемый покупателю. Обычно компания-продавец заранее фиксирует цены в бланках заказов.
В тех случаях, когда изменения в издержках производства и рыночной конъюнктуре не позволяют оперативно внести их в прейскуранты, используют оговорки о росте цен. У предприятия не всегда имеется возможность оперативно корректировать действующие прейскуранты. Это связано прежде всего с частыми изменениями издержек производства и конъюнктуры рынка. Поэтому фирме-производителю целесообразно в контракте о сбыте предусматривать правовые возможности повышения цен без соответствующего прейскуранта. Для этого и используются специальные оговорки о росте цен, с помощью которых производитель получает возможность перенести риск на своих покупателей.2


Порядок составления бухгалтерских отчетов


Порядок составления бухгалтерских отчетов Для того чтобы бухгалтерская отчетность соответствовала предъявляемым к ней требованиям, при составлении бухгалтерских отчетов должно быть обеспечено соблюдение следующих условий: полное отражение за отчетный период всех хозяйственных операций и результатов инвентаризации всех производственных ресурсов, готовой продукции и расчетов; полное совпадение данных синтетического и аналитического учета, а также показателей отчетов и балансов с данными синтетического и аналитического учета; осуществление записи хозяйственных операций в бухгалтерском учете только на основании надлежаще оформленных оправдательных документов или приравненных к ним технических носителей информации; правильная оценка статей баланса.
Составлению отчетности должна предшествовать значительная подготовительная работа, осуществляемая по заранее составленному специальному графику. Важным этапом подготовительной работы составления отчетности является закрытие в конце отчетного периода всех операционных счетов: калькуляционных, собирательно-распределительных, сопоставляющих, финансово-результативных. До начала этой работы должны быть осуществлены все бухгалтерские записи на синтетических и аналитических счетах (включая результаты инвентаризации), -проверена правильность этих записей.
Приступая к закрытию счетов, следует иметь в виду, что современные организации являются сложными объектами учета и калькулирования себестоимости продукции. Их продукция используется по различным направлениям. Взаимные услуги оказывают друг другу и основному производству вспомогательные производства. При взаимном использовании продукции и услуг невозможно во всех случаях отнести на все объекты калькуляции фактические затраты. Какую-то часть затрат по некоторым объектам калькуляции организации вынуждены отражать в плановой оценке. В этих условиях важное значение имеет обоснование последовательности закрытия счетов.
Обобщение накопленного опыта в этом деле позволило выработать следующие рекомендации: закрытие счетов начинают со счетов производств, имеющих максимальное количество потребителей и минимальные встречные затраты, и заканчивают счетами с минимальным количеством потребителей и максимальным количеством встречных затрат. В соответствии с данным подходом закрытие счетов осуществляют в следующей последовательности.
В первую очередь исчисляют себестоимость услуг вспомогательных производств и закрывают счет 23 «Вспомогательные производства». Во вторую очередь распределяются расходы будущих периодов, общепроизводственные и общехозяйственные расходы и закрываются следующие счета: 31 «Расходы будущих периодов», 25 «Общепроизводственные расходы», 26 «Общехозяйственные расходы». Затем калькулируют себестоимость продукции основных отраслей производства и списывают затраты со счета 20 «Основное производство». После этого осуществляют списание затрат со счета 29 «Обслуживание производства и хозяйства». В порядке последующей очередности производятся записи на счетах по учету капитальных вложений, определяется финансовый результат от деятельности организации и закрываются счета 46 «Реализация продукции (работ, услуг)», 47 «Реализация и прочее выбытие основных средств» и 48 «Реализация прочих активов», распределяется прибыль и закрывается счет 80 «Прибыли и убытки».
При составлении форм бухгалтерской отчетности используются в основном данные Главной книги. Порядок составления отчетных форм подробно изложен в Инструкции о порядке заполнения форм годовой бухгалтерской отчетности.
Отчетным годом для всех организации считается период с 1 января по 31 декабря включительно.
Первым отчетным годом для создаваемых организации считается период с даты их государственной регистрации по 31 декабря включительно. Вновь созданным организациям после 1 октября разрешается считать первым отчетным годом период с даты их государственной регистрации по 31 декабря следующего года включительно.
Данные вступительного баланса должны соответствовать данным утвержденного заключительного баланса за период, предшествующий отчетному. В случае изменения вступительного баланса на 1 января отчетного года причины следует объяснить.
Изменения в бухгалтерской отчетности, относящиеся как к текущему, так и к прошлому году (после ее утверждения), производятся в отчетности, составляемой за отчетный период, в котором были обнаружены искажения ее данных.
Исправления ошибок в бухгалтерской отчетности подтверждаются подписью лиц, ее подписавших, с указанием даты исправления.
Бухгалтерская отчетность подписывается руководителем и главным бухгалтером (бухгалтером) организации. В организации, где бухгалтерский учет ведется на договорных началах специализированной организацией или специалистом, бухгалтерская отчетность подписывается руководителем этой организации и специалистом, ведущим бухгалтерский учет.
Содержание бухгалтерского баланса и правила оценки его статей Основной формой бухгалтерской отчетности является бухгалтерский баланс. Его составляют на основе данных об остатках по дебету и кредиту синтетических счетов и субсчетов на начало и конец периода, взятых из Главной книги.
При журнально-ордерной форме учета обороты по кредиту каждого счета записывают в Главную книгу только из журналов-ордеров. Обороты по дебету отдельных счетов собирают в Главной книге из нескольких журналов-ордеров в разрезе корреспондирующих счетов.
При мемориально-ордерной форме учета запись на счетах Главной книги производят непосредственно по данным мемориальных ордеров.
В организациях, применяющих машинно-ориентированные формы учета Главная книга создается с использованием вычислительной техники на основе машинограмм, магнитных лент, дисков, дискеток и иных машинных носителей.
На малых предприятиях, применяющих упрощенную форму учета, баланс составляют по данным Книги учета хозяйственных операций.
Следует отметить, что некоторые балансовые статьи заполняют непосредственно по остаткам соответствующих счетов («Касса», «Расчетный счет» и др.).
Значительная часть балансовых статей отражает сгруппированные данные нескольких синтетических счетов.
Например, по статье «Сырье, материалы и другие аналогичные ценности» отражается сальдо по счетам 10, 15 и 16; по статье «Затраты в незавершенном производстве» — сальдо счетов 20, 21, 23, 29, 30, 36, 44 и т.п.
Основное содержание бухгалтерского баланса представлено Положением по бухгалтерскому учету № 4 (ПБУ).
Конкретизация содержания баланса по годам осуществляется приказами Минфина РФ по квартальной и годовой отчетности. Например, содержание бухгалтерского баланса за 1997 отчетный год было определено приказами Минфина РФ от 12 ноября 1996 г.   № 97 и от 21 ноября 1997 г. № 81-н.
Правша оценки статей баланса. Правила оценки статей баланса установлены Положением о бухгалтерском учете и инструкциями по составлению бухгалтерской отчетности.
В соответствии с Положением о бухгалтерском учете и отчетности основные средства, нематериальные активы и МБП отражают в балансе по остаточной стоимости; сырье, основные и вспомогательные материалы, покупные полуфабрикаты и комплектующие изделия, топливо, тару, запасные части и другие материальные ресурсы — по фактической себестоимости; готовую и отгруженную продукцию в зависимости от порядка списания общехозяйственных расходов и использования счета 37 «Выпуск продукции, работ, услуг» — по полной или неполной фактической производственной себестоимости и по полной или неполной нормативной (плановой) себестоимости продукции.
Товары в организациях торговли, снабжения и сбыта отражают в отчетности по продажной или покупной стоимости. Разницу между этими ценами отражают в отчетности отдельной статьей.
Незавершенное производство в массовом и серийном производстве может отражаться в балансе по нормативной (плановой) производственной себестоимости или по прямым статьям расходов, а также по стоимости сырья, материалов и полуфабрикатов. При единичном производстве продукции незавершенное производство отражают по фактическим производственным затратам.
Материальные ценности, на которые цена в течение года снизилась либо которые морально устарели и частично потеряли свое первоначальное качество, отражают в бухгалтерском балансе на конец отчетного года по цене возможной реализации, когда они ниже первоначальной стоимости приобретения, с отнесением разницы в ценах на результаты хозяйственной деятельности.
Остатки средств организации по валютным счетам, другие денежные средства (включая денежные документы), ценные бумаги, дебиторскую и кредиторскую задолженность в иностранных валютах отражают в отчетности в валюте, действующей на территории РФ, в суммах, определяемых путем пересчета иностранных валют по курсу Центрального банка РФ, действующему на последнее число отчетного периода.
Расчеты с дебиторами и кредиторами каждая сторона отражает в своей отчетности в суммах, вытекающих из бухгалтерских записей и признаваемых ею правильными. При разногласиях заинтересованная сторона обязана в установленные сроки передать необходимые материалы на рассмотрение органам, уполномоченным разрешать соответствующие споры.
Дебиторскую задолженность, по которой истек срок исковой давности, другие долги, нереальные для взыскания, списывают по решению руководителя предприятия за счет резерва сомнительных долгов либо на финансовые результаты хозяйственной деятельности, или на уменьшение финансирования (фондов) у бюджетных организаций.
Списание долга в убыток вследствие неплатежеспособности не является аннулированием задолженности. Она отражается за балансом в течение 5 лет с момента списания для наблюдения за возможностью ее взыскания с должника в случае изменения его имущественного положения.
Суммы кредиторской и депонентской задолженностей, по которым истек срок исковой давности, списывают на финансовые результаты хозяйственной деятельности или на увеличение финансирования (фондов) у бюджетных организаций.
Отражаемые в отчетности суммы по расчетам с финансовыми, налоговыми органами, учреждениями банков должны быть согласованы с ними и тождественны. Оставление на балансе неотрегулированных сумм по этим расчетам не допускается.
Штрафы, пени и неустойки, признанные должником или по которым получены решения суда, арбитража об их взыскании, относят на финансовые результаты организации или на финансирование (фонды) у бюджетной организации и до их получения или уплаты отражают в отчетности получателя и плательщика соответственно по статьям дебиторов или кредиторов.
В случае реализации и прочего выбытия имущества организации (основных средств, производственных запасов, ценных бумаг и др.) убыток или доход по этим операциям относят на финансовые результаты организации.
При безвозмездной передаче основных средств и иного имущества выявленный финансовый результат относят на собственные источники средств организации.
Невозмещенные потери от стихийных бедствий списывают по решению руководителя организации за счет средств резервного капитала, или на финансовые результаты отчетного года организации (если у организации не образуется резервный капитал либо средств капитала недостаточно), или на уменьшение финансирования (фондов) у бюджетной организации.1


Построение модели


Построение модели. После правильной постановки задачи следующим этапом процесса предусмотрено построение модели. Разработчик должен определить главную цель модели, какие выходные нормативы или информацию предполагается получить, используя модель, чтобы помочь руководству разрешить стоящую перед ним проблему. Если продолжить приведенный выше пример, нужная выходная информация должна представлять точные нормативы времени и количества подлежащих заказу исходных материалов и запасных частей.
В дополнение к установлению главных целей, специалист по науке управления должен определить, какая информация требуется для построения модели, удовлетворяющей этим целям и выдающей на выходе нужные сведения. В нашем случае необходимой информацией будет точный прогноз потребности по каждому исходному реагенту, сведения о характере закупаемых материалов в каждом виде продукции, ожидаемой долговечности деталей оборудования, сроке службы каждой детали и т.п.
Может случиться, часто с известной долей вероятности, что эта необходимая информация разбросана по многим источникам.
К другим факторам, требующим учета при построении модели, следует отнести расходы и реакцию людей. Модель, которая стоит больше, чем вся задача, требующая решения с помощью модели, конечно, не внесет никакого вклада в приближение к целям организации. Подобным образом, излишне сложная модель может быть воспринята конечными пользователями как угроза и отвергнута ими. Таким образом, для построения эффективной модели руководителям и специалистам по науке управления следует работать вместе, взаимно увязывая потребности каждой стороны. Школа научного управления признает эти потенциальные проблемы.
Проверка модели на достоверность. После построения модели ее следует проверить на достоверность. Один из аспектов проверки заключается в определении степени соответствия модели реальному миру. Специалист по науке управления должен установить — все ли существенные компоненты реальной ситуации встроены в модель. Это, конечно, может оказаться непростым делом, если задача сложна. Проверка многих моделей управления показала, что они несовершенны, поскольку не охватывают всех релевантных переменных. Естественно, чем лучше модель отражает реальный мир, тем выше ее потенциал как средства оказания помощи руководителю в принятии хорошего решения, если предположить, что модель не слишком сложна в использовании.
Второй аспект проверки модели связан с установлением степени, в которой информация, получаемая с ее помощью, действительно помогает руководству совладать с проблемой.
Применение модели. После проверки на достоверность модель готова к использованию. Как говорит Шеннон, ни одну модель науки управления «нельзя считать успешно выстроенной, пока она не принята, не понята и не применена на практике». Это кажется очевидным, но зачастую оказывается одним из самых тревожных моментов построения модели. Согласно одному обследованию отделов, анализирующих операции на корпоративном уровне, лишь около 60% моделей науки управления были использованы в полной или почти полной мере. В других обследованиях также установлено, что финансовые руководители американских корпораций и западно-европейские управляющие маркетингом недостаточно широко используют модели для принятия решений. Основная причина недоиспользования моделей руководителями, которые должны их применять, возможно заключается в том, что они их опасаются или не понимают.
Если модели науки управления создаются специалистами штабных служб (а так обычно и бывает), линейные руководители, для которых они предназначены, должны принимать участие в постановке задачи и установлении требований по информации, получаемой из модели. Согласно исследованиям, когда это имеет место, применение моделей увеличивается на 50%. Кроме того, таких руководителей следует научить использовать модели, объяснив среди прочего, как модель функционирует, каковы ее потенциальные возможности и ограничения.
Обновление модели. Даже если применение модели оказалось успешным, почти наверняка она потребует обновления. Руководство может обнаружить, что форма выходных данных не ясна или желательны дополнительные данные. Если цели организации изменяются таким образом, что это влияет на критерии принятия решений, модель необходимо соответствующим образом модифицировать. Аналогичным образом, изменение во внешнем окружении — например, появление новых потребителей, поставщиков или технологии — может обесценить допущения и исходную информацию, на которых основывалась модель при построении.
Как все средства и методы, модели науки управления могут привести к ошибкам. Эффективность модели может быть снижена действием ряда потенциальных погрешностей. Наиболее часто встречающиеся — недостоверные исходные допущения, ограниченные возможности получения нужной информации, страхи пользователя, слабое использование на практике, чрезмерно высокая стоимость.
Недостоверные исходные допущения. Любая модель опирается на некоторые исходные допущения или предпосылки. Это могут быть поддающиеся оценке предпосылки, например, что расходы на рабочую силу в следующие шесть месяцев составят 200 тыс. долл. Такие предположения можно объективно проверить и просчитать. Вероятность того, что они точны, будет высока. Некоторые предпосылки не поддаются оценке и не могут быть объективно проверены. Предположение о росте сбыта в будущем году на 10% — пример допущения, не поддающегося проверке. Никто не знает наверняка, произойдет ли это действительно. Поскольку такие предпосылки являются основой модели, точность последней зависит от точности предпосылок. Модель нельзя использовать для прогнозирования, например, потребности в запасах, если неточны прогнозы сбыта на предстоящий период.
В дополнение к допущениям по поводу компонентов модели, руководитель формулирует предпосылки относительно взаимосвязей внутри нее. К примеру, модель,
предназначенная помочь в решении о том, сколько галлонов краски разных типов следует производить, должна, вероятно, включать допущение относительно зависимости между продажной ценой и прибылью, а также стоимостью материалов и рабочей силы. Точность модели зависит также от точности этих взаимосвязей.
Информационные ограничения. Основная причина недостоверности предпосылок и других затруднений — это ограниченные возможности в получении нужной информации, которые влияют и на построение, и на использование моделей. Точность модели определяется точностью информации по проблеме. Если ситуация исключительно сложна, специалист по науке управления может быть не в состоянии получить информацию по всем релевантным факторам или встроить ее в модель. Если внешняя среда подвижна, информацию о ней следует обновлять быстро, но это может быть нереализуемым или непрактичным.
Иногда при построении модели могут быть проигнорированы существенные аспекты, поскольку они не поддаются измерению. Например, модель определения эффективности новой технологии будет некорректной, если в piee встроена только информация о снижении издержек в соответствии с увеличением специализации. Трудно предсказуемое и измеряемое воздействие психологических установок рабочих также отражается на производительности. Если рабочим не нравится новый процесс, то рост издержек по • причине прогулов, высокая текучесть кадров и заторы на производственных линиях могут помешать приросту производительности.
В общем, построение модели наиболее затруднительно в условиях неопределенности. Когда необходимая информация настолько неопределеьша, что ее трудно получить, исходя из критерия объективности, руководителю, возможно, целесообразнее положиться на свой опыт, способность к суждению, интуицию и помощь консультантов.
Страх пользователей. Модель нельзя считать эффективной, если ею не пользуются. Основная причина неиспользования модели заключается в том, что руководители, которым она предназначена, могут не вполне понимать получаемые с помощью модели результаты и потому боятся ее применять. Опрос журналом «Форчун» вице-президентов по производству ' из 500 фирм подтвердил, что основное препятствие для использования модели науки управления вице-президентом — это недостаток у них знаний в этой области.
Группа исследователей пришла к выводу, что для борьбы с этим возможным страхом специалистам по количественным методам анализа следует значительно больше своего времени уделять ознакомлению руководителей с возможностями и порядком использования моделей. Руководители должны быть подготовлены к применению моделей, а высшему руководству следует подчеркивать, насколько значительно успех организации зависит от моделей и как они повышают способность руководителей эффективно планировать и контролировать работу организации.
Слабое использование на практике. Согласно ряду исследований уровень методов моделирования в рамках науки управления превосходит уровень использования моделей. Как указывалось выше, одна из причин такого положения дел — страх. Другие причины — это недостаток знаний и сопротивление переменам. Данная проблема подкрепляет желательность того, чтобы на стадии построения модели штабные специалисты привлекали к этому делу пользователей. Когда люди имеют возможность обсудить и лучше понять вопрос, метод или предполагаемое изменение, их сопротивление обычно снижается.


Повышение показателей этичности поведения


Повышение показателей этичности поведения Организации предпринимают разные меры в целях повышения характеристик этичности поведения руководителей и рядовых работников. К таким мерам относятся разработка этическим нормативов, создание комитетов по этике, проведение социальных ревизий и обучение этичному поведению.
Этические нормативы описывают систему общих ценностей и правила этики, которых, по мнению организации, должны бы придерживаться ее работники. Этические нормативы разрабатываются в целях достижения миссии фирмы, создания нормальной этичной атмосферы и определения этических рекомендаций в процессах принятия решений.
Этика бизнеса на международном уровне. Становится все очевиднее, что, действуя в собственных интересах, многонациональные корпорации должны рассматривать себя в качестве посредников в обменах, обусловливающих экономическое и социальное развитие. Желая или не желая этого, такие корпорации часто решающим образом и длительно воздействуют на другие страны. Влияние на местные культуру, институты, религию и образ жизни следует поэтому тщательно оценивать. Для этого необходимо периодически устраивать «ревизии воздействия на этику». Этические моменты должны обязательно стать важнейшим элементом процесса планирования. Проблемы, создаваемые поведением многонациональных корпораций в отсутствии такого анализа, становятся объектом регулирования со стороны правительства страны-хозяина или более крупных регулирующих органов (например, ОЭСР или ООН), наделенных региональными или всемирными полномочиями. Поэтому в интересах каждой многонациональной организации установить единые этические принципы по операциям во всех регионах мира, причем на возможно более высоком уровне, и неукоснительно и сознательно следовать им.
Поведение зачастую определяется средствами принудительного выполнения закона, а не собственно существованием закона. Этичность поведения не имеет «верхних» границ. Многонациональные организации характеризуются высоким уровнем этической ответственности и подконтрольное™.
Вероятность этически ошибочных суждений сравнительно высока.
Внимание страны к этике возрастает с ростом уровня экономического благосостояния.
К вариантам поведения, обычно запрещаемым этическими нормативами, относятся взятки, вымогательство, подарки, выплата соучастнику части незаконно полученных денег, конфликт на почве столкновения интересов, нарушение законов в целом, мошенничество, раскрытие секретов компании, использование информации, полученной в доверительной беседе от членов «своей» группы, незаконные выплаты политическим организациям, противоправное поведение ради интересов фирмы. Обычно организации доводят этические нормативы до своих работников в виде печатных материалов, хотя некоторые создают рабочие группы по этическим нормативам.
При разработке этических нормативов применительно к бизнесу в многонациональных организациях компании-инициатору следует учитывать преобладающее отношение к взятке и подарку в других культурах.
Комитеты по этике. Некоторые организации создают постоянные комитеты для оценки повседневной практики с точки зрения этики. Почти все члены таких комитетов -— руководители высшего уровня. Некоторые организации не создают таких комитетов, но нанимают специалиста по этике бизнеса, называемого адвокатом по этике. Роль такого адвоката — выработка суждения по этическим вопросам, связанным с действиями организации, а также выполнение функции «социальной совести» организации.
Социальные ревизии могут проводится для оценки и составления отчетов о социальном влиянии действий и программ организации. Сторонники социальной ревизии полагают, что отчеты такого типа могут свидетельствовать об уровне социальной ответственности организации. Хотя некоторые компании пытались воспользоваться принципами социальной ревизии, но проблемы измерения прямых издержек и выгод от реализации социальных программ пока не решены. Рассматривая текущее состояние метода социальной ревизии, профессор Ли Престон указывает, что метод «пережил период повышенного интереса и быстрого развития, достиг пикового состояния, лишившись кое-где исходных целей, и, в конечном счете, институционализировался в формах несколько менее амбициозных, чем предсказывали наиболее активные его последователи». Единственные заметные следы этой активности, сохранившиеся до сегодня, — это почти универсальные, но в высшей мере избирательные «социальные разоблачения», содержащиеся в годовых отчетах ведущих корпораций и в ежегодных обзорах журнала «Форчун» с перечнем наиболее и наименее уважаемых компаний, для оценки действий которых используется среди прочего индекс «ответственности перед сообществом и средой обитания» в качестве элемента совокупной схемы ранжирования.
Обучение этичному поведению. Еще один подход, используемый организациями для повышения показателей этичности поведения, — обучение этичному поведению руководителей и рядовых сотрудников. При этом работников знакомят с этикой бизнеса и повышают их восприимчивость к этическим проблемам, которые могут перед ними возникнуть. Встраивание этики как предмета в курсы обучения бизнесу на университетском уровне является еще одной формой обучения этичному поведению, благодаря чему обучающиеся начинают лучше понимать эти проблемы.
Согласно исследованию Центра этики бизнеса, «корпорации гораздо более озабочены этикой сегодня, чем в прошлом, они предприняли конкретные шаги по внедрению этики в свою практику». При этом ежедневные газеты изобилуют примерами неэтичного и противоправного поведения работников организаций любого типа; однако мы полагаем, что сами организации не испытывают недостатка в противоположных примерах этичных действий своих сотрудников. Продолжая внедрять различные программы и методы, описанные выше, и добиваясь, чтобы руководители высокого уровня служили ролевыми моделями надлежащего этичного поведения, организации должны иметь возможность повысить свои этические стандарты.'
Как и любая наука, менеджмент обладает определенной концепцией реализации своих действий — методологией, которая является способом выявления причинно-следственных связей менеджмента для выстраивания в нем последовательности согласованных действий. При этом необходимо принимать во внимание, что существует целая система, являющаяся внешней средой по отношению к методологии менеджмента — его инфраструктура. Она является совокупностью структурных элементов, облегчающих реализацию приоритетных задач менеджмента и координирующих встроенные действия объекта и субъекта управления.


Практика установления пошлин


Практика установления пошлин Торгующие страны могут находиться в различных договорно-политических отношениях, т.е. являться членами таможенного или экономического союза, иметь подписанный договор о предоставлении им режима наибольшего благоприятствования или, наконец, не иметь никаких специальных соглашений в сфере торговли.
В зависимости от режима и устанавливаются пошлины, взимаемые с поставляемого товара. Они соответственно бывают преференциальными (особо льготными), договорными (минимальными) и генеральными (автономными), т.е. максимальными.
Особо следует выделить преференциальные таможенные пошлины. Ставки этих пошлин ниже минимальных и зачастую равны нулю, т.е. товар ввозится беспошлинно. Право использования преференциальных пошлин получают страны, входящие в экономические интеграционные группировки: зоны свободной торговли, таможенные и экономические союзы и т. д.
Например, страны «Общего рынка» предоставляют друг другу преференциальные пошлины по импорту товаров (равные нулю), которые не распространяются на другие развитые страны, такие, как США или Япония.
Договор, в котором принимается решение о предоставлении договорных или минимальных пошлин, называется договором о «режиме наибольшего благоприятствования» (РНБ) и формулирует обязательство подписавших его стран не взимать с импортируемых товаров пошлины, превышающие по размерам величину пошлин, взимаемых с товаров любых третьих стран. Такое положение называется режимом недискриминации. Государства, подписавшие подобные договоры, берут на себя обязательство облагать одинаковыми пошлинами товары всех стран-контрагентов.
Истоки создания «режима наибольшего благоприятствования» связываются с эпохой развития капитализма, периодом свободной конкуренции конца восемнадцатого столетия.
Первоначально договора о предоставлении «режима наибольшего благоприятствования» подписывались на двусторонней основе, однако в конце 40-х годов они были заменены многосторонним Генеральным соглашением о тарифах и торговле (ГАТТ).
Генеральная (максимальная) пошлина в 2-3 раза выше всех остальных и ее применение фактически дискриминирует товары, ввозимые из конкретной страны. Примером использования генеральных (автономных) пошлин может быть их взимание при ввозе товаров из СССР в США в период холодной войны.
В конце 1993 г. ряд стран СНГ (Россия, Беларусь) предприняли попытку создания интеграционного союза в рамках СНГ, предусматривающего ликвидацию таможенных пошлин.
В 60-е годы право на получение односторонних преференциальных пошлин получили развивающиеся страны, поставляющие свои товары в развитые страны с рыночной экономикой.
Применение карательных и антидемпинговых пошлин направлено на решение следующей задачи: не допустить на национальный рынок товары, не желательные по политическим или экономическим причинам. Проблемой при введении карательных или .антидемпинговых пошлин является нахождение доказательств наличия демпинга или субсидирования экспорта. Причем демпинг определяется так: продажа товара по ценам ниже издержек производства. Однако фирмы неохотно предоставляют документацию, касающуюся издержек производства.
На практике поэтому используются косвенные доказательства демпинга. Например, международные организации определяют демпинг как продажу товаров по цене ниже цены на мировом или внутреннем рынке.
В 30-е годы массовые обвинения в демпинге сельскохозяйственной продукции производителями в Восточной Европе заставили ряд стран ввести количественные ограничения на импорт. В 70-е годы США обвинили западногерманскую компанию «Фольксваген» в заниженных ценах на поставляемую модель малолитражного автомобиля.
Для принятия решения о введении антидемпинговых пошлин немаловажно определение целей и характера демпинга, который может быть подразделен на постоянный (агрессивный) и разовый (пассивный).
Условием постоянного демпинга является сегментация рынка, т. е. разделение его на несколько частей. Выделяя один внутренний сегмент рынка (за счет транспортных расходов, таможенных тарифов и т. д.), монополии поднимают на нем цены, получая монопольные прибыли. Последние позволяют продавать часть товара на внешнем рынке по заниженным ценам. Постоянный демпинг связан с проведением политики вытеснения конкурента за счет низких цен; впоследствии фирма обычно снова повышает цены, доводя их до величины, превышающей первоначальную цену разоренных конкурентов. Разовый демпинг возникает в связи с необходимостью избавиться от случайного избытка товара путем его распродажи на внешнем рынке по низким ценам.
Для национальной экономики наиболее опасен постоянный демпинг, поскольку он ведет к разорению национальных производителей с последующей «перекачкой» монопольной прибыли иностранным производителям.
На практике трудно дифференцировать вышеперечисленные виды, поскольку невозможно четко выявить окончательные намерения фирмы, продающей по заниженным ценам. По этой причине при принятии решения о введении антидемпинговых пошлин страны учитывают прежде всего нанесение ущерба национальной промышленности в связи с ввозом данного товара. Национальные и международные суды обычно принимают дела по обвинению в демпинге и введении антидемпинговых пошлин при наличии «значительного ущерба» для национальной промышленности.
Выявление демпинга выступает причиной наложения карательной или антидемпинговой пошлины, величина которой в несколько раз превышает обычную. Антидемпинговые пошлины взимаются со всего объема товара, поставленного по неоправданно низким ценам (иногда за период в несколько лет), и поэтому могут достигать значительной суммы. Заранее определить размер антидемпинговой пошлины невозможно, хотя ее размер должен определяться как разница между «нормальной» ценой товара на национальном рынке и ценой фирмы, осуществляющей демпинг.
Международные организации рассматривают проведение антидемпинговых мероприятий в качестве одной из приемлемых форм борьбы с нарушением принципа свободной конкуренции. Это санкционировано, в частности, международным антидемпинговым законодательством, подписанным большинством стран-членов ГАТТ в 1967 г. («антидемпинговый кодекс»).
Антидемпинговые пошлины наиболее часто применяются для защиты импорта в США, странах Европейского союза (ЕС), Канаде, Австралии. Особенностью ЕС является обязательность введения антидемпингового барьера на территории всех стран независимо от того, в какую страну экспортируется конкретный товар.
Интерес представляет антидемпинговое законодательство России, предусматривающее введение антидемпинговых пошлин при экспорте товаров по низким ценам. Либерализация внешнеэкономической деятельности на территории бывшего СССР и прежде всего в России создала предпосылки для свободного выхода на внешний рынок большого числа новых экспортеров. Низкие цены на товары на национальном рынке стали основой для демпинговых поставок сырьевых товаров на рынки развитых стран и спровоцировали обвинения российских поставщиков в демпинговых поставках сырья в Западную Европу и США.
Если для России и стран СНГ обвинения в демпинге касаются, как правило, экспорта сырья, то в отношении ряда развитых и развивающихся стран и территорий (Японии, бывшей Югославии, Республики Корея, Тайваня, Гонконга, Сингапура), суды Западной Европы и США рассматривают дела о массовых дешевых поставках потребительских товаров (автомобилей, бытовой электроники, часов и т.д.).
Начиная со второй половины 80-х годов активизируются попытки усилить международную координацию и унификацию антидемпингового законодательства.


Права и обязанности главных бухгалтеров


Права и обязанности главных бухгалтеров Основываясь на требованиях Положения о бухгалтерском учете и отчетности (Минфин РФ от 20.03.92 г. № 10) и дополнений и изменений № 68 от 04.06.93 г., ответственность за организацию бухгалтерского учета несет руководитель предприятия. В связи с чем он обязан создать необходимые условия для правильного ведения бухгалтерского учета, обеспечить неуклонное выполнение всеми подразделениями, службами, работниками предприятия, имеющими отношение к учету, требований главного бухгалтера о порядке оформления и представления для учета документов и сведений. Бухгалтерская служба на предприятии может выступать или в виде самостоятельного структурного подразделения (службы), или в виде централизованной бухгалтерии. Разрешается осуществлять бухгалтерский учет (на предприятиях, не имеющих бухгалтерской службы) силами специализированной организации или соответствующим специалистом на договорных началах.
Главный бухгалтер назначается и освобождается от должности только руководителем предприятия и ему непосредственно подчиняется.
Главный бухгалтер несет ответственность за соблюдение методологических основ при ведении бухгалтерского учета, обеспечивает контроль и своевременное отражение на счетах бухгалтерского учета хозяйственных операций, формирует оперативную информацию и бухгалтерскую отчетность для ее представления в установленные адреса и сроки. Совместно с руководителем предприятия главный бухгалтер подписывает документы, служащие основанием для приема и выдачи товарно-материальных ценностей и денежных средств, а также расчетных, кредитных и финансовых обязательств. Указанные документы без подписи главного бухгалтера считаются недействительными и к исполнению не принимаются. Право подписи может быть предоставлено лицам, уполномоченным на это письменным распоряжением руководителя предприятия.
Документы, противоречащие законодательству, вызывающие нарушение договорной и финансовой дисциплины, к исполнению не принимаются. О них в письменном виде главный бухгалтер сообщает руководителю и, только получив в письменном виде распоряжение об их исполнении, принимает к учету. Всю полноту ответственности за незаконность совершенных операций в этом случае несет руководитель предприятия. С главным бухгалтером согласовывается назначение, увольнение и перемещение материально ответственных лиц (кассира, зав. складом и др.).
На малых предприятиях, не имеющих в штате кассира, его обязанности могут выполняться главным бухгалтером или другим работником по письменному распоряжению руководителя предприятия.1
Расчеты — неотъемлемая часть процесса хозяйствования экономического субъекта. Осуществление их, их своевременность, пропорциональность и своевременная регистрация являются объектом оперирования системы бухгалтерского учета. Являясь формализованным отображением экономического, расчеты осуществляют вторичную в экономическом отношении операцию — согласование взаимных требований (интересов) экономических субъектов, играя при этом первичную роль в отношении значимости полноты осуществления данной операции.
В настоящее время предприятия используют следующие формы и способы расчетов:
платежными требованиями-поручениями, посредством аккредитивов и особых счетов, в порядке плановых платежей, платежными поручениями, переводами через предприятия министерства связи, чеками из чековых книжек и др.
Выбор наиболее рациональной формы расчетов позволяет сократить разрыв между временем получения покупателями товарно-материальных ценностей и совершением платежа, ликвидировать образование необоснованной кредиторской задолженности и рост остатков товарно-материальных ценностей в пути.
Расчеты платежными требованиями-поручениями возникли на базе акцептной формы расчетов и сводятся к следующему: поставщик, отгрузив продукцию, выписывает платежное требование на покупателя-плательщика, отсылает его ему или доставляет нарочным. Получив платежное требование, плательщик обязан заполнить вторую часть — платежное поручение, поручив банку списать с его расчетного счета указанную сумму, так как обязанности (условия договора) поставщиком выполнены. Предприятие-плательщик сдает этот документ в свой банк для оплаты. Банк после списания средств пересылает документы в банк поставщика для зачисления платежа.
Плательщик имеет право полностью отказаться от оплаты в случаях, если товары или услуги не заказаны (не предусмотрены договором); товары поставлены досрочно без согласия покупателя; документально установлена недоброкачественность или некомплектность товаров; не согласована цена товаров; предъявленное требование оплачено раньше или поступило бестоварное требование, по которому фактически не произошла отгрузка или не оказаны услуги. Частичный отказ от акцепта разрешается в случаях отгрузки наряду с заказанными незаказанных товаров или отгрузки их в большем количестве, чем указано в счете, или более низкой сортности, или отсутствия согласованных цен на часть товаров, или превышения установленных цен, арифметических ошибок в требовании, или недостачи товаров.
При отказе от оплаты покупатель принимает поступающий товар на ответственное хранение и по мере поступления распоряжения поставщика отгружает его в указанный адрес.
Со счетов плательщиков оплачиваются без их согласия требования за коммунальные услуги (газ, воду), электроэнергию, абонементная плата за телефон.
В бухгалтерском учете рассматриваемая форма расчетов оформляется следующими записями на счетах.
У поставщика:
1) в момент отгрузки — дебет счетов 45 «Товары отгруженные», 46 «Реализация продукции», 62 «Расчеты с покупателями и заказчиками», кредит счета 40 «Готовая продукция» (в журнале-ордере № 11) или счета 20 «Основное производство (в журнале-ордере № 10/1);
2) в момент зачисления денежных средств на расчетный счет — дебет счета 51 «Расчетный счет», кредит счета 46 «Реализация продукции (работ, услуг)» или счета 62 «Расчеты с покупателями и заказчиками» (в журнале-ордере № 11).
У покупателя;
1) в момент акцепта платежных документов, при поступлении материалов — дебет материальных счетов (10, 12), кредит счета 60 «Расчеты с поставщиками и подрядчиками» (в журнале-ордере № 6);
2) в момент списания средств с расчетного счета — дебет счета 60 «Расчеты с поставщиками и подрядчиками», кредит счета 51 «Расчетный счет» (в журналах-ордерах № 2 и № 6).
Расчеты по аккредитивам. Аккредитив — поручение банка покупателя иногороднему банку поставщика производить оплату счетов поставщика за отгруженный товар или оказанные услуги на условиях, предусмотренных в аккредитивном заявлении покупателя. Денежные средства в сумме аккредитива перечисляются с расчетного счета покупателя на счет аккредитивов или покупателю выдается ссуда. Это менее предпочтительная форма расчетов для покупателя, так как он лишается сумм денежных средств еще до отгрузки материалов поставщиком.
Каждый аккредитив открывается для расчетов только с одним поставщиком на срок до 15 дней, в отдельных случаях банк может установить иной срок. При частичном использовании суммы аккредитива ее остаток перечисляется на расчетный счет. Особенно предпочтительна эта форма расчетов в условиях переходного периода к рыночным отношениям, так как создает возможность скорейшего получения платежа поставщиком после исполнения своих обязательств.
Расчеты по особым счетам — форма иногородних расчетов покупателя с одним или несколькими постоянными поставщиками, находящимися в одном городе, при которой оплата товаров или услуг осуществляется в банке по месту нахождения поставщика за счет депонированных средств покупателя. Оплата требований происходит только при наличии акцепта представителя покупателя. С особого счета допускается выплата представителю покупателя наличных денег на оплату расходов по приемке и отгрузке товаров.
Расчеты в порядке плановых платежей осуществляются между предприятиями при постоянных, равномерных поставках товарно-материальных ценностей или оказании услуг (услуги автотранспорта, поставка кислорода, ацетилена и прочей продукции ежедневного потребления без права хранения на предприятиях).
Договором между потребителем и поставщиком устанавливается постоянная, плановая сумма стоимости продукции или услуг, подлежащая оплате ежедневно. Оплата оформляется или платежными поручениями, или платежными требованиями. В согласованные сроки расчеты регулируются, т.е. сопоставляются выплаченные суммы с фактическим объемом (стоимостью) полученной продукции или услуг. Излишне уплаченные суммы могут засчитываться в последующих платежах или возвращаться покупателю, а недостающие — доплачиваться. Данные расчеты ведутся у поставщика на счете 62 «Расчеты с покупателями и заказчиками», субсчет 2 «Расчеты по плановым платежам». Дебетуется счет на суммы выполненных обязательств, т.е. причитающихся сумм с покупателей, а кредитуется на суммы поступивших платежей. Аналитический учет организуется в ведомости № 7 в разрезе каждого дебитора, а синтетический — в журнале-ордере № 11 «Обороты по кредиту».
Расчеты по аккредитивам и особым счетам учитываются на счете 55 «Специальные счета в банках», субсчет 1 «Аккредитивы». Аналитический и синтетический учет этих расчетов организуется в журнале-ордере № 3 на основании выписок банка.


Права и свободы человека и гражданина


Права и свободы человека и гражданина Установленные Конституцией РФ и другими нормативными актами права и свободы человека и гражданина подразделяются на личные, политические и социально-экономические. Кроме того, выделяются гарантии осуществления установленных прав и свобод и их защиты.
Основные права и свободы человека принадлежат каждому от рождения и неотделимы от человеческой сущности. Установленные Конституцией права и свободы являются непосредственно.действующими.
Установлено равенство людей перед законом и судом. Равенство прав и свобод означает, что их объем не зависит от пола, расы, национальности, языка, имущественного положения, должности, места жительства и отношения к религии.
К числу личных прав относятся право на жизнь (смертная казнь применима только за особо тяжкие преступления против жизни), право на достоинство личности, право на свободу и личную неприкосновенность, право на неприкосновенность частной жизни. Важное значение имеет свобода передвижения, включая свободу покидать территорию России. Гражданам России гарантируется право беспрепятственного въезда в страну.
К числу политических прав и свобод относятся право на свободу слова, право на объединение в союзы для защиты своих интересов, право на проведение собраний, митингов, демонстраций.
Важными экономическими правами являются право частной собственности на различные виды имущества, в том числе право собственности на землю, а также право на свободный труд.
Материнство, детство и семья находятся под защитой государства. Государство гарантирует бесплатность  и  общедоступность  основного  общего  и  среднего профессионального образования.
Государство гарантирует судебную защиту прав и свобод. Как известно, судебный способ защиты является наиболее демократическим. Предусматривается право на получение квалифицированной юридической  помощи.  Установлена  презумпция невиновности в совершении уголовных преступлений: обвиняемый считается невиновным до тех пор, пока его вина не будет доказана.
Наряду с правами Конституция России устанавливает некоторые важные обязанности граждан, в частности обязанность уплаты налогов и обязанность защиты Отечества.
Конституцией установлено, что гражданин, достигший 18 лет, самостоятельно и в полном объеме осуществляет свои права и обязанности.1
Любая коммерческая фирма проводит работу по выявлению интересующих ее законодательных актов. Она должна спрогнозироватъ эффект конкретного акта на деятельность предприятия и адаптировать свою деятельность к новым условиям. Правовая система, основанная на конституции, обеспечивает стабильные условия, столь необходимые для развития предпринимательства, увеличения инвестиций в экономику и создания других предпосылок эффективного развития экономики. Рассмотрим подробнее правовую систему РФ (через ее связь с Конституцией РФ).
Федеративное устройство В состав России входят 89 субъектов Российской Федерации: республики, края, автономная область, области, города федерального значения, автономные округа. Все эти субъекты равны. Республики имеют свою конституцию и законодательство, остальные субъекты Российской Федерации — свои уставы и законодательства.
Российская Федерация, а также субъекты Российское Федерации имеют свои собственные сферы компетенции, или, как говорится в Конституции, предметы ведения.
К ведению Российской Федерации относятся, в частности, следующие:
- регулирование и защита прав и свобод человека и гражданина; решение вопросов о гражданстве в Российской Федерации;
- установление системы федеральных органов власти, порядка их организации и деятельности;
- установление правовых основ единого рынка; финансовое, валютное, таможенное регулирование; установление федеральных налогов и сборов; внешняя политика и международные отношения России; оборона и безопасность страны;
- судоустройство, прокуратура, уголовное, гражданское, процессуальное законодательства, а также некоторые другие вопросы.
Вместе с тем. Конституция России устанавливает предметы совместного ведения Российской Федерации и субъектов Российской Федерации. К ним, например, относятся:
обеспечение законности и правопорядка; вопросы владения, пользования и распоряжения землей; разграничение государственной собственности; вопросы природопользования;
административное, трудовое, семейное, жилищное, земельное законодательства и некоторые другие вопросы. Вне этих предметов ведения субъекты Российской Федерации обладают всей полнотой государственной власти.
Некоторые субъекты Российской Федерации заключили с Российской Федерацией особые договоры о разграничении своей компетенции, которые дополняют и уточняют положения Конституции России.
Если Российская Федерация принимает нормативный акт, выходящий за пределы ее компетенции, то действуют только нормативные акты субъектов РФ. И наоборот, нормативные акты субъектов РФ, выходящие за пределы компетенции, не имеют юридической силы.1
Таким образом, право взаимодействует с конкретными субъектами экономической деятельности через систему конституционных прав или их ограничений. Они позволяют гражданам, организациям вступать в различные хозяйственные, правовые и прочие отношения, регулируя их формы, виды и способы выражения. Конституционные права являются базой для более узких и конкретных имущественных, интеллектуальных и прочих прав, закрепленных в правовых актах, принимаемых парламентом и административными органами.
Постоянность в проведении политико-экономической линии, гарантия прав, свобод граждан и предприятий создает конституционную систему, которая обеспечивает стабильность. Дальнейшее развитие законодательных основ лишь обеспечивает конкретные узкие участки отношений, в частности экономических и позволяет устанавливать связи и создавать структуры более высокого уровня. Рассмотрим необходимые признаки конституционной системы и принципы ее функционирования.


Правовые отношения


Правовые отношения. Планомерное поведение и правонарушения. Юридическая ответственность Правоотношение — это общественное отношение, урегулированное правовой нормой. Правоотношения возникают между людьми, гражданами-предпринимателями, государственными органами, предприятиями, фирмами, кооперативными и иными организациями.
Главной особенностью правовых отношений является наличие у их участников юридических прав и обязанностей, как правило, взаимосвязанных. Например, молокозавод согласно договору поставляет свою продукцию магазину. По договору поставщик обязан поставлять ее в обусловленном количестве, качестве, в определенные сроки и т.д., а покупатель имеет право требовать исполнения всех этих обязанностей, но и в свою очередь обязан принимать и оплачивать поставляемый товар. Права и обязанности участников правоотношения называются субъективными правами и обязанностями.
Для приобретения и осуществления субъективных прав и обязанностей необходимы
конкретные обстоятельства, с которыми закон связывает возникновение, изменение или прекращение правоотношений. Такие обстоятельства называются юридическими фактами. Указанные обстоятельства могут быть событиями и действиями. Юридические события не зависят от воли и сознания людей (наводнение, землетрясение, рождение, смерть). Юридические действия делятся на правомерные и неправомерные, и те, и другие порождают правовые последствия. Наиболее распространены правомерные действия — административные акты государственных органов управления, сделки, в том числе договоры, решения суда. Эти действия прямо направлены на установление, изменение или прекращение правоотношений.
Неправомерные действия — это правонарушения (в том числе уголовные преступления), неисполнение договорного или иного обязательства.
Юридическая ответственность не сводится только к государственному принуждению, она проявляется в процессе его осуществления и возникает после установления факта нарушения.
Юридическая ответственность налагается по решению суда, арбитражного суда, третейского суда, других компетентных органов (комиссии по трудовым спорам, административного органа и др.).
Юридическая ответственность строится на принципе справедливости. Реализация принципа неотвратимости ответственности — одно из основных условий ее эффективности.
Если должностные лица виновны, нарушают нормы права, именно они, а не вся организация в целом должны отвечать за правонарушение.
Правомерное поведение определяется уровнем правосознания, которое означает отношение лица к действующему праву и вновь принимаемым правовым актам. Оно тесно связано с уровнем нравственного сознания. Взгляды, представления о праве передаются из поколения в поколение, воспитываются в процессе обучения в семье.1
Взаимоотношения общества и личности как целого и части являют собой особое взаимодействие объединения граждан и отдельного гражданина в части отношений в сфере экономики, культуры и др., развивающихся в рамках демократического общества независимо, автономно от государства. При этом личность имеет возможность реализовать себя в обществе в любой форме, которая не является социально или экономически опасной, в том случае возникает угроза обществу.
Источники права Основное место в системе источников права занимает закон. Закон принимается законодательным органом и обладает высшей юридической силой. Основным законом является Конституция Российской Федерации и конституции субъектов Федерации.
К числу законов относятся отдельные законы (Закон о ветеранах), Основы законодательства (Основы гражданского законодательства), кодексы (Уголовный кодекс, Таможенный кодекс), уставы специального действия (Устав железных дорог). Указы издаются Президентом Российской Федерации.
Наряду с законами источниками права являются подзаконные акты, издаваемые Правительством Российской Федерации и другими органами управления, местной администрацией.
В отдельных случаях источником права может оказаться правовой обычай. Например, ст. 80 Кодекса торгового мореплавания устанавливает, что «продолжительность срока погрузки определяется соглашением сторон, а за отсутствием такового — сроками, обычно принятыми в соответствующих портах».
Действие правовых норм ограничивается определенными пределами. Действие правовых норм во времени означает, что следует определить момент, с которого норма начинает действовать, указать, распространяется ли ее действие на правоотношения, возникшие до вступления ее в действие. Как правило, нормы вступают в силу с момента их принятия или опубликования. В самом акте может быть указан срок вступления его в силу.
Как правило, закон не имеет обратной силы, т.е. новый закон не распространяется на правоотношения, возникшие до его издания. Однако в самом законе или в законно о введении его в действие ему может быть придана обратная сила.
В Федеральном законе Российской Федерации «О введении в действие части первой Гражданского кодекса РФ» от 30 ноября 1994 г. в ст. 5 говорится: «Часть первая Кодекса применяется к гражданским правоотношениям, возникшим после введения ее в действие.
По гражданским правоотношениям, возникшим до введения ее в действие, часть первая Кодекса применяется к тем правам и обязанностям, которые возникнут после введения ее в действие».
Действие норм в пространстве ограничивается определенной территорией. Нормативно-правовые акты субъектов Федерации действуют на их территории.
Законом РСФСР от 24 октября 1990 г. «О действии актов органов СССР на территории РСФСР» установлено, что акты органов СССР, изданные до принятия настоящего Закона, действуют на территории РСФСР, если они не приостановлены Верховным Советом РСФСР или Советом Министров РСФСР (ст. 4). Законы СССР, принятые в пределах полномочий, переданных в соответствии с Декларацией о государственном суверенитете РСФСР, действуют на территории РСФСР непосредственно (ст. 1).
Действие нормы по кругу лиц означает, что некоторые нормативные акты адресованы определенным лицам. Таким образом регулируется правовое положение иностранцев или лиц без гражданства, положение несовершеннолетних в возрасте до 14 лет и от 14 до 18 лет, организаций, ответственность должностных лиц.


Предельные издержки производства, их сравнение с предельным доходом


Предельные издержки производства, их сравнение с предельным доходом, экономическое равновесие фирмы Предельные, или дополнительные, издержки, которые необходимы при увеличении производства на единицу товара, очень важны для определения стратегии фирмы. Предельные издержки равны приросту переменных издержек (сырья, рабочей силы), если предполагается, что постоянные издержки неизменны. При чтении графика ( 15.1.14) следует иметь в виду:

1) кривая А С расположена выше кривой МС, так как средние издержки, кроме переменных, включают еще и постоянные издержки, т.е. составляют большую величину;
предельные же издержки предполагают только прирост переменных издержек;
2) кривая А С находится правее кривой МС, так как в А С (средние издержки) переменные издержки входят целиком, а в МС (предельные издержки) — только разница в переменных издержках при увеличении производства на единицу, т.е. прирост переменных издержек — меньшая величина по сравнению с общим объемом переменных издержек;
3) в рыночном хозяйстве прибыль капиталиста может входить в издержки, если она рассматривается как вознаграждение за управление производством или плата за риск.
Из графика видно, что двигаясь слева направо до точки М, средние издержки при увеличении производства на единицу товара выше предельных. Но в производстве при переходе от 10 к 11 единицам товара ситуация меняется, прирост предельных издержек становится выше средних издержек. Ясно, что тогда производство невыгодно и фирме придется уйти с рынка. Поэтому точка М отражает пределы расширения производства.
Наибольшая выгода — наращивать производство с 1 до б единиц товара. В этих пределах наблюдается самая большая разница между средними и предельными издержками.
Таким образом, сравнение средних и предельных издержек производства — важная информация для управления фирмой, для определения оптимальных размеров производства, в пределах которых фирма устойчиво получает доход. В точке М ( 15.1.14) цена предложения (куда входит прибыль в качестве платы предпринимателю за риск) совпадает со средними и предельными издержками. Эта точка соответствует равновесию фирмы на рынке.
При движении от точки М вправо мы видим, что увеличение производства ведет к уменьшению прибыли, ибо на каждую единицу товара растут добавочные расходы. Поэтому точка М — это точка «стоп».
Выход вправо за точку М приводит к неустойчивости финансов фирмы, и в конце концов ее поведение будет определяться бегством из рыночных структур. В связи с этим делается понятным обозначение точки М как точки равновесия фирмы на рынке.
В современной рыночной экономике расчет эффективности производства предполагает сравнение предельного дохода и предельных издержек. Не всякое расширение производства ведет к адекватному росту прибыли, ибо: а) по-разному выглядит динамика издержек; б) положение усугубляется снижением цен при росте объема производства. Значит — фирма должна найти такой объем производства, при котором она извлекала бы наибольший доход.
Существуют два способа определения наилучших объемов производства. Оба они строятся на сравнении предельного дохода и предельных издержек. Первый способ — бухгалтерско-аналитический. Он основывается на анализе конкретных данных табл. 15.1.1 (например). Как определить предельные издержки МС при выпуске третьей единицы товара? Чтобы ответить на этот вопрос, берем колонку 4 с обозначением валовых издержек. С переходом со второй единицы товара на производство третьей, издержки выросли (355-340=15). Это и есть предельные издержки, связанные с производством третьей единицы товара.
Теперь рассмотрим принцип определения предельного дохода MR на производство, если он увеличивается на предельно малую величину, т.е. на одну единицу товара, допустим, при переходе выпуска от второй единицы товара к третьей. Для анализа нам нужна графа 3, где изображен валовой доход. Разница валового дохода при выпуске трех единиц товара по сравнению с выпуском двух изделий даст прирост валового дохода, т.е. предельный доход. Он составляет (342 - 248 = 94) 94 ед.
Таблица 15.1.1
Количество
Q
Цена Р
Валовой ДОХОД
PxQ
Валовые издержки ТС
Прибыль
3-4
Предельный ДОХОД
MR
Предельные издержки МС
о
144
0
256
-256
-
-
1
134
134
320
-186
134
64
2
124
248
340
-92
114
20
3
114
342
355
-13
94
15
4
104
416
368
48
74
13
5
94
470
381
89
54
13
6
84
504
400
104
34
19
7
74
518
431
87
14
31

Из табл. 15.1.1 следует, что самый выгодный объем производства — при шести единицах, затем предельные издержки уже превышают предельный доход, что явно неблагоприятно для фирмы. Значит, фирме выгодно наращивать производство товара, сверх этой величины фирма производить его не должна.
Второй способ — графический ( 15.1.15). Он основывается на сравнении предельных издержек и предельного дохода. Ориентиры для фирмы складываются следующим образом: 1) если предельный доход выше предельных издержек (при объеме до шести единиц), можно расширять производство; 2) если предельный доход меньше предельных издержек (производство товаров свыше шести единиц), производство невыгодно, его надо сворачивать.

Точка равновесия фирмы и максимальной прибыли достигается в случае равенства предельного дохода и предельных издержек.
Когда фирма достигла такого соотношения, она уже не станет увеличивать производство, выпуск станет стабильным, отсюда и название «равновесие фирмы».


Предложение товара и его кривая


Предложение товара и его кривая Предложение — это совокупность товаров с определенными ценами, которые находятся на рынке (или в пути) и которые могут или намерены продать производители-продавцы.
Оно характеризует экономическую ситуацию на рынке со стороны продавцов, В каждый данный момент положение производителей, предлагающих свой товар на рынке, неодинаково. Некоторые произвели много товаров, а другие — мало. Одни из них затратили на их производство меньше средств производства и труда. У других эти затраты на единицу продукции оказались более высокими. Но, оказавшись на рынке, все они, каковы бы ни были их производственные издержки, стремятся получить самую высокую цену. При этом, чем выше цена товара, тем активнее продавцы будут пытаться продать большее количество товара, т.е. увеличивать предложение (при наличии конкурентов).
Объем предложения каждого производителя, как правило, меняется в зависимости от цены. Если цена окажется низкой, то продавцы предложат мало товаров, придержав их на складе. Если же цена будет высокой, то они предложат рынку много товаров. Когда же цена существенно возрастет и окажется очень высокой, производители постараются увеличить предложение товара. На рынке складывается определенное соотношение между рыночными ценами и количеством товаров, которое производители желают предложить покупателям. Эту зависимость можно отразить графически, применив систему координат. Пусть ось абсцисс Q служит для обозначения количества товара, доставленного на рынок, а ось ординат обозначает движение цены Р. График предложения определяет форму кривой предложения S (от «supply»—предложение) ( 13.1.3).
Если кривая спроса устанавливает отношение между ценами и тем количеством товаров, которое потребители желают купить, кривая предложения S характеризует отношение между рыночными ценами и тем количеством продукции, которое производители готовы произвести и продать. При этом в отличие от кривой спроса кривая предложения обычно поднимается вправо вверх. При возрастании цены действует тенденция к увеличению предложения.

Объективно существующая взаимосвязь между предложением и ценой находит выражение в законе предложения, суть которого состоит в том, что объем предложения товара увеличивается приросте цены и уменьшается при ее снижении.
Аналогично спросу необходимо различать изменение предложения и объема предложения. Объем предложения меняется тогда, когда изменяется только цена товара. Напротив, изменение предложения происходит, когда изменяются факторы, которые раньше принимались за постоянные.
Графически изменения объема предложения выражаются в движении по кривой предложения. Так, с изменением цены с J0 до Р^ это движение происходит по кривой SS, что показывает увеличение объема предложения с Q^ до Q^ ( 13.1.4).
Причем такое движение происходит только в том случае, когда все факторы, кроме цены, постоянны.
Однако на предложение оказывают влияние помимо цены и другие факторы. В результате их воздействия происходит сдвиг самой кривой предложения. Это означает не изменение объема производства, а изменение самого предложения, его характера. Предположим, что используется новая технология, позволяющая при тех же затратах выпустить больше продукции. Тогда кривая предложения сдвигается вправо в положение S1S1. Сдвиг будет означать, что при каждой цене производитель предложит большее количество товара. Так, при цене Р1 – Q2 Q1, а при цене Р2 – Q3 Q2
Теория цены товара. Равновесные цены Проблемы цены и механизма ее формирования являются одними из самых сложных и фундаментальных в курсе экономической теории. Система цен в рыночной экономике играет роль основной организующей силы. Цены товаров служат ориентирами, руководствуясь которыми, предприниматели и потребители делают свой выбор, обеспечивающий личный интерес. В цене товара фокусируются материальные интересы продавцов и покупателей, отдельного работника, предпринимателя, коллективов работников, групп предпринимателей, отраслей, общества, государства, производственные и воспроизводственные, региональные и федеральные, национальные и интернациональные интересы.
В современной мировой экономической теории наибольшее распространение получила концепция цены А.Маршалла.
Д.Робинсон назвала теорию А.Маршалла, изложенную в «Принципах экономике», экономической библией, а М.Фридмен полагает, что в этой книге теория цен уже почти полностью оформилась в своем современном виде.
В своей концепции цены А.Маршалл опирается на теории А.Смита, Д.Рикардо, Ж.Б. Сэя, Е.Бем-Баверка, Д.Лодердейла. В своей теории он пытается объединить три концепции: предельной полезности, издержек производства, спроса и предложения — в одну теорию цены. Он отрицал существование стоимости (хотя и многократно употреблял термины «стоимость» и «рыночная стоимость»), считал, что существует только меновая стоимость, т.е. цена. В главе V «Принципов...» он выразил свое отношение к этой проблеме так: лучшим экономистом может оказаться тот человек, который доверяется своему здравому смыслу и практической смекалке, чем тот, кто претендует на исследование теории стоимости да еще отваживается считать такое исследование легким. А.Маршалл изучил дискуссию экономистов по этой проблеме и утверждал, что «мы могли бы с равным основанием спорить о том, регулируется ли стоимость полезностью или издержками производства, как и о том, разрезает ли кусок бумаги верхнее или нижнее лезвие ножниц». Тем самым он подчеркивает, что ни один из этих факторов не является определяющим и что общим правилом является следующее положение: чем короче рассматриваемый период, тем больше надлежит учитывать в анализе влияние спроса на стоимость, а чем этот период продолжительнее, тем большее значение приобретает влияние издержек производства на стоимость. В длинные периоды эти факторы взаимно погашают влияние друг друга и, таким образом, постоянно действующие причины в конечном счете полностью определяют стоимость. По сути он говорит, что стоимость есть отношение издержек производства к полезности. Цена какой-либо вещи, утверждает А.Маршалл, представляет ее меновую стоимость относительно всех вещей вообще, или представляет ее покупательную стоимость.
Цена определяется как определенное количество денежных единиц, получаемое за товар.
На рынке особое значение имеет равновесная цена, которая является результатом взаимодействия цены спроса и цены предложения. Цена спроса на каждое количество товара — это цена, по которой определенное количество товара способно привлечь покупателей в течение определенного периода времени. Цена спроса на каждый товар уменьшается по мере увеличения его предложения. Цена предложения — это цена, по которой товар поступает в продажу на конкретный рынок. По мере сокращения или возрастания ежегодного количества товара цена предложения может либо повышаться, либо снижаться, она может даже попеременно повышаться и падать. Цена предложения данного количества товара зависит от затрат усилий рабочих. Производство товара требует приложения различных видов труда и применения капитала во многих его формах. Затраты всех различных видов труда, прямо или косвенно занятого в его производстве, вместе с ожиданием, необходимым для накопления применяемого в его производстве капитала, иными словами, все эти усилия и жертвы в совокупности А.Маршалл называет реальными издержками производства товара.1 Суммы денег, которые приходится платить за эти усилия и жертвы, называются денежными издержками производства либо для краткости — издержками производства. Можно подразделить элементы, требующиеся для изготовления товара, на любые группы и назвать их факторами производства. В таком случае издержки производства определенного количества данного товара будут равны ценам предложения соответствующих количеств факторов его производства. А сумма этих цен предложения составит цену предложения указанного количества товара.
Исходная позиция А.Маршалла такова: на рынке представлены нормальный спрос и нормальное предложение. Силы спроса и предложения действуют свободно, не существует прочного объединения торговцев, широко развертывается свободная конкуренция. На рынке в одно и то же время существует лишь одна цена. Общая конъюнктура рынка остается неизменной на протяжении всего принятого периода, за это время не меняются мода или вкусы, никакой новый заменитель не влияет на спрос, никакое новое изобретение не воздействует на предложение.
Смысл такого подхода заключается в том, чтобы в спокойном, нормальном, обычном, постоянно повторяющемся явлении выявить существенные черты анализируемого предмета.
Нормальная цена определяется состоянием устойчивого равновесия нормального спроса и нормального предложения.
Нормальная цена предложения как для долгих, так и для коротких периодов определяется делением совокупных затрат производства на количество товара, т.е. это средние затраты.
Совокупные затраты на производство могут быть получены либо путем умножения предельных затрат на число единиц товара, либо путем сложения всех фактических затрат производства его отдельных частей и добавления всех рент, полученных за счет дифференциальных преимуществ производства.


Предложение товаров растет без увеличения оборудования.


Нижней границей цены товара являются предельные издержки производства. Цена должна быть достаточной, чтобы возместить предельные издержки (издержки производства тех товаров, которые находятся на грани целесообразности производства).
Принимая во внимание усиление взаимосвязей в макроэкономике, т.е. дополняя анализ цены новыми условиями, можно утверждать, что цена в конечном счете зависит не от предельных, а от совокупных затрат труда и капитала, и, следовательно, цены определяются общим уровнем спроса и предложения.
Рассмотрим механизм формирования равновесной цены в концепции А.Маршалла. В качестве иллюстрации возьмем зерновой рынок и предположим, что все зерно на этом рынке одинакового качества. Производители и покупатели готовы продать или купить определенное количество зерна по определенной цене.
В результате конкуренции продавцов и покупателей на рынке устанавливается такая цена зерна, при которой количество зерна, которое покупатели готовы купить по этой цене, точно равняется количеству зерна, которое продавцы согласны продать по этой цене. Этот процесс представлен на графике ( 13.1.5). Графики в теории А.Маршалла являются «картинками», которые помогают понять взаимосвязь экономических процессов, но они не являются аргументом для доказательства тезиса.
Когда цена спроса равна цене предложения, объем производства не обнаруживает тенденции ни к увеличению, ни к сокращению; налицо равновесие. Когда спрос и предложение пребывают в равновесии, количество товара, производимого в единицу времени OQ, можно назвать равновесным количеством, а цену ОР, по которой он продается, равновесной. Характерной чертой устойчивых равновесии, по мнению А.Маршалла, является то, что цена спроса превышает цену предложения на величину, несколько меньшую, чем величина равновесного количества, и наоборот. С изменением цен происходит изменение спроса и предложения. Точки пересечения функций спроса и предложения отражают разные уровни равновесных цен и равновесные количества товаров во времени ( 13.1.6).

Формирование рыночной цены А.Маршалл рассматривал в трех периодах времени, где параметры предложения имеют различную динамику. Соответственно этому различают мгновенное, кратковременное и длительное равновесие. В трех различных типах равновесия товаропроизводители могут либо не принимать никакие меры, либо приспособить переменные факторы производства к изменившимся условиям, либо приспособить к изменившейся цене все факторы производства. Для коротких периодов парк средств производства практически постоянен, но его использование колеблется в зависимости от спроса. Предложение товаров растет без увеличения оборудования. Длинный период должен представлять достаточно времени, чтобы можно было приспособить к спросу не только факторы производства данного товара, но и факторы производства указанных факторов и т.д. В этих условиях производители заменяют и приобретают дополнительное оборудование, а количество самих производителей может изменяться за счет свободного входа и выхода их из отрасли.
В условиях мгновенного равновесия предложение товаров фиксировано ( 13.1.7). При данном фиксированном предложении товаров цена полностью зависит от спроса. Увеличение спроса приводит к росту цены, и наоборот, его снижение ведет к падению цены.
В условиях краткосрочного равновесия вдруг может измениться спрос, кривая спроса возрастает до D ( 13.1.8).

Объем выпуска может увеличиться за счет более интенсивного использования оборудования. В течение короткого периода другие фирмы не могут войти в эту отрасль. С другой стороны, спрос может и снизиться, что приведет к сокращению объема выпуска товаров и предложения. В коротком периоде фирма может понести убытки, но она может продолжать работать.
Различия между предложением в долго- и краткосрочном периодах состоят в том, что в долгосрочном периоде каждая фирма может расширить свое производство, и новые фирмы могут войти в эту отрасль.
Такие процессы происходят в условиях роста цен, если цены обеспечивают сверхнормальную прибыль. Сверхнормальная прибыль несовместима с равновесием в открытой индустрии. Как только общее предложение возрастет, цены упадут. Новые фирмы будут продолжать входить в эту отрасль до тех пор, пока цена не вернется в свое нормальное состояние, и фирма не будет иметь нормальную прибыль. Этот процесс формирования цены в длинном периоде представлен на 13.1.9. Цена может колебаться в пределах короткого периода, но в долгосрочном периоде она постоянна.
Очевидно, что нормальная цена формируется в условиях воспроизводства, причем вариация цен приближается к минимальной равновесной цене Р.
На формирование равновесной цены в рыночной экономике оказывают влияние процессы монополизации производства и прогрессивного налогообложения производителей. Высокая степень концентрации производства приводит к появлению монополий. Монополии при определенных условиях сокращают предложение товаров и поднимают их цену. Высокий уровень налогов позволяет государственным органам изымать у производителей значительную долю прибыли, что в конечном итоге приводит к сокращению инвестиций, производства и предложения товаров.

Этот процесс может проявляться в долгосрочном периоде. В условиях короткого периода, когда предложение товаров велико, производители не могут включить величину налогов в цену товара. Поэтому источником уплаты высоких налогов может быть рента производителя, обладающего дифференциальными преимуществами.
По К.Марксу, цена товара зависит от величины его стоимости, относительной стоимости, количества денежного материала, находящегося в обращении, величины рыночной стоимости.
Рыночная стоимость может формироваться на основе различных индивидуальных стоимостей товаров, которые вытекают из стоимостей товарных масс, производимых при разных материальных условиях производства. Если спрос и предложение равны, то в основе рыночной цены лежит общественная, рыночная стоимость, определяемая средней стоимостью.
Величины стоимости и рыночной стоимости изменяются вследствие изменения производительной силы труда в условиях воспроизводства. Условия воспроизводства могут отличаться от первоначальных. Теорию рыночной цены и рыночной стоимости К.Маркс изложил в Х главе Ш тома «Капитала». Здесь он рассматривает различные способы формирования рыночной стоимости, исходя из конкретных условий развития материального производства, соотношения производства и потребления, спроса и предложения.
Рыночная стоимость определяется им, с одной стороны, как средняя стоимость, а с другой — как индивидуальная стоимость, по которой производится основная масса товаров на рынок. Вторая часть утверждения раскрывает ее величину в условиях воспроизводства, через определенный интервал времени.
Величина рыночной стоимости определяется не условиями производства товара, а условиями его воспроизводства, т.е. рабочим временем, необходимым для его воспроизводства. Конкуренция товаропроизводителей заставляет их производить товар с меньшей величиной стоимости.
Величина рыночной стоимости товара может варьировать в диапазоне от минимальной индивидуальной стоимости до максимальной индивидуальной стоимости всей товарной массы, представленной на рынке. Она не может быть выше и ниже себя самой.
Таким образом, все варианты формирования равновесной цены в теории А.Маршалла, все величины равновесной цены могут быть представлены в рыночной стоимости.
Если взять продолжительный период, то спрос и предложение всегда взаимно покрываются. Этим путем рыночные цены приближаются к рыночной стоимости. Если спрос и предложение определяют рыночную цену, то, с другой стороны, рыночная стоимость определяет спрос и предложение товаров. Определенные материальные условия производства, формирующие величину стоимости товаров отрасли, определяют предложение товаров.
На определенном этапе развития материального производства появляется возможность перераспределения общественного труда посредством механизма конкуренции между отраслями.
Это происходит в результате межотраслевой конкуренции товаропроизводителей при следующих условиях: полная свобода торговли внутри общества и устранение всех монополий, кроме естественных; развитие кредитных отношений; отмена всех законов, препятствующих перемещению рабочих из одной сферы производства в другую; безразличное отношение рабочего к содержанию его труда; сведение труда во всех сферах производства к простому труду, что достигается в машинном производстве; освобождение рабочих ото всех профессиональных предрассудков.
В результате межотраслевой конкуренции происходит формирование цены производства (которую ранее экономисты называли ценой издержек). Цена производства включает издержки производства и плюс среднюю прибыль (нормальную прибыль в терминологии других экономистов). В основе рыночной цены может лежать цена производства. Графики западных экономистов, отражающие формирование равновесной цены в условиях длинного периода, раскрывают именно этот процесс. Они утверждают, что сверхнормальная прибыль несовместима с равновесием.
Формирование цены производства происходит в результате перераспределения создаваемой прибавочной стоимости между отраслями за счет вариаций рыночных цен вследствие динамики предложения товаров. А в результате проникновения в данную отрасль капиталов с более высоким органическим строением, происходит устойчивое формирование цены производства, отраслевых капиталов.
Стоимость товара является математическим пределом цены производства. Поэтому между стоимостью и ценой производства противоречия нет. В формировании цен производства представлены оба процесса.
Равновесная цена означает, что товаров произведено столько, сколько требуется покупателю. Такое равновесие является выражением максимальной эффективности рыночной экономики.
Совершенно иное состояние рынка имело место в нашей стране и в бывших социалистических государствах. Оно было связано с чрезмерным огосударствлением экономики. Рынок был деформирован государственной системой распределения, дополнявшейся бартерным обменом и «черным» рынком. Поведение производителей не определялось рынком, оно преимущественно регламентировалось государственными органами.
В государственной экономике нет жесткой связи между ценой, спросом и предложением товаров. Расширение производства, как правило, осуществляется без учета цен и перспектив спроса. Оно является прерогативой государственных органов, которые централизованно решают, где, как и в каком объеме увеличить предложение. Спрос в условиях централизованно управляемой экономики теряет свои имманентные функции. Он в своей производственной части определен сверху, вне взаимодействия продавцов и покупателей.
Потребительский спрос более свободен по сравнению с производственным спросом, но и он фиксируется государством посредством политики в области заработной платы. Функции рынка берет на себя государство.
В плановой экономике, как и в рыночной, уменьшение цены товара приводит к увеличению спроса. Но совсем по-другому ведет себя предложение. Его объем в условиях плановой экономики определяется не рынком, а центральными органами. Он остается неизменным независимо от цены. Разница между плановой и рыночной экономикой заключается в кривой предложения. При плановой экономике кривая предложения является вертикальной, а при рыночной она выглядит отлогой, и степень кривизны зависит от цены и эластичности предложения.
При государственной системе распределения, ограничении роли рыночных сил не может быть и речи о равновесии спроса и предложения. Централизованная система управления оказалась неспособной, как показал опыт нашей страны, своевременно реагировать на изменение спроса и предложения.
В результате характерными были то избыток продукции, то ее дефицит. Расточительство, не имеющее исторических аналогов, стало неотъемлемым свойством централизованно управляемой экономики.
Эти и другие недостатки административно-командной системы обусловлены недооценкой роли рынка, игнорированием такой мощной рыночной силы, побуждающей всех производителей соперничать между собой и совершенствовать производство, как конкуренция.1
Соблюдение последовательности запланированных действий в рамках конкретной экономической задачи выступает критерием достижения при экономической активности поставленных целей. При этом уровень элемента, развитие которого изучается, сопоставляется с предшествующим уровнем его развития в экономической структуре. Однородность последовательности развития различных элементов,  создающая предпосылки для создания системы, является ресурсом для экономического действия. На этом принципе базируется политика использования налогообложения и нормирования государственных расходов для регулирования совокупного уровня экономической активности.
Основные направления экономической деятельности государства. Пределы государственного вмешательства в экономику



Предмет статистической науки


Предмет статистической науки Статистика как наука изучает с количественной стороны (в непосредственной связи с качественным содержанием) массовые социально-экономические явления. Так, при изучении товарооборота, товарных запасов, издержек обращения и других показателей коммерческой деятельности статистика устанавливает количественные характеристики их развития, определяет соотношение между отдельными показателями, дает цифровую оценку проявляющимся при этом закономерностям.
Статистика также изучает влияние природных и технических факторов на изменение количественных характеристик социально-экономических явлений и влияние жизнедеятельности общества на среду обитания.
Явления и процессы в жизни общества изучаются статистикой посредством статистических показателей.
Статистический показатель — это количественная оценка свойства изучаемого явления. В зависимости от целевой функции статистических показателей их можно подразделить на два основных вида: учетно-оценочные показатели; аналитические показатели.
Учетно-оценочные показатели — это статистическая характеристика размера качественно определенных социально-экономических явлений в конкретных условиях места и времени.
В зависимости от специфики изучаемого явления учетно-оценочные показатели могут отображать или объемы их распространенности в пространстве, или достигнутые на определенные моменты (даты) уровни развития. Так, например, по данным Госкомстата РФ, объем розничного товарооборота государственной и кооперативной торговли России в 1990 г. составил 264,1 млрд. руб. (в ценах соответствующего года).
По своей архитектонике данный статистический показатель состоит из двух частей. Первая выражена смысловым понятием: «розничный товарооборот государственной и кооперативной торговли». Это установленное на основе положений экономической теории понятие, определяющее качественную специфику отображаемого показателем явления, на основе которого розничный товарооборот государственной и кооперативной торговли отличается от других видов реализации товаров (оптовой, колхозно-базарной торговли и др.). Вторая характеризует его величину 264,1 млрд. руб.
Это количественная сторона, цифровая оценка результата функционирования изучаемого явления, объема его распространения в конкретных исторических условиях: в целом по России за период с 1 января по 31 декабря 1990 г.
Другой разновидностью учетно-оценочных показателей является количественная характеристика достигнутого уровня развития изучаемых явлений на определенный момент (дату). Например, в сообщении Госкомстата РФ сказано, что численность населения России составляет на начало 1991 г. 148,5 млн. человек.
Аналитические показатели применяются для анализа статистической информации и характеризуют особенности развития изучаемого явления: типичность признака, соотношение его отдельных частей, меру распространения в пространстве, скорость развития во времени и т.д. В качестве аналитических показателей в статистике применяются относительные и средние величины, показатели вариации и динамики, силы связи и др.
Количество и качество выступают в статистике как две стороны единого. Количество в статистике всегда имеет качественную определенность. Именно в этом и состоит познавательное значение статистического метода изучения социально-экономических явлений.
Одной из важных категорий статистической науки, тесно связанной с показателем, является понятие признака Под признаком в статистике понимается характерное свойство изучаемого явления отличающее его от других явлений.
Так, основным признаком розничного товарооборота является .продажа товаров населению в обмен на его денежные доходы. С этих позиций включение в розничный . товарооборот безналичного отпуска товаров (в порядке мелкого опта) нельзя признать правильным; так как это ведет к искусственному завышению объема продажи товаров населению.
Иногда понятие статистического показателя отождествляется с понятием признака изучаемого явления. Надо иметь в виду, что в статистическом показателе выражается единство качественной и количественной сторон. Вернемся к показателю «Розничный товарооборот государственной и кооперативной торговли составил в 1990 г. 264,1 млрд. руб.». Изучаемый признак отображает лишь качественную особенность изучаемого явления: «розничный товарооборот государственной и кооперативной торговли» — реализация товаров населению в обмен на их денежный доход доходы в розничных предприятиях •государственной и кооперативной торговли. При статистическом изучении данный качественный .признак получает количественную оценку и становится статистическим показателем.
Изучаемые статистикой признаки могут выражаться как смысловыми понятиями, так и числовыми значениями. Признаки, выраженные смысловыми понятиями, принято называть атрибутивными. Например, атрибутивными признаками являются: пол человека — мужчина или женщина; специализация магазинов (продовольственные, непродовольственные) и т.д. Если атрибутивные признаки принимают только одно из двух противоположных значений, их называют альтернативными.
Признаки, выраженные числовыми значениями, принято называть количественными, например возраст (число прожитых лет), стаж работы, получаемая заработная плата и т. д.
Признаки, принимающие различные  значения у отдельных единиц изучаемого • явления, называются варьирующими. Так, при изучении коммерческой деятельности Важная особенность статистической науки состоит в том, что, изучая свой предмет, она образует статистические совокупности (коллективы).
Статистическая совокупность — это множество единиц изучаемого явления, объединенных в соответствии с задачей исследования качественной единой основой. Так, например, при определении объема розничного товарооборота все предприятия торговли, осуществляющие продажу товаров населению, рассматриваются как единая статистическая совокупность «розничная торговля». Но по признакам объема продаж товаров, торговой специализации, формам и методам обслуживания покупателей и другим признакам коммерческой деятельности единицы данной статистической совокупности могут быть разнородными. Из этого следует, что состав статистических совокупностей не является постоянным. Он формируется статистикой в соответствии с долями конкретного исследования.
Из специфики предмета статистики следует, что теоретической основой статистической науки являются положения исторического материализма и экономической теории, которые исследуют и формируют законы развития социально-экономических явлений, выясняют их природу и значение в жизни общества. Опираясь на знание положений экономической теории, статистика формирует статистические совокупности, устанавливает существенные признаки для выделения социально-экономических типов, осуществляет разработку адекватных методов их изучения.
Руководствуясь положениями экономической теории, статистика обогащает экономические науки фактами, полученными в статистическом исследовании, подтверждает или отрицает их теоретические догмы.
Экономическая теория, опираясь на статистику, формулирует законы развития социально-экономических явлений. Статистика, характеризуя количественную сторону • общественных явлений в конкретных исторических условиях, создает фундамент из точных и бесспорных фактов. Экономические науки используют статистическую информацию для проверки, обоснования или иллюстрации своих теоретических положений.


Предоставленные займы


Особенности налогообложения при выбытии основных средств непроизводственной сферы. Обороты по продаже, обмену, безвозмездной передаче непроизводственных основных средств не облагаются НДС за исключением их реализации по ценам, превышающим цену приобретения. В случае реализации указанных объектов по ценам выше цены приобретения налогообложение осуществляется в общем порядке, установленном для реализации основных средств.
Изложенный порядок не распространяется на сельскохозяйственные организации и организации, у которых суммы НДС по приобретенным основным средствам исключаются из налоговых сумм, полученных от покупателей их продукции, а при недостаточности возмещаются из бюджета. Реализация ими основных средств производится по договорным ценам с НДС по установленной ставке с уплатой взимаемого налога в бюджет.
Налог на прибыль по безвозмездно поступившим основным средствам. В соответствии с п. 2.7 Инструкции ГНС РФ налогооблагаемая прибыль организаций, получивших безвозмездно от других организаций основные средства, товары и иное имущество, увеличивается на стоимость этих средств и имущества, но не ниже их балансовой (остаточной по основным средствам) стоимости, числящейся у передающих организаций. Стоимость передаваемых объектов имущества указывается в документах на их передачу.
Перечень безвозмездно полученных основных средств, не подлежащих обложению налогом на прибыль, указан в п. 2.7 упомянутой Инструкции.
Налог на прибыль, полученную от реализации основных средств. При определении прибыли от реализации основных фондов и иного имущества предприятия для целей налогообложения учитывается разница между продажной ценой этих фондов или имущества и их первоначальной или остаточной стоимостью, увеличенной на индекс инфляции, размер которого устанавливается постановлениями Правительства.
Обязанности по исчислению индекса инфляции для индексации стоимости реализуемого имущества предприятия (НРНП) возложены на Госкомстат России, который ежеквартально публикует значение индекса в «Российской газете» (20-го числа месяца, следующего за отчетным кварталом).
НРНП применяют при реализации основных фондов, сырья, материалов, топлива и других ценностей, а также малоценных и быстроизнашивающихся предметов. По другим видам имущества (нематериальные активы, ценные бумаги, валюта и др.) НРНП не  применяют.1
К финансовым вложениям относят инвестиции организаций в государственные ценные бумаги (облигации и другие долговые обязательства), в ценные бумаги и уставные капиталы других организаций, а также предоставленные другим организациям займы на территории Российской Федерации и за ее пределами.
Ценная бумага — денежный документ, удостоверяющий имущественное право или отношение займа владельца документа к лицу, выпустившему такой документ.
В соответствии со статьей 143 Гражданского кодекса Российской Федерации к ценным бумагам относятся: государственная облигация, облигация, вексель, чек, депозитный и сберегательный сертификаты, банковская сберегательная книжка на предъявителя, коносамент, акция, приватизационные ценные бумаги и другие документы, которые законами о ценных бумагах или в установленном ими порядке отнесены к числу ценных бумаг.
Финансовые вложения классифицируют по различных признакам: по связи с уставным капиталом, формам собственности, срокам, на которые они произведены, и др.
В зависимости от связи с уставным капиталом различают финансовые вложения с целью образования уставного капитала и долговые.
К вложениям в целях образования уставного капитала относят акции, вклады в уставные капиталы других организаций и инвестиционные сертификаты, подтверждающие долю участия в инвестиционном фонде и дающие право на получение дохода от ценных бумаг, составляющих инвестиционный фонд.
К долговым ценным бумагам относят облигации, закладные, депозитные и сберегательные сертификаты, казначейские обязательства, векселя.
По формам собственности различают государственные и негосударственные ценные бумаги.
В зависимости от срока, на который произведены финансовые вложения, они подразделяются на долгосрочные (когда установленный срок их погашения превышает 1 год или вложения осуществлены с намерением получать доходы по ним более 1 года) и краткосрочные (когда установленный срок их погашения не превышает 1 года или вложения осуществлены без намерения получать доходы по ним более 1 года).
Долгосрочные финансовые вложения учитывают на активном счете 06 «Долгосрочные финансовые вложения», к которому могут быть открыты следующие субсчета:
06-1 «Паи и акции»;
06-2 «Облигации»;
06-3 «Предоставленные займы» и др.
По дебету счета Об отражают финансовые вложения организации (на срок более 1 года) с кредита соответствующих счетов (08 «Капитальные вложения», 51 «Расчетный счет», 52 «Валютный счет», 10 «Материалы», 12 «Малоценные и быстроизнашивающиеся предметы» и иных счетов). С кредита счета Об списывают финансовые вложения на счет 48 «Реализация прочих активов».
Краткосрочные финансовые вложения учитывают на активном счете 58 «Краткосрочные финансовые вложения», к которому могут быть открыты следующие субсчета:
58-1 «Облигации и другие ценные бумаги»;
58-2 «Депозиты»;
58-3 «Предоставленные займы» и др.
Средства долго- и краткосрочных финансовых вложений, переведенных организацией, на которые в отчетном периоде не получены документы, подтверждающие права организаций (ценные бумаги, свидетельства на произведенные вклады и др.), учитываются на счетах 06 и 58 обособленно.
Аналитический учет долгосрочных и краткосрочных финансовых вложений ведут по видам вложений (паи, акции, облигации и др.) и объектам, в которые осуществлены эти вложения (организации — продавцы ценных бумаг, организации — заемщики и др.), с обязательным получением данных о финансовых вложениях на территории страны и за рубежом.
При использовании журнально-ордерной формы учета записи по кредиту счетов 06 и 58 могут производиться в журнале-ордере № 8 и ведомости № 7. В этих регистрах можно отражать соответствующие данные аналитического учета. Дебетовые обороты по счетам 06 и 58 отражают в журналах-ордерах № 2 (по кредиту счета 51), № 2/1 (по кредиту счета 52), № 8 (по кредиту счета 76) и др.
При использовании компьютерных систем по операциям на счетах Об и 58 формируются соответствующие машинограммы — учетные регистры.
Все ценные бумаги, хранящиеся в организации, должны быть описаны в Книге учета ценных бумаг. Книга учета ценных бумаг должна иметь следующие обязательные реквизиты: наименование эмитента; номинальную цену ценной бумаги; покупную стоимость; номер, серию и др.; общее количество; дату покупки; дату продажи. Книга учета ценных бумаг должна быть сброшюрована, скреплена печатью организации и подписями руководителя и главного бухгалтера, а страницы пронумерованы.
Исправления в Книгу учета ценных бумаг могут вноситься лишь с разрешения руководителя и главного бухгалтера с указанием даты внесения исправлений.
В случае ведения Книги учета ценных бумаг с помощью средств вычислительной техники результатная информация может формироваться в виде выходного документа на машиночитаемых носителях. Распечатка информации с машиночитаемых носителей осуществляется по мере необходимости или по требованию органов, осуществляющих контроль в соответствии с законодательством Российской Федерации, суда или прокуратуры, но не реже 1 раза в год.
Ответственность за организацию хранения Книги учета ценных бумаг несет руководитель организации.
При хранении бланков (сертификатов) ценных бумаг в депозитарии они продолжают числиться в бухгалтерском учете у организации-владельца с указанием в аналитическом учете реквизитов депозитария, которому они переданы на хранение. Начисление расходов по оплате услуг депозитариев отражается по дебету счета 80 «Прибыли и убытки» (как прочие операционные расходы) и кредиту счетов учета расчетов, а при перечислении депозитарию указанных сумм — по дебету счетов учета расчетов и кредиту счетов учета денежных средств.1



Предположим, что произошло сокращение совокупного спроса.


Рассмотрим рынок рабочей силы как один из важнейших ресурсных рынков. Поскольку экономика функционирует в режиме полной занятости, то предложение рабочей силы есть вертикальная прямая, отражающая имеющиеся в стране трудовые ресурсы ( 14.1.7).

Предположим, что произошло сокращение совокупного спроса. Соответственно падает объем производства и спрос на рабочую силу. Это, в свою очередь, ведет к образованию безработицы и понижению цены труда. Более низкая цена труда понижает издержки предпринимателей на производство единицы продукции, что позволяет им: во-первых, понизить цены на товарном рынке (в результате реальная заработная плата останется прежней) и (или), во-вторых, нанять большее количество более дешевой рабочей силы и увеличить объем производства и объем занятости до прежнего уровня (предполагается, что безработные согласятся скорее на более низкую заработную плату, чем на ее полное отсутствие в условиях безработицы). Таким образом, объем производства вновь достигает прежнего уровня, соответствующего полной занятости, а спад производства и безработица становятся кратковременными явлениями, преодолеваемыми самой рыночной системой.
Аналогичные процессы протекают на рынке товаров и услуг ( 14.1.8). При сокращении совокупного спроса объем производства падает, но в силу описанного выше процесса понижения затрат на оплату труда предприниматель может без ущерба для себя понизить товарные цены и вновь увеличить объем производства до уровня, соответствующего полной занятости.

На денежном рынке равновесие достигается за счет гибкости процентной ставки, которая балансирует количество накопленных у домохозяйств денег (сбережения) и величину спроса со стороны предпринимателей (инвестиции) ( 14.1.9). Если потребители сокращают спрос на товары и увеличивают сбережения, при данной процентной ставке появляются нереализованные товары. Производители начнут сокращать производство и снижать цены.
Одновременно начинает падать процентная ставка, поскольку спрос на финансовые ресурсы для инвестиций сокращается. В этой ситуации сбережения начинают сокращаться (процентная ставка падает, а низкие цены на товары стимулируют текущее потребление), а инвестиции начинают расти благодаря удешевлению кредита. В результате при новой процентной ставке общее рыночное равновесие восстановится на прежнем уровне объема производства, соответствующем полной занятости.
Основной вывод классической (неоклассической) теории состоит в том, что в саморегулируемой рыночной экономике вмешательство государства в процессы воспроизводства может принести только вред.
Кейнсианская точка зрения опирается на эмпирические данные, демонстрирующие, что экономика развивается не так гладко, как в классической модели, а заработная плата, цены и процентная ставка не настолько гибки, как этого хотелось бы. Действительно, последние десятилетия подтвердили основные теоретические выводы Кейнса: цены вовсе не обязательно будут падать при кризисном сокращении производства; снижение цен, даже если оно произойдет, не может автоматически вывести экономику из спада; даже в условиях значительной безработицы возможно сохранение прежнего уровня заработной платы или даже его повышение; сбережения зависят не столько от колебаний процентной ставки, сколько являются функцией располагаемого дохода. Нашел подтверждение и основной вывод Кейнса: равновесие экономики не обязательно достигается в точке, соответствующей объему ВНП при полной занятости. В период большой депрессии рыночная система может надолго «застрять» на уровне очень большой безработицы и недоиспользования производственных мощностей. Это тоже будет равновесным состоянием, хотя и неоптимальным с точки зрения использования ресурсов.

В самом анализе Кейнс исходит прежде всего из факта неизменности уровня заработной платы, закрепленного коллективно-договорной системой и официальным законодательством ( 14.1.10). При таком условии падение совокупного спроса приведет к падению объема производства и сокращению спроса на труд. Другими словами, заработная плата не снизится, хотя и появятся безработные.
Поскольку заработная плата не меняется и не происходит снижение издержек производства, вряд ли стоит ожидать сокращения цен на товары и услуги, равно как и увеличения объема производства вплоть до прежнего уровня. Экономика приходит в устойчивое равновесие при новом уровне производства, соответствующем неполной занятости.
Кривая совокупного предложения на рынке труда и на товарных рынках примет вид зеркального отражения буквы L. Уровень заработной платы ниже W невозможен, поскольку он определяется издержками ( 14.1.11). Лишь в точке Q1 производство
достигает полного использования ресурсов, после чего кривая предложения станет вертикальной. Если при данном объеме производства произойдет дальнейшее повышение спроса, оно приведет к инфляционному росту цен.

Однако в пределах наличных производственных ресурсов у экономики есть неограниченные возможности установления равновесия в неоптимальной точке, в которой объем национального производства будет меньше, чем при полной занятости. Поэтому кейнсианцы полагают опасным снижение уровня совокупного спроса и обосновывают идею необходимости государственного регулирования в целях поддержания совокупного спроса (а следовательно, объема производства и занятости) на желательном уровне.
Проблема макроэкономического равновесия привлекала экономистов и с точки зрения математического обоснования. Одна из фундаментальных экономико-математических моделей равновесия разработана в конце XIX в. швейцарским экономистом Л.Вальрасом (1834—1910). Вальрас построил точную систему уравнения, отражающую взаимосвязи отдельных рынков в экономической системе. Таким образом, впервые было математически доказано, что возможно достижение единовременного равновесия на всех рынках и во всем хозяйстве в условиях свободной конкуренции.

В 50-60-е годы XX в. модель Вальраса была преобразована средствами линейного программирования и получила следующий вид:

где Р — цены произведенных благ; Х — количество произведенных благ; V — цены проданных  производительных услуг;  Y— данные  и потребленные  объемы производительных услуг. Нетрудно заметить, что левая сторона формулы отражает стоимостной объем предложения, а правая — общий спрос, источником которого служат доходы от продажи факторов производства и производимых ими услуг. Центральное место в модели Вальраса играет равновесие цены товарного рынка и рынка факторов производства.
Формула читается следующим образом: «Общее предложение конечных продуктов в денежном выражении должно быть равно общему спросу на них как суммы доходов, приносимых всеми факторами производства их собственникам».1
Осмысление процессов, происходящих в мировой экономике, предполагает определение момента несоответствия реальных процессов экономического роста и отражение их в теории. При этом следует учитывать, что одно из условий, определяющих достоверность выводов, определяется через приведение к установленной в теоретическом и практическом представлении пространственно-временной шкале совокупных величин потребления, инвестирования и дохода, как основных показателей состояния мировой экономики и экономического роста.





Предпринимательство: формы, виды, понятия, цели, задачи


Предпринимательство: формы, виды, понятия, цели, задачи Предпринимательство — неотъемлемая часть хозяйственной деятельности руководителей и специалистов предприятий, коммерческих и финансовых организаций. Однако до самого последнего времени эта важнейшая функция управления экономикой очень слабэ освещалась не только в российской, но и в зарубежной литературе. Наука стороной обошла этот активный вид человеческой деятельности, отдав его на откуп народному творчеству.
Стремясь оказать помощь предпринимателям, американские специалисты Роберт Хизрич и Майкл Питере написали серию книг под общим названием «Предпринимательство» — некоторое подобие учебника для начинающих. При этом, как отмечают авторы, они столкнулись с отсутствием четкого определения этого понятия.
Что же такое предпринимательство? Изучив вопрос начиная со средних веков, Хизрич и Питере пришли к выводу, что «предпринимательство — это процесс создания чего-то нового, что обладает стоимостью, а предприниматель — это человек, который затрачивает на это все силы, берет на себя весь... риск, получая в награду деньги и удовлетворение достигнутым^. Подобное определение с явной окраской романтизма вряд ли дает достаточно точное представление о предпринимательстве, особенно в России 90-х гг.
Главная задача всякого предпринимателя, которая заключается в получении дохода на вложенный труд и капитал, — это житейская проза, а отнюдь не романтика.
В Законе Российской Федерации «О предприятии и предпринимательской деятельности» отмечается, что «предпринимательская деятельность (предпринимательство) представляет собой инициативную самостоятельную деятельность граждан и их объединений, направленную на получение прибыли». Вероятно справедливо, что этот Закон не применяется по отношению к юридическим лицам, гражданам и их объединениям, занимающимся деятельностью, не преследующей цели получения прибыли.
Предпринимательская деятельность в этом Законе взаимосвязана с деятельностью предприятия, вследствие чего «статус предпринимателя приобретается посредством регистрации предприятия». Однако в Гражданском кодексе Российской Федерации предусматривается индивидуальная предпринимательская деятельность без образования юридического лица, которая осуществляется в рамках общих правил предпринимательства, регулирующих деятельность юридических лиц.
Главное содержание предпринимательства в сфере производства заключается в нахождении и формировании спроса на продукты (выполненную работу, оказанные услуги) и удовлетворении его путем изготовления (создания) и продажи продуктов (выполненных работ, оказанных услуг) в качестве товара.
Безразлично, сам ли предприниматель организует производство этих товаров или выступает в качестве посредника между производителем и потребителем. Главное, что отличает предпринимательскую деятельность от других некоммерческих структур, — это прибыль, получаемая как разница между доходами и затратами предпринимателя. Предприниматель не обязательно должен быть собственником предприятия, поэтому надо отличать доход предпринимателя от дохода собственника.
Дивиденд на акции, процент по депозитам, арендная плата за землю есть доход на собственность. Но этот доход образуется только потому, что его выплачивает предприниматель из своего дохода. Получив в свое распоряжение заимствованнную собственность, предприниматель действует на рынке: организует выпуск новой продукции, налаживает эффективные коммерческие связи, пускает в оборот чужой капитал, извлекает из этого прибыль для себя.
Собственник на рынке — фигура пассивная; предприниматель же, наоборот, активный агент рынка, который формирует и развивает производство, устанавливает рыночные связи.
Не каждый субъект рынка, в том числе бизнесмен, может быть назван в полной мере предпринимателем. Таковым нельзя, к примеру, считать рантье, отдающего капитал банку под проценты, или владельца фирмы, которая из года в год производит один и тот же товар (предоставляет одни и те же услуги). Эти субъекты осуществляют не предпринимательские, а репродуктивные функции, но в обыденной жизни часто называют предпринимателями всех, кто занят бизнесом.
В строгом смысле слова предпринимателями являются только деловые люди, поведение которых на рынке отличается поисковым характером. Поиск нового, организация работы персонала предприятия, направленная на выявление новых возможностей для хозяйственной активности, освоение новых рынков, переход к производству новых товаров и услуг — это и есть предпринимательская деятельность.
Совершенно не обязательно, чтобы предприниматель лично занимался всеми проблемами предприятия. Выполнение отдельных задач может быть делегировано другим лицам. Предприниматель должен быть источником и руководителем творческой активности и предприимчивости работников предприятия.
Советская наука в прошлом вообще обходила вопросы предпринимательства. Этого слова вы не найдете даже в толковом словаре русского языка С.Ожегова. Советские обществоведы рассматривали предпринимательство как сугубо классовое явление, хотя в повседневной жизни и хозяйственной практике большинство людей (а руководители непременно) в той или иной мере соприкасались с практикой предпринимательства. Предпринимательство — это хозяйственная предприимчивость, отрицающая самоуспокоенность, застой, самодовольство, расточительство.
Хозяйственник, не являющийся предпринимателем, — это плохой работник, поденщик, отбывающий на службе регламентированные часы. Предприниматель ищет и находит пути развития и повышения эффективности производства, улучшения качества работы, увеличения прибыльности предприятия независимо от того, является ли он владельцем данного предприятия или наемным служащим.
Предпринимательский риск в одинаковой степени присущ обоим типам предпринимателей: владелец рискует своим капиталом, наемный работник — карьерой и заработной платой. Задача любого предпринимателя — получить доход на вложенный труд и капитал. Уровень качества его работы определяется объемами полученного дохода на капитал. Следовательно, предпринимательство — это хозяйственная деятельность, направленная на получение и наращивание дохода.
Безусловно, следует отличать предпринимательство от менеджмента, а предпринимателя от управляющего. Предприниматель самостоятельно действует на свой страх и риск и под свою ответственность (в том числе имущественную). Менеджером может быть наемный работник, организующий реализацию задач, поставленных предпринимателем. Он несет меньшую имущественную ответственность за свои действия, чем владелец предприятия-предприниматель.
Конечно, в настоящее время, когда коммерческая деятельность получила широкое распространение, разделение на менеджмент и предпринимательство в значительной степени условно. Предприниматель не всегда является собственником капитала, но почти всегда он менеджер в той или иной степени.
Фирмы, стремящиеся к развитию, все чаще используют предпринимательский стиль управления, который принимает форму предпринимательского менеджмента. Фирмы, которые уделяют недостаточное внимание предпринимательству, теряют позиции на рынке из-за недостаточной гибкости управления и производства.
Побеждает тот, кто быстро реагирует на запросы общества, расширяет участие на рынке за счет внедрения новых технологий и освоения производства пользующихся спросом товаров. Сегодня в мире крупного бизнеса крепнет убеждение, что рассчитывать на успех можно только в том случае, если чувствовать себя предпринимателем.
Среди наиболее важных целей предпринимателя — производство товаров и услуг, доход, престиж, развитие бизнеса. Как показано на 24.2.6, все эти цели взаимосвязаны.


24.2.6. Цели предпринимательства

Развитие капитализма в течение долгого времени неопровержимо доказывало, что извлечение дохода и обеспечение благополучия общества мало совместимы. В истории достаточно примеров, подтверждающих это.
Однако времена изменились, а вместе с ними изменилось и общество, которое, опираясь на достижения науки и техники, стремится к установлению демократии и в интересах самозащиты отторгает бизнес, не отвечающий его запросам и условиям современного производства.
Изменился и сам предприниматель: к таким исконным его чертам, как предприимчивость, склонность к риску, напористость, энергичность, добавились образование, интеллект, чувство социальной ответственности.
Предприниматель начинает непосредственно служить обществу. Японский бизнесмен Кадзума Татеиси в своих лекциях, которые он читал студентам РЭА им. Г.В. Плеханова, уподоблял взаимосвязь между предпринимателем, предприятием, прибылью и служением обществу, живой природе, утверждал, что предприятие, стремясь к получению прибыли, служит интересам общества, как и пчела, которая собирает нектар отнюдь не для того, чтобы опылять цветы, а желая получить мед, но тем не менее служит интересам природы.
Однако было бы наивно думать, что бизнесмен всегда ставит перед собой общественно полезные цели — в большинстве случаев его к этому побуждают сами условия производства, социальная среда, законодательство и новые «правила игры» на рынках.


Представитель должен выражать волю представляемого.


Сделка, совершенная под влиянием существенного заблуждения, может быть признана недействительной по иску стороны, действовавшей под влиянием заблуждения. Последствием признания такой сделки недействительной будет применение двусторонней реституции, а при невозможности возвратить полученное в натуре соответствующая сторона должна возместить его стоимость в деньгах. Вместе с тем сторона, по иску которой сделка признана недействительной, вправе получить от другой стороны возмещение расходов, утраты или повреждения своего имущества, если докажет, что заблуждение возникло по вине другой стороны. Напротив, если вина другой стороны не будет доказана, то сторона, по иску которой сделка признана недействительной, обязана возместить другой стороне расходы, утрату или повреждение ее имущества.
Под обманом в сделке понимается намеренное, с выгодой для себя введение другой стороны в заблуждение, под влиянием которого она совершает сделку. Следовательно, если при наличии заблуждения стороны не имеют правильного представления о существе сделки, то при обмане одна сторона намеренно вводит в заблуждение другую, обычно посредством сообщения вымышленных сведений о каких-либо обстоятельствах, связанных с данной сделкой.
Насилие в сделке характеризуется применением к стороне физического принуждения, под влиянием которого она вступает в явно невыгодную для себя сделку. Такая сделка совершается не по своей воле, а из стремления избавиться от физического, морального страдания. Разумеется, сделка, совершенная под влиянием насилия, например побоев, признается недействительной.
Угроза представляет собой такое воздействие на психику, при котором участник сделки совершает сделку исключительно под влиянием страха перед имущественным или неимущественным вредом. Необязательно, чтобы угроза исходила от другого участника сделки, она может исходить и от постороннего лица. Сделка будет считаться совершенной под влиянием угрозы лишь в том случае, если угроза является противоправной. Поэтому угроза кредитора обратиться с иском в суд, если должник не выполняет своей обязанности по договору, не может служить основанием для признания сделки недействительной. Кроме того, имеет значение реальность угрозы, т.е. возможность привести ее в исполнение.
В отличие от насилия при угрозе участники сделки воздействуют посредством применения не физического, а психического принуждения.
Как свидетельствует судебная практика, сделки, совершенные под влиянием насилия или угрозы, встречаются весьма редко.
Одной из разновидностей сделки с пороками воли является сделка, совершенная под влиянием злонамеренного соглашения представителя одной стороны с другой стороной. Представитель должен выражать действительную волю представляемого. Если представитель намеренно искажает ее с целью нанесения ему ущерба посредством совершения сделки с контрагентом, выгодной представителю, контрагенту или им обоим, то такая сделка может быть оспорена с последующим признанием ее недействительной.
Если лицо под влиянием стечения тяжелых обстоятельств вынуждено совершить сделку на крайне невыгодных для себя условиях, то такая сделка также может быть признана недействительной.
В случае признания недействительной сделки, совершенной под влиянием обмана, заблуждения, насилия, угрозы, злонамеренного соглашения представителя одной стороны с другой стороной или стечения тяжелых обстоятельств, потерпевшему другая сторона возвращает все полученное ею по сделке, а при невозможности возвратить полученное в натуре возмещает его стоимость в деньгах. Одновременно имущество, полученное по сделке потерпевшим от другой стороны, а также причитавшееся ему в возмещение переданного другой стороне, обращается в доход государства. При невозможности передать имущество в доход государства в натуре взыскивается его стоимость в деньгах. Вместе с тем потерпевший вправе взыскать с другой стороны понесенные им расходы, утрату или повреждение его имущества.
Большое практическое значение имеет вопрос о моменте, с которого сделка считается недействительной. Статья 167 ч. 1 ГК РФ устанавливает, что сделка, признанная недействительной, считается таковой со времени ее совершения. Однако иногда из содержания сделки следует, что она может быть прекращена лишь в будущем. Например, нельзя признать недействительной сделку по аренде помещения с момента ее совершения, так как это помещение уже находилось в пользовании. В таком случае сделка будет прекращена в будущем (ст. 167 ч. 1 ГК РФ).
Новый ГК РФ устанавливает сроки исковой давности по недействительным сделкам. Исковая давность по искам о применении последствий недействительности ничтожной сделки составляет 10 лет со дня, когда началось ее исполнение. А вот иск о признании оспоримой сделки недействительной и о применении последствий ее недействительности может быть предъявлен в течение года со дня прекращения насилия или угрозы, под влиянием которых была совершена сделка (ст. 179 п. 1 ч. 1 ГК РФ), либо со дня, когда истец узнал или должен был узнать об иных обстоятельствах, являющихся основанием для признания сделки недействительной.1
В условиях рынка потенциал успеха фирмы или индивида зависит от наличия как внешних, так и внутренних возможностей, а также способности последовательно строить свое взаимодействие с рыночными механизмами, процессами и субъектами. Одной из основ качественного сдвига в развитии потенциала всей страны является научно-технический прогресс. Даже при ограниченных возможностях финансирования государство может влиять на развитие науки и привлечение иностранных технологий, создав правовую основу этих процессов. Это, прежде всего, авторское и смежные права. В этом разделе мы рассмотрим основные вопросы, характерные для этой проблемы.


Представительство. Доверенность


Представительство. Доверенность Понятие   представительства.   Осуществляя   хозяйственную   деятельность, организации вступают со своими контрагентами в различные правовые отношения: по договорам поставки, перевозки, капитального строительства и т.д.
Как правило, юридические действия и сделки организации и граждане совершают сами, не обращаясь за помощью к третьим лицам. Однако действия, направленные на достижение определенных юридических последствий, в силу различных причин не всегда могут совершаться органами юридического лица или гражданином непосредственно.
Невозможность непосредственного участия в гражданском обороте может быть фактической или юридической. К фактической относятся болезнь участника сделки, его занятость, нахождение в командировке и т.п. К юридической — запрещение определенным 1 участникам сделки совершать их или другие юридические действия непосредственно. Например, за несовершеннолетних в возрасте до 14 лет сделки от их имени могут совершать их родители, усыновители или опекуны (ст. 28 ч. 1 ПС РФ). В таких случаях \ могут возникать отношения по представительству.
Гражданское законодательство РФ определяет представительство как сделку, совершаемую одним лицом (представителем) от имени другого лица (представляемого) в силу полномочия, основанного на доверенности, законе либо административном акте, которые непосредственно создают, изменяют или прекращают гражданские права и обязанности представляемого (ст.. 182 ч. 1 ГК РФ). Как видно из этого определения, в отношениях по представительству участвуют два лица — представитель и представляемый.
Представитель — лицо, совершающее сделки или иные правомерные юридические действия от имени другого лица по его полномочию. Все правовые последствия возникают не для представителя, а для представляемого. Например, при заключении представителем покупателя договора купли-продажи от имени другого лица покупателем становится представляемый.
Деятельность представителя следует отличать от деятельности комиссионера, поскольку представитель совершает сделки от имени представляемого, а комиссионер выступает от своего имени и сам приобретает соответствующие права и обязанности относительно третьих лиц.
Существенно отличается деятельность представителя и от выступления органа юридического лица от имени руководимой им организации. Орган юридического лица не является представителем.
В некоторых случаях полномочие представителя явствует из обстановки, в которой он действует. Так, не вызывает сомнения представительство продавцов, кассиров магазинов, приемщиков в камере хранения и т.п., которые по условиям своей служебной деятельности или по обстановке выступают в качестве таковых.
В розничной торговле полномочия представителей определяются формой разделения и кооперирования труда в магазине. Например, если в магазине один работник, то он, естественно, правомочен отпускать товары и получать за них плату. Если помимо продавца имеется кассир, то правомочия продавца ограничиваются отпуском товаров, а кассира — приемом платы.
Доверенность. Доверенностью признается письменное уполномочие, выдаваемое одним лицом другому лицу для представительства перед третьими лицами (ст. 185 ч. 1 ГКРФ).
Основанием выдачи доверенности служат договоры, определяющие внутренние отношения между представителем и представляемым (трудовой договор, договор поручения и т.д.). С правовой точки зрения доверенность является односторонней сделкой, поскольку для выдачи ее достаточно выражения воли одного лица на совершение другим лицом от его имени сделки или иных юридических действий.
Доверенность является срочным документом (ст. 186 ч. 1 ГК РФ). Срок ее действия может быть указан представляемым по его усмотрению, но она не должна выдаваться на срок более трех лет. При отсутствии указания о сроке действия доверенность сохраняет силу в течение одного года со дня составления.
Важное правовое значение имеет дата совершения доверенности. Если конкретное указание в доверенности срока ее действия является существенным условием действительности лишь для доверенностей, выдаваемых должностным лицам на получение товарно-материальных ценностей, то дата составления доверенности имеет основное значение во всех случаях, ибо иначе не представляется возможным определить срок ее действия. При отсутствии даты доверенность недействительна (ст. 186 ч. 1 ГК РФ).
Как правило, лицо, которому выдается доверенность, должно лично совершать те действия, на которые оно уполномочено. Наряду с этим законом в отдельных случаях допускается передача полномочий — передоверие. Оно допустимо, когда представитель уполномочен на то доверенностью или вынужден к тому силой обстоятельств для охраны интересов представляемого (ст. 187 ч. 1 ГК РФ).
Доверенность, выдаваемая в порядке передоверия, должна быть нотариально удостоверена. Но для этого необходимо представление основной доверенности, в которой оговорено право передоверия. Объем правомочий и срок действия доверенности, выданной в порядке передоверия, не могут быть больше правомочий и срока, указанных в основной доверенности.
Представитель, передавший свои полномочия другому лицу, обязан уведомить о том представляемого и сообщить ему необходимые сведения об указанном лице. В противном случае он отвечает за действия лица, которому передал полномочия, как за свои собственные.1
Каждая фирма организовывает свою работу по-разному. Взаимоотношения руководства, владельцев (учредителей) и коллектива регламентируются государством, которое разрешает устанавливать трудовые отношения в определенной форме. Такие отношения регистрируются в форме договора, контракта. Государство определяет параметры трудовых отношений, таких как рабочее время, заработная плата, материальная ответственность работников, которые в совокупности с другими положениями составляют трудовое право.
Возмещение   морального   вреда.   Возмещение   морального   вреда   теперь регламентируется законодательно. Основания и размер компенсации гражданину морального вреда определяются ст. 151 ч. 1 ГК РФ и ст. 1099—1101 ч. 2 ГК РФ.
Моральный вред, причиненный действиями (бездействиями), нарушающими имущественные права гражданина, подлежит компенсации в случаях, предусмотренных законом. При этом компенсация морального вреда осуществляется независимо от подлежащего возмещению имущественного вреда.
При решении судом вопроса о компенсации морального вреда вина причинителя не принимается во внимание, если: 1) вред причинен жизни или здоровью гражданина источником повышенной опасности; 2) вред причинен гражданину в результате его незаконного осуждения, незаконного привлечения к уголовной ответственности и в некоторых иных случаях (ст. 1100 ч. 2 ГК РФ). Компенсация морального вреда осуществляется в денежной форме, а размер компенсации определяется судом в зависимости от характера причиненных потерпевшему физических и нравственных страданий, а также степени вины причинителя в случаях, когда вина является основанием возмещения.
Закон (ст. 1101 ч. 2 ГК РФ) требует, чтобы при определении размера компенсации вреда учитывались требования разумности и справедливости.
Оценка судом характера физических и нравственных страданий должна производиться с учетом фактических обстоятельств, при которых причинен моральный вред, и индивидуальных особенностей потерпевшего.2






При этом составляют следующую бухгалтерскую проводку:


Аналитический учет поступления материалов в значительной мере зависит от выбора учетной цены. Если в качестве твердых учетных цен применяют средние покупные цены, то поступившие материалы отражают на каждом аналитическом счете по средним ценам. Наценки сбытовых и снабженческих организаций и транспортно-заготовительные расходы по всем поступившим материалам учитывают на одном аналитическом счете «Транспортно-заготовительные расходы и наценки снабженческих и сбытовых организаций».
Если твердой учетной ценой служит плановая себестоимость материалов, то поступившие материалы отражают на каждом аналитическом счете по плановой себестоимости, а разницу между фактической и плановой себестоимостью материалов показывают на аналитическом счете «Отклонения фактической себестоимости от плановой».
Отпущенные в производство и на другие нужды материалы списывают с кредита материальных счетов в дебет соответствующих счетов издержек производства и на другие
счета в течение месяца по твердым учетным ценам. При этом составляют следующую бухгалтерскую проводку:
- дебет счета 20 «Основное производство» (материалы отпущены основному производству);
- дебет счета 23 «Вспомогательные производства» (материалы отпущены вспомогательным производствам);
- дебет других счетов в зависимости от направления расходов материалов (25,26 и др.);
- кредит счета 10 «Материалы» или других счетов по учету материалов.
Стоимость материалов по твердым учетным ценам между различными счетами издержек производства распределяют на основании ведомости распределения материалов, которую составляют по данным первичных документов о расходе материалов.
По истечении месяца определяют разницу между фактической себестоимостью израсходованных материалов и стоимостью их по твердым учетным ценам. Разницу списывают на те же счета затрат, на которые были списаны материалы по твердым учетным ценам (счета 20, 23, 25, 26 и др.). При этом, если фактическая себестоимость выше твердой учетной цены, то разницу между ними списывают дополнительной бухгалтерской проводкой, обратную же разницу (что возможно при использовании в качестве твердой учетной цены плановой себестоимости материалов) — способом «красное сторно», т.е. отрицательными числами.
Отклонения фактической себестоимости материалов от стоимости их по твердым учетным ценам распределяют между израсходованными и оставшимися на складе материалами пропорционально стоимости материалов по твердым учетным ценам. С этой целью определяют процентное отношение отклонений фактической себестоимости материалов от твердой учетной цены и найденное отношение умножают на стоимость отпущенных и оставшихся материалов по твердым учетным ценам.
Процентное отношение отклонений фактической себестоимости материалов от твердой учетной цены (х} определяется по следующей формуле:

где Oн — отклонение фактической себестоимости материалов от стоимости по твердым учетным ценам на начало месяца;
Oп — отклонение фактической себестоимости материалов от стоимости их по
твердым учетным ценам по поступившим материалам за месяц;
УЦн — стоимость материалов в твердых учетных ценах на начало месяца;
УЦп — стоимость поступивших в течение месяца материалов по твердым учетным
ценам.
Пример ведения аналитического учета материалов по средним покупным ценам рассмотрен ниже.
На начало месяца фактическая себестоимость складских запасов основных материалов составила 101000 руб. Стоимость всех видов материалов по средним покупным ценам составила 100000 руб., в том числе сахара — 3500 руб., соли — 1500, прочих основных материалов — 95000 руб., транспортно-заготовительные расходы по основным материалам составили 1000 руб. Сумма налога на добавленную стоимость по основным материалам на начало месяца составила 15000 руб.
Для определения сумм транспортно-заготовительных расходов, списываемых на основное и вспомогательное производство, находят отношение этих расходов к стоимости материалов по средним покупным ценам и найденное отношение умножают на стоимость израсходованных материалов по средним покупным ценам:


Если синтетический учет материальных ценностей ведут по учетным ценам, то помимо материальных счетов 10 и 12 на всех предприятиях используют счет 15 «Заготовление и приобретение материалов», а также вновь введенный счет 16 «Отклонение в стоимости материалов».1


При негативном спросе используется конверсионный маркетинг.


Маркетинг второго типа — непреложная часть коммерческой деятельности в целом, так как без изучения запросов потребителей предприниматель обойтись не может. Что же касается маркетинга первого типа, то он не всегда необходим, ибо в ряде случаев можно обойтись без «атак на потребителей», особенно если речь идет о дефицитном товаре.
Для хозяйственной деятельности промышленного предприятия целесообразно применять оба типа маркетинга одновременно. Только всесторонний анализ возможностей предприятия со стороны производства и рынка способен обеспечить настоящий коммерческий успех. Такая комбинированная маркетинговая деятельность получила название интегрированного маркетинга.
Конкретная реализация маркетинга, т.е. его содержательное наполнение, зависит от характера предприятия, предлагаемого им товара, состояния рынка, намерений и амбиций предпринимателя. Маркетинг может быть простым, даже элементарным, а может быть очень сложным, включающим перспективное планирование продукта, разработку и ведение ценовой политики, анализ не только рынка, но и самого предпринимательства. Чем многообразнее деятельность фирмы, тем многограннее маркетинг. Многогранность маркетинга зависит также от спроса потребителей и его сбалансированности. Так, несбалансированный спрос предопределяет реализацию функций по его выравниванию, а спрос, превышающий предложение, заставляет осуществлять демаркетинг.
Демаркетинг — вид маркетинга, направленный на уменьшение спроса на товары или услуги, который не может быть удовлетворен из-за недостаточного уровня производственных возможностей, ограниченности товарных ресурсов и сырья. В основном демаркетинг используется по престижным, наиболее популярным товарам и услугам или в период развертывания производства, особенно по новым товарам, моделям и т.д. Для уменьшения спроса могут применяться, например, такие приемы, как повышение цены на товар или услугу, отказ от рекламы и стимулирования продаж и др.
При негативном спросе используется конверсионный маркетинг. Конверсионный маркетинг возникает при такой ситуации на рынке, когда все или большинство его сегментов отвергают данный товар или услугу.
В зависимости от видов спроса применяются и другие виды маркетинга: противодействующий, развивающийся, ремаркетинг, синхромаркетинг, концентрированный, массовый и пробный маркетинг.
Противодействующий маркетинг — реализуется в целях обеспечения благополучия потребителя или общества в том случае, когда спрос на ряд товаров или услуг может считаться иррациональным.
Развивающийся маркетинг — применим в условиях формирующегося спроса на товары, т.е., когда процесс превращения потенциального спроса в реально предъявляемый является главной задачей.
Ремаркетинг — необходим в ситуации снижения спроса, характерного для всех видов товаров и любого периода времени в зависимости от фазы жизненного цикла товара.
Силхромаркетинг — ориентирован на условия, когда спрос значительно превышает производственные мощности, или наоборот, когда объем производства данного товара оказывается больше потребности рынка.
Концентрированный маркетинг — предполагает сосредоточение маркетинговых усилий на большой доле одного или нескольких субрынков.
Массовый маркетинг — связан с обеспечением массового производства, распространения и стимулирования сбыта одного и того же товара для различных покупателей.
Промышленный маркетинг — обеспечивает взаимодействие фирмы с организациями-потребителями, приобретающими товары и услуги для их дальнейшего использования в производстве или перепродажи другим потребителям.
Пробный маркетинг - связан с реализацией продукта в одном или нескольких выбранных регионах и наблюдением за реальным развитием событий в рамках предполагаемого плана маркетинга.
Использование каждого из перечисленных видов маркетинга всегда сопряжено с известной долей риска для производителя, но это с лихвой окупается, если в рыночной стратегии удается оптимально соединить все виды маркетинговой деятельности в одно целое.
В маркетинговой деятельности товар представляет собой взаимодействие характеристик и потребительских свойств, т.е. способностей товара выполнять свою функцию — удовлетворять потребности, которые при различных внешних условиях образуют совокупность требований к товару и в соответствие с ними осуществляется выбор товара в зависимости от целеполагания и приоритетов покупателя.
Маркетинг, как всякая система, имеет свои направления, методы и задачи реализации. Направления маркетинга подразумевают проведение политики в области качества и ассортимента продукции, формирования цен, организации сбыта, коммуникаций. Методы, применяемые в маркетинге, обычно включают: учет, анализ, моделирование, прогнозирование и проектирование, корректировку.
Система маркетинга предполагает решение следующих задач:
- комплексное изучение рынка;
- выявление потенциального спроса и неудовлетворенных потребностей;
- планирование товарного ассортимента и цен;
- разработка мер для наиболее полного удовлетворения существующего спроса;
- планирование и осуществление сбыта;
- разработка мер по совершенствованию управления и организации производства.
Решение этих задач опирается на использование перечисленных выше методов. Чтобы быть действенным, анализ в маркетинге должен носить всесторонний, объективный и критический характер в том смысле, что существующую практику следует сравнивать с принятыми в теории стандартами и принципами. Это должно достигаться путем организации систематических маркетинговых исследований, дополняемых в случае необходимости специальными эпизодическими исследованиями по конкретным вопросам. В результате создается информационная база для составления прогнозов, которые являются основой разработки программ и стратегий. Обычно для ближайшего будущего делается подробный краткосрочный прогноз, а для более отдаленных и неопределенных периодов будущего прогноз должен касаться общих черт.
Элементы количественного и качественного анализа служат составной частью методов моделирования экономических процессов. В маркетинге применяются методы логического и математического моделирования. При этом методы логического моделирования используются для качественного описания прогнозируемого процесса с выделением проблемы перспективного развития. Приемом логического моделирования является создание сценария, включающего описание последовательностей, взаимосвязи и значимости событий. Элементы «сценария» — это результат прогноза, осуществляемого с применением других методов. Прогноз конъюнктуры товарных рынков необходим для определения оптимальной тактики выхода на рынки с учетом ожидаемых соотношений между спросом и предложением. При прогнозировании развития конъюнктуры товарных рынков используются статистические материалы, статистико-вероятностные модели.1
Маркетинг в своей сущности представляет собой рыночную концепцию управления, которая определяется уровнем развития экономической системы страны в целом. То есть последовательность действий конкретной организации в сфере реализации своих задач через маркетинговую деятельность нормируется процессами развития экономики. Более развитая экономика предъявляет более высокие требования к способам организации деятельности экономического субъекта во внешней среде. Таким образом, экономика в своем развитии задействует такие механизмы, которые опосредованно влияют на инструментарий отдельных элементов экономической системы.


Прибыль, процент и капитал


Прибыль, процент и капитал В реальной действительности прибыль — конечная цель и движущий мотив товарного производства и рыночной экономики. Это главный стимул и основной показатель эффективности любого предприятия и фирмы. Высокие прибыли заставляют капиталы мигрировать из одной отрасли в другую. А в современных условиях интернационализации хозяйственной жизни, когда национальные границы стали узки для высокопроизводительного производства, капиталы, а вслед за ними и рабочая сила свободно перемещаются из одной страны в другую, перестраивая структуру интернациональной экономики. В этом случае проблема доходов и прибыли становится еще более актуальной и приковывает к себе внимание не только практиков, но и теоретиков. При этом основным вопросом остается загадка природы прибыли, ее источник и механизм формирования.
Практически и статистическая прибыль рассчитывается как остаток после вычета издержек производства из объема продаж. Например, продано товара на 1000 руб. Издержки составили 700 руб. Напомним, что издержки включают в себя стоимость расходов на сырье и материалы, амортизацию, заработную плату, проценты за кредиты, страховку и прочее. В таком случае прибыль составит 300 руб. На практике все очевидно. Но тем не менее не совсем понятен механизм ее формирования. Как до начала любой формы предпринимательской деятельности определить величину прибыли и найти, где скрывается ее источник?
В экономической теории нет единого ответа на эти вопросы. У одних авторов под термином «прибыль» объединены все формы дохода — процент, заработная плата, предпринимательский доход, рента. У других — это только процент на капитал. В марксистской литературе прибыль — превращенная форма прибавочной стоимости, порожденной только наемным трудом. Правда, Маркс при рассмотрении скорости оборота капитала видел у прибыли еще один источник — скорость движения капитальной стоимости. Шумпетер считал, что прибыль — это только доход новаторов, который исчезает под влиянием конкуренции, в то же время Маркс видел источник такого дохода в добавочной прибыли. На Западе широко распространена концепция, видящая в прибыли плату, которую несет общество за риск предпринимательства.
Капитал — это средства производства. Исторически родоначальниками такой трактовки выступили классики политической экономии А.Смит и Д.Рикардо. У А.Смита капитал — накопленный и овеществленный труд, у Д.Рикардо — средства производства, у физиократов Франции капитал — это земля. Среди известных экономистов XX в., поддерживавших эту концепцию, были: У.Баумол и А.Блиндер («капитал — резервы (запасы) предприятия, оборудование и другие производственные ресурсы, которыми владеет фирма, индивид или некоторые другие организации»); П.Самуэльсон и У.Нордхауз («капитал состоит из благ длительного пользования, созданных экономикой для производства других товаров. Эти блага включают бесчисленные станки, дорогие компьютеры, молотки, грузовики, прокатные станы, здания, которые составляют пейзаж современной экономики»); Д.Бегг, С.Фишер, Р.Дорнбуш («физический капитал — запасы производственных благ, которые служат для производства других благ и услуг... Это оборудование конвейерных линий по сборке автомобилей, железные дороги, которые дают транспортные услуги, школьные здания, обеспечивающие услуги, и даже семейные потребительские товары длительного пользования, например телевизоры, которые предоставляют развлечения»); Дж.Робинсон («капитальные блага, существующие в данный момент времени, — это все блага, которые существуют в этот момент». Но не все существующее можно, по ее мнению, отнести к капиталу. Например, куча мусора и Монблан не являются капиталом. «Отличительная черта, с помощью которой можно определить характер благ, заключается в наличии у них стоимости, т.е. покупательной способности относительно друг друга»). Капитал — это деньги. С.Фишер, Д.Бегг, Р.Дорнбуш, Б.Минц, М.Шварц, Дж.Робинсон и другие утверждают, что капитал есть «сумма денег» и «ценные бумаги», а также «финансы», или «финансовый капитал».
Капитал — это знания, навыки человека, его энергия, используемые в производстве товаров и услуг. «Человеческий капитал» рассматривается как источник доходов. Затраты на образование человека являются инвестициями в «человеческий капитал», которые определяют величину будущего дохода. Сюда относятся также затраты на поддержание здоровья, повышение квалификации и т.д. Такой точки зрения придерживаются Дж.Беккер, Ф.Махлуп и другие.
Капитал — это время, как самостоятельный фактор, создающий доход. Доход является вознаграждением за отказ от удовлетворения личных потребностей в настоящем ради будущего. Итак, если подвести промежуточный итог, то можно заметить:

Главный источник и дохода, и прибыли, по мнению большинства авторов, — капитал. Они же отмечают и тот факт, что рост капитала зависит от инвестированных средств, от инвестирования прибыли. Следовательно, между прибылью и капиталом существует прямая и обратная взаимозависимость. Нельзя понять прибыль, не раскрыв сущность капитала, и наоборот, капитал не будет изучен досконально без анализа прибыли и ее роли в движении капитала. Рассмотрим теперь марксистскую концепцию капитала.
По мнению Маркса, капитал — сложное понятие. Внешне он выступает в конкретных формах — в средствах производства (постоянный капитал), в деньгах (денежный капитал), в людях (переменный капитал), в товарах (товарный капитал). Но материальные носители, перечисленные выше, являются капиталом не сами по себе, а представляют собой особое производственное отношение. Поэтому у капитала несколько определений:
1) «капитал — это самовозрастающая стоимость, создаваемая наемным рабочим»;
2) «капитал есть движение, процесс кругооборота, проходящий различные стадии, процесс, который, в свою очередь, заключает в себе три различные формы кругооборота».
Это смена форм стоимости: денежной формы на товарную, затем — на производственную, снова на товарную и опять на денежную. «Деньги, описывающие в своем движении этот последний цикл, превращаются в капитал, становятся капиталом и уже по своему назначению представляют собой капитал»;
3) «капитал — это не вещь, а определенное общественное отношение, которое представлено в вещи и придает этой вещи специфический общественный характер».
Из сравнения этих концепций видно, что наиболее полно сущность капитала как движения, приобретающего различные формы, в том числе форму общественных отношений людей, мы находим только у Маркса. На сегодняшний день оно самое объемное по своему содержанию и наиболее полное.
Процент в современной экономической теории чаще всего рассматривается как цена капитала независимо от того, получает ли его промышленник в виде предпринимательского дохода или собственник ссудного капитала. То есть процент представляет собой разновидность дохода наряду с прибылью. Таким образом, мы можем отметить, что процент — это часть дохода, которую получает владелец капитала в течение года. Если она выражается в процентах, то такой доход называется процентной ставкой. Например, вы кладете в банк 100 000 долл. Ваш доход (или процент) составит 15 000 долл., ставка процента в этом случае будет равна 15%.
Необходимо различать среднюю ставку процента, которая определяется за длительный период времени, и рыночную ставку процента, складывающуюся ежедневно и подверженную частым колебаниям. На величину процента и ее колебания оказывает влияние ряд основных факторов, к важнейшим из которых относятся:
- величина капитала;
- производительность капитала;
- соотношение между предложением и спросом на капитал.
В последнем случае говорят о «предпочтении во времени», об «ожидании» и о «вознаграждении за воздержание». Если общество стремится тратить больше, чем накапливать в виде инвестиций, это неблагоприятно скажется в будущем и снизит уровень потребления. Наоборот, если общество сумеет сегодня каким-то образом воздержаться от излишнего потребления, то это значительно повысит его потребление в будущем за счет сегодняшних вкладов. Это можно графически пояснить при помощи диаграммы Фишера ( 15.1.3).

На 15.1.3 кривая АВ — производственные возможности, прямая OX — графическое изображение потребления (в данном случае равномерного), И', И, И'— кривые безразличия потребителей (они показывают, чему отдается предпочтение — удовлетворению текущих или будущих потребностей). На этой диаграмме оптимальное равновесие будет наблюдаться в точке А', когда удовлетворение потребностей максимально.
Существуют и другие методики определения взаимодействия между производством и инвестициями, позволяющие оценить уровень процентной ставки.
Рассмотрим методику определения процента на основе теории спроса и предложения. Сама идея весьма проста. Если свободного капитала много и спрос на капитал большой, а предложение уменьшается, то уровень процента повысится. Как определить границы колебания?
Условием равновесия между прибылью и ставкой процента является конкуренция. Допустим, что процент на инвестиции (или прибыль) больше процента на сбережения. Требуется заемный капитал, так как своего не хватает. Фирма берет кредит, за который должна выплачивать рыночную ставку процента. В результате повышения спроса последняя начинает расти. Это снижает доходы на инвестиции, и в конечном итоге между доходом на капитал и рыночной ставкой процента устанавливается равновесие. Почему? Это происходит в силу того, что максимальной границей, к которой будет стремиться ставка процента, является средняя рыночная граница прибыли. Строго говоря, абсолютное равенство между ними будет означать отсутствие конкуренции, поскольку при такой ситуации собственнику капитала абсолютно безразлично, куда его вкладывать. Но с другой стороны, сама ссуда начинает терять смысл, если ставка процента становится больше процента на инвестиционный капитал для его владельца. Оговоримся, что все это справедливо для больших промежутков времени.


Прибыль


Прибыль Предприятия реализуют свою продукцию потребителям, получая за нее денежную выручку. Однако это еще не означает получение прибыли. Для выявления финансового результата необходимо сопоставить выручку с затратами на производство продукции и ее реализацию, т.е. с себестоимостью продукции. Предприятие получает прибыль, если выручка превышает себестоимость: если выручка равна себестоимости, то удалось лишь возместить затраты на производство и реализацию продукции и прибыль отсутствует; если затраты превышают выручку, то предприятие получает убыток, т.е. отрицательный финансовый результат, что ставит его в сложное финансовое положение, не исключающее и банкротство.
Прибыль — основной источник финансовых ресурсов предприятия, связанный с получением валового дохода. Валовой доход предприятия — выручка от реализации продукции (работ, услуг) за вычетом материальных затрат, т.е. он включает в себя оплату труда и прибыль. Связь между себестоимостью, валовым доходом и прибылью предприятия приведена на 24.2.1.
Конечный финансовый результат (прибыль или убыток) слагается из финансового результата от реализации продукции (работ, услуг), основных фондов и иного имущества предприятия и доходов от внереализационных операций, уменьшенных на сумму расходов по этим операциям.


Валовой доход
Материальные затраты
Оплата труда
Прибыль
Себестоимость
Чистая прибыль
Налог на прибыль
Выручка от реализации

24.2.1. Связь между себестоимостью, валовым доходом и прибылью предприятия
Прибыль (убыток) от реализации продукции (работ, услуг) определяется как разница между выручкой от реализации в действующих ценах без НДС и акцизов и затратами на производство и реализацию продукции. Предприятия, осуществляющие экспортную .деятельность, при начислении прибыли из выручки от реализации продукции исключают экспортные тарифы.
Вторая составляющая валовой (общей) прибыли предприятия — прибыль от реализации основных средств и иного имущества ( 24.2.2). Третья составляющая валовой прибыли — прибыль от внереализационных операций, т.е. от операций, непосредственно не связанных с основной деятельностью: сдача имущества в аренду, доходы по ценным бумагам предприятия, превышение суммы полученных штрафов над уплаченными, прибыль от совместной деятельности, прибыль прошлых лет, выявленная в отчетном году, и др.

Для повышения эффективности работы предприятий первостепенное значение имеет выявление резервов увеличения объемов производства и реализации, снижения себестоимости продукции (работ, услуг), рост прибыли.
Для определения основных направлений поиска резервов увеличения прибыли факторы, влияющие на ее получение, классифицируют по различным признакам ( 24.2.3). К внешним факторам относятся природные условия, государственное регулирование цен, тарифов, процентов, налоговых ставок и льгот, штрафных санкций и др. Эти факторы не зависят от деятельности предприятий, но могут оказывать значительное влияние на величину прибыли.

Внутренние факторы делятся на производственные и внепроизводственные. Производственные факторы характеризуют наличие и использование средств и предметов труда, трудовых и финансовых ресурсов и, в свою очередь, могут подразделяться на экстенсивные и интенсивные. Экстенсивные факторы воздействуют на процесс получения прибыли через количественные изменения: объема средств и предметов труда, финансовых ресурсов, времени работы оборудования, численности персонала, фонда рабочего времени и др.
Интенсивные факторы воздействуют на процесс получения прибыли через «качественные» изменения: повышение производительности оборудования и его качества, использование прогрессивных видов материалов и совершенствование технологии их обработки, ускорение оборачиваемости оборотных средств, повышение квалификации и производительности труда персонала, снижение трудоемкости и материалоемкости продукции, совершенствование организации труда и более эффективное использование финансовых ресурсов и др.
К внепроизводственнът факторам относятся, например, снабженческо-сбытовая и природоохранная деятельность, социальные условия труда и быта и др.
При осуществлении финансово-хозяйственной деятельности предприятия все эти факторы находятся в тесной взаимосвязи и взаимозависимости. «Прямое» влияние на величину себестоимости продукции, а значит, и прибыли, связано с тем, насколько рационально и экономно расходуются материальные ресурсы — ведь доля материальных затрат в составе себестоимости обычно колеблется от 60 до 90%.
В развитых странах (США, Канаде, Германии, Англии, Франции, Италии и др.) широкое распространение получил расчет конечных результатов деятельности предприятия с помощью метода «затраты-выпуск».
В соответствии с этим методом общий результат работы предприятия определяется путем суммирования эксплуатационного и финансового результатов. По каждому из видов деятельности производится соизмерение затрат с выпуском продукции (реализацией), доходами и определяется конечный результат.
Эксплуатационной считается деятельность, соответствующая уставу предприятия;
финансовой — деятельность, связанная с финансовым и банковским обслуживанием предприятия, выпуском ценных бумаг, участием в сторонних предприятиях, предоставлением и получением кредитов; чрезвычайной — деятельность по операциям длительного характера, как правило, продолжительностью от 2 до 5 лет (например, реализация основных фондов, ноу-хау, авторского и арендного права и др.).1
При определении степени и качества внутреннего и внешнего взаимодействия предприятия следует рассмотреть, чем руководствуются предприятия в своей деятельности. Для прояснения этого вопроса целесообразно рассмотреть темы, посвящённые сбыту продукции предприятия и его финансовой деятельности.


Причины и виды безработицы


Причины и виды безработицы Безработица в рыночной и командно-административной экономике. В пропагандистской литературе периода так называемого государственного социализма отмечалось, что рынок, капитализм порождают безработицу, а социализм — устойчивую занятость и даже дефицит рабочей силы.
Такое утверждение нельзя признать научным, ибо рынок труда любой системы при разных его вариантах — от рынка с ограниченным спросом (нормальный, здоровый рынок) до рынка с ограниченными ресурсами (советский рынок дефицитного типа) — дает одновременно избыток рабочей силы (безработицу) и дефицит рабочей силы по отдельным специальностям, когда спрос на нее выше предложения. Однако точка сбалансирования безработицы и дефицита рабочей силы в этих экономиках находится на разных уровнях.
Показатели безработицы, ее виды В экономической теории используют два показателя, которые могут обрисовать объективную картину экономической нестабильности на рынке труда. Это — уровень безработицы и средняя ее продолжительность.
Уровень безработицы измеряется как отношение официально зарегистрированных безработных к численности занятых в производстве. Продолжительность безработицы характеризует среднее время перерыва в работе. Различают виды безработицы: фрикционную; структурную; институциональную; циклическую; добровольную.
Фрикционная безработица отражает текучесть кадров, связанную с переменой рабочих мест, места жительства. Среди совокупной рабочей силы какая-то часть постоянно находится в движении, перемещаясь на новые рабочие места. В период внедрения новых достижений технического прогресса такое движение рабочей силы становится не только неизбежным, но и более интенсивным.
Структурная безработица, по существу, является углублением фрикционной безработицы. Когда в стране происходят глобальные структурные перестройки, меняется взаимосвязь между отраслями, естественно, усиливается текучесть рабочей силы, ибо создаются новые пропорции в межотраслевом распределении рабочих мест.
Институциональная безработица возникает, когда сама организация рынка труда недостаточно эффективна. Допустим, неполна информация о вакантных рабочих местах. Уровень безработицы был бы ниже при налаженной работе системы информации. В этом же направлении действуют завышенное пособие по безработице или заниженные налоги на доходы. В этом случае возрастает продолжительность безработицы, так как гасятся стимулы для энергичных поисков работы.
Циклическую безработицу вызывает спад производства во время промышленного кризиса и депрессии. С переходом к оживлению и подъему производства безработных обычно становится меньше.
Добровольная безработица. В любом обществе существует прослойка людей, которые по своему психическому складу или по иным причинам не хотят работать. У нас хорошо знают, что усилия по принудительному трудоустройству так называемых бомжей не привели к переориентации этой категории населения.
Таким образом, безработица является характерной чертой рыночной экономики. Поэтому полная занятость — нонсенс, не совместимый с идеей развитого рыночного хозяйства. Но все же безработица должна быть поставлена в определенные рамки, в пределах которых достигаются режим эффективного роста и состояние экономической стабильности.
Безработица, соответствующая этому идеальному уровню, получила название естественной. В учебнике К.Р. Макконелла и С.Л. Брю «Экономикс» отмечается, что в 60-х годах в США естественной безработицей считались 4% от занятой рабочей силы. Сегодня ее уровень поднялся до 5-6%.
Причины безработицы Анализ причин безработицы дают многие экономические школы. Отметим важнейшие трактовки.
Одно из самых ранних объяснений безработицы дано в труде английского экономиста-священника Т.Мальтуса «Опыт о законе народонаселения» (конец XVIII в.). Мальтус заметил, что безработицу вызывают демографические причины, в результате которых темпы роста народонаселения превышают темпы роста производства.
В марксистской литературе сложилась устойчивая традиция представлять теорию Мальтуса как «вульгарную» и несостоятельную. Между тем она вполне имеет право на жизнь и стала известным подспорьем для экономической политики государств с низкими доходами и высокой рождаемостью. В этих странах государство ведет активную политику по ограничению рождаемости.
Марксистскую критику теории Мальтуса можно считать справедливой только в одном: она не может объяснить возникновение безработицы в высокоразвитых странах с низкой рождаемостью. Значит, источник безработицы следует искать в самой экономической хозяйственной системе, а не вне ее.
К.Маркс довольно тщательно исследовал безработицу в «Капитале» (вторая половина XIX в.). Он отметил, что с техническим прогрессом растут масса и стоимость средств производства, приходящихся на одного работника. Это обстоятельство убедило Маркса в том, что экономическое развитие приводит к относительному отставанию спроса на труд от темпов накопления капитала, и в этом кроется причина безработицы. Такая трактовка математически не вполне корректна, ибо если спрос на рабочую силу растет, то безработица исчезает или хотя бы рассасывается, несмотря на то, что накопление капитала происходит еще более высокими темпами.
По-видимому, это объяснение безработицы нельзя считать исчерпывающим. Надо сказать, что Маркс допускал и другие ее причины, в частности цикличность развития рыночного хозяйства, что делает ее постоянным спутником развитого рыночного хозяйства.
Выведение безработицы из циклического развития экономики стало после К.Маркса устойчивой традицией в экономической теории. Если экономика развивается циклически, когда подъемы и спады сопутствуют хозяйственному развитию, следствием этого становится высвобождение рабочей силы и свертывание производства, увеличение армии безработных.
Заслуга Кейнса в разработке теории безработицы во многом определяется тем, что он представил логическую модель механизма, раскручивающего экономическую нестабильность и ее интегральную составляющую — безработицу. Кейнс заметил, что по мере роста национального богатства в развитом рыночном хозяйстве у большинства населения не весь доход потребляется, определенная его часть превращается в сбережения. Чтобы они превратились в инвестиции, необходимо иметь определенный уровень так называемого эффективного спроса, потребительского и инвестиционного.
Падение потребительского спроса снижает интерес к вложению капитала, и, как следствие, сокращается спрос на инвестиции. При падении стимулов к инвестированию производство не растет и даже не может свертываться, что приводит к безработице.
Интересна трактовка безработицы видного английского экономиста А.Пигу, который в своей известной книге «Теория безработицы» (1923) обосновал тезис о том, что на рынке труда действует несовершенная конкуренция. Она ведет к завышению цены труда. Поэтому многие экономисты, которых известный английский экономист М.Блауг назвал ортодоксами за их веру в безграничные возможности рынка, указывали, что предпринимателю выгоднее заплатить высокую заработную плату квалифицированному специалисту, способному увеличить стоимость выпуска продукции. За счет его высокопроизводительного труда предприниматель имеет возможность сократить рабочий персонал (действует принцип: лучше взять одного человека на работу и хорошо ему заплатить, чем держать 5-6 человек с меньшей зарплатой). В своей книге Пигу детально и всесторонне обосновал мнение, что всеобщее сокращение денежной заработной платы способно стимулировать занятость. Такую трактовку в отечественной экономической литературе описывают как несостоятельную. Это не совсем верно, ибо какие-то нюансы проблемы Пигу улавливает. Но эта теория не может дать все же полного объяснения источников безработицы. Да и статистика не подтверждает положения о том, что армия безработных всегда пополняется за счет работников со сравнительно низким уровнем зарплаты.
Методы борьбы с нестабильностью на рынке труда. Борьба с дефицитом рабочей силы предполагает две возможности:
1) повысить заработную плату работникам дефицитных специальностей. Это усилит перелив рабочей силы в направлении дефицита на рынке труда. Если такой рынок действует в условиях дефицитного потребительского рынка, рост денежной заработной платы обычно сопровождается натуральными привилегиями. Поэтому в России период, получивший название «перестройка», проходивший под лозунгом борьбы с привилегиями, не подорвал систему привилегий и не мог этого сделать, ибо сохранялась обстановка дефицитности потребительского рынка;
2) переобучить работников за счет государства или фирмы в целях приобретения знаний и навыков, диктуемых состоянием рынка труда. Процесс переобучения работников относится к мерам, формирующим основу для преодоления дефицита рабочей силы в будущем. При дефиците рабочей силы многие государства используют еще один вариант. Они поощряют использование иностранной рабочей силы.


Причины вывоза капитала


Причины вывоза капитала Первопричиной и необходимой предпосылкой вывоза капитала выступает относительный «избыток» капитала, когда в целях прибыльного инвестирования он устремляется за границу. В послевоенные десятилетия объем экспорта капитала развитых капиталистических стран непрерывно растет. С его помощью частично решаются противоречия воспроизводства товаров, увеличивается товарный экспорт стран, в результате увеличивается внутренний спрос на оборудование и, таким образом, нейтрализуется тенденция понижения нормы прибыли. Экспорт капитала опережает по своим темпам как ВНП, так и товарный экспорт капиталистических стран. Один лишь объем прямых зарубежных инвестиций составил к середине 80-х годов более 600 млрд. долл. На основе этих инвестиций в капитало-экспортирующие страны ежегодно переводилось в 80-е годы более 40 млрд. долл. прибылей.
Вывоз капитала в международных экономических отношениях связан с крупными изменениями, происходящими внутри национальных экономик, что проявляется, как уже было сказано выше, прежде всего в снижении удельного веса производственной сферы и в повышении удельного веса услуг, т.е. сферы обслуживания.
Хотя соотношение непроизводственной и производственной сфер внутри национальных экономик промышленно развитых капиталистических стран в целом намного выше (примерно 60:40) соотношения международного обмена услуг и товаров (около 17:83), налицо факт, что эти внутренние изменения в растущей степени отражаются в международном обмене. В то же время следует принять во внимание, что объем международных потоков «обменных» услуг намного выше, чем показывает официальная статистика, поскольку целый ряд экспортируемых услуг (составляющие экспорт капитала) в отличие от экспорта товаров (торговли) трудно проследить в статистических и отчетных данных фирм.
Американский прогноз, названный «Экономика 90-х годов», опубликованный в 1987 г. в журнале «Форчун», предполагает, что включение американской экономики в будущее международное разделение труда в растущей степени будет базироваться именно на экспорте услуг, или, иными словами, на доходах от зарубежной деятельности американских банкиров, бухгалтеров, инженеров, юристов, консультантов по вопросам управления, рекламных агентов предприятий, предоставляющих услуги в области обработки данных, от продажи лицензий, предоставления концессий и т.п. Таким образом, речь идет о необходимости дальнейшей интеграции американской экономики в систему мирового хозяйства с учетом возрастания роли собственно непроизводственных видов деятельности. Так, в этом прогнозе указывается, что приблизительно в 2000 г. доля рабочей силы в сфере обслуживания в США достигнет 88-96%, причем 90-96% всех новых рабочих мест должен будет создать именно этот сектор. К числу наиболее динамично развивающихся отраслей будут относиться службы дальней связи, конторские и финансовые услуги, здравоохранение, рекреационные услуги и развлечения, услуги в области иностранного туризма и обработки данных. Одновременно это означает значительное повышение зависимости США от импорта продукции обрабатывающей промышленности. По-видимому, в этом аспекте восточно-европейские страны могли бы существенно расширить деловые связи с США.
Особенности вывоза капитала Растущая взаимоувязка национальных экономик проявляется не только в области экспорта и импорта товаров и услуг, но и (в растущей степени) в области производства, о чем говорит быстрое увеличение объемов экспорта капитала. Объем вывезенного за границу производительного капитала в виде прямых зарубежных капиталовложений увеличился с 51 млрд. долл. в 1945 г. до примерно 600 млрд. долл. в середине 80-х годов и продолжает возрастать быстрыми темпами.
Именно экспорт капитала является главным источником создания так называемой международной продукции, т.е. продукции, реализованной зарубежными филиалами международных монополий. С начала 70-х годов объем этой международной продукции составляет около четверти валового национального продукта промышленно развитых капиталистических стран. Продукция американских зарубежных филиалов превышает объем экспорта товаров США более чем в 4 раза.
Вторая форма увязки национальных экономик в области производства — межфирменная кооперация, когда отдельные юридически самостоятельные предприятия разных стран устанавливают тесное сотрудничество в области отраслевой, технологической и подетальной специализации. В отличие от первой формы, где увязка в области производства происходит путем межфирменной кооперации в рамках транснационального капитала, предприятия во втором случае являются юридически самостоятельными, но технологически взаимозависимыми. Они становятся звеньями того же технологического процесса, который проходит в международном масштабе. Экспорт капитала, который уже в момент своего возникновения стремился завоевать монопольное положение в добывающей промышленности отсталых стран и использовать относительный избыток капитала за границей с целью достижения наибольшей прибыли, после второй мировой войны получил новые стимулы и новые формы.
Один из наиболее значительных факторов, наряду с продолжавшей существовать мотивировкой в виде прибыли, — нараставшее в 50-е и 60-е годы ускорение темпов экономического роста. Ускоренные темпы экономического роста оказывали давление на рост внутренних ресурсов накопления, нехватка которых проявилась в оказании давления на импорт капитала из других стран. После второй мировой войны в некоторых экономически развитых капиталистических странах долгое время существовала абсолютная нехватка капитала, смягчавшаяся поступавшими к ним зарубежными ресурсами. Эта нехватка явилась причиной того, что страны, более пострадавшие от войны (Германия, Италия, Япония и др.), позднее приступили к экспорту капитала. В послевоенные годы практически единственным экспортером капитала были США. Лишь во второй половине 50-х годов экспорт капитала стал более заметным и в других промышленно развитых капиталистических странах.
Давление на экспорт капитала оказывают и развивающиеся страны, стремящиеся получить внешние источники накопления и таким образом ускорить темпы своего экономического роста. Перемещение части производственных мощностей за границу посредством прямых и косвенных инвестиций в то же время мотивировалось стремлением экономически развитых капиталистических стран получить под свой контроль регионы со стратегическим сырьем, но на собственно экономической базе, втягивая эти страны в глобальную систему рыночного хозяйства. Сильным стимулом для экспорта капитала являются и экологические факторы. Промышленно развитые капиталистические страны стремятся перемещать в развивающиеся страны такие производственные мощности, которые в значительной степени ведут к загрязнению окружающей среды. Эта тенденция стала проявляться в наиболее отчетливых формах в 70-е годы и укреплялась на всем протяжении 80-х годов.
Строительство производственных мощностей за границей позволяет обойти систему внешней экономической защиты страны и прочно укорениться в структуре рынка и производства данной страны. Это создает намного более стабильную и прочную базу для овладения зарубежными рынками, чем экспорт товаров, который легче регулировать с помощью таможенных и других ограничений.
Далеко не в последнюю очередь вывоз капитала обусловлен высоким уровнем производительных сил, дальнейшее развитие которых в современных условиях требует более высокой концентрации ресурсов и капитала, более глубокой увязки и использования научно-технических достижений как на национальном, так и на международном уровне. Путем координации поступления отдельных национальных капиталов удается преодолеть его нехватку в разных частях мирового капиталистического хозяйства. А это, в свою очередь, создает более широкий простор для развития производительных сил.1
Удовлетворение устойчивых потребностей, которые нельзя осуществить за счет внутренних ресурсов, становятся сферой интересов контрагентов других стран. Торговые отношения, возникающие в результате этого, приводят к образованию связей, которые представляют собой, с точки зрения отдельного государства, внешнюю торговлю страны. Эти связи, являясь сферой международных товарно-денежных отношений, выражаются в разнообразных формах, описываемых ниже. Интерес для конкретной страны имеют, конечно же, выгоды, получаемые от участия в международной торговле, которая представляет собой совокупность внешней торговли всех стран мира.


Примером резервной валюты служит американский доллар.


Нарушение равновесия в любую сторону (дефицит или актив платежного баланса) является источником беспокойства. Однако практика показывает, что страны относительно легче переносят длительное сохранение положительного сальдо, ведущего к накоплению иностранной валюты,  чем  отрицательного  сальдо,  означающего  фактическую необходимость поддержки или финансового вливания извне.
Особого внимания заслуживает дефицит платежного баланса страны с резервной валютой, т.е. валютой, накапливаемой странами, участвующими в мировой торговле. Примером резервной валюты служит американский доллар. Стремление большинства государств обладать денежными обязательствами США в виде долларов позволяло американцам наращивать свои обязательства перед другими странами, не оплачивая их экспортом своих товаров и услуг. Скупая доллары, иностранные государства получили право пользования денежными средствами, принимаемыми во всех странах мира. Такая ситуация могла продолжаться лишь ограниченное время, пока накапливаемые ресурсы американских долларов не превысили критического лимита.
Еще одним способом восстановления равновесия платежного баланса при фиксированном курсе выступает контроль внешнеэкономических связей. Он заключается в проведении правительством валютного аукциона или в разрешении покупать иностранную валюту только тем фирмам, которые после сложной процедуры оформления заявки смогут доказать, что покупка валюты попадает в одобренную категорию сделок.
Обычным при контроле является предоставление предприятиям права на покупку комплектующих изделий, без которых производство остановится. Одновременно дискриминируются покупка предметов потребления или вклады в заграничные банки. Контроль обеспечивает большую стабильность национальной валюты за счет увеличения нестабильности отдельных фирм. Физические и юридические лица оказываются неспособными определить, смогут ли они приобрести иностранную валюту в будущем. Такой контроль помогает правительству преодолеть валютный дефицит, однако он приводит к крупным социальным и политическим издержкам.
Например, Украина, зафиксировав весной 1993 г. курс купона по отношению к рублю (завышенный в связи с необходимостью финансировать поставки нефти), одновременно подорвала конкурентоспособность своей промышленной продукции на российском рынке. Соответственно появилась необходимость во введении квот, лицензионных ограничений и т.д.
Эффективность   и   целесообразность   использования   фиксированного   или «плавающего» валютных курсов как средств регулирования платежного баланса можно свести к следующему.
Являясь свидетельством стабильности и прочности экономической и политической системы страны, фиксированный курс может существовать лишь в условиях стабильной макроэкономической политики правительства. Программы создания рабочих мест, налоговая политика — все должно быть подчинено интересам поддержания стабильного курса национальной валюты.
Например, европейские страны в процессе создания европейского валютного союза, сокращая пределы колебаний национальных валют и в последующем переходя к фиксированным курсам, договорились о сохранении на заранее заданном уровне процентных ставок, дефицита госбюджета, объема эмиссии стран-участниц. Выход за допустимые пределы хотя бы по одному показателю неизбежно приводил к «выходу» страны из Европейской валютной системы, т.е. к превышению допустимой величины колебаний национальной валюты.
Фиксированный курс требует, кроме того, наличия крупных запасов «резервной» валюты, которая может быть использована для ликвидации возникающих дисбалансов.
Обычно это означает создание национальных или межнациональных банковских объединений типа Европейского банка.
Особенно большие требования фиксированный валютный курс предъявляет к странам, валюта которых играет ключевую роль в международных расчетах. США, выступившие в 1973 г. за отказ от фиксированного курса доллара по отношению к золоту, исходили прежде всего из необходимости проведения самостоятельной экономической политики вне зависимости от своей обязанности поставщика доллара как основного мирового платежного средства.
Фиксированный же курс по-разному воздействует на спад национальной экономики в зависимости от причин и характера этого спада. В тех случаях, когда основной причиной спада выступают внутриэкономические проблемы страны, сохранение стабильного курса позволяет за счет использования валютных резервов преодолеть спад, смягчив его последствия.
Когда причиной дисбаланса становится изменение обстановки на мировом рынке, например, сокращение потребления товаров, изменение структуры мирового спроса и т.д., то фиксированный курс может оказаться менее эффективным, т.к. не происходит автоматического изменения цены товара. Развивающиеся страны, экспортные доходы которых зависят от поставок одного-двух сырьевых товаров, вынуждены ориентироваться на создание специальных экспортных фондов, буферных запасов, чтобы сохранить объем экспортных поступлений.
После образования СНГ политические деятели тех государств, которые сделали выбор в пользу независимой экономической политики, вынуждены были ввести собственную валюту с «плавающим» курсом по отношению к рублю. Это относится прежде всего к странам Балтии.
Примером  использования  «плавающего»  валютного  курса  как  средства, обеспечивающего независимую макроэкономическую политику, может быть Швейцария периода 70-х годов. В начале 70-х гг. большинство стран выбрало проведение инфляционных программ, обеспечивающих уменьшение безработицы и рост экономики. Швейцария ориентировалась на стабильную макроэкономическую политику. При фиксированном курсе страна неизбежно столкнулась бы с ростом положительного сальдо платежного баланса, поскольку относительная дешевизна швейцарской продукции, создаваемой в условиях стабильной макроэкономики, увеличивала бы поступление экспортной выручки. Страна оказалась бы вынужденной накапливать значительные иностранные резервы, потребность в которых в стране отсутствовала. Перейдя на систему «плавающего» курса, Швейцария смогла повысить стоимость продукции, что привело к снижению объемов экспорта, уменьшению притока денег.
Падение производства привело к удорожанию национальной валюты. Дальнейшее сокращение производства происходило до тех пор, пока цены на отечественную продукцию не сравнялись с иностранными.
Выбор между «плавающим» и фиксированным валютными курсами, таким образом, зависит от соотношения политических и экономических приоритетов правительства, его готовности поступиться частью суверенных прав.


Принципы и структура управления персоналом


Принципы и структура управления персоналом Управление персоналом базируется на следующих исходных положениях:
1) необходимость тесной связи планирования численности персонала со стратегией развития организации (фирмы);
2) количественная оценка издержек на работу с персоналом и их влияния на экономические показатели производства;
3) определение необходимого пакета компенсаций для эффективной работы на рынке труда.
Руководство  персоналом  как  функция  управления  призвана  объединять, координировать, взаимоувязывать и интегрировать все прочие функции в единое целое. Достигается это реализацией принципов работы с персоналом, их взаимодействием.
Под принципом понимается научное начало (основание, правило), которое при решении надо учитывать или соблюдать (табл. 18.1.1).
Таблица 18.1.1 Общие принципы работы с персоналом \
Название принципа
Содержание принципа
Эффективность
Предполагает наиболее эффективную и экономичную организацию системы управления персоналом, снижение доли затрат на систему управления в общих затратах на единицу выпускаемой продукции, повышение эффективности производства. В случае, если после мероприятий по совершенствованию системы управления персоналом увеличились затраты на управление, то они должны перекрываться эффектом от производственной деятельности
Прогрессивность
Соответствие системы управления персоналом передовым зарубежным и отечественным аналогам
Перспективность
При формировании системы управления персоналом следует учитывать перспективы развития организации
Комплексность
При формировании системы управления персоналом необходимо учитывать все факторы, воздействующие на систему управления (связи с вышестоящими органами, договорные связи, состояние объекта управления и т.д.), и охватывать все сферы работы с персоналом
Оперативность
Своевременное принятие решений по анализу и совершенствованию системы управления персоналом, предупреждающих или оперативно устраняющих отклонения
Оптимальность
Многовариантная проработка предложений по формированию системы управления персоналом и выбор наиболее рационального варианта для конкретных условий производства
Простота
Чем проще система управления персоналом, тем лучше она работает. Безусловно, это исключает упрощение системы управления персоналом в ущерб производству
Научность
Разработка мероприятий по формированию системы управления персоналом должна основываться на достижениях науки в области управления и с учетом изменения законов развития общественного производства в рыночных условиях
Иерархичность
В любых вертикальных разрезах системы управления персоналом должно обеспечиваться иерархическое взаимодействие между звеньями управления (структурными подразделениями или отдельными руководителями), принципиальной характеристикой которого является несимметричная передача информации «вниз» (дезагрегирование, детализация) и «вверх» (агрегирование) по системе управления
Автономность
В любых горизонтальных и вертикальных разрезах системы управления персоналом должна обеспечиваться рациональная автономность структурных подразделений или отдельных руководителей
Согласованность
Взаимодействия между иерархическими звеньями по вертикали, а также между относительно автономными звеньями системы управления персоналом по горизонтали должны быть в целом согласованы с основными целями организации и синхронизированы во времени
Комфортность
Система управления персоналом должна обеспечить максимум удобств для творческих процессов обоснования, выработки, принятия и реализации решений человеком. Например, выборочная печать данных, разнообразие обработки, специальное оформление документов с выделением существенной информации, их внешний вид, исключение излишней работы при заполнении документов и т.д.
Коллегиальность в управлении
Профессионалы-менеджеры работают в тесном контакте друг с другом и связаны узами сотрудничества и взаимозависимости, составляя управленческий штат

Для каждого состояния межличностных отношений, достигнутого уровня самоорганизации, достоверности оценки общественно-полезного эффекта существует оптимальный уровень самоорганизации или прав самоуправления, при наличии которых предприятие получает максимальный общественно полезный эффект.
Руководитель должен не приказывать своим подчиненным, а направлять их усилия, помогать раскрытию их способностей, формировать вокруг себя группу единомышленников.
Система управления, состоящая из иерархии различных ступеней (звеньев), предполагает закрепление различных этапов управления за отдельными руководителями или органами (аппаратом) управления.
Отдельные руководители имеют разные ранги. Так, при развитой иерархии управления высший руководитель не занят какой-либо одной функцией управления. Главной задачей высшего руководства является процесс управления в целом: координация разных функций, их увязка и согласование; подбор руководителей соответствующих служб и подразделений; организация иерархии управляющей системы в целом.
Руководители среднего и низового уровней выступают как организаторы определенных видов работ. В их обязанности входит: составление общего плана работы; объединение людей для работы; руководство работой; согласование работы отдельных частей организации и отдельных работников; контроль за работой.'
В ходе изучения системы общественного производства выделяется такая экономическая категория, как трудовой потенциал. Она является важной частью в системе факторов, обеспечивающих эффективность функционирования экономических механизмов. Случайные и неоформленные в причинно-следственные связи знания о воздействии трудового потенциала на эффективность производства приводили к отрицательным последствиям. Рассмотрение этой категории дает возможность использовать трудовой потенциал оптимально и учитывать его особенности наряду другими факторами, лежащими в основе системы общественного производства.



Принципы планирования в экономической организации


Принципы планирования в экономической организации Принципы планирования определяют характер и содержание плановой деятельности в экономической организации. Правильное соблюдение принципов планирования создает предпосылки для эффективной работы фирмы и уменьшает возможность отрицательных результатов планирования.
Еще А.Файоль определил четыре основных принципа планирования, назвав их общими чертами хорошей программы действия. Это единство, непрерывность, гибкость, точность. Р.Акофф гораздо позже обосновал еще один ключевой принцип планирования — принцип участия.
Принцип единства (холизма) предполагает, что планирование в экономической организации должно иметь системный характер.
Понятие «система» означает:
1) существование совокупности элементов;
2) взаимосвязь между ними;
3) наличие единого направления развития элементов системы, поведения, ориентированного на общие цели.
Как основные составляющие понятия «система» могут быть выражены во внутрифирменном планировании? Их можно описать, используя категории «координация» и «интеграция».
Элементами планирования в фирме являются отдельные подразделения, входящие в нее, и отдельные части процесса планирования. Взаимосвязь между подразделениями осуществляется на основе координации на горизонтальном уровне, т.е. на уровне функциональных подразделений (отдела маркетинга,  производственного  отдела, финансового отдела и т.д.).
Единое направление плановой деятельности, общность целей всех элементов экономической организации становятся возможными в рамках вертикального единства подразделений (т.е. единства в рамках управленческой иерархии, например организация в целом = продуктовое подразделение = цех = бригада) и их интеграции.
Координация плановой деятельности отдельных функциональных подразделений выражается в том, что:
- деятельность ни одной части организации нельзя планировать эффективно, если такое планирование не связано с плановой деятельностью отдельных единиц данного уровня;
- всякие изменения в планах одного из подразделений должны быть отражены в планах других подразделений.
Таким образом, взаимосвязь и одновременность — главные черты координации планирования на предприятии.
Интеграция плановой деятельности предполагает, что в организации существует разнообразие относительно обособленных процессов планирования и частных планов подразделений, т.е. разнообразие подсистем планирования, но каждая из подсистем действует, исходя из общей стратегии фирмы, а каждый отдельный план является частью плана подразделения более высокого звена и организации в целом. Все планы, созданные
в организации, представляют собой не просто совокупность, набор документов, но их взаимосвязанную систему.
Принцип участия тесно связан с принципом единства. Принцип участия означает, что каждой член экономической организации становится участником плановой деятельности, независимо от должности и выполняемой им функции. То есть процесс планирования должен привлекать к себе всех тех, кого оно непосредственно затрагивает. Планирование, основанное на принципе участия, называют партисипативнъш.
Каковы выгоды реализации принципа участия?
Во-первых, каждый из участников организации получает более глубокое понимание сути своей организации, знание различных сторон ее жизни. Он получает более обширную и объективную информацию о ее деятельности, чем раньше. В целом процесс обмена внутрифирменной информацией облегчается.
Во-вторых, личное участие членов организации, в том числе рядовых работников, в процессе планирования приводит к тому, что планы организации становятся личными планами работающих, а участие в достижении целей организации приносит удовлетворение собственных потребностей работников. У каждого из работников появляются новые, ярко выраженные мотивы к эффективному труду, укрепляется командный дух в организации.
В-третьих, применение принципа участия способствует тому, что работники организации, занимаясь планированием, развивают себя как личность. У них появляются новые навыки, новые знания, расширяется горизонт их личных возможностей, а значит, организация приобретает дополнительные ресурсы для решения своих будущих задач.
В-четвертых, партисипативное планирование объединяет две функции менеджмента, которые часто вступают в противоречие друг с другом, — оперативное руководство и планирование. Планы перестают быть чем-то внешним для руководителей. Руководители сами привлекаются к их составлению.
Как организовать партисипативное планирование? Если организация невелика, система участия в процессе планирования может быть основана на непосредственных контактах между руководством фирмы, плановиками (если они есть) и работниками.
Практическое участие коллективов работников в планировании может быть организовано в рамках таких структур как «кружки качества».
«Кружки качества» возникли в начале 60-х годов в Японии как реакция на посредственный уровень японских товаров. Говорят, что до второй мировой войны слова «сделано в Японии» означали дешевые и низкокачественные товары. Эта ситуация напоминает сегодня положение в китайском, а отчасти, и в молодом российском бизнесе. Кружки качества были введены для осуществления внутреннего контроля за качеством, то есть контроля со стороны самих рабочих, без внешнего давления на них для решения этой проблемы.
Кружок качества представляет собой небольшую (6-10 человек) группу работников одного производственного уровня, которые осуществляют анализ проблем» связанных с их работой. В современных условиях сфера деятельности кружков качества гораздо шире, чем это обозначено в их названии.
Обсуждение стратегии контроля за качеством в кружках дополняется изучением наиболее важных вопросов повышения общей производительности фирмы. Работники привлекаются   к   коллективному   анализу   инновационных,   технологических, образовательных проблем, что создает атмосферу новаторства и творческого поиска в решении основных задач деятельности фирмы.
Иногда собрания кружков проводятся на добровольной основе, в нерабочее время. В некоторых случаях руководство компаний самостоятельно организует деятельность кружков качества и разрешает проводить их в рабочее время, а участие в собраниях после завершения рабочего дня оплачивается как сверхурочные.
В крупных компаниях для организации партисипативного планирования могут быть рекомендованы более жесткие, вертикально построенные структуры, некоторые позволят осуществлять прямую и обратную связь между всеми уровнями организации.
Смысл принципа непрерывности заключен в том, что:
- процесс планирования на предприятиях должен осуществляться         постоянно, в
рамках установленного цикла;
- разработанные планы должны непрерывно приходить на смену друг другу , (второй — на смену первому, третий — на смену второму и т.д.).;
Второе из условий непрерывности планирования — постоянное следование планов s друг за другом — компании, как правило, соблюдают. В то же время нередки случаи | прерывания компаниями процесса планирования. Фирмы разрабатывают план в течение I определенной части года, утверждают его и прекращают планирование до начала i следующего периода. Процесс планирования должен быть непрерывным исходя из следующих важных предпосылок:
- неопределенность внешней среды и наличие непредусмотренных изменений делают необходимой постоянную корректировку ожиданий фирмы относительно внешних условий и соответствующее исправление и уточнение планов;
- изменяются не только фактические предпосылки, но и представления фирмы о своих внутренних ценностях и возможностях. Если фирма не будет учитывать такие изменения, запланированный и полученный результат может оказаться никому не нужным. И наконец, непрерывный процесс планирования позволяет обеспечивать постоянную вовлеченность работников фирмы в плановую деятельность со всеми вытекающими из этого выгодами.
Принцип гибкости взаимосвязан с принципом непрерывности и заключается в придании планам и процессу планирования способности менять свою направленность в связи с возникновением непредвиденных обстоятельств.
Для осуществления принципа гибкости планы должны составляться так, чтобы в них можно было вносить изменения, увязывая их с изменяющимися внутренними и внешними условиями. Поэтому планы обычно содержат так называемые резервы, иначе называемые «надбавками безопасности», или «подушками».
Существуют однако определенные пределы резервов планирования:
- резервы, заложенные в показателях, не должны быть слишком большими, иначе планы окажутся неточными;
- слишком низкие пределы влекут за собой слишком частые изменения в планах, что размывает ориентиры деятельности фирмы.
С финансовой точки зрения обеспечение принципа гибкости нуждается в дополнительных затратах, причем уровень затрат должен соотноситься с вероятным будущим риском. Например, фирма должна быть готова выделить дополнительные затраты на приобретение оборудования, если по ее прогнозам выпуск новых видов изделий потребует переналадки такого оборудования.
Придание гибкости планам при помощи дополнительных затрат также имеет свои ограничения. Затраты могут оказаться настолько высокими, что гибкость плана и связанные с ней преимущества не окупят их.
Принцип поточности. Всякий план должен составляться с такой степенью точности, какая только совместима с нависшей над судьбой фирмы неизвестностью. Другими словами, планы должны быть конкретизированы и детализированы в той степени, в какой позволяют внешние и внутренние условия деятельности фирмы.
Стратегическое,   долгосрочное   планирование   вынуждено   ограничиваться определением основных целей и самых общих направлений деятельности, потому что количество достоверной информации о будущем очень невелико, а диапазон и скорость изменений постоянно растут. В планах, рассчитанных на короткие промежутки времени и для отдельных подразделений организации, конкретность и проработка деталей должны стать обязательными чертами, поскольку такие планы являются инструкциями, определяющими действия людей и коллективов, реализующих эти планы.1
Если рассматривать организацию (фирму) как структуру, стремящуюся к устойчивому функционированию, то необходимо учитывать требование к взаимному соответствию отдельных уровней и сторон ее деятельности. В этой связи к исследованию принимается система внутрифирменного планирования как система воспроизведения в коммерческом действии оснований для обеспечения общей изначальной посылки деятельности данной фирмы. Внутрифирменное планирование балансирует отношение сторон деятельности рассматриваемой фирмы в целом.


Принципы выбора группировочного признака


Принципы выбора группировочного признака. Образование групп  и интервалов группировки Социально-экономические явления отличаются большим многообразием форм своего развития, и поэтому при группировке встает вопрос о выборе того признака, который адекватен цели исследования и характеру исходной информации. Руководствуясь теоретическими положениями экономической науки и исходя из задач исследования, для осуществления группировки необходимо из множества признаков выбрать определяющие.
Определяющими являются признаки, которые наиболее полно и точно характеризуют изучаемый объект, позволяют выбрать его типичные черты и свойства. Например, торговое предприятие характеризуется различными признаками, каждый из которых имеет определенное значение. Тем не менее основным, существенным признаком величины предприятия торговли является объем товарооборота, свидетельствующий о концентрации торгового процесса.
Важным моментом при выборе группировочного признака является необходимость учета изменившихся обстоятельств, в которых действует то или иное явление. Принцип соблюдения условия места и времени здесь должен выполняться.
Все многообразие признаков, на основе которых могут производиться статистические группировки, можно соответствующим образом классифицировать:
1. По форме выражения группировочные признаки могут быть атрибутивными, не имеющими количественного значения (профессия, образование и т.д.), и количественными, т.е. признаками, принимающими различные цифровые характеристики у отдельных единиц изучаемой совокупности (число работающих, величина дохода и т.д.). При этом количественные признаки, в свою очередь могут быть дискретными (прерывными), значения которых выражаются только целыми числами (число комнат в квартире и т.д.), и непрерывными, принимающими как целые, так и дробные значения (объем проданных населению товаров в стоимостном выражении, сумма издержек обращения).
2. По  характеру  вариабельности  группировочные  признаки  могут  быть альтернативными, которыми одни единицы обладают, а другие — нет (например, поставка товаров в магазин может быть качественной или некачественной), и имеющими множество количественных значений (например, размер торговой площади, величина фонда оплаты труда и т.д.).
3. По той роли, которую играют признаки во взаимосвязи изучаемых явлений, их подразделяют на факторные, воздействующие на другие признаки, и результативные, испытывающие на себе влияние других. Причем в зависимости от сложившихся объективных условий и цели исследования признаки могут меняться ролями. В одних случаях они являются факторными признаками, в других — результативными. Так, с одной стороны, величина прибыли предприятий торговли зависит от качества деятельности их коллективов, с другой — является основным источником дальнейшего расширения всего торгового потенциала (основных фондов, увеличения числа работников торговли и т.д.).
Таким образом, в первом случае прибыль выступает результативным признаком, во втором — факторным. А это положение имеет важное значение в статистическом исследовании коммерческой деятельности.
Следующим важным шагом после определения группировочного признака является распределение единиц совокупности по группам. Здесь встает вопрос о количестве групп и величине интервала, которые между собой взаимосвязаны. При прочих равных условиях чем больше число групп, тем меньше величина интервала и наоборот. Одним из основных требований, возникающих при решении данного вопроса, является выбор такого числа групп и величины интервала, которые позволяют более равномерно распределить единицы совокупности по группам и достичь при этом их представительности, качественной однородности. Оптимальная наполняемость интервалов является важным критерием правильности группировки. Например, в настоящее время уже получили большое распространение в экономике страны арендные, кооперативные, акционерные предприятия, для изучения перспектив развития целесообразно объединять их по объему основной производственной деятельности, товарообороту и другим существенным признакам в отдельные группы.
Вопрос о числе групп и величине интервала следует решать с учетом множества обстоятельств, прежде всего исходя из целей исследования, значения изучаемого признака, объема коммерческой деятельности и т.д.
Количество групп во многом зависит от того, какой признак служит основанием группировки. Так, нередко атрибутивные группировочные признаки предопределяют число групп (группировка работников по образованию, продавцов по категориям). По аналогии также расчленяется совокупность по дискретному признаку, изменяющемуся в незначительном диапазоне (при группировке магазинов по числу товарных секций, семей — по числу их членов и др.).
Интервалы групп устанавливаются только при значительной вариабельности дискретного признака (торговая площадь, число работников) и тем более при непрерывно изменяющемся количественном признаке (величина зарплаты, сумма издержек обращения и т.д.). Например, для выделения групп по размеру торговой площади магазинов необходимо установить следующие количественные границы (м2}'- до 15, 16—100,
101—200, 201--400, 401—1000.1
16.4. Государственное регулирование экономики и экономическая политика
основы методологии и. методы  регулирования экономики; функции государства в смешанной экономике; система государственного регулирования экономики
Государство в смешанной экономике играет роль экономического субъекта, опосредованно воздействующего на рыночный механизм в целом, причем оно не может воздействовать непосредственно на характер происходящих экономических процессов. Исследование данной проблематики построено на основе учебника «Государственное регулирование экономики и социальный комплекс» коллектива авторов под ред. Т.Г. Морозовой, А.В. Пикулькина (1997).


Принятие решений


Принятие решений Управленческая работа — это, в основном, работа интеллектуальная. Она напоминает попытку сложить сложный мозаичный узор из отдельных кусочков после того, как кто-то свалил в эту же коробку кусочки мозаики, принадлежащие еще пяти различным сюжетам. Чтобы дополнить сравнение с мозаикой, следует сказать, что руководителям приходится перебирать многочисленные комбинации потенциальных действий для того, чтобы правильное действие — для данной организации в данное время и в данном месте. По сути, чтобы организация могла четко работать, руководитель должен сделать серию выборов из нескольких альтернативных возможностей. Выбор одной из альтернатив — это решение. Следовательно, принятие решения — это выбор того, как и что планировать, организовывать, мотивировать и контролировать. В самых общих чертах имменно это составляет основное содержание деятельности руководителя.
Основным требованием для принятия эффективного объективного решения или даже для понимания истинных масштабов проблемы является наличие адекватной точной информации. Единственным способом получения такой информации является коммуникация.
Коммуникация. Способность передавать абстрактные идеи является одной из важных отличительных особенностей человечества. Коммуникация — это процесс обмена информацией, ее смысловым значением между двумя или более людьми. Прочность и качество отношений между людьми — будь это друзья, члены семьи или коллеги — в основном представляют собой функцию того, насколько четкими и честными являются их межличностные отношения. Поскольку организация представляет собой структурированный тип отношений между людьми, она в значительной степени зависит от качества коммуникаций для обеспечения эффективного функционирования.
Очевидно, что если коммуникации между людьми не будут эффективными, люди не смогут договориться об общей цели, что составляет предпосылку существования организации как таковой. Информация в процессе коммуникации передается не только для того, чтобы могли приниматься здравые решения, но также и для того, чтобы они могли выполняться. Планы, например, нельзя выполнить', если они не будут переданы тем людям, которые должны их выполнять. Обычно, если руководство может донести обоснование своих решений до подчиненных, это значительно повышает шансы их успешного выполнения. До тех пор, пока работники не понимают, какое вознаграждение может предложить им организация за хорошо выполненную работу, они не могут быть достаточно мотивированы и хорошо работать на нее. Коммуникация также важна и в функции контроля. Руководители нуждаются в информации относительно того, что было выполнено, чтобы правильно решать, были ли достигнуты цели организации.
С 1979 г. компания «Хьюлетт-Паккард» работает для того, чтобы достичь цели, поставленной как. цель десятилетия: сократить в десять раз процент брака в производстве. Для того чтобы обеспечить это, руководство вначале должно было разработать план. Затем в компании была организована небольшая группа людей, чтобы бороться за качество. Эту группу назвали «группа качества» или «группа сдачи продукции с первого предъявления». Поездка этой группы в Японию способствовала тому, что движение за качество приняло гораздо более широкий, размах, «теперь это было похоже на крестовый поход за качество, и в нем могли принимать участие практически все работники компании на всех уровнях». Было испробовано несколько методов пропаганды значимости этого движения, чтобы охватить энтузиазмом всю компанию. К таким методам относились: обсуждение, обучение и распространение письменной информации в форме писем-циркуляров. Качество и производительность стали темой разговоров во время коротких перерывов на кофе. Результаты программы по сокращению брака в производстве были положительньми. Другие изменения — такие, как обеспечение своевременного доступа к необходимой информации, имеют место в процессе продвижения к достижению названной цели «Хьюлетт-Паккард» на десятилетие. Процесс управления подчеркивает взаимозависимость функций управления, это отличается от системного подхода, где подчеркивается взаимозависимость отдельных частей организации, а также взаимозависимость организации и окружающей среды.
Системный подход Структура организации часто изображается в виде плоской двухмерной организационной блок-схемы. Эти блок-схемы представляют собой удобные модели, которые помогают увидет сложные взаимоотношения между отдельными. подразделениями, структурными единицами и людьми в данной организации. Но, если бы это было возможно, более точно отобразить структуру помог бы нам «мобайл», — подвижное изображение, а не блок-схема. Как вы, наверное, знаете из опыта, когда касались какого-то участка подвижной структуры, конструкции «мобайл», все другие его части также приходят в движение или изменяют свое положение в большей или меньшей степени, в зависимости от того, какой части вы касаетесь и с какой силой вы воздействуете на нее. Более того, положение других частей меняется не сразу, — необходимо какое-то время на реакцию. И это время опять-таки зависит от того, в каком месте и насколько сильно вы касаетесь «мобайла». Точно также, когда руководство меняет один элемент или какую-то одну часть организации, все другие части в определенной степени также испытывают воздействие этой перемены. Такого рода изменения могут сказаться на будущей эффективности организации в целом.
Такие эффекты возникают при изменениях физического характера, вроде необходимости нанимать новых людей или менять технологию при покупке новых машин и оборудования, а также при изменениях одной из управленческих функций. Например, если высшее руководство решает предоставить одному из подчиненных руководителей большую свободу действий, это повлияет на мотивацию данного руководителя, на то, как он будет вести себя со своими подчиненными, и на то, как подчиненные будут взаимодействовать с новым руководителем. Кроме того, может снизиться мотивация к работе других руководителей, которые находятся на той же ступени иерархической лестницы, но не получили никаких дополнительных прав. Они могут почувствовать себя ущемленными по многим организационным аспектам, влияющим на их работу. Все эти изменения будут происходить в разное время. Следовательно, в будущем организация станет некоей иной целостностью, находящейся в другой позиции на пути к достижению своих цепей, чем это было бы, если бы изменения не произошли,1
Любое практическое действие в менеджменте изначально моделируется с целью расчета вероятных вариантов решения. И в игровом (моделирующем), и в реальном действии происходит последовательно две стадии: диагностика проблемы и выбор варианта ее разрешения и организационно-практическая деятельность по реализации этого варианта в действительности. Поэтому в решении соединяются операции аналитической, элективной деятельности с операциями организационно-практической деятельности. При этом большое значение играет степень согласованности тактических и стратегических планов в менеджменте, так как любое решение должно рассчитываться не только в краткосрочном, но и долгосрочном периоде.
Как мы узнали из нашего обзора истории менеджмента, концепция о возможности применения научных принципов для повышения эффективности организации зародилась, когда управление как наука было еще в зачаточном состоянии. Систематическое приложение научного метода к проблемам управления было фундаментом научного управления. Однако истоки школы управленческой мысли имеют недавнее происхождение.
Наука управления зародилась в Англии во время второй мировой войны, когда группа ученых получила задание на решение сложных военных проблем, таких, как оптимальное размещение сооружений гражданской обороны и огневых позиций, оптимизация глубины подрыва противолодочных бомб и конвоя транспортных караванов. В 50-60-е гг. методология была обновлена, преобразована в целый ряд специфических методов и стала все более широко применяться для решения проблем в промышленности и принятия решений в разных ситуациях. Сегодня модели и методы науки управления используются для решения таких задач, как регулирование транспортных потоков в городах и оптимизация графика движения в аэропортах, составление графиков работы классов и аудиторий в университетах, управление запасами в супермаркетах и универмагах, разработка новых видов продукции, распределение расходов на рекламу различных видов продукции, планирование материального обеспечения, распределение оборудования и трудовых ресурсов для производства разных изделий на заводе, составление графика игр в высшей бейсбольной лиге на сезон.
Центральный пункт науки управления состоит в том, чтобы «обеспечить руководителей организации научной базой для разрешения проблем, связанных со взаимодействием компонентов организации в интересах последней как целого». Это важно для всех организаций, но особенно трудным может быть применение этого принципа в крупных организациях в силу высокой степени специализации.
Как указывают Черчмен, Акофф и Арнофф: «В организации каждая функциональная единица (отделение, отдел или сектор) обязана выполнить часть общей работы. Каждая такая часть необходима для достижения общих целей организации. Результат такого разделения труда состоит, однако, в том, что каждое функциональное подразделение разрабатывает собственные цели. Например, производственный отдел обычно занимается целями снижения производственных издержек и увеличения объема производства. Отдел маркетинга старается снизить до минимума расходы на единицу объема сбыта, довести этот объем до максимума. Финансовый отдел пытается оптимизировать политику капиталовложений организации. Отдел кадров прилагает все силы, чтобы нанимать хороших работников при минимальных издержках и удерживать их в организации и т.п. Эти цели не всегда согласуются, по существу, они часто вступают в противоречие друг с другом».
Специалисты штабных служб по моделированию принятия решений и соответствующим методам пытаются оценить компромиссы, возможные в связи с различием целей, и выявить альтернативные решения, обеспечивающие баланс противоречивых целей. Понимание подхода с позиций науки управления поможет вам более эффективно общаться со штабными специалистами и работать с ними над формулированием эффективных решений проблем организации.
Сегодня можно встретить понятия «наука управления», «наука о принятии решений», «системный анализ», «наука о системах», но чаще всего «исследование операций», которые используются как взаимозаменяемые. Эти термины распространяются на количественные методы. Многие авторы определенно могли бы отнести методы, связанные с управлением операциями, планированием и средствами контроля, к методам науки управления.
Независимо от предпочитаемой терминологии, отличительные особенности науки управления таковы:
1. Использование научного метода.
2. Системная ориентация.
3. Использование моделей.
Фундаментальной процедурой любого научного исследования, впервые использованного на практике школой научного управления, является научный метод. Он состоит из трех этапов ( 16.1.3):
1. Наблюдение. Речь идет об объективном сборе и анализе информации по проблеме и ситуации. К примеру, если рассматривается зависимость между потребностью в изделиях и уровнем запасов, руководитель должен оценивать, как варьирует уровень запасов в зависимости от спроса. (Сегодня в крупных организациях этот и почти все другие аспекты научного анализа обычно проводятся специалистами штабных подразделений).
2. Формулирование гипотезы. Формулируя гипотезу, исследователь выявляет имеющиеся альтернативы — варианты действий — и их последствия для ситуации, а также делает прогноз, основанный на этих наблюдениях. Цель — установление взаимосвязи между компонентами проблемы. Когда, например, наблюдение показывает, что запасы будут снижаться, если спрос в течение месяца возрастет на 10%, руководитель может опереться на гипотезу, согласно которой прирост запасов на определенную величину предупредит их сокращение в подобной ситуации.
3. Верификация. В третьей фазе верификации, или подтверждения достоверности гипотезы, исследователь-лщоверяет гипотезу, наблюдая результаты принятого решения. Продолжая наш пример, отметим, что руководитель может в самом деле увеличить запасы на величину, рекомендованную штабным специалистом. Если при этом запасы не падают и
не растут сверх меры, гипотезу следует признать правильной. Если все-таки возникает нехватка продукции с ростом спроса или запасы возрастают настолько, что расходы на их содержание становятся чрезмерными, гипотезу следует признать недостоверной. В этом случае руководитель должен вернуться к первому этапу, добавить к имеющейся информацию, собранную на этапе! проверки гипотезы, а также другие данные, после чего сформулировать новую гипотезу.

Применяя научный метод для разрешения проблем управления, необходимо помнить, что организация — это открытая система, состоящая из взаимосвязанных частей. Поэтому второй особенностью научного подхода к управлению является системная ориентация.
Третья особевжють таута. утфавжяиа — -использование моделей. Моделирование часто необходимо в силу сложности проблем управления и трудности проведения экспериментов в реальной жизни.
Моделирование — это концепция, которой уделено много внимания в нашем обсуждении. Наиболее заметный и, возможно, наиболее значительный вклад школы научного управления заключается в разработке моделей, позволяющих принимать объективные решения в ситуациях, слишком сложных для простой причинно-следственной оценки альтернатив. Многие из таких моделей настолько сложны, что не всякий средний—_ руководитель в состоянии воспользоваться ими самостоятельно. Однако отсутствие основательного представления о моделях может привести руководителя к методу проб и ошибок и принятию необдуманных решений вместо применения проверенных методов.


Природа конфликта в организации


Природа конфликта в организации Как и у многих понятий в теории управления, у конфликта имеется множество определений и толкований. Конфликт — это отсутствие согласия между двумя или более сторонами, которые могут быть конкретными лицами или группами. Каждая сторона делает все, чтобы принята была ее точка зрения или цель, и мешает другой стороне делать то же самое. Например, когда готовится смета компании «Си Би Эс» на следующий год, президенты «Си Би Эс Новости» и «Си Би Эс Спорт», возможно, оба стараются убедить Совет директоров «Си Би Эс», что именно он заслуживает большей доли ресурсов компании. Или представим себе двух инженеров на собрании, где каждый настойчиво предлагает принять его спецификацию продукта.
Когда люди думают о конфликте, они чаще всего ассоциируют его с агрессией, угрозами, спорами, враждебностью, войной и т.п. В результате бытует мнение, что конфликт — явление всегда нежелательное, что его необходимо, по возможности, избегать и что его следует немедленно разрешать, как только он возникает. Такое отношение четко прослеживается в трудах авторов, принадлежащих к школе научного управления, административной школе и разделяющих концепцию бюрократии по Веберу. Эти подходы к эффективности организации в большой степени опирались на определение задач, процедур, правил, взаимодействий должностных лиц и разработку рациональной организационной структуры. Считалось, что такие механизмы, в основном, устранят условия, способствующие появлению конфликта, и могут быть использованы для решения возникающих проблем.
Авторы, принадлежащие к школе «человеческих отношений», также были склонны считать, что конфликта можно и должно избегать. Они признавали возможность появления противоречий между целями отдельной личности и целями организации в целом, между линейным и штабным персоналом, между полномочиями и возможностями одного лица и между различными группами руководителей. Однако они обычно рассматривали конфликт как признак неэффективной деятельности организации и плохого управления. По их мнению, хорошие взаимоотношения в организации могут предотвратить возникновение конфликта.
Современная точка зрения заключается в том, что даже в организациях с эффективным управлением некоторые конфликты не только возможны, но даже, может быть, и желательны. Конечно, конфликт не всегда имеет положительный характер. В некоторых случаях он может мешать удовлетворению потребностей отдельной личности и достижению целей организации в целом. Например, человек, который на заседании комитета спорит только потому, что не спорить он не может, вероятно, снизит степень удовлетворения потребности в принадлежности и уважении и, возможно, уменьшит способность группы принимать эффективные решения. Члены группы могут принять точку зрения спорщика только для того, чтобы избежать конфликта и всех связанных с ним неприятностей, даже не будучи уверенными, что поступают правильно. Но во многих ситуациях конфликт помогает выявить разнообразие точек зрения, дает дополнительную информацию, помогает выявить большее число альтернатив или проблем и т.д. Это делает процесс принятия решений группой более эффективным, а также дает людям возможность выразить свои мысли и тем самым удовлетворить личные потребности в уважении и власти. Это также может привести к более эффективному выполнению планов, стратегий и проектов, поскольку обсуждение различных точек зрения на эти документы проходит до их фактического исполнения.
Таким образом, конфликт может быть функциональным и вести к повышению эффективности организации. Или он может быть дисфункционалъным и приводит к снижению личной удовлетворенности, группового сотрудничества и эффективности организации. Роль конфликта, в основном, зависит от того, насколько эффективно им управляют. Чтобы управлять конфликтом, необходимо понимать причины возникновения конфликтной ситуации. Слишком уж часто управляющие считают, что основной причиной конфликта является столкновение личностей. Однако последующий анализ показывает, что «виноваты» другие факторы. Перед тем, как перейти к обсуждению методов управления конфликтной ситуацией, давайте сначала поговорим об основных типах конфликта, его причинах и процессе его разрешения.
Существуют четыре основных типа конфликта: внутриличностный конфликт, межличностный конфликт, конфликт между личностью и группой и межгрупповой конфликт.
Внутриличностный конфликт. Этот тип конфликта не соответствует определению, данному выше. Однако его потенциальные дисфункциональные последствия аналогичны последствиям других типов конфликта. Он может принимать различные формы. Одна из самых распространенных форм — ролевой конфликт, когда к одному человеку предъявляются противоречивые требования по поводу того, каким должен быть результат его работы. Например, заведующий секцией или отделом в универсальном магазине может потребовать, чтобы продавец все время находился в отделе и предоставлял покупателям информацию и услуги. Позже заведующий может высказать недовольство тем, что продавец тратит слишком много времени на покупателей и уделяет мало внимания пополнению отдела товарами. А продавец воспринимает указания относительно того, что делать и чего не делать, как несовместимые. Аналогичная ситуация возникла бы, если бы руководителю производственного подразделения его непосредственный начальник дал указание наращивать выпуск продукции, а руководитель по качеству настаивал бы на повышении качества продукции путем замедления производственного процесса. Оба примера говорят о том, что одному человеку давались противоречивые задания и от него требовали взаимоисключающих результатов. В первом случае конфликт возникал в результате противоречивых требований, предъявляемых к одному и тому же человеку. Во втором случае причиной конфликта было нарушение принципа единоначалия.
Внутриличностный конфликт может также возникнуть в результате того, что производственные требования не согласуются с личными потребностями или ценностями. Например, женщина-руководитель давно планировала в субботу и воскресенье поехать отдохнуть с мужем, так как ее чрезмерное внимание работе стало плохо сказываться на семейных отношениях. Но в пятницу к ней в кабинет врывается ее начальник с какой-то проблемой и настаивает, чтобы она занялась ее решением в выходные дни. Или агент по продаже рассматривает взятку как крайне неэтичный способ взаимодействия, но начальство дает ему понять, что продажа должна состояться во что бы то ни стало. Многие организации сталкиваются с тем, что некоторые руководители возражают против их перевода в другой город, хотя это сулит им солидное повышение в должности и жаловании. Это особенно часто происходит в семьях, где и муж, и жена занимают руководящую должность или являются специалистами. Внутриличностный конфликт может также являться ответом на рабочую перегрузку или недогрузку. Исследования показывают, что такой внутриличностный конфликт связан с низкой степенью удовлетворенности работой, малой уверенностью в себе и организации, а также со стрессом.
Межличностный конфликт. Этот тип конфликта, возможно, самый распространенный. В организациях он проявляется по-разному. Чаще всего это борьба руководителей за ограниченные ресурсы, капитал или рабочую силу, время использования оборудования или одобрение проекта. Каждый из них считает, что поскольку ресурсы ограничены, он должен убедить вышестоящее начальство выделить эти ресурсы именно ему, а не другому руководителю. Или представим, что два художника работают над одной и той же рекламой, но имеют разные точки зрения относительно эффективности воздействия на покупателей.
Межгрупповой конфликт. Организации состоят из множества групп, как формальных, так и неформальных. Даже в самых лучших организациях между такими группами могут возникать конфликты ( 17.1.4). Неформальные организации, которые считают, что руководитель относится к ним несправедливо, могут крепче сплотиться и попытаться «рассчитаться» с ним снижением производительности. Во время Хоторнского эксперимента, например, было обнаружено, что работники сообща решили работать ниже норм, установленных руководством. Еще одним примером межгруппового конфликта может служить непрекращающийся конфликт между профсоюзом и администрацией.
К сожалению, частым примером межгруппового конфликта служат разногласия между линейным и штабным персоналом. Штабной персонал обычно более молодой и образованный, чем линейный, и при общении любит пользоваться техническим жаргоном. Эти отличия приводят к столкновению между людьми и затруднениям в общении. Линейные руководители могут отвергать рекомендации штабных специалистов и выражать недовольство по поводу своей зависимости от них во всем, что связано с информацией. В экстремальных ситуациях линейные руководители могут намеренно выбрать такой способ выполнения предложения специалистов, что вся затея окончится провалом. И все это для того, чтобы поставить специалистов «на свое место». Штабной персонал, в свою очередь, может возмущаться, что его представителям не дают возможности самим провести в жизнь свои решения, и старается сохранить информационную зависимость от него линейного персонала. Это — яркие примеры дисфункционального конфликта.


Приватизация в России (денационализация)


Приватизация в России (денационализация). Закон «О приватизации государственных и муниципальных предприятий в Российской Федерации» обоснованно разграничил функции организации приватизации имущества, возложив их на Государственный комитет по управлению государственным имуществом (правительство) и комитеты по управлению имуществом на местах, и функции по временному владению и продаже этого имущества, поручив их Российскому фонду федерального имущества (парламент) и фондам имущества на местах.
Логика законодателя заключалась в том, чтобы огромное богатство, накопленное десятилетиями, могло бы переходить из рук в руки под взаимным контролем представительной и исполнительной власти. К сожалению, исполнительные акты в 1992-93 годах постоянно нарушали баланс правомочий и функций этих двух структур, что не могло не привести к колоссальному ущербу, влияющему в целом на общее экономическое состояние страны и стабильность ее финансового положения.
Что касается конкретных итогов приватизации, они иллюстрируются следующими данными: в промышленности доля предприятий государственной собственности снизилась с 95% в начале 1992 года до 83% процентов в середине 1993 года. В строительстве уже более 70% строительных организаций были негосударственными. Они выполняли более 50% всего объема подрядных работ. По состоянию на 1 июля 1993 г. в России приватизировано около 72 тыс. предприятий, в том числе за 6 месяцев 1993 г. — 25 тысяч. Число приватизированных предприятий увеличилось по сравнению с 1992 г. в 1,5 раза. Ведущие способы приватизации предприятий — продажа на коммерческом конкурсе, аукционе и выкуп арендованного имущества предприятий.
Наибольшее число предприятий, приватизированных за 1993 год, находилось в Центральном экономическом районе — 3623 предприятия. По стоимости приватизированных предприятий за январь-июнь 1993 года выделялись Уральский район (253 871,7 млн. рублей) и Западно-Сибирский район (246 900,3 млн. рублей).
За 1992 год и половину 1993 года в сфере розничной торговли приватизировано 26,2 тыс. предприятий (15% к находящимся в госсобственности на 1 января 1992 г.), общественного питания — 6,5 тыс. предприятий (5%), бытового обслуживания — 16,1 тыс. предприятий (13%).
«Малая» приватизация осуществлялась в основном путем выкупа арендованного имущества. На конкурсе было продано немного больше трети приватизируемых предприятий этих отраслей. В первом полугодии 1993 года в Российской Федерации от приватизации предприятий розничной торговли, общественного питания получено более 43 млрд. рублей.
Осуществлялась приватизация предприятий транспорта и связи. К началу августа 1993 года приватизировано 988 автотранспортных и транспортно-экспедиционных предприятий (20% от их общего числа), 14 предприятий внутреннего водного транспорта, 16 предприятий морского транспорта, 3 авиапредприятия, 10 предприятий промышленного железнодорожного транспорта, 6 лесосплавных предприятий и 7 предприятий связи.
Разворачивалась приватизация крупных предприятий, находившихся, как правило, в федеральной собственности. Доля их в общем числе приватизированных предприятий повысилась с 7% в 1992 г. до 15% в январе-июне 1993 г., по предприятиям, находящимся в собственности территорий, — с 17% до 22%, а по малым предприятиям, относящимся к муниципальной собственности, сократилась с 76% до 62%.
Общая стоимость приватизированных в январе-июне 1993 г. предприятий (по остаточной стоимости в ценах до переоценки основных фондов в 1992 г.) составила более 388 млрд. рублей и различается в зависимости от видов собственности. В среднем стоимость одного приватизированного предприятия, находившегося в муниципальной собственности, составляет 8 млн. рублей, собственности территорий — 15 млн., федеральной собственности — 47 млн. рублей.
«Малая» приватизация осуществлялась в основном путем продажи на коммерческом конкурсе, аукционе и путем выкупа арендованного имущества предприятий. В 1992 г. было продано путем выкупа арендованного имущества 29% от общего числа приватизированных предприятий, за шесть месяцев 1993 г. — 31%, в том числе по коммерческому конкурсу — соответственно 43% и 31%. На аукционе в 1992 г. продано 16% приватизированных предприятий, в январе-июне 1993 г. — 7%.
Не получили заметного распространения продажа с инвестиционных торгов, а также продажа имущества ликвидируемых и ликвидированных предприятий, за январь-июнь 1993 г. на их долю приходилось менее 2% приватизированных предприятий.
Постепенно рос средний курс стоимости проданных предприятий (отношение продажной цены к начальной), составивший 5,2 (в 1992 г. — 3,2); по предприятиям, относившимся к муниципальной собственности, — 7,1, к собственности территорий — 4,5, к федеральной — 2,0. С развитием «большой» приватизации растет доля предприятий, приватизированных путем акционирования, — за шесть месяцев 1993 г. она увеличилась в общем их числе с 10% до 29%.
Общая выручка от приватизации предприятий (включая средства, поступающие от предприятий, приватизированных в 1992 г.) составила в январе-июне 215 млрд. рублей (в ценах текущего года). На долю предприятий розничной торговли пришлось 24% общей суммы выручки от приватизации, пищевой, легкой промышленности, бытового обслуживания, строительства — 5-6%, предприятий других отраслей — менее 4%.
От приватизации предприятий муниципальной собственности было получено 73 млрд. рублей (34%), собственности территорий — 56 млрд. (26%) и федеральной собственности — 86 млрд. рублей (40%). Из выручки перечислено: в доход бюджетов территорий 62%, в республиканский бюджет 25%, государственным органам приватизации — 13% средств.
По состоянию на 1 августа 1993 г. было приватизировано 6,8 млн. квартир, что составило 20,5% от общего числа квартир, подлежащих приватизации. Наибольшее количество квартир приватизировано в Республике Алтай (59%), наименьшее — в республиках Татарстан и Саха (4%).
По состоянию на 1 июля 1993 г. в 16 регионах России было приватизировано предприятий перерабатывающих отраслей АПК — 53%, производственно-технического обслуживания — 33% и материально-технического обеспечения — 44%. Из них акционировано предприятий перерабатывающих — 74%, производственно-технического обслуживания — 84% и материально-технического обеспечения — 85%.
Негативные аспекты приватизации. Проведенная приватизация обеспечила перерабатывающим и агросервисным предприятиям монопольное положение на рынке сельскохозяйственной  продукции.  Политика  «независимого  акционирования»  и приватизации цехов и предприятий, входящих в агропромышленные производственно-технологические комплексы, фактически привела к потере управляемости отраслевыми направлениями АПК.
По данным Фонда федерального имущества Российской Федерации, в настоящее время значительные государственные средства перераспределены и анонимно находятся в составе имущества предприятий различных организационно-правовых форм, созданных в последние годы: в акционерных обществах, совместных предприятиях, банках, биржах, концернах, корпорациях, холдингах и т.п.
При углубленном аудите государственную долю можно выявить в уставных капиталах у значительного большинства ранее созданных хозяйственных структур.
Однако следует отметить, что многие частные предприятия не заботились о развитии своего производства. Только 8% частных магазинов в первом полугодии 1993 г. произвели отчисление средств на развитие и совершенствование производства, а частные предприятия сферы бытового обслуживания населения за этот период на эти цели направили средств в 3,5 раза меньше, чем муниципальные предприятия. Такой подход может привести к снижению технического оснащения или закрытию многих частных предприятий этих отраслей и в конечном итоге к ухудшению обслуживания населения. Конечно, здесь играли свою роль и неуверенность новых предпринимателей, и стремление Госкомимущества искусственно ускорить процессы приватизации, невзирая на отсутствие законодательной базы, конфронтационный стиль, сопровождающий эти сложные трансформации в то время, как, очевидно всем, необходимо было стремиться к согласию, и т.д.
Надо отметить, что крупной проблемой являлось определение цен на объекты приватизации. Бесспорно, что цены занижены, поскольку оценка имущества производилась по остаточной стоимости, без учета переоценки основных фондов, предусматриваемой постановлением Правительства Российской Федерации, и без необходимой индексации активов предприятий по балансу.
К середине 90-х годов сложилась ситуация, при которой оценка имущества объектов, в части основных фондов, осуществлялась при их замороженной стоимости в ценах 1984 года. Это осуществлялось согласно Временным методическим указаниям, утвержденным исполнительным Указом (от 29 января 1992 года), что отражается в уставных капиталах акционерных обществ.
Кроме того, действовал ряд противоречащих друг другу нормативных актов, регламентирующих переоценку основных фондов, валютных счетов и статей бухгалтерского баланса предприятий в иностранной валюте, изданных Правительством Российской Федерации, Минфином, Госкомимуществом и Центробанком Российской Федерации.


Процедура стратегического программирования


Процедура стратегического программирования Программирование является второй ступенью в процедуре стратегического планирования. Оно базируется на прогнозных разработках и имеет своей целью составление проектов целевых комплексных программ решения важнейших проблем развития национальной экономики страны, межотраслевых, отраслевых, региональных и локальных (на уровне хозяйствующих субъектов) проблем.
Под программой в макроэкономическом стратегическом планировании понимают научное предвидение состояния какого-то локального объекта управления в определенный срок (через 5, 15 и более лет), основанное на четком определении цели и системы мероприятий, обеспечивающих достижение этой цели, согласованных между собой по ресурсам, срокам исполнения и исполнителям.
Программы, разрабатываемые на любом уровне управленческой иерархии, должны содержать: а) перечень основных решаемых задач; б) совокупность и последовательность мероприятий, с помощью которых она реализуется; в) расчет прямых и косвенных (сопряженных) затрат всех основных видов используемых при осуществлении этих мероприятий ресурсов; г) распределение заданий по срокам и исполнителям.
Особое место в системе программ, разрабатываемых в рамках стратегического планирования, занимают целевые (стратегические) комплексы. Стратегические программы — это адресный, различной степени директивности документ, содержащий систему согласованных по срокам, ресурсам и исполнителям социально-экономических, производственных, финансовых,  научно-исследовательских,  организационно-хозяйственных  и  других мероприятий, обеспечивающих достижение поставленной цели, решение задач наиболее эффективными путями и в установленные сроки.
В качестве стержня целевой комплексной программы (ЦКП) выступает цель, вокруг которой группируется комплекс разнообразных мероприятий, составляющих основное содержание программы. Единая цель ЦКП развертывается в совокупность задач, решение которых осуществляется с помощью системы мероприятий, реализуемых конкретными исполнителями при определенном ресурсном обеспечении. Эта связанность и представляет существующие программы.
В процессе своей реализации стратегические программы выполняют следующие функции.
1. В полном соответствии с философией маркетинга осуществляют ориентацию программ не на выпускаемую продукцию, а на удовлетворение определенных общественных потребностей.
2. Усиление целевой направленности плановых расчетов, создание возможности перехода в процессе стратегического планирования от языка целей к языку ресурсов.
3. Формирование стратегии для комплексного решения определенных проблем, обеспечение возможности формирования комплекса мероприятий не по отдельным признакам (отраслевым, региональным), а по признаку решаемой проблемы.
4. Резкое изменение сложившихся темпов и       пропорций развития (обеспечение
структурных сдвигов), не осуществимое в рамках       ранее сформулированной системы экономической политики.
Комплексные целевые программы федерального уровня разрабатываются, прежде всего, как программы, имеющие важное значение для решения проблем развития национальной экономики. С их помощью осуществляется: во-первых, глубокое и всестороннее обоснование стратегических решений по глобальным проблемам развития национальной экономики; во-вторых, планомерная концентрация ресурсов, необходимых для решения важнейших задач перспективного развития; в-третьих, повышение уровня сбалансированности мероприятий, обеспечивающих решение основных задач программы;
в-четвертых, координация и обеспечение своевременности решения задач всего цикла работ по осуществлению программы; в-пятых, согласование деятельности хозяйствующих субъектов, субъектов федерации и центральных органов власти в решении поставленных задач.
Различия в содержании, значимости программно решаемых проблем, составе подсистем, продолжительности осуществления мероприятий и т.д. порождают большое разнообразие потенциально возможных к разработке программ. Хотя каждая из них направлена на решение конкретной проблемы, специфична, все же можно выделить признаки, общие для определенных групп программ. Классификация, типология программ по этим признакам важна для определения некоторых общих закономерностей их разработки и реализации, для выявления: а) нетипичных форм представления и структуризации программных проблем; б) систем, управляющих процессом разработки программ; в) основных этапов, на которые разделяется этот процесс; г) методов составления и увязки программных мероприятий; д) возможного механизма и структуры систем управления их реализацией и т.д.1
Отметим, что региональная экономика содержит в своей сущности проблемы, с которыми   сталкиваются   экономические   субъекты,   осуществляющие   процесс хозяйствования в каком-либо регионе, и прежде всего вопрос о конкурентоспособности в регионе и стране и соотношении между ними; методах рационального распределения ресурсов и т.д.
Важной особенностью отношений по поводу управления является их планомерный характер. Сущность планомерности состоит в том, что люди сознательно определяют цели своих действий и соразмеряют свои действия с ресурсами, учитывая при этом прямое и косвенное воздействие внешней по отношению к ним среды. Опыт развития современной цивилизации свидетельствует о том, что планомерность, свойственная каждому трудовому акту, развивается по мере развития самого общества, углубления разделения и кооперации труда. Она выходит за рамки отдельных производственных единиц, распространяется на деятельность союзов предпринимателей, национальные и транснациональные корпорации, самого государства, активно вмешивающегося в экономические и социальные процессы. Таким образом управление, а следовательно, и планирование имманентно (внутренне присуще) как для коммерческих структур, осуществляющих производство материальных благ и услуг, так и для общества в целом и его отдельных подсистем.
Имеются и другие объективные обстоятельства, обусловливающие потребность макроэкономического планирования в рыночном хозяйстве. К ним следует отнести.
1. Неспособность механизма свободного рынка обеспечить макроэкономическую устойчивость национальной экономики, преодолеть циклические колебания производства, валового дохода, занятости и т.д.
2. Систематический рост в общем объеме потребления доли коллективного или общественного потребления. Так как коллективное потребление товаров и услуг в значительной мере регулируется не обычным рыночным механизмом, а государством, то
увеличивается и доля совокупных ресурсов страны, распределяемых им с помощью внерыночных механизмов.
3. Рост масштабов воздействия человеческой деятельности (как производственной, так и потребительской) на среду обитания, наличие отрицательных «внешних эффектов» экономической деятельности.
4. Появление более сложных и чрезвычайно важных форм взаимодействия друг с другом хозяйствующих субъектов и целых секторов экономики в результате расширения деятельности и развития интеграционных процессов.
5. Обострение глобальных проблем современности (продовольственный кризис, истощение невоспроизводимых природных ресурсов, ухудшение состояния окружающей среды и др.) обуславливает все усиливающийся интерес общества, государства к проблемам долгосрочного прогнозирования.
6. Возникновение чрезвычайных ситуаций (войны, экономические кризисы, стихийные бедствия и необходимость ликвидации их последствий), стимулирующих деятельность в области планирования.
Формы планирования многообразны. Они определяются многоуровневостью и многоаспектностью управления. В частности, различают: а) в зависимости от уровней планирования — межстрановьш, общегосударственный, региональный (субъектов федерации), уровень хозяйствующих субъектов (коммерческих и других рыночных организаций), их ассоциаций; б) в зависимости от сферы планирования — социальный научно-технический, экологический, финансовый и другие аспекты планироввания;
в) в зависимости от горизонта планирования: долгосрочное, среднесрочное, текущее;
г) в зависимости от круга решаемых проблем — стратегическое и тактическое планирование.
Многоаспектность планирования отражает многообразие проблем, которые решаются в процессе управления экономическим и социальным развитием общества. Являясь ведущим элементом системы управления, планирование выполняет роль инструмента реализации политики как государства и его отдельных субъектов, так и собственников коммерческих организаций.
В связи с нарастанием динамизма экономических и социальных процессов, происходящих в обществе, быстрым изменением конъюнктуры на внутреннем и внешнем рынках, необходимостью обеспечения стабильного развития общества в долгосрочной перспективе все больше возрастает на макро- и микроуровне социально-экономической системы роль стратегического планирования.
Стратегическое планирование представляет собой особый вид практической деятельности людей — плановой работы, состоящей в разработке стратегических решений (в форме прогнозов, проектов программ и планов), предусматривающих выдвижение таких целей и стратегий поведения соответствующих объектов управления, реализация которых обеспечивает их эффективное функционирование в долгосрочной перспективе, быструю адаптацию к изменяющимся условиям внешней среды.
Стратегическому планированию присущи следующие характерные черты:
- устремленность в среднесрочную и дальнесрочную перспективы (на период более одного года);
- ориентация на решение ключевых, определяющих для рассматриваемой системы целей, от достижения которых зависит ее выживание, социально-экономический прогресс;
- органическая увязка намеченных целей с объемом и структурой ресурсов, требующихся для их достижения, причем как наличных, так и тех, которые будут созданы в планируемой перспективе;
- учет воздействия на планируемый объект многочисленных внешних факторов, оказывающих на него ^позитивное или негативное влияние, и разработка мероприятий, в максимальной степени ослабляющих их негативное влияние либо нейтрализующих их действие, либо использующих позитивное влияние этих факторов для успешного решения стратегических задач;
- адаптивный характер, т.е. способность предвидеть изменения внешней и внутренней сред планируемого объекта и приспособить к ним его функционирование.
Стратегическое  планирование,  рассматриваемое  как  процесс  практической деятельности соответствующих субъектов управления, обладает своим содержанием, охватывающим как саму его сущность, так и его проявление и включает процедуру разработки стратегических прогнозов, проектов стратегических программ и планов.1
Региональная экономика, очевидно, нуждается в стратегическом тонировании. В противном случае в некоторых регионах может возникнуть ситуация экономического кризиса из-за оттока экономических субъектов, оперирующих, в данном регионе, а также проблемы несостоятельности экономических структур региона обеспечить сферу приложения сил предприятий с наибольшим эффектом.


Процесс организации товародвижения


В мировой практике уважительными и в определенной мере оправдывающими действия инициатора расторжения контракта считаются следующие причины: грубое нарушение любой стороной статей контракта, банкротство одного из партнеров или его самоликвидация, частое нарушение сроков платежей.
При подготовке проекта контракта с посредником целесообразно ознакомиться с уже заключенными договорами, с практикой их составления на других предприятиях, проанализировать их преимущества и недостатки, причины возникающих между сторонами разногласий.
После того, как выбраны каналы товародвижения, перед руководством предприятия встает целый ряд задач по успешному управлению этими каналами. Решение каждой из них преследует определенную цель и достигается конкретными методами.
Посредники занимают промежуточное положение между изготовителями и потребителями изделий и далеко не всегда идут на тесный контакт с поставщиками, предпочитая общаться с потребителями. Причиной возникающих иногда конфликтов между поставщиками и посредниками является убежденность последних в том, что они не получают достаточной помощи от поставщиков в обучении персонала, изготовлении рекламных материалов и т.п. Посредники, в частности оптовые предприятия, хотят, чтобы предприятия-изготовители продавали товар им, а не через них, так как в последнем случае изготовитель рассматривает посредников не как потребителей, запросы которых необходимо изучать и удовлетворять. Продажа через оптовые предприятия означает, что главное внимание изготовитель уделяет конечным потребителям, а нужды посреднических организаций для него не имеют большого значения. При организации работы с посредниками такие вопросы необходимо анализировать и учитывать. Это поможет создать хорошие взаимоотношения между изготовителями и посредническими организациями.
Организация и эффективность системы товародвижения. Выбор каналов распределения является важным этапом работы, однако, поскольку маркетинг предполагает интерпретацию всей деятельности фирмы, необходимо соответствующим образом планировать и организовывать систему продвижения продукции от предприятия-изготовителя к получателю.
Процесс организации товародвижения включает следующие этапы: выбор места хранения запасов и способа складирования, определение системы перемещения грузов, введение системы управления запасами, установление процедуры обработки заказов, выбор способов транспортировки продукции. При эффективной организации товародвижения каждый из этих этапов планируется как неотъемлемая часть хорошо уравновешенной и логически построенной общей системы. Все элементы этой системы взаимосвязаны, поэтому  пренебрежение   каким-либо   из   них   способно   серьезно   нарушить функционирование товародвижения и отрицательно повлиять на престиж фирмы.
Необходимость создания мест хранения продукции и материалов вызвана объективными причинами. Прежде всего это обусловлено несовпадением циклов производства и потребления товаров. Например, производство сельскохозяйственной продукции носит сезонный характер, а спрос на нее существует постоянно. Это требует организации складского хозяйства, которое и призвано устранить имеющиеся противоречия производства и потребления товаров.
Естественно, что для произведенных товаров должны быть предусмотрены соответствующие условия хранения. Весь вопрос в том, где создавать хранилища и какой емкости. Чем больше строится складов, тем быстрее обеспечивается доставка продукции к местам потребления, однако при этом растут затраты по созданию складских сооружений. И наоборот, при укрупнении складов возрастают издержки по доставке товаров потребителям. Решение о числе пунктов хранения принимается при сравнении единовременных затрат по созданию мест хранения и годовых издержек, связанных с доставкой материалов потребителям. Используя классический метод сравнения вариантов по минимуму приведенных затрат, можно определить количество объектов размещения складов. Выбор пунктов размещения складов осуществляется с помощью формулы:
Пз =КЕн+Ис+Им
min ,                                                        (19.2.4)
где Пз — суммарные приведенные затраты по каждому рассматриваемому варианту
сооружения складов;
К — капитальные вложения на сооружение объектов хранения;
Ен — нормативный коэффициент эффективности капитальных вложений (Д, = 0,15);
Ис,Иm — годовые издержки, связанные с содержанием складских хранилищ и доставкой материалов со складов в адрес потребителей.
Произведя расчет по каждому варианту размещения склада, можно определить наиболее эффективный из них.
Некоторые изготовители предпочитают хранить часть товарного запаса на складах самого предприятия, а остальную — на складах, расположенных в различных регионах. Причем склады могут быть как собственными, так и арендованными. В первом случае фирма связана со складом постоянно и это может создать некоторые ограничения в маневренности, кроме того возникают затраты по его содержанию. Склады общественного пользования получают только арендную плату и оказывают различные дополнительные услуги по осмотру, упаковке и отгрузке товаров. На складах длительного хранения товар может находиться в течение длительного времени и отгружаться в адрес потребителей по мере необходимости.
Реорганизация материально-технического снабжения в РФ привела к возникновению независимых коммерческих компаний и предприятий по снабжению продукцией производственно-технического назначения. Часть этих предприятий входит в систему «Росконтракт» на основе трастовых договоров, а большинство из них сохранили за собой статус самостоятельных коммерческих компаний оптовой торговли.
Создание складской системы для зависимых и независимых посредников требует решения ряда технологических вопросов. Прежде всего службы маркетинга предприятий-изготовителей или независимых посредников должны точно определить структуру и объемы продукции, которая будет храниться на складе.
С этой целью рассматриваются варианты возведения крупных одноэтажных складов (высотой до 16-18 м) с автоматизированным управлением складскими процессами, что позволит довести до минимума численность обслуживающего персонала и сократить издержки по его содержанию. Предусматривается внедрить современные погрузочно-разгрузочные механизмы с автоматическими устройствами поиска и доставки товаров к местам их погрузки и комплектации.
Подобные склады обеспечивают быструю обработку учетной документации, безопасность работы, сокращение случаев хищения и порчи товаров, хотя их стороительство требует значительных капитальных вложений.1
Следовательно, среди задач маркетинга, как уже отмечалось, важное место занимает стимулирование сбыта. Это система поощрительных мер, направленных на увеличение объемов реализации товаров и услуг. Его формы выражают насущную необходимость в продвижении продукта на определенном рынке. Меры по стимулированию носят обычно кратковременный характер и рассматриваются как процесс формирования спроса.


Процесс стабилизации рынка труда


Процесс стабилизации рынка труда Методы борьбы с безработицей определяет концепция, которой руководствуется правительство конкретной страны.
Современные мальтузианцы предлагают поддерживать стабильность на рынке труда с помощью государственной политики ограничения рождаемости.
Пигу и его последователи, считающие, что корень зла — в высокой заработной плате, предлагают:
- содействовать снижению заработной платы;
- разъяснять профсоюзам, что рост заработной платы, которого они добиваются, оборачивается ростом безработицы;
- государству трудоустраивать работников, претендующих на невысокий доход, в частности, поощрять развитие социальной сферы. Из рекомендаций Пигу широко применяется деление ставки заработной платы и рабочего времени между несколькими работниками. Использование частичного рабочего дня сокращает безработицу даже при сохранении неблагоприятной конъюнктуры.
Кейнсианские программы борьбы с безработицей предполагают использование двух блоков мероприятий (схема 14.1.2). Первый блок нацелен на ослабление безработицы в краткосрочном периоде, когда положительные сдвиги в экономике еще не ощущаются. Его содержанием становятся общественные работы, которые должно организовать и оплатить государство за счет своего бюджета. Рекомендуется эти работы сосредоточить в области формирования производственной и социальной инфраструктуры (строительство дорог, больниц и т.д.). Кейнс шутя говорил, что если по каким-то причинам отсутствует фронт работ, то можно закопать ассигнации и заставить искать их. Главное — занять население во имя социальной стабильности и поддержания хотя бы минимального потребительского спроса со стороны работников.
Второй блок охватывает систему стратегических мер, способных оживить конъюнктуру рынка, сформировать инвестиции и, как следствие — потребительский спрос, что должно привести к увеличению товарной массы и занятости населения. Этот блок включает два рычага: государственный заказ крупным фирмам и уменьшение учетной ставки за счет увеличения государственных расходов (возможно и при росте дефицитного бюджетного финансирования). Предполагается осуществить государственный заказ крупным фирмам, имеющим большую сеть хозяйственных связей. Такой заказ поставщикам и смежникам значительно расширит поле инвестиционной деятельности. Включается в действие не одна фирма, получившая государственный заказ, а целая их сеть, что, безусловно, увеличивает спрос на рабочую силу и соответственно рассасывает безработицу.
Схема 14.1.2 Кейнсианская программа борьбы с безработицей
Тактические меры
Стратегические мероприятия
Организация государством общественных работ
Государственные заказы частному сектору
Снижение учетной ставки процента

Это стратегическое экономическое мероприятие государства предполагается усилить за счет другого эффективного средства, стимулирующего инвестиционный спрос. Речь идет об удешевлении кредита путем снижения учетной ставки процента. Дешевый кредит делает его более доступным и поэтому стимулирует предпринимательскую деятельность, что, в свою очередь, приводит к рассасыванию безработицы.
Кейнсианские программы успешно применялись после второй мировой войны во многих странах. Однако наступил период, когда возникли естественные объективные трудности для их претворения в жизнь. Источником финансирования этих программ всегда был государственный бюджет, а точнее государственный долг. Последний беспредельно разрастаться не может, ибо увеличение долга государства ведет к дополнительной эмиссии денег, что без соответствующего роста товарной массы способствует инфляции. В условиях инфляции склонность к инвестированию, инвестиционный спрос снижаются.
Кроме того, процесс воспроизводства поставил новые проблемы, которые государство не могло решить восполнением недостатка спроса. Резко подорожали ресурсы, что привело к экономическому спаду. Необходимы были иные пути, ведущие к росту предложения.
Такие пути были найдены экономической школой, получившей название монетарной (от слова «монета»). Монетаристы предлагают в условиях, когда безработица и спад производства протекают на фоне инфляции, снять все нагрузки на государственный бюджет, срочно уменьшить государственный бюджетный дефицит. В этих условиях государство вынуждено уклоняться от социальных программ, что, безусловно, ведет к нагнетанию социальной напряженности.
Обуздание инфляции оздоровляет денежную единицу и формирует здоровую рыночную среду.
Следующий шаг монетарной программы связан с реализацией идеи эффективного рынка, который сам очищает себя от отсталого производства, разоряет производителей, продукция которых не отвечает новейшим требованиям рынка. Обычно эти функции рынок выполняет постепенно, но во время циклического спада производства банкротства приобретают массовый характер. После этой суровой операции рынок выдвигает на авангардные позиции сильных и адаптивных производителей, которые наполняют рынок новыми товарами, расширяют производство и увеличивают спрос на рабочую силу. Анализ механизма экономического спада (кризиса) позволил американскому идеологу монетаризма М.Фридмену сделать вывод о том, что государство, вместо того чтобы спасать тонущих слабых производителей, должно ускорить процесс освобождения от отсталого производства: это выведет рынок на путь эффективного роста. Итак, государство должно помочь кризису быстро выполнить свои позитивные функции по формированию новых . хозяйственных пропорций, по созданию условий для нового витка сбалансированного роста на более эффективной основе.
Для этого монетаристы предлагают использовать учетную ставку процента. Но если Кейнс обосновал необходимость дешевого кредита; монетаристы предлагают его сделать дорогим и тем самым — малодоступным. Поэтому учетную ставку процента рекомендуется повысить.
Это усилит естественную волну банкротств и оставит на рынке сильных производителей, которые затем поощряются снижением ставок налогов. Создается здоровый эффективный рынок — основа для расширения производства. В этом случае возможен рост спроса на рабочую силу. Эффективный рынок рассасывает безработицу до естественных пределов. Монетарные программы были с успехом использованы правительствами Р.Рейгана и М.Тэтчер.
Сложности этой программы связаны с сознательным углублением спада производства. Страна попадает в тяжелейшие испытания, которые может оправдать только быстрота исцеления. А оно возможно только тогда, когда сложилась тесная взаимосвязь между предприятиями, остро и быстро реагирующими на рыночные сигналь!. Но этого нет и не может быть в условиях России, когда рынок только складывается и не налажена рыночная инфраструктура, связывающая страну в единое целое. Усилия правительства могут гасить инертность предприятий, не привыкших работать в рыночной среде. В условиях, когда страна не способна нарастить скорость структурной перестройки, всякие усилия по углублению кризиса оборачиваются гипертрофией спада, который только разрушает стран)/, не закладывая основы будущего подъема.
Следует иметь в виду, что первые шаги монетарных программ приводят к резкому ухудшению жизненного уровня населения, что ухудшает социальную обстановку и провоцирует население на стихийные формы протеста. Опасность взрыва неуправляемого населения меньше, когда страна быстро справляется с трудностями экономического кризиса. Но в условиях России, когда кризис может носить затяжной характер, последовательное использование монетарной программы невозможно. Нужны новые пути выхода из спада и безработицы, специфические для стран, переходящих от командно-административной системы к рыночной.


Продавая продукцию государству, хозяйства терпели убытки.


Задача была поставлена, но за годы семилетки существенного роста интенсификации не произошло. Наоборот, в это время замедлился рост урожайности, продуктивности животноводства. Сельское хозяйство в целом оставалось убыточной отраслью. Поэтому в 1965 г. были приняты решения о том, как исправить положение в сельском хозяйстве.
Закупочные цены на сельскохозяйственную продукцию оставались ниже стоимости. После их повышения в 50-х годах в колхозах и совхозах производственные затраты на единицу продукции существенно выросли. Продавая продукцию государству, хозяйства терпели убытки. К тому же передовые хозяйства обычно получали дополнительные задания — они должны были сдавать продукцию и за отстающих, за тех, кто не мог выполнить план по сдаче продукции государству. Поэтому увеличение производства было невыгодным — соответственно увеличивались убытки.
Поэтому в 1965 г. было решено изменить порядок государственных закупок. Закупочные цены были снова повышены с расчетом, чтобы довести их до уровня стоимости, чтобы колхозы не терпели убытков при продаже продукции государству. Розничные цены при этом оставались на прежнем уровне, а разница покрывалась из государственного бюджета.
Объем обязательных закупок был уменьшен и было объявлено, что он останется неизменным до 1970 г. Поэтому, кроме обязательных, были введены свободные (дополнительные к обязательным) закупки, но цены при этих свободных закупках были повышены на 50% по сравнению с ценами обязательных. Предполагалось, что хозяйствам будет выгодно сдавать государству продукцию сверх плана.
Второй отмеченной тогда причиной отставания сельского хозяйства был его низкий технический уровень. Были полностью механизированы вспашка, сев, уборка и молотьба зерновых, но почти все работы по производству технических культур, картофеля, овощей, почти все работы в животноводстве остались ручными. Особенно отставали те направления технического прогресса, которые обеспечивали интенсификацию: производство удобрений, мелиорация, селекция. Ведь механизация не повышает урожайность, она лишь сокращает затраты труда. В годы семилетки земля получала в 10 раз меньше удобрений, чем положено по агротехническим нормам.
Поэтому в 1965 г. было решено резко увеличить государственные ассигнования на повышение технического уровня сельского хозяйства, на производство сельскохозяйственных машин и минеральных удобрений. Тогда же была поставлена задача комплексной механизации, т.е. основные силы переключались на механизацию тех работ, которые оставались ручными.
Третьим отмеченным тогда недостатком была слабая специализация сельского хозяйства. Когда натуральные, т.е. многоотраслевые хозяйства крестьян объединяли в колхоз, получалось многоотраслевое хозяйство колхоза. Эта многоотраслевая структура не соответствовала принципу крупного товарного производства, но она была закреплена системой государственных закупок: колхоз должен был сдать государству определенный набор продуктов — зерно, овощи, мясо, молоко и т.д. Более того — этот набор был почти одинаковым для колхозов разных природных зон. Доходило до того, что колхоз покупал некоторые продукты на рынке, чтобы сдать государству, потому что сам он этих продуктов не производил. И было принято решение снова усилить специализацию сельского хозяйства.
Все эти решения были правильными, научно обоснованными, но представляли паллиатив: они не могли быть полностью реализованы без ликвидации колхозно-совхозной системы.
Развитие промышленности в период 1966-90 гг. Экономическая реформа даже в своем компромиссном и неполном виде все же способствовала улучшению дел в промышленности. Промышленное производство в 1966-70 гг. выросло на 50%. Затем темпы начали снижаться. В 1971-75 гг. оно выросло на 43%, в 1976-1980 гг. — на 24%, в 1981-85 гг. на 20% и в 1986-90 гг. — на 13%. Падала рентабельность производства, падала фондоотдача. Производство по-прежнему росло в основном за счет экстенсивных факторов, и по мере их сокращения темпы снижались.
Между тем, комплексная механизация, т.е. механизация тех работ, которые еще оставались ручными, — это то, что нам осталось от промышленного переворота. Ведь промышленный переворот означал переход от ручного труда к машинному. То, что было выгодно механизировать, механизировалось тогда, в XVIII—XIX вв. Остались те работы, механизация которых удорожает производство. Например, в лесной промышленности механизация обрубки сучьев на лесосеках, последней ручной операции на заготовке леса, намного удорожает это производство.
Экономически не эффективно и другое преобладающее направление — совершенствование традиционной техники без принципиальных изменений технологии, т.е. замена хороших станков лучшими. Например, по расчетам специалистов, дальнейшее совершенствование металлорежущих станков еще может повысить их производительность на 7-8%, но лишь при росте затрат на оборудование в 1,5 раза.
Дело в том, что возможности традиционной техники, техники преимущественно механической обработки материалов, уже исчерпаны. Скорости металлорежущих, ткацких и других станков достигли потолка в 60-х годах и с тех пор уже не увеличиваются.
НТР действительно повышает производительность труда в десятки и сотни раз и поэтому намного повышает и экономическую эффективность производства. Но это направление не стало преобладающим: много ли у нас полностью автоматизированных предприятий?
Переход на рельсы научно-технической революции тормозила все та же административная система. Если завод выпускает металлорежущие станки, он может их совершенствовать, но не может перейти на выпуск принципиально новой техники, не соответствующей его специализации. В условиях рыночной экономики такой завод, вероятнее всего, прекратит существование, потому что его продукция в условиях НТР не найдет сбыта. В условиях административной системы не принято было закрывать завод из-за подобной причины. И этот завод наряду с другими подобными продолжал насыщать промышленность морально устаревшей техникой, а распределительная система во главе с Госснабом обеспечивала сбыт, распределяя эту технику. В результате оказалось, что у нас больше металлорежущих станков, чем в США, ФРГ и Японии вместе взятых.
Еще одна причина замедления темпов роста и падения экономической эффективности производства — истощение природных ресурсов. Наша страна богата природными ресурсами, но в экономически развитых районах запасы нефти, древесины подходят к концу. На Урале были горы Магнитная и Благодать, горы первосортной железной руды, отмеченные на всех географических картах. Теперь этих гор больше нет. Значительные запасы сырья остались в труднодоступных районах, а там, в неблагоприятных для жизни человека условиях, добыча обходится намного дороже. Например, строительство километра железной дороги там стоит в 10 раз дороже, чем в европейской части страны. Поэтому основные фонды промышленности росли быстрее, чем выпуск продукции, падала фондоотдача — выпуск продукции на единицу основных производственных фондов. Только в 80-е годы выпуск продукции на 1 руб. основных фондов сократился с 1 руб. 29 коп. до 98 коп.
Выходом из этого положения является использование ресурсосберегающих технологий. У нас до сих пор принято считать ведущими в промышленности профессиями профессии шахтера, нефтяника, сталевара, т.е. людей, которые «добывают» ресурсы. Между тем прогресс заключается в сокращении веса добывающих отраслей, потому что чем больше ресурсов у природы мы возьмем сейчас, тем меньше останется нашим потомкам. В России на душу населения добывается в 3,5 раза больше железной руды, чем в США, а стали выплавляется лишь в 1,5 раза больше. Но в США — большой излишек металла, а у нас его не хватает: до 40% металла теряется при его обработке. Японский станок весит в среднем 800 кг, а наш — 2500 кг. Добывающие отрасли и у нас развиваются замедленными темпами. Если общий объем промышленного производства с 1965 по 1990 гг. вырос в 3,6 раза, то добыча угля увеличилась только на 11%, нефти — в 2,36 раза, а черная металлургия увеличила производство на 93%. За 80-е годы добыча угля и нефти сократилась.
К задаче экономии природных ресурсов примыкает необходимость охраны природной среды, что требует дополнительных затрат. Затраты увеличиваются не только потому, что очистные сооружения стоят дорого, но и потому, что приходится отказываться от дешевых технологий.
К числу природных ресурсов относятся и человеческие. Прежде за пятилетку число занятых в промышленности увеличивалось процентов на 20 (до войны — больше), что и служило экстенсивным фактором роста. В 1981-85 гг. оно выросло на 3,3%, в 1986-90 гг. сократилось на 1%. В связи с падением рождаемости число занятых перестало увеличиваться, а следовательно, исчез главный фактор экстенсивного роста производства.
Итак, темпы роста промышленного производства стали падать по мере сокращения экстенсивных факторов — истощения ресурсов и уменьшения рождаемости. Если прежде интенсификация могла рассматриваться лишь как оптимальный вариант развития, то теперь она стала единственной возможностью. Но при сохранении административной системы, при отсутствии конкуренции интенсификация оставалась благим пожеланием. Административно-командная система зашла в тупик. Без ее ликвидации дальнейшее развитие стало невозможным.


Проектирование


Проектирование Проектирование — заключительная ступень всех процедур стратегического планирования. Его назначение состоит в разработке проектов стратегических планов всех уровней и временных горизонтов.
Проект стратегического плана, по сути своей, представляет собой проект управленческого решения по реализации стратегии соответствующих субъектов управления: на уровне первичного звена национальной экономики (хозяйствующих субъектов) — его собственников; местных органов власти, субъектов федерации, страны в целом — партии или коалиции партий, стоящих у власти.
Стратегический план есть не что иное, как научное предвидение состояния целостного объекта управления — делового предприятия, их ассоциаций, региона, субъекта федерации, страны в целом — в определенный период времени. Это предвидение основано:
а) на системе целенаправленных проектировок по развитию соответствующих объектов (общества в целом, его отдельных подсистем, хозяйственных субъектов); б) на системе мероприятий, согласованных по срокам, ресурсам, исполнителям (программный разрез i проекта стратегического плана); в) на мероприятиях по развитию комплексных отраслей производства, производственной и социальной инфраструктур.
В условиях рыночной экономики должно соблюдаться следующее правило: чем выше уровень управляемой системы, тем более развернутой должна быть в проектах стратегических планов система прогнозов экономического, социального, научно-технического, экологического, внешнеэкономического и внешнеполитического развития.
Важной особенностью стратегических планов является то, что они: во-первых, выступают в качестве инструментов реализации политики соответствующих субъектов управления; во-вторых, раскрывают цели и пути в будущее различных объектов экономики страны и ее самой; в-третьих, определяют этапы социально-экономического развития общества в целом и его отдельных подсистем; в-четвертых, они выступают в качестве мерила, критерия экономического и социального прогресса общества.
В процессе проектирования должны разрабатываться различные варианты развития соответствующих объектов управления с тем, чтобы было возможно: а) выбрать оптимальный в данной хозяйственной ситуации проект стратегического плана; б) иметь в наличии такой вариант проекта стратегического плана, который в будущем будет соответствовать изменившимся условиям хозяйствования, рыночной конъюнктуры.
Проект стратегического плана не является директивой, подлежащей безусловному исполнению. Свойство той или иной степени директивное™ (обязательности) он приобретает после его утверждения в установленном порядке. В рыночной экономике самая
высокая степень обязательности выполнения показателей стратегического плана — на уровне первичного звена национальной экономики (хозяйствующих субъектов). С повышением уровня управления степень директивное™ ослабляется и обеспечивается не административным принуждением, а институтами права и экономическими методами. Единственным видом плана, который приобретает силу закона в условиях рыночного хозяйства, являются государственный бюджет и бюджета субъектов РФ. Но и они выполнимы в той мере, в какой предполагаемая конъюнктура в национальной экономике, ее отдельных подсистемах соответствует фактически сложившейся.
Свое конкретное проявление отмеченные выше процессы в условиях переходной экономики России находят в следующем: во-первых, в изменении социально-экономической природы планов, разрабатываемых различными субъектами управления. Из орудия административного принуждения они превращаются в инструмент нахождения сбалансированного  консенсуса  между  субъектами  федерации,  хозяйствующими субъектами, заинтересованными в принятии участия в разработке тех или иных видов стратегических планов; во-вторых, в инструмент усиления стратегического характера проектирования.
Основное внимание в условиях рыночного хозяйства в макроэкономическом планировании уделяется структурным преобразованиям, решению ключевых социальных и научно-технических, а также экономических проблем. Государство отказывается от централизованного вмешательства в вопросы внутрирегионального и внутрихозяйственного характера.
Стратегические планы призваны помочь коммерческим организациям проявить хозяйственную самостоятельность и инициативу, обеспечивая их направленность в русло общенациональных интересов; в-третьих, в повышении научной обоснованности проектов стратегических планов, которые должны стать действенным инструментом регулирования социально-экономических процессов,  происходящих в  обществе; в-четвертых, во всемерной демократизации процесса планирования.
Все хозяйствующие субъекты, субъекты РФ должны заблаговременно получать информацию о замыслах Правительства в социально-экономической сфере, о намечаемых стратегических программах с тем, чтобы суметь вовремя заявить о своих намерениях участвовать в тех из них, которые их заинтересовали.
Насущные потребности общества, его отдельных подсистем, а также всех хозяйствующих субъектов обуславливают необходимость разработки целой системы проектов планов, отражающих особенности рыночной экономики. Эта система планов включает в себя планы стратегические и тактические. По функциональному признаку все проекты планов делятся на производственные (выпуска продукции, капитального строительства, развития транспорта и т.д.), планы снабжения и сбыта, повышения уровня жизни народа, планы финансовые и кредитные и т.д.
В зависимости от уровня иерархии в системе национальной экономики различают планы хозяйствующих субъектов, их ассоциаций, субъектов федерации, национальной экономики в целом.
Разработка стратегических, долгосрочных и среднесрочных планов позволяет рационально сочетать решение перспективных и текущих задач соответствующих субъектов управления, подчинять с помощью прямых и косвенных инструментов воздействия интересы всех управляемых субъектов интересам страны.1


Программы государственных затрат


Программы государственных затрат Государство имеет в основе своей работы утвержденную смету образования и использования денежных средств на определенный период времени. Размеры этого финансового плана зависят от уровня доходов и расходов конкретного государства. Его доходная часть формируется за счет общегосударственных налогов, обязательных платежей и других источников. В расходную часть отбираются различные затраты для поддержания функций государства (содержание органов государственной власти, финансирование оборонных расходов), выполнения общественно полезных функций (расходы на здравоохранение, образование, науку и так далее). Однако зачастую расходы государства превышают его доходы, что вызывает образование долга, который делится на внутренний и внешний. Государственный долг является суммой задолженности государства по непогашенным займам, обязательствам и процентам по ним. Государственный долг не следует рассматривать как отрицательное явление, и он изучается в тесной связи с государственным бюджетом.
В условиях свободных цен государство не может диктовать предприятиям их уровень и поэтому влияет на динамику цен косвенно, через рычаги бюджетно-налогового, денежно-кредитного, валютного и антимонопольного регулирования.
Бюджетная система аккумулирует финансовые ресурсы и обеспечивает их перераспределение в соответствии с принятыми критериями. Перераспределение осуществляется на основе централизованного государственного регулирования. В рамках производственной сферы оно имеет преимущественно отраслевой характер, а финансирование социальной сферы — региональный с помощью бюджетных трансфертов. В перераспределении участвуют бюджета различных уровней. Главным регулятором денежных потоков является федеральный бюджет.
Денежные средства мобилизуются в бюджет и выделяются из бюджета на безвозвратной и возвратной основах. Типичным является безвозвратный метод мобилизации и выделения средств из бюджета. Примером безвозвратного выделения средств являются трансферты регионам за счет федерального фонда финансовой поддержки субъектов РФ. Трансферты позволяют финансировать надежно текущие защищенные статьи бюджетов.
Мобилизация средств в бюджет на возвратной основе осуществляется в виде займов на внутреннем и внешнем финансовых рынках. Заемные средства используются главным образом для финансирования бюджетного дефицита. Это ведет к росту государственногодолга. Увеличение его размера до критической черты свидетельствует о неспособности органов госуправления использовать централизованные финансовые ресурсы.
Не повышают инфляцию кредиты международных финансовых организаций. Однако ими пользоваться следует осторожно, так как использование внешних кредитов ведет к увеличению государственного внешнего долга, росту расходов по его обслуживанию.
Выделение средств из бюджета на возвратной основе осуществляется в виде ссуд под проценты, привязываемые к учетной ставке ЦБ РФ. Бюджетное кредитование обусловлено обесцениванием финансовых ресурсов предприятий, изъятием из денежного оборота прибыли, дефицитом инвестиционных ресурсов, ростом задолженности.
Бюджетные ссуды выделяются на пополнение оборотных средств (закупка сельскохозяйственной продукции в федеральные продовольственные фонды, краткосрочная финансовая поддержка, обеспечение топливом и др.). Формируются целевые фонды финансирования отдельных мероприятий на условиях бюджетного кредитования. Бюджетные ссуды выдаются также на финансирование государственных инвестиционных программ, формирование лизингового фонда, а также предприятиям, осуществляющим структурную перестройку.
Федеральный бюджет утверждается с учетом критериев, обеспечивающих нормальное денежное обращение в стране. Предельный размер дефицита бюджета устанавливается в процентах к валовому внутреннему продукту. При этом на покрытие дефицита бюджета мобилизуются антиинфляционные источники: внутреннее финансирование, включая доходы от эмиссии государственных ценных бумаг, а также внешнее финансирование, т.е. исключается кредитование Правительства РФ Центральным банком РФ, что было прежде питательной основой для инфляции.
В случае снижения поступлений в бюджет в сравнении с утвержденными в нем размерами более чем на 10% правительство принимает решение о введении секвестра (процента сокращения расходов) на утвержденные бюджетные расходы. При секвестре ассигнования не сокращаются по защищенным статьям бюджетных расходов.
Ограничение дефицита бюджета требует расширения его доходной части для наращивания государственных инвестиций прежде всего за счет повышения собираемости налогов.
Вводятся прямые ограничения на рост цен в отраслях-монополистах: на энергоресурсы, транспортные тарифы. Поощряется заключение соглашений между поставщиками и потребителями продукции о сдерживании роста цен.
Для связывания денежных доходов населения расширяется система государственных ценных бумаг, ограничивается наличная денежная масса в обороте юридических лиц, усиливается контроль за отнесением выплат по труду на себестоимость продукции.
Проблема дефицита бюджета и государственного долга в конечном счете связана с производством и занятостью рабочей силы. Увеличение государственных расходов даже с помощью денежной эмиссии ведет к росту производства и спроса. Поэтому для сбалансированности бюджета необходимо сократить либо потребление, увеличив налоги, либо государственные расходы, урезав, например, социальные программы, что ведет к сокращению занятости. Оба варианта грозят общественными потрясениями.
В составе трехсторонней комиссии по тарифным соглашениям правительство ведет диалог с предпринимателями о заключении договора между государством, предпринимателями и профсоюзами,  включающего установление  определенной зависимости между ростом производительности труда, заработной платы и цен.
Экономическая мысль Запада признает необходимость дефицитов для проведения политики экономического роста, так как решение трудных проблем только денежно-кредитными методами возможно в ограниченных рамках. Естественно, предполагается, что в период высокой экономической активности дефицит уменьшается и даже компенсируется положительным сальдо. При продуманной общеэкономической стратегии, цивилизованном финансировании дефицита бюджета он не ведет к спаду, инфляции, понижению уровня жизни. Об этом свидетельствует, в частности, опыт США.
В США был принят закон об обязательном сбалансировании бюджета, который дважды пересматривался. Сроки достижения сбалансированности переносились, но закон так и не заработал. Попытка администрации президента Рейгана в начале 80-х гг. решить проблему спада монетарным способом не удалась, пришлось использовать классическое кейнсианство.1
Экономическая политика государства имеет различные формы и задачи. Одной из ее составных частей является кредитно-денежная политика, которая концентрирует свое внимание на достижении широких целей. Среди них — стабильность занятости и цен, экономический рост и равновесие платежного баланса. Это осуществляется через воздействие на такие характеристики рынка, как денежная масса, процентные ставки и прочие. В изучении этой части экономической политики необходимо выделить конечный эффект на достижение поставленных целей при принятии тех или иных мер, что и рассматривается в следующем материале.


Производственная структура предприятия


Производственная структура предприятия Производство — это процесс создания материальных благ, необходимых для существования и развития общества. Содержание производства определяет трудовая деятельность, предполагающая следующие три момента:
- целесообразную работу, или сам труд;
- предмет труда, т.е. все то, на что направлена рациональная деятельность человека;
- средства (орудия) труда (машины, оборудование, инструменты, с помощью которых человек преобразует предметы труда, приспосабливая их для удовлетворения своих потребностей).
Продукт материального производства — материальное благо, которое представляет собой соединение вещества природы и труда.
Современное производство развивается в условиях научно-технической революции, главным содержанием которой является автоматизация производства.
Каждое промышленное предприятие состоит из производственных подразделений — цехов, участков, обслуживающих хозяйств, органов управления, организаций и учреждений, призванных удовлетворять нужды работников предприятия и членов их семей.
Комплекс производственных подразделений, организаций по управлению предприятием и обслуживанию работников, их количество, величина взаимосвязи и соотношения между ними по размеру занятых площадей, численности работников и пропускной способности представляют собой общую структуру предприятия (объединения).
Производственные подразделения предприятия — цехи, участки, обслуживающие хозяйства и службы (прямо или косвенно участвующие в производственном процессе), связи между ними, взятые в совокупности, — составляют его производственную структуру. Она предопределяет уровень производительности труда, издержек производства, эффективность эксплуатации природных богатств и техники при данных технико-экономических и экономико-географических условиях   материального производства.
Построение рациональной производственной структуры предприятия осуществляется в следующем порядке:
- устанавливаются состав цехов предприятия, их мощность в размерах, обеспечивающих заданный выпуск продукции;
- рассчитываются площади для каждого цеха и склада,  определяются пространственные расположения их в генеральном плане предприятия;
- планируются все транспортные связи внутри предприятия, их взаимодействие с общегосударственными (внешними для предприятия) путями;
- намечаются кратчайшие маршруты межцехового передвижения предметов труда по ходу производственного процесса.
К производственным подразделениям относятся цехи, участки, лаборатории, в которых изготовляется, проходит контрольные проверки, испытания основная продукция (выпускаемая предприятием), комплектующие изделия (приобретаемые со стороны), материалы и полуфабрикаты, запасные части для обслуживания изделий и ремонта в процессе эксплуатации; вырабатываются различные виды энергии для технологических целей и т.п.
К подразделениям, обслуживающим работников, относятся жилищно-коммунальные отделы, их службы, фабрики-кухни, столовые, буфеты, детские сады и ясли, санатории, пансионаты, дома отдыха, профилактории, медсанчасти, добровольные спортивные общества, отделы технического обучения и учебные заведения, занимающиеся повышением производственной квалификации, культурного уровня рабочих, инженерно-технических работников, служащих.
Основной структурной производственной единицей предприятия (кроме предприятий с бесцеховой структурой управления) является цех — обособленное в административном отношении звено, выполняющее определенную часть общего производственного процесса (стадию производства).
Цехи являются вполне полноправными подразделениями, они осуществляют свою деятельность на принципах хозяйственного расчета.
В машиностроении цехи, как правило, подразделяются на четыре группы: основные, вспомогательные, побочные и подсобные.
В основных цехах выполняются операции по изготовлению продукции, предназначенной для реализации. Основные цехи делятся на заготовительные, обрабатывающие и сборочные.
К заготовительным относятся литейные, кузнечно-штамповочные, кузнечно-прессовые, иногда цехи сварных конструкций; к обрабатывающим — механо-обрабатывающие, деревообрабатывающие, термические, цехи гальванических, лакокрасочных защитных и декоративных покрытий деталей, к сборочным — цехи агрегатной и окончательной сборки изделий, их окраски, комплектации запасными частями и съемным оборудованием.
Вспомогательные цехи — инструментальный, нестандартного оборудования, модельный, ремонтный, энергетический, транспортный.
Побочные — цехи утилизации и переработки металлоотходов методами литья и прессования стружки в брикеты, цехи ширпотреба.
Подсобные — цехи, изготовляющие тару для упаковки продукции, пиленый лес, выполняющие консервацию продукции, ее упаковку, погрузку и отправку потребителю.
Помимо этих цехов почти на каждом машиностроительном заводе имеются производственные цехи, службы и отделы, обслуживающие непромышленные хозяйства (коммунальное, культурно-бытовое, жилищное и др.).
Определенное место в структуре всех машиностроительных заводов занимают складское хозяйство, санитарно-технические устройства и коммуникации (электросети, газо- и воздухопроводы, отопление, вентиляция, благоустроенные дороги рельсового и безрельсового транспорта и т.д.).
Особую роль в производственной структуре объединения (предприятия) играют конструкторские, технологические подразделения, научно-исследовательские институты и лаборатории. В них разрабатываются чертежи, технологические процессы, проводятся экспериментальные работы, доводятся конструкции изделий до полного соответствия требованиям ГОСТ, технических условий, выполняются экспериментальные и опытно-конструкторские работы. В этих подразделениях с особой силой проявляется интеграция науки с производством.
В состав цехов входят основные и вспомогательные производственные участки.
Основные производственные участки создаются по технологическому или предметному принципу. На участках, организованных по принципу технологической специализации, выполняют технологические операции определенного вида. В литейном цехе, например, могут быть организованы участки по следующим технологическим направлениям: землеприготовление, изготовление стержней, литейных форм, обработка готового литья и др., в кузнечном — участки по изготовлению кованых заготовок на молотах и прессах, производству термической обработки и др., в механическом — токарный, револьверный, фрезерный, шлифовальный, слесарный и другие участки, в сборочном — участки узловой и окончательной сборки изделий, испытаний их частей и систем, контрольно-испытательной станции, малярный и др.
На участках, организованных по принципу предметной специализации, осуществляют не отдельные виды операций, а технологические процессы в целом, в итоге получают законченную продукцию для данного участка.
К вспомогательным относятся участки главного механика и главного энергетика по текущему ремонту и обслуживанию механообрабатывающего и энергетического оборудования; инструментально-раздаточная кладовая с заточной мастерской, транспортная служба, мастерская по ремонту и поддержанию в исправном состоянии технологического оснащения и др. При централизованной системе организации обслуживания и текущего ремонта на предприятии вспомогательные участки в цехах не создаются.
Вспомогательные цехи и участки организуются по тем же признакам, что цехи и участки основного производства.1
Постоянное обращение управляющих предприятия к факторам внешней среды позволяет своевременно изменить структуру управления, чтобы способствовать устойчивости предприятия и его гибкому реагированию на конъюнктурные колебания рыночной среды. Именно поэтому следует рассматривать организацию управления производством (территориальные, транспортные, ресурсные, технологические и др. факторы) как систему действий, ориентирующую развитие предприятия.


Производственные и рыночные связи предприятия


Производственные и рыночные связи предприятия В современных условиях рыночной экономики любой предприниматель, а тем более — предприниматель, занимающийся производственной деятельностью, сталкивается с множеством проблем.
Первая из них — найти себя в хозяйственном пространстве или, как говорят, свою «хозяйственную нишу». Предпринимателю предстоит изучить состояние рынка, предложение и спрос на те или иные товары в интересующей его отрасли, регионе. Следует предусмотреть возможные препятствия или ограничения. Надо изучить возможность получения льгот — заемных, налоговых и др. Таким образом определяются общие условия инвестирования средств.
Все эти данные открыты, доступны. Они содержатся в многочисленных публикациях, в статистической информации, в законодательных актах. Дополнят эту информацию осведомленные частные лица. Этой, нередко очень ценной информацией не следует пренебрегать.
Определив таким образом свою «хозяйственную нишу», предприниматель может устанавливать специализацию своего предприятия. Потребуется оценить возможности будущих потребителей, узнать все возможные сведения о конкурентах, решить вопрос о технике и технологии, с помощью которых будет производиться продукция.1
Рыночное хозяйство — совокупность предприятий, каждое из которых является самостоятельной, обособленной производственно-хозяйственной единицей в системе общественного разделения труда. Причем предприятие представляет собой зафиксированную систему взаимоотношений в экономике, объединенных единой целью и использующих одни принципы реализации своих намерений в рамках экономического пространства.
На всех этапах развития экономики основным звеном являлось предприятие. Именно на предприятии осуществляется производство продукции, происходит непосредственная связь работника со средствами производства. Под самостоятельным промышленным предприятием понимается производственная единица, обладающая производственно-техническим единством, организационно-административной и хозяйственной самостоятельностью. Предприятие самостоятельно осуществляет свою деятельность, распоряжается выпускаемой продукцией, полученной прибылью, оставшейся в его распоряжении после уплаты налогов и других обязательных платежей.
В условиях рыночных отношений ключевой фигурой выступает предприниматель. Статус предпринимателя приобретается посредством государственной регистрации предприятия. При этом субъектом предпринимательской деятельности может быть как отдельный гражданин, так и объединение граждан. Таким образом, предприятие — это самостоятельный хозяйствующий  субъект,   созданный предпринимателем  или объединением предпринимателей для производства продукции, выполнения работ и оказания услуг с целью удовлетворения общественных потребностей и получения прибыли.
Как уже отмечалось, цель деятельности предприятия — удовлетворение общественных потребностей и получение прибыли. Еще недавно основной целью предприятия называлось лишь удовлетворение общественных потребностей. Можно ли сегодня, в условиях перехода к рыночной экономике, отбросить, исключить эту цель и оставить единственной целью получение максимально возможной прибыли? Полагаем, что нет.
Действительно, основная цель предпринимательства — получение прибыли, но не любой ценой. Цивилизованные рыночные отношения требуют разумного сочетания обеих целей. Конечно, следует согласиться с тем, что бизнес — это экономическая деятельность предпринимателей, их искусство и способность приносить все возрастающие размеры прибыли, обеспечивать высокий уровень рентабельности. Вместе с тем, развитие бизнеса в условиях открытой экономики способствует насыщению потребительского рынка товарами и услугами, активизирует структурную перестройку экономики, стимулирует внедрение научно-технических достижений, способствует всемерному повышению эффективности производства.
Приступая к созданию предприятия, любой предприниматель или группа предпринимателей должны иметь перед собою четкую и ясную идею. Эта идея должна быть подкреплена системой постоянного получения заказов на свою продукцию или услуги. Намечаемый выпуск продукции или оказание услуг должны быть обеспечены всеми необходимыми материальными ресурсами. Наконец, начиная новое дело, следует продумать возможность постоянного пополнения своего капитала. Все эти вопросы необходимо достаточно подробно отразить в основном документе — предпринимательском бизнес-плане.
Важным качеством любого предпринимателя современного предприятия является способность гибко реагировать на изменение ситуации. Для этого надо быть компетентным в избранной сфере деятельности, обладать необходимыми чертами характера:
целеустремленностью, упорством, готовностью к неудачам, способностью учиться и делать выводы из своих ошибок. Следует подобрать надежных партнеров и соратников. Надо быть готовым к конкурентной борьбе. Необходимо четко организовать маркетинг, уметь поддерживать неформальные связи, а на более поздних этапах — официальные отношения как с поставщиками сырья, материалов, полуфабрикатов, комплектующих изделий, так и с потребителями продукции, с заказчиками.
Современное предприятие — сложная организационная структура. В условиях рыночной экономики возрастает значение трех основных направлений организации промышленного предприятия:
- научной организации производства;
- научной организации труда;
- научной организации управления.
Научная-организация производства имеет целью создание оптимальной технико-технологической системы на предприятии. Это надежно и эффективно функционирующие производственное оборудование и технология, упорядоченные технико-организационные взаимосвязи работников.
Задача научной организации труда (НОТ) — построение здоровых формальных i отношений в коллективе работников. Она включает систему мер по созданию условий ! для высокопроизводительного, эффективного творческого труда. Но возможности НОТ ограничены технико-технологическим состоянием предприятия, его финансовыми и | экономическими активами.
Научная организация управления — это система технических, экономических и гуманитарных средств, обеспечивающих целенаправленность воздействия на материальную и человеческую подсистемы предприятия. Она способствует их взаимодействию в целях достижения наилучшего морально-технологического и экономического эффекта.           |
Любая предпринимательская акция — это организация взаимосвязей между людьми, ! И чем более основательно она воссоздана и умело регулируется, тем больше надежд на получение экономической выгоды, на прибыльное возмещение понесенных затрат.1
Очевидно, что любое предприятие должно обладать материальной и финансовой базами, которые составляют первичный потенциал любого действия в экономике. Поэтому особенно важны факты отлажвнности взаимодействия части в составе целого — этих баз в структуре предприятия. Именно они в значительной степени влияют на образ и способ экономических действий предприятия, фирмы, компании.
Следующий шаг предпринимателя — формирование производственной базы. Предпринимателю предстоит приобрести или взять в аренду производственные и складские помещения, оборудование, станки, инструмент, приобрести сырье и материалы, полуфабрикаты, комплектующие изделия, привлечь рабочую силу. Здесь предприятие вступает в отношения с производителями оборудования, поставщиками сырья и материалов, с посредническими фирмами. Работники нанимаются на бирже труда, через объявления в прессе и другими путями.
Важный этап — привлечение финансовых средств. Собственных средств у предпринимателя или у его партнеров для начала и развития дела, как правило, недостаточно. Дефицит денежных средств можно преодолеть, выпустив акции, т.е. частично передать права на участие в капитале и прибыли предприятия, или собственные долговые обязательства, а также получив займы в коммерческих банках.
В этих случаях предприятие вступает во взаимоотношения с юридическими и физическими лицами, приобретающими его акции или долговые обязательства, а также с коммерческими банками. Кредиты банка подразделяются на краткосрочные, среднесрочные и долгосрочные. Специфика переходного периода к рынку, сложившаяся ныне в нашей стране, привела к тому, что наибольший интерес у обеих сторон (и у предприятия, и у банка) имеют краткосрочные ссуды, которые выдаются банками, как правило, на 30, 60 и 90 дней, т.е. до трех месяцев.
Предоставление кредитов нередко сопровождается различными видами страховых операций. Страхованию могут подлежать здания, запасы материальных ценностей и др. В этом случае предприятия вступают в деловые взаимоотношения со страховыми компаниями.
Выпуская акции, облигации, другие ценные бумаги или приобретая их, предприятия обращаются к фондовому рынку, т.е. рынку ценных бумаг. Здесь перечень организаций, с которыми предприятия вступают во взаимоотношения, достаточно велик. Это прежде всего фондовые биржи, кредитно-финансовые институты, инвестиционные фонды, индивидуальные инвесторы и др.
Таков далеко не полный перечень производственных и рыночных связей предприятия. По мере развития рыночных отношений этот перечень расширяется и дополняется.2


Протекционистская политика


Протекционистская политика Характеристика таможенных пошлин. Таможенные пошлины относятся к наиболее традиционным и в то же время наиболее активно применяемым мерам государственного регулирования экспортно-импортных операций. Такое их положение определяет многообразие форм, в которых они выступают, и объем задач, выполняемых ими для государственного регулирования внешней торговли. В зависимости от того, накладываются ли они на импортируемый, экспортируемый или проходящий транзитом товар, они называются соответственно импортными, экспортными или транзитными.
Импортные пошлины, т.е. налогообложение ввозимых в страну товаров, встречаются наиболее часто. В дальнейшем речь будет идти прежде всего об импортных пошлинах, являющихся главным средством национального протекционизма.
На начальном этапе развития капитализма с помощью импортных пошлин обеспечивались налоговые поступления; сейчас их значимость резко сократилась, а фискальные функции выполняют другие налоговые поступления (например, налог на прибыль). Если в США еще в конце девятнадцатого столетия за счет импортных пошлин покрывалось до 50% всех поступлений в бюджет, то в настоящее время эта доля не превышает 1,5%. Не превышает нескольких процентов доля поступлений от импортных пошлин и в бюджете подавляющего большинства промышленно развитых стран. Если раньше импортные пошлины обеспечивали получение денежных средств, т.е. играли фискальную роль, то сегодня их функции связаны в первую очередь с обеспечением проведения определенной торгово-экономической политики.
В развивающихся странах, наоборот, импортные пошлины используются прежде всего как средство финансовых поступлений. Это объясняется относительно большей возможностью контроля и простотой процедуры сбора налогов с товаров, пересекающих таможенную границу.
Что касается России, то последние изменения таможенного законодательства свидетельствуют, что роль импортных российских пошлин как фискального средства увеличивается.1
При определении условий взаимодействия субъектов мировой экономики особо следует рассмотреть дискриминационные меры государств, затрудняющих ввоз и вывоз определенных товаров, что предполагает изучение систем тарифных ограничений и систем «добровольных» экспортных ограничений различных стран.
Реже используются экспортные пошлины. Их цель — получение дополнительного количества валюты для пополнения государственной казнь.
Экспортные пошлины удорожают стоимость товара на мировом рынке, где конкуренция значительна. Они применяются для сырьевых товаров, по которым страна обладает монопольным преимуществом, или в тех случаях, когда государство стремится ограничить вывоз данного товара.
В других случаях задачей экспортных пошлин, взимаемых странами, обладающими монопольными природными преимуществами, является ограничение поставок на мировой рынок сырьевых товаров, увеличение цен и повышение доходов казны и производителей. Такая задача ставится при налогообложении экспорта риса Таиландом, какао-бобов Ганой и кофе Бразилией. Аналогичную роль играют экспортные пошлины на сырье в России.
В развитых капиталистических странах экспортные пошлины практически не применяются. Конституция США даже запрещает их использование.
Транзитные пошлины взимаются с товаров, пересекающих национальную территорию транзитом. Они сдерживают товарные потоки, рассматриваются как крайне нежелательные, нарушающие нормальное функционирование международных связей и сейчас практически не применяются.
Существуют две основные методики установления уровня таможенных пошлин. В соответствии с первой величина пошлины определяется в виде фиксированной суммы с единицы измерения: веса, площади, объема и т. д. (Например, пошлина в размере 1 долл. с каждого центнера пшеницы.) Такая пошлина называется специфической.
При второй методике пошлина устанавливается в виде процента от декларируемой продавцом стоимости товара. Можно, например, назначить пошлину на автомобиль в виде 25% цены. Эта пошлина называется адвалорной.
Действует еще промежуточная методика, заключающаяся в том, что таможня получает право самостоятельно выбирать между специфической и адвалорной пошлинами в зависимости от того, какая из них выше. Подобная пошлина — альтернативная.
Кроме внешних различий пошлин существуют организационно-правовые и политические различия. Так, специфические пошлины используются для налогообложения сырьевых товаров, т. е. стандартных, больших по объему товарных масс.
До второй мировой войны, когда основная часть мировой торговли приходилась на сырье, 60-70% всех пошлин были специфическими. Последние особенно эффективны    в условиях снижения цен на товары, т.е. в периоды депрессии и кризисов. Практика применения специфических пошлин требует более дробной, детальной разбивки товаров по позициям с тем, чтобы каждый товар имел свой фиксированный уровень налогообложения.
Практическое использование специфических пошлин не представляет каких-либо технических сложностей. Специфическими, как правило, являются экспортные пошлины, ими облагаются главным образом сырьевые товары.
Адвалорная пошлина более удобна при импорте машинотехнических изделий, для которых свойственна значительная дифференциация производимой продукции. Такая пошлина динамично реагирует на изменение цен, оставляя уровень защиты неизменным.
После второй мировой войны, когда во всем мире наблюдалась тенденция повышения цен и постоянно увеличивалась доля технологически сложных готовых изделий, страны постепенно переходят на адвалорные пошлины.
Сейчас на долю адвалорных пошлин приходится 70-80% всех таможенных пошлин.
В связи с использованием адвалорных пошлин возникает вопрос: какие издержки, связанные с поставкой товаров, следует включать в стоимость, подлежащую налогообложению? Страна вправе использовать цену сиф (включающую стоимость страхования и фрахта) или цену фоб. Вариантом цены фоб может быть цена фас (свободно вдоль борта), которая меньше цены фоб на стоимость погрузочных работ. Цена сиф совпадает со стоимостью товара в порту прибытия судна и выше цены фоб на стоимость транспортных расходов и страхования товара в пути.1
В рамках изучения функционирования мировой экономики целесообразно рассмотреть деятельность государства по стимулированию экспорта за счет бюджета. Такое стимулирование может осуществляться в форме прямого финансирования научно-исследовательских, опытно-конструкторских работ и экспортного производства или же в форме предоставления на те же цели благоприятных условий. Более подробно эта тема раскрывается в отдельных разделах данной хрестоматии, посвященных экспортным субсидиям и политике «нового» протекционизма.


Пути совершенствования производственной структуры предприятия


Пути совершенствования производственной структуры предприятия На производственную структуру влияет ряд факторов:
- отраслевая  принадлежность предприятия — номенклатура выпускаемой продукции, ее конструктивные особенности, используемые материалы, способы получения и обработки заготовок; простота конструкции и технологичность изделия; уровень требований, предъявляемых к качеству продукции; тип производства, уровень его специализации и кооперирования; состав оборудования и технологической оснастки (универсальное, специальное, нестандартное оборудование, конвейерные или автоматические линии);
- централизованная   или   децентрализованная   организация   обслуживания оборудования, текущего ремонта его и технологической оснастки;
- способность производства оперативно и без больших потерь перестраиваться на выпуск новой продукции в измененной номенклатуре изделий;
- характер производственного процесса в основных, вспомогательных, побочных и подсобных цехах.
Производственная структура предприятия различных отраслей имеет свои особенности, вытекающие из характера основного производства.
На текстильных фабриках в большинстве случаев действует технологическая структура с одновременной специализацией отдельных участков на определенных номерах пряжи и артикулах суровья. Наибольшее число фабрик имеет все стадии изготовления тканей: прядение, ткачество, отделку. Часть фабрик специализируется на выполнении одной или двух стадий.
На металлургических заводах преобладает технологическая структура. Создаются копровые, доменные, сталелитейные, прокатные цехи. В состав металлургических комбинатов нередко входят агломератная фабрика и коксовый цех.
Общее в производственной структуре предприятий различных отраслей — организация вспомогательных и обслуживающих хозяйств. Цехи главного энергетика и главного механика, транспортное и складское хозяйство имеются на предприятии любой отрасли промышленности. На машиностроительном заводе всегда имеется инструментальный цех, на текстильной фабрике — валичная и челночная мастерские, изготовляющие инструмент для текстильного производства.
Вопрос о выборе и улучшении производственной структуры предприятия (объединения) должен решаться как при строительстве новых предприятий, так и при реконструкции действующих.
Основные пути совершенствования производственной структуры:
- укрупнение предприятий и цехов;
- поиск и реализация более совершенного принципа построения цехов и производственных предприятий;
- соблюдение рационального соотношения между основными, вспомогательными и обслуживающими цехами;
- постоянная работа по рационализации планировки предприятий;
- интеграция отдельных предприятий, создание мощных промышленных и научно-производственных объединений на основе концентрации производства;
- обеспечение пропорциональности между всеми частями предприятия;
- изменение производственного профиля, т.е. характера выпуска продукции, специализация и кооперирование; развитие комбинирования производства; достижение конструктивно-технологической однородности продукции за счет широкой унификации и стандартизации; создание бесцеховой структуры управления предприятием. Укрупнение предприятий и цехов позволяет в более широких масштабах внедрять новую высокопроизводительную технику, постоянно совершенствовать технологию, улучшать организацию производства.
Выявление и реализация резервов улучшения структуры цехов и производственных участков — факторы постоянного совершенствования производственной структуры, повышения эффективности производства.
Соблюдение рационального соотношения между основными, вспомогательными и обслуживающими цехами и участками должно быть направлено на повышение удельного веса основных цехов по количеству занятых рабочих, стоимости основных фондов, размеру занимаемых площадей.
Рационализация планирования подразумевает совершенствование генерального плана предприятия.'
Качество использования имеющихся возможностей, ресурсов и благоприятной рыночной обстановки связано на предприятии с механизмом планирования производства. Построение оптимального с точки зрения возможного изменения рыночной ситуации плана является залогом реализации внутренней устойчивости предприятия во внешней экономической среде. Именно поэтому следует обратить особое внимание на материал по планированию производства.
Генеральный план предприятия Генеральный план — одна из важнейших частей проекта промышленного предприятия,
содержащая комплексное решение вопросов планировки и благоустройства территории, размещения зданий, сооружений, транспортных коммуникаций, инженерных сетей, организации систем хозяйственного и бытового обслуживания, а также расположения предприятия в промышленном районе (узле).
К генеральному плану предъявляются высокие требования, главные из которых:
1) расположение производственных подразделений строго по ходу технологического процесса — склады сырья, материалов и полуфабрикатов, заготовительные, обрабатывающие, сборочные цехи, склады готовой продукции;
2) размещение вспомогательных участков, хозяйств вблизи цехов основного производства, которые они обслуживают;
3) рациональное устройство железнодорожных путей внутри предприятия. Они должны быть подведенными как к помещениям складов сырья, материалов и полуфабрикатов, так и к складу готовой продукции, где производятся доукомплектование изделий съемным оборудованием, запасными частями, консервация, упаковка, укупорка, погрузка, отправка продукции потребителю;
4) наибольшая прямоточность и кратчайшие пути транспортировки сырья, материалов, полуфабрикатов и готовой продукции;
5) исключение встречных и возвратных потоков как внутри, так и вне помещений;
6) наиболее целесообразные варианты расположения внешних коммуникаций предприятия и присоединения их к инженерным сетям, шоссейным дорогам, железнодорожным путям и т.п.
7) размещение в блоках цехов лабораторий (измерительной, химической, рентгено-контроля, ультразвука и др.), обслуживающих их, а также цехов термической обработки и защитных покрытий деталей, готовых изделий. •
На крупных предприятиях цехи целесообразно объединять в корпуса.
При проектировании предприятий необходимо заботиться о компактности застройки. В зависимости от характера продукции, ее конструктивных особенностей по возможности строить корпуса в многоэтажном исполнении. Выбирать рациональные расстояния между цехами, блоками цехов и корпусами, соблюдая санитарно-технические условия, требования техники безопасности и пожарной безопасности.
Генеральный план должен также предусматривать возможность дальнейшего развития предприятия и обеспечивать такую производственную структуру, при которой могут быть достигнуты наивысшие результаты производства при наименьших затратах; создавать условия для максимального удовлетворения интересов всех работников предприятия.
Размещение основных, вспомогательных, побочных, подсобных цехов и участков, обслуживающих хозяйств, органов управления, транспортных магистралей на территории предприятия оказывает огромное влияние на организацию производства, его экономику;
определяет направление грузопотоков, протяженность трасс рельсовых и безрельсовых путей, а также эффективность использования производственных площадей.
Компактность застройки, ее рациональная плотность и этажность позволяют экономить капитальные вложения, снижать объемы строительных работ и внутризаводских перевозок,   уменьшать  протяженность  коммуникаций,   сокращать  длительность производственного цикла, в более широких масштабах внедрять комплексную механизацию
и автоматизацию производственных и вспомогательных процессов, уменьшать время пребывания готовой продукции на складе, повышать производительность труда, улучшать качество продукции, снижать ее себестоимость.
Задача сотрудников проектных институтов, инженерно-технических работников и производственников промышленных предприятий — постоянное улучшение производственной структуры, размещения цехов и производственных участков. Особо серьезное внимание этому вопросу необходимо уделять в период реконструкции, технического перевооружения, расширения предприятия и нового строительства. Совершенствование генерального плана завода — проявление заботы о повышении эффективности производства, улучшении качества выпускаемой продукции и условий труда.1
Анализ информации о динамике внутреннего обеспечения производства предприятия и востребованности его продукции рынком является условием качественной оценки его устойчивости. Одновременно уделение внимания обслуживанию производства на предприятии может раскрыть факторы способности или неспособности предприятия и устойчивому развитию в будущем. При этом механизмом такого анализа может выступать фиксация отношения свойств обслуживания и целей обеспечения общей характеристики обслуживания производства на предприятии.


Расчеты платежными поручениями


Расчеты платежными поручениями (переводами). Платежное поручение — приказ банку о перечислении с расчетного счета суммы денежных средств другому предприятию, организации или учреждению. Платежными поручениями оформляются: платежи в доход бюджета, страховым компаниям; перечисление торгующим организациям сумм, удержанных из заработной платы рабочих и служащих за товары.
Поручения при местных и иногородних расчетах принимаются банком на любую сумму.
Переводы используют для перечислений заработной платы, алиментов на конкретных лиц. На переводы составляется список с указанием получателя, сумм и назначения перевода. На общую сумму включенных в список переводов выписывается платежное поручение. Расходы по переводу денег могут включаться в сумму поручения или оплачиваться на почте наличными деньгами. Платежное поручение вместе со списком представляется в банк, где его акцептуют. Акцептованное банком платежное поручение со списком сдается почтовому отделению, которое оформляет прием переводов.
Учитываются эти расчеты на счетах .68 «Расчеты с бюджетом», 73 «Расчеты с персоналом по прочим операциям», 76 «Расчеты с разными дебиторами и кредиторами», 69 «Расчеты по социальному страхованию и обеспечению».
Порядок учета операций по этим счетам и ведение регистров.
Расчеты чеками. Расчетный чек — письменное поручение банку перечислить со счета чекодателя указанную в чеке сумму. Чековые книжки предприятия получают в своем банке;
чеки действительны в течение 10 дней, не считая даты выписки, к оплате принимаются чеки на разные суммы.
Расчеты чеками из лимитированных книжек производятся за товары и услуги транспорта и связи. Сумма по лимитированной чековой книжке должна быть не менее 100 руб. на срок до б месяцев.
Учет выдачи их ведется на счете 55 «Специальные счета в банках», субсчет 2 «Чековые книжки», в журнале-ордере № 3. Для него характерна регистрация следующих хозяйственных операций.

Завершая рассмотрение общих положений об учете расчетных операций, следует отметить, что для обобщения информации о всех видах расчетов предприятия с различными юридическими и физическими лицами, а также внутрихозяйственных расчетов применяется целая группа специальных счетов, в частности:
Сч. 60 «Расчеты с поставщиками и подрядчиками» — для учета расчетов с поставщиками и подрядчиками за полученные товарно-материальные ценности, принятые выполненные работы и потребленные услуги;
Сч. 61 «Расчеты по авансам выданным» — для учета расчетов по выданным авансам под поставку материальных ценностей либо под выполнение работ, а также по оплате продукции и работ, принятых от заказчиков по частичной готовности;
Сч. 62 «Расчеты с покупателями и заказчиками» — для учета расчетов за отгруженную продукцию (товары); выполненные работы и оказанные услуги;
Сч. 63 «Расчеты по претензиям» — для учета расчетов по претензиям, предъявленным поставщикам, подрядчикам, транспортным и другим организациям, а также по предъявленным им и признанным (или присужденным) штрафам, пеням и неустойкам;
Сч. 64 «Расчеты по авансам полученным» — для учета расчетов по полученным авансам под поставку материальных ценностей, либо под выполнение работ, а также по оплате продукции и работ, произведенных для заказчиков по частичной готовности;
Сч. 65 «Расчеты по имущественному и личному страхованию» — для учета расчетов по страхованию имущества и персонала (кроме расчетов по социальному страхованию и пенсионному обеспечению и медицинскому страхованию) предприятия, в котором предприятие выступает страхователем;
Сч. 67 «Расчеты по внебюджетным платежам» — для учета расчетов с государственными органами по платежам, уплачиваемым предприятием в различные внебюджетные фонды (кроме расчетов по социальному страхованию и пенсионному обеспечению и медицинскому страхованию);
Сч. 68 «Расчеты с бюджетом» — для учета расчетов с бюджетом по налогам, уплачиваемым предприятием, и налогов с персонала этого предприятия;
Сч. 69 «Расчеты по социальному страхованию и пенсионному обеспечению» — для учета расчетов по отчислению на государственное социальное страхование, пенсионное обеспечение и медицинское страхование персонала предприятия;
Сч. 70 «Расчеты с персоналом по оплате труда» — для учета расчетов с персоналом как состоящим, так и не состоящим в списочном составе предприятия, по оплате труда (по всем видам заработной платы, премиям, пособиям и другим выплатам), а также по выплате доходов по акциям и другим ценным бумагам данного предприятия;
Сч. 71 «Расчеты с подотчетными лицами» — для учета расчетов с работниками предприятия по суммам, выданным им под отчет на административно-хозяйственные и операционные расходы, а также на служебные командировки;
Сч. 73 «Расчеты с персоналом по прочим операциям» — для учета всех расчетов с персоналом предприятия, кроме расчетов по оплате труда, расчетов с подотчетными лицами и депонентами;
Сч. 75 «Расчеты с учредителями» — для учета всех видов расчетов с учредителями предприятия (акционерами акционерного общества, участниками хозяйственного товарищества, членами кооператива и т.п.) по вкладам в уставный фонд предприятия, по выплате доходов и др.;
Сч. 76 «Расчеты с разными дебиторами и кредиторами» — для учета расчетов по всякого рода операциям с дебиторами и кредиторами, не упомянутыми в пояснениях к счетам 60—75: с разными организациями по операциям некоммерческого характера (с учебными заведениями, научными организациями и т.п.); транспортными (железнодорожными и водными) организациями за услуги, оплачиваемые чеками; по депонированным суммам заработной платы, премий и других аналогичных выплат; по суммам, удержанным из заработной платы работников предприятий в пользу разных организаций и отдельных лиц на основании исполнительных документов или постановлений судебных органов и др.;
Сч. 78 «Расчеты с дочерними предприятиями» — для учета всех видов текущих расчетов с дочерними предприятиями (межбалансовые расчеты);
Сч. 79 «Внутрихозяйственные расчеты» — для учета всех видов расчетов с подразделениями предприятия, выделенными на самостоятельный баланс (внутриба-лансовые расчеты), по выделенному имуществу, взаимному отпуску материальных ценностей, реализации продукции,  передаче расходов по  общеуправленческой деятельности, выплате заработной платы работникам подразделений; по фондам потребления и затратам за счет них, если фонды не передаются подразделениям, а учитываются на балансе предприятия, и др.1
Выполняя расчеты, экономический субъект производит действие с определенной информацией, которая, претерпевая изменения, влечет за собой вариацию сущности всего субъекта в целом на данный момент времени, т.е. основной принцип расчетов как процесса — вносить изменения во внешние отношения экономических субъектов через изменение его внутренней структуры.


Распределение и использование прибыли


Распределение и использование прибыли Функционирование предприятий на началах коммерческого расчета приводит к тому, что прибыль выступает не только в качестве главного результата финансово-хозяйственной деятельности, но и источника удовлетворения разнообразных потребностей как самого предприятия, так и общества в целом. Прибыль — важный источник расширения производства и обеспечения других внутрихозяйственных потребностей; часто ее используют для материального стимулирования работающих и удовлетворения их социальных запросов; постоянно возрастает роль прибыли в формировании бюджетных, внебюджетных и благотворительных фондов.
В условиях, когда прибыль удовлетворяет разнообразные потребности, важной задачей становится разработка экономически обоснованной системы ее распределения. Главное требование сводится к тему, чтобы в системе распределения прибыли органически сочетались интересы субъектов хозяйствования, общества в целом и конкретных работников.2
Основы организации безналичных расчетов Совмещение в конкретном экономическом действии финансовых и производственных элементов определяет наличие отношений и расчетов между предприятиями вне налично-денежного оборота с целью упрощения финансовых расчетов. Существенной стороной таких расчетов является включение банка как элемента расчетов. Активизация банковской сферы в связи с промышленными расчетами является фактором макроэкономического развития. Поэтому вопрос о безналичных расчетах между предприятиями освещен в отдельном разделе данной хрестоматии.
В рыночных условиях особо актуальна четкая организация денежных расчетов, поскольку денежная стадия кругооборота средств играет огромную роль в хозяйственной жизни предприятия любой формы собственности.
Качественные изменения в организационных формах проведения денежных расчетов произошли вследствие возрастания экономической активности всех субъектов рынка, расширения числа и объемов сделок. Появилось огромное количество новых коммерческих структур, что сказалось на резком росте документооборота, связанного с обслуживанием платежной системы в целом. Перестройка платежной системы потребовала изменения принципов организации безналичных расчетов, использования новых форм и способов осуществления платежей.
Четко организованная система безналичных расчетов имеет огромное значение в условиях серьезного кризиса неплатежей, когда огромная взаимная задолженность, задержка платежей в каком-либо одном звене затрагивает работу большого числа работников.
Любое предприятие совершает денежные расчеты и как покупатель, и как продавец. Предприятие осуществляет также денежные расчеты с рабочими и служащими, рассчитывается с государством и банком. Совокупность всех денежных платежей составляет платежный оборот. Значительная часть платежного оборота предприятий осуществляется безналичным путем, т.е. совершением записей (проводок) по счетам в банках. Наличные деньги применяются главным образом в платежном обороте, в котором участвует население, а также при расчетах на незначительные суммы.
Безналичные расчеты нашли широкое применение в процессе развития банковской системы и имеют ряд преимуществ перед расчетами с использованием наличных денег.
Бесперебойность расчетов обеспечивают следующие основные принципы организации безналичных расчетов:
1. Все предприятия и организации обязаны хранить свои средства на счетах в банках. В кассах предприятий разрешается оставлять лишь небольшие суммы наличных денег в пределах установленных норм.
2. Подавляющая часть безналичных расчетов должна осуществляться через банк.
3. Требование платежа должно выставляться либо перед отгрузкой товаров, либо вслед за ней, чтобы не допускалась задержка платежей.
4. Платежи производятся со счетов клиентов в банке лишь с их согласия. Это важное условие препятствует банку в распоряжении средствами, принадлежащими хозяйствующим органам, открывшим счета в данном банке.
5. Установлено несколько форм расчетов и видов платежей, которые предприятия могут выбирать по своему усмотрению.
Безналичные расчеты способствуют уменьшению издержек обращения в виде дополнительных затрат на печать, хранение, перевозку, пересчет огромного количества денежных знаков, которые потребовались бы при расчетах наличными деньгами. В то же время безналичные расчеты при четкой работе банков позволяют лучше регулировать платежный оборот и в конечном счете ускорять оборачиваемость оборотных средств и совершение платежей.
Отметим, что в безналичном обороте могут участвовать и деньги, являющиеся личной собственностью граждан и хранящиеся в виде сбережений на счетах банков. Оплата расходов населения безналичным путем может осуществляться со счетов по вкладам. Замещение в этих случаях наличных денег безналичными расчетами также сокращает издержки обращения.
Через систему межфилиальных оборотов (МФО) рассчитываются в основном учреждения центрального банка России (ЦБР), которые имеют свой счет МФО. Указывая этот номер на каждом платежном документе, учреждение банка способствует быстрому проведению расчетов. МФО должны осуществляться так, чтобы обеспечивать сохранность средств, не допускать ошибок, несанкционированного доступа к движению документов, предотвращать засылку денег не по адресу. Поэтому в системе МФО каждая начальная операция дублируется ответной (существуют понятия начального МФО и ответного МФО), а на балансе банков выделяются специальные балансовые счета, на которых отражаются начальные и ответные обороты.
Учреждение банка, начинающее МФО, посылает другому учреждению поручение на зачисление и списание средств. Это поручение называется авизо. Различают авизо кредитовые (деньги перечисляются) и дебетовые (средства списываются). В учреждении банка, получившем авизо, совершается ответный оборот, подтверждающий, что полученное авизо принято к исполнению. Банки регулярно следят за совпадением начальных и ответных оборотов, что достигается их сличением—квитовкой.
С созданием коммерческих банков возникла необходимость дополнить межбанковские расчеты еще одним элементом — расчетами по корреспондентским счетам (корсчетам), открываемым каждому коммерческому банку в ЦБР. На местах ЦБР представлен расчетно-кассовыми центрами (РКЦ), в которых и открываются корреспондентские счета коммерческим банкам. Предприятия для получения денег с покупателей за продаваемый товар должны в платежных документах указать и номер МФО РКЦ, и номер корсчета своего банка. РКЦ для коммерческого банка — это как бы коммерческий банк для предпринимателя. На корсчете в РКЦ оседают деньги, имеющиеся у коммерческого банка. Банк может осуществлять взаиморасчеты через РКЦ с другими банками обычно только в пределах имеющегося остатка свободных средств. Некоторые банки, не имея таких средств, не могут своевременно переводить деньги по поручениям своих клиентов. До 1994 г. банки могли пользоваться для проведения расчетов кредитом, выдаваемым РКЦ для покрытия дебетового сальдо по корсчету. Если дебетовое сальдо возникает часто, то банк не может нормально работать. Каждый коммерческий банк должен укладываться в пределы имеющихся у него пассивных ресурсов, т.е. не допускать дебетового сальдо на корсчете.
В безналичных расчетах обязательно участвуют два (или более) хозяйствующих органа и банк. Без открытого в банке счета невозможно совершение жирооборота, т.е. платежей без участия наличных денег, расчетов путем записей по банковским счетам.
Юридические лица и граждане, занимающиеся предпринимательской деятельностью, вправе открывать счета в любом банке по месту их регистрации или в банке вне места своей регистрации с согласия последнего. Юридические лица обязаны хранить свободные денежные средства в банках. Необоснованный отказ банка, уставом которого предусмотрены осуществление соответствующих банковских операций, принять денежные средства клиента на хранение и открыть счет может быть обжалован клиентом в суде.
Между банком и клиентом заключается договор о расчетно-кассовом обслуживании с открытием соответствующего банковского счета. По договору банк обязуется хранить денежные средства на счете клиента, зачислять поступающие на этот счет суммы, выполнять распоряжения клиента о перечислении и выдаче денег со счета и проведении других банковских операций, предусмотренных для счета данного вида законодательными актами, банковскими правилами и договором.
Банк может использовать имеющиеся на счете клиента денежные средства, гарантируя их наличие при предъявлении требований к счету. Клиент вправе распоряжаться этими средствами и получать доходы (проценты) по ним. Банк не имеет права определять и контролировать направления использования денежных средств клиента и устанавливать другие, не предусмотренные законодательством или договором ограничения на его права. Без распоряжения клиента списание средств, находящихся на счете, допускается только по решению суда. Банк гарантирует тайну счетов клиента. Предоставление банком сведений о состоянии счетов и об операциях по ним без согласия клиента не допускается, за исключением случаев, предусмотренных законодательством.
Договор банковского счета прекращается по заявлению клиента и по другим основаниям, предусмотренным законодательством. Отсутствие операций по банковскому счету не влечет прекращения договора.
Механизм организации безналичных расчетов не должен осуществляться столь автоматически, чтобы в любом случае пополнять недостающие у хозяйствующего органа ресурсы. Безналичный оборот и кредитование банками должны быть организованы таким образом, чтобы не выпускались избыточные для оборота безналичные средства, которые могут при определенных условиях стать факторами роста инфляции. Это значит, что кредит или кредиторская задолженность всех видов не должны возмещать им те средства, которые потеряны вследствие убытков и бесхозяйственности, нарушения принципов коммерческой деятельности. Если предприятие плохо работает и у него не хватает средств на счете в банке, то оно, естественно, не имеет возможности своевременно платить по своим долгам. Банк в таком случае может выдать кредит лишь при соблюдении ряда условий (под гарантию, при отсутствии длительно просроченных ссуд и т.д.).
Кроме расчетных в банках могут открываться и текущие счета (обычно для филиалов, представительств, отделений и других обособленных подразделений предприятий, а также филиалов и представительств кооператива).


Развитие капитализма в Японии


Развитие капитализма в Японии Япония вступила на путь развития капитализма тогда, когда мировой капитализм переходил в стадию империализма. Реформы, устанавливавшие капиталистические порядки, были проведены в Японии только в 70-х годах XIX в.
Феодализм в Японии относился к типу восточного феодализма, характеризовался азиатским способом производства. Верховным собственником земли считался император (тенно, или микадо), а также его вассалы — князья (дайме). Япония делилась на феодальные княжества, причем каждое княжество являлось самостоятельным государством, имело свои войска, собирало пошлины на границах. Японии была феодально раздробленным государством.
Император лишь номинально был главой Японии. Реальная власть находилась в руках сёгуна — главнокомандующего. В XVII в. должность сёгуна захватили князья из рода Токугава, и поэтому период истории с XVII в. до буржуазной революции называется периодом сёгуната Токугава.
Феодальное сословие в Японии составляли самураи — военнослужащие. Подчеркиваем, что в Японии кроме самураев к военной службе никто не допускался; представителям других сословий даже запрещалось брать в руки оружие под страхом смерти.
Все население Японии делилось на 4 сословия: самураев, крестьян, ремесленников и купцов, причем переход из одного сословия в другое был категорически запрещен. Замкнутость сословий, характерная для феодализма вообще, здесь была доведена до предела. Законы определяли даже пищу, одежду и быт каждого сословия. Так, крестьянам запрещалось есть рис, а носить они могли только полотняную или хлопчатобумажную одежду. Шелк могли носить только самураи. Все сословия были бесправны перед самураями. Самурай мог убить простолюдина только для того, чтобы «испытать новое оружие» или за простую невежливость.
Более того, сословия ремесленников и купцов занимали официально более низкое положение, чем крестьяне. Торговля и ремесло считались унизительными занятиями.
Натуральность хозяйства проявлялась и в том, что и налоги собирались, и жалованье самураям выплачивалось натурой — рисом. Поскольку не было помещиков, то не было и барщины. Но была государственная трудовая повинность, общественные работы и т.д.
Но в кабалу к ростовщикам попадали и самураи. К этому неизбежно вела натуральная форма их жалованья: для удовлетворения своих потребностей самураю нужны были деньги, а не один только Деньги можно было получить у ростовщиков. В XVIII в. появляется специальная гильдия ростовщиков, которые занимались скупкой у самураев квитанций на пайки.
Результатом экономической изоляции стал хозяйственный застой Японии с конца XVIIa. до буржуазной революции 1868 г. Более полутора веков посевная площадь, годовое производство риса и даже численность населения оставались на одном уровне.
Аграрная реформа 1872-1873 гг. ликвидировала государственную собственность на землю. Собственниками земли объявлялись теперь крестьяне, но в тех случаях, когда земля за долги крестьян переходила к новым помещикам (дзинуси), они и становились собственниками земли.
Таким образом помещики стали законными собственниками трети пахотных земель. В новых порядках крестьяне должны были платить налог государству деньгами. Техника сельского хозяйства оставалась на примитивном уровне. Земля обрабатывалась в основном вручную, мотыгой. Началом промышленного переворота и индустриализации Японии следует считать 70-е годы XIX в., когда силами государства создается фабрично-заводская промышленность.
Первые десятилетия после революции частные капиталы в промышленность не шли. Лишь постепенно складываются условия для частного предпринимательства, и в 80-х годах государственные предприятия передаются в частные руки. Поскольку они передавались на очень льготных условиях, то их собственниками становятся люди, имевшие хорошие связи в правительственных кругах. Это были старые торгово-ростовщические дома и наиболее родовитые самураи.
Особенности японского империализма Итак, Япония вступила на путь капитализма тогда, когда мир уже переходил к империализму. Поэтому японский капитализм зарождался сразу в империалистической форме, приобретая черты империализма. Империализм здесь возник до завершения промышленного переворота при сохранении многих пережитков азиатского способа производства. Поэтому японский империализм принято относить к военно-феодальному типу по следующим причинам.
Во-первых, дело в особой форме монополий — дзайбацу. Это были не совсем монополии, потому что они возникли не в ходе конкурентной борьбы при концентрации производства, а при передаче государственных предприятий в частные руки. Люди, имевшие хорошие связи, могли захватить целую группу предприятий. Вот такая группа предприятий в одних руках называлась дзайбацу. Дзайбацу — не совсем монополии, потому что они ничего не монополизировали. Это были в основном конгломераты, состоящие из предприятий отраслей.1

13.3. Математические методы исследования в экономике теория моделирования; модели различных уровней экономики и согласования интересов
Стремление экономических субъектов и экономики в целом к включению в инвестиционный процесс (получение или размещение инвестиций) требует задействования наряду с вербальным и математического описания основных свойств и сторон экономических процессов в их взаимосвязи и обусловленности. При этом выявляются постоянные экономические элементы системы, отражающие принцип связи причины и следствия в явлении. Поэтому необходимо более подробно остановиться на общем описании методов математического моделирования.
Методы моделирования Распространенной методикой описания тех или иных процессов и явлений служит моделирование.   Моделирование  считается  достаточно  эффективным  средством прогнозирования возможного явления, новых или будущих технических средств, конкретных решений. Впервые для целей прогнозирования построение операционных моделей было предпринято в экономике. Модель конструируется субъектом исследования так, чтобы операции отображали характеристики объекта (взаимосвязи, структурные и функциональные параметры и т.п.), существенные для цели исследования. Поэтому вопрос о качестве такого отображения — адекватности модели объекту — правомерно решать лишь относительно определенной цели. Конструирование модели на основе предварительного изучения объекта и выделения его существенных характеристик, экспериментальный и теоретический анализ модели, сопоставление результатов с данными объекта, корректировка модели — все это составляет содержание метода моделирования.
Математическое моделирование. Метод моделирования, разработка которого применительно к прогнозированию научно-технического прогресса встречает серьезные трудности, требует к себе особого внимания. Трудность применения метода моделирования в прогнозировании научно-технического прогресса вызывается сложностью структуры технического развития и поэтому вынуждает пользоваться не единственной моделью, а системой методов и моделей, характеризующейся определенной иерархией и последовательностью.
Под системой моделей прогнозирования научно-технического прогресса следует понимать совокупность методик и моделей, позволяющую дать согласованный и непротиворечивый прогноз научно-технического развития отрасли, основывающийся на изучении складывающихся в текущем и будущих периодах технико-экономических тенденций и закономерностей, на заданных целевых установках, на имеющихся ресурсах, выявленных потребностях народного хозяйства и их динамике.
Такая система предполагает определенную очередность использования моделей для целей составления комплексного прогноза.
Под экономико-математической моделью понимают методику доведения до полного, исчерпывающего описания процесса получения и обработки исходной информации и правил решения рассматриваемой задачи в достаточно широком классе конкретных случаев.
Использование математического аппарата для описания моделей связано с преимуществами математического подхода к многостадийным процессам обработки информации, использованием идентичных средств формирования задач, поиска методов их решения, фиксации этих методов и их преобразования в программы, рассчитанные на применение средств вычислительной техники.
Разработка системы моделей прогнозирования проходит три этапа.
На первом этапе разработки локальных методик прогнозирования прорабатываются отдельные модели и подсистемы моделей прогнозирования. Разработанные модели должны быть взаимно увязаны и составлять единую систему для целей прогнозирования, обеспечивающую взаимодействие отдельных моделей в соответствии с определенными требованиями. Такие требования будут зафиксированы в программе исследований по проблеме в целом.
На втором этапе разработки локальных методик прогнозирования научно-технического прогресса создается система взаимодействующих моделей прогнозирования, уточняются и согласовываются подсистемы моделей, проверяется их взаимодействие, определяется последовательность использования отдельных моделей, а также приемов оценки и методов проверки получаемых комплексных прогнозов. На этом этапе также должны быть составлены соответствующие программы для решения задач на электронных вычислительных машинах.


Развитие малого бизнеса


На этом этапе следует ожидать трансформации ряда закрытых АО в открытые, перехода контрольного пакета акций в руки акционеров с более выраженным стилем рыночного поведения, перекупки акций обществ, не выдержавших конкуренции, банкротства наиболее слабых из них. Именно на данном этапе могут встать сложные социальные проблемы, связанные с увеличением безработицы. Эти проблемы необходимо предвидеть и своевременно, т.е. загодя, принять меры по их решению. Это, в частности, возможно посредством диверсификации производства как по ассортименту выпускаемой продукции, так и по видам услуг и организации внутреннего рынка рабочей силы.
На завершающем этапе разгосударствления образуются крупные акционерные компании, осуществляется накопление капитала акционерными обществами, интенсивно развивается рынок ценных бумаг и акционерный механизм дополняется собственным механизмом заемных средств, поскольку крупные компании в состоянии самостоятельно выкупать облигации, приносящие их владельцам более высокий доход, чем дивиденды по акциям. На этом этапе возможно широкое привлечение иностранного капитала и образование совместных компаний.
Длительность и сложность процесса развития предпринимательства приводят к необходимости программно-целевого управления этим процессом, поэтому во многом успех развития предпринимательства зависит от центральных органов государственной власти.
Перспективное развитие предпринимательства ориентируется на два основных направления:
1. Создание крупных организационно-хозяйственных структур (должно придать экономике стабильность и управляемость, открыть путь к широкомасштабной реализации научно-технических новаций).
2. Развитие малого бизнеса (должно создать конкурентную среду, обеспечить производству гибкость и индивидуализацию).
В рамках первого направления возникают достаточно мощные организационно-хозяйственные структуры нового типа — государственные, смешанные и частные корпорации, концерны, а также финансово-промышленные группы, способные успешно действовать на внутреннем и внешнем рынках. Органическое переплетение крупных и сверхкрупных производственных компаний с мощными и разветвленными финансовыми учреждениями (коммерческими банками, страховыми и инвестиционными институтами), а также с транспортными, торговыми и информационными структурами образует финансово-промышленные группы, располагающие поистине громадными производственными и финансовыми возможностями. Функционирование подобных групп является прогрессом современного общественного производства и одновременно условием его дальнейшего развития. Финансово-промышленные группы возникают и укрепляются под влиянием необходимости разворачивать широкомасштабные научные исследования и разработки, использовать сложнейшие технические и технологические комплексы, производственную кооперацию, чтобы эффективно противостоять резким колебаниям деловой конъюнктуры. Кроме того, опыт развития ведущих стран Запада показывает, что национальный капитал способен выдерживать конкуренцию с транснациональными корпорациями и иностранными финансово-промышленными группами, если сам структурируется в мощные финансово-промышленные образования, тесно взаимодействует с государственными органами, работает в правовом режиме, адекватно учитывающем особенности национальной и мировой экономики.
В отличие от мощных финансово-промышленных групп малое предпринимательство, оперативно реагируя на изменение конъюнктуры рынка, придает рыночной экономике необходимую гибкость. Эта черта малого бизнеса приобретает в современных условиях особую значимость и силу быстрой индивидуализации и дифференциации потребительского спроса, ускорения научно-технического прогресса, возрастания ассортимента производимых товаров и услуг.
Кроме того, малый бизнес мобилизует значительные финансовые и производственные ресурсы населения, в том числе трудовые и сырьевые, которые в его отсутствие не были бы использованы.1
С развитием рынка совершенной конкуренции складывается ситуация, когда крупные компании и их объединения сосредотачивают в своих руках подавляющую часть производства и сбыта товаров, что обеспечивает им возможность диктовать свои условия продажи и устанавливать монопольные цены. Этот процесс монополизации рынка ведет к стагнации. Важным направлением борьбы с этим явлением является развитие малого и среднего бизнеса. Реализовывать различные меры помогают законодательные акты, принимаемые государством для регулирования процесса централизации капитала путем образования монополистических объединений, препятствующих свободной конкуренции.
Существенный вклад вносит малый бизнес и в формирование конкурентной среды, что для высокомонополизированной экономики имеет первостепенное значение. Малый бизнес антимонополен по самой своей природе, что проявляется в различных аспектах его функционирования. С одной стороны, ввиду многочисленных составляющих его элементов и их высокой динамики он в гораздо меньшей степени поддается монополизации, нежели крупные предприятия. С другой стороны, при узкой специализации и использовании новейшей техники малое предпринимательство выступает в качестве серьезного конкурента, подрывающего монопольные позиции крупных корпораций.
Значительна роль малого бизнеса и в осуществлении прорыва по ряду важнейших направлений научно-технического прогресса, прежде всего в области электроники, кибернетики и информатики.
Очевиден вклад малого бизнеса и в решение проблемы занятости. В промышленно развитых странах на него приходится до 50-60% новых рабочих мест.
Наконец, велика роль малого бизнеса в смягчении социальной напряженности и демократизации рыночных отношений, поскольку именно малое предпринимательство является фундаментальной основой формирования «среднего класса» и, следовательно, ослабления присущей рыночной экономике тенденции к социальной дифференциации. Все отмеченные преимущества обязывают государство оказывать всемерную поддержку малому бизнесу.
В стимулировании развития малого предпринимательства возникает важный вопрос распределения полномочий между государственными органами федерального и регионального уровней. Для России с ее обширной территорией ответственность за поддержку предпринимательства объективно лежит в основном на регионах. Малый бизнес призван в первую очередь решать местные экономические и социальные задачи, и как следствие местные власти объективно оказываются крайне заинтересованы в поддержке предпринимательства. В то же время очевидна важность стратегических и координирующих усилий государственных органов федерального уровня в поддержке малого предпринимательства.
Основная задача федеральных органов поддержки малых предприятий состоит в том, чтобы разработать единые для всех территорий России принципы организации малого предпринимательства.
Поддержка малых предприятий на федеральном уровне сводится прежде всего к определению  государственных  приоритетов  в  помощи  малым  предприятиям, формированию необходимого фонда финансовых ресурсов за счет средств федерального бюджета и разработке общих принципов распределения этих средств между различными республиками и регионами России, особенно между теми, где складывающиеся социально-экономическая и финансово-бюджетная ситуации не позволяют рассчитывать на мобилизацию на месте достаточных ресурсов для поддержки малых предприятий.
Федеральными органами решается и такая задача, как координация деятельности федеральных фондов, прямо или косвенно заинтересованных в осуществлении мер поддержки малого бизнеса. Так, фонд занятости непосредственно заинтересован в таком участии, поскольку поддержка малого предпринимательства дает наивысший результат при реализации инвестиций в прирост рабочих мест; в свою очередь, расширение занятости в виде обратного эффекта приводит к увеличению потока средств, поступающих в распоряжение данного фонда.
Важной задачей, решаемой также на федеральном уровне, является создание централизованных систем, осуществляющих обеспечение малого предпринимательства информацией как текущего коммерческого характера, так и касающейся состояния региональных рынков капитала, наиболее перспективных инвестиционных проектов на местах и пр. Другими словами, задачей поддержки малого бизнеса на федеральном уровне является мобилизация для этой цели финансовых ресурсов инвестиционной поддержки малых предприятий за счет не только бюджетных средств, но и накоплений частных инвесторов через систему открытых рынков капитала.
Правительством РФ одобрена комплексная программа государственной поддержки предпринимательства и принято решение о финансовом обеспечении через созданный Фонд поддержки предпринимательства. Программа предусматривает формирование нормативно-правовой базы, содействие внешнеэкономической деятельности, соответствующие механизмы реализации поддержки — через налогово-кредитную политику, страховую деятельность, лизинг, венчурный капитал, сеть подготовки кадров и информационного обслуживания.
Политика поддержки малого предпринимательства концентрирует ресурсы для помощи наиболее важным сферам функционирования малого бизнеса. Государственная поддержка оказывается тем, кто готов начать свое дело в области научно-технических разработок и их внедрения в производство. Она предусматривает создание льготного налогового и кредитного режима для малых наукоемких компаний венчурного капитала, всевозможных научно-исследовательских партнерах.


Региональный подход к торговой политике


Удачное завершение Уругвайского раунда было достигнуто за счет уступок США Европе, которые договорились пока оставить в стороне острейшие проблемы торговли аудиовизуальной  продукцией  (США  отклонили  предложение  ЕС  заморозить взаимопоставки телепрограмм на нынешнем уровне) и некоторые виды транспортных услуг, заключив лишь промежуточное соглашение по экспорту финансовых услуг и морских торговых перевозок. По некоторым расчетам, подписание итогового Заключения принесло мировой экономике ежегодную экономию в 200-300 млрд. долларов США. При этом выиграют как члены, так и не члены ГАТТ. По оценкам специалистов, выигрыш стран ЕС составит 61 млрд. долл. США, бывших социалистических стран — 37 млрд., США — 36 млрд., Японии — 27 млрд. долл. Рост доходов от экспорта сельскохозяйственных продуктов в странах ЕС достигнет 30 млрд., в Японии — 22 млрд. долл. Расширение экспорта текстиля в течение 10 лет даст рост доходов России на 20 млрд., США — на 22 млрд. долл. Либерализация торговли услугами, по мнению экономистов, приведет к росту доходов России на 13 млрд., ЕС — на 7 млрд., США — на 2 млрд. долл.
Вместе с тем, нельзя не видеть того факта, что наибольший выигрыш получили промышленно развитые страны, практически сделав прорыв для своих товаров на рынки наименее развитых стран, предприятия и отрасли которых не смогут успешно для себя вести конкуренцию.
Серьезные потери могут понести, в частности, страны-производители риса (Япония, Южная Корея, страны АСЕАН). В Японии считают, что открытие рынка риса быстро вызовет вытеснение продукции 64% японских фермеров, которые не могут конкурировать с крупными поставщиками импортного риса.
Победу в рисовой войне таким образом одержали США, которые занимают второе место в экспорте риса (после Таиланда), а также Австралия.
Оценивая в целом результаты Уругвайского раунда, нельзя не видеть, что хотя и удалось договориться об уменьшении или полном снятии таможенных барьеров по различным видам товаров, отнюдь не уменьшилась появившаяся в последние годы глубокая трещина, которая угрожает расколоть мир на крупные региональные торговые блоки: ЕС, северо-американский и восточно-азиатский.
Региональный подход к торговой политике. Одним из факторов, сопутствующих росту разочарования по поводу многосторонних подходов, является продолжение использования двусторонних, региональных или так называемых микро многосторонних торговых механизмов. Хотя многие рассматривают зарождающиеся региональные группировки, как «трамплин», облегчающий переход к более открытой и либеральной торговой системе, едва ли можно сомневаться в том, что подобные механизмы отвлекают внимание от многосторонних усилий по либерализации системы мировой торговли и, по крайней мере с этой точки зрения, они часто описываются, как «барьеры» на пути либерализации. Во что выльется их создание в конечном счете, пока еще предсказать невозможно.
Обеспокоенность по поводу целесообразности образования торговых блоков возникла в связи с их распространением. Причиной для нее послужили усилия по созданию единого рынка ЕС и опасения насчет того, что Европейское сообщество может стать «европейской крепостью». Вместе с тем, заключение Соглашения о свободной торговле между Соединенными Штатами и Канадой в 1992 г., которое в значительной степени явилось реакцией на предложение об образовании единого европейского рынка, лишь усугубило обеспокоенность, равно как и предлагаемое соглашение о создании Североамериканской зоны свободной торговли (САЗСТ) и все громче раздающиеся голоса о возможности создания какого-либо торгового блока в Азии. Важно отметить, что эта обеспокоенность возникла, несмотря на тот факт, что на протяжении примерно трех последних десятилетий европейская интеграция и укрепление связей между Канадой и Соединенными Штатами часто связывались с усилением либерализации режимов в отношении третьих стран.
Страны, стремящиеся создать торговый блок, могут выбрать любую форму — от зоны преференциальной торговли до полноценного экономического союза. Хотя иных соглашений нет, основная часть внутрирегионального торгового оборота по-прежнему приходится на долю всего лишь нескольких торговых блоков. Внутрирегиональная торговля до сих пор имеет наибольшее значение для ЕС, где она составляет две трети суммарного торгового оборота. Кроме того, ЕС — единственный крупный блок, в котором доля внутрирегиональной торговли в совокупном торговом обороте быстро возрастала. В Северной Америке внутрирегиональный торговый оборот, несмотря на значительную абсолютную величину, имеет гораздо меньшее значение. В рамках АСЕАН внутри-региональная торговля занимает еще меньшую, хотя и растущую, долю в совокупном торговом обороте.
Диапазон возможных соглашений весьма широк, общее состоит в том, что участники пользуются теми или иными видами преференций, которые не распространяются на страны, не участвующие в этих соглашениях.
Наблюдаемый в настоящее время повышенный интерес к торговым блокам — не такое уж новое явление. Впервые этот интерес проявился в 60-е годы на волне создания в 1957 году Европейского сообщества. Соединенные Штаты (в то время ярый защитник многосторонности) поддерживали ЕС по политическим соображениям, считая его потенциальным экономическим противовесом растущему влиянию бывшего Советского Союза.
Однако эта первая волна регионализма схлынула за пределами Европы. Мотивированное главным образом по самой своей сути стремлением добиться индустриализации через региональное замещение импорта, создание этих региональных объединений закончилось неудачей по тем же самым причинам, по которым завершились неудачей по прошествии некоторого времени попытки замещения импорта на национальном уровне.
Сегодня наблюдается вторая волна повышенного интереса к регионализму, хотя от первой она отличается рядом существенных черт. Во-первых, эта тенденция намного шире, чем раньше. Все основные промышленно развитые страны, за исключением Японии, входят в одну из четырех групп свободной торговли: Европейское сообщество, ЕАСТ, Канадско-американское соглашение о свободной торговле и Австралийско-новозеландское соглашение об установлении более тесных экономических отношений. Во-вторых, Соединенные Штаты, действовавшие поначалу весьма нерешительно, сейчас являются одним из основных сторонников регионально интеграционных объединений. В-третьих, складывается новая тенденция в связи с тем, что развитые и развивающиеся страны впервые предпринимают попытки к заключению взаимных соглашений о свободной торговле. В-четвертых, торговые интеграционные объединения развивающихся стран теперь носят менее оборонительный характер и часто рассматриваются как часть совокупных усилий в направлении либерализации торговли.1
Объективно существуют условия для возникновения и развития международной торговли. И государства, и отдельные хозяйствующие субъекты активно участвуют в этом процессе, извлекая из него выгоды. Объяснения наличия этих выгод видоизменялись с развитием экономической науки и самого исследуемого процесса — международная торговля росла, все больше стран включались в международный обмен товарами и услугами. Теория сравнительных преимуществ показала, что необходимые для торговли различия в
издержках вызваны не абсолютными преимуществами и отсутствием определенных товаров и услуг в некоторых странах, а сравнительными. В последнем случае это обусловлено различием в структуре издержек, которая непостоянна и подвержена изменению, что лишний раз подчеркивает важность рассмотрения выгод торговли.
В зоне преференциальной торговли — например, Ассоциация государств Юго-Восточной Азии (АСЕАН), представляющая собой наиболее свободную форму ассоциации, — торговые ограничения в пределах зоны частично сокращаются. В большинстве случаев это касается лишь торговли промышленными товарами. Зона свободной торговли, например, Европейская ассоциация свободной торговли (ЕАСТ), в свою очередь, создается в том случае, когда государства-члены полностью устраняют все тарифные и нетарифные барьеры на пути их взаимной торговли. Однако участники могут сохранять ограничения в своей торговле с остальными странами. Таможенный союз представляет еще более тесную форму ассоциации. Отличительной чертой такого союза является полная отмена ограничений во взаимной торговле, а также введение единого внешнеторгового тарифа.
В то же время ряд действующих соглашений, прежде всего в Европе и Северной Америке, неожиданно натолкнулись на препятствия, замедлившие их дальнейшее развитие. Таким образом, процесс «углубления» интеграции, который, по мнению идеологов Европейского сообщества, должен был произойти в течение 1992-1993 гг., столкнулся с блокирующими факторами. Но несмотря на это, ряд стран, не входящих в ЕС, продолжают надеяться, что он откроет свои двери и в ближайшем будущем существенно «расширится». Тем временем страны Восточной Европы полны желания коренным образом изменить прежний односторонний прозападный уклон в своей торговле. Для них главный вопрос региональной интеграции состоит в том, как добиться той или иной формы регионального сотрудничества.


Регрессионный анализ является частью теории корреляции.


Третий этап создания системы моделей прогнозирования в основном связан с уточнением и развитием отдельных локальных систем и методов в ходе практического их использования для целей комплексного прогнозирования научно-технического прогресса.
При составлении детальных программ исследований для первого и второго этапов необходимо учитывать, что задачи методики и круг проблем и показателей, разрабатываемых при прогнозировании, существенным образом зависят от сроков прогнозов. С увеличением длительности прогнозируемого периода происходит укрупнение показателей, уменьшается количество имеющейся и доступной информации всех видов; этому соответствует использование укрупненных (агрегированных) моделей, рассмотрение более крупных синтетических проблем развития национального хозяйства. При этом необходимо выявить показатели, которые связаны устойчивыми функциональными связями как между собой, так и с показателями прогнозов на менее длительный период и которые существенно влияют на динамику показателей для периода в целом и отдельных его частей (принцип отбора существенной и устойчивой информации).
Требования, предъявляемые к отдельным моделям и системе моделей прогнозирования, предопределяют методы, с помощью которых эти модели могут и должны разрабатываться, а также методы и средства осуществления расчетов по ним. Эти требования сводятся главным образом к следующим положениям:
- методика должна давать четкое описание последовательности правил (алгоритма), позволяющее составить отдельный прогноз при достаточно широких предположениях о характере и значениях исходной для данного прогноза информации определенной структуры;
- методика должна использовать методы и технические средства, позволяющие проводить расчеты своевременно и многократно, исходя, как правило, из неоднородной и большой по объему, меняющейся по вариантам прогноза информации;
- в подобных методиках должны учитываться сложные многофакторные связи прогнозируемых процессов и показателей. Необходимо обеспечить выявление в этих условиях важнейших и устойчивых закономерностей и тенденций. Такое выявление необходимо как на исходном материале, так и в процессе анализа результатов, получаемых по данной методике, и их расчетов по комплексу связанных с ней моделей;
- необходимо согласование отдельных прогнозов в их системе. Система прогнозов должна обеспечить непротиворечивость и взаимную корректировку прогнозов.
Применение математических методов является необходимым условием разработки и использования методов прогнозирования, предъявляющего высокие требования к обоснованности, действенности и своевременности научно-технического прогресса.
Методы регрессионного и корреляционного анализа. Регрессивный анализ используется для исследования форм связи, устанавливающих количественные соотношения между случайными величинами изучаемого стохастического процесса. Здесь связь между случайной и неслучайной величинами является регрессионной, поэтому метод анализа таких связей называют регрессионным анализом.
Регрессионный анализ является частью теории корреляции. Пусть Х == хi; Y = уj, i = 1, 2,..., n; j = 1, 2,..., m — случайные величины с распределением р(xi,yj). По определению регрессией называют функцию

где Х - одно из значений выборки x1, x2,..., хn, а М(у/х) - условное математическое ожидание случайной величины у при фиксированном х.1
Изучение и соотнесение фрагментов экономического процесса в его развитии —один из базовых способов познания экономической среды. При этом важно учитывать наличие определенной последовательности изучения данных фрагментов, чтобы выявить закономерности системы, которую образуют данные фрагменты. При этом изучение отдельного фрагмента экономического процесса посредством его математического моделирования обусловлено тем, что переменные экономические модели характеризуют экономические величины (объемы продукции, капиталовложений и т.д.), а параметры —их количественные связи (нормы расхода материалов и т.д.). Следовательно, изучение фрагментов экономических процессов создает основу для моделирования экономических систем.
Термин «система» произошел от греческого «systema», что означает целое, составленное из частей, или соединение. В настоящее время отечественной наукой разработано значительное количество экономических и социальных прогнозов. В связи с усложнением и увеличением социально-экономических задач развития российского общества возникает проблема соединения многочисленных частных прогнозов в единую систему, которая позволяла бы обеспечивать согласованность и взаимную увязку прогнозов на всех уровнях социально-экономической иерархии.
Под системой социально-экономического прогнозирования можно понимать определенное единство методологии, организации и разработки прогнозов, обеспечивающих их согласованность, преемственность и непрерывность. Система экономического прогнозирования непрерывно развивается и совершенствуется в соответствии с развитием перспективных целей.
Система экономических и социальных прогнозов объединяет в одно целое перспективное развитие производительных сил и производственных отношений. Так же, как и в планировании экономического и социального развития, система экономических и социальных прогнозов включает в себя следующие основные аспекты производительных сил и производственных отношений: производительность труда, использование и воспроизводство трудовых ресурсов; производство основных фондов; объем и состав капитальных вложений и их эффективность; темпы экономического роста, развитие различных отраслей хозяйства, структурные сдвиги в производстве; динамика, объемы, состав и качество выпускаемой продукции; межотраслевые связи; территориальное размещение производства, рациональное использование природных ресурсов, формирование территориально-производственных комплексов по экономическим районам страны; внешнеэкономические связи и др.
Прогнозы социального развития включают: потребление населением продуктов питания и непродовольственных товаров, розничный товарооборот; прогнозы развития отраслей социальной инфраструктуры; жилищно-коммунальное хозяйство, бытовое обслуживание населения, народное образование, культура, искусство и средства массовой информации; здравоохранение, отдых, туризм, физическая культура и спорт; охрана окружающей среды.
Важная роль в указанной системе экономического прогнозирования принадлежит еще одной группе прогнозов. К ней относятся прогнозы ресурсов, охватывающие запасы природного сырья и состояния природной среды; научно-технические прогнозы перспектив развития фундаментальных исследований и социально-экономических последствий внедрения достижений научно-технического прогресса; демографические аспекты (естественное движение населения, рождаемость, смертность, соотношения в половом и возрастном составе).
Исходными в системе экономического прогнозирования являются прогнозы первичных факторов воспроизводства, т.е. природных ресурсов, и демографические прогнозы численности населения, определяющие на перспективу прогнозы трудовых ресурсов.
Прогнозы природных ресурсов и вовлечения их в хозяйственный оборот охватывают все виды ресурсов, составляющих естественную базу общественного производства и природную среду: топливо и минеральные ресурсы, ресурсы Мирового океана, некоторые виды энергии (солнечной, ветровой, энергии рек и морских приливов и отливов, растительный и животный мир).
Значение этих прогнозов определяется следующими обстоятельствами. Во-первых, наличие (отсутствие) сырьевых ресурсов воздействует на развитие производства, его специализацию, размеры, структуру, величину транспортных издержек. Условия залегания, объем, состав природных ресурсов влияют в конечном итоге на эффективность производства. Во-вторых, в связи с возросшими масштабами добьли и использования природных ресурсов и их невозобновляемостью быстро уменьшаются запасы угля, нефти, газа, торфа и других ресурсов, поэтому сейчас стоит задача перехода к использованию ресурсов более низкого качества, с меньшим содержанием полезного компонента, к освоению месторождений в труднодоступных районах, применению вторичных и попутных ресурсов. В-третьих, изменяется степень зависимости общественного производства от наличия естественных ресурсов, и поэтому при разработке прогнозов необходимо учитывать количественные и качественные оценки ресурсов.
Научно-технические  прогнозы. Достижения научно-технического   прогресса оказывают существенное влияние на размещение производства и природные факторы. Например, производство и использование атомной энергии, строительство АЭС, появление возможности передачи энергии на сверхдальние расстояния позволяют изменить размещение энергоемких производств.
Таким образом, прогнозы природных ресурсов тесно связаны с научно-техническим прогрессом и нельзя рассматривать вовлечение их в хозяйственный оборот без связи с перспективами развития технического прогресса и уровнем экономического развития.
Важная роль принадлежит прогнозированию развития науки и техники, так как от ускорения темпов научно-технического прогресса зависят повышение эффективности общественного производства, степень и способы удовлетворения личных и общественных потребностей населения, рациональная организация и совершенствование производственного аппарата страны, система методов и средств управления и планирования народного хозяйства, использование природных ресурсов и охрана окружающей среды, обеспечение обороноспособности страны.1


Регулирование АПК и земельных отношений


отказа от заключения государственного контракта на поставку продукции поставщик уплачивает покупателю штраф.
Особое место в деятельности государственных структур занимает регулирование АПК и земельных отношений. За последние годы принят ряд законодательных и нормативных актов, среди которых можно выделить постановление Правительства РФ «О мерах по стабилизации экономического положения агропромышленного комплекса Российской Федерации в 1996 году».
В структуре федеральных, региональных и местных органов исполнительной власти сформированы подразделения,  осуществляющие реализацию аграрной политики государства. Наиболее общие вопросы управления решает Министерство сельского хозяйства и продовольствия РФ. Для регулирования земельных отношений создан Государственный комитет РФ по земельным ресурсам, имеющий свои подразделения во всех субъектах Федерации.
Формы финансовой поддержки производителей сельскохозяйственной продукции со стороны государства — следующие: авансовая оплата поставок продукции, в том числе на стадии заключения договоров о поставках и после завершения сева; выплаты дотаций из соответствующих бюджетов на продукцию животноводства в размерах, обеспечивающих рентабельность производства; предоставление гарантий на оплату закупок, выделение кредитов на закупку минерально-технических ресурсов; компенсация затрат сельских товаропроизводителей на закупку горюче-смазочных материалов (ГСМ); отмена штрафных санкций по просроченным процентным ставкам; отсрочка и рассрочка погашения кредита.
Государство предоставляет различного рода льготы, оказывает финансовую поддержку и другие виды поддержки производителям сельхозпродукции, как правило, в том случае, если они вступают с ним в какие-либо договорные отношения.
В соответствии с принятым в 1995 г. федеральным законом «О государственной поддержке малого предпринимательства в Российской Федерации» разрабатываются государственные, региональные и местные программы поддержки малого предпринимательства. В федеральном, региональных и местных бюджетах предусматриваются ассигнования на реализацию программ поддержки малого бизнеса. Под государственным контролем создаются фонды поддержки малого предпринимательства в виде государственных и муниципальных фондов. Налоговым законодательством предусмотрены льготы в виде облегчения налогового бремени, освобождения от налогов и отсрочки их выплат. Малым предприятиям разрешено применять метод ускоренной амортизации, дается право сразу списывать до 50% первоначальной стоимости основных фондов со сроком службы до трех лет.
Законом предусматривается льготное кредитование субъектов малого предпринимательства. Разрешается создание обществ взаимного кредитования субъектов малого предпринимательства с предоставлением им некоторых льгот. Определены меры по производственно-технологической поддержке субъектов малого предпринимательства путем обеспечения их современным оборудованием, технологиями и размещения заказов.
Налоговая политика в руках государства может быть мощным рычагом воздействия на материальное производство. Льготное налогообложение, снижение налоговых ставок непосредственным товаропроизводителям, налоговые кредиты и тому подобные меры могли бы способствовать развитию материальной сферы.
Дифференциация налоговых ставок (прежде всего на прибыль, добавленную стоимость, за пользование природными ресурсами) может использоваться государством для регулирования структуры производства. Налоговые ставки для производителей особо дефицитной продукции на период необходимого подъема этого производства могут снижаться до предельно возможного низкого уровня.1
Государственное регулирование территориальных пропорций и региональных рынков
Государственное территориальное регулирование является составной частью управления экономикой, отражающей специфический пространственный аспект процессов воспроизводства материальных благ, рабочей силы, производственных отношений л решения проблем социального и экономического характера. Оно представляет собой важнейшую функцию управления процессами территориального разделения труда, специализацией и комплексным экономическим и социальным развитием регионов.
Задачами государственного территориального регулирования являются: определение перспектив развития каждого региона с общегосударственных позиций, имея в виду, что экономика страны есть единый хозяйственный комплекс; обеспечение пропорционального развития экономики каждого региона на основе комплексного и рационального использования территориальных ресурсов многоцелевого назначения (трудовых, земельных, водных, энергетических и др.); выравнивание уровней социально-экономического развития регионов; обеспечение рациональной системы территориального размещения населения, исходя из потребностей производства и социального развития.
При переходе крыночной экономике происходят изменения в характере регионального развития страны. Это обусловлено ограничением вмешательства государства в экономическую деятельность, переносом центра тяжести в принятии многих хозяйственных решений на микроуровни. Подчиняющиеся общим рыночным законам экономические отношения реализуются в условиях существования сложной и многоуровневой структуры территориальной организации общества, базирующейся на принципах федерализма и местного самоуправления.
Каждый регион имеет сферу самостоятельного регулирования экономических отношений, принимаемых под свою ответственность решений с учетом собственных ресурсов. Федеральные же органы устанавливают для каждого территориального уровня конкретный перечень налоговых, административных и иных рычагов воздействия на деятельность хозяйствующих субъектов федерального и иного уровня независимо от вмешательства в его деятельность территориальных органов власти за пределами их законных компетенции.
Центральные и местные органы власти взаимодействуют в целях упорядочения отношений собственности, природопользования (в том числе землепользования), бюджетно-налоговых отношений, государственной поддержки отраслей и регионов.
Государственное территориальное регулирование строится с учетом признания природно-климатических, социально-экономических, национально-этнических и др. различий между регионами, которые являются предпосылками использования различных моделей   территориального   развития.   Допускаются   специфические   режимы территориальных организаций хозяйственной деятельности в регионах с законодательно установленным  особым  статусом  (свободные  экономические  зоны,  закрытые административно-территориальные   образования,   зоны   экологического   бедствия, территории проживания малочисленных народов, полуанклавы типа Калининградской области и т.д.).
Для государственного регулирования территория страны разделяется на ряд экономических районов. Каждый из районов, как правило, включает несколько административных единиц. Признаками для выделения района служат: общность территорий; однородность природных условий; общая направленность решаемых хозяйственных задач на основе исторически сложившейся региональной экономической структуры, имеющей ряд характерных особенностей. В результате целенаправленной хозяйственной деятельности, освоения новых природных богатств и развития производства сетка экономического районирования может изменяться. Экономический район или группа районов (зона) являются основной таксономической единицей для определения главных направлений размещения производительных сил.
Государственное территориальное регулирование в настоящее время проявляется в поддержке северных регионов страны путем льготного кредитования и 50%-ной компенсации транспортных расходов, финансового обеспечения гарантий и компенсаций для лиц, проживающих и работающих в районах Крайнего Севера и приравненных к ним областях; в дополнительной селективной поддержке как регионов, признаваемых депрессивными (республики Ингушская, Тыва, Алтай, Бурятия, Калмыкия и др.), так и регионов, чрезвычайное государственное стимулирование которых ориентируется на превращение их в зоны устойчивого развития (Волгоградская, Саратовская, Самарская области и др.).
Аналогичные меры селективной поддержки принимаются и в целях структурной перестройки экономики регионов, находящихся в экстремальных природно-климатических условиях и малоосвоенных (республики Саха (Якутия), Коми, Карелия, Приморский и Хабаровский края, Мурманская, Сахалинская области). Подобного рода государственная поддержка оказывается также регионам, отличающимся исключительным экономико-географическим положением (Калининградская область) либо оказавшимся приграничными (Псковская, Новгородская, Смоленская области, Краснодарский край и республики Северного Кавказа). Финансовая поддержка оказывается также так называемым закрытым административно-территориальным образованиям, в которых расположены организации и предприятия Минатома и Минобороны России.
В целях научного обоснования рационального размещения производства и оптимизации региональной структуры экономики разрабатываются комплексные схемы размещения производительных сил, включающие прогнозы основных синтетических показателей регионального развития на перспективный период до 15 лет, схемы развития и размещения отраслей национальной экономики или группы взаимосвязанных отраслей промышленности, сельского хозяйства, транспорта.


Регулирование денежного обращения


Регулирование денежного обращения Необходимость регулирования денежного обращения диктуется прежде всего борьбой с инфляцией, которая дезорганизует экономику, сокращает платежеспособный спрос предприятий и населения.
Объективным фоном инфляции является возможность получения огромных прибылей за счет роста цен. В условиях директивной экономики такая возможность подавляется государственным контролем за ценами и доходами. Либерализация цен, естественно, стала мощным толчком к открытой инфляции; экономика устремилась к мировым ценам, не имея для этого соответствующей производительности труда, структуры экономики, оплаты труда. Неконтролируемость доходов привела к обесценению денег в сфере обращения, а рост издержек — к параличу платежеспособного спроса в сфере производства.
К постоянному удорожанию ведет также снижение эффективности использования производственных ресурсов: мощностей, рабочей силы и других. На удорожание затрат приходится около 40% роста инфляции, на прирост денежной массы — не более 15%. Рост затрат порождает недостаток доходов для поддержания воспроизводства, что и стимулирует повышение цен. Фактором инфляции является также наличие многочисленных перекупщиков на пути продвижения товаров от производителя к конечному потребителю.
Хотя причины инфляции имеют многоплановый характер, правительство в борьбе с ней вначале избрало в основном одно направление — сжатие совокупного спроса за счет снижения государственных расходов, увеличения налогов, обесценения вкладов населения.
В 1995 г. инфляция существенно сократилась. Однако она остается все еще высокой по меркам развитых стран, ее снижение достигнуто дорогой ценой: уменьшаются инвестиции, не растет объем производства, ухудшилось положение в социальной сфере. Поэтому преодоление инфляции остается одной из главных задач развития экономики, состоящей в том, чтобы уменьшить ее до безопасного уровня (1—2% в месяц) без снижения производства и жизненного уровня населения. Это решение усложняется тем, что факторы, обеспечивающие понижение инфляции, имеют противоречивый характер. Так, меры по поддержке предприятий в интересах повышения эффективности производства одновременно могут способствовать и росту инфляции. Рост доходов, потребления, инвестиций, усиление протекционизма действуют в том же направлении, хотя и необходимы для оживления производства.
На характер борьбы с инфляцией накладывает отпечаток то обстоятельство, что теперь денежное обращение России и размеры бюджетного дефицита находятся под контролем Международного валютного фонда (МВФ). Жесткие параметры, устанавливаемые МВФ прежде всего в сфере эмиссии, вызвали к жизни выпуск денежных суррогатов. Ими являются товарный и вексельный кредиты, казначейские налоговые освобождения, правительственные гарантии под кредиты коммерческих банков, выдаваемые получателям бюджетных средств.
Поскольку прямое кредитование Центральным банком правительственных расходов МВФ запрещается, применяется выпуск правительственных гарантий под кредиты коммерческих банков, т.е. кредит берет не правительство, а бюджетополучатель. Такой заем не считается источником покрытия бюджетного дефицита, и проценты по нему относятся за счет ассигнований на конкретные статьи бюджетных расходов (оборона, сельское хозяйство и т.д.), а не за счет статьи «Обслуживание государственного долга».'
18.5. Право конституционная основа правовой системы
Всякое государство для своего существования должно иметь правовую основу, «правила игры». В отношении экономических процессов требуется формальное выражение законов взаимодействия экономических, субъектов с тем, чтобы регулировать деятельность рынка и разрешать возникающие спорные ситуации. В процессе развития государства, его форм в части стран сложилась правовая система, базирующаяся на основном законе — конституции, в которой закреплены основные принципы права. На основе конституции развивается система правовых актов через принятие законов и административных положений. Их цели и методы не должны противоречить основному закону, а в случае расхождения с ним могут быть оспорены в судебном порядке. Вот почему знание конституции, ее места и роли в правовой системе так важно для любого субъекта правовых и экономических отношений.
Конституционное право Конституционное (государственное) право является основополагающей отраслью прав Российской Федерации.
Конституционное право закрепляет принципы, основные отправные начала, которыми должны руководствоваться все другие отрасли права. Именно конституционное право определяет экономическую систему Российской Федерации, положение личности, фиксирует государственное устройство России, систему судебных органов.
Основным нормативным источником этой отрасли права является Конституция Российской Федерации, принятая всенародным голосованием 12 декабря 1993 г. Конституция закрепила факт существования России в качестве самостоятельного независимого государства, что, как известно, произошло 25 декабря 1991 г.
Основы конституционного строя закреплены в первой главе Конституции. Российская Федерация является демократическим федеративным правовым государством с республиканской формой правления.
Демократизм Российской Федерации проявляется прежде всего в том, что человек, его права и свободы объявлены Конституцией высшей ценностью, а государство берет на себя обязанность признавать, соблюдать и защищать права и свободы человека. Демократизм Российской Федерации состоит также в том, что власть народа проявляется во время референдумов и свободных выборов.
В состав России входит некоторое число равноправных субъектов Российской Федерации, каждый из которых имеет свое законодательство. Это и есть федеративное устройство России.
Вместе с тем, федеративное устройство России основывается на государственной целостности страны и на единстве системы государственной власти.
Конституция подчеркивает, что федеральные законы имеют верховенство на всей территории России, а самой территории нашей страны обеспечивается целостность и неприкосновенность.
Правовой характер государства и права России проявляются в том, что все основные общественные отношения, все права и обязанности граждан должны определяться правом и фиксироваться прежде всего на уровне закона. Кроме того, соблюдение закона должно быть обязательным не только для отдельных граждан и организаций, но и для всех органов государственной власти, в том числе для высших органов власти и управления.
Республиканская форма правления в России определяется наличием трех ветвей власти: законодательной, исполнительной и судебной. Все они находятся во взаимном единстве и вместе с тем контролируют друг друга, обеспечивают равноправие различных ветвей власти.
В конституционном праве закреплены и важнейшие принципы экономической жизни страны. Это прежде всего единство экономического пространства, свободное перемещение товаров, услуг и финансовых средств, поддержка конкуренции, обеспечение свободы экономической деятельности.
Основой экономических отношений являются нормы, касающиеся собственности. В России признаются и получают правовую защиту частная, государственная, муниципальная и иные формы собственности. Этот принцип, относящийся к собственности, применяется и к одному из важнейших богатств страны — к земле. Земля и другие природные ресурсы могут находиться в частной, государственной, муниципальной и иных формах собственности.
В России провозглашено и проводится в жизнь идеологическое и политическое многообразие. При этом никакая идеология не может быть установлена в качестве государственной или обязательной.
Россия — светское государство. А это значит, что никакая религия не может быть введена в качестве государственной или обязательной, а церковь отделена от государства.
В Конституции России установлены основные принципы построения правовой системы и законодательства. Вот эти принципы.
Конституция России имеет высшую юридическую силу. Она является законом прямого действия, т.е. может сама по себе применяться на практике и в судах.
Все законы подлежат обязательному официальному опубликованию, без чего они не применяются.
Любые нормативные акты (а не только законы), затрагивающие права, свободы и обязанности граждан, не могут применяться, если они не опубликованы официально для всеобщего сведения.
Наконец, поскольку Россия входит в сообщество государств мира, она применяет общепризнанные мировые принципы и нормы права. Правила международного договора, в котором участвует Российская Федерация, являются обязательными для применения на территории России.1
В системе права необходимо отслеживать законодательные и подзаконные акты на предмет их соответствия с конституцией государства. В то же время при их разработке всякая система стремится как можно более адекватно отразить интересы всех слоев общества и закрепить основы, необходимые для успешного развития государства, в том числе в экономическом плане. Конституционная основа обеспечивает концепцию права и понятийную базу для процесса формирования системы общеобразовательных норм, охраняемых силой государства.


Резерв рабочих мест на рынке труда


Их взаимодействие осуществляется через циркулирующий рынок труда, который охватывает резервную армию труда (безработных), масштабы которой колеблются в зависимости от цикла деловой активности, когда определенная масса безработных либо поглощаются внутренним рынком труда, либо выталкиваются из него. Поддержание безработицы на определенном уровне, обеспечивая сбалансированность внутреннего и внешнего рынков, требует определенного резервирования производственных мощностей.
Этот резерв рабочих мест на рынке труда должен составлять 15—25%. Его своеобразие заключается в том, что данные рабочие места периодически включаются в сферу предложения на рынке труда, количественно изменяясь в зависимости от конъюнктуры рынка.
Динамическое развитие хозяйства при рыночной экономике связано с постоянным перемещением работников, изменением уровня их занятости. Однако данные процессы затрагивают коренные жизненные интересы всех слоев населения, условия их занятости и поэтому обязательно должны регулироваться.
При этом имеется в виду регулирование как внешнего, так и внутреннего рынков труда, поддержание между ними определенного равновесия.
Практика показывает, что предприятия сами выбирают наиболее приемлемый вариант решения проблем занятости в связи со спадом производства, прибегая к кратковременному использованию излишней рабочей силы на других предприятиях, к сокращению продолжительности рабочего времени (например, длительным отпускам) и другим средствам, позволяющим сохранить кадры. Иными словами, так или иначе регулируется внутренний рынок труда, что сдерживает приток рабочей силы на внешний рынок.
Новый этап научно-технического прогресса, связанный с опережающим развитием профессиональных знаний работников, микроэлектроники, информационных технологий, средств коммуникаций, вызывает сдвиги на рынке трудовых ресурсов, увеличивая занятость не только в сфере материального производства, но и в сфере услуг. Дальнейшее развитие в этом направлении может привести к глубоким изменениям на рынке трудовых ресурсов, которые необходимо учитывать в политике занятости.
В последние три десятилетия перед государствами, правительствами развитых стран стоит дилемма: либо смириться с ростом безработицы с вытекающими отсюда последствиями (социальной нестабильностью и возможными социальными потрясениями), либо осуществить значительное сокращение рабочего времени. Правительства указанных стран пытаются не допустить появление крупномасштабной безработицы и осуществить некоторые меры по сокращению рабочего времени.
Новые тенденции в развитии экономики пришли в противоречие с жесткой регламентацией условий труда на предприятиях с традиционными режимами занятости, вызвали к жизни новые формы организации труда,  нестандартные формы функционирования рынка трудовых ресурсов, а именно гибкого рынка труда. Гибкий рынок труда — это складывающаяся современная форма функционирования рынка трудовых ресурсов, понимаемая как комплекс мер социально-экономического, производственного и юридического характера для быстрого приспособления деятельности предприятий к изменяющимся условиям хозяйствования. Гибкость рынка труда включает в себя несколько основных аспектов:
1) территориальную и профессиональную мобильность рабочей силы;
2) гибкость издержек на рабочую силу (включая гибкость уровня, структуры и дифференциации заработной платы);
3) гибкость в управлении людскими ресурсами на уровне предприятия (наём, ротация, увольнения);
4) гибкость регулирования рабочего времени.
Гибкость проявляется в подвижном использовании рабочего времени, увеличении количества смен, использовании работников с неполным рабочим днем, а также временных работников, в расширении и дроблении рабочих функций и сменяемости рабочих мест. Становление гибкого рынка труда — это глубокий и разносторонний процесс. Он способствует рассредоточению производства на мелкие и средние предприятия, занятию индивидуально-трудовой деятельностью, паломничеством, вовлечению в трудовой процесс новых групп населения.
Однако, с точки зрения предпринимателей, созданию такого рынка препятствуют законодательная и коллективно-договорная зарегулированность трудовой сферы, растущее бремя социальных расходов, поэтому формирование гибкого рынка труда выражается в расширении «теневой» экономики, распространении работы на себя, включая и работу в домашнем хозяйстве, а также в гибких, нетипичных видах трудоустройства и режимах рабочего времени. Следует отметить, что все эти формы занятости существовали и раньше, но были характерны только для специфических контингентов рабочей силы: либо для лиц свободных профессий, либо для так называемых маржинальных категорий (женщины, молодежь, пожилые люди, инвалиды и др.).
Современный рынок рабочей силы в России неоднороден. Он представляет собой структуру, которая образуется двумя взаимосвязанными сферами, несущими разную функциональную нагрузку, различающимися способом и формами аккумуляции резервов рабочей силы, организации и регулирования, характером влияния на эффективность производства и положение трудящихся. По этим признакам его можно подразделить на «открытый» и «скрытый». Открытый рынок рабочей силы, в свою очередь, представлен официально организованной и неофициальной (по преимуществу стихийной) частями (см. 18.1.6).

Ими являются предельные нагрузки социальной напряженности в обществе и на территории, за чертой которых возникает взрывоопасная ситуация и усиливаются другие негативные социальные явления (преступность, наркомания, число самоубийств и т.п.).
Скрытый рынок рабочей силы образуют работники, сохраняющие статус занятых, но имеющие в ближайшей перспективе достаточно высокую долю вероятности потерять работу.
Это специфическое наследие прошлого, вытекающее из многолетней практики резервирования избыточной рабочей силы на предприятиях в предкризисный период.
Кризис народного хозяйства, ход экономической реформы в России, противоречивость мер по реализации монетаристской стратегии и активной политики на рынке труда, психологическая неподготовленность к происходящим переменам работников и работодателей породили ситуацию, когда при относительно незначительном росте открытого рынка труда происходит колоссальное непропорциональное увеличение объема скрытого рынка труда.
Наряду с разбуханием скрытого рынка рабочей силы существует застойный характер происходящих на нем процессов. Это выражается в том, что значительная часть рабочей силы находится в его сфере недопустимо длительное для эффективной экономики время.
Гипертрофия скрытого рынка труда в России — отличительная черта переходного периода, когда уже подорваны старые организационно-управленческие структуры, но еще не созданы новые.
В этих условиях правительство стремится минимизировать рамки официального рынка труда, учитывая ограниченность возможностей материально-технической базы и инфраструктурного обеспечения Федеральной службы занятости, а также недостаточность финансовых средств для проведения действенных мер по социальной защите вынужденно незанятого населения.
Оно пытается переложить часть функций по смягчению социальных последствий перехода к рынку на администрацию предприятий и трудовые коллективы.1


Российский экспорт просто умирает.


В России же вся налоговая политика по-прежнему основана на постулатах, заимствованных из прошлого периода административно-командных методов управления экономикой.
Первый исходит из того, что государственные инвестиции всегда заведомо эффективнее, чем частные, поэтому большая часть чистого дохода общества должна аккумулироваться в государственном бюджете.
Второй — капитал в России инвестируется и применяется с нулевым риском и дает гарантируемый доход, что оправдывает его налогообложение даже в том случае, если по отчетности он не приносит дохода его собственнику.
И, наконец, третий — государство способно более эффективно заботиться о социальных нуждах личности, чем сама личность.
Если же говорить о становлении в России эффективной налоговой системы, соответствующей основам рыночной экономики, то она должна основываться на прямо противоположных умозаключениях. Для того чтобы выйти на исходные рубежи и дать простор развитию рыночных отношений в национальной хозяйственной системе, надо:
- во-первых,  освободить от налогообложения капиталы,  применяемые в производстве, включая и реинвестированную в производство прибыль (фактически этот
принцип действует во всем рыночном мире, где налогом облагаются только доходы и капиталы, изымаемые из производства);
- во-вторых, стимулировать частные инвестиции в производство, сократив государственные инвестиции до абсолютного минимума и исключив государственные инвестиции в те сферы и отрасли, которые могут быть обеспечены финансированием из частных источников (основной принцип рыночной экономики — запрет прямой конкуренции государства с частным капиталом, а вместо прямых субсидий промышленности гораздо эффективнее действуют налоговые льготы);
- в-третьих, создать наилучшие условия (в том числе и налоговые), чтобы каждый мог самостоятельно финансировать свои социальные потребности, и только в исключительных случаях предоставлять поддержку за счет государства.
Таким образом, заимствуя западную модель налоговой системы, российские власти придерживаются прежних представлений о роли государства и государственных органов в регулировании экономики и социальной жизни общества. На самом деле и то, и другое неправильно. И налоговая система нуждается в упрощении, и в финансовой политике государства необходимы радикальные перемены.
Основным средством подъема национального производства должно стать восстановление платежеспособного спроса, связанного с этим производством и ориентированного именно на его продукцию.
В настоящее время значительная часть внутреннего платежеспособного спроса формируется вне связи с национальным производством и даже в ущерб ему: потребление государства и госслужащих, имеющее своим источником налоги; доходы от экспорта энергоносителей и сырьевых ресурсов; проценты, выплачиваемые по долговым обязательствам государства. Потребителей, получающих доходы из этих источников, абсолютно не беспокоит неконкурентоспособность внутреннего производства, и поэтому они выступают за максимальную либерализацию импорта.
В то же время платежеспособный спрос, формируемый за счет доходов от внутреннего производства, сокращается, поскольку, во-первых, он урезается налогами и, во-вторых, те же налоги, включаемые в издержки производства, вынуждают взвинчивать цены на производимую продукцию до такого уровня, что она не может выдержать конкуренцию с импортными товарами. Соответственно и импортеры этих товаров, получив выручку от их продажи, считают более выгодным для себя направление ее на финансирование новых импортных сделок.
Теперь представим себе, что в России удалось бы убрать этот мешающий налоговый «нарост». Национальные производители, которые сейчас сидят с нераспроданными запасами продукции, могли бы снизить цены и получить некоторое увеличение спроса на нее. Заметив этот рост спроса и получив не урезанную налогами выручку, они вновь вложили бы эти средства в расширение производства, при этом, возможно, еще раз бы снизили цены (поскольку при росте производства удельные издержки в расчете на единицу произведенной продукции падают) и получили бы дополнительное увеличение спроса. А относительное снижение цен по сравнению с импортом очень скоро привлечет внимание импортеров, которые нашли бы для себя более выгодным финансировать производство товаров внутри страны, чем закупать их по импорту.
Собственно, такой процесс имел место во всех странах, и он «пошел» уже и в России независимо от воли и желания властей. Разница — и весьма существенная — в том что правительство в России скорее препятствует, чем помогает этому процессу, и фактически в России его инициируют, как это ни парадоксально, в основном иностранные предприниматели (например, в кондитерской, табачной отраслях, в производстве пива и т.д.), пользуясь тем, что их основные коммерческие обороты находятся вне досягаемости российских налогов, а российские предприниматели из-за тех же российских налогов вынуждены уступать им поле деятельности.
В результате ко времени, когда Россия все же вернется к разумным налогам, в важнейших отраслях национальные предприниматели будут вытеснены иностранным капиталом. Но сейчас этот процесс еще можно повернуть в пользу национальных интересов, если дать передышку местному бизнесу, объявить налоговые «каникулы», хотя бы на некоторое переходное время гарантируя опять же, что в дальнейшем налоговое бремя будет удерживаться в разумных пределах.
При этом начать следует с введения всеобщего поимущественного налога, который кроме всего прочего дал бы реальную картину накопления и распределения богатства в стране, т.е. того, чего остро не хватает государственным аналитикам. Неправда, что такой налог трудно ввести и невозможно контролировать — в нормальных условиях люди вполне добровольно платят разумные налоги. А чтобы этот налог был разумным и обязательным для уплаты, нужно выполнить всего три условия:
- налог должен быть необременительным по размеру, возможно, не более 0,5% стоимости имущества ежегодно;
- оценивать свое имущество (его составляющих частей) должен сам налогоплательщик. Эта оценка будет считаться базовой при всех операциях с имуществом (сдаче в залог, страховании, продаже и т.д.). Кроме того, государство сохраняет за собой право в случае необходимости выкупать это имущество по указанной его собственником цене;
- любые операции с имуществом должны осуществляться гражданами только при наличии справки об уплате этого налога.
Что же касается других видов налогов, то не только налоговые ставки следует удерживать в разумных пределах, но и методы обложения не должны быть чрезмерно сложными и обременительными для налогоплательщика. Налоги в западных странах ориентированы на законопослушное население, на осуществление подавляющей массы расчетов в безналичной форме (через банки, векселя, чеки и кредитные карточки), на высокую учетную дисциплину в бизнесе, на массовое применение компьютеров — и тем не менее налогоплательщики там постоянно жалуются на чрезмерную усложненность налоговой системы, и власти в ответ на эти жалобы предпринимают меры в сторону упрощения налоговых правил и использования менее обременительных методов налогообложения.
В России, наоборот, западные методы налогообложения вводятся без должной подготовки и без учета реальных возможностей налогоплательщиков. Это относится, например, к введению НДС, который вообще плохо поддается контролю без массового применения компьютеров. Кроме того, это дорогой и социально весьма опасный налог — не случайно в США его обсуждают уже давно, а вводить все же остерегаются; в Японии правительство, которое хотело ввести этот налог, тут же убрали в отставку. В России при тех ставках, по которым этот налог взимается, он сверх всего прочего приводит еще и к росту цен, и к повышению стоимости рабочей силы. Именно поэтому внутренние цены на многие товары в России уже превышают мировые. В результате российский экспорт просто умирает.
Возможно, старого и испытанного средства — налога с оборота с разумными ставками — было бы вполне достаточно. Кстати, у него есть еще один очень полезный сейчас эффект: при этом налоге становится невыгодным использование искусственных посреднических звеньев при продвижении товаров от предприятий до потребителей.
Вместе с тем неэффективность системы налогообложения в России связана еще и с низким уровнем налогового контроля. Обычные методы налогового контроля, принятые на Западе, в России не срабатывают. Самым распространенным способом ухода от налогов стало создание фиктивных фирм по поддельным (или украденным) документам, которые после проведения двух-трех операций просто исчезают.
Для борьбы с такой практикой следовало бы ввести следующие финансовые ограничения:
- Разрешать ликвидацию предприятия только при условии уплаты всех налогов и удовлетворения всех кредиторов — или в порядке банкротства.
- В случае непогашенных долгов или при объявлении банкротства вся задолженность автоматически переносится на директора предприятия, который может освободиться от нее только либо:
а) погасив все долги из своих средств;
б) отнеся (доказательно) непогашение долгов на неправомерные действия владельцев предприятия — в этом случае суммы задолженности переносятся с директора на владельцев предприятия.
Разумеется, взыскание долгов может оказаться невозможным из-за разного рода законодательных ограничений.
Было бы целесообразно установить такой порядок, чтобы должники до погашения всей суммы своих долгов не имели права:
- приобретать какое-либо имущество (суд его тут же арестует в погашение долга);
- занимать директорские посты на любых предприятиях и любые ответственные должности в финансовых учреждениях;
- создавать новые предприятия и покупать паи или акции в действующих;
- получать загранпаспорт для поездок за рубеж.
Для гарантии от различного рода злоупотреблений достаточно при учреждении предприятия вместе с копией паспорта снимать отпечатки пальцев (эта мера действует уже во многих странах мира) и при каждом последующем учреждении предприятия требовать предъявления документа об уплате поимущественного налога.
Что же касается общих размеров налогового бремени, то очевидно, что Россия ни по уровню экономического развития, ни по размерам собственности у основной массы населения не может ориентироваться на ведущие западноевропейские страны, где доля ВНП, распределяемого через государственный бюджет, составляет 40—50%. Реалисты называют для России цифру, в два раза меньшую, и это, видимо, близко к истине, если учесть, что примерно те же показатели отражали уровень налоговых изъятий в послевоенных Германии и Японии. В налоговых ставках это соответствует 15—20% налога •на прибыль, не более 5—7% НДС и не более 30—35% общих начислений на зарплату в виде подоходного и социальных налогов. При иных налоговых условиях частный капитал не может быть эффективно применен в экономике России и нельзя рассчитывать не только на привлечение иностранного капитала, но даже и на удержание в стране национального капитала.1
При изучении налогообложения в РФ следует учитывать, что налоговая система является одним из элементов, взаимосвязанных со структурной политикой. А именно, совокупность мероприятий в области государственных инвестиций и финансовых стимулов, направленных на структурные изменения с точки зрения структурной политики, характеризует на макроуровне те особенности, которые затем отражаются на специфике налогообложения краев и областей в составе РФ.
Специфика налогообложения в РФ наиболее остро ощущается, когда возникает необходимость включения налогов в единую производственную систему, т.е. когда контроль над субъектами экономической среды осуществляется автономно, например в случае автономных областей и автономных округов. Различие в этой ситуации объясняется процедурностъю отслеживания динамики изменений в экономическом субъекте и его действиях. Политическое положение автономных областей и автономных округов в составе РФ также обуславливает специфику их налогообложения.


Руководство (лидерство) рассматривается как самостоятельная деятельность.


Таблица 16.1.1
Воздействие стратегии («что») и действий («как») на успех компании
Действия
Определенная стратегия
Неопределенная стратегия
Эффективные
Определенная стратегия и эффективные действия привели к успеху в прошлом и обеспечат успех в будущем
Неопределенная стратегия и эффективные действия привели к успеху в прошлом, но успех в будущем вызывает сомнения
Неэффективные
Определенная стратегия и неэффективные действия иногда срабатывали в прошлом, но в будущем ожидается усиление конкуренции
Неопределенная стратегия и неэффективные действия привели к неудаче в прошлом, и такой же результат ожидается в будущем

Недавние исследования 500 компаний из списка журнала «Форчун», выполненные Полом и Тейлором, выявили ряд интересных фактов относительно стратегического планирования. Было обнаружено, что для стратегического планирования характерны следующие положения.
1. Небольшой плановый отдел (менее 6 человек) корпорации дополняется
планированием на низших уровнях.
2. Возраст функции планирования даже в наиболее крупных корпорациях насчитывает менее десяти лет.
3. Стратегические планы разрабатываются на совещаниях высшего руководства корпорации, проводимых ежегодно.
4. Годовой стратегический план объединяется с годовым финансовым планом.
5. В большинстве организаций считают, что функция планирования может быть усовершенствована.
Многие исследования ясно показывают, что планирование приносит пользу. Эти исследования указывают на сильную положительную корреляцию между планированием и успехом организации. В одном исследовании подробно проанализированы ответы на вопросы анкеты, полученные от 217 вице-президентов 109 крупнейших американских корпораций. Было установлено, что руководители, составляющие планы своей работы, добились большего успеха по показателям отношения прибыли к объему реализации и дохода на капитал. Другие исследователи проанализировали деятельность 105 крупнейших компаний США и 105 средних и малых фирм. Они обнаружили, что фирмы, применяющие у себя формальное планирование, имеют самые высокие темпы роста.
Еще более сложные исследования проводились по изучению работы 36 фирм в фармацевтической, пищевой, химической, сталелитейной, нефтяной и машиностроительной отраслях промышленности. Чтобы свести к минимуму воздействие других переменных факторов, фирмы были распределены по парам в соответствии с величиной, отраслью и другими показателями. В начале исследования ни одна из фирм, сведенных в 18 пар, не занималась формальным планированием. Затем одна из фирм в каждой паре начала применять формальное планирование. За деятельностью всех 1.8 пар фирм велось наблюдение в течение 7 лет. По таким показателям, как прибыль на инвестированный капитал, доходы на акции и рост доходов в расчете на акцию, результаты деятельности компаний, которые применяли планирование, превышали результаты тех компаний, которые этого не делали. Дополнительные исследования были посвящены изучению работы фармацевтических и химических компаний в течение следующих 4 лет. Они показали, что фирмы, применяющие у себя формальное планирование, продолжали работать производительнее, чем компании, где это планирование отсутствовало. Они даже расширили рамки своей успешной деятельности.
Одним из наиболее известных долгосрочных исследований по изучению полезности стратегического планирования является проект «Воздействие рыночных стратегий на прибыль». Начатый на фирме «Дженерал Электрик», этот проект в настоящее время охватил свыше 200 фирм, занимающихся более чем 1500 направлениями по производству товаров и услуг. Было установлено свыше 30 факторов, оказывающих предсказуемое влияние на прибыльность. Эта информация стала бесценной для фирм, применяющих стратегическое планирование.
Описанные выше исследования относились главным образом к планированию на уровне высшего руководства. Проводились также исследования, которые указывали на корреляцию между планированием и повышением эффективности на низших уровнях организации. Исследование работы железнодорожных мастеров выявило, например, что мастера с более высокой производительностью уделяли больше времени планированию, чем мастера с плохими производственными характеристиками. Еще одни исследования, обобщенные Филли, Хаусом и Керром, показали, что имеется тенденция установления связи не только между планированием и повышением производительности, но и между планированием и удовлетворенностью работой.
Формулирование стратегического плана представляет собой тщательную, систематическую подготовку к будущему ( 16.1.2). Если всем руководителям следует в той или иной степени заниматься формальным стратегическим планированием, то составление стратегических планов для всей организации является, в первую очередь, обязанностью высшего руководства. Руководители среднего и низшего звена участвуют в этой работе, предоставляя соответствующую информацию и обеспечивая обратную связь.

В крупных организациях, занимающихся сложным формальным стратегическим планированием, руководство почти всегда оформляет планы в письменном виде; могут существовать тысячи письменных документов, относящихся к планированию. Однако освещение специфики планирования и его многочисленных вариантов выходит за рамки данной работы. Мы сосредоточим внимание на ключевых компонентах организационного планирования: целях, руководствах для принятия решений и практических действий, охватывающих стратегии, политику фирмы, процедуры, правила и бюджеты; а также основные этапы процесса планирования. Ключевые компоненты будут рассмотрены детально, начиная с целей и миссии организации.1
Концепция развития менеджмента свидетельствует о процессе интеграции в его системе, что обосновано наличием факторов социальных, экономических и пр., которые воздействуют на него в направлении движения к выработке синтетического подхода и принципов в менеджменте. Поэтому в структуре управления существует тенденция к рассмотрению функций менеджмента не в отдельном представительстве, как отдельную систему, а как элемент из системы:
- планирование,
- организация,
- мотивация,
- контроль,
- координация.
Таким образом, в менеджменте управление проводится не в плоскости — алгоритмически, а в пространстве, где учитывается в одном действии проекции параллельно осуществляемых действий другого уровня.
В американской практике принят подход, основанный на объединении существенных видов управленческой деятельности в небольшое число категорий, которые в настоящее время общепринято считать применимыми ко всем организациям. Мы полагаем, что процесс управления состоит из функций планирования, организации, мотивации и контроля. Эти четыре первичных функции управления объединены связующими
процессами коммуникации и принятия решения. Руководство (лидерство) рассматривается как самостоятельная деятельность. Оно предполагает возможность влияния на отдельных работников и группы работников таким образом, чтобы они работали в направлении достижения целей, что крайне существенно для успеха организации.


Рыночный механизм функционирования агропромышленного комплекса


Рыночный механизм функционирования агропромышленного комплекса и тенденции его развития Абсолютное преобладание несельскохозяйственных сфер в структуре АПК позволяет им инициировать создание современного механизма его функционирования как более жесткого, носящего технико-экономический характер нормативного контроля над технологией и организацией сельскохозяйственного производства.
Это обусловливает переход стратегических решений, определяющих развитие сельского хозяйства, от фермерских хозяйств, в зоне которых остается в основном принятие решений тактического характера, к промышленно-торговым сферам АПК.
Практика внутрифирменного планирования, в свою очередь, приводит ко все более полному использованию принципов системного подхода и маркетинга. Это создает наиболее надежную базу долгосрочного роста совокупной прибыльности всего продовольственного комплекса как основы увеличения индивидуальной прибыли во всех его звеньях и определяет их возрастающую ориентацию на повышение конечного полезного эффекта.
Каковы же основные принципы взаимодействия различных сфер и отраслей агробизнеса?
1. Заинтересованность различных промышленных фирм в сельском хозяйстве как рынке сбыта своей продукции обусловливает разработку ими таких средств (технических условий) сельскохозяйственного производства, которые стимулируют рост совокупной эффективности их производства и использования, повышение на этой базе рентабельности сельскохозяйственных предприятий (ферм) как предпосылки устойчивого спроса фермеров на новую технику.
Эта стратегия превращает фирмы агробизнеса I сферы АПК в центры, определяющие основные направления технического прогресса.
2. Фирмы пищевой промышленности и торговли продовольствием, стремясь минимизировать совокупные затраты на производство, переработку и сбыт пищевых продуктов, стимулируют повышение и дифференциацию качественных показателей сельскохозяйственной продукции, расширение ее ассортимента, рациональное размещение, продуктовую, технологическую и территориальную специализацию, ликвидируя или сводя до минимума сезонность сельскохозяйственного производства.
3. Практика  показывает,  что  без  совершенного  механизма  реализации продовольствия, единого в масштабах всего национального рынка, невозможно рациональное ведение всего АПК.
4. Достаточный уровень насыщения продовольственного рынка резко повышает следующие многочисленные качественные характеристики (требования) продовольствия:
- оптимизация содержания питательных веществ в каждом продукте;
- уровень (степень) готовности и удобства для конечного потребителя;
- упаковка и др.
Это усиливает роль потребительского спроса и анализирующих его фирм пищевой промышленности и торговли как определяющего фактора развития всех звеньев АПК.
5. Рост значения управленческого труда на сельскохозяйственных предприятиях как необходимое условие реализации рассмотренных принципов рыночного механизма агробизнеса. Это возможно, в свою очередь, при условии повышения квалификации фермеров на основе использования кооперативных, частных и государственных услуг, степени компьютеризации и развития коммуникационных служб и средств.
В развитии рыночного механизма АПК существуют две тенденции.
Первая тенденция — целенаправленная модификация агропромышленных рыночных связей путем создания агропромышленных объединений, развития контрактов, прямых связей, рыночных соглашений, государственного поддержания фермерских цен на ряд сельскохозяйственных продуктов.
Регулирование цен на сельскохозяйственную продукцию можно рассмотреть на основе следующего графика ( 15.1.16).
Вспомним, что D — это спрос, S — предложение, Р — цена, Q — объем.
Цена может отклоняться от равновесной Р в том случае, если она считается слишком низкой, чтобы обеспечить доход земледельцев или стимулировать рост производства продовольствия. В этих целях государство вмешивается в процесс ценообразования и устанавливает цену Р2, которая стимулирует рост предложения сельскохозяйственной продукции (от Q1 до Q2)- Однако высокая цена может сократить спрос со стороны потребителя до объема Q3 Следствием этого является образование избытка предложения сельскохозяйственной продукции. Поэтому система регулирования цен на сельскохозяйственную продукцию, как правило, включает и систему дотаций, которая понижает возрастающие за счет регулирования цены и тем самым восстанавливает экономические условия, приемлемые и для потребителя, и для производителя.

Вторая тенденция заключается в том, что постепенно накапливаемые элементы излишней «заорганизованности» рынка нарушают присущую свободному рынку эффективность его воздействия на производство, в частности, усиливают сложность выбора выгодного партнера. Поэтому после известного «упорядочения» рыночных связей в настоящее время осознается необходимость ориентации в основном на рыночный механизм принятия мер для более эффективного его функционирования и безусловного учета закономерностей рынка.
Что касается АПК Российской Федерации, то в настоящее время разработана программа дальнейшего реформирования аграрного сектора, нормализации его функционирования и повышения эффективности.
Так, предусмотрено формирование региональных оптовых рынков, превращение сельских товаропроизводителей в совладельцев перерабатывающих предприятий, кредитование под залог продукции, демонополизация инфраструктуры (оптовой торговли, переработки, банков) и снижение торговых надбавок с целью увеличения доли производителей в цене.
Все это усиливает связи между сферами АПК и создает предпосылки для формирования рыночного механизма и его успешного функционирования.'
Экономическая теория всегда стремилась четко описать и структурировать систему общественного производства, что, безусловно, является важным шагом на пути получения полноты знаний о производительных силах и производственных отношениях. Однако в научном исследовании необходимо выйти за рамки практического знания на более высокий обобщающий уровень.
Это помогает более объективно изучать экономику за счет ограничения влияния субъективных факторов. Построенная модель охватывает процессы производства, обмена, распределения и потребления материальных благ и подлежит проверке практическими данными.
Таким образом, сравнительные экономические системы обобщают взаимосвязи внутри (и между) сложных экономических механизмов и обладают многоступенчатой иерархической структурой.


Рыночный механизм и его элементы. Конкуренция и монополии


Рыночный механизм и его элементы. Конкуренция и монополии Рыночный механизм — это механизм взаимосвязи и взаимодействия основных элементов рынка: предложения, спроса и цены.
Особенность рыночного механизма состоит в том, что каждый его элемент теснейшим образом связан с ценой, которая служит основным инструментом, воздействующим на спрос и предложение. В частности, спрос находится в обратной зависимости от цены: с повышением цены товара спрос на него, как правило, сокращается и наоборот.
При этом спрос населения зависит исключительно от розничных цен на товары, а изменение оптовых или закупочных цен не оказывает непосредственного влияния на спрос населения до тех пор, пока не будут изменены розничные цены. Колебание оптовых цен воздействует на производственный спрос предприятий на средства производства.
Помимо связи через цену, спрос и предложение влияют друг на друга и непосредственно, т.е. спрос — на предложение, а предложение — на спрос. Например, предложение на рынке новых качественных товаров всегда стимулирует спрос на них, а рост спроса на отдельные товары в итоге вызывает необходимость в увеличении предложения этих товаров.
Изучение экономической теории предполагает рассмотрение условий, позволяющих выявить соответствие запланированного и реально проведенного исследования целям его проведения,   которые  заключаются  в  получении  информации  о  характере причинно-следственных связей в структуре экономического явления. Причем условием данного соответствия является востребованностъ данной информации для установления взаимодействия экономического роста с интересами человека.
Межотраслевой баланс и возможности прогнозирования взаимосвязи экономических процессов Из современных моделей общего равновесия выделяют межотраслевой баланс, который в западных публикациях называют шахматной таблицей «затраты-выпуск». Ее смысл — определить натуральные потоки ресурсов (затрат) для создания единицы конечного продукта. Такая задача уже была претворена в жизнь в СССР при составлении первого народно-хозяйственного плана 1923-1924 гг. под руководством П.Попова. В экономических публикациях идея «затраты-выпуск» была зафиксирована в работе известного советского хозяйственника Крицмана, репрессированного в середине 30-х годов. Однако в мировую экономическую мысль эта модель вошла с публикациями В.Леонтьева — выпускника Петербургского университета, в конце 20-х годов эмигрировавшего из России. Уравнение модели Леонтьева имеет следующий матричный вид:
X=AX+Y,
где Х — объем производства какой-либо отрасли; Y — конечный продукт этой отрасли; А — матрица технологических коэффициентов прямых затрат а.., которые показывают, сколько продукции отрасли Х необходимо затратить для производства единицы продукции отрасли Y. Как видим, модель показывает взаимосвязь производства и конечного продукта. Она развертывается в систему уравнений, где отображены различные отрасли со специфическими технологическими коэффициентами.
Таблица «затраты-выпуск» позволяет определить удельные затраты какого-либо ресурса на выпуск конечного продукта.
Аналитические возможности экономических служб государства с применением таблиц «затраты-выпуск» неизмеримо возрастают, ибо появляется возможность проследить, каким образом рост производства какой-либо отрасли вызывает адекватный рост остальных отраслей. Однако эта модель с точки зрения экономического прогнозирования имеет существенный дефект, который усугубляется при прогнозировании динамически развивающегося общества. Она демонстрирует формулу экономического развития на базе уже сложившихся технологических коэффициентов. При экстенсивном развитии этот вариант возможен, но в условиях интенсификации производства, которую обусловливает НТП, технологические коэффициенты становятся очень подвижными. При этом оценивать продвижение вперед на основе старых пропорций не вполне обоснованно.1
Экономическая теория рассматривает вопросы, связанные с изучением влияния проблем инфляции и безработицы на экономический рост. Данное явление рассматривается в динамике с теоретической и практической точек зрения в качестве правила установления достоверности исследования. Причем восприятие в данном рассмотрении применяется как форма эмпирической проверки достоверности закономерностей взаимовлияния инфляции, безработицы и экономического роста.
Инфляция как стимул и тормоз экономического развития Инфляция — это сложное многофакторное явление, характеризующее нарушение воспроизводственного процесса и присущее экономике, которая использует бумажно-денежное обращение.
Инфляция проявляется в первую очередь в форме повышения уровня товарных цен, а также в форме относительного удорожания золота и иностранной валюты.
В отдельных случаях возможен рост цен, не обусловленный инфляционными процессами. Это происходит, когда меняются общие условия воспроизводства, в результате чего происходит рост издержек производства. Например, наблюдается удорожание сырья из-за ухудшения условий его добычи; рост качества продукции требует дополнительных затрат труда и т.д.
Инфляционный процесс связан с таким ростом цен, который не вызван непосредственно возрастанием затрат на производство. Инфляция есть результат макроэкономической нестабильности, когда совокупный спрос превышает совокупное предложение.
В условиях золотого или серебряного обращения инфляция невозможна, ибо деньги представляют реальное богатство, а не его символ. Необходимое количество денег регулируется такой функцией, как сокровище. Если монет больше, чем необходимо для покупок, оставшиеся деньги оседают как сокровище. При этом они не обесцениваются. При накоплении рынка товарами монеты изымаются из накоплений и участвуют в торговых сделках. Обесценивания денег в таких условиях не происходит.
Другое дело — при бумажном обращении. Здесь деньги лишь символ, а не реальное богатство. Выполнять функцию сокровища они не могут. Гораздо надежнее хранить сбережения, купив недвижимость или драгоценности. Бумажные деньги в незначительной степени накапливаются в качестве сбережений. Основная их избыточная масса остается в обращении. Наличие этих денег у населения увеличивает совокупный спрос, а он в свою очередь давит на цены в сторону их повышения (схема 14.1.3).
Схема 14.1.3

Небольшая (умеренная) инфляция (до 10%) в год в западной литературе не рассматривается как социальное зло. Наоборот, считается, что она в какой-то мере подхлестывает экономику, придает ей необходимый динамизм.
В самом деле, при росте цен население больше покупает, ибо в дальнейшем покупки обойдутся еще дороже. Это стимулирует производителей увеличить предложение, и рынок быстрее насыщается. Следует учесть, что при инфляции цены растут по отраслям разными темпами. Состояние разно выгодности производства сохраняется. Поэтому механизм перелива капиталов и рабочей силы также сохраняется, что позволяет выравнивать экономические диспропорции и оздоровлять рыночное хозяйство.
Однако при уровне выше 10% инфляция делается очень опасной. Особенно агрессивно разрушается экономика при гиперинфляции, когда цены увеличиваются не на несколько процентов, а в несколько раз. В этом случае резко обесцениваются деньги. Население начинает терять сбережения, обесценивается вложенный капитал. Поэтому пропадает стимул вкладывать инвестиции в производство, ведь они дадут доход нескоро, а за этот срок потеряется их ценность. В такие периоды растет лишь спекулятивный бизнес, направленный на перепродажу, а он не увеличивает совокупное предложение. Если предложение не растет длительное время, страна сталкивается с угрозой стагнации. Стагнация, сопровождающаяся инфляцией, разрушает экономику и не создает механизмы выхода на путь эффективного роста, так как не приводит к росту предложения.
При крайних случаях гиперинфляции деньги теряют функцию всеобщего покупательного средства. Население и производители переходят на бартерные сделки. Покупательным средством становится какой-то иной товар, например бутылка водки. Происходит переход от денежной к натуральной заработной плате. Возможно появление купонов и карточек.
Отказ от денег как покупательного средства затрудняет экономическое развитие, ограничивает круг хозяйственных связей. Ведь не всегда у производителя в наличии именно тот товар, который устраивает партнера по сделке. Поэтому сделка может не состояться. Хозяйственные связи изменяются, что вызывает спад производства, уменьшается предложение, а значит, и подхлестывается инфляция.
При умеренной инфляции цены растут быстрее заработной платы. Это обстоятельство укрепляет стимулы предпринимательской деятельности.
Инфляция представляет собой опасность для экономического развития и в силу ее агрессивности, которая связана с ее самовоспроизводством. Она начинает сама себя подхлестывать, увеличивая инфляционную волну. Это происходит по многим причинам. Назовем две из них:
- адаптивное инфляционное ожидание;
- перенос повышенных издержек на цену продаваемого товара. Население ожидает дальнейшего повышения цен и поэтому увеличивает свои покупки, не делая денежных сбережений. Это ведет к росту совокупного спроса, а соответственно — к росту цен. Инфляция возрастает, что ведет к углублению инфляционных ожиданий (схема 14.1.4).
Схема 14.1.4

Инфляция, возникнув, быстро распространяется на все отрасли. Это происходит потому, что они связаны между собой взаимными поставками. Поэтому удорожание какой-либо поставки ведет к увеличению цены выпускаемой продукции.
Инфляция считается опасной болезнью рыночной экономики не только потому, что она быстро распространяет поле своей разрушительной деятельности и углубляется. Ее очень трудно устранить, даже если исчезают вызвавшие ее причины. Это связано с инертностью психологического настроя, который сформировался ранее. Пережившие инфляцию покупатели еще долго совершают покупки «на всякий случай». Адаптивные инфляционные ожидания сдерживают выход страны из инфляционных тисков, так как они вызывают ажиотажный спрос, а он поднимает планку товарных цен.


Рыночный механизм и его элементы: спрос, предложение, цена


Рыночный механизм и его элементы: спрос, предложение, цена Рыночный механизм — это механизм взаимосвязи и взаимодействия основных элементов рынка: предложения, спроса и цены.
Особенность рыночного механизма состоит в том, что каждый его элемент теснейшим образом связан с ценой, которая служит основным инструментом, воздействующим на спрос и предложение. В частности, спрос находится в обратной зависимости от цены: с повышением цены товара спрос на него, как правило, сокращается и наоборот.
При этом спрос населения зависит исключительно от розничных цен на товары, а изменение оптовых или закупочных цен не оказывает непосредственного влияния на спрос населения до тех пор, пока не будут изменены розничные цены. Колебание оптовых цен воздействует на производственный спрос предприятий на средства производства.
Помимо связи через цену, спрос и предложение влияют друг на друга и непосредственно, т.е. спрос — на предложение, а предложение — на спрос. Например, предложение на рынке новых качественных товаров всегда стимулирует спрос на них, а рост спроса на отдельные товары в итоге вызывает необходимость в увеличении предложения этих товаров.
В рыночной экономике производители и потребители в своей экономической деятельности руководствуются параметрами рынка, важнейшими из которых являются спрос, предложение, равновесная цена. Это стержень рыночных отношений, ядро рынка.
Экономическое положение производителей и потребителей, продавцов и покупателей зависит от рыночной конъюнктуры, которая изменяется под влиянием многочисленных факторов. При этом исключительно важную роль играет определенное соотношение между спросом и предложением. Оно зачастую предопределяет судьбу продавцов и покупателей.
Конъюнктура рынка — это совокупность складывающихся на рынке в каждый данный момент времени экономических условий, при которых осуществляется процесс реализации товаров и услуг.
Конъюнктура рынка определяется экономическими показателями, характеризующими состояние рынка: соотношением спроса и предложения, уровнем цен, емкостью рынка, платежеспособными возможностями потребителей, состоянием товарных запасов и т.д.
Конъюнктуру рынка следует отличать от народнохозяйственной конъюнктуры, представляющей собой совокупность экономических условий и признаков, определяющих процесс общественного воспроизводства в целом и характеризующих общее состояние экономики (а не только рынка) на данный момент.
Подход к рыночному механизму предполагает уяснение тех экономических законов, которые лежат в основе его действия и использования. Такими законами являются: закон стоимости (ценности) и полезности, падающего спроса, изменения предложения, спроса и предложения, конкуренции, прибыли и др.
Колебания прибыли — барометр рынка, подающий сигнал производству. Товаропроизводитель в своей хозяйственной деятельности руководствуется интересами увеличения прибыли. Прибыль зависит от цен, роста объема производства и скорости
оборота капиталов. Характер нацеленности предприятий на прибыль меняется в условиях сбалансированного рынка и дефицитной экономики, когда появляется коллективный эгоизм и роль прибыли в деятельности предприятия гипертрофируется.
В основе действия рыночного механизма лежат законы стоимости, ценности, полезности, которые реализуются через различные типы цен: цены эквивалентного обмена (определяемые не только полезностью, но и затратами, которые общество должно заплатить за производство того или иного товара или услуги), равновесные, монопольные, дискриминационные, зональные и другие цены.
Спрос и факторы, определяющие его изменения
Спрос — это отражение потребностей людей в том или ином товаре, услуге, их желание их приобрести. Потребителей интересует не товар вообще, а товар по приемлемой цене. Исходя из этого, следует говорить не об абсолютном, а о платежеспособном спросе. Платежеспособный спрос характеризует не только желание, но и возможность купить товар.
Спросом называется количество товара, которое будет куплено за приемлемую цену и в определенный промежуток времени.
Механизм рынка позволяет удовлетворять только те потребности, которые выражены через спрос. Помимо них в обществе всегда есть и такие потребности, которые нельзя измерить деньгами и превратить в спрос. К ним прежде всего относятся блага и услуги коллективного пользования, особенно такие, в потреблении которых участвуют все граждане без исключения (охрана общественного порядка, национальная оборона, государственное управление, единая энергетическая система, национальная сеть коммуникаций и т.д.). Эти блага в мировой экономической науке именуются общественными товарами.
В обществе с развитой рыночной экономикой преобладающая часть потребностей удовлетворяется посредством реализации спроса.
На величину спроса, его структуру и динамику влияют многочисленные факторы экономического, социального и технологического характера. Спрос на товар, например, может увеличиваться из-за рекламы, изменения моды или вкусов покупателей. Несмотря на это, необходимо знать, что покупатель в первую очередь интересуется тем, сколько стоит товар, который он хочет купить, соизмеряя свои желания со своим доходом. Это означает, что спрос на определенное благо в основном зависит от цен на товары и от дохода, выделяемого покупателем на потребление.
Количество вещей, покупаемых людьми, всегда зависит от цен на товары. Чем выше цена товара, тем меньше его покупают. И наоборот, чем ниже его цена, тем больше единиц этого товара будет куплено при прочих равных условиях.
Между рыночной ценой товара и тем его количеством, на которое предъявляется спрос, всегда существует определенное соотношение. Высокая цена товара ограничивает спрос на него, уменьшение цены на этот товар, как правило, обусловливает возрастание спроса. Эту взаимосвязь между ценой и количеством покупаемого товара можно отразить на графике.
Если цены за единицу товара Р отложим на оси ординат, а количество товара, на которое предъявляется спрос Q, — по оси абсцисс, то и получим такой график ( 13.1.1).
Изображение соотношения между рыночной ценой товара и денежным выражением спроса на него называется графиком спроса, или кривой спроса DD(D — от англ. «demand» — спрос). На графике кривая DD отлого опускается. Эта кривая иллюстрирует закон падающего спроса. Суть этого закона состоит в том, что если цена какого-либо товара повышается при неизменности других условий рынка, то спрос на этот товар уменьшается. Или, что то же самое, если на рынок поступает большее количество одинакового товара, то при прочих равных условиях цена на него уменьшается. Другими словами, величина спроса возрастает при снижении цены и уменьшается при повышении цены.
Спрос не остается неизменным. Необходимо различать изменения величины спроса, или объема спроса, и изменение спроса (характера спроса). Величина спроса меняется тогда, когда меняется только цена данного товара. Характер спроса меняется тогда, когда изменяются факторы, которые принимались ранее постоянными. Графически изменения объема спроса выражаются в движении по кривой спроса. Изменение же спроса выражается в движении самой кривой спроса, в ее смещении. Это можно представить следующим образом ( 13.1.2).
При изменении цены с P1 до Р2, когда все факторы, кроме цены, постоянны, движение осуществляется вниз по кривой спроса, увеличивается количество покупаемого товара от Q1 до Q2 Изменение же спроса (сдвиг кривой спроса D1D1 вправо в положение D2D2) показывает, что покупатели приобретают больше продукции при данной цене. Так, при той же цене P1 покупатель будет приобретать уже количество товара, равное Q2 Q1

Сдвиг кривой спроса может быть обусловлен многими факторами. К их числу относятся изменения величины доходов, цен товаров, являющихся заменителями или дополняющих данный товар в потреблении, вкусов и предпочтений потребителей, ожидания относительно будущих цен на данный товар или степени его дефицитности, сезонные колебания, изменение численности и состава населения.


Сбор, систематизация и анализ


- координация и согласование действий всех функциональных отделов по выработке единой коммерческой политики;
- сбор, систематизация и анализ всей коммерческо-экономической информации о потенциальных рынках сбыта продукции предприятия;
- создание информационно-статистического банка данных, включая данные по портфелю заказов на поставку продукции, по ее производству, наличию запасов;
использование этих данных для ускорения сбыта продукции: определение географического размещения потенциальных потребителей, определение удельного веса продукции основных конкурентов в общем объеме сбыта на данном рынке;
- исследование структуры, состава и организации работы сбытовой сети, обслуживающей данный рынок;
- изучение уровня фирменного ремонта и обслуживания и их влияния на сбыт продукции;
- организация обратной связи с потребителями, изучение мнения потребителей и их предложений по улучшению выпускаемой продукции, привлечение для этого коммерческих посредников и независимых консультантов. Анализ рекламаций и их влияния на сбыт продукции. Разработка по результатам изучения мнения потребителей и анализа рекламаций предложений по повышению технического уровня и качества продукции;
- анализ методов рассмотрения и удовлетворения претензий и рекламаций, поступивших от потребителей, и осуществление контроля за их полным удовлетворением в установленные сроки;
- планирование посещения потребителей работниками службы маркетинга, осуществление непосредственных контактов с потребителями продукции, анализ мотивов определенного отношения потребителей к предлагаемой продукции;
- анализ сильных и слабых сторон конкурирующей продукции; участие в испытании новой, серийно выпускаемой и конкурирующей продукции;
- разработка стратегии рекламы по каждому товару и плана проведения рекламных мероприятий;
- определение возможностей центральных и региональных рекламных агентств и разработка предложений по привлечению их к рекламе продукции предприятия и т.д. Функции отдела сбыта службы маркетинга:
- обеспечение успешной коммерческой деятельности предприятия по сбыту продукции;
- подготовка и заключение договоров с покупателями на поставку выпускаемой продукции;
- участие, совместно с соответствующими службами предприятия, в формировании номенклатурных планов производства и сдачи готовой продукции для обеспечения поставок в установленные сроки и по номенклатуре;
- составление годовых, квартальных и месячных планов поставок продукции в соответствии с заключенными договорами;
- увязка планов запуска в производство и поставки продукции с производственными службами и цехами предприятия в целях обеспечения сбыта готовой продукции в сроки и по номенклатуре в соответствии с заключенными договорами;
- ежемесячный, ежеквартальный анализ выполнения плана поставок и принятие мер по выполнению цехами задолженности по поставке продукции;
- участие в организации выставок, ярмарок, выставок-продаж и других мероприятий по рекламе продукции;
- участие в изучении спроса на выпускаемую продукцию, в совершенствовании сбытовой сети и форм доставки продукции потребителям;
- проведение мероприятий по ликвидации необоснованных расходов по сбыту продукции;
- организация оптовой торговли продукцией;
- организация правильного хранения готовой продукции, ее рассортировки, комплектации, консервации, упаковки и отправки потребителям; планирование и организация отгрузки готовой продукции; подготовка данных об общем количестве поставляемой продукции по номенклатуре, предусмотренной заключенными договорами;
регулирование взаимоотношений с потребителями, ведение переписки с покупателями по вопросам поставки продукции и расчетов с ними; осуществление учета и контроля за выполнением планов поставки по номенклатуре в разрезе заключенных договоров;
- составление заявок на необходимые материалы для осуществления функций сбыта;
- подготовка материалов для заявления претензий и исков к другим предприятиям, организациям, физическим лицам по вопросам сбыта; участие в рассмотрении и удовлетворении обоснованных рекламаций на отгруженную готовую продукцию;
- составление заявок на подачу железнодорожного состава, контейнеров и другого транспорта на месяц, квартал, год;
- правильное применение нормативных актов по поставкам продукции; составление оперативной и статистической отчетности о выполнении поставок по госзаказам, договорных обязательств и своевременное их преодоление с объяснительной запиской.1
Координация деятельности отделов маркетинга и коммерческого отдела фирмы. Взаимодействие отдела маркетинга с коммерческим отделом необходимо во избежание ситуации, при которой заказы не могут быть выполнены из-за неожиданной и непредвиденной нехватки важных сырьевых материалов и компонентов. Такое положение может создаться в том случае, если отдел маркетинга своевременно не проинформирует специалистов коммерческого отдела о перспективных планах и заключенных договорах. И наоборот, образование чрезмерных запасов материалов из-за ошибочности прогнозов или из-за того, что отдел маркетинга не сообщил коммерческому отделу об уменьшении потребностей, приводит к замораживанию средств, которые могли бы успешно использоваться по другому назначению.
Координация деятельности отдела маркетинга и финансового отдела фирмы. Отдел маркетинга имеет непосредственное отношение к процессу расчета издержек и составления смет. Специалисты отдела могут не знать всех тонкостей бухгалтерского дела, но они должны быть подробно ознакомлены с используемыми методами калькуляции издержек производства и бюджетного контроля, так как отвечают за выполнение сметы и за контроль расходов по маркетингу. О работе отдела маркетинга в конечном счете будут судить по результатам финансовой деятельности всего предприятия. Для эффективной реализации потоварных смет и общей сметы маркетинга необходимо, чтобы специалисты отдела маркетинга постоянно держали под контролем показатели издержек и прибылей.
Взаимодействие отдела маркетинга с юридической службой предприятия. Специалисты отдела маркетинга должны иметь возможность получить быструю и квалифицированную юридическую консультацию. Имеются законодательные акты и другие официальные документы, относящиеся к разным аспектам хозяйственной и коммерческой деятельности — разработке типа изделия, его производству, определению цен, упаковке, рекламе, условиям продажи и т.д.
Существуют, кроме того, законы и инструкции по патентному делу, регистрации товарных знаков, лицензионным соглашениям, рекламациям и претензиям покупателей, а также юридические нормы по вопросу ограничительной торговой практики, монополистических соглашений, покупки и продажи в рассрочку, соглашений и цен и т.д.
Маркетинговая служба представляет собой систему, элементы которой ориентированы на внешнюю среду предприятия в части осуществления своих непосредственных функций, но опосредованно они воздействуют на весь хозяйственный процесс фирмы, так как являются передатчиками обратной информации извне в целях корректировки различных параметров процесса производства.
Таким образом, организация структуры маркетинговой службы является в настоящее время практически неотъемлемой частью эффективного функционирования организации. При этом маркетинговая служба является тем звеном во всей организации, которое осуществляет формирование структуры самой маркетинговой политики в зависимости от целей и задач, т.е. избирает способ взаимодействия и пребывания на рынке.1


Сельское хозяйство в 1966-1990 гг.


Сельское хозяйство в 1966-1990 гг. Основным направлением развития сельскою хозяйства оставалась интенсификация. Иначе и невозможно: посевные площади в стране сократились с 209 млн. га в 1965 г. до 208 млн. га в 1990 г. Иногда возражают: как может сочетаться интенсификация с очень низкими темпами роста? Не надо путать два понятия — темпы и интенсификация. Интенсификация — это не скорость, не темпы, это направление развития, путь, по которому можно двигаться медленно или быстро.
Интенсификация требует резкого повышения технического уровня хозяйства, следовательно, больших капиталовложений и увеличения основных производственных фондов, фондовооруженность (стоимость основных фондов в расчете на работника) интенсивного, соответствующего требованиям времени сельского хозяйства должна быть даже выше, чем в промышленности. Поэтому с 1965 г. поток ассигнований на развитие материально-технической базы сельского хозяйства резко увеличился. И все же фондовооруженность в сельском хозяйстве составила в 1990 г. только 79% от фондовооруженности в промышленности. К тому же рост фондовооруженности в сельском хозяйстве в значительной степени связан с ростом цен на сельскохозяйственную технику.
Опережающими темпами за рассматриваемый период росли те направления технического прогресса, которые определяют интенсификацию.
Потребление удобрений в расчете на гектар пашни выросло в 3,25 раза, и все же их вносится значительно меньше, чем требуется по агротехническим нормам. Они вносятся в России преимущественно под посевы технических культур, а под злаковые культуры их не хватает. К тому же минеральные удобрения у нас часто тратятся столь бесхозяйственно, что приносят значительный ущерб экологическому равновесию.
Значение мелиорации подчеркивается тем обстоятельством, что планы последних пятилеток по сельскому хозяйству обычно не выполнялись из-за «неблагоприятных погодных условий», т.е. засушливой погоды. Но при орошении засуха не действует, так что засушливые годы свидетельствуют об отсталости нашего хозяйства в этом отношении. К тому же следует учесть, что в нашей стране подавляющая часть сельскохозяйственных угодий находятся в засушливой зоне — «недостаточность увлажнения» В США в благоприятных по уровню влажности условиях находятся 60% угодий. Но там орошаемые земли составляют 1% пашни, а у нас — 9%.
Площадь, охваченная мелиорацией, с 1965 по 1990 гг. увеличилась почти втрое. Это очень высокие темпы. Но наша мелиорация— типичный пример «затратной экономики»: доходы мелиораторов определяются тем, сколько они затратят средств. Поэтому им выгоднее всего строить новые грандиозные сооружения, а не поддерживать в порядке орошаемые земли. Результатом их работы нередко становится засоление почв — и часть орошенных земель таким образом вообще выходит из строя.
Вторая сторона интенсификации сельского хозяйства — рост производительности труда на базе механизации, что позволяет освободить часть занятых. Общим показателем механизации является энерговооруженность труда, т.е. количество потребляемой энергии на занятого работника. За период с 1965 по 1990 гг. она выросла в 4,7 раза. Однако производительность труда росла далеко не столь высокими темпами. Она увеличилась за это время незначительно и остается в 5 раз ниже, чем в США.
Задача комплексной механизации, поставленная в 1965 г., в определенной степени стала выполняться. С тех пор были в основном механизированы уборка льна, сахарной свеклы, доение коров. И все же ручной труд в сельском хозяйстве пока преобладает.
В последнее время, однако, было принято говорить не столько о сельском хозяйстве, сколько об агропромышленном комплексе. Что это такое? Агропромышленный комплекс (АПК) — это сельское хозяйство и связанные с ним отрасли промышленности. В состав АПК входит производство средств производства для сельского хозяйства (удобрений, сельскохозяйственных машин) и переработка сельскохозяйственной продукции. Поскольку эти отрасли взаимосвязаны в своем развитии, очевидно, их действительно следует рассматривать в комплексе. Развитие сельского хозяйства зависит от производства удобрений и сельскохозяйственной техники, а подавляющая часть легкой и пищевой промышленности не может действовать, не получая от сельского хозяйства необходимого сырья.
Основная тенденция развития АПК — агропромышленная интеграция, т.е. сближение, слияние соответствующих отраслей сельского хозяйства и промышленности. Интеграция означает, что прежние «горизонтальные» связи между разными отраслями сельского хозяйства (производство мяса, зерна, картофеля, льна) заменяются «вертикальными» связями: производство сырья — с его переработкой в промышленности; мясное животноводство — с мясокомбинатами; производство картофеля — с предприятиями по его хранению, продаже и переработке.
Новые связи требуют специализации, создания достаточно крупных специализированных предприятий, а такая специализация обеспечивает технический прогресс в сельском хозяйстве. Невозможен завод, который производил бы разные виды промышленной продукции — ткани, машины и мебель. Невозможен, потому что каждая, отрасль требует своего комплекса машин. А в сельском хозяйстве подобное положение до последнего времени считалось нормальным: в одном колхозе производились и овощи, и мясо, и зерно. Но при комплексной механизации каждая отрасль требовала своего комплекса машин.
Создание специализированных предприятий индустриального типа началось в 1966-70 гг. с отстававшей по уровню механизации отрасли — с птицеводства, с организации государственных птицефабрик. Производственные процессы на них были максимально механизированы, производительность труда и рентабельность оказались на порядок выше, чем в обычных колхозах и совхозах.
Казалось, был найден оптимальный путь развития сельского хозяйства. А поскольку невозможно было расформировать существовавшие колхозы и совхозы, чтобы на их месте строить специализированные крупные аграрные предприятия, были разработаны еще два направления специализации.
Одно из них — межколхозная кооперация: несколько колхозов (и совхозов) на паевых началах объединяют какую-то отрасль своего производства и совместно строят крупное предприятие. Так предполагалось создавать предприятия по откорму скота, по переработке сельскохозяйственной продукции и т.п. Но экономический эффект такой формы объединения получался значительно меньше, чем при организации государственных предприятий, а в форме межколхозных предприятий стали преимущественно создаваться строительные.
Другая форма — интеграция аграрных и промышленных предприятий. Это, в сущности, не такое новое направление: подобная интеграция производства сахарной свеклы и переработки ее на сахар широко практиковалась еще в крепостной период в помещичьих имениях и оказалась очень эффективной. Теперь была поставлена задача так же интегрировать производство овощей, картофеля и фруктов с их переработкой, хранением и продажей, но к началу 90-х годов существенных успехов в этом направлении достигнуто не было.
Об основных направлениях развития сельского хозяйства в рамках традиционной административной системы почти не говорилось: эти проблемы были отнесены на задний план задачами социально-экономической перестройки сельского хозяйства. Оказалось, что без изменения социально-экономической базы, без восстановления подлинной материальной заинтересованности работников сельского хозяйства программа интенсификации сельского хозяйства не может быть реализована. Поэтому теперь первостепенное значение приобретает переход к фермерским хозяйствам, к подлинной сельскохозяйственной кооперации, реализации земельной реформы.
Итак, наше сельское хозяйство развивалось по пути интенсификации, но продвинулось в этом направлении очень мало, о чем свидетельствуют практические результаты развития.
Мы не рассматриваем здесь ход коренной реорганизации нашей экономики, которая началась в середине 80-х годов. Процесс реорганизации еще не закончился, еще не стал историей. История изучает прошлое, чтобы извлекать опыт для настоящего. «История современности», на которую нам еще недавно предлагали переключаться, не может быть подлинной наукой. Для исторической оценки события нужно от него отойти на некоторое расстояние.1
Экономика ведущих капиталистических стран, хотя и является относительно стабильной, тем не менее также подвержена постоянным изменениям, происходящим, помимо прочего, в ее структуре. Некоторые секторы изменяются мало, часто в силу исторических причин, другие, наоборот, отличаются динамизмом, возникают новые отрасли. Анализ этих процессов позволяет измерить процентное изменение удельного веса того или иного сектора в экономике, а также другими способами оценить достижения экономики развитых стран и выявить тенденции их дальнейшего развития. С исторической точки зрения, процессы, идущие в этих странах, разбиты на периоды во времени, и основные факторы, повлиявшие на них, выделены. Это позволяет систематизировать и изучить сдвиги в структуре экономики ведущих капиталистических государств.
Несмотря на бытующее мнение о существовании свободной рыночной экономики, в «чистом» виде она не встречается. Грамотный экономист может говорить о системе, в которой сочетается наличие конкуренции с определенной степенью централизованного регулирования. Такая система представляется на сегодняшний день самой эффективной для реализации намеченных задач общества. Конкурирующие предприятия взаимодействуют через механизм цен, а государство играет определенную роль в установлении совокупного уровня производства через денежно-кредитную и бюджетную политику. В то же время существуют различные модели смешанной экономики.


Серьезным экономическим препятствием остаются и неплатежи.


Реформирование экономики России началось с 1 января 1992 г. либерализацией цен. Предполагалось, что тем самым будет создан рынок, который к осени того же года даст свои результаты: цены стабилизируются, спад производства прекратится, курс доллара остановится на отметке 80 рублей. Данные цели не были достигнуты. Но курс был выбран, и правительство с завидным упорством и небольшими модификациями проводит его более четырех лет. Срок вполне достаточный, и за это время многое изменилось:
— подорван монополизм государственной собственности, начался, хотя и весьма противоречиво, процесс формирования многоукладной экономики;
~ сломлен, пусть не окончательно, аппарат административно-командного управления и распределения;
— складывается инфраструктура рыночной экономики, особенно интенсивно в финансово-банковской сфере;
— достигнуто определенное равновесие на потребительском рынке, правда, в основном за счет импортных товаров;
— появился и расширяется слой предпринимателей новой волны — «новые русские», ориентированных на рыночные отношения.
1995 год — четвертый год российских социально-экономических реформ. По замыслу правительства, 1995 г. должен был стать годом значительного снижения инфляции и достижения стабилизации, от которой зависят возможности и условия экономического роста. Реализация этой политики происходит с большими трудностями и заметным отставанием от ориентиров, первоначально намеченных в государственных программах. И хотя в 1995 г. в экономике зародился ряд позитивных тенденций, все же зримого улучшения условий для предпринимательской деятельности не произошло. Непомерный налоговый пресс блокирует многие возможности роста и развития производства. Серьезным экономическим препятствием остаются и неплатежи. Бедность все еще является уделом широких слоев населения.
Центральным вопросом экономической политики была и остается задача борьбы с инфляцией. Несомненно, по мировым меркам инфляция в России еще очень высока. В то же время даже в самых благополучных государствах западного мира она никогда не устанавливается на нулевой отметке. Начиная с 1995 г., правительство России проявляет наиболее серьезный и последовательный подход к проведению антиинфляционной политики. Впервые за все время проведения реформ происходит отказ от инфляционных источников финансирования бюджетного дефицита, основывающихся на непрерывной работе печатного станка, изготавливающего денежные знаки. Вместо этого дефицит покрывается за счет выпуска в обращение государственных ценных бумаг и частично за счет увеличения внешнего долга. Но и эти меры пока не привели к стабилизации экономической конъюнктуры. А ожидание начала экономического роста уже с 1996 г., прогнозируемого правительством, не оправдалось.
Это просматривалось и в инвестиционной политике. В связи с ограниченностью бюджетных возможностей круг программ, поддерживаемых государством, предельно сокращен. В 1995 г. предприятиями и организациями всех форм собственности освоено за счет всех источников финансирования, включая инвестиции совместных предприятий и иностранных фирм, 250 трлн. рублей капитальных вложений. По сравнению с 1994 г. снижение объемов инвестиций составило 13% (в 1994 г., по сравнению с 1993 г. — 24%). Уменьшение объемов капитальных вложений по сравнению с 1994 г., характерно практически для всех регионов Российской Федерации. Эта тенденция в России сохранилась и в 1996 г.: в январе этого года на развитие экономики и социальной сферы направлено 17 трлн. рублей капиталообразующих инвестиций за счет всех источников финансирования, что на 10% меньше, чем в январе 1995 года.
Объем ВВП России за 1995 г. составил в текущих ценах 1669 трлн. рублей (в предыдущем году этот показатель исчислялся в 611 трлн. руб.). Преобладающая его часть (70%) была произведена в негосударственном секторе экономики (в 1994 г. — 61%).
В 1995 г. сохранились основные тенденции предшествующих лет — нарастание стоимости ВВП за счет повышения цен, при сокращении физического объема производства продукции и многих видов услуг. Вместе с тем, снижение реального объема ВВП значительно замедлилось по сравнению с предшествующими годами проведения экономической реформы. Заметно уменьшился и рост общего уровня инфляции. По сравнению с предшествующим годом размер реального ВВП снизился на 4% (в 1994 г. — 13%).В целом
динамика валового внутреннего продукта 1992—95 гг. выглядит следующим образом.
Табл. 15.2.1
Динамика ВВП за период 1992-95 гг.
Показатель
1992 г.
1993 г.
1994г.
1995 г.
ВВП в текущих ценах (трлн. руб.)
19,0
171,5
611,0
1659,0
В % к предыдущему году в сопоставимых ценах
85,5
91,3
87,4
96,0

Определяющее значение в сокращении производства ВВП в 1995 г. имело, продолжавшееся снижение объемов производства в основных отраслях экономики: в промышленности, строительстве, сельском хозяйстве — а также объема услуг (прежде всего — транспорта, связи и торговли). По сравнению с ситуацией, имевшей место в 1994 г., эти показатели складывались следующим образом: добавленная стоимость в отраслях, производящих товары, сократилась в 1995 г. на 6,6% (в 1994 г. это снижение составляло 20%). В отраслях, производящих услуги, снижение добавленной стоимости по сравнению с предыдущим годом было таким же, как и в 1994 г., и составило 3,7%.
В 1995 г. промышленностью России произведено продукции (работ и услуг) на сумму 989 трлн. рублей. Индекс физического объема промышленного производства в 1995 г. составил 97% к уровню 1994 г. (в 1994 г. — 79%).
Неблагоприятной продолжает оставаться ситуация в аграрном секторе экономики. В 1995 г. обрушившаяся на Россию жара сильно сказалась на урожае зерновых. Урожай с собранных площадей составил 14,6 ц с гектара, что значительно ниже, чем в 1992-94 годах. Не приостанавливается спад объемов производства продукции животноводства. В совокупности производство валовой продукции сельского хозяйства в 1995 г. сократилось на 10% по сравнению с предыдущим годом. В 1994 г. спад в этой отрасли составил. 12%.
Оценивая макроэкономическую ситуацию в России в 1992-95 годах, ученые Института экономики РАН пришли к выводу, что российская экономика характеризовалась тенденцией суживающегося воспроизводства в реальном секторе, ускоренным развитием торгового, финансово-бюджетного секторов, снижением эффективности использования ресурсов, сокращением занятости, расширением зон бедности, уменьшением платежеспособного спроса и, как итог всех процессов — снижением уровня и качества жизни большинства населения.
Главным итогом 1995 г. в области приватизации стало резкое падение ее количественных показателей. Об этом говорят данные статистики, позволяющие сравнить их с предшествующими годами.
Табл. 15.2.2
Основные показатели хода приватизации в Российской Федерации (нарастающим итогом с 1 января 1992 г.)
Показатели приватизации
на 1.01. 1993 г.
на 1.01. 1994г.
на 1.07. 1994 г.
на 1.01. 1995 г.
на 1.07. 1995 г.
на 1.01. 1996г.
Госпредприятия на самостоятельном балансе (ед.)
204998
156635
138619
126846
119879
90778
Подано заявок на приватизацию (ед.)
102330
125492
137501
143968
147117
147795
Отложено заявок (ед.)
5390
9985
11488
12317
12876
13295
Заявки в стадии реализации (ед.)
46628
24992
19308
17491
15277
13214
Реализовано заявок (ед.)
46815
888577
103796
112625
117406
118797
Продажная цена собственности (млрд. руб.)
57
752
1107
1867
2091
2510
Стоимость имущества по реализованным заявкам (млрд. руб.)
193
628
958
2357
2401


Госпредприятия, преобразованные в АО, акции которого выпущены в продажу (ед.)
2376
14073
20298
24048
25816
27040
Предприятия на аренде, в т.ч. на аренде с выкупом (ед.)
22216 13868
20886 14978
20606 15658
16826 12806
15655 12556
14663 12198

В отраслевом разрезе приватизированные предприятия делятся следующим образом: 33% относятся к торговле, 20% — к промышленности, 11,5% — к строительству, 7,4% — к общепиту. В целом среди предприятий, прошедших приватизацию в 1995 г., 90% составляют малые с числом занятых до 200 человек и средней стоимостью основных фондов 15,4 млн. рублей (в ценах 1991 г.), в том числе 55% — непосредственно объекты малой приватизации. На разных стадиях процесса корпоратизации к январю 1996 г. находилось около 36 000 предприятий, зарегистрировано свыше 27 000 акционерных обществ (по сравнению с 24 000 на 1 января 1995 г.), созданных на базе государственных (муниципальных) предприятий.
Если оценивать структуру собственности формально — по числу предприятий различных форм собственности, то только к августу 1995 г. совокупный частный сектор впервые превысил государственный (соответственно 50,5% и 49,5%). Что касается доли производственной продукции в ВВП, то этот рубеж не был преодолен и по итогам 1995 г. Такое замедление темпов — объективная тенденция, свидетельствующая о необходимости приостановить принудительное форсирование количественных темпов, достигнутых в ходе реализации программ массовой приватизации.


Широко также используются индукция и дедукция.


Анализ — это мысленное фрагментирование изучаемого явления на составные части и исследование каждой из этих частей отдельно. Путем синтеза экономическая теория воссоздает единую целостную картину.
Широко также используются индукция и дедукция. Посредством индукции (наведения) обеспечивается переход от изучения единичных фактов к общим положениям и выводам. Дедукция (выведение) делает возможным переход от наиболее общих выводов к относительно частным.
Анализ и синтез, индукция и дедукция применяются экономической теорией в единстве.
Важное место в исследовании экономических явлений и процессов занимают исторический и логический методы. Они не противостоят друг другу, а применяются в единстве, поскольку исторически исходный пункт исследования совпадает в общем и целом с исходным пунктом логического исследования. Однако логическое (теоретическое) исследование экономических явлений и процессов не является зеркальным отражением исторического процесса. В конкретных условиях той или иной страны могут возникнуть экономические явления, которые не являются обязательными для господствующей системы хозяйствования. Если фактически (исторически) они имеют место, то в теоретическом анализе подобные явления можно игнорировать. Мы можем от них отвлечься. Историк же не может их игнорировать. Он должен их описать.
Используя исторический метод, экономическая теория исследует хозяйственные процессы и явления в той последовательности, в которой они в самой жизни возникали, развивались и сменялись одни другими. Такой подход позволяет конкретно и наглядно представить все особенности различных экономических систем. Но он имеет тот недостаток, что обилие описательного материала и частных исторических подробностей может затруднить серьезное теоретическое изучение хозяйства.
Исторический метод показывает, что в природе и обществе развитие идет от простого к сложному. Применительно к предмету экономической теории (политической экономии) это означает, что во всей совокупности экономических явлений и процессов необходимо выделить в первую очередь наиболее простые явления, возникающие раньше других и являющиеся основой возникновения более сложных. Например, в анализе рынка такое экономическое явление — обмен товаров.
В соответствии с методом логического восхождения от простого к сложному наше изложение строится таким образом, что после введения и общих основ теории рыночного хозяйства нам предстоит изучить сначала микроэкономику — экономическую среду, определяющую характер поведения отдельных рыночных субъектов (предприятий-производителей и потребителей), затем макроэкономику — систему национального хозяйства и, наконец, завершим курс переходом к исследованию мирового хозяйства — глобальной экономики.
Экономическим процессам и явлениям присуща качественная и количественная определенность. Поэтому экономическая теория (политическая экономия) широко использует математические и статистические приемы и средства исследования, которые позволяют выявить количественную сторону процессов и явлений хозяйственной жизни, их переход в новое качество. При этом широко применяется вычислительная техника. Особую роль здесь играет метод экономико-математического моделирования. Данный метод, являясь одним из системных методов исследования, позволяет в формализованной форме определить причины изменений экономических явлений, закономерности этих изменений, их последствия, возможности и издержки влияния на ход изменений, а также делает реальным прогнозирование экономических процессов. С помощью этого метода создаются экономические модели.
Экономическая модель — это формализованное описание экономического процесса или явления, структура которого определяется его объективными свойствами и субъективным целевым характером исследования.
В связи с построением моделей важно отметить роль функционального анализа в экономической теории.
Функции — это величины, зависящие от некоторых независимых переменных величин.
Функции встречаются в повседневной жизни, и мы чаще всего не осознаем этого. Они имеют место в технике, физике, геометрии, химии, экономике и т.д. Применительно к экономике, например, можно отметить функциональную связь между ценой и спросом. Спрос зависит от цены. Если повышается цена на товар, спрос на него при прочих равных условиях уменьшается. При этом цена является независимой переменной, или аргументом, а спрос — зависимой переменной, или функцией. Таким образом, можно сказать, что спрос есть функция цены. Но спрос и цена могут меняться местами. Чем выше спрос, тем выше при прочих условиях цена. Следовательно, цена может быть функцией спроса.
Экономико-математическое моделирование как метод экономической теории получило широкое распространение в XX в. Правда, элемент субъективности в построении экономических моделей иногда ведет к ошибкам. Лауреат Нобелевской премии М.Алле писал в 1989 г., что в течение 40 лет экономическая литература развивалась в ошибочном направлении: в сторону совершенно искусственных и оторванных от жизни математических моделей с преобладанием математического формализма, что представляет собой, по сути, большой шаг назад.
В зарубежной учебной экономической литературе зачастую термины «теория», «модель», «принципы» и «законы» используются как синонимы (К.Макконнел и С.Брю), что с нашей точки зрения не обосновано.
Большинство моделей, принципов экономической теории можно выразить математической зависимостью, отобразить графически, представить в виде математических уравнений, поэтому при изучении экономической теории важно знать математику, уметь составлять уравнения, строить и читать графики.
При анализе экономических проблем часто используют позитивный и нормативный анализы. На основе этого различают позитивную и нормативную экономические теории. Позитивный анализ дает нам возможность увидеть экономические явления и процессы такими, какие они есть на самом деле, что было или что может быть. Позитивные утверждения не обязательно должны быть верными, но любой спор относительно позитивного утверждения можно решить проверкой фактов. Нормативный анализ основан на исследовании того, что и как должно быть. Нормативное утверждение чаще всего выводится из позитивного, но объективные факты не могут доказать его истинность или ложность. При нормативном анализе выносятся оценки — справедливо или несправедливо, плохо или хорошо, допустимо или недопустимо.
Экономические теории формулируются в виде позитивных утверждений, хотя большинство дискуссий между экономистами возникают при рассмотрении вопросов нормативного анализа.
При изучении экономической жизни людей, их групп и всего общества возможны, разумны и необходимы экономические эксперименты, хотя далеко не всегда можно предвидеть все вероятные результаты этих экспериментов.
Экономический эксперимент — это искусственное воспроизведение экономического явления или процесса с целью его изучения в наиболее благоприятных условиях и дальнейшего практического применения.
Сознательное массовое экономическое экспериментирование на микроуровне связано с деятельностью Р.Оуэна, П.Ж. Прудона, Ф.Тейлора, Г.Форда и Э.Мейо, а на макроуровне — с именами Дж.М. Кейнса и М.Фридмена. Эксперименты на макроуровне проводились и в СССР.
Таким образом, экономическая теория — это системное описание действительности на основе ее отражения и абстрактного обобщения ее основных характеристик посредством определений, понятий, категорий, представленных как закон, правило или модель хозяйственной жизни.
Отдельные экономические теории имеют общие черты, так как каждая из них:
- основана на наблюдениях за событиями и процессами в экономике; представляет собой абстрактно-теоретическое моделирование экономических систем;
- включает прогнозирование последствий наблюдаемых событий; предлагает рекомендации для хозяйственной практики.
Усложнение отражения экономической реальности сопровождается разработкой новых парадигм.
Научная парадигма включает основополагающие предпосылки, методы исследования, принятые в той или иной науке, а также представления ученых о способах решения научных проблем.
Определение научной парадигмы дал Т.Кун в книге «Структура научных революций» (М.: Прогресс, 1977). Научная парадигма, господствовавшая до последнего времени в мировой экономической науке, сформировалась в конце XIX — начале XX вв. под влиянием работ А.Смита, Д.Рикардо, Дж.Ст. Милля, А.Маршалла, Л.Вальраса. Одновременно с критикой неоклассической теории получены новые знания о содержании процессов экономического развития, стимулирующие разработку новой экономической парадигмы.1
Гармонизация экономических процессов субъектами экономической деятельности связана с наличием в конкретном действии экономиста подготовительной, предварительной фазы. Фиксация используемых при этом терминов выступает основой отражения и выполнения запланированных действий экономического субъекта по реализации продуктов своей деятельности. Критерием организации получения требуемой прибыли будет выступать организация обмена товарами, осуществляемого непосредственно и опосредованно с использованием денег. В этой связи актуально изучение основ обмена как вопроса экономической теории.
Еще А.Маршалл отмечал необходимость того, чтобы применяемые экономической наукой понятия были четко определены. Для этого нам нужно проследить, как изменялось представление о том или другом понятии в процессе исторического развития, и определить, что же мы сегодня подразумеваем под ними. Важно и другое (по словам А.Маршалла) — употребление терминов не должно быть слишком категоричным, чтобы не впасть в бессмысленный спор или, что еще хуже, допустить ошибку.
Рынок — одна из самых распространенных категорий в экономической теории и хозяйственной практике. Зачастую понятие «рынок» применяется как всеми известное и не требующее каких-либо пояснений. В действительности оно' имеет различные толкования у нас и за рубежом, что и послужило основанием для утверждений, будто до сих пор никому не известно, что такое рынок. Попробуем разобраться, что такое рынок.


Синтетический учет наличия и движения основных средств


Синтетический учет наличия и движения основных средств Синтетический учет наличия и движения основных средств, принадлежащих предприятию на правах собственности, осуществляется на следующих счетах:
01 «Основные средства» (активный);
02 «Износ основных средств» (пассивный);
47 «Реализация и прочее выбытие основных средств» (активно-пассивный).
Счет 01 «Основные средства» предназначен для получения информации о наличии и движении принадлежащих организации на правах собственности основных средств, находящихся в эксплуатации, запасе, на консервации или сданных в текущую аренду.
Оприходование основных средств, внесенных учредителями в счет их вкладов в уставный капитал (фонд), оформляется следующей бухгалтерской проводкой:
- Дебет счета 01 «Основные средства»;
- Кредит счета 75 «Расчеты с учредителями».
Основные средства, приобретенные за плату у других предприятий и лиц, а также созданные на самом предприятии, отражают по дебету счета 01 «Основные средства» и кредиту счета 08 «Капитальные вложения».
Основные средства, поступившие от других организаций и лиц безвозмездно, а также в качестве субсидии правительственного органа, отражают по дебету счета 01 «Основные средства» и кредиту счета 87 «Добавочный капитал» (по основным средствам производственного назначения) и счета 88 «Нераспределенная прибыль (непокрытый убыток)» (по основным средствам непроизводственного назначения).
Учет операций по выбытию основных средств осуществляют на операционном активно-пассивном счете 47 «Реализация и прочее выбытие основных средств». По дебету счета 47 отражают первоначальную стоимость основных средств, а также расходы, связанные с выбытием основных средств, налог на добавленную стоимость основных средств, а по кредиту — сумму износа по выбывшим основным средствам, выручку от
ликвидации и стоимость материалов по ценам возможного использования, поступивших в результате ликвидации основных средств.
Таблица 23.3.1
Схема записей на счете 47 «Реализация и прочее выбытие основных средств»
Дебет
Кредит
Первоначальная стоимость выбывших основных средств Расходы, связанные с выбытием основных средств НДС по реализуемым и безвозмездно переданным основным средствам Прибыль от выбытия основных средств
Сумма износа по выбывшим основным средствам Выручка от реализации основных средств и стоимость полученных от ликвидации основных средств материалов Убыток от выбытия основных средств

К счету 47 целесообразно открыть четыре субсчета для      учета выбытия основных средств по причинам выбытия:
1. «Реализация основных средств»;
2. «Ликвидация и списание основных средств»;
3. «Безвозмездная передача основных средств»;
4. «Передача основных средств в уставный капитал (фонд) других организаций».
При реализации основных средств их продажную стоимость отражают по дебету счетов 62 «Расчеты с покупателями и заказчиками» или 76 «Расчеты с разными дебиторами и кредиторами» и кредиту счета 47 «Реализация и прочее выбытие основных средств» (субсчет 1 «Реализация основных средств»). Одновременно первоначальную стоимость основных средств списывают с кредита счета 01 «Основные средства» в дебет счета 47, а сумму износа по реализованным основным средствам — в дебет счета 02 «Износ основных средств» и кредит счета 47. В дебет счета 47 списывают также налог на добавленную стоимость основных средств (с кредита счета 68 «Расчеты с бюджетом») и расходы по реализации основных средств с кредита счетов 43 «Коммерческие расходы», 23 «Вспомогательные производства» и др.
Списание основных средств оформляют следующими бухгалтерскими записями:
Дебет счета 47 «Реализация и прочее выбытие основных средств»
Кредит счета 01 «Основных средств»
на первоначальную стоимость основных средств
Дебет счета 02 «Износ основных средств»
Кредит счета 47 «Реализация и прочие выбытия основных средств»
на сумму износа основных средств
Дебет счета 10 «Материалы»
Дебет счета 12 «Малоценные и быстроизнашивающиеся предметы»
Дебет других счетов
Кредит счета 47 «Реализация и
прочее выбытие основных средств»
на стоимость поступивших в результате ликвидации основных средств материалов
Дебет счета 47 «Реализация и прочее выбытие основных средств»
Кредит счета 70 «Расчеты с персоналом по оплате труда»
Кредит счета 76 «Расчеты с разными Дебиторами и кредиторами»
Кредит других счетов
на расходы по ликвидации основных средств

При безвозмездной передаче основных средств их первоначальную стоимость списывают с кредита счета 01 «Основные средства» в дебет счета 47 «Реализация и прочее выбытие основных средств», а сумму износа — с кредита счета 47 в дебет счета 02 «Износ основных средств». Расходы по демонтажу, упаковке, транспортировке и др. по безвозмездно передаваемым объектам отражают по дебету счета 47 с кредита соответствующих расчетных и других счетов. Финансовый результат от безвозмездной передачи основных средств списывают на счета 87 «Добавочный капитал» (по основным средствам производственного назначения) и 88 «Нераспределенная прибыль (непокрытый убыток)» (неосновным средствам непроизводственного назначения).
Основные средства, переданные в счет вклада в уставный капитал (фонд) других организаций, отражают по стоимости, определяемой по соглашению сторон, по дебету счета 06 «Долгосрочные финансовые вложения» и кредиту счета 47 «Реализация и прочее выбытие основных средств». Первоначальную стоимость основных средств списывают с кредита счета 01 «Основные средства» в дебет счета 47, а сумму износа по переданным основным средствам — с кредита счета 47 в дебет счета 02 «Износ основных средств». Дополнительные расходы, связанные с передачей основных средств, списывают в дебет счета 47 с кредита соответствующих счетов.
По окончании отчетного периода (месяца, квартала) определяют разность между дебетовым и кредитовым оборотами по каждому субсчету счета 47 «Реализация и прочее выбытие основных средств» и списывают ее на счет 80 «Прибыли и убытки». Превышение дебетового оборота над кредитовым отражают по дебету счета 80 и кредиту счета 47, а превышение кредитового оборота над дебетовым — по дебету счета 47 и кредиту счета 80.
По безвозмездно выбывшим основным средствам финансовый результат, как уже отмечалось, списывают на счета 87 «Добавочный капитал» или 88 «Нераспределенная прибыль (непокрытый убыток)» в зависимости от назначения основных средств.
Выявленные при инвентаризации неучтенные основные средства подлежат оприходованию по дебету счета 01 «Основные средства» с кредита счета 80 «Прибыли и убытки» с последующим установлением причин возникновения излишка и виновных лиц (у бюджетных организаций излишки относят на увеличение финансирования или фондов).


Системы маркетинговой интеграции


Системы маркетинговой интеграции Управленческая структура должна быть настолько гибкой, чтобы предприятие не только приспосабливалось к меняющейся ситуации на рынке, но и делало это своевременно и в соответствии со своими целями.
В процессе развития маркетинговых структур, адаптации их к изменениям во внутренней и внешней среде и особенно под влиянием конкурентной борьбы появились вертикальные маркетинговые системы (ВМС) — это, по существу, альтернатива традиционным каналам сбыта продукции. Обычный канал сбыта состоит из независимого производителя продукции, нескольких (или одного) оптовых, а также розничных торговцев.
Каждая организация, являющаяся составной частью традиционного канала сбыта, стремится извлечь максимально возможную прибыль, иногда даже в ущерб всей системе товародвижения, не имея при этом никакого контроля за деятельностью остальных членов канала сбыта.
Вертикальная маркетинговая система обуславливает интеграцию таких производств, организаций оптовой торговли, магазинов, которые могут заниматься независимым бизнесом. Это система, в которой предприятие (компания), занимающееся ключевым (основным) производством, обладает властью и возможностью контролировать предприятия и организации, осуществляющие дополнительное производство или сбыт продукции. Например, предприятие по производству автомобилей может стать объединяющим центром для производителей узлов автомашин. Таким образом, вертикальная интеграция означает, что стадии производства и распределения продукции по каналам рынка охвачены одной иерархической системой. При этом внутри системы рыночный механизм заменяется внутрихозяйственными операциями.
В настоящее время известны следующие типы вертикальных маркетинговых систем:
Корпоративные ВМС. В этом случае интегрированное производство продукции и ее распределение по каналам сбыта находятся в единичном владении. Примером могут служить нефтяные компании с собственными автозаправочными станциями, производители одежды и обуви с собственной сетью магазинов, пивоваренные компании, владеющие пивными барами и т.д.
Договорные (контрактные) ВМС могут быть трех типов:
- организации держателей торговых привилегий;
- добровольные цепи розничных торговцев под эгидой оптовиков;
- кооперативы розничных торговцев.
Для первого типа характерно то, что владелец привилегии объединяет в своих руках последовательные процессы производства и каналы товародвижения. Существуют три формы привилегий. Первая — розничные держатели привилегий под эгидой производителя. Эта форма распространена в автомобильной промышленности США, например, фирма «Форд» выдает лицензии на право торговли своими автомобилями независимым дилерам. Вторая форма — оптовые держатели привилегий под эгидой производителя, она применяется в сфере торговли безалкогольными напитками. Третья — розничные держатели привилегий под эгидой фирмы услуг. Подобная форма встречается чаще всего в сфере общественного питания (например, фирма «Макдональдс»), проката автомобилей. В этом случае фирма услуг стремится наиболее эффективным способом довести услуги до потребителей.
При втором типе договорных ВМС оптовый торговец организует добровольное объединение независимых розничных торговцев, разрабатывает программу, в которой предусматриваются обеспечение экономичности закупок, стандартизация торговой практики в целях эффективной конкуренции с другими каналами товародвижения.
Управляемые ВМС. В данном случае производитель ведущего товара добивается сотрудничества и поддержки со стороны продавцов этого товаров. Последние выделяют торговые площади, организуют экспозиции товаров, предпринимают меры по стимулированию сбыта и политике цен.
Консолидация. При этом интегрированное производство и сбыт продукции осуществляются подразделениями предприятия, филиалами или дочерними фирмами.
Квазивертикалъная интеграция. Интегрируемые производство и сбыт продукции осуществляются соответственно независимыми предприятиями сбытовой сетью, но под контролем ведущей фирмы: контроль обеспечивается долговременным контрактом и целым набором услуг, предоставляемых ведущей фирмой. При квазивертикальной интеграции используются три модели сбытовой политики: использование контрактов об
исключительной продаже продукции данного предприятия, избирательная реализация, универсальный сбыт.1
Следовательно, маркетинговая служба в зависимости от территориального расположения  организации,  ее финансовых возможностей,  масштабов  своей деятельности, специализации и др. выстраивает свои действия в рамках поведени'' индивидуального потребителя, что позволяет оценить возможности реализации данного товара (услуги) в группе аналогичных потребителей.
Как и другие службы организации, маркетинговая служба, прежде всего, выявляет существующее положение на данном целевом рынке, что позволяет ей делать заключение о сходстве-различии товаров-аналогов по определенным параметрам, или их отсутствии, чтобы использовать различные приемы и рычаги экономического и психологического моделирования ситуации в своих интересах.
Организационная структура управления службы маркетинга Осуществление концепции маркетинга на предприятии требует создания такой организационной структуры, которая позволила бы реализовать эту концепцию. В настоящее время без системы маркетинговых служб, обеспечивающих проведение маркетинговых исследований по изучению перспектив спроса, требований потребителей к свойствам и качеству товара, тенденций этих требований под влиянием изменяющихся условий жизни, производителям трудно выжить в конкурентной борьбе. Конечной целью функционирования маркетинговых служб является подчинение всей хозяйственной коммерческой деятельности предприятия законам существования и развития рынка. В этом заинтересованы как изготовители, так и потребители продукции.
Выбор оптимальной структуры службы маркетинга целесообразно производить, помимо иных факторов, в зависимости от размера предприятия.
Основные задачи и функции подразделений службы маркетинга. Подразделения службы маркетинга тесно связаны между собой. Каждое из них решает свои задачи, направленные в конечном итоге на определение спроса, удовлетворение требований потребителей, обеспечение сбыта, сервисного обслуживания и ремонта выпускаемой продукции.
Задачи отдела конъюнктуры рынка, спроса и рекламы продукции:
- разработка краткосрочной, среднесрочной и долгосрочной стратегий маркетинга;
- исследование факторов, определяющих структуру и динамику потребительского спроса на продукцию предприятия, конъюнктуру рынка;
- изучение спроса на продукцию предприятия и разработка долгосрочных, среднесрочных и краткосрочных прогнозов потребности в выпускаемой продукции;
- исследование потребительских свойств производимой продукции и предъявляемых к ней требований со стороны потребителей;
- ориентация разработчиков и производства на выполнение требований потребителей к выпускаемой продукции. Организация рекламы и стимулирование сбыта продукции. Для выполнения этих задач осуществляются следующие функции:
- анализ и прогнозирование основных конъюнктурообразующих факторов, потенциальных рынков сбыта выпускаемой предприятием продукции;
- анализ коммерческих и экономических факторов, включая финансовое положение потенциальных покупателей, реальный платежеспособный спрос на выпускаемую продукцию и соотношение спроса и предложения на конкретные виды продукции;
- изучение объемов поставки, технического уровня и качества конкурирующей продукции, ее преимуществ и недостатков по сравнению с продукцией данного
предприятия, наличие новых рынков сбыта и новых потребителей выпускаемой предприятием продукции;
- исследование потребительских свойств производимой продукции и сбор информации об удовлетворении ими покупателей. Анализ соответствия выпускаемой продукции потребностям покупателей;
- влияние тенденций в мировом производстве продукции по профилю предприятия;
- подготовка предложений по привлечению сторонних специализированных организаций по решению проблем маркетинга, изучение спроса на их продукцию, рекламы;
- изучение спроса на выпускаемую продукцию, оценка потребности вырабатываемой и производимой продукции, данных статистической отчетности и др.
- анализ и систематизация полученных данных и подготовка их для обработки на электронно-вычислительной технике;
- выявление системы взаимосвязей между различными факторами, влияющими на состояние рынка и объем продаж;
- анализ конкурентоспособности продукции предприятия, сопоставление их потребительских свойств, цены, издержек производства с аналогичными показателями конкурирующей продукции, выпускаемой другими предприятиями;
- разработка на основе изучения конъюнктуры и емкости рынка прогноза по платежеспособному спросу на новую и серийно выпускаемую продукцию;
- разработка стратегии маркетинга с учетом потребностей в данной продукции, емкости рынка, меняющегося платежеспособного спроса, проникновения на новые рынки сбыта, достижений научно-технического прогресса конкуренции;
- расчет емкости рынка для продукции предприятия;


Социальная политика государства


Социальная политика государства как основа функционирования социальной инфраструктуры При переходе России к рыночной экономике происходящие в ней процессы суверенизации, создания в регионах и на местах аппарата управления с широкими полномочиями, функционирования предприятий различных видов собственности требуют новых подходов к проведению социальной политики.
Законодательные акты, другие нормативные документы, принимаемые органами власти субъектов Федерации и местного самоуправления, регулируют процессы, происходящие в социальной сфере в республиках в составе РФ, краях, областях, городах и других населенных пунктах.
Но за государством закреплены контрольные функции в отношении деятельности предприятий любых организационно-правовых форм и видов собственности. Важнейшими рычагами государственного регулирования социальных процессов являются федеральные законы, указы Президента РФ, постановления Правительства России, ведомственные инструкции, положения, рекомендации.
Находясь в сфере государственной (учреждения культуры, здравоохранения, просвещения, подготовки кадров, социальной поддержки населения) или муниципальной (жилищное, коммунальное хозяйство, бытовое обслуживание населения) собственности, система управления предприятиями организует свою работу в соответствии с ведомственными инструкциями, положениями и другими нормативными документами, принятие которых координируется на федеральном уровне. Несомненно влияние государства и на функционирование предприятий сферы обслуживания частного сектора. Например, внутренний порядок работы частного предприятия определяет его собственник, но все положения Федерального закона «О защите прав потребителей» имеют для него такую же силу, как и для государственного или муниципального предприятия.
Одним из наиболее действенных методов воздействия на социальные процессы в стране является использование финансово-кредитных рычагов. Многие отрасли социальной инфраструктуры или находятся на полном бюджетном финансировании, или нуждаются в финансовой поддержке со стороны государства.
В расходной части федерального бюджета предусматриваются статьи, за счет которых финансируются здравоохранение, просвещение, культура, физическая культура, т.е. так называемые бюджетные отрасли. Соответственно в бюджетах субъектов Федерации также выделяются средства на аналогичные цели.
Другие отрасли социальной инфраструктуры — жилищное, коммунальное хозяйство, туризм, отдых населения — оказывают платные услуги и за счет этого покрывают часть своих расходов. .Однако и они не могут обходиться без финансовой поддержки государства.
Государство регулирует процессы коммерциализации деятельности предприятий социальной сферы. В одних отраслях платные услуги доминируют (бытовое обслуживание, жилищно-коммунальное хозяйство, искусство), в других оплата услуг допускается, но в ограниченных пределах (здравоохранение, подготовка кадров, физическая культура), в третьих такое практикуется в исключительных случаях (культура, школьное образование).
Органы власти фактически определяют масштабы оказываемых услуг, выделяя финансовые ресурсы на содержание отраслей, где коммерческая деятельность сознательно ограничивается и находится под контролем государства. Приватизация в этих отраслях, как правило, ограничена. Государство покрывает все расходы по оплате труда работников, материальному обеспечению деятельности предприятий, содержанию и ремонту основных фондов, капитальному строительству. Таким образом обеспечивается социальная защита населения и реализация конституционных гарантий граждан.
Было бы крайне неразумным, например, введение платы за пользование библиотеками — это может отразиться на культурном уровне населения. Нежелательно отказываться от финансирования или дотирования деятельности театров, музеев и тому подобных учреждений культуры, прекращение финансовой поддержки которых сделает их для многих членов общества недоступными.
С переходом высшего образования на платную основу уменьшится количество потенциальных студентов и число обучающихся сократится. Образование, культура, здравоохранение, экология должны быть предметом особой заботы государства.
В расходной части бюджета выделены следующие разделы и подразделы, носящие социальную направленность: жилищно-коммунальное хозяйство, предупреждение и ликвидация чрезвычайных ситуаций и последствий стихийных бедствий, образование, культура и искусство, средства массовой информации, здравоохранение и физическая культура, социальная помощь, молодежная политика, прочие учреждения и мероприятия социальной политики. Многие из статей финансирования социальной сферы являются защищенными, т.е. использование средств для других целей не допускается.
Источником   финансирования   социальных   мероприятий   являются   также внебюджетные социальные фонды: пенсионный, социального страхования, обязательного' медицинского страхования, занятости, которые независимы от федеральных, региональных и местных бюджетов.1
19.5. Право частное право
Экономическим субъектам для развития своей деятельности необходимо иметь уверенность в сохранении их существующего положения, прав и полномочий их. деятельности. Для индивидуальных собственников и их объединений первостепенное значение имеет частное право, которое реализует отношения, обеспечивающие частные интересы, автономию и инициативу в имущественных действиях и личных отношениях. К частному праву относятся гражданское право и торговое право, рассматриваемые в этом разделе.
Гражданское право Гражданское право регулирует определенные имущественные и личные неимущественные отношения участников гражданского оборота. Так, гражданское законодательство определяет правовое положение участников гражданского оборота: граждан, граждан-предпринимателей, организаций, фирм и других образований.
Участниками регулируемых гражданским законодательством отношений являются граждане и юридические лица, государство — Российская Федерация, субъекты Российской Федерации и муниципальные образования.
Гражданское законодательство определяет основания возникновения и порядок осуществления права собственности и других вещных прав, исключительных прав на результаты интеллектуальней деятельности (интеллектуальной собственности), регулирует договорные и иные обязательства, а также другие имущественные и связанные с ними личные неимущественные отношения, основанные на равенстве, автономии воли и имущественной самостоятельности их участников.
Правила, установленные гражданским законодательством, применяются к отношениям с участием иностранных граждан, лиц без гражданства и иностранных юридических лиц, если иное не предусмотрено федеральным законом.
Гражданское законодательство защищает неотчуждаемые права и свободы человека и другие нематериальные блага, если иное не вытекает из существа этих нематериальных благ.
Основными законодательными актами в России являются Конституция Российской Федерации и конституции субъектов федерации.
Гражданское кодексом (ГК) введено новое понятие обычай делового оборота (ст. 5 ч. 1 ГК РФ). Обычаем делового оборота признается сложившееся и широко применяемое в какой-либо области предпринимательской деятельности правило поведения, не предусмотренное законодательством, независимо от того, зафиксировано ли оно в каком-либо документе или нет.
Обычаи делового оборота, противоречащие обязательным для участников соответствующего  отношения положениям законодательства или договору,  не применяются.
Если отношения прямо не урегулированы законодательством или соглашением сторон и отсутствует применимый к ним обычай делового оборота, то к таким отношениям, если это не противоречит их существу, применяется гражданское законодательство, регулирующее сходные отношения (аналогия закона).
Аналогия закона представляет собой решение конкретного юридического дела на основе правовой нормы, рассчитанной не на данный, а на сходные случаи. Например, при плохой укупорке стеклянной тары применяется по аналогии ответственность за нарушение условий о качестве.
При невозможности использования аналогии закона права и обязанности сторон определяются исходя из общих начал и смысла гражданского законодательства (аналогия права) и требований добросовестности, разумности и справедливости. Аналогия права применяется при наличии пробела в законе, в результате чего подобрать сходную, аналогичную норму права невозможно.


Социально-экономическая сущность маркетинга


Социально-экономическая сущность маркетинга Термин «маркетинг» происходит от английского «market» (рынок) и означает деятельность в сфере рынка сбыта. Однако маркетинг как система экономической деятельности — более широкое понятие. Главное в маркетинге — двуединый и взаимодополняющий подход. С одной стороны, это тщательное и всестороннее изучение рынка, спроса, вкусов и потребностей, ориентация на них производства, адресность выпускаемой продукции. С другой — активное воздействие на рынок и существующий спрос, на формирование потребностей и покупательских предпочтений. В промышленно развитых странах покупательские предпочтения являются главной движущей силой созидательного труда. Ведь даже труд самой высокой квалификации по изготовлению очень нужного обществу изделия самого высокого качества и с самыми низкими издержками производства может оказаться в конечном счете непроизводительным только потому, что изделие не нашло своего покупателя, не попало в конечное потребление. Произойти это может по той причине, что потенциальный потребитель не знал о существовании нужного ему изделия или не знал, где его можно купить. Связать изготовителя и потребителя, помочь найти друг друга и тем самым сделать труд первого по-настоящему производительным — в этом, собственно, и состоит основная цель любой маркетинговой деятельности.
Итак, маркетинг представляет собой вид человеческой деятельности, направленной на удовлетворение нужд и потребностей посредством обмена. Это определение опирается на следующие основные понятия: нужды, потребности, запросы, товар, обмен, сделка и рынок.
Нужды людей сообразны и сложны: тут и физиологическая нужда в пище, одежде, еде и безопасности, и социальные нужды в духовной близости, влиянии, привязанности, и личные нужды в знаниях и самовыражении. Они не формируются усилиями рекламных агентств, а исходят от природы человека. Если нужда не удовлетворена, то человек чувствует себя обездоленным и несчастным. И чем больше значит для него та или иная нужда, тем глубже он переживает отсутствие возможности ее удовлетворить. Неудовлетворенный человек сделает одно из двух: либо займется поисками объекта, способного удовлетворить нужду, либо попытается подавить свое желание (заглушить нужду).
Потребность — это нужда, принявшая специфическую форму в соответствии с культурным уровнем и личностью индивида. Потребности выражаются в объектах, способных удовлетворить нужду тем способом, который присущ культурному укладу и экономическому уровню развития данного общества. По мере развития общества растут и потребности его членов.
Люди сталкиваются со все большим количеством объектов, пробуждающих их любопытство, интерес и желание. Производители, со своей стороны, предпринимают целенаправленные действия для стимулирования желания обладать товарами. Они пытаются сформировать связь между тем, что они выпускают, и потребностями людей. Товар пропагандируется как средство удовлетворения одной или ряда специфических потребностей.
Потребности людей практически безграничны, а вот ресурсы для их удовлетворения ограничены. Человек будет выбирать те товары, которые доставят ему наибольшее удовлетворение в рамках его финансовых возможностей. Таким образом, запрос — это потребность, подкрепленная покупательной способностью. Однако запрос — показатель недостаточно надежный. Людям надоедают вещи, которые нынче в ходу, и они ищут разнообразия ради разнообразия. Смена выбора может оказаться результатом изменения цен или уровня доходов. Товары — это, по сути дела, наборы свойств, и люди останавливают выбор на тех продуктах, которые обеспечивают им получение лучшего набора выгод за свои деньги1. Так, автомобиль «Фольксваген» воплощает в себе элементарное средство транспорта, доступную покупную цену, топливную экономичность и европейский ход, а «Кадиллак» — высокий комфорт, роскошь и престиж. Человек выбирает товар, совокупность свойств которого обеспечивает ему наибольшее удовлетворение за данную цену, с учетом своих специфических потребностей и ресурсов.2
Важным критерием выбора вида маркетинга служит уровень спроса на товары. Так, различают определенные виды маркетинга:
- стимулирующий;
- развивающийся;
- поддерживающий;
- противодействующий;
- конверсионный;
- синхромаркетинг;
- ремаркетинг;
- демаркетинг.
Каждый вид маркетинга оперирует с определенным товаром, которому присущи специфические характеристики экономического характера, поэтому товар выступает здесь причиной всей системы экономических взаимосвязей, а маркетинг — следствием.
Все товары, способные удовлетворять нужду покупателя, называются товарным ассортиментом выбора. Чем полнее товар соответствует желаниям потребителя, тем большего успеха добьется производитель. Он должен отыскивать потенциальных потребителей, выяснять их потребности, а затем создавать товар, как можно полнее удовлетворяющий эти потребности.
Понятие «товар» не ограничивается физическими объектами. Товаром можно назвать все, что способно оказать услугу, т.е. удовлетворить нужду. Помимо изделий и услуг, это могут быть личности, места, организации, виды деятельности и идеи. Потребитель решает, какую именно развлекательную передачу посмотреть по телевидению, куда отправиться на отдых, каким организациям оказать помощь, какие идеи поддержать. И если использование термина «товар» временами кажется неестественным, то его можно заменить другими — «удовлетворитель потребности», «средство возмещения» или «предложение». Все эти слова имеют определенное ценностное значение для разных лиц.
Маркетинг имеет место в тех случаях, когда люди решают удовлетворить свои нужды и запросы с помощью обмена. Обмен — акт получения от кого-либо желаемого объекта путем предложения чего-либо взамен.
Если обмен — основное понятие маркетинга как научной дисциплины, то основной единицей измерения в сфере маркетинга является сделка, представляющая собой коммерческий обмен ценностями на рынке между двумя сторонами.
Рынок может сформироваться на какой-то товар, услугу или иной объект, имеющий ценностную значимость. Например, рынок труда состоит из людей, желающих предложить свою рабочую силу в обмен на заработную плату или товары. Для облегчения функционирования рынка труда вокруг него возникают различные конторы и консультационные фирмы по трудоустройству. Денежный рынок дает возможность занимать, покупать и продавать финансовые средства. Формируется и рынок пожертвователей, призванный удовлетворить финансовые нужды некоммерческих организаций и отдельных лиц.1
Так как любой тип маркетинга обусловлен внешними факторами экономической среды, то в понятие «маркетинг товара» входит, прежде всего, организация хозяйственной деятельности, ориентированной на достижение целей фирмы путем удовлетворения спроса на ее товары (услуги) на целевых рынках. То есть маркетинг выступает первичным действием по отношению к товару, который детерминирует маркетинговую систему определенными параметрами.
Основу маркетинга составляют: разработка программы производства товара; исследование рынка; налаживание коммуникаций; организация доставки; установление цен; развертывание служб сервиса и т.п. Хотя обычно считается, что маркетинг — удел продавцов, занимаются им и покупатели. Домохозяйки осуществляют собственный «маркетинг», когда занимаются поисками нужных им товаров по ценам, которые они готовы заплатить. В поисках дефицитного товара коммерсанту приходится выискивать продавцов и предлагать им заманчивые условия сделки. Рынок продавца — это, как правило, дефицитный рынок, на котором продавцы имеют больше власти и где наиболее активными «деятелями» рынка выступают покупатели. Рынок покупателя — это в основном насыщенный рынок, на котором больше власти имеют покупатели и где наиболее активными «деятелями» рынка оказываются продавцы. Любой продавец сталкивается с проблемой реализации, т.е. доведения продукции до потребителя. Основной задачей каждого изготовителя-продавца и потребителя является получение удовлетворительного коммерческого итога. Обеспечение коммерческого успеха непосредственно зависит от глубокого и всестороннего изучения форм, типов и видов рынков. Изучение рынка осуществляется с двух позиций: с позиция его характерных особенностей, потребностей и возможностей и с позиции его емкости, степени насыщенности, состояния конкуренции, вероятности появления товаров-аналогов и товаров-заменителей и т.п. Предпочтение той или иной позиции приводит либо к маркетингу, ориентированному на продукт, либо к маркетингу, ориентированному на потребителя.
1. Маркетинг, ориентированный на продукт, применяется, когда деятельность предприятия нацелена на создание нового товара или усовершенствование выпускаемого. Основная задача в этом случае сводится к побуждению потребителей приобретать новые или усовершенствованные товары.
2. Маркетинг, ориентированный на потребителя, используется, если деятельность предприятия нацелена на удовлетворение потребностей, непосредственно исходящих от рынка. Здесь главная задача маркетинга — изучение потенциальных потребностей, поиск рыночной «ниши».


Социальное партнерство


Социальное партнерство Социальное партнерство — особый тип социально-трудовых отношений, присущий рыночному обществу, обеспечивающий оптимальный баланс реализации оптимальных интересов различных социальных групп, в первую очередь наемных работников и работодателей. Система социального партнерства включает в себя следующие элементы: принципы, субъекты, уровни, функции, формы и механизм реализации. Остановимся последовательно на каждом из них.
Основные принципы социального партнерства: соблюдение норм законодательства; полномочность представителей сторон; равноправие сторон в свободе выбора и обсуждения вопросов, составляющих содержание коллективных договоров и отношений; добровольность сторон в принятии на себя обязательств; систематичность контроля и ответственность за выполнение обязательств.
В качестве субъектов (сторон) социального партнерства выступают работодатели и государство.
Представительными органами, выражающими интересы сторон в переговорном процессе, могут быть следующие:
- от имени работников — профессиональные союзы и иные уполномоченные работниками представительные органы;
- от имени работодателя на уровне организации — руководитель организации, собственник имущества, выполняющий функции работодателя либо уполномоченные им лица; на федеральном, отраслевом и территориальном уровнях — представительные органы соответствующего уровня объединений работодателей, наделенные определенными полномочиями;
- от имени государства — органы исполнительной власти всех уровней (федеральный, субъект Российской Федерации).
Объектом (предметом) социального партнерства являются основные направления реализации социально-трудовой политики государства, исходя из оценок уровня жизни и показателей, характеризующих этот уровень в целом по Российской Федерации, в субъектах Российской Федерации, а также в районах, городах и в организациях.
Практика партнерских отношений выработала такие формы их реализации, как коллективные договоры и соглашения, консультации и переговоры по реализации социальной и трудовой политики, согласование действий, направленных на удовлетворение интересов сторон, совместный контроль за выполнением достигнутых сторонами договоренностей, обеспечивающий исполнение действующего законодательства.
Социальное партнерство реализуется через систему соглашений на федеральном, отраслевом, территориальном, профессиональном уровнях, а также с помощью заключения коллективных договоров на предприятиях, в организациях и учреждениях. Современные условия развития экономики определяют необходимость заключения генеральных, отраслевых (тарифных), территориальных и коллективных соглашений. По договоренности сторон, участвующих в переговорах, они могут быть трехсторонними и двухсторонними.
Генеральные соглашения устанавливают общие принципы проведения экономической политики субъектами, их подписавшими. Они заключаются на федеральном, а также на республиканском уровнях. Федеральные генеральные соглашения являются трехсторонними и заключаются между общероссийскими объединениями профсоюзов, общероссийскими объединениями работодателей, правительством Российской Федерации. На республиканском уровне соглашения заключаются между республиканскими объединениями   профсоюзов,   республиканскими   объединениями   работодателей, правительством республики в составе Российской Федерации. Генеральные соглашения определяют, как правило, общие принципы социально-экономической политики данного периода и охватывают совокупные интересы работников и работодателей. В них должны предусматриваться положения о принципах регулирования трудовых соглашений, в том числе заработной платы, и минимальных социально-экономических гарантиях исходя из роста цен и уровня инфляции.
Отраслевые  (тарифные)  соглашения  определяют  направления  социально-экономического развития отрасли. Участниками отраслевых соглашений могут являться также три стороны — соответствующие профсоюзы (иные представительные органы, уполномоченные работниками), работодатели (объединения работодателей), Министерство труда Российской Федерации.
Данные соглашения включают правовые нормы, регулирующие содержание, начало и завершение трудовых отношений, действующие в обязательном порядке между сторонами, связанными тарифным соглашением, а также права и обязанности сторон, отклонения возможны только в пользу трудящихся. Отказ от имеющихся тарифных прав возможен только с одобрения сторон, заключивших тарифное соглашение.
Предметом тарифных соглашений могут быть все условия труда, как материальные так и нематериальные, например заработная плата, продолжительность рабочей недели \ предоставление отпуска, а также и другие права и обязанности в рамках трудовых отношений.
Примерная структура тарифного соглашения следующая:
1. Сфера действия.
2. Прием на работу и испытательный срок.
3. Рабочее время, режим работы, рабочее место.
4. Увольнение и договор об аннулировании трудового соглашения (форма увольнения, освобождение от работы для поиска нового места, сроки увольнения).
5. Отпуск.
6. Социальная защита.
7. Рабочее время.
8. Изменение режима работы.
9. Надбавки к заработной плате при изменении условий труда.
10. Выплаты заработной платы.
11. Правила оплаты времени болезни.
12. Простои, освобождение от работы с сохранением заработной платы.
13. Претензии по поводу условий и оплаты труда.
14. Оплата командировочных.
15. Ответственность за качество и урегулирование вопросов, связанных с появлением брака.
16. Методы оценки произведенной работы.
17. Урегулирование спорных вопросов.
18. Прочие положения.
19. Вступление соглашения в силу, прекращение действия соглашения.
Развитие социального партнерства в России наталкивается на целый ряд трудностей. Основная трудность состоит в том, что до сих пор не сформировались главные субъекты общественного партнерства. Профсоюзные объединения дробятся на соперничающие группировки, а работодатели и предприниматели разобщены по многим ассоциациям и союзам. Если на низовом уровне такая разобщенность сторон — не помеха для сотрудничества, то на федеральном и отраслевом уровнях она серьезно затрудняет нахождение общих согласованных решений.
На сохранение общественного согласия отрицательно влияют падение производства в стране, инфляция и рост безработицы. Тормозит развитие сотрудничества партнеров на различных уровнях несовершенство нашего трудового законодательства, в частности отсутствие отдельного закона об использовании индивидуальных контрактов (договоров) в гибких формах занятости.
Профсоюзы и работодатели привыкли к тому, что генеральные соглашения ежегодно подписываются сторонами с большим запозданием по срокам и по многим пунктам не выполняются. Трехсторонняя процедура согласования интересов социальных партнеров с участием правительства нередко носит необязательный и формальный характер, ибо стороны фактически не несут ответственности за срыв соглашений. В отличие от западных государств, где коллективные договоры и соглашения считаются нормативными документами на уровне закона, в России они во многих случаях остаются лишь на бумаге и в виде рекомендаций.
Наряду с преобладающей коллективно-договорной системой и прямым регулированием трудовых отношений со стороны государства взаимодействие работника и работодателя может определяться и в индивидуально-договорном порядке. В этом случае имеют место прямые отношения между работодателем и работником. Функционирование рынков труда в развитых странах с рыночной экономикой в последнее десятилетие характеризуется активным внедрением индивидуально-договорных механизмов, сузивших сферу действия коллективных отношений. Однако, если рынки труда развитых стран имеют сложившуюся инфраструктуру, отлаженные механизмы переквалификации и перераспределения рабочей силы, позволяющие работнику в любое время «встроиться» в систему трудовых отношений, то в условиях рынка в нашей стране работник лишен подобной возможности.
Другим   «отягчающим»   обстоятельством   является   неразвитость   практики государственной поддержки отдельных социальных слоев и категорий работников. В этой связи в настоящее время уровень развития законодательной базы и инфраструктуры социальной защиты работников определяет предпочтительность коллективно-договорной системы регулирования трудовых отношений по сравнению с индивидуально-договорным регулированием взаимоотношений работников и работо-дателей. За формирующимися в России в последние годы моделями социального партнерства — будущее, которое должно быть глубоко осмыслено всеми участниками переговорных процессов на разных уровнях, в противном случае неизбежно нарастание социальной нестабильности в обществе вместо процессов разрешения и согласования противоречивых устремлений всех социальных групп населения.1
Субъектами коллективно-договорного регулирования выступают собственник или уполномоченное им лицо (юридическое или физическое) и работники. Различия целей субъектов данной системы могут приводить к конфликтам между результатами коллективных переговоров и экономической политикой государства, особенно в период экономических кризисов, обостряющих проблемы инфляции и безработицы. В подобных условиях коллективно-договорная система может стать фактором, подстегивающим инфляцию.


Сопоставимость в рядах динамики


Сопоставимость в рядах динамики Основным условием для получения правильных выводов при анализе рядов динамики является сопоставимость его элементов.
Ряды динамики формируются в результате сводки и обработки материалов периодического наблюдения. Повторяющиеся во времени (по отчетным периодам) значения одноименных показателей в ходе статистической сводки систематизируются в хронологической последовательности.
При этом каждый ряд динамики охватывает отдельные обособленные периоды, в которых могут происходить изменения, приводящие к несопоставимости отчетных данных с данными других периодов. Поэтому для анализа ряда динамики необходимо приведение всех составляющих его элементов к сопоставимому виду. Для этого в соответствии с задачами исследования устанавливаются причины, обусловившие несопоставимость анализируемой информации, и применяется соответствующая обработка, позволяющая производить сравнение уровней ряда динамики.
Несопоставимость в рядах динамики вызывается различными причинами. Это могут быть разновеликость  показаний времени,  неоднородность  состава  изучаемых совокупностей во времени, изменения в методике первичного учета и обобщения исходной информации, различия применяемых в отдельные периоды единиц измерения, цен и др.
Так, при изучении динамики товарооборота по внутригодовым периодам несопоставимость возникает при неодинаковой продолжительности показаний времени (месяцев, кварталов, полугодий).
Требования повышения точности экономико-статистического анализа делают исходные данные несопоставимыми из-за неодинаковой продолжительности так называемого високосного года (366 дней) и обычного года (365 дней). Это приходится учитывать в современных условиях развития торговли, когда на один день в среднем приходится свыше 1200 млн. руб. розничного товарооборота.
Для анализа интенсивности развития торговли объемные данные за разновеликие периоды пересчитываются (с учетом фактического рабочего времени) в среднесуточные показатели. Это устраняет несопоставимость уровней рядов динамики и ограждает от ошибок в выводах.
В качестве иллюстрации приведем данные о розничном товарообороте дежурных продовольственных магазинов города по кварталам 1998 г. (табл. 17.3.4).
Таблица 17.3.4
Показатель
Квартал
I
II
III
IV
Объем розничного товарооборота, млн. руб.
61,8
60,9
63,2
62,7
Среднесуточный товарооборот, тыс. руб.
813,2
812,0
810,3
814,3

Из данных табл. 17.3.4 видно, что для Ш квартала характерными являются наибольший объем товарооборота и одновременно самая низкая интенсивность.
При отсутствии информации о фактическом времени работы для получения сопоставимых среднесуточных показателей используется режимное время работы. Последнее различно в зависимости от выполняемых торговлей функций и обслуживаемого контингента.
Для розничной торговли возможны следующие основные варианты режимного времени:
а) предприятия, работающие без перерыва в праздничные и выходные дни (например, дежурные продуктовые и хлебобулочные магазины, рестораны, кафе). Их фонд рабочего времени соответствует календарному;
б) предприятия, не работающие в праздничные дни (например, городские рынки). Их фонд рабочего времени меньше календарного на число ежегодных праздничных дней;
в) предприятия, не работающие в праздничные и общевыходные дни (например, городские промтоварные магазины, предприятия общественного питания на фабриках, в учреждениях и т.д.). Величина их фонда рабочего времени зависит от размещения в каждом календарном году праздничных и выходных дней;
г) предприятия, работающие в отдельные периоды (сезоны) года (например, городские овощные базары, торговля в местах массового летнего отдыха и т.д.).
Несопоставимость в рядах динамики может произойти в связи с имевшимися в отчетном периоде административно-территориальными изменениями.
Пример. В 1996 г. произошло укрупнение обслуживаемого торговой организацией региона, результаты которого отображены в следующих изменениях объемов товарооборота (млн. руб.):
Год

 Товарооборот
1995
1996
1997
В прежних границах ^~~~
432
450

В новых границах

630
622,5

Для приведения этой информации к сопоставимому виду производится так называемое смыкание рядов динамики. При этом для 1996 г. определяется коэффициент соотношения двух уровней: 630/450 = 1,4. Умножая на этот коэффициент объем товарооборота 1995 г. (43 2-1,4 =604,8 млн. руб.), можно построить ряд динамики сопоставимых уровней в новых границах региона (млн. руб.):
1995
1996
1997
604,8
630
622,5.

Проблема сопоставимости в рядах динамики возникает в связи с применением в статистической информации различных по экономическому значению денежных измерителей. Так, для денежной оценки объема поставки (оптовой продажи) товаров применяются оптовые цены промышленности, а для оценки объема продажи товаров населению применяются розничные цены. К разновидностям розничных цен относятся кооперативные и договорные цены, цены базарной торговли, закупочные и сдаточные цены на сельскохозяйственную продукцию и др.
Поскольку уровни цен изменяются во времени, то для стоимостной оценки товарооборота используются цены соответствующих периодов. Но для изучения динамики физического объема продажи товаров денежная оценка товарооборота в ценах соответствующих периодов не подходит. На объем товарооборота влияет не только фактор реализованной товарной массы, но и фактор изменения цен. Для устранения влияния изменения цен товарооборот пересчитывается в неизменные (базисные) цены. В результате получают ряды динамики объема товарооборота в сопоставимых ценах.1
Использование последовательности действий в статистике для создания ряда значений отдельного показателя, расположенных в хронологическом порядке, который в своих изменениях отражает ход развития изучаемого явления во времени, является весьма действенным способом для определения некоторых свойств явления, которое этот показатель характеризует. Поэтому для руководителя, стремящегося к образованию экономического пространства с нужными свойствами и признаками, динамические ряды являются одним из средств расчета действий.


Состав расходов постоянного представительства


управленческие и общеадминистративные расходы, понесенные как на территории России, так и за границей.
В состав расходов постоянного представительства, понесенных за границей, могут включаться только те расходы, понесенные за рубежом, которые связаны с осуществлением деятельности постоянного представительства в России, такие, как расходы на заработную плату иностранных сотрудников, работающих в постоянном представительстве, командировочные расходы, расходы на подготовку российских сотрудников отделения, другие расходы, понесенные в России и оплаченные головным офисом иностранного юридического лица.
Для расчета прибыли иностранного юридического лица в связи с деятельностью в России основным способом является прямой метод, т.е. определение прибыли как разницы между выручкой от реализации продукции (работ, услуг) и затратами по ее производству.
В случае, если не представляется возможным прямо определить прибыль, полученную иностранным юридическим лицом в связи с деятельностью в России, предусмотрен ряд последовательно применяемых условных методов, позволяющих расчетным путем определить налоговые обязательства на основании валового дохода из всех источников или на основании расходов, связанных с такой деятельностью.
При условном методе расчета прибыли иностранных юридических лиц расчет производится исходя из нормы рентабельности 25%.
При этом прибыль, подлежащая налогообложению, рассчитывается следующим образом:
- при определении налогооблагаемой прибыли на основе полученных доходов применяется коэффициент 0,2;
- при определении налогооблагаемой прибыли на основе понесенных расходов, связанных с деятельностью в Российской Федерации, применяется коэффициент 0,25.
При включении в состав доходов постоянных представительств доходов, полученных от источников в России и подвергшихся предварительному обложению налогом при их выплате, иностранным юридическим лицам предоставляется зачет на сумму ранее уплаченных налогов.
Иностранные юридические лица, осуществляющие деятельность на территории России через постоянные представительства и другие обособленные подразделения, производят все расчеты по платежам в бюджета различных уровней в рублях или в иностранной валюте только через счета, открываемые в уполномоченных банках на территории Российской федерации.
Иностранное юридическое лицо, осуществляющее деятельность в Российской Федерации через постоянное представительство, не позднее 15 апреля года, следующего за отчетным, представляет в налоговый орган по месту регистрации постоянного представительства отчет о деятельности в Российской Федерации (в произвольной форме), а также декларацию о доходах. При прекращении деятельности до окончания календарного года указанные документы должны быть представлены в течение месяца со дня ее прекращения.
Если иностранное юридическое лицо имеет в Российской Федерации несколько зарегистрированных в целях налогообложения постоянных представительств, декларация о доходах подается в каждый из соответствующих налоговых органов, на территории которого зарегистрировано постоянное представительство иностранного юридического лица.
Налоговый орган исчисляет сумму налога на прибыль иностранного юридического лица и выписывает платежное извещение в месячный срок с даты представления декларации о доходах.
Налог на прибыль исчисляется налоговым органом в рублях и уплачивается иностранным юридическим лицом в безналичном порядке в рублях или по желанию плательщика в иностранной валюте, покупаемой банками Российской Федерации и пересчитанной в рубли по курсу, котируемому 'Центральным банком Российской Федерации, действующему на день уплаты налога, в сроки, указанные в платежном извещении. На сумму исчисленного налога плательщику выдается платежное извещение, корешок которого служит основанием для ведения книги лицевых счетов.
Срок уплаты налога в платежном извещении устанавливается в один месяц с даты его выписки.
Излишне внесенные суммы налога засчитываются в счет очередных платежей или возвращаются плательщику налоговым органом в десятидневный срок со дня получения его письменного заявления.
Налогообложение доходов иностранных юридических, лиц, не связанных с деятельностью в Российской Федерации через постоянное представительство. Иностранные юридические лица, получающие доходы из источников, находящихся на территории Российской Федерации, подлежат обложению налогом на доходы у источника выплаты. К доходам из источников в Российской Федерации, в частности, относятся следующие доходы:
- дивиденды, выплачиваемые российскими резидентами, а также доходы от распределенной в пользу иностранного участника прибыли созданного в Российской Федерации предприятия с иностранными инвестициями;
- доходы, получаемые от долевого участия иностранных партнеров в деятельности товариществ;
- дополнительные вознаграждения акционеров в денежной или иной форме;
- прибыль, распределяемая чековыми инвестиционными фондами (специализированными инвестиционными фондами приватизации);
- процентный доход от долговых обязательств любого вида, включая суммы, начисляемые российскими банками по корреспондентским счетам иностранных банков, выплачиваемые иностранным юридическим лицам по привлеченным кредитам, депозитам, в том числе краткосрочным, от облигаций с правом на участие в прибылях компании и конвертируемых облигаций, по векселям и другим ценным бумагам; премий, выплачиваемых при погашении ценных бумаг, ранее реализованных с дисконтом; штрафов и пен:^ за нарушение договорных и долговых обязательств;
- доходы от использования авторских прав: вознаграждение за использование авторских прав, включая право на издание произведений литературы, искусства и науки, право на использование кинематографических произведений, в том числе художественных фильмов и видеокассет как для просмотра в кинотеатрах, так и на телевидении, а также записей для радиовещания;
- доходы от использования изобретения, полезной модели, промышленного образца, торговой марки, товарного знака, знака обслуживания других аналогичных активов, а также деловой репутации (престижа), контактов, клиентов и кадров компании;
- доходы от сдачи в аренду имущества, находящегося на территории Российской Федерации, в том числе лизинговых операций, рассчитываются исходя из всей суммы лизингового платежа за минусом суммы возмещения стоимости лизингового имущества (при финансовом лизинге), платы лизингодателю в качестве компенсации за использованные им кредитные ресурсы на приобретение имущества и суммы налога на лизинговое имущество;
- доходы от отчуждения имущества:
а) акций и других ценных бумаг;
б) долговых требований;
в) имущества отделения, которое иностранное юридическое лицо имеет на территории Российской Федерации;
г) морских, речных и воздушных судов, железнодорожного транспорта и автотранспортных средств, используемых в международных перевозках, и движимого имущества, относящегося к таким перевозкам;
д) имущества, находящегося на территории Российской Федерации. Такие доходы рассчитываются на основе превышения суммы реализации имущества над стоимостью его приобретения;
- премии по прямому страхованию и сострахованию, премии по перестрахованию, а также проценты на премии, формируемые российскими страховщиками по договорам, переданным в перестрахование иностранных перестраховщиков, и тантьемы, уплачиваемые иностранному партнеру. При этом доходы от премий по прямому страхованию и сострахованию рассчитываются исходя из полной суммы премии, умноженной на коэффициент 0,25. Доходы от премий по перестрахованию — с применением коэффициента 0,125;
- другие доходы, получение которых не связано с деятельностью через постоянное представительство, в частности за работы и любого рода услуги, выполненные и предоставленные на территории Российской Федерации, в том числе за:
а) выдачу компанией лицензии на производство или продажу товаров или услуг под фирменным наименованием данной компании;
б) право на использование программ для ЭВМ и баз данных;
в) использование технической, организационной или коммерческой информации («ноу-хау»), в том числе секретной формулы или процесса;
г) управленческие услуги;
д) оказание содействия, необходимого для эффективного использования имущества или пользования предоставленными правами;
е) оказание содействия, необходимого для установки и эксплуатации оборудования, линий механизмов и приспособлений;
ж) консультации, содействие и услуги, связанные с осуществлением управления любым научным, промышленным или коммерческим проектом, планом, процессом или предприятием с иностранными инвестициями;
з) услуги и консультации, оказываемые иностранной компанией своим дочерним компаниям, в связи с осуществлением последними предпринимательской деятельности в Российской Федерации, а также за услуги и консультации, предоставляемые в пользу представительства головным офисом иностранного юридического лица;
и) услуги по эмиссии (включая доходы от проведения самостоятельной эмиссии и доходы от услуг по ее обслуживанию) и размещению акций любого лица-резидента Российской Федерации;


Состав затрат на капитальные вложения


Под собственной производственной и непроизводственной базой следует понимать совокупность объектов основных производственных фондов, находящихся в собственности предприятия или в его полном хозяйственном ведении (последнее условие характерно для государственных и муниципальных предприятий, использующих для осуществления уставной деятельности объекты федеральной и муниципальной собственности) и учитываемых на балансе, включая основные фонды, переданные в краткосрочную аренду. Не относятся к собственной производственной базе предприятий объекты основных фондов, построенные при долевом участии и числящиеся на балансе других предприятий, а также переданные в долгосрочную аренду с правом выкупа или безвозмездно другим предприятиям как при наличии, так и при отсутствии совместной деятельности, а также в качестве паевых взносов в уставные фонды, вновь созданных предприятий.
В состав затрат на капитальные вложения включаются:
- приобретенное оборудование (силовые и рабочие машины и оборудование, измерительные и регулирующие приборы, вычислительная техника, транспортные средства, включая служебные легковые автомобили и автобусы, инструмент), офисное оборудование (копировальные машины, теле, аудио- и видеоаппаратура, приемно-переговорные устройства, факсимильные аппараты, телефонные станции и т.д.), передаточные устройства (различные кабельные сети, сети связи и др.), прочий производственный и хозяйственный инвентарь;
- выполненные строительно-монтажные, ремонтно-строительные, проектно-изыска-тельские, научно-исследовательские, опытно-конструкторские и другие работы, связанные с осуществлением нового строительства, реконструкции, расширения и технического перевооружения действующего производства, проведением предпроектных обследований и разработкой проектов, составлением титульных списков, осуществлением авторского надзора за соблюдением утвержденных проектов при производстве строительно-монтажных работ, проведением научных исследований в связи с необходимостью адаптации проекта к специфическим условиям строительства данного объекта;
- затраты по отводу земельных участков и переселению в связи со строительством, на приобретение в собственность земельных участков;
- расходы на подготовку эксплуатационных кадров для вновь созданных предприятий или структурных подразделений (цехов, участков, технологических комплексов и т.д.);
~ затраты на оплату труда строительных рабочих, накладные и другие расходы при выполнении капитальных работ хозяйственным способом;
- другие расходы.
Для целей налогообложения фактическими расходами на капитальные вложения, произведенными за счет собственных средств, независимо от времени их оплаты (предварительной или последующей) считаются:
а) стоимость оборудования, не требующего монтажа, — на момент оприходования в бухгалтерском учете по счету 01 «Основные средства», а оборудования, требующего монтажа, — по состоянию на дату его сдачи в монтаж;
б) стоимость строительно-монтажных и других работ, о выполнении которых составлен соответствующий акт, того отчетного периода, в котором они выполнены;
в) стоимость приобретенных в собственность земельных участков по состоянию на дату оформления свидетельства о праве собственности на землю;
д) затраты на обучение эксплуатационных кадров, распределяемые равномерно между различными отчетными периодами в течение всего срока действия договора с учебным заведением либо в момент оплаты (если обучение производится в рамках одного отчетного периода);
е) затраты на выполнение капитальных работ хозяйственным способом и прочие затраты (кроме затрат на погашение ссуд банка, полученных на финансирование капитальных вложений) — в порядке, установленном для включения в себестоимость продукции (работ, услуг) затрат на производство и реализацию продукции (работ, услуг).
Фактические расходы на капитальные вложения до отнесения их величины на уменьшение налогооблагаемой прибыли уменьшаются на величину износа основных средств, исчисленного по нормам амортизационных отчислений на полное восстановление и относящегося к отчетным периодам, начиная с 1993 г. Износ начисляется на введенные в эксплуатацию основные средства (включая оборудование, находящееся в запасе), приобретенные за счет всех источников финансирования, а также полученные в долгосрочную аренду с правом выкупа.
При исчислении налога на прибыль налогооблагаемая прибыль при фактически производственных затратах и расходах за счет прибыли, остающейся в распоряжении предприятия, определяется также на суммы:
1) затрат предприятий (в соответствии с утвержденными местными органами государственной власти нормативами) на содержание находящихся на их балансе объектов и учреждений здравоохранения, народного образования, культуры и спорта, детских дошкольных учреждений, детских лагерей отдыха, домов престарелых и инвалидов, жилищного фонда, а также затрат на эти цели при долевом участии предприятий в содержании указанных объектов и учреждений. Затраты предприятий при долевом участии принимаются в пределах норм, утвержденных местными органами государственной власти, на территориях которых находятся указанные объекты и учреждения. Если такие нормативы местными органами государственной власти не утверждены, то следует применять порядок определения расходов на содержание этих учреждений, действующий для аналогичных учреждений данной территории, подведомственной указанным органам;
2) взносов на благотворительные цели (включая связанные с реализацией программ переквалификации офицеров и социальной защиты воинов-интернационалистов, воевавших в Афганистане, и военнослужащих, увольняемых в запас), в экологические и оздоровительные фонды, общественным организациям инвалидов, религиозным организациям (объединениям), зарегистрированным в установленном порядке, а также средств, перечисленных предприятиям, учреждениям и организациям здравоохранения, народного образования, социального обеспечения, культуры и спорта, но не более 5% облагаемой налогом прибыли.
По предприятиям, получившим в предыдущем году убыток (на основании бухгалтерского баланса), освобождается от уплаты налога часть прибыли, направленная на его покрытие в течение последующих 5 лет (при условии полного использования на эти
цели средств резервного и других аналогичных фондов предприятия,   создание которых предусмотрено законодательством РФ).
Не подлежит налогообложению прибыль:
- религиозных организаций (объединений) от культовой деятельности и от реализации предметов, необходимых для совершения культа;
- общественных организаций инвалидов, а также находящихся в собственности этих организаций учреждений, предприятий и объединений в части, направляемой на уставную деятельность этих организаций;
- образовательных учреждений в части, направленной на нужды обеспечения, развития и совершенствования образовательного процесса.
При исчислении налога на прибыль налогооблагаемая прибыль без всяких ограничений уменьшается на суммы, направленные государственными и муниципальными образовательными учреждениями, а также негосударственными образовательными учреждениями, получившими в установленном порядке лицензии на осуществление образовательной деятельности, непосредственно на нужды обеспечения развития и совершенствования образовательного процесса (включая оплату труда) в данном образовательном учреждении.
Для получения вышеназванной льготы в первую очередь следует получить в государственных органах управления образованием лицензию на осуществление образовательной деятельности. Далее необходимо иметь в виду, что уменьшению подлежит прибыль, полученная образовательным учреждением от всех без исключения видов деятельности, скорректированная на величину внереализационных доходов и потерь, включая положительные и отрицательные курсовые разницы по валютным счетам и операциям в иностранной валюте. Что касается расходов, произведенных образовательным учреждением в отчетном периоде, то для целей определения размера налоговой льготы не учитываются суммы, направленные на нужды обеспечения, развития и совершенствования других видов деятельности (кроме образовательной), которые осуществляет данное учреждение образования.
В связи с этим предоставление данной налоговой льготы учреждениям образования, осуществляющим другие (кроме образовательной) виды деятельности, может производиться только при наличии раздельного учета доходов и расходов по каждому виду деятельности.
К расходам на нужды обеспечения образовательного процесса относятся все затраты, производимые учреждением образования в процессе осуществления образовательной деятельности, которые в соответствии с действующим порядком подлежат включению в себестоимость продукции, работ, услуг в порядке, изложенном выше. Кроме того, к таким расходам относятся также некоторые затраты, производимые за счет прибыли, остающейся в распоряжении предприятий после уплаты налогов:
- оплата услуг, осуществляемых сторонними организациями по управлению производством (в части, относящейся к образовательному процессу), в случаях, когда штатным расписанием учреждения образования предусмотрены те или иные функциональные службы;


Состав затрат на развитие и совершенствование образовательного процесса


- произведенные сверх утвержденных в установленном законодательством порядке норм представительские расходы, связанные с осуществлением образовательной деятельности (расходы по проведению официального приема представителей других предприятий, включая иностранцев, на посещение культурно-зрелищных мероприятий, оплата услуг переводчиков, не состоящих в штате предприятия), расходы по проведению заседаний совета (правления) предприятия и ревизионной комиссии предприятия, расходы на командировки, связанные с производственной деятельностью, затраты, связанные с подготовкой и переподготовкой кадров для образовательной деятельности, расходы на рекламу услуг в сфере образования, связанных с учебно-производственным процессом в данном образовательном учреждении;
- платежи по кредитам банков, выданным для нужд обеспечения, развития и совершенствования образовательного процесса, производимые сверх сумм, исчисленных
исходя из учетной ставки Центрального банка РФ, увеличенной на три пункта (за исключением процентов по отсроченным и просроченным ссудам), а также проценты за пользование полученными на эти цели временно свободными средствами других кредитных учреждений, предприятий и организаций.
В состав затрат на развитие и совершенствование образовательного процесса включаются расходы, производимые учреждением образования за счет собственных средств:
- на финансирование капитальных вложений (перечень статей расходов изложен выше);
- проведение научно-исследовательских и опытно-конструкторских работ, связанных с совершенствованием образовательного процесса;
- создание и совершенствование систем и средств управления образовательным процессом (в том числе расходы по приобретению программных продуктов в целях их использования в образовательной деятельности и управления ею).
Не включаются в расходы на нужды обеспечения, развития и совершенствования образовательного процесса следующие затраты:
- выплаты персоналу учреждения, занятому в образовательной деятельности, в виде материальной помощи, премий из средств специального назначения и целевых поступлений, оплата дополнительно предоставляемых по коллективному договору (сверх установленных законодательством) отпусков, надбавок к пенсиям сверх установленных законодательством размеров, дивидендов по акциям, другие выплаты, которые в соответствии с действующим порядком не включаются в состав расходов на оплату труда;
- затраты на содержание находящихся на балансе образовательных учреждений объектов социально-культурной сферы;
- взносы на благотворительные цели, в экологические и оздоровительные фонды, общественным организациям и объединениям, учреждениям здравоохранения, народного образования, социального обеспечения, культуры и искусства и др.;
- безвозмездное перечисление денежных средств гражданам, сторонним предприятиям и организациям на различные цели;
- внесение в бюджет сумм экономических и финансовых санкций за нарушение налогового и иного законодательства;
- другие затраты, производимые учреждениями образования за счет прибыли, остающейся в их распоряжении после уплаты налогов, для целей, не связанных с обеспечением совершенствования образовательного процесса, другими предприятиями и организациями в соответствии с действующим законодательством.
Органы государственной власти национально-государственных и административно-территориальных образований помимо льгот, предусмотренных законом, могут устанавливать для отдельных категорий плательщиков дополнительные льготы по налогу в пределах сумм налоговых платежей, направляемых в их бюджеты.
Сумма налога определяется плательщиками на основании бухгалтерских отчета и отчетности самостоятельно.
В течение квартала плательщики, за исключением предприятий с иностранными инвестициями, а также малых предприятий, производят авансовые взносы налога исходя из предполагаемой суммы прибыли за налогооблагаемый период и ставки налога. Для контроля за правильностью определения и полнотой перечисления в бюджет авансовых сумм налога на прибыль предприятия представляют налоговым органам по месту своего нахождения справки о предполагаемой сумме прибыли на текущий квартал.
По окончании первого квартала, полугодия, девяти месяцев и года плательщики самостоятельно исчисляют сумму налога на прибыль нарастающим итогом с начала года исходя из фактически полученной ими прибыли, подлежащей налогообложению, с учетом предоставленных льгот и ставки налога на прибыль. Сумма налога, подлежащая уплате в бюджет, определяется с учетом ранее начисленных платежей.
Уплата налога на прибыль производится в безналичном порядке в рублях РФ в сроки, установленные  действующим законодательством.  Предприятия  с  иностранными инвестициями могут уплачивать налог в иностранной валюте по курсу ЦБ России, действующему на дату получения дохода.
Помимо налога на прибыль предприятия и организации уплачивают налоги со следующих видов доходов и прибыли:
- дивидендов, процентов, полученных по акциям, выпущенным в Российской Федерации, а также государственным ценным бумагам, принадлежащим предприятиям.
- доходов от долевого участия в других предприятиях, созданных на территории РФ;
- доходов (включая доходы от аренды и иных видов использования) казино, видеосалонов, от видеопоказа, от проката видео- и аудиокассет и записи на них, игровых автоматов с денежным выигрышем. При определении суммы дохода, подлежащего налогообложению, из полученной выручки вычитаются материальные затраты, связанные с получением этого дохода;
- прибыли от проведения массовых концертно-зрелищных мероприятий на открытых площадках, стадионах, во дворцах спорта, в других помещениях, число мест в которых превышает две тысячи.
Помимо вышеназванных платежей плательщики налога на прибыль вносят в доход бюджета дополнительные платежи, исчисленные в виде разницы между суммой, подлежащей внесению в бюджет по фактически полученной прибыли, и авансовыми взносами налога на прибыль по ставке, рассчитанной исходя из учетной ставки, установленной в истекшем квартале Центральным банком РФ, при определении размера которых необходимо учитывать следующее.
Авансовыми взносами налога на прибыль за истекший квартал следует считать сумму фактически внесенных авансовых платежей за квартал с учетом платежей, произведенных в предыдущем периоде в счет авансовых платежей данного квартала (переплата на начало квартала), но не более суммы авансовых платежей, заявленной в справке о предполагаемой прибыли на квартал.
Фактически внесенные в доход бюджета авансовые платежи засчитываются в погашение авансовых взносов налога на прибыль, указанных в представленной в налоговый орган справке, если они были внесены до конца отчетного квартала.
Если в истекшем квартале по лицевому счету предприятия были отражены какие-либо суммы платежей к уменьшению, они засчитываются для целей исчисления дополнительных платежей (возврата из бюджета) в счет авансовых взносов налога на прибыль.
Суммы дополнительных платежей в бюджет (возврат из бюджета) относятся на финансовые результаты хозяйственной деятельности предприятий в квартале, следующем за кварталом, за который представлен расчет таких платежей (возврат из бюджета). Отражение таких операций в бухгалтерском учете производится при начислении дополнительных платежей по дебету счета 80 «Прибыли и убытки» и кредиту счета 68 «Расчеты с бюджетом», а при начислении сумм, дополнительно причитающихся к возврату из бюджета, — по дебету счета 68 в корреспонденции с кредитом счета 80.
При наличии у предприятия нескольких видов деятельности, прибыль от которых облагается по различным ставкам налога, распределение дополнительных платежей по видам бюджетов производится исходя из соотношения, возникшего при исчислении основных платежей налога на прибыль.


Составные элементы системы фирменного стиля


Следует иметь в виду, что товарный знак является составной частью более широкого понятия — «фирменного стиля», — занимая в нем ведущее место.
Фирменный стиль — совокупность приемов (графических, цветовых, пластических, языковых и др.), которые, обеспечивая определенное единство всей продукции производителя-продавца, воспринимаемое во внешней среде (не только потенциальными покупателями), одновременно противопоставляет производителя и его продукцию конкурентам и их товарам.
Составными элементами системы фирменного стиля являются:
- товарный знак;
- логотип — специально разработанное, оригинальное начертание полного или сокращенного наименования фирмы (или группы ее товаров);
- фирменный блок — объединенные в композицию знак и логотип, а также разного рода поясняющие надписи (страна, почтовый адрес, телефон и телекс) и нередко «фирменный лозунг», как бы выражающий коммерческое и техническое кредо предприятия (например, «Мы вводим науку в практику» — у американской фирмы «Рокуэлл»);
- фирменный цвет (сочетание цветов);
- фирменный комплект шрифтов;
- фирменные константы (формат, система верстки текста и иллюстраций и др.).
В известной степени фирменный стиль — это отражение своеобразия работы фирмы, ' ее товарной, технической, торговой политики, порой даже внутренней организации, Изделия фирменного стиля помогают фирме завоевать популярность, а значит, и стимулировать ее сбыт. Но все это имеет место лишь тогда, когда товары (услуги) фирмы являются действительно первоклассными. Плохой товар, обманувший ожидания, быстро соотносится с фирменным стилем, торговым знаком, и теперь уже они меняют положительный знак на противоположный, сигнализируя — «Осторожно, возможен брак!». Такая метаморфоза способна подорвать коммерцию. Поэтому рекомендуется сначала завоевать доверие покупателей отличной технической и коммерческой работой, а потом уже думать о введении товарных знаков и фирменного стиля в целом.
Производитель, принявший после всестороннего экономического анализа решение о переводе своих определенных товаров в разряд марочных, может реализовать его с помощью трех основных способов: посредством выхода на рынок под собственной маркой;
продавать товар посреднику, разрешив ему присвоить товару «частную» марку (называемую также маркой посредника, дистрибьютора, дилера); продавать часть товаров под собственной маркой изготовителя, а остальные — под частными марками.
Приводимые примеры свидетельствуют об использовании на практике всех вариантов. Так, американские фирмы «Келлог», «Интернешнл харвестер», ИБМ продают практически все, что производят, под своими марочными названиями. Напротив, фирма «Варвик электронике» реализует почти все свои товары под марками разных дистрибьюторов, фирма «Уэрлпул» — как под собственными марками, так и под марками дистрибьюторов.
Крупные предприятия оптовой и розничной торговли за рубежом расширяют практику продажи товаров под своими собственными марками. В США, например, шины под частными марками известных торговых объединений «Сирс» и «Дж. К. Пенни» так же хорошо известны, как марки крупных производителей шин «Гудийр», «Гудрич» и «Файрстон». «Сирс» создала ряд марочных названий, таких, как «Дайхард» — для автомобильных аккумуляторов; «Кенмор» — для электробытовых приборов. И потребители, естественно, интересуются товарами этих марок, более 90% товаров, предлагаемых магазинами «Сирс», продаются под ее частными марками.
Производители, стремящиеся к выпуску марочных товаров, придерживаются обычно следующих подходов к решению проблемы присвоения марочных названий.
1. Индивидуальные марочные названия. Этой практики придерживается, в частности, американская фирма «Проктер энд Гэмбл» (стиральные порошки «Чайд», «Болд», «Тайд» и др.).
2. Единое марочное название для всех товаров (фирмы «Дженерал электрик», «Хайнц»).
3. Коллективные марочные названия для товарных семейств. Такой политики придерживается уже упомянутая «Сирс» (электробытовые приборы «Кенмор», женская одежда «Керрибрук», основное оборудование для дома «Хоумарт»).
4. Торговое название фирмы в сочетании с индивидуальными марками товаров (практикует, например, фирма «Келлог» — изюмные хлопья «Келлогс рейзин брэн», хрустящий рис «Келлогс райе криспис»).
Основное преимущество присвоения товарам индивидуальных марок — независимость репутации фирмы от факта принятия или непринятия рынком конкретного товара. Его рыночная неудача не наносит особого ущерба репутации производителя.
Положительные стороны стратегии присвоения единого марочного названия всем товарам — снижение издержек по выводу товаров на рынок из-за сокращения затрат на рекламу, обеспечивающую узнаваемость марочного названия и создание ему предпочтения. Более того, сбыт пойдет успешно, если имя производителя уже благоприятно воспринимается рынком.
Если производитель выпускает совершенно разные товары, то использование единого марочного названия для него может показаться нецелесообразным. В этих условиях создаются коллективные марочные названия даже для неодинаковых по качеству групп товаров в рамках одного и того же товарного класса. Например, американская фирма «Эй энд Пи» продает изюм первого сорта под маркой «Энн Пейди», второго — «Султан» и третьего — под маркой «Иона».
Наконец, некоторые производители хотят, чтобы название фирмы ассоциировалось с индивидуальным марочным названием каждого отдельного товара. Название фирмы как бы придает новинке законную силу, а индивидуальное марочное название сообщает ей неповторимость.
В России товарные знаки до последнего времени практически отсутствовали, хотя и создавались, правда, в недостаточных количествах в связи с внешнеэкономической деятельностью. Вместе с тем, по мере перехода к цивилизованному внутреннему рынку и развития на нем конкурентных отношений потребность в марочных товарах будет возрастать, что потребует расширенного применения товарных знаков и значительной активизации всей работы, связанной с их конструированием, использованием и юридической защитой.
С принятием упомянутого Закона РФ «О товарных знаках...» в России создана нормативная основа, связанная с товарными и иными знаками, обслуживающими товары на рынке. Закон нормативно регулирует весь комплекс вопросов, связанных с регистрацией товарного знака, его использованием, передачей, правовой охраной и защитой прав владельца такого знака. В Законе отражен международный опыт и учтены важнейшие положения международных актов, относящихся к товарным знакам, продленной и интеллектуальной собственности. Основные положения Закона о товарных знаках состоят в следующем.
1. Товарному знаку на территории России предоставляется правовая охрана на основе его регистрации в порядке, установленном настоящим Законом, или в силу международных договоров РФ. Владелец товарного знака имеет исключительное право пользоваться и распоряжаться товарным знаком. Никто не может использовать охраняемый в РФ товарный знак без разрешения его владельца.
2. Приоритет товарного знака устанавливается по дате поступления в Патентное ведомство заявки, удовлетворяющей требованиям пункта 4 статьи 8 Закона. Приоритет может устанавливаться по дате международной регистрации товарного знака в соответствии с международными договорами РФ. Регистрация товарного знака действует в течение десяти лет; срок действия регистрации может быть продлен по заявлению владельца каждый раз на десять лет.
3. Товарный знак может быть коллективным, т.е. являться собственностью союза, ассоциации, иного добровольного объединения предприятий. Он предназначен для обозначения выпускаемых и (или) реализуемых ими товаров, обладающих едиными качественными и (или) общими характеристиками. Коллективный знак и право на использование не могут быть переданы другим лицам.
4. Использованием товарного знака считается применение его на товарах, для которых товарный знак зарегистрирован. Использованием может быть также признано применение товарного знака в рекламе, печатных изданиях, на официальных бланках^ на вывесках и т.д. при наличии уважительной причины неприменения товарного знака на товарах и (или) на упаковке. Действие регистрации товарного знака может быть прекращено на основании решения Высшей патентной палаты, принятого по заявлению любого лица в связи с использованием товарного знака неправильно в течение пяти лет с даты регистрации или пяти лет, предшествующих подаче такого заявления.
5. Товарный знак может быть уступлен его владельцем по договору в отношении всех или части товаров, для которых он зарегистрировал право на использование товарного знака, может быть предоставлен владельцем товарного знака другому лицу по
лицензионному договору. Договор об уступке товарного знака и лицензионный договор недействительны без регистрации в Патентном ведомстве.
6. Признание регистрации товарного знака недействительной или аннулирование решения могут быть осуществлены по ряду признаков, изложенных в статьях 28 и 29 Закона.
Упаковка и маркировка товара. Как красивая одежда украшает человека, так и красочная, нарядная упаковка создает представление о первоклассном содержимом товара, и напротив, как бы ни был высококачествен товар, неряшливая, грязная, слабая упаковка оттолкнет от него покупателей.


Современное положение промышленных предприятий


Еще один нонсенс: в 1994 г. была завершена переоценка основных фондов, результаты которой по состоянию на 1 января 1993 г. повсеместно отражены в активах балансов предприятий. Эти активы в зависимости от отраслей увеличены в десятки раз. Но в то же время статьи баланса, касающиеся уставных капиталов, в соответствии с постановлением Правительства о переоценке основных фондов остаются без изменений.
В результате непрерывное «разбухание» источников собственных средств вело к тому, что оборотные средства предприятий многократно превышали их уставные капиталы. При безудержном и экономически далеко не всегда обоснованном росте цен приватизируемые предприятия активно формировали различные фонды, в том числе и фонды приватизации, которые давали им возможность без привлечения личных средств работников предприятий приватизировать предприятия. Такое положение вело к тому, что одна группа населения значительно расширяла возможности безвозмездно получать дополнительную долю госсобственности, а другая, большая его часть, теряла перспективы. В итоге приватизируемое по заниженным ценам госимущество становилось объектом перепродажи и спекуляций. В 1993 году размер таких потерь превысил 16 триллионов рублей.
Нуждался в законодательном решении вопрос о запрещении практики выхода из объединений (предприятий) отдельных служб и подразделений с приданием им статуса юридического лица, что неправомерно предусмотрено Указом Президента Российской Федерации от 1 июля 1992 года. Подобная мера вела к разрыву технологической цепочки самого производства. Приватизация составной части предприятий, причем, как правило, высокорентабельных производств, должна, как представлялось, проводиться только с согласия трудового коллектива предприятия в целом и по ходатайству соответствующего министерства, чтобы свобода выхода из технологической цепочки соизмерялась с хозяйственной целесообразностью и интересами всего коллектива. В противном случае в ходе приватизации появлялись весьма нежелательные последствия.
Современное положение промышленных предприятий характеризуется значительной нехваткой финансовых ресурсов для развития производства. Это усугубляется еще и тем, что, как правило, предприятия вынуждены расходовать значительные средства на содержание объектов социально-культурного и коммунально-бытового назначения. Учитывая углубляющийся кризис в экономике России, можно с уверенностью предположить, что в ближайшее время предприятия не найдут дополнительных средств для покрытия этих затрат. Вместе с тем обратим внимание на то, что в действующей практике имеются варианты решения этой проблемы. На наш взгляд, следовало бы предусмотреть возможность оставления в распоряжении предприятий части дивидендов по акциям, находящимся в федеральной собственности, для целей инвестирования, содержания и развития объектов социальной сферы. Такое использование дивидендов следует считать более эффективным, чем существующий порядок направления их в бюджет государства, где они растворяются в других доходах.
Представляется ошибочным решение о создании акционерных обществ только открытого типа. При этом было выпущено из виду то существенное обстоятельство, что в таком случае коллектив предприятия в большей степени заинтересован в получении более высокой зарплаты, чем прибыли, что отнюдь не способствует укреплению и развитию акционерного общества.
При таком подходе, естественно, не могла быть достигнута конечная цель приватизации — создание эффективной хозяйственной системы. Собственников нужно было заинтересовать в прибыльной работе акционерных предприятий.
Не могло не беспокоить и то обстоятельство, что значительные государственные средства были перераспределены и безосновательно находились в составе имущества предприятий различных организационно-правовых форм, созданных в эти годы. Такие средства, отторгнутые от государства, обнаруживаются и сейчас как в акционерных обществах, так и в совместных предприятиях, в том числе и находящихся за рубежом, банках, биржах, концернах и т.п. Но возвратить их непросто. Видимо, для этого необходимо было осуществить повсеместную аудиторскую проверку предприятий всех форм собственности. Практика подтвердила необходимость решения проблем приватизации исключительно законом и действиями правительства строго в рамках этого закона. Иной подход, попытки «ускорить» приватизацию через «указное право» ведет к грабежу национального достояния и быстрому обогащению узкой группы чиновников-дельцов.
Так, Указ Президента РФ от 14 августа 1992 г. №914 «О введении в действие системы приватизационных чеков в Российской Федерации», вопреки закону о приватизации и Государственной программе по приватизации, а также Закону «Об именных приватизационных чеках и вкладах», ввел систему приватизационных чеков, установил возможность купли-продажи приватизационных чеков, ограничил их использование в качестве средства платежа за приватизируемые объекты тринадцатью месяцами против трех лет, предусмотренных законом. Указ Президента РФ от 14 октября 1992 г. №1229 также расширил сферу использования приватизационных чеков как средства платежа; наконец, выпуск чеков на предъявителя с предоставлением права их свободной купли-продажи породили широкую спекуляцию ими, которая способствовала обогащению дельцов за счет бедной части населения страны.{
Изучение экономики России представляет одну из сложнейших задач. Очевидно, что объективную оценку необходимо основывать на общепризнанных критериях. Достоверные результаты исследования дают основу для теоретической оценки тенденций развития российской экономики. Субъективно замкнутый взгляд отечественных экспертов может быть компенсирован исследованиями зарубежных экономистов. Главной же целью изучения экономики России остается нахождение путей эффективного развития определенных отраслей на основе НТП. Структурная перестройка российской экономики осуществляется в процессе замены централизованного планирования управлением, основанным на использовании рыночных инструментов, что обуславливает особенно крупные масштабы, глубину и сложность изменений в производстве, сферах распределения и социальных отношений в обществе.
Совокупность национальных экономик с их взаимосвязями образует мировое хозяйство. Изменения внутри экономик отдельных стран и неравномерность их развития приводят к сдвигам в структуре мирового хозяйства. Они происходят в форме изменений структуры производства, возникновения новых отраслей, перемен в соотношениях между развитыми, развивающимися странами и странами переходной экономики. Перестройка мирового хозяйства отражает также воздействие глобальных проблем, которые могут быть решены только усилиями всего человечества и затрагивают интересы большинства стран.
Общая обстановка в Российской Федерации накануне реформы. После августовских событий 1991 года в Москве центральная (союзная) власть стала распадаться буквально на глазах. М.С. Горбачев, стремясь оживить работу по заключению нового союзного договора, породил губительный новоогаревский процесс, который, в свою очередь, уже был готов произвести на свет свое детище — Союз Суверенных Государств — ССГ (так назывался этот проект, явившийся основой Беловежских соглашений об СНГ). Союзное правительство практически было ликвидировано, а вместо него образован Государственный комитет оперативного управления хозяйством. Однако его руководители тогда уже не могли сыграть роль союзных лидеров исполнительной власти, и похоже, они не особенно задумывались над судьбой все еще единой страны. Крупные союзные республики были в то время буквально одержимы одной мыслью — получить как можно больше прав от умирающего союзного центра, полагая, что тем самым автоматически будут решаться их обостряющиеся социально-экономические проблемы. Каждый из лидеров республик, собиравшихся под председательством союзного Президента, исходил из аксиомы, что именно его республика «содержит весь Союз». Такой подход был характерен и для руководства Российской Федерации — мы здесь не были исключением, а порою и задавали тон в дезинтеграционных процессах, это надо признать самокритично.
Проблема в России стала обостряться (хотя внешне это не бросалось в глаза) в организационно-управленческом отношении практически после августовских событий 1991 года. Тогдашнее российское правительство оказалось, по сути, парализованным. Ни союзного, ни российского правительства, способного не то чтобы «реформировать», но осуществлять простое управление, не было в течение нескольких месяцев, бесконтрольность чиновничества стала стремительно возрастать, а соответственно — и его коррумпированность. Регионы оказались предоставлены самим себе. Некоторое оживление в деятельность исполнительной власти вдохнула подготовка к пятому Съезду народных депутатов России осенью 1991 года.
На этом Съезде Президент объявил о новой радикальной экономической реформе — готовящейся либерализации цен, крупномасштабной приватизации. Было сказано, что все трудности останутся позади уже в конце 1992 года. Однако практически ни на этом Съезде, ни на последующих, ни на протяжении всей деятельности правительства в 1992 году целостной программы экономических реформ общество так и не увидело, если не учитывать некоторые наспех составленные фрагменты проектов, мало связанные между собой, время от времени «выбрасываемые» правительством по требованию парламента.


Спрос, предложение и цены


Спрос, предложение и цены
Цены претерпевают любые изменения на рынке под воздействием спроса и предложения.
Спрос можно определить как желание и возможность потребителя купить товар или услугу в определенное время и в определенном месте. Следует различать понятия «желание» и «спрос». Не всякое желание иметь товар является спросом; только то желание превращается в спрос, которое подкреплено финансовыми возможностями покупателя. Другими словами, рынок не реагирует на потребности, не обеспеченные платежеспособностью покупателя. Величина спроса на товар определяется влиянием следующих факторов.
Dx=
(Tx, Y, Px , Py, W,F)                          (19.2.1)
где Dx — спрос на товар;
Тx — потребность покупателя в данном товаре;
Y — доход потребителя;
Рx — цена на этот товар;
Рy — цена товара-заменителя;
Р — цена на дополняющий товар;
W — уровень благосостояния, т.е. покупательная способность потребителя;
F  — мнение потребителя относительно перспектив его экономического благосостояния.
Закон спроса показывает связь между ценами и количеством товаров и услуг, которые могут быть приобретены при каждой данной цене. Он говорит о том, что при прочих равных условиях по низкой цене удастся продать больше товаров, чем по высокой. Поэтому между рыночной ценой товара и тем его количеством, которое может быть куплено по данной цене, устанавливается строгое соотношение. Эту взаимосвязь можно представить в виде шкалы спроса, т.е. таблицы, показывающей, какое количество товара будет куплено по различным ценам (табл. 19.2.1).
Таблица 19.2.1
Соотношение цены и количества проданного товара на рынке
Цена (Price) за единицу товара в денежном выражении (Р)
Спрос (Quantity), количество проданного товара A(Q)
50
40
30
20
10
10
20
30
50
75

Почему спрос (или количество единиц купленного товара А) ведет себя подобным образом? Это объясняется следующими обстоятельствами:
- по низкой цене купить товар сможет большее число потребителей;
- низкие цены заставят многих покупателей предпочесть этот товар другому;
- если же цены на товар будут высокими, определенное число покупателей откажется от покупки.
Используя данные таблицы, можно построить график, где, соединив нанесенные точки, получим кривую спроса ( 19.2.1).

где Q1 — величина спроса при старых ценах;
Q2_ — величина спроса при новых ценах;
Р2 — новая цена;
Р1 — старая цена.
Если небольшие колебания цены приводят к значительным изменениям количества покупаемой продукции, то спрос принято называть эластичным. В этом случае коэффициент эластичности спроса по ценам больше 1 (Эc l). Из 19.2.3,б видно, что увеличение цены ведет к значительному сокращению спроса.

Таким образом, спрос выражает желание потребителя купить товар, но это желание может основываться на различных мотивах. Фиксируя различные параметры товара или другие факторы в результате наблюдений за поведением покупателей, реально выявить, что привлекает покупателей, а что отталкивает в товаре. Используя эту информацию в совокупности с другими методами маркетинга, можно стимулировать покупателей приобретать товар.
Всякое взаимодействие с потенциальным покупателем используется в маркетинге для получения информации о самом покупателе, о рынке, о своем товаре. При непосредственном контакте с потребителями дилеры и дистрибьюторы имеют более адекватную информацию о настроениях и преференциях покупателей и имеют массу средств воздействия на них. Поэтому маркетинг использует, среди прочих, метод формирования спроса через сбыт.


Средневековый город


Средневековый город Ранний европейский феодализм обходился без городов и городского хозяйства. Города возникают в XI в. и быстро начинают расти. В первую очередь оживают развалины городов, построенных римлянами: Лондон, Париж, Марсель, Кёльн, Генуя, Венеция, Неаполь.
Будущий Кёльн к началу XI в. представлял значительное пространство, обнесенное римскими крепостными стенами. Рядом с этими стенами на берегу Рейна появилось крошечное ремесленное поселение. За короткий срок город вырос до размеров, втрое превосходивших прежний римский город, и был обнесен новыми стенами.
Что было причиной возникновения быстрого роста городов? Отделение ремесла от земледелия.
Развитие ремесла проявлялось в его специализации. Раньше деревенский кузнец был мастером на все руки: подковывал лошадей, делал серпы, ножи и даже оружие для дружины феодала. Ему хватало работы в феоде. Но теперь появляются мастера-оружейники, мастера по изготовлению доспехов, которые не умеют делать мечи. И этим «узким специалистам» уже не хватает работы в феоде. Им нужен рынок.
К тому же растет спрос феодалов на предметы роскоши. Потому и появляются «узкие специалисты» в ремесле, что феодала уже не удовлетворяли грубые изделия домашних ремесленников. Он не желал больше ходить в домотканном полотне и овчинной шубе, ему требовались тонкие шерстяные ткани, а их производство нельзя было наладить в каждом феоде.
И вот теперь ставший ненужным феодалу ремесленник, чтобы совершенствоваться в своем деле и готовить те изделия, на которые повысился спрос, покидает деревню и селится в таком месте, куда стекается много народу, где он может найти много покупателей и заказчиков на свои изделия, на пересечении дорог, под стенами крупного монастыря, куда приходит много паломников. На этом месте и начинает расти город. А при чем здесь развалины римских городов? Римляне строили свои города в самых географически удобных пунктах.
В города бегут крепостные крестьяне. Тогда существовала пословица «городской воздух делает свободным»: по законам, принятым повсеместно (любопытно, что несмотря на феодальную раздробленность, законы и обычаи были почти везде одинаковы), крестьянину достаточно было прожить в городе один год и один день, и он становился свободным.
В условиях феодализма, когда рынок еще оставался узким, ремесленник и в городе не сразу находил достаточное количество покупателей и заказчиков. Поэтому первое время горожане продолжали заниматься и сельским хозяйством, имели огороды и поля.
Внутри Парижа еще в ХШ—XV вв. были не только огороды, но и пахотные земли, а о городе Майнце говорили, что он частью заселен, а частью засеян.
В XI в. повсеместно начинается борьба городов против феодалов за свою независимость, которая, как правило, заканчивалась победой городов.1
Правила, существующие в экономических системах, устанавливают, в основном, количественные и качественные отношения между элементами экономики. Поэтому особенно важно устанавливать такие правила на макроуровне в виде законов, поддерживающих, например, свободное предпринимательство и конкуренцию. Именно эти два фактора, возникшие в капиталистических системах, во многом обуславливают экономическое развитие в странах с рыночной экономикой. Поэтому необходимо более подробно остановиться на вопросах генезиса капиталистической экономики в странах первого эшелона (Голландия, Англия, Франция, США), а также промышленного капитализма в Японии (патерналистская модель).
Разложение феодальной и рождение капиталистической экономики в Западной Европе. Первоначальное накопление в Англии XVI—XVII вв. в истории Европы — это переходный период от феодализма к капитализму. Какие главные черты характерны для этого периода?
Во-первых, это период первоначального накопления, то есть период подготовки основных условий для развития капиталистического производства.
Во-вторых, это мануфактурный период, т.е. период господства в промышленности еще не фабрики, а мануфактуры.
В-третьих, в большинстве стран Европы в это время еще сохраняются феодальный строй и феодальный способ производства. Только две страны выдвинулись вперед и развиваются уже по капиталистическому пути. Это — Англия и Нидерланды. На их примере мы и рассмотрим, что такое первоначальное накопление и мануфактурный период.
Итак, что такое первоначальное накопление? Это создание двух решающих условий, необходимых для развития капиталистического производства.
Первое условие. Для развития производства необходимы капиталы, т.е. крупные суммы денег, достаточные для организации предприятия. Без капитала нет капиталиста. Поэтому одна сторона первоначального накопления — накопление капиталов у будущих капиталистов. Именно у них. Крупные суммы денег, которые накапливались у феодалов, тратились на потребление, а не вкладывались в производство, не становились капиталом.
Второе условие. Для развития капиталистического производства нужны рабочие, т.е. люди, которые не имеют собственного хозяйства и связанных с ним средств существования, а поэтому вынуждены наниматься к капиталистам в рабочие.
Причиной разорения крестьян и превращения их в рабочие в Англии стало овцеводство, которое англичане считали столь важной частью своего хозяйства, что даже спикер палаты общин английского парламента во время заседаний сидел на мешке с шерстью. В результате «революции цен» заниматься овцеводством стало особенно выгодно, так как цены на шерсть выросли даже больше, чем на другие товары. И наоборот, продолжать феодальную эксплуатацию крестьян стало совсем невыгодно, потому что реальная величина фиксированной феодальной ренты резко уменьшилась.
Для Англии именно колонии стали важнейшим источником накопления капиталов. Но, поскольку почти все колонии вначале принадлежали Испании и Португалии, Англии приходилось действовать косвенным путем.
Во-первых, английские купцы вели контрабандную торговлю с этими колониями, наживая при этом значительные капиталы.
Во-вторых, огромные капиталы наживались путем работорговли. Английские купцы везли за океан не только промышленные товары, но и африканских негров-рабов. Испанцы, истребив в Америке значительную часть местного населения, были вынуждены ввозить рабочую силу из Африки. Но сами они гнушались работорговлей. Это дело взяли на себя англичане. Основатель этого промысла Джон Гоукинс получил за это звание рыцаря, причем на его гербе был изображен негр в цепях. Работорговля была очень выгодным занятием, потому что в Африке негры или просто порабощались в грабительских набегах, или покупались у местных царьков за ром и безделушки. Прибыль в 100% за один рейс считалась невысокой, и нередко достигала 300 и более процентов.
Практиковалась так называемая треугольная торговля, из испанских колоний тропической Америки, где были плантации сахарного тростника, в колонии Северной Америки везли патоку. Здесь из нее делали ром. Ром везли в Африку и обменивали на рабов. Рабов везли в Америку и история повторялась сначала. Иногда за один «треугольный» рейс прибыль доходила до 1000%. Негры укладывались на палубе или в трюмах «как ряды книг на полках». Около 30% негров погибало в пути. Заболевшие выбрасывались за борт еще живыми, чтобы избежать «порчи» остального груза.
В-третьих, англичане промышляли пиратством против Испании. Пиратские нападения на испанские корабли, которые шли из колоний с грузом золота и пряностей, на испанские приморские города в Америке считались тогда патриотическим делом. Для снаряжения пиратских экспедиций создавались акционерные компании, в которых принимали участие не только купцы, но и сановники, и даже сама королева Елизавета. Пират Френсис Дрейк, совершивший второе в истории кругосветное плавание, стал адмиралом королевского флота. Короче говоря, пиратство тогда считалось вполне легальным и почтенным занятием.
Важным источником накопления капиталов была и монопольная торговля, которая позволяла перепродавать товар намного дороже стоимости. Например, монопольное право на торговлю с Россией имела уже упомянутая «Московская компания» английских купцов. Они вывозили из России сало, воск, меха, лен, пеньку. Пенька для Англии имела особое значение: пеньковые канаты были необходимы для растущего английского флота. Поэтому в Холмогорах и в Вологде были созданы даже английские предприятия по изготовлению канатов. И английский флот был оснащен русскими канатами. Перепродавая русские товары в Европе, английские купцы получали, конечно, повышенную прибыль. Отметим, что в период первоначального накопления сфера накопления капиталов, в том числе и торговли, обычно обеспечивала неэквивалентную прибыль.



Средние индексы


Средние индексы В предыдущем разделе отмечалось, что для определения общих индексов цен и физического объема товарооборота в агрегатной форме необходимы данные о количестве отдельных товаров в натуральных измерителях. Но количественный учет продажи в современных условиях развития торговли осуществляется не везде. Он осуществляется лишь в оптовой торговле и в общественном питании.
Для определения сводных обещающих показателей изменения розничных цен в торговле используется средняя гармоническая форма общего индекса цен, в которой в отличие от индекса Пааше (18.3.3) знаменатель преобразован:

может использоваться для определения общего индекса физического объема товарооборота в сопоставимых (базисных) ценах. Для этого применяется преобразованная формула агрегатного индекса физического объема:

Таблица 18.3.3
Товар
Среднесуточная продажа, кг
Цена за 1 кг, руб.
Октябрь
 qo
ноябрь

декабрь

октябрь
Ро
Ноябрь
Рн
Декабрь
Рд
1
2
3
4
5
6
7
А
Б
1200
800
1000
300
600
100
0,8
1,1
1,0
1,5
1,2
2,0

Подставляя в формулу (18.3.20) итоговые данные гр. 2 и гр. б (табл. 18.3.3), вычисляем:
Iq=459,02/420,0=1,093,
 т.е. физический объем продажи товаров увеличился в текущем периоде в среднем на 9,3%.
На основе формулы (18.3.20) исчисляется прирост суммы товарооборота в текущем периоде в результате изменения физического объема продажи товаров:

Таким образом, индексный анализ данных табл. 18.3.3 показывает, что снижение цен по ассортименту в целом в среднем на 3,5% вызвало увеличение товарооборота на 15,98 тыс. руб. Увеличение физического объема продажи товаров в среднем на 9,3% обусловило рост товарооборота на 39,02 тыс. руб. В результате совокупного действия этих факторов прирост объема товарооборота в текущих ценах составил 55 тыс. руб. (39,02 + 15,98). Это соответствует расчету по формуле (18.3.14):

т.е. в текущем периоде прирост товарооборота (в ценах соответствующих периодов) составил 55 тыс. руб.
Применительно к практике ведения стоимостного учета реализации товаров невоз-. можно непосредственно применить в анализе агрегатной формы индекс Ласпейреса (18.3.5). Но при наличии информации об индивидуальных индексах цен (18.3.2) формула (18.3.5) может быть преобразована в среднюю арифметическую. Это осуществляется заменой
p1q0 на
ipp0q0, так как из формулы (18.3.2) р1 =ip р0 :

Формула (18.3.22), имеющая в качестве веса усредняемых индексов i объем товарооборота реализации товаров в базисном периоде qypo, применяется при определении
среднего изменения цен и общей суммы прироста товарооборота в предстоящем периоде по сравнению с базисным периодом.
Отсутствие данных о количестве товаров (в натуральных измерителях) не позволяет непосредственно применять агрегатные индексы физического объема (18.3.15) и (18.3.17).
При наличии информации об индивидуальных индексах физического объема (18.3.1) и стоимости реализованных в базисном периоде товаров qypy общий индекс физического объема может определяться по формуле среднего арифметического индекса:

Числитель формулы (18.3.23) получен заменой в агрегатном индексе физического объема (18.3.15) значения
p1q0 на
ipp0q0 так как из формулы (18.3.1) следует q1=iq*q0
В формуле (18.3.23) индивидуальные индексы физического объема i выступают как усредняемые величины, а q0p0— в качестве веса.
При наличии информации об индивидуальных индексах физического объема (18.3.1) и фактической стоимости продукции (товара) в текущем периоде q1p1 общий индекс физического объема определяется по формуле средней гармонической:

Формула (18.3.24) получена заменой в формуле (18.3.17) знаменателя
p1q0 на
p1q0/iq, так как из формулы (18.3.1) следует qo=q1\iq
Сопоставление числителя и знаменателя индексного отношения (18.3.24) дает показатель прироста стоимости продукции вследствие изменения физического объема:

Такие же принципы положены в преобразование агрегатных форм индексов качественных и объемных показателей.
Значимость преобразованных индексов состоит в том, что в качестве весов усредняемых индексов выступают реальные экономические категории:
q1p1 и q0p0 — фактический товарооборот текущего и базисного периодов;
z1q1 и z0p0 — фактические затраты денежных средств на производство продукции в текущем и базисном периодах;
t1q1 и t0q0 — фактические затраты рабочего времени (труда) на производство продукции в текущем и базисном периодах.1


Статистические показатели динамики социально-экономических явлений


Статистические показатели динамики социально-экономических явлений Для количественной  оценки  динамики  социально-экономических  явлений применяются статистические показатели: абсолютные приросты, темпы роста и прироста, темпы наращивания и др.
В основе расчета показателей рядов динамики лежит сравнение его уровней. В зависимости от применяемого способа сопоставления показатели динамики могут вычисляться на постоянной и переменной базах сравнения.
Важнейшим статистическим показателем динамики является абсолютный прирост, который определяется в разностном сопоставлении двух уровней ряда динамики в единицах измерения исходной информации.
Базисный абсолютный прирост aj^ исчисляется как разность между сравниваемым
уровнем у- и уровнем, принятым за постоянную базу сравнения у п, :

Абсолютный прирост может иметь и отрицательный знак, показывающий, насколько уровень показателя изучаемого периода ниже базисного.
Между базисными и цепными абсолютными приростами имеется связь: сумма цепных абсолютных приростов ^Д^,,, равна базисному абсолютному приросту последнего периода ряда динамики A^g„:

Распространенным статистическим показателем динамики является темп роста. Он характеризует отношение двух уровней ряда и может выражаться в виде коэффициента или в процентах.
Базисные темпы роста Tpg исчисляются делением сравниваемого уровня у, на уровень, принятый за постоянную базу сравнения уо,:

Цепные темпы роста Трб исчисляются делением сравниваемого уровняв, на предыдущий уровень y0i:

Если темп роста больше единицы (или 100%), то это указывает на увеличение изучаемого уровня по сравнению с базисным. Темп роста, равный единице (или 100%), показывает, что уровень изучаемого периода по сравнению с базисным не изменился. Темп роста меньше единицы (или 100%) указывает на уменьшение уровня изучаемого периода по сравнению с базисным. Темп роста всегда имеет положительный знак.
Темпы прироста характеризуют абсолютный прирост в относительных величинах. Исчисленный в процентах темп прироста показывает, на сколько процентов изменился изучаемый уровень по сравнению с уровнем, принятым за базу сравнения.
Базисный темп прироста Tg вычисляется делением сравниваемого базисного абсолютного прироста Ауд на уровень, принятый за постоянную базу сравнения уoi:

Если уровни ряда динамики сокращаются, то соответствующие показатели темпа прироста будут со знаком минус, так как они характеризуют относительное уменьшение прироста уровня ряда динамики.
Важным статистическим показателем динамики социально-экономических процессов является темп наращивания, который в условиях интенсификации экономики измеряет наращивание во времени экономического потенциала.
Вычисляются темпы наращивания Тн делением цепных абсолютных приростов Av,
на уровень, принятый за постоянную базу сравнения уц, :

Из преобразований в формуле (17.3.10) следует, что темпы наращивания можно непосредственно определять по базисным темпам роста:

Формула (17.3.11) удобна для практики, так как статистическая информация о динамике социально-экономических явлений публикуется чаще всего в         виде базисных рядов динамики.1
17.4. Государственное регулирование экономики и экономическая политика административное и законодательное регулирование; взаимодействие государственных органов различных уровней
В широком смысле слова государственное регулирование — это распространение макроэкономического воздействия политических структур на национальное хозяйство. Но здесь в игру вступает социально-психологический фактор, включающий национальную ментальность и традиции, степень рациональности ожиданий населения, доверия к действиям правительства и т.д.
Присутствие в экономическом пространстве одновременно коммерческих и государственных структур, в разной степени регулирующих рыночные процессы, приводит к необходимости отслеживания элементов этих структур. При этом поиск общего признака в разнородных совокупностях элементов является  основой  для расчета  последовательности  воспроизведения исследуемого явления. Государство и рыночные механизмы соприкасаются на уровне административных отношений. Государственное регулирование экономики  и  экономической  политики  осуществляются  в  рамках административного регулирования.
Очевидно, что выражение обобщенных действий правил любого типа в рамках всей страны реализовано в законодательных источниках. При этом особое значение со стороны экономического субъекта уделяется модификациям проявления интересующего их явления. Именно проблема модификаций экономического явления в зависимости от основания, послужившего причиной его формообразования, и является наиболее спорной в законодательном регулировании.


Статистическое изучение образования и использования амортизационных фондов


Статистическое изучение образования и использования амортизационных фондов Характер кругооборота стоимости основных производственных фондов предопределяет существование особой экономической категории — амортизации. В практике амортизация приобретает форму амортизационных отчислений, включаемых в издержки производства и предназначенных для простого воспроизводства основных фондов и поддержания их в работоспособном состоянии. Производимые в течение срока службы объектов амортизационные отчисления аккумулируются в амортизационных фондах, а размеры отчислений в эти фонды определяются нормами амортизационных отчислений.
При расчете норм амортизационных отчислений учитывают первоначальную стоимость основных фондов, нормативные сроки их службы (амортизационный период), необходимые на этот период затраты на капитальный ремонт и модернизацию и ликвидационную стоимость основных фондов, определяемую как возможную выручку при ликвидации объекта за вычетом затрат на его ликвидацию (стоимость металлолома, полученного при демонтаже полностью изношенного станка, строительных материалов, полученных при разборке подлежащего сносу здания и др.)
Балансы основных фондов предприятия, объединения и отрасли Балансы основных фондов характеризуют процесс их воспроизводства за отчетный период, как правило, за год. В балансах отражается наличие основных фондов на начало года, их годовое движение — поступление по источникам и выбытие по направлениям, наличие на конец отчетного года. При этом должно иметь место равенство:
0н + П = В + 0к, где 0н — наличие основных фондов на начало отчетного периода; П — поступление основных фондов в течение отчетного периода; В — выбытие основных фондов в том же периоде; 0к — наличие основных фондов на конец отчетного периода.
Общими для всех уровней направлениями выбытия основных фондов являются:
выбытие полностью амортизированных основных фондов вследствие их полного физического износа; выбытие не полностью амортизированных основных фондов вследствие их преждевременного износа или нецелесообразности дальнейшей эксплуатации; выбытие основных фондов вследствие стихийных бедствий (землетрясения, наводнения, пожара и др.); уточнение наличия или оценки основных фондов в результате инвентаризаций, переоценок и т.п. На уровне отдельных организаций дополнительное направление выбытия основных фондов — их безвозмездная передача другим организациям.
Балансы основных фондов по полной стоимости тесно связаны с балансами по их стоимости с учетом износа. В содержании этих балансов учитываются дополнительные статьи; вызывающие изменения стоимости основных фондов вследствие годового изменения величины их износа. На уменьшение суммы износа основных фондов и соответственно увеличение их остаточной стоимости влияют: стоимость законченных в отчетном году капитальных ремонтов (если остаточная стоимость на начало года определена по полной сумме износа основных фондов, равной остаткам амортизационных фондов на реновацию и капитальный ремонт); суммы износа основных фондов, безвозмездно переданных другим организациям (так называемый износ по безвозмездным передачам основных фондов). На увеличение суммы износа и соответственно уменьшение остаточной стоимости основных фондов влияют: суммы начисленного за год износа (в размере общей величины начисленной за год амортизации или только в части, предназначенной на реновацию); износ по безвозмездно полученным основным фондам, так как на баланс они приходуются по полной стоимости с одновременным увеличением сальдо по счету «износ основных средств».
Показатели наличия, движения, состояния и использования основных производственных фондов. Фондовооруженность труда Общее наличие основных фондов с распределением их по назначению, видам и отраслям производственной сферы характеризуется статистикой чаще всего по состоянию на определенную дату (например, на начало и конец отчетного года). Такие данные можно получить непосредственно из балансов основных фондов. Однако в ряде случаев требуется характеристика наличия основных фондов в среднем за тот или иной период, поскольку в этом периоде происходит их поступление и выбытие. Для расчета среднего за период наличия основных фондов статистика применяет среднюю арифметическую и среднюю хронологическую. Так, средняя величина основных фондов за месяц определяется с помощью средней арифметической как полусумма данных о наличии основных фондов на начало и на конец месяца, среднее годовое наличие (средний годовой объем основных фондов) по данным об объемах основных фондов на начало и конец каждого месяца года рассчитывается по формуле средней хронологической.
По данным балансов основных фондов по полной и остаточной стоимости определяют обобщенные характеристики их состояния — коэффициенты годности и износа основных фондов.
Коэффициент годности основных фондов характеризует величину их стоимости, еще не перенесенную на продукт, и определяется как отношение стоимости основных фондов с учетом износа к их полной стоимости. Его можно исчислить на начало и конец отчетного периода.
Непосредственная характеристика степени изношенности основных фондов дается коэффициентом их износа, который определяется как отношение суммы износа основных фондов к их полной стоимости или как дополнение до единицы (100%) коэффициента годности основных фондов.
По данным, имеющимся в балансах основных фондов, определяют и обобщенные характеристики интенсивности их движения — коэффициенты поступления, обновления и выбытия (в том числе выбытия из-за ветхости и износа) основных фондов. Эти коэффициенты рассчитываются по данным о полной стоимости основных фондов. Коэффициент поступления основных фондов [Кп) — отношение стоимости поступивших в течение отчетного периода основных фондов к стоимости их на конец этого периода. При определении коэффициента обновления основных фондов (Коб) во внимание принимаютне всю стоимость поступивших основных фондов, а только стоимость поступивших новых основных фондов. Экономическое содержание этих коэффициентов в том, что они показывают долю всех или только новых поступивших в отчетном периоде основных фондов в их общем объеме на конец этого периода. Так как основные фонды служат не менее года, коэффициент выбытия Kg определяют как отношение полной стоимости выбывших в течение отчетного периода основных фондов к их полной стоимости на начало отчетного периода. Коэффициент выбытия основных фондов вследствие ветхости и износа Кв вычисляют без учета безвозмездных передач основных фондов другим организациям.
При исчислении коэффициентов поступления и выбытия основных фондов за длительные периоды времени необходимо учитывать, что различные виды основных фондов имеют существенно разные сроки службы. Поэтому за общими величинами коэффициентов поступления и выбытия основных фондов могут быть скрыты весьма существенные различия в интенсивности обновления отдельных их видов.
Механизация и автоматизация производственных процессов, улучшение условий труда работников находят количественное обобщающее выражение в показателе фондовооруженности. Теоретически правильно определять фондовооруженность рабочих
по данным о восстановительной стоимости основных фондов с учетом износа и о численности рабочих, занятых в наиболее заполненной смене (так как при работе более чем в одну смену одни и те же объекты основных фондов используются несколькими рабочими, занятыми в разных сменах). Однако на практике пользуются полной первоначальной или балансовой оценкой производственных основных фондов на определенную дату или в среднем за отчетный период и в зависимости от наличия необходимой информации определяют фондовооруженность делением стоимости основных фондов либо на численность рабочих, занятых в наиболее заполненной смене, либо на среднюю списочную численность рабочих или всех работающих.


Статистическое изучение результата и эффективности


Статистическое изучение результата и эффективности научно-технического прогресса В решении проблем интенсификации и повышения эффективности общественного производства важно иметь сведения о народнохозяйственной целесообразности осуществленных мероприятий в области научно-технического прогресса. Задача статистики заключается в определении конкретных результатов научно-технического прогресса и его социальной и экономической эффективности. Так как результат или эффект от реализации научных и технических решений весьма многообразен, то и статистика характеризует его рядом показателей, отражающих рост производственных мощностей, экономию живого и овеществленного труда, снижение себестоимости, повышение качества продукции, улучшение условий труда, снижение уровня загрязнения окружающей среды и т.д.\
Таким образом, изучение научно-технического прогресса в статистике предполагает разделение • процесса на группы, предусматривающие фиксацию индивидуальных воздействий в общей совокупности действий, направленных на сохранение позитивной динамики процесса прогресса.
Проводя статистическое исследование себестоимости продукции, необходимо учитывать, что при производстве продукции следует раскрывать формальное содержание происходящих процессов, отражающихся в себестоимости, совмещающей деятельность производителя и предметов труда в едином действии.
20.4. Государственное регулирование экономики и экономическая политика внешнеэкономическая политика; регулирование межгосударственных экономических отношений
Разработка программы внешнеэкономической политики необходима для составления выводов о сходстве индивидуальных характеристик данной страны с общеэкономическими в целом для определения этапов реализации внешнеэкономической политики страны в отношении сохранения стабильного положения в мире.
Государственное регулирование внешнеэкономических связей Внешнеэкономическая деятельность России представляет собой совокупность направлений,   форм   и   методов   торгово-экономического,   научно-технического сотрудничества, а также валютно-кредитных и финансовых отношений с зарубежными странами.
Стратегия развития внешнеэкономических связей направлена на улучшение положения России в системе международного разделения труда, расширение рынков сбыта продукции, достижение устойчивого экономического и социального роста.
Для этого государством предусматриваются меры по развитию экспортного потенциала, рационализации импорта, повышению конкурентоспособности продукции отечественных предприятий на мировом рынке, привлечению иностранных инвестиций для технологической модернизации производства, обеспечению экономической безопасности страны.1
Политика внешнеэкономического регулирования должна в своей сущности определять условия и обстоятельства, позволяющие осуществлять систему экономических, организационных, политических мер для развития внешних отношений данной страны.
Потенциал России и ее возможности по интеграции в мировое хозяйство достаточно велики. Так, в настоящее время в суммарном ВВП всех новых рынков доля России составляет свыше 25 %. Причем это единственный нарождающийся рынок, где есть своя космическая программа, инфраструктура и реальные возможности для ее реализации. По самым скромным оценкам в России больше природных ресурсов (10,2 трлн долл. США), чем у Бразилии (3,3 трлн долл.), Южной Африки (1,1 трлн долл.), Китая (0,6 трлн долл.) и Индии (0,4 трлн долл.) вместе взятых. Удельный же вес нашей страны в международных инвестициях в нарождающиеся рынки составляет всего 0,5%. Остальные 99,5% приходятся на Мексику, Бразилию, Аргентину, Турцию, другие развивающиеся и новые индустриальные страны.
Развитие внешнеэкономической деятельности РФ во многом определяется либерализацией условий ее осуществления. Она характеризуется в настоящее время значительным ослаблением государственной монополии на внешнюю торговлю и другие виды внешнеэкономической деятельности. Непосредственный выход на внешние рынки получили предприятия и организации, имеющие различные формы собственности и типы хозяйствования.2
Важным моментом внешнеэкономических отношений является регулирование процесса взаимодействия стран в различных аспектах их действий как основа для сохранения стабильности положения между странами.
К субъектам внешнеэкономической деятельности относятся специализированные внешнеэкономические организации, предприятия сферы производства и обслуживания, биржи и т.п., а также организации, обслуживающие внешнеэкономическую деятельность и содействующие ее развитию (банки, торгово-промышленные палаты и т.п.).
Система управления внешнеэкономической деятельностью на общегосударственном уровне включает такие органы, как::
- Президент и Правительство РФ — сфера общей компетенции;
- Министерство экономики РФ — разработка социально-экономической стратегии, включая определение направлений развития внешнеэкономической деятельности и формирование ее приоритетов в сотрудничестве с зарубежными государствами;
- Министерство финансов РФ — выработка государственной финансовой, политики в целом и во внешнеэкономической деятельности в частности;
- Министерство внешних экономических связей РФ — участие в разработке внешнеэкономической стратегии, реализация внешнеэкономической политики государства, формирование и осуществление средствами государственного регулирования и контроля внешнеэкономической деятельности.
Таким образом, в компетенцию федеральных органов входят формирование концепции и стратегии развития внешнеэкономических связей, обеспечение экономические интересов России, интересов ее субъектов, государственное регулирование внешнеторговой деятельности, включая финансовое, валютное, кредитное, таможенно-тарифное и нетарифное регулирование.
Кроме этого, в ведении федеральных органов находятся следующие вопросы:
- ввоз и вывоз опасных отходов, отдельных видов сырья, материалов, технологий, научно-технической информации и т.п., которые применяются или могут быть применимы при создании вооружений и военной техники, определенных стратегически важных сырьевых товаров, драгоценных металлов, камней и изделий из них;
- формирование и использование золотовалютных резервов Российской Федерации;
- разработка платежного баланса страны;
- привлечение кредитов под гарантии Правительства РФ.
Инструментами регулирования внешнеэкономической деятельности являются квотирование, лицензирование, валютное регулирование, а также налоги, пошлины и др.
Административные инструменты регулирования внешнеэкономической деятельности особенно эффективны в тех случаях, когда страна находится в состоянии экономической нестабильности, дефицита и инфляции. Они применяются временно в целях либо защиты экономики (квоты на импорт), либо ее восстановления через мобилизацию и оптимальное использование ресурсов.
Экономические инструменты регулирования в период стабилизации экономики занимают центральное место. Одной из важных форм внешнеэкономических связей субъектов хозяйственной деятельности является внешняя торговля, которая представляет собой предпринимательскую деятельность в области международного обмена товарами, работами, услугами и информацией. В нее включается также и обмен результатами интеллектуальной деятельности, в т.ч. исключительными правами на них.
Основными   принципами   государственного   регулирования   внешнеторговой деятельности являются:
- единство системы регулирования внешнеторговой деятельности и контроля за ее осуществлением;
- единство таможенной территории страны;
- приоритет экономических мер регулирования;
- равенство и защита государством прав и законных интересов участников внешнеторговой деятельности.
Субъекты Российской Федерации в пределах своей компетенции обладают такими полномочиями в части осуществления внешнеторговой деятельности на своей территории, как: формирование и реализация региональных программ внешнеторговой деятельности;
координация и контроль за внешнеторговой деятельностью российских и иностранных партнеров; предоставление дополнительных по отношению к федеральным финансовых гарантий участникам внешнеторговой деятельности, зарегистрированным на их территории, и заключение соглашений в области внешнеторговых связей как с субъектами, так и с административно-территориальными образованиями иностранных государств.
Воздействие на внешнеторговую деятельность осуществляется посредством установления импортных и экспортных таможенных пошлин, количественных ограничений экспорта и импорта в целях обеспечения национальной безопасности и выполнения международных обязательств страны. Распределение квот и выдача лицензий при установлении количественных ограничений осуществляются в основном путем проведения конкурса или аукциона.
Приняты законы о таможенном тарифе, валютном регулировании и валютном контроле. Указом Президента РФ от 23 мая 1994 г. № 1007 «Об отмене квотирования и лицензирования поставок товаров и услуг на экспорт» отменена система квотирования и лицензирования экспорта товаров и услуг из России.


Статистическое наблюдение


Статистическое наблюдение. Понятие о статистической информации. Слово «информация» в переводе с латинского языка означает осведомленность, получение сведений о чем-либо.
Статистическая информация (статистические данные) — первичный статистический материал, формирующийся в процессе статистического наблюдения, который затем подвергается систематизации, сводке, обработке, анализу и обобщению.
Первичный статистический материал — это фундамент статистического исследования.
Статистическое наблюдение — это начальная стадия экономико-статистического исследования. Она представляет собой научно организованную работу по собиранию • массовых первичных данных о явлениях и процессах общественной жизни.
Важность этого этапа исследования определяется тем, что использование только объективной- и достаточно полной информации, полученной в результате статистического наблюдения, на последующих этапах исследования в состоянии обеспечить научно . обоснованные выводы о характере и закономерностях развития изучаемого объекта.
Любое статистическое наблюдение осуществляется с помощью оценки и регистрации гфизнаков единиц изучаемой совокупности в соответствующих учетных документах. Полученные данные представляют собой факты, которые так или иначе характеризуют явления общественной жязни. В результате статистической обработки доказательная способность фактов еще более возрастает, что обеспечивает их систематизацию и представление в сжатом виде.
Однако не всякое собирание сведений может быть названо статистическим наблюдением, например таковым не является наблюдение покупателя за качеством товаров или изменением цен на городских рынках, в коммерческих структурах. Статистическим можно назвать лишь такое наблюдение,  которое  обеспечивает регистрацию устанавливаемых фактов в учетных документах для последующего их обобщения. Примером могут служить установленные формы отчетности предприятий, записи счетчиков в переписных листах ответов граждан на вопросы программы переписи населения, записи регистраторов для выяснения удовлетворения спроса населения товарами и т.д.2
Основой любого статистического анализа является статистическое наблюдение — организованный сбор данных социально-экономического характера, по которым получаются обобщенные характеристики. По методам организации статистические наблюдения бывают: выборочные, единовременные, контрольные, непериодические, периодические, непосредственные, несшюшные, сплошные, пробные, разовые, Таким образом, статистическое наблюдение представляет собой способ предварительной организации, обеспечивающий реализацию структуры изучаемого явления, максимально отражающую оригинал.
В результате статистического наблюдения проводятся группировка и сводка материалов, которые предназначены для изучения взаимосвязей между признаками. Далее осуществляется построение группы по одному из взаимосвязанных признаков и вычисление другого признака (чаще всего — результативного). Иными словами, данные операции являются способом фиксации ряда существенных свойств в отличие от несущественных, неведущих к образованию основного содержания исследуемого явления.

Статистическая сводка. Групировка. Таблицы.
Получаемая в процессе статистического наблюдения информация об отдельных единицах статистической совокупности характеризует их, как правило, с различных сторон. Например, при изучении торговли района собранные статистические данные о коммерческой деятельности отдельных торговых предприятий содержат соответствующую оценку работы каждого из них. Однако обобщающую характеристику по торговым предприятиям в целом можно получить, систематизируя и обобщая полученную информацию, а также сводку, являющуюся второй стадией статистического исследования в процессе которого осуществляется научная обработка собранного материала. В результате этого этапа индивидуальные данные превращаются в упорядоченную систему статистических показателей, дающих возможность в целом оценить коммерческую деятельность торговых предприятий, выявить закономерности их развития.
Таким образом, статистическая сводка -— систематизация -единичных фактов, позволяющая перейти к обобщающим показателям, относящимся ко всей изучаемой совокупности и ее частям, и осуществлять анализ и прогнозирование изучаемых явлений и процессов.
Применение соответствующих приемов статистической сводки обусловлено характером и формами развития изучаемых явлений. С их изменением должны видоизменяться и способы осуществления статистической сводки. Переход на рыночную экономику объективно меняет подходы и ко второй стадии статистического исследования.
Статистические сводки различаются по ряду признаков по сложности построения, месту проведения и способу  разработки материалов статистического наблюдения.
По сложности построения сводка может представлять прежде всего общие итоги по изучаемой совокупности в целом без какой-либо предварительной собранного материала. Она определяет общий размер изучаемого явления по заданным показателям. Это так называемая простая сводка. Она может быть вспомогательной, если содержащаяся в ней информация, используется в дальнейшем для углубленного статистической совокупности.
Однако сбор сведений и итоговое их обобщение могут иметь самостоятельное значение. Ценность этого вида сводки возрастает в условиях рыночной экономики, поскольку итоговые,  по основным показателям могут быть получены быстро и служить основой для принятия оперативных управленческих решений, связанных со сложившейся по. конкретным товарам конъюнктурой рынка. Так, нередко в коммерческой деятельности обобщенные данные в целом, например о состоянии товарных запасов, поступлении в реализацию отдельных товаров, о выполнении поставщиками своих договорных обязательств, имеют первостепенное значение для обеспечения нормального торгово-закупочного процесса, внесения необходимых корректив в его осуществление.
Статистическая сводка в широком ее понимании предполагает систематизацию и группировку цифровых данных, характеристику образованных групп системой показателей, подсчет соответствующих итогов и представление результатов сводки в виде таблиц, графиков.
Выделение однородных в социально-экономическом отношении групп является основой статистической сводки исходной информации, непременным условием ее научной разработки и практического использования в коммерческой работе.
Вся многогранная и сложная работа по статистической сводке исходной информации -подразделяется на следующие этапы:
1) формулировка задачи сводки на основе целей статистического исследования;
2) формирование групп и подгрупп, определение группировочных признаков, числа групп и величины интервала. Решение вопросов, связанных с осуществлением группировки, включая выделение существенных признаков, установление специализированных интервалов, построение комбинированных группировок;
3) осуществление технической стороны сводки, т.е. проверка полноты и качества собранного материала, подсчет различных итогов и исчисление необходимых показателей для характеристики всей совокупности и ее частей.
Статистическая сводка осуществляется по специально составленной программе, содержание которой в большинстве своем отражается в системе макетов разработочных таблиц, позволяет получать данные по многим признакам и охарактеризовать объект, его отдельные части многочисленными показателями. В программе также указываются способы сводки данных статистического наблюдения.
Способ разработки статистической сводки может быть централизованным и децентрализованным.
При централизованной сводке все данные сосредоточиваются в одном месте и сводятся по разработанной методике. При децентрализованной сводке обобщение материала осуществляется снизу доверху по иерархической лестнице управления, подвергаясь на каждом из них соответствующей обработке.
В условиях изменения форм хозяйствования, реальных рыночных отношений принципиально меняются -приемы осуществления сводки статистической информации:
1. Сокращается общегосударственная и отраслевая отчетность, а объем и разнообразие данных, связанных с рынком и коммерческой деятельностью в самих предприятиях и на других уровнях, возрастают. Происходит упорядочение способов получения, сводки и использования каждой единицы информации.
2. Развиваются такие источники данных,  как выборочное обследование, единовременные учеты и другие пути получения необходимых сведений для управления коммерческими процессами, главным образом в низовых и средних звеньях отрасли.
3. Для координирующих, регулирующих целей, обеспечивающих пропорциональное территориально-отраслевое развитие всего общества, централизованная форма сводки будет совершенствоваться, изменяться по содержанию.
4. Методы и формы организации статистической отчетности как один из видов сводки предполагается дифференцировать с обязательным условием сводимости применительно к
социальным типам предприятий (государственным, в том числе арендным, акционерным, кооперативным и другим формам хозяйствования) с тем, чтобы в полной мере характеризовать становление многоукладное™ экономики, социальную структуру народного хозяйства, в том числе и торговли.
На современном этапе в связи с изменениями порядка сбора, обработки и выдачи информации, происходящими на основе создания автоматизированных рабочих мест с использованием ПК, соотношение в способах систематизации информации складывается в пользу децентрализованной сводки. Она преимущественно применяется в тех низовых звеньях, где был получен материал. В последующих разделах будут рассмотрены методики и приемы обобщения и систематизации данных, которые могут быть использованы в коммерческой деятельности.
Положив начало научной систематизации и обработке исходной информации, сводка и группировка статистических данных служат тем самым базой для осуществления всестороннего анализа и прогнозирования коммерческой деятельности на рынке товаров и услуг.


Статистика оплаты труда


Статистика оплаты труда Структура фондов оплаты труда и заработной платы. Хозрасчет и самофинансирование вводят в практику новую экономическую категорию «хозрасчетный доход», который становится основным источником оплаты труда и материального поощрения предприятий. Хозрасчетный доход образуется из выручки от реализации продукции за вычетом материальных затрат, платежей в бюджет и вышестоящему органу, а также процентов за кредит. Единый фонд оплаты труда образуется как остаток хозрасчетного дохода предприятия после формирования из него фондов: развития производства, науки и техники; социального развития, определяемых по нормативам к хозрасчетному доходу.
Возможен и иной порядок определения средств на оплату труда: фонд заработной платы может образовываться по нормативу к чистой продукции, а в добывающих отраслях — также к реализации продукции в натуральном выражении.
Фонд оплаты труда рабочих и служащих состоит из фонда заработной платы и выплат из фонда материального поощрения.
Значительное место в фонде оплаты труда занимает сумма премиальных фондов. Премии начисляются за основные результаты хозяйственной деятельности из фонда заработной платы и фонда материального поощрения и за выполнение отдельных важных показателей в работе по специальным системам премирования.
Фонд заработной платы — общая сумма заработной платы, начисленная рабочим и служащим за выполнение работы, а также оплата неотработанного времени в соответствии с трудовым законодательством и коллективным договором.
К фонду заработной платы предприятий (организаций) относятся все суммы, начисленные за работу, выполненную как списочным, так и несписочным его составом. В фонд заработной платы включаются: заработная плата, начисленная за работы, выполненные по сдельной и повременной формам оплаты труда (основная часть фонда); премии в соответствии с утвержденными постоянно действующими положениями о премировании (за выполнение и перевыполнение производственных планов, выполнение и перевыполнение норм выработки, сокращение простоев оборудования и др.); надбавки (за выслугу лет, работу в отдаленных местностях, высокую квалификацию ИГР и служащим и др.); доплаты (сдельщикам в связи с изменением условий работы, по прогрессивным расценкам, за работу в сверхурочное и ночное время, высококвалифицированным рабочим, занятым на особо ответственных работах, рабочим 4, 5, 6, 7 и 8 разрядов за профессиональное мастерство, совмещение профессий); оплата простоев, не зависящих от рабочих; оплата ежегодных, ежегодных дополнительных и дополнительных отпусков; оплата учебных отпусков; оплата перерывов в работе в случаях, предусмотренных законодательством; стоимость предоставляемых предприятием (организацией) бесплатно квартир и коммунальных услуг, питания, форменной одежды, обмундирования; авторский и другие гонорары и т.д.
В созданный на некоторых предприятиях единый фонд материального поощрения включаются единовременные премии и вознаграждения, выплачиваемые по специальным системам премирования (вознаграждения за изобретательства, открытия, единовременные премии за создание и освоение новой техники, начисленные из централизованного фонда и др.). На предприятиях, на которых не создан единый фонд материального поощрения, эти премии не включаются в единовременные премии и вознаграждения, не входящие в фонд заработной платы и в фонд материального поощрения.
В статистике труда изучается начисленная заработная плата, в которую входят удержания (налоги).
В фонд заработной платы и в фонд (единый фонд) материального поощрения не включаются: единовременная помощь, в том числе и выплачиваемая из фонда материального поощрения, безвозмездная помощь работникам, вступившим в жилищностроительный кооператив за счет фонда социального развития, суточные при служебных командировках и при переводе и переезде на работу в другие местности, полевое довольствие, стипендии учащимся, выплачиваемые за счет средств предприятия, пособия, выплачиваемые молодым специалистам за время отпуска после окончания высшего или среднего специального учебного заведения, пособия по социальному страхованию (по временной нетрудоспособности, беременности и родам, на рождение ребенка, малообеспеченным семьям, на похороны), пенсии работающим пенсионерам.
В планировании и анализе отчетных данных об оплате труда фонд заработной платы рабочих подразделяется на часовой, дневной и полный (месячный, квартальный, годовой). Фонд часовой заработной платы представляет собой заработную плату, начисленную рабочим за фактически отработанные часы в условиях нормальной продолжительности смены. Состав этого фонда соответствует времени, фактически отработанному рабочими и учтенному в человеко-часах.
В этот фонд входят суммы, начисленные за отработанные рабочими человеко-часы в урочное и сверхурочное время по основным тарифным ставкам и основным сдельным расценкам при прямой, прогрессивной и премиальной сдельной системах заработной платы, доплаты сдельщикам по прогрессивным расценкам; доплаты за работу в ночное время, выполнение работы ниже присвоенного разряда, в связи с изменением условий работы, не освобожденным бригадирам за руководство бригадой и обучение учеников; премии и премиальные надбавки этого фонда.
Фонд дневной заработной платы включает не только суммы, начисленные за время фактической работы, но и за неотработанное внутрисменное время, оплачиваемое в соответствии с установленным трудовым законодательством. Следовательно, этот фонд представляет собой оплату фактически отработанных человеко-дней и должен соответствовать рабочему времени, учтенному в человеко-днях. В состав фонда дневной заработной платы включаются: фонд часовой заработной платы; доплата за работы в сверхурочное время и праздничные дни; доплата подросткам за сокращенный рабочий день; оплата перерывов в работе кормящих матерей; оплата внутрисменных простоев не по вине рабочего; оплата внутрисменного времени, затраченного на выполнение государственных и общественных обязанностей.
Суммы, начисленные за сверхурочные работы, включаются в состав фонда часовой заработной платы в нормальном размере без доплат за сверхурочность. Объясняется это тем, что фонд часовой заработной платы должен соответствовать числу отработанных человеко-часов, при учете которых каждый сверхурочный час учитывается как один час, хотя оплачивается он в полуторном или двойном размере.
В состав полного фонда заработной платы (месячного, квартального, годового) включается фонд дневной заработной платы: оплата отпусков; вознаграждения за выслугу лет; выходные пособия; оплата человеко-дней, затраченных на выполнение государственных и общественных обязанностей; оплата целодневных простоев; заработная плата работникам, командированным на другие предприятия или проходящим обучение без исключения из списков предприятия, и другие элементы, не входящие в фонды часовой и дневной заработной платы.
Расчет удельного веса тарифной ставки. При рациональной организации оплаты труда большую часть заработной платы рабочего-повременщика должна составлять сумма, начисленная по тарифной ставке, а рабочего-сдельщика — сумма, начисленная по основным сдельным расценкам при стопроцентном выполнении норм выработки (строгом соответствии фактической выработки установленным нормам). Так как сдельные расценки рассчитываются исходя из нормы выработки и тарифных ставок, установленных для сдельщиков, то суммы, начисленные по основным сдельным расценкам, также представляют заработную плату, начисленную по тарифной ставке.
Удельный вес тарифной ставки в общей сумме заработной платы определяется делением суммы, начисленной по тарифной ставке, на общую сумму заработной платы, начисленную рабочему, без суммы оплаты отпусков, вознаграждения за выслугу лет и надбавок по районному коэффициенту.
Рассмотрим два способа расчета удельного веса тарифной ставки в общей сумме заработной платы.
1. Сумма заработной платы, начисленная по основным сдельным расценкам по прямой сдельной, премиально-сдельной и прогрессивно-сдельной системам, делится на индекс выполнения норм выработки; полученный результат выражается в процентах от общего фонда заработной платы рабочих-сдельщиков.
2. Определяются средний тарифный разряд и соответствующая ему часовая тарифная ставка, которая относится к фактической средней часовой заработной плате.
Расчет по этому методу более точен, так как не зависит от точности учета отдельных видов заработной платы по разделам и правильности расчета выполнения норм выработки: в числителе используется не фактическая оплата по тарифу, величина которой может быть искажена, а совершенно точная сумма, которая должна быть начислена рабочему за отработанный час в соответствии с тарифной ставкой. Таким методом может быть определен удельный вес тарифной ставки в заработной плате как повременщиков, так и сдельщиков.
Форма и системы оплаты труда. Применяются две формы оплаты труда рабочих и служащих. Повременная форма оплаты труда — за фактически отработанное время в соответствии с установленной тарифной ставкой (рабочим) или должностным окладом (служащим). Эта форма имеет повременную простую и повременную премиальную системы, при которой к основному заработку добавляется премия за количественные и качественные показатели в работе.
Сдельная форма оплаты труда — по установленным сдельным расценкам за фактически выполненную работу.
Форма имеет прямую, премиальную, прогрессивную, косвенную и аккордную системы. При прямой сдельной системе оплата труда определяется выполненной работой по установленной расценке за каждую единицу; при сдельной премиальной — добавляется премия (за выполнение и перевыполнение установленных технически обоснованных норм и др.); при сдельной прогрессивной системе — расценки за единицу выполненных работ прогрессивно увеличиваются по мере перевыполнения норм; при сдельной косвенной системе оплата труда вспомогательных рабочих определяется в зависимости от результата работы обслуживаемых ими основных рабочих.
Сдельная косвенная расценка рассчитывается делением дневной тарифной ставки вспомогательного рабочего на сменную норму выработки обслуживаемого им основного рабочего, а оплата — как произведение косвенной сдельной расценки на количество единиц продукции, выработанной основным рабочим; при аккордной системе оплата определяется объемом выполненных работ в соответствии с договором.
Оплата труда членам бригады с применением КТУ. Система оплаты может быть индивидуальной или бригадной. Наиболее распространена бригадная оплата по единому наряду, конечным результатам труда. Она близка аккордной системе. Бригадная форма оплаты — один из важнейших факторов повышения интенсификации и эффективности производства. Между членами бригады заработок распределяется в соответствии с отработанным временем и тарифным разрядом (пропорционально тарифо-часам), как правило, с использованием коэффициента трудового участия (КТУ). Возможны различные варианты применения КТУ, в частности распределение всей оплаты труда или только приработка. Прежде всего определяется базовый (номинальный) КТУ, принимаемый чаще за единицу. Общее собрание членов бригады устанавливает фактический КТУ каждого работника.
При наличии положительных моментов в работе отдельных членов бригады фактический КТУ устанавливается более единицы (например, за совмещение профессий добавляется 0,2, увеличение зоны обслуживания — 0,1 и т. д.), за нарушения в работе — менее единицы (например, за опоздания и прогулы снимается 0,15, за брак в работе — 0,2). Однако сумма базовых и фактических КТУ должна быть равной.
Существуют и другие способы определения базового КТУ, например по соотношению выработки членов бригады или соотношению заработной платы за прошлый год. В последнем случае базовый КТУ рассчитывается по формуле

где Т — средняя заработная плата по тарифу, П — сумма премий, ч — сумма приработка.
При установлении фактического КТУ базовый корректируется с учетом качества работы каждого члена бригады.
КТУ используется при распределении заработной платы не только в промышленности, но и в других отраслях хозяйства — сельском хозяйстве, строительстве, сфере бытового обслуживания. В сельском хозяйстве вся заработная плата бригады (звена) за год подразделяется на две части — оплата по тарифу и выплата по конечным результатам труда.
Анализ расходования фонда заработной платы. Величина фонда заработной платы должна обеспечить оптимальное сочетание двух сторон процесса общественного воспроизводства: повышение материального благосостояния трудящихся и максимальный выпуск продукции при минимальных затратах, т.е. эффективность общественного производства.
При распределении фонда заработной платы по отдельным участкам работы учитываются объем и степень сложности работ, условия труда, удельный вес различных форм и систем заработной платы.
Фонд заработной платы планируется и учитывается отдельно по категориям персонала основной деятельности и персоналу неосновной деятельности. Фонд заработной платы персонала основной деятельности тесно связан с объемом выпускаемой продукции.1


Статистика основных фондов


Статистика основных фондов Основные фонды представляют собой совокупность потребительных стоимостей производственного (производственные основные фонды) и непроизводственного (непроизводственные основные фонды) назначения, которые используются на протяжении ряда лет и, постепенно изнашиваясь, в течение всего срока службы не теряют своей натуральной формы.
Социально-экономическое значение статистического изучения основных фондов определяется следующими факторами.
Во-первых, основные фонды, предназначенные для использования в производственной сфере, образуют материальную основу производительных сил, включают производственные помещения, средства труда, наличие и состав которых во многом определяют экономический потенциал общества.
Во-вторых, основные фонды, предназначенные для использования в непроизводственной сфере, непосредственно связаны с ростом благосостояния населения, повышением уровня науки и культуры, просвещения и здравоохранения, с социальным развитием общества.
В-третьих, увеличение объема и совершенствование качественного состава производственных основных фондов — важнейшая предпосылка повышения производительности и улучшения условий труда работников, роста их квалификации, постепенной ликвидации тяжелого и малопроизводительного ручного труда, стирания существенных различий между умственным и физическим трудом.

Классификация основных производственных и непроизводственных фондов и ее особенности в отдельных отраслях хозяйства В каждой отрасли народного хозяйства классификация основных фондов может быть детализирована с учетом особенностей отрасли, но так, чтобы была обеспечена возможность получения сводных по хозяйству страны данных в соответствии с единой классификацией.
В связи с большим социально-экономическим значением мероприятий по охране окружающей среды в настоящее время из общего наличия основных фондов во всех отраслях выделяют основные фонды, связанные с охраной водного и воздушного бассейнов.
Сводные статистические разработки, характеризующие наличие и состав основных фондов, должны обеспечить их деление на производственные (промышленности, строительства, сельского хозяйства, грузового транспорта, торговли, общественного питания, материально-технического снабжения и сбыта, других отраслей производственной сферы) и непроизводственные (основные фонды жилищно-коммунального хозяйства, просвещения, здравоохранения, науки и культуры, государственного управления, общественных организаций и других видов деятельности). В сводных статистических
разработках производится также деление основных фондов по формам собственности, по размещению (республики, крупные экономические районы, территориально-производственные комплексы), по формам подчинения и другим важнейшим признакам.
Данные о наличии основных фондов по видам используются для их распределения по отраслевому происхождению. Так, здания и сооружения — продукция строительства;
машины, оборудование, инструмент — продукция машиностроения; продуктивный и рабочий скот — продукция сельского хозяйства. В части производственных основных фондов видовая классификация позволяет выделить активную и пассивную части. К наиболее активной части производственных основных фондов относятся орудия труда;
машины и оборудование, инструмент, производственный инвентарь и принадлежности. Однако в ряде отраслей, например в угледобывающей, нефтедобывающей и газовой промышленности, значительная часть сооружений (капитальные горные выработки, скважины для добычи нефти и газа и др.) выполняет функции, непосредственно связанные с воздействием на предмет труда. Поэтому применяемое в статистике выделение пассивной части производственных основных фондов, к которым относят здания и сооружения, несколько условно и желательно дальнейшее совершенствование видовой классификации основных фондов — выделение в составе группы «сооружения» сооружений производственного назначения и прочих видов сооружений.
Виды оценки основных фондов Одной из важнейших задач статистики является определение объема основных фондов, а также их износа в стоимостном выражении. Оценка основных фондов имеет ряд особенностей. Поскольку основные фонды функционируют длительное время, им объективно присуще несколько оценок.
Важнейшими и наиболее употребительными в практике социально-экономической статистики являются следующие их виды:
Полная первоначальная стоимость основных фондов — фактическая стоимость ввода их в действие. Она отражает общий объем фактических затрат, произведенных за время создания или в момент приобретения основных фондов. Эта оценка остается неизменной в бухгалтерском учете в течение всего срока функционирования основных фондов. По полной первоначальной стоимости основные фонды на основании соответствующих документов (актов ввода в эксплуатацию и др.) зачисляются на баланс организаций и в дальнейшем показываются в их отчетности.
Полная первоначальная стоимость основных фондов за вычетом износа — это та часть их стоимости, которую они сохранили после определенного периода их функционирования. Иногда этот вид оценки называют остаточной стоимостью основных фондов. Она равна полной первоначальной стоимости минус сумма износа. В случае, если выбывшие за ветхостью и износом основные фонды используются как лом, их стоимость по оценке продажи этого лома будет представлять собой ликвидационную стоимость основных фондов.
Полная восстановительная стоимость основных фондов представляет собой стоимость их воспроизводства в современных условиях, т.е. в тот момент времени, когда она определяется. Вследствие научно-технического прогресса и многих других факторов полная восстановительная стоимость основных фондов изменяется во времени и практически может быть определена только при проведении генеральных инвентаризаций и переоценок основных фондов.
Восстановительная стоимость основных фондов за вычетом износа может быть определена по данным инвентаризаций и переоценок основных фондов, в процессе которых путем осмотра объектов в натуре и при помощи различных документов определяют действительный износ объектов. Она равна полной восстановительной стоимости основных фондов за вычетом денежного выражения их износа.


Статистика трудовых ресурсов


Статистика трудовых ресурсов Состав трудовых ресурсов. Формирование численности и состава трудовых ресурсов основывается на статистике населения, его численности, половозрастного состава, общеобразовательного и профессионального уровня.
Трудовые ресурсы — часть населения страны, которая работает в народном хозяйстве или же способна работать, но по тем или иным причинам не работает (домохозяйки, учащиеся с отрывом от производства и др.). Таким образом, трудовые ресурсы включают как занятых, так и потенциальных работников.
Трудовые ресурсы являются важнейшим элементом трудового потенциала — возможного количества и качества труда, которым располагает общество при данном уровне развития науки и техники. Трудовой потенциал, являясь составной частью производственного потенциала, может быть измерен располагаемой численностью трудовых ресурсов, а также максимально возможными в данных условиях интенсивностью, качеством и производительностью труда.
В состав трудовых ресурсов включаются:
- население в трудоспособном возрасте (мужчины от 16 до 59 лет и женщины от 16 до 54 лет включительно), кроме неработающих инвалидов первой и второй групп и неработающих лиц, которые получают пенсии на льготных условиях;
- фактически работающие подростки от 16 лет и работающие пенсионного возраста (мужчины старше 59 лет и женщины старше 54 лет).
Население в трудоспособном возрасте состоит из трудоспособного и нетрудоспособного населения. Численность трудоспособного населения меньше населения в трудоспособном возрасте численность нетрудоспособных мужчин в возрасте от 16 до 59 лет и нетрудоспособных женщин от 16 до 54 лет.
Показатели численности трудовых ресурсов. Абсолютный показатель численности трудовых ресурсов — сумма численности трудоспособного населения в рабочем возрасте и численности работающих подростков и престарелых. Этот показатель определяется вычитанием из общей численности населения численности населения в нерабочем возрасте и нетрудоспособного населения в рабочем возрасте и прибавлением численности работающих подростков и престарелых. Численность трудовых ресурсов фиксируется на определенную дату, а поэтому является моментным показателем. Однако такой показатель для планирования и экономических расчетов малопригоден, поэтому исчисляются интервальные показатели как средние арифметические (за месяц, квартал, год) из моментных. Если в исходных данных имеется численность трудовых ресурсов на начало и конец периода (месяца, квартала, года), то средняя арифметическая за месяц (квартал, год) определяется как

При наличии в исходных данных показателей численности трудовых ресурсов на равноотстоящие даты на начало периода (начало месяца, квартала) среднегодовая численность трудовых ресурсов определяется как средняя хронологическая:

Если моментные показатели трудовых ресурсов представлены с неравными интервалами на неравноотстоящие даты (например, через три, четыре, пять месяцев), то среднегодовая численность трудовых ресурсов определяется как средняя хронологическая взвешенная по величинам интервалов:

Естественное пополнение трудовых ресурсов происходит за счет численности лиц, достигших 16 лет, и численности фактически работающих подростков и пенсионеров. Естественное выбытие определяется численностью лиц, достигших пенсионного возраста и не оставшихся работать, численностью лиц в трудоспособном возрасте, перешедших на инвалидность, и численностью умерших (из числа трудоспособных и работавших пенсионеров), а также численностью тех пенсионеров, которые перестали принимать участие в общественном труде.
Разница между естественным пополнением и выбытием определяет чистый прирост трудовых ресурсов. Он рассчитывается для страны в целом, так и для отдельной территории в пределах страны (республики, области, края и т. д.). Однако для отдельных территорий (регионов) страны характерно и механическое движение трудовых ресурсов (миграция) — въезд на постоянное жительство и выезд. Разница между числом въездов и числом выездов определяет механический прирост трудовых ресурсов по региону. Общий прирост трудовых ресурсов для отдельной территории в пределах страны равен сумме их естественного и механического приростов.
Абсолютные показатели численности трудовых ресурсов и их приросты сравниваются с абсолютными показателями численности населения (всех возрастов, трудоспособного возраста и др.). В результате рассчитываются относительные показатели на дату или за период времени:
- доля населения в трудоспособном возрасте — отношение численности населения в трудоспособном возрасте к численность населения всех возрастов;
- коэффициент трудоспособности населения — отношение численности трудоспособного населения в рабочем возрасте к численности населения всех возрастов;
- коэффициент занятости всего населения — отношение численности занятого населения независимо от возраста к численности населения всех возрастов;
- коэффициент трудоспособности населения в рабочем возрасте — отношение численности трудоспособного населения в рабочем возрасте к численности населения в трудоспособном возрасте;
- коэффициент занятости трудоспособного населения — отношение численности занятого трудоспособного населения к численности трудоспособного населения;
- коэффициент нагрузки трудоспособного населения — отношение численности населения в нерабочем возрасте к численности населения в рабочем возрасте;
- коэффициент пенсионной нагрузки трудоспособного населения — отношение численности населения пенсионного возраста к численности населения в рабочем возрасте;
- коэффициент замены (возмещения) трудовых ресурсов — отношение численности населения до трудоспособного возраста к численности населения в рабочем возрасте;
- коэффициент чистого прироста трудоспособного населения в рабочем возрасте — отношение чистого (естественного) прироста трудоспособного населения в рабочем возрасте к численности трудоспособного населения в рабочем возрасте;
- коэффициент общего (естественного и механического) прироста трудоспособного населения в рабочем возрасте региона — отношение общего прироста трудоспособного населения в рабочем возрасте к численности трудоспособного населения в рабочем возрасте.
Относительные показатели дают возможность изучить интенсивность абсолютных показателей трудовых ресурсов, а рассчитанные в динамике — процесс их изменения по годам или иным периодам времени.
Анализ трудовых ресурсов. Статистическое изучение трудовых ресурсов основывается на данных текущей статистики, единовременных обследований по труду и переписей населения. Показатели численности и состава трудовых ресурсов изучаются в различных аспектах: по социально-экономическим признакам (источники средств существования, социальная принадлежность и др.), демографическим признакам (пол, возраст, семейное положение, национальность и др.), профессионально-отраслевым и функциональным группам занятий (профессия, степень квалификации, отрасль народного хозяйства и др.), уровню общеобразовательной и специальной подготовки, миграции и др.
Так, например, целью проводимого в январе 1985г. выборочного социально-демографического обследования населения было показать изменения в составе населения и трудовых ресурсов страны и дать информацию, необходимую для разработки планов экономического и социального развития на двенадцатую пятилетку и перспективу. Программа обследования предусматривала изучение населения (трудовых ресурсов) по источникам средств существования:
- лица, работающие на предприятии и в учреждении (рабочие и служащие государственных, кооперативных и общественных предприятий, учреждений и организаций);
- колхозники, занятые в общественном хозяйстве колхоза, включая работающих в колхозных предприятиях, учреждениях, организациях (колхозные мастерские, кирпичные заводы, библиотеки, клубы и т. п.);
- лица, работающие в своем хозяйстве и у отдельных лиц; пенсионеры и стипендиаты, не имеющие постоянной работы, и другие лица, находящиеся на обеспечении государства;
- лица, находящиеся на иждивении отдельных лиц (занятые в домашнем хозяйстве и живущие на средства родственников или других лиц);
- лица, имеющие иной источник средств существования, не указанный выше (лица, живущие на сбережения или доход от сдачи помещения в наем), лица свободных профессий (писатели, композиторы, художники, а также врачи, не состоящие в штате кого-либо учреждения или предприятия, служители культа).
Такая классификация позволила выделить три укрупненных группы лиц: совокупность лиц, имеющих занятие — род деятельности или выполняемую работу, приносящую заработок или доход. Различают основное, побочное и сезонное занятие. Основное занятие приносит главное средство существования продолжительное время; побочное занятие дает дополнительный доход и носит нерегулярный характер; сезонное занятие приносит доход в определенный период года.
Территориальное распределение трудовых ресурсов определяется особенностями экономических районов, характером расселения населения. Статистика определяет структуру распределения трудовых ресурсов региона, степень обеспеченности рабочей силой за счет как внутренних ресурсов региона, так и рабочей силы из других регионов. Учитывается влияние сезонности отдельных видов работ и наличия побочных занятий на территориальное распределение трудовых ресурсов в сельской местности.1


Стоимость основных производственных фондов


Наиболее важный из них — фондоотдача основных фондов, определяемая как отношение стоимости продукции (валовой, товарной или нормативно чистой) к среднегодовой стоимости основных фондов. Фондоотдача показывает общую отдачу от использования каждого рубля, затраченного на основные производственные фонды, т.е. эффективность этого вложения средств.
Рост фондоотдачи позволяет снижать объем накопления и соответственно увеличивать долю фонда потребления. Следовательно, не меняя общего объема накопляемой части национального дохода, можно повысить долю средств на развитие непроизводственной сферы (например, на жилищное строительство, медицинское обслуживание и др.).
Повышение фондоотдачи способствует:
- улучшению проектирования, сокращению времени разработки технической документации, ускорению строительства и уменьшению сроков освоения вновь вводимых основных фондов, т.е. всемерному сокращению цикла «наука — производство — продукция»;
- улучшению структуры основных фондов, повышению удельного веса их активной части до оптимальной величины с установлением рационального соотношения различных видов оборудования;
- экстенсивному использованию основных фондов, увеличению коэффициентов сменности, ликвидации простоев оборудования;
- интенсификации производственных процессов путем внедрения передовой технологии, повышению скорости работы машин и оборудования, внедрению синхронного выполнения одной машиной двух операций или нескольких, развитию научной организации труда;
- улучшению условий и режима труда с учетом производственной эстетики, созданию необходимых социальных условий (жилищных, бытовых, четкой работы транспорта и др.);
- сокращению ремонта активной части основных фондов путем специализации и концентрации ремонтного хозяйства;
- улучшению материально-технического снабжения основных фондов. Следующий обобщающий показатель — фондовмкостъ, которая рассчитывается как
отношение стоимости основных производственных фондов к объему выпускаемой
продукции по следующей формуле:

где Фс — фондоемкость;
Фосн — стоимость основных производственных фондов (руб.);
Вnpoд. — объем продукции (руб.).
Показатель фондоемкости определяет необходимую величину основных фондов для производства продукции заданной величины.
Если объем товарной продукции на перспективный период не изменяется, то нет необходимости увеличивать основные фонды — следует только их совершенствовать, т.е. заменять устаревшее оборудование прогрессивной техникой. При возрастании объема товарной продукции на перспективный период надо определять перспективную потребность в основных производственных фондах (табл. 24.2.2).

Таблица 24.2.2.
Расчет величин основных производственных фондов по показателю фондоемкости (в условных цифрах)
№№ пп
Показатели
Ед. измерения
Текущий
год
Перспективный год
1.
Товарная продукция
Тыс. руб.
40000
45000
2.
Стоимость основных производственных фондов (среднегодовая)


16000
18000
3.
Фондоемкость по товарной продукции
Руб., коп.
0-40
0-40

Последовательность расчета величины основных производственных фондов на перспективный период следующая: сначала определяется фондоемкость по текущему году как отношение величины действующих основных фондов (16 000 тыс. руб.) к объему товарной продукции (40 000 тыс. руб.). Умножая полученную фондоемкость (0,4 руб.) на перспективный объем продукции, получим величину основных фондов, обеспечивающую создание продукции, т.е. рассчитаем стоимость основных фондов на перспективный период:
0,4 • 45 000 = 18 000 тыс. руб.
Наряду с показателем фондоотдачи на улучшение использования основных фондов существенное влияние оказывает и такой обобщающий показатель, как норма рентабельности.
Этот показатель введен еще в 60-е гг. в условиях хозяйственной реформы и имеет две разновидности: в первом варианте рентабельность рассчитывается как отношение прибыли к издержкам предприятия (себестоимости) без учета эффективности использования производственных фондов; второй вариант предусматривает расчет рентабельности как отношения прибыли к сумме основных фондов и оборотных средств, т.е. с учетом производственных фондов.
Однако показатель рентабельности имеет некоторые недостатки: рентабельность может повышаться по причинам, не зависящим от улучшения использования производственных фондов, например, за счет перепроизводства дорогостоящих изделий, завышения цен на новые изделия, расширения использования рабочей силы и др.
Для обеспечения эффективного использования основных фондов следует применять всю систему показателей: частные (экстенсивные, интенсивные показатели использования производственных площадей и сооружений) и обобщающие (фондоотдача основных фондов, фондоемкость, норма рентабельности).1


Стоимость, полезность, ценность: содержание, соотношение и значение


Стоимость, полезность, ценность: содержание, соотношение и значение Товар обладает не только свойством удовлетворять человеческие потребности, но и свойством вступать в отношения с другими товарами, обмениваться на другие товары.
Способность товара к обмену в определенных количественных пропорциях есть меновая стоимость.
Категории «потребительная стоимость» и «меновая стоимость» введены в научный оборот много столетий назад. Аристотель, А.Смит, Д.Рикардо, Т.Мальтус, К.Маркс, Дж.С. Милль и многие другие ученые-экономисты отмечали различие между этими категориями.
Сторонники трудовой теории стоимости считали необходимым условием обмена различие потребительных стоимостей обмениваемых товаров, которые качественно разнородны и поэтому количественно несоизмеримы. По их мнению, обмениваемые товары имеют общую основу — трудовые затраты, которые и определяют меновую стоимость.
В современной западной экономической теории принят иной подход, ведущий начало с работ представителей теории предельной полезности К.Менгера, Е.Бем-Баверка, Ф.Визера. Согласно этому подходу, в основе обмена лежит не стоимость, а полезность.
Что же такое стоимость?
Д.Рикардо отмечал, что в экономической теории ничто не порождало так много ошибок и разногласий, как неточность и неопределенность смысла, который вкладывался в слово «стоимость».
В течение XVIII и XIX вв. сформировались основные концепции экономистов по вопросу о стоимости товара.
А.Смит сводил стоимость к труду, затраченному на производство товара, к покупаемому труду (заработной плате), сумме заработной платы, прибыли и земельной ренты. Д.Рикардо и Д.Р. Мак-Куллох определяли ее издержками производства, Ж.Б. Сэй — полезностью вещи, Д.Лодердель — предложением и спросом. К.Маркс и Ф.Энгельс, рассматривая их полемику, сделали вывод, что стоимость есть вещная форма затрат общественного абстрактного труда и выражает отношение издержек производства к полезности. Длительный спор в экономической науке ведется и по величине стоимости товара, и, соответственно, его цене. А.Смит принимал за меру стоимости иногда рабочее время, необходимое для производства товаров, а иногда стоимость труда, Д.Рикардо — рабочее время на производство товара в относительно худших условиях производства. С.Сисмонди величину стоимости сводил к отношению между потребностью всего общества и количеством труда, которого достаточно, чтобы удовлетворить эту потребность. В работах П.Самуэльсона, Б.Кларка и других рассматривается формирование цены с учетом влияния предельных издержек, как дополнительных издержек, связанных с производством дополнительной единицы товара (или дополнительного количества товаров). Фактически они рассматривают изменение цены в условиях воспроизводства.
Анализ всех этих взглядов позволяет выделить связь категорий «стоимость» и «ценность». Прежде всего отметим, что стоимость товара представляет собой частный случай проявления экономической ценности в определенных, исторически конкретных условиях.
Человечество не может существовать без экономической деятельности, а экономическая деятельность — без экономической ценности как единства цели и средства. В условиях товарного производства экономические ценности принимают форму стоимости. Экономическая ценность лежит в основе стоимости, являясь исходной категорией по отношению к стоимости.
Сущность ценности, ее субстанция — это определенная экономическая деятельность, которая включает цель (результат) и средство (затраты). Экономическая ценность есть в свою очередь единство результата (полезности) и затрат.
Итак, экономическая ценность — это единство экономической полезности блага и экономических затрат на его производство.
Ценностью обладают лишь ограниченные блага. Поэтому редкость (ограниченность) блага является элементом ценности.
Из того, что экономическая полезность благ зависит от степени их ограниченности, насыщения потребностей, следует, что рост производства благ не прямо пропорционален росту их экономической полезности, так как эти блага по мере увеличения их наличного количества обесцениваются, становятся менее ограниченными, относительно менее полезными.
Механизм взаимоограничения двух названных процессов основан на функциональной связи между полезностью и затратами: один и тот же прирост производства благ (и затрат ресурсов вместе с ним) одновременно вызывает и замедление роста экономической полезности благ, и ускорение роста экономических затрат.
Экономические затраты и экономическая полезность в единстве, образуя ценность, осуществляют принцип саморегулирования, присущий целесообразной деятельности вообще, экономической в частности.
Экономический субъект (отдельный производитель) не будет осуществлять затраты, если они не оправданы результатами, т.е. полезностью создаваемых благ.
Отсюда следует, что предельные затраты, или затраты на последнее производимое благо, не должны превышать предельную полезность, или полезность этого последнего производимого блага.
Двуединый характер экономической ценности и стоимости теоретически воплотился в противоборстве трудовой теории стоимости и теории предельной полезности.
Теория предельной полезности является кульминацией развития субъективистских теорий полезности, которые имеют давнюю историю и своими корнями восходят еще к Аристотелю.
Более отчетливую формулировку теория полезности получила в работах экономистов XVIII в. Э.Б.де Кондильяка (1715—1780) и Ф.Галиани (1728—1789). Этих же взглядов придерживался Жан-Батист Сэй (1767—1832).
Представители теории предельной полезности: родоначальник теории «предельной полезности», немецкий экономист Г.Гессен; австрийская школа — К.Менгер, ФВизер, Е.Бем-Баверк; экономико-математическое направление — англичанин У.Джевонс, швейцарский экономист Л.Вальрас.
Наряду с этой концепцией развивалась другая, так называемая затратная, которую представляли А.Смит, Д.Рикардо, Д.Р. Мак-Куллох и др., сводившие стоимость к издержкам.
Однако противопоставление этих теорий выражает не только их взаимоотрицание, но и взаимообусловленность.
Экономисты, независимо от того, стояли они на позициях «теории издержек» или «теории полезности», в большинстве не осознавали эту взаимообусловленность.
Тем не менее, начиная анализ стоимости с понятия издержек, они неизменно были вынуждены в конце концов обратиться к понятию полезности и, наоборот, начав с полезности, приходили к издержкам.
Попытки объединить их предпринимал Е.Бем-Баверк («Основные теории ценности хозяйственных благ»).
В более поздний период (после К.Маркса) были попытки объединить теорию трудовой стоимости (понимаемой как издержки) с теорией предельной полезности (Э.Бершптейн, П.Струве, М.Туган-Барановский, А.Маршалл, Дж.Кларк, П.Самуэльсон, О.Шик).
Все эти попытки объединяют их направленность против К.Маркса и в большинстве случаев — неверная трактовка марксовой теории трудовой стоимости.
Однако и сам К.Маркс допускал возможность затратной интерпретации его теории стоимости: в I томе «Капитала» он абстрагируется от величины полезности и сосредоточивается исключительно на исследовании затрат труда.
Стоимость, рассматриваемая К.Марксом через затраты абстрактного труда, остается вне полезности этих затрат.
Кроме того, у К.Маркса нет детально разработанной концепции конкуренции, спроса, предложения, рыночных цен, в которых полезность как фактор стоимости приобрела существенное значение.
Наконец, К.Маркс по существу отождествил потребительную стоимость и полезность, что в значительной степени затруднило анализ роли полезности в теории стоимости.
Основоположник современного направления в теории ценности и цен — известный английский экономист А.Маршалл сделал попытку отойти от поисков единственного источника стоимости и соединил теорию предельной полезности с теорией спроса и предложения и с теорией издержек производства (затрат). Тем самым он осуществил поворот в экономической теории стоимости от субстанционного анализа к функциональному, т.е. единовременному определению взаимовлияния полезности, спроса -предложения, издержек и цены.
Из всего сказанного можно сделать вывод, что экономический товар включает одновременно и благо (поскольку он нужен потребителю), и затраты (поскольку для его производства необходимы ресурсы). Эти качества товаров проявляются как их полезность (поскольку удовлетворяют наши потребности), редкость (поскольку для их производства нужны ограниченные ресурсы) и ресурсоемкость. При приобретении экономического товара люди платят за него определенную сумму денег, которая называется ценой товара.


Стратегическое планирование как наука


Стратегическое планирование как наука Предметом науки стратегического планирования является изучение возможностей использования в практической деятельности по составлению стратегических прогнозов, проектов программ и планов объективных законов, определяющих развитие рыночной экономики, разработка и совершенствование методологии и методики решения многообразных проблем стратегического планирования, а также организации его осуществления.
Объект стратегического планирования — деятельность хозяйствующих субъектов, структурных элементов национальной экономики, вся национальная экономика страны с позиций их будущего  состояния в ближней и долгосрочной перспективах.
В теории стратегического планирования выделяют три чрезвычайно важных аспекта. Первый из них — социально-экономический. Он состоит в изучении конкретных закономерностей, определяющих развитие социально-экономических процессов. Познание закономерностей и присущих им количественных зависимостей является основой, базой для научного обоснования стратегических прогнозов, проектов программ и планов уровней и временных горизонтов.
Второй — методология стратегического тонирования. Она представляет собой инструмент познания социально-экономических процессов и использования полученных в процессе их государственного регулирования, а также планирования деятельности хозяйствующих субъектов. Для того, чтобы все это стало возможным и осуществлялось эффективно, необходимо иметь четкое представление о сущности и закономерностях развития    самого объекта стратегического планирования — национальной экономики в целом, ее отдельных подсистем и коммерческих организаций, — так и непосредственно всех процедур плановой работы, совершенствовать логику, методологические подходы, систему методов решения проблем стратегического планирования, уметь практически использовать всю систему знаний этой науки.
Третий аспект науки стратегического планирования — организационный. Он охватывает комплекс вопросов, связанных с постановкой ряда задач, решаемых системой органов, принимающих участие в процессе стратегического планирования, с определением функций, выполняемых ими, организацией их работы, а также приданием определенной организационной формы конечным результатам стратегического планирования.
Содержанием стратегического планирования является планомерная организация регулирования развития национальной экономики, ее отдельных подсистем, планирование деятельности коммерческих структур. Речь идет прежде всего о регулировании с помощью макроэкономического стратегического планирования динамики национальной экономики и структурных сдвигов в ней, занятости населения, решении других социальных проблем (уровня и качества жизни, развитии отраслей социальной инфраструктуры), осуществлении мероприятий в сфере экологии, поддержке науки, направлении финансовых потоков в стране и т.д. На микроуровне, т.е. на уровне первичного звена экономики (фирм, других рыночных организаций) — разработка стратегических программ и планов их деятельности в среднесрочной и дальнесрочной перспективах, создающих необходимые предпосылки для выживания в условиях острой конкурентной борьбы.
Наука стратегического планирования тесно связана с наукой управления и прежде всего с менеджментом, экономической теорией, философией, социологией, финансовыми науками, политологией. В процессе стратегического планирования экономического и социального развития используются выводы, фактические данные и методы исследования, применяемые функциональными науками и отраслевыми экономиками, прежде всего такими, как статистика, анализ хозяйственной деятельности и аудит, бухгалтерский учет и т.д. Наука стратегического планирования опирается на математику, технические и естественные науки.
Методология любой науки представляет собой органическое единство общемировоззренческих, общеметодологических принципов, общенаучных методов познания и специфической, частной методологии.
Это позволяет видеть в теоретико-методологической подсистеме науки стратегического планирования следующие три структурных элемента: первый из них — теория и методология философии, социологии и экономики. Он является общим и главным теоретико-методологическим элементом науки стратегического планирования; второй элемент — это общенаучная методология; третий — локальная система методологии стратегического планирования.
В основе первого структурного элемента науки стратегического планирования лежат: теория познания, диалектика, а также теория функционирования рыночной экономики.
Второй структурный элемент науки стратегического планирования включает в себя: развитую систему общенаучных методов, таких, например, как наблюдение, анализ и синтез, индукция и дедукция; традиции, аналогии, сочетание исторического и логического, моделирование социально-экономических процессов, восхождение от абстрактного к конкретному и т.д.
Третий — представляет собой систему принципов и способов организации и построения теоретической и практической деятельности, связанной с разработкой проектов управленческих решений в форме стратегических прогнозов, программ и планов развития различных социально-экономических подсистем общества и общества в целом.
Стратегическое прогнозирование региональной экономики представляет собой более конкретный, специализированный уровень осуществления экономического действия предприятия, т.е. региональный вопрос прогнозирования предъявляет более специфические, конкретные, строго детерминированные в перспективе требования к системе стратегического выстраивания программы действий предприятия.
В системе управления социально-экономическими процессами, происходящими в обществе, регулирования их направления и динамики, в обеспечении нормального функционирования коммерческих организаций особое место занимает планирование. Разрабатываемые в стране на всех уровнях национальной экономики прогнозы, программы и планы являются важнейшими инструментами реализации политики соответствующих субъектов управления. Именно они позволяют организовать четкую, продуманную, всесторонне обоснованную работу по достижению поставленных перед обществом и хозяйствующими субъектами задач.
Роль планирования в жизни общества, его отдельных подсистем и элементов определяется положением, которое планирование занимает в системе управления.
Как известно, сущность любого явления или процесса проявляется в его функциях. Анализ содержания основных функций управления позволяет сделать вывод о том, что двойственная функция управления — подготовка и принятие управленческого решения — означает прежде всего практическую работу по постановке целей, задач, которые преследует субъект управления, и разработку мер, обеспечивающих их достижение. По своему содержанию такая деятельность и есть не что иное, как планирование.
Двойственная функция управления подготовки и принятия решений занимает центральное место в системе всех его функций. Аргументами в пользу такого утверждения являются: во-первых, тот факт, что с нее начинается процесс управления и появляется управленческое решение, по поводу реализации которого в последующем и становится возможной сама управленческая деятельность; во-вторых, от качества работы по подготовке управленческих решений, т.е. планирования, зависит и качество самих этих решений, а следовательно, предопределяется успех или неуспех всей управленческой деятельности; в-третьих, управленческое решение, являясь конечным результатом процесса планирования, связывает прошлое с будущим через настоящее и обеспечивает непрерывное протекание всех управляемых, регулируемых процессов. Поскольку планирование есть органически неразрывный структурный элемент управления, часть его важнейшей функции, то вполне обоснованно говорить о том, что планирование — центральное звено в системе управления.
Содержанием процесса подготовки управленческих решений, касающихся различных аспектов жизнедеятельности общества, его отдельных подсистем и структурных элементов, является формирование соответствующих целей и отчисление оптимальных путей их достижения, обеспечивающих эффективное использование всех требующихся для этого ресурсов.
Планирование можно определить как специфическую форму общественной практики людей, являющуюся одной из функций управления — приоритетной, состоящей в подготовке различных вариантов управленческих решений в виде прогнозов, проектов программ и планов, обосновании их оптимальности, обеспечении возможности выполнения и проверки их выполнения.
Для того, чтобы успешно управлять развитием национальной экономики, субъектов федерации, местных органов власти, деятельностью коммерческих организаций, регулировать разнообразные процессы, происходящие в обществе, необходимо всем субъектам управления точно и правильно намечать цели, которые они преследуют, подготавливать научно обоснованные меры, обеспечивающие достижение этих целей. Все эти проблемы и решаются в процессе планирования.
В бывшем СССР существовала общегосударственная система планирования, пронизывающая сверху донизу деятельность всех субъектов управления и хозяйственных органов, жестко регламентирующая все аспекты их жизнедеятельности. Планы всех уровней и временных горизонтов приобретали силу закона, а виновные в невыполнении их заданий наказывались административно и экономически.


Стратегическое планирование структуры экономики


Стратегическое планирование структуры экономики Развитие структуры экономики происходит циклически. Циклическая форма развития обеспечивает быстроту и эффективность каждой очередной структурной перестройки, т.к. высвобождающиеся из действующего производства в период спада ресурсы частично или полностью используются во время оживления и подъема для внедрения новой техники и технологии, расширения новых, прогрессивных производств. На цикличность изменения структуры экономики указывали отечественные экономисты — Н.Кондратьев, П.Милюков, М.Туган-Барановский. Основополагающие закономерности циклического обновления структуры экономики были сформулированы в конце 30-х годов XX в. Й.Шумпетером. Согласно его теории структурные сдвиги в народном хозяйстве обусловлены переходом на новые технологии. Технологический прогресс в экономику вносится нововведениями, образующими кластеры. Появление кластера нововведений в начале цикла приводит к зарождению новых отраслей. В середине цикла эти новые отрасли расширяются, происходит распространение технологических преобразований на традиционные отрасли. К концу цикла прежние технологии полностью заменяются новыми, и процесс преобразования структуры на основе данного кластера завершается. Долговременные циклы полного обновления структуры экономики включают в себя циклы меньшей временной продолжительности. В течение одного короткого цикла обычно формируются не существовавшие прежде отрасли и происходит обновление большинства прежних микроотраслей. Затем на протяжении 2—3 коротких циклов полностью обновляются макроотрасли.
По мнению многих ученых, структура экономики развитых стран в настоящее время находится на начальном этапе постиндустриального цикла, вхождению в который непосредственно предшествовали два цикла, завершающих индустриализацию. Характерной особенностью структуры экономики постиндустриального общества является преобладание потребительского сектора, информатики, высокотехнологичных и наукоемких, экологически чистых и малоотходных производств, здравоохранения, образования, культуры.
Структура и тенденции экономики Российской Федерации Отличительными чертами структуры экономики РФ являются: высокая доля промышленности в общественном производстве, преобладание внутри промышленности военных отраслей и отраслей группы «А», большой удельный вес сельского хозяйства в потребляемых материальных ресурсах и численности занятых, превалирование добывающих отраслей в объеме экспорта, низкий удельный вес производств высокой технологии, наличие существенных межотраслевых, внутриотраслевых и территориальных диспропорций.
Структурные проблемы отечественной экономики формировались на протяжении нескольких десятилетий. В 60-е годы структурные изменения в экономике РФ носили в основном позитивный характер. Высокая норма производственного накопления позволила обеспечить существенный прирост национального дохода при относительно небольшом увеличении численности занятых в материальном производстве. Быстро увеличился выпуск продукции машиностроения и химической промышленности. Развивались отрасли группы «Б» и сельское хозяйство. Значительные средства направлялись в сферу науки и образования. Однако интенсивное наращивание военного производства к концу 60-х годов привело к образованию существенного преобладания I подразделения в структуре общественного производства и возникновению дефицита на потребительском рынке. Потребности в предметах потребления, оборудовании и сырье для их производства покрывались в значительной мере за счет импорта. Средства для закупок необходимых товаров за рубежом обеспечивал расширяющийся экспорт нефти. Интенсивное
наращивание производства в нефтедобывающей промышленности привело к дальнейшему увеличению доли I подразделения в народном хозяйстве. К середине 80-х годов конъюнктура мирового рынка энергоносителей стала менее благоприятной. Ухудшение условий внешней торговли вызвало ускорение развития кризисных процессов в российской экономике. Началось сокращение объемов производства, которое к концу 80-х годов распространилось на отрасли I подразделения.
Осуществление в ходе экономических реформ в РФ институциональных преобразований привело к необходимости приспособления структуры народного хозяйства к структуре спроса. Потребность в структурных сдвигах обострилась также в связи с ростом влияния конъюнктуры мирового рынка на внутреннее производство. В долгосрочной перспективе структура экономики РФ неизбежно будет изменяться в соответствии с общемировыми тенденциями. По завершении цикла индустриализации на основе распространения передовых прогрессивных технологий в базовых отраслях и цикла создания ресурсосберегающей структуры экономика России вступит в фазу постиндустриального развития. Произойдет сокращение доли первичных секторов материального производства, повысится роль отраслей, работающих на конечный спрос, наукоемких производств, отраслей сферы производственной инфраструктуры — оптовой и розничной торговли, связи, финансово-кредитной, страховой и налоговой деятельности. Постепенно, по мере того, как будет увеличиваться органическое строение капитала и повышаться производительность сельского труда на основе роста его энерго- и фондовооруженности, будет снижаться доля сельского хозяйства в валовом внутреннем продукте. Приближение к структуре экономики развитых стран неизбежно будет длительным и многоэтапным. В определенные периоды вероятны отклонения от главных тенденций.
В ближайшие годы структурные изменения в российской экономике в основном затронут внутриотраслевые пропорции и в меньшей степени коснутся межотраслевых.
Можно ожидать следующие наиболее существенные сдвиги внутри отдельных отраслей экономики и отраслевых комплексов.
В топливно-энергетическом комплексе произойдет стабилизация добычи нефти при углублении ее переработки и комплексном использовании. Увеличится добыча газа и его доля в общем объеме топлива. Возрастет открытая добыча угля в Восточных районах при одновременном сокращении шахтной добычи в результате закрытия нерентабельных предприятий. Увеличится комбинированная выработка электроэнергии и теплоты, возрастет использование нетрадиционных источников энергии в труднодоступных местах.
В черной металлургии будет происходить замена мартеновского способа конвертерным и электросталеплавильным, увеличатся объемы непрерывной разливки стали, внепечной обработки, проката, совмещенного с разливкой, расширится сортамент и повысится качество труб.
В цветной металлургии основное внимание будет уделяться укреплению рудной базы и концентрации производства на основе применения энерго- и ресурсосберегающих технологий и оборудования.
В строительной индустрии увеличится производство конструкций для малоэтажного строительства, мелкоштучных изделий из местного сырья, эффективных стеновых материалов.
В химической промышленности возрастет выпуск конструкционных пластмасс и изделий из них, полиэфирных волокон, основы магнитных лент, сырья для изготовления бутылок и пленки.
В деревообрабатывающей промышленности опережающими темпами будет увеличиваться производство древесно-стружечных и древесно-волокнистых плит с защитной обработкой.
В машиностроении и металлообработке расширится производство современного технологического  оборудования,  автоматизированных  и высокоточных станков, инструмента, автомобилей и автобусов, вагонов для поездов и метро, строительно-дорожных машин для малоэтажного строительства, оборудования для торговли и легкой промышленности, агропромышленного комплекса, медицинских учреждений.
В аграрном секторе ускоренное развитие получат торгово-закупочные и торговые предприятия, индустрия сортировки, переработки, упаковки и хранения сельскохозяйственной продукции, селекционная работа.
В транспорте, связи и информатике главное внимание будет уделено развитию и улучшению освоения дорожной сети, реконструкции электросвязи на основе цифровых систем, развитию спутниковой связи и вещания, расширению новых видов услуг, микроэлектронике, внедрению в различных сферах народного хозяйства современных информационных технологий.
Теоретически рыночный способ ведения хозяйства автоматически обеспечивает необходимую гибкость и мобильность структуры экономики, адекватное и своевременное реагирование ее на изменение запросов внутреннего и внешнего рынков. Однако на практике структурные преобразования экономики осуществляются только при активном участии государства. Интересы общества объективно требуют государственного регулирования структурных сдвигов в экономике. Прежде всего это вызвано стремлением уменьшить болезненность процесса структурной перестройки для общества. В ходе структурных хозяйственных преобразований система экономики избавляется от устаревших элементов, сохраняющиеся элементы подвергаются количественным и качественным изменениям, дополнительно формируются новые, не существовавшие прежде образования. Поскольку все элементы экономической системы тесно взаимосвязаны между собой, возможны сбои в технологических цепочках, остановка производств, необходимых для нормального протекания хозяйственных процессов и жизнеобеспечения общества. Кроме того, часть ресурсов, высвобождающихся при ликвидации и сокращении действующих производств, может не найти применения в новой структуре. В результате возникает угроза ухудшения условий жизни многих людей. Решение задачи смягчить последствия изменений в структуре народного хозяйства традиционно берет на себя государство.
Другой задачей, решать которую призвано государство, является выбор и создание условий для реализации того варианта из множества альтернатив структурной реформы, который отвечает жизненным интересам наиболее широких слоев общества.
Третья задача государства — обеспечение оптимальных сроков реформирования. Продолжительность процесса структурных преобразований в целом, очередность и длительность отдельных этапов в значительной мере зависят от того, как будут использованы материальные, трудовые и финансовые ресурсы общества. Государство способно определить ключевые направления, в наибольшей степени отвечающие интересам страны, и создать условия для мобилизации ресурсов и их концентрации на этих направлениях.
Разработку Правительством страны комплекса мероприятий в отношении отдельных элементов экономической системы общества с учетом их взаимовлияния и взаимодействия называют структурной политикой государства.
Структурная политика тесно связана во времени и пространстве с инвестиционной политикой, которая объединяет комплекс мер Правительства, направленных на определение необходимого для структурных преобразований объема материальных, трудовых, научно-технических и финансовых ресурсов, их изыскание, привлечение и распределение по приоритетным направлениям. Учитывая высокую степень взаимозависимости между структурной и инвестиционной политикой, можно говорить о едином направлении в деятельности Правительства — структурно-инвестиционной политике государства.
Государственная структурно-инвестиционная политика направлена на упорядочение структурных преобразований и их ресурсное обеспечение, координацию в масштабах страны всех внутренних и внешних потоков инвестиций — средств бюджета, внебюджетных фондов, средств предприятий, сбережений населения, займов иностранных государств и частных компаний, частных иностранных инвестиций.
Поскольку структура хозяйства страны представляет собой строение целостного организма, структурно-инвестиционная политика должна охватывать все элементы и движущие силы в экономической конструкции и четко определять очередность воздействия на них со стороны государства.
Будучи одним из звеньев социально-экономической политики в целом, структурно-инвестиционная политика должна соответствовать социально-экономическим целям развития страны на конкретном историческом этапе. В условиях перехода к рынку структурно-инвестиционная политика государства, решая специфические свои задачи, должна способствовать успешному осуществлению экономических реформ в целом.
В современной экономической ситуации, сложившейся в России, структурно-инвестиционная политика призвана остановить процесс деиндустриализации российской экономики и способствовать перелому наметившихся в последние годы неблагоприятных тенденций.1
Рыночная стратегия направлена на сохранение прежнего или достижение принципиально нового положения рынка конкретного товара или группы товаров. При этом в рыночную стратегию как элемент входит стратегия воздействия на рынок в целях получения прибыли и изменения соотношений рыночных элементов и данной фирмы, предприятия или корпорации.


Структура общественного производства


Структура общественного производства Согласно принятым методам учета, структуру общественного производства можно представить в виде схемы 12.1.4.
В материальное производство, согласно официальной статистике, входят отрасли и предприятия, где производятся материальные блага (промышленность, сельское и лесное хозяйство, строительство), а также отрасли, оказывающие материальные услуги (транспорт, связь, коммунальное и личное подсобное хозяйство). Такое решение вопроса далеко не бесспорно, и в экономической литературе высказываются мнения, отрицающие правомерность ' отнесения отраслей народного хозяйства, представляющих сферу (т.е. торговлю, общественное питание, материально-техническое снабжение, сбыт и заготовки), к материальному производству на том основании, что главная их функция — купля-продажа — не создает нового продукта и не увеличивает стоимость товара.

От сферы материального производства следует отличать непроизводственную сферу, или сферу нематериального производства. К ней относятся здравоохранение, просвещение, наука (дискуссионное положение), культура, искусство, жилищное, коммунальное хозяйство, бытовое обслуживание, управление, финансирование и кредитование, пассажирский транспорт, связь (по обслуживанию организаций непроизводственной сферы и населения), спорт и т.д.
Труд, затрачиваемый в сфере материального производства и создающий материальные блага, выступает как производительный. Непроизводительный труд — это труд, не участвующий в создании материальных благ.
Общественно полезными могут быть не только вещи, материальные блага, но и услуги материального (ремонт, транспорт, хранение) и нематериального характера. Производственные  потребности  удовлетворяются  научными,  информационными, транспортными и другими услугами. Совокупность всех услуг образует сферу услуг.
Производственные и личные услуги — это составная часть общественного продукта, а труд, затрачиваемый на их производство, выступает как часть производительного, общественно полезного труда.
НТР обусловила быстрое* развитие сферы обслуживания, которая не создает самостоятельный материальный продукт, но выполняет важные общественные функции. К этой сфере относятся производственная и социальная инфраструктуры.
Для современного воспроизводства существенную роль играет также сфера военной техники. Кроме того, в некоторых странах (с моноспециализацией — например, нефть) выделяют и нулевое подразделение — добычу нефти.
Минимально необходимым для общественного воспроизводства является наличие в производстве двух подразделений: I u II. Это обусловлено тем, что средства производства и предметы потребления выполняют существенно различные функции в процессе воспроизводства.  Если первые  служат для воспроизводства  преимущественно вещественных, материальных элементов производительных сил, то вторые — для воспроизводства человеческого фактора производства.
Проблема соотношения I и II подразделений общественного воспроизводства имеет огромное значение для развития экономики. Упрощенно толковавшаяся в нашей стране догма о преимущественном росте производства средств производства постепенно обусловила снижение жизненного уровня, сужение объективного уровня развития общественного воспроизводства. Закономерность преимущественного роста I подразделения общественного производства действует в условиях не количественного накопления средств производства, а непрерывного их качественного совершенствования,
поскольку является движущей силой НТП и фактором постоянного роста производительности общественного труда. Что же касается нашей страны, то после войны наращивание объемов производства в I подразделении стало носить самодовлеющий характер, т.е. производство ради производства. Это было вызвано следующими специфическими условиями.
1. Первое подразделение должно было обеспечить приоритетное развитие ВПК и космических разработок, необходимые для этого сырье, материалы, энергию, станки, оборудование.
2. С конца 60-х годов началось широкомасштабное освоение западносибирских месторождений нефти и газа. Это вызвало резкое увеличение инвестиций в топливно-энергетический комплекс.
3. Расширение объема производства в I подразделении происходило на практически неизменной технической основе при сохранении старого технического способа производства.
В итоге технические характеристики конечной продукции I подразделения (продукции машиностроения) менялись медленно, а недостаточное выделение инвестиций для П подразделения приводило в отдельные периоды не только к моральному, но и к резкому физическому старению производственного аппарата.
Для процесса инвестирования народного хозяйства нашей страны были характерны высокая доля капитальных вложений в I подразделение и постепенное уменьшение доли капиталовложений во II подразделение, здравоохранение, культуру и другие сферы жизнеобеспечения.
В развитых западных странах в послевоенный период произошел резкий сдвиг в инвестиционной сфере в пользу потребительского комплекса и всей социальной инфраструктуры. Это стало возможным благодаря ускорению НТП, позволившему на основе ресурсосбережения сократить общественные затраты на производство сырья и энергии, с помощью комплексной механизации и автоматизации высвободить трудовые ресурсы из сферы материального производства и направить их на цели обслуживания / человека. В итоге во второй половине XX в. наблюдается повышение жизненного уровня населения практически во всех развитых странах.
Современное общественное производство охватывает не только материальное производство (I и II подразделения), но также нематериальную сферу — производство нематериальных услуг и благ, что составляет в совокупности своих отраслей III подразделение, и наконец, сферу военной экономики, которую целесообразно выделить в IV подразделение. Такая структура общественного производства учитывает современные коренные качественные сдвиги. Это также позволяет глубже понять, что III и IV подразделения никаких материальных субстанций потребительского и производственного назначения сами по себе не производят (кроме конверсионного производства). Отсюда вывод: материальным источником пополнения III и IV подразделений, а также товарного покрытия (обеспечения) потребительского спроса этих подразделений является общественный продукт, создаваемый I и П подразделениями (т.е. их отраслями) общественного производства. Все это необходимо учитывать при установлении сбалансированности общественного хозяйства.
Таким образом, структура общественного производства влияет на темпы и масштабы воспроизводства. Преодоление застойного — а сейчас кризисного — состояния экономики России возможно через нормализацию структуры общественного производства. Только значительное сокращение ВПК, конверсия ряда военных производств позволят обеспечить материальные условия прогрессивной структуры общественного производства, без чего невозможно выйти на нормальное равновесие важнейших макропропорций.1



Структура права и его действия


Структура права и его действия При реализации какого-либо действия в рамках коммерческой или государственной структуры существует этап определения необходимых элементов правового обеспечения конкретного действия. Разделение права на части, обеспечивающие отдельное действие, позволяет воспроизводить отдельные стадии целостного плана, довольно точно соблюдая первоначальный расчет. Таким образом, правовое обеспечение экономического действия является существенным фрагментом права.
Прослеживание перехода стадий первоначального плана действий организации можно осуществлять на основе анализа структуры права и ее действия на конкретную организацию. При этом необходимо учитывать, что общеобязательность норм права охраняется силой государства, обеспечивающего юридическую регламентацию общественных отношений в масштабе всего общества. Именно поэтому воспроизведение общих свойств интересующего явления отслеживается по характеристикам действия на него структуры права.
Включение в рассмотрение действия структуры права на отдельное действие субъекта экономики и общественных отношений обуславливает необходимость различения структуры в самом действии права. Иными словами, правовая система дифференцирована по отраслям права, что ведет к достижению определенности в установлении свойств и признаков изучаемого явления. Успешная реализация эффективного  действия в рамках общественных отношений обеспечивается рассмотрением действия права с точки зрения его структуры.
Правовые нормы взаимосвязаны и составляют систему права. Различаются следующие основные отрасли: государственное (конституционное), административное, финансовое, земельное, лесное, горное, водное и другие отрасли природоохранительного права; гражданское, трудовое, семейное, сельскохозяйственное; отрасли, регулирующие охрану правопорядка, прав и свобод граждан и организаций; уголовное право; право судоустройства и прокурорского надзора, арбитражно-процессуальное, гражданско-процессуальное и уголовно-процессуальное право, исправительно-трудовое право.1
Право в обществе является неотъемлемым элементом, наличие которого подтверждает и дает возможность оценить уровень развития общества по степени проработанное™ всех его элементов. Таким образом, право определяет пространственно-временные условия реализации общества в части возможности стабильного воспроизведения общественных процессов.
Осуществляя какое-либо действие, любой человек попадает в сферу конкретного права, которое дефинитивно по отношению к этому событию и носит однозначный характер при необходимости формализовать субъектно-объектные отношения.
Непосредственное определение последовательности в организации условий, позволяющих реализовать интересующее действие, является проектным результатом действия права. Это происходит из-за того, что право регламентирует постадийность (в общем виде) формирования явления. При этом каждая из отраслей права имеет свой предмет регулирования и обладает специфическими чертами, что делает актуальным изучение действия права.




18.1. Менеджмент
управление персоналом: персонал предприятия как объект управления;место и роль управления персоналом в системе управленияпредприятием; принципы управления; трудовой потенциал как экономическая категория и его место в системе оценок общественного производства
Сфера управления персоналом рассматривает взаимодействие управленческого звена, менеджмента с работниками предприятия. Изучение поведенческих, мотивационных и других факторов, формирующих работу персонала предприятия, углубляет содержание знаний о методах управления, является основой для выработки эффективного стиля менеджмента. Для достижения этого результата необходимо установить соотношения и взаимосвязи элементов структуры предприятия, что позволяет рассмотреть его как объект управления.
В системе управления предприятием в современных рыночных условиях на первое место выдвигается эффективная работа коллектива фирмы. Именно в работе персонала отражаются и удачные решения, и сбои, и общие проблемы функционирования предприятия, которые в сущности этим персоналом и формируются. Анализ управления персоналом, рассматриваемым в системе управления предприятия в целом, позволяет выявить его место и роль и уделить должное внимание человеческому фактору в успехе бизнеса.
Содержание понятия «персонал»», субъекты и объекты управления Термин «кадры» (с первичным значением «рамки» в немецком и французском языках) пришел в управленческую терминологию из армейского лексикона, где он означает группу профессиональных военных — рядовых, командного состава и резерва. В англоязычных странах привычным является использование в данном значении термина «персонал» (personnel) и производных на основе этого корня. В настоящее время почти все авторы, пишущие по вопросам управления кадрами, сетуют на недостаточную стандартизирован-ность терминов, позволяющую почти на разных основаниях пользоваться целым рядом определений: «кадровое управление» (personnel management), «кадровая администрация» (personnel administration), «кадровые и производственные отношения» (personnel and industrial relations) и пр.
Термин «кадровая администрация» первоначально использовался для того, чтобы описывать персонал фирм в пределах некоммерческих (общественных) институтов, а словосочетания «кадровое управление», «производственные отношения» были зарезервированы с тем, чтобы обозначать обеспечение персоналом деятельности, осуществляющейся в частном секторе экономики.
Сегодня в практике существуют два основных подхода к решению проблем персонала. Первый акцентирует внимание на том, что «управление человеческими ресурсами» охватывает стратегические аспекты решения данной проблемы, включая и вопросы социального развития, а «управление персоналом» в большей мере относится к оперативной работе с кадрами.
Второй подход исходит из того, что «управление человеческими ресурсами» ориентировано прежде всего на вопросы государственного регулирования отношений в области труда и занятости, а «управление персоналом» — на трудовые отношения на уровне предприятия. Терминологические различия могут быть обусловлены также характером и направлениями деятельности. Так, термин «персонал» чаще всего используют небольшие фирмы (где занято менее 100 человек).
Управление персоналом (менеджмент персонала) — система взаимосвязанных организационно-экономических и социальных мер по созданию условий для нормального функционирования, развития и эффективного использования потенциала рабочей силы на уровне организации.
Управление персоналом выступает в форме непрерывного процесса, направленного на целевое изменение мотивации работников для получения от них максимальной отдачи, а следовательно, и достижения высоких конечных результатов в деятельности предприятий. Основной целью работы с персоналом в современных условиях является формирование личности, обладающей высокой ответственностью, коллективистской психологией, высокой квалификацией, развитым чувством сохозяина предприятия.
Управление персоналом представляет собой разнообразную деятельность специальных функциональных служб организации и линейных руководителей соответствующих производственных подразделений, направленную на реализацию целей стратегического развития организации и выполнение тактических задач по наиболее эффективному использованию занятых на предприятии работников ( 18.1.1).

Собственники капитала являются собственниками организации, предоставляющими свой капитал (например, розничные торговцы, корпоранты, акционеры или другие предприятия). Они заинтересованы, с одной стороны, в сохранении и умножении вложенного в предприятие капитала, с другой — в текущих снятиях средств со счета (распределении дивидендов). Предпосылкой для обоих устремлений является получение предприятием прибыли. Так как она является не обязательным моментом, а остаточной величиной между доходами и расходами, собственники заинтересованы в высоких доходах и малых расходах. Относительно ее использования (сохранения или распределения дивидендов) существуют различные представления, зависящие от индивидуальных потребительских желаний. Кроме того, у собственников существует право на участие в формировании намерений и их осуществлении. Они либо осуществляют это самостоятельно (предприятие собственников), либо делегируют свое право нанятым менеджерам.
Менеджеры организации как самостоятельная группа имеют значение только на менеджерском предприятии. Они в принципе заинтересованы в удовлетворении интересов долевых участников, которых они замещают. В крупных организациях, однако, существуют должности менеджеров-представителей наемных рабочих в контрольном совете. Наряду с этими производственными интересами менеджеры могут преследовать и собственные интересы (независимость, власть, признание, карьера).
Персонал (сотрудники) постоянно заинтересованы в надежности своего рабочего места, в максимально возможной зарплате и социальных гарантиях, хороших условиях работы и согласии, а также в высоком престиже своего предприятия. Часто встречающимися мотивами являются также возможности профессиональной реализации своих способностей и личного признания. Интересы сотрудников защищаются также профсоюзами и органами представительства наемных рабочих на предприятии.


Структура спроса и предложения рабочей силы


2. В отличие от рынка обычных товаров при продаже рабочей силы работник не утрачивает право собственности на нее, он продает лишь право использования этой рабочей силы. В процессе использования рабочая сила не уничтожается.
3. На структуру спроса и предложения рабочей силы влияет большое число факторов, формирующихся вне рынка труда ( 18.1.4).

Одним из таких факторов является степень осведомленности трудоспособного населения о конъюнктуре на субрынках труда. При недостатке информации о текущем положении на рынке труда, если даже и существует относительное равновесие спроса и предложения, нельзя ожидать оптимального распределения труда. Решение индивида о том, какое количество труда предложить, — это своего рода компромисс между досугом и купленными потребительскими благами.
Организационно рынок труда выступает как система социальных институтов, каждый из которых выполняет частично или полностью какую-либо функцию развития труда: подготовку, использование, стимулирование. Рынок труда неоднороден. Существуют субрынки, разделенные труднопреодолимыми барьерами, чем в значительной степени обусловлена сложность проблем мобильности рабочей силы.
Составной частью рынка труда является рынок рабочих мест, поскольку зачастую предлагается (имеет спрос) совершенно определенное рабочее место. Понятие «рынок трудовых ресурсов» раздвигает границы социально-трудовых отношений еще шире, до масштабов трудовых ресурсов общества. В рыночные отношения вовлекается не только экономически активное население, но и близкий к нему трудовой резерв, представленный прежде всего выпускниками общих, профессионально-технических, среднеспециальных и высших учебных заведений, а также людьми, занятыми в домашнем хозяйстве, неустойчивое материальное положение которых побуждает их выходить на рынок для продажи своих способностей к труду. Термин «рынок труда» по существу означает, что в качестве товара наемный работник предлагает владельцу рабочего места свой труд, а не рабочую силу, т.е. способность к труду. Но труд на рынке продавать нельзя, ибо в момент продажи рабочей силы он еще не существует. В действительности на рынке предлагается не труд, а рабочая сила. Труд — деятельность человека, реальный процесс между ним и средствами производства, имеющий промежуточный или конечный результат. Он характеризует отношения в сфере занятости.
От других рынков он отличается тем, что объектом купли-продажи на нем является право на использование рабочей силы или способностей к труду. Причем предметом торга является не только определенный вид способностей, но и продолжительность применения.
Таким образом, рынок трудовых ресурсов является более общим понятием по сравнению с рынком труда и рынком рабочей силы.
Рынок трудовых ресурсов — это не только совокупность отношений по поводу найма и использования работников, но и определенный исторически сложившийся механизм, регулирующий круг социально-трудовых отношений, способствующий установлению и соблюдению баланса интересов между трудящимися, предпринимателями и государством.
В широком плане механизм регулирования рынка трудовых ресурсов охватывает весь спектр экономических, юридических, социальных и психологических факторов, определяющих функционирование данного рынка. Все указанные факторы находятся в разных странах в различном состоянии — в зависимости от экономических и исторических условий развития рыночной экономики. Правомерно использовать все указанные понятия, но следует видеть различия между ними. Эти различия при наличии общих элементов (компонентов) привели к формированию разных моделей рынка труда.
Если исходить из критерия географического, внутрифирменного, профессионального движения рабочей силы и заполнения рабочих мест, то можно выделить два типа рынка, существующих в разных странах в разных соотношениях.
Первый тип — рынок, ориентирующийся на географическое и профессиональное движение рабочей силы, т.е. на заполнение рабочих мест путем движения работников между предприятиями (фирмами). Условно он назван внешним рынком. К нему больше тяготеет модель рынка труда в США.
В рамках такого рынка фирмы комплектуются кадрами со стороны, набирают готовых работников нужной профессии и квалификации, рассчитывая на их подготовку вне предприятия. Основная же форма подготовки на таких предприятиях — ученичество.
Второй тип — рынок с ориентацией на внутрифирменное профессиональное движение работников. Подготовка кадров, формирование структуры по профессиям и квалификации происходит внутри фирмы в соответствии со структурой рабочих мест и перспективой развития предприятия. Условно такой тип рынка называется внутренним. Данный тип характерен для модели рынка труда Японии.
В России современный рынок только еще формируется. Он не приобрел четких очертаний по данному критерию. В этом плане его можно назвать смешанным и тяготеющим к первому типу.
Состояние  российского  рынка трудовых ресурсов  определяется  высокой монополизацией и концентрацией производства, значительной долей работников физического труда. Кроме того, данный рынок в России зависит от особенностей создания негосударственного сектора экономики. В переходный период этот сектор вынужден использовать рабочую силу, владельцы которой зачастую не готовы к работе в рыночные отношениях.
Вместе с тем, в современных условиях отслеживание взаимосвязей и взаимодействия рынка трудовых ресурсов (внешний рынок) и рынка труда (внутренний рынок) приобретает в России очень важное значение. Если первый характеризуется мобильностью рабочей силы, то второй — движением внутри предприятия, корпорации и т.п. Эти два типа рынка труда различаются системой профподготовки кадров, практикой повышения квалификации работников и заполнения вакантных рабочих мест, особенностями трудовых отношений и методов их регулирования. Внешний рынок чреват безработицей в большей мере, чем внутренний, поскольку при сокращении производства на внутреннем рынке кадры, как правило, сохраняются, но на определенных условиях. Взаимодействие внешнего и внутреннего рынков представлено на 18.1.5.

Внутренний рынок труда определяется наличием и составом работников на предприятии, их движением внутри его, причинами перемещения, уровнем занятости, степенью использования оборудования, наличием свободных, вновь создаваемых и ликвидируемых рабочих мест. При рассмотрении процессов формирования рынка труда необходимо иметь в виду, что положение работника на нем характеризуется тремя состояниями: подготовкой к работе (обучение и переобучение, инструктаж); поиском работы, т.е. предложением на рынке товара рабочей силы; занятостью в трудовом процессе на конкретном рабочем месте.
По оценкам зарубежных экономистов, в структуре рынка труда сегодня можно выделить, по крайней мере, пять сегментов:
1) сравнительно немногочисленный, но стабильный отряд высокопрофессиональных руководящих работников;
2) кадровые рабочие и служащие, которые подвержены действию законов конкуренции;
3) рабочие тех отраслей обрабатывающей промышленности, которых непосредственно касается структурная перестройка и сокращение производства;
4) работники трудоемких отраслей с высоким уровнем производительности труда (в основном сферы услуг);
5) наиболее уязвимые категории трудящихся — молодежь, пожилые люди, лица с физическими и умственными недостатками, а также потерявшие надежду на работу и т.д.
Изучение внутреннего рынка труда имеет своей целью определение возможностей использования рабочей силы предприятия для решения новых задач. Здесь исследуется степень укомплектованности предприятия штатными работниками по количественным и качественным параметрам, исследуются индивидуальные пожелания работников в плане их квалификационного роста, перемены труда, анализируется возрастная структура персонала, его возможность перехода на другие места работы, рассчитываются показатели квалификационного потенциала отдельных профессиональных групп и др.
Основной задачей изучения внешнего рынка является выявление важных для предприятия рынков рабочей силы, выделение региональных и качественных сегментов.
На самом деле границы этих сегментов рынка труда условны. Они представляют собой сложную динамическую систему, элементы которой, подчиняясь определенным закономерностям, постоянно переходят из одного состояния в другое. При этом, как отмечено в литературе, рынок труда разделен на большие, относительно обособленные друг от друга подсистемы, характеризующиеся разной степенью стабильности во времени, различным влиянием отдельных факторов на спрос и предложение рабочей силы, сильной конкуренцией внутри какой-либо подсистемы и слабой между ними самими, затрудненностью перемещения между подсистемами, социальными особенностями субъектов рыночной экономики.
Внутренний рынок труда, действуя в рамках предприятия, является составной частью регионального и общероссийского рынков. На рынок трудовых ресурсов он оказывает влияние посредством установления соответствующего равновесия между запросами производства и наличным составом работников на предприятии. Обеспечение нормальных условий для воспроизводства рабочей силы, эффективное использование производственных мощностей и инвестиций, направленных на создание новых рабочих мест, рассматриваются как результат влияния внутреннего рынка труда предприятий на рынок трудовых ресурсов.


Структурно-инвестиционная политика РФ


Структурно-инвестиционная политика РФ В основе структурно-инвестиционной политики лежит концепция, определяющая главные принципы, которым должны следовать власти при выработке решений, касающихся структурных преобразований и инвестиционной сферы. С учетом этих принципов, а также необходимых для их реализации условий разрабатывается среднесрочная программа Правительства, в которой изложены основные положения, цели, стратегия и подходы к решению структурных проблем.
Структурные преобразования в значительной мере затрагивают интересы отдельных территорий. Важной задачей является предотвращение появления регионов с высоким уровнем структурной безработицы, возникновения массовой вынужденной миграции. Поэтому наряду с федеральной целевой программой необходимо разрабатывать региональные и местные инвестиционные программы. В целях согласования национально-государственных интересов с территориальными программы разных уровней должны быть взаимоувязаны как на ближайший период, так и на более отдаленную перспективу.
Особого внимания требуют регионы с менее благоприятными природно-климатическими и социально-экономическими условиями, осуществление структурных сдвигов в экономике которых требует большего времени и сопряжено с более существенными социальными издержками. Это прежде всего территории слабого освоения, районы с концентрацией депрессивных производств и аграрным перенаселением.
Результативность структурно-инвестиционной политики может быть оценена по достигнутому уровню соответствия между отдельными сферами и подразделениями, отраслями народного хозяйства и территориальными подсистемами общественного производства, а также по степени удовлетворения экономикой общественных потребностей.
Главным принципом структурно-инвестиционной политики является выработка и обоснование системы взаимоувязанных приоритетов, которые определяют направления структурных сдвигов исходя из общемировых тенденций, выгод от участия страны в общемировом разделении труда, из специфики деформаций и диспропорций в существующей структуре национальной экономики. Ведущую роль при выработке приоритетов играет установление критериев для отнесения сфер, отраслей и производств экономики к числу приоритетных. Процесс структурной перестройки, как правило, продолжается длительное время и осуществляется поэтапно. На современном этапе структурные преобразования прежде всего направляются на восстановление нарушенного в предшествующие годы равновесия в сфере экономики, на более полное удовлетворение потребностей населения в товарах, услугах, рабочих местах.
В условиях экономического кризиса и перехода к рыночным отношениям, характерных в настоящее время для России, структурно-инвестиционную политику необходимо разрабатывать как на весь переходный период, так и на отдельные его этапы с учетом специфики решаемых задач по реформированию экономики и складывающейся в народном хозяйстве экономической и социально-политической ситуации. При этом должна быть обеспечена преемственность целей и стратегии структурной перестройки.
Главными задачами структурно-инвестиционной политики на современном этапе переходного периода являются последовательное свертывание устаревших производств, преодоление структурных деформаций и приведение структуры производства в соответствие с платежеспособным спросом, обеспечение наиболее полного использования производственных ресурсов и научно-технического потенциала, поддержание экологической и экономической безопасности страны, содействие развитию эффективных, конкурентоспособных производств, рыночной инфраструктуры, сферы услуг и интеллектуальной деятельности.
В структурно-инвестиционной политике РФ в настоящее время можно выделить ряд взаимосвязанных направлений в разрезе отдельных блоков системы общественного воспроизводства:
1) формирование и развитие рынка предметов потребления и услуг;
2) переориентация производства средств производства на нужды потребительского комплекса;
3) приведение производства средств производства для группы А в соответствие с потребностями производителей средств производства для потребительского комплекса и достижение сбалансированности между отдельными производствами внутри данного воспроизводственного блока;
4) перепрофилирование внешнеэкономического комплекса за счет развития экспортных и импортозамещающих производств.
Кризисное состояние экономики РФ требует особой стратегии структурно-инвестиционной политики. Сущность этой стратегии состоит в селективной поддержке государством точек и секторов роста в народном хозяйстве. Точками роста являются конкретные хозяйствующие субъекты, предприятия. Идентификация точек роста осуществляется с учетом их способности к осуществлению эффективной хозяйственной деятельности, связей с другими элементами экономической системы и роли, которую они могут сыграть в решении приоритетных для данного этапа задач в области социально-экономического развития.
В сегодняшних условиях точками роста прежде всего могут быть предприятия, которые рентабельно работают, не нарушая при этом действующего законодательства, производят экспортную и импортозамещающую продукцию, продукцию и услуги для социальной сферы, которые содействуют своей деятельностью повышению уровня жизни населения, поддержанию занятости, улучшению экологической обстановки, а также реализующие проекты, направленные на будущие технологические прорывы, выход на новые рынки, освоение новых рыночных сегментов и ниш. Важное значение при установлении точек роста имеет способность предприятия вовлечь в сферу своей деятельности субъектов хозяйствования в других отраслях и секторах экономики и сформировать тем самым сектора роста в национальном хозяйстве.
Содействие развитию производства в точках и секторах роста государство может осуществлять в виде разнообразных форм поддержки, выделяя бюджетные средства для финансирования проектов и программ, предоставляя целевые льготы по налогам и таможенным тарифам, выдавая налоговые кредиты и государственные гарантии и т.д. Решение структурных проблем требует ресурсного и, прежде всего, инвестиционного обеспечения. В условиях кризиса осуществление структурной перестройки осложнено острой нехваткой ресурсов и неблагоприятным инвестиционным климатом с относительно высоким уровнем инфляции, несовершенной налоговой системой, высокими процентными ставками. Потребность деятельности в инвестициях для устранения структурных деформаций составляет, по некоторым оценкам, 5—б млрд. долларов. Возможны три источника инвестиций — государственный бюджет и внебюджетные фонды; накопления граждан и предприятий; иностранный капитал. Для их привлечения и использования
необходимо рациональное и эффективное воздействие государства на инвестиционный процесс, направленное на стимулирование сбережений и создание условий для трансформации накоплений в инвестиции. Прежде всего это предполагает достижение в стране стабилизации политической ситуации, снижение уровня правонарушений, создание благоприятного правового климата для инвестиций. Со стороны государства требуется также осуществление комплекса мер по ориентации инвестиционной активности в приоритетных направлениях. В соответствии с разработанной Правительством РФ концепцией структурно-инвестиционной политики государство отвечает за создание в стране благоприятных экономических условий для активизации инвестиционной деятельности и само принимает в ней активной участие.
Бюджетные средства используются для финансирования целевых программ и отдельных проектов. Государство принимает долевое участие в совместном финансировании проектов и оказывает поддержку частным инвесторам в рамках этих проектов. С помощью налогов, кредитов, ускоренной амортизации государство координирует деятельность всех инвесторов. Особое место в деятельности государства отводится решениям и мерам, призванным стимулировать приток иностранных инвестиций в национальную экономику.
В РФ приняты специальные законы об иностранных инвестициях, о концессиях, о свободных экономических зонах. Привлечением и страхованием иностранных инвестиций от лица государства занимаются Российское агентство международного сотрудничества и развития. Государственная инвестиционная корпорация, Российская финансовая корпорация. Создана система инвестиционных кредитных институтов — Российский банк реконструкции и развития, Агентство финансового проектирования, Международное агентство по страхованию инвестиций от некоммерческих рисков, Тендерный комитет содействия инвестициям. Разработана адаптированная к российским условиям и практике методика создания бизнес-планов и оценки инвестиционных рисков. Специалистами финансовой корпорации ведется отбор приватизированных предприятий, которые могут представлять интерес для иностранных инвесторов. В целях повышения заинтересованности зарубежных инвесторов предусмотрены таможенные и налоговые льготы, разрешена долгосрочная аренда земли, создание в России филиалов иностранных банков, а также совместных банков, совершенствуется редакция законов об иностранных инвестициях, о концессиях и о свободных экономических зонах в направлении упрощения порядка инвестирования в экономику России.
Допуская инвестирование экономики непосредственно из государственного бюджета, рыночные отношения в то же время требуют установления границ прямого участия государства в инвестиционном процессе. Масштабы государственного вмешательства должны находиться в таких пределах, в которых это не ведет к ослаблению стимулирующей роли рыночного механизма. Определение объемов инвестиционной деятельности федерального Правительства и органов государственной власти в регионах и на местах является одной из важнейших задач, решаемых в ходе разработки структурно-инвестиционной политики и формирования механизма ее реализации.
На современном этапе реформирования российской экономики государственные инвестиции не могут ограничиваться традиционными в рыночных условиях сферами применения. Наряду с финансированием производственной и социальной инфраструктуры, части НИОКР и отдельных, нуждающихся в государственной поддержке, депрессивных отраслей необходимы значительные централизованные вложения в технологическую перестройку народного хозяйства, создание потребительского сектора экономики. Государственные инвестиции призваны стать одним из важнейших средств преодоления экономического кризиса и оздоровления экономики России.
Присущий государственным капитальным вложениям достаточно высокий уровень управляемости со стороны Правительства делает возможным использование их для оперативного обеспечения и поддержания сбалансированности структурных сдвигов.1



Структурные средние величины


Структурные средние величины Для характеристики структуры совокупности применяются особые показатели, которые можно назвать структурными средними. К таким показателям относятся мода и медиана.
Модой называется чаще всего встречающийся вариант, или то значение признака, которое соответствует максимальной точке теоретической кривой распределений.
Мода представляет собой наиболее часто встречающееся или типичное значение. Мода широко используется в коммерческой практике при изучении покупательского спроса (при определении размеров одежды и обуви, которые пользуются широким спросом), регистрации цен.
В дискретном ряду мода — это вариант с наибольшей частотой. Например, по приведенным ниже данным наибольшим спросом обуви пользуется размер 37 (табл. 17.3.2).
В интервальном вариационном ряду модой приближенно считают центральный вариант так называемого модального интервала, т.е. того интервала, который имеет наибольшую частоту (частость). В пределах интервала надо найти то значение признака, которое является модой.
Таблица 17.3.2 Определение моды по модальному интервалу
Размер обуви
Число купленных пар
34
2
35
10
36
20
37
88 Мода
38
19
39
9
40
1

Решение вопроса состоит в том, чтобы в качестве моды выявить середину модального интервала. Такое решение будет правильным лишь в случае полной симметричности распределения либо тогда, когда интервалы, соседние с модальными, мало отличаются друг от друга по числу случаев. В противном случае середина модального интервала не может рассматриваться как мода.
Мода всегда бывает несколько неопределенной, так как она зависит от размера групп, от точного положения их границ.
Мода — это именно то число, которое в действительности встречается чаще всего (является величиной определенной), а в практике имеет самое широкое применение (например, наиболее часто встречающийся тип покупателя).
Медиана — это величина, которая делит численность упорядоченного вариационного ряда на две равные части: одна часть имеет значения варьирующего признака меньшие, чем средний вариант, а другая — большие. Понятие медианы легко уяснить из следующего примера. Для ранжированного ряда (т.е. построенного в порядке возрастания или убывания индивидуальных величин) с нечетным числом членов медианой является вариант, расположенный в центре ряда.
В интервальном вариационном ряду порядок нахождения медианы следующий:
располагаем индивидуальные значения признака по ранжиру; определяем для данного ранжированного ряда накопленные частоты; по данным о накопленных частотах находим медианный интервал.1
Рассмотрение абсолютных, относительных и средних величин требует от руководителя и временного, хронологического, отслеживания их изменений. При этом отражение изучаемого явления в ряду изменения фиксируемых показателей является существенным фактором в принятии ценовых и неценовых решений. Одновременно ряды динамики, которые описаны в статистике, выступают формой интеграционного соединения имеющихся в явлении элементов.


Субъекты гражданского права


Субъекты гражданского права Субъекты гражданского права — это носители (обладатели) гражданских прав и обязанностей. Субъектом гражданского права может быть только лицо, которое обладает определенным статусом — является правоспособным и дееспособным. Субъектами гражданского права могут быть: 1) граждане (физические лица); 2) юридические лица; 3) государство — Российская Федерация и ее субъекты, а также городские и сельские поселения и другие муниципальные образования.
Граждане. Как субъекты гражданского права граждане обладают правоспособностью и дееспособностью.
Под правоспособностью понимается способность иметь гражданские права и нести обязанности. Правоспособность гражданина возникает в момент рождения и прекращается в момент наступления смерти (ст. 17 ч. 1 ГК РФ). Способность иметь гражданские права следует отличать от обладания этими правами. Наличие правоспособности говорит лишь о том, что лицо может обладать теми или иными гражданскими правами, например правом собственности, допустим, на автомобиль, но это не значит, что это лицо в данный момент обладает автомобилем. Право собственности как субъективное право возникает у гражданина в результате определенных, юридически значимых действий (юридических фактов), например в результате заключения договора купли-продажи автомобиля. До покупки автомобиля гражданин обладал только гражданской правоспособностью, т.е. возможностью иметь гражданские права и нести обязанности, а после его покупки эта возможность превратилась в реальность и он стал обладателем субъективного гражданского права — права собственности на автомобиль.
Объем правоспособности у всех граждан одинаков. Каждый из граждан может иметь те же самые права, что и любой другой (общая правоспособность). Примерный перечень гражданских прав, которые могут принадлежать отдельным гражданам, содержится в ст. 18 ч. 1 ГК РФ. Граждане могут иметь право собственности, наследования, заниматься предпринимательской и любой иной не запрещенной законом деятельностью, создавать юридические лица, совершать любые не противоречащие закону сделки, иметь многие другие имущественные и личные неимущественные права.
Чтобы быть полноправным участником гражданско-правовых отношений, гражданин должен обладать и дееспособностью. Под дееспособностью понимается способность гражданина своими действиями приобретать и осуществлять гражданские права и создавать для себя гражданские обязанности и исполнять их.
По объему дееспособности граждане подразделяются на четыре группы:
1) полностью дееспособные, 2) частично дееспособные, 3) ограниченно дееспособные и 4) недееспособные.
Полностью дееспособные граждане — это граждане, достигшие 18 лет (совершеннолетние граждане), — ст. 21 ч. 1 ГК РФ. Из этого правила есть два исключения. Первое:
когда законом допускается вступление в брак до достижения 18 лет, гражданин, не достигший этого возраста, приобретает дееспособность в полном объеме со времени вступления в брак. Второе, если несовершеннолетний работает или занимается предпринимательской деятельностью, он также при определенных условиях может быть признан полностью дееспособным (ст. 27 ч. 1 ГК РФ). Полностью дееспособные граждане могут самостоятельно приобретать любые гражданские права, также как и принимать на себя и исполнять любые гражданские обязанности.
Частично дееспособными принято называть граждан, не достигших 18 лет, т.е. несовершеннолетних.
За несовершеннолетних, не достигших 14 лет (малолетних), сделки могут совершать от их имени только их родители, усыновители или опекуны. Но малолетние в возрасте от 6 до 14 лет вправе самостоятельно совершать мелкие бытовые сделки и некоторые другие сделки, например принятие и распоряжение подарком, если при этом не требуется нотариального удостоверения или государственной регистрации сделки (ст. 28 ч. 1 ГК РФ).
Несовершеннолетние в возрасте от 14 до 18 лет вправе сами совершать сделки. Однако на это требуется письменное согласие родителей, усыновителей или попечителей (ст. 26 ч. 1 ГК РФ). В противном случае сделка, совершенная несовершеннолетним в возрасте от 15 до 18 лет без согласия родителей, усыновителей или попечителей, может быть признана судом недействительной (ст. 175 ч. 1 ГК РФ). В то же время несовершеннолетние в возрасте от 14 до 18 лет могут совершать ряд сделок самостоятельно. Сюда относятся мелкие бытовые сделки, сделки по распоряжению своими заработком, стипендией и иными доходами, осуществление прав автора произведения науки, литературы и искусства, изобретения и тому подобного объекта, внесение вкладов в кредитные учреждения и распоряжение ими.
Ограничения дееспособности граждан не допускается, за исключением случаев, прямо предусмотренных законом. Одним из таких случаев является ограничение судом дееспособности граждан, злоупотребляющих спиртными напитками или наркотическими средствами (ст. 30 ч. 1 ГК РФ). В случае ограничения дееспособности гражданина над ним устанавливается попечительство, и он может совершать сделки по распоряжению имуществом, а также получать заработную плату, пенсию или иные виды доходов и распоряжаться ими лишь с согласия попечителя, в противном случае сделка может быть признана судом недействительной.
Недееспособными по решению суда признаются граждане, которые вследствие психического расстройства не могут понимать значения своих действий или руководить ими (ст. 29 ч. 1 ГК РФ). Признание гражданина недееспособным означает, что он не вправе своими действиями приобретать и осуществлять гражданские права и обязанности. От имени недееспособного сделки совершает его опекун.
При определенных условиях гражданин может быть признан безвестно отсутствующим (ст. 45 ч. 1 ГК РФ) или объявлен умершим (ст. 45 ч. 1 ГК РФ).
Юридические лица. Имущественные отношения (купля-продажа, мена, аренда и т.п.) возникают как между гражданами, так и между организациями. Эти отношения также нуждаются в правовом регулировании. Для обеспечения устойчивости и надежности регулирования данных отношений необходимо не только определение прав и обязанностей их участников, но и определение того, какие организации вправе в них участвовать. Этим целям служит понятие юридического лица. Быть субъектом права, т.е. приобретать гражданские права и принимать на себя обязанности, вправе только те организации,. которые являются юридическими лицами. Согласно ст. 48 ч. 1 ГК РФ юридическим лицом признается организация, которая имеет в собственности, хозяйственном ведении или оперативном управлении обособленное имущество и отвечает по своим обязательствам этим имуществом, может от своего имени приобретать и осуществлять имущественные и личные неимущественные права, нести обязанности, быть истцом и ответчиком в суде.
Исходя из текста указанной статьи можно выделить следующие четыре признака юридического лица: 1) организационное единство, 2) обособленность имущества, 3) самостоятельная имущественная ответственность, 4) выступление в гражданском обороте от своего имени.
Требование организационного единства юридического лица — это обязательное условие для существования организации как субъекта права, поскольку в противном случае станет невозможным определение того, кто же является носителем гражданских прав и обязанностей. Организационное единство юридического лица закрепляется в его уставе, штатном расписании.
Обязательной предпосылкой участия в имущественных отношениях является наличие у юридического лица определенного имущества. Причем это имущество должно быть обособлено от имущества других организаций, в том числе от имущества их учредителей. Имущество кооператива обособлено от имущества членов кооператива, имущество одного государственного унитарного предприятия, являющегося юридическим лицом, — от имущества других государственных юридических лиц и т.д. об обособленности имущества юридического лица свидетельствует самостоятельность его баланса (сметы), наличие счета в банке. Самостоятельная имущественная ответственность как признак юридического лица является следствием его имущественной обособленности. По своим долгам юридическое лицо обязано отвечать принадлежащим ему имуществом. Учредители и участники юридического лица, в том числе и собственники его имущества, по общему правилу не отвечают по обязательствам юридического лица, а юридическое лицо не отвечает по обязательствам учредителей, участников и собственников. Исключения из этого правила могут иметь место только в случаях, предусмотренных ПС или учредительными документами юридического лица (п. 3 ст. 56 ч. 1 ГК РФ). Например, в соответствии с п. 5 ст. 56 ч. 1 ГК РФ по обязательствам казенного предприятия при недостаточности его имущества может нести ответственность Российская Федерация. Обособленность имущества и принцип имущественной ответственности обусловливают и наличие у юридического лица еще одного признака — выступления в гражданском обороте от своего имени. Участники имущественных отношений должны точно знать, кому принадлежат те или иные права, на ком лежит та или иная обязанность. Для этого установлено правило, что юридические лица должны действовать от своего имени.1


Сущность бухгалтерского учета


Сущность бухгалтерского учета В настоящее время все предприятия независимо от их вида, форм собственности и подчиненности ведут бухгалтерский учет имущества и хозяйственных операций согласно действующему законодательству.
Наряду с бухгалтерским учетом предприятия в соответствии с требованиями современной практики хозяйствования ведут оперативный учет и статистику.
Рассмотрим кратко их содержание и назначение. Оперативный учет осуществляется на местах производства работ, выполнения различных хозяйственных функций (участок, отдел, цех, склад), и поэтому его сведения ограничиваются рамками предприятия. Данные оперативного учета используются для повседневного текущего руководства и управления предприятием (учета выработки, явки на работу, выпуска продукции, ее отгрузки, реализации, наличия материальных запасов и др.) и могут быть получены по телефону, телетайпу, в устной беседе. Он прерывен во времени, т.е. надобность в нем возникает по мере необходимости. Статистический учет, или статистика, изучает явления, носящие массовый характер в области экономики, культуры, образования, здравоохранения, науки и пр. Она собирает и готовит информацию о состоянии экономики, движении рабочей силы, товарной массе, складывающихся ценах на региональных рынках труда, товаров, ценных бумаг и др., о численности и составе населения с целью анализа и прогнозирования социально-экономического развития общества. Статистика широко применяет выборочный метод наблюдения и регистрации, проводит единовременный учет и переписи, использует данные оперативного и бухгалтерского учета.
Бухгалтерский учет — сплошное, непрерывное, взаимосвязанное отражение хозяйственной деятельности предприятия на основании документов, в различных измерителях. Каждый свершившийся факт, оформленный документом, называется хозяйственной операцией.
Под  сплошным  отражением  хозяйственной  деятельности  подразумевается обязательный учет всего имущества, всех видов производственных запасов, затрат, продукции, денежных средств, фондов, задолженностей предприятия и т.п. Непрерывность (во времени) требует постоянного наблюдения и записи в документах совершающихся на предприятии фактов о движении материальных ценностей, денежных средств, расчетов, фондов, кредитов и т.д.
Взаимосвязанность отражения хозяйственной деятельности в бухгалтерском учете вызвана зависимостью совершающихся между собой фактов. Так, после выплаты (выдачи наличными) из кассы заработной платы работникам уменьшится не только задолженность предприятия перед ними, но и наличие денежных средств в кассе. Эти качества отличают бухгалтерский учет от оперативного и статистического и повышают его роль и значение в общей системе учета. Совокупность применения всех трех видов учета, их своевременность, полнота и объективность позволяют коллективу предприятия вести хозяйство экономно, расчетливо, не допуская непроизводительных затрат, потерь и брака продукции, постоянно изыскивать резервы производства, снижать себестоимость продукции, увеличивать прибыль.
Немаловажное значение при организации бухгалтерского учета имеет использование учетных измерителей, с помощью которых выявляются: объем, количество, время и прочие показатели деятельности предприятия. Существуют три вида учетных измерителей:
натуральные, трудовые и денежные.
Натуральные измерители (кг, м, шт. и др.) необходимы при учете материальных запасов, основных средств, готовой продукции и др. С помощью натуральных измерителей осуществляется контроль за сохранностью различных форм собственности, объемом процесса заготовления, производства и реализации, соизмеряются и анализируются производственные задания и отчетные показатели.
Трудовые измерители (час, день, месяц и т.п.) позволяют определить затраченное время и труд. На их основе нормируются задания, начисляется заработная плата, рассчитывается производительность труда.
Денежный измеритель — обобщающий, так как через рубли и копейки (или другую валюту) определяются: объем имущественных прав предприятия, его затраты, ранее выраженные  в  натуральных  и  трудовых  измерителях,  составляются  сметы, производственные задания, отчеты и балансы.
Предмет и метод бухгалтерского учета Предметом бухгалтерского учета в обобщенном виде выступает хозяйственная деятельность предприятия. В более конкретном содержании он состоит из многочисленных и разнообразных объектов, которые можно объединить в две группы:
- объекты, обеспечивающие хозяйственную деятельность предприятия;
- объекты, составляющие хозяйственную деятельность предприятия. К первой группе относятся хозяйственные средства и их источники, ко второй — хозяйственные процессы и их результаты.
Хозяйственные средства предприятия составляют'.
- основные средства — здания, машины, оборудование, транспортные средства, инвентарь и др.; они действуют и используются в хозяйственной деятельности длительное время, не изменяя своего внешнего вида, изнашиваются постепенно, что и позволяет предприятию их стоимость включать в себестоимость продукции, работ, услуг частями, в течение нормативного срока их службы путем начисления износа (амортизации) по установленным нормам. Начиная с 1 января 1994 г. их стоимость установлена в размере 500 тыс. руб. и более за единицу (в ценах соответствующего года);
- нематериальные активы — объекты долгосрочного вложения, имеющие стоимостную оценку, но не являющиеся вещественными ценностями (право на пользование землей, водой и прочими природными ресурсами, патенты, изобретения, а также иные имущественные права, в том числе на промышленную и интеллектуальную собственность). Нематериальные активы, как и основные средства, переносят свою первоначальную стоимость на затраты производства в течение нормативного срока их службы путем начисления износа (амортизации) по установленным предприятием нормам;
- оборотные средства — сырье, материалы, комплектующие изделия, тара, топливо и др. используются в одном акте производства и поэтому всю свою стоимость сразу передают на изготовленную из них продукцию. Эта особенность требует со стороны предприятия постоянного возобновления, приобретения материальных ценностей. К группе оборотных средств относятся остатки незавершенного производства в цехах, стоимость готовой продукции, товаров и малоценные и быстроизнашивающиеся предметы;
- денежные средства — сумма наличных денежных средств в кассе предприятия, свободные денежные средства, хранящиеся на расчетном, валютном и прочих счетах в банке, а также ценные бумаги (акции, облигации, сберегательные сертификаты, векселя) и прочие денежные средства предприятия;
- средства в расчетах (должны предприятию) — дебиторская задолженность за товары и услуги, продукцию, по выданным авансам, по полученным векселям, суммы за подотчетными лицами и др.;
- отвлеченные средства — суммы прибылей, подлежащие перечислению в бюджет в виде налогов, и суммы, использованные на образование специальных фондов предприятия.
Зная примерный состав хозяйственных средств предприятия, рассмотрим, за счет каких источников они могут быть образованы и получены.
I. Источники собственных средств.
Уставный капитал — совокупность в денежном выражении вкладов учредителей (собственников) в имущество (стоимость основных средств, нематериальных активов, оборотных и денежных средств) при создании предприятия для обеспечения его деятельности в размерах, определенных учредительными документами.
Нераспределенная прибыль — часть чистой прибыли, не распределенная между акционерами (учредителями), использованная на накопление имущества хозяйствующего субъекта.
Нераспределенная прибыль отчетного года определяется вычитанием из валовой прибыли суммы использованной прибыли. При этом прибыль представляет собой кредитовое сальдо по счету прибылей и убытков, отражающее превышение общей суммы прибыли и доходов над общей суммой потерь и убытков за отчетный период. Использованная прибыль отражает направление прибыли на уплату налогов и другие платежи в бюджет, а также расходы прибыли на внутреннее потребление организации, социальные нужды и материальное поощрение персонала и администрации, благотворительные и иные цели.
Чистая прибыль — это часть валовой прибыли, оставшаяся в распоряжении организации после уплаты налогов на прибыль (доход) и отчислений на использованную прибыль.
Как уже отмечалось, часть стоимости имущества организации формируется за счет собственного капитала, другая — за счет обязательств организации перед другими организациями, физическими лицами, своими работниками (заемных средств).
Специальные фонды — имеют строго целевое назначение, одни из которых характеризуют неиспользованные остатки (фонд потребления), а другие — общую совокупную  стоимость накопленных источников  независимо  от объема уже использованных средств в их составе (фонд накопления). В их состав включается и резервный фонд, образуемый для покрытия незапланированных затрат, возникающих в процессе работы предприятия.
Резервы и финансирование, целевые финансирования и поступления — суммы неиспользованного резерва по сомнительным долгам, суммы предстоящих расходов и платежей, целевых поступлений, приватизационного фонда.


Сущность, функции и выгоды стратегического планирования


Сущность, функции и выгоды стратегического планирования Динамичный процесс стратегического планирования является тем зонтиком, под которым укрываются все управленческие функции. Не используя преимущества стратегического планирования, организации в целом и отдельные люди будут лишены четкого способа оценки цели или направления корпоративного предприятия. Процесс стратегического планирования обеспечивает основу для управления членами организации.
Стратегическое планирование представляет собой набор действий и решений, предпринятых руководством, которые ведут к разработке специфических стратегий, предназначенных для того, чтобы помочь организации достичь своих целей.
Согласно Питеру Лоранжу, процесс стратегического планирования является инструментом, помогающим в принятии управленческих решений. Его задача — обеспечить нововведения и изменения в организации в достаточной степени. Точнее говоря, он видит четыре основных вида управленческой деятельности в рамках процесса стратегического планирования. К ним относятся: распределение ресурсов, адаптация к внешней среде, внутренняя координация и организационное стратегическое предвидение.
Распределение ресурсов. Данный процесс включает в себя распределение ограниченных организационных ресурсов, таких как 'фонды, дефицитные управленческие таланты и технологический опыт. Например, осенью 1987 г. компания «Филипп Моррис» приняла решение реорганизовать свое отделение «Дженерал Фудз», в чем многие увидели целенаправленные усилия по получению больших прибылей от гиганта пищевой промышленности, который был приобретен в 1985 г. Согласно новому плану, компания «Филипп Моррис» разделила «Дженерал Фудз» на три отдельно действующие фирмы с намерением сократить большое число менеджеров и общефирменного персонала. Деньги, которые компания надеется сэкономить путем исключения некоторых управленческих слоев, будут заново инвестированы в данное отделение.
Адаптация, к внешней среде. Адаптацию следует интерпретировать в широком смысле слова. Она охватывает все действия стратегического характера, которые улучшают отношения компании с ее окружением. Компаниям необходимо адаптироваться к внешним как благоприятным возможностям, так и опасностям, выявить соответствующие варианты и обеспечить эффективное приспособление стратегии к окружающим условиям. Стратегическое планирование преуспевающих компаний имеет дело с созданием новых благоприятных возможностей путем разработки более совершенных производственных систем, взаимодействия с правительством и обществом в целом и т.д.
Проникновение компании «Кока-Кола» на рынок бескофеиновых безалкогольных напитков представляет собой пример адаптации к окружающим условиям. Прежде чем предложить свою бескофеиновую продукцию, фирма потратила громадное количество времени на изучение внешних возможностей и опасностей. «Ройал Краун» первой ввела бескофеиновую колу «Ар Си Кола» на рынок. Реакция потребителей, заинтересованных в «более здоровом» безалкогольном напитке, была обнадеживающей. Затем фирма «Пепси» предложила свой сорт — «Пепси-Фри». «Кока-Кола» выжидала, осторожно участвуя в конкуренции, и, наконец, выпустила на рынок ряд бескофеиновых напитков в ответ на явно меняющиеся потребительские требования.
Внутренняя координация. Она включает координацию стратегической деятельности для отображения сильных и слабых сторон фирмы в целях достижения эффективной интеграции внутренних операций. Когда Гарольд Джинин был одним из директоров «Интернэшнл Телефон энд Телеграф», он отвечал за объединение деятельности более чем 250 различных предприятий, в состав которых в то или иное время входили «Гриннел Кантин», «Хартфорд Файэр Иншуранс» и др. Обеспечение эффективных внутренних операций в организациях, больших или малых, является неотъемлемой частью управленческой деятельности.
Осознание организационных стратегий. Эта деятельность предусматривает осуществление систематического развития мышления менеджеров путем формирования организации, которая может учиться на прошлых стратегических решениях. Способность учиться на опыте дает возможность организации правильно скорректировать свое стратегическое направление и повысить профессионализм в области стратегического управления. Устойчивый успех таких компаний, как «Ай Би Эм», «Дельта Эар Лайнз», «Истмен Кодак» и «Федерейтед Департмент Сторз», указывает на постоянное стремление руководства учиться на прошлом опыте и прогнозировать будущее.
Роль руководителя высшего звена заключается в большем, чем простое инициирование процесса стратегического планирования. Она также связана с осуществлением, объединением и оценкой этого процесса.
Прежде чем приступить к изучению различных элементов процесса стратегического планирования, полезно рассмотреть модель этого процесса. Неудивительно, что динамичная природа организаций затрудняет введение одной специфической модели процесса планирования. В общем, на 16.1.1 намечены наиболее существенные управленческие функции, посредством которых планы преобразуются в действие.

Слово «стратегия» произошло от греческого strategos, «искусство генерала». Военное происхождение этого термина не должно вызывать удивления. Именно strategos позволило Александру Македонскому завоевать мир.
Стратегия представляет собой детальный всесторонний комплексный план, предназначенный для того, чтобы обеспечить осуществление миссии организации и достижение ее целей.
Несколько основных тезисов, относящихся к стратегии, должны быть поняты и, что более важно, приняты высшим руководством. Прежде всего, стратегия большей частью формулируется и разрабатывается высшим руководством,  но  ее реализация предусматривает участие всех уровней управления. Новое направление развития корпорации «Крайслер» было задумано и осуществлено ее главой — Ли Якоккой. Популярность новых моделей, расширение деятельности по маркетингу и восстановление устойчивой прибыльности «Крайслера» можно отнести на счет успешного формулирования и реализации стратегии.
Стратегический план должен разрабатываться скорее с точки зрения перспективы всей корпорации, а не конкретного индивида. На личных предприятиях основатель предприятия может позволить себе относительную роскошь сочетать личные планы со стратегией организации. На большинстве фирм с широким владением акциями подобной роскоши может не быть. В то время как глава корпорации, возможно, пожелает иметь частный реактивный самолет, особняки на обоих побережьях, роскошные кабинеты и тому подобное, насущным интересам организации эти привилегии наилучшим образом служить не могут.
Стратегический план должен обосновываться обширными исследованиями и фактическими данными. Чтобы эффективно конкурировать в сегодняшнем мире бизнеса, фирма должна постоянно заниматься сбором и анализом огромного количества информации об отрасли, рынке, конкуренции и других факторах.
Стратегический план придает фирме определенность, индивидуальность, что позволяет ей привлекать определенные типы работников, и, в то же время, не привлекать работников других типов. Этот план открывает перспективу для организации, которая направляет ее сотрудников, привлекает новых работников и помогает продавать изделия или услуги.
Наконец, стратегические планы должны быть разработаны так, чтобы не только оставаться целостными в течение длительных периодов времени, но и быть достаточно гибкими, чтобы при необходимости можно было осуществить их модификацию и переориентацию. Общий стратегический план следует рассматривать как программу, которая направляет деятельность фирмы в течение продолжительного периода времени, давая себе отчет в том, что конфликтная и постоянно меняющаяся деловая и социальная обстановка делает постоянные корректировки неизбежными.
Некоторые организации, как и индивиды, могут достичь определенного уровня успеха, не затрачивая большого труда на формальное планирование. Более того, стратегическое планирование само по себе не гарантирует успеха. Так же как автомобиль с великолепной конструкцией двигателя не сможет двигаться, если он заправлен бензином низкого качества, так и организация, создающая стратегические планы, может потерпеть неудачу из-за ошибок в организации, мотивации и контроле. (Влияние «что» и «как» на .деятельность организаций обобщено в табл. 16.1.1). Тем не менее, формальное планирование может создать ряд важных и часто существенных благоприятных факторов для организации.
Современный темп изменения и увеличения знаний является настолько большим, что стратегическое планирование представляется единственным способом формального прогнозирования будущих проблем и возможностей. Оно обеспечивает высшему руководству средство создания плана на длительный срок. Стратегическое планирование дает также основу для принятия решения. Знание того, чего организация хочет достичь, помогает уточнить наиболее подходящие пути действий, формальное планирование способствует снижению риска при принятии решения. Принимая обоснованные и систематизированные плановые решения, руководство снижает риск принятия неправильного решения из-за ошибочной или недостоверной информации о возможностях организации или о внешней ситуации. Планирование, поскольку оно служит для формулирования установленных целей, помогает создать единство общей цели внутри организации.


Сущность и функции финансов предприятий


Сущность и функции финансов предприятий» Финансовый механизм Финансы, как уже отмечалось, — это система денежных отношений, выражающих формирование и использование денежных фондов в процессе их кругооборота. Финансовая система Российской Федерации включает в себя:
- государственные финансы (федеральный бюджет, фонд государственного социального страхования и другие внебюджетные фонды — пенсионный, фонд занятости населения, фонд обязательного медицинского страхования и др.);
- региональные финансы (бюджета и внебюджетные фонды различных административно-территориальных образований);
- финансы предприятий.
На уровне государственных финансов происходят разработка и реализация единой финансовой политики страны, от которой во многом зависит и эффективность деятельности предприятий.
Финансы предприятий занимают определяющее положение в структуре финансовой системы страны, т.к. именно на уровне предприятий формируется преобладающая масса финансовых ресурсов государства. В доходной части федерального бюджета России 80% составляют налоговые поступления.
Финансы предприятия выполняют следующие функции:
- распределительную (стимулирующую);
- контрольную.
Распределительная функция финансов на предприятии заключается в том, что с их помощью формируются и используются все денежные доходы и фонды, имеющиеся на предприятии.
Выполняя распределительную функцию, финансы обслуживают воспроизводственный процесс в целом, обеспечивая его непрерывность и оказывая влияние на все его стадии. Кроме того, правильное распределение денежных средств оказывает стимулирующее воздействие на улучшение работы предприятия.
Способность финансов количественно отображать ход воспроизводственного процесса позволяет осуществлять его контроль. Основу контрольной функции составляет движение финансовых ресурсов как в фондовой, так и в нефондовой формах. Контрольная функция реализуется двояким образом:
- через финансовые показатели в бухгалтерском учете, показатели статистической и оперативной отчетности;
- посредством финансового воздействия.
Но если в период централизованной системы управления экономикой предприятиям устанавливались строгие границы деятельности по выпуску продукции, прибыли, себестоимости и другим показателям, то в настоящее время воздействие осуществляется с помощью экономических рычагов и стимулов (налоги, льготы и т.д.).
В основе организации финансов предприятий лежат следующие принципы:
- самостоятельность в области финансово-хозяйственной деятельности;
- самофинансирование;
- заинтересованность в результатах работы;
- ответственность за эти результаты;
- образование финансовых резервов;
- разделение средств на собственные и заемные;
- первоочередность выполнения обязательств перед бюджетом и государственными внебюджетными фондами;
- финансовый контроль за деятельностью предприятия. В составе финансовых отношений предприятий выделяют следующие группы отношений:
- с контрагентами — по поводу формирования первичных доходов, образования и использования целевых фондов внутрихозяйственного назначения (уставного капитала, фонда развития производства, поощрительных фондов и др.);
- с предприятиями — по поводу распределения финансов. При этом движение финансовых ресурсов осуществляется в нефондовой форме (уплата и получение штрафов при нарушении договорных обязательств, внесение различных паевых взносов, участие в распределении прибыли от совместной деятельности, приобретение ценных бумаг других предприятий и государства, получение по ним дивидендов и др.);
- с потребителями продукции — вступая в контакты с ними, предприятия самостоятельно выбирают форму и вид договоров, определяют условия выполнения обязательств и порядок установления санкций, формируют цены на свою продукцию и
услуги и оценивают обоснованность цен поставщиков. Перечисленные факторы существенно влияют на конечные финансовые результаты;
- со страховыми организациями — по поводу различных видов обязательного и добровольного страхования;
- с банковской системой — по поводу расчетно-кассового обслуживания в связи с получением и погашением ссуд, уплаты процентов, а также предоставления банкам во временное пользование свободных денежных средств за определенную плату;
- с государством — по поводу образования и использования бюджетных и внебюджетных фондов. Эта группа денежных отношений реализуется через внесение в бюджет и внебюджетные фонды различных налогов, сборов, взносов и др. С другой стороны, осуществляется бюджетное финансирование непроизводственной сферы, целевых программ и др.;
- с вышестоящими управленческими структурами — «вертикальные» и «горизонтальные» взаимосвязи по поводу внутриотраслевых перераспределений финансовых ресурсов.
Эти группы денежных отношений и составляют в целом содержание финансов предприятий, которые представляют собой финансовые отношения, связанные с формированием и распределением денежных доходов и накоплений у субъектов хозяйствования и их использованием на выполнение обязательств перед финансовой и банковской системами, на финансирование текущих затрат и затрат по расширенному воспроизводству,  социальному обеспечению  и материальному  стимулированию работников.
Финансовый механизм — это пять взаимосвязанных элементов, способствующих организации, планированию и стимулированию использования финансовых ресурсов:
финансовые методы, финансовые рычаги, правовое, нормативное и информационное обеспечение.
Финансовые методы — это способы воздействия финансовых отношений на хозяйственный процесс, которые действуют в двух направлениях: по линии управления движением финансовых ресурсов и по линии рыночных отношений, связанных с соизмерением затрат и результатов, материальным стимулированием и ответственностью за эффективное использование денежных средств.
Воздействие на рыночные отношения обусловлено тем, что функции финансов в сфере производства и обращения тесно связаны с коммерческим расчетом — это соизмерение в денежной (стоимостной) форме затрат и результатов финансово-хозяйственной деятельности.
Цель применения коммерческого расчета в самом общем виде — получение максимальной прибыли при минимальных затратах, хотя в разные периоды деятельности предприятия цели могут изменяться. В зарубежной практике требование соизмерения размеров вложенного в производство капитала с результатами деятельности обозначают термином «input-output». Действие финансовых методов проявляется в образовании и использовании денежных фондов.
Финансовые рычаги — это приемы действия финансовых методов.
Правовое обеспечение функционирования финансового механизма включает в себя законодательные акты, постановления, приказы и другие правовые документы.
Нормативное обеспечение функционирования финансового механизма — это инструкции, нормативы, нормы, тарифные ставки, методические указания, разъяснения и др.
Информационное обеспечение функционирования финансового механизма связано с получением различной экономической, коммерческой, финансовой и другой информации. К финансовой информации относятся сведения о финансовой устойчивости и платежеспособности партнеров и конкурентов, ценах, курсах, дивидендах, процентах на товарном, фондовом, валютном рынках, сведения о положении дел на биржевом и внебиржевом рынках, информация о финансовой и коммерческой деятельности хозяйствующих субъектов и др. Владение информацией помогает оценивать ситуацию на рынках. Различная информация (например, сведения о поставщиках, покупателях и др.) может быть одним из видов интеллектуальной собственности (ноу-хау) и вноситься в качестве вклада в уставный капитал предприятия.


Сущность и роль права в общества


Сущность и роль права в общества Право, как и государство, является продуктом общественного развития. Оно регулирует  общественные  отношения.  Без  права  невозможно  существование цивилизованного общества. В нашей стране право является выражением воли и интересов трудящихся и их социальных групп.
Право — это система общеобязательных норм, выраженных в законах, иных признаваемых государством источниках и являющихся общеобязательным критерием правомерного поведения.
Сущность права раскрывается в его основных принципах, закрепленных в конституции. Конституция Российской Федерации закрепляет полновластие народа в условиях многопартийности общества, демократизм, интернационализм, защиту прав и свобод граждан.
В  социально-экономической жизни действует принцип правовой охраны собственности. Государство создает условия, необходимые для развития разнообразных форм собственности, и обеспечивает равную защиту всем формам собственности. Исходя из общественных интересов, закон устанавливает пределы свободы экономической деятельности (ст. 10 Конституции Российской Федерации). Владение, пользование и распоряжение государственной собственностью осуществляются в соответствии с законодательством.
Высшая цель общественного производства — наиболее полное удовлетворение растущих материальных и духовных потребностей людей (ст. 15 Конституции РФ). Право выражается в правовой норме, которая представляет собой общее правило поведения, обязательное для всех и санкционированное законом или иным нормативным актом.
По юридической силе все правовые нормы подразделяются на законы и подзаконные акты. Есть акты общего действия, распространяющиеся на всех; акты ограниченного действия (например, на должностных лиц); акты исключительного действия (при военных действиях, стихийном бедствии). Законы принимаются высшим представительным органом государства или самим народом в результате референдума. Подзаконные акты — это правотворческие акты компетентных органов.
Норма права отличается от индивидуальных юридических актов, порождающих правовые последствия для конкретных лиц (приказ о зачислении на работу, распоряжение об удержании из заработной платы и др.).
Нормы бывают императивные (от правил которых отступить нельзя, например о форме определенной сделки) и диспозитивные (которые могут быть изменены или дополнены по усмотрению сторон (например, о распределении обязанностей по капитальному или текущему ремонту при заключении договора аренды).
По своему содержанию норма права состоит из диспозиции, т.е. самого правила поведения, гипотезы — указания на условия применения нормы, санкции — установления угрозы наступления неблагоприятных юридических последствий неисполнения или нарушения правовой нормы.
В нашем обществе действуют не только нормы права, но и нормы морали, традиции и обычаи делового оборота.1
Организация и уровень развития общества определяют степень реализации прав личности в количественной пропорции и качественной последовательности и в соответствии с основополагающими свободами личности в данной совокупности.
Правовая культура — это не просто то или иное отношение к праву, но прежде всего уважительное отношение к его нормам. Лицо, обладающее правовой культурой, во-первых, характеризуется определенным уровнем знания действующих юридических норм;
во-вторых, ему свойственно уважительное отношение к праву и, в-третьих, оно строит свое поведение в соответствии с правом. Иметь правовую культуру — значит не только выполнять требования юридических норм, но и добиваться того, чтобы им следовали и другие.
К правонарушениям относятся все действия, нарушающие нормы права и установленные ими права и обязанности. Социальной сущностью всех правонарушений является их общественная опасность, вредность для существующей системы общественных отношений, для данного общественного строя.
Правонарушения могут быть уголовными, административными, дисциплинарными, гражданскими, трудовыми и т.д. За правонарушения наступает юридическая ответственность.
Юридическая ответственность по своему содержанию состоит в применении мер государственного принуждения за  нарушение обязанностей, предусмотренных правовыми нормами.
Ответственность за преступление выражается в уголовном наказании (например, лишение свободы), за административное правонарушение может быть установлен штраф, лишение определенного права (отобрание водительских прав), за нарушение трудовых обязанностей может быть применено дисциплинарное взыскание, за нарушение договорной дисциплины с предприятий взыскивается неустойка, убытки, возмещение за причиненный имущественный вред.
Для возложения ответственности необходимо наличие ряда условий: должна быть установлена вина правонарушителя, противоправность его поведения, причиненный вред, причинная связь между его поведением и наступившим противоправным результатом.2



17.1. Менеджмент организационные отношения в системе менеджмента; формы организации системы менеджмента, факторы эффективности менеджмента
Степень  изменения  положения и  характера  функционирования хозяйствующего элемента в системе экономических явлений является величиной, изучением которой занимаются как экономико-теоретические дисциплины, так и дисциплины управленческо-организационные. При этом для последних важное место занимают функции, определяющие ответственность коллектива как элемента организации, каждого работника в отдельности как составной части этого элемента. Отметим, что менеджмент занимается регулированием отношений, возникающих между элементами системы (организации). С этой точки зрения возможности образования интересующего содержания действий в экономике обеспечивается изучением организационных отношений в системе менеджмента.



Сущность национального дохода


Сущность национального дохода Обобщающим показателем социально-экономического развития страны традиционно служит национальный доход. Его различают 2-х видов:
- производственный национальный доход (сумма чистой продукции, созданной во всех отраслях материального производства);
- используемый национальный доход (сумма фондов потребления и накопления).
Данное разделение форм проявления единой сущности — национального дохода — дает возможность проводить системную оценку, осуществляющую и процесс самоконтроля.
Взаимосвязь роста доходов и уровня жизни с национальным доходом нормируется, в свою очередь, и зависимостью уровня жизни от личного дохода, т.е. существует сложноорганизованная многоступенчатая система, которая учитывает в процессе своих действий мультипликативное влияние факторов внешнеэкономической среды.
Показателями производительности труда служат выработка и трудоемкость. Они связаны между собой обратно пропорциональной зависимостью и выражаются формулами:

где В —выработка;
То —трудоемкость;
О — объем производства продукции (работ, услуг) в соответствующих единицах;
Т — трудовые затраты на выпуск продукции (проведение работ, выполнение услуг) в соответствующих единицах.
В масштабе народного хозяйства уровень производительности труда (выработки) в сфере материального производства определяется отношением величины вновь созданной стоимости — национального дохода за определенный период — к среднесписочной численности персонала, занятого в сфере материального производства в течение этого периода. В сфере услуг производительность труда (выработка) определяется отношением стоимости услуг без стоимости материальных затрат на их оказание за определенный период к среднесписочной численности персонала сферы услуг за этот же период.1
Одной из целей любой экономической системы является повышение эффективности общественного производства, которое проявляется в росте показателя, определяемого соотношением результатов деятельности человека для достижения необходимого конечного
результата к затраченным ресурсам. При этом необходимо помнить о предельности увеличения эффективного использования.
Любая экономическая система в качестве формы оценки результатов вклада человека в экономический процесс использует заработную плату в той или иной форме. Отслеживание тенденций ее динамики на обозримом отрезке существования экономического субъекта вызвано необходимостью анализа сохранения оптимальности соотношения: вложенный человеческий капитал к выплачиваемому вознаграждению (зарплата).
Показатели уровня жизни населения Вопросы организации оплаты и материального стимулирования труда тесно связаны с понятием «уровень жизни населения». Заработная плата является основным источником доходов подавляющего большинства населения в России, а величина реальной заработной платы во многом определяет материальное положение людей.
Социально-экономическая категория «уровень жизни населения)) используется в научной литературе, в правовых и нормативно-хозяйственных документах для характеристики степени удовлетворения физических, духовных и социальных потребностей людей в обществе, т.е. качества жизни населения, величины его благосостояния и благополучия и служит важным социально-экономическим критерием при выборе направлений и приоритетов экономической и социальной политики государства.
Уровень жизни населения определяется, с одной стороны, составом и величиной потребностей в различных жизненных благах (продукты питания, одежда, жилище, транспорт, различные коммунальные и бытовые услуги, образование, медицинское обслуживание, культурно-просветительные мероприятия и т.д.), с другой — возможностью их удовлетворения, исходя из предложений на рынке товаров и услуг и реальных доходов людей, их заработной платы. В свою очередь и размер реальной заработной платы, и уровень жизни населения определяются степенью эффективности производства на основе использования достижений научно-технического прогресса, масштабом развития и качеством сферы услуг, образовательным и культурным уровнем населения.
Для анализа и оценки уровня жизни используют различные показатели, такие, как величина валового и внутреннего продукта, национального дохода и реального дохода на душу населения, обеспеченность жильем, величина товарооборота и объем услуг на душу населения и др. Об уровне жизни косвенно свидетельствуют также показатели рождаемости и смертности населения, средней продолжительности жизни и др.
Однако полная картина уровня жизни населения не может быть раскрыта только на основании обобщенных и усредненных величин, рассчитанных для всего населения страны в целом. Необходимо знать объемы и структуру потребления и доходов по различным социальным, профессиональным и демографическим группам населения. Например, важно знать, какова доля доходов в общем их объеме у 10% населения с максимальными доходами и у 10% — с минимальными доходами, какова средняя заработная плата у работников различных отраслей народного хозяйства, у работников, занимающих различные должности и т.д.
К показателям уровня жизни населения, имеющим прямое отношение к организации оплаты труда и установлению ее минимальных размеров, относятся такие понятия, как стоимость продовольственной и потребительской корзины, прожиточный минимум, бюджет прожиточного минимума.
Продовольственная корзина — это набор продуктов питания одного человека в месяц, рассчитанный на основе минимальных норм потребления продуктов, которые соответствуют физическим потребностям человека, калорийности, содержанию основных пищевых веществ и обеспечивают соблюдение традиционных навыков организации питания.
Принятые для расчетов минимальные нормы потребления продуктов рекомендованы Институтом питания Академии медицинских наук Российской Федерации. Они включают в себя продовольственные товары 11 групп: хлеб и хлебопродукты, картофель, овощи и бахчевые, фрукты и ягоды, мясо и мясопродукты, рыбу и рыбопродукты, молоко и молокопродукты, яйца, сахар и кондитерские изделия, масло растительное и маргарин, прочие продукты (соль, перец и т.д.).
Нормы потребления дифференцированы по восьми территориальным зонам. Например, Краснодарский и Ставропольский края отнесены к I зоне, Москва, Санкт-Петербург и ряд областей центральной России — к IV зоне, Якутия-Саха, Магаданская область, Камчатка, Сахалин, север Тюменской области и Красноярского края — к VIII зоне.
Нормы дифференцированы также по социально-демографическим группам населения. За основу формирования минимальной продовольственной корзины для населения трудоспособного возраста принят набор продуктов питания работающего мужчины, который (набор продуктов) обеспечивает 2700 ккал в сутки (при общем потреблении белка 88,7 г, в том числе животного происхождения — 31,5 г).
Стоимость продовольственной корзины по каждой группе населения рассчитывается путем умножения минимальной нормы потребления продуктов на среднюю цену покупки.
Стоимость минимального потребления непродовольственных товаров и услуг определяется по материалам бюджетных обследований доходов семей, уровень потребления продуктов в которых соответствует минимальному.
Например, стоимость минимальной продовольственной корзины составила 350 руб. в месяц. В семьях с аналогичными средними на душу населения расходами на питание доля этих расходов достигла 71% от общих расходов. Отсюда стоимость минимального потребления непродовольственных товаров составит: 0,29х350:0,71 я143 руб. в месяц на 1 человека.
Расходы на непродовольственные товары и услуги уточняются при помощи нормативного метода на основе норм обеспеченности и сроков службы предметов длительного пользования, разработанных ЦЭНИИ при Министерстве экономики России. Расчет производится по трем группам товаров:
1) предметы гардероба (верхняя одежда, обувь, головные уборы и т.д.);
2) предметы санитарии, гигиены, лекарства;
3) товары длительного использования (мебель, посуда, электробытовые приборы, предметы хозяйственного назначения и др.).
Расходы на жилище и коммунальные услуги определяются на основе нормативов, цен и тарифов в регионе.
Учитываются также затраты семей на налоги и сборы.
Совокупный минимальный объем потребностей в натуральной форме образует минимальную потребительскую корзину.
Стоимость приобретения непродовольственных товаров определяется путем умножения стоимости одного изделия на его годовой запас и деления на срок службы. Например, мужская зимняя шапка стоит 200 руб., запас — 1 шт., срок службы — 3 года. Расход в расчете на месяц:
200х1/3x12  = 5,6 руб./мес.
Стоимостная оценка натурального набора продуктов, непродовольственных товаров и услуг прожиточного минимума определяет бюджет прожиточного минимума (БПМ).
Показатели «прожиточный минимум» и «бюджет прожиточного минимума» используются государством в качестве инструментов социальной политики. В частности, с помощью этих показателей происходит оценка уровня жизни населения (определяются доли населения с бюджетами ниже, равными и большими, чем бюджет прожиточного минимума); БПМ служит базой для адресной социальной политики государства в целях поддержки самых низкодоходных групп населения; при помощи БПМ должны определяться размеры минимальной заработной платы и минимальной пенсии по старости;
БПМ используется в качестве одного из критериев малообеспеченное™, дающей право на социальные выплаты и пособия.
Все элементы системы, связанной с установлением БПМ, определяются уровнем развития производительных сил общества. Государство в законодательном порядке устанавливает бюджет прожиточного минимума и минимальную заработную плату. Теоретически их величины должны быть равноценными, именно в этом и состоит экономический смысл расчета БПМ как базы для установления минимальной заработной платы, которая, в свою очередь, является точкой отсчета для тарифной системы оплаты труда. Однако в действительности в настоящее время минимальная заработная плата в Российской Федерации существенно ниже величины прожиточного минимума, что можно лишь объяснить (но не оправдать) трудностями, с которыми столкнулась экономика страны в период перехода к рыночным отношениям.1
Отметим, что факт существования инфляции и необходимость контроля за ее поведением дают основание для проведения государством опосредованного воздействия на инфляцию через контроль за ростом заработной платы. Осуществляется это отслеживание в форме вмешательства в соглашения о ставках заработной платы в рамках политики регулирования доходов или с помощью денежно-кредитной политики. Таким образом, реализация одного из способов дает возможность руководить темпами в рамках потенциально допустимого.









Сущность современной концепции маркетинга


Сущность современной концепции маркетинга Маркетинговая деятельность в целях достижения желаемых уровней сбыта на разных рынках должна осуществтаться в рамках выбираемой концепции. Такая концепция строится на определении потребностей реальных покупательских оценок ассортимента и качества товаров и признании необходимости приспособления производства и сбьгта к этим потребностям и оценкам, причем лучше и эффективнее, чем это делают конкуренты.
В истории развития рынка известны следующие этапы становления и эволюции концепции маркетинга: совершенствование производства; совершенствование товара;
интенсификация коммерческих усилий; маркетинг. Перечисленные этапы олицетворяют различные периоды в истории экономики (в основном американской) и социальные, экономические и политические перемены за последние годы. Общая тенденция развития — перенос акцента с производства товара на потребителя и все большая ориентация на проблемы потребителя.
Концепция маркетинга — сравнительно новый в историческом смысле подход к организации предпринимательской деятельности. Она утверждает, что залогом достижения целей предприятия, фирмы являются определение нужд и потребностей целевых рынков и обеспечение желаемой удовлетворенности более эффективными и продуктивными, чем у конкурентов, способами. Суть концепции маркетинга определяют с помощью выражений типа: «Отыщите потребности и удовлетворите их», «Производите то, что можете продать, вместо того, чтобы попытаться продать то, что можете произвести», «Любите клиента, а не товар» 1 и т.д.
Концепции интенсификации коммерческих усилий и маркетинга часто путают друг с другом. Поэтому Т.Левитт разграничивает их следующим образом. Коммерческие усилия по сбыту — это забота о нуждах продавца по превращению его товара в наличные деньги, а маркетинг — забота об удовлетворении нужд клиента посредством товара и ряда факторов, ' связанных с созданием, поставкой и, наконец, потреблеьшем этого товара.
Объект основного внимания в концепции интенсификации коммерческих усилий — существующий товар фирмы. Обеспечение прибыльного сбыта требует напряженных коммерческих усилий и мер стимулирования. В концепции маркетинга главным объектом являются целевые клиенты фирмы с их нуждами и потребностями. Фирма интегрирует и координирует всю свою деятельность с расчетом на обеспечение удовлетворенности клиентов, получая прибыль именно благодаря созданию и поддержанию потребительской удовлетворенности. По сути своей концепция маркетинга — это ориентация на нужды и потребности клиентов, подкрепленная комплексными усилиями маркетинга, нацеленными на создание потребительской удовлетворенности.
Концепция маркетинга отражает приверженность, фирмы теории суверенитета потребителя. Компания производит то, что необходимо потребителю, и получает прибыль за счет максимального удовлетворения его нужд. Концепцию маркетинга взяли на вооружение многие известные фирмы — корпорации «Проктер энд Гэмбл», ИБМ, «Эйвон», «Макдональдс». Эту концепцию чаще используют в своей практике фирмы, производящие товары широкого потребления, чем производители товаров производственного назначения. Данная концепция предпочтительна чаще для крупных, нежели мелких компаний. Многие фирмы заявляют о своей приверженности к концепции маркетинга, но на практике ее не применяют. Они ограничиваются формальными элементами маркетинга. Для превращения фирмы, ориентирующейся на сбыт, в компанию, нацеленную на удовлетворение потребностей рынка, требуется не один год напряженного труда.2
16.3. Статистика предмет, метод и задачи статистики; источники статистической информации; группировка и сводка материалов статистического наблюдения
Статистика изучает явления внешней рыночной среды в целях получения информации о всей их совокупности из выборки наблюдений из этой совокупности путем оценки, испытания, гипотез и т.д., т.е. статистика в своем предметном исследовании направлена на выявление сущности явления с • минимально достаточным количеством элементов, определяющих характер исследуемого в ряду подобных явлений. Для нахождения основы происходящего экономического явления применяют различные методы статистического анализа: регрессионный анализ, анализ структурных данных и временных рядов и т.д. Учебник «Общая теория статистики: Статистическая методология в изучении коммерческой деятельности» А.И. Харламова, О.Э. Башиной, В.Т. Бабурина и др. под ред. АА» Спирина, О.Э. Башиной (1994) рассматривает вопросы статистики и проведения статистического учета и анализа. Исследование данной проблематики проводится в учебниках: «Статистика труда» Н.М. Ереминой, В.П. Маршаловой (1988), «Курс социально-экономической статистики» под ред. проф. М.Г. Назарова (1985).
Предмет и метод статистической науки. Статистика как наука Переход к рыночной экономике наполняет новым содержанием работу коммерсантов, менеджеров, экономистов. Это предъявляет повышенные требования к уровню их статистической подготовки. Овладение статистической методологией — одно из непременных условий познания конъюнктуры рынка, изучения тенденций и прогнозирования спроса и предложения, принятия оптимальных решений на всех уровнях коммерческой деятельности на рынке товаров и услуг.
Термин «статистика» употребляется в различных значениях. Под статистикой понимается практическая деятельность по сбору, накоплению, обработке и анализу цифровых данных, характеризующих население, экономику, культуру, образование и другие явления в жизни общества.
Статистикой также называют особую науку, т. е. отрасль знаний, изучающую явления в жизни общества с их количественной стороны. Как учебная дисциплина статистика составляет важный блок учебного плана подготовки коммерсантов, менеджеров, экономистов высшей квалификации.
Между статистической наукой и практикой существуют тесная связь и зависимость. Статистическая наука использует данные практики, обобщает их и разрабатывает методы проведения статистических исследований. В свою очередь, в практической деятельности применяются теоретические положения статистической науки для решения конкретных управленческих задач.
Статистика имеет многовековую историю. Ее возникновение и развитие были обусловлены общественными потребностями: подсчет населения, скота, учет земельных угодий, имущества и т.д. Наиболее ранние сведения о таких работах в Китае относятся к V веку II тыс.до н.э. В Древнем Риме проводились цензы (учеты) свободных граждан и их имущества.
По мере развития общественного производства, роста внутренней и внешней торговли увеличивалась потребность в статистической информации. Это расширило сферу деятельности статистики, привело к совершенствованию ее приемов и методов.
Многообразная практика учетно-статистических работ стала, подвергаться теоретическим обобщениям. Началось формирование статистической науки.
Считается, что основы статистической науки заложены английским экономистом У.Петти (1623—1687). В связи с работами У.Петти «Политическая арифметика», «Разное о деньгах» и др. К.Маркс назвал его «в некотором роде изобретателем статистики». Последователи У.Петти образовали научное направление, получившее название «политическая арифметика».
Основоположником другого направления развития статистической науки признан немецкий ученый Г.Конринг (1606—1681), который разработал систему описания государственного устройства. Его последователь профессор философии и права Г.Ахенваль (1719—1772) впервые в Марбургском университете (1746) начал преподавать новую дисциплину, названную им статистикой. Основным содержанием этого курса было описание политического состояния и достопримечательностей государств. Государство-ведение нашло отражение и в ряде работ М.В. Ломоносова (1711—1765), в которых рассмотрение вопросов населения, природных богатств, финансов, торговли России иллюстрировалось статистическими данными. Это направление развития статистики получило название описательного.
Несколько позже профессор Геттингенского университета А.Шлицер (1736—1809) опроверг представление о том, что статистика должна лишь описывать политическое устройство государств. Предметом статистики, по А.Шлицеру, является все общество.
Дальнейшее развитие статистики осуществлялось многими учеными и практиками. Среди них отметим бельгийского статистика А.Кетле (1796—1874), внесшего значительный вклад в разработку теории устойчивости статистических показателей.
Математическое направление в статистике развивалось в работах Ф.Гальтона (1822—1911), К.Пирсона (1857—1936), В.Госсета (1876—1936), Р.Фишера (1890—1962), М.Митчела (1874—1948) и др. Так, К.Пирсон внес значительный вклад в разработку теории количественной оценки связи между явлениями. В.Госсет, писавший под псевдонимом Стьюдента, разработал теорию малой выборки. Р.Фишер развивал методы количественного ' анализа. М.Митчелу принадлежит идея «экономического барометра».
Представители математического направления в статистике считают основой статистики теорию вероятностей, составляющую одну из отраслей прикладной математики.
В развитии статистики видное место принадлежит представителям отечественной науки и практики. В эпоху Петра I в работах И.К. Кирилова (1689—1737) и В.Н. Татищева (1686—1750) статистика трактовалась преимущественно как описательная наука. Но уже со второй половины XIX в. на первый план выдвигается познавательное значение статистики. Так, B.C. Порошин (1809—1868) в работе «Критическое исследование об основах статистики» подчеркивал, что наука не может ограничиться лишь одним описанием. В книге И.И. Срезневского (1812—1880) «Опыт о предмете и элементах статистики и политической экономии» отмечено, что статистика в бездне случайностей отыскивает «нормальности».
Видный статистик Д.П. Журавский (1810—1856) в работе «Об источниках и употреблении статистических сведений» считал статистику наукой о «категорическом исчислении». В работах профессора Петербургского политехнического института А.А. Чупрова (1874—1926) статистика выступает как метод изучения массовых явлений природы и общества.
Профессор Петербургского университета Ю.Э. Янсон (1835-—1893) в работе «Теория статистики» назвал статистику общественной наукой. Этого взгляда на статистику придерживался и видный экономист А.И. Чупров (1842—1908), который в работе «Курс статистики» отмечал необходимость массового статистического исследования при помощи метода количественного наблюдения большого числа факторов для того, чтобы описать общественные явления, подметить законы и определить причины, их вызвавшие.
В работах известного ученого А.А. Кауфмана (1874—1919) излагается взгляд на статистику как «искусство измерения политических и социальных явлений».
Развитие статистики в России тесным образом связано с ' созданной после отмены крепостного права земской статистикой, которая пользовалась заслуженным авторитетом за объективность и профессионализм.
Опыт развития статистики при советской власти обобщался в трудах В.И. Хотимского, B.C. Немчинова, В.Н. Старовского, Б.С. -Ястремского и других ученых.
Таким образом, история развития статистики показывает, что статистическая наука сложилась в результате теоретического обобщения вакоплеиг-юго человечеством передового опыта учетно-статистических работ, обусловленных прежде всего потребностями управления жизнью общества.
При подготовке управленческих и экономии ескгос кадров высшей квалыфикагрли для коммерческой деятельности 'их статистическое образование складывается из ряда учебных дисгщгтгт. Прежде всего — это общая теория статистики, являющаяся базовым курсом изучения как общепрофессгюнальной дгюгщглгты социсльно-экономгтеской статистики, так и проф-илируюгцгсс дисциплин: статистика коммерческой деятельности, статистические методы оценки и прогнозгуования рынка товаров и услуг и другие в зависимости от специапизации.



Такое положение называется режимом не дискриминации.


Договор, в котором принимается решение о предоставлении договорных или минимальных пошлин, называется договором о «режиме наибольшего благоприятствования» (РНБ) и формулирует обязательство подписавших его стран не взимать с импортируемых товаров пошлины, превышающие по размерам величину пошлин, взимаемых с товаров любых третьих стран. Такое положение называется режимом не дискриминации. Государства, подписавшие подобные договоры, берут на себя обязательство облагать одинаковыми пошлинами товары всех стран-контрагентов.
Истоки создания «режима наибольшего благоприятствования» связываются с эпохой развития капитализма, периодом свободной конкуренции конца восемнадцатого столетия.
Первоначально договора о предоставлении «режима наибольшего благоприятствования» подписывались на двусторонней основе, однако в конце 40-х годов они были заменены многосторонним Генеральным соглашением о тарифах и торговле (ГАТТ).
Генеральная (максимальная) пошлина в 2-3 раза выше всех остальных и ее применение фактически дискриминирует товары, ввозимые из конкретной страны.
Примером использования генеральных (автономных) пошлин может быть их взимание при ввозе товаров из СССР в США в период холодной войны.
В конце 1993 г. ряд стран СНГ (Россия, Беларусь) предприняли попытку создания интеграционного союза в рамках СНГ, предусматривающего ликвидацию таможенных пошлин.
В 60-е годы право на получение односторонних преференциальных пошлин получили развивающиеся страны, поставляющие свои товары в развитые страны с рыночной экономикой.
Применение карательных и антидемпинговых пошлин направлено на решение следующей задачи: не допустить на национальный рынок товары, не желательные по политическим или экономическим причинам. Проблемой при введении карательных или антидемпинговых пошлин является нахождение доказательств наличия демпинга или субсидирования экспорта. Причем демпинг определяется так: продажа товара по ценам ниже издержек производства. Однако фирмы неохотно предоставляют документацию, касающуюся издержек производства.
На практике поэтому используются косвенные доказательства демпинга. Например, международные организации определяют демпинг как продажу товаров по цене ниже цены на мировом или внутреннем рынке.
В 30-е годы массовые обвинения в демпинге сельскохозяйственной продукции производителями в Восточной Европе заставили ряд стран ввести количественные ограничения на импорт. В 70-е годы США обвинили западногерманскую компанию «Фольксваген» в заниженных ценах на поставляемую модель малолитражного автомобиля.
Для принятия решения о введении антидемпинговых пошлин немаловажно определение целей и характера демпинга, который может быть подразделен на постоянный (агрессивный) и разовый (пассивный).
Условием постоянного демпинга является сегментация рынка, т.е. разделение его на несколько частей. Выделяя один внутренний сегмент рынка (за счет транспортных расходов, таможенных тарифов и т.д.), монополии поднимают на нем цены, получая монопольные прибыли. Последние позволяют продавать часть товара на внешнем рынке по заниженным ценам. Постоянный демпинг связан с проведением политики вытеснения конкурента за счет низких цен; впоследствии фирма обычно снова повышает цены, доводя их до величины, превышающей первоначальную цену разоренных конкурентов. Разовый демпинг возникает в связи с необходимостью избавиться от случайного избытка товара путем его распродажи на внешнем рынке по низким ценам.
Для национальной экономики наиболее опасен постоянный демпинг, поскольку он ведет к разорению национальных производителей с последующей «перекачкой» монопольной прибыли иностранным производителям.
На практике трудно дифференцировать виды демпинга, поскольку невозможно четко выявить окончательные намерения фирмы, продающей по заниженным ценам. По этой причине при принятии решения о введении антидемпинговых пошлин страны учитывают прежде всего нанесение ущерба национальной промышленности в связи с ввозом данного товара. Национальные и международные суды обычно принимают дела по обвинению в демпинге и введении антидемпинговых пошлин при наличии «значительного ущерба» для национальной промышленности.
Выявление демпинга выступает причиной наложения карательной или антидемпинговой пошлины, величина которой в несколько раз превышает обычную. Антидемпинговые пошлины взимаются со всего объема товара, поставленного по неоправданно низким ценам (иногда за период в несколько лет), и поэтому могут достигать значительной суммы. Заранее определить размер антидемпинговой пошлины невозможно, хотя ее размер должен определяться как разница между «нормальной» ценой товара на национальном рынке и ценой фирмы, осуществляющей демпинг.
Международные  организации  рассматривают  проведение  антидемпинговых мероприятий в качестве одной из приемлемых форм борьбы с нарушением принципа
свободной конкуренции. Это санкционировано, в частности, международным антидемпинговым законодательством, подписанным большинством стран — членов ГАТТ в 1967 г. («антидемпинговый кодекс»).
Антидемпинговые пошлины наиболее часто применяются для защиты импорта в США, странах Европейского союза (ЕС), Канаде, Австралии. Особенностью ЕС является обязательность введения антидемпингового барьера на территории всех стран независимо от того, в какую страну экспортируется конкретный товар.
Интерес представляет антидемпинговое законодательство России, предусматривающее введение антидемпинговых пошлин при экспорте товаров по низким ценам. Либерализация внешнеэкономической деятельности на территории бывшего СССР и прежде всего в России создала предпосылки для свободного выхода на внешний рынок большого числа новых экспортеров. Низкие цены на товары на национальном рынке стали основой для демпинговых поставок сырьевых товаров на рынки развитых стран и спровоцировали обвинения российских поставщиков в демпинговых поставках сырья в Западную Европу и США.
Например, в марте 1991 г. американские производители урана совместно с профсоюзами направили в министерство торговли США жалобу на экспортеров этого товара из бывшего СССР, обвиняя последних в демпинге. Обосновывалась жалоба тем, что ежемесячный импорт урана в США из бывшего СССР возрос более чем в 15 раз (со 100 тыс. фунтов в 1988 г. до 3 млн. фунтов в 1991 г.). В результате цена 1 фунта переработанной руды снизилась с 12 долл. летом 1990 г. до 7 долл. осенью 1991 г. При этом резко сократилась добыча урановой руды в США.
Итогом изучения дела в мае 1992 г. стало решение американского суда о признании российского уранового экспорта демпингом и введении карательных пошлин.
Антидемпинговое законодательство используется западноевропейскими странами. Рекордным по числу введенных против России санкций стал 1994 г. Причина заключалась в длительности процедуры рассмотрения событий 1991—1992 гг.
Введенные по результатам расследования санкции фактически закрыли доступ на европейский рынок многим российским товарам. Так, на ферросилиций антидемпинговая пошлина составила 74%. Судебное разбирательство в связи с обвинениями в демпинге всех поставщиков нитрата аммония закончилась установлением пороговой цены, ниже которой товар продаваться не может. Эта цена на 10 долл. выше рыночной и продавать товар по ней можно только в период максимального сезонного спроса, т.е. два месяца в году.
Если для России и стран СНГ обвинения в демпинге касаются, как правило, экспорта сырья, то в отношении ряда развитых и развивающихся стран и территорий (Японии, бывшей Югославии, Республики'Корея, Тайваня, Гонконга, Сингапура) суды Западной Европы и США рассматривают дела о массовых дешевых поставках потребительских товаров (автомобилей, бытовой электроники, часов и т.д.).
Начиная со второй половины 80-х годов, активизируются попытки усилить международную координацию и унификацию антидемпингового законодательства1.



Тактическое планирование


Тактическое планирование Термин «тактика» — первоначально военный термин греческого происхождения, означавший маневрирование силами, подходящими для осуществления данных целей.
Тактическое планирование — это принятие решений о том, как должны быть распределены ресурсы организации для достижения стратегических целей.
Особенности тактического планирования:
- выполнение тактических решений лучше наблюдается, менее подвержено риску, поскольку такие решения касаются в основном внутренних проблем;
- результаты тактических решений легче оцениваются, так как могут быть выражены в конкретных цифровых показателях (так, фермеру сложнее оценить конкретные выгоды от внедрения продукции под своей торговой маркой, чем рассчитать увеличение выпуска мяса птицы в особой упаковке при приобретении новых мощностей);
- для тактического планирования, помимо его сосредоточения на средних и низших уровнях управления, характерно также тяготение к уровням отдельных подразделений — продуктовых, региональных, функциональных.
Оперативное планирование означает практически то же самое, что и тактическое планирование. Термин «оперативное» более ярко, чем термин «тактическое», подчеркивает, что это — планирование отдельных операций в общем хозяйственном потоке в коротком и среднем периодах, например планирование производства, планирование маркетинга и т.п. Под оперативным планированием понимают также составление бюджета организации.
Процесс планирования является первым этапом общей деятельности фирмы и включает следующие основные моменты:
1. Процесс составления планов, или непосредственный процесс планирования, т.е. принятие решений о будущих целях организации и способах их достижения. Результатом процесса планирования является система планов.
2. Деятельность по осуществлению плановых решений. Результатами этой деятельности являются реальные показатели деятельности организации.
3. Контроль результатов. На этом этапе происходит сравнение реальных результатов с плановыми показателями, а также определяются пути для корректировки действий организации в нужном направлении. Несмотря на то, что контроль является последним этапом плановой деятельности, его значение очень велико, поскольку контроль определяет эффективность планового процесса в организации.
Процесс планирования — это не простая последовательность операций по составлению планов и не процедура, смысл которой в том, что одно событие обязательно должно произойти вслед за другим. Процесс требует большой гибкости и управленческого искусства. Если определенные моменты процесса не соответствуют поставленным организацией целям, они могут быть обойдены, что невозможно в процедуре. Участвующие в процессе планирования люди не просто выполняют предписанные им функции, а действуют творчески и способны к изменению характера действия, если этого требуют обстоятельства.
Процесс планирования состоит из ряда этапов, следующих друг за другом.
Первый этап. Фирма проводит исследования своей внешней и внутренней среды, определяет главные компоненты организационной среды, выделяет те из них, которые действительно имеют значение для нее, проводит сбор и отслеживание информации об этих компонентах, составляет прогнозы будущего состояния среды, производит оценку реального положения фирмы.
Второй этап. Фирма устанавливает желаемые направления и ориентиры своей деятельности (видение, миссию, комплекс целей). Иногда этап установления целей предшествует анализу среды.
Третий этап. Стратегический анализ. Фирма сравнивает цели (желаемые показатели) и результаты исследований факторов внешней и внутренней среды (ограничивающих достижение желаемых показателей), определяет разрыв между ними. При помощи методов стратегического анализа формируются различные варианты стратегии.
Четвертый этап. Производятся выбор одной из альтернативных стратегий и ее проработка.
Пятый этап. Подготавливается окончательный стратегический план деятельности фирмы.
Шестой этап. Среднесрочное планирование. Готовятся среднесрочные планы и программы.
Седьмой этап. На основе стратегического плана и результатов среднесрочного планирования фирма разрабатывает годичные планы и проекты.
Восьмой и девятый этапы, не являясь стадиями непосредственного процесса планирования, определяют предпосылки для создания новых планов.1
Устойчивость функционирования предприятия, фирмы, компании в условиях рынка определяется в том числе наличием действий по согласованию внешнего проявления их элементов. При этом обеспечение соответствия между целями, задачами и потенциальными возможностями предприятия является основой для обоснования направлений деятельности. Данные действия объединены в рамках стратегического планирования, которое в сочетании с маркетингом обеспечивает возможность роста организации с точки зрения экономических показателей.
Планирование является естественной частью менеджмента. Планирование — это умение предвидеть цели фирмы (организации), предугадать результаты ее деятельности и оценить ресурсы, необходимые для достижения определенных целей.
Планирование помогает ответить на четыре важных вопроса.
1. Что хочет представлять из себя фирма (предприятие)?
2. Где она находится в настоящее время, каковы итоги и условия ее деятельности?
3. Куда она собирается двигаться?
4. Как, при помощи каких ресурсов могут быть достигнуты ее основные цели? Планирование — первый и наиболее значимый этап процесса менеджмента. На основе системы планов, созданных фирмой, в дальнейшем осуществляются организация
запланированных работ, мотивация задействованного для их выполнения персонала, контроль результатов и их оценка с точки зрения плановых показателей.
Один из «отцов» современного менеджмента А.Файоль отмечал: «Управлять — это предвидеть», а «предвидеть — это уже почти действовать».
Планирование — это не просто умение предусмотреть все необходимые действия. Это также способность предвидеть любые неожиданности, которые могут возникнуть по ходу дела, и уметь с ними справляться. Фирма не может полностью устранить риск в своей деятельности, но способна управлять им при помощи эффективного предвидения.


Таможенные тарифы и уровень защиты национальной промышленности


Таможенные тарифы и уровень защиты национальной промышленности Таможенные пошлины объединяются в таможенном тарифе, представляющем собой список (или реестр) облагаемых таможенными пошлинами товаров. По мере развития мировой торговли структура таможенных тарифов усложнялась. Если первоначально существовала только одна ставка пошлины, накладываемая на все импортированные товары, и тариф был одноколонным, то впоследствии начали широко использоваться и многоколонные тарифы.
При одноколонном (простом) тарифе величина пошлины едина вне зависимости от страны происхождения товара. Недостаток такого тарифа связан с тем, что он не позволяет гибко менять величину пошлин и использовать их при решении торгово-политических задач.
В настоящее время все страны имеют многоколонные тарифы, устанавливающие для каждой группы товара две или большее количество ставок. В таком сложном тарифе обычно наибольшей является генеральная, или автономная, пошлина. Она налагается на товары, импортируемые из тех стран, с которыми нет торговых договоров или соглашений
Таможенные тарифы распределяют товары по производственному признаку, т.е. товары, относящиеся к одинаковым производствам, объединены в группы.
Таможенные тарифы промьппленно развитых стран строятся так, что уровень налогообложения увеличивается одновременно с увеличением степени обработки товара. Например, если таможенная пошлина на импорт необработанного хлопка отсутствует, т.е. равна нулю, то для хлопчатобумажной пряжи она увеличивается до 7-9%, а для изделий уже может достигать 20%.
Таким образом, английский производитель хлопчатобумажных изделий, покупая беспошлинно иностранный хлопок, получает фактически уровень таможенной защиты, который намного превышает номинальную величину таможенной пошлины.1
При изучении процессов, происходящих в мировой экономике, предполагается рассмотрение вопросов, связанных с созданием условий функционирования групп экономических субъектов в пространстве мировой экономики. Для обеспечения целостного представления об этом процессе необходимо обратить внимание на то, какую роль в мировой экономике играют торговые союзы и зоны свободной торговли.
Изучение мировой экономики предполагает рассмотрение условий, при которых протекают мировые интеграционные процессы. При этом особый интерес вызывает выявление соотнесенности и взаимовлияния деятельности экономических субъектов и общих тенденций развития мировой экономики. Для более детального и подробного анализа данного соотнесения рекомендуется рассмотреть деятельность Европейского Экономического Союза и Североамериканской зоны свободной торговли.

14.5. Финансы, денежное обращение и кредит
финансовая работа и финансовое планирование в системе управления предприятием
Определение содержания понятия «финансы» в условиях современной экономики осуществляется посредством рассмотрения и согласования научного и практического представлений содержания финансовой работы.

Финансы Финансы — неотъемлемая часть денежных отношений, поэтому их роль и значение зависят от того, какое место денежные отношения занимают в экономических отношениях. Однако не всякие денежные отношения выражают финансовые отношения. Финансы отличаются от денег как по содержанию, так и по выполняемым функциям. Деньги — это всеобщий эквивалент, с помощью которого прежде всего измеряются затраты труда ассоциированных производителей, а финансы — экономический инструмент распределения и перераспределения валового внутреннего продукта (ВВП) и национального дохода, орудие контроля за образованием и использованием фондов денежных средств.
Главное их назначение в том, чтобы путем образования денежных доходов и фондов обеспечить не только потребности государства и предприятий в денежных средствах, но и контроль за расходованием финансовых ресурсов.
Финансы выражают денежные отношения, возникающие между: предприятиями в процессе приобретения товарно-материальных ценностей, реализации продукции и услуг; предприятиями и вышестоящими организациями при создании централизованных денежных средств и их распределении; государством и предприятиями при уплате ими налогов в бюджетную систему и финансировании расходов; государством и гражданами при внесении ими налогов и добровольных платежей; предприятиями, гражданами и внебюджетными фондами при внесении и получении ресурсов; отдельными звеньями бюджетной системы; страховыми организациями и предприятиями и населением при уплате страховых взносов и возмещении ущерба при наступлении страхового случая, а также денежные отношения, опосредствующие кругооборот фондов предприятий.
Главным материальным источником денежных фондов выступает национальный доход страны — вновь созданная стоимость или стоимость валового внутреннего продукта за вычетом потребленных в процессе производства орудий и средств производства.
Без участия финансов национальный доход не может быть распределен. Финансы — неотъемлемое связующее звено между созданием и использованием национального дохода. Финансы воздействуют на производство, распределение и потребление и носят объективный характер. Они выражают определенную сферу производственных отношений и относятся к базисной категории.
По своему материальному содержанию финансы — это целевые фонды денежных средств, в совокупности представляющие финансовые ресурсы страны. Главное условие роста финансовых ресурсов—увеличение национального дохода. Финансы и финансовые ресурсы — не тождественные понятия. Финансовые ресурсы сами по себе не определяют сущности финансов, не раскрывают их внутреннего содержания и общественного назначения. Финансовая наука изучает не ресурсы как таковые, а общественные отношения, возникающие на основе образования, распределения и использования ресурсов; она исследует закономерности развития финансовых отношений.
Финансы — это прежде всего распределительная категория. С их помощью осуществляется вторичное распределение или перераспределение национального дохода.
В 1960-1990-х годах текущего столетия доля национального дохода, перераспределяемая через все звенья финансовой системы, резко возросла: с 9-18% накануне первой мировой войны, до 35-50% и более—в настоящее время.
Социально-экономическая сущность финансовых отношений заключается в исследовании — за счет кого государство получает финансовые ресурсы и в чьих интересах использует эти средства.
Определение условий осуществления планомерного управления процессом создания, распределения, перераспределения и использования денежных ресурсов предполагает изучение возможностей соотнесения и коррекции содержания конкретных планов и конкретной внешней экономической ситуации.
В рамках изучения финансов, денежного обращения и кредита предполагается рассмотрение уровней взаимодействия финансовых планов на основании анализа содержащихся в них показателей финансовой и экономической деятельности. При этом условием эффективного практического использования системы взаимосвязанных финансовых планов является качество финансового планирования в системе управления.
Определение условий реализации процесса управления предприятием, адекватного современной экономической ситуации на основании согласования планирования экономической деятельности предприятия вообще и его финансовой деятельности в частности, предполагает рассмотрение функционирования управления предприятием.
Условия реализации запланированных финансовых действий определяются тем, насколько планирование отвечает интересам практической деятельности предприятия, что определяется степенью согласования планируемых и реальных действий предприятия с развитием экономических процессов. Для получения целостного представления о данном вопросе необходимо более подробно остановиться на рассмотрении процесса управления финансами предприятия.


Технология планирования ассортимента


Технология планирования ассортимента Искусство планирования ассортимента продукции состоит в умении воплощать уже имеющиеся и/или потенциальные технические и материальные возможности в товарах, которые, принося производителю прибыль, обладают потребительской ценностью, удовлетворяющей покупателя. Иными словами, производитель не просто занят созданием и производством товаров, но также формированием клиентуры и удовлетворением ее специфических потребностей.
Планирование ассортимента начинается либо с момента выявления потребности, либо с момента, когда в результате изучения рынка или на основе другой информации сформировалось основное представление о продукте. Независимо от источника происхождения замысла нового продукта необходимо раньше или позже провести исследование рынка, чтобы выяснить, отвечает ли задуманный продукт осознанной или еще не осознанной потребности.
Если речь идет о новом или усовершенствованном продукте, предназначенном для дополнения существующего ассортимента либо замены уже выпускаемого продукта, то очередной шаг заключается в том, чтобы дать предварительную оценку замыслу, который сложился на основе выводов проведенного исследования рынка. Если замысел оценивается как перспективный, то на продукт составляется спецификация исходя из требований потребителя. После утверждения спецификация передается в производственный или проектно-конструкторский отдел, который изготовляет опытные образцы и осуществляет предварительную  проверку  возможностей  массового   производства  с  учетом производственных мощностей, квалификации и опыта инженерно-технического персонала, а также потребностей в новых материалах, комплектующих, оборудовании и т.д.
Если предварительная калькуляция издержек производства показывает возможность получения приемлемой нормы прибыли, то выпускается небольшое количество изделий для испытания с помощью потенциальных потребителей. Одновременно отдел маркетинга разрабатывает предварительные планы и определяет бюджеты сбыта и рекламы, с тем чтобы проверить выгодность сбыта нового продукта для предприятия. Результаты испытаний покажут, нужно ли вносить в продукт какие-либо изменения до того, как он будет выпущен на рынок.
Располагая итогами испытаний и оценками специалистов, служба маркетинга должна решить, является ли продукт жизнеспособным и имеет ли он реальную и количественно измеримую возможность стать удачным и выгодным дополнением к товарному ассортименту предприятия. В случае положительного решения все предложения, касающиеся продукта и его реализации, с подробным описанием того, как, когда, где, при каком уровне себестоимости и прибыли он должен быть выпущен на рынок, передаются руководству для утверждения. Утвержденные руководством рекомендации используются при составлении плана маркетинга, который служит основой для координации работы всех подразделений предприятия.
С помощью упрощенной диаграммы ( 18.2.1) можно проанализировать типичный цикл планирования ассортимента продукции — с момента появления замысла нового продукта до момента его выхода на рынок после осуществления пробных продаж.



Диаграмма отражает попытку показать последовательность операций по выпуску нового продукта на рынок, а также время, необходимое для завершения описанных выше фаз планирования ассортимента продукции (временные интервалы носят условный характер). Из диаграммы видно, что каждый последующий этап зависит от удовлетворительного завершения предыдущей фазы или фаз. Самый быстрый путь для завершения всей программы обозначен жирными стрелками, соединяющими отдельные фазы процесса. Программа не может быть завершена в более сжатые сроки, если только не будут приложены специальные усилия или приняты определенные решения на одном или нескольких критических этапах этого пути. Моменты завершения этапов обозначены кружками, которые именуются «событиями», а отрезки времени между специфическими событиями изображены в виде стрелок и называются «работами».
Событие, происходящее в определенный момент времени, может зависеть как от единственного, так и от комплекса предшествующих взаимосвязанных событий. Ни одно событие не может иметь места без завершения предшествующих операций.
Диаграмма показывает, что самый длительный полный цикл планирования ассортимента продукции равен 89 неделям. Он охватывает период с момента появления замысла нового изделия до момента выпуска его на национальный рынок при условии, что все этапы планирования ассортимента продукции завершаются в строгой последовательности. Задержка в выполнении любой операции на этом пути приведет к отставанию программы от графика, в то время как досрочное выполнение операций, находящихся вне пределов «критического пути», не окажет никакого влияния на сроки полного завершения программы.
На ряде этапов, имеющих решающее значение для всего цикла (события 3, 5, 9 и 15), производитель может принять решение воздержаться от дальнейшего выполнения программы. Он может также пренебречь такими мерами предосторожности, как испытание изделия с помощью потребителей или пробная продажа, и принять решение о незамедлительном выпуске изделия на национальный рынок. Так, руководствуясь соображениями конкурентоспособности, он может не ждать почти два года, когда его новый товар начнет реализовываться по всей стране. Стремясь к укреплению своего престижа, он может предпочесть вариант опережения конкурентов с выходом на рынок.
Как свидетельствует опыт, наибольший рыночный успех с новым товаром приходит обычно к изготовителям, которые последовательно проходят весь цикл планирования ассортимента. Следует иметь в виду, что потери от сокращения цикла могут быть значительными.
Хотя максимальная длительность, цикла в приводимом примере составляет 89 недель, производитель мог бы приступить к распределению на национальном рынке нового продукта для сбыта через 18 недель, придерживаясь следующей последовательности событий: 1, 4, 5, 16, 17. Этот упрощенный сетевой график в применении к планированию ассортимента продукции может быть использован для того, чтобы при расчете времени на весь цикл учесть вариации времени, необходимого для каждой операции, т.е. определить наиболее вероятный и оптимальный сроки завершения цикла.
Сетевые графики планирования ассортимента позволяют определить время с момента появления замысла продукта до начала его реализации по всей стране при широком соблюдении последовательности этапов, входящих в планирование ассортимента. Длительность всего цикла может быть сокращена, но при условии привлечения дополнительных ресурсов и приложения добавочных усилий на критических этапах (например, при исследовании рынка или проведении пробных продаж).
Таким образом, технология планирования ассортимента имеет исходные условия, свои особенности и логику проведения, без которых эта технология не даст требуемых результатов.
1. Планированию и собственно формированию ассортимента предшествует разработка ассортиментной концепции, дающей научное обоснование и практически выполнимое представление о перспективном ассортименте предприятия, его оптимальном варианте, опирающемся на прогнозные данные относительно характера будущего спроса и потенциальных возможностей предприятия удовлетворять предполагаемый спрос.
2. Целевая направленность и искусство планирования проявляются в том, чтобы воплотить реальные и потенциальные возможности предприятия в определенное сочетание продуктов, удовлетворяющих потребности покупателей на высоком уровне и позволяющих получить достаточную прибыль.
3. Типичный цикл планирования ассортимента и реализации его в коммерчески успешные продукты включает в качестве исходного момента предварительную оценку замысла, за которым следуют разработка спецификации, основанных на требованиях потребителя, создание опытных образцов, проверка возможностей массового производства, рыночный тест товара в целях выявления его жизнестойкости, соответствия требованиям рынка и прибыльности.1
Товар, производимый или закупаемый фирмой, надлежит сбыть, реализовать покупателю. Одним из условий достижения этой цели является правильно найденный уровень цен, запрашиваемых за продукцию или услугу. Это непросто, так как происходит на основе наблюдений за реакцией потребителей, за тенденциями рынка и конкурентов и в зависимости от возможностей фирмы провести маркетинговую кампанию, чтобы убедить потребителя пожертвовать некоей суммой благ в обмен на приобретение продукции или услуги фирмы. Цена является одним из элементов комплекса маркетинга, поэтому ценообразование осуществляется во взаимоувязке с другими элементами комплекса маркетинга, когда необходимо учитывать качество продукта, затраты на его продвижение и другие факторы при разработке цены.


Теорема Рыбчинского


Теорема Рыбчинского Теорема, названная по имени доказавшего ее экономиста и заключающаяся в утверждении, что, если в теории Хекшера — Олина величина одного из двух факторов производства растет, то для поддержания постоянства цен на товары и факторы необходимо увеличить производство той продукции, в которой интенсивно используется этот возросший фактор, и снизить производство остальной продукции, интенсивно использующей фиксированный фактор. Приводится следующее обоснование этого утверждения. Для того чтобы цены на товары оставались постоянными, неизменными должны быть цены на факторы производства. Цены на факторы производства могут оставаться постоянными только в том случае, когда отношение факторов, используемых в двух отраслях, остается постоянным. В случае роста одного фактора такое может иметь место только при увеличении производства в той отрасли, в которой интенсивно применяется этот фактор, и сокращении производства в другой отрасли, что приведет к высвобождению фиксированного фактора, который станет доступен для использования вместе с растущим фактором в расширяющейся отрасли.
Противоречивость и ограниченность применения неоклассической концепции, приспособление ее к современным условиям Повышение значимости внешней торговли в экономике индустриально развитых государств в конце 40-х — начале 50-х годов потребовало решения ряда экономических и политических вопросов.
Появление «Общего рынка» потребовало выяснения воздействия создаваемой общеевропейской таможенной «стены» на движение американского капитала.
Не менее важным представлялось определение влияния либерализации торговли между западноевропейскими  странами  на развитие  однородных  производств, соответственно и на занятость в этих странах. Неясен был вопрос, как влияет ликвидация внешнеторговых барьеров на заработную плату. Неоклассическая концепция Хекшера — Олина отвечала на поставленные вопросы следующим образом.
Торговля должна быть наибольшей и особенно эффективной между странами с максимально различающейся структурой экономики (вследствие различной наделенности факторами производства). Однородные производства следует сосредоточить в одной стране.
Развитие торговли эффективно в том случае, если стимулирует отдельные государства отказаться от производства однородных товаров, т.е. усиливает межотраслевую специализацию производства.
Странам надо экспортировать товары, при производстве которых максимально используются относительно избыточные факторы. Свободная торговля при этом должна выравнивать цены таких факторов. В результате внешней торговли необходимо выравнивать заработную плату, процентные ставки, рентные платежи и т.д. Международные инвестиции должны стимулироваться различиями в обеспеченности факторов. Наконец, необходима взаимозаменяемость международной торговли и международных инвестиций.
Несовпадение этих положений с реальным мировым внешнеэкономическим развитием привлекло внимание исследователей уже в первые послевоенные годы. В середине 50-х годов в связи с программами создания «Общего рынка» в Европе проверка фактического соответствия тенденций развития внешней торговли теоретическим положениям неоклассиков стала особенно актуальной1.
Проведение процедуры сравнения формы, в которой те или иные факторы присутствуют в модели, с правилами их реального функционирования позволяет корректировать практические вопросы взаимодействия факторов внутри системы. При этом желание получить достоверную оценку реальных факторов приводит к необходимости признания возможности изменения их структуры и применения теоремы Рыбчинского.
Изучение фрагмента экономического процесса позволяет зафиксировать определенную его часть по отношению к возможности совершения действий более последовательно и качественно. Наличие в экономике естественного развития отдельных факторов, например влияния технического прогресса на цикл жизни товара, обуславливает изменения многих показателей, в частности, в производстве товаров для экспорта.
Следовательно, изменение этих качественных факторов требует проведения исследования влияния технического прогресса и цикла жизни товара на структуру внешней торговли.
Выделение фрагментов отдельного экономического процесса приводит к необходимости определить условия их последовательного сочетания в конкретном действии. Особенностью сочетания фрагментов является взаимосвязанное рассмотрение экономики предприятия, экономики страны и тенденций развития мирового хозяйства. Однако внутреннее содержание явления всегда доопределяется внешними ограничениями. Условием эффективного их сопоставления выступает рассмотрение традиционных и нетрадиционных ограничений, присутствующих в мировой экономике, в том числе в виде тарифов, квот и валютного контроля.
Любой достаточно крупный экономический процесс нуждается, наряду с фрагментарным делением, в дальнейшем соединении частей через процедуру перехода. Так например, переход от исследования отдельного производства к уровню международной торговли по отрасли позволяет проявить ранее полученное внутреннее содержание с новых принципиальных позиций. То же происходит с углом рассмотрения интересов. Если это производитель, то его интересует прибыль в показателях тарифов и пошлин и других ограничений. Если же мы выходим на макроуровень, то необходимо рассматривать проблему эффекта введения таможенных пошлин и их влияние на доходы производителей, покупателей и государство.
Средства регулирования внешней торговли, теория и практика их применения. Таможенные пошлины Идея свободной торговли исходит из необходимости ликвидации таможенных и прочих барьеров на пути движения товаров между странами. Аргументы в пользу свободной торговли основаны на экономическом анализе, показывающем выгоды от либерализации торговли как для отдельных стран, так и для всего мирового хозяйства.
Однако государства редко придерживаются рекомендаций сторонников неоклассических доктрин. Многочисленные различные барьеры выступают нормой регулирования внешней торговли и представляют собой государственную политику. Ограничения поддерживаются теми группами производителей или населения, которые выигрывают от их введения.
Средства регулирования внешней торговли могут принимать различные формы, включая как непосредственно воздействующие на цену товара (тарифы, налоги, акцизные и прочие сборы и т.д.), так и ограничивающие стоимостные объемы или количество поступающего товара (количественные ограничения, лицензии,  «добровольные» ограничения экспорта и т.д.).
Наиболее распространенными средствами служат таможенные тарифы, целями использования которых являются получение дополнительных финансовых средств (как правило, для развивающихся стран), регулирование внешнеторговых потоков (более типично для развитых государств) или защита национальных производителей (главным образом в трудоемких отраслях).
Для специалистов в области экономики важно оценить эффективность таможенного налогообложения, дать общую характеристику таможенных пошлин, а также проанализировать таможенные тарифы как реестр налогооблагаемых товарных позиций.
Таможенные пошлины и неоклассическая концепция. При анализе пошлин с помощью неоклассической концепции будем исходить из следующих положений:
1. Пошлина (налог) взимается с товара, пересекающего национальную границу.
2. Вкусы, доходы и привычки потребителей не меняются.
3. Не учитываются технологические нововведения.
4. Не принимаются во внимание тарифы на сырье, используемое для производства товара.
5. Не учитываются транспортные расходы.
В теоретическом плане экономисты классической школы допускают возможность наличия ряда оговорок к идее «свободной торговли». Наиболее распространенной является возможность установления «оптимального» таможенного тарифа. Суть ее сводится к следующему: если страна достаточно велика, то она в состоянии обеспечить снижение цен на импортируемые товары за счет сокращения спроса на них. В этом случае она может ввести таможенный тариф с целью улучшения «условий торговли», т.е. заставить иностранных поставщиков снизить цены. Такая ситуация свойственна для ряда сельскохозяйственных товаров, обладающих низким уровнем эластичности потребления, при этом производство и потребление их сконцентрированы в нескольких местах.
Поставщик после введения дополнительного налога (импортной пошлины), опасаясь потерять большой экспортный рынок, может пойти на снижение цены, превышающее величину вводимого налога.

Построим график ( 13.4.1), полагая, что иностранный поставщик готов поставлять любые количества товара по данной цене, т.е. полностью удовлетворить потребности данной страны.
На 13.4.1 линия DD1 обозначает изменение величины потребления товара в зависимости от изменения цены; линия SS1 показывает количество производимых национальной промышленностью товаров, изменяющихся в зависимости от изменения цен.
При цене Р1 из общего количества потребляемого товара Q0Q4 на долю местного производителя будет приходиться величина Q0Q1, в то время как на долю иностранного поставщика придется величина Q1 Q4


Теории макроэкономического равновесия


Теории макроэкономического равновесия Макроэкономический анализ равновесия осуществляется при помощи агрегирования, или формирования совокупных показателей, называемых агрегатами. Важнейшими агрегатами являются:
- реальный объем национального производства, объединяющий равновесные количества товаров и услуг;
- уровень цен (агрегатные цены) всей совокупности товаров и услуг. Если отложить эти показатели на осях координат ( 14.1.1), можно получить графическую базу для изучения уровня и динамики общественного производства, характеристики совокупного спроса и совокупного предложения, определения условий общего равновесия экономики.

Такая постановка вопроса требует конкретизации, поскольку не ясно, как именно вышеназванные показатели формируются. Реальный объем производства обычно характеризуют при помощи показателей валового национального продукта или национального дохода. Однако для оценки состояния и перспектив развития экономики не так важен абсолютный размер ВНП, как темпы его роста. Поэтому по горизонтали откладывают годовые темпы прироста ВНП или национального дохода ( 14.1.2). По вертикали ведут отсчет дефлятора ВНП или годовых темпов прироста цен. Таким образом, полученная система координат дает представление как о количестве материальных благ в обществе, так и о средней цене (уровне цен) этих благ, что в конечном итоге позволяет строить кривые спроса и предложения применительно к национальной экономике в целом.
Совокупный спрос представляет собой модель, показывающую различные объемы товаров и услуг, т.е. реальный объем национального производства, который потребители, предприятия и правительство готовы купить при любом возможном уровне цен.
Совокупное предложение является моделью, показывающей уровень наличного реального объема производства при каждом возможном уровне цен.
Пересечение кривых совокупного спроса и совокупного предложения дает точку общего экономического равновесия.
Аналогично основным выводам из микроэкономики, макроэкономический анализ позволяет заключить, что более высокие цены создают стимулы к расширению производства и наоборот. Одновременно рост цен при прочих равных условиях ведет к снижению уровня совокупного спроса. В нашем примере равновесие экономики достигается при нулевой инфляции и 4%-ном годовом приросте реального ВНП. Такое состояние экономики можно считать оптимальным. В действительности равновесие может происходить в условиях, весьма далеких от идеальных.
Динамика ВНП и кривая совокупного предложения дают также представление об изменении величины занятости в обществе. При прочих равных условиях, рост ВНП сопряжен с увеличением количества рабочих мест и сокращением безработицы, тогда как в периоды депрессии и кризиса безработица быстро растет. Изменения уровня занятости происходят обычно в том же направлении, что и изменения реального ВНП, хотя и проявляются с некоторым временным отставанием (лагом).
График 14.1.2 носит достаточно абстрактный характер и не отражает различия конкретно-исторических ситуаций в экономике. Если же принимать во внимание особенности конъюнктуры воспроизводства, то на кривой совокупного предложения можно будет выделить три неравнозначных участка: горизонтальный, вертикальный и промежуточный. Первые два участка и соответствующие им воспроизведенные ситуации абсолютизируются двумя основными школами экономической мысли: кейнсианской и классической соответственно. Рассмотрим основные положения этих противоположных по сути концепций применительно к проблеме совокупного предложения и совокупного спроса.
Классическая школа утверждает, что и вся кривая совокупного предложения является вертикальной. Эта концепция исходит из посылки, что экономика работает на полную мощность и при полной занятости ресурсов. В таких условиях за короткий срок невозможно достичь дальнейшего увеличения объема производства, даже если к этому побуждает увеличение совокупного спроса. Отдельные фирмы могут пытаться расширить свое производство, предлагая более высокие цены за ресурсы, но тем самым они понижают объемы производства других фирм. Усиление конкуренции на рынке ведет к повышению их цен и является фактором инфляции. Таким образом, изменение совокупного спроса может оказать влияние только на уровень цен, но не затрагивает объемы совокупного производства и занятости ( 14.1.3).
Кейнсианская школа утверждает, что кривая совокупного предложения горизонтальная, либо восходящая ( 14.1.4). Горизонтальный отрезок кривой совокупного предложения соответствует экономике в состоянии глубокого спада, недоиспользования трудовых и производственных ресурсов. Такая посылка не случайна, поскольку основы данной теории были предложены английским экономистом Дж.М. Кейнсом в 30-е годы . нашего столетия («Общая теория занятости, процента и денег», 1936). После кризиса и депрессии 1929 — 1933 гг., получивших название Великих, можно было расширять производство, не опасаясь повышения производственных издержек и цен на ресурсы и готовую продукцию, так как безработица составляла до 25% трудоспособного населения, а производственные мощности были загружены чуть более половины. В этих условиях любое повышение совокупного спроса является желательным, поскольку ведет к увеличению реального объема национального производства и занятости, не затрагивая уровня цен.

Промежуточный отрезок кривой совокупного предложения является восходящим ( 14.1.5) и предполагает такую воспроизводственную ситуацию, когда увеличение реального объема национального производства сопровождается некоторым ростом цен. Это обусловлено, в частности, неравномерным развитием отдельных отраслей, например, быстро развивающейся компьютерной отрасли в противоположность автомобилестроению. Расширение производства при некотором росте цен означает также, что для увеличения объема выпуска было использовано старое оборудование или менее квалифицированные работники.

Использование менее производительных ресурсов вполне реально, если существуют ограничения на рынке более эффективных ресурсов. В результате издержки на единицу продукции растут, повышая цены на конечные товары и услуги. Однако реальный объем производства увеличивается в отличие от ситуации, рассматриваемой классической школой (вертикальный отрезок кривой совокупного спроса).
Современная экономическая теория исходит из того, что вышеназванные концепции описывают вполне возможные в действительности разные воспроизводственные ситуации. Следовательно, резонно объединить все три предполагаемые формы кривой совокупного предложения в одну, имеющую три отрезка: горизонтальный, или кейнсианский; вертикальный, или классический; промежуточный, или восходящий ( 14.1.6).
При конкретизации формы кривой совокупного предложения новое звучание получает проблема общего рыночного равновесия. Условия, при которых это равновесие наступает, будут различны, поскольку последствия увеличения совокупного спроса зависят от того, на каком отрезке кривой совокупного предложения произойдет пересечение с новой кривой совокупного спроса.
Если совокупный спрос меняется в пределах кейнсианского отрезка, увеличение спроса приводит к увеличению реального объема национального производства, но не затрагивает уровень цен.
Если совокупный спрос увеличивается на классическом интервале, это приводит к повышению цен, тогда как реальный объем производства останется прежним, поскольку он не может выйти за пределы своего уровня при «полной занятости».
Если совокупный спрос возрастает на промежуточном отрезке, это приводит к увеличению и реального объема национального производства, и уровня цен.
Проблема, связанная с формой кривой совокупного предложения, имеет не только теоретическое, но и большое практическое значение. Применительно к ситуации в современной России эту проблему можно сформулировать так: можно ли и нужно ли стимулировать совокупный спрос для экономического возрождения страны? С точки зрения таких экономических и политических лидеров, как Е.Гайдар, Б.Федоров и другие, спрос необходимо не стимулировать, а замораживать, чтобы избежать инфляционного роста цен. Данный подход основан на классической концепции и увязывает формирование спроса не с приростом объема производства, а с инфляцией. Однако здесь не учтено, что экономическая ситуация в России даже отдаленно не напоминает модель «полной занятости» ресурсов. В условиях, когда к 1995 г. объем ВВП составил лишь 60%, а промышленного производства — 45% от уровня 1990 г., адекватной для России будет, скорее, кейнсианская модель. В этой связи более реалистичным представляется подход ученых и хозяйственников, которые увязывают выход из экономического кризиса со стимулированием совокупного спроса и поощрением роста производства.
Под стимулированием спроса экономисты понимают меры воздействия на совокупный спрос со стороны государства. Таким образом, в анализ вовлекается проблема государственного воздействия на макроэкономические процессы. В данном вопросе ученые, принадлежащие к разным школам, также имеют принципиально различные мнения.
Классическая (и неоклассическая) точка зрения состоит в том, что рыночная экономика не нуждается в государственном регулировании совокупного спроса и совокупного предложения. Эта позиция основана на тезисе о рыночной системе как самонастраивающейся структуре. Рыночная экономика защищена от спада, поскольку механизмы саморегулирования постоянно приводят объем выпускаемой продукции к уровню, соответствующему полной занятости. Инструментами саморегулирования служат цены, заработная плата и процентная ставка, колебания которых в условиях конкуренции уравняют спрос и предложение на товарном, ресурсном и денежном рынках и приведут к ситуации полного и рационального использования ресурсов,


Типология инфляции


Типология инфляции Различают два типа инфляции:
1) открытая;
2) подавленная
Открытая инфляция развертывается на рынках, где действуют свободные цены. При неравномерности повышения цен она деформирует, но не уничтожает рыночный механизм. Экономика продолжает реагировать на рыночные сигналы и самонастраиваться в направлении равновесия различных рынков.
При подавленной обеспокоенное ростом цен, вступает в борьбу с этим явлением. Оно устанавливает тотальный административный контроль за ценами и доходами, замораживая их на определенном уровне.
Особенностью такой антиинфляционной политики является не только решительность государственных мер. Обращает на себя внимание их направленность. Государство борется не с деформациями рынка, приведшими к превышению совокупного спроса над совокупным предложением, а с их последствиями — ростом цен. Поэтому, сохраняя причины инфляции, такие государственные меры становятся бесперспективными.
Экономические последствия подавленной инфляции:
1. Подавленная инфляция страшна тем, что она ломает рыночный механизм саморегуляции. Производители не получают ценовых сигналов и выгод от перемещения капиталов, поэтому экономическое равновесие между отраслями не достигается с помощью рынка. В этих условиях перераспределение инвестиций должно стать заботой государства, что означает уже функционирование не рыночной, а командной экономики. Но чтобы переместить ресурсы, надо какую-то часть отобрать у отдельных отраслей (министерств), что очень непросто. Последние обычно находят аргументы в пользу необходимости расширения своего инвестиционного процесса. Поэтому в государственной экономике перераспределение ресурсов становится крайне трудным деломинфляции ситуация складывается иначе. Государство,. Процесс инвестирования затягивается, экономика снижает свою эффективность. В рыночной же экономике этот процесс довольно быстрый. Он организуется посредством фондовой биржи.
2. Замороженные цены делают невыгодным приложение капитала в областях, где высоки издержки производства. Поэтому из них устремляется остаток капитала, что оголяет отрасль и приводит к дефициту товаров. В рыночной экономике дефицит быстро гасится более высокой ценой, а затем и более высоким предложением товара. Здесь же дефицит становится хроническим.
3. В условиях дефицита покупательский спрос полностью не реализуется, и у населения образуются вынужденные сбережения. Последние выражают не рост благосостояния, а по существу представляют собой отложенный спрос.
4. Дефицит товаров и вынужденные сбережения становятся питательной средой для очередей, в которых время затрачивается непроизводительно, а также для спекуляций на черном рынке. Черный рынок, обогащающий криминальные структуры, становится неизбежным спутником подавленной инфляции.
Итак, в случае направленной инфляции производство не работает или растет медленно, поэтому замедляется и рост благосостояния общества. Ведь если нет роста предложения, то и государственная казна лишается ожидаемого накопления налоговых поступлений. Если предложение не увеличивается, нет основы и для роста доходов, заработной платы, а спекулятивные сделки на черном рынке обогащают только мафию. Последняя становится единственным реальным субъектом, который получает выгоды от подавленной инфляции.
Преимущества открытой инфляции по сравнению с подавленной заключаются в том, что в первом случае добавочный доход получает производитель, во втором — криминальные структуры. Первый (производитель) вносит свой вклад в развитие производства, у вторых совсем другие ориентиры.
Формы открытой инфляции.
Открытая инфляция может протекать в различных формах: инфляция спроса;
инфляция издержек; структурная инфляция. Эти виды инфляции создаются самим рынком.
К открытой инфляции страна может придти в результате непомерной денежной эмиссии, при которой рост денежной массы масштабно и мгновенно опережает товарную. Именно поэтому разрушительное действие такой инфляции огромно. Этот вид инфляции эмиссионный. Он провоцируется нарушением законов денежного обращения центральным банком, обладающим монополией на выпуск денег.
Перейдем к характеристике отдельных видов открытой инфляции, вызванных деформациями самого рынка.
Инфляция спроса обычно возникает при полной занятости и полной загруженности производственных мощностей. В этом случае повышение спроса на какой-либо товар вызывает производный спрос на ресурсы и последующий рост цен на них. Если часть ресурсов до этого была бы не задействована, они могли бы вовлекаться в производство при уже действующих ценах. Но рост спроса при полной загруженности мощностей и занятости не подкрепляется эластичным расширением предложения, поэтому цены растут.
Государство, увеличивая военные расходы и расходы на социальные программы в период полной занятости ресурсов, неизбежно попадает в инфляционную ловушку.
Предприниматели, поднимая спрос на инвестиционные ресурсы в той же ситуации, приводят к инфляционному движению экономики. И деятельность профсоюзов, добивающихся роста заработной платы в экономике при ограничениях, связанных с полной занятостью, приводит к такому же результату.
Инфляцию издержек вызывает рост стоимости факторов производства. В этом случае издержки растут, что увеличивает цену выпускаемой продукции. Этот товар может стать ресурсом для другого производства. Поэтому и на него накатывается волна растущих издержек. В результате издержки во взаимосвязанных производствах растут одновременно с ценами выпускаемых товаров.
Инфляция издержек может вызывать рост цен любого из факторов производства, будь то земля, капитал или рабочая сила. Издержки производства повышаются, затем они переносятся на цену выпускаемой продукции. Подорожавший товар оплачивается покупателем. Если для него этот товар является ресурсом для последующего производства, издержки повышаются и у него, что заставляет предпринимателя компенсировать потери повышенной ценой. Возникает своеобразный инфляционный передаточный механизм. Инфляция издержек распространяется в стране подобно эпидемии.
Возможен и другой вариант, когда издержки растут, но в условиях насыщенного рынка предприниматель не может перекрыть рост расходов повышенной ценой. В этом случае сокращается прибыль; часть капиталов из-за падающей доходности покидает производство и уходит в сбережения. Совокупное предложение уменьшится, что неизбежно также приводит к общему росту цен.
Структурную инфляцию вызывает макроэкономическая межотраслевая несбалансированность. Несостыкованность отраслей приводит к тому, что часть из них не может быстро насытить рынок товарами. Это приводит к хронически неудовлетворенному спросу на определенную продукцию, что взвинчивает цены. Структурная инфляция считается труднопреодолимой, так как для борьбы с ней требуются значительные инвестиционные вливания, отдачу от которых нельзя получить за короткий срок. Обычно структурная инфляция сопровождает периоды кардинального перехода страны на новый путь технического прогресса, конверсии военного производства и т.д.


Типология рынка. Условия перехода к рыночной экономике в России


Типология рынка. Условия перехода к рыночной экономике в России История развития рынка позволяет выделить следующие типы рынка: неразвитый, свободный, регулируемый и деформированный.
Неразвитый рынок характеризуется тем, что рыночные отношения носят случайный, чаще всего товарный (бартерный) характер. Но уже и здесь рынок играет определенную роль, способствует дифференциации членов общества, усилению мотивации к развитию производства тех или иных товаров.
Свободный (классический) рынок характеризуется следующими чертами:
1) неограниченное число участников рыночных отношений и свободная конкуренция между ними;
2) абсолютно свободный доступ к любой хозяйственной деятельности всех членов общества;
3) абсолютная мобильность факторов производства; неограниченная свобода передвижения капитала;
4) наличие у каждого участника полной информации о рынке (о норме прибыли, спросе, предложении и т.д.). Осуществление принципа рационального поведения рыночных субъектов (оптимизация индивидуального благосостояния в результате прироста доходов:
продать подороже, купить подешевле) невозможно без информации;
5) абсолютная однородность одноименных товаров (отсутствие торговых марок и т.д.);
6) ни один участок свободной конкуренции не в состоянии оказать непосредственное влияние на решение другого неэкономическими методами;
7) цены устанавливаются стихийно в ходе свободной конкуренции;
8) отсутствие монополии (один производитель), монопсонии (один покупатель) и государственного регулирования.
Преимущества свободного рынка в том, что он функционирует на основе саморегулирующегося механизма, обращен к человеку, через цены на основе спроса создает ориентиры для капиталовложений в производство. Свободный рынок — это механизм заведомо бездефицитного рынка. Он обеспечивает: эффективное распределение в обществе ресурсов; гибкость и высокую адаптивность к изменяющимся условиям; свободу выбора и действий рыночных субъектов; максимальное использование достижений НТР;
способность к удовлетворению разнообразных потребностей; повышение качества товаров и услуг.
Создается впечатление, что рынок функционирует почти автоматически, хотя на самом деле регулирование здесь осуществляется методом проб и ошибок. Но свободный рынок имеет и следующие серьезные недостатки.
1. Рынок приводит к дифференциации в уровне жизни населения, что не так уж и плохо, ибо обеспечивает высокую мотивацию к труду. Плохо то, что он не обеспечивает социальную защиту населения. Социальные последствия свободного рынка таковы: безработица, разорение, бедность отдельных групп населения. С общечеловеческих позиций рыночное распределение несправедливо, так как не обеспечивает минимальный уровень жизни всем. Следовательно, необходимо вмешательство государства для решения социальных проблем.
Распределение на рынке осуществляется на основе полученных доходов. С позиций рыночных отношений любой доход, полученный на основе свободной конкуренции, справедлив. А тот, кто не в состоянии получить этот доход (по состоянию здоровья, старости и т.д.), обречен на нищенское существование.
Рынок не может создать условия реализации права на труд для всех членов общества. Трудоустраиваются только те, на чью рабочую силу имеется спрос. Свободный рынок не гарантирует полную занятость населения, а также стабильный уровень цен.
2. Механизм свободной конкуренции не обеспечивает экономику нужным количеством денег для развития производства. Имеет место нехватка денег. Проблему эмиссии денег берет на себя государство в лице госбанка.
3. Деятельность свободных конкурентов часто приводит к нежелательным эффектам, таким, как загрязнение окружающей среды, продуктов питания пестицидами и другими вредными веществами, развитие наркомании, алкоголизма и т.д. Свободный рынок, таким образом, зачастую игнорирует потенциально негативные последствия принимаемых решений, а также не способствует сохранению не воспроизводимых ресурсов.
4. Свободный рынок не создает стимулов для производства товаров и услуг коллективного пользования, не в состоянии обеспечить общество услугами, в которых нуждается любой человек и от которых никто не получает прибыли (оборона, государственное управление, охрана природы и др.).
5. Свободный рынок не обеспечивает действенную мотивацию для фундаментальных исследований. Он реализует уже имеющиеся научно-технические достижения, но не выделяет средства для фундаментальных исследований в науке и технике, а они крайне необходимы для развития общества в отдаленной перспективе;
6. Экономика, функционирующая на основе свободного рынка, подвержена нестабильному развитию с соответствующими рецессионными (спад или замедление темпов роста производства) и инфляционными процессами.
7. Рынок не распространяется на те виды деятельности, которые не могут быть подчинены исключительно коммерческим интересам (здравоохранение, образование, наука, культура, единая транспортная система, убыточные производства), но необходимы обществу.
Свободный рынок — это абстракция: в настоящее время, да и в прошлом (в различной мере) имело и имеет место регулирование рынка, ибо условиям свободного рынка не отвечает никакая государственность.
Сегодня у нас многие считают, что переход к рыночной экономике означает формирование свободного рынка, ибо только свободный рынок обеспечит полное раскрепощение инициативы и деловой активности людей, улучшение их жизни.
В действительности полной свободы нет и быть не может. Еще Н.И. Бухарин отмечал, что хозяйствующий субъект в своих мотивах и действиях зависит от общественной среды, а Г.В. Плеханов подчеркивал, что свобода хозяйственной деятельности существует не сама по себе, а является следствием познания экономических законов и заключается в умении подчиняться им и наивыгоднейшим образом комбинировать свою деятельность в соответствии с объективными взаимосвязями. Дж.Гэлбрейт утверждает, что сегодня не может быть свободного рынка времен Адама Смита и кто призывает к этому — человек с психическим заболеванием клинического характера.
Итак, не может быть полной экономической свободы, но должна быть достаточная экономическая свобода, которая способствует быстрому развитию экономики и которая обеспечивается развитием нормального, цивилизованного, регулируемого рынка.
Регулируемый рынок — это результат цивилизации, результат гуманизации общества, когда государство стремится как-то смягчить удары рынка по интересам отдельных членов общества, но не настолько, чтобы свести на нет мотивацию к творческому, инициативному труду и риску в хозяйственной деятельности. Рынок должен быть регулируемым, чтобы снять или как-то ограничить отрицательные его последствия.
Еще Н.Д. Кондратьев отмечал, что регулирование в рамках капиталистической системы ограничено государственной собственностью и осуществляется косвенно (Кондратьев Н.Д. Проблемы экономической динамики. М.: Экономика, 1989).
Некоторые авторы до недавнего времени заявляли о недопустимости термина «регулируемый рынок» (называли его «горячим льдом», «квадратным колесом», т.е. абсурдом) на том основании, что рынок есть саморегулирующаяся система. Дело, однако, в том, что рынок может регулироваться:
- с помощью своего собственного рыночного механизма, элементами которого являются конкуренция, прибыль, цена, спрос, предложение и др.;
- государством прямо и косвенно через госзаказы, налоги и т.д.
Для нас же сегодня крайне важно, как отмечал В.Леонтьев, найти оптимальное сочетание рыночного и государственного регулирования. Пока нет ни одного государства, которое бы идеально отвечало этому требованию.
Взаимодействие этих двух сторон регулирования рынка носит мониторинговый (т.е. наблюдающий) характер, свидетельствующий об усилении либо собственного рыночного механизма, либо государственного регулирования.
Государство в определенной степени обеспечивает условия функционирования рынка и чрезмерное вмешательство государства в рыночные отношения приводит к их деформации. Наиболее ярким примером деформации рынка может служить рынок в нашей экономике.
Условия функционирования рынка у нас были таковы, что его положительная роль в развитии экономики была сведена на нет, отсюда вытекают заявления об отсутствии рынка, что не совсем правильно отражает реальность, ибо акты купли-продажи существовали, что признавали и признают не только отдельные экономисты России, но и Запада (например, В.Ойкен и др.). Личное подсобное хозяйство в разные годы носило разную степень товарности, но без него крестьянин не мог бы существовать. Таким образом, рынок был и есть, но он серьезно деформирован.
Основные черты деформации рынка в условиях административно-командной, или директивной, системы хозяйства:
1) отсутствие многочисленных рыночных субъектов, организующих свою хозяйственную деятельность на основе разных форм собственности;
2) чрезмерная централизация в распределении товарных ресурсов и их движении, отсутствие самостоятельности в коммерческой деятельности;
3) монополизм производителя и торговца;
4) несбалансированность спроса и предложения, которая с каждым годом возрастает;


Типовые изменения баланса под влиянием хозяйственных операций


Типовые изменения баланса под влиянием хозяйственных операций Многообразие хозяйственных операций, совершаемых на предприятии, не должно вызывать затруднений у работников бухгалтерии в установлении корреспонденции счетов, так как все их можно объединить или рассортировать в четыре группы (типа).
Первый тип хозяйственных операций вызывает изменения только в активе баланса:
одна его статья увеличивается, другая — уменьшается на сумму хозяйственной операции, т.е. видоизменяется состав хозяйственных средств, их размещение. Итог баланса не изменяется.
Пример. Согласно расходному кассовому ордеру выдано под отчет на командировочные расходы 1200 руб. Следовательно, в балансе по статье «Касса» сумма уменьшится, а по статье «Прочие дебиторы» — увеличится. Соответственно эта хозяйственная операция найдет следующее отражение на счетах.
По счету «Касса» сумма уменьшится, значит, кредитуется счет «Касса», а счет «Расчеты с подотчетными лицами» (увеличится задолженность) дебетуется. Корреспонденция счетов будет иметь следующий вид.
Д-т сч. 71 «Расчеты с подотчетными лицами» — 1200 руб. К-т сч. 50 «Касса» — 1200 руб.
К операциям первого типа относятся все операции по использованию материальных ценностей в процессе производства; по выпуску готовой продукции из производства, ее отгрузки, погашению дебиторской задолженности, получению денежных средств в кассу наличными с расчетного счета и др.
Второй тип хозяйственных операций вызывает изменения только в пассиве баланса:
одна его статья увеличивается, другая — уменьшается, т.е. видоизменяются источники хозяйственных средств. Итог баланса не изменяется.
Пример. На основании выписки банка из ссудного счета полученная ссуда направлена на погашение задолженности поставщикам в сумме 40000 руб. В балансе по статье «Краткосрочные кредиты банков» сумма увеличивается, а по статье «Расчеты с кредиторами за товары и услуги» — уменьшается. Соответственно счет «Краткосрочные кредиты банков» увеличивается — кредитуется, а счет «Расчеты с поставщиками и подрядчиками» — уменьшается — дебетуется. Корреспонденция счетов (проводка) будет иметь следующий вид.
Д-т сч. 60 «Расчеты с поставщиками и подрядчиками» — 40000 руб. К-т сч. 90 «Краткосрочные кредиты банков» — 40000 руб.
К операциям этого типа относятся все хозяйственные операции по начислению премии за счет фонда потребления, по удержаниям из заработной платы и др.
Третий тип хозяйственных операций вызывает изменения в активе и пассиве баланса одновременно в сторону увеличения его статей. Итог баланса также увеличивается на сумму хозяйственной операции по активу и пассиву.
Пример. На основании акцептованных (принятых к оплате) платежных документов поставщиков и приходных ордеров склада оприходованы материалы на сумму 18000 руб. Статьи актива баланса «Производственные запасы» и пассива баланса «Расчеты с кредиторами за товары и услуги» увеличатся. Итог баланса также увеличится на эту сумму. Соответственно корреспонденция счетов (проводка) будет иметь следующий вид.
Д-т сч. 10 «Материалы» — 18000 руб. К-т сч. 60 «Расчеты с поставщиками и подрядчиками» — 18000 руб.
К данному типу операций относятся: начисления средств в счет учредительных взносов, износа (амортизации) по основным средствам, износа по малоценным и быстроизнашивающимся предметам (МБП), нематериальным активам, отчислений на социальное страхование; начисление заработной платы и премий за счет себестоимости продукции; получение кредитов; авансовые поступления от заказчиков и др.
Четвертый тип хозяйственных операций вызывает изменения в активе и пассиве баланса одновременно в сторону уменьшения его статей. Итог баланса также уменьшается на сумму хозяйственной операции.
Пример, На основании платежных ведомостей и расходного кассового ордера выдана заработная плата работникам в сумме 700000 руб. Статья актива баланса «Касса» и статья пассива баланса «Расчеты с кредиторами по оплате труда» уменьшается. Итог баланса также уменьшится на сумму хозяйственной операции. Корреспонденция счетов (проводка) будет иметь следующий вид.
Д-т сч. 70 «Расчеты с персоналом по оплате труда» — 700000 руб. К-т сч. 50 «Касса» — 700000 руб.
К этому типу относятся все операции по оплате всех видов кредиторской задолженности (бюджету, соцстраху, арендодателям, поставщикам, рабочим и служащим), зачету ранее полученных авансов, реформации баланса по списанию использованной в течение года прибыли и др.
Техника и формы бухгалтерского учета Под техникой бухгалтерского учета понимается способ его ведения, т.е. регистрация учетной информации, которая осуществляется вручную или с использованием средств автоматизации. Для этой цели разработаны учетные регистры.
По своему внешнему виду они подразделяются на карточки, свободные листы и книги, по содержанию — на регистры аналитического, синтетического учета и комбинированные, т.е. сочетающие эти два вида учета.
Карточки предназначены для аналитического учета основных средств (инвентарные карточки), материальных ценностей по местам их хранения (карточки складского учета материалов). На их основе бухгалтерия создает картотеку основных средств, а материально ответственные лица — картотеку материалов, запасных частей, малоценных и быстроизнашивающихся предметов, готовой продукции.
Свободные листы — учетные регистры большего формата и с большим количеством сведений по отношению к карточкам. Они предназначены для синтетического и аналитического учета или выполняют роль комбинированных регистров. К ним относятся:
журналы-ордера, ведомости, табуляграммы и машинограммы. Они удобны в использовании, так как позволяют более рационально распределить обязанности между работниками учета. Это самый распространенный вид учетных регистров. Книги представляют собой сброшюрованные свободные листы определенного формата и графления. Применение их ограничено, так как работу по их ведению разделить между счетными работниками нельзя — каждую должен вести один человек. Так, обязательно ведется кассовая книга. Ее листы пронумерованы, прошнурованы и на последней странице указано количество страниц за подписью руководителя и главного бухгалтера предприятия. Преимущество книг в том, что исключается возможность замены отдельных листов новыми при злоупотреблениях и хищениях. На предприятиях применяется «Главная книга» — как регистр синтетического учета и книга остатков материалов на складах — как регистр аналитического учета, необходимый для взаимосверки данных бухгалтерского учета с данными оперативно-складского учета и для контроля за сохранностью различных видов собственности.
В «Главной книге» каждому счету отводится развернутый лист для записи остатка на начало и конец месяца, оборота до дебету в развернутом виде, т.е. в корреспонденции с кредитуемыми счетами и общей суммы оборота по кредиту. «Главная книга» открывается
на год, а каждому месяцу отводится одна строка. На основании «Главной книги» и части
других регистров заполняются баланс и другие формы отчетности.
Записи в учетных регистрах основываются на тщательно проверенных документах,
поэтому и сами регистры приобретают доказательную силу при использовании их
показателей для анализа хозяйственной деятельности предприятия, при контроле за
состоянием средств и при выявлении результатов его работы.
Под формой бухгалтерского учета понимается процесс обработки учетной
информации. при различном сочетании регистров аналитического и синтетического учета, их взаимосвязь и последовательность записи в них.
Самое широкое применение в настоящее время находят: журнально-ордерная форма, форма «Журнал-Главная» (в ручном варианте) и таблично-автоматизированная форма учета.
Журнально-ордерная форма основана на использовании шахматного принципа регистрации операций и их накапливании за каждый отчетный месяц. Шахматная форма записи означает, что за один рабочий прием сумма хозяйственной операции фиксируется по дебету и кредиту корреспондирующих счетов, т.е. реализуется способ двойной записи. Это возможно потому, что все журналы-ордера построены по' кредитовому признаку в корреспонденции с заранее установленными (типовыми) дебетуемыми счетами. Название журнал-ордер свидетельствует о двух качествах регистра: об использовании для хронологической (журнал) и систематической (ордер) записи. Многие из них сочетают данные аналитического и синтетического учета. Разработаны журналы-ордера или на отдельный счет, или на группу взаимосвязанных между собой счетов. В дополнение к некоторым из них, чаще для аналитического учета, ведутся вспомогательные ведомости (для расчетов с дебиторами и кредиторами, для учета производственных затрат и др.).
Форма  бухгалтерского учета.  «Журнал-Главная»  является  разновидностью мемориально-ордерной формы. Сущность этой формы заключается в том, что для регистрации хозяйственных операций используются специальные накопительные ведомости учета: основных средств, начисленных амортизационных отчислений (износа); производственных запасов и готовой продукции; затрат на производство; денежных средств и фондов; расчетов и прочих операций; реализации; расчетов с поставщиками; заработной платы. Основанием для их заполнения являются первичные документы.
Указанную форму используют малые предприятия с простым процессом производства и работ, но имеющие имущество. Что касается малых предприятий непроизводственной сферы, совершающих незначительное количество хозяйственных операций и не имеющих в собственности имущества, то им разрешается ведение бухгалтерского учета по сокращенной форме с использованием «Книги учета хозяйственных операций».
В основе таблично-автоматизированной формы учета заложен главный элемент метода бухгалтерского учета — документация. Группировка и обобщение учетной информации здесь производится с помощью вычислительных машин или персональных компьютеров. В результате от вычислительного центра или с автоматизированного рабочего места бухгалтера (АРМ) бухгалтерия получает регистры различного содержания, соответствующие журналам-ордерам, ведомостям, книгам, карточкам и др.
Все предприятия (объединения, организации) обязаны вести бухгалтерский учет своего имущества и хозяйств енных процессов в обобщенном денежном выражении путем сплошного, непрерывного, документального и взаимосвязанного их отражения. При этом предприятию при организации и осуществлении бухгалтерского учета разрешается:
- вносить в рекомендуемые Минфином РФ регистры бухгалтерского учета и методы его ведения изменения, исходя из конкретных условий хозяйствования, при соблюдении общих методологических принципов;
- устанавливать формы организации бухгалтерской работы; разрабатывать систему внутрипроизводственного учета и контроля;
- вводить отчетность, необходимую для использования на предприятии.


Типы, критерии и показатели расширенного воспроизводства


Типы, критерии и показатели расширенного воспроизводства Типология воспроизводства характеризуется большим разнообразием и имеет многокритериальный характер. Наиболее известны следующие два критерия:
1) характер использования полученного ресурса доходов;
2) качественная характеристика факторов производства и их функционирования. В соответствии с первым критерием можно определить следующие типы воспроизводства:
- простое — это повторение процесса производства в прежних масштабах, потому что весь полученный доход идет в личное (конечное) потребление;
- расширенное — это повторение процесса производства в увеличенном размере, так как часть полученных доходов используется для приобретения дополнительных ресурсов, за счет использования которых производство возобновляется в увеличенных масштабах;
- суженное — это повторение процесса производства в сокращенном объеме в силу отсутствия доходов или нецелесообразности развития данного вида производства.
Этот критерий позволяет дать количественную характеристику воспроизводства. Но общество развивается и качественно, социально-экономические явления никогда не воспроизводятся точно в первоначальном виде. Если бы этого не было, общество застыло бы, закостенело в старых формах. А история общественного прогресса показывает, что такое развитие невозможно.
В каждой исторической эпохе мы при внимательном анализе обнаруживаем новые элементы, которые зарождаются, развиваются и, наконец, достигают столь значительных размеров, что полностью изменяют экономические черты самого общества. Поэтому простое общественное воспроизводство, т.е. точное возобновление в процессе производства предыдущего состояния общества в течение длительного исторического периода, невозможно, это, скорее, абстракция. Изменения в обществе могут накапливаться медленно и незаметно, такое состояние экономики характеризуется как застой. В отдельные периоды развития экономики возможно явление суженного воспроизводства. Так было в период упадка Древнего Рима, экономических .кризисов или войн. Такой вид воспроизводства характеризует современный этап развития экономики России. В эти периоды одни производители разоряются, другие — обогащаются. Но как правило, в истории преобладает процесс расширенного воспроизводства, когда производство возобновляется во все больших масштабах и качественно новых формах.
В соответствии со вторым критерием различают экстенсивное, смешанное и интенсивное воспроизводство (схема 12.1.2).
Типы воспроизводства Схема 12.1.2.
Интенсивный
Смешанный
Экстенсивный
Увеличение производственного потенциала в результате совершенствования техники и технологии
Увеличение производственных мощностей в результате увеличения количества используемых факторов производства и совершенствования техники и технологии
Увеличение производственных мощностей в результате увеличения количества используемых факторов производства

Экстенсивное воспроизводство представляет собой одну из конкретных (изначальных) форм воспроизводства расширенного типа, которая означает увеличение масштабов производства за счет дополнительных трудовых и материально-вещественных ресурсов (факторов) производства на прежней технической основе и при том же уровне квалификации работников.
Это значит, что получаемый прирост товаров и услуг достигается за счет соответствующего увеличения всех расходов необходимых ресурсов. Пути обеспечения экстенсификации производства следующие: рост численности занятых, увеличение рабочего дня, рост объема инвестиций, освоение новых земель, расширение аппарата управления, рост объема добываемого сырья и энергии и др. Метод ведения хозяйства в этом случае затратный, а форма воспроизводства — фондо- и ресурсоемкая.
Экстенсивный тип воспроизводства не имеет перспективы, ибо наталкивается на ограниченность ресурсов, а потому и сам является весьма ограниченным.
Важным типом является интенсивное воспроизводство, которое в отличие от экстенсивного характеризуется качественным изменением факторов производства, переходом производства на новую техническую основу.
В реальной жизни интенсивные и экстенсивные факторы всегда находятся в определенной комбинации, дополняя друг друга. Границы между ними относительны, подвижны. В процессе исторического развития осуществляется их постоянный взаимо переход, поэтому можно говорить лишь о преобладающем значении тех или других. Это дает основание при анализе процесса интенсификации различать интенсификацию в прямом значении этого понятия как усиление напряженности труда и как перевод экономики на преимущественно интенсивный путь развития, т.е. когда более половины всего дохода (его прироста) в народном хозяйстве получено за счет интенсивных факторов.
Интенсивный тип общественного воспроизводства в своем развитии проходит два этапа.
Первый этап — частичная интенсификация, связанная с массовым вытеснением ручного труда и заменой его машинным. На этом этапе интенсификация осуществляется преимущественно за счет только одного фактора — рабочей силы.
Второй, высший этап интенсивного типа общественного воспроизводства связан с ростом производительности труда за счет экономии всех факторов производства, абсолютного сокращения затрат в расчете на единицу эффекта. Этот тип характеризуется одновременным ростом интенсивности всех факторов производства.
Таким образом, интенсивный тип общественного воспроизводства означает расширение производства или лучшего, более полного использования различных ресурсов на базе достижений науки и техники, их качественное изменение.
По мнению ученых, вся человеческая деятельность удваивается в течение примерно 40 лет. Это происходит в результате НТП. Наука же развивается за этот период в 4 раза быстрее. Если взять всех ученых за всю историю человечества, оказывается, что 90% приходится на тех, кто работал и работает в XX в. Более половины всех научных открытий, которыми сегодня пользуются люди, получены после 60-х годов нашего столетия. Эти цифры свидетельствуют о высокой интенсификации общественного производства в XX в. Чтобы обеспечить интенсивный путь развития производства, необходимы:
- обновление техники и модернизация производства;
- лучшее использование всех ресурсов;
- прогрессивные сдвиги в отраслевой структуре производства;
- экономия материальных ресурсов;
~ повышение квалификации кадров;
- укрепление трудовой дисциплины, усиление мотивации к труду;
- природоохранные мероприятия;
- совершенствование управления;
~ рационализация внешнеэкономических связей.
При этом метод ведения хозяйства будет сберегающий. Интенсивный тип воспроизводства можно осуществлять в различных формах, которых насчитывается более 10. Наиболее известны следующие формы:
- ресурсоемкая (фондоемкая) — повышение результативности труда достигается путем увеличения затрат на единицу продукции;
- ресурсосберегающая (фондосберегающая) — сопровождается экономией ресурсов на единицу продукции;
- нейтральная — предполагает, что хотя повышение результативности труда достигается за счет дополнительных затрат общественного труда, экономия последнего компенсирует эти затраты, и производственные ресурсы возрастают теми же темпами, что и совокупные общественный продукт и национальный доход.
В экономической литературе различают интенсификацию в широком иузком смыслах.
Интенсификация в широком смысле есть процесс активного развития всех фаз общественного производства, а также управления, науки, техники, инфраструктуры, т.е. всех отраслей народного хозяйства.
Интенсификация в узком смысле представляет собой процесс активного развития собственно производства за счет внедрения новой техники, технологии, лучшего использования природных ресурсов и т.д.
Так как процесс интенсификации есть единство процессов совершенствования вещественных и личных факторов производства и достижения за этот счет наибольшего результата, показатели интенсификации можно разделить на две группы.
К первой группе относятся показатели, отражающие процесс совершенствования факторов производства, определяющие технико-экономический уровень производства в конкретный отрезок времени, в том числе показатели, характеризующие:
1) срок использования оборудования, степень его годности или физического износа, удельный вес морально устаревшего оборудования и т.д. (например, коэффициент обновления средств производства);
2) фондовооруженность (среднегодовая стоимость фондов, деленная на средне-списочную численность работников), энерговооруженность и т.д.;
3) уровень механизации и автоматизации производства (объем продукции, выработанный с помощью машин, деленный на общий объем продукции в процентах, составляет коэффициент механизации);
4) технико-экономический уровень выпускаемой продукции, удельный вес продукции, соответствующей зарубежным высококачественным образцам, конкурентоспособной и т.д.;
5) уровень организации производства (степень разделения труда, внедрение новых рациональных методов работы и т.д.) — за счет мобилизации этих факторов можно в 1,3-1,5 раза повысить темпы роста производительности труда;
6) качественный состав работников;/
7) структуру и рациональное использование инвестиций, их удельный вес в повышении качества и расширении ассортимента продукции.
Вторая группа показателей интенсивного типа расширенного общественного воспроизводства характеризует эффективность общественного производства.1
Экономическая наука действует через различение и нахождение определенной системы в структуре экономики. Исследуя ее как целое, экономисты подходят к анализу такой структуры, подразделяя экономику на секторы — домохозяйства, бизнес, госсектор. С этой точки зрения, экономика представляет собой сложные связи между сельским хозяйством, промышленностью, финансовым рынком и многими другими секторами. Для адекватной оценки и анализа происходящих в этой системе процессов используются агрегированные макроэкономические показатели. Конечно же, важнейшим условием здесь является адекватное соответствие этих характеризующих величин описываемым процессам при нахождении взаимосвязи между ними. Появляющаяся таким образом возможность анализа и прогнозирования ситуации в экономике чрезвычайно важна и объясняется во введении в макроэкономику.



Типы организации производства


Типы организации производства Под типом организации производства понимают комплексную характеристику особенностей организации и технического уровня промышленного производства. На тип организации производства оказывает влияние ряд факторов: уровень специализации; масштабность производства; сложность и устойчивость изготовляемой номенклатуры изделий, обусловленной размерами и повторяемостью выпуска. Различают три основных типа производства: единичное, серийное, массовое.
Единичное производство предусматривает штучный выпуск изделий разнообразной и непостоянной номенклатуры ограниченного потребления. Это, например, Новокраматорский машиностроительный, Уральский завод тяжелого машиностроения, выпускающие блюминги, прокатные стань! и другое оборудование.
Важнейшие особенности этого типа производства:
- многономенклатурность выпускаемой продукции, зачастую не повторяющейся;
- организация рабочих мест по технологической специализации; отсутствие возможности закрепления постоянной номенклатуры деталей, узлов и агрегатов, сборочных и монтажных операций за рабочими;
- использование универсального оборудования и технологической оснастки;
- наличие большого объема ручных сборочных и доводочных операций;
- преимущественная численность высококвалифицированных рабочих-универсалов, занятых в производственном процессе; большая длительность производственного цикла;
значительная величина незавершенного производства; децентрализация оперативно-производственного планирования и руководства производством;
- нецелесообразность автоматизации процессов контроля качества изделий;
- невозможность использования статистических методов в управлении качеством продукции; относительно большие затраты живого труда.
Разновидностью единичного производства является индивидуальное производство, например, изготовление космических объектов.
Серийное производство предусматривает одновременное изготовление сериями широкой номенклатуры однородной продукции, выпуск которой повторяется в течение продолжительного времени.
Под серией понимается выпуск ряда конструктивно одинаковых изделий, запускаемых в производство партиями, одновременно или последовательно, непрерывно в течение планового периода.
Основные особенности организации серийного производственного процесса:
- постоянство относительно большой номенклатуры повторяющейся продукции, изготовляемой в значительных количествах;
- специализация рабочих мест для выполнения нескольких закрепленных операций;
- периодичность изготовления изделий сериями, обработка деталей партиями;
- преобладание специального и специализированного оборудования и технологического оснащения;
- наличие незначительного объема ручных сборочных и доводочных операций;
- преимущественная численность рабочих средней квалификации; незначительная длительность производственного цикла;
- централизация оперативно-производственного планирования и руководства производством;
- автоматизация контроля качества изготовляемой продукции; применение статистических методов управления качеством продукции;
- унификация конструкций деталей и изделий, типизация технологических процессов и оснастки.
Примером серийного выпуска продукции могут служить самолетостроительные и моторостроительные заводы.
В зависимости от количества одновременно изготовляемых изделий в серии различают мелкосерийное, среднесерийное и крупносерийное производства.
Массовое производство характеризуется непрерывностью и относительно длительным периодом изготовления ограниченной номенклатуры однородной продукции в больших количествах. К предприятиям с массовым выпуском продукции можно отнести, например, автомобильные, тракторные заводы, заводы автомобильного, тракторного и сельскохозяйственного машиностроения. Массовое производство — высшая форма специализации производства, позволяющей сосредоточивать на предприятии выпуск одного или нескольких типоразмеров одноименных изделий. При этом типе организации производства различные изделия выпускаются одновременно и, как правило, непрерывно. Непременным условием массового производства является высокий уровень стандартизации и унификации при конструировании деталей, узлов и агрегатов.
Организации массового производства присущи следующие особенности:
- строго установленный выпуск небольшой номенклатуры изделий в огромном количестве;
- специализация рабочих мест для выполнения, как правило, одной закрепленной операции; расположение рабочих мест в порядке следования операций;
- большой удельный вес специального и специализированного оборудования и технологического оснащения;
- высокий процент комплексно-механизированных, автоматизированных технологических процессов;
- минимальное подготовительно-заключительное время на операции;
- резкое сокращение объема ручных сборочных и доводочных работ; высокая степень загрузки рабочих мест;
- применение труда рабочих невысокой квалификации, выполняющих закрепленную за каждым из них одну операцию;
- минимальная длительность производственного цикла по сравнению с серийным производством;
- централизация управления и планирования производства;
- непрерывная дистанционная диспетчеризация производства;
- внедрение автоматизированных систем управления предприятием (АСУП);
- высокий уровень автоматизации контроля качества изделий; широкое применение статистических методов управления качеством продукции.
Тип производства оказывает весомое влияние на формирование структуры предприятия, условия, требования и критерии рациональной организации производства.
При единичном производстве, например, в структуре предприятия, как правило, отсутствуют кузнечный и литейный цехи, заготовительный участок, самостоятельные цехи по изготовлению нестандартного оборудования и технологического оснащения.
В серийном производстве, наоборот, почти всегда в структуре предприятия имеются кузнечный и литейный цехи, цехи по изготовлению нестандартного оборудования, технологической оснастки, раскрою металла; лаборатории — измерительная, химическая, термическая, металловедения; плановый отдел (планово-финансовая служба), диспетчерская служба и другие подразделения.
Массовому производству присущи широкая специализация цехов основного и вспомогательного производств, обслуживающих хозяйств и служб. Детали, как правило, изготовляются из рациональных заготовок, производство которых ведется централизованно. Таким же способом осуществляется производство нестандартного оборудования и технологической оснастки. Поставляют их своим потребителям цехи, являющиеся самостоятельной структурной единицей. В состав подразделений предприятия входят самостоятельные службы главного конструктора, главного технолога, главного сварщика, главного металлурга, отделы стандартизации и унификации изделий, главного энергетика, главного механика и др.
Благоприятное влияние на жизнедеятельность коллектива оказывают такие подразделения, как спорткомплекс, дом культуры, учебный комбинат, профилакторий, пансионат, дом отдыха, поликлиника.


Типы производственной структуры предприятия


Типы производственной структуры предприятия Известны три типа производственной структуры промышленного предприятия:
предметный, технологический и смешанный (предметно-технологический).
При предметной структуре основные цехи предприятия, их участки строятся по признаку изготовления каждым из них определенного изделия либо какой-нибудь из его частей (узла, агрегата) или определенной группы деталей. Предметная структура преимущественно применяется в механосборочных и сборочных цехах заводов крупносерийного и массового производства. Примером предметной структуры на автомобильном заводе могут служить цехи по изготовлению двигателей, шасси, коробок передач, кузовов; на станкостроительном — цехи по изготовлению станин, шпинделей, валов, корпусных деталей; на обувной фабрике — цехи рантовой обуви и т.д.
Предметная структура имеет большие преимущества. Она упрощает и ограничивает формы производственной взаимосвязи между цехами, сокращает путь движения деталей, упрощает и удешевляет межцеховой и цеховой транспорт, уменьшает длительность производственного цикла, повышает ответственность работников за качество работ. Предметная структура цехов позволяет расставить оборудование по ходу технологического процесса, применить высокопроизводительные станки, инструменты, штампы, приспособления. Все это, в конечном счете, обеспечивает увеличение выпуска продукции, повышение производительности труда и снижение себестоимости изделий.
Технологическая структура предопределяет четкую технологическую обособленность. Например, наличие литейного, кузнечно-штамповочного, механического, сборочного цехов. Этот тип производственной структуры упрощает руководство цехом (или участком), позволяет маневрировать расстановкой людей, облегчает перестройку производства с одной номенклатуры изделий на другую. К числу недостатков относятся: возникновение встречных маршрутов движения изделий, усложнение производственных взаимосвязей цехов, весомые затраты времени на переналадку оборудования, ограниченная возможность применения высокопроизводительных специальных станков, инструментов, приспособлений. Все это сдерживает рост производительности труда и снижение себестоимости продукции.
Смешанная (предметно-технологическая) структура характеризуется наличием на одном и том же машиностроительном заводе основных цехов, организованньтх и по предметному, и по технологическому принципу. Например, на машиностроительных предприятиях массового производства заготовительные цехи (литейные, кузнечные, прессовые), как правило, организуются по технологическому принципу, а механосборочные — по предметному принципу. Предприятия этого типа производственной структуры преобладают в машиностроении, легкой промышленности (обувная, швейная, мебельная) и некоторых других отраслях. К числу преимуществ такого построения производства относятся: уменьшение объемов внутрицеховых перевозок, сокращение длительности производственного цикла изготовления продукции, улучшение условий труда, более высокий уровень загрузки оборудования, рост производительности труда, снижение себестоимости изделий.1
Значение, которое приобретает последовательность действий предприятия во внешней и внутренней среде, объясняется отражением в этой последовательности устойчивой тенденции его функционирования. При этом показателями выступают динамические ряды, т.е. временные значения обращения фирмы к источникам своей деятельности и значения, характеризующие ее место на рынке. Для сопоставления берутся показатели аналогичных фирм, устойчиво функционирующих на рынке. В этой связи следует зафиксировать производственную структуру предприятия, фирмы как фактор, влияющий на последовательность их экономической деятельности.
В структурном отношении экономика предприятия должна формироваться как экономика отдельных комплексных звеньев. Пропорциональность входящих в состав предприятия (объединения) звеньев характеризуется рациональным соотношением производственной мощности цехов и участков, связанных между собой совместным изготовлением конечного продукта.
Развитие комбинирования приводит к комплексному использованию сырья и материалов, экономии живого и овеществленного труда, а также более эффективному использованию финансовых ресурсов.
Конструктивно-технологическая однородность продукции создает хорошие условия для углубления специализации производства, организации поточного и автоматизированного изготовления изделий.
Бесцеховая структура управления предприятием приводит к совершенствованию управления всеми его подразделениями, сокращению обслуживающего и управленческого аппарата, а следовательно, к снижению издержек производства.
Правильно построенная, постоянно совершенствующаяся производственная структура предопределяет наибольшее ее соответствие организации производства, обеспечивая пропорциональность всех цехов и служб предприятия, что в свою очередь положительно влияет на улучшение технико-экономических показателей: уровень специализации и кооперирования, непрерывность производственного процесса, ритмичность изготовления и выпуска продукции, рост производительности труда, улучшение качества изделий, размер незавершенного производства и нормируемых оборотных средств, соотношение численности управленческих и производственных кадров, наиболее целесообразное использование трудовых, материальных и финансовых ресурсов.2
22.3. Бухгалтерский учет учет производственных запасов; учет основных средств и нематериальных активов
Важное значение в структуре предприятия имеют его запасы, обеспечивающие производство. Производственные запасы входят в тот ряд элементов, которые образуют базу функционирования предприятия. Иными словами, нехватка тех или иных компонентов для производства покрывается производственными запасами, при этом образуется замкнутый производственный цикл. Раскрытие вопроса о производственных запасах в рамках бухгалтерского учета выступает фактором, характеризующим развитие предприятия.



Торгово-экономическая политика индустриальных государств


Торгово-экономическая политика индустриальных государств Новые тенденции в торговой политике индустриальных государств. Противоречия в развитии процессов мировой торговли — объективный фактор, а следовательно, успехи или неудачи торговой политики есть показатель их разрешения. В международной торгово-экономической политике долгие годы сохраняются две взаимосвязанные тенденции. Первая — стремление к либерализации международной торговли, к уничтожению торговых барьеров, привносимых процессами углубления международного разделения труда, интернационализацией производительных сил. Вторая — одновременное усиление протекционизма, попытки ограничить проникновение «чужого» капитала и товаров в «свою» страну. Эти две тенденции в торговой политике индустриальных стран имеют конкретные проявления: уменьшение роли таможенных пошлин как традиционных мер защиты внутреннего рынка; установление защитных барьеров против экспорта готовых изделий из развивающихся стран; аграрный протекционизм; расширение арсенала средств защиты внутреннего рынка от внешних конкурентов за счет расширительного толкования принятых ранее правил и процедур или отказа от их применения, введение противоречащих им национальных законов и т.д. Реальные интеграционные процессы требуют ослабления протекционизма, однако кризисные явления, ослабление того или иного участника заставляют его отходить от общего курса. Хотя в настоящее время преобладающей все же является тенденция к либерализации международной торговли индустриальных стран. Это однако не исключает практику «селективного протекционизма», когда страны достаточно твердо ограждают те или иные отрасли от угрозы перехода их под контроль иностранного конкурента либо не допускают в страну товары их конкурентов.
Генеральное соглашение о тарифах и торговле (ГАТТ). Особую роль в регулировании международной торговли занимает международная организация ГАТТ, действующая с 1947 г. Членами этой организации являются развитые страны рыночной экономики, развивающиеся страны, некоторые восточноевропейские страны, (Куба — с 1947 г.). В 1993 г. в ГАТТ на разных уровнях участвовало 155 стран. Сфера ее деятельности охватывает 4/5 мировой торговли. ГАТТ была создана на временной основе после второй мировой войны в период возникновения различных многосторонних организаций в области международного экономического сотрудничества, в частности, Бреттонвудских учреждений, известных сейчас как Всемирный банк и Международный валютный фонд.
Первоначально 23 страны-участницы ГАТТ входили в число 50 стран, принимавших участие в создании проекта устава Международной торговой организации (МТО), которая должна была стать специализированным учреждением Организации Объединенных Наций. Устав должен был обеспечить не только положения, регулирующие мировую торговлю, но также правила, касающиеся занятости, соглашений о сырьевых товарах, ограничительной деловой практики, международных инвестиций и услуг.
Результатом первого раунда переговоров стали 45 тысяч тарифных уступок, затронувших около одной пятой мировой торговли или 10 млрд. долл. США. Будучи вместе взятыми, эти торговые уступки и правила стали известны как Генеральное соглашение о тарифах и торговле и вступили в силу в январе 1948 года.
Около двух третей стран-членов ГАТТ находились на ранних этапах экономического развития, развивающиеся страны постоянно стремились к присоединению. Следствием этого явилось то, что в 1965 году к Генеральному соглашению были добавлены новые статьи, поощряющие оказание промышленно развитыми странами помощи развивающимся странам как «дело сознательных и целенаправленных усилий». В 1979 году было принято решение о преференциальном режиме — режиме всеобщей системы преференций (ВСП), в соответствии с чем развивающиеся страны были признаны в качестве постоянного правового фактора мировой торговой системы.
Работа ГАТТ осуществляется представителями правительств — Договаривающимися Сторонами. Торговая политика и переговорные позиции формируются в столицах, большинство стран имеют дипломатические миссии в Женеве, возглавляемые специальным послом при ГАТТ. Высшим органом ГАТТ является сессия Договаривающихся Сторон, проводимая обычно на ежегодной основе. В период между сессиями вопросы решаются Советом Представителей, заседания которого проводятся девять раз в год. Для решения текущих вопросов создаются рабочие группы, например, для рассмотрения просьб о присоединении к ГАТТ; для проверки соответствия заключенных членами ГАТТ соглашений их обязательствам. Решения ГАТТ принимаются на основе консенсуса, голосование проводится редко, причем каждая сторона имеет один голос, и решение принимается простым большинством голосов.
Крупнейшей и наиболее всеобъемлющей группировкой в ГАТТ является Европейское сообщество. ЕС, как известно, является таможенным союзом с единой внешнеторговой политикой и тарифами. Страны-члены ЕС координируют свои позиции в Брюсселе и Женеве, а почти на всех совещаниях ГАТТ от имени ЕС выступает Европейская комиссия (ЕК). Поскольку ЕС не является договаривающейся стороной ГАТТ, а этим статусом пользуются его отдельные страны-участники, данный случай является вопросом обычая и практики.
Меньшая степень скоординированной деятельности в работе ГАТТ характеризуют страны Ассоциации стран Юго-Восточной Азии (АСЕАН): Малайзия, Индонезия, Сингапур, Филиппины, Таиланд. С более или менее единых позиций выступают члены ГАТТ, входящие в состав Европейской ассоциации свободной торговли (ЕАСТ): Австрия, Исландия, Норвегия, Финляндия, Швеция, Швейцария. Однако Маастрихтские соглашения вносят в политику этих стран серьезные изменения в сторону укрепления связей с ЕС.
Среди других группировок, которые выступают с согласованными едиными подходами, можно отметить Латиноамериканскую экономическую систему (ЛАЭС). Наиболее известной группировкой является Каирская группа, которая объединяет экспортеров сельскохозяйственной продукции из развитых, развивающихся и восточноевропейских стран.
Секретариат ГАТТ численностью около 400 человек находится в Женеве и обслуживает постоянные органы ГАТТ и переговоры Уругвайского раунда, а также оказывает техническую поддержку развивающимся странам. Бюджет ГАТТ составляет около 75 млн. швейцарских франков, причем страны-члены вносят свою долю пропорционально их доле в мировом объеме торговли.
Крупнейшие прорывы в области либерализации международной торговли были достигнуты в результате проведения серии многосторонних торговых переговоров, или торговых раундов, под эгидой ГАТТ. Наиболее значимые из них: Раунд Диллона (1960-1961 годы); Раунд Кеннеди (1964-1967 годы); Токийский раунд (1973-1979 годы). Нынешний, восьмой раунд (Уругвайский раунд) был начат в Пунта-дель-Эсте (Уругвай) в сентябре 1986 года и закончился 15 декабря 1993 г. более или менее успешно (хотя бы потому, что закончился).1
Деятельность органов государственной власти и государственного управления обеспечивает доступность внешних ресурсов и продуктов для всех национальных экономических субъектов, что, в частности, реализуется в импорте необходимых иностранных товаров и экспорте собственной продукции, т.е. во внешней торговле товарами и услугами. Государство регулирует этот процесс через установление тарифов, ограничений и взимание таможенных пошлин. А в сфере факторов производства процесс принимает формы экспорта и импорта капитала, т.е. его вывоза и привлечения и осуществления совместных международных проектов и некоторые другие формы. Получение выгод от участия в этих процессах и представляет собой задачу государственной политики в области внешней торговли и движения факторов производства.
Воздействие процессов разделения труда на мировое хозяйство. Все страны мира так или иначе включены в международное разделение труда. Его расширения и углубления требуют производительные силы, испытывающие могучее воздействие технологической революции, волнами накатывающейся на мир. Это во многом являлось и ранее основой развития взаимных экономических связей различных государств, независимо от их социального устройства. Однако сами по себе общие материальные предпосылки, благоприятствующие развитию связей и взаимосвязей, не следует принимать за нечто, действующее автоматически. Препятствий на этом пути достаточно, и прежде всего в сфере политики, определяющей сам характер международных отношений, в том числе и экономических отношений.
Недостаток множества исследований и самой методологии изучения как политической экономии, так и теории международных экономических отношений состоял в том, что часто та общая картина, которая складывается из анализа фиксируемых тенденций, представлялась в жестко объективизированном виде, якобы как реальность. Это находило свое отражение практически во всех категориях МЭО: мировое хозяйство рассматривалось как целостность, в которой в полноценных формах международного разделения труда участвовал, например, Советский Союз, без оговорок анализировались такие понятия, как «взаимо-дополняемость экономик», «общеевропейский дом» и т.д.
Оторванность от реальной экономической жизни всегда делала сам предмет МЭО абстрактным, схоластическим. При этом исчезал активный, конструктивный элемент науки. Ей отводилась роль регистратора результатов «автоматически» действующих законов, реализуемых политиками в принимаемых ими решениях. В то же время утверждалось, что их действие свидетельствует об объективном, не зависящем от воли и желаний отдельных правительств (или классовых сил) характере развития международных отношений. Выходило, что «слепая воля» объективных законов сама в состоянии проложить дорогу национальной экономике в систему мирового хозяйства и соответственно чуть ли не автоматически унифицирует национальное законодательство, обеспечивает конвертируемость, к примеру, рубля, улучшает качество товаров и услуг, делает счастливой жизнь человека и т.д.
Включение национальных экономик стран, прервавших директивное экономическое развитие, осуществляющих возврат к рынку и в систему МЭО, как никогда ранее зависит сегодня от воли и мудрости национальных правительств, поскольку фактор государственного влияния в экономическом процессе во всех странах исключительно высок.
Интеграция или дезинтеграция, жесткий протекционизм или регулируемо-либеральный режим, торговые войны или свободная торговля — все это находит свое конкретное отражение в экономической политике государств, проводимой их правительствами. Поэтому задача, стоящая перед этими странами, заключается в том, чтобы привести национальные хозяйства в соответствие с требованиями мирового хозяйства, ликвидировать препятствия в развитии внешнеэкономических связей, содействовать выходу национальных хозяйствующих субъектов на внешние рынки, притоку производственного капитала в их страны. При этом, разумеется, не может идти речь о слепом подчинении национально-государственных интересов кому бы то ни было. Имеются все возможности учесть требования мирового сообщества и свои интересы, обеспечить разумный баланс интересов — и это во многом зависит от реформаторов, их искусства и профессионализма, преданности интересам своих стран.
Сегодня можно сказать, что полноценный отказ от политики обособления (автаркии) практически всех участников СНГ, Балтийских стран, Закавказья происходит непоследовательно, даже судорожно и скорее только на политическом уровне. Необходимо его перевести в сферу внешнеэкономических связей, создав условия, благоприятствующие действию международных экономических факторов.


Торгово-экономические отношения между тремя центрами: США —Япония —ЕЭС


Торгово-экономические отношения между тремя центрами: США —Япония —ЕЭС Тенденции изменения приоритетов во взаимоотношениях «США — Япония». С приходом к руководству Белым домом Б.Клинтона и его требованиями о том, чтобы Япония сократила положительное сальдо своего торгового баланса, отношения между двумя странами обострились. Эти требования вообще традиционны для Америки уже более чем на протяжении двух десятилетий. Были и контробвинения, ссылки на то, что новое правительство США отошло от многолетних американских обязательств в отношении свободной торговли. Но истинное беспокойство в международных кругах бизнеса вызывала не столько новая политика президента, а сами новые способы использования президентом Клинтоном старых приемов «управляемой торговли», некоторые из которых провозглашались и отчасти применялись при администрациях Буша и Рейгана, но их применение администрацией Клинтона пока что вызывает неприятие.
В качестве одной из своих торговых инициатив администрация Клинтона настаивает на девальвации доллара по отношению к иене. Это, как ожидают, сократит несбалансированность американо-японской торговли, поскольку японские товары станут более дорогими в США, а американская продукция станет дешевле в Японии. В начале 1993 г. курс доллара снизился до самого низкого уровня после второй мировой войны. Некоторые официальные лица правительства Клинтона также предлагали, чтобы Япония установила задания по импорту американских товаров на несколько лет и приняла конкретные меры по снижению положительного сальдо ее торгового баланса.
В свою очередь, правительственные чиновники в Токио были согласны с необходимостью усиления иены, хотя и более медленными темпами. Но почти все высокопоставленные японские чиновники — от премьер-министра и ниже, настаивали, что Япония никогда не согласится на конкретные шаги, которые бы гарантировали американским экспортерам определенную долю на японских рынках. Основной элемент японской «обороны» состоит в том, чтобы отвергнуть тот курс, который укладывается в так называемую политику, «ориентированную на результаты», как вид управляемой торговли, что, по мнению японской стороны, нарушает сами принципы свободной торговли.
Японские политики и бизнесмены утверждают, что в то время как предыдущие правительства США (Рейган, Буш) обещали сохранять верность свободной торговле и воздерживались от любого правительственного контроля принципиально, на деле они соглашались на сделки по контролируемой торговле, хотя и заявляли, что делают это неохотно. Администрация Клинтона, однако, бесцеремонно использует управляемую торговлю как инструмент для открытия японского рынка с тем, чтобы достичь фундаментальных изменений и, в частности, добиться сокращения положительного сальдо внешнеторгового баланса в пользу Японии.
Японская сторона представляла себе, что она накануне новых отношений со своим традиционным партнером, союзником и одновременно соперником. «Японии нужно ответить ясным пониманием перемен в Соединенных Штатах», — писала в редакционной статье ведущая газета «Асахи симбун». Следует понять, что японо-американские отношения вступили в эпоху истинной конкуренции.
Потребность, возникающая у индивида, может быть удовлетворена либо из собственных ресурсов, либо путем обмена. Процесс обмена, прошедший долгий путь развития, сегодня имеет свою структуру и осуществляется как непосредственно — с помощью бартера, так и опосредованно — с использованием денег. Обмен является основой для расширения диапазона благ, доступных для потребления. А существующая специализация производственной деятельности и международное разделение труда — последствия возможного обмена. Изучение тенденций развития форм и методов обмена позволяет лучше оценить роль и место стран в мировой экономике и становится одним из условий прогнозирования развития международных экономических процессов.
Динамика международной торговли и ее территориальный аспект. Движение товаров и услуг между отдельными странами связывает в системе единого рынка национальные рынки и соответственно усиливает экономическую взаимозависимость стран. О размерах международной торговли свидетельствуют такие данные. Согласно экспертным оценкам западных экономистов, ежегодная торговля в 2003 г. увеличится по сравнению с 1993 г. на 50% и составит около 7 трлн. долл.; при этом основная ее часть будет по-прежнему проходить внутри или между тремя главными экономическими блоками — США, Япония, Германия. Только на долю США, Канады и Мексики приходилось в 1992 г. более 18% мировой торговли. Общий их экспорт увеличился в 1970-1990 гг. с более 218 млрд. долл. до более 2 трлн долл. Импорт за эти годы вырос с более 222 млрд. долл. до более 2 трлн. долл. Главные торговые потоки, однако, развиваются внутри ведущей «десятки» стран, усиливая их.
Трудности Уругвайского раунда. Уругвайский раунд — это самые крупные торговые переговоры в мире. Тремя основными органами этого раунда являются: комитет по торговым переговорам; переговорная группа по товарам; переговорная группа по услугам.
О важности Уругвайского раунда можно судить уже только по перечню основных вопросов, обсуждаемых в ходе его заседаний: дальнейшее сокращение тарифов;
нетарифные меры; тропические товары (составляют в стоимостном выражении около 20 млрд. долларов); продукция, производимая на базе природных ресурсов; текстиль и одежда; сельское хозяйство; статьи ГАТТ; защитные оговорки; субсидии и компенсационные  меры;  урегулирование  споров;  права  на  интеллектуальную собственность; инвестиционные меры; функционирование системы ГАТТ; торговля услугами. Особенно трудными оказались переговоры по договоренностям об обязательствах по сокращению государственной финансовой помощи, ограничений на доступ к рынкам в области сельского хозяйства. Их главная цель — ограничение протекционизма в торговле сельскохозяйственной продукцией, устранение таможенных
пошлин в ряде отраслей промышленности, выработке рассчитанного на десять лет графика устранения протекционистских барьеров в торговле текстилем и одеждой, придание более открытого характера ряду отраслей в сфере услуг, включая банковское дело и страхование. К примеру, ужесточение правил решения вопроса о том, продает ли компания, экспортирующая продукцию в ЕС, ее по демпинговым ценам или нет, может иметь различное значение для разных стран. Их важность очевидна для Японии, азиатских «тигров» и стран Центральной Европы. Дело в том, что для стран, либерализирующих торговые режимы, и Западная Европа, и США, как правило, вводят антидемпинговые меры с тем, чтобы защитить свои национальные отрасли, характеризирующиеся неэффективностью, уязвимостью или даже мощным потенциалом.
Вместе с тем очевидно, что ни Уругвайский раунд, ни создание единого рынка не приведут к ликвидации всех противоречий в торговой политике между государствами-членами Европейского сообщества, между ЕС и США, между США и Японией, Японией и ЕС и т.д. Пытаясь решить противоречия торговой политики, в деловых и правительственных кругах ведущих стран Запада обычно говорят о «взаимности», требуя уступок от партнеров, часто — слабых, и возводят новые протекционистские барьеры на пути товаров из тех стран, которые закрывают перед ними свои рынки. Чаще всего к такой аргументации прибегают США.
Первое направление деятельности предусматривает активное обсуждение на двустороннем и многостороннем уровнях вопросов доступа на рынки — область, в которой до сих пор не достигнуто значительных результатов. Второе направление предусматривает проведение активных переговоров по выработке первоначальных обязательств в сфере услуг — вторая значительная область, не входящая в компетенцию ГАТТ. Третье направление деятельности — это обеспечение правовой сопоставимости и внутренней последовательности различных соглашений, составляющих проект заключительного акта. Наконец, четвертое направление предусматривает работу на уровне Комитета по торговым переговорам, цель которой заключается в определении того, в какой степени может оказаться возможным скорректировать результаты в конкретных областях, не нарушая целостности всего пакета. Однако, как указал председатель КТН в ноябре 1992 года, переговоры фактически так и не начались и деятельность по первому, второму и третьему направлениям была, по сути, блокирована.
Окончательные результаты Уругвайского раунда сведены в документ, состоящий из двух частей: Заключительного акта и графиков постепенного снижения барьеров (на пути доступа на рынок и в области услуг). После этого проведено обсуждение и окончательная доработка текста проекта заключительного акта на многостороннем уровне без его последующего пересмотра. Вместе с тем, ряд участников представили неофициальные предложения с целью внесения значительных изменений в Проект Заключительного акта (ПЗА). На заседании КТН в январе 1993 года большинство участников высказали мнение, что ПЗА по-прежнему является единственной жизненной основой для оперативного и сбалансированного завершения Уругвайского раунда, несмотря на то, что по некоторым кардинальным вопросам по-прежнему необходимо принять ряд политических решений. С учетом такого положения КТН не устанавливал конкретного срока завершения Уругвайского раунда. Однако к декабрю 1993 года стало ясно, что до конца года этот раунд может быть завершен. Противоречия в вопросах сельскохозяйственной политики были главным фактором, тормозящим успешное завершение переговоров. Эти разногласия отчасти были обусловлены стагнацией доли сельскохозяйственного экспорта Соединенных Штатов, являющегося одним из немногих секторов в экономике страны, торговый баланс которого по-прежнему носит активный характер (в то время как доля ЕС возрастает, как считается, главным образом, в результате проведения политики Европейского сообщества (ЕСП) и отчасти значительным политическим влиянием лобби сельскохозяйственных производителей по обе стороны Атлантического океана, особенно во Франции. Однако в этом конфликте участвуют и другие крупнейшие экспортеры сельскохозяйственной продукции, включая Австралию, Аргентину и Канаду. Одним из важнейших аспектов этого конфликта является весьма высокий уровень протекционистской защиты сельского хозяйства Японии, которая, безусловно, не готова к полному отказу от поддержки своих производителей сельскохозяйственной и животноводческой продукции.


Товар в системе маркетинга


Товар в системе маркетинга Товар — сложное, многоаспектное понятие, включающее совокупность многих свойств, главными среди которых являются потребительские свойства, т.е. способность товара удовлетворять потребности того, кто им владеет.
Общепринятое определение товара — «продукт труда, произведенный для продажи»1 — остается, несомненно, справедливым и в маркетинге. Однако все руководства . по маркетингу подчеркивают не столько роль товара в его обмене на деньги, сколько возможность его использовать, потреблять. «Товар — это средство, с помощью которого можно удовлетворить определенную потребность»2 или «Товар — это комплекс полезных свойств вещи. Поэтому ... он автоматически включает все составные элементы, необходимые для материального удовлетворения нужд потребителя»3.
Потребительская ценность товара выступает как совокупность свойств, связанных непосредственно как с самим товаром, так и сопутствующими услугами. Эти свойства так или иначе предстают перед покупателем и определяют его намерение купить товар и стать постоянным клиентом данного производителя. И поскольку для стабильного . успеха предприятия необходимо заботиться о формировании постоянной клиентуры, особое внимание на конкурентном рынке придается таким качествам, как цвет, упаковка, дизайн, эргономические особенности (удобство пользования, обслуживания, ремонта), сопровождающая документация (описание, инструкции по эксплуатации). Вместе с тем великолепный дизайн автомобиля, трактора, станка при плохом техническом обслуживании не спасет их от провала на рынке покупателя.
Для понимания возможностей продукта как товара производителю следует рассматривать и оценивать его в трех измерениях: конкретно, расширенно и обобщенно.
Конкретный продукт — это базовая физическая сущность, которая имеет точные характеристики и предлагается под заданным описанием или кодом модели (например, плита электрическая «Электра», электробритва «Бердск-5» электродвигатель АИРОО). Стиль, цвет, вкус, размер, • масса, надежность, качество конструкции и эффективность в использовании — примеры конкретных товарных характеристик.
Понятие расширенного продукта включает не только его образ, но и «шлейф» обслуживания (покупка холодильника, например, увязывается с получением необходимых технических рекомендаций, гарантий, условий возврата). Расширенная продукция применительно к ЭВМ — пакеты программ, инструкции для пользователей по эксплуатации и порядку обслуживания.
Обобщенный продукт — наиболее широкое определение товара, соответствующее концепции маркетинга: «На фабрике мы производим косметические изделия, а в магазинах мы продаем и надежду» — обобщает фирма «Ревлон».
Другое важное положение, связанное с товаром, с позиций маркетинга — это необходимость проектировать его с четкой ориентацией на заранее выявленную целевую группу потребителей. Главное, о чем нужно помнить предприятию-изготовителю, продумывая свой набор услуг, — проектировать его исходя из потребностей не «среднестатистического» покупателя, а определенной однородной группы.
Продукт должен быть доведен до степени коммерциализации. Это означает полное освоение его в серийном производстве, успешное завершение всех необходимых испытаний, получение соответствующих сертификатов и других нормативно-технических документов, создание сети обслуживания.
Товар, ориентированный на российского потребителя, может и не соответствовать характеру спроса иностранного покупателя. Экспортным называется такой товар, который создан после серьезного анализа требований соответствующего сегмента (группы потенциальных покупателей) рынка той страны (стран), куда отечественное предприятие намерено осуществлять экспорт. При разработке экспортного товара следует также иметь в -виду возможные изменения этих требований, предусматривать должное правовое, сервисное, рекламное обслуживание. Только такой товар гарантирует закрепление экспортера на внешнем рынке. Особенно выгоден и перспективен экспорт товаров «рыночной новизны».
Обычно принято делить товары на потребительские (личного пользования) и производственного назначения. Характер потребления товаров каждой из этих групп различен, покупка определяется разными потребностями и мотивами. Обычно приобретение товара личного пользования — это акт единоличной воли, максимум — воли всей семьи. Что касается покупки товара производственного назначения, то здесь принимается коллегиальное решение, в выработке которого участвуют люди, находящиеся на разных административных уровнях. Для успешного сбыта этих товаров специалист по маркетингу непременно должен учитывать психологию лиц, от которых зависит принятие окончательного решения о покупке. Среди товаров личного пользования можно выделить три группы:
- изделия длительного использования — автомобили, холодильники, одежда, . мебель и т.д., приобретаемые сравнительно редко;
- изделия краткосрочного использования — продукты питания, косметика, моющие средства;
- услуги — действие, результатом которого является либо какое-нибудь изделие, либо тот или иной полезный эффект (сшитый по индивидуальному заказу костюм, перепечатка на машинке рукописи, перевозка пассажиров и т.п.).
Приобретение изделий краткосрочного использования и услуг сопровождается частыми контактами покупателя и продавца. При этом покупатель, однажды удовлетворенный качеством товара, в дальнейшем предпочитает покупать товар той же торговой марки («приверженность к марке») и становится постоянным клиентом его изготовителя. Если приобретение изделий краткосрочного использования и услуг организовано хорошо и не вызывает у покупателя затруднений, то феномен приверженности к марке возникает быстро и требует сравнительно незначительных усилий для его поддержания.
Изделие длительного использования, а тем более производственного назначения, требует больших усилий как в организации продажи, так и в формировании у клиента приверженности к марке. По отношению к товарам производственного назначения покупатель особенно ценит надежность поставщика, под которой понимается уверенность в том, что товар надлежащего качества будет поставлен точно в срок со всей необходимой документацией и что рекламе и устным заявлениям представителей поставщика можно безусловно доверять. Товары надежного поставщика покупают нередко по более высоким ценам, чем товары его конкурентов, и клиенты не отказываются от покупки при повышении цен, вызванном инфляцией или иными причинами.
Возможны и иные способы классификации товаров, однако всегда основой такой классификации является удовлетворение потребностей: оно выглядит конечным итогом в характеристике потребительских свойств товара. Например, разделение продуктов на предметы повседневного спроса, предметы тщательного выбора и престижные предметы подразумевает, что одни приобретенные товары в глазах окружающих не могут, а другие, наоборот, способны подчеркнуть высокий социальный статус их владельца.
Жизненный цикл товара (ЖЦТ) — это время существования товара на рынке. Концепция ЖЦТ исходит из того, что любой товар рано или поздно вытесняется с рынка другим, более совершенным или дешевым товаром. Могут быть товары-долгожители, но вечного товара нет. Концепция ЖЦТ может применяться в отношении вида продукции (например, часы), типа продукции (кварцевые часы), конкретной модели и торговой марки (кварцевые часы Первого часового завода, Москва). Тип и особенно конкретная модель продукции обычно более четко следуют традиционному жизненному циклу, чем вид продукции или торговая марка. Фазы ЖЦТ делят обычно на внедрение (введение), рост, зрелость, насыщение и спад.
Цель фазы внедрения — создать рынок для нового товара. Темп роста продаж обычно относительно невелик, их объем незначителен, торговля нередко убыточна, маркетинговые расходы невелики, конкуренция, как правило, ограничена. Однако, если спрос на данную группу товара устойчив, а модификация ее незначительна, то фаза введения может практически отсутствовать. Товар либо вообще не реализуется, либо он с первых продаж сразу замещает товар с высоким спросом (продукты биотехнологии, видеодиски и другие принципиально новые виды продукции).
Фаза роста — признание товара покупателями и быстрое увеличение спроса на него. Объем продаж растет, а за ним и прибыльность. Причем, рост идет быстрее средних показателей по данной отрасли (родственной группе товаров). В этой фазе ЖЦТ на развитом рынке в настоящее время находятся видеомагнитофоны, портативные магнитофоны, средства индивидуальной связи, средства защиты окружающей среды.
Товары производственного назначения в практике маркетинга классифицируют на следующие категории: основное оборудование; вспомогательное оборудование; узлы и агрегаты; основные материалы; вспомогательные материалы и сырье. Такое деление основывается на различном отношении покупателя к этим товарам и специфике предъявляемых требований к способам продажи, обслуживания, снабжения запасными частями и иным аспектам торговли данными товарами. В зависимости от этого организуется реклама — важнейшая составляющая маркетинга.
Отметим, что спрос на товары производственного назначения формируется не сам по себе, а в тесной взаимосвязи со спросом на изделия личного потребления. Так, благоприятная конъюнктура на автоматы для плазменной сварки листов алюминия может возникнуть как отражение высокого спроса на алюминиевые прогулочные лодки, становящиеся по тем или иным причинам модным товаром.1
Причины, по которым предприятие, функционирующее на рынке, стремится определить внешние условия, способствующие укреплению его позиции, очевидно, связаны с целью получения устойчивой прибыли. Однако решение этой проблемы заключается и в получении четкого представления о внутреннем состоянии элементов предприятия. С точки зрения выхода на рынок, особенно важной составляющей является товар предприятия и его основные характеристики и отношение к нему покупателей. В этой связи необходимо отметить процедуру исследования товара, включающую фиксацию частной позиции этого товара по отношению к товарному рынку.


Товарищества


Товарищества Хозяйственные товарищества могут создаваться в форме полного товарищества или товарищества на вере (коммандитного товарищества).
Полным товариществом признается объединение двух и более предпринимателей (предприятий). Создаваемое ими путем заключения договора предприятие предусматривает осуществление совместной предпринимательской деятельности и полную (неограниченную) ответственность принадлежащим имуществом по обязательствам товарищества.
Представительство и действия от имени полного товарищества любого из его участников признаются деятельностью самого товарищества, ес/ли иное не предусмотрено учредительными документами товарищества.
Изменение состава участников полного товарищества влечет за собой прекращение его деятельности.
Товариществом на вере (или коммандитным, т.е. смешанным, товариществом) признается объединение, в котором в соответствии с учредительным договором о создании товарищества один или несколько его действительных членов несут полную (неограниченную) ответственность по обязательствам товарищества всем принадлежащим им имуществом, а остальные члены-вкладчики несут ответственность, связанную с деятельностью товарищества, в пределах принадлежащей им доли капитала товарищества, включая неоплаченную ими часть своего вклада. Смешанное товарищество, как и полное, может быть создано без учреждения нового юридического лица — в таком случае вклады участников товарищества отражаются на балансе одного из действительных членов товарищества; с учреждением нового юридического лица и с обособленным имуществом — в таком случае вклады участников отражаются на балансе товарищества.
Представительство и действия от имени полного или смешанного товарищества любого из действительных его членов признаются деятельностью самого товарищества, если иное не предусмотрено учредительными документами товарищества.
Собственное наименование полного и коммандитного товариществ должно включать слова «полное (коммандитное) товарищество», фамилию или название одного или нескольких действительных членов товарищества. В случае, если в наименовании полного
товарищества указаны не все его участники, оно должно содержать слова «и компания» или иные слова, указывающие на наличие других участников.
Ддя образования товарищества достаточно двух учредителей: один из них может быть директором, другой — главным бухгалтером с правом подписи. Для регистрации товарищества нужны протокол учредительного собрания и учредительный договор. В протоколе фиксируется договоренность между сторонами о создании предприятия, определяется вид деятельности, название предприятия, устанавливается его адрес. В учредительном договоре определяются взносы сторон в уставный капитал предприятия, распределение дохода и степень ответственности договаривающихся сторон. Избирается руководство предприятия: директор, его заместители, главный бухгалтер. На основе протокола учредительного собрания и договора составляется устав предприятия по стандартному образцу, единому для всех видов предприятий и форм предпринимательства.
Общество с ограниченной ответственностью Обществами с ограниченной ответственностью (000) признаются организации, созданные по соглашению юридическими лицами и гражданами путем объединения их вкладов в целях осуществления хозяйственной деятельности. Такие общества являются юридическими лицами.
Согласно российскому законодательству число участников 000 не должно превышать предела, установленного для подобного вида хозяйственных объединений, — в противном случае в течение года оно подлежит преобразованию в акционерное общество. Помимо того, 000 не может иметь в качестве единственного участника другое хозяйственное общество, состоящее из одного лица.
Каждое 000 имеет фирменное наименование, в котором указываются вид и предмет его деятельности. 000 могут от своего имени заключать договоры, приобретать имущественные и личные неимущественные права и нести обязанности, быть истцами и ответчиками в арбитраже, суде, третейском суде.
000 может состоять из двух участников и более, в их числе могут быть предприятия, учреждения, организации, государственные органы, а также граждане.
Участники 000 могут участвовать в управлении делами общества в порядке, определяемом учредительными документами, получать часть прибыли (дивиденды) от деятельности общества, а также информацию о деятельности общества. Участники 000 обязаны вносить вклады в порядке, размере и способами, предусмотренными учредительными документами.1
Любое производство товаров или услуг, имеющее целью получение прибыли, связано с определенным риском организации капитала. При этом стремление снизить риск обеспечено созданием условий оптимального сочетания последовательности элементов деятельности предприятия.  Моделью  данных условий в частности служит организационно-правовая форма хозяйствования, которую использует предприятие. Одновременно следует учитывать наличие двух шагов: организации предприятия (решение о вложении средств в целях получения прибыли от производства товаров (услуг) при определенном уровне риска) и отдельного шага по фиксации интересующих отношений в организационно-правовой форме.
Малое предпринимательство Индивидуальные, семейные и мелкие предпринимательские инициативы организуются на базе малых предприятий, поскольку для этого не требуется крупного первоначального капитала.
Наряду с этим, у малого бизнеса появляются некоторые реальные шансы конкурировать с крупными фирмами.
Отмечаются следующие преимущества малого предпринимательства:
- более адаптивные гибкость и оперативность реагирования на спрос рынка;
- мобильность при выполнении работ, связанных с внедрением новой техники, изобретений;
- более экономичное использование ресурсов, в том числе вторичных;
- снижение косвенных расходов, связанных с содержанием управленческих непроизводственных структур;
- повышенная скорость оборота капитала. Эти преимущества позволяют малому бизнесу:
- ускорить заполнение товарного рынка требующимися потребителям изделиями;
- ускорить внедрение несложных научно-технических достижений;
- полнее удовлетворять потребности экономики страны и населения в промышленных, строительных и прочих услугах, расширять номенклатуру и качество услуг;
- наладить выпуск продукции малыми сериями.
Как показывает опыт, малый бизнес позволяет создать условия для повышения заинтересованности каждого работника в конечных результатах труда.
В последние десятилетия в промышленности индустриально развитых стран проявилась тенденция к оптимизации размеров предприятий, сосредоточенных на одной территориальной площадке.
В связи с падением серийности производства и разбуханием номенклатуры производимых изделий развитие новых несложных производств, второстепенные производственные операции, разного рода обслуживание были переданы крупными корпорациями специализированным мелким и средним фирмам, которые благодаря узкой специализации добились значительных успехов в своей деятельности.
Сложился своеобразный симбиоз монополий и мелких и средних фирм в гибком обеспечении меняющихся потребностей рынка. Подобное разделение труда позволило повысить общую рентабельность производства как монополий, так и предприятий малого бизнеса. В Японии до 70% предприятий малого бизнеса кооперированы с монополиями, в США— 30—40%.
Кооперирование малого бизнеса с крупным создает для первого устойчивый рынок сбыта, охраняет от неожиданной конкуренции, позволяет специализировать деятельность внутри фирмы. С другой стороны, малое предприятие подчинено работодателю — крупной фирме, которая диктует, что конкретно изготавливать, в каком количестве, в какие дни и часы поставлять продукцию, по какой цене.
В России малое предпринимательство в производственной сфере начало развиваться лишь в конце XX в., однако уже приобретен и позитивный, и негативный опыт.
В качестве примера относительно успешной работы в малом бизнесе можно привести деятельность подмосковного предприятия «Скорость», которое возникло в конце 1990 г. на базе небольшого цеха московского оборонного завода, оказавшегося под угрозой закрытия в связи с резким снижением военных заказов. С руководством завода был заключен договор о создании на базе цеха малого предприятия, учредителем которого оставался завод.
В договоре устанавливалось обязательство малого предприятия в первоочередном порядке заключать договоры с предприятием-учредителем, которое, в свою очередь, взяло на себя обязательство обеспечивать в полном объеме материально-техническими ресурсами свои заказы малому предприятию, не располагавшему ни современной техникой, ни квалифицированными кадрами. Устанавливался порядок ценообразования и расчетов на поставляемую заводу-учредителю продукцию. В остальном малое предприятие получало полную самостоятельность.
Первое, за что взялось предприятие «Скорость», — поиск заказов на продукцию, которую оно могло производить. Начался процесс всеобщей диверсификации этого небольшого производства. За короткий срок в соответствии с заказами было освоено производство оконных и террасных рам, дверей, подсвечников, сковород, деталей легковых


Товарная структура международной торговли


Товарная структура международной торговли Предмет «Международные экономические отношения» как раз призван показать объективность и необходимость разностороннего сотрудничества на международном уровне, в том числе в деле создания благоприятных условий для полномасштабного участия в экономической деятельности России и ее субъектов иностранного хозяйственного элемента. В противном случае сотрудничество может развиваться только в самых простейших видах и формах, неспособных приобщить национальные хозяйства к передовым достижениям технологического опыта современной цивилизации.
Рост торговли в 90-е годы, по сути, достаточно точно отражает региональную структуру роста объема производства. В это время темпы роста существенно различались по странам и регионам. Выделяется ряд областей заметного роста и сокращения мировой торговли. Во-первых, сократился импорт Японии в связи с замедлением экономического роста в стране, который практически прекратился к концу 1991 года. Замедление роста физического объема экспорта также происходило стремительно вследствие введения в некоторых случаях «добровольных» экспортных ограничений, хотя дефицит торгового баланса, выраженный в долларах, увеличился в результате повышения курса иены и продолжающегося роста в экспорте Японии доли более дорогостоящей продукции. Во-вторых, резко возрос импорт Соединенных Штатов в результате начавшегося выхода экономики этой страны из полосы спада, тогда как экспорт страны возрос на весьма скромную величину. В-третьих, внешняя торговля Южной и Восточной Азии и Китая продолжала быстро расширяться, опережая темпы роста торговли всех других регионов, физический объем и импорта, и экспорта Южной и Восточной Азии возрос примерно на 10%. Прирост экспорта Китая составил порядка 14%, а импорта — 20%. Внешняя торговля этого региона оставалась самым динамичным компонентом мировой торговли. Эти показатели представляются еще более внушительными с учетом того, что рост экспорта региона в Японию практически прекратился. В-четвертых, продолжал расти импорт Латинской Америки, причем значительная доля этого прироста приходилась на импорт из Соединенных Штатов. Существенно увеличился и экспорт Японии в этот регион. В-пятых, физический объем внешней торговли стран с переходной экономикой продолжал сокращаться, хотя и более медленными темпами, чем в 1991 году, несмотря на рост их торговли в конвертируемой валюте.
Хотя торговля продемонстрировала определенную стойкость в условиях вялого роста объема производства, уровень ее роста оставался значительным. Промышленно развитые страны, на которые приходится основная доля мировой торговли, приняли определенные меры по либерализации торговли. В то же время было введено значительное число новых торговых ограничений, особенно в форме антидемпинговых мер. В правительских странах прослеживалась тенденция уступать протекционистскому давлению со стороны конкретных отраслей экономики. Напротив, в значительном числе развивающихся стран продолжалось введение более либеральных торговых режимов.
Как представляется, произошло дальнейшее ослабление веры в эффективность связей многосторонней торговой системы. Отчасти это нашло отражение в распространении региональных торговых блоков и в предпринимаемых усилиях по их укреплению, а также в растущей готовности фирм регулировать торговлю с помощью двусторонних сделок. В то же время проявилась неспособность крупнейших торговых держав достичь соглашения по некоторым важнейшим вопросам, от которых зависит успех многосторонних торговых переговоров.
Увеличение импорта Северной Америки в 1992 году явилось отражением процесса экономического оживления, который начал закрепляться в Соединенных Штатах и Канаде в течение года. Особенно заметно возрос импорт Соединенных Штатов — почти на 12% — в первую очередь за счет потребительских и инвестиционных товаров, особенно
компьютеров и полупроводников. Хотя объем продаж инвестиционных товаров в Соединенные Штаты увеличился у всех основных экспортеров, прирост импорта потребительских товаров был обеспечен главным образом поставщиками из развивающихся стран Азии, особенно Китая. К концу 1992 года на долю Китая приходилось 16% импорта потребительских товаров в Соединенные Штаты по сравнению с 14% в 1991 году.
Прирост экспорта Соединенных Штатов в 1992 году не совсем соответствовал темпам предыдущих лет, поскольку конъюнктура на основных рынках сбыта Соединенных Штатов в Европе и Японии была весьма вялой. Особенно заметно сократились темпы экспорта инвестиционных товаров, составившие половину от 1991 года. Сужение соответствующего показателя спроса в Западной Европе и Японии, где отмечался весьма низкий уровень капиталовложений, было лишь частично компенсировано значительным объемом продаж в развивающиеся страны Азии и Латинской Америки.
Физический объем экспорта Соединенных Штатов тем не менее возрос в 1992 году на 7%, что почти вдвое превысило общемировые темпы роста и явилось продолжением активного роста экспорта, начавшегося во второй половине 80-х годов.
Физический объем экспорта Канады возрос на 8% во многом благодаря экспорту в Соединенные Штаты, по сравнению со среднегодовыми темпами роста экспорта за последние три года, составившими всего лишь 2,4%.
Хотя на результатах тогдашней экспортной деятельности благоприятно сказалось усиление международного спроса, наблюдавшееся в течение нескольких лет, сохранение высоких экспортных показателей в условиях ослабления международного спроса наглядно свидетельствовало о той степени международной конкурентоспособности, которой Соединенные Штаты вновь добились в последние годы. В самом деле, в 1992 году третий год подряд отмечалось падение реального действующего обменного курса доллара по отношению к валютам торговых партнеров из числа промышленно развитых стран. Сегодня он более чем на 25% ниже уровня начала 90-х годов — до того, как начался период завышенной стоимости доллара. Происшедшее в 1992 году изменение явилось отражением незначительного сокращения среднего обменного курса доллара, а также увеличения ставок заработной платы в Соединенных Штатах на меньшую величину, чем у основных торговых партнеров, и ускорения роста производительности в этой стране.
Одним из наиболее уязвимых экспортных рынков Соединенных Штатов является Япония, в торговле с которой Соединенные Штаты постоянно имеют крупный торговый дефицит, в течение нескольких лет находящийся в центре внимания политических кругов обеих стран.
В 1992 году Япония импортировала товаров Соединенных Штатов на сумму 52 млрд. долл. США, примерно на ту же долларовую величину, что ив 1991 году, однако ввиду увеличения импорта Соединенных Штатов из Японии активное сальдо двустороннего торгового баланса Японии достигло 44 млрд. долл. США, что на 5,5 млрд. долл. США больше, чем в 1991 году. Активное сальдо торгового баланса Японии с другими крупными торговыми партнерами также существенно возросло в 1992 году, достигнув рекордного уровня в торговле с Европейским сообществом (31 млрд. долл. США) и Азией (42 млрд. долл. США), за исключением Ближнего Востока, в торговле с которым Япония постоянно находится в дефиците в связи со своими закупками нефти. В каждом случае основной причиной роста активного сальдо являлся весьма слабый спрос на импортные товары в Японии ввиду замедления темпов роста ее экономики. Особенно резко сократился импорт полуфабрикатов: например, импорт стали сократился на 31%, а импорт нефтепродуктов — почти на 17%.
С одной стороны, росту мировой торговли в 1992 году содействовало резкое увеличение импорта Соединенных Штатов, крупнейшей торговой державы в мире, а с другой — этот рост сдерживался резким сокращением импорта в Германии, второй крупнейшей торговой державы в мире. В течение предыдущих двух лет физический объем импорта Германии возрастал двузначными темпами благодаря проводимой правительством программе поддержки в целях интеграции восточных земель в экономику Федеративной Республики. Ввиду повышения темпов инфляции в Германии под действием резко возросшего уровня спроса возникла необходимость в корректировке проводимой политики, и в результате в экономике Германии начался спад 1992-1993 гг. За ним последовало резкое сокращение роста импорта в Германию.
Ослабление импортного спроса в Германии и в других европейских странах в 1992 году имело серьезные последствия для их европейских торговых партнеров. Франция, к примеру, добилась значительных успехов в повышении конкурентоспособности экспортных цен после четырех лет относительно медленного роста ставок заработной платы, роста производительности труда, низких темпов инфляции и склонности экспортных фирм к сокращению коэффициента прибыльности ради увеличения своей доли на рынке. Таким образом, Франция вступила в 1992 год с относительно высокими темпами роста экспорта; в самом деле экспорт был наиболее динамичным сектором в целом вялой экономики, по крайней мере, в течение первых четырех месяцев года. Однако по мере ослабления экономики ее торговых партнеров рост экспорта Франции приостановился. Наибольшее сокращение произошло по таким статьям экспорта, как легковые автомобили и инвестиционные товары, в торговле которыми Франция добилась значительного расширения своей доли на рынке. Лишившись экспортного стимулирования, ослабла и сама экономика Франции и ее импорт. В 1992 году дефицит торгового баланса Франции сменился активным сальдо в размере почти 6 млрд. долл. США — всего лишь шестой случай активного торгового баланса за последние 30 лет.


Транспортный налог


Данным налогом облагаются транспортные средства, которые в установленном порядке подлежат регистрации в Госавтоинспекции, Военной автоинспекции, Госсель-хознадзоре, министерствах и ведомствах, а также других аналогичных органах с получением государственных регистрационных знаков для участия в дорожном движении.
Регистрация, перерегистрация или технический осмотр транспортных средств без предъявления квитанции или платежного поручения об уплате налога не производится.
От уплаты налога с владельцев транспортных средств освобождаются:
~ Герои Советского Союза, Герои Российской Федерации, граждане, награжденные орденом Славы трех степеней, а также их общественные объединения (организации), использующие приобретаемые транспортные средства для выполнения своей уставной деятельности;
- инвалиды всех категорий, имеющие мотоколяски и автомобили;
- общественные организации инвалидов, использующие транспортные средства для осуществления своей уставной деятельности;
- предприятия, осуществляющие содержание автомобильных дорог общего пользования, предприятия автотранспорта общего пользования по транспортным средствам, осуществляющие перевозки пассажиров (кроме такси), к которым относятся предприятия и предприниматели, осуществляющие перевозки пассажиров (кроме такси) по открытым в установленном порядке автобусным маршрутам общего пользования и имеющие лицензию на перевозки пассажиров, выданную органами Российской транспортной инспекции Министерства транспорта РФ;
- другие предприятия и граждане в соответствии с действующим законодательством.
Суммы платежей по налогу с владельцев транспортных средств включаются плательщиками в состав затрат по производству и реализации продукции, выполненным работам и предоставленным услугам.
Плательщиками налога на приобретение автотранспортных средств являются предприятия, организации и предприниматели, приобретающие автотранспортные средства путем купли-продажи, мены, лизинга и взносов в уставный фонд.
Налог на приобретение автотранспортных средств исчисляется от продажной цены (без НДС и акцизов) по следующим ставкам: грузовые автомобили, пикапы и легковые фургоны, автобусы, специальные автомобили и легковые автомобили — 20%; прицепы и полуприцепы — 10%.
К специальным автомобилям относятся автотранспортные средства, предназначенные для перевозки и использования установленного на них специального оборудования. Автотранспортные средства, приобретенные для дальнейшей перепродажи, налогом не облагаются.
В случае приобретения автотранспортных средств за валюту налог исчисляется исходя из продажной стоимости автотранспортного средства, пересчитанной по курсу рубля, устанавливаемому ЦБРФ на день приобретения автотранспортного средства.
Регистрация или перерегистрация автотранспортных средств не производится без предъявления органу, осуществляющему регистрацию или перерегистрацию, квитанции или платежного поручения об уплате налога на приобретение автотранспортных средств.
В случае, если владелец транспортного средства в соответствии с действующим законодательством освобожден от уплаты налога, в заявлении на регистрацию этого транспортного средства указывается, что он по закону не является плательщиком этого налога.
От уплаты этого налога освобождаются:
- Герои Советского Союза, Герои Российской Федерации, граждане, награжденные орденом Славы трех степеней, а также их общественные объединения (организации), использующие приобретаемые автотранспортные средства для выполнения своей уставной деятельности;
- граждане, приобретающие легковые автомобили в личное пользование;
- общественные объединения (организации) инвалидов, использующие приобретаемые автотранспортные средства для выполнения своей уставной деятельности;
- предприятия, осуществляющие содержание автомобильных дорог общего пользования, а также предприятия автотранспорта общего пользования по автотранспортным средствам, осуществляющим перевозки пассажиров (кроме такси);
- другие предприятия и граждане в соответствии с действующим законодательством.
Для юридических лиц днем приобретения считается день зачисления автотранспортного средства в состав основных средств (фондов), для предпринимателей — день приобретения автотранспортного средства.
Суммы платежей по налогу на приобретение автотранспортных средств включаются плательщиками в состав затрат по производству и реализации продукции, выполненных работ и предоставленных услуг в течение срока эксплуатации автотранспортного средства путем начисления износа по действующим нормам амортизационных отчислений.
Учет расчетов с дорожным фондом по налогу на приобретение автотранспортных средств осуществляется на счете 67 «Расчеты по внебюджетным платежам», по отдельному субсчету «Расчеты по налогу на приобретение автотранспортных средств». Начисление взносов налога на приобретение автотранспортных средств отражается по дебету счета 08 «Капитальные вложения» и кредиту счета 67. Перечисление налога в дорожный фонд отражается по дебету счета 67 и кредиту счета 51 «Расчетный счет».
Контроль за полнотой, правильностью и своевременностью внесения налогов, а также учет поступления налогов осуществляются органами Государственной налоговой службы.
Транспортный налог в ранге обязательного федерального налога введен в налоговую систему Российской Федерации начиная с 1994 г. До этого такой налог мог устанавливаться органами государственной власти субъектов РФ начиная с 1992 г.
Налог взимается с юридических лиц (кроме бюджетных организаций) в размере 1% от их фонда оплаты труда независимо от источника его формирования и в полном объеме включается в состав издержек производства и обращения.
Суммы транспортного налога направляются в бюджета субъектов РФ и предназначены для финансовой поддержки и развития городского пассажирского транспорта общего пользования, а также пригородного пассажирского железнодорожного транспорта.[
Устойчивое проявление реального экономического содержания в налогообложении особенно актуально для федерального уровня. Здесь необходимо учесть возможные критические условия реализации экономического действия. При этом должны быть предусмотрены условия сохранения содержания явления за счет целенаправленного воздействия на его экономические результаты.
С точки зрения последовательного развития условий, сохраняющих основное содержание экономических явлений, в налогообложении особую роль играет возможность модификаций. Иными словами, существует возможность различения функционирования явления в различных критических обстоятельствах. При этом в реальном экономическом пространстве и установившемся укладе ведения хозяйствования могут применяться различные процедуры налогообложения. Большое значение в этой проблеме приобретает налогообложение на федеральном уровне.


Трудовой потенциал организации: понятие и структура


Трудовой потенциал организации: понятие и структура. Движение от абстрактного, одностороннего к конкретному, развернутому, многообразному в познании человеческого фактора привело к введению в научный оборот термина «трудовой потенциал». Это понятие экономисты и социологи используют сегодня для характеристики термина «человеческий фактор» в объемном выражении как в масштабах всего общества, так и в рамках отдельных производственных коллективов. По общему мнению, «трудовой потенциал» должен представить человеческий фактор в динамике в виде непрерывного, развивающегося, многопланового процесса, характеризующего скрытые возможности. Вот результаты обследовании рабочих и служащих французских компаний: 66% опрошенных указывают на невозможность полностью реализовать свои способности на работе. Оценки американских экспертов таковы: рабочий, не боясь быть уволенным, в среднем использует 20—25% своих потенциальных возможностей. Однако, по мнению опрошенных, эта цифра может быть увеличена до 70—80% при условии стимулирования коммуникаций, расширения возможностей образовательного и профессионального роста, создания предпосылок для большего вовлечения работников в процесс принятия хозяйственных решений.
Результаты исследований, проводимых на предприятиях стран СНГ за период с 1984 по 1994 гг., стабильно указывали на то, что подавляющая часть рабочих и ИТР (85—95% опрошенных) могли трудиться более эффективно. Многие из опрошенных указывали на то, что их потенциал используется на 75—80%. Скрытые излишки трудовых ресурсов составляли 20—25% от числа занятых на предприятии. В полную силу трудилось около трети работников.
В условиях рыночных преобразований на предприятиях России наряду со значительным сокращением занятости (в среднем на 8% в год начиная с 1991 г.) продолжает увеличиваться избыток рабочей силы. Так, при падении загрузки производственных мощностей в среднем на 43% (за период с 1991 по 1995 гг.) занятость уменьшилась на 30%.
Если в 1992 г. руководители предприятий оценивали излишки рабочей силы на уровне 18% численности персонала, а в 1993 г. — 6,7 %, то в 1994 г. этот показатель возрос до 27,2%, причем каждый шестой руководитель отмечал, что производство не пострадало бы, если бы персонал сократился вдвое.
Термин «потенциал» был введен в научный оборот 10—15 лет назад. Этимологически он означает «скрытые возможности, мощность, силу». Широкая трактовка смыслового понятия «потенциал» состоит в его рассмотрении как «источника возможностей, средств, запаса, которые могут быть приведены в действие, использованы для решения какой-либо задачи или достижения определенной цели; возможности отдельного лица, общества, государства в определенной области». Таким образом, термины «потенциал», «потенциальный» означают наличие у кого-либо (будь то отдельно взятый человек, первичный трудовой коллектив предприятия, общество в целом) скрытых, не проявивших еще  себя  возможностей  или способностей в  соответствующих  сферах их жизнедеятельности.
Определяя данную категорию, не следует противопоставлять понятия «потенциал» и «ресурсы». Потенциал (экономический, производственный, трудовой) связан с обобщенной, собирательной характеристикой ресурсов, привязанной к месту и времени. В настоящее время можно выделить три направления в развитии представлений о потенциале.
Сторонники первого направления считают, что потенциал — это совокупность необходимых для функционирования или развития системы различных ресурсов, главным образом экономических, непосредственно связанных с функционированием производства и ускорением НТП.
Сторонники второго направления представляют потенциал как систему материальных и трудовых факторов (условий, составляющих), обеспечивающих достижение целей производства.
Сторонники третьего направления рассматривают потенциал как способность комплекса ресурсов решать поставленные перед ним задачи, т.е. потенциал — это целостное выражение совокупной возможности коллектива для выполнения каких-либо задач. На этой основе делается вывод о синергетическом эффекте, совокупной возможности коллектива, т.е. чем удачнее сложилась структура объекта, чем в большем соответствии находятся его структурные и функциональные элементы, тем выше его потенциал и эффективность.
Представление о сущности потенциала предопределяет подход к его оценке, измерению и управлению. Действительно, когда потенциал рассматривается как совокупность ресурсов, его оценка заключается в установлении качественных и количественных характеристик отдельных видов ресурсов, причем их взаимное влияние не учитывается и не измеряется. Когда речь идет о системе ресурсов, то характеристики ее отдельных составляющих должны дополняться показателями, описывающими систему в целом.
Рассматривая потенциал как способность ресурсов давать определенные результаты и обеспечивать функционирование системы, следует учитывать и выражать в показателях все факторы, которые определяют такую способность. Для этого необходимо иметь как характеристики ресурсов всех видов, так и их результирующие (системные) характеристики, знать способ их использования и управления ими. Другими словами, необходимо знать не только ресурсы, но и накопленные, однако еще не используемые резервы.
Потребность в резервах — идея не новая. К ней постоянно обращено внимание экономистов, правомерно считающих, что сознательно устанавливаемые обществом пропорции лишь в том случае обеспечивают действительно планомерное развитие, если общество располагает достаточными резервами.
Различие между понятиями «потенциал» и «резервы» заключается в том, что «потенциал» содержит как сущее, так и потенциальное, а «резервы» — только потенциальное, неиспользованное. Используемые резервы, таким образом, есть существенная часть потенциала. При этом уместно напомнить, что функции резервов шире, чем сглаживание стихийных бедствий или учет изменений международной обстановки. Важнейшей функцией резервов является предотвращение нарушений хода воспроизводства вследствие ускорения научно-технического прогресса, внедрения инноваций. Чтобы добиться полного и рационального использования резервов, каждый коллектив должен хорошо знать свой потенциал, иметь необходимое представление о его уровне.
В каждом определенном периоде на предприятии или в его подразделениях образуются отклонения между созданными возможностями и их действительным использованием. Принимая форму неиспользованных возможностей, они выступают в виде производственных резервов, которые в конечном счете отражают степень использования производственного и трудового потенциала.
«Резерв» — термин французского происхождения, означающий «запас». В словаре русского языка отмечается, что резерв — это запас, откуда черпают новые силы, ресурсы. Но чтобы иметь резервы, необходимо их создавать. В этом и состоит принципиальный вопрос формирования производственного и трудового потенциала.
Потенциал, выступая в единстве пространственных и Временных характеристик, концентрирует в себе одновременно три уровня связей и отношений:
во-первых, отражает прошлое, т.е. представляет собой совокупность свойств, накопленных системой в процессе ее становления и обусловливающих ее способность к функционированию и развитию. В этом плане понятие «потенциал» фактически принимает значение понятия «ресурс»;
во-вторых, характеризует настоящее с точки зрения практического применения и использования наличных способностей. Это позволяет провести различие между реализованной и нереализованной возможностями. В этой своей функции понятие «потенциал» отчасти совпадает с понятием «резерв». Рассматривая структуру потенциала с этих позиций, следует учитывать, что в первом случае оставшиеся в нереализованном виде структурные элементы потенциала ведут к снижению эффективности его функционирования (например, неиспользуемые в работе трудовые навыки утрачиваются, нереализованные личностные способности разрушаются), а во втором случае «избыточный» запас сил и способностей работника обеспечивает гибкость и маневренность развития системы по отношению к меняющимся условиям труда; в-третьих, ориентирован на развитие (будущее): в процессе трудовой деятельности работник не только реализует свои наличные способности, но и приобретает новые силы и способности. Представляя собой единство устойчивого и изменчивого состояний, потенциал содержит в себе в качестве «потенции» элементы будущего развития.
Уровень потенциала, характеризуя наличное состояние системы, обусловлен тесным взаимодействием всех трех вышеперечисленных состояний, что и отличает его от таких, на первый взгляд, близких ему понятий, как «ресурс» и «резерв».
Подход к рабочей силе как к ресурсу означает, во-первых, отказ от представлений о рабочей силе как «даровом богатстве», освоение которого не требует денежных средств и организационных усилий со стороны государства и предприятий, и во-вторых, признание проблемы нехватки отдельных категорий квалифицированных работников по сравнению с потребностями производства, что делает необходимым управление процессом использования наиболее важных и дефицитных их категорий. Таким образом, отличие концепции «трудовой потенциал» от концепции «рабочая сила» состоит в признании экономической целесообразности капиталовложений, связанных с привлечением на производство лучшей по качеству рабочей силы, ее обучением, поддержанием в трудоспособном состоянии и созданием условий для ее дальнейшего совершенствования.


Трудовой потенциал работника включает в себя:


Для рассмотрения понятия «трудовой потенциал» работника (личности) еще раз обратимся к определению «рабочей силы», данному К.Марксом: «...совокупность физических и духовных способностей, которыми обладает организм, живая личность человека и которые пускаются им в ход всякий раз, когда он производит какие-либо потребительные стоимости». Данное определение относится преимущественно к индивидуальной рабочей силе, поскольку речь идет в нем об «организме и живой личности человека».
Из этого определения следуют два важных вывода. Во-первых, до момента занятости человека трудом говорить о его рабочей силе можно лишь условно как о физической и духовной трудоспособности вообще, как о возможном потенциальном трудовом вкладе. Во-вторых, результат использования индивидуальной рабочей силы — это реальный трудовой вклад работника, он выражается в конкретном продукте, а также в определенном уровне производительности и эффективности труда, достигнутом данным работником.
Таким образом, рабочую силу индивида по своему происхождению (свойство организма и живой социальной личности) и состоянию до использования в труде можно рассматривать как трудовой потенциал (ресурс) личности — источник рабочей силы. Превратиться в рабочую силу, быть использованным как рабочая сила — это назначение, объективная цель «трудового потенциала личности». С теоретической и практической точки зрения, важность этого факта заключается в том, чтобы рассматривать рабочую силу не только как нечто заранее данное, но и как постоянный резерв повышения производительности и эффективности труда.
Трудовой потенциал работника не является величиной постоянной, он непрерывно изменяется. Трудоспособность человека и аккумулируемые (накапливаемые) в процессе трудовой деятельности созидательные способности работника повышаются по мере развития и совершенствования знаний и навыков, укрепления здоровья, улучшения условий труда и жизнедеятельности. Но они могут и снижаться, если, в частности, ухудшается . состояние здоровья работника, ужесточается режим труда и т.п. Говоря об управлении персоналом, необходимо помнить, что потенциал характеризуется не степенью подготовленности работника в настоящий момент к занятию той или иной должности, а его возможностями в долгосрочной перспективе — с учетом возраста, образования, практического опыта, деловых качеств, уровня мотивации.
В отличие от трудовых ресурсов трудовой потенциал — это конкретные работники, степень возможного использования которых в производстве известна.
Процесс превращения трудовых ресурсов организации в рабочую силу проходит ряд стадий.
На первой стадии трудовые ресурсы существуют в виде потенциальной рабочей силы (некоторого множества трудоспособных работников, обладающих совокупностью физических и духовных способностей), которая вне трудового процесса, т.е. вне предметов и орудий труда, не проявляется.
На второй стадии трудовые ресурсы занимают рабочие места. Начинается процесс расходования физических и умственных способностей, и трудовые ресурсы становятся рабочей силой.
На третьей стадии рабочая сила, расходуясь во времени и реализуясь в трудовом процессе, создает потребительные стоимости.
С момента прекращения трудовой деятельности, ввиду высвобождения, рабочая сила вновь становится трудовыми ресурсами предприятия (если остается на нем) или региона (высвобождаясь с него).
Отличие понятия «трудовой потенциал» от понятий «рабочая сила» и «трудовые ресурсы» состоит в том, что трудовой потенциал — это персонифицированная рабочая сила, рассматриваемая в совокупности своих качественных характеристик. Данное понятие позволяет, во-первых, оценить степень использования потенциальных возможностей как отдельно взятого работника, так и их совокупности, обеспечивая на практике активизацию человеческого  фактора,  и во-вторых,  обеспечить  качественную  (структурную) сбалансированность в развитии личного и вещественных факторов производства.
Исходной структуроформирующей единицей анализа трудового потенциала является трудовой потенциал работника (личный потенциал), образующий основу формирования трудовых потенциалов более высоких структурных уровней.
Трудовой потенциал работника (ТПР) представляет собой совокупную способность физических и духовных свойств отдельного работника достигать в заданных условиях определенных результатов его производственной деятельности, с одной стороны, и способность совершенствоваться в процессе труда, решать новые задачи, возникающие в результате изменений в производстве, — с другой.
Трудовой потенциал работника включает в себя:
- психофизиологический потенциал — способности и склонности человека, состояние его здоровья, работоспособность, выносливость, тип нервной системы и т.п.;
- квалификационный потенциал — объем, глубину и разносторонность общих и специальных знаний, трудовых навыков и умений, обусловливающий способность работника к труду определенного содержания и сложности;
- личностный потенциал — уровень гражданского сознания и социальной зрелости, степень усвоения работником норм отношения к труду, ценностные ориентации, интересы, потребности и запросы в сфере труда, исходя из иерархии потребностей человека.
Пирамида Маслоу ( 18.1.2) показывает, что чем организованнее, мотивированнее человек, тем выше его трудовой потенциал.

Трудовой потенциал работника является исходной точкой, определяющей его дальнейшее трудовое поведение. Разграничение потенциалов работника имеет важный практический смысл. Результативность труда рабочих зависит от степени взаимного согласования в развитии квалификационного, психофизиологического и личностного потенциалов, механизм управления каждым из которых существенно различается.
Психофизиологический потенциал. По определению Всемирной организации здравоохранения (ВОЗ), «здоровье — это состояние полного физического и социального благополучия. Благополучие — это динамическое состояние ума, характеризующееся некоторой психической гармонией между способностями, потребностями и ожиданиями работающего и теми требованиями и возможностями, которые предъявляет и предоставляет окружающая среда».
Здоровье населения России значительно хуже, чем в развитых странах, и продолжает ухудшаться. В целом по интегральному показателю здоровья мы находимся на 68 месте в мире. Детская смертность в России в 2—3 раза выше, чем в развитых странах. С 1992 г. начался процесс сокращения численности жителей (число умерших стало больше числа родившихся). Средняя продолжительность жизни в России сейчас существенно (на 10 и более лет) меньше, чем в развитых странах. Особенно высока в нашей стране смертность мужчин в возрасте 25—45 лет.
Заболевания и смертность в России значительно выше, чем в развитых странах, из-за низкого качества продуктов питания, его нерациональной структуры (мало белков, витаминов и других биологически активных веществ), распространенности вредных привычек (прием алкоголя, курение), неблагоприятных условий труда и т.д.
Квалификационная составляющая трудового потенциала, с одной стороны, характеризует подготовленность работников к выполнению постоянно усложняющихся трудовых функций, перемене труда, а с другой — является фактором, формирующим отношение к труду, трудовую дисциплину, интенсивность труда. Она может быть классифицирована по следующим признакам, отражающим индивидуальные особенности каждого работника ( 18.1.3):

Выделение социально-личностной составляющей в составе трудового потенциала призвано акцентировать внимание на потенциальных, т.е. либо перспективных, либо попросту «неиспользуемых» социальных возможностях работника. Данная составляющая характеризует способность человека к самопреобразованию и саморазвитию.
Структура личностного потенциала включает в себя следующие основные элементы:
- способность к сотрудничеству, коллективной организации и взаимодействию (коммуникативный потенциал);
- творческие способности (творческий потенциал); ценностно-мотивационные свойства (идейно-мировоззренческий и нравственный потенциал).
Оценка трудового потенциала работника должна предусматривать определение количества, качества, соответствия и меры использования этого потенциала в целях организации.1
Последовательность действий по поиску, найму, увольнению работника, смене вида или места работы представляет собой постоянный оборот трудовых ресурсов на рынке. При исследовании рынка труда его разделяют на соответствующие составляющие. Само разделение уже является анализом структуры этого рынка. Различные стороны и моменты функционирования рынка труда используются при решении самых разных вопросов как макроэкономического, так и микроэкономического характера. Изучение рынка труда позволяет говорить и о вопросе реализации трудового потенциала в систем' отношений занятости.
Отличительной чертой рынка труда от обычных рынков товаров и услуг является то, что в нем действуют особые регуляторы.
1. Рынок труда существует не только во внешней по отношению к организации среде, он распространяется и на сферу производства, так как отношения купли-продажи не прекращаются с поступлением работника в организацию. Принятый в нее работник может искать другую работу как внутри, так и вне данной организации, а предприниматель подбирает кадры как среди занятых, так и среди незанятых работников.


У децентрализованных структур сегодня много сторонников.


В 1984 г. «Дженерал Моторс» также реорганизовала часть своей прежде децентрализованной структуры, сделав ее более централизованной. Руководство фирмы посчитало, что такая реорганизация позволит выполнить график запуска в производство новых моделей, лучше контролировать издержки, ужесточить контроль качества и поможет отделениям фирмы перейти к выпуску более разнообразных моделей взамен нынешних машин, почти неотличимых друг от друга.
В прошлом «Дженерал Моторс» состояла из пяти отделений, и каждое разрабатывало и производило свои собственные модели автомобилей. Согласно новой структуре, разработка новых модулей была сосредоточена в двух отделениях (а не в пяти): большие автомобили и малолитражки. В отделение малолитражных автомобилей входят «Шевроле», «Понтиак» и «Дженерал Моторс оф Канада», а в отделение больших — «Бьюик», «Кадиллак» и «Олдсмобил». «Дженерал Моторс» будет продолжать сбывать свои автомобили через все пять отделений. Таким образом, в данном примере маркетинговые функции остались децентрализованными, а производство и техническая политика приобрели большую степень централизации.
Согласно результатам проведенного всеобъемлющего научного исследования, четыре отрасли отличаются наиболее высокой степенью децентрализации — это транспорт, химическая, электротехническая и резинотехническая промышленность. По сравнению с более централизованными отраслями (пищевой и бумажной промышленностью, металлургией и машиностроением), эти отрасли отличаются высокой степенью диверсификации продукции и активностью на международных рынках.
У децентрализованных структур сегодня много сторонников. Частично это объясняется тем, что в них заложена мысль о том, что людям изначально присуща способность успешно справляться с поставленными задачами, а частично — многочисленными подтверждениями эффективности таких структур. Одно из наиболее ярких и убедительных доказательств было представлено Питером Друкером. Он был одним из первых, кто начал изучать, быть может, самый серьезный в мировой истории опыт создания децентрализованной организации: децентрализацию «Дженерал Моторс», предпринятую Альфредом П.Слоуном в 20-х годах. Основываясь на очевидном успехе децентрализации в «Дженерал Моторс», «Сирс», «Стандарт Ойл», «Дженерал Электрик» и «Дюпон», Друкер заключил, что «основное правило для любой организации состоит в том, чтобы вовлекать наименьшее число уровней управления и создавать кратчайшую цепь команд».
Очевидно, что многие руководители согласны с этим выводом. Большинство крупных американских корпораций имеют децентрализованную организацию. Их общая структура базируется на принципе федеральной децентрализации, при которой руководители важнейших отделений могут действовать почти полностью автономно во всем, что касается производимой ими продукции. Однако даже самые ярые сторонники децентрализации признают, что она не является единственным средством для любой ситуации. И централизация, и децентрализация имеют свои недостатки и преимущества.
Преимущества централизации.
1. Централизация улучшает контроль и координацию специализированных независимых функций, уменьшает количество и масштабы ошибочных решений, принимаемых менее опытными руководителями.
2. Сильное централизованное управление позволяет избежать ситуации, при которой одни отделы организации растут и развиваются за счет других или организации в целом.
3. Централизованное управление позволяет более экономно и легко использовать опыт и знания персонала центрально-административного органа. Преимущества децентрализации.
1. Управлять особо крупными организациями централизованно невозможно из-за огромного количества требующейся для этого информации и, как следствие этого, сложности процесса принятия решений.
2. Децентрализация дает право принимать решения тому руководителю, который ближе всего стоит к возникшей проблеме и, следовательно, лучше всех ее знает.
3. Децентрализация стимулирует инициативу и позволяет личности отождествить себя с организацией. При децентрализованном подходе самое крупное подразделение организации кажется его руководителю совсем небольшим, и он может полностью понимать его функционирование, полностью контролировать его и ощущать себя частью этого подразделения. Такой руководитель может испытывать такой же энтузиазм в своем подразделении, как независимый предприниматель во всем своем бизнесе.
4. Децентрализация помогает подготовке молодого руководителя к более высоким должностям, предоставляя ему возможность принимать важные решения в самом начале его карьеры. Это обеспечивает приток в организацию талантливых руководителей. При этом предполагается, что талантливыми руководителями не рождаются, а становятся в процессе приобретения опыта. Поскольку при этом сроки продвижения от рядовых до высших должностей становятся короче, децентрализация способствует тому, что честолюбивый и напористый молодой руководитель остается в фирме и растет вместе с ней.1
Количественные показатели, используемые для установления внутреннего состояния объекта, через который исследуется экономическое явление, в менеджменте
соприкасаются с совокупностью внутренних стимулов человека или группы людей к деятельности. Состояние объекта определяет вероятность достижения целей всей организации при наличии учитываемых факторов внешней среды. В этой связи отдельно рассмотрим вопрос о мотивации деятельности в менеджменте.
При планировании и организации работы руководитель определяет, что конкретно должна выполнить данная организация, когда, как и кто, по его мнению, должен это сделать. Если выбор этих решений сделан эффективно, руководитель получает возможность координировать усилия многих людей и сообща реализовывать потенциальные возможности группы работников. К сожалению, руководители часто ошибочно полагают, что если некая организационная структура или некий род деятельности прекрасно «работают» на бумаге, то они так же хорошо будут «работать» и в жизни. Но это далеко не так. Руководитель, чтобы эффективно двигаться навстречу цели, должен координировать работу и заставлять людей выполнять ее.
Руководители воплощают свои решения в дела, применяя на практике основные принципы мотивации. В данном контексте, т.е. в отношении управления, можно дать такое определение.
Мотивация — это процесс побуждения себя и других к деятельности для достижения личных целей или целей организации.
Политика кнута и пряника. За тысячи лет до того, как слово «мотивация» вошло в лексикон руководителей, было хорошо известно, что можно намеренно воздействовать на людей для успешного выполнения задач организации. Самым первым из применяемых приемов был метод кнута и пряника. В Библии, древних преданиях и даже античных мифах можно найти множество историй, в которых короли держат награду перед глазами предполагаемого героя или заносят меч над его головой. Однако королевские дочери и сокровища предлагались лишь немногим избранным. Предлагаемые «пряники» в награду за большинство дел едва ли были съедобны. Просто принималось как само собой разумеющееся, что люди будут благодарны за все, что позволило бы им и их семьям выжить.
Попытки использовать в управлении методы психологии. Как писали еще Тейлор и Гилберт, «новости о теории подсознательного Зигмунда Фрейда распространились по Европе и наконец достигли Америки». Однако тезис о том, что люди не всегда поступают рационально, был слишком радикальным, и менеджеры не сразу «накинулись» на него. Хотя попытки применить в управлении психологические мотивы были и раньше, только с появлением работы Элтона Мэйо стало ясно, какие потенциальные выгоды это сулит, а также то, что мотивация по типу кнута и пряника является недостаточной.
Элтон Мэйо был одним из немногих академически образованных людей своего времени, который обладал как верным пониманием научного управления, так и подготовкой в области психологии. Он создал себе известность и репутацию в ходе эксперимента, проводимого на текстильной фабрике в Филадельфии в 1923-24 гг. Текучесть рабочей силы на прядильном участке этой фабрики достигла 250%, тогда как на других участках составляла лишь 5-6%. Материальные способы стимулирования производства, предложенные экспертами по эффективности, не смогли повлиять на текучесть кадров и низкую производительность участка, поэтому президент фирмы обратился с просьбой о помощи к Мэйо и его товарищам.
После внимательного изучения ситуации Мэйо определил, что условия труда прядильщика давали мало возможностей для общения друг с другом и что их труд был малоуважаем. Мэйо чувствовал, что решение проблемы снижения текучести кадров лежит в изменении условий труда, а не в увеличении вознаграждения за него. С разрешения администрации он в качестве эксперимента установил для прядильщиков два 10-минутных перерыва для отдыха. Результаты проявились немедленно и были впечатляющими. Текучесть рабочей силы резко снизилась, улучшилось моральное состояние рабочих, а выработка сильно возросла. Когда впоследствии инспектор решил отменить эти перерывы, ситуация вернулась к прежнему состоянию, доказав таким образом, что именно нововведение Мэйо улучшило состояние дел на участке.


У всех конфликтов есть несколько причин.



Часто из-за различия целей начинают конфликтовать друг с другом функциональные группы внутри организации. Например, отдел сбыта, как правило, ориентирован на покупателя, в то время как производственное подразделение больше заботится о соотношении затрат и эффективности, а также об экономии на масштабах. Держать большие товарные запасы, чтобы быстро выполнять заказы, как предпочитает отдел сбыта, значит увеличивать затраты, а это противоречит интересам производственных подразделений. Дневная смена медицинского персонала может обвинить ночную смену в том, что та плохо ухаживает за больными. В крупных организациях одно подразделение может попытаться увеличить свою прибыльность, продавая готовую продукцию внешним потребителям вместо того, чтобы удовлетворить потребности других подразделений компании в своей продукции по более низкой цене.
У всех конфликтов есть несколько причин. Основными причинами конфликта являются ограниченность ресурсов, которые нужно делить, взаимозависимость заданий, различия в целях, различия в представлениях и ценностях, различия в манере поведения, в уровне образования, а также плохие коммуникации.
Распределение ресурсов. Даже в самых крупных организациях ресурсы всегда ограничены. Руководство должно решить, как распределить материалы, людские ресурсы и финансы между различными группами, чтобы наиболее эффективным образом достигнуть целей организации. Выделить большую долю ресурсов какому-то одному руководителю, подчиненному или группе означает, что другие получат меньшую долю от общего количества. Не имеет значения, чего касается это решение: за каким из четырех секретарей закрепить компьютер с программой-редактором, какому факультету университета дать возможность увеличить количество преподавателей, какой руководитель получит дополнительные средства для расширения своего производства или какое подразделение получит приоритет в обработке данных — люди всегда хотят получать не меньше, а больше. Таким образом, необходимость делить ресурсы почти неизбежно ведет к различным видам конфликта.
Взаимозависимость задач. Возможность конфликта существует везде, где один человек или группа зависят в выполнении задачи от другого человека или группы. Например, руководитель производственного подразделения может объяснять низкую производительность своих подчиненных неспособностью ремонтной службы достаточно быстро ремонтировать оборудование. Руководитель ремонтной службы, в свою очередь, может винить кадровую службу, что не взяла на работу новых рабочих, в которых нуждались ремонтники. Аналогичным образом, если один из шести инженеров, занятых разработкой новой продукции, не будет работать как следует, другие могут почувствовать, что это отражается на их возможностях выполнять свое собственное задание. Это может привести к конфликту между группой и тем инженером, который, по их мнению, плохо работает. Поскольку все организации являются системами, состоящими из взаимозависимых элементов, при неадекватной работе одного подразделения или человека взаимозависимость задач может стать причиной конфликта.
Некоторые типы организационных структур и отношений как бы способствуют конфликту, возникающему из взаимозависимости задач. Обсуждая межгрупповой конфликт, мы привели пример конфликта между линейным и штабным персоналами. Причиной такого конфликта будет взаимозависимость производственных отношений. С одной стороны, линейный персонал зависит от штабного, потому что нуждается в помощи специалистов. С другой стороны, штабной персонал зависит от линейного, так как нуждается в его поддержке в тот момент, когда выясняет неполадки в производственном процессе или когда выступает в роли консультанта. Более того, штабной персонал при внедрении своих рекомендаций обычно зависит от линейного.
Определенные типы организационных структур также увеличивают возможность конфликта. Такая возможность возрастает при матричной структуре организации, где умышленно нарушается принцип единоначалия. Возможность конфликта также велика в функциональных структурах, поскольку каждая крупная функция уделяет внимание в основном своей собственной области специализации. В организациях, где основой организационной схемы являются отделы (по каким бы признакам они ни создавались: продуктовому, потребительскому или территориальному), руководители взаимозависимых подразделений подчиняются одному общему начальству более высокого уровня, тем самым уменьшая возможность конфликта, который возникает по чисто структурным причинам.
Различия в целях. Возможность конфликта увеличивается по мере того, как организации становятся более специализированными и разбиваются на подразделения. Это происходит потому, что специализированные подразделения сами формулируют свои цели и могут уделять большее внимание их достижению, чем целей всей организации. Например, отдел сбыта может настаивать на производстве как можно более разнообразной продукции и ее разновидностей, потому что это повышает их конкурентоспособность и увеличивает объемы сбыта. Однако цели производственного подразделения, выраженные в категориях «затраты—эффективность», выполнить легче, если номенклатура продукции менее разнообразна. Аналогичным образом отдел снабжения может захотеть закупить большие объемы сырья и материалов, чтобы снизить среднюю себестоимость единицы продукции. С другой стороны, финансовый отдел может захотеть воспользоваться деньгами, взятыми под товарно-материальные запасы, и инвестировать их, чтобы увеличить общий доход на инвестированный капитал.
Различия в представлениях и ценностях. Представление о какой-то ситуации зависит от желания достигнуть определенной цели. Вместо того, чтобы объективно оценить ситуацию, люди могут рассматривать только те взгляды, альтернативы и аспекты ситуации, которые, по их мнению, благоприятны для их группы и личных потребностей. Эта тенденция была выявлена в исследовании, где руководителей отдела сбыта, кадровой службы и службы связи с клиентами попросили решить одну проблему. И каждый считал, что с проблемой может справиться только его функциональное подразделение.
Различия в ценностях — весьма распространенная причина конфликта. Например, подчиненный может считать, что всегда имеет право на выражение своего мнения, в то время как руководитель может полагать, что подчиненный имеет право выражать свое мнение только тогда,, когда его спрашивают, и беспрекословно делать то, что ему говорят. Высокообразованный персонал отдела исследований и разработок ценит свободу и независимость. Если же их начальник считает необходимым пристально следить за работой своих подчиненных, различия в ценностях, вероятно, вызовут конфликт. Конфликты часто возникают в университетах между факультетами, ориентированными на различное образование (бизнес и техника). Конфликты также часто зарождаются в организациях здравоохранения между административным персоналом, который стремится к эффективности и рентабельности, и медицинским персоналом, для которого большей ценностью является качество оказываемой больным помощи.
Различия в манере поведения и жизненном опыте. Эти различия также могут увеличить возможность возникновения конфликта. Вам, конечно, встречались люди, которые постоянно проявляют агрессивность и враждебность и которые готовы оспаривать каждое слово. И вот такие ершистые личности создают вокруг себя атмосферу, чреватую конфликтом. Исследования показывают, что люди с чертами характера, которые делают их в высшей степени авторитарными, догматичными, безразличными к такому понятию, как самоуважение, скорее вступают в конфликт. Другие исследования показали, что различия в жизненном опыте, ценностях, образовании, стаже, возрасте и социальных характеристиках уменьшают степень взаимопонимания и сотрудничества между представителями различных подразделений.
Неудовлетворительные коммуникации. Плохая передача информации является как причиной, так и следствием конфликта. Она может действовать как катализатор конфликта, мешая отдельным работникам или группе понять ситуацию или точки зрения других. Если руководство не может довести до сведения подчиненных, что новая схема оплаты труда, увязанная с производительностью, призвана не «выжимать соки» из рабочих, а увеличить прибыль компании и ее положение среди конкурентов, подчиненные могут отреагировать таким образом, что замедлят темп работы. Другие распространенные проблемы передачи информации, вызывающие конфликт, — неоднозначные критерии качества, неспособность точно определить должностные обязанности и функции всех сотрудников и подразделений, а также предъявление взаимоисключающих требований к работе. Эти проблемы могут возникать или усугубляться из-за неспособности руководителей разработать и довести до сведения подчиненных точное описание должностных обязанностей.
Функциональные последствия конфликта.  Имеется  семь  функциональных последствий конфликта. Одно из них заключается в том, что проблема может быть решена таким путем, который приемлем для всех сторон, и в результате люди больше будут чувствовать свою причастность к решению этой проблемы. Это, в свою очередь, сводит к минимуму или совсем устраняет трудности в осуществлении решений — враждебность, несправедливость и вынужденность поступать против воли. Другое функциональное последствие состоит в том, что стороны будут больше расположены к сотрудничеству, а не к антагонизму в будущих ситуациях, возможно, чреватых конфликтом.
Конфликт может также уменьшить возможности группового мышления и синдрома покорности, когда подчиненные не высказывают идей, которые, как они считают, противоречат идеям их руководителей. Это может улучшить качество процесса принятия решений, так как дополнительные идеи и «диагноз» ситуации ведут к лучшему ее
пониманию; симптомы отделяются от причин и разрабатываются добавочные альтернативы и критерии их оценки. Через конфликт члены группы могут проработать возможные проблемы в исполнении еще до того, как решение начнет выполняться.
Дисфункционалъные последствия конфликта. Если не найти эффективного способа управления конфликтом, могут образоваться следующие дисфункциональные последствия, т.е. условия, которые мешают достижению целей.
1. Неудовлетворенность, плохое состояние духа, рост текучести кадров и снижение производительности.
2. Меньшая степень сотрудничества в будущем.
3. Сильная преданность своей группе и больше непродуктивной конкуренции с другими группами организации.
4. Представление о другой стороне, как о «враге»; представление о своих целях, как о положительных, а о целях другой стороны — как об отрицательных.
5. Сворачивание взаимодействия и общения между конфликтующими сторонами.
6. Увеличение враждебности между конфликтующими сторонами по мере уменьшения взаимодействия и общения.
7. Смещение акцента: придание большего значения «победе» в конфликте, чем решению реальной проблемы.


Учет амортизации основных средств


Учет амортизации основных средств В соответствии с Положением по учету стоимость объектов основных средств погашается посредством начисления амортизации, если иное не установлено Положением.
Амортизация объектов основных средств производится одним из следующих способов начисления амортизационных начислений:
- линейный способ;
- способ уменьшаемого остатка;
- способ списания стоимости по сумме чисел лет срока полезного использования;
- способ списания стоимости пропорционально объему продукции (работ).
Применение одного из способов по группе однородных объектов основных средств производится в течение всего его срока полезного использования.
Срок полезного использования объекта основных средств определяется организацией при принятии объекта к бухгалтерскому учету.
Определение срока полезного использования объекта основных средств при его отсутствии в технических условиях или неустановлении в централизованном порядке производится исходя из:
- ожидаемого срока использования этого объекта в соответствии с ожидаемой производительностью или мощностью применения;
- ожидаемого физического износа, зависящего от режима эксплуатации (количества смен), естественных условий и влияния агрессивной среды, системы всех планово-предупредительных видов ремонта;
- нормативно-правовых и других ограничений использования объекта (например, срок аренды).
В течение срока полезного использования объекта основных средств начисление амортизационных отчислений не приостанавливается, кроме случаев их нахождения на реконструкции и модернизации по решению руководителя организации, и основных средств, переведенных по решению руководителя организации на консервацию на срок более трех месяцев.
По объектам основных средств, полученных по договору дарения и безвозмездно в процессе приватизации, по жилищному фонду, объектам внешнего благоустройства и другим аналогичным объектам лесного хозяйства, дорожного хозяйства, специализированным сооружениям судоходной обстановки и т.п. объектам, продуктивному скоту, буйволам, волам и оленям, многолетним насаждениям, не достигшим эксплуатационного возраста, а также приобретенным изданиям (книги, брошюры и т.п.) амортизация не начисляется.
Не подлежат амортизации объекты основных средств, потребительские свойства которых с течением времени не изменяются (земельные участки и объекты природопользования).
При начислении амортизационных отчислений по объектам основных средств, приобретенных с использованием бюджетных ассигнований, в расчет берется стоимость объекта за вычетом полученных сумм.
Годовая сумма начисления амортизационных отчислений определяется:
- при линейном способе — исходя из первоначальной стоимости объекта основных средств и нормы амортизации, исчисленной исходя из срока полезного использования этого объекта;
- при способе уменьшаемого остатка — исходя из остаточной стоимости объекта основных средств на начало отчетного года и нормы амортизации, исчисленной исходя из срока полезного использования этого объекта;
- при способе списания стоимости по сумме чисел лет срока полезного использования — исходя из первоначальной стоимости объекта основных средств и годового соотношения, где в числителе указывается число лет, остающихся до конца срока службы объекта, а в знаменателе — сумма чисел лет срока службы объекта.
При способе списания стоимости пропорционально объему продукции (работ) начисление амортизационных отчислений производится исходя из натурального показателя объема продукции (работ) в отчетном периоде и соотношения первоначальной стоимости объекта основных средств и предполагаемого объема продукции (работ) за весь срок полезного использования объекта основных средств.
В течение отчетного года амортизационные отчисления по объектам основных средств начисляются ежемесячно независимо от применяемого способа начисления в размере 1/12 -от годовой суммы.
В сезонных производствах годовая сумма амортизационных отчислений по основным средствам начисляется равномерно в течение периода работы организации в отчетном году.
Амортизационные отчисления по объекту основных средств начинаются с первого числа месяца, следующего за месяцем принятия этого объекта к бухгалтерскому учету, и начисляются до полного погашения стоимости этого объекта либо списания этого объекта с бухгалтерского учета в связи с прекращением права собственности или иного вещного права.
Начисление амортизации прекращается с первого числа месяца, следующего за месяцем полного погашения стоимости объекта или его списания.1
Налог по хозяйственным операциям движения основных средств Хозяйственные операции по движению основных средств облагаются следующими основными налогами:
- на добавленную стоимость (НДС) по операциям поступления, выбытия, ремонта основных средств подрядным способом;
- на приобретение автотранспортных средств;
- таможенной пошлиной на импорт;
- на прибыль по основным средствам, полученным безвозмездно от других предприятий;
- на прибыль, полученную от реализации основных средств.
Взимание НДС при выбытии основных средств зависит от вида выбытия выбывающих объектов, даты поступления и выбытия и правил исчисления и уплаты НДС, действовавших на дату движения объектов.
Основными видами выбытия основных средств являются:
- передача в счет вклада в уставный капитал другой организации;
- реализация (продажа);
- передача на условиях обмена (бартера);
~ безвозмездная передача;
- ликвидация в связи с физическим и моральным износом;
- сдача в аренду;
- списание в результате недостачи, стихийных бедствий.
Передача основных средств в счет вклада в уставный капитал другой организации НДС не облагается.
НДС по реализованным объектам зависит от даты приобретения реализуемых основных средств.
В случае продажи приобретенных до 1992 г. основных средств по ценам, превышающим цену покупки, облагаемый оборот определяется в виде разницы между ценами продажи и приобретения, включающими в себя налог. Для определения суммы налога указанная разница умножается на 16,26%.
В случае продажи основных средств, приобретенных после 1992 г. и по которым сумма налога со счета 19 полностью отнесена в зачет сумм налога, подлежащих взносу в бюджет, по этим основным средствам сумма НДС начисляется от продажной цены.
По основным средствам, приобретенным без НДС, налог также начисляется по установленной ставке от продажной цены.
При начислении НДС по реализуемым основным средствам на сумму исчисленного налога дебетуют счет 47 «Реализация и прочее выбытие основных средств» и кредитуют счет 68 «Расчеты с бюджетом».
Порядок определения цены реализации основных средств для целей налогообложения определен Инструкцией ГНС РФ № 39. В соответствии с п. 9 Инструкции для определения облагаемого оборота принимается стоимость реализуемых товаров (работ, услуг), исчисленная исходя из свободных (рыночных) цен и тарифов без включения в них НДС.
По организациям, осуществляющим реализацию продукции (работ, услуг) по ценам не выше фактической себестоимости, для целей налогообложения принимается рыночная цена на аналогичную продукцию (работы, услуги), сложившаяся на момент реализации, но не ниже фактической себестоимости.
В случае, если организация не могла реализовать продукцию по ценам выше себестоимости из-за снижения ее качества или потребительских свойств (включая моральный износ), либо, если сложившиеся рыночные цены на эту или аналогичную продукцию оказались ниже фактической себестоимости этой продукции, для целей налогообложения применяется фактическая цена реализации продукции.
В случае реализации продукции по ценам ниже себестоимости (стоимости приобретения) возникающая отрицательная разница между суммами налога, уплаченными поставщиком и исчисленными по реализации товаров, относится на чистую прибыль и зачету в счет предстоящих платежей или возмещению из бюджета не подлежит.
Рассмотренный порядок определения цены для налогообложения относится в полной мере к основным средствам. Применительно к основным средствам под себестоимостью следует понимать их остаточную стоимость.
Выбытие основных средств на условиях бартера является частным случаем их реализации.
При безвозмездной передаче основных средств плательщиком НДС является сторона, передающая основные средства. Определяя оборот для целей налогообложения, следует принимать во внимание п. 9 Инструкции ГНС РФ, в соответствии с которым при обмене организациями продукцией либо ее передаче безвозмездно оборот определяется исходя из средней цены реализации (без учета НДС) такой или аналогичной продукции, но не ниже фактической себестоимости.
При сдаче в аренду основных средств выручка от услуг по сдаче в аренду имущества, в том числе по лизингу (п. 76 указанной Инструкции), облагается НДС.
При текущей аренде начисленную сумму НДС отражают по дебету счета 80 «Прибыли и убытки» и кредиту счета 68 «Расчеты с бюджетом», а при финансовой аренде — по дебету счета 46 «Реализация продукции (работ, услуг)» и кредиту счета 68.
Со стоимости ликвидируемых основных средств в связи с физическим или моральным износом, а также списываемых в результате недостачи и стихийных бедствий НДС не взимается.


Учет доходов и расходов от внереализационных операций


Учет доходов и расходов от внереализационных операций Помимо  реализационного  финансового  результата  организации  получают внереализационный финансовый результат, представляющий собой различные доходы, расходы и потери, непосредственно учитываемые на счете 80 «Прибыли и убытки».
В состав доходов (расходов) от внереализационных операций включают: доходы, полученные от участия в других организациях; доходы (расходы, убытки) от финансовых операций; другие доходы (расходы) от операций, непосредственно не связанных с производством продукции (работ, услуг) и ее реализацией, финансовыми операциями и участием в других организациях.
Достаточно полный перечень внереализационных доходов и расходов приведен в характеристике счета 80 в Плане счетов.
Доходы от участия в других организациях возникают при получении организацией части прибыли других организаций (от сдачи части имущества в счет вклада в уставный капитал других организаций и от дочерних организаций) и виде дивидендов по приобретенным акциям, а также арендной платы за сдачу в аренду имущества.
В настоящее время используют два варианта отражения доходов от участия в других организациях:
- по фактическому поступлению денежных средств;
- по предварительному начислению доходов и записи на счетах. I    При первом варианте по мере поступления денежных средств дебетуют счета 50, 51, 52, 55 и кредитуют счет 80.
При втором варианте начисленные доходы оформляют следующей бухгалтерской записью:
дебет счета 76 «Расчеты с разными дебиторами и кредиторами» (на сумму доходов от вкладов в уставный капитал других организаций, арендной платы и дивидендов);
дебет счета 78 «Расчеты с дочерними (зависимыми) обществами» (на сумму дохода от дочерней организации);
кредит счета 80 «Прибыли и убытки» (на всю сумму начисленных доходов).
Поступившие платежи по доходам отражают по дебету счетов учета денежных средств 50, 51, 52, 55 и кредиту счетов 76 и 78.
Доходы и расходы, убытки от финансовых операций состоят из курсовых валютных разниц, доходов от облигаций и процентов за средства, переданные в заем, расходов по приобретению облигаций.
Положительные курсовые разницы в зависимости от объекта учета оформляют следующими бухгалтерскими записями:
дебет счета 06 «Долгосрочные финансовые вложения» (на разницу по операциям с долгосрочными финансовыми вложениями);
дебет счетов 50 «Касса», 52 «Валютный счет» (на разницу по денежным средствам в валюте);
дебет счета 71 «Расчеты с подотчетными лицами» (по операциям выдачи валюты под отчет) и других счетов;
кредит счета 80 «Прибыли и убытки».
По задолженности перед поставщиками и подрядчиками положительную курсовую разницу отражают по кредиту счета 80 и дебету счета 60 «Расчеты с поставщиками и подрядчиками».
Отрицательные курсовые разницы оформляют обратными бухгалтерскими проводками по отношению к положительной курсовой разнице.
Доходы организаций по облигациям оформляют бухгалтерскими записями в том же порядке, как и доходы от участия в других организациях.
Прочие внереализационные доходы, расходы и потери списывают с дебета или кредита соответствующих счетов в момент их выявления на счет 80 «Прибыли и убытки».
Например, с кредита счета 60 «Расчеты с поставщиками и подрядчиками» в дебет счета 80 списывают сумму начисленных предприятию штрафов, пеней, неустоек.
Затраты по аннулированным производственным заказам списывают в дебет счета 80 с кредита счетов 20 «Основное производство» (на стоимость неиспользованных полуфабрикатов, деталей и узлов), 31 «Расходы будущих периодов» (на сумму затрат по подготовке производства, относящихся к аннулированным заказам) и др.
Прибыль прошлых лет, выявленную в отчетном году, отражают по дебету счета 51 «Расчетный счет» и кредиту счета 80 «Прибыли и убытки»; убытки оформляют обратной бухгалтерской проводкой.
Поступления от уплаты штрафов, пеней, различных неустоек и других видов санкций отражают по кредиту счета 80 и дебету счетов учета денежных средств и расчетов с дебиторами.
Уплаченные организацией суммы штрафов, пеней, неустоек и суммы от других санкций отражают по дебету счета 80 с кредита счетов учета денежных средств. При этом суммы, внесенные в бюджет в виде санкций, в состав расходов от внереализационных операций не включают, а относят на уменьшение прибыли, остающейся в распоряжении предприятия (т.е. на счет 81 «Использование прибыли»).1
Учет использования прибыли В соответствии с законами о налоге на прибыль и Положением о составе затрат организации производят из валовой прибыли уплаты в бюджет налога на прибыль и отдельные виды доходов. Оставшаяся часть прибыли (чистая прибыль) используется организацией самостоятельно.
Из чистой прибыли создается резервный капитал, погашаются расходы, осуществляемые за счет чистой прибыли, производятся отчисления в фонды накопления и потребления. Состав расходов, осуществляемых за счет чистой прибыли, определен Положением о составе затрат.
Распределение налогооблагаемой прибыли отражают на счете 81 «Использование прибыли». Этот счет имеет два субсчета:
81-1 «Платежи в бюджет из прибыли»;
81-2 «Использование прибыли на другие цели».
На первом субсчете отражают начисленные в течение года авансовые платежи в бюджет из прибыли и платежи по перерасчетам по этим налогам из фактической прибыли.
Начисление сумм платежей в бюджет отражается по дебету субсчета 81-1 и кредиту счета 68 «Расчеты с бюджетом». Перечисление средств в бюджет отражается по дебету счета 68 и кредиту счета 51.
На субсчете 81-2 «Использование прибыли на другие цели» отражают отчисления в резервный капитал организации, другие фонды, необходимые для осуществления деятельности организации и социального развития коллектива, а также другие направления использования прибыли.
Суммы указанных отчислений отражают по дебету субсчета 81-2 с кредита счетов:
86 «Резервный капитал» (на сумму отчислений в резервный капитал организации);
88 «Нераспределенная прибыль (непокрытый убыток)» (на суммы отчислений в фонды накопления и потребления);
96 «Целевые финансирование и поступления» (при возмещении расходов по содержанию культурно-просветительных учреждений и детских лагерей труда и отдыха) и других счетов, на которых учитываются расходы, осуществляемые за счет чистой прибыли.
Числящиеся на субсчетах 81-1 и 81-2 суммы использованной прибыли списываются на уменьшение прибыли после утверждения годового отчета в порядке реформации баланса в дебет счета 80 «Прибыли и убытки» с кредита счета 81 «Использование прибыли». Вследствие этой бухгалтерской записи счет 81 «Использование прибыли» закрывается.
Сумма нераспределенной прибыли отчетного года списывается в дебет счета 80 «Прибыли и убытки» и в кредит счета 88 «Нераспределенная прибыль (непокрытый убыток)». Непокрытый убыток списывается в кредит счета 80 и дебет счета 88.
Счет 88 «Нераспределенная прибыль (непокрытый убыток)» предназначен для учета наличия и движения нераспределенной прибыли или непокрытого убытка предприятия и фондов специального назначения. Этот счет активно-пассивный. К нему могут быть открыты следующие субсчета:
88-1 «Нераспределенная прибыль (непокрытый убыток) отчетного года»;
88-2 «Нераспределенная прибыль (непокрытый убыток) прошлых лет»;
88-3 «Фонды накопления»;
88-4 «Фонд социальной сферы»;
88-5 «Фонды потребления» и др.
Нераспределенная прибыль отчетного года может быть направлена на выплату доходов учредителям. На суммы начисленных выплат дебетуют субсчет 88-1 «Нераспределенная прибыль (убыток) отчетного года» и кредитуют счета 70 «Расчеты с персоналом по оплате труда» (работникам организации) и 75 «Расчеты с учредителями» (сторонним участникам).
Сумма нераспределенной прибыли отчетного года, оставшаяся после выплаты доходов учредителям, списывается с дебета субсчета 88-1 «Нераспределенная прибыль (непокрытый убыток) отчетного года» в кредит субсчета 88-2 «Нераспределенная прибыль (непокрытый убыток) прошлых лет».
Убытки отчетного года списывают с кредита счета 88-1 «Нераспределенная прибыль (убыток) отчетного года» в дебет счетов:
86 «Резервный капитал» — при списании за счет средств резервного капитала;
88 «Нераспределенная прибыль (непокрытый убыток)» — при списании за счет специальных фондов;
75 «Расчеты с учредителями» — при погашении убытка за счет целевых взносов учредителей организаций и др.
Если принимается решение об оставлении на бухгалтерском балансе непокрытого убытка для его списания в будущие периоды, то сумма убытка переносится с кредита субсчета 88-1 «Нераспределенная прибыль (непокрытый убыток) отчетного года» в дебет субсчета 88-2 «Нераспределенная прибыль (непокрытый убыток) прошлых лет».
Использование нераспределенной прибыли прошлых лет отражается по дебету субсчета 88-2 «Нераспределенная прибыль (непокрытый убыток) прошлых лет» и кредиту счетов:
86 «Резервный капитал» — при направлении прибыли на пополнение резервного капитала;
85 «Уставный капитал» — при направлении прибыли на увеличение уставного капитала;
88 «Нераспределенная прибыль (непокрытый убыток)» — при направлении прибыли на увеличение фондов специального назначения;
75 «Расчеты с учредителями» — при направлении прибыли на выплату доходов учредителям и др.
Списание непокрытого убытка прошлых лет отражают по кредиту субсчета 88-2 «Нераспределенная прибыль (непокрытый убыток) прошлых лет» и дебету счетов:
86 «Резервный капитал» — при погашении непокрытого убытка за счет резервного капитала;
75 «Расчеты с учредителями» — при погашении убытка за счет целевых взносов учредителей организации и др.
Изложенный выше порядок учета использования прибыли определен Инструкцией к плану счетов.
Следует отметить, что в связи с изменением редакции п. 2.28 Инструкции о порядке заполнения форм годовой бухгалтерской отчетности за 1997 г. по статье «Нераспределенная прибыль отчетного года» (строка 480 баланса) показывается разница между валовой прибылью и суммой прибыли, направленной на уплату налогов и других платежей в бюджет по соответствующим расчетам.
Изменение в порядке составления отчетности многие трактуют как необходимость использования счета 81 «Использование прибыли» только в части первого субсчета, т.е. на счете 81 могут отражаться только платежи в бюджет. Однако в этом случае Минфином РФ должны быть даны четкие указания о порядке учета использования прибыли на другие цели. До тех пор, пока такие указания отсутствуют, считается возможным сохранить
изложенный: в Инструкции к плану счетов порядок учета использования прибыли. Важно только не допускать превышения сумм использованной прибыли над суммой прибыли.1


Учет фондов специального назначения


Учет фондов специального назначения В соответствии с учредительными документами организации могут создавать фонды накопления и потребления. Под фондами накопления понимают средства, направляемые на производственное развитие и другие аналогичные цели. Конечным результатом использования этих средств является приобретение или создание нового имущества организацией.
Под фондами потребления понимают средства, направляемые на материальное поощрение работников предприятия, фирмы, осуществление мероприятий по социальному развитию и других аналогичных мероприятий и работ, не приводящих к приобретению и созданию нового имущества.
Перечень и порядок образования фондов специального назначения регулируются учредительными документами. Эти фонды могут создаваться за счет отчислений от прибыли, за счет целевых взносов учредителей и других источников.
Учет операций по образованию и использованию фондов специального назначения осуществляют на пассивном счете 88 «Нераспределенная прибыль (непокрытый убыток)», на следующих субсчетах:
3 «Фонды накопления»;
4 «Фонд социальной сферы»;
5 «Фонды потребления».
Операции по образованию фондов специального назначения отражают по кредиту счета 88 «Нераспределенная прибыль (непокрытый убыток)» и дебету счетов:
81 «Использование прибыли» — при образовании фондов за счет прибыли;
75 «Расчеты с учредителями» — при образовании фондов за счет целевых взносов учредителей; других счетов в зависимости от источников образования фондов специального назначения.
Оприходование имущества социального назначения, полученного от других организаций или лиц безвозмездно, отражают по дебету соответствующих материальных, денежных и других счетов (01 «Основные средства», 04 «Нематериальные активы», 10 «Материалы» и др.) с кредита счета 88 «Нераспределенная прибыль (непокрытый убыток)», субсчет 4 «Фонд социальной сферы».
Планом счетов установлен различный порядок учета расходов, осуществляемых за счет фондов накопления и потребления. В части фондов накопления фактически произведенные затраты не списывают на уменьшение этих фондов. Например, затраты на приобретение новых основных фондов, увеличивающие стоимость имущества предприятия, отражают по дебету счета 08 «Капитальные вложения» и кредиту счета 60 «Расчеты с поставщиками и подрядчиками», дебету счета 01 «Основные средства» и кредиту счета 08 «Капитальные вложения» без списания этих расходов на счет 88.
В части фондов накопления счет 88 выполняет аккумулирующую роль средств, предназначенных на создание нового имущества предприятия.
Дебетовые записи по счету 88 в части фондов накопления могут осуществляться лишь в следующих случаях:
а) при направлении средств фондов накопления на погашение убытка, выявленного по результатам работы за отчетный год (кредитуется счет 87 «Нераспределенная прибыль (непокрытый убыток)», субсчет 1);
б) при распределении сумм прибыли, числящихся в фондах накопления, между учредителями (кредитуется счет 75 «Расчеты с учредителями»);
в) при списании за счет средств накоплений затрат, связанных с созданием нового имущества, но по установленному порядку не включаемых в первоначальную стоимость имущества (кредитуются счета 08 «Капитальные вложения», счета денежных средств, расчетов и др.).
В части фондов потребления фактические произведенные затраты за счет средств этих фондов списывают в дебет счета 88, субсчет 3 «Фонды накопления», с кредита соответствующих денежных и расчетных счетов (счета 70 «Расчеты с персоналом по оплате труда» — на сумму причитающихся премий и вознаграждений, выплачиваемых из чистой прибыли организации; счета 50 «Касса» — на суммы, выданные в порядке оказания единовременной помощи работникам, и др.).1
Учет кредитов банка и заемных средств Банковский кредит (ссуда) является важным источником заемных средств предприятия.
В настоящее время под влиянием законов, регулирующих рыночные отношения, формируется разветвленная сеть как государственных, так и коммерческих банков, осуществляющих комплексное кредитно-расчетное и кассовое обслуживание предприятий независимо от их организационно-правовой формы.
Кредитно-расчетные отношения предприятия с банками строятся на добровольной основе и обоюдной заинтересованности партнеров.
Кредиты предоставляются предприятиям, состоящим на хозяйственном расчете, имеющим самостоятельный баланс и собственные оборотные средства, как правило, под укрупненные объекты кредитования (по совокупности материальных запасов и производственных затрат и др.).
С учетом принципов и требований расчетных отношений осуществляется переход от пообъектного кредитования к кредитованию субъекта, конкретного юридического (физического) лица или комплексных целевых экономических и социальных программ.
Учреждения банков выдают кредиты на условиях строгого соблюдения принципов возвратности, срочности, платности и под обеспечение, предусмотренных действующим законодательством и согласованных сторонами.
Все вопросы, связанные с выдачей и погашением кредитов, регулируются правилами банков и кредитными договорами между предприятием-заемщиком и банком на договорной основе посредством заключения кредитного договора. В нем предусматриваются (фиксируются): объекты кредитования и срок кредита, условия и порядок его выдачи и погашения, формы обеспечения обязательств, процентные ставки, порядок их уплаты, обязательства, права и ответственность сторон по выдаче и погашению кредита, перечень документов и периодичность их представления банку и другие условия.
Для получения кредита предприятие направляет банку обоснованное ходатайство (заявление) с приложением копий учредительных и других документов (устав, удостоверение, патент, бухгалтерские и статистические отчеты и др.), подтверждающих обеспеченность возврата кредита.
До заключения договора банк тщательно анализирует платежеспособность предприятия, т.е. его способность своевременно возвратить кредит и уплатить проценты. Для этого он использует полученные от предприятия документы и отчеты, а при
необходимости осуществляет и предварительные проверки на месте. В дальнейшем предприятие в порядке и в сроки, установленные кредитным договором, представляет банку, до полного погашения кредита, бухгалтерский отчет (баланс) и другие документы, необходимые для текущего (оперативного) контроля за хозяйственно-финансовой деятельностью предприятия.
В зависимости от срока, на который выдаются кредиты, они делятся на краткосрочные и долгосрочные. Срочность кредита определяется сроками (датами) его возврата, погашения. Так, краткосрочные кредиты выдаются на срок не более одного года, например, под товары отгруженные он равен времени фактического документооборота, но не более 30 дней.
Долгосрочные кредиты (на срок свыше 1 года) выдаются, как правило, на затраты по внедрению новой техники, расширению производства, его реконструкцию, приобретение дорогостоящего оборудования и другие целевые программы.
Расчетно-кредитные операции, связанные с получением и погашением банковских кредитов, учитываются на счетах 90 «Краткосрочные кредиты банков» и 92 «Долгосрочные кредиты банков». Эти счета — пассивные, сальдо их показывает сумму непогашенной задолженности на начало отчетного периода, оборот по дебету — суммы, перечисленные в погашение кредита, оборот по кредиту — суммы, полученные в кредит.
Счета 90 и 92 кредитуются при получении кредита предприятием в корреспонденции с дебетом счетов по учету денежных средств и расчетов (50 «Касса», 51 «Расчетный счет», 52 «Валютный счет», 55 «Специальные счета в банках», 60 «Расчеты с поставщиками и подрядчиками»).
По дебету счетов 90 и 92 отражается частичное или полное погашение долга по кредитам в корреспонденции с кредитом счетов 51 и 52. Аналитический учет банковских кредитов ведется по видам кредитов, банкам, предоставившим их, и отдельно по кредитам, не погашенным в срок.1



Учет износа (амортизации) основных средств


Учет износа (амортизации) основных средств Основные средства предприятия в процессе производства постепенно изнашиваются. Износ — стоимостной показатель потери объектами основных средств физических качеств или утраты технико-экономических свойств, а вследствие этого стоимости. Поэтому каждому предприятию следует обеспечить накапливание средств (источников), необходимых для приобретения и восстановления окончательно износившихся основных средств. Такое накапливание достигается за счет включения в издержки производства сумм отчислений, которые называются амортизационными. Размеры амортизационных накоплений устанавливаются в процентах к балансовой стоимости основных средств и называются нормами амортизационных отчислений.
Нормы амортизационных отчислений выражены в процентах к балансовой стоимости классификационных групп основных средств. При этом широко дифференцированы нормы на машины и оборудование не только по их видам, но и по видам работ, для которых они используются, и по отраслям промышленности. Особенности отдельных видов производств, режима эксплуатации машин и оборудования, естественных условий и влияния окружающей среды, которые вызывают повышенный или пониженный износ средств, эксплуатируемых на предприятии, учитываются посредством применения соответствующих поправочных коэффициентов, установленных к нормам амортизационных отчислений.
Нормы амортизационных отчислений по жилым зданиям установлены только для определения износа, так как амортизация по ним не начисляется.
Суммы амортизации исчисляются в рублях (без копеек). Амортизационные отчисления рассчитывают ежемесячно по основным средствам, числящимся на 1-е число отчетного месяца.
Амортизация по вновь поступившим основным средствам начисляется с 1-го числа месяца, следующего за месяцем поступления в эксплуатацию, а по выбывшим основным средствам — заканчивается 1-го числа месяца, следующего за месяцем выбытия. Таким образом, обороты по счету 01 «Основные средства» за текущий месяц при исчислении сумм амортизации в расчет не принимают.
Амортизационные отчисления не производятся по объектам, числящимся в составе основных средств:
- по продуктивному скоту, буйволам, волам, оленям;
- библиотечному фонду;
- средствам (фондам) бюджетных организаций, включая научно-исследовательские и конструкторские и технологические организации;
- фондам, переведенным в установленном порядке на консервацию.
Для составления расчета амортизационных отчислений за январь необходимо все находящиеся на предприятии основные средства на 1 января сгруппировать по местам нахождения и видам (кодам) в соответствии с установленными едиными нормами амортизационных отчислений. Это делают по инвентарным карточкам, которые рассортировывают по местам нахождения основных средств, а внутри — по их видам (кодам).
В дальнейшем для расчетов отчислений за февраль по инвентарным карточкам с записями поступления и выбытия в январе, хранящимся в картотеке в отдельной группе, стоимость поступивших и выбывших основных средств вносят в раздел А расчета амортизации разработочной таблицы ф. № 6. После этого исчисляют сумму амортизации по поступившим и выбывшим в январе основным средствам за месяц, т. е. 1/12 годовой нормы. Исчисленные суммы амортизации переносят в строки 24 или 27 раздела Б в зависимости от вида основных средств, исчислена ли амортизация по оборудованию или по прочим видам. Затем из расчета за январь записывают в строках 25 и 28 суммы амортизации. В строке 31 подсчитывают общие итоги. Если в предыдущем месяце не было поступления и выбытия основных средств, то суммы амортизации за текущий месяц будут такими же, как и в прошлом месяце.
Таким образом, амортизация, подлежащая начислению за отчетный месяц, равна сумме амортизации, начисленной за прошлый месяц, плюс амортизация по поступившим основным средствам в прошлом месяце минус амортизация по выбывшим основным средствам в прошлом месяце. Расчет амортизации основных средств служит основанием для записи сумм амортизационных отчислений, т.е. износа основных средств по соответствующим счетам, а именно: д-т сч. 20, 25, 26 и др., к-т сч. 02.
Итак, счет 02 пассивный. Сальдо кредитовое отражает не только сумму износа всех объектов основных средств предприятия, но и сумму возмещенной их стоимости через амортизационные отчисления; оборот по дебету — сумма износа по выбывшим объектам независимо от причины выбытия; оборот по кредиту — суммы начисленной амортизации (износа) за отчетный период. Он может иметь два субсчета: 02-1 «Износ собственных основных средств»; 02-2 «Износ долгосрочно арендуемых основных средств».1
Последовательность  включения  в  деятельность  предприятия  элемента, интегрирующего его деятельность, определяется таким показателем рыночной деятельности предприятия, как совокупность ценностей патента или хорошей репутации фирмы, т.е. показателем нематериальных активов. Нематериальные активы образуют оптимальное сочетание различных взаимосвязей данного предприятия с другими участниками рынка. Именно поэтому следует остановиться на учете нематериальных активов более подробно.
Учет нематериальных активов, финансовых инвестиций и ценных бумаг Неотъемлемой составной частью хозяйственных средств предприятия становятся нематериальные активы. К нематериальным активам относятся объекты, которые не имеют материальной формы, не обладают физическими свойствами, но обеспечивают предприятию возможность получения дохода в течение длительного времени или постоянно. В эту группу хозяйственных средств входят: права пользования природными ресурсами, землей, изобретения, патенты, лицензии, права на ноу-хау, торговые марки, товарные знаки, стоимость приобретенных программных продуктов, брокерских мест или прав пользования брокерским местом, организационные расходы на подготовку документов и рекламу, имеющие место до регистрации фирмы, и др.
Синтетический учет нематериальных активов осуществляют на счетах 04 «Нематериальные активы», 05 «Амортизация нематериальных активов», 19 «Налог на добавленную стоимость по приобретенным ценностям», субсчет 2 «НДС по приобретенным нематериальным активам» и счете 48 «Реализация прочих активов».
Счет 04 активный, предназначен для получения информации о наличии и движении нематериальных активов, принадлежащих организации на правах собственности. Учет нематериальных активов на счете 04 осуществляют в первоначальной оценке. По некоторым видам нематериальных активов со счета 04 списывают на счета затрат начисленную амортизацию по этим активам.
При наличии в организации нескольких видов нематериальных активов значительной стоимости целесообразно для каждого вида активов открывать субсчета в соответствии с классификацией нематериальных активов, принятой в организации, например:
04-1 «Объекты интеллектуальной собственности»;
04-2 «Права пользования природными ресурсами»;
04-3 «Отложенные затраты»;
04-4 «Деловая репутация»;
04-5 «Прочие объекты».
Аналитический учет по счету 04 ведется по видам и отдельным объектам нематериальных активов в карточке учета нематериальных активов (форма НМА-1).
На счете 05 «Амортизация нематериальных активов» отражаются начисление и списание (при выбытии) амортизации по тем видам нематериальных активов, по которым погашение их стоимости производится с использованием счета 05.
Основными видами поступления нематериальных активов являются:
- их приобретение;
- создание своими силами и с привлечением сторонних исполнителей на договорной основе;
- приобретение на условиях обмена;
- поступление в счет вклада в уставный капитал организации;
- безвозмездное поступление;
- поступление   нематериальных   активов   для   осуществления   совместной деятельности.
Расходы по приобретению и созданию нематериальных активов относятся к долгосрочным инвестициям и отражаются по дебету счета 08 «Капитальные вложения» с кредита расчетных, материальных и других счетов. После принятия на учет приобретенных или созданных нематериальных активов они отражаются по дебету счета 04 «Нематериальные активы» с кредита счета 08.
Поступление нематериальных активов в порядке бартера (обмена) также первоначально отражают на счете 08 с кредита счета 60 «Расчеты с поставщиками и подрядчиками» или 76 «Расчеты с разными дебиторами и кредиторами» с последующим оприходованием по дебету счета 04 с кредита счета 08. Переданные в порядке бартера объекты имущества списывают с кредита соответствующих счетов (01, 10, 12, 40 и др.) в дебет счетов реализации (46, 47,48).
Нематериальные активы, внесенные учредителями или участниками в счет их вкладов в уставный капитал организации (по согласованной стоимости), оприходуются по дебету счета 04 «Нематериальные активы» с кредита счета 75 «Расчеты с учредителями».
Оприходование нематериальных активов, полученных от других организаций или физических лиц безвозмездно, а также в качестве субсидии правительственного органа, отражают по дебету счета 04 и кредиту счета 87 «Добавочный капитал».
Порядок учета нематериальных активов, поступивших для осуществления совместной деятельности, будет рассмотрен в разделе, посвященном учету совместной деятельности.
По приобретенным нематериальным активам организации уплачивают НДС по условленным ставкам. Порядок дальнейшего отражения операций по НДС зависит от назначения нематериальных активов (для производственных нужд, непроизводственных нужд и др.), вида организации (сельскохозяйственные и малые организации, фермерские хозяйства) и осуществляется таким же образом, как и по основным средствам.
Вместе с тем следует иметь в виду, что в соответствии с Инструкцией ГНС о НДС налог на добавленную стоимость по приобретенным нематериальным активам учитывается в общеустановленном порядке по дебету счета 19, субсчет «НДС по приобретенным нематериальным активам» в корреспонденции с кредитом счетов 60 и 76. Ежемесячно после принятия на учет сумма НДС списывается с кредита счета 19 в дебет счета 68 «Расчеты по налогу на добавленную стоимость».
По безвозмездно поступившим нематериальным активам налогооблагаемая прибыль увеличивается на стоимость поступивших активов, но не ниже их остаточной стоимости, числящейся у передающей организации.1


Учет кассовых операций


Учет кассовых операций Для приема, хранения и расходования наличных денег предприятие имеет кассу. Порядок ведения кассовых операций регламентируется инструкцией банка России от 04.10.93 г. № 18 «О порядке ведения кассовых операций в РФ».
' Документация кассовых операций. Касса принимает наличные деньги по приходным кассовым ордерам, подписанным главным бухгалтером или уполномоченными на это лицами. При этом выдается квитанция, подписанная главным бухгалтером и кассиром. Выдача наличных денег производится по расходным кассовым ордерам или другим надлежащим образом оформленным документам (платежным ведомостям, заявлениям на выдачу денег, счетам и др.), на которые ставится специальный штамп, заменяющий реквизиты расходного кассового ордера.
Документы на выдачу денег подписывают руководитель и главный бухгалтер или лица, ими уполномоченные. Если на прилагаемых к расходным кассовым ордерам документах имеется разрешающая подпись руководителя предприятия, подпись его на расходных кассовых ордерах не обязательна. Выписываются приходные и расходные кассовые ордера бухгалтером общего или финансового отдела или главным бухгалтером.
Деньги отдельному лицу, не работающему на данном предприятии, выдаются при предъявлении им паспорта или иного документа, удостоверяющего личность, по расходному кассовому ордеру, где проставляются подпись в получении и данные предъявленного документа.
Заработная плата, пособия, премии выплачиваются кассиром по платежным ведомостям без составления расходного кассового ордера на каждого получателя. По истечении трех рабочих дней, установленных для выплаты заработной платы, бухгалтер выписывает расходный кассовый ордер на общую выплаченную по платежной ведомости сумму. Никаких подчисток, помарок или исправлений в кассовых документах не допускается.
При завершении операций кассир обязан подписать расходные и приходные кассовые ордера, а приложенные к ним документы погасить штампом или надписью: приходные документы — «Получено», расходные — «Оплачено», с указанием числа, месяца, года. Таким же образом гасятся и кассовые ордера. Все приходные и расходные кассовые ордера, а также заменяющие их документы до передачи в кассу регистрируются бухгалтерией в журнале регистрации приходных и расходных кассовых ордеров и документу присваивается порядковый номер.
Записи в кассовой книге ведутся в двух экземплярах через копировальную бумагу. Вторые экземпляры должны быть отрывными, они служат отчетом кассира. Подчистки и неоговоренные исправления в кассовой книге запрещаются, исправления, сделанные корректурным способом, заверяются подписями кассира и главного бухгалтера.
Для учета наличия и движения денежных средств в кассе предприятия используется активный счет 50 «Касса». Сальдо счета указывает на наличие суммы свободных денег в кассе предприятия на начало месяца; оборот по дебету — суммы, поступившие наличными в кассу, а по кредиту — суммы, выданные наличными. Кассовые операции записываются по кредиту счета 50 и отражаются в журнале-ордере № 1. Обороты по дебету этого счета записываются в разных журналах-ордерах и, кроме того, контролируются ведомостью № 1.
Основанием для заполнения журнала-ордера № 1 и ведомости № 1 служат отчеты кассира. Каждому отчету в регистре отводится одна строка независимо от периода, за который составлен кассовый отчет. Количество занятых строк в журнале-ордере и ведомости должно соответствовать количеству сданных кассиром отчетов.1
Таким образом, как и любой объект, который может быть формализован в конечных выражениях, денежные средства подвергаются учету, который является способом оперативного контроля за качественным состоянием данной экономической системы в перспективном отношении и возникающими проблемами текущего периода. Иными словами, учет денежных средств — основа для соотнесения потребностей предприятия с проблемами настоящего периода.
21.4. Налоговая система понятие налога и налоговой системы; исходные принципы построения налоговой системы; функции и классификация налогов; организация налоговой службы
Налоги представляют собой обязательные сборы, взимаемые государством с хозяйствующих субъектов и с граждан по ставке, установленной в законном порядке. Налоги являются необходимым звеном экономических отношений в обществе с момента возникновения государства. Развитие и изменение форм государственного устройства всегда сопровождается преобразованием налоговой системы. В современном цивилизованном обществе налоги — основная форма доходов государства. Помимо этой сугубо финансовой функции, налоговый механизм используется для экономического воздействия государства на общественное производство, его динамику и структуру, на состояние научно-технического прогресса. Первичным элементом налоговой системы является налог, который в любом своем виде представляет собой платеж одного экономического субъекта другому на основании существующих принципов и правил, если эти субъекты не имеют непосредственного экономического взаимодействия. Вопросы налогообложения рассматриваются на материале учебного пособия «Налоги» (под ред. Черника Д.Г. — 3-е изд. — М.: Финансы и статистика, 1997).
Сущность налогов и принципы налогообложения Государство, выражая интересы общества в различных сферах жизнедеятельности, вырабатывает и осуществляет соответствующую политику — экономическую, социальную, экологическую, демографическую и др. Регулирующая функция государства в сфере экономики проявляется в форме бюджетно-финансового, денежно-кредитного, ценового механизмов, которые выступают в качестве средства взаимодействия объекта и субъекта системы государственного регулирования экономики.
Бюджетно-финансовая система включает отношения по поводу формирования и использования финансовых ресурсов государства — бюджета и внебюджетных фондов. Она призвана обеспечивать эффективное развитие экономики, реализацию социальной и других функций государства. Важной «кровеносной артерией» бюджетно-финансовой системы являются налоги.
Налоги возникли вместе с товарным производством, разделением общества на классы и появлением государства, которому требовались средства на содержание армии, судов, чиновников и другие нужды. «В налогах воплощено экономически выраженное существование государства», — справедливо подчеркивал К.Маркс.
Налоги, таким образом, — это порождение государства, и в этом своем качестве они существовали и могут в принципе существовать вне товарно-денежных отношений. К примеру, в некоторых докапиталистических общественных формах главными доходами государства были различного рода натуральные поборы. Кроме того, основная масса населения вынуждена была выполнять натуральные повинности.
Государство устанавливало налоги в натуральном выражении с учетом специализации того или иного хозяйства, местности. С расширением функций феодального государства, образованием централизованных государств (абсолютных монархий) возрастала роль налогов в формировании государственной казны, в проведении протекционистской политики. В эпоху становления и развития капиталистических отношений значение налогов стало усиливаться: для содержания армии и флота, обеспечивающих завоевание новых территорий — рынков сырья и сбыта готовой продукции — казне нужны были дополнительные средства.
Изъятие государством в свою пользу определенной части валового внутреннего продукта в виде обязательного взноса и составляет сущность налога. Взносы осуществляют основные участники производства валового внутреннего продукта:
-- работники, своим трудом создающие материальные и нематериальные блага и получающие определенный доход;
- хозяйствующие субъекты, владельцы капитала, действующие в сфере предпринимательства.
За счет налоговых взносов формируются финансовые ресурсы государства, аккумулируемые в его бюджете и внебюджетных фондах.
Экономическое содержание налогов выражается, таким образом, взаимоотношениями хозяйствующих субъектов и граждан, с одной стороны, и государства — с другой, по поводу формирования государственных финансов.1
Налог выполняет две функции: экономического рычага, регулирующего соотношение потенциалов экономических субъектов; формирования доходной части бюджета, без которой теряется смысл всей экономической системы из-за нарушения цикличности действия элементов структуры экономики.


Учет поступлений налогов


Учет поступлений налогов Бесперебойное финансирование предусмотренных бюджетами мероприятий требует систематического пополнения финансовых ресурсов на федеральном и местных уровнях. Это достигается в основном за счет уплаты юридическими и физическими лицами налогов и других обязательных платежей. В соответствии с действующим налоговым законодательством и другими нормативными актами плательщики обязаны уплачивать указанные платежи в установленных размерах и в определенные сроки.
В повседневной практике работы юридические и физические лица зачастую допускают несвоевременную уплату налогов и других обязательных платежей в связи с рядом объективных и субъективных причин, в частности, из-за отсутствия необходимых денежных средств на своих счетах в банках и иных финансово-кредитных учреждениях, несвоевременной сдачи в банки документов на перечисление платежей в бюджет, уклонения от уплаты налогов и т.п.
На налоговые органы возложен контроль за обеспечением полноты и своевременности уплаты юридическими и физическими лицами причитающихся налогов и других обязательных платежей. Налоговым органам предоставлено право взыскивать с плательщиков не уплаченные в срок платежи в бесспорном порядке с одновременным предъявлением им финансовых санкций.
Контроль за полнотой и своевременностью уплаты исчисленных налогов и других обязательных платежей осуществляется как в ходе проверок непосредственно на предприятиях, так и на основе поступающих в налоговые органы банковских документов (копий платежных поручений, подтверждающих уплату налогов, выписок банков и т.п.).
Проверки непосредственно на предприятиях, как правило, высокоэффективны, способствуют повышению уровня организации бухгалтерского учета и платежной дисциплины плательщиков. Вместе с тем, такой контроль не может быть всеобъемлющим, поскольку сравнительно небольшой аппарат работников налоговых органов не в состоянии одновременно проверить значительное число предприятий, состоящих на учете в качестве налогоплательщиков.}
Установленный законодательством порядок взимания налогов в отдельной стране является отражением внешних изменяющихся условий экономических действий хозяйствующих субъектов в целях согласования экономического содержания объекта производства, который облагается налогом со способом налогообложения. Очевидно, что наличие в разных странах различных экономических особенностей обуславливает необходимость изучения принципов налогообложения в зарубежных странах.

Налоги зарубежных стран. Роль налоговой системы и финансов государства в регулировании экономики Для современных государств характерно расширяющееся и усиливающееся вмешательство государства в различные сферы экономической жизни. Разница заключается лишь в степени этого вмешательства. В США оно меньше, в Швеции больше, Германия и Япония в этом отношении где-то посередине. В США государственное регулирование уже давно стало неотъемлемой составной частью американского хозяйственного механизма.
В регулирование экономики активно вовлекаются местные органы управления. Во второй половине 80-х годов в США был проведен опрос мэров 326 крупнейших городов. Среди наиважнейших проблем около 90% из них выделили экономическое развитие и обеспечение безопасности граждан. При этом каждый четвертый мэр поставил проблему увеличения занятости на первое место по значению и важности, а 70% назвали ее в качестве одной из трех первоочередных задач.
Исходя из этого опроса, приоритеты примерно таковы:
-         рост доходной базы городов (под этим подразумевается укрепление налоговой базы);
-         сохранение существующих предприятий и имеющихся рабочих мест;
-         достижение сбалансированного качественного роста экономики;
-         развитие индустриальной и коммерческой баз;
-         уничтожение трущоб и развалин;
-         помощь беднейшим районам.
В США государственное регулирование экономики, причем вплоть до национализации предприятий, было активно начато президентом Ф.Рузвельтом после небывалого по масштабам экономического кризиса 1929—1932 гг., когда банкротства предприятий приняли массовый характер, а уровень безработицы достиг 25%. В 50—60-е годы федеральное правительство стремилось (и преуспело в этом) включить в процесс регулирования хозяйства местные органы управления.
Государственными и муниципальными властями осуществляется значительная часть капитальных вложений в экономическую инфраструктуру. Эти вложения не рассчитаны на получение прибыли, но косвенным путем обеспечивают повышение прибыли частному капиталу.
Прежде всего, это расходы на строительство и содержание транспортных коммуникаций, линий связи, систем промышленного водоснабжения, очистных сооружений, на подготовку земельных участков к промышленной застройке и т.д.
Налоговая политика развитых стран, как правило, рассчитана на привлечение частного капитала. Стимулирующее воздействие налоговых льгот можно рассматривать как форму косвенного субсидирования предпринимательской деятельности.
В ряде стран практикуется стимулирование инвестиций в определенные регионы, например вложения на территориях, находящихся на окраинах городов. В экономически отсталых районах стимулируются капитальные вложения на реконструкцию и модернизацию производства. В некоторых случаях выплачивается надбавка к инвестициям, не подлежащая налогообложению. Эта надбавка может доходить до 10% общего объема капиталовложений. Независимо от надбавки или в дополнение к ней из бюджета может выплачиваться прямая субсидия на капитальные вложения. Но субсидия облагается налогом. Это широко практикуется, например, в Германии.
Начиная со второй половины 80-х годов, во многих странах применяются методы стимулирования создания новых высокотехнологичных производств. Старые промышленные районы зачастую имеют устаревшую индустриальную структуру хозяйства. В прошлые годы они относились к числу высокоразвитых, но под воздействием научно-технической революции ранее передовые отрасли пришли в упадок и не могут более определять экономический рост регионов.
Например, в Великобритании — это такие регионы как Уэльс, Шотландия, Северный район Англии, Северная Ирландия, Корнуолл, Мерсейсайд. В Бельгии — это районы каменноугольной и металлургической промышленности. В США — некоторые штаты Новой Англии на северо-востоке страны, где была развита текстильная промышленность.
Во второй половине XX века в этих районах встала задача переориентации промышленности на развитие новых передовых производств, сопровождаемой модернизацией инфраструктуры и переквалификацией рабочей силы. Это можно было сделать лишь при активном участии государства, применившего широкие налоговые льготы и другие методы финансового воздействия.
Так, Великобритания, Франция, Италия, Нидерланды, Норвегия использовали государственные инвестиции в подлежащих развитию районах, субсидии и займы целевого назначения, размещение там предприятий национализированных отраслей, строительство производственных зданий широкого назначения, которые сдаются в аренду или продаются предпринимателям на благоприятных финансовых условиях, с временным освобождением от налога на собственность.
В Германии крупные налоговые льготы получают фирмы, инвестирующие капитал в восточные земли и на границе с ними. Поддерживается налоговыми льготами Рурская область, где расположена сталелитейная промышленность. Стимулируется развитие современных отраслей промышленности в сельской местности. Старинные кварталы города Любека, например, были сохранены благодаря тому, что фирмы, занимающиеся их реставрацией, получили крупные налоговые льготы.
Для оживления экономической деятельности используются такие формы финансового воздействия, как субсидирование капитальных вложений в промышленность, субсидирование цен в виде льготных тарифов на электроэнергию и воду для отдельных районов, льготные условия кредитования — займы под низкий процент, долгосрочные займы, дотации по кредитам.
В некоторых странах, например в Германии, во Франции, на территориях ряда муниципалитетов введена специальная бюджетная надбавка за каждое вновь созданное рабочее место наряду с применением налоговых льгот. Местные органы управления несут немалую долю расходов по подготовке рабочей силы для новых отраслей хозяйства. Кроме того, предприятия, самостоятельно организующие подготовку и переподготовку своих рабочих, служащих и специалистов, пользуются налоговыми льготами.
Финансовое воздействие на развитие экономики может быть не только стимулирующим, но и сдерживающим. Эта необходимость возникает прежде всего для регулирования развития районов с высокой концентрацией производства и населения. Чрезмерные концентрация населения и хозяйственная активность ведут к обострению проблем окружающей природной среды, народонаселения, ресурсообеспечения и др. Задача ограничения возникла раньше всего в Великобритании и во Франции. Здесь сказалась моноцентрическая структура, где доминирует один город (или район) во главе иерархии городов и агломераций. В Японии сильно перенаселен район Токайдо, где расположены три крупнейших муниципалитета: Токио, Нагоя, Осака.


Учет реализации продукции


Учет реализации продукции Реализация продукции осуществляется в соответствии с заключенными договорами или путем свободной продажи через розничную торговлю.
В договорах на поставку готовой продукции указывают поставщика и покупателя, необходимые показатели по изделиям, цены, скидки, накидки, порядок расчетов, сумму налога на добавленную стоимость и другие реквизиты. В международной практике принято дополнительно указывать непреодолимые обстоятельства (форс-мажор), поручительство, гарантии исполнения договорных условий, порядок возмещения убытков, оговорку о подсудности и арбитраже и другие сведения.
Реализация продукции (работ, услуг) производится организациями по следующим ценам:
- по свободным отпускным ценам и тарифам, увеличенным на сумму НДС;
- по государственным регулируемым оптовым ценам и тарифам, увеличенным на сумму НДС (продукция топливно-энергетического комплекса и услуги производственно-технического назначения);
- по государственным регулируемым розничным ценам (за вычетом в соответствующих случаях торговых скидок, скидок по сбыту и опту) и тарифам, включающим в себя НДС (для продажи товаров населению и оказания ему услуг).
Расчеты по межреспубликанским поставкам товаров (работ, услуг) с государствами, подписавшими договор об экономическом сотрудничестве, осуществляются по ценам и тарифам, увеличенным на сумму НДС.
При установлении отпускных цен указывается франке, т.е., за чей счет производится оплата расходов по доставке продукции от поставщика до покупателя. Франко-станция назначения означает, что расходы по доставке продукции покупателю оплачивает поставщик и они включаются в отпускную цену. Франко-станция отправления означает, что
поставщик оплачивает расходы только до погрузки готовой продукции в вагоны. Все же остальные расходы по перевозке готовой продукции (оплата железнодорожного тарифа, водного фрахта и т.д.) должны оплачиваться покупателем.
Основанием для отгрузки готовой продукции покупателям или отпуска ее со склада обычно служат приказы отдела сбыта (маркетинга) организации.
На основании накладных, товарно-транспортных железнодорожных накладных и других документов на отпуск продукции на сторону в финансовом отделе или при его отсутствии в бухгалтерии выписывают в нескольких экземплярах платежные требования для расчетов с покупателями через банк.
В платежном требовании указывают наименование и местонахождение поставщика и покупателя, номер договора поставки, вид отправки, сумму платежа по договору, стоимость дополнительно оплачиваемых тары и упаковки, транспортные тарифы, подлежащие возмещению покупателям (если это предусмотрено договором), сумму налога на добавленную стоимость, выделяемую отдельной строкой. При отгрузке товаров, оказании услуг, выполнении работ, не являющихся объектом налогообложения по НДС, расчетные документы и реестры выписывают без выделения сумм НДС и на них делают надпись или ставят штамп «Без налога (НДС)».
Платежные требования должны быть выписаны поставщиком и сданы в банк на инкассо (т.е. с поручением получить платеж от покупателя) не позднее следующего дня после отгрузки или сдачи готовой продукции грузополучателю. Второй экземпляр платежного требования отправляется покупателю для оплаты.
Данные платежных требований ежедневно записывают в ведомость учета и реализации продукции (работ, услуг) (ф. № 16 или 1ба). В ведомости указывают дату и номер платежного требования, наименование поставщика, количество отгруженной продукции по ее видам, суммы, предъявляемые по счетам, и отметку об оплате счетов. Ведомость является формой аналитического учета товаров отгруженных. Готовую продукцию в ведомости отражают по учетным и отпускным ценам. Ведомость ф. № 16 используют при определении выручки по отгрузке, а № 1ба — при определении выручки по оплате.
Оперативный учет отгрузки ведут в отделе маркетинга (сбыта) в специальных карточках, книгах или журналах, а при использовании ЭВМ — в ежедневно составляемых машинограммах отгрузки продукции.
Для вывоза готовой продукции с территории организации представителям грузополучателя выдаются товарные пропуска на вывоз с территории предприятия товарно-материальных ценностей. Пропуска подписывают руководитель и главный бухгалтер организации или уполномоченные им лица. Пропуском могут служить копии товарно-транспортных накладных или фактур, на которых делаются специальные разрешительные надписи.
Если готовая продукция отпускается покупателю непосредственно со склада поставщика или другого места хранения готовой продукции, то получатель обязан предъявить доверенность на право получения груза.
Порядок синтетического учета реализации продукции зависит от выбранного метода учета реализации продукции. Организациям разрешается определять выручку от реализации продукции для целей налогообложения либо по моменту оплаты отгруженной продукции, выполненных работ и оказанных услуг, либо по моменту отгрузки продукции и предъявления платежных документов покупателю (заказчику) или транспортной организации.
В бухгалтерском учете продукция считается реализованной в момент ее отгрузки (в связи с переходом права собственности на продукцию к покупателю).
Именно поэтому при обоих методах реализации продукции для целей налогообложения отгруженная или предъявленная покупателям готовая продукция по ценам реализации (включая НДС и акцизы) отражается по дебету счета 62 «Расчеты с покупателями и заказчиками» и кредиту счета 46 «Реализация продукции (работ, услуг)».
Одновременно себестоимость отгруженной или предъявленной покупателю продукции списывается в дебет счета 46 «Реализация продукции (работ, услуг)» с кредита счета 40 «Готовая продукция».
С суммы выручки организации исчисляют налог на добавленную стоимость и акцизный налог (по установленному перечню товаров).
При методе реализации «по отгрузке» сумма начисленного НДС отражается по дебету счета 46 и кредиту счета 68 «Расчеты с бюджетом». Этой проводкой отражается задолженность организации перед бюджетом по НДС, которая затем погашается перечислением денежных средств бюджету (дебет счета 68, кредит счетов денежных средств).
При методе реализации «по оплате» задолженность организации перед бюджетом по НДС возникает после оплаты продукции покупателем. Поэтому после отгрузки продукции покупателям организации отражают сумму НДС по реализованной продукции по дебету счета 46 и кредиту счета 76 «Расчеты с разными дебиторами и кредиторами».
Поступившие платежи за реализованную продукцию отражают по дебету счета 51 «Расчетный счет» и других счетов с кредита счета 62 «Расчеты с покупателями и заказчиками». После поступления платежей организации, применяющие метод реализации «по оплате», отражают задолженность по НДС перед бюджетом:
- дебет счета 76 «Расчеты с разными дебиторами и кредиторами»;
- кредит счета 68 «Расчеты с бюджетом». Погашение задолженности перед бюджетом по НДС оформляют следующей проводкой:
- дебет счета 68 «Расчеты с бюджетом»;
- кредит счетов 51 «Расчетный счет», 52 «Валютный счет» и др. Таким образом, разница в методах реализации продукции для целей налогообложения заключается в следующем. При методе реализации «по отгрузке» задолженность перед бюджетом по НДС оформляется сразу одной проводкой: дебет счета 46, кредит счета 68. При методе реализации «по оплате» по НДС составляют две проводки:
а) дебет счета 46, кредит счета 76 (отражена сумма НДС по реализуемой продукции);
б) дебет счета 76, кредит счета 68 (отражена задолженность по НДС перед бюджетом).
Особенности бухгалтерских записей по обоим методам реализации продукции представлены в табл. 23.3.6.
Следует отметить, что метод реализации продукции «по отгрузке» пока еще не получил широкого распространения в нашей стране (кроме строительной промышленности), хотя он повсеместно используется в международной практике. Основными причинами этого факта являются неплатежеспособность многих организаций, по существу отсутствие вексельного обращения и страховых гарантий оплаты, несовершенство форм расчетов и банковского обслуживания, невозможность создания текущих резервов сомнительных долгов (разрешается указанный резерв создавать лишь после окончания отчетного года) и др. В перспективе эти недостатки будут устранены и второй метод учета реализации продукции найдет широкое применение.
Если договором поставки обусловлен отличный от общего порядка момент перехода права владения, пользования и распоряжения отгруженной продукцией и риска случайной гибели от организации к покупателю (например, при экспорте продукции), то для учета такой отгруженной продукции используют счет 45 «Товары отгруженные». При отгрузке указанной продукции она списывается с кредита счета 40 «Готовая продукция» в дебет счета 45 «Товары отгруженные».
После получения извещения о передаче права владения и распоряжения отгруженной продукцией покупателю поставщик списывает ее с кредита счета 45 «Товары отгруженные»
в дебет счета 46 «Реализация продукции (работ, услуг)». Одновременно стоимость продукции по цене реализации (включая НДС и акцизы) отражается по кредиту счета 46 и дебету счета 62 «Расчеты с покупателями и заказчиками». Исчисленная по реализуемой продукции сумма НДС отражается по дебету счета 46 в зависимости от применяемого организацией метода реализации по кредиту счетов 68 или 76. При использовании счета 76 после оплаты реализованной продукции покупателями начисленная сумма НДС списывается с дебета счета 76 на кредит счета 68.


Упаковка — это вместилище или оболочка товара.


Упаковка — это вместилище или оболочка товара. Она может быть однослойной и многослойной. Внутренняя упаковка — непосредственное вместилище товаров. Так, для одеколона, духов внутренней упаковкой служит флакон, в который они налиты. Внешняя упаковка — материал, служащий защитой для внутренней упаковки и удаляемый при подготовке материала к непосредственному использованию. Под транспортной упаковкой (тарой) имеют в виду вместилище, необходимое для хранения, идентификации или транспортировки товара. И наконец, неотъемлемой частью упаковки являются маркировка и печатная информация с описанием товара, нанесенные на саму упаковку или вложенные в нее.
Появившись в далекой древности, упаковка ныне превратилась в одно из действенных средств маркетинга, в один из элементов товарной политики. Хорошо спроектированная и качественно изготовленная упаковка создает для потребителей дополнительные удобства, а для изготовителей — дополнительные средства стимулирования сбыта товара.
На первый взгляд, упаковка товара имеет весьма узкое назначение — предохранить товары от порчи и повреждений. Это — ошибочное представление о роли упаковки, опирающееся на имевшуюся у нас в стране в условиях дефицитного рынка практику. В условиях развитого рынка роль упаковки многопланова, причем она все более повышается. Основное назначение упаковки состоит в следующем:
- предохранять товары от порчи и повреждений;
- обеспечить создание рациональных единиц груза для транспортировки, погрузки и выгрузки товаров;
- предоставить возможность формирования рациональных единиц для их складирования;
- обеспечить создание оптимальных — по весу и объему — единиц для продажи товара;
- быть важным носителем рекламы.
Функции упаковки начинают формироваться уже на этапе создания и производства товара. Их действие распространяется на весь путь следования товара — от производителя до потребителя. Упаковка перестает выполнять свои функции в тот момент, когда покупатель вынимает из нее товар и уничтожает ее. Любая упаковка является фактором расходов, связанных с производством товаров. Величина издержек на упаковку должна находиться в разумной пропорции к стоимости товара.
Одна из важнейших функций упаковки — предохранение товара от повреждений, поскольку изготовитель получит полную продажную цену только тогда, когда в руки покупателя товар поступит в безупречном и неповрежденном виде. На выбор упаковки и упаковочного материала влияют: чувствительность упакованного продукта; виды возможных повреждений во время транспортировки и складирования; действующие законы и предписания по транспортировке и складированию конкретного товара.
Товары складируются не только у производителя, оптовиков и в магазинах розничной торговли, но и у экспедиторов в портах и у самих потребителей. Поэтому перед тем, как выбрать приемлемое средство упаковки, рекомендуется изучить все обстоятельства, имеющие непосредственное отношение к хранению товаров, чтобы сделать упакованные единицы оптимально удобными для складирования.
По товарам широкого потребления, особенно по фирменным изделиям, упаковка выполняет также функции рекламы. Упаковка должна: обладать чертами, заметно отличающими данный товар от товаров-конкурентов; помогать покупателю в поиске товара, прежде всего в магазинах самообслуживания, и без труда отождествлять данный товар с производителем; придавать товару определенный «имидж»; соответствовать уровню цены товара (последнее особенно важно, когда престижность товаров играет решающую роль в принятии решения о покупке).
В отличие от России в странах Запада имеются детально разработанные законодательные положения, связанные с упаковкой. Помимо этого, соответствующими обществами и организациями разрабатываются нормы и требования к упаковке. Так, германское общество по рационализации упаковки разработало дополнительные нормы по упаковке товаров бытового назначения, предусматривающие следующие требования: текст и иллюстрации упаковки должны быть четкими, однозначными и соответствовать содержанию товара, не вызывать у покупателя ложных впечатлений о количестве и качестве содержащегося в ней товара; данные о весе, объеме и количестве упакованного материала должны быть по возможности округленными (например, 500 г, 1000 м и т.д.); приведенные на упаковке цены должны быть четкими и хорошо видимыми; контроль за устареванием товаров и предельными сроками их годности должен осуществляться на основе специального указания, помещенного на упаковке.
В отдельных отраслях народного хозяйства существуют дополнительные государственные и международные нормы, относящиеся к упаковке. К примеру, в текстильной промышленности материалы из чистой шерсти должны иметь специальную маркировку и этикетку, в которой указывалось бы, как или при какой температуре необходимо чистить или стирать и целесообразно ли гладить их.
Созданию упаковки должно предшествовать формирование ее концепции, раскрывающей принципы предлагаемой упаковки и роль, какую она должна сыграть для конкретного товара. В концепции определяется основная функция упаковки, а ею могут быть, например, обеспечение более надежной защиты товара либо новый метод раздачи или разлива, либо четкая информационная направленность на покупателя. Затем предстоит принять решение и о других составляющих конструкции упаковки: ее размерах, форме, материале, цвете, текстовом оформлении, наличии торгового (марочного, фирменного) знака.
После разработки конструкции упаковки она подвергается серии испытаний. Технические испытания должны удостоверить, что упаковка отвечает требованиям условий «нормальной» эксплуатации; испытания на обзорность и внешний вид должны выявить, нравится ли упаковка посредникам, считают ли они ее удобной при грузообработке; и наконец, испытания на потребителях должны показать, насколько благоприятно они воспринимают новинку.
Создание эффектной упаковки для нового товара может обойтись российскому производителю в сотни тысяч, а то и в миллионы рублей и занять от нескольких месяцев до года и более. Но затраты будут окупаться с лихвой, если учитывать такие функции упаковки, как привлечение внимания потребителей и обеспечение их удовлетворенности. При этом производители не должны забывать о социальных проблемах упаковки и принимать решения, отвечающие как интересам общества в целом, так и насущным интересам потребителей и самих производителей.
Неразрывной частью стратегии проектирования и использования упаковки является маркировка товаров с применением этикеток, ярлыков, штрихового кодирования и тому подобных средств. Они могут иметь вид незамысловатой бирки, прикрепленной к товару, или сплошной графической композиции, являющейся неотъемлемой частью упаковки. На этикетке может быть только марочное название товара либо большой объем информации о нем. Даже если производитель предпочитает простую этикетку, закон может потребовать размещения на ней дополнительной информации.
В условиях быстро возрастающего применения компьютерной техники во всех отраслях деятельности трудно преуменьшить роль штрихового кодирования в повышении эффективности производства, торговли, транспорта, банковского дела. В западных странах практически вся торговля основана на штриховых кодах. На 99% производимых в них
товаров наносится штриховой код. При его отсутствии торговля не принимает товар от производителя либо делает это с большой скидкой (30—40% и более). Такие действия объясняются тем, что штриховое кодирование товаров экономически оправдано, когда охватывает не менее 85% товаров. По сути дела, штриховой код — способ введения информации в ЭВМ, с помощью которого объект можно быстро «узнать» и передать информацию о нем в компьютер. Рассмотрим коротко, как это происходит в торговле.
Магазин получает по электронным каналам от поставщика информацию о товаре (его размер, вес, цвет и т.д.). Сообщается также код. На складе при помощи лазерного считывателя происходит учет товаров по их параметрам и количеству. Такому же электронному учету подвергаются товары при их поступлении в магазин и продаже. Все это выполняется ЭВМ мгновенно. Появляется возможность практически одномоментно следить за состоянием спроса, потребительскими предпочтениями, динамикой и изменениями структуры наличия товаров.
Магазин любых размеров может сокращать до минимума текущие затраты на реализацию товаров при соблюдении их необходимого ассортимента, своевременно заказывать и пополнять товары. В условиях дефицитного рынка ни торговля, ни производство в России не заинтересованы в системах кодирования — это для них лишь дополнительные хлопоты и денежные затраты. Но с точки зрения перспектив применение таких систем неизбежно и технологически не просто оправдано, но очень выгодно. А если иметь в виду экспортную деятельность отечественных российских производителей, то применение штрихового кодирования уже в настоящее время стало насущной необходимостью, одним из основных условий их коммерческого успеха на внешних рынках.
В 1977 г. создана Европейская ассоциация пользователей системы идентификации товаров, объединяющая пользователей систем штрихового кодирования товаров. Ее членом является и РФ. Каждой стране предоставляется свой номер (у России — с 460 по 469) и 13-значный код. В марте 1991 г. у нас была создана ассоциация ЮНИСКАН, специализирующаяся в области автоматической идентификации. Российское предприятие имеет возможность, зарегистрировавшись в ассоциации, приобрести индивидуальный код (присвоение кода в 1991 г. стоило 300 долл.). Это означает следующее: практически в любой стране будет известно, что товар изготовлен в России таким-то конкретным заводом. Изделие становится «легальным», оно входит в Мировую информационную систему, что, помимо иных преимуществ, резко снижает риск пиратских подделок или нарушений прав промышленного собственника.
От продавца в конечном счете зависит (правда, в пределах установленных норм, там, где они существуют), какие конкретные функции должна выполнять этикетка. Она может идентифицировать товар или марку, указывать сорт товара, описывать товар, пропагандировать его привлекательным графическим исполнением. Как показывает практика, этикетки хорошо известных марок со временем воспринимаются как устаревшие и требуют обновления. За истекшее столетие этикетку производимого в США мыла «Айвори», например, переделывали 18 раз, постепенно меняя размеры и начертания шрифта.
Запущенность дел с конструированием упаковки, ее низкая эстетичность и информативность, невысокое качество упаковочных материалов и их нехватка — все эти проблемы и трудности Россия унаследовала от бывшего СССР, что ныне продолжает негативно сказываться на качестве и конкурентоспособности российских товаров, затрудняет  их  транспортировку,  размещение  и  продажу,   снижает  уровень информированности потенциальных покупателей о товарах. Из-за нехватки тары и упаковки потери готовой продукции в России и других странах СНГ в общем объеме производства доходят до 30—40%. Некачественная упаковка, не отвечающая требованиям международных стандартов, приносит стране огромные убытки при поставке продукции на экспорт, составляющие до 10—15% возможной выручки.
В заключение подчеркнем, что покупатели видят в приобретаемом товаре прежде всего упаковку. В силу этого она является не только «визитной карточкой» производителя или продавца, но и важным инструментом рекламы, средством формирования спроса и его стимулирования. Упаковка, адекватная требованиям сохранения в целостности соответствующего товара, не может быть ничем заменена. Хорошая упаковка экономит много больше средств, чем стоит сама.1


Управление конфликтной ситуацией


Управление конфликтной ситуацией Существуют несколько эффективных способов управления конфликтной ситуацией. Их можно разделить на две категории: структурные и межличностные.
Как мы уже говорили, руководителям не следует считать причиной конфликтных ситуаций простое различие в характерах. Конечно, это различие может явиться причиной конфликта в каком-то конкретном случае, но оно — лишь один из факторов, которые могут вызвать конфликт. Руководитель должен начать с анализа фактических причин, а затем использовать соответствующую методику. Уменьшить возможность конфликта можно, применяя методики разрешения конфликта.
Существуют четыре структурных метода разрешения конфликта. Это разъяснение требований к работе, использование координационных и интеграционных механизмов, установление общеорганизационных комплексных целей и использование системы вознаграждений.
Разъяснение требований к работе. Один из лучших методов управления, предотвращающих дисфункциональный конфликт, — разъяснение того, какие результаты ожидаются от каждого сотрудника и подразделения. Здесь должны быть упомянуты такие параметры, как уровень результатов, который должен быть достигнут, кто предоставляет и кто получает различную информацию, система полномочий и ответственности, а также четко определены политика, процедуры и правила. Причем руководитель уясняет все эти вопросы не для себя, а с тем, чтобы его подчиненные хорошо поняли, чего ждут от них в каждой данной ситуации.
Координационные и интеграционные механизмы. Еще один метод управления конфликтной ситуацией — это применение координационного механизма. Один из самых распространенных механизмов — цепь команд. Как еще давно отмечал Вебер и представители  административной  школы,  установление  иерархии  полномочий упорядочивает взаимодействие людей, принятие решений и информационные потоки внутри организации. Если два или более подчиненных имеют разногласия по какому-то вопросу, конфликта можно избежать, обратившись к их общему начальнику, предлагая ему принять решение. Принцип единоначалия облегчает использование иерархии для управления конфликтной ситуацией, так как подчиненный прекрасно знает, чьим решениям он должен подчиняться. '
Системный подход к управлению операциями Операционная функция включает в себя те действия, в результате которых производятся товары и услуги, поставляемые организацией во внешнюю среду. Функцию операций имеют все организации, а то они просто не могут существовать. Термины «операции» и «производство» взаимозаменяемы. Однако под производством в основном понимается выпуск товаров и переработка сырья. Термин «операции» шире, он включает не только производство товаров, но и предоставление услуг.
Подсистема планирования и контроля получает от перерабатывающей подсистемы информацию о состоянии системы и незавершенном производстве. Информация поступает из внутренней среды организации: о целях, политике, основных направлениях и других внутренних параметрах. Информация о спросе на продукцию, стоимости ресурсов, тенденциях развития технологии, правительственных нормативных актах и других факторах поступает из внешней среды. Подсистема планирования и контроля должна обработать весь этот обычно большой объем достаточно сложной информации и выдать решение, как именно должна работать перерабатывающая подсистема.
Эффективность операций — это рыночная стоимость произведенных выходов, деленная на общую величину затрат организации на израсходованные входы.
Рыночная стоимость выходов определяется как количеством единиц произведенных выходов, так и целым рядом других факторов. Например, следующими.
1. Соответствие ассортимента выпускаемой продукции или предоставляемых услуг существующему на них спросу.
2. Качество выходов системы.
3. Своевременность производства выхода, учет характера спроса и обязательств по доставке потребителям.
4. Гибкость производственной системы при удовлетворении различных требований индивидуальных потребителей.
Общие затраты потребленных организацией входов аналогичным образом определяются не только их количеством, но и рядом других факторов. Например, при анализе материальных затрат необходимо учитывать следующее.
1. По каким ценам приобретались материалы?
2. Каковы затраты на хранение материалов в составе запасов до момента их использования?
3. Во что обошлись заказ и приемка материалов?
4. Каков размер издержек, возникших в результате недостатка материалов?
5. Какие затраты появились в результате проблем с качеством материалов? Применительно к такому входу, как человеческий труд, нужно задать себе следующие вопросы.
1. Какая часть работы выполнялась в сверхурочное, а не в нормальное рабочее время, какова стоимость сверхурочных работ?
2. Использовался ли персонал в соответствии с уровнем квалификации или работникам пришлось платить по тарифам более высокой квалификации, чем та, которая им требовалась для работы?
3. Какими оказались затраты, связанные с текучестью кадров, вызванной изменением нагрузки в системе?
4. Какими оказались затраты, связанные с ошибками персонала из-за недостаточного уровня подготовки или плохим руководством со стороны мастеров?
Можно назвать и другие аналогичные факторы, влияющие на общие затраты организации через другие виды ресурсов, потребляемых операционной системой.
Эта концепция эффективности операций иллюстрирует многогранность задач, стоящих перед операционными менеджерами. Некоторые из этих задач противоречат друг другу.
Отличительными характеристиками систем, ориентированных на проекты, является то, что каждая единица конечной продукции уникальна по конструкции, выполняемым задачам, местоположению или по каким-либо другим важным признакам. Процесс производства при этом имеет единичный, неповторяющийся характер. На выпуск каждой единицы продукции затрачивается относительно продолжительное время: обычно несколько недель, месяцев или даже лет. Все ресурсы операционной системы в данный момент времени направляются на реализацию одного или лишь нескольких проектов.
В мелкосерийной системе производства отдельные подразделения, цеха или участки специализированы на выполнении различных операций. Объекты переработки, представленные, например, обрабатываемыми изделиями или обслуживаемыми клиентами, проходят через систему единицами или небольшими группами. Поскольку требования к обработке каждого объекта могут быть разными, то они следуют по разным маршрутам с необязательным прохождением через все участки.
Система массового производства выдает большие объемы относительно стандартизованных выходов. Отдельные единицы выпускаемой продукции неотличимы друг от друга, хотя и могут быть незначительные различия в характеристиках или комплектации. Время прохождения единицы продукции через систему относительно мало: обычно оно измеряется в минутах или часах.
Перерабатывающая система с непрерывным процессом производит значительные объемы однородного выхода. Единственный способ различить отдельные единицы производимой продукции заключается в измерении продукта в каких-то произвольных единицах по объему, длине, площади, весу или времени. Ресурсы, поступающие на вход системы, непрерывным потоком проходят через нее, превращаясь в продукт на ее выходе.
Поучительно будет применить эту двухмерную схему классификации к производству по приготовлению и доставке продуктов питания. За редким исключением рестораны сами и производят продукты, и предоставляют услуги. Пищу готовят повара, а официанты оказывают услуги. Приводимые ниже различные способы организации приготовления пищи и разные методы ее доставки иллюстрируют три из четырех типов перерабатывающих систем. Основная часть ресторанов представляет собой предприятия с мелкосерийным производством. Клиенты проходят через систему небольшими группами, получая конкретные виды продукции и желаемые услуги. Каждая группа обслуживается отдельно, с использованием производственных ресурсов для удовлетворения потребностей этой группы. Кафетерии же представляют собой предприятия с массовым поточным производством. Пищу готовят не для отдельного клиента. Они поочередно проходят через систему, выбирая нужные им стандартные блюда. Наконец, фирмы, обслуживающие банкеты или другие официальные мероприятия, работают по типу реализации проектов. Каждый банкет планируется в зависимости от заказываемых блюд, объема и характера заказываемых услуг, подготовка к нему должна начинаться задолго до срока поставки. Такая операционная система может одновременно обслужить лишь ограниченное количество подобных мероприятий.1



Управление: наука или искусство?


Управление: наука или искусство? 1. Планирование. Мы определили организацию как группу людей, деятельность которых сознательно координируется для достижения общей для всех цели или целей. Функция планирования предполагает решение о том, какими должны быть цели организации и что должны делать члены организации, чтобы достичь этих целей. По сути своей, функция планирования отвечает на три следующих основных вопроса:
1. Где мы находимся в настоящее время? Руководители должны оценивать сильные и слабые стороны организации в таких важных областях как финансы, маркетинг, производство, научные исследования и разработки, трудовые ресурсы. Все это осуществляется с целью определить, чего может реально добиться организация.
2. Куда мы хотим двигаться? Оценивая возможности и угрозы в окружающей организацию среде, такие как конкуренция, клиенты, законы, политические факторы, экономические условия, технология, снабжение, социальные и культурные изменения, руководство определяет, какими должны быть цели организации и что может помешать организации достичь этих целей.
3. Как мы собираемся сделать это? Руководители должны решить как в общих чертах, так и конкретно, что должны делать члены организации, чтобы достичь выполнения целей организации.
Посредством планирования руководство стремится установить основные направления усилий на принятие решений, которые обеспечат единство цели для всех членов организации. Другими словами, планирование — это один из способов, с помощью которого руководство обеспечивает единое направление усилий всех членов организации к достижению ее общих целей.
Управленческая мысль XX века делает особый упор на превращение управления в науку. И по мере продвижения к этой цели велись непрерывные дебаты о том, возможно ли это в реальности. Лютер Гьюлик, теоретик в области управления, заявляет, что управление становится наукой, потому что оно систематически изучает явления, которые сгруппированы в различные теории, и потому что «стремится на систематизированной основе понять, почему и как люди систематически работают вместе для достижения определенных целей и для того, чтобы сделать эти системы сотрудничества более полезными для человечества». С другой стороны, многие специалисты выдвигают мысль о том, что управление является скорее искусством, которому можно научиться только через опыт и которым в совершенстве овладевают только люди, имеющие к этому талант. Некоторые руководители-практики, включая целый ряд людей, добившихся очень больших успехов в этой области, полагают, что научные теории управления представляют собой своего рода академические башни из слоновой кости, а не реальный повседневный мир жизни организаций. Основа всякой науки — это возможность объективно измерить изучаемые явления. Трудность этой задачи преследовала управление с тех самых пор, как оно оформилось в самостоятельную дисциплину. Некоторые аспекты организаций можно описать количественно, измерить и точно проанализировать. Например, не представляет особой трудности определение наиболее эффективных способов выполнения механических заданий. Авторы работ в области научного управления весьма успешно проанализировали выполнение таких заданий. Это привело к тому, что некоторые твердо поверили, что управление может стать наукой. Однако, этому оптимизму была уготована короткая жизнь. Руководители-практики увидели, что, действительно, можно рационально спроектировать работу для наиболее эффективного выполнения ее, но не всегда удается заставить работника точно и неуклонно выполнять все предписанное. Люди, как выяснилось, не так
просты как машины. Нельзя вживлять счетчик в сознание человека, чтобы он объективно измерял свою собственную реакцию на предложенный метод работы. Более того, руководителям приходится иметь дело не только с конкретными работниками, но и с целыми группами. В большой группе действует так много социальных факторов, что их трудно даже просто выявить, уже не говоря о том, чтобы точно измерить их величину и значимость. То же самое можно сказать и о бесчисленных факторах внешней среды, которые влияют на организацию, и о сложном потенциальном взаимодействии среды и организации, сложном настолько, что порой даже невозможно четко определить и отличие этих отношений. Следовательно, управление хотя бы частично, но является искусством. Управляющие должны учиться на опыте и соответственно модифицировать последующую практику с учетом выводов теории. Это не означает, однако, что теория в области управления бесполезна. Скорее это означает, что руководитель должен признать некоторую ограниченность теории и научных исследований, и пользоваться ими только там, где это уместно.
II. Организация. Организовать — значит создать некую структуру. Существует много элементов, которые необходимо структурировать, чтобы организация могла выполнять свои планы и тем самым достигать своей цели. Одним из этих элементов является работа, конкретные задания организации, такие как строительство жилых домов, сборка радио или обеспечение страхования жизни. Промышленная революция началась с осознания того, что организация работы определенным образом позволяет группе работников добиться гораздо большего, чем они могли бы сделать без должной организации. Организация работы была в центре внимания движения за научное управление.
Поскольку в организации работу выполняют люди, другим важным аспектом функции организации является определение, кто именно должен выполнять каждое конкретное задание из большого количества таких заданий, существующих в рамках организации, включая и работу по управлению. Руководитель подбирает людей для конкретной работы, делегируя отдельным людям задания и полномочия или права использовать ресурсы организации. Эти субъекты делегирования принимают на себя ответственность за успешное выполнение своих обязанностей. Поступая таким образом, они соглашаются считать себя подчиненными по отношению к руководителю. Как нам предстоит увидеть, делегирование — это средство, с помощью которого руководство осуществляет выполнение работы с помощью других лиц. Концепция внесения систематического начала в организацию работы и деятельности людей может быть расширена (как будет рассмотрено далее) до создания структуры организации в целом.
III. Мотивация. Руководитель всегда должен помнить, что даже прекрасно составленные планы и самая совершенная структура организации не имеют никакого смысла, если кто-то не выполняет фактическую работу организации. И задача функции мотивации заключается в том, чтобы члены организации выполняли работу в соответствии с делегированными им обязанностями и сообразуясь с планом.
Руководители всегда осуществляли функцию мотивации своих работников, осознавали они это сами или нет. В древние времена для этого служили хлыст и угрозы, для немногочисленных избранных — награды. С конца XVIII и по XX век было широко распространено убеждение, что люди всегда будут работать больше, если у них имеется возможность заработать больше. Считалось, таким образом, что мотивирование — это простой вопрос, сводящийся к предложению соответствующих денежных вознаграждений в обмен за прилагаемые усилия. На этом основывался подход к мотивации школы научного управления.
Исследования в области поведенческих наук продемонстрировали несостоятельность чисто экономического подхода. Руководители узнали, что мотивация, т.е. создание внутреннего побуждения к действиям, является результатом сложной совокупности потребностей, которые постоянно меняются. В настоящее время мы понимаем, что для того, чтобы мотивировать своих работников эффективно, руководителю следует
определить, каковы же на самом деле эти потребности, и обеспечить способ для работников удовлетворять эти потребности через хорошую работу.
Контроль. Почти все, что делает руководитель, обращено в будущее. Руководитель планирует достичь цель в какое-то время, точно зафиксированное как день, неделя или месяц, год или более отдаленный момент в будущем. За этот период многое может случиться, в том числе и много неблагополучных изменений. Работники могут отказаться выполнять свои обязанности в соответствии с планом. Могут быть приняты законы, запрещающие подход, который избрало руководство. На рынке может появиться новый сильный конкурент, который значительно затруднит организации реализацию ее целей. Или просто люди могут совершить ошибку при выполнении ими своих обязанностей.
Такие непредвиденные обстоятельства могут заставить организацию отклониться от основного курса, намеченного руководством первоначально. И если руководство окажется неспособным найти и исправить эти отклонения от первоначальных планов, прежде чем организации будет нанесен серьезный ущерб, достижение целей, возможно даже само выживание, будет поставлено под угрозу.
IV. Контроль — это процесс обеспечения того, что организация действительно достигает своих целей. Существуют три аспекта управленческого контроля. Установление стандартов — это точное определение целей, которые должны быть достигнуты в обозначенный отрезок времени. Оно основывается на планах, разработанных в процессе планирования. Второй аспект — это измерение того, что было в действительности достигнуто за определенный период, и сравнение достигнутого с ожидаемыми результатами. Если обе эти фазы выполнены правильно, то руководство организации не только знает о том, что в организации существует проблема, но и знает источник этой проблемы. Это знание необходимо для успешного осуществления .третьей фазы, а именно, — стадии, на которой предпринимаются действия, если это необходимо, для коррекции серьезных отклонений от первоначального плана. Одно из возможных действий — пересмотр целей для того, чтобы они стали более реалистичными и соответствовали ситуации, преподаватель, например, через систему тестов, которая является способом контроля для определения ваших успехов в обучении по сравнению с установленными нормами, увидел, что ваша группа может усвоить больше материала, чем первоначально было определено. В результате он может пересмотреть учебные планы, чтобы обеспечить прохождение большего объема материала.
Четыре функции управления — планирование, организация, мотивация и контроль — имеют две общих характеристики: все они требуют принятия решений, и для всех необходима коммуникация, обмен информацией, чтобы получить информацию для принятия правильного решения и сделать это решение понятным для других членов организации. Из-за этого, а также вследствие того, что эти две характеристики связывают все четыре управленческие функции, обеспечивая их взаимозависимость, коммуникации и принятие решений часто называют связующими процессами.



Управление персоналом


Управление персоналом Формирование предложения рабочей силы отражает потребности и интересы работника, руководствующегося главным мотивом — получить работу, которая устраивает его по содержанию, условиям труда и оплате.
Первое (основное) направление данной политики — повышение качества рабочей силы с точки зрения профессионально-квалификационного уровня, развития, совершенствования и использования индивидуальных способностей.
Многочисленные социологические опросы, проводимые службой занятости в различных городах России, показывают, что более 50% инженеров и других дипломированных специалистов при любых условиях будут «держаться» за свои специальность и квалификацию. Приблизительно 45-50% опрошенных готовы сменить свою работу на более простую, но при условии, что обучение новой профессии будет бесплатным, а последующее трудоустройство — гарантированным. Все респонденты указанной категории будут ожидать сокращения; возможную смену профессии они расценивают как вынужденную меру и временную трудность, которая идет вразрез с их жизненными планами. При потере работы более 70% специалистов не согласны осваивать простейшие рабочие специальности, пользующиеся ныне спросом на рынке труда. При сокращении и постановке их на учет в качестве безработных респонденты указанной категории будут требовать более престижных вариантов трудоустройства. Однако при этом надо подчеркнуть, что высококвалифицированные специалисты с высшим образованием готовы пройти перепрофилирование, переобучение, сменить работу или заниматься работой, требующей более низкой квалификации, лишь под угрозой вообще ее потерять.
Второе направление — развитие самозанятости. Основные возможности в этом направлении связаны с индивидуальной трудовой деятельностью по изготовлению потребительских товаров и оказанию услуг, осуществляемой самим работником по собственной инициативе. В этом отношении самозанятость может рассматриваться как индивидуальная форма предпринимательства, при которой предприниматель и работник выступают в одном лице, сочетая функции спроса и предложения.
Менее 20% потенциальных безработных ориентируются на самозанятость, индивидуальную трудовую деятельность или частный бизнес. Главным препятствием здесь служит «отсутствие первоначального капитала». Поэтому меры поддержки самозанятости в принципе те же, что и для предпринимательства, — льготное налогообложение и предоставление кредита на выгодных условиях для приобретения необходимых средств производства.
Третье направление — регулирование продолжительности рабочего времени. Политика сокращения рабочего и увеличения свободного времени не должна препятствовать развитию противоположной тенденции — «вторичной занятости», что фактически означает совместительство, предусматривая возможность предложения рабочей силы работником какой-либо организации сверх его основной занятости в этой же или другой организации (т.е. в свободное от основной работы время) в целях получения дополнительного заработка.
Четвертое направление — регулирование миграционных процессов в целях обеспечения максимального сочетания интересов и потребностей работников и работодателей. Связанная с этими процессами мобильность рабочей силы предполагает способность и готовность работников к изменениям их трудовой деятельности в связи с изменениями в производимой продукции, технологии и организации на предприятии, а также с их профессионально-квалификационным и должностным ростом, что отражает политику стимулирования таких изменений на внутреннем рынке труда. Согласование этой политики с политикой на местном рынке труда обеспечивает возможность регулирования мобильности рабочей силы в масштабах района, поселка, города, области, когда изменение места работы не требует изменения места жительства. Регулирование миграционных процессов со стороны местных, региональных и федеральных органов власти и управления осуществляется совместно со службами занятости во всех случаях, когда изменение места работы обусловлено предоставлением жилья.
Реализация вышерассмотренных направлений может дать наибольший эффект, если государственные структуры, контролирующие ситуацию на рынке труда, будут ответственны за организацию механизмов поддержки экономически активной части населения, способного при определенных условиях заняться малым предпринимательством, например семейным, или освоить новые профессии, но пока не имеющие возможности реализовать свой потенциал.
В тех регионах, где велика доля предприятий ВПК, желательно провести экспертную оценку экономической и социальной ситуации на оборонных предприятиях, проектных и научных учреждениях для определения работников, составляющих интеллектуальный потенциал региона, и подготовить специальную программу по сохранению.
В этих условиях возрастает роль государства в отборе, подготовке и закреплении кадров для государственного сектора. Эти вопросы должны найти отражение в соответствующей государственной программе содействия организациям в подготовке персонала на производстве.
При этом основная часть финансовых ресурсов, выделяемых для регулирования занятости, должна расходоваться не на выплату и индексирование пособий по безработице, а на создание общероссийской инфраструктуры рынка труда, которая должна включать службы по профориентации и профподготовке кадров, центры переквалификации и т.д. В этой связи схема организации комплексной региональной системы переподготовки кадров может иметь следующий вид 1 ( 19.1.1):

Трудовые отношения в сфере частного бизнеса устанавливаются на основе контракта или договора между экономическими субъектами — индивидом и предприятием. Однако роль государства в этом процессе заключается в определении форм и правил таких отношений, главнь™ образом, с целью защиты прав граждан в материальном и социальном аспекте. Главным способом регулирования государством трудовых отношений является принятие трудового законодательства и подзаконных актов, которые и представляют собой основу для изучения этой темы.
Реформы в сфере защиты трудовых прав персонала предполагается проводить по двум важнейшим направлениям.
Первое — коренное обновление действующего трудового законодательства и принятие нового Трудового кодекса, предусматривающего:
- установление на федеральном уровне государственных минимальных гарантий в сфере труда;
- расширение договорных начал в сфере регулирования трудовых отношений, поддержание определенного равновесия между интересами работников и работодателей;
- повышение уровня социальной защиты работников при структурной перестройке, банкротстве предприятий, остановке производства по причинам экономического характера и в некоторых других особых ситуациях.
В новом Трудовом кодексе должно найти отражение изменение роли субъектов Российской Федерации в регулировании трудовых отношений исходя из того, что трудовое законодательство относится к предмету совместного ведения России и ее субъектов.
Второе — формирование системы специальных органов по рассмотрению трудовых споров, для чего:
- сначала необходимо сформировать структуры досудебного рассмотрения трудовых споров, основанные на принципах паритетного участия социальных партнеров, и организовать в системе действующих судебных органов работу специальных судебных составов, которые будут разрешать индивидуальные и коллективные споры, вытекающие из трудовых отношений;
- разработать новый Трудовой процессуальный кодекс Российской Федерации, предусматривающий привлечение представителей сторон трудовых отношений к участию в рассмотрении дел;
- создать затем специализированные суды по трудовым делам, которые обеспечат реализацию в полном объеме конституционного права на судебную защиту, сокращение сроков рассмотрения трудовых споров и восстановления нарушенного права, быстрое исполнение судебных решений.1
В управлении персоналом особо выделяется аспект проявления трудового законодательства в отношении различных социальных групп. Государство пытается адекватно создать условия для равномерного вхождения всех граждан, независимо от каких-либо признаков, не существенных для определенной работы, в трудовые отношения. Этот вопрос рассматривается в теме отношений социального партнерства и трудового законодательства.
В годы централизованного административного управления государство контролировало все стороны общественной жизни, монопольно устанавливало условия пользования рабочей силы, уровни и дифференциацию тарифной заработной платы. Решения партии и правительства определяли сроки и размеры повышения тарифных ставок и должностных окладов работников, строго регламентировали величину и условия выплаты доплат, надбавок и премий, продолжительность рабочего времени и отпусков, ограничивали свободу выбора рабочего места и т.д. В этих условиях работник полностью зависел от государства.
Изменение трудовых отношений в России потребовало принятия закона, непосредственно регулирующего процесс проведения переговоров и заключения договоров и соглашений, общие правовые и организационные основы разработки, заключения и выполнения коллективных договоров и соглашений, ведения переговоров, взаимные права, обязанности и ответственность сторон, правовые меры по обеспечению выполнения обязательств, принятых сторонами соглашения, определены законом Российской Федерации «О коллективных договорах и соглашениях» от 11 марта 1992 г.
Положения закона распространяются на организации (предприятия, учреждения) независимо от форм собственности и сферы деятельности.
Коллективно-договорное регулирование — форма управления трудовыми отношениями, которая может иметь место лишь при определенном уровне развития и зрелости субъектов трудовых отношений — организаций работников и работодателей, представляющих и защищающих их интересы. На федеральном, отраслевом и территориальном уровнях появляется третий субъект регулирования трудовых отношений — государство в лице органов исполнительной власти.
Коллективные договора и соглашения могут заключаться на разной основе: быть результатом конфронтационных отношений, быть результатом взаимного понимания общности интересов и целей (в последнем случае речь идет о социальном партнерстве в подлинном смысле этого слова). Таким образом, социальное партнерство — частный случай коллективно-договорного регулирования трудовых отношений на разных уровнях.
Расширение и углубление социального партнерства и трудовых отношений становятся все более важными функциями управления персоналом. При этом партнерство должно рассматриваться не только как этическое понятие, но и как организационный принцип, означающий признание взаимозависимости и различного рода социальных интересов отдельных общественных групп и, как следствие, предоставление им права участвовать в политических и экономических процессах, в принятии управленческих решений.
На формирование социального партнерства большое влияние оказывают конвенции и рекомендации Международной организации труда (МОТ), предусматривающие развитие партнерских отношений как между государством, организациями предпринимателей и трудящихся, так и между самими организациями предпринимателей и трудящихся.
В 60-70-е годы такое сотрудничество было практически неосуществимо. Это объяснялось рядом причин. Во-первых, все соглашения были в основном заключены между профсоюзами и правительством. Поскольку государство являлось единственным собственником средств производства, именно оно диктовало условия сотрудничества, а профсоюзы только «подгоняли» требования трудящихся под эти условия. Во-вторых, политическое устройство государства исключало правовую защиту иной собственности на средства производства, кроме государственной.
В сложившейся системе партнерства «выпадал» главный субъект этих отношений — человек труда, который в соответствии с прежней Конституцией считался временно и трудящимся, и собственником (общенародная собственность), и участником управления государством.
Между тем труженик, являясь собственником, практически не имел возможности открытого выражения своих интересов и улучшения условий труда. Хотя официально забастовки и не запрещались, но на практике они не допускались, так как господствовала концепция отсутствия социальных причин для забастовок при социализме.


Условия, оказывающие влияние на управление персоналом


Условия, оказывающие влияние на управление персоналом Под средой управления подразумевается как сама организация (фирма), в которой осуществляется управление, так и внешняя среда, в которой организация функционирует.
Под внешней средой понимаются хозяйственные, социальные, политические, правовые, экологические и технологические характеристики рынков и прочих внешних систем, имеющих важное значение для жизни организации. Внешняя среда ограничивается в зависимости от целей организации и в свою очередь может быть расчленена на три внешние среды:
1; Общество — широкая система человеческих взаимоотношений.
2. Экономику — часть общественной системы, деятельность которой направлена на создание рабочих мест, изготовление и распределение товаров и услуг.
3. Экосистему, которая является органическим продуктом эволюции природы, тогда как общество, экономика и организация представляют собой искусственные структуры, созданные человеком.
Для руководства организации, фирме, предприятию важна прежде всего возможность располагать в нужное время, в нужном месте, а также в нужном количестве таким персоналом, который необходим для выполнения производственных задач. Кроме того, кадровое планирование должно служить мотивацией на более высокую производительность
труда и удовлетворенность работой. Интерес работников концентрируется на рабочих местах, которые дают шансы для развития способностей и обеспечивают хороший и — по возможности — постоянный заработок. Кадровое планирование в состоянии содействовать учету интересов всех лиц, занятых в организации.
Однако полностью эффективным кадровое планирование является лишь в том случае, если оно интегрировано в общий процесс планирования.
Кадровая политика любого предприятия является действием, направленным на перспективу; при этом нужно принимать во внимание, что организация, планируя в настоящий момент кадры, на самом деле реализует их в будущем, то есть существует необходимость постоянного анализа тенденций в кадровом составе, чтобы сохранить стабильность.
Выбранная стратегия работы с персоналом должна быть воплощена в конкретные формы (кадровые программы, процедуры и т.д.). Достичь этого можно, планируя человеческие ресурсы организации. Базой такого планирования являются анализ потребностей в персонале и изучение информации о производительности работающих и издержках на их содержание.
В связи с дефицитом рабочей силы кадровое планирование стало во многих организациях интегрирующей составной частью предпринимательского планирования. Производственные решения относительно применения новых технологий, местоположения предприятия, капиталовложений, идущих на расширение имеющихся или приобретение новых основных фондов, должны модифицироваться в тех случаях, если дефицит рабочей силы может привести к ошибкам.
Ни в одной экономике с полной занятостью больше не действует принцип «перекачки рабочей силы» 20-х и начала 30-х годов этого столетия — привлечение необходимой рабочей силы и вытеснение излишних или же в данный момент больше не нужных работополучателей. Однако и в странах с превышением предложения рабочей силы над спросом во все возрастающей степени отказываются от системы «нанять и уволить» вследствие текущих требований к качеству работников, их готовности брать на себя ответственность.
Если раньше считали, что кадровое планирование необходимо лишь в случае дефицита рабочей силы, то сейчас возобладало мнение, что оно нужно и во время безработицы: квалифицированных работников нелегко найти и при ненапряженном положении на рынке труда; кроме того, следует избегать социальных трудностей, часто возникающих при увольнениях.
До 60-х годов в вопросах управления персоналом ориентировались только на текущие потребности организации. При таком подходе работодатель рассчитывал получить в любой момент необходимое ему количество работников, для использования которых не требуется длительной специальной подготовки. Избыточный рынок рабочей силы давал работодателям такую возможность, а увольнение избыточного персонала практически ничего не стоило.
Изменения в условиях деятельности организаций выдвинули в качестве общего для всех требование ориентироваться при формировании ресурсов не только на текущие потребности, но и на длительную перспективу. Это требование касается всех видов ресурсов, в том числе и человеческих.
В 70-80-е годы в практике управления стал применяться систематический анализ перспективных потребностей организаций и фирм в отдельных категориях персонала. Сегодня все большее число компаний и фирм выделяют как самостоятельный вид деятельности кадровых служб кадровое планирование, или планирование человеческих ресурсов.
В зависимости от применяемой модели управления персоналом в отдельных организациях данное планирование понимается только как прогнозирование числа вакантных мест при определении источников, за счет которых предстоит их заполнить (учебные заведения, другие фирмы, безработные и т.п.). В организациях, где управление персоналом ориентировано на модель «человеческий капитал», планирование человеческих ресурсов охватывает разработку и внедрение широкого круга мероприятий по обучению и профессиональному развитию работников, планированию их продвижения по службе (карьеры) и т.п.
Происходящие изменения, связанные с необратимостью экономических реформ и движением к здоровой конкуренции, заставляют организации России уделять значительное внимание долгосрочным аспектам кадровой политики, базирующейся на научно обоснованном планировании.1
В настоящее время кадровая политика на предприятии стала ориентироваться на возможности развития работников с начального момента их специализации, а не с определенного этапа, когда сотрудника нужно определенным образом «переучивать». Для привлечения персонала организация стала задействовать целый комплекс мотивационных элементов как экономического, так и социального характера.


В основном удовлетворен и растет равномерно


От метода «Дельфи» по организации работы экспертов принципиально отличается метод, получивший название «метод мозговой атаки». Он предлагает получение решения в результате коллективного творчества специалистов в ходе заседания, проводимого по определенным правилам, и последующего анализа его результатов. Этот метод рекомендуется использовать в критических ситуациях, при отсутствии реальных, достаточно очевидных вариантов развития процессов в перспективе. Подробнее с экспертными методами прогнозирования можно ознакомиться в специальной литературе.
2. Экстраполирование — продолжение в будущее тенденций процессов, отражаемых в виде динамических рядов их показателей, на основе разработанных моделей регрессионного типа. Методы экстраполяции применяются обычно в случаях, когда информация о прошлом имеется в достаточном количестве и выявлены устойчивые тенденции. Этот вариант основан на гипотезе о сохранении в будущем сложившихся ранее тенденций. Такой подход к прогнозированию носит название генетический и предполагает использование эконометрических моделей.
В большинстве исследований товарных рынков в качестве важнейшего фактора, определяющего развитие рынка, в модели вводится временной фактор (тренд). Процедура экстраполяции тенденций предполагает выбор трендовых моделей прогнозирования и формы кривой, наиболее близко описывающей ряд эмпирических данных. В табл. 17.2.3 приводится схема выбора трендовых моделей прогнозирования в зависимости от основных тенденций развития спроса населения.
Таблица 17.2.3
Схема выбора трендовых моделей прогнозирования
№№ п/п
Степень удовлетворения спроса и основная тенденция его развития
Гипотеза развития рынков
Модель прогнозирования
1
В основном удовлетворен и растет равномерно
При должном и своевременном обновлении ассортимента изделия тенденция роста сохраняется
Прямая: у = a0 + а1*t
2
Удовлетворяется и растет, но приросты уменьшаются
Рынок насыщен, уровень обеспеченности близок к рациональному нормативу, тенденции замедления роста спроса сохраняются
Логарифмическая функция:
у = a0 + а1*log t
3
Удовлетворяется и снижается
Товар вытесняется с рынка другими товарами или покупается определенным контингентом населения, численность которого уменьшается. Тенденция сохранится в будущем
Гипербола:
y=ao+a1/t
4
Не удовлетворяется, растет ускоренно, темпы роста одинаковы
Рынок далек от насыщения, высокие темпы роста спроса сохраняются
Показательная функция: у = a0 + аt1
5
Не удовлетворяется в значительной мере, растет при увеличении темпов роста
Рынок далек от насыщения, товар относится к категории дефицитных, производство и продажа растут высокими темпами, в обозримом периоде тенденция сохранится
Парабола:
у =a0+a1t+a2t2

3. Аналитическое моделирование — построение и использование модели, отражающей внутренние и внешние взаимосвязи в ходе развития рынка. Эта группа методов используется тогда, когда информация о прошлом минимальна, но имеются некоторые гипотетические представления о рынке, которые позволяют разработать его модель и на этой базе оценить будущее состояние рынка, воспроизвести альтернативные варианты его развития. Такой подход к прогнозированию называют целевым (нормативным).
Использование целевого (нормативного) метода прогнозирования начинается с оценки целей, в качестве которых могут выступать: достижение определенной доли рынка по выпускаемому товару; желаемый уровень удовлетворения потребностей и т.д. На основе этих целей устанавливается обратная связь с мероприятиями, необходимыми для их достижения. В данном случае стоит задача разработки сценария поведения предприятия на рынке, т.е. выработки рекомендаций по товарной, ценовой, сбытовой и рекламной политике.
Приведенное разделение методов в некоторой степени условно. На практике все они могут взаимно перекрещиваться и дополнять друг друга, поскольку в ряде случаев ни один из них сам по себе не может обеспечить требуемую степень достоверности и точности прогноза, но применяемые в определенных сочетаниях они оказываются весьма эффективными. Примером сочетания различных методов прогнозирования может служить построение нормативно-адаптационной модели, по которой проводились расчеты возможных вариантов развития обеспеченности населения различными предметами культурно-бытового и хозяйственного назначения в зависимости от экономических условий.
Результатом работы по определению емкости рынка должен явиться комплексный аналитический обзор состояния рынка и формирующих его факторов, а также многовариантный прогноз развития товарного рынка с учетом тенденций изменения влияющих на него внутренних и внешних факторов.1
Деятельность предприятия по исследованию товарных рынков совпадает с имеющимся в маркетинге способом изучения внешних рыночных условий рынка, из которых складывается жизненный цикл товара. Очевидно, что рынок неоднороден, поэтому можно обнаружить различные группы потребителей с разными целями и средствами. Именно выбор признака, по которому рынок разделяется на сегменты, определяет условия последовательности включения товара в оборот и количество этого товара по некоторой удовлетворяющей данный сегмент рынка цене.


В.Парето и проблемы общего экономического равновесия


В.Парето и проблемы общего экономического равновесия Вилъфредо Парето (1848—1923) — крупный итальянский представитель неоклассической экономической теории, продолжатель традиций лозаннской школы маржинализма. Этого ученого наряду с экономикой интересовали также политика и социология, что отразилось и в разнообразии его публикаций. К основным трудам В.Парето принято относить двухтомный «Курс политической экономии» (1898), «Учение политической экономии» (1906) и «Трактат по общей социологии» (1916).
В.Парето, как и Л.Вальрас, более всего сосредоточился на исследовании проблем общего экономического равновесия, исходя, так же как и он, из маржинальных идей экономического анализа. Вместе с тем, качественно новые принципы изучения предпосылок и факторов равновесности в экономике позволяют считать В.Парето (в отличие от Л.Вальраса) маржиналистом «второй волны» и соответственно одним из основоположников неоклассической экономической мысли. Сказанное подтверждается следующими обстоятельствами.
1. Опираясь не на каузальный, а на функциональный подход, В.Парето преодолел присущий Л.Валърасу субъективизм, что позволило ему отказаться от полезности (потребности) как единственной причины обмена и перейти к характеристике экономической системы в целом, где и спрос (потребление), и предложение (производство) рассматриваются как элементы равновесия в экономике.
2. Если в модели общего экономического равновесия Л.Вальраса критерием ее достижения считалась максимизация полезности, которая измерению не поддается, то в модели В.Парето этот критерий заменен другим, а именно оценкой измерения соотношения предпочтений конкретного индивида, т.е., как говорят в математике, выявлением порядковых (ординальных) величин, характеризующих их очередность. Причем данная проблема продолжает интересовать и многих современных ученых, включая В.Леонтьева и М.Блауга.
3. В целях исследования В.Парето рассматривает выбор потребителя в зависимости как от количества данного блага, так и от количества всех других ресурсов, используя «кривые безразличия», которые отражают сохранение суммарных полезностей товаров в различных комбинациях их сочетания и предпочтение одних комбинаций перед другими. В результате появились паретовские трехмерные диаграммы, на осях которых откладываются находящиеся у потребителей неодинаковые количества одного и другого блага. Применяя их, можно проследить порядок (последовательность) ранжирования индивидом своих предпочтений, выявить его «безразличие» в конкретный момент времени между двумя альтернативными благами (т.е. такие их комбинации, которые обеспечивают одинаковый уровень общего удовлетворения), ибо очевидно, что посредством понятия «безразличие» измерить что-либо напрямую невозможно.
4. В своем «Учении политической экономии» В.Парето отказался от традиционных подходов количественной характеристики полезности на основе межличностных сравнений полезности, сформулировав понятие общественной максимальной полезности, т.е. то самое понятие, которое в экономической литературе теперь принято называть «оптимум Парето». Это понятие предназначено для оценки таких изменений, которые либо улучшают благосостояние всех, либо не ухудшают благосостояния всех с улучшением благосостояния по крайней мере одного человека.
Концепция «оптимума Парето» позволяет, таким образом, принять оптимальное решение по максимизации прибыли (соответственно и полезности), если теоретическая аргументация оптимальной комбинации потребления базируется на таких предпосылках, как: только личная оценка собственного благосостояния; определение общественного благосостояния через благосостояние отдельных людей; несопоставимость благосостояния отдельных людей.
5. В отличие от модели Л.Вальраса у В.Парето анализируются не только экономика свободной конкуренции, но и различные типы монополизированных рынков, что стало самостоятельным объектом исследования экономистов лишь через несколько десятилетий, т.е. в середине XX в.1
Равновесие рынка, достигаемое благодаря механизму свободного ценообразования и конкуренции, как утверждают одни теории, противопоставляется роли государства в регулировании экономики, рассматриваемой как важнейший элемент стабильности в других школах экономической мысли.
На деле правительства различных стран разнятся в своей экономической политике, а акценты постоянно смещаются от государственного регулирования экономики на базе анализа макроэкономических величин с точки зрения количественных закономерностей в соотношениях между ними до господства свободной конкуренции. Таким образом, и кейнсианство, провозглашающее поддержание эффективного спроса и полной занятости, и школа неоклассицизма, и другие направления, которые находят свое применение и синтезируются в новые теории, нашли свое отражение здесь.
В современной экономической теории доминирующую роль играют труды зарубежных экономистов. Однако русская экономическая наука также ярко представлена учеными разных взглядов и убеждений, которые отражали в своих изысканиях специфику экономической системы России. Представляется целесообразным показать наличие различных школ экономического учения и рассмотреть ниже процесс формирования и развития экономических теорий в России как неотъемлемой и значимой части мировой экономической мысли. Необходимо отметить значение экономических исследований Н.Д. Кондратьева, видного русского экономиста, которое подробно описывается в «Очерках истории экономики» КонотоповаМ. В., Сметанина С.И. (М.: ВЛАДАР, 1993.).
Основные этапы жизни и деятельности Н.Д. Кондратьева Николай Дмитриевич Кондратьев (1892—1938) был, как известно, универсальным исследователем. Однако, проживая в стране, где подавляющее большинство населения составляли крестьяне, он, как и многие российские экономисты, рано стал интересоваться именно аграрной проблематикой. Уже первые значительные работы Кондратьева «Развитие хозяйства Кинешемского земства Костромской губернии» (1915), «Рынок хлебов и его регулирование во время войны и революции» (1922) посвящены аграрному сектору российской экономики.
Так, в центре внимания монографии о рынке хлеба стояли вопросы размещения, развития и регулирования сельскохозяйственного производства. Уже здесь Н.Д. Кондратьев рассматривает модель твердой цены на хлеб, при которой степень административного вмешательства оказывается наивысшей, модель косвенного ценового воздействия, суть которого сводилась к тому, чтобы «угадать, имитировать вольную цену», и наконец, смешанный метод ценообразования, основанный на сочетании твердого базиса цены с прогнозами ее возможных изменений.
Анализируя соотношения твердых и вольных (рыночных) цен за период 1914-1918 гг., Кондратьев указывает на возрастание разрыва между ними и приходит к заключению, что «политика твердых цен была бессильна овладеть движением цен, устранить вольные нелегальные цены, дуализм цен вольных и твердых».
Монография «Рынок хлебов...» является ценным источником фактического материала, не только конкретным историко-экономическим, но и теоретическим исследованием. Здесь автор впервые подходит к концепции смешанных форм воздействия на экономику — со стороны государства, торгово-предпринимательских структур, местных органов власти (городов и земств), а также со стороны отдельных крестьянских хозяйств. Проблема хлебного рынка предстает как проблема синтетическая — в ее разрешении участвует множество субъектов, используются различные, часто противоречивые методы регулирования.
Н.Д. Кондратьев даже в тяжелейших условиях войны и революции выдвигал требование «рыночной проверки» методов государственной политики. Тем не менее его невозможно представлять глашатаем безбрежной рыночной спонтанности и стихийности. Как известно, при активном участии ученого Плановая комиссия Наркомзема РСФСР составила первый в истории перспективный план развития сельского и лесного хозяйства РСФСР (1923—1928) (так называемая «пятилетка Кондратьева»).
При разработке этого плана Н.Д. Кондратьев исходил «из необходимости сочетания на базе НЭПа плановых и рыночных начал», выдвинул центральную идею «тесной связи» и «равновесия» аграрного и индустриального секторов. В середине 20-х гг. эти положения окончательно сформировались в виде концепции параллельного равновесного развития сельского хозяйства и промышленности. Н.Д. Кондратьев писал, что лишь «здоровый рост сельского хозяйства предполагает... мощное развитие индустрии». Эффективный аграрный сектор способен обеспечить подъем всей экономики, стать гарантией устойчивости всего народного хозяйства, включая процесс индустриализации.
Характерно, что Н.Д. Кондратьев не выступал против национализации земли. Однако он считал необходимым смелее развивать товарно-торговые основы нэповской деревни, свести к минимуму ограничения свободного развития трудового хозяйства крестьянина, доставшиеся в наследство от эпохи «военного коммунизма». Кондратьев предлагал освободить экономическую политику на селе от любых поползновений в целях создать монополию для государственного и кооперативного торгового аппарата, провозглашая курс на усиление товарности аграрного сектора. В этом русле развивались его идеи о первоочередной помощи хозяйствам, приближающимся к фермерскому типу, способным обеспечить быстрое наращивание объемов товарного хлеба, в том числе для экспорта.
Кондратьев протестовал против огульного занесения всех «сильных слоев деревни» в состав кулачества. Он утверждал, что неопределенно расширительный подход к кулачеству порождает борьбу с «крепкими, развивающимися слоями деревни,.. которые только и могут быть основой товарной продукции». Когда ученый призывал преодолеть «страх перед существующим и несуществующим кулачеством», он в принципе не отрицал наличие социальной дифференциации в деревне. Однако Кондратьев не считал дифференциацию определяющим фактором политики. Его программа была в первую очередь прагматической, ориентировалась на первоочередную поддержку крепких семейных трудовых хозяйств, способных стать основой экономического подъема в стране. Стремление же направить основные финансовые и материальные ресурсы на поддержку сначала бедняков и малоимущих середняков Кондратьев считал неоправданным, нереалистичным: этим слоям можно было реально помочь лишь тогда, когда аграрный сектор и народное хозяйство в целом достаточно окрепнут, встанут, что называется, на ноги.


В рыночной экономике форма связей рыночная.


Относительно новым для нашей экономической науки является показатель чистого экономического благосостояния1^, который применяется в дополнение к показателю «валовой национальный доход». Дело в том, что валовой национальный доход не дает удовлетворительной картины экономического благосостояния. Это происходит по следующим причинам: во-первых, валовой национальный продукт включает ряд элементов (например, амортизацию), которые непосредственно не отражаются на индивидуальном благосостоянии; во-вторых, этот показатель не включает ряд элементов, которые могут прямо и непосредственно влиять на уровень благосостояния и определять его. Влиять на уровень благосостояния могут такие не учитываемые в валовом национальном продукте элементы, как, например, досуг. Предположим, что человек решил по мере того, как становится богаче, работать меньше и получать физическое удовлетворение от свободного времени так же, как от товаров и услуг. Тогда валовой национальный продукт снижается, даже если благосостояние растет. Поэтому, чтобы скорректировать физическое удовольствие от досуга, должна быть внесена положительная поправка в валовой национальный продукт. В результате этого выходим на показатель чистого экономического благосостояния. Но это так называемое косвенное влияние на уровень экономического благосостояния, которое трудно учесть.
При оценке чистого экономического благосостояния надо учитывать также уровень населения, определяемый как соотношение реальных потребностей граждан и возможностей их удовлетворения. Здесь происходит оценка не только текущих денежных доходов населения и фактического потребления, но и наличие денежных сбережений, количество и качество накопленного домашнего имущества, жилья, услуг, здравоохранения и просвещения.
Кроме того, для объективной оценки чистого экономического благосостояния необходимо учитывать расслоение населения по уровню доходов. Валовой внутренний продукт этого отразить тоже не может. Здесь следует использовать коэффициент Джини. Этот коэффициент показывает характер распределения всей суммы доходов населения между его отдельными группами. При равномерном распределении доходов в обществе коэффициент Джини равен нулю. Чем выше степень поляризации общества по уровню доходов, тем ближе коэффициент к единице.
Если свободное время косвенно влияет на уровень экономического благосостояния, то теневая экономика прямо и непосредственно определяет уровень экономического благосостояния, хотя это не отражается количественно в показателе валового национального продукта, но при этом следует иметь в виду, что не вся теневая экономика оказывает положительное воздействие на уровень экономического благосостояния. Определение теневой экономики в этом плане может быть следующим: это есть не контролируемое обществом движение товарно-материальных ценностей и услуг, т.е. скрываемые от органов государственного управления социально-экономические отношения между отдельными гражданами и социальными группами. Эти отношения включают все неучтенные, нерегламентированные виды экономической деятельности. При этом в структуру теневой экономики входят:
1) криминальная экономика — встроенная в официальную экономику экономическая преступность (хищения; подпольная, полностью скрываемая от всех форм контроля экономическая деятельность: наркобизнес, азартные игры, проституция; общеуголовная преступность против личной собственности граждан как форма внеэкономического перераспределения доходов: грабежи, разбои, кража личного имущества, рэкет);
2) фиктивная экономика — официальная экономика, дающая фиктивные результаты, отражаемые в действующей системе учета и отчетности как реальные (приписки);
3) неформальная экономика — система неформальных взаимодействий экономических субъектов, базирующаяся на личных отношениях и непосредственных контактах между ними и дополняющая или заменяющая официально установленный порядок организации и реализации экономических связей;
4) нелегализованная вторая экономика — скрываемые от контроля виды индивидуальной и кооперативной деятельности, т.е. либо запрещенные законом, либо не зарегистрированные в установленном порядке.
Третий и четвертый элементы прямо и непосредственно увеличивают объем показателя чистого экономического благосостояния, а первый и второй элементы такого влияния не оказывают.1
В рамках изучения макроэкономики интересно проследить связь форм собственности, превалирующих в различных секторах экономики, с состоянием предприятий и развитием соответствующих отраслей, что позволит оценить эффективность использования той или иной формы собственности в конкретной сфере. Это позволяет государству проводить целенаправленную политику через административно-правовые и экономические методы для стимулирования экономического роста в конкретных областях хозяйства страны и дает основание для проверки теоретических взаимосвязей на опыте. Эти вопросы раскрываются при рассмотрении понятия собственности в макроэкономике.
В рыночной экономике форма связей рыночная. Это значит, что все находящиеся в экономическом обороте блага имеют двоякую форму бытия: натурально-вещественную и денежную. Эти формы не просто сосуществуют, а противостоят друг другу. Направления их движения противоположны.
Исходным пунктом,  доминантой экономического  оборота благ являются домохозяйства, которые для удовлетворения своих потребностей в пище, одежде и других благах предлагают в качестве ресурсов производства землю, труд, капитал, предпринимательские способности. Но домохозяйства, с другой стороны, представляют собой и конечный продукт экономического оборота, и его конечную цель. Производство, в конечном счете, функционирует для обеспечения потребления. Таким образом, цель потребления достигается через продажу ресурсов, производительное их потребление, производство и продажу материальных благ.
Домашние хозяйства платят государству прямые налоги (подоходный, на заработную плату, поземельный, за владение автомобилем и другие), а получают от государства заработную плату и жалованье, трансфертные платежи (государственные выплаты, пенсии, стипендии, дотации на квартирную плату).
Трансфертные платежи — это передача доходов, не требующая каких-либо прямых ответных услуг экономического характера.
Предприятия (фирмы) платят государству косвенные налоги (налог с оборота, промы-/ еловый налог, акциз) и прямые налоги (на прибыль корпораций, взносы на социальное страхование), а получают от государства трансфертные платежи в форме субсидий, налоговых льгот, премий, льготных займов, оплаты текущих расходов бюджетных организаций.
Эта модель характеризует экономический оборот в закрытой национальной экономике. Кругооборот открытой национальной экономики усложняется добавлением еще одного хозяйствующего субъекта — мирового хозяйства. Постоянное повторение и продолжение этих процессов составляют содержание общественного воспроизводства.


В составе крупных отраслей выделяют подотрасли.


Программа содействия кооперированию малых предприятий и их сотрудничеству с крупными и средними предприятиями необходима для совместного решения вопросов, непосильных для  отдельного  предприятия,  например  связанных  с  заметной рационализацией, оптимизацией использования и расширения основных фондов. Кроме того, кооперируемым малым предприятиям в большинстве случаев оказывается легче отстаивать собственные инвестиционные интересы во взаимоотношениях со средними и крупными предприятиями, с государством, органами власти различного уровня. Государственная поддержка такого кооперирования требует введения дополнительных финансовых и прочих льгот для малых предприятий, поддерживающих устойчивые хозяйственные взаимоотношения.
Программа поддержки малых предприятий в сфере внешнеэкономической деятельности в первую очередь направлена:
- на преодоление ресурсоориентированного экспорта, повышение в нем доли конечной и наукоемкой продукции, а также изделий малых промыслов и услуг;
- на общее расширение рынка потребительских товаров и услуг, а также на сохранение в социально необходимых рамках импорта по таким товарным группам, как лекарства и сырье для их производства, детское питание, детская одежда и обувь.
В других сферах внешнеэкономической деятельности малых предприятий приоритетными являются: направление иностранных кредитов, капиталов и помощи прежде всего на цели технической реконструкции и модернизации малых предприятий и создание новых экспортных производств; развитие транзитных внешнеторговых перевозок; расширение экспорта услуг.
Программа формирования социальной базы малого бизнеса направлена на рост занятости населения: преодоление социально-психологической неподготовленности людей к организации собственного дела; увеличение рабочих мест для выпускников школ и институтов, лиц с ограниченной трудоспособностью,  беженцев, вынужденных переселенцев. Механизмами реализации данной программы являются оказание поддержки созданию рабочих мест для этих категорий населения в сфере малых предприятий;
избирательная налоговая политика по отношению к различным категориям населения, занятым предпринимательством.
Программа участия малого бизнеса в улучшении экологической обстановки реализуется в двух направлениях: переработка остающихся отходов в товарную продукцию (применением экологически чистых технологий) и повышение степени использования добываемых природных ресурсов. Помимо финансовых и правовых льгот для малых предприятий, способствующих оздоровлению окружающей среды, предусмотрено освобождение их от местных налогов.1
Государственное регулирование материального производства. Сфера материального производства является важнейшим объектом государственного регулирования. В ее составе
современная статистика и управление выделяют отрасли, подотрасли, межотраслевые
хозяйственные комплексы; используются и другие виды группировок.
К материальному производству относятся все виды деятельности, создающие материальные блага в      продукта, энергии и в форме перемещения грузов, хранения
продуктов, сортировки, упаковки и других функций, являющихся продолжением производства в сфере обращения. Наиболее общий принцип выделения сферы материального производства — участие соответствующих предприятий, организаций в увеличении стоимости общественного продукта и национального дохода. Другими словами, сфера материального производства — это любая деятельность, затраты на осуществление которой относятся на стоимость произведенной продукции или выполненных работ.
В соответствии с Классификатором отраслей экономики к материальному производству отнесены 14 крупных отраслей — промышленность, сельское хозяйство, лесное хозяйство, грузовой транспорт, связь по обслуживанию производства, строительство, торговля и общественное питание, материально-техническое обеспечение и сбыт, заготовки, информационно-вычислительное обслуживание, операции с недвижимым имуществом, общая коммерческая деятельность по обеспечению функционирования рынка, геология и разведка недр, геодезическая и гидрометеорологическая служба.
Определяющим признаком для выделения крупных отраслей экономики является однотипность выполняемых предприятиями и организациями функций и видов деятельности. Классификационной единицей отрасли является предприятие, имеющее самостоятельный баланс и счет в банке. В том случае, если предприятие занимается разнородной деятельностью, оно учитывается в составе той отрасли экономики, к которой принадлежит преобладающая часть этой деятельности.
В составе крупных отраслей выделяют подотрасли. Они представляют собой совокупность предприятий, производящих однородную продукцию или выполняющих однородные виды работ (услуг). Например, в промышленности выделяют около двух десятков подотраслей — электроэнергетика, топливная промышленность, машиностроение, пищевая, легкая промышленность, производство строительных материалов и др. В сельском хозяйстве выделяют подотрасли: растениеводство и животноводство, на транспорте — его отдельные виды:  автомобильный, железнодорожный, водный, воздушный. трубопроводный.
Промышленность подразделяется на добывающую, в том числе горнодобывающую, и обрабатывающую. К обрабатывающей индустрии относятся предприятия, перерабатывающие продукцию добывающих отраслей и предшествующих стадий обрабатывающей промышленности, а также предприятия по переработке продукции сельского хозяйства. Предприятия добывающей промышленности и сельское хозяйство составляют сырьевой комплекс страны.
В последнее десятилетие в статистике, планировании и управлении оперируют понятиями межотраслевых хозяйственных комплексов. В сфере материального производства обычно выделяют следующие комплексы: топливно-энергетический, горно-металлурги-ческий, химико-лесной, машиностроительный, агропромышленный, строительный, транспортный, социальный, военно-промышленный.
Государственное    регулирование    отраслей    материального    производства осуществляется различными методами, которые можно условно разделить на прямые и косвенные. Методы прямого воздействия проявляются чаще всего в форме административных рычагов: установление законодательных рамок самостоятельности предприятий, регистрация предприятий (юридических лиц), предоставление лицензий и свидетельств на виды деятельности, различные формы кадровой политики, размещение заказов на поставку продукции, директивное определение номенклатуры выпускаемой продукции, использование органами государственного управления права «вето» на принимаемые руководством АО решения при наличии у фондов имущества «золотой акции» и др. В отношении некоторых групп отраслей и производств осуществляется прямое государственное управление (атомная энергетика, производство оружия, государственные и муниципальные унитарные предприятия, предприятия, находящиеся на стадии банкротства и т.п.).
Методы косвенного воздействия на предприятия принимают разнообразные формы в зависимости от состояния хозяйственного законодательства, юридической самостоятельности предприятия, действенности, приемлемости и отработанности различных форм воздействия на юридические лица, характера объекта регулирования, задач, стоящих перед органами власти. Методы косвенного регулирования базируются на экономическом стимулировании. Государство использует для этого как собственные финансовые, материальные и иные ресурсы, так и различные элементы хозяйственного механизма.
Основными задачами государственного регулирования сферы материального производства в настоящее время являются:
- стабилизация основных показателей промышленности, сельского хозяйства и других отраслей;
- структурная перестройка общественного производства в направлении его социальной ориентации, изменения соотношений между добывающими и обрабатывающими отраслями, повышения роли наукоемких производств и особенно восстановления позиций машиностроительного комплекса как обязательного условия поступательного движения экономики;
- техническое перевооружение отраслей материального производства;
- вхождение в мировой экономический процесс в качестве равноправного партнера развитых стран мира, изменение направленности экспорта российских производителей с продукции сырьевых на продукцию обрабатывающих отраслей промышленности;
- повышение качества продукции российских предприятий до уровня требований мирового рынка;
- рационализация размещения производства по территории России;
- обеспечение безопасности производства, и особенно экологической безопасности, энергетики, химической, металлургической промышленности.
Большие возможности влиять на материальное производство заложены в реализации соответствующей финансово-кредитной и инвестиционной политики. Выделяя из бюджета средства на государственные закупки (например, размещение заказа на продукцию ВПК), государство стимулирует рост как в отраслях-исполнителях заказа, так и в сопряженных производствах. Размещением своих заказов государство влияет не только на объемы, но и на структуру производства.
Рычагами воздействия на материальное производство могут рассматриваться регулирование процентной ставки за кредитные ресурсы, изменение (увеличение или уменьшение) резервной нормы для коммерческих банков, государственная политика доходов, формирование покупательского спроса населения.


Валютный курс как средство регулирования платежного баланса


Валютный курс как средство регулирования платежного баланса. Фиксированные и «плавающие» валютные курсы Валютный курс как макропоказатель положения страны в системе мирохозяйственных связей занимает особое место в числе показателей, используемых в качестве средства государственного регулирования платежного баланса. Причина заключается в том, что его повышение или понижение немедленно и непосредственно воздействует на экономическое положение страны. Изменяются ее внешнеэкономические показатели, валютные резервы, задолженность, динамика товарных и финансовых потоков.
Общим для всех случаев является использование динамики изменения курсов (или соотношения своей и иностранной валюты) для корректировки платежного баланса. Эти изменения могут быть разовыми или регулярными и принять форму девальвации (если стоимость национальной валюты постоянно падает) или ревальвации (при чрезмерном повышении курса национальной валюты).
Девальвация валюты, т.е. понижение ее цены по отношению к другим валютам, позволяет производителю за то же количество иностранной валюты получить большее количество национальной валюты. Для получения прежней цены в национальной валюте и покрытия собственных издержек производства владелец может продать свой товар на иностранном рынке по более дешевой цене. В результате девальвации национальные товары на иностранных рынках становятся дешевле и облегчается их экспорт. При этом уменьшается количество иностранной валюты, выручаемой за единицу проданного товара. Вместе с тем импортные товары становятся дороже и количество национальной валюты, необходимой для приобретения единицы этого товара, увеличивается.
«Плавающий» валютный курс. Особенность свободно колеблющегося валютного курса заключается в том, что его колебания рассматриваются если не в качестве единственного, то по крайней мере важнейшего средства, обеспечивающего регулирование платежного баланса страны. Объясняется это механизмом корректировки: более легкий способ выравнивания баланса — изменение цены валюты, определяющей соотношение между ценами, по сравнению, например, с перестройкой всего внутреннего механизма хозяйственных связей (налогообложения, эмиссионной деятельности и т.д.). Колебания цены валюты, происходящие параллельно платежному дисбалансу, дают возможность менее «болезненно», без привлечения внешних источников финансирования, осуществлять корректировку. Сторонники использования «плавающего» валютного курса подчеркивают его способность автоматически регулировать величину экспорта и импорта.
Рассмотрим использование «плавающего» валютного курса в условиях постоянного дефицита платежного баланса России. Если платежный баланс страны будет регулярно сводиться с дефицитом, то вследствие уменьшения суммы долларовых поступлений на российский рынок цена национальной валюты по отношению к другим иностранным валютам будет снижаться. Это вызовет удешевление российских товаров на внешних рынках и рост российского экспорта. Увеличившийся приток иностранной валюты снизит спрос на нее, и курс рубля повысится.
«Плавающий» валютный курс, представляя собой элемент классических теорий, позволяет экспортировать товары, по которым страна имеет сравнительные преимущества, и таким образом оптимизирует ее участие в международном разделении труда.
К преимуществам «плавающего» валютного курса относится возможность правительства проводить относительно независимую национальную экономическую политику (прежде всего направленную на обеспечение большей занятости и увеличение темпов экономического роста). Например, сторонники введения «плавающего» курса доллара США отмечали необходимость проведения более независимой экономической политики в условиях выполнения долларом функции мировой валюты и вытекающих из этого обязательств США.
Сторонники «плавающего» валютного курса подчеркивают влияние в современных условиях на валютный курс настолько большого количества факторов, что их не могут спрогнозировать ни правительство, ни Центральный банк, ни какие-либо другие официальные органы. Именно «плавающий» валютный курс наиболее реально отображает эти воздействия и обеспечивает эффективную реакцию на них, свидетельствуя о действительной стоимости национальной валюты на мировом рынке. Такой подход объясняет, почему в большинстве стран полностью свободное «плавание» использовалось лишь в течение коротких периодов времени для определения реальной цены национальной валюты.
Ограниченное (по времени) свободное «плавание» было использовано в начале 70-х годов в Голландии и Дании, когда возникла необходимость проведения ревальвации обеих валют. Оставался неясным масштаб ревальвации. Решение было найдено в использовании механизма «плавающих» курсов, действовавшего в течение шести месяцев 1971 г. После того, как система свободного «плавания» определила курсы валют, они были официально зафиксированы.
В то же время «плавающий» курс имеет недостаток. Значительные краткосрочные его колебания могут дестабилизировать внешнеторговые сделки и привести к убыткам в связи с невозможностью выполнения ранее заключенных контрактов.
Например, в марте 1993 г. после резкого, «обвального», падения курса рубля на межбанковской бирже многие российские фирмы вынуждены были расторгнуть ранее заключенные долгосрочные контракты, понеся при этом значительные потери. Подобное неудивительно, так как подписание перспективных контрактов в условиях «плавающего» курса несет большую долю риска. Особенно сложно прогнозирование и осуществление сделок в сфере наукоемкого производства, где устанавливаются долгосрочные технологические связи.
Фиксированный курс валюты. Перечисленные недостатки исключает фиксированный курс, привязанный к какой-либо стабильной стоимостной единице. Фиксированный курс позволяет прогнозировать предпринимательскую деятельность, регулировать уровень прибыльности будущих инвестиционных программ. Практически все предприниматели и банкиры выступают за фиксированный курс национальной валюты.
Фиксированный курс особенно важен для отраслей, ориентированных на значительный объем импортных поставок (высокотехнологичные отрасли) с высокой долей экспорта в общем объеме производства. Такой курс означает прогнозируемые в будущем суммы переводимой валюты, необходимые для разработки программ инвестиционной деятельности, связанных с длительным сроком окупаемости вкладываемых средств.
Фиксированный курс эффективен для организаций, осуществляющих длительные и стабильные связи. Он особенно выгоден для сохранения и поддержания политического «лица» руководства и свидетельствует о прочности и надежности экономической политики правительства. Правительство берет на себя обязательство поддерживать стабильность валюты, а соответственно и положение страны в системе мирохозяйственных связей. Руководство страны как бы подтверждает, что на национальном и международном уровнях имеется достаточно доверия и финансовых средств для того, чтобы поддержать стабильность национальной денежной единицы. При этом оно берет на себя расходы по «сглаживанию»  возможных краткосрочных колебаний,  особенно опасных для внешнеторговых сделок.
Наиболее часто встречающиеся аргументы в пользу фиксированного курса заключаются в возможности более точного прогнозирования будущих поступлений от внешнеэкономической деятельности, осуществления длительных контрактных соглашений, коммерческих сделок и т.д.
Введение  фиксированного  валютного  курса  ставит перед национальным правительством ряд проблем. Важнейшая из них — поддержание «внешнего равновесия», т.е. балансирование внешних расчетов с целью поддержания валютного курса на постоянном уровне.
Опыт хозяйствования ряда стран выявил следующие практические способы решения данной проблемы.
Наиболее простой вариант — возникновение дефицита, перемежающегося с положительным сальдо. В этом случае государственные органы могут финансировать возникающие убытки и дефицит достаточно долго без угрозы истощения валютных запасов. Однако важно, чтобы дефицит был временным, поскольку иначе государственные органы рискуют потерять финансовые накопления, истощить валютные резервы.
Попытки государственного регулирования и стабилизации валютного курса оказываются малоэффективными, когда причина дисбаланса связана с низким уровнем производительности труда, неконкурентоспособностью экспортной продукции и т.д.
Более удачными оказываются попытки государства, направленные на недопущение резкого снижения курса в условиях ограниченных отклонений или при «сглаживании» резких «зигзагов» курса национальной валюты.
Валютные интервенции центральных банков с целью сглаживания колебаний курсов (покупка при превышении лимита колебаний курсов и продажа в обратной ситуации) представляют собой обычную практику в современных условиях.
Примером «сглаживания» колебаний значительного снижения курса рубля могут служить действия Центрального банка России в конце 1993 г. За несколько дней было истрачено более 1,5 млрд. долл. с целью не допустить обвального снижения курса рубля, вызванного уходом из российского правительства премьера Е.Гайдара и опасениями по поводу изменения правительственного курса.


Валовой внутренний продукт и система взаимосвязанных показателей


Валовой внутренний продукт и система взаимосвязанных показателей Валовой внутренний продукт является обобщающим экономическим показателем, который выражает в рыночных ценах совокупную стоимость товаров и услуг, созданных внутри страны и только с использованием факторов производства данной страны.
Валовой внутренний продукт рассчитывается тремя методами:
1) по доходам: суммируются доходы частных лиц, акционерных обществ, частных предприятий, а также доходы государства от предпринимательской деятельности и органов государственного управления в виде налогов на производство и импорт;
2) по расходам: суммируются расходы на личное потребление, на государственные закупки (государственное потребление), на капиталовложения и сальдо внешней торговли;
3) по добавленной стоимости (производственный метод): суммируется стоимость условно чистой продукции всех сфер экономики.
Добавленная стоимость (ДС) — это стоимость, созданная в процессе производства на данном предприятии и отражающая реальный вклад предприятия в создание стоимости конкретного продукта, т.е. заработную плату, прибыль, амортизацию, процент за кредит и т.д.
Стоимость потребленных сырья и материалов, которые приобретены у поставщиков, в создании которых конкретное предприятие не принимало участия, в добавленную стоимость не включается. Иначе говоря, добавленная стоимость — это валовая продукция предприятия, или рыночная цена произведенной продукции, за минусом текущих материальных издержек, но с включением в нее отчислений на амортизацию, ибо основные. фонды предприятия принимают участие в создании новой стоимости производимой продукции. В советской практике этот показатель носил название «условно чистая продукция».
Анализ показателя ВВП по методу расчета добавленной стоимости (или отраслям) • позволяет выявить соотношение и роль отдельных отраслей в создании ВВП. Если рассмотреть структуру ВВП по отраслям за ряд лет, то можно охарактеризовать осуществляемую в стране структурную политику на основе изменения его структуры и развития отдельных отраслей.
Валовой национальный продукт (ВНП) — второй важнейший макроэкономический показатель.
Валовой национальный продукт, в отличие от валового внутреннего продукта, выражает совокупную стоимость конечных товаров и услуг, созданных не только внутри страны, но и за ее пределами. Валовой национальный продукт рассчитывается так же, как валовой внутренний продукт, но отличается от него на величину, равную сальдо расчетов с зарубежными странами. То есть, если к показателю ВВП добавить разность между поступлениями от факторов производства (факторными доходами) из-за границы и факторными доходами, полученными зарубежными инвесторами в данной стране, то мы получим показатель ВНП.
ВНП, исчисленный в текущих рыночных ценах, называется номинальным. Для получения истинной величины ВНП — реального ВНП — необходимо очистить номинальный ВНП от влияния инфляции, т.е. применить индекс цен. Например, в США в начале 90-х годов ВНП в текущих ценах составил 5570 млрд. долл., а в постоянных ценах (1982 г.) — 4254 млрд. долл. Отношение номинального ВНП к реальному ВНП показывает увеличение ВНП за счет роста цен и называется ВНП-дефлятором.
Индекс цен выражает относительное изменение среднего уровня цен широкой группы товаров за определенный период. Он определяется по формуле:

Таким образом, реальный ВНП будет равен отношению номинального ВНП к индексу цен, умноженному на 100%.
В нашей стране до недавнего времени основными макроэкономическими показателями были совокупный общественный продукт (СОП) и национальный доход (НД).
СОП представлял собой совокупную стоимость всего объема произведенных товаров и услуг только в сфере материального производства с включением в нее затрат на сырье, материалы, топливо, энергию и других, т.е. не был свободен от повторного счета.
Главное требование при расчете показателей ВВП и ВНП — чтобы товары и услуги, произведенные в обществе за год, учитывались только один раз, что вызывает необходимость исчисления конечной и промежуточной продукции.
Конечная продукция — это товары и услуги, которые покупаются потребителями для конечного использования, а не для перепродажи. Промежуточная продукция — это товары и услуги, которые проходят дальнейшую переработку или перепродаются несколько раз, прежде чем попасть к конечному потребителю.
Если суммировать произведенные в стране товары и услуги во всех отраслях экономики, неизбежен многократный повторный счет, существенно искажающий реальный объем ВНП. Поэтому вводится показатель чистого национального продукта.
Чистый национальный продукт (ЧНП) — это созданный валовой национальный продукт за вычетом той части созданного продукта, которая необходима для замещения средств производства, изношенных в процессе выпуска продукции (амортизационные отчисления).
Формула его определения: ЧНП == ВНП — А, где ЧНП — чистый национальный продукт; ВНП — валовой национальный продукт; А—амортизация.
Еще одним важным макроэкономическим показателем является национальный доход (НД). С точки зрения собственников ресурсов, НД является измерителем их доходов от участия в производстве за текущий период.
Национальный доход, согласно американской статистике, определяется как сумма доходов всех владельцев, участвующих в производстве факторов, т.е. оценивается по так называемой факторной стоимости за вычетом косвенных, налогов.
Национальный доход может быть исчислен двумя способами или методами (схема 12.1.3). Он представляет собой чистый и заработанный доход общества. Именно этим и определяется важность национального дохода как макроэкономического показателя. В хозяйственной практике различают произведенный и использованный НД.
Произведенный НД— это весь объем вновь созданной стоимости товаров и услуг. Использованный НД — это произведенный НД за вычетом потерь от бедствий, ущерба при хранении и т.д. и внешнеторгового сальдо.
В российской практике НД разбивается на два фонда: фонд потребления — часть НД, обеспечивающая удовлетворение материальных и культурных потребностей населения и потребностей общества в целом (оборона, управление государством, образование и т.д.) и фонд накопления— часть НД, обеспечивающая развитие
Исследованием национального дохода занимались экономисты У.Петти ещё в 1664 г. пытался анализировать доходы в обществе и их распределение. Он составил баланс доходов и расходов населения Англии того времени, доход он сводил к сумме доходов всего населения, полученных с земли, домов, капиталов и труда.
Проблемы национального дохода изучали А.Смит и Д.Рикардо. Они определяли стоимость всего общественного продукта суммой доходов общества, исключая при этом входящую в стоимость продукта стоимость средств производства. Ж.де Сисмонди не делал различий между величинами годового продукта общества и национального дохода.
К.Маркс рассматривал национальный доход как вновь созданную стоимость в масштабе общества, созданную живым трудом наемных рабочих.
Два метода подсчета НД                                                                          Схема 12.1.3.
Доходы млрд. долл. США
Распределение млрд. долл. США
Измерение НД по сумме расходов Метод потока товаров
Измерение НД по сумме доходов Метод потока издержек
Личные потребительские расходы
3226
Объем потребленного капитала
505
Валовые чистые внутренние инвестиции
765
Косвенные налоги на бизнес
393
Государственные закупки товаров и услуг
964
Заработная плата
2905
Чистый экспорт
-93
Арендная плата
20
ВНП
4862
Проценты
392
Амортизационные отчисления
-505
Доход от индивидуальных вложений
325
ЧНП
4357
Налоги на прибыль корпораций
145
Косвенные налоги на бизнес
-393
Дивиденды
98
Национальный доход
3964
Нераспределенная прибыль корпораций
79
Взносы на социальное страхование
-445
ВНП
4862
Налоги на прибыль корпораций
-145




Нераспределенная прибыль корпораций
-79




Трансфертные платежи
+768




Личный доход
4063




Индивидуальные налоги
-590




Располагаемый доход
3473





Французский экономист Ж.Б. Сэй считал, что стоимость и полезность есть результат услуг трех факторов производства (труда, капитала, земли), а общая стоимость всех продуктов складывается из доходов трех классов — рабочих, капиталистов и земледельцев. Национальный доход создает каждый человек, получающий доход.
Современные западные экономисты, разделяя взгляд Ж.Б. Сэя на национальный доход, согласно которому каждый вид деятельности приносит одинаковый доход независимо от профессии и сферы деятельности, утверждают, что национальный доход создается государственными чиновниками, военнослужащими, церковнослужителями и другими.
Ряд отечественных ученых, опираясь на марксистскую политэкономию, возражают: по их мнению, экономически не оправданно включение в НД доходов от деятельности полицейского, юриста, работника средств массовой информации, государственного чиновника. Представители этих профессий оказывают специфические услуги, которые не имеют отношения к процессам общественного производства и увеличивают показатель национального дохода приблизительно на 20-30%.


Важнейшие показатели статистики оборудования


Важнейшие показатели статистики оборудования Энергетическое и производственное оборудование — наиболее активная часть производственных основных фондов во всех отраслях народного хозяйства. К энергетическому относят оборудование, основной функцией которого является производство различных видов энергии (тепловой, механической, электрической) и преобразование одного вида энергии в другой. К производственному оборудованию относятся орудия труда, с помощью которых рабочими осуществляется непосредственное воздействие на предмет труда.
Производственное и энергетическое оборудование весьма разнообразно по конструкции, назначению и многим другим признакам, поэтому статистическое изучение его базируется на соответствующих классификациях.
В составе энергетического оборудования с учетом различия роли отдельных его видов в энергетическом обеспечении производства выделяют следующие группы:
1. Паровые котлы. Их наличие статистика учитывает в штуках и в квадратных метрах поверхности нагрева (по производительности), в тоннах нормального пара в час.
2. Двигатели, которые подразделяют на первичные, преобразующие потенциальную энергию сил природы в механическую, и вторичные, преобразующие один вид энергии в другой. По видам используемой энергии первичные двигатели подразделяются на тепловые (паровые и внутреннего сгорания), водяные, атомные и пр. К вторичным двигателям относятся электромоторы
4. Электроаппараты. Это особая группа энергетического (силового) оборудования, выполняющая функции воздействия на предметы труда (сварочные аппараты, электропечи, электросушилки и др.); их учет ведется в штуках и киловаттах мощности.
5. Трансформаторы и преобразователи тока (выпрямители, умформеры), учитываемые в штуках и киловаттах мощности.
Классификация производственного оборудования значительно сложнее и, по существу, в статистической практике применяется ряд самостоятельных его классификаций. Наиболее общим является деление производственного оборудования по способу воздействия на предмет труда. По этому признаку выделяют механическое, термическое и химическое оборудование. Оборудование, входящее в каждую из этих групп, в дальнейшем подразделяют по различным признакам. Широко используют также классификации оборудования по характеру его применения (оборудование многоотраслевого применения и специализированное, применяемое в конкретных производствах); по специализации (универсальное и специальное оборудование); по степени автоматизации (машины без принудительной связи рабочего органа с предметом труда, машины с принудительной связью рабочего органа с предметом труда, с автоматизированной подачей материала и автоматизированным уводом готового продукта — автоматы), автоматические системы машин (поточные и автоматические линии и др.); по степени технического совершенства (современное, технически совершенное оборудование; оборудование, требующее модернизации;
устаревшее оборудование, модернизация которого нецелесообразна) и по многим другим признакам технико-экономического характера («возрасту», месту изготовления и др.).
Сопоставлением числа единиц фактически работавшего оборудования с числом единиц установленного или наличного оборудования получают коэффициенты использования парка оборудования.
По режиму работы различают оборудование непрерывного действия и оборудование прерывистого действия, которое в течение суток может работать в различные смены (в одну или несколько смен). Показатель, характеризующий использование оборудования по среднему числу смен работы в сутки, называют коэффициентом сменности. Его определяют делением количества смен, отработанных всеми единицами оборудования, на количество отработанных ими машино-дней.
Наряду с показателями численности важной характеристикой наличия энергетического оборудования служит его мощность. В статистике используют показатель эффективной максимально длительной мощности. Этот вид конструктивной мощности двигателя обычно указывается в паспорте и характеризует наибольшую мощность, которую можно получить на рабочем валу двигателя и использовать длительное время без угрозы выхода двигателя из строя вследствие перегрузки. Аналогичный смысл имеет паспортная мощность электроаппаратов.1
Существующие тенденции в сфере научно-технического прогресса требуют фиксации и оценки прироста в данной области. Необходимо выяснить, интенсивным или экстенсивным путем достигаются соответствующие темпы роста. Статистика НТП дает возможность выводить средний показатель роста для сравнения с реальным показателем, что является основанием для определения характера изменений экономических явлений в результате воздействия спонтанных факторов внешней среды.
Статистика науки и научно-технического прогресса Научно-технический прогресс как социально-экономическое явление общественного развития характеризуется коренными преобразованиями науки, техники и производства, суть которых заключается в систематическом накоплении и совершенствовании знаний и опыта, в создании и внедрении новых прогрессивных элементов производства, в научной организации труда и управления. Экономическим и социальным результатами научно-технического прогресса являются рост экономической эффективности общественного производства, увеличение национального дохода, повышение уровня народного благосостояния, создание лучших условий для высокопроизводительного труда и усиление его творческого характера.
Показатели статистики науки и научного обслуживания. Статистика науки как самостоятельный раздел статистики сформировалась относительно недавно. В настоящее время в связи с усилением ее роли в техническом прогрессе она приобретает характер отрасли социально-экономической статистики, тесно связанной со статистикой технического прогресса. Статистика науки разрабатывает и обосновывает систему показателей, отображающих, во-первых, научный потенциал как комплексную характеристику состояния науки, во-вторых, научную деятельность и ее фактический результат, в-третьих, эффективность научной деятельности и ее влияние на эффективность общественного производства и его результат.
Научный потенциал как сложное понятие должно быть раскрыто рядом статистических показателей, которые можно объединить в следующие три группы:
1) показатели численности и структуры научных работников;
2) показатели численности и состава научных учреждений;
3) показатели материально-технической базы научных учреждений. Совокупность научных учреждений весьма разнородна по своему назначению, подчиненности и другим признакам, что приводит к необходимости изучения ее состава. С этой целью научные учреждения группируют по видам (отраслям) научной деятельности, отраслям народного хозяйства, подчиненности и формам подчинения, величине организаций, союзным республикам, территориальному размещению и т.д.
Завершающее представление о научном потенциале дает статистическая характеристика его материально-технической базы. Важнейшую составную часть последней образуют основные фонды научных учреждений. Естественно, структура основных фондов научных учреждений и их отраслевых групп по натурально-вещественному составу неодинаковая, что обусловлено различной отраслевой принадлежностью учреждений. Однако в настоящее время для научных учреждений в целом характерно применение дорогостоящей измерительной аппаратуры, ЭВМ, испытательных установок, машин, оборудования экспериментальных предприятий, цехов, мастерских и т.д. В составе основных фондов научных учреждений важно определять удельный вес этих групп в общей стоимости основных фондов, а также удельный вес групп машин, установок, приборов и т.д. по их роли (функциям) в осуществлении научно-исследовательских работ, по их техническому совершенству. Эти структурные группировки дают, в известной мере, представление об уровне технической оснащенности научных учреждений.
Второе направление характеризуется показателями, отражающими различные стороны процесса научной деятельности и его конечного результата. В круг этих вопросов прежде всего входят затраты на выполнение научно-исследовательских работ. С учетом особенностей расходов на науку статистика делит их на две группы: 1) расходы на развитие науки и ее материально-технической базы и 2) текущие затраты на осуществление научно-исследовательских работ.
Первая группа включает показатели объемов капитальных вложений в области науки в целом, в том числе на строительно-монтажные работы, приобретение и создание оборудования, измерительной, вычислительной и испытательной аппаратуры и т.д. В планах капитального строительства и отчетах выделяются капитальные вложения на создание основных фондов новых научных учреждений и на расширение, реконструкцию и техническое перевооружение действующих опытно-экспериментальных заводов и цехов при академиях наук, НИИ и других научных учреждениях. Капитальные вложения на науку также планируются и учитываются в разрезе отраслей народного хозяйства, источников финансирования и т.д. Абсолютные и относительные показатели структуры капитальных вложений и их динамика дают представление о состоянии и развитии науки.
Важнейшей характеристикой научной деятельности является ее результат, который статистика выражает рядом показателей. Прежде всего — это количество фактически выполняемых научно-исследовательских тем в целом, в том числе предусмотренных тематическим планом, целевыми научно-техническими программами. Конечный результат научной деятельности выражается количеством законченных и внедренных в отчетном году тем.
Третье направление статистического изучения науки охватывает показатели экономической и социальной эффективности научной деятельности и влияние ее на результаты общественного производства. Принцип построения этих показателей аналогичен принципу построения показателей эффективности общественного производства (соотношение эффекта и затрат).
Обобщающим показателем эффективности научной деятельности принято считать величину, получаемую как отношение фактического годового экономического эффекта от внедрения научных разработок в национальном хозяйстве к фактически произведенным затратам на их осуществление. Фактический годовой экономический эффект и затраты на выполнение соответствующих научно-исследовательских работ определяются на основе типовой методики. Однако этот показатель не всегда представляется возможным определить из-за отсутствия исходных данных, например, по теоретическим разработкам в различных отраслях науки.
Система показателей статистики научно-технического прогресса. Научно-технический прогресс как многогранный процесс затрагивает все сферы народного хозяйства, поэтому статистически может быть отражен не одним или несколькими показателями, а многопозиционной системой показателей. Эта система показателей должна удовлетворять как требованиям статистической методологии, так и самой экономической и социальной сущности изучаемого явления.
Показатели, входящие в систему, должны охарактеризовать прежде всего уровень научно-технического прогресса и особенности его развития, результат от внедрения соответствующих мероприятий и его эффективность. Система должна включать как общие показатели, дающие сводную характеристику изучаемого процесса, так и частные;
отражающие его отдельные стороны. В соответствии с представлениями экономической теории статистика определяет показатели научно-технического прогресса по его основным направлениям, в разрезе классификации отраслей народного хозяйства, а также по основным этапам технического прогресса и элементам производственного процесса.
К обобщающим можно отнести показатели, характеризующие объем производства на новых предприятиях современных отраслей промышленности (атомное машиностроение, электронная, микробиологическая промышленность, производство искусственных алмазов, новых синтетических материалов и т.д.), на совершенных в техническом отношении предприятиях всех отраслей народного хозяйства, а также его долю в общем производстве. К этой группе можно отнести показатели, выражающие интеграцию науки с производством, как, например, число действующих на отчетную дату и вновь образованных в отчетном периоде научно-производственных объединений, объем созданной ими продукции и ее доля в совокупном общественном продукте. Обобщающими можно считать и показатели вооруженности труда новой техникой (в единицах мощности или стоимостном выражении на одного рабочего), вооруженности производства (например, в сельском хозяйстве величина энергетических мощностей в целом и по видам на 100 га посевной площади).
Углубляя представление о состоянии научно-технического прогресса, статистика определяет целый ряд частных показателей по его отдельным направлениям и этапам осуществления.
Важным направлением научно-технического прогресса является электрификация всех отраслей народного хозяйства. Статистика характеризует масштаб электрификации общественного производства в целом и отдельных отраслей экономики, развитие новых современных   направлений   производства   электроэнергии   и   электрификации, электровооруженности труда рабочих.


Виды средних и методы их расчета


Виды средних и методы их расчета В практике статистической обработки материала возникают различные задачи, имеются особенности изучаемых явлений, и поэтому для их решения требуются различные средние. Математическая статистика выводит различные средние из формул степенной средней:
=

при z=l —средняя арифметическая;
при z=-l —средняя гармоническая;
при z = 2 — средняя квадратическая.
Однако вопрос о том, какой вид средней необходимо применить в отдельном случае, разрешается путем конкретного анализа изучаемой совокупности, определяется материальным содержанием изучаемого явления, а также исходя из принципа осмысленности результатов при суммировании или при взвешивании. Только тогда средняя применима правильно, когда получают величины, имеющие реальный экономический смысл.
Введем следующие понятия и обозначения: признак, по которому находится средняя, называется усредняемым признаком и обозначается х ; величина усредняемого признака у каждой единицы совокупности называется индивидуальным его значением, или вариантами, и обозначается как х1,х2,х3,...,хn, частота — это повторяемость индивидуальных значений признака, обозначается буквой
.
1. Предположим, что требуется вычислить средний стаж десяти работников торгового предприятия, причем каждый из них проработал здесь 6, 5, 4, 3, 3, 4, 5, 4, 5, 4, т.е. дан ряд одиночных значений признака, тогда х рассчитывается как

т.е. рассчитывается как средняя арифметическая (невзвешенная) делением количества сводного признака на число показаний:

Часто приходится рассчитывать среднее значение признака по ряду распределения, когда одно и то же значение признака встречается несколько раз. Объединив данные по величине признака (т.е. сгруппировав) и подсчитав число случаев повторения каждого из них, мы получим следующий вариационный ряд (табл. 17.3.1). Тогда средняя равна:

Таблица 17.3.1.
Ряд распределения работающих на торговом предприятии по стажу работы
Продолжительность стажа работы (варианты) х^
Число работников торгового предприятия (частоты)

Отработано человеко-лет Xi

Доля работников к общей численности работников,% (частости)
Wi=
/

xiwi
3
2
6
20
60
4
4
16
40
160
30
3
15


150
6
1
6
10
60
Итого
10
43
100
430

Следовательно, для исчисления взвешенной средней арифметической выполняются следующие последовательные операции: умножение каждого варианта на его частоту, суммирование полученных произведений, деление полученной суммы на сумму частот.
В ряде случаев роль частот при исчислении средней играют какие-либо другие величины. Например, при исчислении средней урожайности единственно правильным будет взвешивание по размеру площади посева, а не по числу участков. Частоты отдельных вариантов могут быть выражены не только абсолютными величинами, но и относительными величинами — частостями (w,). Заменив в этом примере абсолютные
значения частот соответствующими относительными величинами, получим тот же результат

Взвешенная средняя арифметическая учитывает различное значение отдельных вариантов в пределах совокупности. Поэтому она должна употребляться во всех тех случаях, когда варианты имеют различную численность. Употребление невзвешенной средней в этих случаях недопустимо, так как это неизбежно приводит к искажению статистических показателей. Сам по себе вопрос о весах, которые должны быть приняты при исчислении средней, как это видно из приведенных примеров, определяется исходной информацией.
Средняя арифметическая как бы распределяет поровну между отдельными объектами общую величину признака, в действительности варьирующую у каждого из них. Общий объем стажа, отработанного всеми рабочими, распределяется между ними поровну.
Средняя гармоническая. Учитывая, что статистические средние всегда выражают качественные свойства изучаемых общественных процессов и явлений, важно правильно выбрать форму средней, исходя из взаимосвязи явлений и их признаков. Средняя гармоническая — это величина, обратная средней арифметической. Когда статистическая информация не содержит частот по отдельным вариантам совокупности, а представлена как их произведение, применяется формула средней гармонической взвешенной.
Например, расчет средней цены выражается отношением:

При определении средней цены, используя невзвешенную среднюю арифметическую, получим среднюю, которая не отражает объема реализации, т.е. нереальна.

Как видно, средняя гармоническая является превращенной формой арифметической средней. Вместо гармонической всегда можно рассчитать среднюю арифметическую, но для этого сначала нужно определить веса отдельных значений признака.
В том случае, если объемы явлений, т. е. произведения, по каждому признаку равны, применяется средняя гармоническая (простая).
Средняя геометрическая — это величина, рассчитываемая как средняя из отношений или как средняя в рядах распределения, представленных в виде геометрической прогрессии:
=
Этой средней удобно пользоваться, когда уделяется внимание не абсолютным разностям, а отношениям двух чисел. Поэтому средняя геометрическая используется в расчетах среднегодовых темпов роста.
Основные свойства средних величин.
1. От уменьшения или увеличения частот каждого значения признака х в п раз величина средней не изменится. Если все частоты разделить или умножить на какое-либо число, то величина средней не изменится. Это свойство дает возможность частоты заменить удельными весами, называемыми частностями, а также, когда частоты всех вариантов одинаковы, вычислять средние по формуле простой средней арифметической. Указанное свойство важно тогда, когда абсолютные частоты не известны, а известны лишь удельные веса, т.е. относительные величины структуры совокупности.
2. Общий множитель индивидуальных значений признака может быть вынесен   за
знак средней:
3. Средняя суммы (разности) двух или нескольких величин равна сумме (разности)
их средних:
4. Если     где  — постоянная величина, то
5. Сумма отклонений значений признака    от средней арифметической   равна нулю:
Изложенные выше свойства средней позволяют во многих случаях упростить ее расчеты: можно из всех значений признака вычесть произвольную постоянную величину, разность сократить на общий множитель, а затем исчисленную среднюю умножить на общий множитель и прибавить произвольную постоянную величину.


Власть, влияние, лидер


Власть, влияние, лидер Слушатели школ бизнеса часто бывают удивлены тем, насколько низко ставит руководитель-практик научную теорию управления. Конечно, хорошо поговорить об организации, планировании, мотивации и контроле, соглашается такой критик от практики. Изучение того, почему определенные методы дают результат, и рассуждение о том, как эффективнее всего выполнять свои функции — это все интересные, но чисто интеллектуальные упражнения. Однако, никогда теории управления не славились тем, что побуждали к действию. Когда вы покидаете башню из слоновой кости и спускаетесь в реальный мир, там работа руководителя сводится к тому, что вы заставляете других делать что-то и так, как хотите этого вы. Что действительно имеет значение, считают эти критики, так это — эффективное использование статуса лидера, влияния и власти.
Эта точка зрения возникла значительно раньше, чем появилась профессия менеджера. Знаменитая работа Никколо Макиавелли «Принц», появившаяся в самом начале XVI века, написана о том, что власть и манипулирование ею являются рычагами управления государством. Популярность книг Энтони Джея «Управление и Макиавелли» и Майкла Корды «Власть» говорит о том, насколько живучи и действенны эти концепции и в наше время.
Укрепилось и стало весьма распространенным мнение, что власть и руководящая должность являются наиболее действенными инструментами эффективного управления. Однако, если кто-нибудь думает, что одного этого достаточно, тот, по меньшей мере, близорук. Для того, чтобы сложная организация эффективно выполнила свои задачи, необходимо обеспечить выполнение всех функций управления. Однако, по аналогии с процессами общения и принятия решений, руководство, лидерство являются тем видом деятельности, который пронизывает всю систему управления. Невозможно эффективно выполнять функции планирования, организации, мотивации и контроля, если нет эффективного руководства.
Руководство в организации. Несмотря на то, что руководство — существенный компонент эффективного управления, эффективные лидеры не всегда являются одновременно и эффективными управляющими. Об эффективности лидера можно судить по тому, в какой степени он или она влияют на других. Иногда эффективное лидерство может и мешать формальной организации. Например, влиятельный неформальный лидер может сделать так, что трудовой коллектив начнет ограничивать выпуск продукции или производить товары или услуги низкого качества. Файли, Хаус и Керр устанавливают различие между управлением и лидерством: «Управление можно определить как умственный и физический процесс, который приводит к тому, что подчиненные выполняют предписанные им официальные поручения и решают определенные задачи. Лидерство же, наоборот, является процессом, с помощью которого одно лицо оказывает влияние на членов группы».
Управляющий становится во главе организации в результате намеренного действия формальной организации — делегирования полномочий. Лидерами, с другой стороны, становятся не по воле организации, хотя возможности вести за собой людей тоже можно увеличить путем делегирования полномочий.
Первостепенный интерес для фирмы представляет руководитель организации (organizational leader) — человек, который одновременно является лидером и эффективно управляет своими подчиненными. Его цель — влиять на других таким образом, чтобы они выполняли работу, порученную организации. В своих определениях лидерства в организации многие авторы старались четко сформулировать тот особый компонент, который вносит сам лидер. Например, Катц и Кан рассматривают лидерство как «оказывающий влияние элемент, который появляется помимо механического исполнения рутинных поручений организации». В своем определении лидерства Питер Друкер развивает эту мысль дальше: «Лидерство — это способность поднять человеческое видение на уровень более широкого кругозора, вывести эффективность деятельности человека на уровень более высоких стандартов, а также способность формировать личность, выходя за обычные, ограничивающие ее рамки».
Определение лидерства применительно к управлению следующее: «Лидерство — это способность оказывать влияние на отдельные личности и группы, направляя их усилия на достижение целей организации».
Далее будут подробно рассмотрены различные подходы и стили эффективного управления, их сравнительные преимущества, а также воздействие ситуация на лидерство. Однако, чтобы сделать это обсуждение более предметным, необходимо составить представление о том, как происходит процесс лидерства и что же именно дает человеку
импульс побуждать других людей к труду. Таким образом, здесь внимание будет сосредоточено на элементах, лежащих в основе руководства и лидерства, влияния и власти.
Влияние и власть. Влияние — это «любое поведение одного индивида, которое вносит изменения в поведение, отношения, ощущения и т.п. другого индивида». Конкретные сродства, с помощью которых одно лицо может влиять па другое, могут быть самыми разнообразными: от просьбы, высказанной шепотом на ухо, до приставленного к горлу ножа. В условиях организации таким «ножом» могла бы быть угроза увольнения.
Эта зависимость от факторов и людей, которыми нельзя управлять напрямую, является основной причиной трудностей, которую испытывает руководящий персонал. Однако, страдают не только чувства. Если руководитель не в состоянии эффективно взаимодействовать с этими многочисленными «неуправляемыми» силами, он или она не могут выполнять свою собственную работу, а это обязательно снизит эффективность как индивидуального трудового вклада, так и деятельности всей организации. Власть и влияние, инструменты лидерства, являются фактически единственными средствами, которыми располагает руководитель для разрешения подобных ситуаций. Если руководитель не обладает достаточной властью, чтобы влиять на тех, от кого зависит эффективность его деятельности, он или она не смогут получить ресурсы, необходимые для определения и достижения целей через других людей. Таким образом, власть, хотя часто и неправильно используемая, является необходимым условием успешной деятельности организации. Как утверждает социолог Роберт Бирстед, «власть стоит за каждой организацией и подпирает ее структуру. Без власти нет организации и нет порядка».
Баланс власти. Концепция зависимости также подтверждает несостоятельность еще одного распространенного мнения о власти. Многим людям кажется, что обладание властью подразумевает возможность навязывать свою волю, независимо от чувств, желаний и способностей другого лица. Если бы это было так, то назначенные руководители организаций всегда имели бы власть для оказания влияния, по крайней мере, на своих собственных подчиненных. Однако, сейчас повсеместно признается, что влияние и власть в равной мере зависят от личности, на которую оказывается влияние, а также от ситуации и способности руководителя. Не существует реальной абсолютной власти, так как никто не может влиять на всех людей во всех ситуациях.
В условиях организации, например, власть только отчасти определяется иерархией. Сколько власти имеет тот или иной человек в данной ситуации определяется не уровнем его формальных полномочий, а степенью зависимости от другого лица. Чем больше зависимость от другого лица, тем больше власть данного лица. Это можно выразить следующей формулой: уровень влияния облеченного властью лица А на лицо Б — степень зависимости лица Б от лица А.
Власть подчиненных. Обычно руководитель имеет власть над подчиненными потому, что последние зависят от него в таких вопросах, как повышение заработной платы, рабочие задания, продвижение по службе, расширение полномочий, удовлетворение социальных потребностей и т.п. Однако, в некоторых ситуациях подчиненные имеют власть над руководителем, так как последний зависит от них в таких вопросах, как необходимая для принятия решений информация, неформальные контакты с людьми в других подразделениях, чье содействие необходимо для руководителя, влияние, которое подчиненные могут оказывать на своих коллег, и способности подчиненных выполнять задания.
Дэйвид Макклеланд, чьи исследования показывают, что эффективный руководитель имеет большую потребность во власти, также замечает, что последний никогда не будет проявлять свою власть в приказной, ожидающей подчинения манере. Наоборот, позитивное или социализированное лицо, осуществляющее власть, скорее заботится о реализации групповых целей, помощи группе в их определении, обеспечивая группу средствами их достижения, оказывая членам группы поддержку, утверждая для каждого объем его компетенции.


Внутрифирменное планирование


Внутрифирменное планирование Внутрифирменное планирование в организации может относиться к тому или иному типу в зависимости от признака, по которому происходит классификация. Признаками, определяющими тип планирования, являются:
- степень неопределенности в планировании;
- временная ориентация идей планирования;
- горизонт планирования.
Степень  неопределенности  в  планировании  в  зависимости  от  степени неопределенности плановой деятельности системы планирования в организации можно разделить на два типа. Первый — это те, которые действуют в полностью предсказуемой среде и не имеют недостатка в информации. Следовательно, события в таких системах имеют полную определенность: можно дать 100-процентную гарантию, что, если событие А произойдет, то за ним последует событие В. Этот тип систем планирования называют детерминированными системами.
Возможно ли существование детерминированных систем на практике?
Если говорить о планировании на уровне предприятия в целом, то, конечно, нет, потому что всякое предприятие в рыночной экономике действует в условиях неопределенной, меняющейся среды и не может быть уверено в каком-либо исходе происходящих событий. А вот текущее планирование и планирование на уровне подразделений, например планирование производства, как правило, обладают высокой определенностью и точностью в предвидении результатов.
Другой тип систем планирования предполагает недостаток определенности во внешней среде и нехватку информации. Так, нельзя предусмотреть определенное значение результата решения X, принятого менеджером, если этот результат может воплотиться с 80-процентной вероятностью.
Системы планирования, не дающие полной предсказуемости результата, называют вероятностными (стохастическими).
Практически каждая экономическая организация, осуществляя общее планирование своей деятельности, сталкивается с неопределенностью результатов. Однако степень неопределенности может варьироваться в зависимости от уровня экономического развития, исторического периода и других факторов. Так, в развитых странах мира переход от индустриальной экономики к следующему, более высокому типу развития — постиндустриальной экономике привел к усилению неопределенности из-за усложнения хозяйства и ускорения изменений в нем. В российском хозяйстве снижение определенности в сфере бизнеса определяется нынешним историческим моментом, для которого характерны глобальные сдвиги в различных областях общественной и человеческой жизни.
Вариантами вероятностных систем планирования являются следующие:
1. Планирование,  основанное на системе жестких  обязательств.  Такое планирование подходит для ситуаций, в которых существует высокая степень уверенности в исходе событий. Примером этого вида может быть планирование контракта с хорошо знакомым, проверенным партнером, когда изменить планы в состоянии только внезапные, форс-мажорные обстоятельства.
2. Планирование под личную ответственность. Это планирование приемлемо для противоположной первому типу ситуации — ситуации полной неопределенности. В этом
случае менеджер не может быть вообще в чем-либо уверен и действует на свой страх и риск, берет всю ответственность на себя. Такой вид планирования в меньшей степени характерен для устойчивых, стабильных предприятий, имеющих опыт хозяйственной деятельности и сложную внутреннюю структуру, и в большей степени — для небольших, вновь созданных предпринимательских организаций, не обладающих нужными знаниями окружающей среды и налаженными связями со своими контрагентами.
3. Планирование, приспособленное к случайным обстоятельствам. Этот вид планирования является промежуточным между первыми двумя: с одной стороны, он сталкивается с постоянной неопределенностью в деятельности фирмы, а с другой стороны, учитывает возможные варианты действий в неопределенной среде и тем самым увеличивает их предсказуемость. На практике существует не более трех—четырех основных вариантов возможного развития событий. Так, планирование может быть заключено, например, в том, чтобы определить действия в случае, если цены наиболее важных видов сырья возрастут на 15, 20, 25% вместо ожидаемых 10%.
Временная ориентация идей планирования Типы планирования различаются также в зависимости от того, ориентированы ли основные идеи планирования в прошлое, настоящее или будущее. В этом смысле выделяют 4 типа планирования: реактивное (нацеленное только в прошлое), инактивное (приспосабливающееся только к настоящему), преактивное (предпочитающее смотреть только в будущее) и интерактивное (ориентированное на взаимодействие всех лучших идей планирования).
Реактивное планирование (возврат к прошлому). Представители реактивного планирования свои идеалы и способ существования находят в прошлом. Они отрицают все достижения сегодняшнего дня и с этой точки зрения негативно относятся к технике и современному технологическому обществу.
Основной метод реактивного планирования — это генетический подход. Всякая проблема здесь исследуется с точки зрения ее возникновения и прошлого развития. Найти в прошлом причину проблемы, подавить ее или сдержать — и проблема исчезнет.
К примеру, менеджер сталкивается с плохой работой одного из подразделений фирмы:
причина неэффективной работы кроется в изначально неправильной системе обработки хозяйственной информации и ее анализе бухгалтером подразделения. Менеджер принимает решение — уволить бухгалтера, не обладающего нужной квалификацией. Однако будущее подразделения не становится от этого более привлекательным, ведь у руководителя нет никаких гарантий в том, что на смену уволенному придет лучший, более эффективно работающий специалист. Не всегда отказавшись от ненужного, мы приобретаем лучшее.
Экономическая организация воспринимается сторонниками реактивного планирования как устойчивый, стабильный, хорошо налаженный механизм. Все происходящее в организации заранее известно. Управляться она должна сверху вниз при помощи личного авторитета высшего руководителя и его отцовского (патерналистского) отношения к подчиненным.
Реактивное планирование опирается на предшествующий опыт и осуществляется снизу вверх. Первоначально выясняются нужды нижних подразделений, которые оформляются в планы этих подразделений. Собранные материалы передаются руководству следующего уровня, которое корректирует и редактирует их и передает на следующий уровень и т.д. — до окончательного выбора и подготовки сводного проекта. Вторично общий план ниже стоящими подразделениями не корректируется.
Недостатки реактивного планирования заключаются в следующем.
1. Оно рассматривается не как система, а как простая единица, совокупность элементов,  вследствие  этого  оказывается потерянным  положительный эффект взаимодействия отдельных частей целого (например, отдела маркетинга и отдела производства), называемый синэргетизмом.
2. Планирование проводится без достаточного учета объективных обстоятельств сегодняшнего дня и будущих изменений; не соблюдается принцип гибкости.
3. Реактивное планирование — это функция в основном только высшего руководства (не соблюдается принцип участия). Для участия в планировании приглашаются, как правило, люди, обладающие опытом, т.е. старшее поколение, в определенной мере игнорируются возможности молодых сотрудников.
4. Поскольку запросы нижних уровней организации учитываются только однажды, а затем корректируются в сторону снижения, руководители нижестоящих подразделений стремятся завысить уровень своих запросов и тем самым увеличивают непроизводительные затраты дефицитных экономических ресурсов, способствуют их неэффективному накоплению. Реактивное планирование снижает общую эффективность хозяйственной деятельности экономической организации.
Отметим, что у реактивного планирования есть и положительные стороны. К его достоинствам относятся:
- постоянное обращение к истории, к прошлому опыту, откуда можно многое почерпнуть;
- сильно проявление преемственности, охраняющее от резких и необдуманных изменений;
- сохранение традиций, создающих чувство безопасности у работников предприятия.
Инактивное планирование. При инактивном планировании не считают нужным возвращаться в прошлое и вместе с тем не стремятся к движению вперед.
Этот тип планирования предполагает, что существующие условия достаточно хорошие, по крайней мере, приемлемые. Удовлетворение настоящим — отличительная черта инактивизма. Характерным для него является также представление о том, что равновесие в положении экономической организации на рынке достигается естественным путем, автоматически. А значит, главным принципом планирования должно быть правило:
«Планировать минимум необходимого, чтобы не изменить естественного хода вещей». Руководители-инактивисты, таким образом, не стремятся к каким-либо серьезным изменениям в деятельности своей организации и работают не «прикладывая» рук.
Предотвращение изменений и сохранение своего «стиля» становится основной целью использующих инактивное планирование организаций. При принятии решений господствуют бюрократизм и волокита. Принятие решений осуществляется в рамках различных, бесконечно заседающих комиссий. Считается основным злом и строго карается нелояльность к организации и ее целям. Предыстория проблемы плановиков не интересует.


Воздействие финансов на международный интеграционный процесс


Воздействие финансов на международный интеграционный процесс Финансы как экономический инструмент хозяйствования используются для осуществления интеграции России в мировую экономику. Финансовый механизм, складывающийся в сфере международных экономических связей, выступает орудием реализации финансовой политики государства в области международного сотрудничества России. Функционируя в международной сфере, финансы оказывают влияние на экономические интересы участников международных связей, выступают как стимул развития международной экономической интеграции.
Роль финансов в развитии международных связей проявляется по трем направлениям:
1) изыскание источников и мобилизация необходимых финансовых ресурсов для финансирования различных направлений международного сотрудничества;
2) регулирование международных интеграционных процессов;
3) стимулирование развития каждого вида международных отношений и непосредственных участников этих отношений.
Финансы оказывают влияние прежде всего на экспортно-импортные операции. С их помощью стимулируется выпуск конкурентоспособной продукции, пользующейся спросом на мировом рынке. Финансы способствуют формированию той доли национального дохода, которая реализуется в результате внешнеэкономической деятельности.
Важной формой международного сотрудничества является участие России в международных организациях и фондах. Это участие предполагает внесение соответствующих квот в уставные капиталы и бюджета данных организаций. Источниками взносов выступают валютные и другие финансовые фонды и ресурсы участвующих национальных организаций и государственных структур. Средства международных организаций аккумулируются в соответствующие фонды и распределяются на целевые программы по направлениям деятельности.
Еще одним направлением воздействия финансов на развитие международных связей является мобилизация ресурсов иностранных инвесторов. Иностранные инвестиции осуществляются в виде привлечения средств иностранных государств-инвесторов, иностранных коммерческих организаций, международных строительных компаний в различные отрасли отечественной экономики. Предприятия и объекты, создаваемые на условиях кредита на территории России и финансируемые иностранными предпринимателями за счет фондов своих фирм, а также из бюджетов иностранных государств, функционируют как совместные предприятия и иностранные юридические лица.
Иностранные инвестиции в экономику России способствуют ее развитию и создают условия для интеграции в мировую экономику. С целью стимулирования иностранных и совместных предприятий устанавливается система финансовых, валютных и иных льгот.
За правильностью и законностью ведения финансовых операций в сфере внешнеэкономической деятельности установлен финансовый, валютный и таможенный контроль, и при обнаружении нарушений и злоупотреблений исполнительные органы применяют установленные законодательством санкции и штрафы, регулируя таким образом порядок финансовых отношений.
Как особая сфера функционирования, финансы в экономической деятельности обладают специфическими актами. Они воплощаются в ресурсах, формирующихся не только в рублях, но и в иностранной валюте.
Формирование и использование централизованных валютных фондов Важную роль в развитии международных экономических отношений России играет финансовое регулирование экономических связей через формирование централизованных валютных фондов. Поскольку в России еще не отлажен рыночный механизм перераспределения валютных ресурсов между производителями и другими субъектами хозяйствования, основанный на валютном курсе, такое перераспределение осуществляется путем создания дополнительных условий, в том числе через обязательную продажу части валютной выручки одних предприятий и организаций другим. При этом формируются как централизованные, так и децентрализованные валютные фонды.
Все предприятия, независимо от форм собственности и места регистрации, получающие выручку от экспорта товаров, работ или услуг в свободно конвертируемой валюте и от операций на внутреннем валютном рынке, в обязательном порядке продают часть ее по установленным нормативам.
Из обязательно продаваемой валютной выручки в первую очередь формируются централизованные фонды: валютный резерв Банка России — фонд в масштабе всей страны — и валютные фонды местных органов власти.
Валютный резерв Банка России формируется за счет того, что предприятия и организации продают валюту по курсу рубля, конвертируемому Банком России на основе спроса и предложения на валютном рынке на момент поступления валютной выручки.
Валютный резерв делится на 2 части. Первая — стабилизационный фонд, средства которого идут на поддержание курса рубля на внутреннем валютном рынке и создание условий для его конвертируемости, поскольку России нужна твердая валюта, являющаяся одним из основных условий для создания благоприятного климата иностранному капиталу в экономике России. Другая часть резерва продается Министерству финансов Российской Федерации. Она идет на формирование фонда, необходимого для удовлетворения государственных нужд, таких, как обеспечение платежей по обслуживанию внешнего долга; осуществление безусловных валютных платежей для оплаты централизованных импортных закупок предметов первой необходимости для населения (продовольствия, медикаментов и других товаров); а также для других государственных нужд. С этой целью в бюджете России выделяются средства на покупку валюты.
После продажи валютных средств предприятий в валютный резерв Банка России по установленному нормативу в обязательном порядке предприятия продают валюту на внутреннем валютном рынке другим предприятиям и фирмам, не имеющим валютных доходов от предпринимательской деятельности, и местным органам власти по курсу такому же, как для уполномоченных банков.
Обязательная продажа валюты на формирование централизованных валютных фондов и резервов, а также на внутреннем валютном рынке осуществляется по нормативам, устанавливаемым правительством.
Важными источниками финансовых ресурсов для России являются целевые фонды и кредиты Международного валютного фонда (МВФ). Они используются для оказания финансовой поддержки интеграции России в мировую экономику.


Все прочие лица считаются нерезидентами РФ.


Физические лица — резиденты РФ (имеющие постоянное место жительства в РФ) подлежат обложению налогом по всем своим доходам, полученным как в России, так и за ее пределами. Нерезиденты облагаются налогом только по доходам из источников, находящихся в РФ. Резидентство физического лица рассчитывается для каждого отчетного налогового периода, который совпадает с календарным годом. Лицо, проведшее на территории РФ 183 или более дней в данном календарном году, считается резидентом РФ для целей налогообложения в этом году. Все прочие лица считаются нерезидентами РФ.
В налогооблагаемую базу включаются как доходы, полученные в денежной форме, так и любые выгоды и компенсации, получаемые в натуральном виде. Последние подлежат зачету в состав доходов лица по текущим рыночным ценам.
Доходы, получаемые от работы по найму, подлежат включению в налогооблагаемую базу в полном размере: доходы получаемые от предпринимательской деятельности, рассчитываются по методу чистой прибыли — в основном по нормам и в порядке, предусмотренном при исчислении налога на прибыль. Работа по авторским договорам, выполняемая в течение нескольких лет, распределяется в целях налогообложения на число лет, указанных в авторском договоре. При отсутствии указаний на число лет в договоре автор может распределить сумму полученного вознаграждения на период не более трех лет.
Целый ряд различного рода пособий, компенсаций и выплат не учитывается в составе облагаемого дохода граждан и не подлежит обложению подоходным налогом. Среди них:
пенсии и различные пособия по социальному страхованию и социальному обеспечению, выплаты командировочных, проценты по вкладам в банках (в пределах процентной ставки ЦБ РФ) и т.д. Не облагаются подоходным налогом зарплата и оклады военнослужащих, войск МВД и налоговой полиции. В пределах установленных лимитов также освобождаются от налогообложения стоимости призов, полученных на конкурсах, подарков, выдаваемых предприятиями, и суммы материальной помощи, оказываемой за счет предприятий.
Для всех налогоплательщиков установлены также твердые скидки: из налого-облагаемого дохода • в порядке необлагаемого минимума (в размере ежемесячной минимальной зарплаты) и на иждивенцев (минимальная месячная зарплата на каждого иждивенца).
Расчет налога производится на основе годового дохода. С доходов, выплачиваемых в виде заработной платы, и с некоторых других доходов налог удерживается при выплате дохода. Для граждан, получающих только заработную плату в одном месте, такая уплата налога является окончательной, остальные обязаны представлять налоговую декларацию. Срок представления декларации — до 1 апреля года, следующего за отчетным.
Нерезиденты, не осуществляющие предпринимательской деятельности в России, но получающие доходы из источников в России, не представляют налоговые декларации, и налог с них удерживается у источника по единой ставке, равной 20%.
Налог на добавленную стоимость. Налогом на добавленную стоимость облагаются продажи товаров и оказание услуг (выполнение работ) на территории РФ, а также импорт товаров и услуг в РФ. Экспорт товаров и услуг от НДС освобождается.
Плательщиками НДС считаются любые предприятия и организации, осуществляющие продажи товаров, оказание услуг или выполнение работ в рамках своей предпринимательской деятельности. Предприятиями для целей обложения НДС признаются любые лица, как юридические, так и физические, которые выполняют вышеуказанную деятельность от своего имени и в свою пользу.
Стандартная ставка НДС составляет 20%. Основные пищевые товары и товары для детей облагаются по пониженной ставке, равной 10%. Освобождены от НДС следующие виды деятельности: оказание банковских услуг, страхование, медицинские услуги, образование, услуги в сфере культуры, пассажирские перевозки, продажа почтовых марок и конвертов и др.
Подлежащий внесению в казну НДС рассчитывается как разность между НДС, полученным от покупателей товаров (услуг, работ) по выставленным на них счетам-фактурам (в которых НДС должен указываться отдельной суммой), и НДС, уплаченным поставщикам за приобретенные ресурсы, используемые в производстве (товары, материалы, услуги или работы).
Другие налоги. Налоги на имущество .предусмотрены как для предприятий, так и для физических лиц.
Налог на имущество предприятий взимается с балансовой стоимости имущества предприятий. Расчет налога ведется на основе среднегодовой стоимости имущества, при этом из состава имущества предприятия исключается стоимость принадлежащей ему земли, объектов жилого фонда и социально-культурной сферы, а также линий связи и энергопередачи, путей сообщения, продуктопроводов и т.д. Ставка налога устанавливается властями соответствующей республики (области), но не свыше 0,5% налогооблагаемой базы. От уплаты налога освобождены бюджетные организации, сельскохозяйственные и рыбодобывающие предприятия, религиозные объединения и имущество, используемое для нужд народного образования и культуры.
Налогом на имущество физических лиц облагаются находящиеся в их собственности жилые дома и другие помещения и сооружения, а также водные и воздушные моторные суда и транспортные средства.
Ставка налога для строений и помещений составляет 0,1% их инвентаризационной стоимости, для транспортных средств ставка налога определяется расчетным путем исходя из мощности двигателя. От уплаты налога освобождены пенсионеры и участники войн.
Налог на землю взимается с собственников земельных участков. Ставки налога устанавливаются на уровне республик и областей и различаются в зависимости от качества земли и условий хозяйствования.
Акцизы вводятся федеральным законом как средство обложения продаж так называемых подакцизных товаров — вино-водочных изделий, пива, табака, шоколада, икры осетровых и лососевых рыб, автомобилей, ювелирных изделий, мехов и т.д. Акцизы также установлены для определенных видов минерального сырья. Ставки акцизов различаются в зависимости от вида товара, наиболее высокие — для алкогольных напитков и ювелирных изделий.
Ряд налогов взимается в целях формирования внебюджетных фондов.
Предприятия выплачивают взносы в пенсионный и другие фонды социального страхования и социального обеспечения. Эти взносы устанавливаются в форме начислений на фонд заработной платы и составляют от 28% (взносы в пенсионный фонд) до 1,5% (по страхованию от безработицы). Общая сумма таких начислений составляет около 40% фонда заработной платы. Из зарплаты работников также удерживается еще 1% — как взнос в пенсионный фонд.
Для формирования внебюджетного дорожного фонда установлен ряд налогов, важнейшие среди которых следующие: налог на пользователей автомобильных дорог (ставка равна 2,5% суммы общего оборота (выручки) предприятия), налоги на владельцев автотранспортных средств и на продажи автомобилей.
Предприятия облагаются также налогом на содержание социальной сферы. Ставки налога устанавливаются на уровне местных органов власти, в московском регионе ставка этого налога составляет 1,5% оборота (выручки) предприятия.
Таможенные пошлины. Экспорт товаров, как правило, таможенными пошлинами не облагается. Импортные пошлины составляют от 5 до 100% фактурной стоимости ввозимого товара. Наиболее высокими пошлинами облагается ввоз легковых автомобилей, алкогольных напитков, пива, табачных изделий. Для товаров из развивающихся стран применяются пониженные ставки таможенных пошлин, для товаров с неподтвержденной страной происхождения ставки таможенных пошлин удваиваются.
В случае нарушения налогового законодательства предусмотрены разнообразные виды санкций — от штрафов, составляющих до 100% суммы укрытого от налогообложения дохода, до тюремного заключения в особо серьезных случаях.


Вторичные потребности по природе своей психологические.


Эксперимент с прядильщиками укрепил уверенность Мэйо в том, что для руководителей важно принимать во внимание психологию работника, особенно некоторую ее «нелогичность». Он пришел к следующему выводу: «До сих пор в социальных исследованиях и исследованиях промышленности остается недостаточно осознанным то, что такие маленькие нелогичности в сознании «среднего нормального» человека накапливаются в его действиях. Возможно, они и не придут к «срыву» в нем самом, но обусловят «срыв» его трудовой деятельности». Однако и сам Мэйо полностью не понял важности своих открытий в этой области, так как психология тогда была еще в зачаточной стадии развития.
Первые крупные исследования поведения работника на рабочем месте явились основной частью экспериментов в Хоторне, которые проводились Мэйо и его сотрудниками в конце 20-х годов. Они закончились спустя почти восемь лет осознанием того, что человеческие факторы, особенно социальное взаимодействие и групповое поведение, значительно влияют на производительность индивидуального труда. Выводы, к которым пришла группа, работавшая в Хоторне, позволили основать новое направление менеджмента — концепцию «человеческих отношений», которая доминировала в теории управления до середины 50-х годов.
Однако эксперименты в Хоторне не дали модели мотивации, которая бы адекватно объяснила побудительные мотивы к труду. Психологические теории мотивации труда появились гораздо позднее. Они возникли в 40-х годах и развиваются и в настоящее время.
Различные теории мотивации подразделяются на две категории: содержательные и процессуальные.
Содержательные теории мотивации основываются на идентификации тех внутренних побуждений (называемых потребностями), которые заставляют людей действовать так, а не иначе. Более современные процессуальные теории мотивации основываются, в первую очередь, на том, как ведут себя люди с учетом их восприятия и познания. Основные процессуальные теории — это теория ожидания, теория справедливости и модель мотивации Портера-Лоулера.
Важно понять, что хотя эти теории и расходятся по ряду вопросов, они не являются взаимоисключающими. Развитие теорий мотивации имело явно эволюционный, а не революционный характер.
Чтобы понять смысл теории содержательной (или процессуальной) мотивации, нужно сначала усвоить смысл основополагающих понятий: потребности и вознаграждения.
Первичные и вторичные потребности. Психологи говорят, что человек испытывает потребность, когда он ощущает физиологически или психологически недостаток чего-либо. Хотя конкретное лицо в конкретное время может и не иметь потребности в смысле сознательного ее ощущения, существуют определенные потребности, которые каждый человек может почувствовать. Содержательные теории мотивации представляют попытки классифицировать эти общечеловеческие потребности по определенным категориям ( 17.1.2.).

Большинство психологов соглашаются, что потребности в принципе можно классифицировать как первичные и вторичные.
Первичные потребности являются по своей природе физиологическими и, как правило, врожденными. Примерами могут служить потребности в пище, воде, потребности дышать, спать и сексуальные потребности. Вторичные потребности по природе своей психологические. Например, потребности в успехе, уважении, привязанности, власти и потребность в принадлежности кому или чему-либо. Первичные потребности заложены генетически, а вторичные обычно осознаются с опытом. Поскольку люди имеют различный приобретенный опыт, вторичные потребности людей различаются в большей степени, чем первичные.
Потребности и мотивационное поведение. Потребности невозможно непосредственно наблюдать или измерять. Об их существовании можно судить лишь по поведению людей. Психологи, наблюдая за людьми, определили, что потребности служат мотивом к действию.
Когда потребность ощущается человеком, она пробуждает в нем состояние устремленности. Побуждение — это ощущение недостатка в чем-либо, имеющее определенную направленность. Оно является поведенческим проявлением потребности и сконцентрировано на достижении цели. Цели в этом смысле — это нечто, что осознается как средство удовлетворения потребности. Когда человек достигает такой цели, его потребность оказывается удовлетворенной, частично удовлетворенной или неудовлетворенной. Например, если вы ощущаете потребность в сложной работе, это может побудить вас попытаться достичь цели в виде получения места, обеспечивающего ее. Получив такое место, вы можете обнаружить, что работа там на самом деле не такая сложная, как вы предполагали. Это может заставить вас работать с меньшим усердием или искать другое место, на котором ваша потребность будет удовлетворена.
Степень удовлетворения, полученная при достижении поставленной цели, влияет на поведение человека в сходных обстоятельствах в будущем. В общем случае люди стремятся повторить то поведение, которое ассоциируется у них с удовлетворением потребности и избегать такого, которое ассоциируется с недостаточным удовлетворением. Этот факт известен как закон результата^
Качественная сторона характеристики интересующего объекта связана с оценкой реальной экономической ситуации. При этом система менеджмента призвана соединять внешние условия реализации целей организации с возможностями самой организации к развитию. Одновременно регулирование и контроль служат факторами корректировки заранее запланированных целевых установок развития. Именно за счет контроля снижается влияние динамики групп и лидерства в организации на тенденцию положительного развития. Для обеспечения практических навыков данных действий рассмотрим вопросы регулирования и контроля в системе менеджмента и вопрос о динамике групп и лидерстве в системе менеджмента.


Вторым был Кредобанк, распространявший карточки «Виза».


Следующим этапом процесса эволюции денег стал выпуск дебет-карточек, которые получили широкое распространение благодаря системе автоматической выдачи наличных денег. Эта система расчетов с помощью ЭВМ получила название «электронные деньги». Возможность перехода от бумажных носителей информации в денежной сфере к электронным импульсам открывается в связи с внедрением в сферу производства и обращения электронно-вьлислительного оборудования.
Система электронных денег включает ряд элементов: автоматизированную расчетную палату, систему автоматизированного кассира и систему терминалов, установленных в пунктах покупки товаров или оказания услуг. Автоматизированная расчетная палата представляет собой сеть банкиров, связанных единым вычислительным центром. Автоматизированный кассир позволяет проводить ряд денежных операций: получение денег с банковского счета, прием вкладов, платежи.
Более совершенные модификации подобных устройств (автоматические машины-кассиры АТПМ) кроме выдачи наличных могут осуществлять и безналичные перечисления, выдавать чековые книжки и совершать другие кассово-расчетные операции.
Если раньше наблюдался процесс вытеснения наличных денег как средства обращения только при крупных сделках, то сейчас этот процесс практически утратил нижнюю границу. Дебет-карточки позволили отказаться от наличных денег при оплате даже телефонных разговоров.
Еще одним новшеством «банковской технологии» является смарт-карточка (smart — сообразительный, умный). По своим размерам новинка не отличается от традиционных дебет-карточек, легко помещается в кошельке, но, благодаря вмонтированному в нее микрокомпьютеру на «чипах» — полупроводниковых кварцевых кристалликах с интегральной схемой, имеет собственную память.
Наличие такого микрокомпьютера непосредственно на расчетном документе вносит новые моменты в порядок его использования. Смарт-карточка по сути представляет собой электронную чековую книжку. Соответствующий банк (банк-эмитент) вносит в секретную зону ее памяти сведения о сумме, зачисленной на счет клиента.
Система электронных карточек придает им специфический характер, что позволяет говорить о банковских карточках как о средстве, принципиально отличном от простых кредитных карточек. Кредитные отношения между банком и его клиентами при системе использования банковских карточек доводятся до своего логического завершения.
Использование банковских карточек позволяет связать все банки в единую систему, так что, пользуясь персональным компьютером, клиент может проводить расчеты по карточкам любого банка.
В России «пластиковые деньги» официально появились в 1989 г., когда Внешэкономбанк взялся распространять среди очень ограниченного круга людей «Master Euro Card». Вторым был Кредобанк, распространявший карточки «Виза». Кредитные карточки выдают Инкомбанк, Мостбанк, Оптимум и Сбербанк. Меньше распространены карточки типа «Америкен экспресс». Самыми популярными в России являются «Оптимум кард» и STB.
Изменения коснулись и функции денег как средства накопления. Она перестала выполнять роль стихийного регулятора денежной массы в обращении. Это можно объяснить тем, что при обращении неразменных денежных знаков золото не может автоматически перейти из сокровища в обращение и обратно. Это было возможно при золотом стандарте. Сегодня золото продолжает выполнять функцию сокровища, но в ограниченных масштабах.
В условиях экономической, политической, валютной неустойчивости золото выступает в качестве сокровища, как своеобразный страховой фонд государства и частных лиц.
Золотые резервы гарантируют государствам, частным лицам относительную экономическую независимость.
Золотые запасы, государственные и частные, выступают в качестве всеобщего богатства. На рынках золота происходит размен кредитных денег на золото. Огромные масштабы накопления золота — подтверждение его роли как средства образования сокровищ.
Кредитные и бумажные деньги не могут выполнять функцию средства образования сокровищ, так как не имеют собственной стоимости. Но они обладают представительной стоимостью и выступают в роли функции средства накопления. В условиях товарного производства накопление происходит в денежной форме. Деньги в функции накопления обслуживают процесс воспроизводства (производство, распределение, обмен, потребление).
Что касается мировых денег, в современных условиях произошли следующие изменения:
1) в качестве функциональных форм мировых денег широко используются конвертируемые (обмениваемые на иностранные валюты) национальные кредитные деньги и международные счетные денежные единицы — СДР и ЭКЮ;
2) золото используется лишь в крайних случаях для погашения сальдо платежного баланса и опосредованно, путем предварительной продажи на национальные валюты, в которых выражены международные обязательства.
Изучение эволюции функционирования денег важно для познания рыночных отношений и использования денег на уровне микро-, макроэкономики и мирового хозяйства.1
При формировании условий наиболее полного действия по планированию и прогнозированию экономической ситуации следует учитывать, что прогнозируемый элемент должен соответствовать в плане своему реальному местоположению в экономической системе. Так, при расчете национального дохода, т.е. денежной оценки товаров и услуг, ставших доступными стране в результате экономической деятельности,
эта проблема наиболее актуальна, поскольку в ходе его исчисления вводится много дополнительных факторов. Местоположения этих факторов в реальной экономической действительности влияют на избрание метода расчета национального дохода. Выбор метода и расчет национального дохода рассмотрим в отдельном разделе данной хрестоматии.
Таким образом, предстоит рассмотреть действие рыночного механизма, показать, как действует механизм спроса и предложения, как рыночная цена достигает своего конкурентного равновесия, уяснить экономическую роль рыночного механизма.


Введение стабилизационных налогов применяется в Германии.


В основе сдерживающих мер со стороны государства и местных органов управления лежит дополнительное налогообложение или лицензирование предпринимательской деятельности. Дополнительное налогообложение в таких случаях практикуется в Нидерландах, Японии. Введение стабилизационных налогов применяется в Германии. Упор на лицензирование делается в Великобритании, Франции, Италии. При этом лицензирование также следует рассматривать в виде дополнительного местного налога — лицензионного сбора. В Японии проблема решается главным образом манипулированием ставками земельного налога.
Повышение налогов в той или иной форме оказывается наиболее эффективным и надежным средством, когда нужно сдержать слишком «горячую» конъюнктуру. Другой метод — отмена налоговых льгот.
Иногда введение новых налогов преследует чисто регулирующие цели. Классическим примером может служить введенный в начале века в Германии и сохранившийся там до сих пор налог на уксусную кислоту. Его породила необходимость создать искусственную уксусную кислоту и прекратить расходовать на эти цели вино. Налоговые поступления от данного налога едва-едва покрывали расходы на его взимание. Но техническая задача была решена и регулирующая экономическая цель достигнута. Налог сохраняется как историческая реликвия, принося сегодня бюджету Германии лишь несколько миллионов марок.
А вот более современный пример по той же Германии — решение с помощью роста налога уже не экономической, а социальной задачи. После резкого увеличения акциза на табак стало некурящих значительно больше, чем в ходе длительной пропагандистской компании о вреде курения.
Через налоги в западных странах решаются и проблемы экологии. В свое время промышленность Германии оказывала сопротивление решению об оснащении автомобилей катализаторами. Тогда был резко снижен налог на автомобили, оснащенные ими. Понижен акцизный сбор на те виды бензина, которые используются машинами с катализаторами.
Наряду с этим был увеличен акциз на сорта бензина, содержащие свинец и другие добавки и применяющиеся в старых двигателях. Так «компенсировались» дополнительные расходы на катализаторы.
Дифференцированные налоги на автотранспорт, учитывающие экологическую чистоту двигателя, применяются еще с 70-х годов в США, а теперь практически повсеместно.
Следует упомянуть еще об одном обстоятельстве. Экономика развитых стран основывается на свободе предпринимательской деятельности. Конкурентно-рыночный механизм регулирует распределение ресурсов и обеспечивает установление равновесных цен на уровне, отражающем затраты на производство товаров и с учетом средней нормы прибыли. Однако при возникновении монополий рыночный механизм не срабатывает, что может приводить к неэффективному распределению и использованию ресурсов и росту цен. Например, Германия до окончания второй мировой войны была страной крупных картелей, обладающих огромной экономической и политической мощью. Монополии ощутимо чувствовались и в хозяйственной жизни США.
В США понятие «монополия» применяется к фирме или к группе фирм, обладающих таким влиянием на конкретном рынке, которое позволяет подавлять конкуренцию, регулировать объем и условия поставок и фиксировать цены, нанося ущерб потребителю. При этом абсолютный размер хозяйственной единицы не предопределяет ее монопольные позиции в отрасли или на рынке. Фирма независимо от ее величины является монополией, если ей принадлежит подавляющая часть продаж на конкретном товарном рынке или на географическом рынке.
Ограничение негативных последствий деятельности монополий ведется по нескольким направлениям: прогрессивное налогообложение доходов фирм, налоги на сверхприбыль. Практически во всех странах действует антитрестовское законодательство. Например, законы Германии устанавливают правила конкуренции и создают благоприятные условия для развития свободной конкуренции. Так, законодательно запрещены договоры о ценах между предпринимателями. Правомочность слияния различных предприятий определяется федеральным ведомством по картелям на основании заключения независимой комиссии из ученых и экономистов, ибо в основе рыночных отношений должна лежать свободная конкуренция.
Жесткое антитрестовское законодательство действует в США, Японии. Но при этом законы о конкуренции, как правило, не распространяются на инфраструктурные отрасли: на транспорт, банковское дело, коммунальные службы (снабжение водой и энергией). Зачастую не затрагивают они и добычу угля, производство стали, в определенной мере сельское хозяйство (Германия). В этих отраслях государство регулирует объемы, цены, доступ на рынок. Считается, что здесь конкуренция не может обеспечить успешного выполнения возложенных на данные отрасли функций. В этих отраслях велик удельный вес государственных предприятий, поскольку главное для них не прибыль, а удовлетворение потребностей общества.


Введение в экономику


Введение в экономику В учебнике по экономической теории под ред. акад. В.И. Видяпина, акад.Г.П. Журавлевой предметом исследований политэкономии в соответствии с классовым подходом к анализу общественной жизни рассматриваются производственные отношения, основу которых составляют отношения собственности. Это имеет существенное значение, так как из системы производственных отношений выводились экономические законы, • толковались противоречия, классовые конфликты, объяснялись необходимость диктатуры пролетариата и преимущества административно-командной системы хозяйствования.
Производственные отношения — это объективно складывающиеся отношения между людьми в процессе производства, распределения, обмена и потребления жизненных благ.
Эта самая общая характеристика производственных отношений дает основание утверждать, что производственные отношения есть необходимая сторона общественного производства. «В производстве люди вступают в отношения не только к природе. Чтобы производить, люди вступают в определенные связи и отношения, и только в рамках этих общественных связей и отношений существует их отношение к природе, имеет место производство».1
Мысль о том, что предметом политической экономии (общей экономической теории) являются общественные отношения, создаваемые трудом, и законы, которым труд подчинен, была высказана еще в XVIII в. рядом экономистов. Наиболее широкое распространение она получила среди русских экономистов начала XX в. Многое для этого сделал Г.В. Плеханов. Он не только определил предмет политической экономии как науки о развитии производственных отношений, но и внес существенное уточнение, различая собственно производственные отношения -— отношения социально-экономические, имущественные, отношения собственности; и отношения производственно-организационные, относящиеся к общественной организации производительных сил, выделяя противоречия внутри системы общественных отношений производства.
Такое понимание предмета политической экономии как науки вошло и в учебную литературу того и последующих периодов. Так, в «Очерках политической экономии»В.Я. Железнов писал, что политическая экономия имеет предметом своего исследования общественные отношения людей, возникающие на почве их хозяйственной деятельности, т.е. усилий, направленньк на удовлетворение разного рода потребностей материальными средствами.1 Н.И. Бухарин рассматривал производственные отношения в качестве всеобщей категории и определял их как «отношения между людьми в процессе общественного труда и распределения продуктов этого труда», включая сюда и техническую организацию труда.2
На рубеже 20-30-х годов на страницах экономической литературы развернулась дискуссия по вопросу - о предмете политической экономии, в которой приняли участие Г.Абезгауз, А.А. Богданов, Б.С. Борилин, Н.И. Бухарин, С.Кривцов, И.И. Рубин, И.И. Степанов и многие другие. И.И. Рубин отмечал, что «политэкономия сложилась как наука о системе производственных отношений».3 С.А. Бессонов подчеркивал связь производственных отношений с производительными силами и «крайнюю неразработанность учения о производительных силах».4 А.А. Богданов и И.И. Степанов предложили различать предмет политической экономии в узком смысле, т.е. социально-трудовые отношения людей (отношения прямого и косвенного сотрудничества людей в производстве, кооперацию, разделение труда и др.) и в широком смысле, куда включались также отношения присвоения, распределения, обмена и собственности.5
К сожалению, и сегодня среди сторонников понимания предмета политической экономии как производственных отношений нет полного единства. Одни утверждают, что политическая экономия изучает производственные отношения в единстве с производительными силами, ибо нельзя изучать форму (производственные отношения) без ее содержания (производительных сил). Другие считают, что предметом политической экономии является способ производства, который они представляют как единство производительных сил и всей совокупности производственных отношений. Третьи отстаивают в качестве предмета политической экономии только производственные отношения. При этом, поскольку политическая экономия сложилась как наука о капиталистических производственных отношениях, ее объявляли политэкономией в узком смысле; а политическая экономия в широком смысле, считалось, изучает экономические отношения не только капитализма, но других способов производства.
Если же мы обратимся к мировой экономической литературе прошлого и настоящего, то увидим еще большее различие в толковании предмета экономической теории (политической экономии).
Так, у представителей первой школы политической экономии — меркантилистов, отражавших интересы торговцев эпохи первоначального накопления капитала, — предметом научных исследований было богатство. Источником богатства объявлялась торговля, само же богатство отождествлялось чаще всего с деньгами.
Школа физиократов перенесла предмет политической экономии — национальное богатство — из сферы обращения в сферу производства. Это было величайшим достижением экономической науки, хотя они ошибочно считали источником богатства только сельское хозяйство.
Представители английской классической школы политической экономии расширили предмет политической экономии до исследования условий производства и накопления (А.Смит), а также распределения (Д.Рикардо) национального богатства, создаваемого во всех отраслях материального производства, куда включались промышленность, сельское хозяйство, строительство, лесное хозяйство и др.
Аналогичного мнения о предмете политической экономии придерживаются и отдельные современные западные экономисты, рассматривая политическую экономию как науку о производстве, распределении и потреблении национального богатства.
Но понимание последнего в процессе исторического развития экономической мысли менялось. Первоначально национальное богатство представляли в виде денег, затем — в виде результата производства, сегодня же-в национальное богатство включают и самого человека, его интеллект, а также информацию как источник последующего развития общества.
Экономическая мысль прошлого сохранила и другое понимание политической экономии — как науки о народном или общественном хозяйстве. Немецкие экономисты В.Рошер и К.Бюхнер объявили предметом политической экономии народное хозяйство, под которым ими понималось отношение людей к внешней природе. А.Богданов и И.Степанов в свое время отмечали, что определение, вошедшее в учебники политической экономии как «науки об общественном хозяйстве,.. совершенно неточно и ненаучно», ибо «в понятие об общественном хозяйстве входит и вся техника производства», последнее же не включается в предмет политэкономии.1
В известном всему миру учебнике П.Самуэльсона «Экономикс» среди множества определений предмета экономической теории (политэкономии) указывается, что экономике — это наука о повседневной деловой жизни и деятельности людей.
Еще раньше А.Маршалл определял предмет экономической теории или политической экономии, как исследование нормальной жизнедеятельности человеческого общества:
исследование богатства и частично человека, точнее, стимулов к действию и мотивов противодействия. В таком определении подчеркивается роль человека в экономике.
В современной экономической литературе распространено понимание предмета политической экономии как изучение «редкости», ограниченности ресурсов. Так, Дж.Робинсон пишет, что политическая экономия — это наука, которая изучает поведение людей как связь между целями и ограниченными средствами, имеющими альтернативные пути применения, а П.Самуэльсон рассматривает ее как науку о путях использования ограниченных производственных ресурсов, допускающих альтернативные способы применения или достижения поставленных целей. И в российской экономической литературе появляются определения экономической теории в качестве науки о том, как использовать ограниченные ресурсы в производстве товаров и услуг, рационально распределяя и обменивая их, пытаясь удовлетворить безграничные потребности людей с целью всестороннего развития способностей и расширения возможностей человека (Основы экономической теории и практики. Волгоград, 1994).
Перечень определений предмета экономической теории (политической экономии) можно было бы продолжать, но в этом, думается, нет необходимости. Имеет смысл согласиться с П.Самуэльсоном в том, что все определения экономической теории (политэкономии) как науки раскрывают ее предмет с разных сторон, ибо берутся различные аспекты жизнедеятельности человека. Предмет этой науки чрезвычайно сложен и многообразен, потому что сложна и многообразна жизнедеятельность человека, в том числе и экономическая, что не позволяет дать ему краткое и в то же время всеобъемлющее определение.
И все же, принимая во внимание, что большинство современных экономистов мира признают экономическую теорию универсальной наукой о проблемах выбора ресурсов и экономическом поведении человека, наиболее общим (собирательным) и правильным можно считать определение экономической теории, данное доктором экономических наук, профессором А.И. Добрыниным.


Взаимосвязь финансов с другими категориями в процессе стоимостного распределения


Взаимосвязь финансов с другими категориями в процессе стоимостного распределения Процесс стоимостного распределения общественного продукта, в ходе которого созданная в производстве стоимость делится между субъектами хозяйствования, а у каждого из них — по целевому назначению, чрезвычайно сложен. В силу этого он осуществляется с помощью разных экономических категорий, каждая из которых выполняет специфическую, только ей присущую роль. Финансы, участвуя в стоимостном распределении, тесно связаны и взаимодействуют с такими экономическими категориями, как цена, заработная плата, кредит.
Будучи количественной мерой создаваемой в производстве стоимости, ее денежным выражением, цена предопределяет пропорции будущего стоимостного распределения, осуществляемого в соответствии с факторами производства.
Но являясь исходной основой стоимостного распределения, предопределяя его первичную структуру, цена тем не менее не может обеспечить ни распределения по субъектам собственности, ни функционального обособления разных частей стоимости. Связано это с тем, что все части стоимости по общему и функциональному назначению вычленяются в определенной величине не сами по себе, а только после стадии обмена. Должен обязательно произойти обмен и стоимостное распределение, чтобы все части стоимости получили конкретное воплощение в определенных количественных пропорциях.
Таким образом, процесс формирования различных частей стоимости как бы распадается на два этапа: на первом происходит перенос авансированной стоимости и создание доходов, что действительно является моментом самого производства; на втором осуществляется выделение фонда возмещения и первичных доходов в разных конкретных их формах, что составляет содержание уже следующей стадии воспроизводственного процесса — стадии стоимостного распределения, когда каждой части стоимости придается определенная количественная пропорция. Но второй этап формирования элементов стоимости осуществляется уже не с помощью цены (хотя потенциально все части стоимости в ней заложены), а посредством других экономических категорий.
В связи с этим неправомерно утверждение некоторых экономистов, будто инструментом первичного распределения стоимости на ее составные части является цена. Для выполнения ценой такой роли необходимо, чтобы все части стоимости уже на стадии производства имели самостоятельные экономические формы, которые цене осталось бы только проявить. Между тем, расчленение стоимости общественного продукта на фонд возмещения и различные виды доходов, т.е. на самостоятельные экономические формы, происходит лишь в процессе стоимостного распределения; на стадии же непосредственно производства этих экономических форм еще нет, их можно выявить лишь аналитическим путем.3
Выявление в процессе экономического исследования логического основания, присущего базовому процессу, раскрывает сущность успешного и результативного действия в области денежного обращения и кредита. Именно движение денег в наличной и безналичной формах, обслуживающее кругооборот товаров, а также нетоварные платежи и расчеты, выступает сферой, подверженной сильному воздействию внешних как экономических, так и неэкономических факторов. Поэтому необходимо определить условия различения элементов денежного обращения и кредита как сферы образования нового экономического содержания на основе предшествующей базы материальных и деятельностных условий, что и отражает содержание денежного обращения и кредита.
Исследование не расходуемой части денежных средств, выступающих как сбережения, составляющих основу инвестиций, является исходным положением к рассмотрению отражения экономических отношений в процессе создания и использования фондов, денежных средств — финансов. Предусмотрение в финансах минимально требуемого основания совершения соответствующих действий позволяет выделить отдельные фрагменты, на которые дробится финансовое действие, отражающее финансово-кредитные взаимоотношения. Возможности, открываемые через исследование отдельного элемента, заключаются в более подробном раскрытии причинно-следственных связей и сущности финансов и кредита.
Изучение роли кредита и финансов сталкивается как в теоретическом, так и в практическом плане с необходимостью проведения предварительного действия по реализации основных целей экономического субъекта. С точки зрения денежно-кредитной практики инструментарий, с помощь которого изучается сфера кредита и финансов, должен позволять достаточно точно прогнозировать ход событий на рынке. Это условие является важным звеном в организации гармоничного процесса финансирования платежей и различных расчетов. Поскольку отношения финансов и кредита присутствуют во всех экономических процессах, то велико значение изучения роли финансов и кредита в экономике.

Функции финансов Как известно, функция есть внешнее проявление свойства какого-либо объекта в данной системе отношений. Применительно к экономической категории функции означают проявление ее сущности в действии, специфические способы выражения присущих категории свойств. Функции являются всегда производными от сущности, которую они выражают, и показывают как, каким образом реализуется общественное назначение этой экономической категории. Поэтому вопрос о функциях, их количестве и содержании может быть правильно решен лишь исходя из сущности категории, ее специфического общественного назначения.
Финансы являются объективно обусловленным инструментом стоимостного распределения; их специфическое общественное назначение состоит в том, чтобы распределять и перераспределять стоимость валового продукта, выраженную в денежной форме, между разными субъектами хозяйствования и направлениями целевого использования. Сущность финансов как особой сферы распределительных отношений проявляется прежде всего с помощью распределительной функции. Именно через эту функцию реализуется общественное назначение финансов — обеспечение каждого субъекта хозяйствования необходимыми ему финансовыми ресурсами, используемыми в форме денежных фондов специального целевого назначения,
Объектами действия распределительной функции финансов выступают стоимость валового общественного продукта (в ее денежной форме), а также часть национального богатства (принявшая денежную форму). Именно с помощью этой функции осуществляется первичное распределение вновь созданной стоимости и формирование на ее основе первичных доходов: прибыли, начислений на социальное страхование и др.; в орбиту действия распределительной функции попадает амортизационный фонд, т.е. часть фонда возмещения; наконец, благодаря финансам в распределение вовлекается также часть национального богатства (при перераспределении стоимости накопленного ранее производственного потенциала, восполнении ущерба от стихийных бедствий и т.п.).
Субъектами при финансовом методе распределения выступают юридические и физические лица, являющиеся участниками воспроизводственного процесса, в распоряжении которых формируются фонды целевого назначения. Этими лицами являются: государство, предприятия (объединения), организации, учреждения, граждане.
Распределительный процесс, осуществляемый с помощью финансов, характеризуется сложностью и многогранностью. Финансы обслуживают разные этапы распределения, участвуя как в первичном распределении стоимости общественного продукта, так и в перераспределении. С их помощью распределительный процесс протекает во всех сферах общественной жизни — в материальном производстве, сферах обращения и потребления. Финансовый метод распределения охватывает разные уровни управления экономикой: федеральный, территориальный (на уровне субъектов Федерации), местный. И наконец, финансовому распределению присуща многоступенчатость, порождающая разные виды распределения: внутрихозяйственное, внутриотраслевое, межотраслевое, межтерриториальное. Названные виды распределения обслуживаются разными звеньями финансовой системы: внутрихозяйственное — финансами предприятий, внутриотраслевое — финансами предприятий, комплексов, ассоциаций; межотраслевое и межтерриториальное — государственным бюджетом, внебюджетными фондами.
Благодаря распределительной функции финансы обслуживают процесс воспроизводства в целом, активно влияя на все его стадии. С помощью этой функции осуществляется прежде всего возмещение стоимости потребленных средств производства и образование доходов в различных формах; вместе с тем распределительная функция позволяет предприятиям сформировать фонды целевого назначения, необходимые для удовлетворения потребностей развивающегося производства и материального стимулирования работающих. На основе данной функции обеспечиваются также общегосударственные потребности, формируются ресурсы для содержания и развития непроизводственной сферы, осуществляется внутриотраслевое, межотраслевое и межтерриториальное перераспределение национального дохода и т.д. Создаваемые с помощью распределительной функции бюджетные резервы, страховые и внебюджетные фонды используются для предупреждения возможных диспропорций на отдельных участках хозяйственного строительства, обеспечения необходимой маневренности в использовании ресурсов. Усиление финансового воздействия на экономику требует постоянного совершенствования распределительного механизма финансов, более полного воплощения в нем свойств, присущих распределительной функции финансов.
Некоторые экономисты отрицают возможность одновременного действия разных функций экономической категории. При обосновании своей позиции они ссылаются на функции денег, каждая из которых может содействовать обособлению от других. Однако вопрос о характере проявления функций категории — одновременном их действии или автономном — может быть правильно решен лишь с учетом природы самой категории, ее места в ряду логических абстракций. Есть, как известно, исходные абстракции, выражающие целое во всей его сложности; к ним относится и категория денег. Но наряду с ними существуют многочисленные экономические формы, выражающие части целого. К таким формам относятся финансы.1
Сумма факторов, относящихся к финансовой сфере, обуславливает тенденцию к планированию и прогнозированию будущей экономической ситуации. Такое планирование осуществляется на основе принятого в практике терминологического, математического и графического инструментария. При этом решается вопрос обоснования экономического действия в рамках закладываемых в бюджет экономического субъекта расходов и доходов. Выделяют различные виды бюджетов, среди которых государственный бюджет носит наиболее масштабный для экономики характер. Рассматривают государственный бюджет как план текущих и капитальных государственных расходов и доходов.



Задачи статистики в условиях перехода к рыночной экономики


Задачи статистики в условиях перехода к рыночной экономики Коренным вопросом осуществления радикальной экономической реформы в России от командно-административных форм управления к экономическим. Это ставит перед статистикой как составной частью системы управления национальным хозяйством новые задачи задачи.
Исходя из изменений управления, роли и места  предприятий, фирмы, межрегиональных отношений и отношений внешним миром, основными статистики на современном ее этапе являются:
1) всестороннее исследование происходящих в обществе глубоких преобразований экономических и социальных процессов на основе научно обоснованной системы показателей;
2) обобщение и прогнозирование тенденций развития национального хозяйства;
3) вьмвление имеющихся резервов эффективности общественного производства;
4) своевременное обеспечение надежной информацией законодательной власти, управленческих, исполнительных и хозяйственных органов, а также широкой общественности.
В условиях изменения социально-политической роли статистики как фактора формирования общественного сознания особое значение имеет существенное расширение гласности и доступности сводной статистической информации при сохранении принципа конфиденциальности индивидуальных данных. Это является одним из крайне необходимьк направлений демократизации общества. Расширение публикаций статистической информации позволяет лучше видеть положение дел на местах, в отдельных регионах, сосредоточить внимание на недостатках и упущениях для их устранения.
Возвращение статистике широкого общественного предназначения определяет главные направления ее развития: совершенствование анализа статистической информации, упорядочение отчетности, обеспечение ее достоверности.
Главным средством повышения достоверности статистической информации является дальнейшее совершенствование методологии ее формирования. Предстоит пересмотреть существующие методики, которые не свободны от стремления к приукрашиванию результатов экономического и социального развития. Так, в данные за 1985—1987 гг. по национальному доходу, реальным доходам населения вносились коррективы, устраняющие влияние сокращения производства и реализации алкогольных напитков. В результате завышались темпы роста национального дохода. В официальных публикациях тех лет сообщалось о превышении государственных доходов над расходами. Но доходы все сокращались, росло покрытие расходов в счет будущих поступлений. Не соответствовало действительности утверждение о постоянстве цен на товары народного потребления. Ранее публикуемые индексы прейскурантных цен отображали лишь изменения цен, осуществлявшиеся в законодательном порядке. Но они не отображали повышения цен новых товаров, влияния неудовлетворенного спроса, других форм скрытого роста цен и т.д.
Ясно, что статистике необходимо освободиться от всего привнесенного в нее командно-административной системой, преодолеть сложившуюся практику получения статистических показателей как таковых пря закрытой методике их расчета. Это порождает разрозненность статистических данных, несоответствие исчисления сопряженных параметров международным стандартам.
Весьма важным является критический пересмотр сложившейся в годы преобладания затратных методов хозяйствования практики формирования статистической отчетности, которая в основном строилась на сплошной, весьма обильной и дорогостоящей информации. Это сводило на нет применение статистических методов изучения массовых совдюльно-экономических явлений. Необходим поиск путей существенного сокращения отчетности, прежде всего срочной отчетности, перегруженной оперативно-техническими показателями, требуется освобождекие предприятий от мелочной опеки их произ-водсттзенной и коммерческой деятельности.
Перед статистической наукой встают важные проблемы теоретического обоснования объема и структуры статнстэлеской информации, отвечающей современным и персибкткзньш условиям развитом экономики, перехода к функциональным принципам управления.
Весьма важно решить вопрос о переходе от сплошной отчетности к несплошным видам статистического  наблюдения:  единовременным учетам,  выборочным  и монографическим обследованиям. Это прямо вытекает из изменения положений предприятий в условкях рыночной экономики, из разнообразия форм кооперирования, динамичности их организационно-экономических процессов.
Применение  несплошных  статистических  методов  наблюдения  повышает оперативность реагирования на происходящие конъюнктурные изменения, обеспечивает управление информацией, позволяющей принимать своевременные решения. Периодические выборочные обследования должны стать главным инструментом статистического наблюдения за изменениями массовых социально-экономических явлений, за положением дел в регионах.
Все более необходимыми и значимыми в сборе статистической информации становятся единовременные методы учета. На их основе решаются вопросы анализа накопленного экономического потенциала, изучения уровня жизни, обеспеченности населения товарами. Статистическая информация должна характеризовать становление многоукладной экономики, развитие различных форм собственности и видов предпринимательства, социальную структуру народного хозяйства.
Необходимо по-новому оценивать конечные результаты статистических разработок, которые состоят не только в учете и составлении сводок, но и содержат аналитические выводы. Особое значение имеет усиление прогностической направленности аналитической работы. Она должна содержать элементы предвидения, выявления критических точек роста, указывать на возможные последствия складывающихся ситуаций.
Переход к рыночной экономике обусловливает необходимость внедрения в статистический и бухгалтерский учет системы национальных счетов (СНС). Широко применяемая в мировой практике СНС наиболее полно отвечает особенностям и требованиям рыночных отношений. В этой связи важно развитие профессиональных контактов с международными статистическими службами ООН, прежде всего с ее Статистической комиссией.
Статистическая комиссия ООН осуществляет разработку методологии статистических работ, ' сопоставимости показателей, подготавливает рекомендации для Статистического бюро Секретариата ООН, координирует статистическую работу специализированных органов ООН, осуществляет консультации по вопросам сбора, накопления, разработки, анализа и распространения статистической информации.
Статистическое бюро Секретариата ООН, .являясь исполнительным органом, собирает статистическую информацию от государств — членов ООН, публикует эти данные, а также подготавливает доклады по различным вопросам статистики и осуществляет разработку методологических вопросов статистики. Результаты этих работ публикуются в периодических изданиях, таких, как «Ежемесячный статистический бюллетень», «Демографический ежегодник», «Ежегодник по внешней торговле» и др.
Вопросы статистики рассматриваются также региональными экономическими комиссиями для Европы, Азии и Дальнего Востока, Латинской Америки, Африки. Международным статистическим органом является Международный статистический институт (МСИ), который ведет обобщение научных исследований в области теории и методологии статистики.
Координация деятельности статистических служб стран — членов СНГ осуществляется созданным в 1992 г. Статистическим комитетом Содружества независимых государств, в Российской Федерации — Государственным комитетом РФ по статистике (Госкомстатом РФ).
В республиках, входящих в Российскую Федерацию, имеются республиканские статистические комитеты, а в областях (краях) — областные (краевые) управления статистики с разветвленной сетью районных (городских) отделов государственной статистики.
Статистический комитет СНГ призван выполнять ряд важных функций по координации деятельности статистических служб государств — членов Содружества.
Это прежде всего:
-- разработка и осуществление на основе взаимных консультаций        статистической методологии. Обеспечение национальных статистических служб государств — членов СНГ методическими материалами и инструментарием, организация обучения кадров, проведение семинаров и других мероприятий, связанных с переводом статистики на систему национальных счетов, международных стандартов и классификаторов;
- обеспечение сопоставимости и преемственности статистических разработок. Формирование сводных статистических данных, необходимых для взаимодействия государств — членов СНГ в политической, социально-экономической, внешнеэкономической деятельности;
- публикация систематизированных данных по международной статистике и международным сопоставлениям, обеспечение этими данными государств — членов СНГ;
- осуществление взаимодействия с координирующими службами Содружества, . обеспечение их необходимой экономико-статистической информацией; анализ хода реализации программ, предусмотренных соглашениями СНГ, и взаимных обязательств;
статистическое изучение развития общеевропейского и евроазиатского рынков, интеграции государств — членов СНГ в мировую экономику; статистическое исследование процессов экономических реформ, приватизации и демонополизации, становления рыночных отношений; обеспечение взаимодействия в статистическом изучении и анализе экологических проблем;


Задачи учета материалов и их классификация


Задачи учета материалов и их классификация Производственные запасы (сырье, материалы, топливо и др.), являясь предметами труда, обеспечивают вместе со средствами труда и рабочей силой производственный процесс предприятия, в котором они используются однократно. Себестоимость их полностью передается на вновь созданный продукт.
В настоящее время, в условиях рыночной экономики, определяющее значение приобретают качественные показатели, например такие, как снижение удельных затрат сырья, материалов и топлива. Этого можно достигнуть увеличением использования прогрессивных конструкционных материалов, металлических порошков и пластмасс, заменой дорогостоящих материалов более дешевыми, синтетическими без снижения качества продукции, сокращением отходов производства. Необходимо комплексно использовать природные и материальные ресурсы, максимально устранять потери и нерациональные расходы, широко вовлекать в хозяйственный оборот вторичные ресурсы, а также попутные продукты.
Данные бухгалтерского учета должны содержать информацию для изыскания резервов снижения себестоимости продукции в части рационального использования материалов, снижения норм расхода, обеспечения надлежащего хранения материалов, их сохранности, чтобы обеспечивать правильное и своевременное документирование всех операций по движению материальных ценностей; выявление и отражение затрат, связанных с их заготовлением; расчет фактической себестоимости израсходованных материалов и их остатков по местам хранения и статьям баланса; систематический контроль за соблюдением установленных норм запасов, выявление излишних и неиспользуемых материалов, их реализация; своевременное осуществление расчетов с поставщиками материалов, контроля за материалами, находящимися в пути, неотфактурованными поставками.
Для обеспечения действенного контроля за сохранностью материальных ценностей немаловажное значение имеют организация маркетинга (снабжения) на предприятиях, состояние складского и весоизмерительного хозяйства. С этой целью приказом по предприятию каждому складу присваивается постоянный номер, который впоследствии указывается на всех документах, относящихся к операциям данного склада. При наличии нескольких складов необходимо сосредоточить в каждом материалы определенных групп. Внутри складов материалы должны размещаться по секциям, затем по типосорторазмерам в штабелях, на стеллажах и на полках с таким расчетом, чтобы обеспечить возможность быстрой их приемки, отпуска и проверки наличия. С этой же целью в местах хранения материала прикрепляется ярлык (ф.№ М-36). Склады должны быть обеспечены исправными весами, измерительными приборами и мерной тарой.
Необходимо установить список должностных лиц, ответственных за приемку и отпуск материальных ценностей (заведующих складами, кладовщиков, экспедиторов и др.), за правильное и своевременное оформление этих операций, а также за сохранность вверенных им материальных ценностей. С этими лицами заключаются договоры о материальной ответственности.
Всем службам предприятия следует иметь список должностных лиц, которым предоставлено право подписывать документы на получение и отпуск со складов материалов, а также выдавать разрешения (пропуска) на вывоз с предприятия материальных ценностей.
В процессе производства материалы используются различно. Одни из них полностью потребляются в производственном процессе (сырье и материалы), другие — изменяют только свою форму (смазочные материалы, краски), третьи — входят в изделия без каких-либо внешних изменений (запасные части), четвертые — только способствуют изготовлению изделий, не входят в их массу или химический состав.
Все материалы по способу их использования и назначения в производственном процессе можно подразделить таким образом:
- сырье (руда в металлургических производствах, хлопок-сырец в текстильной промышленности и т.п.);
- основные материалы (черные металлы в машиностроении, лес в деревообрабатывающей промышленности);
- покупные полуфабрикаты (моторы в станкостроении, шины в автомобилестроении);
- вспомогательные материалы (смазочные материалы, краска, лак, обтирочные материалы и т.д.); отходы (стружка, опилки, обрезки труб и т.д.); тара (деревянная, картонная, металлическая); топливо (дрова, каменный уголь); запасные части (отдельные детали машин и оборудования для капитального ремонта); малоценные и быстроизнашивающиеся предметы (отвертки, стамески, хозяйственный инвентарь, спецодежда и т.д.). Кроме того, материалы классифицируются по техническим свойствам и делятся на группы: черные металлы, прокат, трубы, цветные металлы, химикаты и т.д.
Синтетический учет производственных запасов. На синтетических счетах учет материальных ценностей ведут по фактической себестоимости или по учетным ценам. При учете материалов по фактической себестоимости в дебет материальных счетов относят все расходы по их приобретению.
При поступлении материалов дебетуют материальные счета 10 «Материалы» или 12 «Малоценные и быстроизнашивающиеся предметы» и кредитуют:
- счет 60 «Расчеты с поставщиками и подрядчиками» — на стоимость поступивших материалов по ценам поставщиков со всеми наценками сбытовых и снабженческих организаций и транспортно-заготовительными расходами, включенными в счета поставщиков, включая оплату процентов за приобретение в кредит, предоставленный поставщиком;
- счет 76 «Расчеты с разными дебиторами и кредиторами» — на стоимость услуг, оплачиваемых чеками транспортным (железнодорожным и водным) организациям;
- счет 71 «Расчеты с подотчетными лицами» — на стоимость материалов, оплаченных из подотчетных сумм;
- счет 23 «Вспомогательные производства» — на расходы по доставке материалов собственным транспортом и на фактическую себестоимость материалов собственного производства;
- счет 20 «Основное производство» — на стоимость возвратных отходов;
- другие счета.
На предприятиях, заготавливающих и перерабатывающих сельскохозяйственную продукцию (молоко, скот, птицу, свеклу и др.), а также на строительных предприятиях, заготавливающих материалы и конструкции, расходы по заготовке и доставке указанных сырья и материалов на предприятие (стройку) до включения в фактическую себестоимость приобретения или заготовления сырья и материалов учитывают на активном счете 44 «Издержки обращения» (при наличии на предприятиях специального заготовительного аппарата).
Накопленные суммы списывают с кредита счета 44 «Издержки обращения» в дебет счетов:
- 15 «Заготовление и приобретение материалов» — на расходы по заготовке сырья на перерабатывающих предприятиях;
- 11 «Животные на выращивании и откорме» — на расходы по заготовке скота и птицы;
- счетов производственных запасов строительных предприятий, где присоединяют к другим расходам.
Со счета 15 «Заготовление и приобретение материалов» фактическую себестоимость сырья на перерабатывающих предприятиях списывают в дебет счета 10 «Материалы».
Сельскохозяйственные предприятия продукцию собственного производства текущего года отражают на счете 10 «Материалы» в течение года по плановой себестоимости (дебет счета 10, кредит счета 20 «Основное производство»). После составления годовой отчетной калькуляции плановую себестоимость материалов корректируют до фактической себестоимости способом «красное сторно» (если фактическая себестоимость оказалась ниже плановой) или способом дополнительных проводок (если фактическая себестоимость выше плановой).
Поступающие материалы, не сопровождающиеся платежными документами от поставщиков (неотфактурованные поставки), оприходуются по акту о приемке материалов, составляемому на складе. Оприходование неотфактурованных поставок осуществляют по учетным ценам либо по ценам договора или предыдущих поставок. Если до конца месяца платежное требование не поступит, то приемная оценка на указанные поставки сохраняется. В следующем месяце при поступлении платежного требования стоимость неотфактурованных поставок в приемной оценке сторнируют и составляют новую запись по фактическим суммам, указанным в документах поставщиков.
Стоимость акцептованных и оплаченных материалов, не поступивших в течение отчетного периода на предприятие (материалы в пути), по окончании месяца отражают по дебету счетов 10 «Материалы» или 12 «Малоценные и быстроизнашивающиеся предметы» и кредиту счета 60 «Расчеты с поставщиками и подрядчиками» (без оприходования ценностей на склад). В начале следующего месяца эти суммы сторнируют и по поступлению ценностей составляют обычную бухгалтерскую запись по ним.
При приемке материалов от поставщиков могут быть выявлены излишки или недостачи фактически поступившего количества материалов по сравнению с документальными данными, оформляемые актом. Излишки приходуют по акту и расценивают по учетным ценам предприятия или по отпускным ценам. Затем отдел снабжения сообщает об излишках поставщику и просит выслать платежное требование на стоимость излишков.
Если при приемке материалов обнаружена недостача или их порча, то их стоимость отражают по дебету счета 63 «Расчеты по претензиям» и кредиту счета 60 «Расчеты с поставщиками и подрядчиками». На материальных счетах стоимость недостач или порчи материалов не отражают.


Заключение Североамериканского соглашения о свободной торговле


Заключение Североамериканского соглашения о свободной торговле (НАФТА), несомненно, придало мощный импульс интеграции на Североамериканском континенте, который выходит за пределы Северной Америки. В Центральной и Латинской Америке предпринимается ряд новых энергичных попыток в области региональной интеграции.
В Азии планы региональной интеграции считаются в значительной степени оборонительным стратегическим оружием, которое в основном предназначено для того, чтобы попытаться обеспечить открытые рынки в других регионах. На Ближнем Востоке основной вопрос заключается в том, достижимо ли эффективное соединение факторов производства — прежде всего иностранной рабочей силы и финансовых ресурсов — с целью обеспечить экономическую интеграцию стран региона. Повышается интерес к региональной интеграции в Африке, несмотря на значительное число уже действующих, но в целом неэффективных объединений.
Положение дел в области создания единого рынка ЕС. Как известно, завершить создание единого европейского рынка было намечено к 31 декабря 1992 года. Европейский Союз (ЕС) стал реальностью, хотя и противоречивой. К настоящему времени принято примерно 95 процентов от общего числа мер, необходимых для воплощения в жизнь идеи внутреннего рынка. Так, с 1 января 1993 г. отменены все виды контроля за движением товаров через границы в рамках ЕС.
Полная отмена контроля за перемещением людей через границы займет больше времени, поскольку одни страны-участницы отстают от графика реорганизации своих аэропортов в целях отмены паспортного контроля в отношении лиц, путешествующих внутри Сообщества, а другие страны, обеспокоенные потенциальной иммиграцией и проблемами преступности, по-прежнему возражают в принципе. Однако, стремясь к обеспечению эффективного функционирования единого рынка, Комиссия ЕС между тем согласовала руководящие принципы, предусматривающие представление ежегодных отчетов о функционировании единого рынка и периодических докладов о национальном исполнении, а также проведение всеобъемлющего анализа экономических результатов программы в 1996 году.
Эти разнообразные аспекты «углубления» интеграции — иными словами, более интенсивная интеграция — все чаще дополняются попытками «расширить» Европейское сообщество путем увеличения его членского состава. Так, ЕС и члены Европейской ассоциации свободной торговли (ЕАСТ) (за исключением Швейцарии, которая осенью 1992 года проголосовала против) к концу 1993 года объединились в зону свободной торговли, которая получила название Европейской экономической зоны (ЕЭЗ). Успешно завершены начатые 1 февраля 1993 года переговоры о расширении состава Европейского сообщества тремя отдельными странами-членами ЕАСТ, а именно Австрией, Финляндией и Швецией, подавшими заявки на вступление в Сообщество.
Переговоры с каждой из трех стран будут носить двусторонний характер и охватывать 29 различных областей — от рыболовства до внешней политики. Основным предметом обсуждений являются вопросы предоставления им особого режима в области сельского хозяйства и региональной политики, а также нейтралитета в свете планируемого проведения Европейским сообществом единой внешней политики и политики в области безопасности. В марте 1993 года Комиссия Европейских сообществ поддержала заявление Норвегии с просьбой о приеме в члены Европейского сообщества.
Ожидает своего членства в ЕС и довольно значительное число других стран. Среди них дольше всех ожидают членства, пожалуй, Кипр, Мальта и Турция. Членство первых двух потребовало бы решения проблем взаимной увязки в рамках Европейского сообщества стран с крупными и крайне незначительными размерами экономики, а также вопросов распределения преимуществ и издержек. Между тем, в связи с потенциальным членством Турции встает вопрос о региональной помощи в рамках ЕС. Европейское сообщество предоставило в 1991 году региональную помощь в размере примерно 9,2 млрд. долл. США, или примерно 7,4 млрд. экю (европейских валютных единиц). В то же время на оказание помощи одной лишь Турции, как утверждают, может потребоваться 5,4 млрд. экю. Однако Турция пока что встречает сильное препятствие на пути своих планов стать полноправным членом ЕС. Скорее всего здесь действуют уже факторы не только экономического порядка, связанные с Европой, но и глобальные взаимоотношения двух миров (Восток-Запад).
Североамериканское соглашение о свободной торговле. В декабре 1992 года между Канадой, Мексикой и Соединенными Штатами был подписал проект соглашения о создании Североамериканской зоны свободной торговли (НАФТА).
Предлагаемый пакт содержит значительное число положений, выработанных в первом приближении после 14 месяцев обсуждений. В целом в течение 15 лет предполагается отменить тарифы почти на 10 000 наименований товаров, обеспечивая тем самым более свободное движение товаров между тремя странами. Говоря конкретнее, будут постепенно отменены пошлины на все виды сельскохозяйственной продукции: одни — быстро, другие — в течение 15 лет. Об отмене пошлин на одежду и текстиль сказано особо: беспошлинный режим распространяется на предметы одежды лишь в том случае, если прядильные, ткацкие и все покройно-пошивочные операции произведены в Северной Америке. Что касается финансовых услуг, то лимиты участия американского и канадского капитала в мексиканских банках, инвестиционных фирмах и страховых компаниях будут постепенно отменены, при этом все ограничения будут устранены к 1 января 2000 года. Что касается свободного движения населения, то соглашение позволит большинству профессиональных работников каждой из трех стран заниматься трудовой деятельностью в любой другой стране Северной Америки более свободно, чем в настоящее время, хотя путь крупномасштабной иммиграции из Мексики будет прегражден.
Авторы многочисленных исследований потенциальных преимуществ и недостатков практической реализации этого соглашения часто приходят к неодинаковым выводам, например,  основываясь  на том,  что этим договором  будет отменен ряд сельскохозяйственных налогов, авторы некоторых исследований сделали вывод о возможности экономии для потребителей. Однако авторы других аналитических исследований утверждали, что цены на продукты питания возрастут, поскольку многие положения этого соглашения предусматривают предоставление особых преимуществ могущественным отраслям экономики, при этом интересам потребителей уделяется лишь второстепенное внимание.
Одним из вопросов, вызывающих наиболее яростные споры, является, естественно, потенциальное воздействие соглашения на занятость. Значительная разница в оплате труда рабочих в Мексике и в Соединенных Штатах может привести к перемещению трудоемких производств. В 20 исследованиях, рассмотренных Министерством труда Соединенных Штатов, предсказывалась потеря рабочих мест в результате действия договора, причем по одной из оценок, договор может стоить Америке 150 000 рабочих мест в течение 10 лет. Однако в исследовании, проведенном Комиссией по международной торговле, содержалось мало аргументов в пользу критиков договора.
Согласно приведенным в исследовании оценкам, сокращение уровня занятости в конечном счете составит до 5% в автомобильной и швейной промышленности и до 15% в отраслях, производящих основные бытовые электроприборы, изделия из стекла и керамики; однако в сравнении с прогнозами изменения уровня занятости при отсутствии соглашения, общий уровень занятости в условиях действия договора останется неизменным в Соединенных Штатах и увеличится до 0,6% в Канаде и до 6,6% в Мексике.
В Америке возрастет количество рабочих мест в отраслях, производящих запчасти для автомобилей, компьютеры, в промышленном машиностроении и текстильной промышленности. Однако одной из существенных проблем является постоянство этих рабочих мест.
Авторы одного из крупных исследований, которые, приняв 1990 год за базовый и предсказывая чистое увеличение уровня занятости в Соединенных Штатах к 1995 году примерно на 175 000 рабочих мест, тем не менее пришли к выводу о том, что любой подобный чистый выигрыш в количестве рабочих мест бесследно исчезнет по прошествии
15-20 лет.
Реализация соглашения затрудняется множеством текущих политических проблем. Растут преграды на пути соглашения в палате представителей Соединенных Штатов. До того как соглашение вступит в силу, должны быть заключены два дополнительных соглашения по вопросам труда и окружающей среды. В то же время ряд организаций активистов, представляющих, например, рабочих, сторонников охраны окружающей среды, потребителей и фермеров, по-прежнему выступают против этого соглашения, да и администрация Клинтона, похоже, не уделяет этому соглашению в настоящее время большого внимания (но это временное явление, поскольку в перспективе соглашение, несомненно, будет рассматриваться приоритетным).1


Замещение изношенного стало основным мотивом покупок.


Первое «правительство реформаторов» бесславно ушло в небытие в конце 1992 года, оставив после себя созданные им же самим крупные экономические и социальные проблемы.
Замысел реформы. Действия правительства на начальном этапе. Программа реформы в России как целостный документ правительством не разрабатывалась. Из выступлений его наиболее активных деятелей, разного рода разработок и постановлений правительства по отдельным вопросам, а также указов Президента стало очевидно, что в основе реформы, начатой в январе 1992 года, — жесткие рекомендации и требования Международного валютного фонда по макроэкономической стабилизации, либерализации цен, финансовой и кредитно-денежной политике. В качестве важнейшей конкретной цели российское правительство выдвинуло идею достижения бездефицитного бюджета.
Такая логика оздоровления экономики неизбежно предполагала ценовой шок, который обесценит государственный долг, накопления предприятий и сбережения населения. Одновременно эти меры должны были привести к сокращению государственных расходов. Теоретически следовало ожидать уменьшения конечного спроса, снижения инфляции, достижения финансового равновесия, стимулирования производства. По замыслу реформы, был неизбежен экономический спад, который в условиях жестких финансовых ограничений должен был устранить неэффективное производство и способствовать утверждению новых рыночных мотиваций в поведении хозяйствующих субъектов.
Результат этих шагов стал заметен прежде всего в магазинах — на полках появились многие виды продовольственных и промышленных товаров. Однако произошло это только из-за чрезмерного роста цен и ограничения спроса населения. Объем товарооборота в сопоставимых ценах за 1992 год сократился на 39%, при этом продажи кожаной обуви, шерстяных и шелковых тканей сократились на 20-33%, а трикотажных, швейных и чулочно-носочных изделий, хлопчатобумажных тканей — наполовину и более. Резко возросшие расходы на питание блокировали у большинства семей возможности расширения гардероба. Замещение изношенного стало основным мотивом покупок. Экономический кризис принял всеобщий характер, переплетясь с кризисом, наблюдающимся в продовольственной, структурной, экологической, финансово-кредитной, культурной и даже психологической сферах.
Оценивая в целом замысел и действительный ход реформы, можно сделать следующие выводы.
Основные формы и методы воздействия на финансовое положение страны и производство не были тщательно отработаны, а главное, не были увязаны с истинным состоянием взаимосвязей в нашей экономике. Своеобразие экономической среды в России предопределило в ряде случаев обратные эффекты традиционных воздействий.
Особенно негативно сказалось начатое с января 1992 года проведение либерализации цен при сохранении абсолютного монополизма в экономической системе страны, основанной на государственной собственности, при крупных диспропорциях в экономике, при полном отсутствии рыночных инфраструктур и каких-либо условий к восприятию свободных рыночных цен.
Конечно, для такого поведения есть определенные основания — было стремление быстрее, опираясь в основном на зарубежный опыт и зарубежные авторитеты, добиться успеха в экономике. Но такая поспешность, как и предупреждали многие профессиональные экономисты и специалисты производства, оказалась впоследствии роковой. По существу, не удалось сделать крупного реального шага по пути создания эффективного рыночного механизма производства и реализации продукции; в то же время оказался разрушенным прежний хозяйственный механизм. Быстро возросло значение архаичного бартерного обмена, неспособного обеспечить работу современного производства. Движение товаров к потребителю приобрело спекулятивно-мафиозные черты, когда плоды все еще обобществленного производства откровенно стали оседать лишь в формально новых, якобы рыночных структурах, паразитирующих на беспорядке и отсутствии элементарного контроля. По данным социологического опроса участников свободной торговли (13% розничного оборота), в каждом втором случае предлагаемые в этой сфере товары были куплены ими в госторговле.
Местне руководство, администрация предприятий и трудовые коллективы оказались дезориентированными. При отсутствии определенности в приобретении ресурсов, комплектующих и отсутствии финансовых средств принимать правильные решения стало просто невозможно.
Отклонение прогнозных оценок накануне реформы от фактических результатов более конкретно состояло в следующем.
1. Скачок потребительских цен за год произошел в 26 раз, что привело к невозможности приобретения значительной массой семей товаров даже первой необходимости. Тем не менее население в целом терпимо восприняло многократный рост цен, и крупных массовых забастовок или других социальных конфликтов не произошло. Однако напряжение и негативные ожидания в обществе нарастали.
2. Падение производства начало перерастать в развал, в паралич экономики. В целом в 1992 году объем промышленного производства по сравнению с 1991 годом снизился на 19%, товаров народного потребления — на 15%, из них продуктов питания — на 18%, тканей и обуви — на одну треть, домиков садовых, срубов и хозблоков — на 41%. Это было падение неструктурного характера, хотя правительство стремилось обосновать идею структурного спада: останавливались эффективные производства, сокращался выпуск крайне необходимой продукции. Такое падение производства было вполне закономерным следствием ошибочной промышленной политики, поскольку она не опиралась на рыночную инфраструктуру, создать которую правительство «забыло».
3. Следующий стратегический просчет — это ориентация на немедленную ликвидацию дефицита бюджета. По замыслу, уже в первом квартале 1992 года правительство утверждало о своих возможностях реализовать бездефицитный бюджет, вопреки предупреждениям со стороны парламента. В итоге же правительство получило дефицит федерального бюджета в объеме 5% от ВНП в формально учитываемом варианте. И вдвое больший с учетом скрытого участия Центрального банка в его покрытии, что, естественно, было неизбежным в создавшейся обстановке. Парламент России оценил бюджетную политику правительства отрицательно, корректировка бюджета продолжалась практически до конца 1992 года. В стремлении добиться бездефицитного бюджета под мощным давлением правительства парламентом неоправданно были взвинчены налоги и недопустимо сокращены государственные расходы на развитие жизненно необходимых отраслей, производств и сфер деятельности. В результате развился платежный коллапс, проблему которого, кстати, пришлось решать самому парламенту и Центральному банку в июле-августе 1992 года, которые тогда практически заменили правительство Гайдара, полностью потерявшее управление экономикой. Действительно, в своем пике неплатежи достигали до 78% ВВП. Кризис охватил четыре пятых всех промышленных предприятий.
4. Следствием всех ошибочных решений по стратегическим вопросам экономики явилось катастрофическое падение курса рубля по отношению к доллару — со 150 рублей в среднем за первый квартал до более 400 рублей к концу года. Это привело к многократному обесцениванию национального богатства страны и укреплению криминальных элементов в политике денационализации, росту нищеты, социальному расслоению общества.
5. Наиболее крупной неудачей оказалось более глубокое, чем прогнозировалось правительством, падение уровня жизни населения. По официальным расчетам, около одной трети населения имело к концу 1992 года доходы ниже прожиточного минимума.
Огромный скачок цен в январе 1992 года (в 3,5 раза) произошел на фоне обычного для января снижения против декабря объемов денежных доходов населения — на 6,9%.
Глубочайшим образом оказался деформирован оборот денег в потребительской сфере. Январское обесценение накоплений было настолько сильным, что даже текущий гипер-инфляционный выброс наличности не пополнил должным образом семейные бюджета. В итоге в 1992 году совокупные денежные накопления населения (средняя из двух дат) относительно среднемесячных потребительских расходов были в 2,3 раза меньше, чем в 1991 году, а сбережения в организованных формах (вклады, акции, облигации и так далее) были скуднее примерно в 4 раза. При этом степень конфискации, исключая наличную компоненту, не снижалась, а даже нарастала.
Причинами этих очевидных негативных последствий явились не «коммунистическое прошлое», не «сопротивление реакционных сил» реформам, как это утверждалось суперрадикалами-демократами, а грубые просчеты в экономической стратегии, легкомысленное отношение к сложнейшим внутренним проблемам, даже скорее незнание этих проблем.
В центр реформ была поставлена не серьезная практическая и организационная работа по созданию рыночной среды, перегруппировке производства, структурным преобразованиям, а лишь мероприятия в финансовой сфере, к тому же необоснованные, а потому малореальные. Практика подтвердила опасения многих экономистов, что либерализация цен без предварительного создания хотя бы первичной рыночной инфраструктуры приведет к их неуклонному и неограниченному повышению производителями-монополистами. Внешне меры правительства были вроде бы радикальными, но во многом оказались оторванными от реальной действительности, не учитывающими ее, контрреформаторскими. 1


Зависимость роста производства от использования факторов производства


Зависимость роста производства от использования факторов производства В реальной жизни в пределах используемой технологии предприниматель стремится найти наилучшее сочетание факторов производства (труд, земля, капитал) с тем, чтобы добиться наибольшего выхода продукции. Отношение между любым набором факторов производства и максимально возможным объемом продукции, производимой из этого набора факторов, характеризует производственную функцию. Производственная функция характеризует технологическую зависимость между затратами ресурсов и выпуском продукции. Она всегда строится для определенной технологической структуры. Улучшение технологии, увеличивающей максимально достигаемый объем выпускаемой продукции при любой комбинации факторов, всегда находит отражение в новой производственной функции. Производственную функцию можно использовать, чтобы определить минимальное количество затрат, необходимых для производства любого данного объема товаров.
Если весь набор факторов производства и ресурсов представить как затраты труда, материалов и капитала, производственная функция может быть описана следующим образом: Q = f(L, К, М),где Q — максимальный объем продукции, производимой при данной технологии и данном соотношении труда (L), капитала (К), материалов (М).
Производственная функция характеризует зависимость физического объема производства от использования факторов производства не только по отношению к отдельной фирме, но и пропорцию между этими величинами в масштабах общества.
Модификацией производственной функции является изокванта. Изокванта — кривая, геометрическое место точек, соответствующих всем вариантам производственных факторов, использование которых обеспечивает одинаковый объем выпуска продукции.
График, на котором представлен набор изоквант, называется картой изоквант ( 15.1.2).

Специфика анализа деятельности предприятия зависит от периода времени, в течение которого реализуется производственная функция. Различают краткосрочный период (в течение которого производственные факторы остаются фиксированными) и долгосрочный период (отрезок времени, достаточный для внесения изменений во все факторы производства).
Американские экономисты Дуглас и Солоу в 20-х годах XX в. на основе статистических исследований производства зерна за 100 лет рассчитали вклад таких факторов производства, как труд и капитал, в общий прирост выпуска продукции. Оказалось, что увеличение затрат труда на 1% обеспечивает 3/4 прироста выпущенной продукции, а увеличение затрат капитала на 1% даст возможность получить 1/4 прироста продукции. Поскольку эти выводы относились ко всему обществу, то указанные индексы (3/4 и 1/4) назвали агрегатными, а зависимость между выпуском продукции и факторами производства — агрегатной функцией производства Дугласа и Солоу. Дуглас и Солоу показали, что труд является наиболее важным фактором производства, ибо он обеспечивает наибольшее увеличение выпуска продукции.
Хотя производственные функции различны для разных видов производства, все они обладают общими свойствами.
Первое. Существует предел для увеличения объема производства, которое может быть достигнуто увеличением затрат одного ресурса при прочих равных условиях. Это предполагает, что на фирме при данном количестве станков и производственных помещений существует предел увеличения производства посредством привлечения большего количества рабочих. Всякий прирост от роста численности занятых будет приближаться к нулю.
Второе. Существует определенная взаимозаменяемость факторов производства. В этом случае взаимозаменяемость факторов производства происходит без сокращения объема производства. Например, труд работников эффективен, если они обеспечены производительным инструментом. При отсутствии такого инструмента объем может сократиться или увеличиться за счет роста численности занятых. В этом случае происходит замена одного ресурса другим.
Тем не менее есть предел для замены труда большим количеством капитала без сокращения выпуска продукции. Существует также предел использования ручного труда без применения оборудования. Например, на фирме можно сократить применение машин и увеличить количество ручного труда. Однако при меньшем количестве машин и большем количестве рабочих для замещения каждого часа работы машин потребуется большее количество рабочих часов.
За счет взаимодействия факторов производства изготавливаются товары, которые продаются на рынке. При этом предприятия получают торговую выручку, которая должна покрыть факторные затраты и принести прибыль. Одновременно домашние хозяйства получают доход от своих факторов производства. В зависимости от величины своих доходов отдельные хозяйства претендуют на соответствующую долю в произведенном продукте. Таким образом происходит распределение произведенного продукта через систему распределения доходов.1
В экономической науке нельзя обойтись без логичного построения и систематизации знаний о столь неопределенных вещах, как конкуренция. Однако мы выделяем ее формы и поэтому можем проанализировать внешнюю среду фирмы в разной степени конкуренции. Рациональная процедура получения знаний о рынке, его регулировании и дерегулировании является основой для изучения функционирования бизнеса и его структуры в рыночных условиях. Таким образом предмет настоящего раздела представляет также и серьезный практический интерес.


Жизненный цикл товара (ЖЦТ)


Жизненный цикл товара (ЖЦТ) Изучение колебаний объемов и продолжительности производства того или иного продукта позволило установить, что эти показатели изменяются во времени циклически, с закономерными и поддающимися измерению интервалами. В экономической науке явление периодического колебания объемов и продолжительности производства и сбыта продукта называют экономическим циклом жизни продукта, или коротко — циклом жизни продукта
Маркетинг, в первую очередь, интересует цикл жизни товара на рынке. По временя он короче экономического цикла, включающего фазы создания прототипа продукта, его экспериментального производства и короткий первоначальный период серийного производства, когда продукт еще не «дошел» до потребителя.
Фаза зрелости — повышение степени насыщенности рынка, снижение темпов роста продаж. Новый товар переходит в разряд традиционных, при этом достигает максимума продаж. Существенно снижаются темпы роста прибыли в целом по отрасли. Товар приобретается массовым потребителем со средним уровнем доходов. Продвижение товара приобретает остроконкурентный характер.
Фаза насыщения — прекращение роста продаж при некотором росте прибыльности, если достигается значительное снижение издержек производства. В торговых точках имеется обычно полная ассортиментная группа товаров с разными уровнями цен. На этой фазе находятся многие виды изделий бытовой электротехники и электроники, большая часть продовольствия, металлообрабатывающие станки, автомобили.
Фаза спада (упадка) — у производителя происходит устойчивое снижение спроса, объема продаж и прибыли. Потребитель теряет интерес к товару, основная масса покупателей — «консерваторы» с низкой платежеспособностью. У изготовителя (продавца) есть три варианта альтернативных направлений деятельности на этой фазе: сократить маркетинговые программы; оживить продукт, изменив его положение на рынке, упаковку; прекратить выпуск продукции.
Традиционная кривая включает отчетливые периоды внедрения, роста, зрелости, насыщения и спада.
Классическая кривая (бум) описывает чрезвычайно популярный продукт со стабильным сбытом на протяжении долгого времени (например, напиток «кока-кола»). Кривая увлечения описывает товар с быстрым взлетом и падением популярности. Продолжительное увлечение проявляется таким же образом, за исключением того, что «остаточный» сбыт продолжается в размерах, составляющих лишь небольшую часть прежнего объема реализации. Сезонная кривая, или кривая моды, имеет место, когда товар хорошо продается в течение периодов, разнесенных во времени. Кривая возобновления, или ностальгии, характеризует продукт, на который по истечении определенного времени спрос возобновляется. Кривая провала раскрывает обычно поведение товара, который вообще не имеет рыночного успеха.
Переход от одной фазы цикла к другой происходит обычно плавно, без скачков. В силу этого служба маркетинга должна внимательно следить за динамикой продаж и прибыли, чтобы уловить границы фаз и, следовательно, вносить изменения в программу маркетинга, перераспределить маркетинговые усилия, скорректировать структуру комплекса маркетинга. Особенно важно уловить стадию насыщения и еще более — спада, поскольку держать на рынке «больной товар» убыточно (табл. 17.2.1).
В дополнение к изложенному относительно ЖЦТ отметим также следующие важные моменты.
1. Продолжительность жизненного цикла в целом и его отдельных фаз зависит как от самого товара, так и от конкретного рынка. По общему признаку сырьевые товары имеют более длительный жизненный цикл, готовые изделия — более короткий, а наиболее технически совершенные товары — очень короткие (2-3 года).
2. Жизненный цикл одного и того же товара, но на разных рынках неодинаков. На российском нетребовательном рынке он значительно более длительный, чем, например, в США, Японии, Германии с их развитым конкурентным рынком.
3. С помощью средств маркетинга ЖЦТ на целевом рынке может быть как продлен, так и сокращен.
Товарный знак и его сущность. Товарный знак (торговая марка) — зарегистрированное в установленном порядке обозначение, присвоенное товару для его отличия от других и указания на его производителя (предприятие, фирму). Он представляет собой рисунок (символ, знак), определенное сочетание букв, чисел. Понимаемый как средство индивидуализации производителя, товарный знак рассматривается как торговая марка или фирменный знак. Товарный знак регистрируется в государственных учреждениях России, других государств и пользуется правовой защитой. Такой знак защищает исключительные права изготовителя-продавца на пользование маркой и/или эмблемой.
Товарный знак — один из видов промышленной собственности, закрепленных Парижской конвенцией 1883 г. В сочетании с коммерческой рекламой он представляет собой важное средство конкуренции. Помимо указанной конвенции, охрана прав на товарный знак предусматривается Мадридской конвенцией о международной регистрации товарного знака 1981 г., в которой Россия принимает участие как преемница СССР, и Договором о регистрации товарного знака 1973 г. В ряде стран право на товарный знак приобретается в силу приоритета регистрации, в других — приоритета использования.
Таблица 17.2.1
Жизненный цикл товара: основные характеристики и типичные ответные реакции производителей
V Фазы        
    Рынка

Характери-стика рынка
Фаза выведения на рынок
Фаза роста
Фаза зрелости
Фаза насыщенности
Фаза упадка (спада)
Сбыт
Слабый
Быстрорастущий
Медленно растущий
Стабилизирующийся
Падающий
Прибыль
Незначительная
Максимально растущая
Замедленно растущая
Медленно растущая
Низкая или нулевая
Потребители
Новаторы
Массовый рынок
Массовый рынок
Консерваторы
Отстающие
Число конкурентов
Небольшое
Устойчиво растущее
Большое
Медленно уменьшающееся
Сокращающееся
Основные стратегические усилия производителей
Расширение рынка
Углубление рыночных позиций
Отстаивание своей доли рынка
Повышение рентабельности производства
Изъятие
наиболее убыточных товаров
Затраты на маркетинг
Высокие
Высокие, но относительно более низкие
Относительно сокращающиеся
Растущие
Низкие
Основные
усилия маркетинга
Формирование представления о товаре
Формирование предпочтения к
марке
Создание приверженности к марке
Закрепление приверженности к марке и к фирме
Выборочное
воздействие
Распределение товара на рынке
Неравномерное
Интенсивное
Интенсивное
Экстенсивное
Выборочное
Цена товара
Самая высокая
Высокая, но понижающаяся
в конце фазы
Сравнительно низкая
Самая низкая
Выборочно
возрастающая
Варианты разработки товара
Основной вариант
Усовершенствованный
Дифференцированный
Дифференциро-ванно-модерни-зированный
Относительно высокой рентабельности

Правовая охрана товарных знаков осуществляется ныне более чем в 160 странах мира, при этом более чем в 90 странах — на уровне законов. В сентябре 1992 г. Верховный Совет РФ принял Закон «О товарных знаках, знаках обслуживания и наименованиях мест происхождения товаров», вступивший в действие в октябре 1992 г.
С позиций маркетинга и вообще производственно-коммерческой деятельности товарный знак — это особый символ товарной ответственности, обозначающий, кому принадлежит исключительное право располагать данным товаром, получать прибыль, но и вместе с тем нести ответственность за поставку некачественного товара. Товарный знак, практически малоощутимый физически, дает его владельцу материальные выгоды, создавая ему высокую репутацию.
Основные функции товарного знака — свидетельствовать о высоком качестве продаваемого товара, вызывать доверие покупателя благодаря хорошей репутации владельца товарного знака (не обязательно изготовителя продукта), осуществляющего контроль за качеством товара. Товарный знак является той основой, на которую опирается реклама, но одновременно для своего устойчивого функционирования, распознавания и хорошего запоминания он сам нуждается в рекламе.
Стремление зарегистрировать товарный знак обусловлено и чисто экономическими доводами: марочные (фирменные) товары обычно ценятся на 15—25% выше, чем немарочные. Регистрация товарных знаков необходима не только для борьбы с конкурентами, рекламы товаров и ознакомления с ними коммерческих структур и покупателей, но и для возможности продажи лицензий на товарные знаки. В силу указанного, товарный знак имеет большое экономическое значение и становится как бы автономным ценным объектом собственности, стоимость которого у крупных компаний исчисляется миллионами и даже миллиардами долларов. Так, товарный знак «CAMEL» оценен фирмой-владельцем в 10 млн. долл., а товарный знак «Coca-Cola» — в 3 млрд. долл.
Сам по себе товарный знак мало что значит, но соединившись с хорошо рекламируемым товаром и обретя юридическую силу после своей регистрации, знак становится стимулом повышения его качества. Что касается покупателя, то товарный знак для него — это и движущий мотив покупки, и своеобразная гарантия качества. Существуют четыре типа обозначения знака (марки): 1) фирменное имя — слово, буква или группа слов, букв, которые могут быть произнесены; 2) фирменный знак — символ, рисунок или отличительный цвет или обозначение; 3) торговый образ — персонифицированная торговая марка; 4) торговый знак — фирменное имя, фирменный знак, торговый образ или сочетания их, защищенные юридически. При использовании зарегистрированный товарный знак сопровождается буквой К в круге. Фирменные имена, фирменные знаки и товарные образы представляют собой маркетинговые обозначения и не обеспечивают юридической защиты от использования конкурентами, если не зарегистрированы как товарные знаки.