Е. Ф. Борисов - Основы экономики
В учебнике в доступной форме изложены теоретические и практические знания, отражающие новый уровень развития хозяйства в России и во всем мире, включая XXI столетие: использование в экономике информационных технологий, глобализация мирового хозяйства и др.
В конце каждой главы даны тесты, вопросы и графические задачи. Во втором издании (1-е - 2004 г.) обновлены статистические данные.
Для студентов ссузов, а также для всех интересующихся проблемами экономики.

Предисловие
Учебник написан в соответствии с требованиями, предъявляемыми к качеству подготовки специалистов со средним профессиональным образованием (базовый уровень). Такие требования определены Государственным образовательным стандартом и новой программой курса «Основы экономики», которые утверждены Министерством образования Российской Федерации в 2002 г.
В книге получили отражение социально-экономические процессы, которые характеризуют новый уровень развития экономики в России и других странах мира в конце XX - начале XXI столетия.
В XX в. произошли глубокие изменения в мировой экономике. Экономический рост ускорился настолько, что за 1900-2000 гг. суммарный выпуск продукции во всем мире превысил объем производства за весь предшествующий период истории человечества. Главным двигателем мирового хозяйства стал научно-технический прогресс. В большинстве стран мира изменилось социально-экономическое устройство. Усилилась роль государства в индустриально развитых и развивающихся странах. Вместе с тем расширилось мировое рыночное пространство. Много места стали занимать проблемы глобализации мирового хозяйства.
Учебник состоит из 15 глав, в которых последовательно рассматриваются современные экономические процессы:
• изменение структуры отношений собственности на рубеже XX-XXI столетий;
• развитие кооперации и разделения труда, а также связанное с этим формирование современного профиля подготовки специалистов;
• возникновение новых взаимоотношений участников рынка в XX-XXI вв.;
• образование и распределение новой стоимости;
• появление в XXI столетии новых видов денег;
• применение информационных технологий в бизнесе;
• современные тенденции воспроизводства населения в разных странах;
• глобализация мирового хозяйства.
Особое внимание уделено анализу современного состояния и перспективам развития российской экономики. В специальных разделах речь идет о коренных преобразованиях собственности; о переходе от государственного монополизма к современному конкурентному рынку; об особенностях кризиса экономики России в 1990-х гг. и путях выхода из него; переустройстве системы управления экономикой. Отличительной чертой учебника является развитие у студентов экономического мышления. Это означает освоение положений экономической теории на основе изучения типичных фактов, статистических данных и хозяйственного опыта.
Учебный материал излагается логически последовательно - от одной познавательной задачи к другой. Прививается умение обобщать материал и делать надлежащие выводы. В конце каждой главы даются тесты, задачи и вопросы на сообразительность. Все это помогает студентам творчески осваивать экономическую науку в единстве с современной хозяйственной практикой.
Книга снабжена словарем основных экономических понятий и иностранных слов.
Глава 1 НАЗНАЧЕНИЕ И СТРУКТУРА ЭКОНОМИКИ
Слово «экономика» впервые стали употреблять в Древней Греции в IV в. до н. э. Тогда оно обозначало учение о домашнем хозяйстве. Таким хозяйством было поместье рабовладельца, где подневольные люди создавали для своих господ необходимые им блага.
За прошедшие с того времени 24 столетия экономическое пространство качественно изменилось и настолько расширилось, что стало охватывать каждую страну.
Сейчас экономикой мы называем прежде всего хозяйственную деятельность семьи, предприятий, населения страны и всего мира.
В то же время слово «экономика» обозначает науку, которая изучает такую деятельность.
Учебный курс «Основы экономики» излагает экономическую теорию в единстве и соответствии с практической хозяйственной деятельностью.
§ 1 Главная роль хозяйственной деятельности
Почему люди ведут хозяйство
Изучать экономику мы начнем с вопроса: всегда ли человек вел хозяйство? Если не всегда, то когда и как оно возникло?
Историческая наука установила, что весьма отдаленные предки людей не вели никакого хозяйства. Для того чтобы прокормить себя, они занимались собирательством, охотой и рыболовством. Но такой способ существования не давал нужного количества жизненных средств, обрекая первобытного человека на голод и низкую продолжительность жизни (до 40 лет).
Выход из этого тупикового положения был найден 10 тысяч лет назад. Если животные довольствуются тем, что находят в природе, то люди научились сами производить все нужные им полезные вещи. Занимаясь хозяйственной деятельностью, они создали высокую материальную и духовную культуру.
100 веков назад люди начали вести хозяйство, чтобы обеспечить себя необходимыми жизненными благами.
Чтобы лучше понять, что такое экономика, важно уяснить: почему человек занимается хозяйственной деятельностью?
В чем человек экономически заинтересован
Экономика вызывает неподдельный интерес у людей. От нее каждый ждет решения задач, от которых зависит его жизнь и благополучие.
Главное назначение экономики - обеспечение жизнедеятельности и повышение благосостояния людей.
Несомненно, что такая цель экономического развития затрагивает жизненные интересы всех студентов. Вряд ли кого из молодых людей оставят равнодушными такие, например, вопросы: будет ли заканчивающий среднее специальное учебное заведение иметь достаточные материальные условия для продолжения учебы в высшем учебном заведении? Куда пойти работать после окончания колледжа, техникума? Какую заработную плату он будет получать?
В условиях рынка у людей возникает масса вопросов: изменятся ли государственные денежные выплаты студентам, пенсионерам и малообеспеченным людям? Почему растут цены на продовольствие и другие товары и будут ли возмещаться потери населения от повышения цен? Если человек окажется безработным, то кто ему поможет?
Изучение экономики дает ответы и на важнейшие вопросы, встающие перед обществом в целом: как можно успешно развивать
В Книге рекордов Гиннеса сообщается, что в 1971 г. на острове Миндао (Филиппины) было «открыто» племя пещерных людей. Они не занимались сельским хозяйством, не имели домашних животных, не пользовались колесом и гончарным кругом. отечественное производство товаров для народа? Что нужно сделать, чтобы обезопасить людей от загрязнения воздуха, воды, земли? Является ли острой в нашей стране проблема роста населения?
Экономический интерес - жизненно важная причина, которая побуждает людей заниматься хозяйственной деятельностью и получать средства для всестороннего развития.
Многие люди интересуются международными хозяйственными связями, в частности такими вопросами: каковы уровень и качество жизни в различных странах и чем такое различие объясняется? Какая организация хозяйства предпочтительнее и лучше служит человеку? Как развиваются валютные отношения между странами?
Для чего объединяются экономически западноевропейские и другие страны?
Даже этот неполный перечень волнующих людей вопросов позволяет придти к следующему выводу. Каждому человеку важно хорошо осознать свои экономические интересы, ясно видеть пути и средства их осуществления. В этом читателю поможет настоящий учебник. Начнем с того, что ближе познакомимся с результатами хозяйственной деятельности.
Какие виды продуктов создает экономика
Материальное богатство общества состоит из:
• естественных благ, создаваемых природой (лес, полезные ископаемые, дикорастущие ягоды, грибы и др.);
• экономических благ, творцом которых является человек.
В свою очередь экономические блага делятся на два вида.
В известном учебнике по экономике мы находим такое обращение авторов к студентам: «Самым важным экономическим решением, зависящим только от вас, является выбор профессии. Ваше будущее зависит не только от ваших способностей, но и от экономических факторов, находящихся вне вашего контроля и оказывающих влияние на вашу зарплату. Конечно, после изучения экономики вы вряд ли превратитесь из Иванушки-дурачка в Ивана-царевича или в финансового гения. Но без экономики счастливая карта не выпадет вам никогда». Самуэльсон П., Нордхаус В. Экономика. М., 2000.
Предметы потребления, которые непосредственно предназначены для жизни человека. К ним относятся пища, одежда, обувь, жилище, пассажирский транспорт и тому подобное.
Средства производства - это все, что позволяет создавать полезные для человека продукты (например, добытая нефть, металлы, инструменты, станки и многое другое).
Таблица 1.1
Наличие у населения товаров длительного пользования (на 100 семей, штук)
|
С. грагіЕ,: |
Год |
Радиоприемные
устройства |
Телеииоры |
Легковые
автомобили |
|
Россия* |
2003 |
|
133 |
31 |
|
Украина |
2003 |
14 |
] 1 |
23 |
|
Белоруссия |
2003 |
55 |
89 |
51 |
|
Герма!! ия* |
199Я |
] 23 |
140 |
97 |
|
США |
200] |
560 |
240 |
125 |
|
* В среднем на 100 домашних хозяйств.
** В 2001 г.
Таблица 1.2
Производство важнейших видов промышленной продукции на душу населения в 2002 г. |

* в 2003 г.
Обычно в первую очередь люди оценивают, насколько богата та или иная страна, по количеству производимых в ней жизненно важных предметов потребления. Так, в частности, по статистическим данным табл. 1.1 мы можем судить о том, граждане каких стран живут лучше, а каких - хуже.
Промышленно развитые страны серьезно различаются также по количеству создаваемых ими других видов экономических благ - средств производства (табл. 1.2).
Средства производства могут быть добыты из «кладовых природы» (полезные ископаемые) или произведены внутри страны (станки для обработки металла и т. п.). Виды полезных благ и их источники представлены в табл. 1.3.
Таблица 1.3
Виды полезных благ и источники богатства
|
ИсТОЧпик |
Виды благ |
|
богатства |
L1 редметы потребления |
Средства производства |
|
ЕггТеспинные |
Пчелиный мед, лекарстве еэ- |
Необработанная земля, уголь- |
|
продукты |
ные растения и т. п. |
Г1Е.Т месторождения и др. |
|
Экономические блага |
Продукты питания, обупь, [(елооипедЕ.: и проч. |
Бетон химические продукты, груоопьт автомобили и т. д. |
Как предметы потребления связаны со средствами производства
Допустим, что некоторые молодые люди любят хлебобулочные изделия. Однако могут ли они ответить на следующий несложный вопрос: с чего начинается и через какие этапы проходит создание этих изделий, прежде чем они достанутся потребителям?
По-видимому, легче ответить на этот вопрос сельским жителям, которые хорошо знают, какие средства производства надо сначала создать, чтобы в конечном счете получить из них продукты питания. Речь идет о следующих этапах хозяйственной деятельности:
• на полях вырастить зерновые культуры (пшеницу, рожь и др.);
• на мукомольных предприятиях произвести из зерна муку;
• на хлебозаводах выпечь хлебобулочные изделия;
• готовые продукты доставить в магазины.
Из сказанного можно сделать такое заключение.
1. Создавать предметы потребления можно только на основе хорошо налаженного производства соответствующих средств производства.
2. Как правило, в хозяйственной деятельности участвуют предприятия разных отраслей производства, где необходимые материальные средства последовательно используются для создания конечных благ, предназначенных для личного потребления человека.
Будущим специалистам, разумеется, полезно знать, как в избранной ими области деятельности создаются средства производства, а затем поэтапно из них изготавливаются предметы потребления.
Связь между средствами производства и предметами потребления на практике оказывается сложнее, чем сначала это может показаться. Дело в том, что некоторые экономические блага имеют двойное назначение. Одна их часть используется как средства производства, а другая - как предметы потребления. Возьмем, скажем, сахарный песок. Большая часть его применяется в качестве средства производства при изготовлении кондитерских изделий, варенья и др. Другая же часть расходуется как предмет личного потребления. То же относится к соли, к выловленной рыбе, к мясу и другим продуктам.
Теперь нам предстоит проникнуть вглубь механизма хозяйственной деятельности. Необходимо выяснить, что побуждает людей приводить в движение этот механизм.
§ 2 Потребности общества и способы их удовлетворения
Что такое потребность
Мощным двигателем экономики являются потребности общества.
Потребности - недостаток или нужда в чем-то, необходимом для жизнедеятельности людей.
Потребности человека имеют важные отличительные особенности, которые выделяют его из всего животного мира. В чем они состоят?
Первая особенность. Потребности людей изменяются исторически количественно и качественно. Эти изменения заметны при переходе от одной эпохи развития экономики и культуры общества к другой. Возьмем, допустим, людей, живших в начале прошлого века.
Они даже в своих фантазиях не предполагали, что могут быть такие необыкновенные вещи, которые для наших современников стали привычными, -телевизоры, компьютеры, космические станции и многое другое.
Вторая особенность. Запросы человека очень меняются на протяжении всей его жизни. Одно дело младенец, испытывающий преимущественно физиологические нужды, и совершенно другое - взрослый человек, овладевший определенной специальностью.
Третья особенность. У людей даже одного возраста очень часто потребности, запросы, предпочтения не совпадают. Не случайно в России в ходу народные поговорки и выражения: «На вкус и на цвет товарищей нет», «О вкусах не спорят». Четвертая особенность. Современная цивилизация (уровень материальной и духовной культуры) знает несколько уровней потребностей человека:
• физиологические потребности (в пище, воде, жилье и др.);
• потребность в безопасности (защите от внешних врагов и преступников, помощи при болезни, защите от нищеты);
• потребность в социальных контактах (общении с людьми, имеющими те же интересы; в дружбе и любви);
• потребность в уважении (уважении со стороны других людей, самоуважении, в приобретении определенного общественного положения);
• потребность в саморазвитии (в совершенствовании всех возможностей и способностей человека).
Перечисленные формы человеческих потребностей наглядно можно изобразить в виде пирамиды (рис. 1.1).

Рис. 1.1. Пирамида потребностей современного человека
Особенно важно сказать об имидже (внешнем и внутреннем облике) будущего специалиста. Что касается внешнего вида выпускника техникума, колледжа, то он обычно испытывает влияние общепринятых норм культуры, моды и других обстоятельств. От самого студента во многом зависит выработка высоких качеств его внутреннего имиджа, в которых проявляются развитые потребности:
• эрудиция (начитанность, глубокие познания в различных областях человеческой деятельности);
• развитой интеллект (творческое мышление);
• высокая культура человеческого общения;
• свободное владение одним-двумя иностранными языками;
• умение пользоваться компьютером;
• высоконравственное поведение.
Для XXI столетия характерны всестороннее развитие потребностей и высокий имидж специалистов.
Как же на протяжении истории происходит возвышение уровня потребностей членов общества? Это во многом зависит от взаимодействия общественного производства и назревших нужд людей.
Как взаимосвязаны потребности и производство
Связь производства с потребностями является двусторонней: прямой и обратной. Рассмотрим эту связь подробнее.
Производство прямо и непосредственно воздействует на потребности в нескольких направлениях.
1. Уровень производственной деятельности определяет, в какой мере она может удовлетворить запросы людей. Если, предположим, в стране не произведено нужного количества благ (будь то хлеб или автомобили), то потребности людей не будут в должной мере удовлетворены. В этом случае рост потребностей станет невозможным.
2. Переход производства на новый уровень научно-технического прогресса коренным образом обновляет предметный мир и уклад жизни людей, порождает качественно иные потребности. Скажем, выпуск и поступление в продажу видеомагнитофонов и персональных компьютеров вызывает желание их приобрести.
3. Производство во многом влияет на способы потребления полезных вещей и тем самым обусловливает определенную бытовую
культуру. Например, первобытный человек вполне довольствовался куском мяса, поджаренным на костре, которое он руками разрывал на части. Нашему современнику для приготовления из того же куска мяса жаркого требуется газовая, электрическая плита или гриль, а также столовые приборы.
В свою очередь, потребности оказывают обратное воздействие на производственную деятельность.
1. Потребности являются предпосылкой и определяют направление созидательной
деятельности человека. Каждое хозяйство заранее намечает свое производство полезных продуктов с учетом выявленных потребностей.
2. Возвышение потребностей часто обгоняет производство. Примечательно, что работники швейных фабрик стремятся заранее узнать, какие новинки одежды разработаны в домах моды с учетом нового уровня потребностей.
3. Возвышение потребностей придает им ведущую роль в поступательном развитии производства - от его низшей ступени ко все более высоким.
Развитие потребностей прямо зависит по нескольким направлениям от уровня производства. Последнее испытывает многообразное обратное воздействие от запросов общества.
Изучение взаимодействия производства и потребностей позволяет понять место и роль новых нужд людей в кругообороте экономических благ.
В чем состоит роль потребностей в кругообороте благ
Прежде всего важно обратить внимание на особый характер развития экономики -ее круговое движение.
Подобно тому, как на Земле постоянно происходит круговорот веществ, в хозяйственной деятельности непрерывно совершается кругооборот экономических благ. Изготовленные полезные вещи исчезают в процессе их потребления и вновь создаются в том же или измененном виде. Такой кругооборот -обязательное условие непрерывного поддержания и возобновления жизнедеятельности людей.
Рассматриваемый кругооборот состоит из пяти основных звеньев, неразрывно связанных между собой:
|
|
Производство — |
! |
|
|
¦ |
|
Потребности |
|
Распределение |
|
|
|
1 |
1 |
|
Потребление |
|
Обмен |
Рис. 1.2. Кругооборот экономических благ
• производство;
• распределение;
• обмен;
• потребление благ;
K обновление потребностей.
Теперь рассмотрим, как происходит экономический кругооборот. Цепочка неразрывных зависимостей между ее отдельными звеньями наглядно изображена на рис. 1.2.
Кругооборот создаваемых благ рассмотрим на конкретном примере крестьянского хозяйства. Производитель сначала выращивает, например, овощи. Затем он распределяет их: часть оставляет для себя и своей семьи, а остальное идет на продажу. На рынке излишние для семьи овощи обмениваются на нужные в хозяйстве продукты (например, мясо, обувь). Наконец материальные блага доходят до конечного пункта - личного потребления. Если потребности крестьянской семьи увеличиваются (в связи, допустим, с увеличением семейства), то производство овощей, наверное, расширится.
Теперь можно представить кругооборот продуктов в самом общем виде.
Началом кругооборота является производство - процесс создания полезных благ. В это время работники приспосабливают вещество и энергию природы для удовлетворения человеческих потребностей.
Распределению подлежит доход от производственной деятельности. В процессе распределения определяется доля всех участников такой деятельности в созданном богатстве.
Доставшиеся от распределения блага зачастую не нужны для личного потребления в полученном количестве. Поскольку людям необходимы совершенно иные вещи, то происходит обмен, во время которого полученные блага обмениваются на другие вещи, нужные для человека.
Потребление - заключительный этап движения продукта, который идет на удовлетворение нужд людей. По мере удовлетворения ранее сложившихся потребностей возникают новые.
Потребности взаимосвязаны со всеми звеньями кругооборота благ.
В процессе потребления возникают новые запросы, которые вызывают обновление производства.
Может показаться, что теоретически описанный здесь кругооборот благ однозначно характеризует взаимосвязь производства и потребностей. Однако на практике во многих странах существуют разные варианты соотношения производства и потребностей. Что же это за варианты?
Каковы современные варианты изменения производства и потребностей общества
Во всей мировой экономике в конце XX- начале XXI столетия наблюдаются три основных вида соотношений между производством, с одной стороны, и потребностями и потреблением населения - с другой.
Первый вариант. В некоторых странах длительный упадок хозяйства ведет к уменьшению как потребления, так и потребностей. Этот процесс можно уподобить спиралевидному движению с уменьшающимися кругами, какие мы наблюдаем, скажем, в воронке водоворота. Такое бедственное положение можно видеть, в частности, в отдельных странах Африки (например, в Республике Конго, Эфиопии), где в конце XX в. сокращался доход общества в расчете на душу населения.
Второй вариант. В отдельных странах Африки и Азии выпуск сравнительно ограниченного набора разнообразных продуктов растет очень медленно. В этом случае потребности являются традиционными и лишь понемногу расширяются. Первый и второй варианты характеризуют явно ненормальное соотношение в изменении производства и потребностей.
Третий вариант. Нормальным можно признать одновременный рост производства национального продукта и повышение уровня потребностей и потребления. Закономерное возвышение потребностей в этом случае идет по двум направлениям: по вертикали и по горизонтали.
Улучшение жизни людей проявляется в росте потребностей по вертикали.
Длительное расстройство хозяйства в ряде стран Содружества Независимых Государств в 1990-х гг. отрицательно сказалось на величине национального продукта (отечественного производства) в расчете на 1 жителя и на расходах на потребление домашних хозяйств. Например, в 2002 г. (в процентах к 1990 г.) такие расходы составили: в Белоруссии - 131, Казахстане - 60, Украине - 59 %.
 |
Рис. 1. . Возвышение потребностей, связанных с автомобилем
Такое изменение можно проследить на примере отношения людей к покупке
автомобиля (рис. 1.3).
Возвышение потребностей по горизонтали связано с расширением потребления все более широкими слоями населения продуктов более высокого качества. Такое изменение становится тем заметнее, чем более продолжительным является изучаемый период времени. Подтверждение тому мы находим в табл. 1.4.
Таблица 1.4
Обеспеченность населения России товарами длительного пользования (на 100 семей, штук) |
|
ToEtapE.: |
1970 г. |
1930 г. |
1990 г. |
2003 г. |
|
Тедвднэоры |
52 |
91 |
111 |
1,33 |
|
Холодильники и морозильники |
30 |
39 |
95 |
] м |
|
Стиральные машины |
52 |
7G |
77 |
93 |
|
Л огк г)вые апто мобили |
2 |
Ш |
ІЙ |
31 |

Как установил немецкий статистик Э. Энгель, если денежные доходы населения растут, то оно относительно меньше тратит средств на продовольственные товары, больше покупает промышленных товаров широкого потребления (обувь, одежда и т. п.), а при дальнейшем увеличении доходов приобретает высококачественные вещи и товары длительного пользования.
Наиболее быстрое возвышение потребностей по вертикали и по горизонтали в XX в. характерно для западных - экономически наиболее развитых стран. Здесь рост производства и потребления можно уподобить движению вверх по спирали с расширяющимися оборотами.
Все рассмотренные варианты изменения производства и потребностей имеют общую черту. В них в той или иной форме выражается противоречие между тем, что люди хотели бы иметь, и тем, что им дает реальная экономика.
Противоречие между потребностями и производством - основное противоречие хозяйственной деятельности во всяком обществе.
В следующем параграфе мы выясним, какими способами и средствами разрешается основное противоречие экономики.


§ 3 Стадии экономического прогресса
Основное противоречие хозяйственной деятельности является источником прогресса (движения вперед) человеческой цивилизации. Чтобы понять, как совершается этот прогресс, нам потребуется выявить движущие силы производства.
Кто и что приводит производство в движение
Хозяйственная деятельность обладает созидательными возможностями благодаря ее факторам - производящим силам.
Первый (актор - человеческий. Именно люди, обладающие необходимыми знаниями и навыками работы, являются главной силой производства.
Труд в производстве - это целесообразная и полезная деятельность человека. В ходе ее люди преобразуют предметы и энергию природы, приспосабливая их для удовлетворения своих потребностей. Правда, речь здесь не идет о простой затрате физической, мускульной силы человека. Исключительно важная роль человека в экономике состоит в научно-техническом и интеллектуальном творчестве.
ФлктпрЕ,: производства
РдбоТЕІИКИ
Средства груда
Предметы тру,да
Рис. 1.4. Структура факторов производств
Участники производства преумножают свою созидательную мощь с помощью второго фактора - средств труда. Это - материальные вещи, с помощью которых человек создает нужные ему блага. Главное место здесь занимает техника: изготовленные людьми орудия - инструменты, машины, оборудование и т. п. К средствам труда относятся также общие материальные средства (производственные здания, дороги, каналы и др.) и природные условия производства (например, земля в сельском хозяйстве, вода на гидроэлектростанциях и др.).
Человек применяет технику для воздействия на третий фактор созидания -предметы труда. К ним относятся вещество природы, которое еще не подвергалось обработке (скажем, угольный пласт в шахте) и сырье (например, уже отбитый шахтерами из пласта уголь), идущее для дальнейшей переработки.
Общая структура факторов производства представлена на рис. 1.4.
Все три фактора связываются воедино с помощью технологии. Технология - совокупность способов воздействия на предметы труда соответствующими орудиями.
Производство приводится в созидательное движение с помощью его
человеческого и вещественных факторов. Сейчас среди них главную роль играет квалифицированный работник, вооруженный современной техникой.
От рассмотренных нами факторов и технологии зависят созидательные возможности производства. Задача состоит в том, чтобы лучше использовать производственный потенциал общества, т. е. добиваться наибольшего удовлетворения потребностей при разумном расходовании ресурсов.
Как определить производственные возможности
Занимаясь хозяйственной деятельностью, люди каждый раз стремятся выяснить, какими производственными возможностями они располагают для создания полезных благ?
Производственные возможности - наибольший объем выпуска продукции, который достигается при полном использовании факторов производства.
Рассмотрим простой пример. Предположим, на предприятии по изготовлению мороженого подсчитывают возможный выпуск продукции за год. Определяется общий объем необходимых для этого продуктов и для отдельных сортов мороженого (например, для молочного, сливочного, фруктового). При этом учитывается наличие всех ресурсов (источники, запасы, факторы). К ним, в частности, относятся число работников, количество машин и оборудования, объем производственных помещений и др. В итоге детальных подсчетов появляется возможность правильно спланировать не только запасы сырья, но и деятельность предприятия.
Более сложно определить производственные возможности общества. В этом случае остро проявляется противоречие между возросшими потребностями людей и предполагаемым объемом производства. В каждый данный момент времени обычно оказывается, что имеющиеся ресурсы производства ограничены по отношению к потребностям.
Кстати, как это ни покажется удивительным, но каждый человек сталкивается с расхождением между потребностями и ресурсами с малолетства. Когда, скажем, ребенок попадает в магазин игрушек, он хочет получить все интересующие его игрушки по максимуму. Но, к сожалению, родители, ощущающие зачастую ограниченность своих денежных ресурсов, больше склоняются к минимальным затратам. Такие столкновения между максимумом желаний и минимумом материальных денежных средств - постоянный спутник большинства людей. Отсюда важно прежде всего представить наибольшее количество продукции определенного вида, которое общество может изготовить исходя из имеющихся ресурсов и потребностей. Для пояснения этой экономической задачи приведем простой условный пример.

Рис. 1.5. График производственных возможностей
Допустим, правительство страны должно решить, для каких целей использовать наличные ресурсы. Есть два варианта: их можно направить на производство 600 млн штук предметов потребления или на внедрение на предприятиях 200 млн новых технических средств. Исходя из этих данных, можно построить график производственных возможностей - кривую, которая очерчивает границу полного применения хозяйственных ресурсов (рис. 1.5).
На графике вертикальная ось абсцисс показывает предельное количество технических средств, которое можно произвести исходя из имеющихся ресурсов, а горизонтальная ось ординат - предельное количество предметов потребления, которые можно изготовить при том же количестве ресурсов.
Но совершенно очевидно, что общество должно отвергнуть крайние, предельные, варианты - и первый, и второй. Ибо было бы ошибочно и пагубно направить все ресурсы на удовлетворение лишь одного вида потребностей. Жизненно важно решить задачу выбора: определить, какие виды продукции создавать одновременно и чему отдать предпочтение в данный период времени.
Глядя на график, можно представить себе множество вариантов выбора между выпуском предметов потребления и технических изделий. Если, допустим, предполагается вместо 200 млн технических средств произвести 100 млн, то это позволит довести выпуск предметов потребления до 300 млн штук. Как правило, общество выбирает тот вариант развития производства, который лучше увязывает назревшие потребности людей с реальными производственными возможностями.
B крупных государствах производятся сотни тысяч и миллионы видов промышленной и сельскохозяйственной продукции. Это, естественно, делает необычайно сложными задачи лучшего использования производственных возможностей, экономического выбора создаваемых полезных вещей и лучшего удовлетворения разнообразных потребностей членов общества.
Практика хозяйственной деятельности убедительно доказала справедливость следующего требования к экономическим расчетам. При сопоставлении объема выпуска продукции с затратами ресурсов на ее изготовление важно определять эффективность производства.
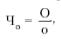
Эффективность производства (Э) - отношение объема изготовленных благ (О) к величине затрат факторов производства (Ф): Э = О/Ф.
Рост эффективности хозяйствования означает, что при тех же ресурсах можно выпустить больше благ.
Попробуем подсчитать результативность производства на двух предприятиях, выпускающих одинаковый спортивный инвентарь.
На первой фабрике за год выпущено изделий на сумму 30 млн руб., а израсходовано ресурсов на сумму 10 млн руб. На второй фабрике создано продукции на 40 млн руб., а затрачено ресурсов на 20 млн руб. Эффективность производства в первом случае составляет 3 млн руб. продукции на 1 млн затрат, а во втором случае получено соответственно 2 млн руб. на 1 млн руб. затрат ресурсов. Стало быть, первая фабрика работает более эффективно, чем вторая.
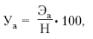
Обратным показателем эффективности производства является ресурсоемкость в расчете на изделие.
Ресурсоемкость (Ре) показывает, сколько истрачено ресурсов (P) в расчете на единицу выпущенной продукции (весь объем продукции -
О): Ре = Р/О.
Естественно, что люди экономически заинтересованы в том, чтобы выпуск полезных благ возрастал благодаря повышению эффективности производства или снижению ресурсоемкости изделий (экономии хозяйственных затрат).
Теперь важно уяснить: когда и при каких условиях можно достичь такого полезного результата?
Экономическая история свидетельствует, что с начала зарождения хозяйственной деятельности факторы производства изменялись медленно и незначительно на протяжении веков. Не удивительно, что такие традиционные факторы не обеспечивали значительного роста эффективности использования ресурсов.
Но с XVI-XVII вв. начались революционные перевороты в естествознании (выдающиеся открытия Г. Галилея, И. Кеплера, Р. Декарта, X. Гюйгенса, И. Ньютона и др.). После этого наука стала превращаться во все более мощный двигатель производства. Главную роль здесь сыграли коренные перевороты в технических средствах труда (изобретение сначала паровых двигателей, а затем электротехнических систем).
Традиционные факторы хозяйствования неспособны значительно повысить его результативность. Только научно-технический прогресс стал решающим фактором роста эффективности производства.
Каков путь от низшей ступени производства к высшей Истории известны три стадии развития производства: 1) доиндустриальная, 2) индустриальная (промышленная) и 3) постиндустриальная (послепромышленная), или информационная.
Рассмотрим их отличительные черты, прежде всего в области техники, ведущих отраслей хозяйства и состава работников.
Одну стадию экономики от другой отделяют грандиозные для своего времени технические революции. Каждая из них коренным образом меняет тип технических средств труда, вызывает перемены в общественном разделении труда и создает новую область хозяйственной деятельности. При этом человечество переходит к совершенно новым видам потребностей и способам их удовлетворения. Как известно (см. § 1 данной главы), история экономики началась, как говорится, с нуля - при отсутствии хозяйственной деятельности, производящей полезные блага. Эта история пошла по новому руслу 10 тыс. лет назад, когда произошла первая техническая революция. Это была неолитическая революция (в эпоху нового каменного века появились каменные, кремневые и костяные орудия труда). Это позволило совершить аграрную революцию - начать регулярное сельскохозяйственное производство. B начале доиндустриальной стадии преобладала первичная сфера экономики - сельское хозяйство. Для данной стадии были характерны ручной труд, застойное состояние производства и преобладание в массе населения простых потребностей.
В 60-е гг. XVIII в. в Англии начался и в 50—60-е гг. XIX в. в Западной Европе и США завершился промышленный переворот, который состоял в широкомасштабной замене ручного труда машинами. На индустриальной стадии главной стала вторичная сфера экономики - промышленность, которая преобразовала сельское хозяйство, строительство, транспорт. Для второй стадии типичен быстрый рост городов, более широкое удовлетворение материальных и культурных потребностей населения.
Начавшаяся в середине XX в. научно-техническая революция вызвала переход к постиндустриальной стадии производства, ведущей к информационному обществу. В странах, вступивших в этот период развития, наибольшее распространение получает третичная сфера экономики - сфера услуг, где занята основная часть всех работников.
Постиндустриальная экономика отличается следующими признаками: а) во всех отраслях хозяйства и в быту широко внедряются достижения информатики и современной вычислительной техники; б) на предприятиях повышается роль научных работников и специалистов; в) производство способно обеспечить для всех граждан достаточно полное удовлетворение элементарных потребностей и расширить выполнение запросов более высокого порядка.
Наглядное представление об отличительных особенностях стадий производства дает табл. 1.5.
Отважный русский ученый и путешественник Николай Николаевич Миклухо-Маклай смог увидеть, какой была хозяйственная деятельность в период ее зарождения. В 1871 г. на корвете «Витязь» он приплыл на Новую Гвинею (остров в Тихом океане) и поселился среди папуасов, живших в условиях каменного века. В своем дневнике он записал: ««Рассматривая их постройки, пироги, утварь и оружие и убеждаясь, что все это сделано каменным топором и осколками кремния и раковин, нельзя не поразиться терпением и ловкостью этих дикарей». Они выжигали участки тропического леса и выращивали бананы, бобы, масличные, сахарный тростник и другие полезные растения. Домашними животными были свиньи и собаки.
Таблица 1.5
Особенности стадий развития производства

B табл. 1.5 обращают на себя внимание большие структурные сдвиги в занятости работников в сферах производства: их массовые перемещения в новые отрасли хозяйства. Чем объясняются такие сдвиги?
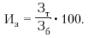
Главную роль в этом процессе играет скачкообразный рост производительности труда, вызванный технической революцией.
Производительность труда (Пт) - объем (количество продукции) (О), создаваемый человеком (Ч) за единицу времени: Пт= О/Ч.
Вполне закономерно, что чем выше производительность труда, тем меньше требуется работников для изготовления определенного количества изделий. Показательно, что работник сельского хозяйства в индустриальной экономике способен произвести в 10-20 раз больше продукции, чем работник той же отрасли в доиндустриальном хозяйстве. Следствием повышения производительности труда на производстве является то, что масса людей, уходящих с прежней работы, выбирают новую сферу хозяйственной деятельности.
Можно подумать, что сейчас все человечество находится на высшей стадии экономики. Но это совсем не так. Сегодня на экономико-географической карте планеты можно видеть страны, находящиеся на разных уровнях прогресса.
На низшем уровне технического и экономического развития находятся многие страны Африки, Азии и Латинской Америки, где до сих пор во многом сохранилось доиндустриальное хозяйство. Здесь около 2/3 трудоспособного населения занято в сельском хозяйстве. Однако, занимаясь ручным трудом, работник может прокормить не более двух человек.
Несколько более высокий индустриальный тип хозяйства мы обнаруживаем в ряде государств Европы (в Греции, Турции, например), на территории бывшего СССР. Такие страны, как США, Япония, Германия, достигли высшего уровня постиндустриального развития. Здесь в корне изменилось содержание всего производства. Если долгое время основой экономики была энергия (паровая, электрическая), то теперь цивилизация не может развиваться без информации. Информация - один из решающих видов ресурсов, используемых в хозяйственных процессах. Новые сведения, данные, значения экономических показателей ныне являются объектами хранения, обработки и передачи в целях использования их при анализе и выработке решений в управлении. Новая научная информация требует затрат разнообразных видов ресурсов, вследствие чего эти затраты входят в издержки производства и обращения.
На доиндустриальной и индустриальной стадиях производства широко использовались известные традиционные (устоявшиеся веками) факторы и технология производства. В постиндустриальной экономике на смену им пришли новейшие средства, предметы труда и информационная технология. Информационная технология - это такие формы хозяйственных связей, в которых благодаря компьютерной технике широко используется информация, необходимая для управления экономическими процессами. О том, как на практике используются информация и информационные технологии, будет подробно сказано в главах, освещающих новейшие виды денег, применение информационных технологий в бизнесе и др.
Большинство народов продвигаются к информационному обществу, хотя и с разной скоростью. Поэтому можно с достаточной уверенностью предположить, что в XXI столетии во всем мире широко распространится структура информационной экономики. Однако важно знать, что представляет собой эта структура.
Что характерно для структуры информационной экономики
B конце XX в. и в начале XXI в. структура постиндустриального, информационного хозяйства приобрела ряд отличительных черт.
1. Во всех высокоразвитых странах экономика включает две дополняющие друг друга сферы производства:
а) материальную (изготавливает полезные вещи) и б) нематериальную (создает духовные, нравственные и иные ценности - произведения духовной культуры, науки, искусства и т. п.).
Нематериальное производство имеет прямые и косвенные связи с материальным производством, причем они тесно переплелись и зависят друг от друга. Достаточно сказать, что современная наука, культура и другие виды нематериального производства не могут существовать без многих видов материальных благ и финансовой (денежной) поддержки общества.
2. В современное производство органически входит особая сфера - сфера услуг.
Услуга - вид деятельности, полезный результат которой проявляется во время труда и связан с удовлетворением какой-либо потребности.
Услуги подразделяются на два вида, которые соответствуют сферам производственной деятельности. Различают материальные услуги (их предоставляют грузовой транспорт, связь по обслуживанию производства, торговля, жилищнобытовое обслуживание и др.) и нематериальные услуги (социальное обслуживание, просвещение, здравоохранение, кредитование, страхование и т. п.).
Структура высокоразвитого производства схематически изображена на рис. 1.6.
3. Сейчас в структуре производства особо выделяется инфраструктура - совокупность видов хозяйств, обеспечивающих условия для нормального развития производства и жизнедеятельности людей. Она делится на две группы:
|
• производственная инфраструктура, непосредственно обслуживающая материальное производство (строительство и эксплуатация шоссейных дорог, каналов, портов, мостов, аэродромов, складов; энергетическое хозяйство; железнодорожное хозяйство; водоснабжение, канализация и т. п.); |
 |
j------------------—і
Рис. 1.6. Новейшая структура производства |
• непроизводственная (или социальная) инфраструктура, которая опосредствованно связана с процессом производства (подготовка кадров, школьное и высшее образование, здравоохранение и др.).
Инфраструктура свидетельствует, что современное производство и его подразделения внутренне объединены между собой обширными и прочными взаимосвязями.
Возникают новые виды взаимосвязи между всеми составными частями постиндустриальной экономики, они приобретают иные масштабы благодаря развитию новейших информационных технологий, о которых будет сказано подробно в дальнейшем. Несомненно, что современная хозяйственная деятельность принимает форму очень сложной и необычной системы. Эта система рассматривается в следующем параграфе настоящей главы.
§ 4 Экономика как система
Из каких элементов состоит система в экономике
Знакомиться с системой хозяйственных связей между людьми мы начинаем с ее простейшей составной части - элемента, т. е. определенного экономического отношения. Что представляет собой это отношение?
Если провести опрос, то можно будет получить, по-видимому, три ответа. Давайте выясним, какой из них верен.
Первый ответ. Экономическое отношение - это связь между полезными вещами, которую можно представить в виде формулы: благо - благо. В этом случае верно то, что все экономические отношения являются имущественными, вещными отношениями. Например, рыночная торговля выглядит как обмен одной вещи (товара) на другую вещь (деньги). Однако здесь можно возразить. Сами вещи, как говорится, не ходят на рынок, не участвуют в товарно-денежном обмене без людей - продавцов и покупателей.
Второй ответ. В простейшем звене экономики обязательно участвуют люди. Предполагается, что их экономическую связь можно выразить в виде формулы: человек - человек. Однако и здесь можно возразить. Такие отношения просто между людьми лишены всякого имущественного, вещного содержания. Непонятно, по какому поводу они возникают, а поэтому не являются экономическими.
Третий ответ. Хозяйственные связи должны включать и вещный элемент, и человеческие отношения. Наверное, правильной является типичная формула: человек - вещь - человек. Скажем, в торговле на самом деле устанавливаются именно такие отношения: продавец - товар - деньги - покупатель.
Экономическое отношение - это имущественная связь между людьми.
Независимо от того, в какой мере люди осознают этот факт, они находятся в своего рода сети разнообразных связей с другими участниками хозяйственной деятельности. Такие связи составляют часть всей экономической системы, которая обеспечивает жизнедеятельность общества.
Система - множество элементов, которые прочно скреплены между собой и образуют определенное единство и целостность.
Рассмотрим круг системных связей типичного домашнего хозяйства с субъектами (субъект - человек) экономической деятельности. В этот круг входят, например, предприятия торговли, медицинские учреждения, предприятия жилищнокоммунального хозяйства и бытовых услуг, разные виды транспорта, банки и страховые учреждения, учебные заведения, учреждения культуры, искусства и др. Чем полнее мы представим себе все многообразие экономических связей, свойственных домашним хозяйствам, тем более убедительными станут следующие обобщения и выводы.
Во-первых, подобно кровеносным сосудам, указанная совокупность связей обеспечивает все домашние хозяйства необходимыми благами. Разумеется, любой человек не сможет существовать и достигнуть намеченных целей, если не будет участвовать в хозяйственных отношениях общества.
Во-вторых, разные этапы человеческой жизни связаны с последовательным переходом из одного системного образования в другое. Так, начальное образование и воспитание человек получает в семье и детском саду, затем - в общеобразовательной школе, в профессиональном среднем или высшем учебном заведении.
В-третьих, по разным каналам, словно по сообщающимся сосудам, домашнее хозяйство связывается с другими территориальными хозяйственными организациями - местными, национальными и международными. В итоге люди лучше познают качественные признаки всей экономической системы общества.
Хозяйственной системе страны свойственно непрерывное движение, в ходе которого происходят количественные и качественные изменения. В этом можно было убедиться на примере кругооборота экономических благ (производство -распределение - обмен - потребление - потребности - производство). Для уяснения таких перемен важно выявлять их причины и движущие силы. В связи с этим потребуется проникнуть вглубь экономических систем.
Из каких структурных звеньев состоит хозяйственная система
Хозяйственная система общества имеет сложное строение. Ее можно уподобить огромной цепи, которая включает крупные звенья, состоящие из определенных экономических отношений. Каждое такое звено - часть целого (всей цепи) и выступает как подсистема - соподчиненная часть более широкой совокупности отношений.
Так, известно, что современное производство - большая целостность, которая объединяет две крупные подсистемы: сферу материального производства и сферу нематериального производства. В свою очередь, материальное производство включает две меньшие в количественном отношении подсистемы, создающие как материальные блага, так и услуги. Подсистема нематериального производства также состоит из меньших звеньев, занятых воспроизводством нематериальных благ и услуг (см. рис. 1.6).
Сложность хозяйственной деятельности выражается в том, что она объединяет качественно разнородные звенья. Эти звенья имеют неодинаковое назначение и как подсистемы действуют относительно самостоятельно.
В современной экономике можно выделить следующие структурные звенья.
1. Совокупность технических средств, используемых в материальном и нематериальном производстве. Научно-техническая революция придает им все более системный характер (созданы различные технические системы -роботокомплексы, автоматизированные системы управления и многое другое).
2. Важным хозяйственным звеном являются новейшие технологии. Сейчас получают широкое распространение системы электронных технологий в производстве, торговле, в сфере услуг (образовании, здравоохранении) и др. В главе 7 будет рассмотрена, в частности, такая эффективная форма современных технологий, как электронный бизнес.
3. С XX в. ускорилось развитие социальных систем, связанных с жизнью и отношениями людей в обществе. В настоящем учебнике особо рассматриваются социальные отношения, касающиеся распределения доходов в обществе (разд. III).
4. Важное значение для хозяйственной деятельности имеет система ее правового регулирования. Эта система делает развитие экономики общества более цивилизованным и предсказуемым.
5. Как было отмечено ранее, всю хозяйственную деятельность охватывает система экономических отношений. Вряд ли можно сомневаться, что люди и их имущественные взаимоотношения приводят в движение все иные хозяйственные подсистемы.
Хозяйственная система - это единая совокупность технических, технологических, социальных, правовых и экономических подсистем. Сейчас пришло время вспомнить, что словом «экономика» обозначаются как хозяйственная деятельность, так и наука о такой деятельности. Теперь мы можем выяснить, что представляет собой экономическая теория.
Что изучает экономическая теория
Может показаться, что задача экономической науки - исследовать всю без исключения систему хозяйствования. Но тогда потребовалось бы, как говорится, объять необъятное: от техники и технологии до правовых и экономических отношений. Как же в таком случае поступить разумно?
Полезный совет мы находим в рассказах Конан Дойла о Шерлоке Холмсе. Этот опытный сыщик пришел к выводу: при множестве предположений надо устранить все невозможное и таким образом найти искомое решение.
В первую очередь следует исключить из предмета экономической теории утверждение о том, что эта теория изучает технику и технологию. Это дело технических и технологических дисциплин.
Как известно, социальные отношения исследуют специалисты по социологии. Правовые взаимосвязи между людьми лучше других изучают юристы.
Стало быть, остается то, на что могут претендовать только экономисты. То есть предметом экономической теории являются хозяйственные отношения между людьми, которые складываются в реально существующем производстве, распределении, обмене и потреблении благ и услуг.
Экономическая наука изучает систему экономических отношений между людьми.
Приступая к знакомству с предметом экономической теории, важно заметить, что экономические отношения являются качественно неоднородными. Вся их совокупность подразделяется на два типа: 1) социально-экономические отношения и 2) организационно-экономические отношения.
Ограничимся краткой характеристикой этих типов хозяйственных связей.
В одном американском учебнике по экономике так разъясняется научный подход к изучению экономической жизни. «Это предполагает наблюдение за экономическими отношениями и накопление статистических данных за прошлые годы. Для анализа таких сложных явлений, как влияние дефицита бюджета на причины инфляции, многолетние наблюдения являются богатейшим источником информации».
Самуэльсон П., Нордхаус В. Экономика.
Социально-экономическими являются те отношения, которые складываются между членами общества по присвоению факторов и результатов хозяйственной деятельности. В любом обществе люди вынуждены решать три главные задачи социально-экономического устройства:
• кто обладает экономической властью, т. е. присваивает средства производства -решающие условия хозяйственной деятельности;
• кто и как ведет хозяйственную деятельность, связанную с эффективным использованием средств производства;
• кому достаются конечные результаты хозяйственной деятельности?
Наверное, не нужно доказывать, что собственность предопределяет единство и целенаправленность всего кругооборота общественного богатства. Владельцы средств производства держат под своим контролем не только процесс создания полезных вещей и услуг. Они стремятся подчинить своим экономическим интересам

также распределение, обмен и потребление благ.
Организационно-экономические отношения возникают потому, что общественное производство, распределение, обмен и потребление невозможны без определенной организации. Последняя требуется для всякой совместной деятельности работников. Люди заранее продумывают свои хозяйственные действия, составляют план предстоящей работы, объединяющий всех тружеников. При этом решаются организационные задачи: как разделить людей для выполнения отдельных работ и объединить всех занятых под единым началом, каким способом вести хозяйство и кто будет управлять производством.
В связи с этим организационно-экономические отношения подразделяются на три крупных вида:
• кооперация труда (совместное изготовление продуктов, укрупнение размеров предприятий, их постоянное сотрудничество и объединение) и разделение трудовой деятельности (ее дробление между хозяйственными звеньями);
• организация хозяйственной деятельности (натуральное и товарно-рыночное хозяйство);
• управление экономикой (стихийно-рыночное и государственно-плановое регулирование).
Все типы и виды экономических отношений схематически представлены на рис. 1.7.
 |
Рис. 1.7. Структура системы экономических отношений
В дальнейшем (в главах 2 и 3) важнейшей задачей будет детальное изучение социально-экономических и организационно-экономических отношений. Мы начнем выполнять такую задачу с первого типа хозяйственных связей. |

! Краткие обобщения и выводы
1. Слово «экономика» обозначает хозяйственную деятельность, а также науку о такой деятельности.
2. Главная задача хозяйствования - непрерывно обеспечивать людей жизненно необходимыми благами.
3. В производстве изготавливаются два вида экономических благ - средства производства и предметы потребления. Хозяйственная деятельность образует цепь предприятий, на которых создаются средства производства и предметы потребления.
4. Люди занимаются хозяйственной деятельностью ради удовлетворения своих потребностей - недостатка или нужды в чем-то полезном для жизни. Потребности исторически меняются. Для XXI столетия характерны всестороннее развитие потребностей и высокий имидж специалистов.
5. Производство прямо и непосредственно воздействует на развитие потребностей, а последние оказывают обратное воздействие на совершенствование производства по нескольким направлениям.
6. Хозяйственная деятельность основывается на кругообороте экономических благ.
В нем взаимосвязаны производство, распределение, обмен, потребление и потребности. В мировой экономике наблюдаются различные варианты в соотношениях темпов изменения производства и потребностей. В слаборазвитых странах созидательная деятельность и потребности уменьшаются или же находятся в длительном застое. В высокоразвитых странах производство непрерывно увеличивается, происходит возвышение потребностей: они качественно улучшаются и шире распространяются среди всего населения.
7. Основным противоречием экономики во всяком обществе является противоречие между потребностями и производством. Оно разрешается посредством увеличения и качественного совершенствования факторов (ресурсов) производства - работников, средств и предметов труда. При определении производственных возможностей общества определяется эффективность хозяйствования - отношение объема выпуска продукции к величине затрат ресурсов. В современных условиях решающим фактором производства является научно-технический прогресс, в наибольшей мере влияющий на рост эффективности хозяйствования.
8. Основными историческими ступенями научно-технического и экономического прогресса являются три стадии производства: доиндустриальная, индустриальная и постиндустриальная (информационная). В результате технических революций (неолитической, промышленной, научно-технической) и скачкообразного роста производительности труда в наибольшей степени развивались новые сферы хозяйственной деятельности (сельское хозяйство, промышленность, сфера услуг).
9. На рубеже XX-XXI столетий экономика состоит из материального и нематериального производства, сферы услуг. Эти подразделения общественного хозяйства тесно взаимодействуют друг с другом. Они опираются на инфраструктуру - совокупность видов хозяйства, которые обеспечивают общие условия производства и жизнедеятельности людей.
10. Экономика общества образуется из многообразных хозяйственных связей между людьми, которые образуют систему - их единую и целостную совокупность. Простейшим элементом этой системы являются экономические отношения -имущественная связь между людьми. Современная экономика состоит из подсистем: совокупности технических средств, новейших технологий, социальных, правовых и экономических отношений.
11. Экономическая теория изучает систему экономических отношений. Эта система подразделяется на два типа отношений: социально-экономические и организационно-экономические.
? Задачи и вопросы на сообразительность
1. Подберите к каждому термину из левой колонки определение из правой колонки. |
|
1 Экономика |
Л. Труд, средства и предметы труда |
|
2 Потребности |
Б. Труд, в ходе которого удовлетворяются |
|
Л Факторы производства |
какие-то потребности |
|
4 Эффективность |
В. Нужда в необходимом для жизни |
|
экономики |
Т Хотяйственкая деятельность, |
|
5, Услуга |
обеспочивающая .іогреб*tости людеі:
Д. Отношен*ю резу льтатов хозяйст зонаіі ия к затратам |
|
2. Тест. Экономическим благом являются:
а) залежи угля, намеченные для разработки в строящейся шахте;
б) песня, написанная поэтом и композитором;
в) услуга ремонтной мастерской;
г) кондитерские изделия.
3. Верно-неверно:
1. Производство создает только материальные блага.
2. Материальное производство не оказывает услуги.
3. Современное производство создает нематериальные блага.
4. Современное производство включает сферу услуг.
4. Какие изменения претерпела структура общественного производства во второй половине XX в.?
5. Проанализируйте и сопоставьте статистические данные по разным странам и прокомментируйте их.
Потребление некоторых продуктов питания на душу населения, кг
|
Страны |
Год |
Мясо и мясопродукты |
Молоко и
молочные
продукты |
Овощи и бахчевые |
Хлебо
продукты |
|
Россия |
2003 |
48 |
23] |
94 |
120 |
|
Франция |
2000 |
94 |
434 |
13(5 |
83 |
|
США, |
200] |
115 |
264 |
123 |
102 |
|
Белоруссия |
2002 |
57 |
285 |
103 |
98 |
|
У краина |
2002 |
зз |
225 |
103 |
131 |
|
Азербайджан |
2002 |
18 |
165 |
1(30 |
1(5(5 |
6. Почему важно знать, из каких составных частей складываются производственные возможности, позволяющие достичь наиболее эффективной экономики?
7. От каких экономических связей непосредственно зависит благополучие ваше и вашей семьи?
Глава 2 Собственность и ее виды
В предыдущей главе учебника мы выяснили, для чего и как создается богатство общества. Теперь нам предстоит найти ответ на, пожалуй, главный вопрос: кому принадлежат все природные и экономические блага?
§ 1 Собственность и социально-экономические отношения
Что такое собственность
Слово «собственность» возникло в России очень давно. Оно образовалось от старинного русского слова «собь» - все свое, личное достояние, имущество, богатство.
Может показаться, что собственность представляет собой связь человека с какой-то вещью. Ведь говорит, например, молодой человек: «Этот велосипед - мой».
Однако так устанавливается не только принадлежность какого-то имущества данному человеку. Одновременно подразумевается, что велосипед не принадлежит никому другому.
Поэтому собственность представляет собой экономические отношения между людьми, которые выясняют: кому из них принадлежит каждая вещь.
Собственность - это имущественные отношения, устанавливающие принадлежность материальных и духовных благ каким-то людям.
Все полезные вещи поделены между собой членами общества, которые являются их собственниками. Поэтому знакомство с экономикой каждой страны предполагает выяснение вопроса: кому принадлежат земля, фабрики, железные дороги, жилые дома, магазины, учебные заведения и иные виды богатства? Подобный же вопрос возникает у молодого специалиста, который идет устраиваться на работу в учреждение или на предприятие. Он интересуется: кто здесь является хозяином, который примет его на работу и будет распоряжаться его деятельностью?
Чтобы разобраться в этих вопросах, важно знать, как складываются имущественные отношения между людьми.
Что представляют собой экономические отношения собственности Собственность - это сложная совокупность хозяйственных связей. Она включает три вида основных имущественных отношений, которые позволяют выяснить следующие вопросы:
1. Кто (какие участники хозяйственной деятельности) присваивает факторы и результаты производства?
2. Как складываются экономические отношения, связанные с использованием имущества?
3. Кому достаются доходы от хозяйственной деятельности?
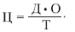
Поэтому совокупность экономических отношений собственности включает следующие составные части: а) присвоение факторов и результатов производства, б) хозяйственное использование имущества, в) получение дохода от собственности (рис. 2.1).
Присвоение - экономическая связь между участниками хозяйственной деятельности, которая устанавливает их отношение к вещам, как к своим. А именно - определяется, кто может и кто не должен претендовать на определенное имущество.
Противоположными присвоению являются отношения отчуждения. Они возникают, если какая-то часть общества захватывает все средства производства, оставляя других людей без источников существования, или когда продукты, созданные одними лицами, присваивают другие. Такими были взаимоотношения между рабовладельцами и рабами в Древней Греции и Древнем Риме.
|
|
Отношения присвой ня |
СоЕІОЕіуПЕЗОСТЬ
имущественных
отношений |
|
|
|
Отношения нщяйсцёеіеілто иг пол к! гдяз Ез ия имущества |
|
|
|
|
Отношения. сеіяздезезыё t: получением дохода |
|
|
Рис. 2.1. Совокупность экономических отношений собственности |
Нередко собственник средств производства сам не занимается созидательной деятельностью, а предоставляет возможность другим лицам использовать его собственность на определенных условиях. Тогда между собственником и пользователем возникают отношения хозяйственного использования имущества. Примером отношений использования чужой собственности служит аренда - договор о предоставлении имущества какого-то человека во временное пользование другому лицу за определенную плату. Подобная картина наблюдается и при концессии - договоре, по которому государство сдает частным лицам, иностранным фирмам промышленные предприятия или участки земли на определенный срок.
Когда в работе на предприятии участвует много людей, между ними возникают отношения, связанные с получением дохода. В этом случае вся сумма дохода от производственной деятельности по установленным размерам достается каждому лицу.
Иначе обстоит дело, если собственник средств производства не занимается хозяйственной работой и сдает свое имущество в аренду. Тот, кто является временным пользователем, получает определенную часть продукции, а другую, большую - отдает собственнику.
Экономические отношения собственности развиваются нормально и приносят доход всем гражданам общества при следующем непременном условии. Они должны складываться на основе признанного обязательного порядка, который предусмотрен юридическими законами и правилами хозяйственного поведения.
Каковы правовые отношения собственности
Хозяйственные связи между людьми оформляются юридически и закрепляются в законодательном порядке.
Право - это совокупность общеобязательных правил поведения (норм). Они устанавливаются в обществе или утверждаются государством и поддерживаются им.
При определении собственности в юридическом смысле выявляются субъекты права собственности и объекты их гражданских прав.
В законодательном порядке субъектами права собственности являются:
а) гражданин (физическое лицо) - человек как субъект гражданских (имущественных и неимущественных) прав и обязанностей;
б) юридическое лицо - организация (объединение лиц, предприятие, учреждение), являющаяся субъектом гражданских прав и обязанностей. Это социальное (коллективное) образование вступает в хозяйственные связи от своего имени как самостоятельная целостная единица. Примером может служить фирма
- хозяйственное, промышленное или торговое предприятие (объединение), пользующееся правами юридического лица;
в) государство и муниципальные образования (органы местного управления и самоуправления).
В законодательстве особо выделяются объекты гражданских прав. К ним относятся:
• недвижимое имущество (земельные участки, участки недр, леса, здания, сооружения и т. п.);
• движимые вещи (деньги, ценные бумаги и др., не относящееся к недвижимости);
• интеллектуальная собственность (результаты интеллектуальной деятельности и приравненные к ним средства индивидуализации юридического лица, индивидуализации продукции, выполняемых работ или услуг: фирменное наименование, товарный знак, знак обслуживания и др.).
|
11 pan л собспіЁііііоші |
|
|
|
|
|
Владение |
|
|
|
Полегшими" 1 |
|
|
|
|
Распоряжение |
Рис. 2.2. Совокупность правомочий собственника
После того как государство законодательно упорядочит имущественные отношения между указанными лицами, они наделяются правом собственности. Это право включает полномочия собственника владеть, пользоваться и распоряжаться имуществом (рис. 2.2).
Владение - это физическое обладание вещью. Такое правомочие собственника охраняется законом. Владение имуществом всегда имеет правовое основание (закон, договор, административное постановление - решение органов государственной власти).
Пользование - это право производительно или лично потреблять вещь для удовлетворения собственных потребностей и интересов в зависимости от ее назначения (например, использовать автомашину для перевозки людей и грузов). Собственник может передавать свое имущество другим лицам на какое-то время и на определенных условиях. Границы права пользования определяются законом, договором или иным правовым основанием (например, завещанием). Распоряжение - право изменять присвоенность (принадлежность) имущества. Оно осуществляется чаще всего путем совершения различных сделок (купли-продажи, обмена, дарения и т. д.).
Однако не все лица стремятся строго соблюдать общепринятые правила поведения собственников. Они в корыстных интересах нарушают их, совершая криминальные (преступные) действия. Для борьбы с такими правонарушениями государство утверждает Уголовный кодекс (единую совокупность правовых норм, применяемых при криминальных деяниях).
Так, введенный в действие с 1 января 1997 г. новый Уголовный кодекс Российской Федерации включает несколько глав: гл. 21 «Преступления против собственности», гл. 22 «Преступления в сфере экономической деятельности» и гл. 23 «Преступления против интересов службы в коммерческих и иных организациях» и предусматривает наказание за преступления в сфере экономики. В зависимости от тяжести преступления и нанесенного обществу ущерба предусмотрены такие наказания: штраф, обязательные или исправительные работы, конфискация (принудительное и безвозмездное изъятие в пользу государства) имущества, лишение свободы на определенный срок и иные меры.
Государство и право упорядочивают и подчиняют определенным правилам поведения собственников благ, защищают их законные права.
Как социально-экономические отношения связаны с собственностью
Собственность является основой для всей системы отношений по производству, распределению, обмену и потреблению.
В первую очередь имущественные отношения складываются в самом процессе производства экономических благ. Ведь создание полезных вещей означает по существу присвоение вещества и энергии природы для умножения богатства общества.
Как известно, предметы потребления нельзя получить без затрат средств производства. Поэтому собственность на вещественные условия созидательной деятельности в решающей мере определяет, кому принадлежит экономическая власть в обществе. В свою очередь, от этой власти зависит та общественная форма, в которой соединяются работники и вещественные условия их труда.
Истории известно разнообразие таких форм социально-экономического строя общества. Скажем, в Древнем мире рабовладельцы были собственниками всех средств производства и рабов, которых они насильственно заставляли трудиться на себя. В средние века феодалы - владельцы земли - закрепощали крестьян и заставляли их значительную часть времени работать в своих поместьях.
В своем учебнике по экономике К. Макконнелл и С. Брю отмечают одно из коренных различий между экономическими системами: «частная или государственная собственность на ресурсы».
Макконнелл К., Брю С. Экономикс. М., 2002.
Легендарный поэт Древней Греции Гомер так писал о беспощадном обращении с рабами, которые были в полной собственности рабовладельцев:
Раб нерадив; не принудь господин поведением строгим К делу его, за работу он сам не возьмется с охотой:
Тягостный жребий печального рабства избрав человеку,
Лучшую доблестей в нем половину Зевс истребляет.
Декабрист Павел Иванович Пестель писал в «Русской правде» (1824) о помещичьем произволе: «Обладать другими людьми как собственностью своею, продавать, закладывать, дарить и наследовать людей наподобие вещей, употреблять их по собственному своему произволу без предварительного с ними соглашения и единственно для своей прибыли, выгоды, а иногда и прихоти есть дело постыдное, противное человечеству, противное законам его естественным...».
Собственность оказывает большое влияние на распределение благ между людьми. Известно, что владельцы предприятий при распределении произведенной продукции получают такую часть ее стоимости, которая многократно превышает заработки работников. В гл. 8 и 9 учебника мы подробно рассмотрим воздействие собственности на распределение доходов на предприятиях и в масштабе государства.
Отношения собственности непосредственно определяют условия рыночного обмена. Продавец (владелец товаров) и покупатель (владелец денег) материально заинтересованы в том, чтобы произвести равноценный обмен товаров на деньги, не утратив части своего имущества.
Вряд ли нужно доказывать, что благосостояние домашних хозяйств, измеряемое прежде всего уровнем потребления всех жизненных благ, зависит от собственности, которая приносит семье соответствующий доход.
Собственность охватывает весь процесс производства, распределения, обмена и потребления благ. От присвоения решающих средств производства зависят социально-экономические отношения в обществе. Между тем отношения собственности обладают свойством изменяться под воздействием ряда причин - развития производства, его техники и организации, а также социально-политических условий. Поэтому на протяжении всей экономической истории возникло несколько типов (однородных групп с общими признаками) и соответствующих им конкретных (многообразных) видов присвоения имущества. Дальнейшее изучение экономики предполагает выяснение существующего ныне разнообразия типов и видов собственности.
§ 2 Типы и виды собственности
Типы присвоения определяются в зависимости от следующих основных признаков:
• степени развития масштабов производства (количества средств производства и численности работников на предприятиях и в организациях);
• возможности или невозможности свободно делить имущество между владельцами.
В настоящее время в нашей стране собственность подразделяется на три типа в соответствии с Гражданским кодексом Российской Федерации (принятым в 1994 г.).
В нем признается частная собственность (ст. 212) и два типа общей собственности (ст. 244): долевая и совместная.
Мы рассмотрим эти типы присвоения в такой последовательности: от единичного к коллективному и затем ко всеобщему присвоению имущества.
Изучение особенностей каждого типа собственности начнем с частного присвоения.
Два вида частной собственности
Частное присвоение означает, что отдельные люди владеют, пользуются и распоряжаются своим имуществом в личных целях.

Право частной собственности определяет нормы хозяйственного поведения гражданина. Оно формирует черты экономической психологии единоличного собственника:
• индивидуалистическое осознание собственных интересов;
• отчуждение общества и отдельного человека;
• корыстное отношение к удовлетворению нужд других людей;
• идеология обогащения на основе частной собственности и неравенства в распределении богатства в обществе;
• представление о частной собственности как священной, неприкосновенной и отвечающей природе человека;
• личная материальная заинтересованность собственника в обогащении за счет своего имущества.
Частное присвоение имеет два вида, которые существенно различаются между собой:
• собственность на средства производства и продукты труда человека, работающего на себя;
• собственность единоличного владельца средства производства, который применяет чужой труд (рис. 2.3).
|
Чагтгиьг собственность |
|
1 |
|
1 |
|
Ирис вое F! не работи и ком средств и продуктов производства |
|
Ирис вое п н г еди пол и ч п е,: м ообстяе F! F! иком с ре?ютв г роио водства и продуктов чужого груда |
Рис. 2.3. Виды частной собственности
Частной собственностью первого вида владеют отдельные лица - крестьяне, ремесленники и другие люди, которые живут своим трудом. В этом случае работнику достаются все плоды его хозяйствования и обеспечивается свобода труженика от каких-либо форм угнетения и порабощения. Когда в одном лице соединены собственник и труженик, возникает глубокий материальный интерес в работе для личного блага.
Частную собственность второго вида имеют лица, которые создают сравнительно большие хозяйства с применением труда многих работников. В таком хозяйстве средства производства и плоды труда отчуждены от работников. Второй вид частной собственности принадлежал в отдаленном прошлом рабовладельцам и помещикам, а сейчас - мелким бизнесменам.
Поскольку в частнособственнических хозяйствах второго вида существует отчуждение работников от средств производства, то здесь применяются два социально-экономических способа соединения факторов производства:
• внеэкономическое (насильственное) принуждение (рабство, крепостничество);
• экономическое привлечение работников, не имеющих средств производства, к труду (за материальное вознаграждение).
При переходе к индустриальной стадии производства мелкие единоличные хозяйства стали уступать место в экономическом пространстве крупным предприятиям. Вместе с тем окончательно изменились способы приобщения людей, не имеющих средств производства, к труду: утвердились различные формы материальной заинтересованности людей в увеличении количества и качества созидательной деятельности. Все это было связано с появлением и развитием нового типа собственности.
Общее долевое присвоение: в чем его особенности
Общее долевое присвоение имеет следующие отличительные черты.
1. Оно образуется путем объединения вкладов, которые вносят все участники предприятия в общее имущество.
2. Общая долевая собственность используется в коллективных целях и под единым управлением. При этом, как правило, предусматривается определенное участие собственников в управлении обобществленным имуществом.
Конечные результаты хозяйственной деятельности предприятия распределяются соответственно доле имущества каждого.
Общая долевая собственность оказывает определенное влияние на черты экономической психологии людей:
• работники предприятий, как правило, не отчуждены от коллективной собственности (им принадлежат соответствующие доли имущества);
• участники объединения заботятся об устойчивом положении и доходности всего предприятия ;
• у людей имеется понимание зависимости благополучия каждого от общих доходов;
• частный экономический интерес соединяется с общим интересом коллектива предприятия .
Долевая собственность принимает разные виды (рис. 2.4).
Участники всех видов коллективного присвоения наделяются соответствующими правами и обязанностями и действуют согласно правилам, указанным в Гражданском кодексе Российской Федерации (гл. 16, ст. 244-252).
В России получили развитие следующие виды долевой собственности:
|
Общая доле пая собственность |
|
1 |
|
1 |
|
1 |
|
|
|
Акционерное
общество |
|
Кооператив |
|
Товари
щество |
Хозяйственное объединен и е |
|
Совместное
предприятие |
Рис. 2.4. Виды общего долевого присвоения
Хозяйственное товарищество - коммерческая организация (юридическое лицо, преследующее извлечение прибыли в качестве основной цели своей деятельности) с разделенным на доли (вклады) участников уставным (складочным) капиталом. Имущество, созданное за счет вкладов учредителей, а также произведенное и приобретенное хозяйственным товариществом в процессе его деятельности, принадлежит ему на праве собственности.
Акционерное общество имеет уставный капитал, который разделен на определенное число акций. Акции - ценные бумаги, удостоверяющие вложение капитала в акционерное общество и гарантирующие получение части его прибыли в виде дивиденда (дохода).
Производственный кооператив (артель) - добровольное объединение граждан на основе членства для совместной производственной или иной хозяйственной деятельности (производство, переработка, сбыт промышленной, сельскохозяйственной и иной продукции, выполнение работ, торговля, бытовое обслуживание, оказание других услуг). Такая деятельность основана на личном трудовом и ином участии членов кооператива и на объединении его участниками имущественных паевых взносов.
Хозяйственные объединения - добровольное объединение юридических лиц: хозяйственных товариществ и обществ, производственных кооперативов, государственных и иных предприятий. Такие объединения могут создаваться, например, в форме ассоциаций, где юридические лица объединяются для достижения общей хозяйственной, научно-технической, коммерческой и иных целей. Участники ассоциации сохраняют свою самостоятельность. Имущество ассоциаций состоит из вступительных взносов ее членов, доходов от собственной деятельности, кредитов и т. д. Во главе ассоциации стоит, как правило, совет учредителей, который избирает президента (председателя) и формирует правление (дирекцию), призванное решать основные вопросы в период между собраниями учредителей.
Совместное предприятие - предприятие, как правило, созданное на основе вложения капитала отечественных и иностранных участников. Оно согласованно осуществляет хозяйственную деятельность, управление и распределение прибылей. Гораздо более крупные виды хозяйственных объединений и нераздельность присвоения получили развитие в следующем типе собственности.
Что входит в совместные имущественные отношения Общее совместное присвоение имеет следующие характерные черты. Все объединенные в общий коллектив люди относятся к средствам производства и другим благам как совместно и нераздельно им принадлежащим. Изначально не определяется доля имущества, принадлежащая каждому собственнику. Общий доход от согласованной хозяйственной деятельности распределяется между ее участниками или в равных долях, или в зависимости от трудового вклада каждого. Участники совместного присвоения наделены правами и обязанностями, которые, согласно Гражданскому кодексу (глава 16, статьи 244, 253-259), определяют правила их хозяйственного поведения.
Общая совместная форма собственности определяет соответствующую экономическую психологию. Для нее характерны:
• коллективистское сознание, предельно кратко выраженное в поговорке «Один за всех и все за одного»;
• забота совместных собственников об интересах отдельных лиц;
• бескорыстная взаимопомощь в коллективном труде и семейном быту;
• идеология уравнительного распределения общественного богатства;
• отношение к общей нераздельной собственности как к не принадлежащей лично никому;
• отсутствие непосредственной связи личного интереса каждого работника с интересом всего общества.
Общее совместное присвоение имущества выступает в конкретных видах, которые существенно различаются по их размерам и другим особенностям (рис. 2.5)
Что такое общее совместное присвоение, каждый, пожалуй, знает на примере семейного достояния, находящегося в совместно нажитой собственности. К нему могут относиться жилой дом (или квартира), дача (или садовый дом), насаждения на земельном участке, предметы домашнего хозяйства и иное имущество. Если семья ведет трудовое хозяйство, то она может, скажем, открыть мастерскую или другое малое предприятие, приобрести машины, оборудование, транспортные средства, сырье, материалы и другое имущество, необходимое для совместного хозяйствования. Однако вещи индивидуального пользования, принадлежавшие каждому из супругов до вступления в брак, а также полученные одним из супругов во время брака в дар или в порядке наследования, находятся в его собственности.
 |
|
Рис. 2.5. Виды общей совместной собственности |
Многим людям хорошо известен такой вид совместной собственности, каким является имущество крестьянского (фермерского) хозяйства. В этой собственности находятся земельный участок, насаждения, хозяйственные и иные постройки, продуктивный и рабочий скот, птица, сельскохозяйственная и иная техника и оборудование, транспортные средства и другое имущество, приобретенное для хозяйства на общие средства его членов. Плоды, продукция и доходы совместного хозяйствования являются общим имуществом членов крестьянского хозяйства и используются по соглашению между ними.
От всех видов присвоения решительно отличаются государственная и муниципальная (принадлежащая органу местного самоуправления) собственность. Такое различие касается, прежде всего, гораздо более широких масштабов присвоения имущества, роли в управлении и развитии национального хозяйства. Согласно Гражданскому кодексу (ст. 214) государственной собственностью в России является имущество, принадлежащее на праве собственности: а) Российской Федерации (федеральная собственность) и б) субъектам Российской Федерации -республикам, краям, областям, автономным округам (собственность субъектов Российской Федерации).
Имущество, находящееся в государственной собственности, закрепляется за государственными предприятиями и учреждениями во владение, пользование и распоряжение на праве хозяйственного ведения, которое осуществляется в пределах, указанных в Гражданском кодексе (ст. 214, 295).
Муниципальной собственностью (ст. 215 Гражданского кодекса) является имущество, принадлежащее на праве собственности городским и сельским поселениям, а также другим муниципальным образованиям. Имущество, находящееся в муниципальной собственности, закрепляется за предприятиями и учреждениями во владение, пользование и распоряжение на праве хозяйственного ведения (ст. 294, 295).
Знание типов и конкретных видов присвоения позволяет рассмотреть непростой вопрос о достоинствах и недостатках каждого вида собственности.
Какой вид собственности лучше
Для сравнения возьмем широко распространенные виды присвоения - единоличное (малый бизнес) и акционерное общество. Сопоставлять эти виды собственности будем по одинаковым признакам:
• насколько легко можно организовать данное хозяйство;
• как велики ресурсы, обеспечивающие его жизнеспособность;
• может ли каждое предприятие обеспечить непрерывный научно-технический прогресс и улучшать качество создаваемых изделий;
• в какой мере оно удовлетворяет общественные потребности?
Начнем рассматривать достоинства и недостатки каждого вида присвоения с хозяйства, находящегося в единоличном владении. Единоличное предприятие Частное хозяйство имеет ряд преимуществ. Оно привлекательно для миллионов людей тем, что на него требуется немного средств и его просто организовать. Его владелец полагается на собственные способности и усилия. Он лично управляет фирмой и принимает хозяйственные решения. Поэтому собственник может производить любые изменения в своем производстве. Весь доход достается только ему. Законы предусматривают для частных собственников минимальные ограничения в хозяйственной деятельности.
Особенно важна гибкость - способность частных производств быстро откликаться на изменяющиеся потребности покупателей их продукции. Деятельность мелких фирм просто неоценима в тех областях экономики, где нужно удовлетворять индивидуальные запросы людей (в сфере услуг, пошива одежды, ремонта и т. п.). Крупным недостатком индивидуального хозяйства является полная имущественная ответственность, которая ложится на плечи собственника. Если его хозяйство разорится, то он обязан выплатить все долги. А его личное имущество, включая дом, машину и сбережения, может пойти в уплату за полученные в ссуду деньги. Другим существенным недостатком являются небольшие размеры денежных средств, которые можно вложить в хозяйство. Это ограничивает размер и рост производства, не позволяет купить дорогую технику и организовать хозяйство в соответствии с новейшими научными достижениями.
В современных условиях в развитых странах имеется множество мелких собственников, создающих свои крошечные предприятия (семейные магазины, фермы, бензоколонки и т. п.). Однако многие из них не в состоянии продолжительное время нормально существовать и выдерживать соперничество с более крупными предприятиями. К тому же постоянно растет тот минимум денежных средств, который необходим для того, чтобы успешно соперничать с крупными фирмами.
Акционерное общество
Большими преимуществами обладают акционерные общества. Собственника денег привлекает прежде всего ограниченная ответственность владельца акций. Самое большее, что ему грозит, - потерять сумму, выплаченную за акцию. Подкупает также простота вхождения и выхода из числа собственников (держателей акций): достаточно купить или продать акцию. Причем уход члена акционерного общества из этой хозяйственной организации никак не отражается на ее существовании. Важно также, что открытые акционерные общества (продающие акции всем желающим их приобрести) способны непрерывно наращивать свой капитал. Огромные размеры капиталов позволяют акционерному обществу создавать крупномасштабное производство благ производственного и потребительского назначения, пользующихся большим спросом. Здесь имеется самая широкая возможность для внедрения новейших достижений науки и техники, выпуска высококачественной продукции.
К недостаткам акционерного общества относится прежде всего то, что организация его - дело гораздо более сложное и дорогое, чем создание единоличных предприятий. Акционеры вынуждены платить налоги дважды: с общего дохода акционерного общества и с дивидендов (части общих доходов, распределяемых между держателями акций).
П. Самуэльсон и В. Нордхаус в учебнике «Экономика» пишут: «Оборот небольшого магазина не превышает нескольких сотен долларов в день и едва обеспечивает его владельцам минимальный доход. Средний срок существования мелких предприятий составляет примерно один год. И все же всегда будут существовать люди, желающие иметь «собственное дело».
Самуэльсон П., Нордхаус В. Экономика.
Громоздкость многих акционерных предприятий и огромные суммы денег, затраченных на технику, мешают им быстро менять технологию и перестраивать производство на выпуск новой продукции. Отсюда характерная для них тенденция к захвату рынков с тем, чтобы навязывать потребителям давно освоенные изделия по выгодным для них ценам.
При сравнении частного и акционерного предприятия, естественно, возникает вопрос: какой из этих видов собственности эффективнее? Для ответа воспользуемся статистическими данными по США. Здесь в негосударственном секторе национальной экономики насчитывается 20 млн предприятий. Об удельном весе индивидуальных частных фирм, товариществ и корпораций (акционерных обществ) в этом количестве фирм и о доле этих видов хозяйств в общей сумме проданной продукции можно судить по рис. 2.6, а, б.
Глядя на рис. 2.6, а, можно предположить, что США - это страна с раздробленной частнособственнической экономикой, ибо в ней 3/4 фирм - индивидуальные частные предприятия.
Но на рис. 2.6, б становится очевидным совершенно другое: такая огромная масса частных фирм очень неэффективно действует. Она продает только 6 % всей изготовленной продукции.
В то же время исключительно высокую экономическую эффективность показывают корпорации. Несмотря на свой сравнительно небольшой удельный вес в общем количестве фирм, акционерные общества продают 90 % всех товаров и услуг. Это означает, что США - страна, где в экономике господствуют корпорации - очень крупные хозяйственные объединения.
a) Доля фирм 6) Доля продаж
|
Корпорации 13% |
|
Корпорации 90% |
|
Товарищества 3% |
|
Товарищества А % |
|
Частные фирмы 7І% |
|
1 Іастиые фирмы ?% |
Рис. 2.6. Доля разных видов фирм в их общем количестве и сумме продаж Приведенное здесь сравнение достоинств и недостатков разных видов присвоения позволяет лучше понять, почему и как изменилась структура отношений собственности в экономически наиболее развитых странах Запада.
§ 3 Структура отношений собственности на рубеже XX-XXI столетий
Существует ли сейчас «чистый капитализм»
Сначала выясним, что означает понятие «чистый капитализм». Так именуют начальный период нового социально-экономического строя, пришедшего на смену феодализму. «Чистым» он был назван потому, что всю хозяйственную деятельность свободно и независимо вели единоличные частные собственники небольших предприятий, которые не подвергались контролю и правовому регулированию со стороны государства. Наибольшее развитие «чистый капитализм» получил в XVIII-
XIX вв. в Англии.
Немало людей под влиянием жизненных наблюдений или каких-то источников информации до сих пор представляют капитализм в его первоначальном виде подобно тому, как престарелые люди смотрят на свою фотографию, отснятую в детском возрасте...
Но историческая судьба «чистого капитализма» оказалась весьма противоречивой. С одной стороны, свободные капиталистические предприниматели не гнушались никакими средствами для укрепления своего экономического положения. А с другой стороны, они в XX в. широко использовали такие высокоэффективные достижения научно-технического прогресса, которые привели в конечном счете к падению хозяйственного значения мелких независимых предприятий.
Дело в том, что научно-технический прогресс в машинной индустрии (в частности, переход в начале XX в. от «века пара» к «веку
Пользуясь свободой от государственного вмешательства в экономику, частные предприниматели с самого начала зачастую не пренебрегали никакими средствами, чтобы обогатиться. Об этом красноречиво повествуют в своих художественных произведениях, например, Д. Н. Мамин-Сибиряк («Приваловские миллионы»), Т. Драйзер (трилогия «Финансист», «Титан», «Стоик»), Э. Синклер («Автомобильный король»), Э. Золя («Деньги»).
электричества») породил новую тенденцию в развитии организационноэкономических отношений. А именно: бурно возросли масштабы укрупнения хозяйств. Примечательно, например, что в Германии крупные предприятия с числом рабочих более 50 человек в 1907 г. составляли 1 % от общего числа фирм, но они сосредоточивали 39 % всех рабочих и 3/4 мощности паровых и электрических двигателей, применявшихся в промышленности.
В итоге, в XX в. во всех промышленно развитых странах господствовать стала не единоличная частная собственность, а крупные акционерные предприятия. Они стали заниматься такими видами хозяйственной деятельности, которые традиционно принадлежали мелким предпринимателям. Значит, ведущее положение в национальной экономике заняли коллективные собственники.
Прежнее положение «чистого капитализма» было окончательно подорвано, когда особенно во второй половине XX в. во всех развитых и развивающихся странах значительно возросла роль государства в национальной экономике.
Почему возник государственный сектор экономики
В западных странах прогрессивное развитие отношений собственности не завершилось после широкого распространения типа общего долевого присвоения (в виде акционерных обществ). Новый этап в развитии отношений собственности порожден с середины XX в. научно-технической революцией и переходом к постиндустриальной стадии производства. На данном этапе возникла настоятельная необходимость дальнейшего подъема реального обобществления хозяйственной деятельности на более высокий уровень. В чем состоит такая необходимость? Во-первых, успех научно-технической революции в первую очередь зависит от фундаментальных (теоретических) исследований. Но такие исследования не дают конечных результатов, которые можно продавать на рынке, а затраты на них сразу же не окупаются. Неудивительно, что ни частные собственники, ни корпорации не в состоянии нести все расходы на современную науку. Вполне очевидно, что ныне требуется общенациональная организация фундаментальных научных исследований. Во-вторых, страна, стремящаяся идти в ногу со временем, должна содействовать созданию новейших отраслей производства и межотраслевых хозяйственных объединений, воплощающих последние достижения научно-технического прогресса. Речь идет об электронной и микроэлектронной технике, атомной энергетике, комплексно-автоматизированных системах, ракетно-космическом комплексе, биотехнологии и других видах производства, не имеющих примеров в истории. Однако совершить столь грандиозный переворот в производстве не под силу отдельным акционерным обществам. За это дело пришлось браться государству. В-третьих, научно-техническая революция предполагает превращение науки в непосредственную производительную силу и внедрение наукоемких технологий. Для успешного освоения последних необходимо развивать всеобщее среднее образование, широко подготавливать квалифицированных рабочих, специалистов и научных работников. Но такая грандиозная задача, как говорится, «не по плечу» мелкому, среднему и крупному бизнесу. И в данном случае потребовалась общенациональная организация сферы услуг, связанных с подготовкой рабочих и специалистов качественно нового уровня.
Стало быть, перевод всего национального производства на основу информационной экономики невозможен с помощью одних только прежних экономических отношений, ограниченных рамками частной и общей долевой собственности. Требуется более мощная экономическая власть общенационального масштаба. Такая власть образовалась в виде государственного сектора национальной экономики. В последующих главах учебника будет продолжена разносторонняя характеристика этого сектора.
Известный американский экономист Дж. Гэлбрейт в книге «Новое индустриальное общество» привел следующие факты: «Семьдесят лет назад деятельность корпораций ограничивалась такими отраслями, в которых производство должно вестись в крупных масштабах (железнодорожный и водный транспорт, производство стали, добыча и переработка нефти, некоторые отрасли горнодобывающей промышленности). Теперь корпорации охватывают бакалейную торговлю, мукомольное дело, издание газет и увеселительные предприятия - словом, все виды деятельности, которые некогда были уделом индивидуального собственника или небольшой фирмы».
Гэлбрейт Дж. Новое индустриальное общество. М., 1967.
Авторы учебника «Экономикс» К. Макконнелл и С. Брю со всей решительностью заявили, что «чистый капитализм в натуральном виде никогда не существовал» и что он не соответствует «реалиям современного капитализма» в США, где государство выполняет большую и важную экономическую роль.
Макконнелл К., Брю С. Экономикс.
Теперь важно подытожить весь процесс обновления типов и видов присвоения, начавшийся с исчезновения «чистого капитализма». Это позволит яснее представить, какой стала сейчас структура отношений собственности в развитых странах мира.
Какова современная структура собственности на Западе
Исторический ход изменения отношений присвоения в капиталистических странах можно схематически представить в табл. 2.1.
Возможно, кому-то покажется, что каждая фаза развития собственности последовательно полностью заменяет предшествующий вид присвоения. Допустим, государственная собственность целиком охватывает все национальное хозяйство. Но в странах Запада не было и сейчас нет таких крайностей в структуре отношений собственности, при которых вся экономика основывается лишь на одном виде присвоения. Это объясняется тем, что, как мы видели в предыдущем параграфе, формы имущественных отношений имеют как присущие им достоинства, так и недостатки. Это и определяет ограниченную меру свойственной каждой из них экономической и социальной эффективности.
Скажем, государственная собственность обладает наибольшей способностью вкладывать огромные материальные и денежные средства в такие отрасли хозяйства, которые работают на длительную Таблица 2.1
Основные этапы развития капиталистической собственности |
|
Фаяы развития собстЕіггі пости |
Стати и производства |
РазмфЕ.:
предприятий |
Виды присвоения |
|
Частный капитализм (с XV-XVI еш. > |
Долее дуетр иаіъ-
ная |
Небольшие
предприятия |
Ьдиполичное
частное
прие поение |
|
Акционер™,: с общества (рубеж ХіХ-ХХ еш.) |
Индустриальная |
Крушзые
предприятия |
Общая долеЕъая собствен езостъ |
|
Государственный сектор странЕ,: (со второй ПОЛО-ЕШЕЗЫ X X В.) |
11 ИСТИН-
дуст ри ал Еі пая |
Общенациональ-гіЕ,:е холяйстеепгіЕ.іе обведите Еі ия |
Общая соЕімест-Езая собственность (государственная) |
|
перспективу (теоретические научные исследования, образование, ракетнокосмические комплексы и т. п.). Однако государственные предприятия в состязании с частными и акционерными проигрывают в скорости удовлетворения быстро изменяющихся потребностей граждан.
Выходит, что для владельцев частных, акционерных и государственных предприятий остается один путь выживания и успеха - занять такую свою нишу (место) в национальном хозяйстве, которая в наибольшей степени соответствует их экономическим возможностям и потребностям общества.
Таким образом, ныне одновременно сосуществуют все три известных типа присвоения с их различными видами:
• частной собственностью на средства производства трудящихся (фермерская и иная индивидуальная собственность);
• частнокапиталистической;
• общей долевой (товарищества, корпорации);
• общей совместной (государственной, муниципальной).
Иначе говоря, сложилась совершенно необычная экономика, состоящая из нескольких укладов (форм хозяйства).
Именно они, вместе взятые, обеспечивают общую экономическую и социальную эффективность национального хозяйства.
С начала развития цивилизации экономика основывалась, как правило, на одном виде собственности, название которого определяло наименование социальноэкономического строя (например: первобытнообщинный, рабовладельческий, феодальный). Сейчас же возникает вопрос: как одним словом обозначить современную многоукладную экономику?
Такое слово было найдено: смешанная экономика. Структура современных отношений собственности в смешанной экономике отражена на рис. 2.7.
В своем учебнике по экономике профессора П. Самуэльсон и В. Норд-хаус указывают две крайности в правах собственности на ресурсы: а) частные лица и фирмы и б) государство. «Ни одно из современных обществ, - по их словам, - нельзя отнести полностью к одной из этих крайностей. Скорее всего, все страны являются обществами со смешанной экономикой...»
Самуэльсон П.,Нордхаус В. Экономика.
 |
Рис. 2.7. Типы собственности в современной смешанной экономике
Оценивая длительный исторический переход к смешанной структуре собственности,
можно сделать важные обобщения.
1. «Чистый капитализм» с его единоличным частным присвоением в основном в XIX в. исчерпал свои способности к ускорению человеческой цивилизации.
2. В национальной экономике прочно заняли ведущее место два вида общей собственности - акционерная и государственная. Именно они стали мощными локомотивами научно-технического и экономического прогресса.
3. Государственная собственность укрепила господствующий строй и приспособила его к лучшему использованию высших достижений материальной и духовной культуры в интересах всего общества.
Стало быть, так своеобразно сложилась история эволюции (медленных и постепенных) изменений имущественных отношений, которая привела к преодолению их крайних состояний.
Совершенно по-иному развивались отношения собственности в XX в. в России. |
§ 4 Россия: коренные преобразования типов присвоения
Можно отметить два основных этапа изменений всей системы имущественных отношений, происходивших в России. Сначала рассмотрим первый этап: с октября (по старому стилю) 1917 г. до начала 1990-х гг. В этот период произошло полное огосударствление экономики.
Как возникла государственная собственность
В 1917 г. в России произошла Октябрьская революция. Ее целью декларировалось построение общества, где основные средства производства находятся во всенародной (общей совместной) собственности, а труд работников оплачивается в зависимости от его количества и качества.
Но для перехода к такому общественному строю в то время не было необходимых предпосылок. Более того, Россия не имела даже тех достижений цивилизации, которые были в высокоразвитых странах:
• отставание от них в техническом отношении выражалось в том, что Россия в основном пребывала на доиндустриальной стадии производства и ей еще предстояло совершить переход в индустриальную стадию;
• задержка в организационно-экономическом и социально-экономическом развитии проявлялась в том, что в первичной и основной сфере экономики (сельском хозяйстве) преобладали мелкие и раздробленные крестьянские хозяйства, применявшие общинное землепользование;
• велико было отставание от передовых государств и в культурном отношении
- население почти поголовно было неграмотным (по данным переписи населения 1897 г., 73 % граждан России в возрасте от 9 лет и старше не умели читать и писать);
• подавляющая часть населения находилась на очень низком уровне благосостояния. За период с 1917 по конец 1920 г. была полностью ликвидирована частная собственность. В СССР с 1930-х гг. утвердился общественный строй, который может быть назван государственным социализмом.
Государственный социализм - это искусственная социальноэкономическая система, для которой характерно полное овладение собственностью государством.
Для отношений собственности в СССР были характерны следующие признаки. Во-первых, собственность народа на основные средства производства была превращена в безраздельную собственность государства. Во-вторых, государственный аппарат сосредоточил в своих руках управление народным хозяйством. В-третьих, государство в максимальной степени централизовало основную массу выпускаемой всеми предприятиями продукции и финансовые средства. Трудящиеся же оказались у государства наемными работниками, отчужденными от материальных условий труда и его плодов, от управления производством и превратились в простых исполнителей распоряжений вышестоящих органов. Они, естественно, не были материально заинтересованы в конечных результатах своего труда. Не случайно государство широко и часто применяло административные, внеэкономические способы привлечения миллионов людей к труду.
В чем состоят противоречия государственного обобществления
Полное сосредоточение экономической власти у государства таило в себе противоречия. С одной стороны, за короткий исторический срок в СССР были созданы современное промышленное производство, плановая организация народного хозяйства, проведена культурная революция. Но, с другой стороны, все эти преобразования проводились ценой низкого жизненного уровня населения, отсутствия демократии и гражданских свобод. Важно отметить, что огромную долю создаваемого богатства государство направляло на развитие мощной оборонной промышленности, о чем будет сказано в главе 10.
Государственное присвоение основных средств производства получило свое теоретическое оправдание. Такое присвоение якобы соответствовало коллективной организации труда и общественному характеру производства. Все народное хозяйство часто изображалось в виде одной громадной «фабрики», где каждый труженик - всего лишь «винтик», занимающий подобающее место в государственном хозяйственном механизме.
Но экономическое всевластие государства находилось в столкновении с действительностью, объективными потребностями производства. На самом деле, разве труд всех работников организационно объединен в масштабе хозяйства страны? Возьмем, скажем, работу крестьянина в подсобном сельском хозяйстве, горожанина на своем садово-огородном участке или же деятельность огромной сети находящихся в государственном ведении ларьков, киосков, мелких и средних магазинов. Где здесь реальное народнохозяйственное обобществление труда? Острым являлось также противоречие между непрерывным увеличением общественного богатства и явно недостаточным повышением уровня народного благосостояния. Этот недостаток был особенно заметен на фоне высокого уровня жизни населения экономически развитых стран.
Стало быть, все более обострялось противоречие между коренными интересами всех трудящихся, приумножающих общественную собственность, и интересами присваивающей результаты их труда государственной власти. Это противоречие могло быть разрешено путем значительного разгосударствления собственности.
С 1992 г. начались коренные преобразования отношений собственности в прямо противоположном направлении, названные приватизацией.
Что такое приватизация
Обычно под приватизацией понимается бесплатная передача или продажа принадлежащих государству предприятий, средств транспорта, жилых зданий и т. п. в единоличную частную собственность. Однако на практике это не всегда означает преобразование государственной собственности в единоличное владение.
В мировой практике приватизация проводится по крайней мере по трем вариантам.
В одном случае государственное имущество достается в конечном счете частным собственникам. В другом варианте отдельные лица, приобретающие государственные акции, становятся членами какого-то акционерного общества, т. е. владельцами общей долевой собственности. В третьем случае государственные акции скупают какие-то корпорации. Значит, понимаемая в широком смысле приватизация на деле означает превращение государственной (общей совместной) собственности в типы частного и общего долевого присвоения. Иначе говоря, приватизацию можно отождествлять с разгосударствлением - преобразованием государственной собственности в различные формы негосударственного хозяйства.
Например, в Англии правительство в 1979 г. решило сократить размеры государственного сектора экономики. Проводимая им приватизация включала следующие меры: а) продажу государственных предприятий; б) реализацию на рынке ценных бумаг принадлежавших государству акций корпораций и в) продажу муниципальных домов их жильцам. К 1987 г. в негосударственный сектор Англии перешла 1/3 государственных предприятий, в которых имелось 60 тыс. рабочих мест. Число акционеров возросло с 2,5 млн человек в 1979 г. почти до 9 млн человек в 1987 г. Государство получило от продажи своего имущества более 10 млн фунтов стерлингов.
Однако в России преобладающим было толкование приватизации в одном варианте - как превращение государственной собственности в единоличную частную. Исходя из этого, на практике зачастую крупное хозяйственное объединение дробили на небольшие части с тем, чтобы они могли достаться единоличному собственнику. Так, например, конструкторское бюро приватизировалось отдельно от завода, хотя подобное бюро неспособно работать самостоятельно.
Такая практика нанесла большой ущерб национальной экономике, поскольку крупные высокоэффективные предприятия расчленялись на маломощные, не соответствующие современным техническим и экономическим требованиям. Например, в Книге рекордов Гиннесса за 1988 г. Аэрофлот СССР был признан самой крупной в мире авиационной компанией. Во время приватизации это объединение было раздроблено на 400 с лишним авиационных предприятий. Но большинство из них не способно нормально работать: своевременно закупать новые авиалайнеры, обеспечивать безопасность полетов и др.
Стало быть, отрицательный опыт проведенной в нашей стране приватизации связан с тем, что не учитывались необходимые границы, пределы разгосударствления. Приватизацию можно считать, по-видимому, достаточно обоснованной, если ее масштабы соответствуют степени реального обобществления хозяйства, не разрушают техническое, технологическое и организационно-экономическое единство и целостность какого-то звена производства.
Каковы сроки и виды приватизации
Как показал опыт проведения приватизации в ряде стран Западной Европы, сроки разгосударствления собственности должны быть достаточно продолжительными, чтобы можно было тщательно разобраться с положением дел на каждом приватизируемом предприятии и дождаться выгодных рыночных условий продажи государственного имущества.
Но в России приватизация проводилась бешеными темпами. Ей не предшествовала какая-либо предварительная подготовка. Не проводилась инвентаризация предприятий (опись их имущества).
Прежде всего, для государства приватизация не могла быть доходной из-за сильно заниженной стоимости государственного имущества. Дело в том, что в условиях очень быстрого обесценения денег стоимость предприятий не была правильно оценена (к тому же они часто продавались по остаточной стоимости - по стоимости полностью износившегося оборудования). Поэтому многие заводы становились добычей ловких покупателей и продавались по цене, сопоставимой со стоимостью новой престижной квартиры.
Приватизация в России началась с октября 1992 г. На ее первом этапе, так называемой ваучерной приватизации, ставилась задача покончить с господствующим положением государственной собственности. Чтобы организовать «обвальную» приватизацию за 22 месяца, каждому гражданину страны был предоставлен приватизационный чек (ваучер). С помощью чеков должна была происходить бесплатная передача гражданам предприятий, их подразделений, имущества, акций и долей в акционерных обществах и товариществах. Большая часть граждан передала свои ваучеры чековым инвестиционным фондам, которые должны были использовать их в прибыльных акционерных обществах для получения владельцами ваучеров доходов. Но в 1992-1993 гг. нормальный рынок ценных бумаг еще не был создан, а ваучеры и акции продавались по заниженной цене. Поэтому подавляющая часть граждан не смогла получить сколько-нибудь серьезный выигрыш от ваучерной приватизации.
С 1 июля 1994 г. был объявлен второй этап приватизации, во время которого имущество государственных и муниципальных предприятий должно было продаваться за деньги. Предполагались продажа предприятий или их акций на аукционах (публичных торгах), разного рода конкурсах; выкуп арендованного имущества и другие способы приватизации. При этом была объявлена основная цель - способствовать появлению новых собственников, которые будут заинтересованы развивать производство и вложат в него средства, повышающие эффективность (результативность) хозяйственной деятельности.
Между тем появлению «эффективных собственников» с самого начала препятствовал ряд обстоятельств:
• многие крупные промышленные предприятия были проданы по чрезмерно низким ценам (нередко путем не вполне законных сделок); их новые владельцы не были заинтересованы вкладывать значительные суммы денег в техническое обновление производства;
• 3/4 акционированных промышленных предприятий находились в собственности трудовых коллективов, которые имели контрольный пакет акций и не собирались продавать его постороннему лицу;
• большое количество акций приобрели бесплатно за ваучеры мелкие собственники. Они были заинтересованы лишь в получении наибольших дивидендов (доходов на акции) и не давали акционированным предприятиям никаких денежных средств.
В чем состоят итоги и перспективы приватизации
Начало преобразования государственной собственности открыло переходный период от государственного социализма к новой социально-экономической системе. Этот переходный период охватывает сравнительно длительный этап проведения социально-экономических реформ (постепенных переустройств), сохраняющих основы существующего общественного строя. В области экономических отношений будут и дальше реформироваться отношения собственности, организационноэкономические отношения.
В результате приватизации в России сложилась многоукладная экономика. В нее входят разнообразные типы и виды присвоения (рис. 2.8).
 |
|
Рис. 2.8. Виды собственности после ее разгосударствления |

В России за 1992-2000 гг. всего изменили форму собственности 135 тыс. предприятий (объектов). За этот период от приватизации получено 106 392 млн руб. (в масштабе цен, действующих с 1 января 1998 г.).
В начале XXI в. начался новый этап приватизации. Он связан с повышением роли государства и права в регулировании структуры и характера развития отношений собственности в стране. Такое регулирование основывается на Федеральном законе «О приватизации государственного и муниципального имущества» (принят в декабре 2001 г.).
Этот закон вводит в действие, в частности, такие важные положения:
• приватизация рассматривается как возмездное отчуждение имущества субъектов собственности;
• вводится планирование приватизации государственного и муниципального имущества вместе с разработкой и принятием федерального бюджета на очередной финансовый год;
• детально устанавливается порядок и все способы приватизации государственного и муниципального имущества;
• определяется оплата и распределение денежных средств от продажи имущества.

! Краткие обобщения и выводы
1. Собственность - это имущественное отношение, которое устанавливает принадлежность материальных и духовных благ определенным людям.
2. Экономические отношения собственности включают: а) присвоение факторов и результатов производства, б) хозяйственное использование имущества и в) получение дохода от собственности.
3. Субъектами права собственности являются: а) физическое лицо, б) юридическое лицо и в) государство и муниципальные образования. Объектом гражданских прав являются: а) недвижимое имущество, б) движимые вещи и в) интеллектуальная собственность.
Правовые отношения собственности означают правомочия собственника владеть, пользоваться и распоряжаться имуществом.
4. Собственность служит основой отношений по производству, распределению, обмену и потреблению благ и услуг. Присвоение средств производства определяет общественную форму, в которой соединяются работники и вещественные условия их труда. От собственности на средства производства зависят социальноэкономические отношения в обществе.
5. Типы присвоения зависят: а) от масштабов производства и б) от возможности
или невозможности свободно делить имущество его владельцев.
6. Тип частной собственности подразделяется на виды: а) присвоение работником средств и продуктов производства и б) присвоение единоличным собственником средств производства и продуктов чужого труда.
7. Типу общего долевого присвоения присущи виды: а) акционерное общество, б) кооператив, в) товарищество, г) хозяйственное объединение, д) совместное предприятие.
8. Тип общего совместного присвоения принимает конкретные виды: а) семейная собственность, б) имущество крестьянского хозяйства, в) государственная и муниципальная собственность.
9. Единоличному частному предприятию присущи преимущества: легкость создания организации, способность быстро откликаться на потребности покупателей и их индивидуальные запросы. К числу недостатков относятся: полная имущественная ответственность, небольшие источники денежных средств, отставание от научнотехнического прогресса.
Достоинствами акционерного общества является ограниченная материальная ответственность собственников, простота входа и выхода из хозяйственного объединения, большая возможность увеличивать количество денег и развивать технику и технологию производства. Акционерные предприятия обладают гораздо большей устойчивостью и эффективностью по сравнению с небольшими фирмами. К их недостаткам относятся трудности организации фирм, громоздкость акционерных предприятий, двойное налогообложение акционеров.
10. В XX в. «чистый капитализм» перестал существовать в качестве господствующей формы присвоения. Ведущее положение в национальной экономике заняли коллективные собственники. Особенно во второй половине XX в. быстро набрал экономическую мощь государственный сектор хозяйства развитых стран. Этот сектор способствовал быстрому развитию научно-технической революции и переходу к информационной экономике.
11. В странах Запада нет крайностей в структуре отношений собственности (лишь одного вида частного или государственного присвоения). Сейчас одновременно сосуществуют все три типа собственности с их различными видами. Смешанная экономика позволила ускорить научно-технический прогресс, обеспечить наибольшую экономическую и социальную эффективность национального хозяйства.
12. В XX в. имущественные отношения в России развивались в прямо противоположных направлениях. С 1917 г. началась ликвидация частной собственности на средства производства и утвердился государственный социализм. Полное огосударствление средств производства позволило, с одной стороны, в короткий исторический срок создать в СССР современное промышленное производство, плановую организацию народного хозяйства, провести культурную революцию. Огромную долю общественного богатства государство тратило на развитие мощной оборонной промышленности. Но, с другой стороны, большие хозяйственные преобразования проводились ценой низкого жизненного уровня населения. В СССР все более обострялось противоречие между коренными интересами всех трудящихся и интересами присваивающей результаты их деятельности государственной власти. Это противоречие могло быть разрешено путем значительного разгосударствления собственности.
13. Приватизация означает превращение государственного и муниципального имущества в виды частного и общего долевого присвоения. Однако в России был взят курс на преобразование государственной собственности в личное частное достояние, что привело к разрушению многих крупных предприятий. С октября 1992 г. без должной подготовки ускоренными темпами проводилась ваучерная приватизация. С 1 июля 1994 г. началась продажа государственного и муниципального имущества за деньги. Приватизация не дала надлежащего экономического результата и не помогла предотвратить падение производства.

1 Собственность
2. П [ іа во со бетве н к оста
3. Общая долевая собственность
4. Экономическая власть
(і. Государственный соци-алнам

14. Коренное преобразование общей совместной собственности привело к созданию новой экономической системы. Произошел переход к многоукладной экономике, куда входят все типы присвоения. В начале XXI в. начался новый этап приватизации, при котором повышается роль государства и права в регулировании отношений собственности (планирование приватизации во взаимосвязи с государственным бюджетом, определяется оплата и распределение средств от продажи имущества и др.).
? Задачи и вопросы на сообразительность
1. Подберите к каждому термину из левой колонки определение из правой колонки.
A. Общее имущество, состоящее ид взносов всех с обет вен н ишв
Б. Присвоение основных средств провдвод-ства
B. Полное огосударствление собственности в обществе
Г. Имущественное отношение между людьми
Д. В л а деі ше. пользование и \ ?а с і юряжеі іие имуществом
2. Свидетельствуют ли о наличии собственности в мире животных такие их действия, как строительство жилищ, сбор и накопление пищи (муравьи, пчелы), борьба за территорию?
3. Можно ли согласиться с суждением французского социалиста П. Прудона, который в работе «Что такое собственность?» (1840) сказал: «Собственность - это кража»?
4. Влияет ли форма собственности на успешную деятельность специалиста со средним образованием?
5. Что верно (укажите правильный ответ):
а) государственная собственность обеспечивает больший экономический и социальный эффект по сравнению с частной собственностью;
б) единоличная собственность во всех случаях более эффективна в экономическом и социальном отношении по сравнению с государственной собственностью.
6. Представьте, что вы стали собственником участка земли. По закону вы наделяетесь правами владения, пользования и распоряжения своим имуществом. В чем заключаются эти права.
7. Тест. Приватизацией можно считать:
а) покупку акций акционерного общества, контрольный пакет которого принадлежит государству;
б) продажу государственного имущества товариществу, кооперативу;
в) аренду государственного имущества частными лицами.
Глава 3 Организация хозяйственной деятельности
Собственники имущества могут эффективно использовать его, если организуют всю хозяйственную деятельность в своих интересах. Для этого надо четко установить: что производить, как это делать и для кого создавать экономические блага. В этом деле основными звеньями организационно-экономических отношений между людьми являются: 1) кооперация и разделение труда, 2) организация хозяйственной деятельности в определенных формах и 3) формы управления экономикой.
В настоящей главе нам предстоит последовательно рассмотреть эти три вида организационно-экономических отношений.
§ 1 Кооперация и разделение труда
Кооперация и разделение труда представляют два прямо противоположных организационных отношения. Если кооперация означает объединение работников для совместной деятельности, то разделение - их разъединение на различные виды работ. В связи с этим важно выяснить:
• что представляют собой эти противоположности в организации производства;
• какой экономический выигрыш они дают;
• как взаимосвязаны между собой противоположные виды организации экономики?
Для чего нужно объединять труд
Слово «кооперация» имеет несколько значений. Здесь оно обозначает определенную форму организации объединения людей в одном или в разных, но связанных между собой трудовых процессах.
Кооперация труда - форма организации совместного труда значительного количества людей.
Прежде всего важно видеть коренное отличие кооперации труда от отношений собственности. Как известно, виды присвоения неоднократно менялись на протяжении всей экономической истории. Кооперация же труда используется независимо от господствующего в то или иное время общественного строя. Между тем в разные исторические эпохи трудовое взаимодействие отличается неповторимыми особенностями. Одно дело, например, коллективная обработка земли в первобытной общине, другое - принудительный труд массы рабов при сооружении знаменитых пирамид в Древнем Египте.
Необходимость совместно трудиться во всяком обществе обусловлена следующими причинами:
• на протяжении веков объединение людей для выполнения определенной хозяйственной деятельности - это проверенное средство для повышения производительности труда (увеличения выработки работниками);
• в совместном труде возникает индивидуальная состязательность работников - их стремление выполнить задание лучше и за более короткое время;
• кооперирование труда повышает производительность коллективного труда, который способен быстро выполнить работу, непосильную для одного человека;
• кооперация экономит рабочее время благодаря согласованному выполнению коллективных работ и соблюдению трудящимися единой производственной дисциплины;
• при совместной деятельности множества людей относительно (в расчете на единицу продукции) уменьшаются затраты на средства производства (лучше используются помещения, техника, сырье).
Насколько эффективен кооперативный труд
Из того, что было сказано о необходимости кооперации труда, казалось бы, напрашивается вывод о ее высокой результативности. Но такой вывод можно оспорить.
Дело в том, что вместо однозначного суждения к истине нас приближает многовариантный разбор экономического эффекта (объема выпуска продукции), полученного при изменении масштабов кооперации труда. Такой эффект зависит от множества условий: характера и мощности оборудования, технологии производства, расстояния предприятия от источников сырья, энергии, потребителей готовой продукции и иных технических, организационных и социальноэкономических отношений.
В хозяйственной практике важно подсчитывать экономический эффект, полученный при разных изменениях масштабов производства. При этом могут быть получены три основных варианта эффекта.
Первый вариант. При расширении масштабов кооперации (увеличении факторов производства) эффект от ее укрупнения возрастает.
Вот несколько примеров. В середине XIX в. самый большой корабль мог перевезти 2000 т груза, а сейчас супертанкеры способны вместить свыше 1 млн т нефти. Выгоды современного крупного производства связаны с применением сложных и очень дорогих машинных комплексов. Так, в автомобилестроении эффективное использование на сборочных линиях робототехники и сложнейшего оборудования требует, по некоторым оценкам, объема производства от 200 тыс. до 400 тыс. автомобилей в год. Справиться с этой задачей под силу только крупным производителям.
По мере укрупнения предприятий сокращаются затраты на единицу продукции, связанные с проектированием, конструированием и разработкой изделий. Увеличение размеров производства создает дополнительные возможности для создания побочных продуктов. Например, большой мясокомбинат изготавливает клей, лекарственные препараты и множество других продуктов из тех отходов основных цехов, которые не перерабатываются на мелких заводах.
Второй вариант. Возможен такой случай, когда на более крупном предприятии возрастает численность работников. Но при этом производительность их труда не повышается в той же степени. Тогда эффект расширения кооперации труда остается неизменным.
Третий вариант. Неограниченное увеличение масштабов кооперации труда может тормозить рост эффективности производства. Такой отрицательный результат возможен, если объем выпуска изделий увеличится в меньшей степени по сравнению с расширением размеров предприятия. Скажем, выгоды от сооружения гигантского машиностроительного завода могут перекрываться возросшими расходами, связанными с транспортировкой сырья и готовой продукции на большие расстояния. Таким заводом почти невозможно управлять из единого центра, что повлечет дополнительные потери.
В итоге возникает вопрос. Что же делать на практике: укрупнять рамки кооперации труда или не укрупнять?
Ответ на этот вопрос облегчается при выяснении взаимосвязи кооперации с разделением труда.
Разделение труда: каковы его сущность и формы
В экономике происходит прямо противоположный кооперированию процесс разделения труда - качественное расчленение на обособившиеся и одновременно сосуществующие его виды.
Разделение труда - выделение в производственном процессе разных видов трудовой деятельности.
Начало этому процессу положило естественное разделение труда по полу и возрасту, возникшее еще в первобытном обществе. До сих пор такое членение деятельности сохранилось во многих домашних хозяйствах.
В современном производстве различаются следующие виды разделения труда.
1. Индивидуальная специализация - сосредоточение деятельности человека на каком-то особом занятии, овладение определенной профессией, специальностью.
2. Разделение труда на предприятии (выделение в трудовом коллективе разных видов работ, операций).
3. Обособление созидательной деятельности в масштабах отрасли, вида производства (например, электроэнергетика, добыча нефти, автомобилестроение и т. п.).
4. Разделение производства в масштабе страны на крупные роды (промышленность, сельское хозяйство и др.).
5. Территориальное разделение труда внутри страны (при специализации производства каких-то продуктов в разных экономических районах).
6. Международное разделение труда (специализация производства отдельных стран на определенных видах изделий, которыми эти страны обмениваются).
Разделение труда всегда служит важным средством повышения производительности созидательной деятельности людей. Это является следствием следующих обстоятельств:
• специализация работников умножает умение, предполагает приобретение ими более совершенных знаний и навыков;
• разделение труда обеспечивает экономию рабочего времени, поскольку благодаря сосредоточению трудовых усилий человек перестает переходить от одного занятия к другому;
• трудовая специализация дает толчок к изобретению и применению машинной техники, что делает производство массовым и высокоэффективным.
Что такое сложная кооперация труда
Как известно, рост масштабов трудового сотрудничества при выполнении каких-то однородных работ увеличивает объем выпуска продукции. Но такой эффект достигается только до определенных пределов. Такие пределы достигаются на предприятиях с простой кооперацией труда, где все рабочие выполняют один и тот же вид работы (например, лесорубы на лесозаготовках). Если бесконечно расширять размеры предприятия, то будут возрастать расходы на транспортировку сырья и готовой продукции на большие расстояния, что превысит выгоды от сооружения гигантского предприятия.
Выход из этого тупикового положения дает сложная кооперация труда.
Сложная кооперация труда - вид совместной деятельности работников разных профессий и специальностей.
Такая форма организации созидательной деятельности наилучшим образом соединяет достоинства кооперации и разделения труда.
Исторический опыт убедительно показал преимущества сложной кооперации труда. Первоначальной формой капиталистических предприятий явилась простая кооперация ремесленников, которые выполняли одну и ту же работу. В Западной Европе в XVI-XVII вв. развилась мануфактура, где работники выполняли разные виды операций или изготавливали какую-то деталь конечного продукта (например, какую-то часть часов - корпус, циферблат, стрелки и т. д.). В мануфактурных мастерских упрощались трудовые операции, совершенствовался инструмент, готовились кадры искусных рабочих. Все это способствовало огромному увеличению выработки изделий.
В XX в. был достигнут двойной эффект, присущий сложной кооперации труда, посредством сочетания специализации и кооперирования производства. Специализация производства - форма производственной организации, основанная на разделении труда. Она проявляется в создании специализированных цехов, участков и предприятий в целом. При этом различают разные виды специализации: а) предметную (изготавливается какое-то изделие); б) подетальную (создается лишь часть готового продукта) и в) технологическую (выполняются определенные операции по обработке материальных ресурсов). Кооперирование производства - форма производственных связей между самостоятельными специализированными предприятиями, которые совместно изготавливают определенную продукцию.
Специализация и кооперирование производства позволяют находить оптимальные (наилучшие) размеры хозяйственной деятельности с учетом всех ее благоприятных условий. При этом важно учитывать степень специализации предприятий (ограничение их деятельности изготовлением определенных изделий и деталей). Так, в России изготовление одних и тех же деталей на крупных машиностроительных заводах, выпускающих всю разнообразную продукцию, требует в 5—10 раз больше труда и денежных средств и в 1,5-2 раза больше металла, чем на предприятиях с массовым специализированным производством.
Во второй половине XX в. под воздействием научно-технической революции начался новый этап в развитии специализации и кооперирования производства не только в отдельных странах, но и в международном масштабе. Многие сложнейшие машины (самолеты, ракеты, автомобили и др.) по частям создаются в разных государствах, а затем собираются из комплектующих изделий на головных предприятиях страны, выпускающей эти машины. Подробнее об этом говорится в гл. 15, посвященной современной мировой экономике.
Известный английский экономист Адам Смит так описывал труд десяти рабочих в булавочной мануфактуре: «...Эти десять человек вырабатывали свыше 48 000 булавок в день... один рабочий вырабатывал 4800 булавок в день. Но если бы они работали в одиночку и независимо друг от друга и если бы они не были приучены к этой специальной работе, то, несомненно, ни один из них не мог бы сработать двадцати, а может быть, и одной булавки в день».
Смит А. Исследование о природе и причинах богатства народов (1776).
«Мы вместе с остальным миром сплетены в сложную паутину экономических взаимоотношений, элементы которой составляют торговля товарами и услугами, многонациональные корпорации, совместные предприятия и связи между мировыми финансовыми рынками. Многие «американские» товары производятся из иностранных компонентов. Например, международные фирмы поставляют основные компоненты для нового «американского» самолета «Боинг-777».
Макконнелл К., Брю С. Экономикс.
Какими знаниями должен обладать специалист
В условиях дальнейшего развития научно-технической революции и все более широкого применения информационных технологий повышается значение труда специалистов со средним и высшим образованием.
Подготовка специалистов в зарубежных учебных заведениях осуществляется по двум направлениям.
Первое - обучение специалистов узкого профиля (совокупности основных черт деятельности). Такой специалист глубоко овладевает сравнительно небольшим кругом знаний и умений, связанных главным образом с предстоящей практической работой. Замечено, что профессионал является тем более квалифицированным и авторитетным работником, чем более узким является поле его деятельности.
Однако нельзя не видеть, что узкая специализация порождает серьезные недостатки. Такая специализация ведет к одностороннему развитию профессионала. У него резко ограничивается научный и общественный кругозор.
Он отрывается от своей отрасли научной и хозяйственной деятельности и других смежных профессий. При этом утрачивается гармоничность, всесторонность человеческого развития. Естественно, что при потере работы специалист узкого профиля не сможет быстро освоить смежную специальность.
Второе направление предполагает подготовку специалистов широкого профиля. Это означает достаточно широкое научное и профессиональное образование, а также специализацию в избранной области деятельности. Конечно такой профессионал способен при необходимости сменить место работы в пределах своей специальности. Такое различие направлений в подготовке специалистов отражает противоречивый характер развития научно-технической революции. С одной стороны, она вызвала дальнейшее углубление специализации научных исследований и производства. С другой стороны, современный научно-технический прогресс ускорил взаимопроникновение разных отраслей науки и техники, упрочил их взаимосвязь. Благодаря этому повышается качество и эффективность деятельности ученых, специалистов и других работников. Более того, усиление творческого характера труда предполагает гармоничность, всесторонность человеческого развития.
В нашей стране государственные средние специальные заведения, готовящие специалистов широкого профиля, в 1960/61 г. имели 104 студента на 10 000 человек населения, в 1990/91 г. - 148 и 2002/03 г. -173 студента.
Примечательно, что государственные образовательные стандарты высшего профессионального образования, принятые в нашей стране в 2000 г., предусматривают изучение студентами: 1) общих гуманитарных и социальноэкономических дисциплин (отечественная история, культурология, политология, философия, экономика и др.); 2) общих математических и естественнонаучных дисциплин; 3) общепрофессиональных дисциплин; 4) дисциплин специализации. Таким образом, все студенты получают широкую профессиональную подготовку в сочетании с узкой специализацией, что повышает качество подготовки профессионалов и их востребованность для практической деятельности.

Рассмотрение типов организации хозяйственной деятельности позволяет непосредственно определить: какие экономические блага надо создавать, как и для кого их производить?
Самый обобщенный ответ на эти вопросы имеется в табл. 3.1.
Таблица 3.1
Типы организации хозяйства
Тип
хозяйства |
Какие блага создаются |
Как их изгогаплиЕіакуг |
Для кого производят |
|
Натуральное |
НлтуралЕ,гіЕ,:г |
УЕ!НЕКрСаДЬЕ!ЫМ |
Дли ч:лс поеі |
|
|
продукты |
трудом |
ДЛШЮГО ХОЗЯЙСТЕШ |
|
Товарное |
Товары |
С п г циал нзиропа гі гі е,: м трудом |
Для покупателей па рЕлнке |
Немецкий философ Артур Шопенгауэр так оценил «узких» специалистов: «Ученых-специалистов можно сравнить с рабочими
женевских мастерских, из которых одни делают только колеса, другие -только пружины, третьи - только цепи, или еще - с музыкантами в оркестре, из которых каждый знает только свой инструмент».
Именно о таких профессионалах современный немецкий ученый и публицист Вильгельм Швёбель не без иронии сказал: «Будущему людей больше всего угрожает деятельность специалистов».
Материалы табл. 3.1 прежде всего свидетельствуют о том, что два типа хозяйства серьезно отличаются друг от друга, а кое в чем противоположны. Поэтому нам предстоит выявить особенности каждого типа хозяйства и сравнить их друг с другом.
Что такое натуральное производство
Самой простой формой организации экономики является натуральное хозяйство, которое само обеспечивает своих членов необходимыми благами (пищей, одеждой, жилищем и др.).
Натуральное производство - тип хозяйства, где люди создают продукты для удовлетворения собственных потребностей.
Натуральному производству присущи следующие черты (рис. 3.1).
Прежде всего натуральное производство - это замкнутая совокупность организационно-экономических отношений. Общество, в котором оно господствует, состоит из разобщенных и оторванных друг от друга хозяйств (семей, общин, поместий, хозяйственных регионов). Каждое из них опирается на собственные производственные ресурсы и обеспечивает себя всем необходимым для жизни.
Здесь выполняются все виды работ, начиная от добывания сырья и завершая подготовкой благ к потреблению.
 |
Рис. 3.1. Основные черты натурального хозяйства
Для натурального производства на протяжении веков характерен ручной универсальный (с разнообразным назначением) труд, исключающий его разделение на виды. Каждый работник выполняет все основные работы с помощью простейших орудий (мотыг, лопат, грабель и т. п.). О таких людях в старину были сложены пословицы и поговорки: «На все руки мастер», «Он и швец, и жнец, и в дуду игрец». |
Николай Васильевич Гоголь в поэме «Мертвые души» приводит пример своеобразного натурального хозяйства, которое было у помещика Плюшкина. «У этого помещика была тысяча с лишком душ, и попробовал бы кто найти у кого другого столько хлеба зерном, мукою и просто в кладях, у кого бы кладовые, амбары и сушилы загромождены были таким множеством холстов, сукон, овчин выделанных и сыромятных, высушенными рыбами и всякой овощью, или губиной». Живя в одиночестве, Плюшкин стал хранителем своего несметного богатства. Натуральному хозяйству свойственны прямые экономические связи между производством и потреблением, т. е. они развиваются по формуле: «производство -распределение - потребление». Продукция делится между производителями и, минуя обмен ее на иные продукты, идет в личное и производственное потребление. Эта связь обеспечивает натуральному хозяйству значительную устойчивость. Натуральное хозяйство господствовало в экономике в самую длительную доиндустриальную эпоху - свыше 9,5 тысяч лет. Это объясняется следующими взаимосвязанными факторами и условиями хозяйствования.
1. Для натурального хозяйства характерна застойная экономика. Ибо производство увеличивается очень медленно.
2. В хозяйстве господствует универсальный труд, который не закрепляет и не улучшает рабочие навыки и знания.
3. Работники вооружены простейшей ручной техникой, характерной для доиндустриальной эпохи.
4. Для хозяйственной деятельности в натуральном производстве типичной является низкая производительность труда. Примечательно, что даже сейчас в экономически отсталых странах Африки один сельскохозяйственный работник может прокормить не более двух человек.
5 . Натуральное производство не вполне удовлетворяет традиционные, веками не изменяющиеся потребности основной массы населения.
Таковы зависящие друг от друга причины и следствия, которые препятствуют прогрессу (движению вперед по восходящей линии) натурального хозяйства. Эти причинно-следственные связи образуют своеобразную замкнутую цепь, которую можно назвать кругом экономического застоя (рис. 3.2).
|
|
Засто&Езая эконРЧНК — |
1 |
|
|
1 |
|
ТраднцнонЕіые потребности |
|
У гитгрсалЕ.гіЕ.ій труд |
|
|
|
1 |
! |
|
Низкая выработка | |
К |
Ру?Езая техізнка |
|
|
Рис. 3.2. Круг экономического застоя |
Сохранилось ли до сих пор натуральное производство
Разорвать порочный круг экономического застоя удалось только несовместимому с ним товарному хозяйству, получившему наибольшее развитие при капитализме. Между тем в настоящее время натуральное хозяйство в значительной мере сохранилось в странах, где преобладает доиндустриальная экономика. В слаборазвитых странах еще в середине XX в. в натуральном и полунатуральном производстве было занято 50-60 % населения. В настоящее время в этих государствах происходит ломка отсталой структуры хозяйства.
В России натуральное производство в особенности развито в личном подсобном хозяйстве крестьян и на садово-огородных участках городских жителей.
Один из парадоксов (неожиданных явлений) сегодняшней России состоит в том, что после объявления в 1992 г. «движения к рынку» в ряде случаев началось движение в обратном направлении. Так, значительно увеличилось количество садовоогородных участков с натуральным производством (это средство обеспечить себя остро необходимыми жизненными благами). Подтверждение этому мы находим в статистических данных, приведенных в табл. 3.2.
Другой парадокс состоит в том, что вместо продвижения к рынку многие экономические районы страны в начале 1990-х гг. усилили хозяйственную автаркию (замкнутость). Они ввели запрет на вывоз продовольствия в иные регионы, стремясь таким образом улучшить снабжение продуктами местного населения. Однако
натурализация хозяйственных связей имеет и отрицательные последствия -подрывает нормальные хозяйственные связи в масштабе страны.
Таблица 3.2
Удельный вес продуктов питания, полученных населением России из личного подсобного хозяйства, в общем объеме потребления, % |
 |

Можно предположить, что натуральное производство в личном подсобном хозяйстве в России со временем будет терять свое экономическое значение. Это произойдет в результате повышения денежных доходов населения и значительного подъема на такой основе жизненного уровня народа.
Каковы причины появления товарного производства
Частично разорвать порочный круг экономического застоя, свойственного натуральному хозяйству, удалось еще в период разложения первобытнообщинного строя (7-8 тысяч лет тому назад). С тех пор и до настоящего времени товарное производство обслуживает различные социально-экономические устройства. В связи с этим можно выделить общие для всех исторических эпох причины возникновения товарного производства.
Производство товаров появилось прежде всего в результате общественного разделения труда, когда расчленяется трудовая деятельность (обосабливаются и сосуществуют различные ее виды). Эта общая форма организационноэкономических отношений продолжает изменяться при совершенствовании орудий труда. Поскольку технический прогресс не имеет границ, то не имеет пределов и развитие разделения труда в обществе.
Другой причиной является хозяйственное обособление людей для изготовления какого-то продукта. Данное организационное отношение органически дополняет общественное разделение труда: человек выбирает какой-то вид работы и превращает его в самостоятельную деятельность. Это одновременно усиливает его зависимость от других товаровладельцев и порождает необходимость обмениваться разнородной продукцией, устанавливать связи через рынок.
Хозяйственное обособление людей тесно связано с формами собственности на средства производства. Так, оно является наиболее полным, когда товаропроизводитель - частный собственник. В меньшей мере обособление достигается, если какое-то имущество отдается в аренду- временное владение и пользование. Тогда на какой-то период хозяйство ведет арендатор. Но одна частная собственность сама по себе не порождает товарно-рыночное хозяйство. Это видно на примере натурального производства при рабовладельческом и феодальном строе, где господствовала частная собственность на средства производства.
Между тем формы собственности порождают разные виды товарного производства.
В зависимости от форм собственности и организационных отношений образуются два вида товарного производства. Исторически первым было простое товарное хозяйство крестьян и ремесленников, в котором применялся ручной труд. В этом случае из-за низкой выработки товарное производство соседствует с господствующим натуральным производством. При капитализме главные позиции в экономике занимает развитое товарное хозяйство. Все создаваемые блага превращаются в рыночные продукты. Предметом купли и продажи становится наемный труд.
Чем товарное хозяйство отличается от натурального
Более развитым и сложным по сравнению с натуральным является товарное производство, работающее на рынок.
Товарное производство - такой тип организации хозяйства, при котором полезные продукты создаются для продажи на рынке. Товарному хозяйству свойственны следующие типичные черты (рис. 3.3). Товарное хозяйство является открытым типом организационных отношений. Здесь работники создают продукты не для собственных нужд, а для продажи их другим людям.

Рис. 3.3. Основные черты товарного хозяйства
Далее, производство товаров основано на общественном разделении труда. Его развитие зависит от того, насколько углубляется специализация предприятий при изготовлении отдельных видов продуктов.
Наконец, товарному хозяйству присущи косвенные связи между производством и потреблением. Они развиваются по формуле «производство - обмен (рынок) -потребление». Изготовленная продукция сначала поступает на рынок для обмена на другие изделия (или деньги) и лишь затем попадает к потребителям.
В противовес натуральному производству товарное хозяйство отличается неуклонным совершенствованием факторов и условий хозяйствования. Это развитие идет по следующим направлениям.
1. Товарное производство порождает непрерывно прогрессирующую экономику. Благодаря коренному обновлению производственных факторов оно способно резко ускорять выпуск продукции.
2. Это производство, как было отмечено, основывается на разделении труда, которое способствует совершенствованию знаний и умений работников.
3. Специализация трудовых операций в товарном производстве облегчила применение машинной техники. Таким образом, был открыт путь к индустриальной стадии производства.
4. Широкое применение индустриальной техники и технологии привело к невиданному росту производительности труда. Именно благодаря этому обстоятельству, например, американский фермер может прокормить 20 человек.
5. Товарное производство обеспечивает возвышение потребностей всего населения. Здесь описаны те причины и следствия, которые превратили товарное хозяйство в прогрессирующую экономику. Неразрывная взаимосвязь этих факторов и условий хозяйствования образует своеобразную цепь причинно-следственных процессов, принимающую вид спирали (рис. 3.4).
После того как мы сравнили натуральное и товарное производство, можно сопоставить продукты этих типов хозяйств.
|
(). НОВЫЙ урОЕМЧІЕі производства |
|
i. Прогрессирующая экономика |
|
|
|
1 |
|
|
|
|
5н Впалыгнение потребностей |
|
'1. Опе[{иа_[ЩэиролаЕіЕіый груд |
|
1 |
|
|
|
|
І. fScr ЛЫробоТКН |
- |
3 МасииЕшая техника |
|
|
Рис. 3.4. Спираль экономического прогресса |
«Получающееся в результате разделения труда значительное увеличение производства всякого рода предметов приводит в обществе... к тому всеобщему благосостоянию, которое распространяется и на самые низшие слои народа».
Смит А. Исследования о природе и причинах богатства народов (1776).
Натуральный продукт и товар: что в них общее и чем различаются
Всякий продукт и натурального, и товарного хозяйства имеет одно общее свойство -полезность.
Полезность - это способность блага удовлетворять какие-то потребности людей.
Каждое материальное благо имеет, как правило, не одну, а множество полезностей, или, образно говоря, «пучок полезностей». Скажем, конструкторы разных заводов создают из одного и того же металла множество разных нужных вещей. По мере развития современной науки и технологии производства в природных и химических веществах открывается все возрастающее количество полезных качеств.
Свойства благ выявляют и оценивают по-разному их производители и потребители. Изготовители продуктов в первую очередь дают объективную (независимую от воли и сознания людей) оценку их вещественных свойств, позволяющих получить нужную полезность. Так, в железной руде определяется количество содержащегося в ней железа и других составных частей. Если количество полезных веществ в продуктах возрастает, то это повышает их качество, а тем самым увеличивает их полезность. Об этом могут судить покупатели многих пищевых товаров, на упаковках которых указываются содержащиеся в них полезные элементы. Потребители довольно часто придерживаются своих субъективных оценок пользы материальных благ, подчас пренебрегая их объективными качествами. Они смотрят на натуральные продукты или товары с точки зрения личных запросов, вкусов и предпочтений. Разве каждый из нас не проявляет свою привязанность к выбору какого-то сорта чая, кофе? Встречаются и уникальные случаи. Например, в Китае у малочисленной народности мяо любимое блюдо - приготовленные с изыском бамбуковые крысы с гарниром из молодого бамбука.
Вполне очевидно, что сам по себе натуральный продукт и товар одинакового предназначения и качества ничем не отличаются, если рассматривать их полезность. Разве различаются, например, цветы лишь оттого, что в одном случае вы вырастили их у себя на садовом участке, а в другом случае - купили на рынке? Но дело обстоит совершенно иначе, если учитывать экономические отношения, связанные с получением полезных вещей.
Как известно, натуральный продукт приобретается внутри замкнутого хозяйства без его обмена на иную вещь. Допустим, это происходит, когда крестьянин использует весь собранный им урожай зерна и картофеля для своей семьи.
В отличие от этого в товарном хозяйстве возникают совсем иные экономические отношения. Владелец товара и покупатель при рыночном обмене вступают в известные имущественные связи. Ни тот, ни другой не отдают принадлежащее им имущество безвозмездно, даром. И продавец, и покупатель заинтересованы в том, чтобы при рыночном обмене получить за свою вещь - при нормальных условиях -другое равноценное имущество (будь то другое благо или деньги). Этим свойством рыночный продукт решительно отличается от натурального продукта.
Товар - это полезная вещь, которая обменивается на рынке на равноценное благо.
Отсюда становится ясно, что каждый товар при обмене на равноценный продукт приобретает на рынке меновую стоимость. Меновая стоимость - это способность товара обмениваться на другие полезные вещи в определенных пропорциях (соотношениях).
Например, на рынке можно признать эквивалентными друг другу (цифры условные): 20 кг мяса, 1 пару кроссовок, 50 литров молока и т. д.
Подобное равенство меновых соотношений вещей повседневно и миллиарды раз повторяется в практике рынка. Оно кажется обычным и понятным. На самом деле здесь многое скрыто от глаз и не ясно: что в вещах, чему и почему равно?
В самом деле, равны ли обмениваемые, а следовательно, приравненные друг к другу товары как полезные вещи? Совершенно очевидно, что обмениваются совершенно разнородные вещи (мясо, кроссовки, молоко - как в приведенном выше примере). Ведь никто не продает полезную вещь определенного вида за такое же благо. Приравненные вещи не сопоставимы и в количественном отношении: мясо измеряется в килограммах, кроссовки - парами, молоко - литрами и т. д. Что же в таком случае является равным в меновой пропорции?
Как измерить меновую стоимость товаров
В XIX в. экономистами были предложены два различных способа измерения меновой стоимости товаров.
Первый способ - соизмерять ценность товаров для каждого человека с помощью их полезности. Единица измерения полезности была названа ютиль (от англ. utility -полезность). Чем больше ютилей приобретал на рынке потребитель, тем большую порцию счастья он якобы получал. Возможно, ютиль способна измерить степень полезности неодинаковых благ для одного человека. Но в силу несовпадающей субъективной оценки полезности вещей разными людьми ютиль не может дать достоверного сравнения при обмене одного товара на другой. В итоге ютиль была признана вымышленной единицей измерения, не пригодной для рыночной практики. Другой способ измерения меновой стоимости товаров - соизмерение количества труда, затраченного на изготовление разных видов товаров.
Специальное изучение затрат рабочего времени на производство отдельных видов продукции позволяет получить сравнительные данные об их стоимости и меновой стоимости в разных странах (табл. 3.3).
Данные табл. 3.3 убеждают в том, что на производство российских товаров тратится больше времени, чем на такие же товары, изготовленные в Польше и особенно - в Германии.
Авторы учебника по экономике К. Макконнелл и С. Брю пришли к выводу: ютиль - «вымышленная единица измерения степени удовлетворения потребностей».
Макконнелл К., Брю С. Экономикс.
Профессора С. Фишер, Р. Дорнбуш и Р. Шмалензи пишут о ютиле: «... Трудно поверить, что на самом деле существует некая мера счастья, которую можно использовать для доказательства такого рода утверждений: «Дик стал бы в два раза счастливее, если бы съел еще одну шоколадку»».

Фишер С., Дорнбуш Р., Шмалензи Р. Экономика. М., 1999.
Таблица 3.3
Стоимость некоторых товаров (в часах рабочего времени за единицу товара) |
 |
Между тем принцип сравнительного преимущества стран (в затратах труда на создание благ) невозможно использовать на практике обычного рыночного обмена. Такой обмен осуществляют, как правило, частные собственники, которые не могут проводить сопоставление затрат рабочего времени на единицу продукции во всех хозяйствах. Естественно, что участники повседневных рыночных сделок вообще не выясняют абстрактные (отвлеченные от конкретных обстоятельств) теоретические вопросы об измерении количества труда на производство товаров.
Стало быть, экономическая теория сталкивается с неразрешимыми для нее задачами. Ни полезность вещей, ни рабочее время (затрачиваемое на единицу продукции) не может быть практическим мерилом меновой стоимости во всех рыночных сделках.
Как очевидно, остается не выясненным очень важный вопрос: как же устанавливается на рынке равноценный обмен товаров?
Ответ на этот вопрос будет рассмотрен в следующей главе.
«Товары чаще обмениваются, а потому и сравниваются с другими товарами, а не с трудом... К тому же большинство людей лучше понимают, что означает определенное количество какого-нибудь товара, чем определенное количество труда. Первое представляет собой осязательный предмет, тогда как второе - абстрактное понятие, которое хотя и может быть объяснено, но не отличается такой простотой и очевидностью».
Смит А. Исследование о природе и причинах богатства народов (1776).
§ 3 Управление экономикой
Каково место управления в экономической системе
Знакомство с управлением хозяйством мы завершаем рассмотрением организационно-экономических отношений. Это не случайно. Управление является производным экономическим отношением от всех звеньев системы экономических отношений.
Управление экономикой - это целенаправленное упорядочивающее воздействие на процесс общественного труда. Оно призвано организовывать, согласовывать и контролировать хозяйственную деятельность всех работников для достижения намеченных результатов.
Как же управленческие связи взаимодействуют с другими видами экономических отношений?
Управление и собственность. Если известно, что управление призвано упорядочить хозяйственную деятельность, то еще не ясно, в чьих интересах это делается. Ответ на этот вопрос позволяет выявить зависимость управления производством от собственности. Труд на предприятии всегда организуется с определенной целью - как можно лучше применить средства производства, обеспечив их собственнику надлежащий доход.
Такая зависимость управления от собственности неоднократно менялась на протяжении истории хозяйственной жизни. При определенных условиях сам собственник непосредственно руководит предприятием. В других случаях этим занимаются специально нанятые управляющие.
Связь управления с кооперацией и разделением труда. Всякий вид кооперации труда нуждается в управлении. Возьмем, например, сооружение большого жилого дома. Несомненно, что строители не смогут начать и завершить стройку, если никто не обеспечит их целенаправленную и согласованную работу. При простой кооперации труда в небольших размерах управлять хозяйством способен один человек, имеющий определенный жизненный и производственный опыт. Но с переходом от простой кооперации труда к сложной управленческая деятельность на предприятиях стала превращаться в особую профессиональную работу, требующую специальной подготовки.
Управление и рынок. В дальнейшем (см. гл. 5 и гл. 13) мы увидим, что товарнорыночное хозяйство обладает способностью к определенному саморегулированию. Подобно всякой управляющей системе, товарное производство и рынок наделены прямой и обратной связью, что позволяет им решать важную организационную задачу: что производить, как это делать и для кого создавать продукты?
Однако по ряду причин в XX в. рынок во многом утратил свое регулирующее воздействие на развитие национального хозяйства. Эти функции взяло на себя государство.
Управление хозяйством и государство. С возникновением государственного сектора национальной экономики государство впервые стало выполнять ряд важнейших задач по регулированию всей хозяйственной жизни общества.
Оно сосредоточилось на выполнении общенациональных социально-экономических задач, которые не в состоянии выполнить рынок.
Как мы видим, руководство производством находится под воздействием ряда хозяйственных условий. С их изменением управление экономикой проходит три качественно различных этапа.
Каковы этапы развития управления хозяйством
В условиях капитализма получили развитие следующие последовательно возникшие виды управленческой деятельности: 1) единоличное руководство частным предприятием его собственником; 2) управление хозяйственным объединением менеджерами; 3) руководство национальным хозяйством с помощью совокупности определенных государственных учреждений. Теперь кратко рассмотрим, какими историческими особенностями отличались эти виды управления на разных этапах истории.
Первый этап. Начальный вид единоличного управления частным предприятием достиг в XVIII-XIX вв. наибольшего развития при сложной кооперации труда в виде мануфактуры (совместного труда ремесленников, вручную выполнявших отдельные специализированные операции) и фабрики (коллективного труда работников, использующих систему машин). С самого начала этими формами хозяйства руководил сам собственник.
Известный американский экономист Дж. Гэлбрейт так охарактеризовал
управленческих работников нового типа: «В итоге мыслительным центром, определяющим действия фирмы, становится не отдельная личность, а целая совокупность ученых, инженеров и техников, специалистов по реализации, рекламе и торговым операциям, экспертов в области отношений с общественностью, лоббистов, адвокатов и людей, хорошо знакомых с особенностями вашингтонского бюрократического аппарата и его деятельности, а также посредников, управляющих, администраторов».
Гэлбрейт Дж. Экономические теории и цели общества. М., 1976.
С укрупнением масштабов фабричного производства собственники предприятий стали увеличивать численность управленческих работников. Часть из них непосредственно управляла производственным процессом (директора предприятий, начальники цехов, мастера участков и т. д.), а другие были заняты подготовкой к управлению (бухгалтеры, учетчики, секретари и др.).
Второй этап. На рубеже XIX-XX вв., когда ведущей стала акционерная форма собственности, непосредственное управление хозяйственными объединениями перешло от собственников фирм к менеджерам. Менеджер - наемный управляющий на предприятии, специалист по управлению.
Все большее усложнение современного производства потребовало развить особую отрасль знаний и умений - менеджмент.
Менеджмент - система теоретических и практических знаний о принципах, методах, средствах и формах управления производством в целях повышения его эффективности и увеличения прибыли.
Какими навыками и способностями должен обладать современный менеджер? Созданный исследователями своеобразный словесный портрет включает следующие качества? 1) способность управлять собой; 2) разумные личные ценности; 3) четкие личные цели; 4) упор на постоянный личный рост; 5) навык решать проблемы; 6) изобретательность и способность к инновациям (нововведениям); 7) высокая способность влиять на окружающих; 8) знание современных управленческих подходов; 9) способность руководить; 10) умение обучать и развивать подчиненных; 11) способность формировать и развивать рабочие группы.
При разработке бизнес-плана выполняются следующие задачи? оценивается будущее положение на рынке - возможность успешно сбывать новую продукцию;
подсчитывается величина затрат на производство новых изделий или на строительство нового завода;
предусматриваются источники денежных средств (собственные и заемные - у банка);
прогнозируется доходность предстоящего бизнеса; учитываются возможные риски и пути их уменьшения.
Научный характер деятельности менеджера проявляется в том, что он придает развитию фирмы плановый характер. На практике это регулярно происходит при организации производства новой продукции и при создании предприятия, когда составляется бизнес-план.
Бизнес-план обязательно представляется в банк, если фирма надеется получить у него денежный заем. При этом важно убедить банк в привлекательности и конкурентоспособности фирмы. В свою очередь с помощью специалистов банковское учреждение тщательно изучает бизнес-план, а в случае его одобрения строго контролирует его выполнение.
Третий этап. Во второй половине XX в. развитие управленческой деятельности связано с коренной переменой в регулировании национальной экономики во всех западных странах. В этот период экономическая и рыночная власть перешла к крупнейшим фирмам и государству. Был создан новый механизм управления национальным хозяйством: смешанное регулирование национального хозяйства, в котором принимает участие правовое государство и видоизмененный рынок. Этот довольно-таки сложный механизм будет особо рассмотрен в гл. 13.
Таким образом, мы закончили анализировать типы и виды экономических отношений. Это поможет нам во всех последующих разделах учебника рассмотреть основные формы экономики, которые различаются масштабами охвата хозяйственной деятельности.
! Краткие обобщения и выводы
1. Кооперация и разделение труда - два прямо противоположных организационноэкономических отношения. Если кооперация означает соединение работников в совместной деятельности, то разделение труда - их разъединение на различные виды работы.
2. Кооперация труда служит средством повышения производительности труда; вызывает состязательность работников; порождает дополнительно массовую производительную силу коллективного труда; экономит рабочее время и затраты на средства производства.
3. В современной экономике различаются следующие виды разделения труда: а) индивидуальная специализация; б) разделение труда на предприятии; в) обособление вида производства в отрасли; г) разделение национального производства на крупные роды; д) территориальное разделение труда внутри страны; е) международное разделение труда.
Все виды разделения созидательной деятельности служат важным средством повышения производительности труда. Они умножают умение работников; обеспечивают сбережение рабочего времени; способствуют применению машинной техники.
4. Сложная кооперация труда наилучшим способом соединяет достоинства совместной работы и разделения труда. На этой основе эффективно сочетаются специализация производства (предметная, подетальная и технологическая) с кооперированием производственной деятельности самостоятельных специализированных предприятий.
5 . Высокое качество подготовки специалистов в средних профессиональных учебных заведениях предполагает изучение ими общих гуманитарных и социальноэкономических дисциплин и дисциплин специализации. Этим обеспечивается широкая профессиональная подготовка студентов в сочетании с узкой специализацией, что соответствует требованиям современной науки, техники и производственной деятельности.
6. Кооперация и разделение труда служат предпосылками существования двух типов организации хозяйства - натурального и товарного. Если в натуральном хозяйстве замкнутая кооперация труда обеспечивает всех ее участников благами для внутреннего потребления, то специализированное товарное производство создает продукты только для продажи на рынке.
7. Натуральное хозяйство имеет застойный характер, в нем применяется универсальный немеханизированный труд, производительность труда является низкой, вследствие чего не вполне удовлетворяются традиционные потребности людей. В отличие от этого товарное хозяйство способно прогрессировать: оно основывается на разделении труда, применении машинной техники и порождает неуклонный рост выработки работников, что способствует повышению потребностей населения.
8. Всякий продукт натурального и товарного хозяйства имеет общее свойство -полезность, способность удовлетворять какую-то потребность людей. Но натуральный продукт и товар решительно различаются между собой по характеру экономических отношений между людьми. На рынке товар при обмене на равноценный продукт приобретает меновую стоимость. Основой рыночного соизмерения товаров не может быть ни их полезность, а также ни рабочее время, затраченное на производство единицы продукции. Равноценный обмен товаров достигается на рынке.
9. Управление экономикой представляет собой целенаправленное упорядочивающее воздействие на процесс общественного труда. Оно призвано организовывать, согласовывать, регулировать и контролировать хозяйственную деятельность всех работников для достижения намеченных результатов. Управленческие связи взаимодействуют с отношениями собственности, с кооперацией и разделением труда, товарно-рыночными отношениями и с государством. В условиях капитализма получили развитие следующие виды управленческой деятельности: а) единоличное руководство частным предприятием его собственником; б) управление хозяйственным объединением менеджерами; в) руководство национальным хозяйством с помощью определенных государственных учреждений.
? Задачи и вопросы на сообразительность
1. Подберите к каждому термину из левой колонки определение из правой колонки.
Л Способность товара обмениваться на равноценные блаіа
1 Кооперация труда
2. Эффект масштаба производства
3. Разделение труда
4. IIату[ >а. і ьное хозя йство Л Товарное производство
6. Меновая стоимость
Б. Хозяйство создает продукть[ для собственного потребления
В. Изготовление продуктов для продажи на рынке
Г. Форма организации совместного труда
Л Объем выпуска продукции в зависимости от размера предприятия
Е Обособление разных вндов труда
2. Приведите примеры простой и сложной кооперации труда, покажите их различия.
3. Кто, на ваш взгляд, больше полезен современному производству? а) специалист с глубокими знаниями отдельной производственной операции или б) специалист с широкой профессиональной подготовкой?
4. Сопоставьте натуральное и товарное производство по следующим основным признакам?
замкнутое или открытое хозяйство; развитое или неразвитое разделение труда; прямая или косвенная связь производства с потреблением продуктов.
При этом установите, совместимы или несовместимы между собой натуральное и товарное хозяйство.
5. Объясните, чем различаются между собой простое и развитое товарное хозяйство.
6. Тест. Натуральное хозяйство в России:
а) с 1992 г. при переходе к рынку сильно сократилось;
б) в 1992-1996 гг. в сельской местности сильно расширилось;
в) тогда же в отдельных районах страны натуральное производство было заменено товарным хозяйством.
7. Чем занимаются управленческие работники?
Глава 4 Структура микроэкономики
Мы детально рассмотрели две части системы экономических отношений: а) социально-экономические отношения, опирающиеся на собственность (гл. 2) и б) организационно-экономические отношения (гл. 3). Теперь во всех последующих разделах учебника будут проанализированы (разобраны) основные формы хозяйственной деятельности:
• микроэкономика (гл. 4-8),
• макроэкономика (гл. 9—14),
• мировое хозяйство (гл. 15).
Всем этим формам хозяйствования присущи свои особенности рассмотренных нами видов экономических отношений: а) собственности, б) кооперации и разделения труда, в) форм организации хозяйства и г) управления экономикой. В связи с этим важно понять отличительные черты микроэкономики, макроэкономики и мирового хозяйства, а также характерные для них особенности экономических отношений. Указанные формы хозяйственной деятельности различаются прежде всего по своим масштабам. Микроэкономика - это хозяйствование в малых формах (в пределах домашних хозяйств и небольших предприятий), макроэкономика - созидательная деятельность в границах страны, а мировое хозяйство охватывает экономические




взаимосвязи в глобальном масштабе.
Мы будем продвигаться далее от самых малых форм хозяйствования к планетарным. Сейчас исходными являются вопросы о том, из чего состоит микроэкономика и каковы особенности присущих ей отношений между людьми.
В состав микроэкономики входят две формы деятельности - домашние хозяйства и сравнительно небольшие предприятия.
Что считается домашним хозяйством
Мировая статистика (наука, изучающая количественные показатели развития общества) считает, что домашнее хозяйство - это совокупность лиц, которые проживают в одном жилом помещении или его части. Они могут быть как связаны отношениями родства, так и не связаны, совместно обеспечивают себя пищей и всем необходимым для жизни. То есть члены домашнего хозяйства полностью или частично объединяют и расходуют свои средства. Домашнее хозяйство может состоять и из одного человека, живущего самостоятельно.
Домашнее хозяйство - это общее хозяйство, которое ведет группа совместно проживающих людей.
|
J |
 |
|
7 ЪА% |
Покупка товаров и оплати услуг
Социальные выплаты из государственных и муииЕщпальиых бюджетов и благотворительных фондов
ПостущіеЕіие товаров и услуг it натуральной форме
Рис. 4.1. Структура фактического конечного потребления домашних хозяйств в России в 2003 г.
Как видно из диаграммы, изображенной на рис. 4.1, фактическое потребление домашних хозяйств России в конечном счете складывалось из следующих частей:
• покупки товаров и оплаты услуг (77,6 %),
• социальных выплат из государственных и муниципальных бюджетов и благотворительных фондов (15,8 %),
• поступлений товаров и услуг в натуральной форме (6,6 %).
Домашнее хозяйство - не просто потребительское объединение людей. Оно также занимается экономической деятельностью, которая приносит разнообразные доходы. К этой деятельности относятся: 1) получение доходов от продажи факторов производства (например, рабочей силы) и от имущества (арендная плата за жилье и землю, процент по вкладу денег в банк, доход от акций и др.); 2) ведение домашнего хозяйства (работа в подсобном сельском хозяйстве, покупка предметов потребления и услуг, домашнее приготовление пищи и других продуктов, потребление материальных и духовных благ); 3) воспитание подрастающего поколения; 4) «внешние» экономические связи (уплата налогов государству, получение социальных выплат от государства, экономические связи с заграницей, включая получение денежных переводов, посылок и т. п.). В гл. 8 мы подробнее ознакомимся с основными видами доходов, которые получает домашнее хозяйство.
Каковы особенности малых предприятий
Сравнительно небольшие по размерам предприятия получили наиболее широкое развитие на начальной фазе развития капитализма (в Западной Европе в XV-XVIII вв.). За последние два-три столетия эта часть микроэкономики существенно изменила весь свой облик. Основные перемены происходили по следующим направлениям.
Расширение кооперации труда. Первые шаги в микроэкономике сделали мелкие предприниматели (инициативные люди, организовавшие хозяйственную деятельность) и члены их семей. Между тем со временем с ростом производства расширялись масштабы кооперации труда, увеличивалась численность работников предприятий.
Изменения видов собственности. Наиболее характерным для предприятий микроэкономики является тип частной собственности на средства производства. Сначала преобладали (особенно в сельской местности) единоличные хозяйства, основанные на труде владельцев предприятий (крестьян и ремесленников). Со временем многие из них превратились в частные хозяйства, применявшие наемный труд. Примечателен пример США. Если в 1890 г. 80 % американцев - независимых собственников - работали на себя на своих участках, то сейчас их осталось только 10 %.
В XIX-XX вв. значительно возросло число сравнительно малых предприятий, находившихся в общей долевой собственности (товарищества, кооперативы, акционерные общества). Это укрепило хозяйственное положение мелких предпринимателей.
Средняя численность работников малого предприятия в России не превышает следующих предельных уровней: в промышленности, строительстве и на транспорте - 100 чел., в сельском хозяйстве и научно-технической сфере - 60 чел., в розничной торговле, бытовом обслуживании населения - 30 чел., в остальных отраслях хозяйства -50 чел.
Изменение места и роли в национальном хозяйстве. Мелкие хозяйства неоднократно меняли свою нишу - место наибольшего распространения - в экономике. Это происходило при переходе от одной стадии производства к другой. Так, на доиндустриальной стадии мелкие независимые собственники преобладали в сельской местности и ремесленном производстве, в начале индустриальной эпохи -на небольших промышленных предприятиях, а в постиндустриальном обществе - в сфере услуг.
Важнейшими причинами устойчивости микроэкономических хозяйств являются:
• их гибкость - быстрое приспособление к изменениям запросов потребителей;
• необходимость обслуживать небольшие объемы рыночных сделок. Примерами могут служить продажа одежды, обуви с учетом нестандартных потребностей покупателей; ремонтные работы (их проводят фирмы по ремонту часов, обуви, автомобилей); оказание личных услуг (семейного врача, адвоката, парикмахера); магазины крайне дорогих товаров для людей с очень высокими доходами (роскошные яхты, высококачественные спортивные автомобили и т. п.);
• узкоспециализированное производство комплектующих изделий для крупных сборочных заводов; сбыт продукции крупных компаний (телевизоров, холодильников, стиральных машин);
• использование современной микропроцессорной техники, которая дает большой экономический эффект и на малых предприятиях.
В высокоразвитых странах малые предприятия играют очень важную роль в экономике: они создают примерно 1/2 всего национального продукта страны. Государство оказывает малому предпринимательству помощь финансовыми (денежными) средствами, снижает налоги.
Как связаны между собой домашние хозяйства и фирмы
Составные части микроэкономики - домашние хозяйства и предприятия - скреплены системными связями, соединяющими их в единое хозяйственное целое. Такие экономические связи можно представить в виде циклических потоков. Циклический поток - это круговое движение производственных факторов, товаров и денег, которое совершается между основными хозяйственными субъектами. Каждый из этих субъектов находится в определенной зависимости друг от друга и налаживает с другими партнерами (участниками) необходимые экономические связи.
Так, домашние хозяйства располагают производственными ресурсами. Одни семьи имеют вещественные факторы производства - землю и капитал. Другие же семьи располагают рабочей силой. Все эти виды факторов производства через рынки ресурсов (рынок недвижимости, рынок ссудных капиталов и др.) приобретают фирмы.
С другой стороны, предприятия выплачивают собственникам произведенных факторов соответствующие их ценам деньги. Эти деньги образуют доход семьи. На него семьи на рынках потребительских товаров и услуг покупают необходимые им блага. Выручка от продажи полезных продуктов возвращается фирмам. Циклическое движение вновь повторяется примерно по схеме, которая изображена на рис. 4.2. Как видно на рис. 4.2, экономические связи между основными субъектами микроэкономики осуществляются через рынки двух видов. На рынках производственных факторов домашние хозяйства, будучи владельцами ресурсов и их поставщиками, действуют как продавцы. А фирмы, несущие определенные издержки производства, выступают в качестве покупателей. Наоборот, на рынках потребительских товаров и услуг домашние хозяйства становятся покупателями продуктов, расходуя свои доходы. Предприятия же являются продавцами, получающими за свои продукты деньги.
 |
|
Рис. 4.2. Циклические потоки между домашними хозяйствами и предприятиями |
В России в 2003 г. из всех 3895 тыс. предприятий, занятых в экономике, малые предприятия составляли только 842 тыс. В национальном хозяйстве трудились 66 млн человек, из них на малых предприятиях -7,4 млн работников.
Схема циклических потоков отражает только решающие линии взаимозависимости субъектов микроэкономики. При этом не показаны более детальные рыночные

сделки (например, внутри сектора «фирмы» не выделены поставки предприятий друг другу орудий и предметов труда). Из схемы видно, что домашние хозяйства расходуют весь свой денежный доход на потребление. Поэтому отсутствуют источники для расширения масштабов производства.
Между тем схема кругооборота ресурсов, продуктов и дохода показывает главное. Во-первых, микроэкономика может функционировать как система. Во-вторых, эта система не нуждается во внешнем управляющем воздействии со стороны государства. В-третьих, основой ее саморегулирования выступает свободный рынок. Подводя итоги рассмотрения составных частей микроэкономики и их взаимосвязей мы теперь можем определить особенности экономических отношений, пронизывающих хозяйственную деятельность на ее низшем уровне.
B чем состоят характерные черты микроэкономики
Характерные особенности разных видов экономических отношений, присущих малым формам хозяйствования, можно схематически отразить в табл. 4.1.
Таблица 4.1
Особенности экономических отношений в микроэкономике
|
Виды люшическиі отношении |
Их особенности |
|
Собственность |
Тип частной собствен пост и |
|
Кооперация и разделение груда |
Кооперация труда бея его разделения Предметная специализация предприятий |
|
Организация хозяйства |
Свободные рыночные связи |
|
Управление экономикой |
Единоличное управление предприятием |
Стало быть, специфическими для микроэкономики являются следующие типы и виды хозяйственных отношений.
Тип частной собственности. Наиболее естественной экономической основой микроэкономики является частнособственническое присвоение средств производства и результатов труда. К таким отношениям собственности относятся: а) единоличное владение тружеников - крестьян и ремесленников и б) индивидуальный капитал, предполагающий применение наемного труда.
Низшие формы кооперации и разделения труда. Для микроэкономики типичны начальные формы трудового сотрудничества: простая (без разделения работы на отдельные операции) и не очень сложная кооперация труда (со специализацией работников на выполнении отдельных видов созидательной деятельности). Общественное разделение труда между товарными хозяйствами в основном принимает форму предметной специализации (производство преимущественно одного или нескольких видов продуктов).
Свободные рыночные связи. Между обособленными и независимыми хозяйствами устанавливаются экономические отношения, свойственные свободному рынку. Каждое микрохозяйство не в состоянии самостоятельно устанавливать рыночные цены.
Единоличное управление хозяйством. Сравнительно небольшие размеры хозяйств в микроэкономике предопределяют то, что ими управляют сами собственники.
Предприятия микроэкономики никогда не были в неизменном состоянии.
Дальнейшее их развитие в качественном и количественном отношении особенно ускорилось на рубеже XIX-XX вв. В связи с этим важно выяснить, в чем и как проявились эти прогрессивные перемены.
Как возникли крупные предприятия
XX столетие ознаменовалось широкомасштабным переходом от малых предприятий, которые можно было бы образно назвать «лилипутами», к гигантским предприятиям, которые были своеобразными «Гулливерами». Такой переход проходил по следующим направлениям.
1. Повышение уровня концентрации и централизации производства.
В начале ХХ в. индустриальное производство перешло на новую техническую базу, связанную с электрификацией национального хозяйства, широким использованием двигателей внутреннего сгорания (автомобилей, самолетов) и др. Это позволило решительно преодолеть узкие границы малых предприятий, которые использовали технику «века пара», созданную во время первой промышленной революции. Начался невиданный ранее процесс концентрации производства (укрупнения размеров предприятий).
Такая концентрация подтолкнула процесс централизации производства - увеличение размеров фирм путем объединения нескольких предприятий. Централизация производства приняла следующие формы:
K горизонтальную, когда группируются предприятия с однородной технологией (например, создается объединение автомобильных заводов);
• вертикальную - при комбинировании (соединении) предприятий предшествующей и последующей технологических ступеней. Скажем, на металлургических, химических, текстильных комбинатах продукты одного специализированного производства служат сырьем и полуфабрикатами для других стадий переработки;
• диагональную, когда соединяются предприятия разных отраслей, не связанные между собой технологически. Так возникают конгломераты, которые позволяют уменьшить риск банкротств (разорения), убытки одних подразделений возмещаются прибылями других. Примером может служить производственное объединение Энкера (Германия), в котором соединены заводы по производству пищевых продуктов, банки, пароходство и гостиницы.
2. Широкая централизация капитала и управления
Начавшееся на рубеже XIX-XX вв. укрупнение производства неразрывно связано с ускоренной централизацией капитала - ростом его размеров путем объединения капиталов или поглощения одного капитала другим. Такая централизация сопровождалась сменой типа собственности - переходом от частной собственности к общему долевому присвоению в его различных видах (товарищества, акционерного общества и др.).
О концентрации производства в начале ХХ в. говорят такие данные. В США в 1909 г. крупные фабрики с производством продукции на миллион долларов и больше составляли 1 % к общему числу предприятий.
Однако на них было занято 30 % рабочих и они производили 44 % всей промышленной продукции.
Однако централизация капитала не остановилась на возникновении акционерной формы присвоения. Наоборот. Открытые акционерные общества (продающие свои акции на рынке ценных бумаг) служат исходным пунктом для все возрастающего объединения капиталов. Можно отметить следующие ступени централизации акционерного капитала.
• Система участия. В этом случае крупный собственник капитала приобретает контрольный пакет акций (доля всех акций, позволяющая их владельцу полностью контролировать деятельность акционерного общества) основной корпорации, которая, в свою очередь, овладевает контрольными пакетами акций других дочерних компаний, в силу этого подчиненных основной корпорации.
• Холдинг-компания (держательная компания). Эта организация, объединяющая собственников акций, приобретает контрольные пакеты нескольких акционерных обществ. Это позволяет управлять подчиненными акционерными обществами для достижения общих интересов больших компаний в какой-то отрасли хозяйства.
• Траст-компания. По трасту (доверенности) своих вкладчиков эта компания проводит операции с ценными бумагами и имуществом физических и юридических лиц. В одних случаях клиенты банка поручают использовать их денежные средства (помещенные на депозитный счет) для покупки ценных бумаг. В других - они доверяют траст-компании свои ценные бумаги, с тем чтобы осуществлять с ними необходимые операции, включая участие в собраниях акционеров, и оставляют за собой только право получать дивиденды.
О том, каких невероятных размеров может достичь акционерное общество, свидетельствует такой удивительный факт. Самая крупная корпорация США «Дженерал моторс» в 1996 г. продала продукции на 168 млрд долл., а численность занятых на ней составила свыше 700 тыс. человек. В мире существует всего лишь приблизительно 20 стран, внутренний национальный продукт которых превышает ежегодный объем продаж данной фирмы.
«Так или иначе в США доминируют крупные корпорации, и есть все основания называть американскую экономику экономикой «большого бизнеса».
Макконнелл К., Брю С. Экономикс.
Наконец, вершиной объединения капиталов является финансово-промышленная группа (ФПГ). Такая группа представляет собой совокупность юридических лиц, которые действуют как основное и дочерние общества или объединяют свое имущество на основе системы участия. Сюда обычно входят промышленные предприятия, финансово-кредитные учреждения, торговые и научноисследовательские организации, конструкторские бюро. Образование и развитие финансово-промышленных групп означает создание самой мощной экономической силы, которая влияет на состояние национального хозяйства и его роль в мировой экономике. Например, в США лицо промышленности определяют 300-400 крупнейших корпораций и ФПГ, выпускающих около половины индустриальной продукции. В Японии государство активно содействовало образованию и развитию ФПГ, что помогло ей быстро занять второе место в мире по объему промышленного производства.
В XX в. централизация капитала сопровождалась коренными изменениями управления крупными хозяйственными объединениями на основе развития менеджмента (см. гл. 3).
Подытоживая сравнительный анализ крупных и мелких предприятий, можно отметить, что их сближает ряд общих признаков. К ним относятся, в частности:
• непосредственная или косвенная связь с частной собственностью на средства производства. Так, крупные фирмы, находящиеся в общей долевой собственности, образуются из частных долей имущества и могут свободно распадаться на частные владения;
• производство товаров, создаваемых на двух видах предприятий, предназначено для их продажи на общем рынке;
• одинаковыми являются некоторые формы рыночной конкуренции и др.
Между тем важно видеть сейчас и проследить в следующих главах учебника огромные расхождения между крупными и мелкими предприятиями по ряду основных признаков:
• по масштабам производства и обусловленной этим эффективности хозяйственной деятельности;
• по типам собственности;
• по степени рыночной власти (господства на рынке);
• по значению в развитии науки и технического прогресса;
• по характеру управления фирмами.
Знание этих различий позволит лучше понять особенности развития разных форм
хозяйственной деятельности.

! Краткие обобщения и выводы
1. Основными формами хозяйственной деятельности являются микроэкономика, макроэкономика и мировое хозяйство. Всем им присущи свои особенности видов экономических отношений:
а) собственности, б) кооперации и разделения труда, в) форм организации хозяйства и г) управления экономикой.
2. В состав микроэкономики входят домашние хозяйства (которые ведут семьи) и сравнительно небольшие предприятия.
3. Домашнее хозяйство - это общее хозяйство, которое ведут совместно проживающие лица. Фактическое конечное потребление домашних хозяйств в России включает: а) покупку товаров и оплату услуг; б) поступление товаров и услуг в натуральной форме; в) социальные выплаты из государственных и муниципальных бюджетов и благотворительных фондов.
4. Хозяйственная деятельность совместно проживающих людей включает: а) получение доходов от продажи средств производства; б) ведение домашнего хозяйства; в) воспитание подрастающего поколения; г) экономические связи с государством и заграницей.
5. Сравнительно небольшие по размерам предприятия получили наиболее широкое развитие на начальной фазе развития капитализма. За последние два-три столетия в микроэкономике произошли следующие существенные изменения: а) на предприятиях расширились масштабы кооперации труда; б) произошел переход от единоличной частной собственности крестьян и ремесленников к частной собственности на средства производства с применением наемного труда.
6. Мелкие хозяйства неоднократно меняли место своего наибольшего распространения: от сельского хозяйства в доиндустриальной стадии производства до небольших промышленных предприятий в начале индустриальной эпохи и до сферы услуг в постиндустриальном обществе.
7. Системные связи между домашними хозяйствами и предприятиями налажены в цикличных потоках. Домашние хозяйства поставляют фирмам производственные ресурсы. Предприятия уплачивают собственникам ресурсов деньги. На этот доход семьи покупают необходимые им жизненные средства. Выручка от продажи благ возвращается фирмам.
8. Специфическими для микроэкономики являются следующие типы и виды хозяйственных отношений: а) тип частной собственности; б) низшие формы кооперации и разделения труда; в) свободные рыночные связи; г) единоличное управление хозяйством.
9. В XX в. в микроэкономике произошли огромные структурные перемены. Быстро совершился переход от преобладающего положения мелких предприятий к ведущей роли крупных фирм. Этот переход проходил по следующим направлениям: а) резко повысился уровень концентрации и централизации производства; б) экономическая власть перешла к общей долевой собственности; в) разнообразные формы приняла централизация акционерного капитала (система участия, холдинг-компании, траст-компании, финансово-промышленные группы); г) в корне изменилось управление в акционерных обществах.
10. Крупные и мелкие предприятия имеют ряд общих признаков (связь с частной собственностью; деятельность, связанная с производством товаров на общий рынок; некоторые формы рыночной конкуренции и др.). Однако имеются огромные расхождения между этими предприятиями по масштабам производства; типам собственности; степени рыночной власти; роли в развитии науки и техники; характеру управления фирмами. Эти различия сказываются на особенностях развития разных форм хозяйственной деятельности.
? Задачи и вопросы на сообразительность
1. Объясните, когда возникла микроэкономика и как она развивалась до XXI в.?
2. Правильно ли считать, что в состав домашнего хозяйства входит только семья из близких родственников?
3. Определите, какие задачи по ведению домашнего хозяйства выполняют все члены вашей семьи.
4. Приведите примеры малых предприятий в материальном производстве и в сфере услуг.
5 . Изобразите циклические потоки между домашним хозяйством и предприятиями на примере своей или другой известной вам семьи.
6. Подберите к каждой термину из левой колонки определение из правой колонки.
А. Совокупность промышленных предприятий, банков, торговых организаций и научио-иссле-довательеких и н етитутон
] Концентрация произвол сгва
2. Центрадизаіція капитала
3. Система участия
4. ХОЛДИНГ~КОШіаі l ;:л
Г>. Траст-компания
fi. Финансово-промышленная труппа
Б. Основная корпорация приобретает контрольный : cl кет акций дочерней корпорации
В Объединение нес кол ьк юс капиталов
Г Организация проводит операции с ценными бум а га ми . но довере 111 и> ді і
Д. У кру l і j се н ие р аз мерой предо рнят ия
Е. Организация приобретает контрольные пакеты акций нескольких корпораций отрасли хозяйства
7. Если бы вы были работником промышленного министерства, то как бы вы относились к перспективам увеличения мелких и крупных предприятий?
Глава 5 Рынок
§ 1 Особенности рыночных отношений
Каковы сущность и назначение рыночных сделок
При изучении микроэкономики мы сталкиваемся с необходимостью разобраться в том, какие организационно-экономические связи устанавливаются между всеми домашними хозяйствами и предприятиями. Эти отношения складываются с учетом следующих основных признаков самых малых форм хозяйствования.
1. Все небольшие предприятия обычно сосредоточиваются на изготовлении какого-то одного вида продукции. В силу такой специализации возникает необходимость обмена между ними нужными видами полезных благ.
2. В микроэкономике, как известно, господствует частная собственность. Поэтому между владельцами домашних хозяйств и предприятий устанавливаются определенные имущественные отношения. Они отдают друг другу экономические блага не безвозмездно (как, скажем, при вручении подарка), а при условии, что потраченные ресурсы будут полностью возмещены собственнику.
3. В отношения обмена товарами вступают самостоятельные, экономически независимые физические и юридические лица. Поэтому их сделки являются свободными. Произведенный обмен участники сделки считают обоснованным и справедливым, если переданное друг другу имущество является эквивалентным, равноценным.
Рыночная сделка - это обмен разного вида благами, который их собственники совершают свободно и на равноценной возмездной основе. Описанные здесь характерные черты рыночных сделок в микроэкономике позволяют им выполнять следующие важные задачи.
Основой рыночных сделок является правило: «Дай мне то, что мне нужно, и ты получишь то, что тебе нужно».
Смит А. Исследование о природе и причинах богатства народов (1776).
• Рынок призван соединить сферы товарного производства и потребления благ. Как известно, производство постоянно поставляет на рынок нужные для потребителей полезные вещи. В свою очередь, без рынка товарное производство не может служить потреблению, а область потребления окажется без благ, удовлетворяющих запросы людей.
• Рынок выполняет роль главного контролера правильности выполнения товаропроизводителями задач: что, как и для кого созданы блага? Именно на рынке становится ясно: что нужно было создать, как это делать и кому нужна полезная вещь.
• Товарное производство экономически заинтересовывает продавцов и покупателей, создавая товарные стоимости. Рынок же проводит, так сказать, экзамен по экономике: для продавцов - доходно или убыточно продавать данные товары, для покупателей - разорительно или выгодно их приобретать?
Материальная заинтересованность членов общества в продаже и купле товаров служит причиной территориального расширения и умножения видов рыночных связей.
Почему и как изменилось рыночное пространство
Последовательное территориальное расширение рыночных отношений привело к образованию трех зон рыночного экономического пространства. Различают местный, национальный и мировой рынок.
Местный рынок - стартовая форма рыночной территории, обычно развивающаяся в пределах села, города. На доиндустриальной стадии производства местные рынки существовали в окружении преобладавшего натурального хозяйства. Из-за недостаточно развитого отраслевого и территориального разделения труда, слабого развития товарного производства местные рынки реализовывали сравнительно небольшой традиционный набор продуктов.
Национальный (внутренний) рынок образовался на индустриальной стадии производства. На этой стадии наряду с развитым товарным производством появились такие транспортные средства, которые соответствовали новым масштабам рыночного пространства. Усовершенствованные транспорт, связь и реклама помогли обеспечить выгодность реализации товаров во всех регионах страны. В итоге местные рынки стали органическими составными частями внутреннего рынка государства. Товары, выпускаемые в массовом масштабе в одном городе, стали продаваться зачастую во всех регионах страны.
В результате мощного развития крупного машинного производства, появления крупного акционерного капитала, углубления международного разделения труда и появления современных средств транспорта и связи получил развитие мировой рынок. Сейчас жители, скажем, Европы хорошо знают товары, создаваемые в США, Японии и многих других странах. Мировой рынок уже давно снабжает все государства таким сырьем, как нефть, олово, каучук, пшеница, сахар, кофе, чай. Новейшие средства связи позволяют точно знать, что происходит с ценами на товары в разных частях земного шара. Стало возможно заключать торговые сделки, покупать иностранную валюту без того, чтобы продавец и покупатель лично встречались друг с другом. Интернационализация рыночных связей привела к тому, что уровень мировых цен на товары и услуги стал важным ориентиром для хозяйственной деятельности подавляющего числа предпринимателей экономически развитых стран.
Изменения рыночного пространства серьезно затронули не только его количественное, но и качественное состояние. Первоначально местные рынки были в неразвитом - слитном, нерасчлененном состоянии. Это вполне соответствовало слабому развитию разделения труда в товарном производстве, поставлявшему для продажи сравнительно небольшое разнообразие продуктов. Но положение решительно изменилось особенно во второй половине ХХ в. Общественное разделение настолько расширилось и углубилось, что охватило не только современное товарное производство, но и рыночную сферу. В ней возникли крупномасштабные специализированные рынки, которые доводят разнообразные товары до их потребителей.
Система рынков - единая совокупность множества рынков различного назначения.
О том, насколько усложнилась структура рыночного пространства, показано на рис. 5.1.
В Древней Греции и Древнем Риме, а затем в средневековых городах Европы рынком называли торговую площадь. Она обычно располагалась в центре города и была окружена со всех сторон зданиями (там помещались ремесленные мастерские, торговые лавки, государственные учреждения и др.). Продавцы разных видов товаров располагались на рыночной площади в определенных, традиционно закрепленных за ними местах.

Рис. 5.1. Отраслевая структура рынка
В системе рынков достаточно определенно выделяются следующие крупные отрасли:
• рынок потребительских продуктов (он подразделяется на множество подотраслей, реализующих продовольственные и непродовольственные блага, рынок жилья и
т. п.);
• рынок средств производства (здесь приобретают оборудование, транспортные средства, здания, сооружения, сырье, топливо, электроэнергию и др.);
• рынок услуг (сюда входят многообразные виды коммунального и бытового обслуживания, финансовые и страховые операции, коммерческие, социальные, культурные, духовные и иные услуги);
• рынок труда (для работодателей и наемных работников);
• рынок научных и опытно-конструкторских разработок (продуктов научных исследований, готовых для освоения в производстве);
• рынок ссудных капиталов (сфера купли и продажи временно свободных денежных средств, используемых в производственных целях);
• рынок ценных бумаг (акций, облигаций и других документов, приносящих доход);
• рынок валют (национальные и международные учреждения, через которые производятся покупка, продажа, обмен иностранных денежных единиц и денежные расчеты с другими государствами);
• рынок духовных благ (область купли-продажи продуктов интеллектуальной деятельности ученых, писателей, художников и др.).
Широкое и глубокое развитие рыночных отношений необычайно повысило их активную экономическую роль. Рынок обеспечивает производство всей совокупностью субъективных, материальных, научно-технических, интеллектуальных и финансовых условий развития. Все крупные производственные отрасли сильно зависят от специализированного рыночного воздействия. Этим не отрицается вообще значение товарного производства. Речь идет только о новом состоянии экономического организма, когда все его клетки испытывают воздействие рыночных отношений.
Какие рынки являются свободными и регулируемыми
Рыночные сделки различаются по характеру взаимодействия продавцов и покупателей. В связи с этим рынки бывают двух типов: а) свободными и б) регулируемыми.
А. На свободном рынке покупатель может выбирать интересующие его товары из множества предлагаемых ему благ. Потребитель может также отыскать тех продавцов, кто лучше обслужит и продаст продукт по сходной цене. Продавец свободен выбирать наиболее подходящего покупателя и распоряжаться вырученными от продажи деньгами по своему усмотрению. И покупатель, и продавец могут без ограничений выбирать условия торговой сделки.
Свободный рынок дает покупателю и продавцу наибольшее количество экономических свобод: в выборе товаров, условий и участников сделок.
Между тем определение «свободный рынок» требует уточнения в двух отношениях: для кого он свободен и от кого. Свободным такой рынок является для его участников. Кроме того, он свободен от вмешательства государства и строгого правового регулирования. Ради истины нужно признать, что такая свобода имеет часто весьма неприглядную сторону. Из-за своеволия субъектов рынка и несоблюдения ими «правил игры» этот тип рынка получил нелестные названия -«дикий», «нецивилизованный».
О рынке, где царит беспредел и не признаются правила нравственного поведения, издавна говорилось:
Рынок - это место, нарочно назначенное, чтобы обманывать или обкрадывать друг друга.
Анахарзис, философ, VII в. до н. э.
Всё продается на рынке, кроме молчаливой осторожности и чести. Французская пословица.
Особо хвалят тот товар, который хотят поскорее сбыть с рук.
Гораций (65—8 до н. э.), римский поэт.
Чтобы лучше понять природу свободного рынка, надо иметь в виду, что товарнорыночное хозяйство таит в себе глубокое противоречие. Ведь товаропроизводитель создает продукт, а продавец сбывает его на рынке как известно, не для себя, а для других людей. При этом покупатель хочет приобрести нужную вещь, в то время как продавец думает о том, как получить больше денег от рыночной сделки. Подтверждением тому служат некоторые результаты выборочной проверки качества товаров, которую провело Минэкономразвития России (табл. 5.1).
Задачу разрешить противоречие между интересами продавцов и покупателей взяло на себя государство.
Тип свободного рынка был широко распространен в XV-XIX вв. Но в XX в. возник и стал развиваться новый тип рыночных отношений, который регулируется государством и правом.
Б. Правовое регулирование рынка означает, что для его участников устанавливают единые правила поведения. Правовые органы защищают участников рыночных сделок и наказывают виновных за нарушение правовых норм. Правовое регулирование рынка охватывает всю систему рыночных отношений. Его основу составляет Гражданский кодекс, выполняющий роль экономической конституции. В нем особое внимание уделено характеристике роли гражданско-правового договора - средства регулирования рыночных отношений.
Таблица 5.1
Качество товаров, поступивших на потребительский рынок в России в 2003 г. (забраковано и снижено в сортности, в процентах от общего объема
|
проинспектированных товаров) |
|
Виды товаров |
Отечественных товаров |
Импортных товаров |
|
Мясо BCtX В ИДО В |
10 |
23 |
|
Колбас t! ьк [одел ня |
10 |
55 |
|
Сливочное и тсшлёеэоё масло |
35 |
19 |
|
РастительЕзое масло |
16 |
25 |
|
Я&цд |
39 |
100 |
|
ШвеЙЕЗые изделия |
51 |
62 |
|
Бельевой трикотаж |
¦10 |
61 |
|
Верхний трикотаж |
,34 |
59 |
|
Автомобили |
30 |
32 |
|
Ко;каЕзая обувь |
23 |
51 |
|
Мебель |
,38 |
42 |
|
Радиоаппаратура |
61 |
45 |
|
Холодильники |
32 |
41 |
|


В соответствии с юридическими законами регулированием занимаются органы государственного контроля и управления: учреждения по санитарному, экологическому и эпидемиологическому контролю; налоговые органы; органы финансово-кредитной политики государства.
Регулируемый рынок предполагает применение государственными органами юридических норм, определяющих поведение участников рыночных сделок. Государство и право оказывают на рыночные связи внешнее по отношению к ним воздействие. Наряду с этим рыночные отношения развиваются на основе внутреннего регулирования, особо важную роль в котором играют деньги.
§ 2 Деньги и их экономическая роль
Когда и как появились деньги
В то весьма отдаленное время, когда впервые зарождался товарный обмен, перед первобытными племенами встала, казалось бы, неразрешимая задача. Как - в каких меновых соотношениях - одно племя, занятое, например, скотоводством, сможет по справедливости обменять образовавшиеся у него излишки мяса на зерно, выращенное земледельцами? Найти удовлетворительный ответ тогда было невозможно. Ведь еще не было какого-то общепризнанного эквивалента (равного по стоимости товара), с помощью которого можно измерять стоимость всех других товаров. Это то, что позже назвали деньгами.
В Гражданском кодексе Российской Федерации детально и всесторонне рассмотрены, в частности, все правовые условия рыночных сделок. Например, во второй части кодекса, в главе 30 «Купля-продажа» урегулированы следующие условия и обязательства розничной купли-продажи товаров: договор розничной купли-продажи и форма этого договора; предоставление покупателю информации о товаре; продажа товаров по образцам и с использованием автоматов; продажа товара с условием его доставки покупателю; цена и оплата товара; обмен товаров; права покупателя в случае продажи ему товара ненадлежащего
качества и др.
В истории денег можно выделить две совершенно разные эпохи. Первая - время поиска, открытия и использования подлинных, нормальных денег, обладающих стоимостью, вторая - эпоха современных денег.
Для первой из них характерны следующие черты. Это была эпоха товарных эквивалентов (так называемых «товарных денег»). Сначала - при зарождении товарного производства - возник случайный обмен одной полезной вещи на другую. Как правило, этот обмен был одноразовым, однако со временем стала развиваться бартерная торговля (регулярный обмен товара на товар).
Затем в разных странах возникли местные эквиваленты - товары, пользующиеся широким и постоянным спросом. Скажем, на Руси это были меха семейства куньих (куница, соболь и др.), в Древней Греции и Древнем Риме - скот, в Абиссинии -соль, в Монголии - чай.
Потребовалось примерно 7 тыс. лет для того, чтобы, наконец, был найден единственный, всеми народами признанный всеобщий эквивалент - золотые деньги. Открытие таких денег - это событие, которое имело не меньшее значение, чем, допустим, появление письменности. Рынок приобрел «свой язык, свою письменность» - стал изъясняться коротко и ясно на языке денег.
Что такое золотой стандарт
В XVII-XIX вв. наступило время золотого стандарта (стандарт - образец, эталон). Тогда в качестве денег использовались золотые монеты или денежные знаки (бумажные деньги), которые можно было обменять на золото.
Золотой стандарт - использование золота в качестве денежного товара, играющего роль всеобщего эквивалента.
|
При золотом стандарте деньги выполняли все свойственные им функции (назначения, роль), указанные на рис. 5.2. |
|
Функции денег |
|
|
|
|
|
1 |
|
|
|
|
|
Мера стон мости |
|
Средство
обращения |
|
Средство
образования
сокровищ |
|
Средство
платежа |
|
Мировые
деньги |
|
Рис. 5.2. Функции денег в условиях золотого стандарта В первую очередь деньги выполняют функцию меры стоимости: измеряют стоимость всех товаров. Стоимость вещи, выраженная в деньгах, - ее цена. Для определения цены продуктов сами деньги не требуются, поскольку продавец и покупатель товара устанавливают его цену мысленно (идеально определяет стоимость в деньгах).
Цены товаров выражаются в известном количестве денежного товара - золота. Количество золота (масса) измеряется его весом. Определенное весовое количество золота принимается за единицу его массы. Это количество золота, устанавливаемое государством в качестве денежной единицы, называется масштабом цен. Масштаб цен и его кратные части служат для измерения массы золота. Все цены товаров выражались в определенном количестве денежных единиц, или, что одно и то же, в определенном количестве весовых единиц золота. Так, в России денежной единицей стал рубль, весовое количество золота которого в 1897 г. было определено в 0,774254 г.
В функции средства обращения деньги выступают в качестве посредника в обмене товаров на деньги. В данном случае деньги не задерживаются долго в руках покупателей и продавцов и переходят из рук в руки, выполняя рассматриваемую функцию мимолетно. Это обстоятельство позволило в конечном счете заменить полноценные деньги неполноценными. Эта практика в дальнейшем привела к выпуску чисто номинальных, условных знаков стоимости, - бумажных денег в качестве заменителей металлических монет.
В 1873 г. английскому исследователю Центральной Африки Верни Камерону нужно было приобрести лодку. На рынке в Кавеле, на берегу озера Танганьика, он нашел нужное судно. Но деньги здесь еще не использовались, и хозяин лодки требовал за нее слоновую кость, которой у Камерона не было. Поэтому ему пришлось совершить ряд сделок. У Камерона была медная проволока, он обменял ее на сукно, затем сукно - на слоновую кость. Только после этого он получил лодку. Если продавец получает за свой товар деньги, однако сразу же не расходует их на покупку нужных ему вещей, то процесс обращения прерывается. Тогда золотые монеты начинают выполнять функцию средства образования сокровищ: они накапливаются в качестве воплощения богатства вообще. Функцию сокровища могут выполнять слитки и изделия из золота.
При продаже товаров в кредит (в долг с отсрочкой платежа) деньги выполняют функцию платежного средства. Ими расплачиваются за ранее приобретенный товар, когда наступает срок погашения задолженности.
Долговые обязательства порождают новую форму денег - кредитную.
Производитель, продавший товар в долг, получает от покупателя вексель (долговое обязательство). Последний можно использовать вместо денег, чтобы расплатиться за вещь, купленную у третьего лица. Однако векселя используются ограниченно, поскольку они даются под залог имущества собственника. Прочные гарантии стали обеспечивать банки, которые обменивали векселя частных лиц на банкноты (или банковские билеты) с определенной выгодой для себя.
В международной торговле осуществляется функция мировых денег: золото стало выступать в роли всеобщего эквивалента в хозяйственных взаимоотношениях всех стран.
Однако после мирового экономического кризиса 1929-1933 гг. произошло колоссальное обесценение бумажных денег, которые, естественно, перестали обменивать на золотые монеты. В результате золотой стандарт внутри государств перестал существовать. С декабря 1971 г. прекратился расчет между странами по долговым обязательствам с помощью золота. Так завершилась эпоха товарных денег. На смену им пришли современные бумажные деньги. Это привело к изменению сущности, назначения и вида денег.
Современные деньги: в чем их особенности
Современные денежные средства отличаются от товарных (особенно золотых) денег рядом особенностей.
1. Товарные деньги имели действительную стоимость, поскольку на них затрачивалось эквивалентное количество труда. Нынешние бумажные деньги, по сути дела, не имеют внутренней стоимости. Этот знак стоимости никак не соответствует затратам на его изготовление. Например, в Англии каждая напечатанная банкнота достоинством в несколько фунтов стерлингов обходится государству в 2 пенса (0,02 фунта стерлингов). В 1994 г. создание денежной купюры достоинством в 10 000 руб. обходилось нашему государству в 25 руб.
2. Как известно, товарные деньги по своей природе были естественным эквивалентом покупаемых на них товаров. Но современные денежные средства не соответствуют этой экономической природе. Сейчас под стоимостью денег подразумевается то количество товаров и услуг, которое можно обменять на денежную единицу (рубль, доллар и др.). Но такое определение, скорее всего, не раскрывает сути дела. Неясно, пожалуй, главное. Почему же на бумажные деньги (не обеспеченные золотом и чем-либо вообще) сейчас можно приобрести любой товар, купить даже золотые вещи?
Вся искусственность современных денег состоит в том, что они представляют собой долговые обязательства государства, банков, сберегательных учреждений. Эти обязательства выполняют роль денег в результате принудительно-правовых мер государства. В законодательном порядке государство подтверждает, что наличные деньги - это законное платежное средство (бумажные деньги должны приниматься при уплате долга). Иначе говоря, деньги можно условно назвать свидетельством о «праве на получение товара».
3. Как мы знаем, золотые монеты были способны нормально выполнять все свойственные им пять функций. Но отмена золотого стандарта привела к тому, что отпали две функции, которые не могут осуществляться без золота в качестве денег: средство образования сокровищ и мировые деньги. В современных условиях в определенной мере и по-своему выполняются три функции денег: мера стоимости, средство обращения и средство платежа.
4. Золотые монеты и размениваемые на золото бумажные деньги имели полную ликвидность - способность быть обмененными на товары и услуги. Ныне же денежные средства обладают разной ликвидностью, ибо с ними связаны разные долговые обязательства банков и государства. Такое различие положено в основу деления всей денежной массы на связанные между собой агрегаты.
В ст. 140 Гражданского кодекса Российской Федерации записано: «Рубль является законным платежным средством, обязательным к приему по нарицательной стоимости на всей территории Российской Федерации». Денежные агрегаты (агрегаты - присоединенные части) - виды современных денежных средств, которые применяются для денежного обращения и платежа. Они объединяют разные долговые обязательства в зависимости от степени и характера их ликвидности. Эти присоединенные части последовательно включают все менее ликвидные агрегаты, которые предназначены для сохранения ценности денег.
Современные деньги - долговые обязательства государства, банков и сберегательных учреждений, которые признаны законным платежным средством.
В разных странах вся денежная масса делится на разные виды агрегатов, что во многом зависит от уровня развития кредитных отношений и денежного рынка. Наиболее распространены три денежных агрегата, которые именуются Ml, М2 и М3.
В России в М1 входят деньги, обладающие наибольшей ликвидностью (наличные деньги, вклады населения в сберегательных и коммерческих банках до востребования, чеки, средства населения и предприятий на расчетных и текущих счетах). В М2 и М3 включаются, как говорится, «почти деньги» - финансовые (денежные) средства, предназначенные для сохранения ценности (срочные вклады в сберегательных банках, облигации государственных займов и др.).
Какими будут деньги завтрашнего дня
Поток обновления денежных средств не остановился на рубеже XX-XXI вв. Он идет по следующим направлениям.
А. Путь к новым видам денег предполагает все более широкий переход от наличных денежных средств к безналичным. Сейчас в экономически развитых странах более 1/2 всего оборота денег совершается без участия наличных денег. В этом случае клиенты банка (лица, пользующиеся его услугами) производят оплату сделок, взаимные расчеты посредством перечислений денежных средств (в форме записей на их банковских счетах) с одного расчетного счета на другой.
Б. Во все возрастающих масштабах применяются пластиковые деньги. Они используются как средство платежа для безналичных расчетов за товары и услуги, а также для получения наличных денег. Платежные карточки различаются по назначению, внешнему виду, способу применения и материалу изготовления.
В качестве примеров можно назвать некоторые виды пластиковых денег:
• кредитная карточка - это именной платежно-расчетный документ в виде пластиковой пластинки, которую банк выдает своим вкладчикам для безналичной оплаты, а также для приобретения ими в кредит товаров и услуг в розничных магазинах. Карточка позволяет с помощью компьютерных устройств проводить необходимые расчеты между банком и магазином, связанные с покупкой товара;
• международная карточка предназначена для использования в качестве платежного средства не только в пределах страны, но иза рубежом;
• дисконтная карточка позволяет произвести скидку с цены товара или услуги (в установленном фирмой проценте) при оплате владельцем карточки дорогой покупки;
• дебетовая карточка - платежная карточка, помогающая получать наличные деньги в банкоматах (электронных банковских аппаратах самообслуживания), проводить безналичные расчеты.
В. Весьма перспективными являются электронные деньги. В широком смысле слова - это система денежных расчетов, которые производятся посредством использования электронной техники. Здесь имеется в виду такая схема безналичных расчетов, которая охватывает банки, предприятия розничной торговли и бытовых услуг. Граждане и предприятия получают возможность с удаленных терминалов посылать в свои банки распоряжения об оплате товаров и услуг. Расчеты осуществляются посредством компьютерной сети, систем связи с применением средств кодирования информации и ее автоматической обработки.
«Электронные деньги, которые уже окрестили Е-деньгами, представляют собой простую запись в электронном файле, хранящемся в компьютере. Развитие Интернета и широкое применение персональных компьютеров позволяют людям при осуществлении сделок вместо чеков и наличных средств использовать Е-деньги. Такими Е-деньгами можно заплатить, их можно депонировать, или «закачать», на счет получателя через Интернет, обозначив соответствующее назначение платежа: оплата по чеку, выплата пенсии, выплата дивидендов по акциям. Е-деньги можно снять, или «скачать», со счета через Интернет в оплату товаров и услуг широкого круга поставщиков».
Макконнелл К., Брю С. Экономикс.
Современные деньги имеют определенные достоинства и недостатки по сравнению с товарными деньгами. Преимущества безналичных денежных средств состоят в том, что с их помощью можно удобнее и быстрее осуществлять рыночные сделки.
Однако, будучи долговыми обязательствами государства, банков и сберегательных учреждений, новейшие денежные средства могут нормально осуществлять свои функции при решающем условии: если государство поддерживает неизменной покупательную способность. Несоблюдение этого условия приводит к инфляции.
Инфляция: что это такое
Инфляция - обесценение денег, которое вызывается превышением количества денег в обращении по сравнению со стоимостью всей суммы товаров.
Инфляция - переполнение сферы обращения денежными знаками сверх действительной потребности национального хозяйства.
Во время инфляции бумажные деньги обесцениваются по отношению к трем вещам. Во-первых, в период действия золотого стандарта инфляция выражается в повышении рыночной цены золота в бумажных деньгах. Во-вторых, аналогичный процесс ведет к возрастанию цены товаров. Иллюстрируют этот случай данные табл. 5.2.
Таблица 5.2
Средние цены на отдельные виды продовольственных товаров в России (руб. за кг) на конец года |
|
L1 рО „ДОВОДЬСТКІІ!І№ ТОЫЭ1Л! |
1990 г. |
1992 г. |
1997 г. |
2003" |
|
Говядина (кроме бескостного мяса) |
2.3 |
222 |
13 787 |
73.90 |
|
Колбаса вареная |
2.3 |
271 |
26 767 |
106.6 |
|
Молоко цельное, ва литр |
0.3 |
22 |
3627 |
13.48 |
|
Сахар-песок |
0.9 |
] 36 |
4326 |
18.34 |
|
Хлеб и хлебобулочпЕ,:? надели я на пне точной муки высшего ворта |
0.1 |
43 |
5686 |
13.69 |
|
Картофель |
0.1 |
,36 |
1871 |
7,89 |
|
Яблоки |
1.6 |
106 |
698,'і |
31.72 |
|
* В масштабе цен, действующих с 1 января 1998 г.
В-третьих, при инфляции курс национальной валюты падает по отношению к иностранным денежным единицам, которые сохранили прежнюю стоимость или обесценились в меньшей степени. В связи с этим различают: а) твердую валюту, |
устойчивую по отношению к собственному номиналу (нарицательной стоимости, обозначенной на бумажных деньгах) и б) падающую валюту, которая обесценивается по отношению к своему номиналу и к курсу других валют. В нашей стране такой процесс был наиболее заметен при сравнении рубля с долларом США. Об изменении официального курса доллара США по отношению к рублю можно судить по следующим выборочным данным (рублей к доллару США, на конец месяца):
1992 г., декабрь - 415
1993 г., декабрь - 1247
1994 г., декабрь - 3550
1997 г., декабрь - 5590
1998 г., декабрь (в масштабе цен 1988 г.) - 20,65 2000 г., декабрь - 28,16
2003 г., декабрь - 29,45
По темпам развития инфляцию подразделяют на следующие виды:
• ползучая: цены поднимаются постепенно, но неуклонно, при умеренном темпе -примерно на 10 % в год;
• галопирующая: вздорожание продуктов и услуг от 20 до 200 % в год может вызвать тяжелые экономические и социальные последствия (падение производства, закрытие многих предприятий, снижение уровня жизни населения и т. п.);
• гиперинфляция: катастрофический рост цен - на 500—1000 % и более в год. Это вызывает крах денежного обращения. Среди населения начинается так называемое «бегство от денег»: люди не желают накапливать быстро обесценивающиеся деньги и стремятся вложить их в материальные ценности.
Из сказанного видно, что для регулирования инфляционных процессов важно уметь измерять динамику цен.
Темп инфляции определяется с помощью специального статистического показателя -индекса (цифрового показателя, выражающего - обычно в процентах - динамику какого-либо явления экономики) цен.
В мировой практике широко используется индекс стоимости жизни (бюджетный индекс) - показатель степени изменения розничных цен специального набора товаров и услуг, которые входят в бюджет среднего потребителя. Для его подсчета применяется следующая процедура.
Сначала определяется «рыночная (потребительская) корзина» Это набор чаще всего употребляемых товаров и услуг. Устанавливаются совокупная цена этого набора в базовом периоде (от которого ведется отсчет измерения цен), а также суммарная цена этого же набора благ в текущем периоде. На основании полученных данных рассчитывается индекс цен по формуле
Цепа рыночной корзины ]} дазтом году
Индекс цеп = —--- * 100.
Цепа рыночной корзины в базовом году
Теперь посмотрим, какой была инфляция в последнее десятилетие XX в. в ряде стран (табл. 5.3).
В России в тот же период рост потребительских цен протекал следующим образом. В начале свободной (неконтролируемой) инфляции в 1992 г. цены подскочили в 26 раз.
Гиперинфляция продолжалась еще два года, затем пришел черед галопирующей и ползучей инфляции. В результате финансового кризиса в 1998 г. цены скачкообразно выросли в 1,8 раза. Затем темпы прироста цен стали снижаться со 120 % в 2000 г. до 15,1 % в 2002 г.
Более глубоко разбираться в причинах инфляции и мерах по ее уменьшению мы будем в гл. 12.
Таблица 5.
Индекс потребительских цен в 2002 г.
1990 г. > 100) |
|
Страны |
Индексы цен |
Страны |
Индексы цеп |
|
Великобритания |
№ |
США |
138 |
|
Герма!!ия (1999 г. — 100) |
127 |
Франция |
123 |
|
Италия |
152 |
Яплезия |
Ш7 |
|
Канада |
128 |
L Польша |
[з 1 1 рал |
|
Китай |
213 |
Румыния |
в 13-12 рала |
|
|
§ 3 Рыночная цена |


Как цена связана со спросом и предложением
Рыночную сделку можно представить в виде следующей формулы: «продавцы -товары - рыночные цены - деньги - покупатели».
Приведенной формуле можно придать более краткий вид: предложение (П) - цена (Ц) - спрос (С), или П - Ц - С.
Здесь под предложением подразумевается сумма товаров, которые продавцы готовы продать при разном уровне цены. Рыточная цена - это фактическая цена, которая связана с предложением и спросом товаров. Спрос - платежеспособная потребность, сумма денег, которую покупатели могут и намерены заплатить за нужные им блага.
Между предложением, ценой и спросом складываются такие взаимосвязи, которые носят характер экономических законов.
Экономический закон - это причинно-следственная связь между определенными явлениями. Как причины, так и следствия должны быть необходимыми, массовыми и повторяющимися связями.
Обычно экономическим законам можно придать математическое выражение, поскольку в них представлена определенная количественная связь между переменными величинами. При этом причина выступает в качестве независимой (от иных явлений) переменной. Следствие - это зависимая (от причины) переменная. Наконец, устанавливается характер зависимости между данными изменяющимися величинами.
В экономических законах может быть представлено двойное - прямое и обратное - воздействие одной переменной на другую. В таких случаях причины и следствия могут поменяться местами.
Сейчас мы разберемся с тем, как рыночная цена воздействует на индивидуальный спрос покупателя и на индивидуальное предложение продавца. В следующем параграфе будет рассмотрено обратное влияние массового спроса покупателей и массового предложения продавцов на рыночную цену.
Какова зависимость величины спроса от динамики цены
Как известно, в условиях микроэкономики на рынке участвуют частные производители товаров и покупатели. Сделки между ними, естественно, касаются очень небольшого количества товаров. В силу этого индивидуальный спрос и индивидуальное предложение не могут вообще как-то повлиять на установившуюся на рынке цену.
Таблица 5.4 Шкала спроса
|
Цена ] кг яблок, р?іі. |
L1 окупать и потопе,: купить, т |
ЦеЕза ] кг яблок.
РУб- |
11 оку пател и готов е,: купить, т |
|
2 |
25 |
ІО |
0 |
|
5 |
15 |
15 |
І |
|
Я |
9 |
20 |
2 |
Напротив, рыночная цена предопределяет индивидуальное поведение покупателя и продавца, заставляя их придерживаться общей цены на товары определенного вида. Давайте посмотрим, каков механизм (последовательность состояний и процессов) изменения спроса покупателей в зависимости от динамики рыночной цены. Предположим, на каком-то местном рынке продаются яблоки. По мере увеличения цены покупатели будут приобретать все меньшее количество яблок. Это показано на условном примере в шкале спроса (табл. 5.4).
Шкала спроса показывает, сколько товаров можно купить по различным ценам за данный период. Анализ этой шкалы позволяет легче выявить зависимость спроса от рыночной цены.
Закон спроса по цене выражает следующую количественную зависимость величины спроса (С) от цены (Ц). Чем выше рыночная цена товара, тем меньше спрос на него со стороны покупателя. Например, в России повышение цен на подписные издания в 1991-2003 гг. привело к сокращению объема подписки. Соответственно проявляется и обратная зависимость: чем ниже цена, тем больше спрос.
Данную взаимосвязь можно наглядно представить на графике. На вертикальной оси будем отражать количественные данные, касающиеся независимой переменной (причины изменений). По горизонтальной оси указываются данные относительно зависимой переменной (следствия перемен).
Русский писатель и исследователь отечественного языка Владимир Иванович Даль в «Толковом словаре живого великорусского языка» привел примечательные пословицы: «Со своей ценой на базар не ездят», «Базар цену скажет».
|
ЦсЕіа ] кг яблок, руб. |
|
20 |
' у' |
|
1,5 |
т\ |
|
ІО |
Ч-Л |
|
Я |
, 4- -1 -1
1 1 1 |? |
|
5 |
|
|
2 |
1 1 1 1 1 ^"**‘****4
'Til 1 Г |
|
|
2 -1 G 9 15 25 |
|
|
Кол ИЧ МУГПО яблок, ЙТП мгг. |
Рис. 5.3. Кривая спроса по цене
Такая количественная зависимость представлена в виде графика (рис. 5.3). По оси ординат отложены цены на яблоки. По оси абсцисс указано количество яблок, на которое предъявлен спрос. Кривая C1C2 на графике показывает, что при повышении цены платежеспособная потребность населения сокращается и, наоборот, когда цена снижается, спрос на продукты увеличивается.
Степень количественного изменения спроса в ответ на изменение динамики цен характеризует эластичность (гибкость) спроса. Под этим термином подразумевается степень изменения спроса («чувствительность» его объема) в зависимости от цены.
|
Мерой такого изменения служит коэффициент эластичности спроса (Кс): |
 |

Эластичным спрос бывает тогда, когда его величина изменяется на больший процент, чем цена. Величина эластичности спроса по цене всегда отрицательное число, ибо числитель и знаменатель дроби всегда имеют разные знаки. В США опытным путем были получены такие оценки эластичности по цене (за долгосрочный период, со знаком «минус»): канцелярские принадлежности - 0,6, бензин - 1,5, жилье - 1,9, кино - 3,9.
Неэластичный спрос проявляется, если платежеспособная потребность покупателя не чувствительна к изменению цен. Скажем, как бы ни возрастали или ни понижались цены на соль, спрос на нее неизменен. Знание коэффициента эластичности спроса имеет важное значение для прогнозирования спроса населения при изменении уровня рыночных цен.
Какова зависимость величины предложения от динамики цены
Теперь выясним, как рыночная цена воздействует на индивидуальное предложение продавцов.
Предположим, что продаются яблоки. По мере увеличения рыночной цены количество предлагаемых для продажи яблок будет Таблица 5.5
Шкала предложения
|
Цепа ] кг яблок, руб. |
L Іродал цц готоея,: продать, т |
Цена 1 кг яблок, руй. |
ИрОДДПЦЫ готопы продать, т |
|
20 |
25 |
10 |
6 |
|
15 |
15 |
Я |
А |
|
\ъ |
9 |
5 |
2 |
возрастать. Это показано на условном примере в шкале предложения (табл. 5.5). Шкала предложения показывает, сколько товаров продавцы готовы продать по разным ценам. Приводимые цифры раскрывают зависимость предложения от цены. Закон предложения по цене характеризует следующую количественную зависимость предложения (П) от уровня цены (Ц). Чем выше рыночная цена, тем больше растет предложение продуктов со стороны продавца. И наоборот: чем ниже цена, тем меньше предложение.
Закон предложения наглядно представлен на рис. 5.4.
Кривая П1П2 на графике показывает, как с ростом рыночной цены производители увеличивают объем продажи, и, наоборот, как предложение с их стороны уменьшается при снижении цены.
Степень изменения объема предложения в ответ на увеличение цены характеризует эластичность предложения. Под эластичностью предложения понимается степень его изменения в зависимости от динамики цены. Мерой этого изменения является коэффициент эластичности предложения (Кп):
Рост объема предложения, %
'п Рост пен. %
Предложение по цене бывает эластичным и неэластичным. Это различие особенно важно для производителей продукции, которые заранее прогнозируют степень эластичности новых изделий.
2 1 fi 9 15 2Л
 |
I I
Рис. 5.4. Кривая предложения по цене
Эластичным предложение становится тогда, когда его величина изменяется на больший процент, чем цена. Как показывает опыт многих стран, коэффициент эластичности предложения - при условии равновесия цен за длительный период -имеет тенденцию к возрастанию, т. е. рост цен на определенную величину в несколько большей степени вызывает увеличение производства.
Неэластичным предложение бывает, если оно не изменяется при повышении или снижении цен. Это характерно для многих товаров в краткосрочном периоде. Например, низка эластичность для скоропортящихся продуктов, которые невозможно хранить в больших количествах (скажем, клубнику). К тому же предложение слабо изменяется (по сравнению со спросом). Ведь довольно трудно переключать производство на выпуск новых изделий, перераспределять в связи с этим ресурсы для изменения количества выпускаемых товаров. Следовательно, знание динамики коэффициента эластичности предложения полезно для предвидения объема производства и продажи в зависимости от изменения цен. |
Коли ЧГСТПО Я1)ЛОК, Et т El МвС.
Когда совпадают интересы покупателей и продавцов
Итак, нам удалось выявить регулирующее воздействие рыночной цены на спрос и на предложение, а стало быть, на экономическое положение отдельных покупателей и продавцов. Нами обнаружены два варианта такого регулирования, при которых одна сторона рыночной сделки выигрывает, а другая - проигрывает.
Первый вариант. Рыночная цена возрастает, а это ведет, с одной стороны, к снижению спроса, с другой - к увеличению предложения. В результате экономический выигрыш оказывается у производителей и продавцов (они увеличивают выпуск и сбыт товаров, получая больше дохода).
Второй вариант. Цена на товары снижается, что способствует, с одной стороны, расширению спроса, а с другой - сокращению предложения. В итоге экономически выигрывают покупатели (на ту же сумму денег они приобретают больше благ). Спрашивается, есть ли третий вариант, по которому экономические интересы продавцов и покупателей совпадают?
Вернемся к рассмотренным графикам законов спроса по цене (см. рис. 5.3) и предложения по цене (см. рис. 5.4). Если одновременно совместить кривые спроса и предложения, то на графике рис. 5.5 в точке пересечения этих кривых (Р) получим равновесие спроса и предложения.
Одновременно на рис. 5.5 обнаруживаются две зоны серьезных отклонений от рыночного равновесия. Первая из них (C2 - P - П2) - это область избытка нераспроданных товаров. Ее существование наносит ущерб выгоде продавцов. Вторая зона Ini - P - C1) - область дефицита (нехватки) товаров. Из-за такой нехватки страдают интересы покупателей.
 |
2 -і (І 9 І5 25
Kai нчество яблок, п т ft мел. |
Рис. 5.5. Установление равновесного количества предложения и спроса В противовес всему этому точка равновесия P свидетельствует о единстве экономических интересов покупателей и продавцов
Если из точки P опустить перпендикуляр на ось абсцисс, то в точке Кр определим равновесное количество. Оно показывает величину товарной массы (в данном случае количество яблок), которая удовлетворяет спрос покупателей и предложение продавцов.
Проекция точки P на ось ординат - точка Цр определяет равновесную цену. Это тот уровень рыночной цены, который одинаково приемлем для участников рыночной сделки.
Все сказанное свидетельствует о том, что равновесная цена и равновесное количество обладают следующими необычными свойствами.
1. Товаров представлено на рынке не больше и не меньше, чем нужно для потребления людей. Все затраты на производство благ окупаются их продажей по равновесной цене. Следовательно, достигнутое равновесие свидетельствует о наибольшей экономической эффективности сложившейся рыночной ситуации.
2. В точке равновесия выражен и наибольший социальный эффект. За равновесную цену потребитель приобретает предельное (для его дохода) количество полезных вещей.
3. На рынке не станет ни избытка товаров (количества, которое не может быть продано при данном объеме доходов населения), ни дефицита благ.
Итак, мы выяснили, что происходит, когда рыночная цена воздействует на спрос или предложение одного из участников рыночных сделок. Каждый человек может всегда лично убедиться, что он не в силах изменить установившуюся на рынке цену. Наоборот, его поведение как покупателя или как продавца каждый раз будет зависеть от уровня рыночной цены.
Это - ясно. Но не ясно другое: неужели сама рыночная цена никогда не изменяется и является постоянной? Может ли эта цена, в свою очередь, зависеть от изменения спроса и предложения? Разумеется, изменяться отнюдь не от индивидуальных желаний человека, а от спроса и предложения очень большого числа участников рыночных сделок?
Из жизненного опыта хорошо известно, что если в массовом порядке изменяется покупательский спрос или же предложение продавцов, то соответствующим образом возрастает или понижается рыночная цена.
Теперь мы изучим количественные закономерности, которые прямо противоположны закону спроса по цене и закону предложения по цене. Речь пойдет о законах изменения рыночной цены в зависимости от массового спроса и от массового предложения. Для этого в известных графиках мы должны поменять местами причину и следствие уже рассмотренных выше рыночных процессов (см. рис. 5.3 и 5.4). Теперь независимой переменной (причиной) будет выступать массовый спрос или массовое предложение, а зависимой (следствием) - рыночная цена.
Сначала рассмотрим динамику рыночной цены в зависимости от массового спроса покупателей. При этом можно представить, что происходят, допустим, такие события:
• должен состояться важный международный матч по футболу;
• объявлено выступление популярных звезд эстрады;
• после удачной рекламы у многих людей возникло желание приобрести какую-то полезную или модную вещь.
Как массовый спрос воздействует на цену
Итак, мы будем считать независимой переменной (причиной) спрос большого числа покупателей, а зависимой (следствием) - рыночную цену. Благодаря этому можно выяснить, в какой мере массовый спрос покупателей - при прочих неизменных условиях - воздействует на рыночную цену.
Если, допустим, объем продаж товаров не увеличивается, а спрос не только не удовлетворяется, но еще и возрастает, то неизбежным следствием становится повышение уровня цены, уплачиваемой за единицу продукции. В этом случае будет действовать такая количественная зависимость между массовым спросом и ценой, которая прямо противоположна закону спроса по цене.
Значит, закон цены по спросу характеризует следующую количественную зависимость: чем больше объем массового спроса покупателей, тем выше уровень рыночной цены. И наоборот: рыночная цена снизится при сокращении спроса большого числа покупателей.

Рис. 5.6. Кривая цены по массовому спросу
Данная зависимость представлена на графике (рис. 5.6). На вертикальной оси показано увеличение объема спроса товара, покупаемого потребителями; на горизонтальной оси - увеличение уровня цены за единицу товара. Кривая ЦсЦс иллюстрирует закономерную динамику цены по массовому спросу.
Фактическим подтверждением действия закона цены по массовому спросу является сильное повышение цен на потребительские товары, что происходит, когда на рынке образуется дефицит (нехватка) продуктов при большом неудовлетворенном спросе. Опасаясь дальнейшего повышения цен, население в массовом порядке увеличивает закупки товаров, чем вызывает еще большее повышение цен. Это явление получило название инфляция спроса (повышение рыночной цены под влиянием массового спроса).
Но на рынке могут происходить совершенно иные процессы, допустим, такие:
• после очень хорошего урожая продавцам трудно продать большое количество зерновых, овощей, фруктов;
• истекает срок хранения скоропортящихся пищевых продуктов, их надо как можно быстрее продать;
• продавцы приобрели модную летнюю одежду, но к концу лета у них осталось большое количество непроданных изделий. Однако в следующем году поступят в продажу новые модели одежды. Что же делать с запасами устаревающих изделий?
В подобных случаях возникает избыток товаров и соответственно - массовое предложение со стороны продавцов. Как все это сказывается на уровне рыночной цены?
Как действует закон цены по массовому предложению
В приведенных примерах независимой переменной (причиной) будет выступать массовое предложение, а зависимой (следствием) - цена. Иначе говоря, речь пойдет о том, как - при прочих одинаковых условиях - массовое предложение продавцов влияет на рыночную цену.
Если спрос покупателей остается неизменным, то большое увеличение объема предложения (допустим, тех же яблок) отрицательно скажется на рыночной цене. Ведь в таком случае покупатели не смогут приобретать все возрастающее количество продуктов, поэтому продавцы вынуждены снизить цены. Иначе говоря, будет достигнут прямо противоположный результат по сравнению с действием закона предложения по цене.
Стало быть, закон цены по массовому предложению выражает следующую количественную зависимость: чем выше массовое предложение товаров, тем ниже уровень цены. И наоборот: рыночная цена будет расти при уменьшении массового предложения продавцов.
Эта зависимость наглядно представлена на графике (рис. 5.7). По вертикальной оси указываются величины объема определенного товара, предлагаемого продавцами.
На горизонтальной оси показано увеличение уровня рыночной цены за единицу товара. Кривая ЦпЦп показывает закономерное изменение уровня цены по массовому предложению.
|
О |
бьем предложения |
|
ІО |
- ц |
|
9 |
¦ “г |
|
Я |
|
|
7 |
. J І-? |
|
G |
- |
|
,5 |
- -i -i -j- ¦- |
|
4 |
|
|
3 |
. J J 1 1 1 i jX i i l l | i I Xv |
|
2 |
¦ 1 ТГ t i r>L[.. |
|
] |
—1 —i — |— 1—Г —1 — |— Г ¦! .......... |
|
|
] 23456789 Ш |
|
|
Цена единицы топара |
Рис. 5.7. Кривая цены по массовому предложению
На практике действие закона цены по массовому предложению проявляется при таком повышении рыночной цены, которое получило название «инфляция издержек». В этом случае имеется в виду вздорожание стоимости товаров, происходящее в результате уменьшения рыночного предложения продавцов. Причиной этого явления служит повышение уровня заработной платы, цен на сырье и другие ресурсы. При этом сокращаются объем производства в натуральном выражении и занятость (увеличивается безработица).
Возникает вопрос: есть ли на самом рынке внутренняя сила, которая способна преодолевать его неравновесное состояние (превышение спроса над предложением или наоборот) и порождать тенденцию к продаже товаров по равновесной цене? Ответ на этот вопрос мы найдем в следующей главе.
! Краткие обобщения и выводы
1. Рынок - это совокупность сделок между продавцами и покупателями, которые свободно обмениваются разными видами продукции на равноценной возмездной основе.
2. Рынок выполняет основные задачи: а) соединяет сферы товарного производства и потребления благ; б) контролирует конечные результаты производства; в) экономически заинтересовывает продавцов и покупателей в получении дохода.
3. Последовательное расширение рыночных отношений привело к образованию местных и национальных рынков, мирового рыночного пространства. В XX в. возникли крупномасштабные специализированные рынки. Современная система рынков включает крупные отрасли торговли, где продают и покупают потребительские продукты; средства производства; услуги, наемный труд; научные и опытно-конструкторские разработки; ссудные капиталы; ценные бумаги; валюту, духовные блага.
4. Свободный рынок дает покупателю и продавцу большие возможности: в выборе товаров, условий и участников сделок. Но неограниченная свобода придает рынку нецивилизованный характер. Регулируемый рынок предполагает применение государственными органами юридических норм, определяющих поведение участников рыночных сделок.
5. Первоначально деньги появились в виде товарных денег, обладающих стоимостью. В XVIII-XIX вв. наступило время золотого стандарта. Деньги выполняли функции: меры стоимости, средства обращения, средства образования сокровищ, средства платежа и мировых денег.
6. Современные деньги - долговые обязательства государства, банков и сберегательных учреждений, которые признаны законным платежным средством.
Вся денежная масса делится на денежные агрегаты, различающиеся между собой по степени и характеру их ликвидности. Стоимость таких денег определяется количеством товаров, которое можно на них купить. Свои функции (меры стоимости, средства обращения и средства платежа) эти деньги могут осуществлять нормально, если государство поддерживает неизменной их покупательную способность.
7. Рыночная сделка соединяет предложение (сумму товаров, которые продавцы готовы продать при разном уровне цены), рыночную цену (фактическую цену, связывающую предложение и спрос) и спрос (сумму денег, которую покупатели могут и намерены заплатить за нужные им блага). Между рыночной ценой, спросом и предложением существует закономерная связь, в которой причина (независимая переменная) влияет на следствие (зависимую переменную).
В микроэкономике в первую очередь рыночная цена выступает как независимая переменная, которая не может изменяться по желанию отдельного участника рыночной сделки. Напротив, рыночная цена вызывает соответствующие изменения индивидуального спроса и индивидуального предложения.
8. Закон спроса по цене выражает следующую зависимость: чем выше рыночная цена товара, тем меньше спрос на него со стороны покупателя. Эластичность спроса показывает степень изменения спроса в зависимости от цены (спрос эластичен, если он изменяется на больший процент, чем цена).
9. Закон предложения по цене характеризует следующую зависимость: чем выше рыночная цена, тем в большей мере растет предложение продуктов со стороны продавца. Эластичность предложения выражает степень его изменений в зависимости от динамики цены (эта эластичность повышается, если величина предложения повышается на больший процент, чем цена).
10. Повышение рыночной цены ведет к снижению спроса покупателей и к увеличению предложения продавцов. При уменьшении рыночной цены спрос возрастает, а предложение уменьшается, т. е. в выигрыше оказываются покупатели. Экономические интересы покупателей и продавцов совпадают, когда в точке пересечения кривых спроса и предложения устанавливается их равновесие. Этим достигается наибольшая экономическая и социальная эффективность.
I-1
|
1. Подберите к каждому термину из левой колонки определение из правой колонки. |
|
] Золотой стандарт |
Л Единая совокупность множества рынков |
|
2. Бартерная |
рал личного назначения |
|
торговля |
Б. При повышении рыночной цены спрос снижается |
|
3. Современные |
В Рынок дает наибольшее количество |
|
денежные |
зкоі іомических с вобод |
|
средства |
Г Эол ото исп о; і :-.ауетс я :і качестве де нежного то вара |
|
А. Система рынков |
Д. Обмен товара на товар |
|
Г>. Закон спроса |
Е. Долговые обязательства государства, банков |
|
но цене |
и сберегательных учрежден;:;: - законное гы а- |
|
В. Свободный рынок |
тежное средство |
|
2. Тест. Кто определяет при свободных рыночных отношениях, в каком количестве и куда должны поступать произведенные товары:
а) федеральное правительство;
б) продавцы;
в) покупатели; |
г) производители.
3. Объясните, почему современный рынок развился в сложную систему торговой деятельности.
4. Обоснуйте необходимость правового регулирования рыночных отношений.
5. Какие функции выполняют деньги в следующих случаях:
а) предприятие оплачивает поставленную ему продукцию;
б) фирма подсчитывает эффективность новой техники;
в) предприятие погашает денежную ссуду.
6. Тест. Что произойдет со спросом на товар, если рыночная цена на него поднимется:
а) спрос остается прежним;
б) спрос повысится;
в) спрос превысит предложение;
г) спрос уменьшится.
7. Графическая задача. Изобразите кривую спроса (при цене 10 тыс. руб. за изделие реализуется 15 тыс. штук, при 25 тыс. руб. - 10 тыс. штук, при 50 тыс. руб. - 5 тыс. штук) и кривую предложения (при цене 10 тыс. руб. реализуется 5 тыс. штук изделий, при цене 25 тыс. руб. реализуется 10 тыс. штук, при цене 50 тыс. руб. - 15 тыс. штук).
Необходимо определить равновесную цену и равновесное количество товаров.
Глава 6 Конкуренция и монополия
В настоящей главе мы изучим, как взаимодействуют между собой участники рынка. Существуют два основных вида взаимоотношений между продавцами и покупателями - свободная конкуренция и абсолютная (полная) монополия.
Уже первое знакомство с этими видами экономических отношений позволяет выявить их противоположность друг другу (табл. 6.1).
Таблица 6.1
Свободная конкуренция и абсолютная монополия

Нетрудно догадаться, что главное различие между свободной конкуренцией и абсолютной монополией состоит в совершенно разном отношении к рыночной власти. Этой властью обладает тот, кто в наибольшей мере овладевает рыночным пространством, устанавливает контроль над рыночными ценами, а стало быть, присваивает максимальный доход от торговой деятельности. Иначе говоря, в основе всех взаимоотношений на рынке лежит экономическая заинтересованность в приобретении «места под солнцем», а тем самым в получении выгоды от участия в рыночных сделках. Знакомиться с такими взаимоотношениями мы начнем со свободной конкуренции.
§ 1 Свободная конкуренция
Каковы признаки свободной конкуренции
Конкуренция - это соперничество между участниками рыночного
хозяйства за лучшие условия производства, купли и продажи товаров.
Она порождается объективными условиями: полной хозяйственной обособленностью каждого участника рынка, его зависимостью от хозяйственной конъюнктуры (текущего состояния экономики в определенный период) и противоборством с теми, кто также стремится получить наибольший доход.
Как мы увидим в дальнейшем, рыночное соперничество за выживание и процветание принимает разнообразные формы.
По масштабам конкуренция может быть:
• индивидуальной (один участник рынка стремится выбрать наилучшие условия купли-продажи товаров и услуг);
• массовой (в соперничестве принимают участие многие товаровладельцы на местном или национальном рынке);
• международной (предприятия и государства борются на мировом рынке).
По характеру конкуренция делится: 1) на свободную и 2) регулируемую.
По методам ведения рыночное соперничество делится: 1) на ценовое (рыночные позиции соперников подрываются посредством снижения цен) и 2) неценовое (победу одерживают путем повышения качества продукции, лучшего обслуживания покупателей и т. п.).
Мы рассмотрим особенности состязательности на рынке в условиях микроэкономики. Речь пойдет о свободной конкуренции. Что она собой представляет?
Свободная конкуренция означает, во-первых, что на рынке имеется множество независимых товаровладельцев, самостоятельно решающих, что создавать и в каких количествах. Во-вторых, никем и ничем не ограничен доступ на рынок и такой же выход из него всех желающих. Каждый гражданин может стать свободным предпринимателем и применять свой труд и материальные средства в интересующей его отрасли хозяйства, без всяких ограничений продавать свои продукты на рынке. Покупатели же должны быть свободны от всякой дискриминации (умаления прав) и иметь возможность купить товары и услуги на любом рынке. В-третьих, предприятия никак не участвуют в контроле за рыночными ценами.
При первоначальном знакомстве с конкуренцией можно предположить, что свободное соперничество вносит в рыночные отношения полную неорганизованность, беспорядок. В значительной мере это соответствует стихийному развитию рынка. Между тем во всех существующих видах конкуренции в большей или в меньшей мере соблюдаются писаные или, скорее всего, неписаные правила рыночного соперничества.
Индивидуальная конкуренция: по каким правилам она ведется
Как известно, особенностью свободной конкуренции является то, что ее участники -мелкие товаровладельцы, ведущие борьбу с соперниками в одиночку. Никто из них, естественно, не может захватить рыночное пространство и установить для всех свою цену. Это решающее обстоятельство предопределяет правила конкурентной «игры», ведущие соперников к победе или поражению.
Первое правило. Товаровладельцы должны учитывать уровень равновесной цены (отражающей равенство спроса и предложения) как показатель рационального хозяйствования. Если, допустим, продавец установил очень высокую цену на свою продукцию, превышающую равновесный уровень, то он неизбежно столкнется с затовариванием продуктов, не нашедших сбыта. Тогда через какое-то время придется снижать цену или даже распродавать товары по ценам, приемлемым для покупателей. А это сопряжено с непредвиденными убытками.
Второе правило. Чтобы как бы «обхитрить» равновесную цену, товаропроизводитель старается затрачивать на единицу продукции меньше ресурсов и создавать товары по более низкой (по сравнению с господствующей на рынке) индивидуальной цене. Однако он продает эти изделия по общей для всех равновесной цене. В итоге образуется дополнительный доход в виде разницы между равновесной и индивидуальной ценами.
Смелые и дальновидные предприниматели, рискуя своим имуществом, делают открытия большого хозяйственного значения: изобретают и внедряют новинки техники и технологии, находят более эффективные формы организации труда и производства, способы использования ресурсов. Тем самым для всех прокладывается дорога к научно-техническому и экономическому прогрессу.
Русский писатель Александр Иванович Куприн в повести «Яма» так описал ценовую конкуренцию: «Возникли два новых пароходства, и они вместе со старыми неистово конкурировали друг с другом. В конкуренции они дошли до того, что понизили цены за рейсы с семидесяти копеек для пассажиров третьего класса до пяти, трех и даже одной копейки. Наконец, изнемогая в непосильной борьбе, одно из пароходных обществ предложило всем пассажирам третьего класса бесплатный проезд. Тогда его конкурент тотчас же к даровому проезду присовокупил еще полбулки белого хлеба».
Третье правило. При обострении борьбы соперники прибегают к методу ценовой конкуренции. Если позволяют средства, то иногда применяется демпинг - продажа продуктов по чрезвычайно низким (как их называют, «бросовым») ценам.
Добившись разорения соперника, победитель, как правило, восстанавливает прежнюю цену и скупает имущество неудачника.
B чем состоят законы массовой конкуренции
Широко распространено представление о том, что в рыночном соперничестве принимают участие только отдельные продавцы товаров. Но на самом деле в условиях микроэкономики начинается массовая конкуренция, захватывающая всех участников рынка. Такая конкуренция разгорается при значительном отклонении рыночной цены, спроса и предложения от их равновесного состояния. Это происходит, как известно (см. рис. 5.5), когда образуется избыток нераспроданных товаров или их дефицит.
«Война всех против всех» на рыночной арене имеет следующие особенности.
Прежде всего в ней участвует так называемая «критическая масса» участников рынка. Речь идет о таком числе собственников товаров и денег, которые могут -через массовый спрос и массовое предложение - воздействовать на уровень рыночной цены.
Массовая конкуренция отличается еще и тем, что конкурентное сражение ведется, образно говоря, на трех фронтах:
среди продавцов, которые стремятся выгодно продать товар и одновременно не упускают возможности «отбить» покупателей у своих соперников; среди покупателей, которые заинтересованы приобрести продукты по выгодной цене и вместе с тем готовы потеснить других претендентов на нужный им товар.
Наконец, главный фронт «сражения» проходит между армией продавцов и армией покупателей, стоящих на противоположных позициях в отношении уровня цены. Первые стремятся продать свои изделия подороже, а вторые - купить вещи по низким ценам. Теперь стоит задуматься над вопросом: кто же выиграет сражение? Многовековой опыт рыночного противоборства учит следующему. Одерживает верх та армия, которая больше сплочена и способна навязать противнику свою цену. Преследуя общие интересы, победители в течение определенного времени не конкурируют друг с другом, но затем вновь вступают в борьбу за свои частные интересы.
Какие законы рынка приводят в движение изменяющиеся цены?
В предыдущей главе мы установили закон цены по массовому спросу (см. рис. 5.6): если массовый спрос на какой-то товар возрастает, то рыночная цена повышается. Однако удорожание продукта противоречит интересам покупателей. Каждый из них начинает уменьшать свой спрос, чтобы понизить цену. Обострившаяся конкуренция среди покупателей ведет к распаду их единства. Достигнутая ранее высокая рыночная цена по спросу начинает снижаться и опускается до уровня равновесной цены.
Анализ закона цены по массовому предложению показал (см. рис. 5.7), что при расширении массового предложения рыночная цена понижается. Но удешевление продукта наносит ущерб интересам продавцов. Поэтому один за другим они начинают свертывать сбыт своей продукции, чтобы повысить цену. Усиливающаяся конкуренция среди продавцов приводит к распаду их сплоченной армии. Установившаяся ранее низкая рыночная цена по предложению постепенно повышается до уровня равновесной цены.
Итак, массовая конкуренция является рыночным регулятором, который воздействует на цены, предлагаемые продавцами и покупателями. Она устраняет избыток и нехватку товаров на рынке, а также приводит общую рыночную цену к точке равновесия.
Однако регулирующая роль свободной конкуренции ограничивается историческими рамками развития микроэкономики. Как известно, с конца XIX в. - начала XX в. начался ускоряющийся переход к крупному производству. На рынке на смену свободной конкуренции пришли занявшие господствующие позиции монополии. После анализа свободной конкуренции мы теперь можем сопоставить ее с противоположностью - абсолютной монополией.
§ 2 Абсолютная монополия
Что представляет собой монополия
В переводе с греческого языка слово «монополия» означает «один продаю». В этом термине отражена самая существенная черта взаимодействия между участниками рынка.
Монополия - крупный собственник товаров и денег, который захватывает подавляющую часть рынка в целях своего обогащения. Монополии различаются по степени охвата рыночной экономики.
Наибольшей степени охвата достигает абсолютная (полная) монополия, которая может распространяться на рыночные сделки в масштабе как отдельных частей рыночного пространства (местных и отраслевых рынков), так и всей страны. Абсолютной может быть монопсония - хозяйственная организация, скупающая у продавцов всю товарную продукцию.
B зависимости от характера и причин возникновения монополии делятся на легальные, естественные и искусственные.
1. Легальные (законные) монополии образуются на основании принятых государством законов. К ним можно отнести ряд монополистических объединений:
а) к легальным относятся монополии, основанные на патентном праве. Патентом является свидетельство, выданное правительством страны гражданину на право исключительного пользования сделанным изобретением. Срок действия патента устанавливается национальным законодательством (как правило на 15-20 лет). Обладатель патента имеет право выдавать другим лицам разрешение на использование запатентованного изобретения. B этом случае он получает определенную долю дохода от использования его изобретения;
б) к легальным относятся также монополии, возникающие на основе авторского права, согласно которому интеллектуальные собственники получают исключительное право продавать или тиражировать свои произведения в течение всей своей жизни или какого-то периода;
в) о принадлежности к легальным монополиям свидетельствуют торговые знаки
- специальные рисунки, названия, символы, которые позволяют идентифицировать
(отождествить) товар, услугу или фирму (другим лицам запрещается использовать зарегистрированные торговые знаки).
2. Естественные монополии создают собственники и хозяйственные организации, имеющие в своем распоряжении редкие и свободно не воспроизводимые элементы производства (например, редкие металлы, особые земельные участки под виноградники). К ним также могут относиться отрасли хозяйства, имеющие особо важное стратегическое значение (железнодорожный транспорт, обороннопромышленный комплекс и т. п.). Существование естественных монополий оправдывается тем, что они дают огромный экономический выигрыш от больших масштабов производства. Здесь создают товары с меньшими затратами по сравнению с расходами ресурсов, которые были бы на множестве конкурирующих между собой фирм. Естественная монополия защищена от конкуренции государством.
3. Искусственные монополии. Под этим условным названием имеется в виду объединение предприятий, которое не имеет юридической защиты от конкурентов. В целях получения собственных выгод такая монополия преднамеренно меняет структуру рынка:
• создает барьеры для вхождения на отраслевой рынок новых фирм;
• ограничивает аутсайдерам (предприятиям, которые не вошли в монополистическое объединение) доступ к источникам сырья и энергоносителям;
• создает очень высокий (по сравнению с новыми фирмами) уровень технологии;
• достигает большей эффективности производства за счет увеличения его масштабов;
• «забивает» новые фирмы хорошо поставленной рекламой.
К искусственным монополиям относятся картель, синдикат, трест и концерн.
Картель - союз нескольких предприятий одной отрасли промышленности, в котором его участники сохраняют свою собственность на средства и продукты производства, а созданные изделия сами продают на рынке; они договариваются о квоте - доле каждого в общем выпуске продукции, о продажных ценах, распределении рынков и
др.
Синдикат - объединение ряда предприятий, изготавливающих однородную продукцию; за участниками объединения сохраняется собственность на материальные условия хозяйствования, а готовая продукция сбывается как общее достояние через созданную для этого контору.
Трест - монополия, в которой создается совместная собственность группы предпринимателей на средства производства и готовую продукцию.
Концерн - союз формально независимых предприятий (обычно из разных отраслей промышленности, торговли, транспорта и банков), в рамках которого головная фирма организует финансовый (денежный) контроль за всеми участниками.
|
|
—
Монополии |
|
|
Аб еодютная |
|
Легальная I |
Естественная |
|
ИскусствЁНиая |
Рис. 6.1. Виды монополий
Итак, мы можем наглядно представить все виды монополий на рис. 6.1.
Все указанные на рис. 6.1 виды монополий получили наибольшее развитие на рубеже XIX-XX вв. Они имеют общий признак - неограниченную рыночную власть. Это означает исключительное господствующее положение на рынке одного продавца, обладающего подавляющей массой товаров. Нередко монополии получали различные льготы и привилегии (исключительные права, преимущества) со стороны государства.
Устанавливая абсолютную монополию, объединения предприятий делают это ради установления выгодных им рыночных цен.
Как монополии устанавливают рыночные цены
Абсолютные монополии коренным образом изменяют весь процесс образования рыночной цены. Во-первых, мы знаем, что небольшое предприятие не в состоянии влиять на рыночную цену. В противоположность этому монополия сама устанавливает такую цену. Во-вторых, предприятия-монополисты своеобразно используют в своих интересах законы, выражающие зависимость рыночной цены от массового предложения и от массового спроса. Здесь можно отметить три варианта монополистического ценообразования.
Первый вариант. Абсолютные монополисты в своих интересах используют закон рыночной цены по предложению (см. рис. 5.7). Они намеренно уменьшают продажу своих товаров (снижают объем предложения), чтобы создать искусственный дефицит продуктов. Нехватка товаров ведет к росту цены по предложению. Так, в 1990-е гг. нередко в России и других странах предприятия-монополисты, производящие и сбывающие бензин, резко сокращали продажу моторного топлива, с тем чтобы при повышенном спросе на него увеличить свою монопольно высокую цену.
При каждом возобновлении процедуры повышения цен монополия, разумеется, учитывает потери, которые она несет от уменьшения объема производства и продажи товаров. Чтобы перекрыть такую утрату дохода, она устанавливает новые монопольные цены на более высоком уровне. При этом крупная фирма следит, чтобы выручка от продажи меньшего количества изделий покрывала упущенную выгоду и давала возросшую сумму дохода.
Второй вариант. Абсолютная монопсония (особое монополистическое объединение), закупающая большие партии товаров у мелких производителей, своеобразно использует закон рыночной цены по спросу (см. рис. 5.6). Заранее скупая, например, сельскохозяйственное сырье по низким ценам и создавая его большие запасы, монопсония в период сбора нового урожая устанавливает низкую цену спроса на закупаемую продукцию. Такая цена дает монопсонии желаемую выгоду.
Ее выигрыш возрастает с каждым новым уменьшением монопольно низких закупочных цен, что является результатом преднамеренного создания зоны избытка сбываемой продукции.
Характерен такой пример. Монопсонии западных стран издавна закупают дешевое сырье у предпринимателей и мелких товаропроизводителей стран Азии, Африки и Латинской Америки. Низкие цены устанавливаются на ряд товаров традиционного африканского экспорта (чай, кофе, какао-бобы).
Третий вариант. Фирма, одновременно являющаяся монополией и монопсонией, удваивает свой доход посредством так называемых «ножниц цен». Речь идет о монопольно высоких и монопольно низких ценах, уровни которых удаляются друг от друга подобно расходящимся лезвиям ножниц. Такое движение цен основывается на расширении зон избытка и дефицита товаров. Оно характерно для многих предприятий обрабатывающей промышленности, которые особенно в условиях инфляции устанавливают цены на свои готовые изделия в несколько раз выше, чем увеличиваются цены в отраслях добывающей. промышленности и в сельском хозяйстве. О характере такого изменения цен можно судить на основании примерного графика (рис. 6.2).
««Монополисты не принимают цену как данную. Их можно
охарактеризовать как ценопроизводителей, ибо ...они сами выбирают как
цену, так иобъем выпуска».
Фишер С., Дорнбуш Р., Шмалензи Р. Экономика.
Уровень цен

Рис. 6.2. «Ножницы» рыночных цен
Во второй половине XX в. с расширением сферы агробизнеса в США, Франции, Великобритании и других западных странах «ножницы цен» стали одним из главных методов, с помощью которого крупные фирмы вытеснили мелких и средних фермеров из сельскохозяйственного производства.
В России «ножницы цен» использовались особенно широко в период индустриализации народного хозяйства. Государство, выполняя роль монополии и монопсонии, устанавливало относительно высокие цены на промышленные изделия и очень низкие закупочные цены на сельскохозяйственное сырье, чем нанесло большой ущерб экономике села. В 1990-х гг. такого рода «ножницы цен» не были устранены. Например, в 1994 г. цены на промышленные средства производства, выпущенные для сельского хозяйства, росли в 3 раза быстрее, чем цены на сельскохозяйственную продукцию.
Совершенно очевидно, что с помощью произвольно устанавливаемых цен монополии собирают своего рода «дань» с других предпринимателей и населения.
Чтобы удерживать столь выгодное положение на рынке, монополистические объединения экономическими и другими методами решительно расправляются с конкурентами. Назовем некоторые из этих способов.
• Хозяйственный бойкот - частичный или полный отказ от экономических связей с аутсайдерами (предприятиями, не входящими в монополистическое объединение). Монополии предлагают зависимым от них покупателям не приобретать товары других фирм, так как они якобы худшего качества.
«Пользуясь своей властью над рынком, монополии назначают более высокие цены, чем назначила бы чисто конкурентная фирма, имеющая те же издержки производства; они также могут наложить на потребителей «частный налог» и получить значительную экономическую прибыль. Таким образом, владельцы монополистических предприятий обогащаются за счет остальных слоев общества».
Макконнелл К., Брю С. Экономикс.
• Демпинг - преднамеренная продажа товаров по «бросовым» ценам с целью разорения конкурента.
• Ограничение продажи товаров самостоятельным (независимым от монополии) фирмам (например, уменьшение поставок нефти нефтеперерабатывающим заводам).
• Регулирование цен: монополисты повышают цены на продукты, сбываемые мелким собственникам, и одновременно снижают их для крупных покупателей.
• Использование финансовых средств борьбы с конкурентами (например, спекуляция ценными бумагами на фондовой бирже, о чем будет рассказано в гл. 8).
• Разорение конкурентов с помощью дозволенных законом и недозволенных средств с целью их «поглощения» и «присоединения» к монополиям. Последние используют для этого различные приемы: подделывают продукцию конкурентов, нарушают
патенты, копируют товарные и фирменные знаки, обманывают потребителей. Ведя борьбу с конкурентами, многие фирмы занимаются «промышленным шпионажем», используя для этого электронные средства, услуги «перебежчиков» с предприятий-конкурентов и т. п.). Некоторые монополии не брезгуют уголовно наказуемыми методами, вплоть до поджогов помещений соперников, террористических актов и заказных убийств.
Уже в конце XIX в. и в начале XX в. стало очевидно, что монополистические объединения разрушают нормальные для рыночной системы отношения. В ответ в демократических государствах принимались решительные меры по упорядочению взаимодействия всех участников рынка.
§ 3 Новые взаимоотношения участников рынка в XX-XXI столетиях
Почему и как государство регулирует структуру рынка
Еще на рубеже XIX-XX вв. сильно обострилось противостояние свободной конкуренции и абсолютных монополий. Оно переросло в такое их соперничество, которое напоминает спортивную борьбу, известную под названием «перетягивание каната», в которой меряются силами противостоящие друг другу группы людей.
Кто же смог одержать победу в этой схватке?
Чтобы найти правильный ответ на данный вопрос, важно учесть следующие важные обстоятельства.
1. Конкуренция и монополия не могут существовать друг без друга. С одной стороны, если производство и продажа определенного продукта захвачены монополистической группой крупных предпринимателей, получающих от этого большую выгоду, то это вызывает стремление их соперников получать тот же выигрыш. С другой стороны, внутренняя логика рыночного состязания ведет к монополии. Если какой-то предприниматель стремится победить своих соперников, то он, добившись такой цели, начинает господствовать на рынке. Одним словом, монополия порождает конкуренцию, а конкуренция - монополию.
2. Конкуренция предполагает поиск лучших способов хозяйственной деятельности, в том числе более эффективной техники, технологии и организации производства. Поэтому ее положительные качества проявляются в том, что конкурентная борьба служит двигателем экономического прогресса.
Сила конкуренции проявляется в том, что она проникает во все виды хозяйственной деятельности. Соперничество не обходит стороной даже монополии. Так, конкурентные столкновения происходят: а) внутри монополий при разделе общего дохода между монополистами; б) между монополиями за захват природных ресурсов, большего рыночного пространства и др.
Сила монополий - в их способности совершенствовать кооперацию и разделение труда, технику и технологию, получая возрастающий экономический эффект от расширения масштабов производства.
Значит, победа только конкуренции или монополии неизбежно приведет к потере указанных преимуществ.
3. В ХХ в. свободная конкуренция единоличных товаровладельцев, как известно, в основном исчерпала свои исторические возможности. Конкурирующие между собой мелкие частные товаровладельцы утратили свою былую экономическую и рыночную власть. Чтобы использовать новейшие технологии, ныне требуется намного больше денежных средств, чем имеют небольшие фирмы.
Вместе с тем абсолютные монополии, полностью исключающие конкуренцию, теперь не могут успешно хозяйствовать. Как известно, эти монополии утвердили свое рыночное господство в начале XX в. Тогда полный захват рыночного пространства давал им возможность получать монопольно высокий доход даже путем снижения объема производства. Но подобные монополии уже не могли выжить во второй половине XX в. - в условиях научно-технической революции и жесткой глобальной конкуренции. Более того, вопреки своему желанию, они оказались втянутыми в резко обострившееся соперничество с другими крупнейшими предприятиями зарубежных стран. В итоге абсолютные монополии перестали соответствовать своему названию.
Итак, мы пришли к неожиданному выводу. На рубеже XX-XXI вв. в «перетягивании каната» победителями не стали ни свободная конкуренция, ни абсолютная монополия.
4. В XX в. в западных странах государство приняло решительные меры по ликвидации и ограничению абсолютного монополизма и по поддержке конкуренции, правда, не в варианте нецивилизованного свободного рынка, а в регулируемом виде (без нарушения прав конкурентов).
Регулирующая деятельность государства проявляется: в ограничении монополизации рынка. При этом под монополизацией подразумевается не укрупнение производства, а только серьезное ограничение торговли. Так, в США в принятом в 1890 г. антитрестовском законе монополизацией рынка признано обладание рыночной долей, равной или превышающей 60 %; в запрещении слияния конкурирующих компаний. Такое объединение усиливает монополизацию и ослабляет конкуренцию. Правда, законодательство не приостанавливает процесс централизации в сфере производства (объединение предприятий в крупные фирмы или хозяйственные объединения); в запрещении установления монопольных цен (в том числе «лидерство» фирм в повышении цен и др.); в сохранении и поддержании конкуренции в цивилизованных формах (т. е. запрещены «нечестные» способы соперничества - демпинг, применение фальшивой рекламы продуктов, лекарств и косметических средств, медицинских инструментов и т. п.)
В зарубежных учебниках по экономике свободную конкуренцию часто называют «совершенная конкуренция». В одном из них данное понятие разъясняется так: «Вы уже знаете, что рынок совершенной конкуренции состоит из предприятий, которые слишком малы, чтобы оказывать влияние на рыночную цену... Подумайте, что из нижеперечисленного продается на совершенно конкурентных рынках: самолеты, алюминий, автомобили, аккумуляторы, сухие завтраки, жевательная резинка, сигареты, электроэнергия, холодильники, пшеница. В любом случае не самолеты, не алюминий и не автомобили... Из всех вышеперечисленных товаров один лишь рынок пшеницы подходит под наше строгое определение совершенной конкуренции».
Самуэльсон П., Нордхаус В. Экономика.
Любопытно, что к числу «нечестной» конкуренции в США и Англии относят использование «шпаргалок» и списывание с учебника на конкурсных экзаменах при поступлении в высшие учебные заведения. Сами законопослушные абитуриенты разоблачают такие неправомерные действия.
Значит, сейчас в промышленно развитых странах государство проводит двойственную политику в отношении монополий. С одной стороны, оно законодательно ограничило монополизацию рынка определенными рамками. С другой стороны, государство законодательно поддерживает легальные монополии и прямо контролирует деятельность естественных монополий.
B чем состоит новая роль конкуренции и монополии в ускорении технического прогресса
В ХХ в., особенно во второй его половине, произошло нечто необычное в масштабах и характере действий конкуренции и монополий. Во-первых, расширились масштабы развития конкуренции - от индивидуальной и массовой (что было характерно для свободной конкуренции) к международной. Во-вторых, одновременно в острые конкурентные сражения на внутреннем и международном рынках включились монополистические фирмы. Эти перемены объясняются рядом новых обстоятельств.
1. Научно-техническая революция ускорила совершенствование технической базы производства. В связи с этим резко усилилось соперничество, особенно в области внедрения новейших достижений техники и технологии. Оценка конкуренции стала определяться ее воздействием на развитие научных исследований и внедрение в производство их достижений.
В Уголовном кодексе Российской Федерации введено наказание за монополистические действия, «совершенные путем установления монопольно высоких или монопольно низких цен, а равно ограничение конкуренции путем раздела рынка, ограничения доступа на рынок, устранения с него других субъектов экономической деятельности, установления или поддержания единых цен» (ст. 178). В статье 180 запрещается нарушение прав легальных монополий - «незаконное использование чужого товарного знака».
2. В корне изменилась роль многих монополий в развитии науки, техники и технологии. Сейчас крупные хозяйственные объединения являются легальными монополиями и в течение определенного срока используют патентное право для обновления технологии.
3. Внедрение достижений научно-технической революции требует крупных материальных затрат. Как правило, такие затраты непосильны для мелких предприятий. В отличие от них монополии с их высокими доходами могут в своей отрасли добиться первенства в научно-техническом прогрессе. Этим они упрочивают свое преобладающее положение на рынке.
4. В последние годы важное значение приобрело участие крупных хозяйственных объединений в глобальной конкуренции, направленной на завоевание мирового рыночного пространства. Во многих странах государство оказывает национальным монополиям помощь в освоении новейших научно-технических достижений, в подготовке научных и инженерных кадров, а также обеспечивает их другими экономическими преимуществами. Ориентиром в этом отношении служит определение рейтинга в глобальной конкуренции.
Все большее сближение конкуренции и монополии вполне естественно привело к образованию необычных форм их сочетания.
Конкуренция и монополия, как они соединяются
Речь здесь не идет о сочетании свободной конкуренции и абсолютной монополии, которые полностью исключают друг друга. Имеется в виду соединение регулируемых государством и правом взаимоотношений участников рынка в необычных формах: 1) монополистической конкуренции и 2) олигополии. О новом состоянии рыночных связей дает представление табл. 6.2.
В 1990-е гг. Всемирный экономический форум (международная организация) составлял рейтинг глобальной конкуренции для 53 стран. При этом принимались во внимание следующие факторы: открытость экономики, эффективная политика государства, состояние финансов, технология, развитость инфраструктуры, менеджмент, трудовые отношения, роль экономических организаций. В 1998 г. рейтинг (место по количеству набранных очков) всемирной конкуренции был определен так: 1-е место - Сингапур, 2-е - Гонконг, 3-е - США, 4-е -Великобритания, 5-е - Канада, 6-е - Тайвань, 12-е - Япония, 18-е -Южная Корея, 22-е - Франция, 24-е - Германия, 28-е - Китай, 41-е -Италия, 50-е - Индия, 51-е - Зимбабве, 52-е - Россия, 53-е - Украина.
Таблица 6.2
Формы сочетания конкуренции и монополии |
|
Параметры состояпия рынка |
М пнопол ист ичегш г; оеі г; ур еті ция |
Олигополия |
|
Число продавцов |
Много |
Мало |
|
Барьеры Еіхода па |
Нет |
Обычно есть |
|
рЕ,:ппк и выходе из еігго |
|
|
|
Ди ффереЕЩ нация |
t-TTb |
Возможна |
|
продукта |
|
|
|
Участие фирм |
ЦеЕіа ипдиаидуализироаапппго продукта |
Нелегал Е.пый |
|
ее г?огігроле над цсЕзами |
контролируется и МОЖЕТ изменяться |
контроль |
|
Фирма, участвующая в монополистической конкуренции, создает легальную монополию, которая с помощью патентов, торговых и фирменных знаков защищается от конкурентов. Этому же способствует дифференциация (разделение на различные формы) товаров - придание им индивидуальных свойств (по качеству, форме, окраске, упаковке, условиям продажи). В итоге на рынке, где продаются однородные товары, имеется много разных конкурентов, проводящих дифференциацию своих продуктов. Они борются за качество изделий, прибегая к рекламе.
Монополистическая конкуренция - вид рыночной состязательности, в которой участвует большое число продавцов и покупателей при значительном разнообразии однородных товаров, продаваемых по разным ценам.
«Монополистическая конкуренция - довольно распространенное явление. Стоит только пробежаться вдоль полок супермаркета и вы увидите поистине ошеломляющее разнообразие хлопьев для завтраков, шампуней, свежезамороженных продуктов. Несколько сот журналов в газетном киоске являются примером монополистической конкуренции, так же, как и пятьдесят или больше марок персональных компьютеров.
Этот список можно продолжать бесконечно».
Самуэльсон П., Нордхаус В. Экономика.
Иначе монополия и конкуренция сочетаются в олигополии. Здесь сосредоточивается небольшое количество крупных фирм, которые производят и продают стандартизированные (соответствующие единым нормам и требованиям) или дифференцированные товары. Так, в США олигополию обычно образуют четыре ведущие фирмы отрасли, продающие на рынке до 60 % всей продукции.
Олигополии серьезно ограничивают проникновение конкурентов на рынок своих товаров посредством создания барьеров для больших вложений капитала в производственное оборудование, значительного эффекта от расширения масштаба производства, высокого уровня техники и технологии.
Олигополии стремятся получить наибольшие доходы путем повышения цен. Они нередко различными способами («лидерства в ценах», тайного «джентльменского соглашения») обходят антимонопольные законы и добиваются роста рыночных цен или по крайней мере поддерживают выгодные им цены.
Однако сильная конкуренция не позволяет повышать цены в течение длительного периода. В ход пускается новый способ борьбы за покупательский спрос -неценовая конкуренция. Соперничество в этом случае ведется на основе технического превосходства, высокого качества и надежности изделий, более эффективных методов сбыта, расширения видов предоставляемых услуг и гарантий покупателям, условий оплаты и других приемов. При этом учитывается усиление воздействия научных достижений на характер и качество выпускаемых изделий, а также возросшая общественная роль и значимость торговой рекламы.
Олигополия - форма сочетания монополии и конкуренции, при которой несколько крупных производителей определенного товара договариваются о повышении цен для получения наибольшего дохода. Подведя итоги процесса развития конкуренции и монополии на рубеже XX-XXI столетий, мы можем представить современное состояние взаимоотношений участников рынка. Для него характерны:
В США в 1980—1990-е гг. четыре крупнейшие фирмы имели долю в общем выпуске, например, жевательной резинки - 96 %, домашних стиральных машин - 93, электролампочек - 91, меди - 81, домашних холодильников и морозильников - 85, алюминия - 74, самолетов - 72, домашних пылесосов - 69, телефонов - 63 %.
1) сравнительно небольшие масштабы свободной конкуренции;
2) острое противоборство монополий с аутсайдерами (независимыми мелкими и средними хозяевами);
3) соперничество между крупными монополиями на национальном и мировом рынках;
4) монополистическая конкуренция и соперничество между участниками олигополии;
5) государственное ограничение монополистической деятельности и защита конкуренции в ее цивилизованных формах.
Важно подчеркнуть, что в западных странах сейчас нет крайних состояний рынка: ни свободной конкуренции, ни абсолютной монополии, охватывающей все национальное хозяйство. Иная картина наблюдается в России.
§ 4 Россия: от государственной монополии к современному конкурентному рынку
Когда и как установилась абсолютная монополия государства
История развития рыночных отношений в России была довольно-таки сложной: дважды рынок возникал и уничтожался, а теперь вновь возрождается.
В конце XIX - начале XX в. в России существовали рыночные отношения, основанные на свободном товарно-денежном обращении, что позволило ввести золотой стандарт. Однако во время Гражданской войны 1918-1921 гг. хозяйство страны пришло в такое состояние упадка и разрухи, что рыночные связи были нарушены. Рынок вновь возник весной 1921 г. Проводимая советской властью новая экономическая политика создала благоприятные условия для возрождения товарного производства и денежного обращения.
В период новой экономической политики мелкие собственники и капиталистические предприниматели получили определенную свободу производить и продавать товарную продукцию. Сложился свободный конкурентный рынок. Денежное обращение стало устойчивым, выпускались червонцы (банкноты в 10 руб.), обеспеченные золотом и товарами. Начался быстрый рост промышленности и сельского хозяйства. Но с начала 30-х годов и на десятилетия государство установило абсолютную монополию, которая опиралась на всеохватывающую рыночную власть. Оно сосредоточило в своих руках производство и продажу основной массы товаров и услуг, закупало подавляющую часть сырьевой продукции у сельскохозяйственных кооперативов. Свободное предпринимательство было запрещено, а рыночная конкуренция была заменена социалистическим соревнованием.
Централизованно установленные цены на все виды товаров и услуг неспособны обеспечить равновесное соотношение предложения и спроса. При этом не учитываются должным образом производственные затраты на изготовление товаров и покупательский спрос.
Так, со второй половины 50-х и до 90-х гг. XX в. государство систематически увеличивало размер денежной зарплаты главным образом мало- и среднеоплачиваемым рабочим и служащим. Повышались денежные доходы сельских жителей, поскольку возрастали государственные заготовительные и закупочные цены на сельскохозяйственную продукцию. Но при этом цены на товары народного потребления оставались неизменными. В итоге покупательский спрос обгонял предложение, что усиливало товарный дефицит. Полное игнорирование рыночных законов приводило к расстройству товарно-денежного обращения, к непреодолимым противоречиям между государственным производством товаров и услуг, с одной стороны, и народным потреблением, с другой.
Большой ущерб стране наносило несоответствие между запланированными пониженными ценами на средства производства и гораздо более высокими ценами на эту продукцию на мировом рынке. Продажа непомерно удешевленных ресурсов приводила к их неэкономному использованию внутри страны и к невыгодным сделкам с иностранными покупателями.
Нетрудно заметить, что, образно говоря, свободный рынок подобно бумерангу возвращается к нам, нанося при этом ощутимый экономический ущерб.
Каков путь к цивилизованному конкурентному рынку
В 1992 г., когда в России был провозглашен ускоренный переход к рыночной экономике, обнаружились большие трудности. Дело в том, что между стартом -абсолютной монополией государства и финишем - современным конкурентоспособным рынком дистанция огромного размера. Об этом дает представление табл. 6.3.
Таблица 6.3
Основные признаки абсолютной монополии и конкурентного рынка
Плановое распределение центром срелстЕі производства, p^afAcjчой силы и финансовыя средств
I L.0 п грали попал п пе установлеЕЗ не Езеиаме -пясмьге цеп
Рас прел ел тип с многих продуктов по установленным государством нормам
Монополия государства ею ітггдпей тгргоЕіле
Абсолютная! монополия государства
Продажа Еісем желающим производстве ез-езых факторов и финансовых средстЕі Еі Езе государстве ЕЗЕЗом секторе
L L.CT1E,: ocHfjEiariE,: на договоре покупателей И ГірОДаЕІЦОЕІ
Свободный выбор покупателями itcex ЕІНДОВ TOEtapOEt
Участие [to еіезяі нео коню мичеткой деятельности предприЕзимагелей
Когз курен пия нсе!х ТОВ аров ладе л ъце в
С самого начала создания рынка важно правильно определить тип рыночных отношений. Инициаторы рыночных преобразований выбрали явно ошибочный путь -переход к свободному рынку. На таком рынке его участники могут сами решать: где и что продавать, по каким ценам. В итоге возникло множество неразвитых и нецивилизованных продовольственных и вещевых рынков, на которых велась индивидуальная перепродажа отечественных и иностранных товаров. При этом далеко не всегда соблюдался надлежащий санитарно-эпидемиологический, экологический и иной контроль, а также сбывалась недоброкачественная и приобретенная незаконным путем продукция.
Еще до начала рыночных преобразований в нашей стране профессор Дж. Гэлбрейт (США) в интервью газете «Известия» 31 января 1990 г. откровенно и резко заявил: «Те, кто говорят... о возвращении к свободному рынку времен Смита, не правы настолько, что их точка зрения может быть сочтена психическим отклонением клинического характера. Это то явление, которого у нас на Западе нет, которое мы не стали бы терпеть и которое не смогло бы выжить». Наверное, учиться в этом деле разумнее всего было бы на чужих ошибках, а не на своих.
Под предлогом перехода к свободному рынку в январе 1992 г. была провозглашена либерализация цен (их освобождение от государственного контроля). На самом деле начался беспредельный рост цен: только в 1992 г. потребительские цены подскочили в 26 раз. Реформаторы утверждали, что либерализация цен создаст рынок, который начнет регулировать всю экономику, упорядочивая ее развитие. Но инфляция уподобилась сказочному джину, которого выпустили из бутылки, и он доставил массу неприятностей и бед населению.
Не случайно в середине 1990-х гг. государство вынуждено было заниматься совершенствованием рыночных отношений. В частности, были приняты следующие меры:
• усилено регулирование рыночных отношений посредством разработки множества правовых норм и законов. Это способствует переходу к регулируемому и цивилизованному рынку;
• стала решительно проводиться антиинфляционная политика. Темпы инфляции снизились с 230 % в 1995 г. до 112 % в 2003 г.
Создание рынка, соответствующего современным требованиям, предполагает осуществление ряда других мер:
• полностью развить всю систему рынков, включая рынки оптовой торговли средствами производства, недвижимости, ценных бумаг;
• усилить контроль за монополистическим ценообразованием;
• шире применять цивилизованные формы конкуренции;
• способствовать более быстрому развитию мелких и средних предприятий. Они могут создать ту необходимую массовость, которая позволяет развиваться рынку по его собственным законам.
Рассмотрение отмеченных здесь и других путей совершенствования рыночной
системы будет продолжено в других главах учебника.
! Краткие обобщения и выводы
1. Истории давно известны два основных вида взаимоотношений между продавцами и покупателями - свободная конкуренция и абсолютная монополия. Они противоположны между собой по численности продавцов и покупателей; барьерам и свободе входа на рынок и выхода из него; участию товаровладельцев в контроле над ценами.
2. Конкуренция - это соперничество между участниками рынка за лучшие условия производства, купли и продажи товаров. Свободная конкуренция предполагает: наличие на рынке множества мелких товаровладельцев; их неограниченный доступ на рынок и выход из него; неучастие частных собственников в контроле над рыночной ценой.
3. В условиях микроэкономики мелкие товаровладельцы вынуждены учитывать равновесную рыночную цену; стремятся производить товары по более низкой индивидуальной цене; ведут между собой ценовую конкуренцию.
4. При значительном отклонении рыночной цены, спроса и предложения от их равновесного состояния развивается массовая конкуренция. В ней участвует критическая масса участников рынка. Конкуренция среди массы покупателей вызывает, в конечном счете, снижение рыночной цены к уровню равновесной цены. Конкуренция среди массы продавцов заканчивается повышением рыночной цены к уровню равновесной цены. В итоге массовая конкуренция выступает регулятором рыночной цены.
5. Монополия представляет собой крупного товаровладельца, который обладает рыночной властью, используемой им для своего обогащения. Монополии различаются по степени охвата рынка (абсолютная монополия), по причинам возникновения и характеру (легальная, естественная и искусственная монополия).
6. Абсолютные монополии сами устанавливают рыночные цены (монопольно высокие, монопольно низкие и «ножницы цен»). Абсолютные монополии для укрепления своей рыночной власти применяют крайние меры в борьбе с конкурентами (хозяйственный бойкот, демпинг, ограничение продаж, маневрирование ценами и др.).
7. На рубеже XIX-XX вв. обострилось противоборство свободной конкуренции и абсолютных монополий. Свободная конкуренция уступила свое господствующее положение на рынке монополиям и более эффективным видам рыночного соперничества. Вместе с тем государство приняло законодательные меры против абсолютной монополизации рынка, за ее ограничение. Было также осуждено установление монопольных цен, поддержана конкуренция в ее цивилизованных формах.
8. В XX в. возросла роль конкуренции и монополий в ускорении технического прогресса. Возросла роль легальных монополий в научно-техническом прогрессе. Огромную роль в экономическом прогрессе во всем мире приобрела глобальная конкуренция.
9. Необычное сочетание монополий и конкуренции приняло формы монополистической конкуренции (продажа легальными монополиями большого разнообразия однородных товаров) и олигополии (несколько крупнейших товаропроизводителей тайно договариваются о повышении цен).
10. На рубеже XX-XXI вв. в экономически развитых странах нет крайних состояний рыночного взаимодействия товаровладельцев: свободной конкуренции и абсолютной монополии в масштабе национального хозяйства. В рыночном пространстве сохранились остатки свободной конкуренции среди мелких собственников, многообразные формы рыночного соперничества и частичной монополизации.
11. В 1990-х гг. в России была подорвана абсолютная монополия во внутренней и внешней торговле. Попытки возродить свободный рынок дали отрицательные результаты. Для нормализации рыночных отношений важную роль играет: создание регулируемого рынка, действующего на основе юридических норм и законов; проведение антиинфляционной политики; развитие всей системы рынков; усиление контроля за монополистическим ценообразованием; широкое развитие цивилизованных форм конкуренции.
? Задачи и вопросы на сообразительность
|
1. К терминам из левой колонки найдите соответствующие определения в правой колонке. |
|
]. Олигополий |
А. Рынок, на котором есть только один продавец |
|
2. Неделовая |
много покупателей |
|
конкуренция |
Б. Рынок, на котором цены устанавливают |
|
Я. Патент |
несколько крупным продавцов |
|
А. Монополия |
В. Соперничество за лучшее качество товаров |
|
fj. МШЮІ(О. ІНСТНЧеСКая |
н услуг |
|
конкуренция |
Г. Рынок, на котором один покупателе и много |
|
В. Монопсония |
продавцов |
|
|
Д. Право на использование или продажу |
|
|
изобретені: л. те мно. іда;іческого нон. і юст в а |
|
|
Б. Много продавцов сбывают различные разно- |
|
|
вид ноет и родственных товаров |
|
2. Найдите наиболее подходящий ответ.
Рыночная конкуренция очень важна, потому что она: а) ограничивает влияние спроса и предложения; |
б) стимулирует производителей работать эффективнее;
в) создает рынок, на котором производители могут контролировать цены.
3. Практикум. Определите достоинства и недостатки свободной конкуренции.
4. Тест. Чтобы получить больше дохода, предприятие должно:
а) повысить цену и сохранять прежний объем выпуска продукции;
б) повысить цену и увеличить выпуск изделий;
в) повысить цену и уменьшить выпуск продукции;
г) снизить цену и увеличить производство товаров;
д) снизить цену и уменьшить производство изделий.
5. Оцените роль реформирования цен.
Как введение свободных цен в России в 1992 г. сказалось:
а) на соотношении спроса и предложения;
б) на соотношении цены покупателя (выше которой он не будет платить за товар) и цены продавца (ниже которой он не продаст изделие);
в) на благосостоянии населения?
6. Какую роль играют монополии в XXI столетии в научно-техническом прогрессе: тормозят его или ускоряют внедрение его достижений в производство?
Глава 7 Экономические основы бизнеса
Рыночные отношения, которые мы рассмотрели в двух предыдущих главах, и бизнес неразрывно связаны между собой. Рыночные связи исторически предшествовали развитию предпринимательской деятельности бизнесменов, которая качественно изменила эти отношения. Поэтому знание рыночных связей позволяет понять экономические основы бизнеса.
§ 1 Коммерческое предпринимательство
Кто является бизнесменом
О бизнесмене (в буквальном смысле: деловом человеке) можно сказать прежде всего, что он является предпринимателем. Предпринимателем называют инициативного человека, который берет на себя ответственность за дела на предприятии, в организации. Под это довольно-таки широкое определение подходят люди, занимающиеся многими видами созидательной деятельности.
По своим м а с ш т а б а м предпринимательство можно подразделить на такие виды:
• индивидуальное: любая работа одного человека и его семьи (продавец газет, владелец небольшого магазина, аптеки, кинотеатра и т. п.);
• коллективное: делом занята какая-то группа людей.
По характеру деятельности предпринимательство включает несколько форм:
• некоммерческое - не связанное с продажей продукции ради обогащения (благотворительная деятельность, проводимая, скажем, культурно-просветительскими организациями);
• коммерческое - занятие, приносящее доход. Сюда входит доходная деятельность: в непроизводственной сфере (профессиональный спорт, концертная деятельность и
т. п.); в торговле (на рынке, в магазине и т. п.); в сфере услуг (например, туристический сервис, юридическая контора); на производстве (на промышленных предприятиях, в сельском хозяйстве, строительстве и др.). Именно такая коммерческая деятельность и является бизнесом.
Бизнесмен - предприниматель, который занимается коммерческой деятельностью в целях получения дохода.
Важно отметить, что понятие «коммерческая деятельность» является неоднозначным.
В одном случае речь идет о торговом деле (слово коммерция издавна означает торговлю). В более широком смысле коммерцией обозначают деятельность, связанную с получением прибыли (прироста первоначально затраченной суммы денег). В таком смысле будет рассматриваться бизнес в настоящем учебнике.
Бизнес называют коммерческим делом не случайно. Ибо тем самым подчеркивается его связь с такими рыночными отношениями, которые позволяют получать прибыль. Бизнесмен успешно ведет избранное дело, если умело и успешно осуществляет коммерческий расчет.
Что такое коммерческий расчет
Коммерческий расчет соответствует требованиям развитого рыночного хозяйства. Он предполагает осуществление следующих основных правил (рис. 7.1).
Что представляют собой основные правила коммерческого расчета?
 |
|
Рис. 7.1. Основные правила коммерческого расчета |
В статье 50 Гражданского кодекса Российской Федерации коммерческими названы организации, преследующие извлечение прибыли в качестве основной цели своей деятельности.
1. Чтобы эффективно вести хозяйственную деятельность в рыночных условиях, предприятия должны быть свободны от чьей-либо опеки, а его руководители должны обладать предпринимательской самостоятельностью. Они сами расходуют собственные или заемные деньги на покупку средств производства и заработную плату работникам. Определяют, как рационально использовать производственные факторы, какие выпускать товары, как учитывать состояние рынка, спрос покупателей.
2. Бизнесмен по собственному усмотрению реализует изготовленную им продукцию, получая при этом определенную сумму денег (ее называют сумма продаж, или валовая выручка). При сопоставлении валового дохода с расходами прежде всего проявляется забота о том, как обеспечить самоокупаемость. Израсходованные в самом начале на производство деньги должны полностью возмещаться за счет выручки, чем обеспечивается безубыточность изготовления товаров. Все бизнесмены стремятся получить также прибыль - прирост первоначально затраченной на хозяйственную деятельность суммы денег. Иначе она не имеет экономического смысла, а предприятие потерпит крах.
3. Прибыль служит источником самофинансирования. Этот доход используется для дальнейшего расширения и совершенствования производства, решения социальных проблем трудового коллектива и на иные цели. Если фирме не хватает собственных денежных средств, то она получает от банков деньги взаймы.
4. Прибыль призвана материально заинтересовать хозяев предприятия и работников в улучшении полученных результатов. Такие итоги зависят не только от производственной, но и от торговой деятельности на рынке.
5. Бизнесмен несет всю полноту экономической ответственности за конечные итоги работы. В условиях рыночной экономики собственники предприятий сами расплачиваются за допущенные ими убытки, невыполнение принятых обязательств и договоров.
Коммерческий расчет предполагает возможный риск, который связан с непредсказуемыми изменениями рыночной конъюнктуры. Против такого риска применяются два специальных средства.
• Соблюдение коммерческой тайны. Государство в законодательном порядке предусматривает правовую защиту всех видов предпринимательской тайны: производственной, торговой (с кем и на каких условиях заключены торговые сделки), финансовой, научно-технической и др.
• Страхование. Во многих странах страхованию подлежат: а) собственность (покрываются убытки от пожара, взрыва, урагана, повреждений транспорта и др.); б) несчастные случаи; в) жизнь людей (защищаются права наследников собственности умерших); г) вознаграждения за труд (возмещаются потери при производственных травмах); д) обязательства перед фирмой (ответственность работника за кражу имущества, выполнение определенных обязанностей по хозяйственным договорам). Страхованием занимаются специальные организации (государственные, акционерные и др.). Они создают и используют денежные фонды, в которые юридические и физические лица вносят установленные платежи. Затраты фирм на такие цели входят в общие издержки хозяйствования, а тем самым включаются в цену товаров (перекладываются на покупателей товаров).
Каким должен быть предприниматель
Среди молодежи широко развито стремление стать инициативным и деловым человеком. Однако закономерен вопрос: все ли люди способны стать удачливыми предпринимателями?
Прежде всего важно знать функции (назначение, обязанности) предпринимателя. Этими функциями являются:
1) ресурсная. Для любой хозяйственной деятельности необходимы объективные (средства производства) и личные (работники с достаточными знаниями и умениями) факторы. Требуются также денежные накопления;
2) организаторская. Она состоит в обеспечении такого соединения факторов производства, которое лучше всего способствует достижению поставленной цели;
3) творческая, связанная с организационно-хозяйственным новаторством. Значение этой функции для бизнеса резко возросло в условиях современного научнотехнического прогресса и развития неценовой конкуренции. Сейчас решающими условиями конкурентоспособности бизнеса являются инициатива, новаторство.
В статье 183 Уголовного кодекса Российской Федерации незаконными признаются получение и разглашение сведений, составляющих коммерческую, налоговую или банковскую тайну.
Какими же личными качествами должен обладать бизнесмен, чтобы успешно справляться с непростыми задачами предпринимательской деятельности?
Предприниматель - инициативный и деловой человек, выполняющий функции - ресурсную, организаторскую и творческую.
Вот что свойственно многим удачливым организаторам бизнеса:
• поиск возможностей и инициативность (готов к неоднократным усилиям, чтобы встретить вызов или преодолеть препятствия, меняет намеченную линию поведения, чтобы достичь цели);
• готовность к риску (предпочитает умеренный риск, осуществляет действия, чтобы уменьшить риск или контролировать результаты);
• ориентация на эффективность и качество (находит пути делать вещи лучше, быстрее и дешевле);
• вовлеченность в рабочие контакты (принимает на себя всю ответственность и идет на личные жертвы для выполнения работы, берется за дело вместе с работниками или вместо них);
• целеустремленность (ясно выражает цели, видит перспективы);
• стремление быть информированным (лично собирает сведения о клиентах, поставщиках, конкурентах);
• систематическое планирование и наблюдение (планирует, следит за хозяйственными показателями и использует их для принятия решений);
• способность убеждать и устанавливать деловые и личные связи;
• самоуверенность (стремится к независимости от правил и контроля других людей, верит в свою способность выполнять трудные задачи).
Одни из перечисленных качеств предпринимателя - врожденные свойства людей, другие - результат развития природной одаренности, а третьи - следствие обучения и практического опыта.
«...Мелкий предприниматель прославляется как человек строгой независимости. То, что эта независимость часто ограничена как в принципе, так и на практике упорной борьбой за выживание, остается незамеченным... Он может смотреть прямо в глаза любому человеку.
Остается незамеченным, что часто это только осторожность, конформизм, угодливость, даже раболепие человека, чье благополучие находится во власти его покупателей».
Гэлбрейт Дж. Экономические теории и цели общества.
Ну, а кто никак не может заниматься предпринимательской деятельностью? Специалисты выявили группы людей с отрицательными психологическими характеристиками и образно назвали их так:
• флюгер (изменяет избранному пути, не доводит до конца создание нового предприятия );
• простак (с упрощенным взглядом на сложные процессы; по его мнению, любую фирму можно создать «в два счета»);
• недотрога (мнителен и боится, что кто-то украдет его идеи);
• знайка (хорошо теоретизирует, но полностью оторван от практики);
• аккуратист (строго следит за порядком);
• философ (излишне мечтателен, топит дело в словах);
• изобретатель (настолько увлечен изобретательством, что это идет во вред предпринимательской деятельности);
• инопланетянин (не имеет соответствующих реальностям мотивов и целей для организации собственного бизнеса).
Вряд ли можно усомниться, что по своим личным психологическим и другим качествам далеко не все люди способны быть преуспевающими предпринимателями. Как показывает мировой опыт, такими бизнесменами становятся примерно 1/10 всех работающих.
Из всего сказанного еще не вполне ясно: каким образом предприниматель получает свой доход - прибыль?
§ 2 Создание новой стоимости
За счет чего бизнесмен обогащается
По-видимому, всем понятен самый простой способ обогащения бизнесмена. Его можно изобразить в виде следующей формулы:
Д - T - Д ,
Д = Д + ? Д,
где Д - авансированная стоимость, т. е. первоначально затраченная сумма денег, которая в конечном счете возвращается к ее владельцу; T - необходимые для бизнеса товары; Д - денежный доход от продажи товаров: авансированная стоимость (Д) плюс прибыль (прирост начальной стоимости) ?Д.
Иначе говоря, для начала бизнесмен должен иметь деньги, которые он пускает в «дело». На имеющуюся у него денежную сумму он покупает на рынке товары. А затем предприниматель продает товары. Но не по первоначальной, а по возросшей стоимости. При этом получает прибыль - прирост начальной суммы денег.
Здесь неизбежно возникает вопрос: как образуется дополнительная стоимость - прибыль?
Нельзя не заметить, что в приведенной формуле рассматриваются две рыночные сделки: покупка товаров (Д - Т) и их продажа (Т - Д). Поэтому в первую очередь источник происхождения прибыли, по всей видимости, надо искать в самих рыночных сделках.
Рассмотрим сначала вполне нормальный вариант сделки, когда товары продаются по равновесной рыночной цене, а спрос покупателей равен предложению продавцов. Тогда, разумеется, происходит эквивалентный (равноценный) товарно-денежный обмен, при котором не возникает никакого прироста стоимости (см. рис. 5.5).
Отсюда видно, что прирост стоимости возможен только при неэквивалентном рыночном обмене. Точнее говоря, такой прирост происходит, если возникает товарный дефицит, а спрос превышает предложение.
Прибыль может быть получена в трех случаях:
• предприниматель занимается спекуляцией: он покупает товары по одной цене (равной, допустим, равновесной цене), а продает их по более высокой цене (см. рис. 5.5);
• монополии устанавливают монопольно высокие цены; они закупают товары по монопольно низким ценам и продают готовую продукцию по более высоким ценам (см. рис. 6.2);
• торговые посредники (например, так называемые «челноки») закупают сравнительно дешевые товары, пользующиеся спросом, за рубежом (скажем, в Турции) и перепродают их по более высокой цене в России.
Здесь не имеются в виду торговые капиталисты, у которых цены складываются иначе (об этом будет сказано в гл. 8).
Итак, нажива в сфере рыночных отношений возможна далеко не всегда.
Во-первых, она происходит при образовании дефицита товаров и превышении спроса по сравнению с предложением товаров. Но известно (см. рис. 5.5), что на рынке возникают другие состояния торговых сделок - равенство спроса и предложения, а также превышение предложения над спросом.
Во-вторых, прибыль в рыночном обмене получают только отдельные, наверное, более ловкие и удачливые предприниматели. То, что один теряет, другой приобретает.
Между тем общая сумма цен всех продуктов остается прежней. Если же предприниматели, вместе взятые, попытаются нажиться за счет неэквивалентного обмена, то все они не смогут обогатиться на спекулятивной перепродаже товаров друг другу. Если, например, все бизнесмены повысят цены на изделия на 10 %, то, выступая в роли продавцов, они будут выигрывать на эти 10 %. Однако затем, попеременно становясь покупателями продуктов с возросшей ценой, они будут, разумеется, терять те же 10 %.
Все сказанное означает, что непосредственно в сфере рыночных отношений не существуют постоянные и действующие для всех предпринимателей источники прибыли.
Рынок не создает новую стоимость, а только перераспределяет стоимость, созданную в товарном производстве.
Стало быть, нам предстоит выявить ту сферу экономики, которая способна обеспечить всем бизнесменам постоянное обогащение.
Капитал: какова его экономическая сущность
Новая стоимость создается в сфере производства. В ее возникновении активную роль играет капитал .
Капитал - это стоимость, предназначенная для создания новой стоимости. Формула производственного капитала отличается от известной формулы рыночного обогащения:

СП
л т< ... л... т д\
р
где T - товары; СП - средства производства и P - рабочая сила; П - процесс создания новых товаров; T - изготовленные фирмой изделия с возросшей стоимостью; Д -сумма продаж товаров, воплощающих новую стоимость (в том числе прибыль).
Формулу производительного капитала нельзя по-настоящему понять, если ее рассматривать просто как связь между деньгами и экономическими благами. Все эти вещи связаны с определенными лицами, которые активно участвуют в создании новой стоимости. Поэтому важно выяснить состав этих лиц.
Прежде всего во всем этом деле ведущую роль играет бизнесмен. Он изначально имеет сумму денег (Д), которая расходуется на покупку факторов производства - средств и предметов труда (СП), а также рабочей силы (Р).
Если иметь в виду небольшое предприятие, то средства производства являются собственностью капиталиста. Это обстоятельство предопределяет присвоение предпринимателем результатов хозяйственной деятельности, в том числе прибыли.
При нехватке суммы денежного капитала бизнесмен берет денежную ссуду у банкира. За использование чужих денег предприниматель уплачивает банковский процент. Капиталист вступает в сделку с собственником земли и другой недвижимости (зданий, сооружений). За пользование землей он уплачивает ее собственнику ренту.
Наконец, бизнесмен нанимает работников разных профессий и специальностей, которые призваны создавать нужные товары. Социально-экономические отношения между капиталистом и наемными работниками определяют сущность процесса образования новой стоимости.
Итак, капиталистическое производство осуществляется при наличии определенной системы экономических отношений. В нее входят предприниматель, банкиры, собственники земли и наемные работники. Такая единая совокупность лиц действует в соответствии с правилами коммерческого расчета. Это означает, в частности, что все собственники факторов производства должны гарантированно (согласно правовым договорам) получать материальное возмещение своих затрат, т. е. они должны иметь свою долю от созданной на предприятии новой стоимости.
Как образуется новая стоимость
На капиталистическом предприятии одновременно совершаются два разных, однако взаимосвязанных процесса: 1) создаются новые полезные вещи и 2) увеличивается первоначально затраченная стоимость.
Еще до начала процесса производства предприниматель закупает на рынке средства производства, необходимые для создания конечных благ. Они воплощают издержки труда работников заводов, создавших средства и предметы труда. Эти издержки можно назвать старой стоимостью.
Старая стоимость - это издержки предприятий - поставщиков средств производства.
Вряд ли нужно доказывать, что бизнесмен не получит никакой выгоды от приобретения средств производства, содержащих старую стоимость. Рост капитала возможен только тогда, когда к старой стоимости будет добавлена новая стоимость. Такую стоимость непосредственно создают участники трудовой и предпринимательской деятельности на данной фирме. Поэтому новая стоимость достается работникам в виде заработной платы и бизнесмену- в форме прибыли.
Новая стоимость - прирост стоимости от трудовой и предпринимательской деятельности.
Стало быть, сейчас можно представить структуру общей величины стоимости товара, изготовленного на капиталистической фирме (рис. 7.2).
Г>00
Здания н сооружения (нанос за год)
Все эти материальные средства производства созданы на других предприятиях (машиностроительных, строительных, добывающих сырье и энергоносители). Данные факторы производства воплощают, как известно, старую стоимость.
Допустим также, что для изготовления тканей было нанято 100 работников (рабочих, техников, инженеров, управленческих работников и др.). На выплату им заработной платы затрачено за год 1200 тыс. евро.
Затем фабричные работники создают из пряжи ткань. Своим трудом они производят новую стоимость. Она составила 3000 тыс. евро.
Теперь мы можем подсчитать весь валовой (общий) доход фабрики, т. е. денежную выручку от продажи всей продукции (тыс. евро):
Стоимость средств производства, перенесенная на ткань
(старая стоимость)............................................ 6000
Новая стоимость, созданная на ткацкой фабрике................... 3000
9000
Всего
Согласно контрактам, заключенным со всеми работниками, из 3 млн евро новой стоимости им выплачивается заработная плата в сумме 1200 тыс. евро. После того как из новой стоимости вычитается заработная плата, оставшаяся сумма составляет валовую (общую) прибыль:
3000 тыс. евро (новая стоимость)
 |
Рис. 7.2. Структура стоимости товара
Теперь нам предстоит выяснить, как на практике возникает новая стоимость. Мы должны заглянуть в такие глубины предпринимательства, которые обычно скрыты под покровом коммерческой тайны от посторонних глаз. В этих целях в общей форме рассмотрим своего рода «бухгалтерию бизнесмена»: как подсчитываются расходы и доходы от производственно-коммерческой деятельности.
Возьмем, например, ткацкую фабрику. Допустим (цифры условные и обобщенные по видам затрат), предприниматель организовал строительство фабричного здания, приобрел необходимые вещественные факторы производства. Эти расходы в расчете на год составили такие суммы (тыс. евро): |
] 200 тыс. евро (;арабо
отпал плата)
I.S00
(1
ірнбыль)
; палевая
Результаты производственного бизнеса в их общем виде представлены на рис. 7.3.
 |
Рис. 7.3. Структура валового дохода предприятия
Итак, на нормально работающих предприятиях стоимость товаров (Ст) включает: а) стоимость средств производства (СП), или старую стоимость и б) новую стоимость Сн: Ст = СП + Сн.
В свою очередь, новая стоимость распределяется на: а) заработную плату работников (3) и б) валовую прибыль (Пв):
Сн = 3 + Пв.
Каким образом происходит распределение валовой прибыли, будет рассмотрено в следующей главе.
Таким образом, мы приходим к общему заключению. Новая стоимость - это фактический источник доходов собственников всех экономических факторов.
Отсюда вытекает интерес всех участников дела к тому, чтобы постоянно развивать производство новой стоимости. Необходимость и жажда получать доход за этот счет превращает бизнес в постоянно возобновляемое движение. Как и в какой форме это движение происходит? |
§ 3 Простое воспроизводство капитала фирмы
Что такое простое воспроизводство капитала
Индивидуальный капитал - капитал фирмы - постоянно приносит прибыль, если он воссоздает условия производства новой стоимости. Такое воспроизводство бывает двух видов - простое и расширенное. Сначала рассмотрим первый вид.
Простое воспроизводство капитала фирмы - это непрерывное повторение производства новой стоимости. При этом масштабы созидательной деятельности, величина производимой продукции и размер действующего капитала остаются неизменными. Это означает, что капитал совершает своеобразное круговое движение. Путь такого движения - кругооборот капитала - осуществляется по формуле производственного бизнеса:
В хозяйственной практике новую стоимость принято условно называть «добавленная стоимость», поскольку она трудом работников фирмы

добавляется к стоимости товаров, приобретенных у других предприятий. В «Экономиксе» дается такое определение: «Добавленная стоимость - стоимость проданного фирмой продукта минус стоимость изделий (материалов), купленных и использованных фирмой для его производства».
Макконнелл К., Брю С. Экономикс.
Кругооборот капитала - это один цикл его движения, который завершается возвращением капитала в его исходную денежную форму.
В формуле кругооборота капитальной стоимости мы видим ее последовательное продвижение через три стадии. Кратко опишем их.
Первая стадия
С ] ]
л - т С
р
совершается в сфере товарно-денежного обращения.
Здесь денежный капитал превращается в производительный. Бизнесмен на авансированные денежные средства приобретает средства производства (СП) и покупает рабочую силу (P). Такие затраты необходимы для налаживания производства товаров.
Вторая стадия
СП
Т с
р
протекает в сфере производства. В этом движении производительная форма капитала превращается в товарную форму. Купленные на рынке средства производства и рабочая сила соединяются в технологическом процессе (П). В нем создаются блага с нужной полезностью и содержащие возросшую товарную стоимость (T').
Третья стадия T' - Д', как и первая стадия, относится к сфере обращения. ^варный капитал с возросшей стоимостью (T') вновь превращается в денежный капитал (Д'), содержащий прибыль.
Движение капитала не может ограничиться одним кругооборотом, оно постоянно возобновляется. Непрерывно происходящие кругообороты капитала образуют его оборот. Чтобы оборот смог совершаться полностью, требуется определенное время -время оборота. Оно отсчитывается от момента начала движения авансированной капитальной стоимости и до момента ее возвращения в той же денежной форме, но возросшей на величину прибыли.
Капиталы разных предприятий имеют неодинаковое время оборота, что зависит от конкретных условий производства и обращения. Tак, в судостроении капитал в производительной форме находится довольно-таки длительное время, а на текстильных фабриках - гораздо меньший период.
Бизнесмену небезразлична продолжительность времени оборота. Чем быстрее все пущенные им в дело деньги возвратятся с прибылью, тем с большей скоростью будет возрастать его собственность.
Отсюда вытекает заинтересованность предпринимателя в конкретном подсчете времени оборота, выяснении путей его ускорения.
Чтобы сравнить быстроту оборота капитала разных предприятий, применяется общая единица измерения. Такой естественной мерой является год.
Вот как подсчитывается число оборотов (Чо) капитала за год:

где О - единица измерения, год; о - время оборота данного капитала. Таким образом, время оборота равно году, деленному на время оборота капитала. Допустим, капитал предприятия совершает оборот за 3 месяца, тогда за год он обернется 4 раза:
^ ] 2 месяцев
15 3 месяца
Чтобы быстрее получить прибыль, бизнесмен использует основные пути ускорения оборота капитальной стоимости: а) сокращает время производства (ускоряет обработку изделий, применяя новинки науки и техники и др.) и б) уменьшает время обращения (улучшаются транспортные средства, ускоряется доставка товаров и т. п.).
Общее время оборота капитала уменьшается благодаря улучшению состава производительного капитала. Об этом стоит сказать особо.
Почему производительный капитал делится на основной и оборотный
Производительный капитал подразделяется на основной и оборотный. Эти части капитальной стоимости проходят весь оборот и возвращаются к бизнесмену в денежной форме в совершенно разные сроки (табл. 7.1).
Таблица 7.1
Основной и оборотный капитал
|
Осеіоеіегой капитан |
Оборотный капитал |
|
Долго сохраняет свовп Еіагураіьгіуто |
Натуральная форма преобразуется |
|
форму (полоз езостъ) |
П И Ну ГО ПОЛСЛЕЗОГТЕі |
|
Участвует во многие кругооборотах |
Участвует Еі одном кругообороте |
|
ИгрСНОСИТ СЕЮ ВО СТОИМОСТЬ ЕЗа ГОТОЕІЫе |
ИфГЕіОГИТСЕЮЕО СТОИМОСТЬ HJ3 ГОТОЕІЕ.ІГ |
|
продукты постепенно, по частям |
продукты сразу и полеюстьео |
Основной капитал - это та доля капитала, которая в течение длительного срока полностью участвует в производстве, но переносит свою стоимость на готовые изделия постепенно и возвращается к бизнесмену в денежной форме по частям. К нему относятся средства труда - заводские здания, машины, оборудование и т. п. Они покупаются сразу, а свою стоимость переносят на созданный продукт по мере износа. Так, производственные здания могут служить 50 лет, машины - 10-12 лет, инструменты - 2-4 года. Допустим, предприниматель израсходовал на приобретение станков 100 тыс. руб. И они будут действовать 10 лет. Значит, станки будут передавать готовым изделиям ежегодно 1/10 часть своей стоимости - 10 тыс. руб.
В отличие от основного оборотный капитал - часть капитала, стоимость которой полностью переносится на продукт и возвращается в денежной форме в течение одного кругооборота. Речь идет о предметах труда и быстроизнашивающемся (за год) инструменте.
К оборотному капиталу на практике относят заработную плату, поскольку деньги, затраченные на оплату труда, возвращаются за один кругооборот так же, как и стоимость предметов труда. Отсюда вытекает заинтересованность бизнесмена в ускорении движения оборотного капитала: чем быстрее возвращаются деньги, израсходованные, в частности, на заработную плату, тем шире возможность за тот же год нанять больше работников. Это в конечном счете увеличит размер прибыли. Особую заботу предприниматели проявляют о возмещении стоимости основного капитала, который требует постоянного возобновления. Такое непрерывное восстановление стоимости средств труда производится по определенным нормам в соответствии с их износом. Этот износ бывает двояким: 1) физическим и 2) стоимостным (рис. 7.4).
Физический износ основного капитала означает утрату средствами труда своей полезности, в результате чего они становятся материально непригодными для дальнейшего использования. Этот износ происходит в двух случаях: а) в процессе производительного применения (поломка машин, разрушение фабричного здания от вибраций и т. п.); б) если оборудование бездействует и утрачивает свои качества (разрушается под воздействием жары, холода, воды и пр.).
Кстати, сущность и первейший закон экономики состоит в том, что увеличение богатства общества зависит от сбережения рабочего времени, затраченного на создание всякого продукта. Для бизнесмена такое сбережение оборачивается увеличением прибыли. Не случайно в
|
широком ходу поговорка: время - деньги. |
 |
Рис. 7.4. Виды износа основного капитала
Стоимостный (его часто называют «моральный») износ - это утрата основным капиталом своей стоимости. Данный процесс подразделяется на два вида: а) когда машиностроение создает более дешевые технические средства, вследствие чего происходит обесценивание старого, действующего оборудования; б) когда старые машины заменяются более производительными (за то же время они вырабатывают больше продукции), в результате чего оборудование быстрее переносит свою стоимость на готовые изделия.
Средства на простое воспроизводство основного капитала накапливаются в амортизационном фонде. В конечном счете в фонде амортизации сосредоточивается такая сумма денег, за счет которой закупаются новые аналогичные машины и оборудование, а также проводится капитальный ремонт средств труда (работы по восстановлению технических качеств оборудования и его производительности).
Амортизационный фонд образуется за счет амортизационных отчислений. Эти отчисления включают в общую сумму затрат предприятия на производство продукции.
Обязательным правилом воспроизводства капитала фирмы является следующее требование. Необходимо непрерывно пополнять фонд амортизации и своевременно использовать его для обновления основного капитала. Если это правило нарушается, то неизбежны техногенные (происходящие по техническим причинам) аварии и катастрофы.
Проведенный здесь анализ простого воспроизводства на предприятии показал, как и почему в этом случае капитал движется по замкнутому кругу. Теперь рассмотрим его перемещение по спирали в процессе расширенного воспроизводства.
§ 4 Расширенное воспроизводство капитала предприятия
Что такое накопление капитала
Расширенное воспроизводство на фирме означает увеличение размеров капитала, рост масштабов производства благ. Такое расширение происходит за счет накопления капитала. В связи с этим важно выяснить, что подразумевается под таким накоплением.
Однажды на занятии по экономике в одном из колледжей студентов спросили, как бы они использовали прибыль, будучи на месте предпринимателя? Одни сказали,
что истратили бы дополнительные деньги на нужные им жизненные блага. Другие считали, что такие деньги надо копить, сохранять, создавая и увеличивая денежные сокровища. Так, считали они, можно накопить большой капитал.
Но преуспевающие бизнесмены думают и действуют иначе. Если прибыль просто, как говорится, проедать или обращать в мертвые сокровища, то созидательная предпринимательская деятельность может вскоре прекратиться. Не покой, а вечное движение капитала - вот цель всех, кто вложил деньги в бизнес. Чтобы добиться такой цели, прибыль частично расходуют на накопление капитала, т. е. на расширение производства.
Накопление капитала - превращение части прибыли в дополнительные факторы производства, которые служат источниками его расширения.
У бизнесменов имеются серьезные поводы к тому, чтобы расходовать часть прибыли на накопление капитала.
Это прежде всего - личная выгода собственников, ибо благодаря приумножению капитала они получают возможность повышать свой жизненный уровень и увеличивать принадлежащее им имущество. Оказывает свое влияние также конкуренция: в ней побеждает тот, кто постоянно наращивает свою собственность. Величина конкурентоспособного капитала, словно планка для прыжков в высоту, все время поднимается. Например, в США для устойчивого положения на рынке сейчас надо иметь капиталы в несколько десятков миллионов долларов.
При расширенном воспроизводстве прибыль распределяется на две части -накопление и доход, идущий на личное потребление и другие цели (о них мы расскажем в гл. 8). Установить соотношение между этими долями прибыли -непростая задача для ее владельцев. Между тем с увеличением размера капиталов их собственники, как правило, тратят больше средств на приумножение личного достояния и предметы роскоши.
Как правило, собственной прибыли фирмам не хватает для накопления. Поэтому они прибегают к другому его источнику - банковскому и иным видам кредита. Во многих развитых странах заемные средства составляют свыше половины общей суммы накопления.
На что расходуется накопление
Расширенное воспроизводство на предприятии обычно идет на увеличение двух основных производственных факторов: средств производства и рабочей силы. Поэтому прирост капитала можно представить в виде такой формулы:
?К = ?СП + ?Р,
где ?К - накопление (прирост капитала); ?СП - прирост стоимости средств производства; ?Р - прирост стоимости рабочей силы (заработной платы).
Среди крупных владельцев денежных средств имеются люди, экономящие на самом малом, с тем чтобы больше денег обратить на активно действующий капитал. Так, американка Генриетта Грин (18351916) стала рекордсменкой всех времен по скупости. Хотя ее состояние достигало 95 млн долларов, Грин питалась холодной овсяной кашей и была слишком прижимиста, чтобы ее разогреть. Ее сыну ампутировали ногу из-за того, что она слишком долго пыталась найти клинику с бесплатным медицинским обслуживанием.
Как видно, благодаря накоплению увеличивается стоимость вещественного фактора производства СП на величину ?СП, т. е. СП + ?СП. Одновременно расширяются затраты на рабочую силу на величину ?Р: Р + ?Р.
Таково общее представление о сущности процесса накопления капитала.
Теперь рассмотрим более конкретно, как на практике расходуется фонд накопления фирмы. Накопленный капитал на предприятии (Нк), как правило, имеет следующую основную структуру: а) производственное накопление (Нп); б) непроизводственное накопление (Нн), включая накопление, идущее на привлечение дополнительных работников и повышение квалификации всех занятых:
Нк=Нп + Нн.
Производственное накопление (в экономической литературе его часто именуют «инвестиции») расходуется: а) на увеличение количества средств производства (расширение производственных площадей и строительство новых зданий, приобретение оборудования и т. д.); б) прирост материальных запасов (резервов и страховых фондов).
Непроизводственное накопление идет: а) на прирост непроизводственных фондов (жилого фонда предприятия, медицинских учреждений, учреждений культурнобытового обслуживания); б) дополнительные затраты на обучение и повышение квалификации работников (увеличение расходов на обучение рабочим профессиям, рост квалификации и переквалификацию занятых, что ведет к повышению производительности их труда), а также на укрепление их здоровья.
Новая научная дисциплина - экономика образования доказала высокую эффективность капитальных затрат на общее и профессиональное образование. Например, для подсчета выгодности затрат средств на подготовку специалистов в высших учебных заведениях прежде всего учитываются соответствующие издержки (прямые расходы на учебу, плату за учебники и т. д.). Затем сопоставляются среднегодовые заработки работников со средним и высшим образованием.
На Западе затраты фирм и государства на укрепление здоровья людей и повышение образования и профессиональной подготовки работников получили название «инвестиции в человеческий капитал». Впервые исследования таких капитальных вложений провел лауреат Нобелевской премии Гэрри Беккер (США). В книге ««Человеческий капитал» (1964) Г. Беккер показал, что увеличение вложений в подготовку специалистов и обучение квалифицированных работников может принести в будущем не меньше прибыли, чем расходы на машинную технику.
Возникшая в 1960-е гг. экономика медицинского обслуживания убедительно доказала, что регулярные занятия физкультурой и спортом, квалифицированная медицинская помощь позволяют избежать больших затрат на лечение и восполнение убыли квалифицированных профессиональных кадров. Не случайно некоторые крупные корпорации даже платят надбавку к заработной плате тем работникам, которые систематически занимаются физической культурой и спортом, создают для них необходимые условия (стадионы, спортивные залы с тренажерами и т. п.). Это экономически оправдывает себя хотя бы потому, что уменьшаются расходы фирмы на страховую медицину.
Совершенствование качества рабочей силы стало особенно настоятельным делом в связи с повышением научно-технического уровня накопления капитала.
Как повышается научно-технический уровень накопления
В условиях постиндустриального общества происходит качественное обновление процесса накопления капитала. Этот процесс выражается в значительном повышении научно-технического уровня воспроизводства капитала. Речь идет о следующих коренных переменах.
1. В структуре накопления появился новый элемент - значительные затраты на научные исследования и опытно-конструкторские разработки (НИОКР). В связи с этим важнейшим показателем прогрессивности и конкурентоспособности фирм стала наукоемкость производства. Она свидетельствует о доле затрат на НИОКР в общем объеме производственных расходов. Наиболее наукоемкими стали приборостроение, ракетно-космический комплекс и др.
2. Бизнесмены регулярно проводят смену циклов обновления продукции. Каждый цикл включает два этапа: а) начальный - исследовательский (в том числе выработка новой идеи, опытно-конструкторские разработки и пробный выход на рынок с улучшенным образцом изделия) и б) жизненный цикл нового продукта (период его продажи на рынке). Второй этап распадается на отдельные периоды: выход изделия на рынок, рост спроса на него, насыщение потребности рынка, спад спроса (рис. 7.5).
Согласно подсчетам американских специалистов за 1996 г., выпускник университета за время работы (до 65 лет) смог бы заработать 4,5 млн долл., а тот, кто окончил только среднюю школу, - 2,7 млн долл.

3. Современное накопление тесно связано с новым видом рынка - рынком научнотехнических разработок. Что это за рынок? Как он появился?
Во второй половине XX в. наука очень сблизилась с производством, вследствие чего сроки исследований сократились в 10 раз. Сейчас научная работа проходит такие фазы:
• фундаментальные (теоретические) изыскания, результатом которых становятся открытия новых явлений и законов;
• прикладные исследования, итогом которых являются изобретения;
• научно-исследовательские и опытно-конструкторские разработки, которые завершаются созданием новой конструкции машины, разработкой более совершенной технологии и т. п. Этот по существу коммерческий продукт продается вместе с ноу-хау (по-английски «знаю как» - совокупность знаний, умений и приемов работы, связанных с технологией).
На рынке научных разработок ведущие позиции занимают венчурные (рисковые) фирмы. Это небольшие предприятия, которые доводят научные исследования до готовых коммерческих продуктов.
Создатели рисковых фирм подбирают «команду» из числа известных менеджеров, ученых, специалистов-практиков, юристов и выделяют средства, необходимые для работы предприятия в течение 2-3 лет. Сотрудники предприятия получают высокую заработную плату, а после создания новой продукции выходят с ней на рынок. Увеличив капитал, они организуют акционерную компанию и становятся, как правило, ее совладельцами.
Венчурные фирмы принимают сейчас деятельное участие в применении совершенно новых технологий.
Что представляют собой информационные технологии
На рубеже XX-XXI вв. многие предприятия стали переходить к совершенно новым -информационным - технологиям, чтобы повысить эффективность всей хозяйственной деятельности.
Информационные технологии качественно изменяют форму хозяйственных связей между физическими и юридическими лицами. В этих технологиях предметом труда является информационный продукт (договор, ценная бумага и т. п.), а орудием труда - средства электронно-вычислительной техники и связи (компьютер, телевизор, мобильный телефон, видеотелефон, сеть Интернет и др.).
Внедрение информационных технологий на фирмах приводит к преобразованию форм и характера коммерческого предпринимательства. При этом осуществляются разнообразные коммерческие операции, приносящие бизнесмену прибыль. К ним относятся:
• торговля (купля-продажа товаров, услуг, недвижимости, информационных продуктов, научных технологий и т. п.) в формах мобильной торговли (через мобильный телефон) и электронной торговли (через Интернет);
• аренда (предоставление имущества его собственником во временное пользование другим лицам на договорных условиях, за плату);
О значении деятельности венчурных фирм свидетельствуют данные по США. Здесь такие предприятия создают более 90 % новых технологий, на 1 доллар капитальных затрат они внедряют в 17 раз больше нововведений по сравнению с крупными корпорациями. Поэтому и корпорации, и государство часто делают заказы на разработки рискового бизнеса.
• залог (способ исполнения должником принятых на себя обязательств), предметом которого могут быть вещи, ценные бумаги, иное имущество или право на него;
• страхование (создание за счет денежных средств физических и юридических лиц специальных резервных фондов, предназначенных для возмещения определенного ущерба, потерь);
• банковские операции (разнообразные виды операций с деньгами и ценными бумагами, финансовые услуги правительству, другим банкам, физическим и юридическим лицам);
• биржевые операции (спекулятивные сделки с ценными бумагами и др.);
• инвестирование капитала (прямые капитальные вложения в хозяйственную деятельность, покупка акций и других ценных бумаг и т. п.).
Электронный бизнес приносит огромную выгоду. Его повышенная эффективность основывается главным образом на громадной экономии времени. Сберегается рабочее время, затрачиваемое обычно на дорогу, покупку товаров в магазинах, операции в банке, на бирже и т. п. Например, коммерческие операции в интерактивном режиме предполагают такие условия деятельности, при которых на запрос пользователя компьютера ответ из информационной системы поступает практически немедленно. Если иметь в виду Интернет-магазин (или электронный магазин), то это такая торговая площадка в Интернете, где можно очень быстро приобрести практически любой товар.
Таким образом, подводя итоги рассмотрения расширенного воспроизводства на предприятиях, можно с достаточным основанием считать, что в XXI столетии прогресс накопления будет выражаться в следующих важных изменениях:
• неуклонном повышении наукоемкости производства;
• улучшении качества рабочей силы;
• непрерывном совершенствовании выпускаемой продукции;
• внедрении в хозяйственную деятельность информационных технологий;
• повышении эффективности экономики.
Изучение в главе 7 процессов производства и воспроизводства новой стоимости позволяет теперь в следующей главе рассмотреть распределение новой стоимости.

! Краткие обобщения и выводы
1. Экономические основы бизнеса неразрывно связаны с развитой рыночной экономикой.
2. Бизнес представляет собой коммерческое предпринимательство, направленное на получение прибыли.
3. Коммерческий расчет бизнесмена включает основные правила: а) предпринимательскую самостоятельность; б) самоокупаемость и прибыльность; в) самофинансирование; г) материальную заинтересованность и д) экономическую ответственность.
4. Предприниматель выполняет функции: а) ресурсную; б) организаторскую и в) творческую, новаторскую.
5. Обогащение людей на рынке может происходить по формуле Д - Т - Д'. При этом обмениваются товары, воплощающие старую стоимость. Рыночные сделки не создают новую стоимость. Рыночная прибыль - результат неэквивалентного обмена, спекулятивного обогащения.
6. Капитал - денежные средства, затраченные на создание новой стоимости. Формула производственного капитала: Д - Т(СП, Р) ... - П... - Т' - Д'. Этот капитал действует при следующих экономических и правовых условиях: собственники всех
факторов производства в соответствии с юридическим гарантиями получают свою долю новой стоимости (работники - заработную плату; кредиторы - процент; землевладельцы - ренту; бизнесмен - предпринимательский доход).
7. Валовой доход фирмы включает: а) стоимость израсходованных средств производства; б) новую стоимость (заработную плату плюс валовую прибыль).
8. Простое воспроизводство капитала - непрерывное повторение производства новой стоимости в неизменных масштабах. Кругооборот капитала - один цикл его движения, который завершается возвращением капитала в его исходную денежную форму.
9. Производительный капитал делится на основной и оборотный, которые возвращаются к бизнесмену в разные сроки. Основной капитал подвергается физическому и стоимостному износу. Его восстановление происходит благодаря ежегодным амортизационным отчислениям.
10. Расширенное воспроизводство капитала фирмы происходит за счет его накопления - превращения части прибыли в дополнительные факторы производства. Накопление расходуется на производственные и непроизводственные расходы (в том числе на развитие рабочей силы).
11. В постиндустриальном обществе значительно повышается научно-технический уровень воспроизводства (растет наукоемкость производства, регулярно проводится смена циклов обновления продукции, эффективно развивается рынок научнотехнических разработок).
12. На рубеже XX-XXI вв. широко внедряются информационные технологии, что приводит к развитию интерактивного бизнеса, способствующего повышению эффективности хозяйственной деятельности.
? Задачи и вопросы на сообразительность
1. Тест. Предприниматель - это:
а) менеджер;
б) тот, кто дает деньги на организацию бизнеса;
в) собственник фирмы;
г) всегда новатор.
2. Укажите в предлагаемом ниже списке то, что относится к бизнесу, а не принадлежит владельцу капитала и его семье:
а) токарный и сверлильный станки;
б) деньги в кассовом аппарате;
в) сырье (например, металлические заготовки и древесина);
г) счет за обучение в высшем учебном заведении, подлежащий оплате;
д) грузовик грузоподъемностью 5 т;
е) кролики в вольере (площадке, огороженной сеткой).
3. Расчетная задача. Основной капитал фирмы составляет 80 тыс. иен, время его воспроизводства 10 лет. Оборотный капитал равен 20 тыс. иен, в год он оборачивается 5 раз.
Определите: сколько капитала обернулось за год?
4. Тест. Накопленный капитал - это:
а) сбережение денег;
б) увеличение количества средств производства на предприятии;
в) превращение прибыли в дополнительный капитал;
г) увеличение размеров активов предприятия (наличных денег, запасов сырья, машин и оборудования и т. п.).
5 . Что представляет собой новая стоимость и какова ее структура?
6. Чем различаются между собой накопление в домашнем хозяйстве и на фирме?
7. Каким образом изменяется характер и структура накопления капитала в условиях
научно-технической революции?
Глава 8 Образование доходов в микроэкономике
Как показано в предыдущей главе, на предприятиях создается новая стоимость. После продажи на рынке изготовленных товаров бизнесмен получает новую стоимость в ее денежной форме. Из этой денежной суммы образуются первичные виды доходов. Первичными они называются потому, что их распределяют между всеми, кто прямо или косвенно участвовал в процессе создания новой стоимости. Из этой стоимости каждому такому участнику достается определенная доля: рабочему -заработная плата, предпринимателю- прибыль на капитал, ссудному капиталисту -процент и собственнику земли - рента (рис. 8.1).
На рис. 8.1 видно, что все первичные доходы образуются из одного источника. Поэтому каждый из них имеет определенные границы сосуществования с другими видами доходов. Если, предположим, при данной величине новой стоимости наращивать одну ее часть, то это можно сделать лишь за счет каких-то других частей. Отсюда понятно, почему важно устанавливать условия нормального образования особенно тех доходов, которые играют первостепенную роль в увеличении экономического богатства. К ним относится заработная плата.
 |
Рис. 8.1. Новая стоимость и виды первичных доходов
§ 1 Заработная плата |
Каковы условия найма на работу
В условиях развитого товарно-рыночного хозяйства постоянно действует особый рынок труда. На нем совершаются сделки между работодателями и людьми, нанимающимися на работу.
Рынок труда - область рыночных отношений, где совершаются сделки по купле-продаже рабочей силы.
На современном рынке труда с предложениями о продаже рабочей силы выступают юридически свободные лица (в отличие от раба или крепостного крестьянина). Между тем основным и даже единственным источником их существования является продажа своей способности к труду.
Правовое государство регулирует отношения между наемными работниками и работодателями с помощью трудового законодательства. Целями этого законодательства являются установление государственных гарантий трудовых прав и свобод граждан, создание благоприятных условий труда, защита прав и интересов работников и работодателей.

Рынок труда существенно изменяет спрос на рабочую силу на разных стадиях производства. В связи с этим все более повышаются требования к качеству знаний и трудовых навыков работников.
В 2003 г. в России из общей суммы денежных доходов населения (принято за 100 %) удельный вес оплаты труда составил 66,8 %; доходов от собственности (процент по вкладам в банки, ценным бумагам, дивиденды) - 5,3; доходов от предпринимательской деятельности -11,4; социальные выплаты - 14,3; другие доходы - 2,2 %.
В Трудовом кодексе Российской Федерации (принятом в 2001 г.) в качестве основных принципов правового регулирования трудовых отношений признаны (статья 2), в частности:
«свобода труда, включая право на труд, который каждый свободно выбирает или на который свободно соглашается, право распоряжаться своими способностями к труду, выбирать профессию и род деятельности»; «обеспечение права каждого работника на своевременную и в полном размере выплату справедливой заработной платы, обеспечивающей достойное человека существование для него самого и его семьи».
В начале индустриальной стадии производства основной фигурой на рынке труда был работник физического труда, почти не имеющий образования и квалификации и пригодный лишь для простого обслуживания машин. Во второй половине XX в. научно-техническая революция и переход к информационному обществу резко изменили условия найма на работу. Эти перемены важно учитывать всем, кому предстоит вступать в трудовые отношения. Речь идет о следующих новых обстоятельствах:
• на рынке труда значительно снижается спрос на рабочих, которых образно назвали «синие воротнички» (фабрично-заводские рабочие, занятые преимущественно физическим трудом);
• существенно возрастает потребность в работниках сферы услуг - «серых воротничках»;
K быстро увеличивается нужда в «белых воротничках» (работниках умственного труда - управленческих, инженерно-технических и научных работниках);
• научно-техническая революция потребовала формирования работников нового типа. Сейчас приходится расширять профиль квалификации работников. Рабочие получают общетехнические знания, а инженеры - общенаучную подготовку;
• непременным условием труда особенно научных, инженерно-технических и управленческих работников становится совершенное знание информатики и овладение навыками использования компьютерной техники. Примечательно, что сейчас в Западной Европе каждый второй работник интеллектуального труда использует компьютер, а в США - девять из десяти;
• ускорение научно-технического прогресса вызвало необходимость создания системы непрерывного образования кадров. Каждому работнику вменяется в обязанность регулярно пополнять и обновлять свои профессиональные знания, проходя дополнительное обучение в институтах, на факультетах и курсах повышения квалификации.
Все такого рода изменения в составе и уровне подготовки работников сказываются на рыночной цене труда.
От чего зависит размер заработной платы
На вопрос о том, чему должна соответствовать заработная плата, скорее всего, совершенно по-разному ответят работодатель и работник.
Работодатель заинтересован нанять такого человека, который обладает рабочей силой нормального качества. Речь идет, по крайней мере, о средней работоспособности, которая обеспечивает должное количество и качество работы.
Из этого вытекает, наверное, субъективная оценка величины оплаты труда.
В свою очередь собственник рабочей силы продает ее бизнесмену не навсегда (иначе он превратился бы в раба), а на определенный срок. Он заинтересован, во-первых, в том, чтобы на предприятии ему обеспечили нормальные время и условия труда. Во-вторых, ему нужна такая заработная плата, на которую можно приобрести все жизненные блага для восстановления рабочей силы - совокупности физических и умственных способностей к труду.
Заработная плата должна равняться стоимости всех жизненных средств, необходимых для воспроизводства и развития рабочей силы человека.
Здесь важно отметить следующее обстоятельство. Рабочая сила - это совершенно необычный, живой товар. В отличие от обычных полезных вещей величина стоимости рабочей силы имеет две количественные границы. Низшая - физиологическая - граница равняется стоимости жизненных благ и услуг, которые достаточны для восстановления работоспособности человека с самым низким уровнем квалификации. Верхняя же граница включает стоимость совокупности социальных и культурных благ и услуг, которые требуются для воспроизводства высококвалифицированной рабочей силы. Такая совокупность исторически меняется в зависимости от степени развития экономики и цивилизации в каждой стране. Сейчас в наиболее развитых государствах она может включать, скажем, многокомнатную квартиру для семьи или загородный коттедж, личные автомашины, современные средства электронной информации, спортивный инвентарь, хорошую библиотеку и многое другое.
Но экономические интересы, касающиеся обеспечения нормальной заработной платы и нормальных условий труда, очень сильно расходились у бизнесменов и наемных работников, особенно на начальной фазе капитализма. Предприниматели стремились свести заработки трудящихся к их самому низкому произвольно установленному уровню.
В 30—50-х гг. XX в. в западных странах государство взялось обеспечивать важную гарантию экономической безопасности работников. Оно в законодательном порядке устанавливает минимальный уровень заработной платы, который обязаны соблюдать все, в том числе частные фирмы. При этом предполагается обеспечить условия жизни работнику, выполняющему наиболее простую работу. Разумеется, что минимальный заработок - это лишь стартовый уровень, от которого начинает расти оплата более сложного труда.
Значит, первым социально-экономическим фактором, от которого зависит величина вознаграждения за труд, является величина стоимости рабочей силы. Вторым фактором - уровень квалификации работников. Ведь более сложный труд за одинаковое время создает большую стоимость. Вместе с тем рабочая сила высокой квалификации требует для своего воспроизводства лучших в количественном и качественном отношениях жизненных условий.
Третьим фактором, влияющим на величину оплаты труда, являются различия между странами по степени развитости экономических и социальных условий жизни населения. Говоря более конкретно, данные отличия зависят от научнотехнического уровня производства, достигнутого роста производительности труда, степени развитости рабочей силы, общественно нормального качества жизни и иных факторов. Например, в Боливии, Египте, Нигерии и многих других странах дневной заработок в 2,5-3 раза ниже почасовой ставки зарплаты в индустриально развитых странах.
По уровню оплаты труда США долгое время лидировали в капиталистическом мире. Теперь новая технологическая революция приводит к выравниванию технико-

экономических условий производства в развитых странах. При этом повышается стоимость рабочей силы, а также обостряется конкуренция между странами Запада, в частности, по степени использования квалифицированной рабочей силы. Примечательно, что в 50—90-х гг. в этих государствах произошло существенное повышение заработной платы. Особенно значительно - в 2-3 раза - она увеличилась в Великобритании, Франции, ФРГ и Италии, в 4 раза - в Японии. В результате сократился разрыв в уровнях оплаты труда в этих странах.
На величину оплаты труда существенно влияют также рыночные факторы. Первый - спрос и предложение на рынке труда. Величина вознаграждения за труд может изменяться в соответствии с законами цены по предложению и цены по спросу.
Таблица 8.1
Часовые ставки заработной платы в 1996 г. в США

Когда спрос превышает предложение, цена определенного вида труда находится выше точки равновесной цены. Сейчас под воздействием научно-технической революции спрос на высококвалифицированных работников удовлетворяется не в полной мере, а это ведет к повышению оплаты труда специалистов. С другой стороны, спрос на неквалифицированную рабочую силу в большинстве случаев падает, что отрицательно сказывается на заработках людей, не имеющих среднего образования.
О том, каким спросом пользовались работники разных отраслей труда в США, можно судить по данным табл. 8.1.
Вторым рыночным фактором, воздействующим на величину вознаграждения за труд, является конкуренция или монополия на рынке труда. Здесь соперничество ведет, естественно, к приближению уровня заработной платы к равновесной цене труда. Это означает, что конкуренция выступает уравнительницей заработков. Проще говоря, рынок труда утверждает принцип: равная оплата за равный труд.
Как изменилась оплата труда в России
В 1950-х гг. в СССР образовался огромный разрыв в размерах заработной платы, которую получали, с одной стороны, высший слой государственных служащих, и, с другой стороны, масса трудящихся.
Во второй половине 1950-х гг. заработки высокооплачиваемых служащих были значительно снижены и, как говорится, «заморожены». Одновременно началось поэтапное (1 раз в 5 лет) повышение заработной платы низко- и среднеоплачиваемых рабочих и служащих. В итоге среднемесячная заработная плата рабочих и служащих выросла с 64 руб. в 1950 г. до 275 руб. в 1990 г. Между тем все более усиливалось уравнительное вознаграждение за труд. Достаточно сказать, что, например, инженер, врач, юрист получали за свою работу меньше, чем высококвалифицированный рабочий.

С 1992 г. в Российской Федерации было отменено государственное централизованное регулирование уровня заработной платы на негосударственных предприятиях. Однако не вступили в силу конкуренция и другие регуляторы на рынке труда. В результате изменились размеры заработной платы.
Во-первых, резко возросло денежное вознаграждение у нескольких групп работников:
• повысилась оплата труда работающих в различных частных коммерческих фирмах, и туда перешли многие квалифицированные специалисты из учреждений и государственных предприятий;
• были сняты ограничения в росте заработков руководителей предприятий, и их денежные доходы во многих случаях превысили средний уровень оплаты труда в сотни и тысячи раз;
• на крупных монополистических предприятиях уровень оплаты труда в 2-4 раза превысил среднеотраслевой уровень заработной платы.
Во-вторых, в 1990-е гг. стоимость рабочей силы в России снизилась в два с лишним раза (табл. 8.2).
Таблица 8.2
Среднемесячная начисленная заработная плата работников предприятий и организаций в ценах 1991 г. и долларах США
|
Годы |
Среднемесячная начисленная заработная плата і: пегий гоотпетстпуЕпгцего года п долларах США (по официальному курсу долл.) |
Среднемесячная заработная плата гг ценах 1991 г, руб. |
|
199] |
- |
548 |
|
1992 |
22 |
3G9 |
|
1998 |
m |
253 |
|
2003 |
ІЯ0 |
3G9 |
С 1991 г. среднемесячная начисленная заработная плата в ценах соответствующего года возросла с 548 руб. в 1991 г. до 5995 руб. в 1992 г. и до 5509 руб. в 2003 г. (в масштабе цен, действовавших с 1 января 1998 г.). Но за этот период среднемесячная зарплата в ценах 1991 г. снизилась в 1,9 раза.
Установилось ненормальное соотношение между минимальной заработной платой и величиной прожиточного минимума.
В Советском Союзе никогда не был законодательно определен прожиточный минимум. Введенная с 1992 г. минимальная заработная плата была в несколько раз ниже прожиточного минимума. Согласно Кодексу законов о труде Российской Федерации (2001 г.). минимальный размер оплаты труда - это гарантируемый федеральным законом размер заработной платы за труд неквалифицированного работника, полностью отработавшего норму рабочего времени при выполнении простых работ в нормальных условиях труда. Минимальная заработная плата не может быть ниже прожиточного минимума трудоспособного человека.
Как вознаграждается количество и качество труда
В Древнем Риме стимулом называли остроконечную палку, которой погоняли животных, с ее помощью заставляли трудиться рабов. Ныне под стимулом подразумевается побуждение человека к действию.
Заработная плата стимулирует труд тем, что вознаграждение каждого человека зависит от приобретенной им квалификации, сложности выполняемой работы, количества и качества затраченного труда. При этом не устанавливается какой-то максимальный предел заработка.
Заработная плата создает новые стимулы к труду с помощью двух основных форм вознаграждения: повременной и сдельной оплаты труда.
Повременная заработная плата устанавливает размер вознаграждения в

зависимости от проработанного времени. В этом случае подсчитывается величина оплаты за час (день, неделю, месяц) и умножается на проработанное время.
Во многих странах при установлении размеров повременного заработка определяется единица измерения цены труда - цена часа труда. Почасовая ставка зарплаты (Зч) рассчитывается по формуле где Зп - установленная величина заработной платы (за день, неделю, месяц); В -нормированное число часов труда (соответственно за день, неделю, месяц). Повременная плата обычно применяется на предприятиях, где преобладает строго установленный технологический режим. Так, в массово-поточном производстве выработка рабочих и темп их труда определяются скоростью движения конвейера.
В последние два-три десятилетия повременная заработная плата во многих странах стала преобладающей формой оплаты труда. Она охватывает примерно 70 % рабочих обрабатывающей промышленности США и Франции и до 60 % промышленных рабочих Великобритании и Германии.
Производной от повременной является сдельная, или поштучная, заработная плата. Она устанавливается в зависимости от объема выпущенной продукции. При поштучной оплате заработок возрастает в прямой пропорциональной зависимости от количества изготовленных изделий. Эта зависимость устанавливается с помощью поштучной расценки.
В 1992 г. в Российской Федерации был введен так называемый «биологический» прожиточный минимум. В него включены 19 основных продуктов питания (из расчета в день, например, хлеба - 0,5 кг, мяса -100 г, колбасы - 10 г, 1/2 - яйца, картофеля - 400 г. и др.), а также очень небольшие расходы на непродовольственные товары и услуги. Величина прожиточного минимума трудоспособного населения в 1998 г. составила 555 руб., хотя минимальная заработная плата рабочих и служащих была равна 83 руб. С 1 июля 2001 г. низший уровень оплаты труда был увеличен до 132 руб., с 1 мая 2002 г. - до 450 руб. И с 1 октября 2003 г. - до 600 руб.
В 2000 г. Министерство труда и Государственный комитет Российской Федерации по статистике определили, например, что потребительская корзина для трудоспособного мужчины предусматривает: три вида верхней одежды на 7-9 лет; 6 видов костюмно-платьевой группы - на 45 лет; пять видов обуви - на 3-7 лет; два вида белья - на 2-5 лет.
Семья должна обходиться одним чайником в течение 8 лет; шкафом для одежды - в течение 25 лет; холодильником - в течение 20 лет.
Расценки рассчитываются следующим образом. Исходными данными служат часовая (или дневная) цена труда и нормируемое количество продукции, которое человек изготавливает в среднем за час (или день). Поштучная расценка (Р) исчисляется так:

где З - часовая (дневная) зарплата; Нв - норма выработки, т. е. число штук, которое необходимо выработать при нормальных условиях за час или день.
При сдельной зарплате прямо устанавливается мера интенсивности (напряженности) труда рабочего. Это делается с помощью нормы выработки. Она устанавливает объем продукции, подлежащей изготовлению рабочим в течение определенного времени. Такие нормы выработки оплачиваются в установленном размере. Личный интерес побуждает человека трудиться более напряженно, с тем чтобы выпустить больше изделий и увеличить свой дневной доход.
Сдельная оплата труда наиболее широко применяется на предприятиях, где высока доля ручного труда и необходимо поощрять рост выпуска изделий. В современных условиях в этой форме стимулирования все больше учитываются и такие факторы, как качество продукции, степень использования оборудования, экономия сырья и материалов, что сближает сдельную заработную плату с повременной.
В развитой рыночной экономике материальное вознаграждение за работу ставится в зависимость от коммерческих результатов деятельности предприятия. Так, современные системы стимулирования учитывают большое количество факторов, которые вытекают из неценовой конкуренции. Широко распространены премиальные системы, которые предусматривают особое вознаграждение за высокое качество продукции, экономию материалов и улучшение других конечных результатов производства. В различных вариантах используются повременнопремиальная, сдельно-премиальная, сдельно-прогрессивная, многофакторная, аккордная (с оплатой всей работы) и другие зарплаты.
При ознакомлении с разными формами заработной платы возникает непростой вопрос: почему работникам платят неодинаково?
Представляется несомненным, что все люди, как правило, ежедневно трудятся в течение одинакового времени. Это обусловлено технологией производства. Почему же, в таком случае, они не получают равное вознаграждение?
|
|
Тарифная система |
|
|
Тарифные |
|
Тарифная |
|
Та риф по-к пал |
нфккацпоииый |
|
ставки |
|
|
сетка |
|
справочник |
Рис. 8.2. Структура тарифной системы
Дело в том, что люди обладают неодинаковыми физическими и умственными способностями и затрачивают труд различной степени сложности. Более квалифицированный работник за одно и то же время создает большую величину стоимости по сравнению с менее квалифицированным. Кроме того, люди трудятся в неодинаковых производственных условиях, подчас наносящих ущерб их здоровью (работа в ночную смену, в тяжелых и вредных для здоровья условиях). Это требует компенсации (возмещения) повышенных затрат рабочей силы.
В России во всех организациях, финансируемых (обеспечиваемых деньгами) из федерального бюджета и бюджетов всех уровней, величина заработной платы рабочих, специалистов и служащих регулируется с помощью тарифной системы. В эту совокупность нормативов (узаконенных правил) входят: 1) тарифные ставки; 2) тарифная сетка; 3) тарифно-квалификационный справочник (рис. 8.2).
Тарифная система включает прежде всего тарифные ставки - размеры оплаты труда работников за час или день. Эти величины заработка распределяются в тарифной сетке - шкале, определяющей соотношение тарифных ставок (размеров оплаты) рабочих второго, третьего и последующих разрядов (в зависимости от уровня квалификации и ставки первого разряда). Тарифная сетка указывает число разрядов, т. е. соотношение тарифных коэффициентов крайних разрядов сетки, и межразрядные соотношения (абсолютные и относительные - в процентах -нарастания таких коэффициентов от разряда к разряду). Если известны величина ставки первого разряда и соответствующие тарифные коэффициенты, можно определить ставку работника любого разряда.
В тарифную систему входит также тарифно-квалификационный справочник - нормативный документ для тарификации (определения тарифа) работ и присвоения людям квалификационных разрядов. В нем все профессии характеризуются с учетом содержания и сложности работы, которую должен уметь выполнять работник соответствующей квалификации.
Тарифная система оплаты труда в других организациях (не являющихся государственными или муниципальными) может определяться коллективными
договорами - соглашениями между работниками и работодателями. При этом учитываются единые тарифно-квалификационные справочники и государственные гарантии по оплате труда.
Почему важно учитывать реальную зарплату
Когда человек устраивается на работу, то в договоре с предпринимателем определяется номинальная - выраженная в деньгах - заработная плата. Допустим, что эта сумма вполне устраивает работника, соответствует его жизненным планам и намерениям. Но позже могут возникнуть разочарования. Из-за непрерывной инфляции (обесценивания денег) за те же деньги работник станет приобретать все меньшее количество благ и услуг.
Лгда станет ясно, что об изменении своих доходов надо судить не столько по номинальной, сколько по реальной заработной плате.
Реальная заработная плата выражается в количестве и качестве благ и услуг, которые можно купить на номинальную зарплату.
Каждому человеку, естественно, интересно знать, как изменяются его реальные доходы, а стало быть, улучшается или ухудшается его материальное благосостояние. Зная динамику номинальной зарплаты и потребительских цен, можно подсчитать, как за определенный период изменилась реальная оплата труда. Индекс номинальной зарплаты (Из) определяется как частное от деления величины заработка в текущем периоде (Зт) на величину заработка в избранном предыдущем - базовом периоде (Зб), выраженное в процентах:
|
Аналогичным образом устанавливается индекс цен (Иц) (см. гл. 5). Если использовать указанные индексы, то можно вычислить индекс реальной зарплаты (Ирз) в процентах: |
 |
Исходя из этой формулы, на практике можно использовать несколько вариантов динамики уровня реальной оплаты труда в зависимости от достигнутого соотношения темпов инфляции и скорости изменения номинальной зарплаты.
Первый вариант. Номинальный заработок повышается такими же темпами, какими растут потребительские цены. В таком случае уровень реальной зарплаты не меняется. Этот вариант возможен, если происходит «автоматическая» индексация денежной зарплаты, т. е. ее повышение в соответствии с подъемом официального индекса цен.
Второй вариант. Темпы инфляции опережают скорость повышения оплаты труда. Тогда реальные доходы понижаются. С трудящимися расплачиваются за установленную в трудовом договоре цену рабочей силы неполновесными деньгами. Они вынуждены бороться за справедливую заработную плату.
Третий вариант. Номинальная заработная плата растет быстрее, чем повышается индекс потребительских цен. В этом наиболее благоприятном случае реальный уровень жизни работников повышается.
О том, как в нашей стране в 1990-х гг. и в начале XXI в. складывалась динамика номинальной заработной платы, индекса потребительских цен и реальной заработной платы, можно судить на основании статистических данных, приведенных в табл. 8.3.
Из табл. 8.3 видно, что за 1992-1999 гг. инфляция росла быстрее, чем номинальная зарплата, что привело к непрерывному падению реальной оплаты труда. С 2000 г. одновременное увеличение денежной оплаты труда и существенное снижение индекса потребительских цен привело к подъему реального вознаграждения за труд. Регулирование трудовых отношений, связанных с заработанной платой, связано, как
мы увидим далее, с образованием и распределением прибыли. Таблица 8.
Динамика номинальной и реальной заработной платы в России |
|
|
m2 г. |
1995 г. |
1999 г. |
2000 г. |
2001 г. |
2002 г. |
С ре дне меся чная но шшаль гнія начисленная заработездя плата работающих п зшіояикё, руб.
(до 199$ г. — тые. руб.) |
6 |
•472 |
1523 |
2223 |
3232 |
¦Ml 2 |
|
Индекс потребительских цеп (декабрь к декабрю предыдущего гола), % (до 199G г. [і разах) |
2Й.І
(раза) |
23
(раза) |
1,36 |
120 |
118 |
115 |
|
Реальная начисленная заработная плата, в % к предыдущему году |
67 |
72 |
78 |
120 |
121 |
116 |
|
§ 2 Прибыль предприятия
Как известно, каждый бизнесмен, начиная выгодное дело, стремится получить прибыль - прибавку к первоначально затраченной сумме капитала.
Прибыль образуется неодинаково в разных областях экономики - в производстве, торговле и в банковском деле. В первую очередь мы рассмотрим исходную форму прибыли - доход в фирмах - изготовителях экономических благ. От такого дохода зависит прибыль торговых и банковских организаций.
Как фирма получает прибыль
Допустим, бизнесмен затратил на выпуск 15 тыс. сотовых телефонов 20 млн руб. в год. Эти изделия он продал за 24 млн руб. Из полученной суммы следует вычесть 20 млн руб. для возмещения всех расходов, чтобы обеспечить самоокупаемость производства. Прибыль же составит разницу между суммой продаж и затратами:
24 млн - 20 млн = 4 млн руб.
Прибыль - доход фирмы, выступающий в виде прироста примененного капитала.
Откуда возникает такой прирост?
Предприниматель расходует на изготовление продукции два вида затрат: стоимость использованных средств производства (СП) и заработную плату работников (З). В сумме они образуют себестоимость продукции, которая показывает, во что обошелся предприятию выпуск товаров. Себестоимость (Сс) можно представить в виде формулы:
Сс =СП + З.
Себестоимость товара - это затраты предприятия на его производство, которые включают величину стоимости израсходованных средств производства и заработную плату работников.
Себестоимость изделий является минимальной границей продажной цены продукции. Продажа товаров по их себестоимости обеспечивает лишь самоокупаемость производства.
Достаточно ли этого бизнесмену? Разумеется, нет. Ведь себестоимость товара учитывает только часть новой стоимости, созданной
СИ
(стоимость средств производства) |
3
(заработная плата) |
п
(палоыш прибыль) |
|
|
|
|
|
|
|
—:- С
:| (попал стоимость) -
С (ТОЕМрШіЯ стоимость) -
Рис. 8.3. Структура стоимости товаров
на предприятии, - заработную плату. Она не включает в себя другую часть новой стоимости - валовую (общую) прибыль. Поэтому стоимость товара (Ст) выше себестоимости на величину валовой прибыли (Пв):
Ст=Сс+Пв.
Структура всей стоимости изготовленной продукции схематически представлена на рис. 8.3.
Из сказанного следует вывод. Первоначально доход фирмы возникает в производстве, когда к старой стоимости средств производства (СП) своим трудом работники фирмы прибавляют новую стоимость (Сн), включая валовую прибыль (Пв). Созданную на фирме и заключенную в готовых изделиях прибыль бизнесмен получит в виде денежной суммы только тогда, когда всю произведенную партию товаров оптом (целиком) продаст торговому посреднику (оптовому торговцу). Tаким образом, валовая прибыль (Пв) - это разница между оптовой ценой (Цо) и себестоимостью продукции:
Пв=Цо - Сс.
Рыночная цена блага, по которой его приобретает покупатель, может отклоняться от товарной стоимости в ту или другую сторону и тем самым влиять на величину получаемой прибыли. О возможных вариантах соотношения рыночной цены и составных элементов стоимости товара можно судить по рис. 8.4.
В хозяйственной практике может быть несколько уровней рыночных цен в сопоставлении со стоимостью и ее составными частями.
Заработная плата рассматривается с двух сторон. С одной стороны, она является доходом работника, который он создает собственным трудом. С другой стороны, при подсчете затрат предприятия величина оплаты труда включается в себестоимость продукции.
 |
Рис. 8.4. Соотношение цен и стоимости товаров
1. Цена (T1) устанавливается ниже себестоимости изделий, в результате чего они реализуются в убыток. 2. Денежная выручка за товар (Ц2) совпадает с издержками предприятия, что обеспечивает лишь самоокупаемость производства. 3. Если цена (Ц3) выше себестоимости и ниже стоимости, то предприятие получает прибыль в меньшем размере по сравнению с созданной в производстве. 4. Когда цена (Ц4) совпадает по своей величине со стоимостью, то прибыль фирма получит полностью. 5. Если рынок позволяет получать за товар больше денег (Ц5), чем он обошелся в производстве, то бизнесмен получает сверхприбыль. А общая величина его дохода оказывается больше массы прибыли, заключенной в товаре. |
Прибыль в виде суммы денег, полученных после продажи товаров, -это разница между оптовой ценой и себестоимостью товаров.
Итак, величина прибыли, полученная в виде денег после продажи товаров на рынке, зависит от двух основных факторов - уровня себестоимости изделий и высоты цен. Стремясь получить наибольшую величину прибыли, бизнесмен прежде всего добивается снижения себестоимости продукции путем улучшения техники и организации производства, строгого сбережения хозяйственных ресурсов. Кроме того, он старается также обеспечить наиболее благоприятные условия купли-продажи товаров на рынке.
Кому достается доход фирмы
Полученная после рыночных сделок прибыль подлежит распределению. Кому же достается вся валовая прибыль?
Некоторые люди предполагают, что вся прибыль обращается в доход, идущий на личное потребление бизнесмена. Это, наверное, может происходить так, если предприниматель является единоличным собственником предприятия и, к тому же, не заботится о расширении производства.
 |
Рис. 8.5. Распределение валовой прибыли
Если же фирма принадлежит нескольким собственникам, то ни один из них не вправе присвоить и по своему усмотрению израсходовать всю прибыль.
В условиях постиндустриального общества распределение прибыли для большинства собственников сильно усложнилось по сравнению с начальной фазой капитализма. Оно схематически изображено на рис. 8.5.
Прежде всего из прибыли вычитаются суммы, уходящие «на сторону». К ним |
относятся арендная плата за пользование чужой землей или зданиями, а также процент за заемные денежные средства. Кроме того, предприятие вносит налоги в бюджет государства и местных органов власти, вкладывает средства в благотворительные и иные фонды. Оставшаяся часть средств образует чистую прибыль. Она используется на производственные и социальные потребности предприятия, в том числе на накопление, охрану окружающей среды, подготовку и переподготовку кадров, социальные нужды работников предприятия и другие цели. Наконец, из чистой прибыли бизнесмен получает причитающийся ему лично предпринимательский доход. В акционерном обществе предназначенная в качестве личного дохода часть прибыли распределяется между всеми пайщиками, внесшими свой вклад в общий капитал.
За рубежом и в России имеются еще формы распределения новой стоимости, которые объединяют прибыль с оплатой труда.
Прежде всего это касается многих людей, занимающихся мелким бизнесом. При этом имеются в виду так называемые смешанные предпринимательские доходы. Их получают те единоличные собственники, которые производят и продают товары обычно на неорганизованном рынке. В их доходах как бы сливаются воедино заработная плата (возмещающая расходование рабочей силы) и прибыль. Совокупный денежный доход, состоящий из зарплаты и части прибыли, могут получать рабочие на предприятиях, где применяются стимулирующие системы участия «в прибылях», «в капитале». При этом денежное вознаграждение делится на две части. Первая и главная его часть выплачивается по обычным нормам оплаты труда, а вторая - в конце года в виде премии из прибыли фирмы. Премия выдается нерегулярно и ставится в зависимость от уровня дохода предприятия или от размеров той части прибыли, которая создается за счет либо экономии производственных расходов, либо сбережения затрат на рабочую силу. Все это делается с целью увязать экономические интересы каждого работника с улучшением результатов коммерческой деятельности фирмы.
Практика применения форм «участия в прибылях» показала недостаточную эффективность их использования для стимулирования труда работников. Ведь гибкая часть заработка зависит от финансовых итогов работы компаний, которые во многом определяются положением на рынке сбыта, уровнем налогообложения и другими внешними факторами. Поэтому сейчас все более широко применяется система «распределения доходов», при которой уровень оплаты труда непосредственно зависит от выработки и качества продукции, достигнутых каждым отдельным работником.
При нормальном состоянии экономики использование части прибыли для увеличения доходов работников позволит заинтересовать их в экономически эффективном использовании общего имущества, увеличении нормы прибыли.
Что показывает норма прибыли
Рассмотрим конкретный пример. Допустим, что две фирмы за год получают одинаковую по величине прибыль - 2 млн руб. Между тем на первой из них задействован капитал на сумму 20 млн руб., а на второй - 30 млн руб. Естественно, возникает вопрос: одинаково ли выгодно применен капитал в двух фирмах?
В 1990-х гг. доля участия рабочих в прибыли составляла в
Великобритании - 4 %, Германии и США - 4-5, Канаде - 10, Франции -
15 %.
Для сравнения фирм можно применить экономический показатель, определяющий степень выгодности вложения капитала. Этим показателем является норма прибыли, которая сопоставляет прибыль с авансированным (первоначально затраченным) капиталом. При этом авансированные средства (Ка) складываются из стоимости средств производства (СП) и расходов на заработную плату (З). В таком случае норма прибыли (Нп) предстанет как отношение валовой прибыли (Пв) к первоначально затраченным средствам, выраженное в процентах:
Н"=кІ=сп^Гт
Норма прибыли - отношение прибыли к авансированному капиталу, выраженное в процентах.
Если данный экономический показатель мы применим для сравнения выгодности бизнеса в указанных двух фирмах, то убедимся в неодинаковой степени прибыльности этих предприятий. Чтобы получить каждый миллион рублей прибыли, на первой фирме затратили 10 млн руб., а на второй - 15 млн руб.
Обычно под нормой прибыли понимается годовая норма прибыли: отношение полученной за год прибыли ко всему авансированному капиталу.
На Западе обычная норма прибыли в промышленности и других отраслях в 70—90-х гг. XX в. составляла 12-15 %. В этом случае бизнесмены проявляют активность и строго соблюдают правовые нормы хозяйствования. Более агрессивно ведут себя крупные монополии, получающие вдвое большую норму прибыли; при первой же возможности они пытаются обходить невыгодные им юридические предписания. Криминальные же элементы, например дельцы наркобизнеса, получают норму прибыли, достигающую 300 %.
В 1990-х гг. в России применялись следующие показатели доходности предприятий и организаций, которые основаны на формах государственной статистики и бухгалтерской отчетности (системы показателей, характеризующих состояние хозяйственных средств, их источников и итогов работы предприятия, организации за отчетный период). О степени доходности судят по следующим основным показателям:
а) прибыль - конечный финансовый результат: сумма прибыли от реализации (продажи) продукции, основных фондов, иного имущества, а также других доходов;
б) рентабельность продукции - соотношение между величиной прибыли от реализации продукции (работ, услуг) и затрат на ее производство и реализацию;
в) рентабельность активов - соотношение прибыли и средней стоимости активов предприятий (организаций). К активам предприятия относят основные и оборотные фонды, ценности.
Норма прибыли (соответственно рентабельность активов) характеризует эффективность деятельности фирм. Одновременно она определяет степень возрастания активности предпринимателей и даже их отношение к соблюдению правовых норм и законов.
В 1990-х гг. в России сложилась весьма противоречивая и в целом очень неблагоприятная динамика эффективности бизнеса. С одной стороны, многие промышленные монополии в 1992-1999 гг. подняли норму прибыли до 50-70 % и более. В криминальной экономике, например в наркобизнесе, норма прибыли достигла 1000 %. Но, с другой стороны, эффективность деятельности предприятий в национальном хозяйстве резко снизилась: рентабельность продукции упала с 32 % в 1992 г. до 8 % в 1998 г. Это во многом объясняется кризисным падением отечественного производства, о котором будет рассказано в главе 12.
Как было отмечено в начале данного параграфа, фирмы - изготовители массовой продукции сбывают ее по оптовым ценам торговым посредникам. Последние продают товары в розничной торговле по более высоким ценам. Интересно узнать, во-первых, как образуется в торговле надбавка к цене, и, во-вторых, какую норму прибыли получает торговый бизнес.
Насколько выгоден торговый бизнес
Еще на начальной фазе капитализма возникли два вида коммерческого предпринимательства: бизнес в производстве и бизнес в сфере торговли. Так
сложилось разделение хозяйственной деятельности между массовым изготовлением благ, с одной стороны, и продажей оптовых партий изделий в розницу населению -с другой.
Это разделение труда оказалось выгодным производителям. Они не содержат сеть розничных магазинов, а быстро сбывают все изделия торговцам-оптовикам и сразу же получают деньги, позволяющие расширять производство. В свою очередь, торговый бизнес сосредоточивается на продаже товаров, создавая сеть универсальных и специализированных магазинов. Это, естественно, позволяет лучше изучать потребительский спрос, качественнее и быстрее удовлетворять потребности людей.
Рассмотрим подробнее, как действуют торговые посредники. Узловыми пунктами их хозяйственного движения являются оптовая ирозничная торговля.
Оптовые закупки могут осуществляться в двух вариантах: а) в форме прямых поставок товаров от фирмы-изготовителя в торговое предприятие; б) в виде заключения сделок о поставке продукции на товарной бирже.
Товарная биржа - оптовый рынок, где продаются массовые заменяемые сырьевые и продовольственные товары. Эти блага называются «заменяемыми», поскольку речь идет не об определенных, конкретно установленных, а о любых товарах данного вида.
Товарная биржа - это такое учреждение, где реализуются не сами блага, а лишь заключаются контракты (соглашения со взаимными обязательствами для договаривающихся сторон) на их поставку. При этом продукты продаются по стандартам, в которых дан перечень необходимых признаков (качество, сортность и т. п.) и по образцам (зерно, сахар, шерсть, хлопок, кофе, каучук, металлы). Товарные биржи выявляют реальные цены с учетом складывающегося спроса и предложения. Поэтому фирмы, закупающие товары оптом (не только торговые, но и промышленные предприятия), всегда следят за биржевыми ценами, которые складываются на национальных и мировых оптовых рынках. Известны, например, биржи в Нью-Йорке (специализируются по хлопку, кофе, сахару, какао и др.),
Чикаго (зерновая биржа).
Торговый капитал доводит изготовленную продукцию до потребителей через розничные магазины. На начальном этапе развития этого капитала преобладали сравнительно мелкие лавки, магазины и
«Капитал боится отсутствия прибыли или слишком маленькой прибыли, как природа боится пустоты. Но раз имеется в наличии достаточная прибыль, капитал становится смелым. Обеспечьте 10 %, и капитал согласен на всякое применение, при 20 % он становится оживленным, при 50 % положительно готов сломать себе голову, при 100 % он попирает все человеческие законы, при 300 % нет такого преступления, на которое он не рискнул бы, хотя бы под страхом виселицы».
Даннинг Т. Дж., английский публицист, XIX в. торговые кооперативы (которые закупали изделия у производителей и продавали их членам кооператива или сбывали на рынке продукцию крестьян и ремесленников). В интересах потребителей получили распространение разные формы торговых операций и предприятий: специализированные и универсальные магазины, посылочная торговля, продажа вещей в кредит.
Укрупнение торгового капитала и совершенствование оптовых и розничных сделок привели к ускорению торгового оборота и повысили выгодность торгового бизнеса. Одно важно уяснить, что представляет собой торговая прибыль?
С начального периода развития капитализма механизм образования торговой прибыли таков. Промышленное предприятие реализует свои товары торговцу по оптовой цене, которая несколько ниже стоимости продукции. Торговый посредник продает эти изделия населению по розничной цене, равной стоимости товара, и получает торговую прибыль.
Почему же владелец капитала в промышленности уступает часть своей прибыли торговцу? Лишь потому, что иначе ему самому пришлось бы заводить сеть розничных магазинов, увеличивая для этого авансированный капитал. А это, разумеется, неизбежно уменьшило бы его норму прибыли. В свою очередь, собственники торгового капитала стремятся, как и промышленники, получать одинаковую выгоду от капитала - независимо от того, где он применяется.
Теперь мы должны уяснить, как конкретно устанавливается торговая прибыль и подсчитывается норма торговой прибыли.
Прежде всего, определяется розничная цена: к оптовой цене товара добавляется торговая надбавка. Эта надбавка покрывает торговые издержки (затраты по организации торгового предприятия) и включает торговую прибыль.
Для подсчета нормы торговой прибыли (Н'т) надо сопоставить величину полученной торговой прибыли (Пт) с размером первоначально затраченных на торговлю денег (Дт). Формула нормы торговой прибыли выглядит так:
П
тН'= * 100.
Дт
Норма торговой прибыли - отношение величины торговой прибыли к затраченному торговому капиталу, выраженное в процентах.
Теперь предположим, что норма прибыли в торговле стала выше, чем в промышленности. Тогда заводские предприниматели будут вкладывать свои капиталы в более прибыльное дело. Но вскоре из-за избытка капитала в сфере торговли рентабельность понизится. Естественно, что выгоднее станет заниматься промышленным бизнесом. Таким образом, переход капиталов из менее прибыльной сферы экономики в более доходную в условиях свободной конкуренции проходит безостановочно.
Конкуренция между промышленным и торговым капиталом за сферы наиболее прибыльного вложения денег приводит, в конечном счете, к уравнению нормы прибыли. Такое выравнивание степени выгодности приложения капитала усилилось в результате образования торгово-промышленных объединений. Как свидетельствует мировой опыт, укреплению сотрудничества промышленного и торгового бизнеса и повышению их общей нормы прибыли во многом способствует маркетинг.
Маркетинг: каковы его правила
Маркетинг (рынковедение) - управление фирмой, которое приспосабливает производство к требованиям рынка. Такое направление в деятельности бизнеса в западных странах появилось в начале XX в. не случайно. Оно было призвано сгладить противоречия между предложением товаров со стороны продавцов и спросом со стороны покупателей.
Суть дела состояла в следующем. Переход к индустриальной стадии производства привел к значительному увеличению выпуска предметов потребления. При этом предприятия рассчитывали на расширение так называемого «рынка продавца», т. е. на сбыт традиционной продукции, изготовление которой давно было налажено. Но в то же время вырос жизненный уровень населения и качественно повысились их потребности. В результате рыночное предложение переставало соответствовать спросу потребителей. Фирмы нашли выход в том, чтобы нацелить выпуск товаров на «рынок покупателя»- на изменяющиеся потребности людей.
Американская фирма «Бергер кинг», владеющая сетью закусочных, сформулировала основное правило: «Производите то, что можете продать, вместо того, чтобы пытаться продать то, что можете произвести». Специалисты по маркетингу популярно объяснили: «Червяк должен быть по вкусу рыбе, а не удильщику».
В настоящее время на крупных фирмах действуют отделы маркетинговых исследований. В них специалисты определяют вид и качество продаваемых товаров, всесторонне изучают состояние рынка, устанавливают наиболее приемлемые цены продукции и разрабатывают рекламу изделий.
Маркетинг - деятельность фирмы, направленная на изучение и лучшее удовлетворение спроса покупателей в целях более выгодной продажи товаров. Успешное развитие «рынка покупателя» опирается на следующие правила маркетинга.
1. Выбирать для производства такой продукт, который нужен покупателю, обладает высоким качеством и конкурентоспособностью. Для этого фирмы изучают рыночный спрос; повышают качество товара; выбирают для обслуживания участок рынка, где слабо заботятся о потребителе; улучшают внешнее оформление товаров и др.
2. Устанавливать оптимальную (наилучшую) цену, которая должна быть приемлемой для покупателя и вместе с тем покрывать затраты по производству и сбыту продукции, приносить прибыль.
Предприятия применяют гибкое ценообразование. Они, например, предлагают: если покупатель приобретет 5 кусков мыла, то 6-й достанется ему бесплатно. В случае, если потребитель неудовлетворен покупкой, скажем, предмета длительного пользования, то ему гарантируется возвращение денег.
Фирма «Америкэн тайм корпорейшн» при изучении рынка ручных часов в США выявила три сегмента по типу требований покупателей. Первый сегмент (23 % рынка) составили люди, желающие приобрести дешевые часы и не придающие значения их качеству и внешнему оформлению. Потребители второго сегмента (46 %) предпочитали часы высокого качества, более элегантные и дорогие. Третий сегмент (31 %) составляли люди, которые покупают часы в качестве подарка и особенно интересуются их внешним оформлением. Однако оказалось, что часовая промышленность в основном выпускала продукцию для третьего сегмента. Фирма «Америкэн тайм корпорейшн» резко увеличила производство улучшенных изделий для первых двух сегментов и использовала новые каналы сбыта (часы стали продаваться в универмагах, аптеках и других звеньях рыночной торговли). В итоге фирма вышла на первое место в мире по производству наручных часов.
3. Использовать все способы для продвижения товара, так воздействовать на людей, чтобы они приобрели его.
В этих целях применяются:
• предпродажное обслуживание (предоставление кредита на покупку) и послеторговое обслуживание (гарантийный ремонт и др.);
• стимулирование сбыта товаров и премирование постоянных клиентов предприятий сферы услуг (гостиниц, авиалиний, банков и т. п.);
• предоставление максимума удобств для потребителей («шведский стол» в ресторанах, гостиницах);
• профессионально поставленная реклама.
4. Определить место и время - где и когда лучше продавать товары. Здесь, в частности, важно учитывать места наибольшего скопления возможных покупателей (центр города, вокзалы и т. п.), время их появления в местах торговли, жизненный уровень и покупательную способность местных жителей.
Как свидетельствует многолетний опыт, применение маркетинга позволяет производителям и продавцам решительно улучшить торговый сервис (обслуживание). Однако нельзя не видеть оборотной стороны маркетинга:
• повышение цен из-за дорогой, хотя и красивой упаковки;
• рост расходов на кредит покупателям, их послеторговое обслуживание и др.;
• широкое распространение назойливой и зачастую недостоверной рекламы;
• применение ядовитых красителей, вредных пищевых добавок, придающих товарам более привлекательный вид;
• рекламирование вредных для здоровья товаров - сигарет, спиртных напитков и т. п.
Против таких действий фирм применяются соответствующие противодействия. Во многих странах законодательство предусматривает защиту прав потребителей; усиливается контроль за качеством продукции; упорядочивается рекламная деятельность, с тем чтобы она не наносила ущерб людям. В этом же направлении активно действуют общества, защищающие права потребителей.
Итак, благодаря маркетингу фирмы-производители совершенствуют производство и улучшают рыночные связи с потребителями их продукции. В конечном счете все это ведет к увеличению нормы прибыли.

§ 3 Процент
Кредит: почему он быстро растет
Рассмотренный нами производственный и торговый капитал, как и весь мир бизнеса, имеет одну удивительную особенность. Она состоит в нарастающем расширении кредита (ссуды) - долговых отношений.
Долговые отношения возникают не случайно. Они обусловлены прежде всего неравномерностью кругооборота богатства. Возьмем простой пример с крестьянином-земледельцем. Он получает урожай и связанный с ним денежный доход осенью. Между тем весной он несет большие расходы, вызванные, скажем, посевами зерновых культур или посадкой картофеля и овощей. В этот момент он зачастую прибегает к денежному займу, чтобы рассчитаться по долгам осенью.
Предоставление денег в долг стало постоянным явлением очень давно - в период зарождения рабовладельческого общества.
Лгда развилось ростовщичество - выдача денег при условии уплаты заемщиком процентов при возврате долга. Ростовщики предоставляли деньги простым людям для того, чтобы те уплачивали старые долги и покупали товары. А знати ссуда выдавалась для строительства замков, покупки предметов роскоши, ведения войн и т. п. Пользуясь острой нуждой людей в денежных средствах, ростовщики брали с должников огромные проценты,
доходившие до 500 и даже 900 % годовых.
Еще в XX в. ростовщический капитал сохранялся во многих странах Азии, Африки и Латинской Америки. Его питательная среда - слаборазвитые товарно-денежные отношения и преобладание отсталых мелкотоварных хозяйств.
Ростовщичество с его чрезвычайно высокими процентами препятствовало развитию капиталистической экономики. Поэтому буржуазия повела упорную борьбу против него, за снижение ссудного процента. В результате были созданы новые источники денежного - ссудного капитала, который предоставляется под приемлемый процент.
Весельчак Панург из романа Франсуа Рабле «Гаргантюа и Пантагрюэль» высказал поразительное суждение: «Природе легче было бы питать рыб в воздухе и пасти оленей на дне океана, чем терпеть скаредный мир, где никто не давал бы в долг».
В отличие от ростовщичества ссудный капитал предоставляется не на какие-то потребительские цели, а для коммерческого предпринимательства в целях получения прибыли. Другая отличительная черта владельца ссудного капитала состоит в том, что он выступает попеременно в двух лицах: то как должник, то как заимодавец.
Ссудный капитал - денежные средства, которые выдаются бизнесменам на установленный срок на условиях возвратности и за определенную плату в виде процента.
Ссудные капиталисты сначала накапливают денежный капитал за счет заимствования денежных средств у физических и юридических лиц. При этом привлекаются незанятые в деле деньги. Они черпаются из фонда амортизации (восстановления) основного капитала, из постепенно образующегося (по мере продажи продукции) фонда заработной платы и тому подобных источников. Все такие временно свободные денежные средства в течение определенного времени не приносят никакого дохода. Поэтому их отдают в качестве ссуды с выгодой - за определенный процент.
Собрав большие суммы денежных средств, владельцы ссудного капитала выполняют роль кредиторов. За существенно больший процент они предоставляют деньги предпринимателям, которые используют их для своих хозяйственных нужд (строительства производственных зданий, закупки оборудования, сырья и т. д.).
Процент - плата должника за взятые взаймы деньги.
Основными формами кредита являются коммерческий и банковский.
Коммерческим называют такой кредит, который предоставляется товарами с отсрочкой платежа. Он выдается, когда приобретатель продукции не может немедленно расплатиться за нее наличными деньгами. В этом случае используется, как правило, вексель - специальное долговое обязательство заемщика уплатить определенную сумму денег в указанный срок. Зачастую предприниматель, получивший вексель, делает на нем передаточную надпись (индоссамент) и использует вместо денег для покупки необходимой продукции у другого продавца, а этот - у третьего и т. д. Тем самым, попадая в торговый оборот, вексель становится простейшим видом кредитных денег.
Универсальный характер имеет банковский кредит, который выдается в виде денежных ссуд. В отличие от коммерческого займа он может предоставляться в значительно большем объеме, на более длительные сроки каждому бизнесмену и на любые цели.
Чем занимаются банки
Банки являются центрами кредитных отношений. Их основное назначение - сосредотачивать денежные средства и предоставлять их в ссуду.
Важной и исторически первоначальной задачей банков является посредничество в платежах. Они хранят у себя денежные средства предпринимателей. По поручению бизнесменов банки ведут расчеты с поставщиками и покупателями, осуществляют платежи в государственную казну и кассовое обслуживание предприятий (выдают им наличные деньги).
Банковские денежные средства складываются из собственных капиталов банков (они образуют, как правило, незначительную часть всех средств; в США, например,
8 %) и депозитов - вкладов клиентов (лиц, пользующихся услугами кредитного учреждения и др.). Депозиты делятся на срочные (вложения на определенный срок и не подлежащие изъятию до его наступления) и до востребования (вклады на текущие счета, которые банк обязан выдать по первому требованию вкладчика). Имеющиеся средства банки выдают в ссуду. Так, они предоставляют кредит под залог ценных бумаг (акций, облигаций и т. п.). Ссуды предоставляются и под залог товаров, находящихся на складах, в пути, в торговом обороте. Если эти кредиты не погашаются в срок, то заложенные ценные бумаги и товарно-материальные ценности переходят в собственность банков.
Банки занимаются также торгово-комиссионной деятельностью: покупают и продают золото, обменивают национальную валюту на иностранную, размещают займы, продают акции и облигации и т. п.
Все население западных стран находится в сложной сети кредитных отношений, с которыми связаны как получение денежных ссуд, так
«Спросите любого богатого человека, отличающегося обычным благоразумием, кому он ссудил бы большую часть своего капитала - тем ли, кто, по его мнению, даст ему прибыльное применение, или же тем, кто затратит его без всякого дела, - и он рассмеется в ответ на такой вопрос».
Смит А. Исследование о природе и причинах богатства народов (1776). и уплата процентов. С одной стороны, в США, Германии и некоторых других странах фирмы прямо переводят заработную плату многих рабочих и служащих на депозитные счета банков. С помощью чеков, выпускаемых этими кредитными учреждениями, большая часть населения расходует крупные суммы на покупки. Естественно, что в условиях инфляционного обесценивания денег хранение личных доходов в банках и получение за это определенного процента выгодно работникам.
С другой стороны, банки все активнее вторгаются в кредитование населения (предоставление ссуд для покупки товаров длительного пользования и жилья). Быстрый рост потребительской задолженности и расширение банковских операций по «розничному» обслуживанию населения увеличивают возможности финансового обогащения кредитных учреждений. В результате значительная часть текущих доходов трудящихся должна направляться на погашение задолженности, что, конечно, усиливает неустойчивость их материального положения.
Более подробно о деятельности банков будет сказано в гл. 14 при рассмотрении денежно-кредитной системы.
Насколько выгоден банковский бизнес
Банки работают на коммерческом расчете и стремятся получить за свои услуги больше прибыли. Как это им удается?
Банковская прибыль образуется потому, что процентная ставка по кредиту (отношение процента, уплачиваемого за заем, к величине ссужаемого капитала) всегда больше процентной ставки по депозиту (отношение процента, выплачиваемого вкладчику, к сумме его денежного вклада).
О разнице между этими видами процентных ставок мы можем судить по данным табл. 8.4.
Таблица 8.4

Процентные ставки по кредитам и депозитам, среднегодовые, 2002 г.
П
чп'ч=-^.то(
Основу валовой (общей) прибыли банков составляет разница между всей суммой ссудных процентов и общей суммой депозитных процентов. Кроме того, в эту общую прибыль банков входят их доходы от всех коммерческих операций (в том числе, например, от купли-продажи валюты). Часть этой прибыли банка покрывает его издержки (выплату заработной платы банковским служащим, содержание помещений, канцелярские расходы и т. п.). Оставшаяся часть - чистая прибыль. Данный показатель используется для исчисления нормы банковской прибыли.
При подсчете нормы банковской прибыли было бы неправильно учитывать привлеченные - по сути дела чужие - деньги, которые подлежат возврату их собственникам.
Норма прибыли банка (П'ч) подсчитывается по следующей формуле:

где Пч - чистая прибыль, Кс - собственный капитал банка.
Норма прибыли банка - это отношение чистой прибыли банка к его собственному капиталу, выраженное в процентах.
Норма дохода банка, как правило, не превышает степень обогащения промышленного и торгового капитала. Только в чрезвычайных случаях (например, для спасения предприятия от банкротства) бизнесмен приобретает ссудный капитал по чрезмерно высокой процентной ставке, которая превышает степень увеличения капитала. В современных условиях нормы прибыли банковского капитала и крупного промышленного бизнеса в достаточной мере сравнялись.
Совершенно иная картина в 1990-х гг. наблюдалась в России. Банки использовали ряд благоприятных для них условий (громадное обесценивание денег, спекулятивная нажива на купле-продаже иностранной валюты, использование денег из государственного бюджета для своего обогащения и др.), чтобы довести норму банковской прибыли до астрономических величин (1000 % и более).
Ненормальность такого положения состояла в том, что денежный капитал стал во все большей мере изыматься из сферы производства. Его самоцелью стало получение огромных ростовщических процентов. Но такие проценты превратились в тормоз для развития производственного бизнеса.
Процентная ставка по кредиту характеризует результативность применения ссудного капитала и определяется как отношение суммы дохода банкира к сумме ссудного капитала (выражено в процентах).
Если, предположим, на отданный в ссуду капитал в 400 тыс. руб. его собственник получает годовой доход в размере 16 тыс. руб., то норма ссудного процента составит:

В самом конце XX в. положение российских банков несколько улучшилось. Между тем требуется серьезно преобразовать банковскую систему, чтобы она эффективно служила экономическому подъему страны. В этих же целях важно использовать кредитные отношения, на которых основывается деятельность акционерных обществ.
Как образуется доход акционеров
Как известно, акционерное общество отличается от обычного предприятия тем, что при необходимости может увеличить свой капитал путем выпуска и продажи ценных бумаг (акций, облигаций ит.п.).
Акция - это ценная бумага, которая свидетельствует о внесении ее владельцем (акционером) доли в акционерный капитал (уставной фонд). Акция дает право получать часть прибыли предприятия в виде дивиденда - дохода, приходящегося на акцию. В открытом акционерном обществе владелец акции может свободно продавать ее на рынке ценных бумаг. Как в последнем случае определяется рыночная цена акций?
Сумма, обозначенная на акции, составляет ее номинальную стоимость. Она определяется так: сумма уставного капитала, вложенного в действующее предприятие, делится на число акций. Но купля-продажа акции происходит не по такому номиналу, а по ценам, стихийно складывающимся на рынке ценных бумаг. Цена, по которой акция продается и покупается, называется курсом акции.
Курс акции зависит от двух факторов: величины дивиденда и ставки депозитного процента .
Естественно, что курс акции тем выше, чем больше дивиденд. Между тем перед человеком, который думает купить акцию, возникает альтернатива (выбор между двумя или несколькими исключающими друг друга возможностями): а) отдать деньги в ссуду, положить в банк и получать более устойчивый депозитный процент; б) купить акцию, которая дает в виде дивиденда значительно большую сумму, чем депозитный процент.
Эту альтернативу в значительной мере решает следующий курс: акция продается за такую сумму, которая, будучи превращена в банковский депозит, принесет доход (в виде процента по депозиту), равный дивиденду. Поэтому цена акции исчисляется по формуле:
Курс акціей
Дивиденд
-р----то.
ЬапКОвскии щнщепт
Курс акций - сумма денег, которая при ее вложении в банк дает в виде депозитного процента доход, равный дивиденду.
Цена акции постоянно колеблется вокруг своей нормальной величины в зависимости от изменения соотношения между спросом на те или иные акции и их предложением на рынке ценных бумаг. Во время подъема экономики, когда прибыли, а вместе с тем и дивиденды растут, курс акций повышается. Когда же из-за спада производства дивиденды сокращаются, курс резко снижается. Таким барометрическим колебанием рынок ценных бумаг сигнализирует об общем «здоровье» экономики страны.
На фондовой бирже (рынке ценных бумаг) многие владельцы акций пытаются получить курсовую прибыль - доход от изменения цены акции. Однако это больше всего удается крупным предпринимателям, лучше других осведомленных о текущем и будущем состоянии экономики. Большинство тех, кто пытается «играть» на бирже на повышение или понижение курса акций, подвергается большому риску. Как его уменьшить?
Специалисты дают следующие рекомендации, как правильно обращаться с акциями и включиться в биржевую игру.
1. Целесообразно вкладывать в акции только ту часть своих сбережений, которая не потребуется в течение длительного времени.
Рассмотрим на конкретном примере, как определяется курс акции. Предположим, акция номинальной стоимостью 300 долл. ежегодно приносит дивиденд в размере 25 долл., а ставка депозитного процента
равна 5 %. Тогда эта акция будет котироваться (устанавливаться цена на бирже) по курсу 500 долл. Эта сумма, положенная в банк из расчета 5 % годовых, принесет годовой доход, равный дивиденду (25 долл.).
Это позволит выбирать наиболее благоприятные моменты для соблюдения старого правила биржи: купить по низкому курсу, продать по высокому курсу.
2. Инвестору целесообразно изучить предприятие, акции которого он собирается приобрести. Важно достоверно знать о надежности финансового положения выбранной фирмы и росте ее доходов.
3. Целесообразно при покупке акций не ждать предельно низкого курса, а при продаже - абсолютно высокого уровня. Тогда более вероятно с одной акции получить хорошую курсовую прибыль.
4. Поскольку слишком многие непредвиденные события могут оказать влияние на биржу, рекомендуется получать информацию о ходе дел от специалистов. Они имеют достоверные сведения о состоянии рынков и предприятий.
Помимо акций купле-продаже подлежит и такая ценная бумага, как облигация. Облигация - долговое обязательство, по которому его владельцу выплачивается ежегодный доход в форме процента к нарицательной стоимости облигации. Доход по облигации может выплачиваться также в форме выигрышей, разыгрываемых в специальных тиражах, или путем оплаты купонов (частей ценной бумаги, которые отрезаются от нее и передаются вместо расписки при получении дохода).
Таким образом, в параграфе 3 мы рассмотрели процент как один из видов доходов, образованных из новой стоимости. Он решительно отличается от заработной платы и предпринимательского дохода, которые связаны с определенными формами хозяйственной деятельности. Что касается процента, то этот вид дохода обусловлен использованием собственности на движимое имущество - деньги, ценные бумаги. Такое происхождение процента роднит его с рентой - доходом от собственности на недвижимое имущество.
На фондовом рынке крупные спекулянты заключают фьючерсные (на длительный срок) сделки. Они стремятся сыграть на разнице в курсах акций, возникающих к сроку ликвидации контракта (договора). Лица, спекулирующие на продаже акций по пониженной цене (их на бирже называют «медведи» или «понижатели») через печать, радио, телевидение добиваются снижения их цен к ликвидационному сроку, для чего создают искусственное превышение предложения акций над их спросом. Напротив, покупателей акций на срок, играющих на повышение курсов, называют «быками» («повышателями»). Они также рассчитывают получить своими методами курсовую прибыль.
§ 4 Рента
Рентой чаще всего называют доход, который получают собственники какого-то имущества, не участвующие в предпринимательской деятельности.
Нам важно узнать, что представляет собой рента, которая образуется в процессе производства и распределения новой стоимости. Этот доход связан с отношениями между бизнесменом и собственником земли. Разумеется, речь идет об экономических условиях использования земли при создании новой стоимости и вознаграждении землевладельца. Эти условия мы рассмотрим на типичном примере хозяйственных связей между капиталистическим предпринимателем и земельным собственником, которые складываются в сельском хозяйстве.
Что представляют собой земельные и рентные отношения
Между предпринимателем и землевладельцем возникают прежде всего земельные отношения. Их существо состоит в том, чтобы найти способ получения предпринимателем земли для ее хозяйственного использования. Таким способом является аренда земельного участка.
Аренда земли - вид землепользования, при котором собственник передает свой участок на определенный срок другому лицу (арендатору) для ведения хозяйства.
В арендном договоре предусматривается вознаграждение землевладельцу -арендная плата.
В XVI-XVII вв. возникла капиталистическая (предпринимательская) аренда земли. В этом случае арендатор вкладывает в землю собственный капитал, ведет хозяйство с помощью наемного труда с целью извлечения прибыли. Такая аренда особенно распространена в США, Великобритании, Бельгии, Нидерландах и Франции.
В современных условиях в странах Запада на аренду земли воздействует ряд неблагоприятных факторов. Это - создание на химических предприятиях многих заменителей сельскохозяйственного сырья, растущая концентрация сельскохозяйственного производства, массовое разорение крестьян и фермеров из-за возросшей конкуренции на рынках сбыта сельскохозяйственной продукции и др.
В результате заметно сокращение удельного веса арендованной земли в общем количестве земли в сельском хозяйстве. Наблюдается также все большее соединение земельного собственника и предпринимателя в одном лице.
Земельные отношения, связанные с арендой земли, неизбежно порождают рентные отношения. Ведь предприниматель в форме арендной платы обязан отдать землевладельцу ренту - доход за временное использование земли. Однако возникает непростой вопрос: за счет каких источников образуется рента?
Первое, что многим приходит на ум: ренту порождает природа - подобно тому, как она дарит людям новые плоды. Если признать, что ренту создает сама природа, то возникает вопрос: не проще ли самому собственнику земли снимать с нее «урожай» в виде денег?
Однако в действительности дело обстоит гораздо сложнее. Если не учитывать влияние климатических изменений, земля сама по себе не в состоянии увеличивать плодородие и урожай без применения труда и капитала. Отсюда вытекает необходимость принимать во внимание экономические отношения между собственниками всех факторов производства - земли, рабочей силы и капитала. Широко распространено и такое объяснение экономической природы ренты. Будто бы в стоимость каждого сельскохозяйственного продукта составной частью входит стоимость земли, поэтому земельная рента является оплатой земли. Но известно, что первозданная, необработанная земля как таковая в отличие от других средств производства не является продуктом человеческого труда и не имеет стоимости. Правда, для улучшения естественного плодородия земли часто применяется капитал с тем, чтобы провести мелиорацию (коренное улучшение сельскохозяйственных земель).
Лгда земля приобретает стоимость ровно на сумму капитальных затрат. Естественно, такие затраты входят в стоимость произведенной продукции и после ее продажи полностью возмещаются предпринимателю. Значит, капиталовложения в землю не являются источником ренты.
Итак, ни земля, ни капитальные затраты на средства производства не могут создать новую стоимость - источник всех доходов. Как же в таком случае создается рентная стоимость?
Предприниматель, арендовавший большой участок земли, привлекает для сельскохозяйственного производства работников. Как и в любой отрасли, в процессе материального производства создается новая стоимость. Она, как известно, распределяется на заработную плату и валовую прибыль. Основная часть последней в размере обычной для данного общества прибыли (например, средней прибыли для свободного частного капитала) достается предпринимателю. Не получая такого нормального дохода, он не будет брать землю в аренду. За использование чужой

земли фермер-капиталист расплачивается остальной частью своего дохода, выступающей в виде сверхприбыли.
Стало быть, рентные отношения складываются между собственниками земли и арендаторами по распределению прибыли. Одна ее часть - в виде обычной, нормальной прибыли - достается предпринимателю, а другую долю - в форме сверхприбыли - получает земельный собственник (рис. 8.6).
 |
|
Рис. 8.6. Источники дохода предпринимателя и землевладельца |
Земельная рента - сверхприбыль, которая получена от производительного использования арендованной земли и достается землевладельцу.
Самое трудное теперь - понять, почему в сельском хозяйстве постоянно образуется эта сверхприбыль, какие конкретные формы она принимает в условиях конкуренции.
Рентная сверхприбыль: как она образуется
Источник земельной ренты - сверхприбыль - возникает в силу тех особых экономических условий, которые складываются по присвоению и использованию земли. В отличие от всех обычных средств производства, которые зачастую изготавливаются в нужном количестве, земля не создана людьми, ее количество ограничено. К тому же она различна по качеству (естественному плодородию, месторасположению - удаленности от рынка сбыта сельскохозяйственной продукции). Различаются лучшие, средние и худшие участки земли. Сельскохозяйственных продуктов с одних только лучших и средних по качеству земель недостаточно для удовлетворения общественных потребностей в них.
Поэтому предприниматели, при условии получения обычной прибыли, берут в аренду и худшие участки. В результате возникают особые условия образования цен на зерно и другую продукцию. Рыночная цена за каждую ее единицу складывается по условиям производства на худших землях. Все фермеры сбывают выращенный урожай по ценам, которые не только окупают повышенную себестоимость (непреднамеренно большие затраты труда и материальных ресурсов) на худших землях, но обеспечивают и там, как минимум, обычную прибыль.
В силу более благоприятных условий себестоимость единицы продукции на лучших и средних по качеству землях ниже, чем на худших участках. Если сложить такую относительно низкую себестоимость (скажем, 1 ц пшеницы) с обычной прибылью, то на лучших участках ее индивидуальная цена будет ниже рыночной. Поэтому фермеры, хозяйствующие здесь, получают при продаже созданных благ по рыночной цене дополнительную сверхприбыль.
Дифференциальная (разностная) сверхприбыль - это разница между рыночной ценой, отражающей повышенные затраты на худших участках земли, и более низкой индивидуальной ценой единицы продукции на лучших землях.
Земельный собственник прекрасно осведомлен о качестве принадлежащей ему земли и учитывает это обстоятельство в арендном договоре. Поэтому разностная прибыль достается ему в виде дифференциальной ренты. Такая рента бывает двух видов (табл. 8.5).
Дифференциальную ренту I (первого вида) собственник земли получает с лучших участков, отличающихся большим естественным (не зависящим от человека) плодородием и более благоприятным месторасположением (близостью к рынку сбыта продукции). В арендном договоре он сразу же предусматривает такую арендную плату, которая изымает в его пользу соответствующую разность -сверхприбыль.
Таблица 8.5
Дифференциальная рента
|
Виды различий |
Диффере п циальпая рента |
|
первого гида |
Еггорого гида |
|
Усладил образования |
Различия земель по |
Различия земель |
|
|
естественному плодородию |
по окоЕзомическому |
|
|
и месторасположению |
плодородию |
|
Вид добавочной прибыли |
Разница между обществен-
ПОЙ И НЕЗДИВНДУНЛЬЕЗОЙ
репой лучшей земли |
Рал Еіицаме жд у общест ге ез езой и индивидуальной пеной плодородной земли |
|
Кому доедается .добавочная прибыль |
Ссбст Etc п пику |
В пределах ітроіса аренды — і іредприЕзимаіедю |
Дифференциальная рента II (второго вида) образуется в результате того, что арендатор повышает экономическое плодородие земли: вносит удобрения, проводит мелиорацию и иные технологические мероприятия. В этом случае выпуск продукции возрастает без расширения земельных участков. В результате совершенствования земледелия себестоимость единицы продукции понижается. Продавая продукцию по установившейся рыночной цене (соответствующей условиям производства на худших землях), фермер получает новую дифференциальную сверхприбыль. Она представляет собой разницу между рыночной ценой единицы продукции и индивидуальной ценой, которая понизилась вследствие улучшения землепользования на арендованном участке.
Дифференциальная сверхприбыль второго вида с самого начала достается предпринимателю, осуществившему более эффективные капитальные затраты. Это служит несомненным стимулом нововведений, которые увеличивают продуктивность сельского хозяйства. Убедительным примером служит так называемая зеленая революция. С помощью улучшенных культур растений в 1960-х гг. в Индии, Мексике и других странах урожайность возросла в 4 раза.
Дифференциальную сверхприбыль второго вида арендатор получает до истечения срока арендного договора. Когда же собственник земли вновь заключает с предпринимателем договор, он старается учесть результаты капиталовложений в улучшение земли, произведенные без всякого его участия. И он назначает более высокую арендную плату. В результате землевладелец присваивает новую сверхприбыль в качестве дифференциальной ренты II. Естественно, что интересы фермера, стремящегося получить выгоду от своих нововведений, и собственника земли, желающего воспользоваться плодами чужого труда, сталкиваются. Между ними идет борьба за срок арендного договора. Предприниматель старается получить землю на возможно более длительный срок, а собственник земельного участка стремится сократить этот срок, чтобы быстрее получить дифференциальную ренту.
Наиболее эффективно достижения современного этапа научнотехнического прогресса использует в западных странах крупный агробизнес. Он соединяет в едином агропромышленном комплексе: а) изготовление необходимых средств производства для сельского хозяйства; б) само это хозяйство и в) отрасли переработки полученной
продукции. Новейшие научно-технические достижения позволяют также поднять продуктивность труда на семейных фермах. Наибольшую же выгоду получают крупные фермеры, сбывающие подавляющую часть сельскохозяйственной продукции. В США в середине 1980-х гг. более 300 тыс. фермерских хозяйств (14 % всех ферм), имевших годовой объем реализации свыше 100 тыс. долл. на одну ферму, давали более 70 % всей товарной сельскохозяйственной продукции. На них занято около 80 % всех наемных сельскохозяйственных рабочих. На другом полюсе - около 1400 тыс. хозяйств (63 % всех ферм), которые ежегодно продавали сельскохозяйственную продукцию на сумму менее 20 тыс. долл. Большая часть из них является убыточной.
Подобным же образом образуется рента в добывающей промышленности (где получают энергоносители, полезные ископаемые и другие сырьевые продукты). Здесь дифференциальный доход порожден различиями в уровне производительности труда и величине себестоимости, которые обусловлены неодинаковым богатством залежей и неравенством других природных условий на рудниках, шахтах, нефтяных и газовых скважинах. Цены на продукцию добывающей индустрии устанавливаются, естественно, по худшим условиям производства. На лучших же участках, где получают полезные ископаемые с меньшими издержками, образуется разностный доход. Он достается собственнику земли в виде ренты.
Знание экономического существа ренты позволяет понять, что представляет собой цена земли.
По какой цене продается земля
В развитом рыночном хозяйстве земля является предметом купли-продажи. Что же в этом случае лежит в основе цены на землю?
При продаже земли ее собственник заботится о том, чтобы не потерять получаемый им рентный доход. Он, по-видимому, стремится получить за участок по крайней мере такую сумму денег, которая, будучи помещена в банк, принесла бы ему годовую величину процента, равную ренте. В свою очередь покупатель земли, прежде чем стать ее собственником, сравнивает приносимую землей сумму ренты с процентом, который он может получить, если положит свои деньги в банк. Стало быть, цена земли есть капитализированная (превращенная в денежный капитал) рента. Цена земли (Цз) прямо пропорциональна величине ренты (Рз) и обратно пропорциональна ставке депозитного процента (Пц):

На рыночную цену земли определенное влияние оказывает соотношение предложения и спроса на данный товар. При этом важно отметить, что количество предлагаемой земли не может вообще измениться под воздействием повышения или снижения цены: общее количество освоенной земли невозможно увеличить.
Для современных условий характерна тенденция уменьшения предложения земли вследствие ряда обстоятельств. В частности, непрерывно усиливается процесс урбанизации (роста городов) и использования земли для других несельскохозяйственных целей (добычи полезных ископаемых, строительства аэродромов и т. п.). В связи с этим государство в ряде стран идет на национализацию части земель (выкупая ее у собственников), создает национальные парки и заповедники, в которых сохраняется в неприкосновенности природная среда. Оно улучшает использование земель для городского строительства и рационального развития отдельных регионов страны. Все это, естественно, ограничивает предложение земли на рынке.
Вследствие уменьшения предложения земли начинает действовать закон цены по массовому предложению (см. гл. 5), согласно которому цена на землю повышается (см. рис. 5.7).
На рис. 8.7 показано, что происходит при сокращении земельных угодий, являющихся предметом купли-продажи на рынке земли. При начальном количестве предлагаемой для продажи земли, указанном на оси ординат (З1) на рынке устанавливается цена земли на сравнительно низком уровне, отмеченном на оси абсцисс (T1). Затем при уменьшении количества продаваемых земель (З2) цена предложения земли Цп возрастает до уровня Ц2.
Давайте решим задачу.
При неизменном рентном доходе цены на землю могут возрастать, когда снижается ставка депозитного процента. Если, допустим, банк уплачивает вкладчикам 5 % годовых, то участок, приносящий ренту в размере 14 000 евро в год, будет продаваться за 280 тыс. евро: (14000/5)100 Когда же норма депозитного банковского процента снизится до 2 %, цена того же участка возрастет до 700 тыс. евро: (14000/2)100
Не случайно во второй половине XX в. в странах Запада сложилась устойчивая тенденция к росту цены земли.
Вкладывать деньги в недвижимость- землю, дома и другие капитальные объекты, цены на которые обычно повышаются быстрее, чем на иные товары, стало особенно выгодным делом в условиях инфляции (роста цен). Это подогрело спекуляцию, направленную на покупку всякой недвижимости (и в первую очередь - земли) с расчетом получить за нее в будущем очень высокую цену. Но таким образом, с одной стороны, создаются экономические предпосылки для получения в будущем совершенно неоправданных доходов одними людьми, а, с другой стороны, ухудшаются жизненные условия многих других, стремящихся приобрести жилые и земельные участки для производства сельскохозяйственных продуктов. В связи с этим в Великобритании, Швеции, Италии и других государствах ограничено получение доходов от продажи земель тем, кто спекулирует недвижимостью, и собственникам земель, отводимых под новое городское строительство.
Количество ре или


LI, Ц, Цена звділи
Рис. 8.7. Изменение цены земли в зависимости от ее предложения В итоге мы приходим к важному выводу. Эффективно использовать собственность на землю (получить доход) можно при разных формах землепользования: и когда действует арендатор чужой земли, и при сдаче земли ее владельцем в ипотеку (под залог недвижимого имущества), и если собственник земли полностью сам распоряжается ею. Это означает, что сельское хозяйство может успешно развиваться при множественности форм собственности на землю. Решающее значение для получения нормального дохода имеют технические и организационноэкономические условия производства. Такие условия имеются у процветающих крупных хозяйств. Что касается мелких фермерских хозяйств, то они нуждаются в поддержке государства: им требуются финансовая помощь, серьезные экономические стимулы и современная инфраструктура сельскохозяйственного производства, которую обеспечивает агропромышленный комплекс. В нем продуктивно соединяются изготовление необходимых средств производства для сельского хозяйства, само это хозяйство и отрасли промышленной переработки полученной продукции. Новейшие научно-технические достижения позволяют поднять эффективность труда во всех отраслях комплекса.
Примечательно, что в ряде регионов США цена земли выросла по сравнению с 1940 г. более чем в 3-5 раз. Следствием этого является еще более быстрое повышение цены на жилые дома. Так, в тех же США в начале 1950-х гг. цена традиционного односемейного дома равнялась 8 тыс. долл., а в середине 1980-х гг. она возросла более чем в 10 раз. Для приобретения дома американская семья может получить ссуду в размере 70 % его товарной цены с рассрочкой на 25-40 лет. Между тем выплачиваемая по процентам сумма оказывается больше первоначального займа в 2 или более раз.
Таким образом, в 8-й главе учебника проанализированы все основные виды доходов, которые образуются в микроэкономике. Знание процесса распределения новой стоимости, образно говоря, на «первом этаже» национальной экономики позволит нам в следующей главе рассмотреть, как перераспределяются все эти доходы на «верхнем этаже» - в макроэкономике.
! Краткие обобщения и выводы
1. Полученная в микроэкономике новая стоимость образует первичные виды доходов. Их получают те, кто владеет факторами производства и прямо или косвенно участвует в создании новой стоимости на капиталистических предприятиях.
2. Одним из основных видов первичных доходов является заработная плата наемных работников. Величина зарплаты должна равняться стоимости всех жизненных средств, необходимых для воспроизводства и развития рабочей силы человека. Факторами, определяющими вознаграждение за труд, являются величина стоимости рабочей силы, уровень квалификации работника, различия между странами по степени развития уровня жизни. Кроме того, на величину оплаты труда влияют соотношение спроса и предложения рабочей силы на рынке труда, а также конкуренция и монополия на этом рынке. Низшей границей стоимости рабочей силы является прожиточный минимум работника низшей квалификации.
3. Увеличение количества и повышение качества труда поощряется с помощью повременной и сдельной форм заработной платы. При этом важную роль играет тарифная система (тарифные ставки, тарифные сетки и тарифно-квалификационный справочник).
4. На коммерческих предприятиях в качестве дохода получают прибыль - прирост примененного капитала. Валовая прибыль - это разница между оптовой ценой товаров и себестоимостью продукции.
5. Валовая прибыль распределяется на выплаты доходов земельным собственникам (земельная рента), ссудным капиталистам (процент за кредит), а также расходуется на налоги, благотворительные и иные фонды. Оставшаяся на фирме чистая прибыль распадается на предпринимательский доход, накопление капитала, затраты на экологию, подготовку кадров, социальные фонды предприятия.
6. Норма прибыли характеризует степень выгодности применения капитала. Она определяется отношением валовой прибыли фирмы к авансированному капиталу, выраженному в процентах.
7. Торговый бизнес получает прибыль, которая составляет разницу между розничной и оптовой ценой товаров. Повышению прибыльности производственного и торгового капиталов способствует маркетинг, который приспосабливает выпуск продукции к требованиям покупателей. Правила маркетинга предусматривают: производить продукты, нужные покупателю; устанавливать оптимальные цены; использовать все способы продвижения товара до потребителя; правильно определять, где и когда лучше продавать товары.
8. Ссудные капиталисты получают заемные средства и платят за это депозитный процент, а также выдают кредит, получая ссудный процент. Различается коммерческий (товарный) и банковский (денежный) бизнес. Прибыль банков образуется за счет разницы между процентной ставкой по кредиту и размером процентной ставки по депозиту. Норма прибыли банка - это отношение чистой прибыли банка к его собственному капиталу, выраженному в процентах.
9. Доход акционеров образуется за счет получения части прибыли фирмы в виде дивиденда, приходящегося на акцию. Рыночная цена акции - сумма денег, которая при ее вложении в банк дает в виде депозитного процента доход, равный дивиденду. Курсовая прибыль - доход от изменения цены акции на рынке ценных бумаг.
10. Земельная рента - вид дохода, который получают собственники земли, сдавая ее в аренду капиталистическим предпринимателям. Рента представляет собой сверхприбыль, которая получена от производительного использования арендованной земли и достается землевладельцу. Эта сверхприбыль образуется в результате разницы между рыночной ценой за единицу продукции, отражающей повышенные затраты на худших участках земли, и сравнительно низкой индивидуальной ценой единицы продукции, складывающейся на лучших землях.
11. Цена земли прямо пропорциональна величине ренты и обратно пропорциональна ставке депозитного процента. Для этой цены характерна тенденция к росту в силу уменьшения предложения продаваемой земли.
? Задачи и вопросы на сообразительность
1. Какую величину заработной платы наемный работник и предприниматель могли бы признать нормальной?
2. Вопросы о факторах, определяющих величину оплаты труда.
1. К каким результатам может вести конкуренция владельцев рабочей силы на рынке труда?
2. В чьих интересах на рынке труда действуют монополия и монопсония?
3. Дискуссионные вопросы:
а) чем и как определяются заработки выдающихся певцов, актеров кино, спортсменов;
б) справедливо ли, что одинаковую по величине заработную плату получает тот, у кого нет семьи, и работник, имеющий на иждивении четырех детей?
4. Тест. Прибыль - это:
а) вычет из заработной платы работников;
б) плата за риск;
в) заработная плата предпринимателя.
5. Практикум. Что для торгового капиталиста выгоднее:
а) повышать розничные цены на товары;
б) добиваться увеличения количества проданных товаров по неизменным ценам?
6. Выбор более выгодного варианта. Куда вы предпочтете вложить свободные в домашнем хозяйстве деньги.
1. На депозит в сберегательном банке.
2. На покупку акций.
3. На приобретение иностранной валюты.
4. На покупку лотерейных билетов.
7. Расчетная задача. При неизменном рентном доходе цены на землю могут возрастать, когда снижается ставка депозитного процента. Предположим, что банк уплачивает вкладчикам 5 % годовых. Участок земли приносит его владельцу ренту в размере 14 тыс. евро в год. Подсчитайте, как изменится цена участка, если норма банковского процента понизится до 2 %.
Глава 9 Государственное перераспределение доходов
§ 1 Регулирование государством социальных отношений
Первичное распределение: каковы его социальные плюсы и минусы
В предыдущей главе рассказывалось о том, как распределяется новая стоимость среди всех собственников факторов производства. Такое первичное распределение на уровне микроэкономики мы рассмотрели с точки зрения взаимоотношения людей, связанных с производством новой стоимости. Теперь нам предстоит выявить последствия, которые оказывает такое распределение доходов на социальные отношения членов общества в целом.
Социалъные отношения непосредственно связаны с образом и уровнем жизни людей, их благосостоянием и потреблением. Эти отношения наиболее полно проявляются в социальной сфере общества. К данной сфере прежде всего относятся: образование, культура, здравоохранение, социальное обеспечение, физическая культура, общественное питание, коммунальное обслуживание, пассажирский транспорт, связь.
Социальные отношения получают в обществе оценку с точки зрения их справедливости. Справедливость означает представление людей о должном, о сущности человека и его неотъемлемых правах. Понимание справедливости содержит требование соответствия между:
• практической ролью различных людей (социальных групп) в жизни общества и их социальным положением;
• их правами и обязанностями:
• деянием и воздаянием;
• трудом и вознаграждением;
• преступлением и наказанием;
• заслугами людей и их общественным признанием.
В условиях свободного рынка сложилось особое понимание справедливости социальных отношений, которое соответствует условиям микроэкономики. В свете этого отметим черты первичного распределения, которые положительно влияют на социально-экономическое развитие:
• материальная заинтересованность всех участников производства в создании и увеличении новой стоимости;
• установление величины оплаты труда в зависимости от его количества и качества;
• стимулирование трудовой деятельности и ее производительности посредством форм и систем вознаграждения за труд;
• вовлечение трудящихся в системы участия в прибылях;
• соответствие величины оплаты труда стоимости нормальных условий воспроизводства рабочей силы;
• установление размера минимальной заработной платы на уровне не ниже прожиточного минимума трудоспособного человека;
• учет в тарифной системе оплаты труда уровня квалификации работников и характера их трудовой деятельности.
Но распределение доходов в свободной от государственного регулирования рыночной экономике таит в себе серьезные недостатки и глубокие противоречия. Сторонники такого распределения - частные собственники - придерживаются следующих взглядов.
1. В обществе вообще не должно быть имущественного равенства. Ведь люди различаются по размерам частной собственности и по стоимости полученного наследства, по своим способностям.
2. Члены общества с рыночной экономикой не должны ничего получать бесплатно. В ходу поговорка: «Бесплатный сыр только в мышеловке».
3. Доходы получают только собственники факторов производства. Государство не вмешивается в распределение этих доходов.
Свободный рынок, где действуют частные собственники, рассматривается как экономический механизм, который не имеет никакого отношения к нормам нравственности и общечеловеческой справедливости.
Неравенство в распределении доходов в масштабе национальной экономики графически изображается с помощью кривой Лоренца (рис. 9.1).
Кривая Лоренца характеризует степень реально достигнутого неравенства в распределении национального дохода среди семей (40 % семей получает 20 % дохода, 60 % семей- 40 % всего дохода и т. д.) Пунктиром строго по диагонали изображено абсолютное (полное) равенство в распределении доходов: 20 % семей получают 20 % дохода, 40 % семей - 40 % дохода и т. д. Но такое распределение сторонники свободного рынка оценивают как совершенно недостижимое.
Для свободной рыночной экономики характерна тенденция к усилению неравенства в распределении национального дохода между гражданами. Это приводит в конечном счете к тому, что значительная часть людей живет ниже официально признанной черты бедности.
|
LI рецепт дохода |
|
100 |
|
// |
|
ЙО |
|
¦¦¦'' / 1 / 1
J у . |
|
00 |
--------у |
|
|
|
'V |
1 Кри'пая |
|
10 |
/ JT |
і Лорен на |
|
|
|
1 1 |
|
20 |
|
1 1
1 1 |
|
|
і ! |
1 1 |
|
|
20 10 G0 |
ЙО 100 |
|
|
Процент семей |
Рис. 9.1. Кривая Лоренца
На основе данных кривой Лоренца определяется так называемый децильный (десятичный) коэффициент неравенства доходов семей. Он показывает, во сколько раз 10 % самых богатых семей превосходят по уровню дохода 10 % самых бедных семей.
Децильный коэффициент имеет пороговое (предельно допустимое) значение =10: 1. Если доходы 1/10 богатых семей превысят в 10 раз доходы 1/10 самых бедных семей, то это является сигналом социальной опасности. В этом случае противоречия между богатыми и бедными ведут к открытому выражению недовольства значительной части общества.
На начальном этапе развития капитализма бизнесмены совершенно произвольно устанавливали для работников условия труда и его оплаты. Они стремились свести заработки трудящихся к самому низкому уровню. Английский писатель Чарлз Диккенс (1812-1870) в романах «Приключения Оливера Твиста», «Домби и сын» и других произведениях описал очень тяжелые условия труда и жизни английских бедняков.
Однако П. Самуэльсон и В. Нордхаус не вполне согласились с писателем: «Даже романы Диккенса едва ли полностью отражают чудовищные условия детского труда, опасность вредного производства и ужасные санитарные условия на фабриках в начале XIX века.
Преобладала 84-часовая рабочая неделя с перерывом на завтрак и иногда на ужин. Из 6-летнего ребенка можно было «выжать» большой объем работы, а если женщина теряла пару пальцев за ткацким станком, у нее оставалось еще восемь, поэтому она вполне пригодна для дальнейшей работы».
Самуэльсон П., Нордхаус В. Экономика.
Самый главный недостаток распределительных отношений в свободной рыночной экономике состоит в том, что из этих отношений исключаются те люди, которые не участвуют в производстве новой стоимости.
К этой части населения относятся учащиеся дневных учебных заведений, пенсионеры (по старости и другим основаниям); лица, ведущие домашнее хозяйство, и т. п.
Между тем значительная часть населения как правило, не имеет источников существования (факторов производства, имущества, приносящего доход). Без чьей-либо материальной помощи этим людям просто не на что жить.
Давайте подведем итог анализа «плюсов» и «минусов» первичного распределения доходов. Прежде всего выделяются два качественно разных направления воздействия этого распределения на социальные отношения.
1. Положительные последствия. Распределение доходов в микроэкономике играет важную роль в увеличении общественного богатства и в подъеме жизненного уровня людей. Этому способствуют:
• материальная заинтересованность собственников факторов и условий производства в расширении масштабов экономического роста и увеличении новой стоимости;
• развитие материальных стимулов к труду и повышению квалификации работников;
• подъем производительности труда и эффективности производства.
2. Отрицательные последствия. Распределение материального богатства только среди частных собственников порождает социальную неустойчивость общества при выполнении следующих установок:
Все денежные доходы населения России распределялись по 20процентным группам населения следующим образом: первая группа (с наименьшими доходами) в 1990 г. имела 9,8 % и в 2003 г. - 5,6 %, а пятая (с наибольшими доходами) в 1990 г. получила 32,7 % и в 2003 г. - 46,1 % всех доходов.
В 2002 г. в России общая численность населения составила 143,1 млн человек, а среднегодовая численность занятых в экономике достигла 65,4 млн чел. В то же время, например, такие же показатели в США составили 191 млн и 135 млн человек; в Германии - 82,5 млн и 37 млн; во Франции - 59,5 млн и 24,1 млн; в Китае - 1295 млн и 712 млн; в Японии - 127 и 64,1 млн человек.
• признание нормальным получение доходов только частными собственниками средств производства;
• усиление социально-экономического неравенства членов общества;
• получение людьми товаров и услуг только на рынке за плату.
Наконец, приходится признать социалъно опасныши:
• превышение предельно допустимого уровня (децильного коэффициента) распределения дохода между семьями с разным достатком;
• необеспеченность значительной части населения (не занятых в экономике людей) самыми необходимыми средствами существования.
Кто и каким способом может гарантированно помочь большей части общества осуществить первое и неотъемлемое право человека на жизнь?
Что такое социальное регулирование
В течение очень длительного времени государство почти не занималось регулированием не только экономики, но и социальных отношений. И только примерно со второй половины XX в. в развитых странах Запада его деятельность приобрела социальную направленность.
Социальное регулирование - такое упорядочение социальных отношений, которое улучшает жизнь населения за счет средств государственного сектора национального хозяйства.
Качественно новая роль социального регулирования характеризуется следующими основными чертами.
Во-первых, в социально направленной экономике все граждане наделены по закону основными социальными правами и свободами. Они могут отстаивать эти права в суде.
Во-вторых, государство создает условия для достаточного удовлетворения наиболее значимых потребностей всего населения. Для этого оно берет на себя значительную часть расходов на среднее и высшее образование, здравоохранение, культуру и иные отрасли нематериального производства и услуг. К этому добавляются большие расходы на социальные программы.
«Система цен и рынков может привести к тому, что все доходы и богатства будут принадлежать лишь горстке людей... Экономика может быть высокоэффективной, выжимающей из ресурсов страны огромные количества пушек и масла, но это масло будет кушать и скармливать своим собакам богатое меньшинство, а пушки будут служить для защиты богатых от бедных, чтобы те не отобрали у богатых масло».
Самуэльсон П., Нордхаус В. Экономика.

Рис. 9.2. Фонды социального страхования и обеспечения В-третьих, государство оказывает социальную помощь гражданам, которые нуждаются в содействии в связи с возрастом, состоянием здоровья, социальным положением, недостаточной обеспеченностью средствами существования. Эта помощь проявляется в виде пенсий, предоставления денежных пособий, материальной помощи, обслуживания больных и престарелых, заботы о детях. Надежную систему материального обеспечения нетрудоспособных людей называют социальным страхованием. Государство в России устанавливает и осуществляет разнообразную помощь нуждающимся за счет фондов - денежных или материальных средств определенного назначения (рис. 9.2).
В систему финансовой безопасности для нуждающихся входит фонд социального страхования. Из средств этого фонда производятся выплаты трудящимся пособий по временной нетрудоспособности (за период болезней) и др. В этих целях предприятия производят платежи в фонд социального страхования в размерах, установленных законодательными актами (в процентах от фонда оплаты труда).
В России государство оказывает социальную поддержку безработным за счет специально выделенных средств федерального бюджета. На эти средства проводятся мероприятия по содействию трудоустройству населения (информация населения о положении на рынке труда, организация общественных работ и др.). Организуется профессиональное обучение безработных, выплачиваются пособия по безработице и оказывается другая материальная помощь.
Фонд страховой медицины обеспечивает всем гражданам равные возможности в получении медицинской и лекарственной помощи. Такая помощь осуществляется в объеме и на условиях, которые соответствуют программам обязательного медицинского страхования. В фонд обязательного медицинского страхования вносят платежи предприятия, учреждения, организации независимо от форм собственности. Страховые взносы начисляются на средства, предназначенные для оплаты труда. Пенсионный фонд Российской Федерации - самостоятельное финансово-кредитное учреждение, которое осуществляет государственное управление денежными средствами, предназначенными на выплаты пенсий. Пенсия - регулярные денежные выплаты, предоставляемые гражданам по достижении пенсионного возраста. Отчисления в пенсионный фонд предприятия производят с сумм начисленной оплаты труда.
В XX в. важным следствием социального регулирования доходов населения стало коренное изменение характера присвоения и использования экономических благ и услуг.
Каковы два типа благ и услуг
В современном обществе население может пользоваться двумя типами благ и услуг. Первый тип - индивидуальные блага. Этим благам свойственны следующие признаки:
• эти вещи находятся в частной собственности;
• они поступают в личное пользование, поскольку существуют в виде малых единиц, которые доступны отдельным пользователям, потребителям;
• их можно приобрести только посредством рыночной сделки, уплатив за них деньги. Второй тип полезных вещей - общественные блага. Такие блага характеризуются следующими чертами:
• эти вещи находятся в государственной собственности;
• они предназначены для коллективного, совместного пользования. Типичным примером является маяк, который помогает определить путь всем кораблям;
• ими можно пользоваться бесплатно.
К числу бесплатных относятся также услуги, предоставляемые, например, государственными учреждениями, которые дают молодежи общее, специальное и профессиональное образование. Благодаря этому всему подрастающему поколению предоставляются одинаковые начальные условия для всестороннего развития и подготовки к предстоящей творческой деятельности.
Между тем проведенное здесь разграничение двух типов благ и услуг на платные и бесплатные не является безусловным. Что касается частных собственников, то для них характерна продажа своих товаров за деньги. Государство же предоставляет гражданам полезные вещи и услуги бесплатно далеко не во всех случаях. Оно, во-первых, не может перейти на бесплатное обеспечение всего населения множеством благ и услуг из-за своих сравнительно ограниченных материальных и денежных средств. Главное же, во-вторых, состоит в следующем. Имеющиеся у него ресурсы государство затрачивает на обеспечение экономической безопасности тех, кто по объективным причинам еще не трудится или уже не работает.
Примечательно, что, например, принадлежащие государству театры и кинотеатры продают билеты каждому желающему побывать там. В то же время государственный городской транспорт предоставляет детям и пенсионерам свои бесплатные услуги. Таким образом, в промышленно развитых странах новая стоимость подвергается первичному и вторичному распределению. Такое сочетание распределения, происходящего на уровне микроэкономики, с государственным перераспределением в макроэкономике существенно изменило социальные условия жизни всех слоев населения. В таком случае спрашивается: как оценить новое состояние социальных отношений в современном обществе?
«Индивидуальные блага... производятся в виде достаточно малых единиц, чтобы быть доступными индивидуальным покупателям. Но существуют так называемые общественные, или социальные блага, которые рыночная система вообще не стала производить, потому что их характеристики противоположны характеристикам индивидуальных благ... Люди могут покупать на рынке гамбургеры, компьютеры и автомобили, но не авианосцы, скоростные автострады, космические телескопы и системы управления воздушным транспортом».
Макконнелл К., Брю С. Экономикс.
Эффективно ли новое распределение доходов
В социально ориентированной экономике возникает новая направленность социального развития общества. Возникают следующие основные перемены в этом отношении.
Первая перемена. Государство контролирует и не допускает социально опасного соотношения между условиями жизни занятых и не занятых в экономике слоев общества. Оно использует часть новой стоимости, производимой в микроэкономике, для определенного выравнивания жизненных условий богатых и бедных групп населения. С этой целью создается система социально-экономической безопасности всех граждан.
Вторая перемена. Известные нам положительные последствия распределения новой стоимости в микроэкономике органически (неразрывно) связаны с ее государственным перераспределением, что в корне изменяет социальную структуру общества.
Во многих высокоразвитых странах граждане (семьи) делятся на три основных класса (по уровню получаемых доходов): 1) богатый (10-15 %), 2) средний класс -70-80 % и 3) бедный - 15-20 %. В случае опоры на средний класс обеспечивается наибольшая социальная устойчивость общества.
Третья перемена. Самые благоприятные условия экономического и социального развития, достигнутые в западных странах, позволили им добиться наивысшего в мире уровня по количеству и качеству социальных затрат и соответствующих результатов.
В Организации Объединенных Наций исчисляется обобщающий показатель -индекс человеческого развития. Этот показатель дает обобщающую сравнительную характеристику качества жизни населения. При этом учитываются величина ожидаемой продолжительности жизни, достигнутый уровень образования и доходы населения. Величина этого индекса определяется как средняя арифметическая из индексов уровня образования, доходов (валового внутреннего продукта) и продолжительности жизни населения. Чем ближе значение данного показателя к единице, тем выше развитие человеческого потенциала (возможностей) в данной стране.
Об индексе человеческого развития в ряде стран можно судить по данным табл. 9.1. Вряд ли нужно доказывать, что достичь указанных в табл. 9.1 наибольших индексов человеческого развития можно, широко развивая, в частности, общедоступные бесплатное здравоохранение и образование.
Таблица 9.1
Индекс человеческого развития в ряде стран в 1998 г.
|
|
Индекс |
В том числе индекс |
|
Страны |
челювечесвдго
развития |
ожидаемой продолжительности ЖИТІИ и |
уровня
образования |
валового внутреннего продукта |
|
РОССИЯ |
0,771 |
0,09 |
0,92 |
0.70 |
|
Канада |
0.935 |
0.90 |
0,99 |
0.91 |
|
США |
0.929 |
0.80 |
0,97 |
095 |
|
Швеция |
0,920 |
0,90 |
0,99 |
0,89 |
|
Япония |
0,921 |
0,92 |
0,91 |
0,91 |
Велико
британия |
0,918 |
0.87 |
0,99 |
0.89 |
|
Франция |
0.917 |
0.89 |
0,97 |
0.89 |
|
Германия |
0,911 |
0,87 |
0,90 |
0,90 |
|
Китай |
0,700 |
0.75 |
0,79 |
0.57 |
|
Ангола |
0,105 |
0.37 |
0,30 |
0.18 |
|
|
Однако, что означает бесплатность, скажем, среднего профессионального образования? Разумеется, оно бесплатно для студентов колледжей, техникумов. Но |
разве оно бесплатно для государства? Поэтому важно выяснить, каков механизм образования всего потока бесплатных благ и услуг, поступающих от государства к населению?
§ 2 Налоговая система
Налоги: кто «против» и кто «за»
Как известно, налоги - это обязательные платежи, которые государство взимает с налогоплательщиков. По своему экономическому содержанию налоги представляют собой форму отчуждения части доходов физических и юридических лиц в государственную казну (централизованные ресурсы государства). Такое отчуждение таит в себе противоречие между частным и коллективным присвоением доходов, с одной стороны, и с другой - изъятием определенной их доли в государственную и муниципальную собственность.
Не случайно во всех странах среди экономистов, юристов и политических деятелей обнаруживаются два противоположных лагеря. Один из них выступает против введения и увеличения налогов, выражая тем самым материальные интересы частных собственников. Другой же доказывает необходимость налогообложения для решения очень важных и острых социальных задач в интересах большинства населения. Столкновение таких интересов сказывается с переменным успехом в пользу то одного, то другого лагеря.
Но решительный перелом в этом противоборстве произошел во второй половине
XX в., когда резко возросла социально-экономическая роль государства. Примечательно, что в США с начала и до конца XX в. удельный вес налогов в составе валового внутреннего продукта (суммарной стоимости товаров и услуг, созданных в стране) увеличился в 6 раз - с 5 до 30 %. Как мы увидим в последующих главах, такой огромный рост вторичных доходов, полученных в развитых странах, позволил серьезно улучшить качество и устойчивость всего общественного развития.
Налоговая система: что это такое
Основными рычагами перераспределения первичных доходов, образующихся в микроэкономике, является система налогов и их использование для государственных расходов.
Налоговая система - это совокупность налогов, форм и методов налогообложения, а также налоговых органов.
«Расширение государственного вмешательства не обошлось без «сопротивления»: каждое новое повышение налогов и увеличение расходов вызывало сильнейшее недовольство. К примеру, когда в 1935 году впервые был принят закон о социальном обеспечении, противники этого нововведения объявили его «зловещим призраком социализма». В 80-х гг. система «социалистического» социального обеспечения была поддержана даже консервативным президентом Рональдом Рейганом, который заявил, что она является «частью системы социальной безопасности». Считавшаяся крамольной идея была подхвачена большинством в наше время».
Самуэльсон П., Нордхаус Р. Экономика.
 |
|
Рис. 9.3. Структура налоговой системы |
Изучение налоговой системы мы начнем с выяснения ее довольно сложной структуры. Об основных элементах данной структуры дает представление схема на рис. 9.3.
А. По уровням взимания налоги, например в России, делятся на федеральные, региональные и местные.
• По федеральным налогам объекты налогообложения, ставки и плательщики устанавливаются законодательными актами Российской Федерации. По всей территории страны взимается более 20 налогов (например, налог на прибыль с предприятий; подоходный налог с физических лиц; таможенная пошлина и др.).
• По налогам субъектов Российской Федерации объекты налогообложения, границы ставок и плательщики устанавливаются законодательными актами Российской Федерации, а конкретные ставки - законодательными актами субъектов Федерации.
• Местные налоги могут вводиться местными органами власти в пределах перечня налогов и границ ставок, установленных законодательными актами.
Современная налоговая система страны включает более 180 налогов и сборов, введенных региональными и местными органами власти.
Б. Виды налогов - в зависимости от форм и методов налогообложения налоги в разных странах подразделяются на прямые и косвенные.
• Прямыми являются налоги, взимаемые государством непосредственно с доходов или имущества налогоплательщика (подоходный налог, налог с наследства и дарений, налог на имущество и т. д.).
• Косвенными называют налоги на товары и услуги, которые устанавливаются в виде надбавок к цене товаров или к тарифам на услуги и не зависят от доходов налогоплательщика. Производители (продавцы) товаров и услуг продают их по ценам и тарифам с учетом налоговой надбавки, которую затем передают государству. Косвенные налоги наиболее распространены в виде:
а) акцизов (ими облагаются алкогольные напитки, табачные изделия, ювелирные изделия, легковые автомобили, бензин автомобильный, отдельные виды минерального сырья; б) налога с продаж; в) пошлин (взимаются при заключении договоров об аренде, регистрации предприятий, оформлении наследства, провозе товаров через границу и др.; г) таможенных сборов (дополнительных сборов, взимаемых сверх таможенных пошлин для возмещения таможенных расходов).
В. Налоговые ставки - это размеры налогов на единицу обложения. Различаются следующие ставки налога:
• прогрессивные, которые возрастают с увеличением доходов;
• пропорциональные - единый процент налогов независимо от размеров доходов;
• регрессивные, которые снижаются с ростом величины облагаемых доходов (рис. 9.4);
• твердые, которые уплачиваются в абсолютной сумме независимо от величины дохода.
Г. Наконец, в налоговую систему входят налоговые органы.
• Государственная налоговая служба поддерживает единый контроль над соблюдением налогового законодательства. Она проверяет точность исчисления и полноту внесения налогов и других платежей.
• Налоговая полиция - правоохранительные органы, которые обеспечивают экономическую безопасность страны. Они выполняют следующие основные задачи:
а) выявляют, предупреждают и пресекают налоговые преступления и правонарушения;
б) обеспечивают безопасность деятельности налоговых инспекций; предупреждают, выявляют и пресекают коррупцию (подкуп) в налоговых органах.
Налоговая система выполняет важные задачи в области социально-экономических отношений.
Во-первых, ставки налогов могут способствовать перераспределению доходов для социального выравнивания уровня жизни населения. Именно такую роль в наибольшей степени выполняет прогрессивный налог, величина ставки которого возрастает по мере увеличения суммы облагаемого дохода. Так, в ряде западных стран размер минимальной налоговой ставки колеблется от 10 до 25 %, максимальной - от 30 до 70 %. В прямо противоположном направлении действует регрессивная ставка налога, которая снижается с ростом величины облагаемого дохода.
Доіод
 |
Рис. 9.4. Ставки налогов
Во-вторых, налоговые ставки могут поощрять внедрение достижений научнотехнического прогресса, рост и совершенствование производства, продажу товаров за границу. Если, допустим, установлена одинаковая величина налога на единицу товара, то в экономическом выигрыше окажутся предприятия и работники, которые произвели одинаковую продукцию с меньшими затратами труда и материальных средств. К тому же в соответствии с действующим законодательством полностью или частично освобождаются от налогообложения расходы на научные исследования и технологические разработки.
В-третьих, налоговые ставки играют важную роль в образовании доходов государственного бюджета (бюджет - смета доходов и расходов государства - будет рассмотрен в гл. 14). Во многих экономически развитых странах налоговые поступления составляют 90 % всех доходов государства. |
Какова социально-экономическая роль налогов
При установлении налогов важно учитывать налоговое бремя физических и юридических лиц. Речь идет о том, что работники вынуждены делить свой личный доход (состоящий из заработной платы и дополнительных платежей - дивидендов, премий, процентов, ренты, трансфертов) на две части: а) налоги и б) личный располагаемый доход.
Личный располагаемый доход - часть личного дохода, остающаяся у работника после вычета налогов.
Трудящиеся тратят личный располагаемый доход прежде всего на приобретение жизненно необходимых благ и услуг. Оставшиеся деньги могут пойти на сбережения, которые рассчитаны на будущие покупки. Сбережения могут быть помещены в банк на депозитный вклад, дающий соответствующий процент.
Вполне очевидно, что размер лично располагаемого дохода прямо зависит от общей суммы личного дохода работника и от величины уплачиваемых налогов.
Аналогично налоговое бремя предпринимателя в определенной мере ограничивает его возможность использовать валовую прибыль для образования чистой прибыли фирмы и личного предпринимательского дохода (см. гл. 8). В свою очередь, такое бремя влияет на величину денежных средств, которые выделяются для сбережения, накопления капитала, расширения производства и других социально-экономических задач предприятия.
В итоге мы обнаруживаем обратно пропорциональную зависимость между уровнем ставки налога и суммой облагаемого дохода, с одной стороны, и с другой -величиной лично располагаемого дохода работников и возможностями сбережения денег и накопления капитала. Чем выше ставка налога, тем тяжелее налоговое бремя работников и предпринимателей.
Практика показывает, что при чрезвычайно высоких ставках налогов подрываются материальные стимулы к труду и новаторству. Непомерное возрастание в 60—70-х гг. XX в. в западных странах налогового бремени вызвало «налоговые бунты», массовое уклонение от налогов, привело к утечке капиталов и бегству получателей высоких личных доходов в страны с более низким уровнем налогообложения. Напротив, снижение ставок налогов может способствовать стремлению работников и предпринимателей увеличивать производство и получать большие доходы. Одновременно расширяется налогооблагаемая база - заработная плата и прибыль. Группа американских специалистов во главе с профессором А. Лаффером изучила зависимость суммы налоговых поступлений в бюджет от ставок подоходного налога. Эта зависимость отражена в кривой Лаффера (рис. 9.5).
Было теоретически доказано: ставка налога в 50 % Но является оптимальной (наилучшей). В таком случае достигается максимальная сумма налогов Нм. При ставке налога выше Но резко снижается деловая активность предприятий и работников. При ставке налога, близкой или равной 100 %, полностью исчезают стимулы к трудовой деятельности и предпринимательству.

Рис. 9.5. Кривая Лаффера
Признано, что высшая ставка налогообложения (для самых высоких доходов) должна быть 50-70 %.
Американцы говорят, что при столь высокой ставке налога, как в Швеции (72 %), в США никто не стал бы работать в легальной экономике.
В течение 80-х - начале 90-х гг. XX в. в ведущих странах Запада проводились налоговые реформы. Их цель - ввести более равномерное налогообложение равных по величине доходов, уменьшить налог на прибыли фирм, снизить прогрессивность налогообложения, ликвидировать ряд налоговых льгот.
Кстати, с самого начала экономических преобразований в России правительство взяло ориентир на введение чрезвычайно высокого налогообложения на доходы фирм (все виды федеральных и местных налогов и взносов в различные фонды доходили до 85-90 %), что отрицательно сказалось на состоянии национальной экономики и перспективах ее подъема. Не случайно стала широко развиваться теневая экономика (укрывательство работников и предпринимателей от уплаты налогов).
С начала XXI в. в стране проводится налоговая реформа. Вместо множества федеральных законов и других законодательных постановлений с 2001 г. введен новый Налоговый кодекс Российской Федерации. В нем предусмотрены следующие предписания и нормы.
• Отменено налогообложение физических лиц по совокупному годовому доходу и прогрессивной налоговой ставке. Для всех физических лиц налоговая ставка установлена на самом низком уровне - 13 %.
• Несколько снижены ставки налогов на доходы предприятий.
• Отменяются неэффективные налоговые льготы.
• Расширены основания для освобождения от налогообложения (вычеты многих затрат на лекарства и другие нужные блага для наименее обеспеченных лиц).
• Существенно облегчается налоговое бремя для мелкого предпринимательства.
Все эти и другие меры благотворно сказываются на состоянии «налогового климата» в стране, способствуют прогрессивному развитию государственной экономики.
! Краткие обобщения и выводы
1. Первичное распределение доходов в микроэкономике благоприятно влияет на социально-экономическое развитие общества: материально заинтересовывает всех участников производства в создании и увеличении новой стоимости; вознаграждает количество и качество труда; обеспечивает нормальное воспроизводство рабочей силы и др.
2. Первичное распределение новой стоимости имеет серьезные недостатки, связанные с нарушением социальной справедливости. Оно фактически исключает из числа получающих экономические блага почти половину населения страны.
3. Со второй половины XX в. в развитых странах Запада государство стало регулировать социальные отношения в целях улучшения условий жизни населения. Все граждане стали по закону наделены основными социальными правами и свободами. Государство способствует удовлетворению наиболее значимых потребностей всего населения. Оно оказывает материальную помощь гражданам, которые нуждаются в содействии.
4. Социальное страхование и социальное обеспечение в России государство осуществляет с помощью средств фондов социального страхования, занятости населения, страховой медицины ипенсионного фонда.
5. В современном обществе население пользуется двумя типами благ и услуг: индивидуальными и общественными. Первые из них являются платными, вторые -частично бесплатными (преимущественно для лиц, не занятых в экономике).
6. В социально ориентированной экономике происходят следующие перемены: а) государство использует часть новой стоимости для определенного выравнивания условий жизни богатых и бедных слоев населения; б) социальная устойчивость общества укрепляется за счет среднего класса (по уровню доходов); в) повышаются затраты государства на здравоохранение и образование, что способствует росту индекса человеческого развития.
7. Для удовлетворения экономических и социальных потребностей общества государство устанавливает и собирает налоги - обязательные платежи с доходов. Во второй половине XX в. в высокоразвитых странах налоги составили большой удельный вес в составе национального продукта.
8. Налоговая система - это совокупность налогов, форм и методов налогового обложения, а также налоговых органов. Она определяет уровни взимания налогов государственными и местными органами власти, виды и ставки налогов. Налоговая система способствует перераспределению доходов для социального выравнивания уровня жизни населения; поощряет внедрение достижений научно-технического прогресса, рост и совершенствование производства, продажу товаров за границу.
9. Работники вынуждены делить свой личный доход на налоги и на личный располагаемый доход. Последний прежде всего идет на покупку необходимых благ и услуг. Оставшиеся свободными от этих расходов деньги идут на сбережения. При этом складывается обратно пропорциональная зависимость между уровнем ставки налогов и суммой облагаемого дохода с одной стороны, и с другой - величиной лично располагаемых доходов работников и возможностями сбережения денег и накопления капитала.
10. Теоретические исследования показали, что оптимальной является ставка налога в 50 %. В таком случае достигается наибольшая сумма собираемых налогов. Напротив, при более высокой ставке налога снижается деловая активность работников и предприятий.
11. В 1980—1990-х гг. в странах Запада проводились налоговые реформы. Было

введено более равномерное налогообложение равных по величине доходов, уменьшен налог на прибыли предприятий, снижена прогрессивность налогообложения, ликвидирован ряд налоговых льгот.
12. С начала XXI в. в России проводится налоговая реформа. В новом Налоговом кодексе РФ ставка налога для всех физических лиц установлена на уровне 13 %. Несколько снижены ставки на доходы предприятий. Существенно облегчено налоговое бремя для мелкого предпринимательства.
Все это помогло улучшить состояние «налогового климата» в стране.
? Задачи и вопросы на сообразительность
1. Как измеряется степень неравенства в распределении национального дохода среди семей?
2. Предположим, что 40 % всех семей в обществе получают 20 % дохода нации,
60 % семей - 40 % дохода и 80 % семей - 60 % дохода. Изобразите кривую Лоренца.
О степени развития социальной сферы в разных странах в конце XX в. красноречиво говорят цифры, приведенные в табл. 9.2. Какие выводы можно сделать, изучив данные табл. 9.2?
4. Один американский судья утверждал: «Налоги - это то, чем мы расплачиваемся за цивилизованное общество». Как можно пояснить это утверждение?
Таблица 9.2
Показатели социального развития в некоторых странах
|
Страна |
L1 родолжительносп> жизни, лет |
Число пациентов на 1 врача, чм. |
|
США, |
77 |
387 |
|
Германия |
76 |
2 SO |
|
Япония |
SO |
522 |
|
Россия |
68 |
220 |
|
Китай |
71 |
10,31 |
|
Индия |
62 |
2165 |
|
Афган ис хая |
45 |
17 358 |
|
Таблица 9.3
Государственные расходы на образование и здравоохранение (в процентах к национальному продукту) |
|
Страны |
Год |
Удельный рес расходов
па образование |
Гад |
Удельный ист расходов па здравоохранение |
|
Россия |
2001 |
3.1 |
2001 |
2,0 |
|
Великобритания |
1998 |
15 |
1999 |
5,9 |
|
Германия |
1997 |
15 |
1999 |
7,9 |
|
Франция |
1997 |
58 |
1998 |
7,3 |
|
США |
1997 |
5.2 |
1999 |
6,1 |
|
Мексика |
1997 |
15 |
1997 |
2,8 |
|
Китай |
1992 |
15 |
1990 |
2,1 |
|
Индия |
1992 |
2.9 |
1995 |
0,7 |
|
Вамгладеш |
1992 |
1,7 |
1995 |
1,2 |
|
|
5. Какие социально-экономические последствия наступят при установлении ставки |
налогов в 70 %?
6. Объясните социальные различия в показателях разных стран, приведенных в табл. 9.3.
7. Выскажите свое мнение по поводу изречений известного английского экономиста Д. Рикардо:
«Всякий товар, на который установлен налог, уже не может быть вывозим с такой выгодой, как прежде».
«Налоги никогда не могут быть распределены так равномерно, чтобы они влияли в одной и той же пропорции на стоимость всех товаров и поддерживали их относительную стоимость на одном и том же уровне».
Глава 10 Структура экономики страны
С данной главы открывается возможность внимательно рассмотреть экономику общества словно бы с большой высоты, чтобы охватить все национальное хозяйство в целом. Это позволит уяснить такие вопросы:
• из каких частей состоит экономика общества;
• как происходит рост всего национального хозяйства;
• почему в макроэкономике возникает неустойчивое и устойчивое состояние;
• кто и как регулирует всю совокупность социально-экономических отношений;
• какую роль играют сейчас финансы и денежно-кредитная система в развитии общества?
Студент колледжа или техникума сможет лучше понять, как предприятие или организация, в которой ему предстоит работать, неразрывными экономическими узами связана со всеми крупными подразделениями национального хозяйства.
§ 1 Особенности макроэкономики
Что называется макроэкономикой
Если при изучении микроэкономики мы имели дело с домашними хозяйствами и отдельными предприятиями, то сейчас нам важно получить обобщенные представления о всей совокупности этих хозяйственных единиц. Одновременно надо обнаружить такие формы хозяйственной деятельности, которые охватывают и скрепляют воедино всю национальную экономику.
Макроэкономика - это единая совокупность всех, в том числе общенациональных, форм хозяйствования в стране.
Многие страны являются многонациональными. Вместе с тем их хозяйственная деятельность также объединена в масштабе макроэкономики, как и в государстве, представленном одной нацией. Поэтому «национальной экономикой» мы будем условно называть хозяйство всякой многонациональной страны.
В широком смысле макроэкономика включает всю национальную экономику: Макроэкономика в узком смысле представляет собой государственный сектор, который объединяет и направляет развитие национальной экономики как единого целого.
Благодаря каким качествам государственный сектор способен выполнять ведущую роль в национальном хозяйстве?
Каковы отличительные черты государственного сектора хозяйства t'=iWX=t',=t'=»«¦******ВPWIBBr'
создав для себя особый сектор хозяйственной деятельности. Этот сектор служит той специфической (характерной) для государства экономической базой, которая призвана обеспечивать общенациональные потребности и интересы. Сюда входят:
• совокупность государственных предприятий и учреждений, других видов собственности;
• производство общественных благ и организация их коллективного потребления;
• общенациональная инфраструктура (производственная и социальная).
Опираясь на такую экономическую основу, государство действует в другом направлении: оно координирует (согласовывает) и регулирует всю хозяйственную деятельность в масштабе макроэкономики.
Специфику экономических отношений, установленных государством в своем секторе, можно видеть в табл. 10.1.
Таблица 10.1
Особенности экономических отношений в государственном секторе
|
Виды экономия ееких отношений |
Их особенности |
|
Собственность |
Государстген ное при cEtoeп и г |
|
Кооперация |
Национальная экономическая интеграция. |
|
и разделение груда |
Разделееіие труда па гфгрЕ,: хозяйстеш |
|
Организация козяйгтЕіа. |
Нерыночные сеіязи еі государствен езом ггктнрг. ГосударсщеЕЗЕЗые заказЕ,: предприятиям |
|
Управление экономикой |
ГосудареTEteEifme регулирование езд основе преЕнжых Езорм |
Как видно, для макроэкономической системы хозяйствования характерны следующие элементы ее структуры.
Тип общей совместной собственности. Как известно, общее совместное присвоение, представленное в форме государственной собственности, качественно и количественно отличается от частного и общего долевого присвоения (см. гл. 2). Более того, становление государственной собственности часто проводится путем национализации - перехода из частной и общей долевой собственности в собственность государства земли, предприятий, банков, транспорта и другого имущества.
Характер общего совместного присвоения предопределяет совершенно иной тип поведения государственных органов по сравнению с тем, чем привык руководствоваться частный собственник. Более того, государственная собственность и юридические нормы, установленные правовым государством, существенно ограничивают издавна сложившиеся правила поведения единоличного владельца.
Он должен подчиняться интересам всего общества.
«Однако, несмотря на то, что наше общество построено на частной собственности, права на нее ограничены. Общество определяет, какую часть вашей собственности вы можете завещать своим наследникам, а какая часть должна стать общественным достоянием посредством налогов на наследство. Общество определяет, какое количество отходов имеет право выбрасывать ваше предприятие и где вы можете парковать свою машину. Даже ваш дом не является вашей крепостью. Вы должны соблюдать муниципальные правила районирования и при необходимости освободить место для дороги».
Самуэльсон П., Нордхаус В. Экономика.
Государственная собственность образует основу функционирования государственного сектора национального хозяйства, о чем было сказано ранее (см. гл. 3) и будет подробнее рассмотрено в дальнейшем.
разделении труда, которое делает взаимозависимыми все крупные сферы, отрасли производства и экономические регионы (относительно самостоятельные территориальные подразделения) страны. Прочные взаимосвязи между звеньями общего разделения труда создают макросистему, которую принято именовать народнохозяйственным комплексом. Он органически соединяет все материальное и нематериальное производство в целостный организм.
Важной особенностью макроэкономической централизации хозяйства и национальной кооперации труда является иерархическое построение (расположение элементов целого в порядке их подчинения от высшего к низшему- от государства к предприятию).
Очевидно, что макросистема знаменует собой переход национальной экономики к наиболее высокой ступени ее реального обобществления. Макроэкономика имеет ярко выраженный характер национальной экономической интеграции. Такую интеграцию (объединение в целое) на уровне национального хозяйства государство создает, когда необходимо, например, наладить деятельность отраслей инфраструктуры (дороги, сеть транспортных сообщений, связь, энергоснабжение, водоснабжение, совокупность предприятий по обслуживанию населения). Макроэкономика образует единое экономическое пространство, которое скрепляется общей денежной системой. У такого пространства есть два «объединителя»: а) национальный рынок (см. гл. 9) и б) государственный сектор макроэкономики, где правительство предоставляет гражданам бесплатные материальные блага и услуги - пособия, услуги образования, медицинского обслуживания и др. (см. гл. 2).
Национальной экономике потребовался качественно новый тип государственного управления. Государство, будучи субъектом общенациональной собственности, использует экономические и внеэкономические (насильственные) формы и методы регулирования народнохозяйственных связей. Его взаимоотношения с субъектами микроэкономики строятся преимущественно по вертикали. Через них государство проводит активную экономическую политику, используя финансы, кредит, бюджет и другие имеющиеся в его распоряжении средства и рычаги воздействия на хозяйственное развитие страны.
Одним из важных проявлений целостности национального хозяйства является проведение государством экономической политики в интересах всего общества.

§ 2 Экономическая политика государства
Каковы сущность и цели экономической политики
Экономическая политика проводится от лица государства правительством. Она представляет собой главную линию действий правительства в области производства, распределения, обмена и потребления, накопления и экономических связей с другими странами. Экономическая политика подразделяется на следующие виды: структурная (изменение связи составных частей экономики), научнотехническая, инвестиционная (связанная с долгосрочными капиталовложениями), финансово-кредитная, налоговая, бюджетная, социальная, внешнеэкономическая.
Экономическая политика - управляющие действия правительства, которые придают макроэкономике определенную направленность в соответствии с интересами и целями государства.
Экономическая политика проводится для того, чтобы обуздать стихийные, неуправляемые действия участников свободного рынка. Такие действия зачастую отрицательно сказываются на всей хозяйственной деятельности страны. Вместо роста экономики происходит падение производства. Расширение занятости трудящихся сменяется увеличением числа безработных. Повышение покупательной
В этих и других подобных случаях государственное регулирование экономики состоит в том, чтобы:
• придать хозяйственной деятельности нужную организованность;
• упорядочить поведение экономических субъектов;
• обеспечить соблюдение правовых законов;
• отстаивать государственные и общественные интересы.
В 11-й и 12-й главах учебника мы уделим особое внимание основным целям экономической политики государства:
• обеспечить устойчивый экономический рост национального хозяйства;
• добиться наибольшей занятости трудоспособного населения;
• укрепить денежное обращение.
Научный подход к экономической политике не ограничивается установлением целей государственного регулирования. Здесь важно выяснить те закономерные взаимозависимости, которые объективно существуют между основными показателями национального хозяйства. Что это за взаимозависимости? Экономическая теория установила следующие виды взаимосвязей в макроэкономике (они будут подробнее рассмотрены в гл. 12):
а) взаимодополняющие показатели. Между ними складывается прямая пропорциональная зависимость. Так, например, чем выше темпы экономического роста, тем больше занятость трудоспособного населения;
б) взаимозаменяемые показатели. Между ними существует обратная пропорциональная зависимость. Именно так взаимосвязаны, скажем, безработица и инфляция;
в) нейтральные: изменение одного показателя никак не влияет на другой.
Наверное, трудно обнаружить взаимодействие таких процессов, как безработица и вывоз товаров.
Во второй половине XX в. и в XXI в. ответственность государства за состояние экономики не ограничивается только указанными важными показателями. Сейчас принимаются во внимание также показатели угрозы экономической безопасности страны.
Авторы учебника по экономике С. Фишер, Р. Дорнбуш и Р. Шмалензи пишут: «Политиков оценивают по их успехам в сдерживании безработицы и инфляции на низком уровне и по умению добиться высокого роста ВНП. Не понимая механизма действия и последствий инфляции, люди тем не менее боятся, что она может стать угрозой их экономической безопасности. Когда уровень безработицы растет, она становится главной политической проблемой».
Фишер С, Дорнбуш Р., Шламензи Р. Экономика.
Что означает угроза экономической безопасности нации Под угрозой национальной экономической безопасности подразумеваются те условия и факторы, которые наносят ущерб общенациональным интересам и подрывают экономику страны. Различаются внешние и внутренние опасности.
К внешним угрозам относится подрыв источников хозяйственной силы государства. Объясним это на следующем примере. Обычно каждая страна заимствует за рубежом наиболее ходовую иностранную валюту, чтобы закупить необходимые товары и услуги. Tакие денежные займы должны соизмеряться с возможностями каждого государства своевременно обслужить внешний долг (погасить задолженность) за счет экспорта (продажи своих товаров на мировом рынке). На практике это не всегда удается. Представление о фактическом соотношении между внешним долгом и объемом его обслуживания в разных странах дает табл. 10.2.
В случае, если сумма долга многократно превышает возможности его обслуживания, то создается внешняя опасность для страны-должника. Она может оказаться в экономической и политической зависимости от зарубежных кредиторов.
Что касается России, то в 1990-х гг. она попала в большую зависимость от МВФ (Международного валютного фонда) и других иностранных кредиторов. Только с 2000 г. положение стало выправляться. Страна отказалась от займов МВФ, существенно увеличила экспорт (с 85 млрд долл. в 1997 г. до 133 млрд долл. в 2003 г.) и улучшила обслуживание внешнего долга.
Таблица 10.2 Внешний долг в 2001 г.
|
Страны |
Долг [нее го), млп долл. США |
Коэффициент ПОКрЕЛТИЯ импорта лксп эр m м |
|
Россия |
152 № |
189 |
|
L1 плыла |
G2 393 |
72 |
|
Украина |
12 811 |
103 |
|
Венгрия |
30 289 |
91 |
|
Индонезия |
135 Ш |
229 |
|
Мексика |
158 290 |
95 |
|
В pars или я |
22G 3G2 |
99 |
Внутренние угрозы экономической безопасности нации создают: а) экономические кризисы (спады производства); б) массовую безработицу; в) значительное отставание страны в развитии и освоении новейших научно-технических достижений; г) низкую обеспеченность населения продовольствием, лекарствами и медицинскими препаратами; д) ухудшение состояния здоровья и снижение продолжительности жизни людей; е) опасный уровень загрязнения природной среды и многие другие неблагоприятные условия и факторы.
Чтобы своевременно обнаруживать угрозу экологической безопасности для людей, государственные органы должны проводить непрерывные наблюдения за состоянием макроэкономики. При этом важно устанавливать, когда неблагоприятные процессы (например, загрязнение атмосферного воздуха, питьевой воды и т. п.) достигают предельно допустимой величины, свидетельствующей об угрозе безопасности нации. Это позволяет незамедлительно устранять причины отклонений от нормальных условий жизнедеятельности людей.
За 1990-е гг. в России на некоторых территориях уровень загрязнения природной среды приближался к опасной черте. Например, в 1995 г. сильное загрязнение (превышение предельно допустимого коэффициента в 100 раз и более) отмечалось на некоторых реках в Мурманской и Свердловской областях, реках Обь с притоком Тобол,
Волга с притоками Ока и Кама, на реке Дон и ряде других. Сильное загрязнение воздуха (наличие загрязняющих веществ в концентрациях, превышающих предельно допустимые нормы в 10 раз и более) регистрировалось в ряде городов, в том числе в Москве, Новосибирске, Липецке, Барнауле, Норильске, Магадане, Самаре, Омске.
Свою лепту в борьбу против опасного загрязнения природной среды вносит уголовное законодательство. Уголовный кодекс Российской Федерации включил в разряд экологических преступлений следующие виды правонарушений (гл. 26): а) нарушение правил охраны окружающей среды при производстве работ; б) нарушение правил обращения экологически опасных веществ и отходов; в) нарушение
правил безопасности при обращении с микробиологическими либо другими биологическими агентами или токсинами (ядовитыми биологическими веществами); г) нарушение ветеринарных правил и правил, установленных для борьбы с болезнями и вредителями растений; д) загрязнение вод; е) загрязнение атмосферы и др.
Чтобы успешно регулировать национальное хозяйство, государство должно использовать современные научные данные о макроэкономических показателях и на этой основе определять перспективы социально-экономического прогресса.
§ 3 Новые показатели макроэкономики и национальные счета
Новый тип показателей: в чем их особенности
Исторически первоначальными измерителями макроэкономики были показатели, которые характеризовали масштабы развития только сферы материального производства. Это было вполне естественным для доиндустриального и индустриального производства, где ценился только труд по изготовлению полезных вещей. Для измерения развития производственной сферы применялся показатель -совокупный общественный продукт. Он включал все изделия материального производства, созданные за определенный период (обычно за год). На этой основе до сих пор подсчитывается накопленное в стране национальное богатство.
Под национальным богатством подразумеваются материальные блага, созданные трудом предшествующих и нынешних поколений, а также природные ресурсы, вовлеченные в процессы воспроизводства. В состав национального богатства входят: а) основные фонды (здания, сооружения, машины и оборудование); б) материальные оборотные средства (сырье, материалы, запасы природных ресурсов и др.); в) домашнее имущество (сумма стоимости всех приобретенных предметов длительного пользования).
Новый тип показателей макроэкономики появился во второй половине XX в. и связан с переходом к постиндустриальному обществу. Для этого типа показателей характерны две главные отличительные черты.
В 2004 г. в России национальное богатство, исчисляемое в рыночных ценах, составило 44 577 млрд руб. (в процентах к итогу = 100), в том числе: а) основные фонды, включая незавершенное строительство - 36 669 млрд руб. (82 %); б) материальные оборотные средства - 30 421 млрд руб. (7 %) и в) домашнее имущество - 4865 млрд руб. (11 %). Во-первых, при рассмотрении национального хозяйства принимались во внимание не только степень развития материального производства, но и перемены в сфере услуг. И это стало необходимым делом, потому что в странах Запада примерно 2/3 новой стоимости создается в сфере услуг.
Во-вторых, новые показатели макроэкономики отличаются от предыдущих еще и по другому признаку. В них исключается повторный счет стоимости промежуточных продуктов и учитывается только новая (добавленная) стоимость. Суть дела состоит в следующем.
Исходным для современных макроэкономических измерений является показатель валовой (общей) стоимости всей продукции. Она равна сумме продаж всех товаров и услуг. Эту совокупность подразделяют на два вида продукции:
• промежуточную (она поступает на каждую фирму с тех предприятий, которые производят сырье, материалы, комплектующие изделия);
• конечную, которая идет в конечное потребление.
Поскольку промежуточные изделия повторно суммируются на каждом технологическом этапе изготовления готовой продукции, то для исключения повторного счета их стоимость вычитают из валовой стоимости всех конечных продуктов. Так образуется главный макроэкономический показатель - валовой национальный продукт.
Валовой национальный продукт (ВНП) - это совокупная стоимость конечных продуктов, которые созданы, распределяются и используются в национальном хозяйстве в течение года.
Чтобы разобраться в делении товара на его промежуточный и конечный виды, рассмотрим, например, следующие 5 ступеней всего процесса изготовления хлопчатобумажного костюма.
1. Сельскохозяйственное предприятие выращивает хлопок. 2. Фабрика перерабатывает хлопок в ткань. 3. Предприятие изготавливает из ткани костюм. 4. Торговая фирма перепродает костюмы оптом (целыми партиями). 5. Розничные магазины продают костюмы потребителям. Промежуточными здесь будут товары, приобретаемые для дальнейшей переработки или для перепродажи. Конечными будут продукты, покупаемые для пользования потребителями. На первой стадии все затраты на создание товара (хлопка) образуют новую стоимость. В дальнейшем на каждой последующей стадии к старой стоимости промежуточных продуктов присоединяется вновь созданная стоимость (см. гл. 7).
Созданный ВНП определяется как сумма «валовой добавленной стоимости» (добавленная стоимость - разница между продажами фирм и их покупками материалов и услуг других фирм) для всех отраслей.
В показатель ВНП входит чистый экспорт (разница между стоимостью вывезенных из страны товаров и стоимостью ввезенных товаров). Однако в различных странах удельный вес внешнеторговой деятельности неодинаков. Поэтому для международных сопоставлений степени развитости экономики применяется показатель валового внутреннего продукта (ВВП). Он представляет собой валовой национальный продукт за вычетом разницы между стоимостью экспорта и импорта. В этом показателе учитываются конечные результаты экономической деятельности только внутри каждой страны.
Валовой национальный продукт и валовой внутренний продукт образуют базу для исчисления других макроэкономических показателей. Что это за показатели?
В состав ВНП и ВВП входит не только новая стоимость, возникшая в материальном производстве и сфере нематериальных услуг, но и амортизация (часть конечной продукции, которая возмещает израсходованный основной капитал, идет на восстановление машин, инструмента и т. п.). Если из ВВП вычесть сумму годовой амортизации, то мы получаем чистый национальный продукт (ЧНП).
В свою очередь в чистый национальный продукт входят косвенные налоги, устанавливаемые государством. Косвенные налоги - особый вид налогов, которые добавляются к ценам, установленным фирмами. Так, в США их именуют «налоги с продаж», они составляют 10 % ЧНП. Такие налоги оплачивают покупатели, теряющие на этом часть своих доходов. Если из ЧНП вычесть косвенные налоги, то в конечном счете образуется показатель национального дохода. Национальный доход - это совокупность доходов всех участников сфер материального производства и нематериальных услуг.
В итоге мы можем наглядно представить соотношение современных макроэкономических показателей (рис. 10.1). Эта система показателей введена в нашей стране с 1988 г.
Рассмотренный нами новый тип макроэкономических показателей не является идеальным. Определенной трудностью является подсчет стоимости ряда благ и услуг. Дело в том, что некоторые вещи (государственные или общественные блага) и услуги не продаются и не имеют рыночной цены. Однако, чтобы придать всем продуктам рыночную форму, нетоварные блага включаются в ВНП по особой методологии расчета - по условно начисленной стоимости.
|
Вяловой национальный мрачу |
—
КТ |
—
Чистый экспорт |
|
Валивай внутренний продукт |
Амортизация |
|
|
Чистый национальный |
Кос пенные |
|
|
мрачу кт |
налоги |
|
|
Национальный доход |
|
|

Рис. 10.1. Соотношение макроэкономических показателей
Например, если человек снимает жилье, то платит за это арендную плату. Но для учета жилищных услуг, которыми пользуются владельцы собственных домов, в состав ВНП условно включается «арендная плата», которую якобы они «платят» сами себе. Что касается юристов, полицейских, пожарных, сенаторов и других подобных работников, то стоимость их услуг условно включается в ВНП по показателю их заработной платы.
Итак, мы рассмотрели макроэкономические показатели, с помощью которых удалось организовать национальное счетоводство.
Для чего применяются национальные счета
Государственное регулирование экономики требует создания своеобразной национальной бухгалтерии.
Один из принципов бухгалтерского учета - ведение двойной записи в бухгалтерском балансе. В одной половине бухгалтерских счетов записывают доходы, а в другой - расходы. Важным принципом является равенство доходов и расходов. Все расходы на приобретение продуктов являются доходом производителей этих продуктов. Показатель валового национального продукта одновременно измеряет как совокупный доход всех хозяйственных единиц, так и общий объем расходов на производство товаров и услуг в стране.
Стоимость ряда товаров и услуг вообще не учитывается в ВНП. Это -наркотики и другие продукты «черной» (уголовно наказуемой) экономики. Сюда не попадают блага и услуги, которые используются в домашнем хозяйстве. В связи с этим обнаруживаются ««головоломки» при исчислении национального продукта. Если, допустим, проигрывать граммофонную пластинку дома, то это не входит в стоимость ВНП. Если то же делать с помощью автомата (уплатив соответствующую сумму), то это увеличивает ВНП. Стоимость услуг прислуги входит в общую величину ВНП, а стоимость услуг жены в домашнем хозяйстве - нет. Отсюда вытекает возможность введения всеохватывающего учета хозяйственной деятельности в масштабе всей страны. Такой учет осуществляется в виде национальных счетов.
Национальные счета - это совокупность взаимоувязанных макроэкономических показателей, которые характеризуют производство, распределение и использование ВНП и национального дохода.
В национальных счетах обобщены сведения об экономических операциях хозяйственных единиц по следующим секторам:
а) ««предприятия» - предприятия, организации или учреждения, которые основаны на коммерческих началах (ради прибыли);
б) «домашние хозяйства» - население как потребитель, а также некоммерческие организации (профсоюзы, благотворительные общества, любительские спортивные ассоциации и др.);
в) «государственные учреждения» - государственный аппарат (администрация, армия, полиция, работники судопроизводства); учреждения науки, культуры, просвещения и здравоохранения (финансируемые государством);
г) «зарубежные страны» - то, что находится за пределами национального хозяйства. С помощью национальных счетов можно определять степень достижения нормального - равновесного - состояния макроэкономики. Его результаты широко используются для экономических прогнозов: объема и структуры производства, расходов страны, инвестиций, потребления, налогообложения и других параметров национального хозяйства. Эти счета - инструмент для изучения и совершенствования структур национальной экономики, обеспечения устойчивого экономического роста.
! Краткие обобщения и выводы
1. Макроэкономика - это крупномасштабная хозяйственная деятельность, объединяющая национальную экономику в целом. Макроэкономику важно рассматривать с двух точек зрения: а) в широком смысле - как национальное хозяйство во всех его составных частях и взаимосвязях; б) в узком смысле - как государственный сектор, объединяющий и направляющий развитие всей экономики страны.
2. Государственный сектор характеризуется особой системой экономических отношений: 1) государственное присвоение определенной части средств производства и других благ; 2) национальная экономическая интеграция и крупное общественное разделение труда; 3) нерыночные связи в государственном секторе, правительственные заказы предприятиям; 4) общенациональное регулирование хозяйственной деятельности на основе правовых норм.
3. Экономическая политика означает управляющие действия правительства, которые придают макроэкономике определенную направленность в соответствии с интересами и целями государства. Эта политика преследует следующие основные цели: а) добиваться устойчивого экономического роста; б) в наибольшей мере обеспечивать занятость трудоспособного населения; в) стабилизировать денежное обращение; г) проводить успешную внешнеторговую политику, добиваясь увеличения чистого экспорта.
4. Научно обоснованная экономическая политика учитывает следующие виды закономерных взаимосвязей экономических показателей в макроэкономике: взаимодополняющие, взаимозаменяемые и нейтральные показатели.
5. На государство возлагается ответственность за предотвращение угроз национальной экономической безопасности. Речь идет о факторах, которые наносят ущерб общенациональным интересам и подрывают экономику страны.
К внешним угрозам относится подрыв источников хозяйственной силы государства. Например, угроза такого увеличения внешнего долга страны, когда возрастает опасность усиления ее экономической и политической зависимости от зарубежных кредиторов. Внутренние угрозы возникают, когда значительно превышаются предельно допустимые показатели: падение производства во время экономического кризиса; массовой безработицы; очень высоких темпов инфляции; низкой обеспеченности населения продовольствием, лекарствами и медицинскими препаратами; ухудшения состояния здоровья и снижения средней продолжительности жизни и многое другое.
6. В условиях постиндустриальной экономики внедрена новая система макроэкономических показателей, которые: а) исключают промежуточную и учитывают конечную продукцию; б) кроме материальных благ определяется развитие сферы услуг. К числу основных экономических показателей относятся: 1) ВНП (валовой национальный продукт - совокупная стоимость конечных продуктов); 2) ВВП (валовой внутренний продукт - конечные результаты хозяйственной
деятельности внутри страны); 3) национальный доход (сумма доходов всех участников сфер материального производства и нематериальных услуг).
7. Государственное регулирование макроэкономики предполагает введение всеохватывающего учета хозяйственной деятельности в виде национальных счетов. Национальные счета - это совокупность взаимоувязанных макроэкономических показателей, которые характеризуют производство, распределение и использование ВНП и национального дохода. В них обобщены сведения об экономических операциях хозяйственных единиц по следующим секторам: «предприятия», «домашние хозяйства», «государственные учреждения», «зарубежные страны». Национальные счета используются для изучения и совершенствования структур национальной экономики и обеспечения устойчивого экономического роста.

? Задачи и вопросы на сообразительность
|
1. К терминам из левой колонки найдите соответствующее определение в правой колонке. |
|
]. Валовой националы |
А. Совокупность доходов всех членов общества |
|
Hhi;: ГфОДуКТ |
Б. Вія готовая продукция, идущая на потребление |
|
2. Национальное богатство |
В. Совокупность созданных трудом и і са коплен -ных материальных бла: :j стране |
|
Я. Валовой |
Г М атерііааыLbte бп а: а. идущие на л ич ное |
|
ннутренпі:;: продукт |
н производительное потребление |
|
4. Коночный продукт |
Д Сум м а конеч н ы х реаул ьгагов хйстве н но й |
|
Г>. Национальный |
деятельности внутри страны |
|
доход |
Е. Часть обществен іюго : іроду кт а которая |
|
В. Макроэкономика |
а течение года направляется на текущие |
|
7. Промежуточны й |
м атер, іа л ьн ые а аграты |
|
продукт |
Ж Единая совокупность всех форм \ оаяй ствола -ния вітране |
|
|
2. Определите стоимость промежуточного продукта и новую (добавленную) стоимость. |
|
Стадия производства конечного продукта |
Выручка от продряш |
Стоимость промежуточного продукта |
Добавленная стоим ость |
|
Ипіеница |
А |
? |
? |
|
Мука |
б |
? |
? |
|
Попеченный хле^ |
12 |
? |
? |
|
Хлеб, доставленный к месту покупки |
20 |
? |
? |
|
Итого |
А2 |
? |
? |
|
3. Тест. Макроэкономическими показателями являются:
а) национальное богатство страны;
б) издержки производства фирмы;
в) валовой национальный продукт;
г) прибыль предприятия;
д) национальный доход.
4. Тест. Национальный доход страны включает в себя:
а) прибыль;
б) амортизационные отчисления;
в) стоимость сырья;
г) заработную плату;
д) косвенные налоги;
е) банковскую прибыль.
5 . Какая экономическая политика государства способствует:
а) укреплению макроэкономики;
б) ее ослаблению и разрушению.
6. Когда возникла макроэкономика как общенациональная система экономических отношений?
Глава 11 Экономический рост национального хозяйства
Как известно, государственный сектор и макроэкономика в целом развиваются ради осуществления индивидуальных и коллективных интересов людей. В первую очередь, эта цель достигается при устойчивом росте хозяйства страны. Поэтому государство призвано способствовать расширенному общественному воспроизводству.
Общественное воспроизводство включает два неразрывно связанных между собой процесса: а) возобновление и увеличение выпуска материальных благ и производства услуг; б) воспроизводство населения страны.
Возобновление и умножение национального богатства не может быть самоцелью. Оно в конечном счете предназначено для того, чтобы поддерживать воспроизводство населения - численность людей в данной стране. В свою очередь, возобновление и развитие человеческого фактора - непременное условие существования самого производства.
Исходя из сказанного, рассмотрим ведущий фактор всего экономического роста макроэкономики - воспроизводство населения.
§ 1 Воспроизводство населения: современные тенденции
Как измеряется численность населения
Прежде всего численность населения подсчитывается в абсолютном выражении. Это - среднегодовая численность - число жителей на начало и на конец года, деленное на два (табл. 11.1).
Численность населения страны может изменяться из-за эмиграции (переселения людей из одной страны в другую) и иммиграции (въезда иностранцев в страну на постоянное жительство).
Естественный прирост населения характеризует изменение его численности без учета эмиграции и иммиграции. Этот показатель подсчитывается с помощью относительных выражений - следующих коэффициентов:
Таблица 11.1
Среднегодовая численность населения в 2003 г.
|
Стадия гі[у.іИземідетва к отечного продукта |
Выручка от продажи |
Стоимость промежуточного продукта |
Добавленная
стоимость |
|
Пгоетща |
А |
? |
? |
|
.Мука |
0 |
? |
? |
|
Попеченный хлеб |
12 |
? |
? |
Хлеб, доставленный
К месту покупки |
20 |
? |
? |
|
Итого |
42 |
? |
? |
• коэффициента рождаемости (отношения родившихся живыми в течение календарного года к среднегодовой численности населения);
• коэффициента смертности (отношения числа умерших в течение года к среднегодовой численности населения);
• коэффициента естественного прироста населения (разности коэффициентов рождаемости и смертности).
Все коэффициенты определяются как численность естественного прироста (или убыли) населения в расчете на 1 тыс. жителей страны.
От чего зависит численность населения
Чтобы узнать, почему в той или иной стране изменяется численность людей, важно определить причины этих изменений. На население воздействуют биологические, географические и социально-экономические факторы. Среди них наибольшее влияние на изменение численности жителей страны оказывают следующие
социально-экономические условия развития.
• Уровень развития материального производства. Примечательно, что в эпоху, когда использовались только природные продукты, население возрастало на 15 % за 1000 лет. С возникновением производящей экономики численность людей стала увеличиваться на 40 % за 1000 лет. На индустриальной стадии этот процесс резко ускорился.
• Характер экономического строя. Так, на рост численности населения пагубно воздействовал рабовладельческий строй, основанный на беспощадном отношении к рабам. Общественный строй, основанный на уважении к человеку, благоприятствует росту численности населения.
• Отношения собственности. Некоторые формы собственности (количество недвижимого имущества) ставят в прямую зависимость от численности семьи. Например, при феодализме общинная земля распределялась среди крестьян с учетом численности членов семьи (по «едокам» или по «душам» - мужчинам), что, разумеется, способствовало увеличению рождаемости.
• Развитие социальных отношений. Примером может служить возникновение семьи -основной социальной ячейки общества. Это способствовало росту народонаселения.
• Войны. Об отрицательном их влиянии говорит тот факт, что только в Первой и Второй мировых войнах погибло около 85 млн человек.
• Охрана здоровья людей. Болезни и вредные привычки уносят десятки миллионов жизней.
• Планирование семьи. Здесь имеется в виду политика государства, которая направлена на ограничение рождаемости в тех странах, где наблюдается чрезмерно большой прирост населения.
Все эти факторы неодинаково действуют в разных странах. Это сказывается на своеобразии воспроизводства населения в ряде государств.
Каковы современные направления воспроизводства населения
Во второй половине XX в. сложилось несколько тенденций (направлений) развития общественного воспроизводства в ряде стран мира. Здесь динамика воспроизводства населения находится в разных соотношениях с темпами изменения объемов производства материальных благ. Можно отметить следующие противоположные тенденции.
Первая тенденция получила образное название «демографическая весна» (демография - наука об изменении численности населения). Эта тенденция наблюдается во многих развивающихся странах (табл. 11.2). Как видно из приведенных здесь данных, для этого типа воспроизводства характерны высокие коэффициенты рождаемости и относительно низкие показатели смертности. После завоевания независимости такие страны получили возможность шире использовать достижения современной медицины, санитарии и гигиены. Рождаемость же осталась на высоком уровне. Это вызвало своеобразный «демографический взрыв». Коэффициент естественного прироста населения в этих странах достиг наивысшего уровня - 20-30 человек на 1000 населения.
Таблица 11.2
Коэффициенты рождаемости и смертности в 2000 г. (на 1000 населения)
|
Г трапы |
Число родившихся |
1 Іигло умгргли :ч |
|
L Іак нс тан |
30.1 |
9,0 |
|
Алжир |
22.3 |
5,2 |
|
Эфиопия |
¦ДО ,1 |
20,0 |
|
ТДЕЗЗДЕЗНЯ |
¦10.0 |
] 7.3 |
|
Ангола |
|
25.8 |
|
Судан |
37.2 |
9,8 |
|
Нигерия |
,39.2 |
13.fi |
|
|
Вместе с тем в ряде развивающихся стран, где население увеличивается высокими темпами, валовой внутренний продукт производится более низкими темпами (как это происходит в некоторых странах Африки). |
Среди причин смертности на первом месте (по числу умерших на 100 тыс. населения) в промышленно развитых странах стоят болезни системы органов кровообращения; на втором месте находятся злокачественные образования; на третьем - болезни органов дыхания.
Планирование семьи: например, в Китае на рождение ребенка надо получить разрешение местных властей. Введено ограничение: «Одна семья - один ребенок». Примечательно, что коэффициент рождаемости
(число родившихся на 1000 населения) снизился с 21,1 в 1990 г. до 12,9 в 2002 г.
Таблица 11.3
Коэффициенты рождаемости и смертности в 2002 г. (на 1000 населения) |
|
Сграны |
Число родившихся |
1 Іщсло умерен их |
|
Венгрия |
9.5 |
13.1 |
|
Германия |
Я,Я |
Ш.З |
|
Италия |
9,3 |
10,0 |
|
Швеция (200] г.) |
10,3 |
10,5 |
|
Вторая тенденция названа «демографическая зима». Имеется в виду такой тип воспроизводства населения, для которого характерны низкие показатели рождаемости и более высокие по сравнению с ними коэффициенты смертности. В результате падает величина общего коэффициента прироста населения. Такая тенденция характерна в первую очередь для ряда европейских стран (табл. 11.3). Для того чтобы численность населения сохранялась на неизменном уровне, требуется, чтобы половина всех семей имела двоих детей, а другая половина -троих (это соотношение учитывает детскую смертность). В табл. 11.3 указаны страны, в которых происходит естественная убыль населения (число умерших превосходит число родившихся). Вместе с тем в данных государствах производство валового внутреннего продукта на душу населения в 1990-х гг. возрастало (в 2001 г. оно превысило уровень 1990 г., например, в Италии на 19 %, в Германии -19 % и Швеции - на 21 %).
Снижение численности населения в ряде европейских стран происходило вследствие более широкого привлечения женщин к труду, повышения уровня их образования, увеличения возраста вступления в брак, повышения доли городских жителей в составе всего населения.
Третья тенденция: падение уровня общественного воспроизводства. В 1990-х гг. в ряде государств (Белоруссия, Румыния, Украина и др.) одновременно сократились прирост населения и объем производства материальных благ и услуг. Эта тенденция проявилась и в России в 1990-х гг. (табл. 11.4).
Таблица 11.4
Общие коэффициенты естественного воспроизводства населения в России
|
Нп 1000 населегіия |
|
іидм |
ч стели родкнпшхея |
число утерших |
естественный прирост, убыль (-) |
|
1992 |
10.7 |
12.2 |
-1.5 |
|
1933 |
9,4 |
14.5 |
-5.1 |
|
1Ш |
9,6 |
15,7 |
—fc.l |
|
1935 |
9,3 |
15,0 |
-5.7 |
|
1996 |
8,9 |
14.2 |
-3.3 |
|
1997 |
8,6 |
13,8 |
-3.2 |
|
1998 |
8,8 |
13.6 |
-4.Е |
|
1999 |
е,4 |
14J |
-6.3 |
|
2000 |
8,7 |
15,4 |
-6,7 |
|
2001 |
9,1 |
15,6 |
-6,5 |
|
2003 |
10.3 |
16,5 |
-6,2 |
|
Снижение численности населения в России сопровождалось значительным падением производства. В 2003 г. объем ВВП составил к уровню 1990 г. (100 %) 79 %.
За рассматриваемый период средняя продолжительность жизни населения России существенно уменьшилась. Если в 1992 г. она составляла 67,9 года (в том числе мужчины 62,0 и женщины - 73,8), то в 2003 г. снизилась до 64,9 года (в том числе мужчины 58,6 и женщины 70,0).
Приведенные данные российской статистики свидетельствуют о том, что сильное падение производства и обусловленное этим значительное снижение уровня жизни населения вызвали серьезную угрозу физическому здоровью нации и ее будущему.
Государственный комитет по статистике разработал прогноз численности населения страны до 2016 г. в трех вариантах (в зависимости от уровня социально-экономического развития страны). К 2016 г. общая численность населения России может быть в лучшем случае 139 млн человек, в худшем - 129 млн, по среднему варианту - 135 млн человек.
По предварительным итогам переписи населения (на 9 октября 2002 г.) в России проживало 145,2 млн человек. По переписи населения на 17 января 1979 г. население России составляло 137,4 млн человек, а по переписи на 12 января 1989 г. в России проживало 147 млн человек.
§ 2 Особенности роста национального хозяйства
Чем отличается экономический рост в обществе и на предприятии
С тем, что представляет собой экономический рост, мы ознакомились в гл. 7 при изучении расширенного воспроизводства капитала фирмы. Увеличение действующего капитала предполагает его накопление - умножение количества используемых средств производства и рабочей силы. Эти расходы вполне оправданны, если в итоге бизнесмен получает больше прибыли.
Сейчас нам важно разобраться в том, чем рост национального хозяйства отличается от увеличения размеров индивидуального капитала.
Первое отличие вполне очевидно. Речь идет о том, что макроэкономический рост касается, разумеется, капитала не одного предприятия, а всей совокупности капиталов, или иначе говоря, общественного капитала.
Общественный капитал - это сумма всех капиталов в их хозяйственных взаимосвязях.
В общественном капитале суммируются капиталы всех фирм, находящихся в частной и общей долевой собственности, и государственных предприятий. Если результатом хозяйственной деятельности предприятия является валовой доход (суммарный доход фирмы, полученный по итогам производства и продажи продукции), то в масштабе страны подсчитывается, как известно, валовой внутренний продукт (см. гл. 10).
В 2003 г. исчисленный в системе национальных счетов в России валовой внутренний продукт равнялся 13 285 млрд руб., что в процентах к 2002 г. (в сопоставимых ценах) составило 107,3.
Другая особенность макроэкономического роста касается главной цели увеличения масштабов воспроизводства.
Предположим, что цель роста всего национального хозяйства останется той же, что и для предприятия в микроэкономике - получение максимально высокой прибыли. Однако в этом случае, по-видимому, более всего обогатится сравнительно небольшая часть общества (примерно 10-15 % взрослого населения страны) за счет остальных. В результате усилится социальное расслоение общества, что чревато опасными конфликтами между разными по уровню доходов слоями населения. Очевидно, что оптимальной (наилучшей) целью роста макроэкономики является повышение жизненного уровня всего населения.
Какой показатель полнее отражает эту главную цель? Таким показателем является величина национального дохода в расчете на душу населения. Это
объясняется тем, что в нем суммируются все виды доходов членов общества (см. гл. 8).
Нормальным для государства является, по-видимому, такой экономический рост, при котором увеличиваются доходы всех социальных групп на протяжении длительного периода. Статистика свидетельствует о возможности достижения одновременного увеличения совокупного производства нации и душевого дохода. Например, в Англии за 1870-1985 гг. национальный доход на душу населения возрастал на 1,6 % в год. Это привело к увеличению благосостояния всего населения.
От чего зависит оптимальное увеличение национального дохода Расширенное воспроизводство общественного капитала в оптимальном варианте в современных условиях не может быть пущено на самотек. Оно во многом зависит от экономической политики государства. Эта политика призвана обеспечивать достаточную норму накопления в национальном доходе.
В связи с этим важно учитывать, что национальный доход делится на две части: фонд текущего потребления (идет на удовлетворение личных и общественных потребностей людей) и фонд накопления. Норма накопления (Н) показывает удельный вес совокупного накопления капитала (Нк) в составе национального дохода (НД) и выражается в процентах:
, и.
и; -Щ--1С0.
Между нормой накопления и оптимальной целью экономического роста имеется следующая зависимость: чем больше норма накопления, тем выше темпы роста национального дохода на душу населения. Такая количественная связь особенно заметна, если сопоставить уровень нормы накопления, скажем, в африканских странах - Эфиопии, Чаде (5-7 %) - и уровень США, Канады (20-25 %) и Японии (около 35 %).
Однако в рассмотренной нами функциональной зависимости заложено противоречие. Ведь чем большая доля национального дохода идет на накопление (т. е. чем выше будет благосостояние будущих поколений), тем меньше станет фонд текущего потребления (предназначенный для нынешнего поколения людей). И наоборот, чем значительнее растет фонд потребления, тем меньше средств остается на накопление. Как же разрешить это противоречие?
По-видимому, норма накопления должна быть такой, чтобы соблюдать так называемое «золотое правило»: затраты на экономический рост должны давать возможно большее увеличение дохода на душу населения и для нынешнего поколения людей, и для последующих поколений.
Это правило лучше всего действует, если накопление общественного капитала основывается на техническом прогрессе - всех нововведениях, повышающих эффективность экономического роста. В зависимости от этого решающего условия различают несколько типов экономического роста.
§ 3 Типы расширенного воспроизводства общественного капитала
Что такое экстенсивный рост
Экстенсивный (расширяющийся) рост выпуска продукции - самый простой и исторически первоначальный путь расширенного воспроизводства. Он наиболее характерен для доиндустриальной стадии экономики (см. гл. 1), когда преобладал ручной труд в сельском хозяйстве. В этом случае увеличение объемов производства происходит за счет расширения масштабов применения трех традиционных факторов производства: а) рабочей силы; б) средств труда; в) материальных затрат (природного сырья, материалов, энергоносителей).
В системе национальных счетов России при использовании валового внутреннего продукта предусматривается выделение самой большой доли на потребление и существенно меньшей части - на накопление.
Так, в 2003 г. из общей суммы валового внутреннего продукта (13 285 млрд руб.) расходы, в частности, на конечное потребление составили 8969 млрд. руб. (67,7 % всей суммы ВВП), на валовое накопление основного капитала - 2737 млрд руб. (20,8 %).
Экстенсивный экономический рост - увеличение выпуска продукции путем расширения применения традиционных производственных факторов.
Количественная зависимость объема производства от увеличения его традиционных факторов, свойственная экстенсивному экономическому развитию, графически изображена на рис. 11.1.
 |
Рис. 11.1. Темпы увеличения факторов производства при экстенсивном экономическом росте
На рис. 11.1 видно, что ежегодное увеличение темпов наращивания выпуска продукции на определенную величину выражает прямую пропорциональную зависимость этого объема производства от степени количественного увеличения |
всех традиционных экономических факторов.
Поясним такую зависимость на простом примере. Допустим, что количество обрабатываемых земель в какой-то стране увеличилось за определенный срок на 20 %. При этом численность работников возросла на 20 % и на столько же умножилось применение простых орудий труда. В итоге (при прочих неизменных условиях) объем производства продукции земледелия возрастает тоже на 20 %.
Лауреат Нобелевской премии по экономике Роберт Солоу (США) установил, что модель экстенсивного роста выражает количественную зависимость (F) выпуска продукции (Y) на определенную величину (Z) от факторов: основного капитала (К), труда (L) и «земли» (предметов труда - N):
ZY = F(ZK, ZL, ZN).
Эта формула означает следующее. Если капитал, труд и материальные затраты возрастают на величину Z, то и объем производства увеличится в Z раз. Такая зависимость характеризует рост выпуска продукции при расширении масштаба (Z) увеличения факторов производства. Экстенсивный экономический рост имеет некоторые достоинства. Это - наиболее легкий путь повышения темпов хозяйственного развития. С его помощью происходит быстрое освоение природных ресурсов, а также удается сравнительно быстро сократить или ликвидировать безработицу, обеспечить большую занятость рабочей силы.
Такой путь увеличения производства имеет и серьезные недостатки. Ему свойствен технический застой, при котором количественное увеличение выпуска продукции не сопровождается совершенствованием производственных факторов и ростом их эффективности.
Экстенсивное расширение производства предполагает наличие в стране достаточного количества трудовых и природных ресурсов, за счет которых могут увеличиваться масштабы экономики. Однако при этом неизбежно ухудшаются условия воспроизводства. Так, все более стареет оборудование на действующих предприятиях. Из-за нарастающего истощения невоспроизводимых природных ресурсов приходится расходовать все больше труда и средств производства для добычи каждой тонны сырья и топлива. В результате экономический рост во все возрастающей мере носит затратный характер.
Долговременная ориентация на преимущественно экстенсивный путь роста выпуска продукции ведет национальное хозяйство к тупиковым положениям. Так произошло в СССР в 1980-х гг., когда стало невозможно поддерживать высокие темпы расширенного воспроизводства вследствие сокращения притока трудовых резервов, истощения запасов природного сырья в европейской части страны.
Новые возможности экономического роста связаны с интенсификацией воспроизводства.
Интенсификация: что она означает
Интенсивный экономический рост - прямо противоположный тип расширенного воспроизводства общественного капитала. Если экстенсивное увеличение производства полностью исключает технический прогресс, то, напротив, интенсификация основывается на постоянном росте эффективности всех производственных факторов.
Достоинства интенсификации производства выражаются в том, что она обеспечивает прогрессивное развитие экономики, поскольку решающую роль в ее росте и совершенствовании играет дополнительный фактор - внедрение новейших достижений науки и техники. В связи с этим в масштабе общества увеличивается объем научно-технической информации, которая в конечном счете воплощается во все более эффективных средствах производства. Одновременно повышается культурно-технический уровень работников.
При интенсивном увеличении производства преодолеваются преграды экономического роста, порожденные известной ограниченностью естественных ресурсов. Наиболее выгодным фактором расширения производства становится ресурсосбережение. Например, чтобы сберечь 1 т условного топлива (7000 ккал) путем применения новой технологии, требуется в 3-4 раза меньше затрат, чем на добычу такого же объема топлива.
Интенсивный экономический рост - это расширение выпуска продукции посредством использования достижений технического прогресса и повышения эффективности всех производственных факторов.
Между тем интенсификация (это слово означает напряжение) сопровождается увеличением выпуска продукции. Речь идет о повышении наукоемкости производства и изготовлении качественно новых видов изделий, не имеющих аналогов (соответствующих образцов) ни в природе, ни в экономике прежних времен. Такой тип воспроизводства связан с глубокой прогрессивной перестройкой структуры национального хозяйства, широкой подготовкой кадров инициативных и высокопрофессиональных работников. Вместе с тем научно-технический прогресс может вызывать безработицу, которая усиливается в трудоизбыточных регионах страны.
Интесификация всегда основывается на техническом совершенствовании факторов производства, что ведет к сбережению последних в расчете на единицу продукции. Однако эта экономия принимает разные виды на разных этапах технического прогресса, ведущих к совершенствованию тех или иных составных частей технологии. В связи с этим различают несколько видов интенсификации в зависимости от сбережения тех или иных ресурсов (рис. 11.2).
Американский экономист Р. Солоу математически описал модель интенсивного роста выпуска продукции (Y) в зависимости от совокупной производительности (эффективности - А) производственных факторов (К, L, N):
Y = А(К, L, N).
Из формулы видно: если величина применяемых факторов не меняется, а их совокупная производительность А увеличивается на 1 %, то объем производства возрастает также на 1 %.
|
І'гігепе ифнкация іжоЕзомичеекого pfrfvra |
|
Т рудосб ерсга БПЕІІДЯ |
|
Капиталосберегающая |
|
Всесторонняя |
|
|
|
|
|
1 |
|
сокращение |
|
ясоноы ня |
|
сбережение |
|
числа pjificr- |
|
средстп и пред- |
|
пдас факторов |
|
пи коп |
|
метоп труда |
|
нроилпат ст па |
Рис. 11.2. Виды интенсификации производства
Трудосберегающий вид интенсификации предполагает, что новая техника высвобождает на производстве рабочую силу. В этом случае скорость роста выпуска продукции опережает темпы изменения численности работников. Такой процесс в широких масштабах происходил в результате первой промышленной революции, на индустриальной стадии производства.
Капиталосберегающий вид интенсификации состоит в том, что благодаря применению более совершенных машин и оборудования, сырья и материалов достигается экономное расходование средств производства. Эти изменения в наибольшей мере стали проявляться на начальном этапе научно-технической революции (НТР), когда широко осваивалось высокопроизводительное автоматическое оборудование, удешевлявшее продукцию, а также достижения химии полимеров и другие эффективные вещественные факторы производства. Наконец, всесторонняя интенсификация - это такое направление экономического прогресса, при котором используются все указанные виды ресурсосбережения. Данный вид интенсификации практически внедряется в условиях современного этапа НТР и высоких технологий.
Не требуется доказывать, что всесторонняя интесификация дает наибольший экономический эффект. В противовес затратному экстенсивному наращиванию производства всесторонняя интенсификация обеспечивает антизатратную траекторию экономического роста. Она наглядно изображена на рис. 11.3, где приведены условные данные.
Мы видим, что быстрее всего растет объем национального дохода (НД), несколько медленнее увеличиваются выпуск средств производства, т. е. основного капитала (Ко) и численность рабочей силы (Р). В итоге снижается стоимость единицы продукции (Ст), расширенное же воспроизводство приобретает качественно новые черты, связанные с повышением наукоемкости выпуска продукции.
 |
|
Рис. 11. . Изменение экономических показателей при всесторонней интенсификации |
Какой тип экономического роста преобладает
Рассмотренные до сих пор модели экономического роста представляют собой два противоположных способа расширения производства. Эти противоположности, взятые в их «чистом виде», представляют собой несовместимые крайности по важнейшим признакам (табл. 11.5).
Теперь, естественно, напрашивается вопрос: какой тип экономического роста преобладает в экономике каждой страны?
На этот вопрос легче всего ответить с учетом исторических стадий развития производства (см. гл. 1). Очевидно, в мировом масштабе экстенсивное расширение производства господствовало на доиндустриальном этапе хозяйствования. Интенсификация же созидательной деятельности стала все больше усиливаться на индустриальной и, особенно, на постиндустриальной стадиях.
Таблица 11.5
Сравнительный анализ экстенсивного и интенсивного расширения производства
Экотогюиеяіе.ій poor
ІІЕ1Г0Г10И[Д1Е,]Й pOOT
ГХ’ЯОПЛГ! ГПЗ ИСІГОШНаііНИТОЛЩ) Г pc's ГріЗДИ ПИ OHF1EJX ф-ііГ?Г^р^П производства
О ТГу
1ТГТ ЕіуОТ токн ичес КИЙ Г1 р Оф ООО Выпускаются траднциоЕЗЕЗые продукты
Нот ресурсосберегающих ток пологий
Эффекта еіезосіь производства по пппЕсгнаетоя
Біазируіеітся и:, по традиционном рес?рое — >ффеЕСГИЕІІІОСТН ЕЮОХ фйКТОрОЕІ
Boo быстрее раіЕінваеіся тохезикл и тохезллогия
HonpopE.iitrifj повышается гіл? косм кость и качоотЕно изделий
РаягіЕ,:о Еіиды :з кои ом и и ресурсов
Не у ЕС Л О FIFIOO ПО и. Г" СП И 0 іффоКТИ Е ДЗОСТ И козяй от ею п пой деяте j: е,поет и
В современном мире страны сильно различаются по степени развития факторов расширенного воспроизводства общественного капитала. Поэтому нельзя определить одинаковый для всех тип экономического роста. В зависимости от масштабов и качественного развития факторов воспроизводства можно выделить несколько вариантов экономического роста.
Так, во многих странах Африки, Азии и Латинской Америки быстро растет численность населения, но они отстают от современного технического прогресса. Не случайно такие страны развиваются по экстенсивному пути.
Индустриально развитые страны, в которых заметно увеличивается численность населения, вынуждены наращивать занятость работников производства. В других государствах, где рост населения приостановился, зачастую применяют трудосберегающие технологии как один из видов интенсификации хозяйственной деятельности.
Немало стран сильно различаются по степени развитости сырьевых и перерабатывающих отраслей производства. В тех из них, где есть природные богатства, экстенсивно возрастает их добыча для поставок на мировой рынок. Имеется немало государств, в которых наряду с увеличением численности населения происходит непрерывный технический прогресс. Здесь в разных соотношениях сочетается экстенсивное и интенсивное расширение производства.
Стало быть, во всем мире для современного периода характерны разнообразные варианты смешанного типа экономического роста. В этом случае чисто количественное увеличение факторов производства сочетается с их качественным совершенствованием. Это, естественно, сильно сказывается на темпах хозяйственного развития.
Смешанный тип экономического роста иллюстрируют следующие данные по США. За период 1948-1994 гг. прирост реального валового внутреннего продукта в негосударственном секторе национального хозяйства составлял 3,4 % в год. При этом доля экстенсивных факторов производства (капитала, работников и отработанного времени) в увеличении выпуска продукции составила 62 %, а доля общей производительности факторов (образование, научно-исследовательские разработки и т. п.) - 38 % всего годового прироста ВВП.
Какая страна развивается быстрее
Если сравнить все страны мира по скорости их экономического роста в XIX-XX вв., то станет очевидно, что они развивались очень неравномерно. Чем объясняется эта неодинаковость?
Основной причиной различий в темпах хозяйственного развития является неравномерность технического прогресса, который прерывается и переходит на более высокую ступень с революционными изменениями средств труда. В итоге мировое экономическое пространство превратилось, образно говоря, в своеобразный ипподром (место для состязаний по конному спорту). На нем «всадники» - передовые в техническом отношении страны - борются за лидерство.
переворот и в середине XIX в. она превратилась в «фабрику мира» (давала 1/2 всей мировой промышленной продукции). За ней следовали Франция и Германия.
В первой половине XX в. США обогнали все страны. Вместе с Германией они быстрее других государств освоили новейшие технические достижения начала XX в.
(перешли от «века пара» к «веку электричества»).
После Второй мировой войны США упрочили свое могущество и стали лидером научно-технической революции.
Во второй половине XX в. гонка за лидерство продолжалась с переменным успехом для ряда стран. В 1960-х гг., используя технические достижения США и других стран, Япония совершила «чудо»: благодаря 10-процентному наращиванию за год индустриального производства она заняла 2-е место в мире по объему промышленной продукции.
Затем высокие темпы набрали государства, вставшие на путь промышленного развития. В число «новых индустриальных стран» первого поколения вошли Южная Корея, Тайвань, Сингапур и Гонконг. Позже на путь ускорения индустриального роста встало немало других стран: Индонезия, Филиппины, Малайзия др. (см. табл. 11.6).
Между тем на рубеже XX-XXI вв. особенно явственно выявились две разные тенденции экономического роста. Первая - догоняющее индустриальное развитие (переход ко второй стадии производства (см. гл. 1), характерным для которого являются высокие темпы количественного увеличения промышленного производства. Однако такой чисто количественный рост может привести к экономическому тупику. Сейчас можно выпускать, скажем, хорошо освоенные виды средств информационной техники. Однако вскоре они устареют и окажутся уже непригодными.
Таблица 11.118

Индекс промышленного производства в некоторых странах
|
Г трапы |
2002 г. по отношению к 1990 г. (1990 •- Ш0) |
|
США |
141 |
|
Япония |
92 |
|
Не л ия |
178 |
|
Республика Кертя |
232 |
|
Китай |
Ш |
Вторая тенденция продвижения экономики вперед - догоняющее постиндустриальное развитие. Этот путь подходит для высокоиндустриальных стран, которые способны:
• быстро отвечать на вызовы информационного общества;
• развивать творческую деятельность высококвалифицированных специалистов и научных работников;
• затрачивать большие объемы инвестиций на развитие научных исследований и новейших направлений технического прогресса;
• обновлять производство на основе информационных технологий.
По-видимому, страны с догоняющим постиндустриальным развитием смогут сочетать сравнительно быстрый экономический рост (выше средних мировых темпов развития) с непрерывным качественным обновлением производства и выпускаемой продукции.
В заключение важно обратить внимание на следующие обстоятельства. Знакомясь с приведенными в настоящей главе графиками экономического роста, можно предположить, что увеличение выпуска продукции в национальном хозяйстве всегда идет по непрерывно возвышающейся прямой. Но это не совсем так. По какой траектории (непрерывной кривой) в действительности движется макроэкономика, -об этом будет сказано в следующей главе.
Основанная на информационных технологиях экономика способна обеспечить высокие темпы хозяйственного развития - 10-15 % в год. Разумеется, что такое ускорение невозможно без высококвалифицированных работников, профессионалов, способных творчески использовать быстро совершенствующуюся микроэлектронную технику и информационные технологии.
! Краткие обобщения и выводы
1. Государство призвано способствовать расширенному общественному воспроизводству. Такое воспроизводство включает: а) возобновление и увеличение выпуска материальных благ и услуг; б) воспроизводство населения страны. Причем возобновление и развитие человеческого фактора - непременное условие существования самого производства.
2. Численность населения страны может изменяться из-за эмиграции и иммиграции людей. Естественный прирост жителей подсчитывается с помощью коэффициентов: рождаемости, смертности и естественного прироста (подсчитывается прирост или убыль населения в расчете на 1 тыс. жителей страны).
3. На численность людей воздействуют биологические, географические и социальноэкономические факторы. Наибольшее влияние оказывают следующие социальноэкономические условия: а) уровень развития материального производства; б) характер экономического строя; в) отношения собственности; г) развитие социальных отношений; д) войны; е) охрана здоровья людей; ж) планирование семьи.
4. Во второй половине XX в. в ряде стран мира сложились следующие тенденции в соотношении между динамикой естественной численности населения и темпами экономического роста. 5. Во многих развивающихся странах наблюдаются высокие
показатели рождаемости. Коэффициент естественного прироста населения здесь достиг наивысшего уровня (20-30 человек на 1 тыс. населения). Однако в некоторых развивающихся странах такой прирост населения обгоняет темпы увеличения ВВП.
Б. В ряде европейских стран происходит естественная убыль населения (число умерших превосходит число родившихся). Вместе с тем производство ВВП на душу населения возрастает. В. В 1990-х гг. в ряде государств (в том числе в России) одновременно сокращались прирост населения и объем производства материальных благ и услуг. Это отрицательно сказывается на численности населения и средней продолжительности жизни людей.
5. Рост национального хозяйства существенно отличается от увеличения размеров индивидуального капитала в том отношении, что в масштабе страны воспроизводится общественный капитал, создающий валовой внутренний продукт. Оптимальной целью роста макроэкономики является не достижение максимальной прибыли частных капиталов, а повышение жизненного уровня всего населения. В связи с этим оптимальным показателем макроэкономического роста является увеличение национального дохода в расчете на душу населения.
6. Оптимальное увеличение национального дохода во многом зависит от экономической политики государства, которая призвана обеспечивать достаточную норму накопления в национальном доходе. При этом накопление общественного капитала должно основываться на техническом прогрессе.
7. Самым простым и исторически первоначальным является тип экстенсивного роста макроэкономики. Он происходит за счет расширения масштабов применения традиционных факторов производства. Экстенсивное расширение производства позволяет быстрее освоить природные ресурсы, сократить или ликвидировать безработицу. Но этому пути увеличения выпуска продукции свойствен технический застой.
8. Тип интенсивного экономического роста основывается на техническом прогрессе и повышении эффективности всех производственных факторов. Этот тип расширенного воспроизводства устраняет преграды для экономического роста, порожденные известной ограниченностью природных ресурсов. Вместе с тем он предполагает преодоление определенных трудностей: повышение наукоемкости производства и создание качественно новых видов изделий; глубокую структурную перестройку национального хозяйства; широкую подготовку кадров инициативных и высокопрофессиональных работников.
В зависимости от сбережения определенных ресурсов различаются следующие виды интенсификации производства: трудосберегающая, капиталосберегающая и всесторонняя (экономия всех факторов производства). Наибольший экономический эффект дает всесторонняя, или антизатратная, интенсификация.
9. В зависимости от масштабов и уровня развития факторов производства в разных странах неодинаковыми темпами увеличивается численность населения, достигнуты неодинаковые стадии производства, а поэтому имеется несколько вариантов экономического роста. Во второй половине XX в. для всего мира характерны варианты смешанного типа расширенного воспроизводства общественного капитала. В таком типе экономического роста сочетаются и дополняют друг друга экстенсивный и интенсивный способы расширения производства.
10. В XIX-XX вв. все страны мира по скорости их экономического роста развивались очень неравномерно, что объясняется, главным образом, неодинаковой степенью развития науки и техники в разных государствах. Во второй половине XX в. высокие темпы роста национального хозяйства достигли страны догоняющего индустриального развития. Для некоторых из них характерно чисто количественное увеличение промышленного производства, что может вызвать отставание по качественным показателям выпускаемой продукции. Гораздо более перспективным является догоняющее постиндустриальное развитие. Оно позволяет сочетать сравнительно быстрый экономический рост с непрерывным качественным обновлением производства и изготавливаемых изделий. Такой прогресс вызывает
 |
|
1971г. 1972 г. 1973 г. 1974 г 1975 г |
экономика, основанная на информационных технологиях.
? Задачи и вопросы на сообразительность
1. Назовите источники роста экономики всей нации.
2. Какой тип и вид роста национального хозяйства дает наибольший экономический результат?
3. Найдите ответы, характеризующие экстенсивный и интенсивный рост макроэкономики (заполните таблицу).
|
Показатель |
Экгтгп-
Г ИВЕ! Ы И
рогт |
ФормЕ,: интенсивного роста |
трудо
сберегающая |
фопдо-
сберегающая |
[юегтороЕЗЕідя |
На ?ч но-тех п ичег кий про грегг
Вид :жопомии производит веппЕ.гч факторов
ДиЕзамика производительности груда, мате ри алое м когти и фондоотдач и |
|
|
|
|
Те м п ы у вел нчения 1 5
l j (1970- 100%) ^О 130 120 ПО 100 90
Рис. 11.4
4. Для экстенсивного роста советской экономики типичными являются данные о развитии народного хозяйства в 1971-1975 гг. Так, за 5 лет численность занятых на производстве работников (РС) возросла на 5 %, национальный доход (НД) увеличился на 28 %, материальные затраты (M) возросли на 35 % и объем основного капитала (Ко) на 50 % (рис. 11.4).
П р о в е д и т е расчеты и определите, ценой каких затрат в 1971-1975 гг. был получен прирост национального дохода на 1 %.
5. Тест. Что является главной причиной экономического роста в высокоразвитых странах:
а) увеличение объема рабочего времени;
б) увеличение объема применяемого капитала;
в) использование новейших технологий на производстве;
г) рост квалификации рабочей силы;
д) осуществление денежно-кредитной политики государства, способствующей экономическому росту.
6. Тест. Данные о росте суммарного объема ВНП и объема ВВП в расчете на душу населения:
а) показывают, что объем ВНП на душу населения всегда растет быстрее, чем суммарный объем ВВП;
б) преуменьшают экономический рост, потому что не принимается во внимание фактор загрязнения окружающей среды;
в) преуменьшают экономический рост, потому что не учитывается сокращение


рабочего времени.
7. Верно-неверно.
1. Если объем ВНП растет быстрее, чем численность населения, то объем ВНП в расчете на душу населения снижается.
2. Чем больше ВНП направляется на инвестиции, тем выше темпы роста ВНП.
3. Экономический рост не зависит от инвестиций, вкладываемых в человеческий фактор.
Глава 12 Неустойчивость и равновесие развития макроэкономики
В конце предыдущей главы было сказано, что расширенное воспроизводство общественного капитала было бы неправильно графически изображать в виде возвышающейся прямой линии. В таком случае возникает вопрос: какой же в действительности является линия экономического движения?
§ 1 Экономические колебания
При поиске истины мы наталкиваемся на парадокс (неожиданное явление, не соответствующее обычным представлениям).
Как выглядит волнообразное движение экономики
Чтобы убедиться в том, что происходит в действительности, давайте посмотрим на статистические данные об изменении валового внутреннего продукта (ВВП) в ряде стран в 1990-х гг. (табл. 12.1).
Как нетрудно заметить, указанный в табл. 12.1 показатель ВВП в ряде стран нередко то опускается, то поднимается в какие-то годы по сравнению с предыдущим годом. Таблица 12.1
Динамика валового внутреннего продукта в ряде стран (в постоянных ценах, в процентах к предыдущему году)
 |
|
Такие изменения индексов созданного в стране ВВП явно напоминают волновые колебания. Что означают эти колебания? |
Экономические колебания - это отклонения важнейших показателей макроэкономики от их устойчивого состояния, траектории (непрерывной линии) движения.
Волнообразным колебаниям подвергаются в первую очередь следующие основные показатели, которые характеризуют решающие социально-экономические изменения в национальном хозяйстве:
• объем производства или дохода в стране в целом (ВВП и национальный доход);
• занятость работников;
• уровень цен в масштабе экономики страны.
От этих основных показателей во многом зависят производные переменные величины:
• объем валовой прибыли в национальном хозяйстве (зависит от объема производства и уровня цен);
• норма ссудного процента (зависит от нормы прибыли и уровня цен).
Какие бывают «волны»
Экономические колебания отличаются друг от друга по своим масштабам и по времени. Они бывают: а) краткосрочными, б) среднесрочными и в) долгосрочными.
1. Краткосрочные экономические колебания - это сравнительно небольшие по масштабам и по времени изменения объема национального производства, занятости работников и уровня цен. Такие колебания, например, вызываются сезонными изменениями конъюнктуры (состояния) рынка сельскохозяйственных продуктов после уборки урожая. В это время возрастает продажа, скажем, овощей и фруктов и снижаются цены на них. К весне объемы продаж этих продуктов уменьшаются, а цены возрастают.
В целом в течение года экономический рост идет с небольшими отклонениями от основной линии.
2. Среднесрочные колебания экономики означают значительные отклонения от положения равновесия в национальном хозяйстве. Как свидетельствует история, начиная с XIX в. огромная амплитуда (размах) таких колебаний подрывала нормальное течение хозяйственного развития и создавала угрозу национальной экономической безопасности. Средние по величине волны вызвали движение общественного капитала - экономический цикл (или цикл деловой активности).
3. Долгосрочные колебания (или «длинные волны») характеризуются очень большими взлетами и падениями производства. Согласно научной гипотезе (предположению), такие колебания повторяются примерно через 50 лет. Они возникают в результате обновления средств труда в общественном масштабе и связаны с повышением или понижением нормы прибыли.
Долгосрочные колебания нуждаются в серьезном научном исследовании. Здесь мы подробнее ознакомимся со сравнительно часто повторяющимися «средними волнами».
§ 2 Экономический цикл
На какие фазы подразделяется цикл
Экономическая наука и хозяйственная практика еще в XIX в. установила, что в экономическом цикле чередуются два совершенно разных состояния хозяйства страны.
Первое из них - равновесие основных пропорций (соотношений) национального хозяйства (например, между производством и потреблением благ, спросом и предложением всех товаров, потоком товаров и денег). Такое состояние экономики обеспечивает устойчивость процесса производства, занятости трудящихся и неизменность рыночных цен.
В другом случае резко нарушается установившееся равновесие главных пропорций макроэкономики, что является следствием стихийного развития товарного производства и рынка. Такое нарушение равновесия может достигать столь кризисного (переломного) положения, что вызывает сильное «заболевание» экономического организма.
Наглядное представление об устойчивости или неустойчивости, например, морского судна дает ватерлиния - черта вдоль борта корабля, показывающая предельную осадку судна при полной его нагрузке. Для национального хозяйства своеобразной ватерлинией служат предельно допустимые значения макроэкономических показателей. Они сигнализируют об угрожающем снижении величины национального дохода и накопления общественного капитала, уменьшении занятости работников (росте безработицы), повышении уровня цен и других важных условий жизнедеятельности общества.
 |
Рис. 12.1. Экономический цикл
Экономический цикл представляет собой такое возвратно-поступательное движение национальной экономики, в ходе которого она переходит от одного противоположного состояния к другому: от падения производства к его подъему. Цикличность (повторение кругового движения) проявляется в том, что в хозяйственной деятельности периодически повторяются четыре фазы (момента) развития: 1) кризис, 2) депрессия, 3) оживление и 4) подъем (рис. 12.1). |
Экономический цикл - это круговое движение макроэкономики, в котором последовательно повторяются фазы - кризис, депрессия, оживление и подъем.
Впервые экономический цикл был отмечен в 1825 г. в Англии. В этот начальный период развития капитализма экономический цикл довольно четко подразделялся на свойственные ему фазы. Об их различии можно судить по табл. 12.2.
Исходной фазой кругового движения является кризис. Речь идет о том, что в масштабе страны происходит перепроизводство товаров. В этот момент падают уровень и темпы экономического роста ниже предельно допустимого размера. Разоряется масса промышленных и торговых предприятий. В обществе нарушаются кредитные связи, расстраивается рынок ценных бумаг, падают курсы акций. Все предприниматели испытывают острую потребность в деньгах для уплаты быстро образовавшихся долгов и потому норма банковского процента значительно возрастает.
Затем наступает другая фаза - депрессия (застой). Тогда приостанавливается спад производства, а вместе с тем и снижение цен. Постепенно уменьшаются запасы товаров. Из-за незначительного спроса увеличивается масса свободного денежного капитала и ставка банковского процента снижается до минимума. В период депрессии предложение товаров перестает обгонять спрос, прекращение выпуска товаров снижает их предложение до уровня спроса. В то же время создаются естественные условия для выхода из кризиса. Уменьшаются цены на средства производства и удешевляется кредит, что способствует возобновлению расширенного воспроизводства на новой технической основе. Прибыльность экономики находится на низком уровне.
Таблица 12.2
Основные различия фаз экономического цикла
|
Состояние |
|
Фазы |
цикла |
|
|
ЭКОНОМИКИ |
Кризис |
Депрессия |
Оживление |
11 одъем |
|
Про ЮН ДС1ВО |
1 ІадеЕіие объемов производства |
ОстаЕзовка
(застой)
производства |
Восстало в іе я не производства до предкризис-ПОГО уртJE!.мм |
Превышение предкризисного уровЕзя производства |
ЗаЕЗЯТОГТЕ.
рабочей о илы |
Pro кое сокращение
занятости |
Найме» ьЕііая
заізятость |
Увеличение
заЕзятости |
Быстрый рост занятости |
Рынок (спрос
и предложение TOEtapOEs) |
1 ІрсдложеЕіис товаров
значительно
пресыщает
спрос |
РавеЕзство спроса и предложения
ТОДаррВ |
Рост преддоже-пнядо предкризисного
УРОВЕЗЯ |
Предложение обгоняет рост спроса |
|
Кредит и банковский про[(ент |
Острая погреб-посте, і: кредите , растет банковский процент |
Низ кая ставка
банковского
процента |
Повышение спроса денег,
РОСТ баЮЕОВС-кого процента |
Большей спрос па кредитные средства, высокий банковский процент |
|
Цены товаросі |
Снижение цеп |
Низкий уровень цен |
Подъем рыночных цеп |
Спгкулятіт-еіый рост цеп |
|
Прибыль |
Падение объема и нормы прибыли |
Низ кая норма
ПрИОЕіЕЛН |
ПоЕч.днепие
ПрибыЛЕ.ЕЗОСТИ
капитала |
Наибольшая норма прибыли |
В следующей фазе - оживлении - производство расширяется до его предкризисного уровня. Размеры товарных запасов устанавливаются на уровне, необходимом для бесперебойного снабжения рынка. Начинается небольшое повышение цен, вызванное увеличением покупательского спроса, увеличивается занятость рабочей силы. Возрастает спрос на денежный капитал, и ставка процента увеличивается.
Наконец, наступает фаза подъема. В этот период выпуск продукции превышает предкризисный уровень. Сокращается безработица. С расширением покупательского спроса возрастают цены на товары. Увеличивается спрос на кредитные средства и соответственно возрастает норма банковского процента. Значительно возрастает прибыльность производства.
Описанное здесь движение делового цикла- это не удел отдельных стран, где по каким-то причинам неудачно сложилось хозяйственное развитие. Периодические спады производства скорее всего характерны для «процветающих» государств.
О неоднократном падении производства в такой казалось бы благополучной в экономическом отношении стране, какой являются США, свидетельствуют данные табл. 12.3.
Таблица 12.3
Спады производства в США

Экономические кризисы многообразны. В них выделяются прежде всего общие спады производства во всем национальном хозяйстве. Вместе с ними или отдельно происходят частичные кризисы (в какой-либо сфере или отрасли хозяйства), например:
финансовый кризис - глубокое расстройство государственных финансов (денежных средств в руках государства);
денежно-кредитный кризис - резкое сокращение коммерческого и банковского кредита;
валютный кризис - обесценение валюты (денежной единицы страны); аграрный кризис - резкая приостановка сбыта сельскохозяйственной продукции.
Статистические показатели табл. 12.3 свидетельствуют, что начиная с 1953 г. в США произошло 8 спадов производства (снижения ВНП - валового национального продукта). В начале XXI в. США испытали новый экономический кризис, а с 2003 г. началась фаза подъема производства.
Чем объясняются кризисы в странах Запада?
Экономические кризисы: в чем их причина
Во время кризиса наблюдается резкое нарушение равновесия между предложением и спросом в масштабе страны. Этот кризис перепроизводства непосредственно проявляется в том, что предложение товаров со стороны всех продавцов значительно превышает спрос покупателей. Чтобы побыстрее избавиться от излишнего количества товаров, которые не пользовались спросом и обесценивались, некоторые предприниматели еще в начале XX в. прибегали к их варварскому уничтожению. Однако обостряющееся во время кризиса противоречие между предложением и спросом тоже нуждается в объяснении. В самом деле: почему предложение (соответственно производство) обгоняет спрос?
Соотношение количества произведенных товаров и объем их потребления не совпадают не случайно. Бизнесмены стремятся всемерно увеличивать общую величину и норму прибыли. Обострение конкуренции и связанное с этим ускорение технического прогресса ведет к увеличению размеров капитала и умножению выпуска товаров. В результате погони за прибылью производство и предложение товаров выходит далеко за пределы возможностей рыночного спроса. Когда такой разрыв достигает недопустимых масштабов, неизбежно наступает кризис перепроизводства.
Американский писатель Дж. Стейнбек в романе «Гроздья гнева» (1939) так описывает уничтожение нераспроданных продуктов: «Апельсины целыми вагонами ссыпают на землю. Люди едут за несколько миль, чтобы подобрать выброшенные фрукты, но это совершенно недопустимо! Кто же будет платить за апельсины по двадцать центов за дюжину, если можно съездить за город и получить их даром? И апельсиновые горы заливают керосином из шланга, а те, кто это делает, ненавидят самих себя за такое преступление, ненавидят людей, которые приезжают подбирать фрукты. Миллионы голодных нуждаются во фруктах, а золотые горы поливают керосином».
Наконец, интересно узнать, почему и каким образом фаза подъема переходит в фазу кризиса. Можно сразу сказать, что особенно важную роль в этом процессе играет рынок ценных бумаг.
Как известно (см. гл. 2 и 8) на рубеже XIX-XX вв. наряду с возникновением акционерного капитала стали действовать фондовые биржи, где продавали и покупали ценные бумаги.
Фондовая биржа первоначально сложилась как свободный, нерегулируемый рынок ценных бумаг. На такой «дикой бирже» в 20-х гг. XX в. широко развернулась небывалая спекуляция ценными бумагами, которая давала крупным владельцам акций баснословные доходы. Цены акций непрерывно повышались, но собственных денег для их покупки стало не хватать. Крупные спекулянты стали брать в банках все возраставшее количество кредитных средств, которое значительно превышало их способность отдавать долги. В итоге образовался так называемый «мыльный пузырь»: курс акций продолжал расти в полном отрыве от действительной стоимости ценных бумаг. Когда банки обнаружили, что спекулянты не возвращают им в надлежащие сроки взятые у них денежные ссуды, то «мыльный пузырь» лопнул. Кредитные учреждения утратили возможность возвратить своим вкладчикам полученные от них деньги. Чтобы расплатиться с долгами, спекулянты стали продавать акции по пониженным ценам. Наступил биржевой кризис, во время которого разорялись и банки, и покупатели акций. Именно такой кризис служит началом общего кризиса перепроизводства товаров.
Биржевой кризис и поныне служит первопричиной падения производства. Об этом убедительно свидетельствовали кризисные явления на фондовых биржах в США и некоторых других странах в 2001-2002 гг.
«Фактором, непосредственно определяющим уровни внутреннего производства и занятости, большинство экономистов единодушно считают уровень общих, или совокупных, расходов. В рыночной экономике предпринимательский сектор производит товары и услуги только в том случае, если их можно продать с прибылью. Более высокий уровень общих расходов обусловливает возникновение противоположной ситуации: рост выпуска означает, что растущая доля производства начинает приносить прибыль, поэтому производство, занятость и доходы будут возрастать. Когда экономика достигает уровня полного использования ресурсов, то это затрудняет дальнейший рост реального производства».
Макконнелл К., Брю С. Экономикс.
Вместе с тем в современных условиях экономические кризисы существенно отличаются от описанных здесь спадов производства.
В чем состоят особенности кризисов в современных условиях
В западных странах в современный период циклическое движение общественного капитала приобрело следующие качественно новые черты.
Первая особенность. На начальной стадии развития капитализма действовал самопроизвольный механизм циклического развития экономики. Она могла не только входить в фазу спада производства, но и без вмешательства государства возвращаться к хозяйственному подъему.
Однако такое саморегулирование экономического цикла закончилось в 20-х гг. XX в. Это во многом объясняется тем, что крупные монополистические объединения (см. гл. 6) серьезно подорвали устои свободного рынка и установили экономическую и рыночную власть не только на внутреннем, но и на международном рынке. Не случайно механизм стихийного рынка не сработал во время мирового экономического кризиса 1929-1933 гг. Характерно, что в это время выпуск продукции в промышленности уменьшился на 1/2, лишились работы 26 млн человек, а реальные доходы населения снизились на 60 %.
В дальнейшем на Западе был накоплен значительный опыт по проведению антикризисной политики (об этом будет сказано в гл. 13). В результате кризисы стали менее разрушительными. Циклы деловой активности нередко протекают без некоторых традиционных фаз, для них характерна меньшая амплитуда колебаний от спада до подъема.
Вот как драматически начался самый сильный экономический кризис в США. 24 октября 1929 г. на Нью-Йорской фондовой бирже разразилась настоящая катастрофа. Гигантский поток продаж ценных бумаг буквально захлестнул ее. Толпы людей атаковали биржу, и с ними не могла справиться полиция. Очевидцы сравнивали обстановку на бирже с концом света. За период с 1929 г. по 1932 г. курсы акций ведущих компаний упали в десятки раз. Цены акций промышленных компаний в целом снизились в США на 87 %, Великобритании на 48 %, Германии на 64 %, Франции на 60 %. Разорились миллионы инвесторов, затративших свои деньги на покупку ценных бумаг.
Вторая особенность. Во второй половине XX в. и в XXI в. на весь ход расширенного воспроизводства огромное воздействие оказывает научно-техническая революция. Под ее воздействием серьезно изменилось течение кризисов и возникли их новые виды. С одной стороны, под воздействием НТР стали быстро развиваться наукоемкие отрасли хозяйства, наиболее устойчивые при экономических колебаниях (микроэлектроника, роботостроение и др.). С другой же стороны, НТР привела к структурным кризисам в традиционных отраслях промышленности, где преобладает простая (механическая) технология по переработке природных веществ (угольная, черная металлургия, текстильная и т. п.). Структурные потрясения - более продолжительны. Застой и упадок старых индустриальных отраслей усугубляется не только их отставанием в техническом отношении, но и их низкой эффективностью, зачастую - убыточностью. Такое положение преодолевается, если отставшие отрасли обновляются на основе новейшей высокоэффективной техники и технологии.
Кроме того, НТР значительно ускорила оборот основного капитала, его замену более совершенной техникой. Вследствие этого кризисы стали происходить чаще - не через 10-12, а через 5-6 лет.
Третья особенность. В 1990-х гг. и в начале XXI в. существенно влияет на усиление устойчивости экономического роста новейший фактор - глобализация мировой экономики (подробнее о ней говорится в гл. 15). Большое воздействие на темпы роста и качественное совершенствование хозяйств подавляющей части стран мира стали оказывать глобальная конкуренция и свободное развитие внешних экономических связей государств. Значительную роль в этом отношении играет расширение международной торговли, темпы роста которой значительно превышают темпы увеличения мирового совокупного продукта.
Совершенно иную картину мы наблюдаем в России.
Россия: что собой представляет кризис 1990-х гг.
Мы выяснили, что экономические кризисы характеризуются резким нарушением нормального соотношения предложения и спроса товаров и услуг в масштабе национальной экономики. Такое нарушение может предстать в двух вариантах. При первом варианте, который мы уже рассмотрели, производство и предложение товаров значительно обгоняют спрос населения. Теперь нам предстоит проанализировать второй вариант, при котором платежеспособный спрос обгоняет предложение. В этом случае наступает необычный для высокоразвитых стран

кризис недопроизводства. Именно такой кризис имел место в нашей стране в 1990-х гг. Чем он объясняется?
Первая причина заключается в том, что в СССР государство полностью монополизировало экономику; она базировалась на постоянном увеличении объема средств производства для развития оборонно-промышленного комплекса, который производит средства вооружения. Однако это привело к сокращению средств производства для гражданских отраслей хозяйства, в том числе для изготовления предметов потребления. В результате начался кризис недопроизводства. Отрицательную роль сыграла ориентация на преимущественно экстенсивное развитие хозяйства. Предпосылки кризиса недопроизводства возникли еще в 1970-х гг., когда экстенсивный путь исчерпал свои возможности, что выразилось в снижении темпов экономического роста. Если среднегодовые темпы прироста национального дохода в нашей стране в 1966-1970 гг. составили 7,8 %, то в 1986— 1990 гг. - 1,3 %.
Замедленный рост количества предметов потребления на протяжении шести десятилетий привел к тому, что они стали составлять только 25 % всей продукции промышленности, а остальная доля приходилась на средства производства и оборонную продукцию (в высокоразвитых странах предметы потребления составляют 35-45 % объема индустриального производства). Не случайно в 1980-х гг. стало обостряться положение со снабжением населения товарами повседневного спроса и длительного пользования. В итоге весной 1990 г. впервые за многие десятилетия в нашей стране производство упало ниже нулевой отметки. В то же время из-за неудовлетворенности покупательского спроса у населения скопились огромные суммы денег.
Каково же было течение экономического кризиса в России в 1990-х гг.?
Во-первых, в это время не был преодолен кризис недопроизводства. В 1999 г. валовой внутренний продукт составил только 59 % к уровню 1990 г. (равен 100 %) (см. табл. 12.4).
Во-вторых, покупательский спрос в значительной мере стал покрываться за счет сильно возросшего ввоза в страну зарубежных то варов. Это отрицательно сказалось на состоянии отечественного производства. С 1992 по 1998 г. товарные ресурсы для розничной торговли за счет собственного производства снизились с 77 до 52 % всего объема таких ресурсов.
Таблица 12.4
Валовой внутренний продукт России (в сопоставимых ценах в 8 к предыдущему году)

В-третьих, если на Западе во время кризисов государство резко усиливает свое воздействие на спрос и предложение, то в России (особенно в 1992-1996 гг.) государство фактически самоустранилось от активного противодействия спаду отечественного производства. Ставка делалась на стихийный рынок. Но этот расчет себя не оправдал.
Чтобы выйти из кризиса недопроизводства, требуется устранить причины, которые его породили, и преодолеть его тяжелые последствия. Речь идет о следующих хозяйственных задачах:
• привлечь внутренние и зарубежные источники накопления для расширения и качественного обновления производства;
• изменить структуру макроэкономики (поднять сельскохозяйственное производство, создать высокоразвитый индустриальный потребительский сектор, значительно развить сферу услуг);
• оказывать всемерную помощь отечественным товаропроизводителям в увеличении выпуска высококачественных предметов потребления;
Начальные шаги по преодолению кризисного спада были сделаны в 19992002 гг. Валовой внутренний продукт вырос в 1999 г. на 5,4 %, в 2000 г. - на 9 %, в 2001 г. - на 5 %, в 2003 г. - на 6,8 %. Товарные ресурсы розничной торговли за счет отечественного производства увеличились с 52 % в 1998 г. до 56 % в 2003 г.
• наладить устойчивый рост макроэкономики на основе всесторонней интенсификации, эффективного использования новейших достижений научнотехнической революции.
России предстоит преодолеть отставание от лидирующих государств по темпам и качественному уровню экономического развития. Для догоняющего постиндустриального рывка в стране имеются важнейшие условия: высокоразвитое индустриальное производство, огромные природные богатства, высококвалифицированные кадры работников.
§ 3 Безработица и занятость
Теперь рассмотрим изменения в области занятости рабочей силы, выражающей переход от одной противоположности к другой: от безработицы к занятости, и наоборот.
Кто является безработным
Одним из бедствий современной экономики является массовая безработица. Чтобы разобраться в ее причинах, определимся с понятием «безработный». Для этого важно знать социально-экономическую структуру населения.
Возможно, некоторые студенты поспешат отнести безработных к числу экономически неактивного населения. Но это неверно.
Экономически неактивное население - это жители страны, которые не входят в состав рабочей силы (готового к работе трудоспособного населения).
Экономически активное население - часть трудоспособных граждан, которая предлагает рабочую силу для производства товаров и услуг.
Чтобы обозначить место безработного в структуре населения, надо разделить его на две большие группы (по классификации, принятой
Международной организацией труда): экономически неактивное население и экономически активное население.
Исходя из такой структуры жителей страны, определяется уровень экономической активности населения - доля численности экономически активных людей в общей численности населения. Такой уровень подсчитывается по формуле:

где Уа - уровень экономически активного населения; Н - численность населения; Эа - численность экономически активного населения.
Как видно из табл. 12.5, в России в 2002 г. уровень экономически активного населения составил 50 %.
В свою очередь экономически активное население делится на две группы:
1) занятые - лица в возрасте 16 лет и старше (а также лица младших возрастов), которые:
а) работают по найму за вознаграждение;
б) трудятся без оплаты на семейных предприятиях;
2) безработные.
Безработный - это человек, который может работать, хочет трудиться, но не имеет рабочего места.
Таблица 12.5
Численность экономически активного населения
|
Страна |
Год |
Всего, тыс.
человек |
Удельный вст экономически а кт и [того населения п общей численности населения, % |
|
Россия |
2003 |
72 212 |
,50 |
|
Германия |
2002 |
¦40 0 22 |
49 |
|
Франция |
2002 |
26 $53 |
45 |
|
Китай |
200] |
737 060 |
5Я |
|
Япония |
200] |
67 ,520 |
,53 |
|
США, |
200] |
І4І Я15 |
,50 |
В состав экономически неактивного населения входят:
а) учащиеся и студенты дневных учебных заведений, занятых только учебой;
б) пенсионеры (по старости и другим основаниям), не ищущие работы;
в) лица, ведущие домашнее хозяйство (в том числе ухаживающие за детьми, больными и т. п.);
г) те, кто не может найти работу;
д) лица, которым нет необходимости работать (независимо от источника их дохода).
На основании данных о занятости (3) и безработице определяется уровень безработицы. Уровень безработицы (Уб) - удельный вес числа безработных (Б) в составе экономически активного населения (Эа). Этот уровень определяется по формуле:



При определении уровня безработицы часто принимается во внимание численность безработных, зарегистрированных в органах службы занятости. Но не все люди, нуждающиеся в работе, становятся на учет в этих органах. Поэтому действительная численность безработных существенно превышает уровень официально зарегистрированной безработицы. Такое расхождение в показателях не позволяет установить степень социальной опасности безработицы.
Предельно допустимым уровнем безработицы принято считать 7-8 %. Если в одних странах уровень безработицы сравнительно невысок, то в других- значительно превышает пороговое значение этого важного показателя (табл. 12.6).
Чтобы понять, что такое безработица, важно выявить ее причины.
В соответствии с определением Международной организации труда к безработным относятся лица в возрасте, установленном для измерения экономической активности населения, которые в рассматриваемый период удовлетворяют одновременно следующим показателям?
а) не имели работы (доходного занятия);
б) занимались поисками работы;
в) были готовы приступить к работе в течение определенного периода времени.
Учащиеся, студенты, пенсионеры и инвалиды признаются безработными, если они стремятся найти работу и готовы приступить к ней.
Срочный трудовой договор (на срок не более 5 лет) может быть заключен с лицами, обучающимися по дневным формам обучения. Трудовой кодекс Российской Федерации (принят в декабре 2001 г.), статья 59.
Таблица 12.6
Уровень безработицы в % от общей численности экономически активного населения в 2002 г. |
|
Страна |
Урпве п ь безработицы |
Страна |
УроЕіень безработицы |
|
Рзасеия |
8.6 |
Яловия |
5 Л |
|
Италия |
9.0 |
США |
|
|
Германия |
8,7 |
КаЕзада |
7,7 |
|
Франция |
9.0 |
ФіШЛЯЕЗДИЯ |
9,1 |
|
Почему появляются «лишние люди»
На современном этапе развития производства научно-техническая революция привела к появлению новых форм безработицы:
• технологическая безработица связана с внедрением современных технологий, основанных на электронной технике. Например, если в настоящее время 40 типографских рабочих высшей квалификации могут набирать примерно 170 тыс. знаков в час, то с помощью компьютерных технологий 10 человек способны за это же время набрать около 1 млн знаков, в результате чего технологическая безработица возрастает в 20 раз;
• структурная безработица обусловлена перемещением производства из одного региона в другой, упадком старых отраслей промышленности и появлением новых. Работники в этом случае лишаются не только работы, но и теряют профессию;
• западные экономисты говорят о существовании функциональной безработицы. Здесь имеется в виду безработица, связанная с временными затруднениями в трудоустройстве - ожиданием работы людьми, которые стремятся сменить место работы или профессию. К ним относятся, по-видимому, те, кто добровольно оставляет прежнее место работы и ищет другое; кто временно теряет сезонную работу, или молодежь, выбирающая место, где можно больше заработать. Таким людям нужно время, чтобы найти соответствующие вакантные места, приобрести квалификацию или переехать в другое место.
К безработным, зарегистрированным в органах государственной службы занятости, относятся лица в трудоспособном возрасте, не имеющие работы, ищущие работу и в установленном порядке получившие официальный статус (правовое положение) безработного в органах государственной службы занятости. В 2002 г. численность безработных, зарегистрированных в органах занятости в нашей стране, составляла 1306 тыс. человек. Однако по материалам выборочных обследований населения по проблемам занятости безработными были 6153 тыс. человек.
Какой бы ни была причина появления «лишних людей», во всех случаях безработица наносит большой ущерб качеству рабочей силы. Утрачиваются знания и навыки трудовой деятельности, что было названо «ржавлением» человеческого капитала. К тому же потеря работы - это психологическое напряжение, сравнимое только со смертью ближайшего родственника или с заключением в тюрьму. Американские исследователи установили, что год безработицы отнимает у человека 5 лет жизни. Известны и тяжелые социальные последствия безработицы: рост наркомании, преступности и увеличение количества самоубийств.
Достижима ли в обществе полная занятость
Во многих странах главной социально-экономической задачей является повышение степени занятости рабочей силы.
Для этого прежде всего важно знать, как определить полную занятость рабочей силы. В масштабе страны полная занятость предполагает равенство численности трудоспособного населения количеству необходимых рабочих мест.
Теперь попробуем представить себе, что все рабочие места постоянно полностью заняты. Хорошо это или плохо?
Наверное, это хорошо для тех, кто вполне удовлетворен трудом по избранной им профессии.
Но могут ли быть удовлетворены, скажем, другие лица, которые еще только учатся в учебном заведении или хотят сменить профессию? Наверное, нет: для них не будет рабочих мест.
Значит, полную занятость было бы неправильно представлять как какое-то неизменное в течение десятилетий состояние в трудоустройстве людей. На самом деле занятость почти непрерывно изменяется под влиянием множества причин. К ним, в частности, относятся:
• динамика численности населения страны;
• прогресс техники и технологии во всех отраслях национального хозяйства;
• изменение структуры макроэкономики;
• изменение международных связей;
• перемены в профессиональной структуре и уровне квалификации рабочей силы;
• колебания численности студентов, обучающихся в средних профессиональных и высших учебных заведениях.
Естественно, что необходимым является прогнозирование занятости населения страны на длительный период с учетом всех изменяющихся условий и факторов. Такое прогнозирование служит основой эффективной государственной политики занятости.
В правовом государстве действует система социальных гарантий для обеспечения экономической безопасности трудящихся.
Первым элементом такой системы является регулирование занятости. Многие государства предпринимают следующие действия:
• сокращают законодательно установленную продолжительность рабочего времени в период массовой безработицы;
• досрочно увольняют на пенсию работников государственного сектора экономики, которые не дослужили до пенсии 2-3 года;
• создают новые рабочие места и организуют общественные работы (в области инфраструктуры - для постройки высококачественных дорог и т. п.), особенно для постоянно безработных и молодежи;
• сокращают предложение рабочей силы на рынке труда: ограничивают иммиграцию (въезд в страну) для желающих работать и стимулируют репатриацию (возвращение на родину) иностранцев и др.
Другим элементом рассматриваемой системы служат биржи труда, созданные еще в первой половине XIX в. Биржи труда - это, как правило, государственные учреждения, выступающие посредником между предпринимателями и работниками при трудовом найме. Они ведут учет и трудоустройство безработных, помогают приобрести новую профессию, изучают состояние рынка труда и предоставляют информацию о нем, помогают профессиональной ориентации молодежи. Однако направление на работу, выданное биржами, не является обязательным для предпринимателей, которые часто предпочитают действовать через собственные отделы кадров. Отказ от предложения биржи обычно влечет за собой лишение пособия по безработице.
Но государство вряд ли в состоянии обеспечить полную занятость в масштабе общества. Ибо такой показатель во многом зависит от субъективных особенностей -воли и желания - отдельных личностей. Важно учитывать, что в правовом государстве принудительный труд запрещен, каждый гражданин имеет право свободно распоряжаться своими способностями к труду.
Полная занятость может достигаться путем: а) нахождения занятий через государственную службу занятости и б) активного поиска безработными нового места работы.
Регулирование противоречивого соотношения «безработица - занятость» непосредственно связано с изменением количества денег, которое получает подавляющая часть населения в виде заработной платы, а стало быть, с состоянием денежного обращения.
§ 4 Инфляция и устойчивость денежного обращения
Мы завершаем настоящую главу рассмотрением неравновесия и равновесия в такой жизненно важной области современной экономики, которой является денежное обращение. Под денежным обращением подразумевается непрерывное движение денег, обслуживающих главным образом оборот товаров. Это обращение таит в себе возможность двух прямо противоположных состояний: 1) равенства стоимости товаров и денег и 2) нарушения этого равенства. В связи с этим важно, естественно, сначала определить, каким должно быть равенство, определяющее количество денег для обращения.
В Трудовом кодексе Российской Федерации (статья 2) одним из принципов регулирования трудовых отношений признаются: «свобода труда, включая право на труд, который каждый свободно выбирает или на который свободно соглашается, право распоряжаться своими способностями к труду, выбирать профессию и род деятельности».
Какое количество денег необходимо для обращения
Объективно (независимо от желания людей) необходимая для рыночных сделок масса денег определяется законом денежного обращения. В этом законе выражена взаимосвязь между двумя потоками, которые образуют «кровообращение» национального хозяйства? потока товаров и потока денег. Устойчивой эта взаимосвязь может быть при равенстве этих потоков.
Закон денежного обращения выражает равенство между массой денег и стоимостью всех товаров.
Американский экономист Ирвинг Фишер так выразил в математической форме равенство в денежном обращении?
Д-О = Ц -Т,
где Д - предложение денег (или масса денег в обращении); О - скорость обращения (сколько раз за данное время денежная единица обслуживает торговые сделки -переходит из рук в руки); Ц - средняя цена типичной торговой сделки; Т -количество продаваемых товаров.
Из данной зависимости можно вывести формулу товарных цен:

Это означает, что при неизменном количестве товаров цены возрастают при инфляции (увеличении количества денег в обращении) и уменьшаются при дефляции (сокращении количества денег).
Сразу же возникает вопрос: кто же или что же обеспечивает выраженное в законе равенство денег и стоимости товаров?
Такое равенство достигалось и достигается совершенно по-разному в эпоху золотого стандарта и на современном этапе. Рассмотрим эти различия подробнее, обратив внимание на поведение покупателей.
В эпоху золотого стандарта указанное равенство обеспечивалось как бы «автоматически». Как правило, в обращении постоянно находилось нужное для торговых сделок количество золотых монет. Когда у покупателей и продавцов появлялось излишнее количество денег, они переходили в разряд сокровищ. Если же деньги вновь требовались для купли-продажи товаров, они поступали в обращение.
Привыкшие к устойчивому денежному обращению покупатели при вздорожании товаров действовали в соответствии с законом цены по массовому спросу (см. гл. 5). Вот та модель поведения покупателей, которая способствовала поддержанию равновесия величин стоимости товаров и денег:
• когда начиналась инфляция цен, люди были уверены, что это временное явление, поэтому переставали покупать вздорожавшие товары;
• излишнюю часть золотых монет население обращало в сокровище;
• в результате уменьшались размеры массового спроса, что, как известно, вело к дефляции - снижению цен.
В эпоху современных денежных средств уже нет прежнего автоматического поддержания равновесия потоков товаров и денег.
Это объясняется прежде всего тем, что нынешние деньги - в отличие от всех товарных эквивалентов - не имеют равную по величине внутренне присущую им стоимость.
Инфляция стала принимать поразительные размеры особенно во время и сразу после мировых войн. Так, в Австрии в 1921-1922 гг. наибольший месячный подъем цен достигал 134 %. Из-за этого в пивных барах посетители заказывали сразу две порции пива, ибо цены росли быстрее, чем пиво выдыхалось.
Поэтому неудивительно, что в условиях инфляции складывалась новая модель поведения покупателей:
• потребители твердо верят в тенденцию роста цен;
• люди сокращают сбережения, которые обесцениваются, и увеличивают спрос (чтобы уменьшить потери от инфляции);
• увеличение размеров массового спроса приводит в действие тот же закон цены по спросу. В результате сами покупатели подталкивают рост цен, что увеличивает их потери от инфляции.
Подъем цен, вызванный увеличением массового спроса, называют инфляцией спроса. Однако современные «сдвиги» в экономической психологии людей являются, конечно, не первопричиной, а лишь следствием действия тех движущих сил, которые сейчас порождают инфляцию.
Может ли общество обойтись без инфляции
В современных условиях действуют факторы, которые порождают инфляционное вздорожание цен на товары и услуги. Их можно разделить на внутренние и внешние факторы.
К внутренним относятся:
• во многих странах, как правило, государственные расходы превышают доходы. Тогда правительство обычно увеличивает внутренний государственный долг (выпускает ценные бумаги, получает кредиты, за которые затем приходится расплачиваться);
• центральный банк нередко допускает чрезмерную эмиссию (выпуск) денег, чтобы покрывать возрастающие нужды государства;
• банки осуществляют кредитную экспансию (дают кредиты сверх возможности должников возвратить долги);
• монополии, выпускающие основную массу товаров, заинтересованы в повышении цен на свою продукцию и часто добиваются этого;
• оборонные расходы государства обычно ведут к повышению спроса денег;
• увеличение размеров долгосрочных капитальных вложений ведет к тому, что долгое время страна не получает никакой отдачи от затраченных денег.
Существуют и международные факторы инфляции:
• государство увеличивает свой внешний долг (берет взаймы у других стран);
• банки ведут обмен иностранных валют на национальную валюту (это предполагает дополнительный выпуск денег);
• рост цен на средства производства на мировом рынке вызывает увеличение цен на них внутри страны;
• структурные кризисы в мировой экономике, связанные с уменьшением природных ресурсов, ведут к удорожанию факторов производства во всех странах;
• войны между государствами сопровождаются огромной потребностью в деньгах. Вряд ли нужно доказывать, что в современной экономике невозможно или очень трудно искоренить указанные выше факторы инфляционного роста цен. Стало быть, более реально вести борьбу не столько с причинами обесценения денег, сколько с их последствиями, иначе говоря, сделать инфляцию управляемой, а ее уровень -умеренным (ползучим).
Опыт многих стран доказал эффективность следующих мер антиинфляционной политики государства.
1. Проведение политики регулирования доходов. Имеется в виду сдерживание инфляции издержек. Правительство избегает прямого регулирования уровня заработной платы в негосударственном секторе экономики. Оно использует косвенные методы в виде «социального партнерства» - поиска соглашения работодателей с профессиональными союзами наемных работников путем взаимных уступок.
Например, в Японии ежегодно проводятся переговоры между бизнесменами и профсоюзами о размере заработной платы. Сначала достигается общенациональное соглашение между правительством, союзами предпринимателей и национальными профсоюзами. Затем на предприятиях договариваются о гибкой системе заработной платы? 25-30 % ее величины выплачивается в виде премий, зависящих от размера прибыли фирмы. Если спрос на выпускаемую продукцию понижается, то уменьшается объем получаемой прибыли, что ведет к снижению уровня оплаты труда. В итоге существенно падает уровень инфляции.
2. Ограничение монополистической деятельности в области ценообразования. В этом случае правительство берет под контроль монополистическое «вздувание» цен. Например, в Англии управление по телекоммуникациям обязало корпорацию «Бритиш телеком» (имеющую 50 % продаж на рынке) выполнять следующие условия. Темпы роста тарифа на услуги корпорации должны быть на 3 % ниже среднегодового индекса цен в английской экономике.
3. Твердое проведение антиинфляционной политики способствует существенному уменьшению инфляции спроса. Успех в этом деле может прийти только к сильному правительству, которое пользуется доверием большинства населения, правильно прогнозирует ход инфляции, четко ставит антиинфляционные задачи и заблаговременно информирует об этом граждан.
4. Эффективное регулирование количества денег в обращении благодаря умелой денежной политике центрального банка. Об этом будет рассказано в гл. 14, в разделе о денежно-кредитной политике.
Статистические данные, приведенные в гл. 5 (табл. 5.3), показывают, что в высокоразвитых странах благодаря антиинфляционной политике достигнуты умеренные темпы инфляции.
Наконец, чтобы упорядочить и укрепить денежное обращение, государства проводят денежные реформы. Денежные реформы означают переход от одной денежной единицы к другой или частичное изменение денежной системы.
Истории известны следующие виды денежной реформы:
1) переход от одного денежного товара к другому (например, от медных денег к серебряным и от серебряных к золотым);
2) замена ставшей неполноценной и обесцененной монеты полноценной или неразменных денежных знаков разменными;
3) изменение в системе эмиссии денег (так, в 1913 г. в США право выпуска банкнот получили 12 федеральных резервных банков);
4) образование новой денежной системы в связи с государственным переустройством (например, после распада СССР новые национальные государства ввели свои денежные системы);
5) стабилизация, или упорядочение денежного обращения. Оно может осуществляться различными методами.
Наиболее типичны среди них:
• дефляция - уменьшение денежной массы путем изъятия из обращения излишних бумажных денег (так, в России в 1918-1923 гг. из оборота было изъято денежных знаков на 240 миллионов рублей);
• нуллификация - ликвидация старых денежных знаков и выпуск новых бумажных денег в меньшем количестве (проводилась во Франции в 1796-1797 гг. при переходе от обесценившихся бумажных денег к полноценным металлическим деньгам);
• деноминация - изменение нарицательной стоимости денежных знаков с их обменом по определенному соотношению на новые более крупные денежные единицы с одновременным пересчетом (в таком же соотношении) цен, тарифов, заработной платы и т. д.
Как известно, деноминация проводилась в России с 1 января 1998 г. Обращающиеся деньги были заменены на новые в соотношении 1000 рублей старого образца на 1 рубль нового.
В заключение мы можем диагностировать общую причину основных «болезней» макроэкономики. Ею является нарушение равновесия главных параметров (показателей) хозяйства. Эти параметры могут улучшаться под воздействием определенной социально-экономической политики государства. Поэтому в современных условиях приобрело важное значение налаживание эффективного управления национальным хозяйством.

! Краткие обобщения и выводы
1. Движение макроэкономики совершается в виде волнообразных колебаний. Экономические колебания - это отклонения важнейших показателей национального хозяйства от их устойчивого состояния. Волнообразным колебаниям подвергаются в первую очередь основные показатели? объем производства и дохода, занятость работников, уровень цен, а также объем прибыли и норма ссудного процента.
2. Экономические колебания подразделяются на? а) краткосрочные (небольшие отклонения от равновесия); б) среднесрочные, образующие экономический цикл (при большом размахе отклонений может возникать угроза национальной экономической безопасности); в) долгосрочные (очень большие отклонения, повторяющиеся примерно через 50 лет).
3. Экономический цикл - это круговое движение макроэкономики, в котором повторяются фазы - кризис, депрессия, оживление и подъем. Во время кризиса резко падает уровень производства; растет безработица; предложение товаров значительно превышает спрос; повышается банковский процент. В период депрессии наблюдается застой в хозяйственной деятельности. В фазе оживления производство восстанавливается до предкризисного уровня; увеличивается занятость; растет спрос на товары и деньги. Во время подъема превышается
докризисный уровень производства; быстро растет занятость; спрос превышает предложение товаров; возрастает банковский процент; происходит спекулятивный рост цен и достигается наибольшая норма прибыли.
4. Разрушительные кризисы обусловлены тем, что бизнесмены стремятся всемерно увеличить общую величину и норму прибыли. В результате неконтролируемой погони за прибылью производство и предложение товаров выходят далеко за пределы рыночного спроса, что ведет к большому перепроизводству товаров. В настоящее время в западных странах циклическое движение общественного капитала приобрело качественно новые черты. Во-первых, государство накопило значительный опыт по проведению антикризисной политики. В результате циклы деловой активности протекают более равномерно. Во-вторых, научно-техническая революция породила наукоемкие отрасли хозяйства, наиболее устойчивые при экономических колебаниях. Но, с другой стороны, НТР породила структурные кризисы в традиционных отраслях промышленности, перерабатывающей природные вещества. Кроме того, НТР значительно ускорила технический прогресс и оборот основного капитала. Вследствие этого кризисы стали происходить чаще - не через 10-12, а через 5-6 лет. В-третьих, на устойчивость экономического роста на рубеже XX-XXI вв. существенно повлияла глобализация мировой экономики, в особенности ускорившееся развитие международной торговли.
5. В 1990-х гг. в России возник и усугублялся кризис недопроизводства. Он был обусловлен преимущественно экстенсивным ростом производства, увеличением выпуска средств производства за счет соответствующего уменьшения количества предметов потребления, превышением покупательского спроса населения по сравнению с предложением товаров и услуг. В 1992-1998 гг. резко снизилось отечественное производство предметов потребления и новейшей техники, упал жизненный уровень населения. С 1999 г. началось увеличение валового внутреннего продукта.
6. Важнейшим показателем неустойчивости макроэкономики является массовая безработица, которая во многих странах превышает предельно допустимый уровень (7-8 % общей численности экономически активного населения). Безработными являются люди, которые могут и желают трудиться, но не имеют рабочего места. Различаются виды безработицы: технологическая, структурная, циклическая (во время кризиса), скрытая, фрикционная. Полная занятость трудоспособного населения может достигаться путем поиска работы с помощью государственной службы занятости или самостоятельного поиска безработными нового места работы.
7. Объективно необходимая масса денег в стране определяется законом денежного обращения, который выражает равенство между массой денег и стоимостью всех товаров. В современных условиях действуют внутренние и международные факторы, порождающие вздорожание цен на товары и услуги. Эффективными являются меры антиинфляционной политики государства: а) проведение политики регулирования доходов, б) ограничение монополистической деятельности в области ценообразования, в) уменьшение инфляции спроса, г) умелая денежная политика Центрального банка.
? Задачи и вопросы на сообразительность
1. В какой мере влияют на экономический цикл следующие факторы?
а) войны;
б) технические изобретения;
в) рост потребительских расходов;
г) рост населения страны;
д) инвестирование.
2. К терминам из левой колонки найдите соответствующие определения в правой колонке.
Л Движение экономики через крваис, депрессию, оживление подъем Б. Недостаточный выпуск товаров і[0 сравнению г их спросом В. Застойная фаза экономическою цик л Г Человек, который хочет может трудиться но не имеет [>а6очет места
1. Депрессия
2. Экономически активное население
3. Уронен:- безработицы
4. Экономический цикл
5 Кризис недопроизводства В. Безработный
Д. Доля безработных составе
экономически активного населения Е. Трудоспособное население
3. Кто виноват в излишнем увеличении денег?
4. Тест. К какой из двух фаз экономического цикла - депрессии или подъему -относятся следующие процессы?
а) рост инвестиций в частном секторе хозяйства;
б) сокращение прибылей;
в) увеличение спроса на рабочую силу;
г) падение курса акций;
д) низкая норма процентной ставки.
5. Верно-неверно:
1. Валовые инвестиции растут, если темпы прироста продаж товаров падают.
2. Фаза подъема экономического цикла всегда совпадает с периодом оживления.
3. Объем инвестиций в машины и оборудование обычно не увеличивается перед наступающим кризисом и после его завершения.
6. Как можно объяснить существование незаполненных вакансий (свободных должностей) при высоком уровне безработицы?
7. В СССР десятилетиями цены были стабильными. Хорошо это или плохо?
Глава 13 Регуляторы национального хозяйства
В предыдущих разделах учебника освещались разные стороны управления хозяйственной деятельностью в макроэкономике. Так, были рассмотрены: социально-экономическая роль государственного сектора; свободное развитие рынка и его регулирование; рыночное и государственное распределение доходов в обществе и другие формы управления хозяйственной деятельностью в стране. Настало время выяснить, что представляет собой общественный механизм, который подчиняет все субъекты хозяйства определенному порядку и определяет формы взаимодействия между ними.
Макроэкономический регулятор - это общественный способ организации и упорядочения национального хозяйства. Он выполняет следующую роль: объединяет все хозяйство нации в единую систему; направляет деятельность всех низовых звеньев экономики, распределяет труд и средства производства по отраслям и видам хозяйства в соответствии с общественными потребностями. Регулятор макроэкономики начинает действовать при определенных предпосылках, а именно в условиях единого национального хозяйства. Впервые такие условия создали развитое товарное производство и рынок. В результате стал действовать исходный тип хозяйственного механизма - рыночный.
§ 1 Рыночное саморегулирование
Как действует «невидимая рука» рынка
Самое, пожалуй, неожиданное состоит в том, что в свободном рыночном хозяйстве нет тех людей и организаций, которые бы упорядочивали микроэкономику в целом. Более того, поскольку такая экономика развивается стихийно, то может показаться, что в ней не может быть никакого порядка, как говорится, «правит бал» только один хаос. Верно ли это?
Ответ на этот вопрос дала Англия еще в XVII-XVIII вв., когда там утвердился капитализм со свободным конкурентным рынком.
Не случайно механизм рыночного саморегулирования впервые открыл А. Смит в знаменитой книге «Исследование о природе и причинах богатства народов». Он разъяснил, что каждый предприниматель стремится обогатиться - получить для себя как можно больше новой стоимости. Однако, по словам А. Смита, «он невидимой рукой направляется к цели, которая совсем не входила в его намерения». Хотя бизнесмены преследуют собственные интересы, они создают товары для удовлетворения потребностей других людей, а поэтому служат в конечном счете общественной пользе.
Рынок «невидимой рукой» направляет действия продавцов и покупателей следующим образом:
1. Все экономические связи, объединяющие продавцов и покупателей, устанавливаются, как принято говорить, по горизонтали на основе хозяйственных сделок. Их прочность определяется тем, что рыночный обмен между его участниками совершается добровольно и только в том случае, если обе стороны рассчитывают извлечь из сделки материальную выгоду.
2. Необходимые соотношения между производством (предложением товаров) и потребностями (покупательским спросом) достигаются с помощью механизма свободных рыночных цен.
Система рыночных цен выполняет три функции, влияющие на уравновешенность товарно-денежного обращения:
• информационную функцию: цены сигнализируют производителям, как изменяется соотношение спроса и предложения на тот или иной товар или определенные виды производственных ресурсов;
• стимулирующую функцию: цены побуждают использовать такие хозяйственные ресурсы, которые помогают достичь наибольшей прибыли. А это позволяет более рационально приспособить структуру производства к составу общественных потребностей;
• распределительную функцию: цены как своеобразный барометр показывают производителям, насколько выгодно создавать те или иные товары. Они, естественно, устремляются из отраслей, приносящих меньший доход, в более доходные отрасли.
Механизм рыночного саморегулирования включает прямые и обратные экономические связи между предложением товаров и рыночным спросом.
Прямая связь выражается в том, что производство (предложение) товаров предопределяет спрос. Все частные независимые друг от друга производители самостоятельно решают проблемы, касающиеся потребностей (спроса) покупателей? что, как и для кого производить.
Однако в условиях свободного рынка единоличные товаровладельцы, не способные повлиять на рыночные цены, действуют как бы «вслепую», не зная реальных покупателей и их запросы. Поэтому стихийно складывающаяся связь между производством (предложением) и спросом может часто давать «сбои», не достигая прямо поставленной цели.
Всех товаропроизводителей выручает обратная связь, идущая от рынка к производству. Рыночная информация о ценах позволяет вносить поправки в производственные действия предпринимателей.
Стало быть, на первоначальной ступени развития рыночных отношений вмешательство государства в хозяйственную деятельность было совершенно излишним. Примечательно, что в Англии в XIX в. был популярен лозунг об идеальном устройстве жизни? «Анархия плюс констебль» (полицейский чин). В экономике признавалось нормальным безвластие (стихийная игра участников рынка), а государство было призвано лишь поддерживать общий порядок - быть, как тогда говорили, «ночным сторожем».
Почему свободный рынок перестал быть саморегулятором экономики в XX веке
На рубеже XIX-XX вв. свободный рынок перестал быть регулятором национального хозяйства по следующим серьезным причинам.
Первая причина. Как известно (см. гл. 2), во всех странах с рыночной экономикой решительно изменились отношения собственности. Частная собственность утратила свою безраздельную экономическую власть. В ХХ в. такая власть перешла к владельцам общей долевой и к государственной собственности.
В связи с этим микроэкономика, которая развивалась на основе рыночного саморегулирования, превратилась в один из секторов национальной экономики. Вторая причина. На рубеже XIX-XX вв. рыночная власть перешла к монополистическим объединениям (см. гл. 6). Еще в условиях свободной конкуренции действия продавцов и покупателей зависели от рыночной цены, регулировались законами спроса и предложения по цене (см. гл. 5). Но затем рыночные цены стали диктовать монополии, подорвав тем самым механизм свободных цен. Антимонопольное законодательство не ликвидировало преобладающее положение монополий на рынке, а только в какой-то мере ограничило монопольное ценообразование (см. гл. 6).
«Механизм цен хорош тем, что постоянно вырабатывает информацию, позволяющую оценивать деятельность человека и соответствующим образом ее корректировать».
Фридмен Милтон, лауреат Нобелевской премии по экономике (США)
Третья причина. Утвердившийся в середине XX в. государственный сектор существенно ограничил масштабы рыночного пространства. Государственное производство общественных благ и услуг не подчиняется законам свободного рынка. Четвертая причина. В XX в. окончательно выяснилось, что механизм рыночного саморегулирования не способен предотвратить угрозы национальной экономической безопасности, которые могут создавать экономические кризисы, безработица и инфляция (см. гл. 12).
Пятая причина. Обнаружилось также, что свободный рынок с его механизмом саморегулирования не в состоянии предотвратить угрозу национальной социальной безопасности, которая вызывается растущим разрывам между богатством и бедностью (см. гл. 9).
Выходит, что управление макроэкономикой нуждается в совершенно новом регуляторе, предполагающем вмешательство государства в хозяйственную деятельность.
§ 2 Государственное регулирование макроэкономики
Какой регулятор пришел на смену свободному рынку
Механизм саморегулирующегося рынка не выдержал сурового испытания на практике. Это подтвердил мировой экономический кризис 1929-1933 гг. Xозяйственный развал, вызванный разрушительным кризисом, породил громадную угрозу экономической и социальной безопасности в самом центре капиталистического мира - в США. Чтобы оздоровить экономику и спасти господствующий общественный строй от краха, избранный в 1932 г. президент США Франклин Рузвельт принял ряд чрезвычайных мер по государственному регулированию хозяйства страны. Государство непосредственно проводило реформирование социально-экономических отношений производства, распределения и обмена.
Экономический кризис 1929-1933 гг. вызвал коренные изменения в экономической теории. Выдающийся английский экономист Джон Кейнс разработал новую модель регулирования национальной экономики.
В противовес принципу невмешательства государства в экономику Дж. Кейнс признал ведущую роль государства в регулировании национального хозяйства. Главная задача государства, по Кейнсу, состоит в том, чтобы обеспечить большой объем «эффективного спроса», ведущего к росту доходов. Предполагалось развивать два вида макроэкономического спроса: а) платежеспособную потребность населения в предметах потребления и б) спрос предпринимателей на инвестиционные товары (средства производства). В результате эффективный спрос выражается как в увеличении занятости и повышении благосостояния населения, так и в росте прибылей фирм. Превышение же совокупного спроса над предложением могло бы предотвращать кризисы перепроизводства и безработицу.
Таким образом, впервые на государство стали возлагаться экономические функции. Они были связаны с обеспечением инвестиций в национальное хозяйство и государственных расходов на эти и другие социально-экономические цели.
Как известно (см. гл. 2), в странах Запада в 1950-х гг. было проведено огосударствление значительной части национальной экономики.
«Новый курс» Ф. Рузвельта включал такие, например, меры: по закону о восстановлении промышленности были введены «кодексы честной конкуренции», в соответствии с которыми устанавливались цены на продукцию и уровень производства, распределялись рынки сбыта и др.; по закону о регулировании сельского хозяйства были повышены цены на сельскохозяйственную продукцию и стало выдаваться денежное возмещение фермерам за сокращение посевной площади и поголовья скота (с целью избежать перепроизводства в сельском хозяйстве); был принят первый в истории США Закон о социальном страховании и помощи безработным (1935 г.); в соответствии с Законом о справедливом найме рабочей силы (1938 г.) был установлен минимум заработной платы и максимум продолжительности рабочего дня.
Государство стало владельцем многих новейших отраслей промышленности, предприятий производственной инфраструктуры (добыча угля, производство электроэнергии, транспорт и т. п.) и учреждений социальной сферы. Правительства начали разработку рекомендательных планов и программ социальноэкономического развития и, создав большой и устойчивый государственный рынок, привлекли крупный бизнес к выполнению своих заказов, приносивших высокие прибыли.
Централизованное управление и планирование макроэкономики в соответствии с рекомендациями Кейнса позволяют согласовать работу предприятий и сориентировать их на лучшее достижение общенациональных интересов. На практике различают три вида такого регулирования?
• Прогнозирование социально-экономического развития страны. Научные прогнозы составляются на один год, на среднесрочную (3-5 лет) и долгосрочную перспективу (10, 20 лет). Такие прогнозы способствуют достижению макроэкономической пропорциональности, определяемой с помощью национальных счетов и межотраслевых балансов. Как правило, разрабатываются три варианта прогнозов? а) пессимистический (с наименьшими по величине показателями); б) оптимистический (с наибольшими показателями); в) базовый (с наиболее реалистичными данными), который принимается за основу государственного регулирования.
• Индикативными (рекомендательный, ориентирующий) план. Такой план состоит из ряда программ, предусматривающих решение отдельных социально-экономических задач. К их выполнению привлекаются фирмы путем предоставления государственных заказов. Заказы обеспечиваются ресурсами и являются весьма прибыльными. Государство отбирает фирмы, проведя соответствующие конкурсы. Такая форма регулирования деятельности предприятий особенно распространена в США.
• Директивными (строго обязательный) план, который является адресным (разработан для конкретных юридических лиц).
Возникла жизненная необходимость «создания централизованного контроля в вопросах, которые ныне в основном предоставлены частной инициативе. Государство должно будет осуществить свое руководящее влияние на склонность к потреблению частью путем соответствующей системы налогов, частью фиксацией нормы процента и частью, может быть, еще и другими способами».
Кейнс Дж. Общая теория занятости, процента и денег (1936).
Принципы кейнсианской модели государственного регулирования легли в основу социально-экономической политики правительств США, Англии и других западных стран, которая проводилась с 50-х гг. до середины 70-х гг. XX в. и получила название «планируемого и регулируемого капитализма». Она дала обнадеживающие результаты: это был наибольший период бескризисного развития мировой капиталистической экономики за всю (после Второй мировой войны) историю.
Каковы пределы государственного регулирования
Основанная на кейнсианском учении экономическая политика западных государств успешно действовала только до середины 1970-х гг. В 1973-1974 гг. разразился мировой экономический кризис. Одновременно с ним мощный удар был нанесен и по кейнсианской теории. Стало очевидно, что даже активное вмешательство государства в экономику не в состоянии предотвратить кризисные спады производства и массовую безработицу.
Такой отрицательный хозяйственный результат не является случайным. Он отразил следующие серьезные недостатки в теории и практике, свойственные кейнсианскому учению.
1. Государственное вмешательство в хозяйственную жизнь, как известно, привело к образованию общей совместной собственности в национальном масштабе. Однако расширение границ государственного присвоения экономических благ должно иметь свои разумные экономические пределы
/ч В этих пределах, по-видимому, вполне оправданно использовать средства производства для создания общественных благ и услуг, общенациональной инфраструктуры и для осуществления других объективно необходимых социально-экономических целей.
Япония имеет более чем 30-летний опыт общегосударственного планирования в условиях рыночного хозяйства. Здесь регулярно составляются средне- и долгосрочные программы социальноэкономического развития, которые являются индикативными (рекомендательными) и безадресными. На практике большинство компаний в значительной степени строят свою производственнокоммерческую деятельность, исходя из прогнозов и рекомендаций общего плана. С 1956 г. в Японии было составлено 10 планов, большинство из них было успешно выполнено (например, среднегодовые темпы прироста валового национального продукта в
реальном выражении в 1956-1960 гг. намечались на уровне 5,0 %, а фактически составили 8,7 %; в 1961-1970 гг. соответственно - 7,2 % и 10,7 % и т. д.). В 1962, 1969, 1977 и 1987 гг. правительство утвердило имеющие законную силу «комплексные планы национального развития» с целью «обеспечить основу сбалансированного развития страны».
Но значительное превышение допустимых масштабов государственного обобществления экономики, скажем, огосударствление большинства отраслей национального хозяйства, может иметь неблагоприятные последствия.
В частности, практика показывает, что эффективность использования государством производственных ресурсов, как правило, ниже, чем в негосударственном секторе. Значит, национализация частной и коллективной собственности может вести к снижению прибыльности всего общественного капитала. Не случайно, что в 1980— 1990-х гг. в ряде западных стран проводилась приватизация государственной собственности.
2. Централизация управления национальной экономикой не соответствовала реальным условиям. В условиях широкого развития рыночных отношений предельно допустимыми можно, по-видимому, считать только прогнозирование и индикативное планирование хозяйственного развития страны. Это не отменяет предпринимательской самостоятельности и инициативы физических и юридических лиц.
Что же касается адресного директивного планирования, то оно, скорее всего, должно ограничиваться предприятиями и учреждениями, находящимися в собственности государства. В то же время его нельзя признать приемлемыш для субъектов негосударственного сектора. Как показал опыт западных стран, применявших жесткие методы централизованного управления, командно-приказное регулирование сковывает свободу и инициативу бизнесменов, мешает лучше использовать производственные возможности предприятий.
Кейнсианская теория дала западной экономике «второе дыхание». Примечательно, что в 50-е, 60-е и в первой половине 70-х гг. XX в. были достигнуты наивысшие темпы экономического роста, наибольшая занятость (привлекалась дополнительная рабочая сила из слаборазвитых стран) и значительный подъем благосостояния населения (уровень жизни возрос в 2-4 раза).
3. Для социального регулирования было характерно систематическое увеличение государственных расходов на социальные нужды. Нормальным можно назвать такое положение, когда эти расходы соответствуют доходам, поступающим в государственную казну. Однако, согласно учению Дж. Кейнса, правительство могло допускать дефицитное финансирование (т. е. расходовать денег больше, чем поступало в бюджет государства). Но такое соотношение расходов и доходов ведет к тупику. Нехватка денег обычно покрывается внутренними и внешними займами. Возрастающую задолженность приходится погашать за счет бюджетных средств. А это ведет к увеличению государственных долгов, что усиливает угрозу национальной экономической безопасности (государство не может вовремя расплатиться по долгам).
4. На практике правительство прибегало к печатанию дополнительного количества денег, например, на краткосрочные инвестиции, которые не ведут к инфляционному росту цен. Но в кейнсианской теории содержалось следующее уязвимое положение. Признавалось допустимым прибегать к печатанию денег для увеличения государственного спроса и покрытия бюджетного дефицита, т. е. допускать умеренную инфляцию. Но стоило пустить в ход маховик инфляции, как это привело к отрицательным последствиям. Примечательно, что если в Организации экономического сотрудничества и развития (в нее входят 30 стран) прирост потребительских цен в 1961-1970 гг. составлял в среднем за год 3,3 %, то в 1971-1980 гг. он увеличился до 9 %. Почти троекратное обесценение денег, разумеется, ухудшило экономическое положение работников и предпринимателей.
5. Как известно (см. гл. 9), государство использует налоговую систему для образования вторичных доходов. Ставки налогов, устанавливаемые на оптимальном уровне (см. рис. 9.4), должны учитывать частные, коллективные и общенациональные социально-экономические интересы. Но на практике допускалось введение очень больших ставок налогов. В ряде западных стран в 1960 -1970-х гг. был значительно превышен предельно допустимый уровень налогообложения. В результате снизилась материальная заинтересованность работников в увеличении заработков и предпринимателей в повышении размеров прибыли. Тем самым подрывалась сама налоговая база (рост заработной платы и прибыли).
В США в период распространения кейнсианства допускался произвол государственных чиновников по отношению к предпринимателям. До середины 70-х гг. ежегодно издавалось до 7000 тыс. распоряжений, которые подчиняли деятельность частного бизнеса определенным правилам.
Эти установки кейнсианского учения на практике привели к отрицательным результатам. На родине Кейнса возникла так называемая английская болезнь -стагфляция (сочетание кризисного застоя с инфляцией).
Как видно, предложенные кейнсианством многие жесткие способы государственного регулирования макроэкономики, нарушавшие нормальные условия хозяйствования, не стали и не могли стать пригодным «рецептом» для лечения больной экономики. Итак, не только рыночный, но и государственный (в его кейнсианском варианте) механизмы регулирования не выдержали исторического испытания на прочность. Но это не устранило разногласия западных экономистов по поводу преимуществ разных типов управления макроэкономикой.
В чем состоят противоречия во взглядах разных научных школ современных западных экономистов по вопросу о макроэкономических регуляторах? Как можно разрешить эти противоречия? Вот вопросы которые нам предстоит сейчас рассмотреть.
§ 3 Смешанная система управления
Кто «за» и кто «против» государства
С тех пор как государство решительно вторглось в сферу управления национальным хозяйством, экономисты на Западе разделились на два противоположных лагеря. Одни выступают за свободный рынок, другие - за государственное регулирование хозяйственной деятельности. Эта борьба за передел сфер влияния государства и рынка на экономику особенно обострилась с 1980-х гг. Полями теоретических сражений являются важные стороны макроэкономического регулирования.
О том, какие позиции отстаивают сторонники свободного рынка и поборники централизованного государственного управления, дает представление табл. 13.1. Таблица 13.1
Сравнительный анализ взглядов сторонников государственного и рыночного регулирования
|
Взгляды сторонников госуда рст пёез езого регулир:жазз ия |
Влглады сторон и икав рЕ,точного регулироЕкизия |
|
Иригщип сффекгиЕнзоіо спроса (государстве иные расходы иа накопление и социальные цели) |
При ез ни п яффектиЕіЕзого пре длажеп ия (с вобода ч аст езого п р ед п ри п и м ательст Eta, для получения наибольшей прибыли) |
|
Расшпре и ие государствс ез езого обобщает Еіле П ИЯ жоп ом и ки |
Приватизация значите ль езой части госуда рстЕі еп п о й собстпе ез езостн |
Це п гра ли зоеиіп п не госуда рст tieri п о е управление и планирование ЕзациоЕзалЕ,-
пого хозяйстеіл |
Ограничение госуда рст Eteri езого упрапле-пия и СЕіертыпаЕзие пациоЕзальпого
плаЕзироЕіаЕзия |
|
РалЕіитие госуда рст am не, :х соцналъЕзых программ (увеличение обществе езезых благ и услуг) |
Урезание социальных программ (уменьшение государственных ея,: плат Еіаее-лепиго) |
|
Ргхіт ЕзалогоЕіого обложения населения и |
ЗпачительЕзое спижеЕзие ЕзалогоЕі е па ее- |
|
предприятий |
лепия и предпринимателей. |
|
Дефицитное фиЕіаЕісироЕіаЕіие и усиление инфляции |
ОокращеЕзие бюджетного дефицита и укрепление денежного обращеЕзия |
Сравнительный анализ взглядов сторонников двух противоположных макроэкономических регуляторов подводит нас к следующим выводам:
1. Приведенные в табл. 13.1 взгляды двух групп экономистов выражают такие крайности, которые взаимно отрицают предельное развитие того или иного способа регулирования.
2. В реальности ни в одной стране не существует как полного подчинения экономики государству, так и рыночного саморегулирования макроэкономики. Стало быть, спор «за» или «против» государства как единственного регулятора всего национального хозяйства является беспочвенным, безосновательным.
Поэтому необходимо продолжить поиск действенного механизма управления макроэкономикой.
«... Все современные экономики являются смешанными - находятся в промежутке между двумя крайностями: чисто командной и чисто рыночной системами».
Фишер С, Дорнбуш Р., Шмалензи Р. Экономика.
Каковы основные черты новой системы управления
Новая система регулирования национального хозяйства основывается не на одном, а на двух действующих механизмах. В ней соединены положительные качества государственного и рыночного воздействия на хозяйственную деятельность. Такое соединение позволяет добиться суммарного эффекта, который превосходит результативность отдельных типов управления.
Так, тип смешанного управления позволяет в наибольшей мере достичь высших целей развития национальной экономики:
• эффективности хозяйствования;
• устойчивости экономического роста;
• социальной справедливости.
Важно заметить: более высокий результат развития национальной экономики достигается потому, что эффективность рыночного хозяйствования сочетается с экономической политикой государства, направленной на обеспечение устойчивости экономического роста и достижения большей социальной справедливости. Смешанная система управления включает качественно новые совместимые между собой элементы.
а) регулируемый рынок (см. гл. 5);
б) регулирующую деятельность правового и демократического государства, использующего разнообразные, в первую очередь экономические способы воздействия на хозяйственную деятельность.
Смешанная система управления - современный тип управляющего воздействия на хозяйственную деятельность, соединяющий регулируемый рынок и правовое государство, использующее преимущественно экономические методы руководства.
«Экономические инструменты совершенно необходимы, чтобы общество сумело найти золотую середину между принципом неограниченной свободы предпринимательства (т. е. рыночными механизмами) и демократическими «правилами дорожного движения»: хорошая смешанная экономика - это, если необходимо, ограниченная смешанная экономика. Эффективному и гуманному обществу требуются две составляющие смешанной системы - рынок и государство. Для эффективного функционирования современной экономики нужны обе эти половинки - одной рукой аплодировать невозможно».
Самуэльсон П., Нордхаус В. Экономика.
Страны мира во многом различаются по степени развития рыночных отношений и регулирующей роли государства. В силу этого возможно большое многообразие вариантов смешанного типа управления макроэкономикой.
Что представляют собой варианты смешанной системы
В разных странах существует множество моделей смешанной системы управления экономикой. Они различаются по:
• сферам действия рынка и государства;
• функциям регуляторов;
• формам и методам государственного управления хозяйством. Мы ограничимся анализом двух моделей.
Первая предполагает минимальное участие государства в регулировании экономики. Например в США около 4/5 валового национального продукта обеспечивается рыночной системой, а остальная его часть производится под контролем государства.
Сторонники этой модели признают необходимость государственного регулирования макроэкономики, по крайней мере, в следующих направлениях:
• обеспечивать экономику нужным количеством денежных средств, которое должно предотвращать инфляцию;
• устранять отрицательные последствия хозяйственной деятельности предприятий, приводящей к нарушению природного баланса и экологической безопасности людей, а также производственной работы, наносящей вред здоровью работников;
• управлять нерыночным сектором национального хозяйства. Речь идет о национальной обороне, государственном управлении единой энергетической системой и национальной сетью коммуникаций; способствовать развитию образования, здравоохранения, фундаментальных наук и т. п.
На практике даже минимальное участие государства в экономическом макрорегулировании предполагает выполнение ряда других задач. К ним относятся: а) обеспечение правовой базы, способствующей эффективному развитию рынка; б) защита конкуренции; в) перераспределение доходов и богатства; г) влияние на распределение ресурсов в целях улучшения структуры национального продукта; д) контроль за уровнем занятости и инфляции, а также поощрение экономического роста. При регулировании национального хозяйства государство применяет преимущественно экономические, а не административные методы.
Другая модель смешанного хозяйственного механизма предполагает максимально допустимое государственное регулирование.
Данная модель основывается на значительном развитии государственного сектора экономики, чему следуют, например Швеция, Германия, Япония (до 40 % ВНП находится под государственным контролем).
Поборники государственного регулирования считают важным и необходимым сочетать такое регулирование с совершенствованием рыночных отношений. Это способствует эффективной хозяйственной деятельности всех предпринимателей. В целях улучшения рыночного механизма государство:
• разрабатывает «правила игры» для всех бизнесменов (определяется правовая основа предпринимательства, деятельности бирж, банковской системы, налогообложения и др.);
• обеспечивает сохранность рыночных связей (преодолевается монополизация экономики, проводится антиинфляционная политика и др.);
• борется за конкурентоспособность национального капитала на внутреннем и международном рынках, разрабатывая общенациональные программы, направленные на ускорение научно-технического прогресса, поощрение экспорта капитала и товаров и т. п.
Кроме того, государство старается стабилизировать экономическое развитие: сглаживать взлеты и падения деловой активности, сдерживать инфляцию и безработицу, поддерживать устойчивый экономический рост. В период спада производства оно увеличивает выплаты пособий по безработице, расширяет возможности получения кредита, уменьшает норму процента. Напротив, в период хозяйственного подъема сокращаются выплаты по безработице, уменьшается объем государственного кредита, повышается норма процента.
К. Макконнелл и С. Брю пишут о США ? «Государственные закупки начиная с 1960 г. составляли около 20 % внутреннего продукта. Однако трансферты значительно возросли, так что общая величина государственных расходов в настоящее время составляет около 1/3 внутреннего продукта».
Макконнелл К., Брю С. Экономикс.
Государство в системе смешанного управления, как известно, регулирует социальные отношения (см. гл. 9). Особое внимание при этом уделяется отношениям между работодателями и трудящимися. Государство устанавливает размер минимальной заработной платы, следит за выполнением трудового законодательства, включая коллективные договоры между предпринимателями и профсоюзами, страхование работников и т. п. Через систему прогрессивного налогообложения доходы высокооплачиваемых работников и предпринимателей частично перераспределяются в пользу малоимущих. Разрабатываются и проводятся в жизнь программы развития здравоохранения и образования.
После рассмотрения смешанной системы управления может показаться, что теперь нам известны все три типа хозяйственного механизма, регулирующих макроэкономику. Однако существует еще один механизм экономического управления национальным хозяйством - командно-административный.
§ 4 Россия: преобразование системы управления экономикой
Что такое командно-административная система управления
Начнем с объяснения названия этой системы.
Командно-административная система - это централизованное государственное управление экономикой страны, которое заставляет предприятия выполнять плановые задания с помощью приказов и других неэкономических методов.
Характерные черты этой системы отражены в схеме (рис. 13.1).
Эта система руководства национальной экономикой означает, во-первых, непосредственное управление всеми предприятиями из единого центра - высших эшелонов административной власти. А это сводит на нет самостоятельность и демократическое самоуправление предприятий. Во-вторых, государство полностью контролирует производство и распределение продукции, в результате чего исключаются свободные рыночные связи между отдельными хозяйствами. В-третьих, государственный аппарат руководит их деятельностью с помощью административнораспорядительных методов, что подрывает свободу предприимательства и материальную заинтересованность работников в результатах труда.

Рис. 13.1. Основные черты командно-административного управления По-видимому, сразу же могут возникнуть вопросы: разве допустимо, чтобы всеми предприятиями страны командовала центральная администрация? Где и когда существовало такое управление?
Исторические факты свидетельствуют о следующем. Приказное управление в полной мере утверждается, когда происходит огосударствление всей экономики. Такая мера оправданно применяется при чрезвычайных обстоятельствах, вызванных войной, хозяйственной разрухой, голодом. Командное руководство способно быстро сосредоточить материальные и людские ресурсы на решающих участках хозяйства, успешно выполнить сравнительно простые производственные задачи. В экстремальных условиях такое управление может оказаться единственно возможным и по - своему эффективным .
В России к административному управлению хозяйством пришлось прибегнуть в конце 1918 г., когда начались гражданская война и иностранная интервенция. Нужды обороны потребовали централизации управления страной. Была введена продразверстка (у крестьян отбирались все излишки продовольствия, чтобы снабжать ими городское население). Промышленность не выпускала товаров для населения, и произошла натурализация экономических отношений. Была установлена всеобщая трудовая повинность.
Значит, командно-административную систему управления можно признать - как это ни покажется парадоксальным - нормальной формой регулирования хозяйства, пригодной, правда, только для чрезвычайных условий, когда общественный строй какой-то страны и жизнь граждан находятся под угрозой.
Напротив, когда война закончилась, командное руководство экономикой изжило себя. Приказные методы не отвечают задачам мирного хозяйственного строительства. Поэтому в России в начале 1921 г. чисто административная система управления была упразднена и введена новая экономическая политика (нэп). Однако в конце 20-х - начале 30-х гг. вновь началось огосударствление экономики. Вся власть фактически перешла к центральному государственному аппарату, была восстановлена административная система командования народным хозяйством. Плановое централизованное управление народным хозяйством позволило в короткие исторические сроки добиться больших перемен в экономике. В нашей стране были созданы высокоразвитое индустриальное производство и мощный оборонно-промышленный комплекс, проведена культурная революция и повышен уровень жизни населения.
Но директивное планирование всего хозяйства страны из единого центра управления имело серьезные недостатки и непреодолимые противоречия.
1. В начале индустриализации сверхцентрализованное управление давало определенные положительные результаты, ибо объем выпуска всей продукции был еще невелик, а структура промышленности - сравнительно простой.
Но когда производство достигло огромных масштабов, эффективно руководить им из центра стало невозможно. Не случайно центральные плановые органы не могли охватить все народнохозяйственные пропорции. Например, в 1980-е гг. Госплан (Государственный плановый комитет) СССР непосредственно регулировал не более 5 % всех пропорций в экономике страны, а остальные плановые показатели определяли в централизованном порядке в отраслях хозяйства страны.
2. Народнохозяйственный план постоянно был направлен на обеспечение преимущественного роста производства средств производства и оборонной продукции. Тем самым в плановом порядке поддерживалось и углублялось структурное несоответствие между важнейшими отраслями хозяйства страны, что послужило основной причиной известного кризиса недопроизводства в России (см. гл. 12).
Впервые командное руководство экономикой стало осуществляться в 1916 г. в Германии в разгар Первой мировой войны. Тяжелое военное и хозяйственное положение вынудило государство взять на себя контроль за производством, распределением дефицитных сырьевых и энергетических ресурсов, а также непосредственно распределять продовольствие. Центральная власть стала также регулировать трудовые отношения на предприятиях. Был введен закон о трудовой повинности граждан с 16 до 60 лет, установлен военный режим на производстве и введен 12-часовой рабочий день.
Плановые задания в 1950—1990-е гг. систематически предусматривали определенное увеличение производства материальных и культурных благ. Однако из-за однобокого развития советской экономики постоянно не хватало материальных ресурсов для удовлетворения покупательского спроса населения. Выходит, что плановое регулирование экономики страны не устранило, но, напротив, поддерживало недостаточное производство предметов народного потребления.
Каким путем идти к новой системе управления
Уже в начале 1990-х гг. стало ясно: надо уходить от командно-административной системы управления национальным хозяйством. Но какой иной тип макрорегулятора выбрать?
Выбор был сделан в пользу свободной рыночной экономики, основанной на частном предпринимательстве. Весь расчет строился на том, что так называемая «невидимая рука» - свободный капиталистический рынок - будет выполнять роль хозяйственного механизма.
В 1992 г. российское правительство одномоментно уничтожило органы административного регулирования экономики. Был упразднен Госплан, разрабатывавший централизованные планы и прогнозы социально-экономического развития. Перестал существовать Государственный комитет по материальнотехническому снабжению, который в соответствии с народнохозяйственным планом обеспечивал все отрасли средствами производства.
Правительство России в 1993 г. признало, что в итоге государственные предприятия оказались неподконтрольны ни рынку, которого еще не было, ни плану, которого уже не стало, ни государству как собственнику. Была разрушена вся управленческая деятельность государства.
Практика хозяйственного развития в 1990-х гг. убедительно показала, что в России необходимо полностью исключить известные крайности в макроэкономическом управлении. Основной путь к созданию современного эффективного управления предполагает оптимальное сочетание государственного и рыночного регулирования хозяйственной деятельности.
В 1920-е гг. в России насчитывалось всего два десятка индустриальных отраслей, в начале 90-х гг. - свыше 500 отраслей, подотраслей и видов производств, более 45 тыс. крупных предприятий. Промышленность выпускала свыше 24 млн наименований видов продукции.
В первую очередь важно создать эффективную централизованную вертикаль макроэкономического управления. Речь идет об образовании целостной системы государственного регулирования экономики и социальной сферы. Эта система призвана обеспечить выработку оптимальных (наилучших) целей общественного развития и создание условий их достижения.
Централизация управления сейчас диктуется необходимостью успешного решения долговременных созидательных задач, призванных ликвидировать последствия десятилетнего упадка экономики страны. Согласно оценке экспертов, чтобы достичь такого же уровня душевого производства валового внутреннего продукта, как в современных Португалии или Испании, России понадобится примерно 15 лет при темпах экономического роста не менее 8 % в год. Наша страна достигнет уровня душевого производства ВВП Великобритании или Франции, если темпы роста будут на уровне 10 % в год.
Чтобы развернуть созидательную хозяйственную деятельность, необходимо иметь долгосрочную общенациональную стратегию развития. В ней, в частности, целесообразно предусмотреть: а) поощрение быстрого экономического роста на основе значительного увеличения инвестиций; б) развитие лидирующих направлений научно-технического прогресса; в) создание эффективной финансовой системы, и др.
Для успешного проведения новой экономической политики государства требуется преодолеть недостатки, возникшие в управлении хозяйством страны в 1990-х гг. С одной стороны, в это время объем государственной собственности резко уменьшился, но, с другой стороны, численность государственных служащих значительно увеличилась. В связи с этим целесообразно, в частности:
• избавиться от излишнего государственного вмешательства в экономику (отказаться от разного рода разрешений, регистрации и иных норм и правил, не предусмотренных законом);
• уменьшить число лицензируемых (разрешаемых) видов деятельности;
• при проведении административной реформы сократить количество органов управления.
Большое экономическое значение имеет деятельность государства по созданию благоприятных условий хозяйствования:
• дальнейшее снижение налогов на юридические лица;
• улучшение правовой защиты всех форм собственности (в частности, установить четкие правила продажи и приобретения государственной собственности);
• создание благоприятного делового климата для отечественного капитала (уменьшить риски, развить инфраструктуру рынков, повысить стимулы накопления и т. д.).
Нуждаются в дальнейшем развитии рыточные отношения. Вот, например, какие меры можно провести:
• перестроить экономическую структуру оборонно-промышленного комплекса. Сейчас половину потребностей в обороне обеспечивают негосударственные предприятия (в том числе акционерные общества с участием государства). Целесообразно расширять участие негосударственных предприятий в оборонных исследованиях и в производстве вооружений, используя в этих целях конкурсную систему и систему государственных закупок продукции ОПК;
• упорядочить и снизить уровень импортных тарифов (это позволит снизить уровень потребительских цен);
• России целесообразно вступить во Всемирную торговую организацию (чтобы не ущемлялись интересы нашей страны в международной торговле).
Смешанная система макроэкономического регулирования предполагает одновременные и сбалансированные действия государства и рынка. Это позволит избежать односторонних решений и более эффективно использовать средства государства, предпринимателей и населения. При этом важно соблюдать доступность и бесплатность для всех граждан базовых социальных услуг (прежде всего, образования и здравоохранения), перераспределить социальные расходы общества в пользу самых уязвимых групп населения, предоставить гражданам возможность достичь более высокого уровня социального потребления за счет собственных доходов.
Однако речь не должна идти о возрождении директивного планирования и управления всем хозяйством непосредственно из центра. Это привело бы к тому, что всеохватывающее регламентирование вновь сковало работу каждого предприятия. Возможно, что в будущем - при развитии эффективных методов экономического регулирования - роль государства в экономике во многом сведется к выработке «правил игры» и контролю за их соблюдением.
! Краткие обобщения и выводы
1. Макроэкономический регулятор - общественный способ организации и упорядочения национального хозяйства. Он объединяет все хозяйство нации в единую систему; направляет деятельность низовых звеньев экономики; распределяет труд и средства производства по отраслям и видам хозяйства в соответствии с общественными потребностями.
2. Исторически исходным макрорегулятором стал свободный рынок. Для него характерны следующие признаки? а) все экономические связи устанавливаются по горизонтали на основе материальной выгоды рыночных сделок; б) необходимые соотношения между спросом и предложением устанавливаются с помощью свободных рыночных цен; в) система рыночных цен выполняет функции? информационную, стимулирующую и распределительную; г) механизм рыночного саморегулирования включает прямые связи между производством (предложением) товаров и рыночным спросом, а также обратные связи между рынком и производством товаров.
3. На рубеже XIX-XX вв. свободный рынок перестал быть регулятором всего национального хозяйства по следующим причинам? а) экономическая власть перестала принадлежать только частным собственникам и подавляющая часть
имущества стала объектом коллективного и государственного присвоения; б) рыночная власть перешла к монополиям, которые стали диктовать свои рыночные цены; в) государственное производство общественных благ и услуг ограничило масштабы рыночного пространства; г) свободный рынок не способен предотвращать угрозы национальной экономической и социальной безопасности.
4. На смену механизму рыночного саморегулирования пришло государственное регулирование макроэкономики на основе новой модели, разработанной Дж. Кейнсом. Эта модель исходит из следующих основных положений? а) ведущая роль государства в регулировании национального хозяйства; б) увеличение объема эффективного спроса; в) государство призвано выполнять экономические функции, связанные с обеспечением инвестиций в национальное хозяйство и расходами на социально-экономические цели; г) разработка рекомендательных планов и программ и др. Государственное регулирование макроэкономики в 1950-х - 1970-х гг. обеспечило наибольший экономический подъем.
5. Однако государственное вмешательство в экономику не смогло предотвратить экономические кризисы и массовую безработицу. Это связано с тем, что кейнсианскому учению и практике свойственны серьезные недостатки: а) значительное превышение допустимых масштабов государственного обобществления экономики; б) применение централизованного административного регулирования хозяйства страны; в) дефицитное финансирование государственных расходов; г) инфляционный рост количества денег в обращении; д) значительное превышение предельно допустимого уровня налогообложения. Применявшиеся кейнсианцами приказные методы управления являются пригодными только при чрезвычайных экономических обстоятельствах.
6. Смешанный тип макроэкономического регулирования позволяет в наибольшей мере достичь высших целей развития национальной экономики: эффективного хозяйствования, устойчивости экономического роста и социальной справедливости. Он представляет собой современный тип управляющего воздействия на хозяйственную деятельность, которая органически соединяет регулируемый рынок и правовое государство, применяющее преимущественно экономические методы руководства.
7. В разных странах применяются неодинаковые варианты смешанного типа управления, которые различаются по сферам действия рынка и государства, функциям регуляторов, формам и методам государственного управления хозяйством. Практические пределы развития смешанной системы управления экономикой определяют две модели: а) с минимальным участием государства в регулировании национального хозяйства и б) с максимально допустимым участием в хозяйственном механизме.
8. Командно-административная система управления, утвердившаяся в нашей стране с 1930-х до 1980-х гг., - это государственное централизованное управление, которое заставляет все предприятия выполнять плановые директивы с помощью неэкономических методов. Централизованное плановое управление позволило в короткие сроки создать в нашей стране высокоразвитое индустриальное производство и мощный оборонно-промышленный комплекс, были проведена культурная революция и повышен уровень жизни населения. Но директивное планирование всего хозяйства из единого центра управления имело серьезные недостатки и непреодолимые противоречия.
9. Преобразование командно-административной системы управления в России в 1990-х гг. началось с быстрого перехода от государственного регулирования к стихийному рыночному механизму. Из-за того что было ликвидировано централизованное плановое управление, а развитой и регулируемый рынок не был создан, в России пришла в упадок вся управленческая деятельность государства. Воссоздать современное эффективное управление можно путем оптимального сочетания государственного и рыночного регулирования хозяйственной
деятельности.
? Задачи и вопросы на сообразительность
1. Тест. Саморегулирующаяся рыночная система гарантирует?
а) отсутствие дефицита товаров;
б) недопустимость избытка товаров;
в) возможность избытка товаров;
г) дефициты и излишки товарной массы, которые быстро исчезают в результате действия механизма цен.
2. Как можно органически сочетать рынок и государство в едином механизме регулирования макроэкономики?
3. Найдите верный ответ. Изучение роли правительств западных стран показывает, что?
а) значение государственного сектора падает;
б) расходы на всех уровнях управления растут;
в) государственные расходы никак не влияют на негосударственный сектор экономики;
г) правительственная политика в области налогообложения и экономии средств не оказывает существенного влияния на экономику в целом.
4. Почему тип смешанного управления макроэкономикой имеет множество вариантов?
5. Укажите современные функции государства, которые до XX в. не были ему присущи.
6. В какой мере и где рынок в России выступает регулятором экономики? Как организовано в нашей стране государственное управление макроэкономикой?
Глава 14 Финансы и денежно-кредитная система
Из предыдущих разделов учебника стало понятно, что в современном цивилизованном обществе государство приобрело новые качественные признаки. Во-первых, оно стало одним из действенных регуляторов экономики. Во-вторых, оно, как известно (см. гл. 9), стало активно воздействовать на развитие социальных отношений в обществе.
Между тем не вполне ясным является вопрос: с помощью какого экономического механизма государство осуществляет свои широкомасштабные экономические и социальные задачи? Требуется найти ответ и на связанный с этими задачами вопрос: какие денежные и кредитные средства необходимы для современной хозяйственной деятельности?
§ 1 Финансы и их роль в регулировании экономики
Финансы: что это такое
Финансы - это денежные средства, образующие доходы и расходы субъектов хозяйствования.
Финансовые средства делятся на два вида:
• первичные, которые возникают в домашних хозяйствах и на предприятиях на основе создания новой стоимости и соответствующих доходов (см. гл. 8).
• вторичные, которые формируются у государства посредством перераспределения первичных доходов и системы налогообложения (см. гл. 9).
В ХХ в. по мере повышения роли государства в развитии национальной экономики происходило абсолютное увеличение объема финансовых средств в государственной казне (централизованных денежных ресурсах правительства). Эти средства составили большую долю в общей сумме финансов общества. Если в начале XX столетия в ведущих западных странах через государственные финансы перераспределялось 9—18 % национального дохода, то с 60—70-х гг. - 50 % и более.

Рис. 14.1. Основные направления финансовых расходов государства
Для каких целей потребовались огромные суммы государственных финансов?
Со второй половины XX в. быстро возникли новые направления финансирования макроэкономики. Они связаны с научно-технической революцией, расширением нерыночного сектора экономики, интернационализацией производства и усилением воздействия государства на экономику (рис. 14.1).
Для расширения научно-исследовательских и опытно-конструкторских работ государство активно осуществляет инновационные программы (планы нововведений в производстве) в своем секторе и стимулирует техническое совершенствование в других звеньях национального хозяйства. Средства государственного казначейства широко расходуются на кредиты, субсидии (денежные пособия) и дотации (выплаты для покрытия убытков или для других целей) предпринимательскому капиталу в соответствии с различными государственными заказами. Важным направлением финансирования являются возросшие расходы на образование и повыаиение квалификации работников.
Национальные финансы играют важную роль в увеличении государственного потребления, которое создает дополнительный спрос на общественные товары и услуги, расширяет внутренний рынок. Этим же целям соответствуют закупки товаров и услуг на оборонные цели. Расходы государства на оплату оборонных заказов, крупные налоговые льготы делают очень выгодным для бизнесменов производство вооружений.
Развитию экономики способствуют расходы на социальные цели. Они позволяют увеличить потребление товаров и услуг, поскольку денежные затраты на социальную инфраструктуру (строительство школ, больниц, жилых домов) расширяют рынок сбыта для многих отраслей хозяйства.
Итак, затраты государственных денежных средств позволяют ускорить научнотехнический, экономический и социальный прогресс общества. В связи с этим повышается роль государственных финансов в регулировании национальной экономики.
Как осуществляется финансовое регулирование макроэкономики
В руках государства имеются два рычага финансового регулирования: а) налогообложение физических и юридических лиц и б) государственные расходы. Экономическая теория выявила следующую причинно-следственную связь между налогообложением и изменением величины 1 национального дохода. Эту связь можно представить в виде следующей цепочки зависимостей: налогообложение (1) непосредственно влияет на размер личного располагаемого дохода (2) (общего дохода граждан за вычетом налога) и на величину чистой прибыли, остающейся на предприятии; в свою очередь, изменение дохода и прибыли воздействует на размер макроэкономического спроса (3) (потребление населения и инвестиции); из-за размера такого спроса изменяется степень деловой активности (4) работников и предпринимателей; а затем это сказывается на объеме национального дохода (5).
Возможны два прямо противоположных варианта динамики указанных переменных величин (при прочих неизменных условиях).
1. Если ставки налогов на доходы граждан и предприятий возрастают, то личный располагаемый доход и прибыль уменьшаются. Из-за этого величина макроэкономического спроса сокращается, деловая активность снижается, что ведет к уменьшению объема производимого национального дохода.
2. Когда ставки налогов снижаются, тогда личный располагаемый доход и прибыль увеличиваются. В результате размер макроэкономического спроса возрастает, деловая активность усиливается, что вызывает увеличение объема национального дохода.
Теперь рассмотрим иную причинно-следственную связь между государственными финансовыми расходами и объемом националъного дохода. Такая связь образует другую цепочку зависимостей? финансовые затраты>1 (1) государства (расходы на потребление населения и инвестиции) влияют на величину макроэкономического спроса (2); эта величина сказывается на степени деловой активности (3) участников производства; вслед за этим изменяется объем национального дохода (4).
Данная зависимость может проявиться в двух противоположные вариантах.
1. При увеличении государственных расходов будет расширяться макроэкономический спрос. Это приведет к развитию деловой активности, а, стало быть, вызовет рост национального дохода.
2. Если же финансовые затраты государства сокращаются, то следствием этого станет уменьшение макроэкономического спроса. В таком случае деловая активность снизится, что, естественно, приведет к уменьшению объема национального дохода. Финансовое регулирование макроэкономики осуществляется через государственный бюджет.
§ 2 Государственный бюджет
Что представляет собой бюджет государства
Государственный бюджет - смета, план доходов и расходов государства на определенный период времени, где указываются источники поступлений доходов и направления расходования средств.
Роль государственного бюджета в развитии национальной экономики неоднозначна в разные периоды истории. При этом достаточно четко выделяются два этапа.
В начальный период развития капитализма государство, как известно, не вмешивалось активно в хозяйственную деятельность. Примечательно, что в ведущих странах через государственный бюджет перераспределялась незначительная часть национального дохода.
Во второй половине XX в. бюджет превратился в мощный регулятор макроэкономики. Уровень налогов и расходов позволяет бюджету играть значительную роль в обеспечении экономического роста и занятости работников. Путем изменения уровня расходов и налогообложения правительства могут регулировать объем совокупного спроса (величину потребительских и инвестиционных расходов). В связи с этим различают экспансивную (расширительную) и рестриктивную (ограничительную) бюджетную политику.
Первая выражается в увеличении расходов и снижении уровня налогообложения, что позволяет легче преодолевать экономические кризисы и ускорять экономический рост. Вторая означает уменьшение расходов и повышение налогов, что помогает ослабить инфляцию и нормализовать хозяйственную конъюнктуру. Источником государственных финансов является первая часть бюджета - его доходы.
Подавляющая часть всех доходов бюджета западных государств образуется за счет налогов (90 % поступлений на государственном и 70 % на местном уровне). С помощью налогового механизма в бюджет направляется от 30 % валового национального продукта в США и Японии до 40-50 % - в Германии, Франции, Швеции.
Второй составной частью бюджета являются расходы. Эта часть обеспечивает потребности правительства в финансовых ресурсах. Одна из них - обеспечение устойчивого экономического роста.
В высокоразвитых странах через бюджет финансируется от 1/3 до 1/2 всех инвестиций в основной капитал. Обновлению технической базы производства способствуют возросшие государственные затраты на фундаментальные научные работы, прикладные исследования и разработки. Значительные суммы расходуются на кредиты, субсидии (денежные пособия) и дотации предпринимателям, которые участвуют в выполнении государственных программ хозяйственного развития. Существенно увеличились объемы инвестиций в «человеческий капитал» (образование, повышение квалификации и переквалификацию рабочей силы).
Важнейшая функция бюджета - увеличение объема совокупного спроса посредством государственных закупок товаров и услуг.
Бюджет выступает также как главный инструмент социальной политики государства. С его помощью проводится широкомасштабное перераспределение доходов в целях достижения большей социальной справедливости. Как известно, население западных стран уплачивает сравнительно большие налоги. Однако значительная их часть возвращается в виде трансфертных платежей. Таким платежом считаются денежные средства, которые передаются из государственного бюджета в пользу лиц, нуждающихся в государственной поддержке, социальном обеспечении.
Существенная доля бюджетных средств идет на прямые и косвенные военные расходы, в том числе экономическую и военную помощь зарубежным странам, затраты на космические и иные исследования в военной области, пенсии и пособия бывшим военнослужащим. Величина этих средств в ряде стран (США, Германии, Франции, Великобритании и др.) довольно велика.
Представляется несомненным, что нормальным состоянием государственного бюджета является равенство его доходной и расходной частей. Об этом мы можем судить, скажем, по бюджету отдельного человека или семьи.
Однако нередко государство тратит больше денег, чем оно получило доходов. Так образуется бюджетный дефицит. Чтобы преодолеть этот дефицит, правительства многих стран прибегают к печатанию новых денег, увеличению внутреннего долга (продаже государственных ценных бумаг фирмам или населению), пользуются международными кредитами. Только благодаря эффективному использованию денежных средств в ряде государств достигается бюджетный профицит (превышение доходов над расходами).
Каков государственный бюджет России
В условиях командно-административной системы управления в бывшем Советском Союзе государственный бюджет представлял собой основной финансовый план образования и использования общего фонда денежных средств. Эти средства расходовались на выполнение директивного плана социально-экономического развития народного хозяйства. Бюджет и план составлялись и утверждались

одновременно.
О соотношении доходов и расходов консолидированного государственного бюджета (объединенного бюджета всех территориальных единиц страны) можно судить по следующим статистическим данным ряда стран за 2002 г. В Великобритании доходы (в млрд английских фунтов стерлингов) составили 379 и расходы - 394; в Германии (в млрд евро) соответственно 641 и 681; в США (в млрд долларов США) - 1946 и 2069; во Франции (в млрд евро) - 156 и 140. Основными источниками государственных финансов были платежи предприятий в форме налога с оборота (правительство устанавливало твердые ставки налога в ценах товаров, что обеспечивало надежное поступление денег в бюджет) и отчислений от прибылей (они доходили иногда до 70 %). Подоходный налог с населения составлял менее 10 % доходной части бюджета.
Финансирование народного хозяйства осуществлялось почти целиком за счет бюджета. Именно из него направлялись денежные средства на новое капитальное строительство, научно-технический прогресс и совершенствование пропорций воспроизводства. Государственные финансы расходовались на организацию здравоохранения, образование, подготовку кадров, жилищно-коммунальное строительство, социальное обеспечение и иные социально-культурные нужды.
Но такое предельно централизованное использование основной части денежных средств общества для выполнения директивных заданий плана имело те же непреодолимые недостатки, которые присущи командно-административной системе в целом.
С самого начала преобразований национального хозяйства возникли серьезные проблемы и противоречия в бюджетном регулировании макроэкономики.
В первую очередь они коснулись организации бюджетной работы. В 1992 и 1993 гг. федеральные бюджеты были приняты не до наступления бюджетного года, а в момент его окончания - в декабре соответствующего года. Ежегодно составлялся нереальный бюджет, что было видно из итогов его выполнения. Так, в 1997 г. фактически было получено 74 % доходов к утвержденному бюджету, а расходы составили 77 %. В бюджете не предусматривались необходимые меры по улучшению социального положения основной части населения. Для 1990-х гг. характерным был постоянный бюджетный дефицит.
Решение созидательных задач развития российской экономики потребовало разработки новой бюджетной политики на 2001 г. и на среднесрочную перспективу. Сейчас эта политика регламентируется Бюджетным кодексом Российской Федерации, вступившим в действие с 1 января 2000 г. С 2000 г. для бюджета государства характерен профицит, при котором (как это видно из табл. 14.1) доходы бюджета превышают расходы.
Таблица 14.1
Доходы и расходы консолидированного бюджета Российской Федерации (млрд руб., до 1998 г. - трлн руб.)
 |
|
В качестве главных стратегических направлений бюджетной политики российского государства предусматривается: |
• снижение налоговой нагрузки на экономику, в частности, уменьшение налоговых ставок, отмена неэффективных и оказывающих отрицательное влияние на экономическую деятельность налогов и льгот;
• упорядочение государственных обязательств с учетом реальных возможностей бюджета и при твердой гарантии социальной поддержки наиболее нуждающихся граждан;
• концентрация финансовых ресурсов для решения приоритетных задач? обеспечение внутренней и внешней безопасности страны, совершенствование судебной системы, воспроизводство научного потенциала, развитие социальной сферы. К числу важнейших приоритетов отнесена борьба с бедностью (в России одна треть населения имеет денежные доходы ниже прожиточного минимума);
• снижение зависимости бюджетных доходов от текущего состояния мировых цен, поддержка предприятий, выходящих на мировой рынок с готовой продукцией высокого качества;
• создание эффективной системы управления государственными финансами, в том числе перевод бюджетов всех уровней на казначейское исполнение, позволяющее обеспечить контроль общества за использованием бюджетных ресурсов. Казначейство- это специальный финансовый правительственный орган, который ведает кассовым исполнением государственного бюджета. Оно организует взимание доходов для государства и выделяет средства на расходы, предусмотренные бюджетом;
• добиваться бюджетного профицита, который позволяет государству полностью выполнять все бюджетные платежи, а дополнительные доходы направлять на решение первоочередных общественных задач.
Успешное осуществление государственной бюджетной политики во всех странах во многом зависит от состояния денежно-кредитной системы страны.


§ 3 Денежно-кредитная система страны
Давайте сначала выясним, что такое денежно-кредитная система. Под такой системой подразумевается совокупность действий государства по регулированию всех денежных расходов в экономике. Последние зависят от деятельности банков, предложения с их стороны денег, предоставления заемных средств и определения процентных ставок.
Денежно-кредитная система - единая совокупность мер по регулированию кредита и денежного обращения.
Изучать такое регулирование мы начнем с деятельности банковско-кредитных организаций.
Как действует банковская система
Как известно (см. гл. 8), банки являются наиболее развитой и универсальной формой кредита. Для раскрытия сущности этих современных кредитных организаций важно иметь в виду, что они вступают в двусторонние долговые отношения (рис. 14.2).
О масштабах двойных денежных связей можно судить по статистическим данным, приведенным в табл. 14.2 и 14.3.
Рис. 14.2. Кредитные отношения банков Таблица 14.2
Денежные средства, привлеченные кредитными организациями в России (млрд руб.) |
|
Источники поступления денег |
]99Яг. |
1999 г. |
2004 г. |
|
всего |
304 |
4G2 |
]924 |
|
Еі том числе от: предприятий и орган и іа пи й |
G0 |
] Ж |
312 |
|
физических лиц |
20] |
300 |
13,39 |
|
банков |
42 |
43 |
71 |
|
Таблица 14.3
Кредиты, предоставленные предприятиям, организациям, банкам и физическим лицам в России (млрд руб.) |
|
Распределение кредитов |
J99S г. |
]999 г. |
2004 г. |
|
Вгего |
421 |
597 |
2910 |
|
п том числе: предприятиям и организациям |
300 |
445 |
2299 |
|
физическим липам |
20 |
27 |
299 |
|
бон кам |
58 |
89 |
]90 |
|
|
Банковские яргагіигации 1 |
|
|
|
|
получают кредит и платят процент!,: |
|
|
|
ЕіЕядакгг кредит и получакугпроцетіг е,: | |
Приведенные данные свидетельствуют о том, что двойственность кредитных связей в масштабе страны получает все большее развитие. С одной стороны, юридические и физические лица предоставляют все более значительные суммы денег кредитным организациям, а с другой стороны, такие лица получают от кредитных организаций возрастающие суммы займов для своих целей. Это происходит по ряду причин.
1. Сложная цепь денежных связей непрерывно расширяется благодаря тому, что все участники материально заинтересованы в их развитии, поскольку они получают определенный процент за предоставленный кредит или же платят процент за полученную денежную ссуду.
2. Во второй половине XX в. резко возросла роль кредита в обеспечении текущих и перспективных потребностей хозяйства. Этой цели служат инвестиции
- долгосрочные вложения денежной ссуды в какое-то коммерческое дело. При этом различают два вида инвестиций?
• финансовые инвестиции, идущие на закупку акций, облигаций и других ценных бумаг;
• реальные инвестиции - это использование денег для увеличения основного капитала (зданий, сооружений, оборудования), жилищного строительства, товарноматериальных запасов.
|
|
Банки
- .—г--- |
|
|
і Центральные |
|
Коммерч ескне |
|
Сие пиал из иро еілеі и ые |
|
Инвестиционные |
|
Ипотечные |
|
-^-
ЭкспрргЕЮ-импортные |
Рис. 14.3. Виды банков
3. Наконец, по мере развития денежных отношений в обществе усиливаются взаимные кредитные связи внутри банковской системы.
Что представляет собой эта система? О ее структуре дает представление следующая схема (рис. 14.3).
В зависимости от характера выполняемых функций и операций банки делятся на центральные, коммерческие и специализированные.
Центральный банк - это главный банк страны, который действует как банкир государства и всей кредитной системы. Основные его функции:
• осуществлять монопольное право выпуска кредитных денег (банкнот);
• регулировать обращение денежной массы в стране и обменный курс национальной валюты ;
• хранить централизованный золотой и валютный запас;
• быть главным банкиром и финансовым консультантом правительства;
• оказывать помощь правительству в управлении бюджетом;
• оказывать разнообразные услуги другим кредитным учреждениям и контролировать работу других банков;
• проводить денежно-кредитную политику.
Важнейшей частью банковской системы являются коммерческие банки. Они являются финансовыми посредниками между теми юридическими и физическими лицами, которые с пользой для себя предоставляют временно свободные денежные средства, и теми, кто нуждается в кредите. Коммерческие банки выполняют следующие задачи:
• накапливают временно свободные денежные средства;
• предоставляют денежные займы государству, фирмам, населению;
• организовывают и осуществляют денежные расчеты между юридическими и физическими лицами;
• учитывают векселя и проводят операции с ними;
• осуществляют операции с ценными бумагами;
• хранят финансовые и материальные ценности;
• управляют имуществом клиентов по доверенности.
Коммерческие банки занимаются и другими видами финансового обслуживания. Специализированные банки осуществляют некоторые виды финансово-кредитных операций. Например, инвестиционные банки занимаются финансированием и долгосрочным кредитованием капитальных вложений, ипотечные банки предоставляют ссуды под залог недвижимости (земельных участков, домов). Экспортно-импортные банки кредитуют внешнюю торговлю и ведут расчеты с иностранными участниками сделок. Сберегательные учреждения (кредитные союзы, ссудно-сберегательные ассоциации) накапливают сбережения населения и вкладывают денежный капитал в финансирование коммерческого и жилищного строительства.
Государство и центральный банк обеспечивают нормальное развитие денежнокредитной системы посредством эффективных мер воздействия на количество денег в обращении.
Каковы способы регулирования денежно-кредитных отношений
Во многих странах центральный банк влияет на денежно-кредитную систему с помощью ряда действенных мер (рис. 14.4).
Рассмотрим способы регулирования количества денег для обращения и кредитования.
1. Операции на открытом рынке. Это операции центрального банка по купле-продаже государственных ценных бумаг (государственных облигаций и векселей казначейства) в банковской системе. Если центральный банк продает коммерческим банкам ценные бумаги, то у последних уменьшается сумма тех свободных денег,
|
которые они могут предоставить в кредит. В результате в банковской системе в целом сокращаются кредитные ресурсы, а их цена повышается. |
|
|
Регулирование ЛапковеК'ОЙ еиетены |
|
|
Операции па открытом рынке |
|
Номепение учетной папки проще и та |
|
Регулирование
нормы
peaqwoEt |
|
Рис. 14.4. Способы регулирования банковской системы
Когда же, напротив, центральный банк скупает ценные бумаги у коммерческих банков, то у них увеличиваются свободные кредитные ресурсы, цены на которые снижаются.
Стало быть, центральный банк проводит операции на открытом рынке, чтобы по своему усмотрению сравнительно быстро повлиять на количество денег и кредитных ресурсов в банковской системе.
2. Изменение учетной ставки процента. Центральный банк традиционно предоставляет ссуды коммерческим банкам. При этом с самого начала из суммы кредита вычитается скидка, равная ставке ссудного процента, которая называется учетной ставкой процента. Центральный банк может воздействовать на кредитные резервы банковской системы путем увеличения или уменьшения учетной ставки процента. В свою очередь, в зависимости от уровня учетной ставки коммерческие банки удорожают (при повышении учетного процента) или удешевляют (при его понижении) кредит.
Итак, устанавливая и пересматривая официальную процентную ставку по рефинансированию (кредитованию банковской системы), центральный банк ограничивает или расширяет денежную массу в обращении, регулирует спрос коммерческих банков на кредитные средства.
3. Регулирование норм обязательных резервов банков. Государство, как правило, в законодательном порядке обязывает все кредитные организации хранить минимальный объем наиболее ликвидных денежных средств (в форме наличных денег в кассе банка или вкладов в центральном банке). При этом устанавливается доля обязательных резервов во всей сумме банковских средств. Эти резервы призваны обеспечивать обязательства коммерческих банков по депозитам (вкладам) своих вкладчиков. Обязательные резервы центральный банк использует для регулирования объема денежной массы в стране.
При увеличении нормы минимальных резервов коммерческие банки вынуждены сокращать объем кредитных средств. Если же эта норма снижается, банки расширяют предложение денег. Такое регулирование является самым мощным инструментом воздействия на денежное обращение. Однако этот инструмент является негибким средством регулирования денежного обращения и может наносить вред банковской деятельности. Поэтому с развитием финансовых рынков в ряде стран жесткие резервные требования были отменены.
В современной мировой экономике финансовая и денежно-кредитная системы не замыкаются в рамках отдельных стран. Они обретают новые масштабы и формы развития. Об этом мы расскажем в заключительной главе учебника.
! Краткие обобщения и выводы
1. Финансы - это денежные средства, которые образуют доходы и расходы субъектов хозяйствования. Они подразделяются на первичные (принадлежащие домашним хозяйствам и предприятиям) и вторичные (государственные).
2. Со второй половины XX в. сложились новые направления финансирования макроэкономики, которые потребовали многократного увеличения объемов
государственных финансов. К их числу относятся? а) затраты на научные исследования; б) инвестиционные средства на улучшение воспроизводства общественного капитала; в) оборонные расходы; г) затраты на воспроизводство квалифицированной рабочей силы; д) средства на расширение потребительского рынка; е) затраты на социальные цели.
3. Финансовое регулирование макроэкономики осуществляется с помощью двух рычагов: а) налогообложение юридических и физических лиц влияет на размер личного располагаемого дохода граждан и величину чистой прибыли; последние переменные величины воздействуют на объем макроэкономического спроса; спрос сказывается на степени деловой активности работников и предпринимателей, что, естественно, ведет к изменению объема национального дохода общества; б) финансовые затраты государства влияют на величину макроэкономического спроса; спрос воздействует на степень деловой активности участников производства, что в конечном счете ведет к изменению объема производства.
4. Государственный бюджет - это сбалансированный перечень доходов и расходов государства за определенный период времени. Во второй половине XX в. бюджет государства превратился в мощный регулятор экономики. Нормальным состоянием бюджета является равенство его доходной и расходной частей. Нарушение такого равенства ведет к бюджетному дефициту или профициту.
5. В России в 1990-х гг. ежегодно составлялся нереальный бюджет с постоянным дефицитом, что отрицательно сказывалось на социально-экономическом положении страны. С 2000 г. исполнение бюджета завершается образованием профицита. Стратегическая бюджетная политика государства предусматривает: а) существенное снижение налоговой нагрузки на экономику; б) социальную поддержку наиболее нуждающихся граждан; в) концентрацию финансовых ресурсов для обеспечения безопасности страны, совершенствование судебной системы; воспроизводство научного потенциала, развитие социальной сферы; борьбу с бедностью; г) снижение зависимости бюджетных доходов от текущего состояния мировых цен; д) создание эффективной системы управления государственными финансами.
6. Денежно-кредитная система - это единая совокупность мер по регулированию кредита и денежного обращения. Она зависит от деятельности банков, предложения с их стороны денег, кредитных средств, определения процентных ставок.
7. Банковские учреждения получают заемные средства от предприятий и населения и платят за это депозитные проценты, а также сами выдают кредиты и получают ссудные проценты. Эта двойная кредитная зависимость быстро развивается.
8. Банковская система включает взаимосвязанные между собой центральный банк, коммерческие и специализированные банки. Государство и центральный банк обеспечивают нормальное развитие денежно-кредитной системы посредством эффективных мер воздействия на количество денег в обращении.
9. Центральный банк действенно влияет на денежно-кредитную систему с помощью:
а) операций на открытом рынке (купли-продажи государственных ценных бумаг); б) увеличения или уменьшения учетной ставки процента (в соответствии с которой центральный банк предоставляет кредиты коммерческим банкам); в) повышения или снижения минимальных норм обязательных резервов коммерческих банков. Все эти способы регулирования обеспечивают необходимое воздействие на массу денег в обращении и объем кредитных ресурсов.
? Задачи и вопросы на сообразительность
1. К терминам из левой колонки найдите соответствующие определения в правой колонке.
Л. Денежные средства, образующие доходы н расходы
1. Бюджетный профицит
2. Учен ная ставка процента
3. Финансы
А Денеж но - кредит: l ая система
Гу. Операции на открытом рынке
В. Обязате)іь н ые резеіі вы банков
Б. Купля-продажа центрa_.Ltним банком государственных ценных бумаг
В. Минимальная сумма денег сохраняется для выполнения обязательств банка Г. Пре выі 11 ение до ходов б юджета над расходами
Д. Ставка процента, по которому центральный банк предоставляет кредиты
Е. Система мер по регулированию денежного обращения кредита
2. Тест. В период депрессии государство:
а) повышает учетную ставку процента;
б) покупает государственные ценные бумаги на открытом рынке;
в) повышает налоговые ставки;
г) понижает заработную плату;
д) ускоряет выполнение инвестиционных программ.
3. Каким образом каждое домашнее хозяйство и каждая фирма связаны с государственным бюджетом?
4. Верно-неверно.
1. Государственные расходы учитываются в бюджете отдельно от инвестиций, так как они по-разному влияют на экономику.
2. Бюджетный дефицит возникает всякий раз, когда государственные расходы превышают налоговые поступления.
5. Тест. В период подъема производства государство:
а) продает государственные ценные бумаги на открытом рынке;
б) понижает учетную ставку ссудного процента;
в) сокращает расходы государственного бюджета;
г) приостанавливает государственное строительство.
Глава 15 Мировая экономика на рубеже XX-XXI столетий
В настоящее время экономические отношения в мире отличаются большей масштабностью. Нам предстоит выяснить, как развивались экономические связи между странами, что сближает их и делает зависимыми друг от друга. Важно также лучше понять проблемы выживаемости человечества, ставшие драматическими в последней трети XX и в начале XXI столетия.
§ 1 На пути ко всемирной экономике
Каковы основные этапы становления мирового хозяйства
История знает четыре этапа образования и развития мирового хозяйства.
Первыми этап - налаживание международной торговли.
«Кирпичики» в фундамент здания экономического сотрудничества стали закладываться примерно 10 тыс. лет назад, когда зарождался торговый обмен. Излишками изготовленной продукции тогда стали обмениваться соседние племена,
|
Экономический |
|
ТерриториальЕіый |
|
|
раздел мира |
|
раздел мира |
|
|
НОПЛЯ flfjJlE, колоний |
отдельные семьи и лица.
После возникновения международного разделения труда и образования особого сословия купцов торговые караваны пересекали пустыни, а парусные суда бороздили моря и океаны, прокладывая пути хозяйственного взаимодействия разных народов.
Однако в доиндустриальную эпоху все это были не более чем «подготовительные классы» в той длительной по времени «школе», обучавшей людей на практике, как сообща возводить общее здание хозяйственного сотрудничества. Подлинное обучение началось на начальной стадии развития капитализма.
|
|
Мировая система хозяйства |
|
|
1 ———— __ |
Рис. 15.1. Особенности мировой системы хозяйства в начале XX в.
Второй этап - возникновение мирового рынка.
На индустриальной стадии производства (XVIII-XIX вв.) усилилась потребность в товарном обмене между странами. С ускорением научно-технического прогресса в промышленности быстро идет процесс разделения труда между странами. В итоге внешняя торговля превратилась в неотъемлемую составляющую всякой индустриально развитой национальной экономики.
Третий этап - образование мирового хозяйства на основе колониальных владений великих держав.
На рубеже XIX-XX вв. возникла мировая система хозяйства, для которой характерен ряд признаков, указанных на рис. 15.1.
Акционерному капиталу западных стран стало тесно в рамках внутреннего рынка. В погоне за более высокими прибылями он устремился в другие страны. Усилившийся вывоз капитала и широкий международный обмен породили международные монополии. Они экономически поделили между собой мировые рынки сбыта, источники сырья и области приложения капитала. Это было сделано посредством договоров, аренды, концессий и т. п. Раздел мирового экономического пространства создал для крупного капитала возможность извлекать монопольную сверхприбыль на территориях все большего количества стран.
У финансового капитала ведущих держав возникло стремление прочно закрепить за собой территории других стран путем установления над ними политикоадминистративного господства. Благодаря этому в конце XIX - начале XX в. резко усилилась колонизация ранее свободных народов. Как известно, это привело к завершению территориального раздела мира между великими державами. Население колоний увеличилось на четверть миллиарда человек и составило 570 млн.
С завершением территориального раздела мира роль колоний в международной экономике существенно меняется. Раньше (а западные государства стали приобретать колонии еще в XVI в.) подчиненные территории были в основном областью выгодного сбыта товаров, поступавших туда из метрополий. В XX в. колонии превратились в дополнительные источники сырья, дешевой рабочей силы, область выгодного приложения капитала, важные военно-стратегические районы. Великие державы поддерживали колониальное разделение труда, которое было выгодно иностранному капиталу.
Сложившаяся в первой половине XX в. мировая система хозяйства в значительной мере держалась на внеэкономическом принуждении. Эта система таила в себе острые социально-экономические противоречия, которые делали ее неустойчивой и вели в конечном итоге к разрушению. Так, конфликты между ведущими капиталистическими странами привели к мировым войнам - ожесточенной борьбе за территориальный передел мира. Противоречия между колониями и метрополиями породили мощное национально-освободительное движение, которое, как известно, стерло с карты Земли колониальную систему.
Четвертый этап - современное мировое хозяйство.
Во второй половине XX в. мировое экономическое пространство приобрело качественно новыми облик. Естественно, важно выяснить: какие перемены произошли в мире за это время?
Мировое хозяйство решительно обновилось по следующим причинам?
• стал действовать такой мощный фактор обновления всего уклада человеческой жизни, как научно-техническая революция;
• с 70—90-х гг. XX в. начался переход к новой экономике, которая основывается на достижениях микроэлектроники и информационных технологиях, вызывающих небывалый рост эффективности производства и обращения товаров и услуг;
Потребностям монополий подчинялось сельское хозяйство колоний, причем часто его специализация шла в ущерб нуждам собственного населения. Например, в течение второй половины XIX в. вывоз зерна из Индии в Англию увеличился в 11 раз. Смертность от голода в этой колонии возросла в 20 раз. Лучшие земли использовались для разведения технических культур, нужных промышленности метрополий.
В результате многие страны были вынуждены подчинить хозяйство экспортному производству одного-двух (в редких случаях - трехчетырех) видов сырьевых товаров. Такая специфика международного разделения труда сохраняется и поныне как одно из наследий колониального прошлого. В настоящее время подавляющую долю в экспорте составляют в Замбии - медь, Боливии - олово, Ливии - нефть, Республике Чад - хлопок, в Гане - какао-бобы.

Рис. 15.2. Основные черты современного мирового хозяйства
• в странах Запада утвердились смешанная экономика и новая система управления национальным хозяйством, при которой государство выполняет множество социально-экономических функций;
• бывшие социалистические страны вступили в переходный период, ведущий к новому социально-экономическому строю;
• во всем мире быстро развиваются межнациональные и международные интеграционные связи.
В результате указанных перемен сложилось современное мировое хозяйство со своими отличительными чертами (рис. 15.2).
Современная экономика на нашей планете - эти мир без колоний. Все более характерной становится растущая материальная заинтересованность в постоянном экономическом сотрудничестве между народами.
Международное сотрудничество ныне опирается на такую мощную объединяющую силу, как новое международное разделение труда. Оно означает переход от предметной специализации (создания и сбыта на мировом рынке определенных товаров) к подетальному разделению труда (производству в разных странах деталей сложных изделий, которые собираются из закупленных частей).
В последние десятилетия формируется новое мировое рыночное пространство. Многие отсталые в экономическом отношении страны, имевшие натуральное или полунатуральное производство, переходят к рыночной экономике. Постсоциалистические государства, входившие в замкнутые военно-политические блоки, становятся странами с открытой экономикой (свободно торгующими с другими странами).
Международные связи не сводятся только к внешнеторговым отношениям между странами, как это было на первых этапах мировой истории. Нынешние мировые хозяйственные связи включают:
• внешнюю торговлю;
• кооперацию производства;
• обмен научно-технической информацией и технологическими разработками;
• перемещение рабочей силы из одной страны в другую;
• международный кредит и иностранные инвестиции;
• валютные взаимоотношения государств.
Такие связи между странами опираются на глобальную инфраструктуру. В нее в первую очередь входят международная транспортная система (морской, железнодорожный, воздушный транспорт), мировая сеть информационных коммуникаций (в том числе межконтинентальная сеть телекоммуникаций).
Современная мировая экономика - совокупность национальных хозяйств всех стран мира, их экономические взаимосвязи на основе взаимной заинтересованности и международного разделения труда. Современная экономика отличается от экономики предшествующих периодов важным качеством - необычайным ускорением развития. Благодаря этому качеству в течение XX столетия жизнь людей изменилась до неузнаваемости. За 1900-2000 г. совокупное производство товаров и услуг во всем мире выросло в 19 раз. Это значительно превышает их суммарное производство за весь предыдущий период истории человечества.
Мы уже рассмотрели те факторы, которые в XX в. ускорили хозяйственный рост во всем мире. Теперь нам важно осознать: в каком направлении идет такое убыстряющееся развитие?
Главное перспективное направление хозяйственного развития в XXI столетии -интернационализация экономической жизни.
Что означает интернационализация производства
Слово «интернационализация» образовалось из двух латинских слов: интер - между, нации - народы .
Интернационализация экономики - это рост взаимосвязи и взаимозависимости между национальными хозяйствами и мировым хозяйством.
Как мы увидим далее, интернационализация экономики в первую очередь охватывает? а) производство в целом; б) факторы производственного процесса -капитал и рабочую силу; в) организацию хозяйственной деятельности (интеграцию разных стран).
Начнем со сферы производства.
Современный этап интернационализации производства порожден развертыванием НТР (научно-технической революции). Связь НТР с интернационализацией не является случайной.
Дело в том, что научные открытия и изобретения создаются в значительной мере всеобщим трудом, они основываются не только на исследованиях наших современников, но и на результатах многих поколений ученых, создавших и

развивавших науку. Более того, прогресс науки и техники столь масштабен, всесторонен и глубок, что новые открытия становятся невозможными без объединения усилий ученых и специалистов разных стран. Убедительным примером может служить, скажем, освоение космического пространства.
На рубеже XX-XXI столетий НТР дала старт развитию глобальных по своей природе компьютерной техники, информационных технологий и всемирной сети Интернета. Имеется еще одна связь научно-технической революции с интернационализацией производства. НТР позволяет в короткий срок настолько увеличить выпуск новой продукции, что внутренние рамки отдельных стран оказываются слишком узкими для ее полного использования. Становится необходимым развертывать производство в расчете не на одну страну, а в более широких масштабах. В этом отношении особо выделяются высокоразвитые государства, поставляющие на мировой рынок самые совершенные в техническом отношении машины, оборудование и другие готовые изделия, а также новейшие технологии и научно-технические разработки. Примером может служить сравнение производства легковых автомобилей в разных странах (табл. 15.1).
Таблица 15.1
Производство легковых автомобилей на 1000 населения в 2002 г.

Интернационализация производства неразрывно связана с развитием международного разделения труда. Ведь и интернационализация, и разделение труда предполагают развитие такого организационно-экономического сотрудничества, при котором выпуск изделий в одних странах связан с их потреблением в других. Связи национальных экономик становятся постоянными, когда углубляется международное разделение труда - специализация отдельных стран на производстве тех или иных товаров и услуг с целью их продажи на мировом рынке.
Научно-техническая революция знаменует новый этап в международном разделении труда - переход от предметной (межотраслевой) специализации к подетальной (внутриотраслевой). Например, значительную часть операций по изготовлению американских и японских телевизоров и другой электронной аппаратуры выполняют рабочие заводов, расположенных в «новых индустриальных странах» (ЮгоВосточная Азия).
Интернационализацию производства можно рассматривать несколько иначе. Ведь она проявляется также в территориальном перемещении факторов производства -капитала и рабочей силы.
Почему происходит международное перемещение капитала и рабочей силы
Одной из важных форм международных экономических отношений является миграция (вывоз) капитала - его движение из одной страны в другую. Вывоз капитала происходит, если он может быть помещен в другой стране с большей выгодой, чем в своем государстве.
Международный вывоз капитала - это помещение за границей средств, приносящих его собственнику более высокий доход.
Одной из особенностей современного хозяйства является то, что в каждой развитой стране одновременно образуется как относительный «излишек» капитала для его вывоза за границу (в одних отраслях хозяйства), так и потребность в привлечении дополнительных капиталов извне (в других отраслях). Поэтому большинство
государств в одно и то же время и вывозят и ввозят денежные средства.
Обычно страны, испытывающие потребность в иностранных инвестициях (долгосрочных вложениях денег), создают для них наиболее благоприятные условия. Они повышают банковский процент и дивиденды, создают особые льготы и гарантии выгодного применения капиталовложений. |
|
Йыемтл капитала |
|
|
|
|
|
Пред при ни мате л ьс. кий ш п итал |
|
Ссудный капитал |
|
|
|
|
|
——— — — — |
L Ірямые
инвестиции |
|
11 ортфедъиые инвестиции |
|
Совместные
предприятия |
|
Транс напиоЕзал ьп е,т корпорации |
|
Рис. 15. . Виды вывоза капитала
Собственников капитала особенно привлекает возможность использовать в экономически менее развитых государствах сравнительно дешевые факторы производства (низкая заработная плата, невысокие цены на сырье, воду, энергию). Многих устраивает также возможность уменьшить расходы, необходимые для обеспечения экологической безопасности. В результате снижения всех видов издержек иностранные инвесторы получают более высокую норму прибыли.
Капитал вывозят корпорации, владельцы значительных денежных сумм и государство. При этом используются две основные формы экспорта капитала -предпринимательская и ссудная (рис. 15.3).
Вывоз предпринимательского капитала означает создание на территории других стран предприятий, затраты на работу которых несут иностранные собственники. В зависимости от степени контроля за деятельностью таких предприятий различаются прямые и портфельные инвестиции капитала.
Прямые инвестиции фактически обеспечивают полный контроль над объектами зарубежных капиталовложений. Возникающие вновь или приобретаемые готовые предприятия становятся филиалами расположенной в другой стране основной фирмы, которая образует центр международного производственного объединения. Прямые иностранные инвестиции распределяются в мировом хозяйстве неравномерно. Примерно 3/4 их приходится на высокоразвитые страны и лишь около 1/4 поступает в развивающиеся государства. Но при этом прямые капиталовложения в развивающихся странах приносят норму прибыли в среднем в 2 раза более высокую, чем в западных государствах.
Портфельными инвестициями называется приобретение акций иностранных предприятий в размерах, не обеспечивающих права собственности или контроля над ними. На такие капиталовложения предприниматели идут, когда стремятся разместить свои средства в разных отраслях хозяйства или когда законодательство принимающей страны, нуждающейся в инвестициях, препятствует прямым капиталовложениям.
Особой формой портфельных инвестиций является участие иностранного капитала в совместных предприятиях, где контрольный пакет акций остается в руках государства или местных фирм. Здесь иностранный капитал участвует своими финансовыми ресурсами, технологией, управленческим опытом, торговыми марками, рекламой и предоставлением услуг при реализации продукции. Взамен он получает причитающуюся на его долю прибыль, которую вывозит из страны или использует для инвестиций на месте. Иностранные собственники имеют прочные гарантии сохранности и прибыльности своих капиталовложений. В свою очередь принимающая страна может более эффективно и рационально использовать внешние источники средств и технологии в национальных интересах.
На базе иностранных инвестиций сложились транснациональные корпорации (ТНК). Они осуществляют предпринимательскую деятельность на территории нескольких государств. О них подробнее будет сказано в дальнейшем.
Вывоз ссудного капитала - основа современной системы международного кредита. Он содействует росту товарного обмена между странами, облегчает денежные расчеты между ними, дает возможность привлекать внешние финансовые источники для экономического развития, решения социальных проблем. Кредитные связи между государствами растут высокими темпами, значительно превышающими темпы и мировой торговли, и увеличения прямых иностранных капиталовложений. Международный рынок денежных капиталов действует практически круглосуточно. Перевод значительных сумм из одной страны в другую в любой из конвертируемых валют производится моментально через искусственные спутники Земли и всемирную сеть телетайпной связи.
По источникам предоставления средств международные ссуды выступают в формах банковских займов и коммерческого кредита. В качестве кредиторов выступают частные фирмы или банки, государственные органы и финансовые учреждения. Важную роль в развитии экономических отношений в мире играет международная миграция рабочей силы - перемещение масс трудящихся из одних стран в другие в поисках работы .
Экономические связи в мировом хозяйстве упрочиваются, когда происходит миграция высококвалифицированной рабочей силы из промышленно развитых в развивающиеся государства. Центрами притяжения иностранных специалистов стали страны Ближнего Востока, Персидского залива, собственные трудовые ресурсы которых не позволяли освоить богатейшие нефтяные месторождения. Главные выгоды от миграции получают государства, потребляющие добываемую в районе Персидского залива нефть, корпорации, для которых таким способом решаются топливно-энергетические проблемы.
По мере развертывания научно-технической революции все больше высококвалифицированных работников переезжают из одних стран в другие, что получило название «утечки мозгов». По самым различным причинам большое число ученых, инженеров, врачей и других лиц с высшим образованием эмигрирует из развивающихся стран и России за океан. Корпорациям и государственным службам западных стран выгоднее приобретать уже готовых специалистов из иных регионов, чем обучать их у себя.
Миграция рабочей силы означает перераспределение работников разной квалификации между странами в соответствии с потребностями национальных рынков труда.
Несмотря на наличие безработицы предприниматели высокоразвитых стран с выгодой для себя широко используют рабочих, прибывающих из регионов со слабым хозяйственным развитием и более дешевой рабочей силой. Такие люди с готовностью берутся за тяжелую, опасную и грязную работу, трудятся дольше, чем обычно полагается в данной стране, на них идет меньше социальных расходов. В случае необходимости их легко уволить с предприятия. Но тем не менее иностранные рабочие получают в развитых странах более высокую заработную плату, чем на родине. Этим обстоятельством нередко пользуются предприниматели,
нарушающие законодательство. Они берут на работу людей из других стран, не имеющих законного права на проживание в данной стране. Кроме того, работодатели не уплачивают за таких нелегальных эмигрантов соответствующие налоги.
Наплыв работников из-за границы в развитые страны осложняет проблему занятости, отрицательно воздействует на экономическое положение трудящихся. В результате возникают конфликты между националистически настроенными слоями местного населения и иностранцами, что приводит в ряде случаев к трагическим последствиям.
Устранение отрицательных сторон миграции рабочей силы предполагает улучшение законодательства и миграционной политики многих государств. Вместе с тем прогресс в этом деле связан с созданием региональной интеграции - объединения групп близлежащих государств в разных частях мирового пространства.
Региональная интеграция государств: что нового она вносит в экономику
Интернационализация экономики происходит в разных формах, например путем объединения национальных хозяйств, что помогает преодолевать таможенные барьеры на государственных границах. Важнейшей из таких форм стала региональная интеграция государств.
Такая интеграция представляет собой современную форму международной кооперации хозяйственной деятельности. В ее возросших масштабах углубляется международное разделение труда, что расширяет обмен товарами, услугами, капиталами и рабочей силой. Повышается уровень обобществления производства, а это требует целенаправленного, планомерного регулирования экономических процессов в масштабе межгосударственных объединений.
Региональная экономическая интеграция - это высшая ступень интернационализации хозяйственной жизни, которая объединяет деятельность государств в области производства, распределения, обмена и потребления благ и услуг.
В различных регионах земного шара сложилось несколько интеграционных объединений. Они существенно отличаются друг от друга и по характеру складывающихся между странами-участницами отношений, и по организационным формам, и по последствиям для национальных хозяйств и населения.
Ряд западноевропейских государств (Франция, ФРГ, Италия, Бельгия, Нидерланды и Люксембург) в 1958 г. создали Европейское экономическое сообщество (ЕЭС). Последнее превратилось в могучую экономическую группировку, превосходящую США по численности населения в 1,4 раза и обладающую сравнимым с ними хозяйственным потенциалом. Одновременно с расширением состава ЕЭС происходил переход от преимущественно торгового сотрудничества к интегрированию других сфер хозяйства, включая научно-техническую деятельность (организация совместных исследований и разработок, создание общих программ). С завершением этого процесса интеграционное объединение стало именоваться Европейским союзом (ЕС).
В ЕС создана европейская валютная система со своим механизмом регулирования расчетов, установления валютных курсов. Учреждена коллективная валютная единица (евро), которая стала одной из мировых валют.
Интеграция помогла западноевропейскому капиталу на равных противостоять своим основным конкурентам - США и Японии. Государства, не входящие в ЕС, стремятся нейтрализовать преимущества стран - членов интеграционного объединения повышением роли других, более широких по составу экономических организаций. К ним относятся прежде всего Организация экономического сотрудничества и развития (ОЭСР) - международная организация, в которую входят в основном экономически развитые страны. Она рассматривает экономические вопросы, затрагивающие интересы участников организации и согласовывает предоставление помощи
развивающимся странам.
Иной характер имеют интеграционные объединения развивающихся стран.
Последние заинтересованы в экономической интеграции потому, что она помогает им воспользоваться выгодами производственной специализации и освоить необходимые природные и другие ресурсы.
Интеграция укрепляет позиции освободившихся стран в мировом хозяйстве, защищает их интересы в отношениях с более сильными партнерами, противостоять которым в отдельности не может ни одно из государств. Исходя из этого, страны Азии, Африки и Латинской Америки расширяют сотрудничество путем коллективного использования своих ресурсов. Формы и типы таких группировок многообразны: это торговые блоки, организации по созданию совместных проектов, валютные союзы, инвестиционные организации и товарные ассоциации.
Интеграционные объединения развивающихся стран действуют ради общих целей с различной степенью эффективности. Их трудности отражают общее тяжелое положение этих государств в современном мире, жесткость позиции по отношению к ним со стороны обладающих реальной экономической мощью западных государств, крупных корпораций, международных финансовых учреждений.
Экономический эффект образования региональной интеграции нельзя оценить однозначно.
Такая интеграция создает ряд благоприятных внешних условий для стран - участниц межгосударственного объединения?
• используются преимущества экономии ресурсов, связанной с расширением масштабов производства;
• укрепляется сотрудничество в более широких сферах социально-экономической деятельности;
• на примере ЕС видно, что прирост торговли, вызванный здесь таможенным союзом, превзошел ее сокращение. Торговля расширилась на более чем 8 млрд долл., хотя импорт из третьих стран сократился на 1 млрд долл.
Вместе с тем экономическая интеграция нередко сопровождается сокращением торговых связей с другими странами. Так, США и Канада потеряли часть своих европейских рынков.
§ 2 Мировой рынок товаров, услуг и валют
Современная международная торговля: что изменилось на рубеже XX-XXI вв.
Во второй половине XX в. на мировом экономическом пространстве развились известные нам тенденции? углубилось международное разделение труда, интернационализация производства, иную направленность получили миграция капитала и рабочей силы, усилилась региональная интеграция государств. Эти и другие перемены вызвали серьезные качественные и количественные изменения международной торговли. Что же нового появилось в международных торговых отношениях?
Первая перемена на мировом рынке. Современный мировой рынок очень расширился за счет увеличения количества стран с открытой экономикой. Основной показатель такой открытости - отношение величины импорта и экспорта данной страны к величине валового внутреннего продукта. Государства в мире сильно различаются по степени открытости экономики. Естественно, что в странах с открытой экономикой рынок состоит из отечественных и зарубежных товаров. Правда, предельно допустимая доля импортных товаров, как правило, не должна превышать 40 % всех предметов потребления и медицинских средств. В 1990-е гг. в России такая доля доходила до 70 %, что создавало угрозу экономической безопасности страны.
Вторая перемена в мировой торговле. Новым моментом в торговых связях стали
серьезные изменения в характере и значении экспорта стран с открытой экономикой. Прежде всего существенно изменилась направленность экспорта. Еще в середине XX в. из индустриально развитых стран промышленные товары вывозились в колонии и зависимые страны. В обратном направлении шел поток сырья и энергоносителей. В настоящее время по старому маршруту направляется примерно половина всего экспорта. Другая часть идет из одних западных государств в другие. Это обусловлено новым этапом международного разделения труда и интернационализацией производства в эпоху НТР.
В современный период значительно возросла роль экспорта в обеспечении экономического роста национального хозяйства. Это, в частности, подтверждается тем, что экспорт всех стран дает около 1/5 совокупного мирового ВНП (в западноевропейских странах этот показатель выше).
Механизм воздействия экспорта на экономический рост состоит в следующем. Экспортный заказ первоначально увеличивает выпуск продукции и вместе с тем повышает расход заработной платы работников экспортного производства. Образовавшиеся здесь доходы (заработная плата и прибыль) поступают в смежные отрасли хозяйства. В них возрастает выпуск средств производства для экспортных предприятий и расширяется изготовление предметов потребления для работников этих предприятий. В свою очередь средства, полученные в отраслях второго эшелона, уходят в экономически связанные с ними фирмы третьего эшелона и т. д.
«Наше время - эпоха всемирного рынка. Деньги, товары и информация пересекают границы государств гораздо быстрее и проще, чем когда-либо в прошлом. Раньше мы имели дело с людьми, жившими с нами рядом или в соседнем городе, покупали чаще всего местные товары. Сегодня же мы мчимся в ««мировом» автомобиле. Взгляните на него или на современный компьютер. В них объединены детали, труд, капитал и информация со всего мира».
Самуэльсон П., Нордхаус В. Экономика.
Общий положительный эффект расширения экспорта таков:
• увеличиваются занятость работников, выпуск продукции и доходы;
• уменьшается возможность кризисов перепроизводства (излишняя для данной страны продукция вывозится за рубеж);
• возрастает сумма полученной государством иностранной валюты;
• укрепляются государственные финансы.
Что касается импорта, то он оказывает на национальное хозяйство прямо противоположное воздействие по сравнению с экспортом.
Третье изменение на мировом рынке. Во второй половине XX в. основное направление долговременных структурных сдвигов в международном товарообороте состоит в существенном сокращении удельного веса сырьевые продуктов и соответствующем увеличении доли готовые изделий обрабатывающей промышленности (особенно высокотехнологичных). Всевозрастающее значение приобретают экспорт и импорт разного рода услуг, продукции индустрии развлечений, духовной культуры, информации.
Страны ОЭСР выступают как основные экспортеры наукоемких товаров, в то время как развивающиеся государства - преимущественно как их импортеры. Большинство последних превратилось в постоянных поставщиков сырьевых и энергетических ресурсов.
Четвертое изменение на мировом рынке. Развитие внешней торговли во многом определяется уровнем цен на мировом рынке.
Мировые цены - денежное выражение (в конвертируемой валюте, которая свободно обменивается на валюты других стран) стоимости товара, продаваемого на мировом рынке. Основу мировой цены составляют средние издержки производства основных производителей определенного вида продукции.
В международной торговле мировая цена выступает как цена основных продавцов и покупателей, крупных центров международной торговли. По отдельным видам товаров традиционно сложились центры формирования мировых цен (например, на золото, цветные металлы - Лондонская биржа, импортная цена на уголь -западноевропейские порты и т. п.).
В США, которые обладают независимой и самодостаточной экономикой, в 1990 г. доля экспорта и импорта достигала 12 % ВВП. В то же время страны Западной Европы и Юго-Восточной Азии и многие другие имеют хозяйство, ориентированное на международную торговлю (объемы их импорта и экспорта доходят до 50 % ВВП).
Для современного мирового рынка характерны следующие тенденции в изменении цен: а) возрастают мировые цены на изделия обрабатывающей промышленности и готовые наукоемкие продукты, создаваемые в странах с постиндустриальной экономикой, б) часто снижаются цены на сырьевые продукты, особенно производимые в развивающихся странах.
Для мирового рынка типичен неэквивалентный обмен, так как здесь монополизация развита в большей степени, чем во внутренней торговле. Через каналы частных фирм, контролирующих этот рынок, реализуется от 70 до 90 % всех продуктов, экспортируемых развивающимися государствами. Монополии искусственно создают нехватку одних вещей или ограничивают спрос на другие блага, затоваривают рынок, чтобы сбить цены, или придерживают продукты, чтобы повысить цены. В итоге международные фирмы устанавливают выгодные им высокие цены на реализуемые ими товары и относительно низкие - на закупаемые. Все это не позволяет правильно определять выгодность международной торговли для стран, которые специализируются на выпуске товаров с наименьшими издержками производства.
Национальное антимонопольное законодательство, естественно, регулирует поведение фирм лишь на внутреннем рынке. Причем правовые нормы, действующие в различных странах, вступают в противоречие друг с другом. В связи с этим назрела острая необходимость в разработке международных правил, эффективно регулирующих глобальную конкуренцию и ценообразование на мировом рынке. С 1997 г. к этому делу подключилась Всемирная торговая организация. Предполагается, что международные правила будут предусматривать контроль за деятельностью монополий на мировых рынках и включать санкции (меры воздействия) к нарушителям антимонопольного законодательства.
Пятое изменение в мировой торговле. Поскольку хозяйство всех стран в той или иной мере зависит от экспорта и импорта, государство в законодательном порядке устанавливает определенные правила внешней торговли. Исторически сложились два противоположных вида внешнеторговой политики: протекционизм и свобода торговли.
Для мировой торговли типичен, например, такой факт. В начале 1998 г. индекс средних мировых цен на готовые изделия превышал уровень 1980 г. на 44 %. Но за это время цены на нефть упали на 43 %, а цены на неэнергетическое сырье - на 11 %. Снижение реальных цен на сырье объясняется рядом причин. В их числе - удешевление добычи минерального сырья и снижение издержек в производстве сельскохозяйственных продуктов.
Протекционизм - система ограничений импорта, когда вводятся высокие таможенные пошлины (налоги с импортных товаров), запрещается ввоз определенных продуктов, используются другие меры, препятствующие конкуренции иностранных изделий с местными. Политика протекционизма поощряет развитие отечественного производства, способного заменить импортные товары.
Однако протекционизм имеет оборотную сторону. Благодаря ему поддерживается завышенный уровень цен на продукты, защищенные высокими пошлинами. Ослабляются побудительные стимулы к техническому прогрессу в отраслях, огражденных от иностранной конкуренции. Усиливается нелегальный ввоз товаров без таможенного контроля. К тому же ответные меры стран - торговых партнеров могут нанести национальному хозяйству ущерб, превышающий его выигрыш от мер таможенной защиты.
Свобода торговли - внешнеторговая политика, при которой таможенные органы только регистрируют ввоз или вывоз товаров. Они не взимают импортные и экспортные пошлины, не устанавливают какие-либо количественные или иные ограничения на внешнеторговый оборот. Такую политику проводят страны с высокой эффективностью национального хозяйства. В этом случае местные предприниматели не только выдерживают иностранную конкуренцию, но и прорывают протекционистские таможенные барьеры, расширяя доступ своих товаров на мировой рынок.
На индустриальной стадии производства в экономических взаимоотношениях стран возобладал принцип сравнительного преимущества, впервые сформулированный видным английским экономистом Давидом Рикардо (1772-1823). Согласно этому принципу, страны специализируются на производстве тех товаров, которые могут производить с относительно более низкими по сравнению с другими странами издержками. В условиях свободной конкуренции между какими-либо двумя странами их граждане будут покупать, скажем, обувь только той страны, где она обходится дешевле. Будет ли выгодно каждой стране экспортировать товар, в производстве которого она имеет сравнительное преимущество, и импортировать продукт, изготовление которого в этой стране является относительно менее эффективным? Ответ на этот вопрос очевиден. Государство, имеющее сравнительное преимущество, будет богаче. Но и стране, у которой нет такого преимущества, тоже не станет хуже, ибо она приобретает за границей более дешевую продукцию. В итоге человеческое сообщество выигрывает от международного разделения труда и торговли.
В современных условиях государства, как правило, не прибегают к крайним мерам внешнеторговой политики - только к полному протекционизму или же к полной свободе торговли. Правительства проводят гибкую внешнеторговую политику. Они избирательно используют методы протекционизма и вводят элементы свободной торговли. При этом обеспечиваются благоприятные условия экономического сотрудничества с другими странами: с ними заключаются торговые сделки, содержащие пункты о взаимных обязательствах в области внешнеторговой политики. Часто государства идут на торговые соглашения о принципе наибольшего благоприятствования. Каждая из договаривающихся сторон обязуется предоставлять своему партнеру такие же права и льготы, которые она уже дала другим партнерам. Поэтому отказ от принципа наибольшего благоприятствования какой-либо стране фактически означает, что против нее применяются экономические ограничения. Сильные в экономическом отношении государства нередко проводят наступательную торговую политику. Они используют протекционизм как средство для заполнения рынков других стран своими изделиями, проникают через таможенные барьеры. Завышенные таможенные пошлины позволяют им поддерживать у себя такой высокий уровень цен, который компенсирует бизнесменам потери от уплаты пошлин в странах, подвергающихся торговой агрессии. Кроме того, проводится товарный демпинг, ослабляющий позиции конкурентов на всемирном рынке. Товарный демпинг - вывоз продукции за границу по ценам, значительно более низким, чем цены внутри данной страны или на мировом рынке, в интересах устранения конкурентов и захвата внешних рынков.
Развитие товарооборота между странами предполагает установление международных валютных отношений. Экспорт дает каждой стране дополнительную иностранную валюту, а импорт предполагает расход такой валюты. Поэтому купля-продажа товаров на мировом рынке непосредственно зависит от организации международных денежных расчетов.
Международная валютная система: как она действует
Под валютной системой подразумевается совокупность экономических и правовых отношений, связанных с функционированием валюты (денежной единицы страны). Различают национальные, региональные (действующие в группе стран) и мировые валютные системы. Целью валютной системы является создание условий для того, чтобы обеспечивались денежные расчеты внутри страны и между странами. Международная и региональная валютные системы обеспечивают международное разделение труда и внешнюю торговлю.
Международная валютная система - форма организации международных денежных расчетов, необходимых при экспорте и импорте товаров и услуг, операциях с денежными переводами и капиталами.
Валюту подразделяют на неконвертируемую (используемую в пределах одной страны) и конвертируемую. Конвертируемая (обратимая) валюта беспрепятственно обменивается на любую иностранную (например, валюта большинства западных стран). Валюта с ограниченной обратимостью (или частично обратимая) обменивается не по всем валютным операциям и не для всех владельцев.
В современных условиях, когда международное денежное обращение действует без единой основы - золота, применяются два вида валютного курса: фиксированный и плавающий.
Фиксированный (твердо установленный) валютный курс может быть результатом соглашения заинтересованных стран о поддержании пропорции обмена своих валют на определенном уровне. В случае отклонения курса национальной валюты от установленной величины центральный банк страны - участницы соглашения проводит интервенцию (вмешательство) на валютном рынке. А именно: он покупает или продает национальную валюту с целью восстановить фиксированный уровень своей денежной единицы. Плавающий курс - это обменный курс на валютном рынке. При установлении экономических отношений между странами определяется валютный курс, по которому взаимно обмениваются национальные валюты. Этот курс объединяет название пропорции обмена двух валют: девизный и обменный курсы.
Девизный курс показывает, сколько единиц иностранной валюты можно получить за единицу отечественной. Иначе говоря, девизный курс - это цена отечественной валюты, выраженная в единицах иностранной (например, сколько евро обменивается на 1 рубль).
Обменный курс свидетельствует, какое количество единиц отечественной валюты можно получить в обмен на единицу иностранной.
Это - цена иностранной валюты (сколько рублей обменивается, скажем, на 1 доллар).
Значит, название пропорции обмена двух валют зависит от того, с позиции какой страны она рассматривается. Допустим, 33 руб. обмениваются на 1 долл. Это -обменный курс для россиянина и девизный курс - 3 цента (1/33 часть доллара) за 1 рубль - для владельца долларов.
Обменный курс во многом зависит от соотношения спроса и предложения на валютном рынке. От чего, в свою очередь, зависит положение на этом рынке, можно рассмотреть на примере валютного курса, определяющего пропорции обмена рублей на доллары. Так, спрос на рубли в основном зависит от объема российского экспорта в США и притока американского капитала в нашу страну. Предложение же рублей определяется объемом импорта России и вывозом из нее капитала в США.
Колебания валютного курса приводят к двум основным последствиям: ухудшению или улучшению положения с экспортом или импортом. Допустим, обменный курс национальной валюты понижается (иностранная валюта дорожает - меняется на большее количество рублей). С одной стороны, это вызывает рост цен на импортные товары (они становятся менее доступными). С другой стороны, улучшается положение с экспортом (он становится более выгодным). Предположим теперь, что обменный курс национальной валюты повышается (иностранная валюта дешевеет -приравнивается к меньшему количеству рублей). В таком случае цены на импортируемые товары снижаются. Напротив, экспорт дорожает (это ведет к его уменьшению).
Поскольку такие колебания валютных курсов оказывают большое влияние на экспорт и импорт товаров, то это наводит на следующую мысль. Может ли валютный обмен привести в тому, что будет определена единая цена на одинаковые товары во всех странах?
Могут ли валютные курсы определить одну цену на одинаковые товары разных стран
Здесь речь идет, по существу, о выяснении путей установления паритета - равенства соотношения между денежными единицами различных стран по их покупательной силе. Именно при таком паритете валютный курс каждой страны способствует выравниванию стоимости товаров внутри страны со стоимостью товаров за границей. Можно определенно положительно сказать об одном варианте установления искомого паритета. Этот паритет действительно существовал при золотом стандарте (см. гл. 5), когда функцию мировых денег выполняло золото. Но, как известно, золотой стандарт перестал окончательно существовать в начале 1970-х гг.
Что касается рыночного валютного курса, то он не может обеспечить равенства национальных стоимостных показателей при их международных сопоставлениях.
Этот непреодолимый недостаток объясняется следующими причинами:
• при частых колебаниях спроса и предложения валют на национальных и международных рынках валютные курсы могут внезапно падать или повышаться, скажем, на 10-20 % в год. При этом стоимость товаров может оставаться неизменной;
• валютный курс способен более или менее отразить существующие рыночные соотношения стоимости товаров и денег в краткосрочном периоде времени. Однако этот курс может сильно изменяться в долгосрочном периоде времени;
• рыночные курсы валют серьезно различаются во многих странах, что зависит от разных национальных условий хозяйственного развития;
• валютные курсы не отражают сравнительную покупательную способность национальных валют на внутренних рынках разных стран.
Значит, очевидно: рыночные валютные курсы совершенно неприемлемы для определения равного соотношения между денежными единицами разных стран. Существует ли какой-то выход из этого тупикового положения?
Решение было найдено. По инициативе Организации Объединенных Наций с 1970 г. регулярно рассчитываются паритеты покупательной способности национальных валют. Этим обеспечиваются обоснованные сопоставления макроэкономических показателей, характеризующих уровень развития экономики.
Паритеты покупательной способности (ППС) представляют собой количество единиц валюты, необходимое для покупки определенного стандартного набора товаров и услуг за одну денежную единицу базовой страны. Предположим, для покупки в США условной корзины товаров необходимо затратить 100 долл. Для приобретения той же корзины товаров в России с учетом покупательной способности российской валюты необходимо иметь 220 900 руб. (в ценах 1996 г.)
О колебаниях валютных курсов в течение длительного времени говорит такой факт. Официальный курс японской иены по отношению к российскому рублю составлял: за 10 иен в 1993 г. платили 110 руб., в 1997 - 458, в 1998 (за 100 иен) - 18, в 2002 г. (за 100 иен) - 27 руб.
Таблица 15.2
Паритеты покупательной способности и валютные курсы в 1999 г. |
|
Страны |
Единиц нацноЕэальиой палиттыла 1 долл. США |
Отношение иалЕогного курса к ППС(ППС- 1) |
Сопоставимый уровень цеп.
США - 100 |
|
ППС |
валнугеіый курс |
|
США |
1.00 |
1.00 |
1.00 |
100 |
|
Россия |
5,-11 |
21,62 |
4.55 |
22 |
|
Великобритания |
0.650 |
0,698 |
0.95 |
105 |
|
Германия |
0,978 |
0.9,38 |
0.96 |
104 |
|
Франция |
0.973 |
0.9,38 |
0.96 |
104 |
|
Япония |
162 |
ІИ |
0.80 |
142 |
|
Канада |
І.ІЯ |
1.49 |
1.25 |
30 |
|
Паритет покупательной способности облегчает соизмерение уровня цен в разных странах. Сопоставимый уровены цен рассчитывается как отношение ППС к валютному курсу. О сопоставимом уровне цен мы можем судить по данным табл. 15.2. Наблюдаемое в табл. 15.2 различие между ППС и рыночным валютным курсом позволяет выявить «более дешевые» или «более дорогие» страны по сравнению с другими государствами. Даже туристы иногда пользуются показателями сравнительного уровня цен, чтобы выделить «дешевые» страны (с низким национальным уровнем цен) и отличить их от «дорогих» (с высокими значениями данных показателей).
Использование ППС позволяет исправить недостатки рыночных валютных курсов, возникающих при определении степени развития экономики разных стран. Эти недостатки выражаются в том, что уровень производства стран с невысоким уровнем доходов (скажем, Индия, Китай) оказывается заниженным. Это объясняется тем, что в этих государствах значительная часть продукции создается в трудоемких отраслях хозяйства, которые оцениваются очень дешево. Об этих фактах можно судить по сведениям, приведенным в табл. 15.3.
Таблица 15.3
ВВП при использовании рыночных валютных курсов и ППС
|
Страны |
ВВП при и с пол клопа пи и валютЕзкгс кур со Еі (млрд долл. США) |
ВВП при нсішлвэораЕзин ППС (млрд долл. США) |
|
США |
66-13 |
66-13 |
|
Япония |
4591 |
2302 |
|
Китай |
522 |
247,3 |
|
Германия |
2016 |
1558 |
|
Индия |
294 |
1 174 |
|
Франция |
13,30 |
1117 |
|
Великобритания |
1 017 |
997 |
|
Россия |
377 |
655 |
|
|
Как видно из данных табл. 15.3, при использовании показателя ППС уровень валового внутреннего продукта Индии в 4 раза превышает уровень, рассчитанный на основе рыночного валютного курса, а ВВП Китая - в 5 раз. В этом случае Китай |
занимает 3 место в мире по экономической мощи.
Стало быть, мы рассмотрели важнейшие явления, которые характерны для развития современной мировой экономики. А именно? интернационализацию производства, международную миграцию капитала и рабочей силы, региональную интеграцию, новые процессы в развитии мирового рынка товаров, услуг и валют.
Возникает вопрос? в каком общем направлении развиваются все эти мирохозяйственные явления?
Наблюдательный и догадливый читатель, по-видимому, не мог не заметить общую черту всех этих процессов. Такой чертой является глобализация мировой экономики.
§ 3 Глобализация мирового хозяйства
В чем состоят особенности глобальной экономики
Прежде всего постараемся разобраться в понятиях «международная экономика» и «глобальная экономика».
Международные экономические отношения могут складываться между двумя или между большим количеством государств. Они отражают интересы только отдельных стран, участвующих в межгосударственных сделках и соглашениях.
Глобальными называются отношения между всеми странами планеты. Они выражают экономические и иные интересы всего человечества.
Глобальные экономические отношения количественно отличаются от макроэкономических отношений. Планетарные связи не могут быть, разумеется, сведены к отношениям внутри одного или нескольких национальных хозяйств. Всемирная экономика также качественно различается по особенностям видов экономических отношений: собственности, кооперации и разделению труда, формам организации хозяйственной деятельности и по управлению экономикой.
Конечно, сейчас, когда процесс глобализации находится в самом начале, преждевременно пытаться описать все характерные черты экономических отношений всемирного хозяйства. Между тем можно отметить некоторые
особенности, которые стали заметными на рубеже XX-XXI вв.
1. Отношения собственности. Отличительной особенностью глобальных отношений собственности является то, что это имущественные отношения, как принято говорить, без границ, т. е. преодолевшие барьеры национальных ограничений.
К таким формам имущественных отношений относятся транснациональные корпорации (ТНК). Как известно, ТНК - это объединение предприятий, состоящее из головного акционерного общества, находящегося в стране базирования, и зарубежных филиалов. Зачастую ТНК представляет собой легальную монополию (имеющую патенты, торговые марки), что позволяет ей защищать себя от конкуренции внутри своей страны и за рубежом. При прямом инвестировании капитала в зарубежных филиалах ТНК избегают государственных ограничений доступа на рынки в виде импортных пошлин (налогов) и квот (ограничительных норм).
Они лучше, чем другие зарубежные фирмы (занимающиеся обычным экспортом капитала), учитывают местные рыночные условия (изменения вкусов потребителей, действия конкурентов и т. д.). Преимущества ТНК позволяют им добиваться большей эффективности затрат и более значительной прибыльности.
Об огромной экономической мощи ТНК говорит, в частности, тот факт, что их совокупный валютный резерв в 5-6 раз превышает валютные резервы центральных банков всего мира. Не случайно транснациональные корпорации составляют экономический остов нового мирового хозяйства.
Некоторые региональные экономические объединения способствуют созданию новые форм международной собственности, не имеющих обычных национальных ограничений. Так, как известно, в Европейском союзе отсутствуют многочисленные пограничные и таможенные барьеры, разделяющие государства. Это позволяет достичь ряда положительных результатов. К ним можно отнести прямую экономию за счет снижения издержек при устранении торговых и производственных барьеров, выигрыша от интеграции рынков и усиления конкуренции, что может дать огромный экономический эффект.
Можно предположить, что в дальнейшем глобализация мировой экономики будет связана с преодолением национальные ограничений в отношении собственности.
2. Кооперация и разделение труда. На рубеже XX-XXI вв. положено начало широкомасштабной международной кооперации труда, способствующей углублению разделения труда между странами. Примером может служить международная космическая станция, созданная Россией и США. Вряд ли кто может усомниться, что это международное сотрудничество представляет собой новый шаг в решении сложнейших научно-технических задач.
3. Формы организации хозяйственной деятельности. Для объединившихся макроэкономических систем во многом характерно необходимое для планетарных масштабов прогнозирование важнейших процессов социально-экономического развития (роста населения, использования природных ресурсов и др.) в сочетании с совершенствованием цивилизованных рыночных отношений.
С конца XX в. резко ускорилось глобальное развитие финансовых (денежных) ресурсов. Наряду с давно сложившимися мировыми финансовыми центрами в Азии возникли новые центры. В итоге сложилась единая сеть финансовых рынков, опоясавшая весь земной шар.
Почти все крупнейшие ТНК относятся к США, Европейскому союзу и Японии. ТНК учитывают, что во многих странах усиливается единство вкусов потребителей особенно в отношении бытовой электроники, модной одежды, продуктов питания, ресторанных и гостиничных услуг. Этот спрос учитывают такие ТНК, как, например, «Кока-Кола» (США), «Нестле» (Швейцария), «Макдоналдс» (США), «Филипп Морис» (США),
«Тойота Мотор» (Япония), «Проктор энд Гэмбл» (США),
«Юнивелер» (Великобритания - Нидерланды).
Транснациональными стали в России крупные компании - «Газпром», «ЛУКойл», «Алроса» и др. Российское акционерное общество «Газпром» контролирует 34 % мировых разведанных запасов природного газа, имеет фирмы со своим участием в 12 странах, закупающих российский газ.
К положительным последствиям глобализации финансовых ресурсов можно отнести то, что капитал в денежной форме перестал быть дефицитным ресурсом. Это обстоятельство усилило конкуренцию на национальных финансовых рынках, что понизило стоимость финансовых услуг.
Вместе с тем в функционировании глобальной финансовой системы наблюдаются существенные недостатки. Либерализация финансовых рынков сопровождается усилением деятельности крупных денежных спекулянтов. Они добиваются повышения или понижения курсов ценных бумаг и валют, чтобы затем на разнице этих курсов получить огромные прибыли. Такие же приемы используются в разных звеньях глобальной финансовой системы, что усиливает опасность денежных кризисов. С конца XX в. начавшийся в одном мировом финансовом центре кризис, как правило, вызывает своеобразную цепную реакцию в других центрах. По-видимому, для того чтобы глобализация финансовой системы развивалась без потрясений потребуется улучшить регулирование движения ценных бумаг и валют со стороны международной финансовой организации, располагающей большими правами и ресурсами.
4. Формирование мирохозяйственных отношений. В глобальном масштабе действует ряд международных организаций, занимающихся регулированием различных мирохозяйственных отношений. К ним относятся, в первую очередь, следующие организации.
• Международная организация труда (МОТ). Это специализированное подразделение Организации Объединенных Наций занимается вопросами улучшения условий труда и социального обеспечения населения разных стран, выработкой рекомендаций по трудовому законодательству. В МОТ представлены три стороны: представители государства - члена данной организации, представители профсоюзов и предпринимателей этого государства.
Особенно больших масштабов деятельность мировых финансовых центров достигла в Америке (Нью-Йорк, Чикаго), Европе (Лондон,
Париж, Цюрих, Женева, Франкфурт), а также в Азии (Токио, Сингапур, Гонконг, Бахрейн). В такие же центры превратились некоторые офшорные зоны («налоговые убежища»), предоставляющие налоговые льготы иностранным компаниям (Панама, Бермудские, Багамские и другие острова в бассейне Карибского моря).
• Всемирная торговая организация (ВТО), главная цель которой заключается в либерализации торговли товарами и услугами посредством совершенствования торговых правил. Имеется в виду, в частности, осуществление торговли без дискриминации (без уменьшения прав по сравнению с другими государствами), защита отечественных производителей, сокращение ставок таможенного тарифа, развитие международной торговли на основе справедливой конкуренции и т. п.
• Международные валютно-кредитные организации. Это международные финансовые организации, созданные на основе межгосударственных соглашений. Они регулируют валютные и кредитно-финансовые отношения между государствами, содействуют экономическому развитию государств, предоставляют кредиты. В число таких организаций входят Банк международных расчетов, Международный валютный фонд, Международный банк реконструкции и развития и др.
Международные организации призваны содействовать интернационализации и правовому регулированию хозяйственной деятельности государств, их продвижению по пути улучшения мирохозяйственных отношений.
Глобализацию мирового хозяйства можно оценивать совершенно по-разному: оптимистически (видеть только хорошее) или пессимистически (замечать только плохое).
Но являются ли правильными такие взгляды?
Обращает на себя внимание односторонность оценок и крайности суждений. Допускается также отрыв, преувеличение и противопоставление одной стороны глобализации другой. Вернее всего рассматривать современное развитие мировой экономики как такой сложный процесс, в котором взаимосвязаны и взаимодействуют его положительные и отрицательные стороны.
Каковы противоречия и трудности глобализации
Наше внимание привлекают несколько важнейших экономических процессов, которые имеют общемировой характер и требуют совместных действий всего мирового сообщества.
1. Как изменяется численность людей на планете. В гл. 11 было начато знакомство с изменениями численности населения в разных странах. Продолжим рассмотрение динамики численности человечества в мировом масштабе.
В XX в. заметно ускорился рост населения планеты: с 1,6 млрд человек в начале века до более 6,3 млрд в конце века, т. е. почти в 4 раза. Повысилась и средняя продолжительность жизни. Все это объясняется значительным улучшением условий жизни населения, особенно в индустриальных странах.
Однако рост населения Земли происходил очень неравномерно. Во второй половине XX в. начался «демографический взрыв», охвативший молодые государства. 80 % прироста мирового населения приходится на Азию, Африку и Латинскую Америку. В этом эпицентре «демографического взрыва» с помощью современных средств медицины удалось значительно снизить детскую смертность, ликвидировать некоторые эпидемии. При помощи новой техники увеличилось производство продуктов питания. Эти и другие изменения привели в конце XX в. к увеличению средней продолжительности жизни (что подтверждается данными табл. 15.4). С другой стороны, здесь сохранилась высокая рождаемость, которая вызывает быстрый прирост населения, превышающий темпы увеличения производства продуктов питания.
Таблица 15.4
Основные демографические показатели некоторых стран
Согласно ряду прогнозов, сложившиеся в XX в. темпы роста населения в странах с разным уровнем хозяйственного развития в основном сохранятся, по крайней мере, до середины XXI столетия. Кэтому времени 95 % населения планеты будет приходиться на Азию, Африку и Латинскую Америку.

В XXI в., по-видимому, будут происходить перемены в темпах прироста населения Земли и его территориальном расселении по планете, что позволит разрешить существующие в настоящее время демографические противоречия. Так, в частности, можно ожидать, что темпы прироста численности людей в развивающихся странах значительно снизятся по мере их перехода к более высокому уровню цивилизации. Ускоренный рост населения во многих развивающихся странах вступает в острое противоречие с имеющимися там производственными возможностями несмотря на некоторое увеличение производства. Здесь размеры потребления в расчете на душу населения остаются очень низкими по сравнению с высокоразвитыми государствами.
2. Что происходит с разрывом между богатством одних стран и бедностью других. В XX в. заметно углубилось противоречие по уровню богатства (объему валового национального продукта на 1 человека) между самыми высокоразвитыми в экономическом отношении государствами и самыми бедными, которые не достигли индустриальной стадии производства.
Как известно (см. гл. 11) во второй половине XX в. набрали большую скорость экономического роста многие страны догоняющего индустриального развития. По темпам увеличения объема производства они даже существенно обогнали страны Запада. Это сказалось на постепенном сближении относительных уровней экономического развития в странах с высокими и низкими показателями ВВП на душу населения. Вместе с тем они отнюдь не сравнялись с последними по объему выпуска ВВП на душу населения и сильно отстают по уровню развития науки, техники и технологии.
Более того, ускоренное развитие новой экономики, с одной стороны, ведет к обесценению «старых» - традиционных технологий, распространенных в большинстве стран мира. С другой стороны, за счет быстрого прогресса информационных технологий США и другие западные государства еще более опережают экономически отсталые страны по качеству создаваемого богатства.
Средние годовые темпы прироста населения в развивающихся странах снизились с 2,2 % в 1960-1994 гг. до 1,7 % в 1994-2000 гг. Такие темпы в индустриальных странах в то же время уменьшились
соответственно с 0,8 до 0,3 %.
Таблица 15.5
Уровень бедности в отдельных странах |
|
С трана |
Гад |
Удельный №с населения, Еіахадя-ЕНетсл за ч фТАЙ бедности |
Гад |
Удельный Etec населения ;кипу[него мсеЗ'ГС чем
Еіа 1 далл. іа день |
|
Бангладеш |
2000 |
49,Я |
2000-200] |
3G.0 |
|
И ндия |
] 9ЭЭ-2000 |
2Я,6 |
2000-200] |
3-4.7 |
|
Пакистан |
]99Я-]999 |
32,0 |
1998 |
13.4 |
|
Филиппины |
]997 |
3G.fi |
2000-200] |
14.6 |
|
Н игерия |
] 992-] 993 |
34,1 |
]997 |
70.2 |
|
Тэтан ия |
1991 |
35,7 |
тз |
19.9 |
|
Самые бедные люди живут в странах Африки и Азии. О степени распространения нищеты свидетельствует особый показатель: «процент населения, имеющего уровень потребления или дохода ниже официально установленной черты бедности» (чаще всего - прожиточного минимума для населения). Об этом свидетельствуют статистические данные (табл. 15.5). Вполне очевидно, что разрыв по уровню богатства народов, пролегающий по линии Север-Юг, противоречит жизненным интересам все большего числа жителей нашей планеты. Он угрожает безопасности всех, в том числе и тех, кто принадлежит к привилегированным группам мирового населения. Дальнейший рост нищеты в экономически отсталых регионах грозит достичь той черты, переходить которую опасно. Выживание человечества во многом зависит от его способности ослабить напряженность, которая приводит к разделению на богатые и бедные страны.
Во второй половине XX в. доля ВВП, произведенного в странах, где проживает 10 % наиболее бедного населения, увеличилась с 1,2 до 1,5 %. В то же время доля мирового ВВП, созданного в странах, где проживают наиболее богатые 10 % населения мира, снизилась с 44,1 до 40,4 %.
Средняя для Африки величина созданного ВВП на душу населения в 1900 г. (в колониальный период) составила 500 долл., что было примерно в 9 раз ниже, чем у самой богатой в то время страны мира -Англии. А в 2000 г. Африка по этому показателю уступала богатейшей стране мира - США уже в 20 раз.
3. Как избежать экологической катастрофы. С самого начала развития экономики возникло острое противоречие между созидательной хозяйственной деятельностью человечества и первозданной природой. Складывается такое впечатление, что чем больше люди осваивают природные богатства, тем больший вред они наносят природе.
На протяжении многих веков ущерб от производственной деятельности был сравнительно невелик, и природа восстанавливала экологическое равновесие, по крайней мере в планетарных масштабах. Но положение коренным образом изменилось в наше время. Потери, наносимые окружающей среде, возросли настолько, что природа утратила способность к самовосстановлению. В результате на нашей планете исчезают условия, обеспечивающие жизнь человека.
Истощаются некоторые невозобновляемые запасы полезных ископаемых и не успевают возобновляться потребляемые ресурсы лесоматериалов и других видов сырья. Огромная опасность для цивилизации таится в глобальном потеплении климата на планете, росте «озоновых дыр», других катастрофических процессах, порождаемых человеческой деятельностью и ведущих к сокращению потенциальных возможностей Земли как уникальной среды обитания человека. Нынешнему поколению людей приходится расплачиваться за расточительство предыдущих поколений, а будущие - могут получить в наследство безжизненную планету.
Кто же несет наибольшую экономическую ответственность за разрушение нормальной природной среды - непременное условие человеческой жизни?
Нетрудно «вычислить» виновников. Такая ответственность ложится на те богатые страны, которые больше других используют природные ресурсы для создания своего богатства.
По подсчетам ученых, за последние 200 лет на Земле исчезло около 900 тыс. видов растений и животных.
О масштабах загрязнения рек и водоемов говорит такой факт. Примерно 1,3 млрд человек пользуются в быту только загрязненной водой. Это служит причиной многих эпидемических заболеваний.
По некоторым подсчетам, только в 1950—1990-х гг. мировой объем выбросов углерода в атмосферу вырос в 4 раза, достигнув 6 млрд т. При этом на долю США приходится 25 % всех выбросов, стран - членов ЕС -14 %, стран СНГ - 13 %, Японии - 5 %.
Чтобы предотвратить дальнейшее неблагоприятное воздействие производства на природную среду, требуются крупные капиталовложения на очистные сооружения и всевозможные средства защиты. Еще больше финансовых средств необходимо выделять для возмещения уже нанесенного ущерба природе, для восстановления экологического равновесия и воссоздания нормальных условий жизни в районах, особенно сильно пострадавших от нерациональной хозяйственной деятельности человека.
Для решения глобальной экологической проблемы нужно объединить усилия всех стран и народов мира. В частности, международное сотрудничество требуется для защиты природы в местах, расположенных вне национальных границ (Мировой океан, Антарктида и т. п.). Назрела необходимость подчинить хозяйственную деятельность общим стандартам и правовым нормам экологической безопасности, с помощью международных организаций быстро принимать меры для ограничения и ликвидации ущерба в случае чрезвычайных происшествий мирового масштаба. Имеются ли у человечества материальные возможности для решения острейших глобальных проблем? Мощные ресурсы для этих целей заложены в сокращении военных расходов и конверсии военной промышленности. Ведь в 1980-е гг. суммарные мировые затраты труда, связанные со всеми видами военной деятельности, ежегодно достигали 100 млн человеко-лет. Общая величина военных расходов составила 1 трлн долл., что равно примерно 6 % мирового валового национального продукта.
Итак, очевидно, что перед населением планеты нет иного выбора, кроме того, чтобы совместными усилиями создать новыш тип глобального хозяйства, в котором не будет войн, гибели миллионов людей от голода и уничтожения животворной природной среды.
Не менее очевидно и другое. Решение жизненно важных глобальных проблем должно быть поставлено под действенный контроль международныьх организаций.
! Краткие обобщения и выводы
1. Основными этапами образования и развития мирового хозяйства являются? налаживание международной торговли; возникновение мирового рынка;
образование мирового хозяйства на основе колониальных владений великих держав; формирование и развитие современного мирового хозяйства.
2. Современное мировое хозяйство имеет следующие отличительные черты: а) международное сотрудничество стран на основе их экономической заинтересованности; б) новое международное разделение труда; в) рост мирового рыночного пространства; г) развитие всей совокупности мирохозяйственных связей. Современная планетарная экономика характеризуется необычайным ускорением развития. За 1900-2000 гг. совокупное производство товаров и услуг во всем мире выросло в 19 раз. Главное перспективное направление развития мировой экономики в XXI в. - это интернационализация хозяйственной жизни.
3. Интернационализация экономики - это рост взаимосвязи и взаимозависимости между национальными хозяйствами и мировым хозяйством. Интернационализация в первую очередь охватывает производство, капитал и рабочую силу и интеграцию разных государств.
4. Международное перемещение капитала - это помещение за границей средств, приносящих его собственнику доход. В нем участвует предпринимательский капитал (прямые инвестиции, портфельные инвестиции, совместные предприятия, транснациональные корпорации) и ссудный капитал.
5. Миграция рабочей силы означает распределение работников разной квалификации между странами в соответствии с потребностями национальных рынков труда. В нем участвуют: специалисты и высококвалифицированные работники, участвующие в освоении природных и иных ресурсов в развивающихся странах; недостаточно квалифицированная рабочая сила из слаборазвитых стран, ищущая более высокооплачиваемую работу в развитых странах, и др.
6. Региональная экономическая интеграция - высшая ступень современной интернационализации хозяйственной жизни, которая объединяет деятельность групп близлежащих государств в области производства, распределения, обмена и потребления благ и услуг. В Европейском союзе учреждена коллективная валютная единица (евро), преодолеваются многочисленные пограничные и таможенные барьеры, разделявшие государства, и др. Интеграционные объединения развивающихся стран помогают им воспользоваться выгодами производственной специализации и освоить необходимые природные и иные ресурсы.
7. На рубеже XX-XXI вв. в международной торговле произошли серьезные перемены: а) значительно увеличилось количество стран с открытой экономикой; б) возросла роль экспорта в обеспечении экономического роста национального хозяйства; в) сокращается удельный вес продаваемых сырьевых продуктов и возрастает доля готовых изделий обрабатывающей промышленности; г) мировые цены стали поощрять продажу готовых наукоемких изделий; д) государство проводит гибкую внешнеторговую политику, сочетая свободную торговлю с протекционизмом.
8. Международная валютная система - форма организации международных денежных расчетов, необходимых для экспорта товаров и услуг, операций с денежными переводами и капиталами. Валюту подразделяют на конвертируемую и неконвертируемую. На валютных рынках применяются фиксированные и плавающие курсы валют. Валютный курс объединяет названия пропорций обмена двух валют? девизный и обменный курсы. Колебания валютного курса приводят к ухудшению или улучшению положения с экспортом и импортом.
9. В современных условиях рыночные валютные курсы не способны определить равное соотношение между денежными единицами разных стран. Эту задачу выполняют паритеты покупательной способности (ППС) - количество единиц валюты, необходимое для покупки определенного стандартного набора товаров за одну денежную единицу базовой страны. Сопоставимый уровень цен на товары и услуги разных стран рассчитывается как отношение ППС к рыночному валютному курсу. При использовании ППС можно более правильно соизмерить уровень ВВП разных стран.
10. Глобальные экономические отношения существенно отличаются от макроэкономических отношений по характеру присвоения материальных благ и услуг, кооперации и разделению труда, видам хозяйственной деятельности и формам регулирования хозяйственных отношений.
11. Развитие глобализации мирового хозяйства идет через преодоление экономических противоречий и трудностей, в первую очередь касающихся: а) изменения численности населения планеты;
б) уменьшения разрыва между богатыми и бедными странами;
в) предотвращения экологической катастрофы.
? Задачи и вопросы на сообразительность
1. К терминам из левой колонки найдите соответствующие определения в правой колонке.
Л. Ограничение государством импорта товаров
]. Открытая экономика 2. Миграция капитала
Б. Объе д ішение близлежащих
государств для совместного ходя ист вовання
Б Национальная экономика, в которой развиты экспорт и импорт
Г Пропорции, по которым обме ни вакітся две вал .от ы
Я. И: I тернац ионал изац ия проид-во детва
4. Peiт:оіегоіhiіая эко>іоми ческая
интеграция
Г>. Протекционизм В. Валютный курс
7. Т ране і хи i;: оі ос I ыіая корпорация
Д. Рост взаимозависимости национального и мирового хозяйства Е. Акі інонер ное об 11 (ество одно; і страі і ы имеет филиалы в других странах Ж. Помещение за границей средств, принося 11 іих и * ообс твеіі ни ку бо. і ь -ший доход
2. Верно-неверно.
1. Экономическое благосостояние населения страны в условиях свободной международной торговли всегда ниже, чем при введении импортных пошлин.
2. Импорт товаров и услуг приводит к росту внутренних цен и является причиной инфляции.
3. Уровень жизни народа в России в большей степени, чем в Дании, зависит от внешней торговли.
4. Импорт увеличивает совокупный спрос в стране.
5. Ограничение импорта ведет к сохранению в стране неэффективных отраслей производства.
3. Прокомментируйте статистические данные, содержащиеся в табл. 15.6.
4. Тест. Валютный курс зависит от?
а) покупательной способности национальной валюты;
б) уровня инфляции в стране;
Таблица 15.6
Динамика официальных курсов иностранных валют по отношению к российскому рублю
|
|
Доллар Г11ІД |
Епро |
|
Годы |
руб/долл. США |
[г процентах к предыдущему году |
руб, /евро |
а процентах
к предыдущему году |
|
m2 |
415 |
- |
|
|
|
1995 |
4640 |
130.7 |
|
|
|
1996 |
5560 |
119.8 |
|
|
|
1997 |
5960 |
107,2 |
|
|
|
1998* |
20,65 |
316,5 |
|
|
|
1999 |
27,00 |
130,9 |
27,23 |
- |
|
2000 |
23,16 |
104,3 |
26,14 |
96,0 |
|
2003 |
29,45 |
92.7 |
36,82 |
1 11,2 |
* Начиная с 1998 г., - с учетом изменения нарицательной стоимости российских денежных знаков (уменьшение в 1000 раз).
Таблица 15.7
Некоторые внешнеэкономические показатели ряда стран (1999 г.) |
|
СтраЕіы |
ВП[ЛИНИЙ долг,
млрд длил. |
Экспорт, млрд долл. |
ВалкшіЕ.іс реаерпы, млрд долл. |
|
Япо Е1 ИЯ |
0 |
388 |
272 |
|
Германия |
0 |
543 |
59 |
|
США |
237 |
682 |
02 |
|
Китай |
149 |
МО |
154 |
|

в) изменения ставок ссудного процента;
г) всех перечисленных факторов.
5. Какими российскими товарами сейчас выгодно торговать?
6. Прокомментируйте внешнеэкономическое положение некоторых государств в конце XX в. (табл. 15.7).
Какие, на ваш взгляд, страны занимали наиболее прочное экономическое положение и почему?
7. Почему во время инфляции в стране многие люди тратят свои сбережения на покупку иностранной валюты?
Экономика: Теории - Концепции