Программирование и решение задач в пакете MathCAD
Файловый тип данных MathCAD
Данные, читаемые из файла или записываемые в файл, принадлежат к новому типу данных – файловых.Для удобства изложения операторов для работы с файловыми данными, разделим эти данные на две группы:
В структурированном файле данные располагаются в виде матрицы, т. е. каждая строка (так называемая запись) имеет одинаковое число элементов. В неструктурированном файле данные располагаются либо последовательно (только одна запись ), либо в нескольких записях, но с разным числом элементов в них .
При работе со структурированными файлами необходимо помнить:
При работе с неструктурированными файлами необходимо помнить:
В функциях работы с файловыми данными аргументом является Имя файла, в качестве которого может выступать:
Пример 1.1.1. Проиллюстрируем два способа задания Имя файла на примере функции READ :
а) А : =READ(“E :\COPY\data1.dat”)
б) file_1 : =”E :\COPY\data1.dat”
A : = READ(file_1) ¦
Запись данных в файл
Для создания неструктурированных файлов используется две функции:WRITE («Имя файла») : = «Данные»
APPEND («Имя файла») : = «Данные»
При использовании этих функций следует помнить:
Ø имя простой переменной;
Ø имя массива с указанием индексного выражения;
Ø значение числовой константы;
Пример 1.2.1. Записать в файл следующую информацию:
;
значений случайных чисел из интервала [0, 99];
значений целых чисел от 0 до
.Фрагмент документа, осуществляющий запись таких файловых данных, приведен на рис. 1.2.1. Здесь функция rnd(a) генерирует случайные числа, равномерно распределенные в интервале [0, a], а функция floor(x) – вычисляет наибольшее целое число, меньшее или равное вещественному числу x. В окне программы Блокнот хорошо видна структура сформированного файла. ¦


Рис. 1.2.1. Запись неструктурированного файла
Замечание 1.2.1. Рассмотренные функции создания неструктурированного файла входили в состав более ранних версий пакета MathCAD (до версии MathCAD2000 включительно). В русифицированной версии MathCAD2001i обращение к этим функциям вызывает ошибку (см. рис. 1.2.2), поэтому рекомендуется работать только с функциями создания структурированных файлов.

Рис. 1.2.2. Ошибка при обращении к функции WRITE
Для создания структурированных файлов используются две функции:
WRITEPRN («Имя файла») := <данные>
appendPRN («Имя файла») := <данные>
При использовании этих функций необходимо помнить:
Ø имя простой переменной;
Ø имя массива;
Ø значение числовой константы.
Если необходимо записать в файл несколько переменных, то из них нужно сформировать вектор, который затем записывается в файл.
Структура создаваемого файла определяется следующими системными переменными:
PRNCOLWIDTH – количество позиций, отводимых под один столбец (по умолчанию равно 8);
PRNPRECISION – число задаваемых цифр после десятичной точки в записи числа (по умолчанию равно 4).
Значения этих параметров можно изменить, обратясь к пункту меню Математика, команда Опции, вкладка Встроенные переменные.
Пример 1.2.2. Записать в файл матрицу В, k-й столбец которой есть выборка из нормального распределения с математическим ожиданием
и среднеквадратическим отклонением
(дисперсия соответственно
).Фрагмент документа, осуществляющий запись структурированного файла, приведен на рис. 1.2.3. В окне программы Блокнот хорошо видна структура сформированного файла (число строк n = 5, число столбцов m = 4). ¦


Рис. 1.2.3. Запись структурированного файла
Задание 1.2.1. Составить фрагмент документа MathCAD, формирующий файл, содержащий два столбца:
определяемые по формуле:
;
, где
. ?Задание 1.2.2. Составить фрагмент документа MathCAD, который формировал файл, содержащий кроме матрицы В, определяемой условиями примера 1.2.2, добавленную в конец файла матрицу С размерности
, k-й столбец которой есть выборка из нормального распределения с математическим ожиданием
и дисперсией
. ?Замечание 1.2.2. Создаваемый в MathCAD файл данных достаточно просто просмотреть и отредактировать в текстовом редакторе, отображающем ASCII-данные. Примерами таких редакторов может служить программа Блокнот, входящая в состав Windows (Программы Þ Стандартные), а также редакторы языков программирования – PASCAL, СИ и др.
Задание 1.2.3. Используя программу Блокнот, проверьте правильность формирования файла в задании 1.2.2. ?
Чтение данных из файла
Для чтения данных из неструктурированных файлов используется функция:<ИМЯ> := READ(<Имя файла >),
где <ИМЯ> – это либо имя простой переменной, либо имя массива с указанным индексным выражением (т.е. элемент массива).
Необходимо помнить, что при каждом обращении к функции READ чтение данных начинается с начала файла. Поэтому для чтения большого числа данных целесообразно считать их в массив, а затем через элементы этого массива определять нужные переменные (см. пример 1.3.1).
Пример 1.3.1. Сформировать вектор
из последних
элементов файла
, сформированного в примере 1.2.1. Значение переменной
определяется первым числом в файле
. Фрагмент программы показан на рис. 1.3.1. ¦
Рис. 1.3.1. Чтение данных из неструктурированного файла
Замечание 1.3.1. Рассмотренная функция чтения неструктурированного файла входила в состав более ранних версий пакета MathCAD (до версии MathCAD2000 включительно). В русифицированной версии MathCAD2001i обращение к этой функции вызывает ошибку и рекомендуется работать только с функцией чтения структурированного файла.
Для чтения данных из структурированных файлов используется функция:
<ИМЯ> := READPRN(<Имя файла >),
где <ИМЯ> – это либо имя простой переменной, либо имя массива.
При использовании этой функции необходимо помнить:
Пример 1.3.2. Определить выборочное математическое ожидание и дисперсию по всем элементам матрицы В, сформированной в примере 1.2.2.
Фрагмент программы представлен на рис. 1.3.2. Здесь функция mean вычисляет выборочное среднее, а функция var
– выборочную дисперсию. Обратите внимание на формирование вектора через элементы матрицы. Такой переход часто используется при обработке изображений. ¦

Рис. 1.3.2. Чтение данных из структурированного файла
Задание 1.3.1. Составить фрагмент документа, формирующий вектор V, k-я проекция которого равна выборочному среднему k-го столбца матрицы, сформированной в примере 1.2.2 и записанной в файл file_2.dat. ?
В заключение этой темы заметим, что рассмотренные функции позволяют организовать «гибкую» связь пакета MathCAD с другими вычислительными программами на уровне обмена файловыми данными.
Моделирование и обработка статистических данных
При использовании в научных и инженерных исследованиях метода статистического моделирования (метод Монте-Карло) необходимо генерировать случайные (точнее, псевдослучайные) числа, распределенные по определенному закону.Функции MathCAD для вычисления плотности распределения. В табл. 10.1.1 приведены функции (имена начинаются с буквы d), позволяющие вычислить значения функции плотности наиболее используемых распределений (
значение, для которого вычисляется плотность распределения).Таблица 10.1.1
| Распределение | Функция MathCAD | ||
Нормальное распределение![]() | ![]() ![]() ![]() | ||
Распределение Пуассона![]() ( целое неотрицательное число, ) | ![]() ![]() ![]() | ||
Равномерное распределение , если ![]() 0, если ![]() | ![]() ![]() ![]() | ||
Биноминальное распределение , ![]() | ![]() ![]() ![]() |
Окончание табл. 10.1.1
| Распределение | Функция MathCAD | ||
распределение0, если ; , если ![]() ( число степеней свободы) | ![]() ![]() ![]() | ||
Распределение Стьюдента![]() ( число степеней свободы) | ![]() ![]() ![]() |
Функции MathCAD для вычисления квантилей распределения. Число
называется квантилем уровня
распределения с плотностью
, если оно является решением следующего нелинейного уравнения:
.В табл. 10.1.1 в правой колонке второй строкой приведены функции MathCAD (имена начинаются с буквы
) вычисления квантилей соответствующих вычислений.Функции MathCAD генерирования случайных векторов.
Вектор, проекции которого являются случайными числами, распределенными по определенному закону, называется случайным вектором.
В табл. 10.1.1 в правой колонке третьей строкой приведены имена функций (начинаются с буквы
), вычисляющих случайный вектор с соответствующим распределением его проекций. Параметр
размерность случайного вектора.Функция
генерирует одно случайное число, равномерно распределенное в интервале [0, 1].Пример 10.1.1.
На рис. 10.1.1 приведен фрагмент документа MathCAD, в котором генерируются два случайных вектора:
– проекции имеют нормальное распределение (математическое ожидание равно –20, дисперсия 100);
– проекции имеют
распределение (с числом степеней свободы 10). Размерность векторов равна 100. ¦Функции MathCAD вычисления выборочных значений числовых характеристик. К числовым характеристикам случайной величины относятся: математическое ожидание (или среднее), дисперсия, среднеквадратическое отклонение и т.д. Часто возникает необходимость оценить эти характеристики по выборке значений случайной величины объема
. Такие оценки называют выборочными значениями числовых характеристик.
Рис. 10.1.1. Моделирование и обработка статистических данных
В табл. 10.1.2 приведены имена функций, вычисляющих выборочное значение часто используемых числовых характеристик. Здесь
векторы размерности
, составленные из значений случайной величины
и
.Таблица 10.1.2
|
Числовые характеристики |
Функция MathCAD |
Математическое ожидание случайной величины ![]() |
![]() |
Дисперсия случайной величины ![]() |
![]() |
|
Среднеквадратическое отклонение случайной величины ![]() |
![]() |
Медиана случайной величины ![]() |
![]() |
Мода случайной величины ![]() |
![]() |
|
Корреляционный момент двух случайных величин ![]() |
![]() |
Пример 10.1.2.
На рис. 10.1.1 приведен фрагмент документа MathCAD, в котором вычисляются выборочные значения некоторых характеристик по выборкам, полученным в примере 10.1.1. ¦
функции MathCAD вычисления частот значений случайной величины (построение гистограмм). Введём некоторые определения.
Предположим, что дана выборка
случайной величины Х (
– объём выборки). Введём L+1 точку
, при этом:
. (10.1.1)Тогда число значений
, попавших в интервал
обозначим через
и назовём частотой. Очевидно, что
. (10.1.2)Величину
(10.1.3)назовём относительной частотой, для которой выполняется условие
. (10.1.4)В качестве оценки плотности распределения вероятности непрерывной случайной величины Х используют гистограмму относительных частот, т.е. систему прямоугольников, k-й из которых основанием имеет
а высота
определяется по формуле
(10.1.5)и имеет место приближенное тождество
(10.1.6)где
некоторое число из интервала
. Поэтому при больших объёмах выборки и удачном выборе длин интервалов
гистограмма является ступенчатой аппроксимацией плотности распределения
.Возникает вопрос: как сформировать интервалы
? Количество интервалов L рекомендуется вычислять по формуле
где
– целая часть числа
. Обычно интервалы берут равной длины
, и тогда узлы
определяются выражением:
(10.1.7) где
.Значения wk,
вычисляются по частотам
. Поэтому для определения
по выборке
в MathCAD включены две функции: hist(int,X), histogram(int,X).Параметры функции hist(int,X):
int– массив длины (L+1), составленный из значений
Если параметр intзадать целым числом, равным числу интервалов L, то при выполнении функции формируется рабочий массив узлов
по формулам (10.1.7), (10.1.8);
X – массив длиной N, составленный из значений выборки
.Результатом
работы функции является одномерный массив

Параметры функции histogram(int,X):
int – массив длины (L+1), составленный из значений
Если intзадать целым числом, равным числу интервалов L, то при выполнении функции формируется рабочий массив узлов
по формулам (10.1.7), (10.1.8);
Х – массив длиной N, составленный из значений выборки
.Результатом
работы функций является матрица размером
, первый столбец содержит значения
(середины отрезков
а второй столбец – значения
.На наш взгляд, более предпочтительной является функция histogram, так как значения
более удобны для дальнейшего графического отображения вычисленных величин 
Пример 10.1.3. Построить гистограммы относительных частот по выборкам случайных величин
определенных в примере 10.1.1. Объём выборки N = 1000.На рис. 10.1.2 показано построение гистограммы для случайной величины
а на рис. 10.1.3 – для случайной величины
с использованием функции histogram при L = 11. Середины отрезков
«откладываются» по оси абсцисс, а для отображения гистограммы задаётся параметр solidbar (команда Формат контекстного меню, закладка Метки). Точками на рисунках показаны значения соответствующих плотностей распределений, вычисленных при
.
Рис. 10.1.2. Гистограмма выборки с нормальным распределением

Рис. 10.1.3. Гистограмма выборки с
распределениемПостроение эмпирических зависимостей
Эмпирические зависимости. В научных и инженерных исследованиях часто возникает задача математического описания некоторого исследуемого процесса или объекта. Для определенности предположим, что связь независимой переменной
и зависимой переменной
выражается в общем случае нелинейной функций
. Функция
является неизвестной, но значения переменных
могут быть измерены и результаты таких измерений представлены таблицей
, где
,
погрешности измерений, имеющие случайную природу.Задача построений эмпирической зависимости состоит в нахождении функции S(x), как можно точнее аппроксимирующей неизвестную f(x).
Решение этой задачи включает два этапа.
Этап 1. Выбор класса функций, из которого выбирается S(x). Например, S(x) выбирается из класса линейных функций вида S(x)=а0+а1х, где а0, а1 – параметры. Таким образом, на этом этапе эмпирическая зависимость выбирается с «точностью» до её параметров. Выбор класса функций осуществляется на основе анализа диаграммы рассеяния (в декартовой системе координат наносятся точки
) или на основе достоверной априорной информации. Например, из курса физики известно, что сопротивление металлического проводника линейно зависит от его температуры.Этап 2. Вычисление неизвестных параметров функции S(x) с использованием таблицы измерений. Параметры вычисляются из условия минимума некоторого функционала F(a). Наиболее часто в качестве такого функционала используется функционал метода наименьших квадратов, имеющий вид:
(10.2.1)где запись S(а, x) указывает на наличие у функции S(x) параметров {aj}, j=1, 2,…, M.
Функции MathCAD для построения эмпирических зависимостей. В пакет MathCAD включены функции для вычисления параметров различных функций S(x). Обращения к этим функциям приведены в табл. 10.2.1, где Х – вектор, составленный из значений {xi}, i=1, …, n, а Y – вектор, сформированный из значений

Таблица 10.2.1
| Функция | Назначение функции | ||
| slope(x, y) | Вычисляет параметр а1 линейной функции ![]() | ||
| intercept(x, y) | Вычисляет параметр а0 линейной функции ![]() | ||
| regress(x,y,m) | Вычисляет параметры полиномиальной функции ![]() для любого m (на практике ). Вычисленные параметры размещаются в результирующем векторе, начиная с четвертой проекции (см. пример 10.2.2) | ||
| line(x, y) | Вычисляет параметры а0, а1 линейной зависимости ![]() | ||
| linfit (x, y,Ф) | Вычисляет параметры линейной комбинации ![]() Базисные функции являются проекциями вектора-функции Ф(x), формируемого до обращения к функции linfit | ||
| genfit(x,y,ао,F) | Вычисляет параметры нелинейной функции S(x). До обращения формируется F(x,a) – вектор-функция размерности (m+1),составленный из самой функции S(x) и частных производных ао – вектор размерности m, составленный из «стартовых» значений параметров (см. пример 10.2.3) |
Таблица 10.2.2
|
Функция |
Назначение функции |
|
expfit(X,Y,ao) |
Вычисляет параметры а1, а2, а3 экспоненциальной зависимости . Вектор ао(размерности 3) определяет точку старта, т.е. задает «начальное» значение для а1, а2, а3 |
|
lgsfit(X,Y,ao) |
Вычисляет параметры а1, а2, а3 зависимости . Вектор ао (размерности 3) определяет «стартовые» значения для а1, а2, а3 |
|
lnfit(X,Y) |
Вычисляет параметры а1, а2 зависимости |
|
logfit(X,Y, ao) |
Вычисляет параметры а1, а2, а3 зависимости .Вектор ао (размерности 3) задаёт «стартовые» значения для а1, а2, а3 |
|
pwrfit(X,Y,ao) |
Вычисляет параметры степени зависимости . Вектор ао (размерности 3) задаёт «стартовые» значения для а1, а2, а3 |
|
sinfit(X,Y,ao) |
Вычисляет параметры синусоидальной зависимости . Вектор ао(размерности 3) задаёт «стартовые» значения для а1, а2, а3 |
Пример 10.2.4. По данным, приведенным на рис. 10.2.4, построить эмпирическую зависимость вида
.Построение этой эмпирической зависимости показано в документе MathCAD, приведенном на рис. 10.2.4. ¨

Рис. 10.2.4. Построение экспоненциальной зависимости
Приведенные в табл. 10.2.1 и 10.2.2 функции осуществляют построение эмпирических зависимостей, которые можно назвать «глобальными»,
так как при вычислении их параметров используется вся таблица исходных данных. В ряде экспериментов возникает необходимость построить эмпирическую зависимость по некоторому небольшому набору исходных данных, которые находятся в окрестности точки х, для которой будет вычисляться значение эмпирической формулы. Такие эмпирические формулы можно назвать «локальными».
Для построения «локальных» эмпирических зависимостей в MathCAD включена функция loess(X,Y,d), приближающая исходные данные полиномом второй степени. Формальные параметры X, Y – это массивы с исходными данными, а параметр
определяет размер области приближаемых данных (рекомендуемое начальное значение 0.75 – 0.85). Чем больше величина d, тем больше сглаживание исходных данных. При больших значениях d работа функции loess(X,Y,d) становится аналогичной функции regress(X,Y,2). Результатом работы функции loess(X,Y,d) является вектор v, используемый функцией interp(v,X,Y,z), которая вычисляет значение построенной эмпирической формулы в точке z. Пример 10.2.5. На рис. 10.2. 5 приведен документ MathCAD, реализующий вычислительный эксперимент по построению локальной эмпирической формулы с помощью функции loess(X,Y,d) при
и
. Из графиков видно, что формула при
достаточно хорошо приближает полином второго порядка. ¨
Рис. 10.2.5. Построение локальных эмпирических зависимостей
Сглаживание экспериментальных данных. В большинстве случаев результаты измерения содержат случайные погрешности, которые необходимо «отфильтровать». Это можно сделать путем построения эмпирических зависимостей. Однако в MathCAD определены специальные «сглаживающие» функции, имена которых содержат слово smooth (гладкий). Таких функций три:
). Результатом работы является массив, содержащий n сглаженных значений массива Y;
, которые являются элементами массива X. Сглаживание осуществляется построением линейной регрессии по k – ближайшим точкам
с адаптивным выбором «размера» kокна сглаживания. Элементы массива X должны быть упорядочены по возрастанию;
, которые являются элементами массива X. Сглаживание осуществляется на основе формулы
, где
.Видно, что сглаженное значение
есть сумма измерений
с экспоненциальными весами, величина которых зависит от параметра
– чем больше величина параметра, тем в большей степени сглаживаются «зашумленные» значения
.Пример 10.2.6. На рис. 10.2.6 приведен документ MathCAD, реализующий вычислительный эксперимент по сглаживанию «зашумленных» данных (относительный уровень шума равен 38%) с помощью функции ksmooth при двух значениях параметра
(
=0.3 – относительная ошибка сглаживания равна 0.161 и
=0.9 – относительная ошибка сглаживания равна 0.141).
Рис. 10.2.6. Сглаживание данных функций ksmooth
ЗАКЛЮЧЕНИЕ
В данном пособии авторы стремились изложить основы программирования в пакете MathCAD и продемонстрировать решение часто встречающихся задач в этом пакете. К сожалению, ограниченный объем учебного пособия не позволил уделить внимание ряду важных возможностей пакета. Это прежде всего относится к символьным вычислениям, к решению обыкновенных дифференциальных уравнений и дифференциальных уравнений в частных производных. Некоторым «оправданием» служит хорошее освещение этих тем в литературе [ 2, 3, 9,10 ].
Авторы желают читателям (особенно студентам и аспирантам), чтобы пакет MathCAD стал для них «дружелюбным и незаменимым» помощником в решении широкого круга научно-инженерных задач.
БИБЛИОГРАФИЧЕСКИЙ СПИСОК
1. Дьяконов В.П. Компьютерная математика. Теория и практика / В.П. Дьяконов. – М.: Изд-во Нолидж, 2001. – 296 с.
2. Дьяконов В.П. MathCAD2000: Учебный курс / В.П. Дьяконов. – СПб: Питер, 2000. – 596 с.
3. Дьяконов В.П. MathCAD 8 Professional в математике, физике и Internet / В.П. Дьяконов, И.В. Абраменконова. – М.: Нолидж, 1999. – 512 с.
4. Дьяконов В.П. Matlab: Учебный курс / В.П. Дьяконов. – СПб: Питер, 2001. – 560 с.
5. Потемкин В.Г. Система инженерных и научных расчетов Matlab 5.x.: В 2-х т. – М. ДИАЛОГ–МИФИ, 1999. – 672 с.
6. Дьяконов В.П. Mathematica 4: Учебный курс / В.П. Дьяконов. – СПб: Питер, 2000 – 482 с.
7. Дьяконов В.П. Математическая система Maple V R3/R4/R5 / В.П. Дьяконов. – М.: Солон, 1998. – 381 с.
8. Воскобойников Ю.Е. Программирование в математическом пакете MathCAD. Методические указания / Ю.Е. Воскобойников, Т.Н. Воскобойникова. – Новосибирск: Изд-во НГАСУ, 1999. – 32 с.
9. Кирьянов Д.В. Самоучитель MathCAD2001 / Д.В. Кирьянов. – СПб.: БХВ-Петербург, 2002. – 459 с.
10. Очков В.Ф. Советы пользователям Mathcad / В.Ф. Очков. – М.: Изд-во МЭИ, 2001. – 196 с.
11. Демидович В.П. Основы вычислительной математики / В.П. Демидович, И.А. Марон. – М.: Наука, 1970. – 486 с.
СОДЕРЖАНИЕ
ВВЕДЕНИЕ 5
РАЗДЕЛ 1. Экспорт и импорт данных в пакете MathCAD 7
Тема 1. Запись и чтение файловых данных 7
1.1. Файловый тип данных MathCAD................................. 7
1.2. Запись данных в файл.................................................. 9
1.3. Чтение данных из файла............................................ 13
Тема 2. Обмен информацией с другими прОграммами-приложениями 15
2.1. Обмен информацией с текстовым процессором Word 15
2.2. Обмен информацией с табличным процессором Excel 19
РАЗДЕЛ 2. ПРОГРАММИРОВАНИЕ В ПАКЕТЕ MathCAD 27
ТЕМА 3. БЕЗМОДУЛЬНОЕ ПРОГРАММИРОВАНИЕ В ПАКЕТЕ MathCAD 28
3.1. Программирование линейных алгоритмов............... 28
3.2. Программирование разветвляющихся алгоритмов.. 29
3.3. Программирование циклических алгоритмов.......... 35
ТЕМА 4. ПОДПРОГРАММА-ФУНКЦИЯ: ОПИСАНИЕ И ВЫЗОВ 39
4.1. Описание подпрограммы-функции и локальный оператор присваивания 39
4.2. Обращение к подпрограмме-функции Mathcad...... 42
ТЕМА 5. Программирование АЛГОРИТМОВ в ПОДпрограмме-функции MathCAD 44
5.1. Программирование линейных алгоритмов в подпрограмме-функции 44
5.2. Программирование разветвляющихся алгоритмов в подпрограмме-функции 45
5.3. Программирование циклических алгоритмов в подпрограмме-функции 51
ТЕМА 6. Программирование типовых задач в подпрограммах-функциях mathCAD 62
6.1. Программирование разветвляющихся алгоритмов.. 62
6.2. Программирование циклов типа арифметической прогрессии 66
6.3. Программирование итерационных циклов............... 74
ТЕМА 7. МОДУЛЬНОЕ ПРОГРАММИРОВАНИЕ В MathCAD 80
7.1. Преимущества модульного программирования....... 80
7.2. Модульное программирование в пределах одного документа MathCAD 81
7.3. Модульное программирование в нескольких документах MathCAD 84
7.4. Программы MathCAD в Internet................................. 85
РАЗДЕЛ 3. РЕШЕНИЕ НАУЧНО-ИНЖЕНЕРНЫХ ЗАДАЧ В ПАКЕТЕ MathCAD 94
ТЕМА 8. РЕШЕНИЕ НЕЛИНЕЙНЫХ УРАВНЕНИЙ И СИСТЕМ В ПАКЕТЕ MathCAD 94
8.1. Решение нелинейных уравнений............................... 94
8.2. Решение систем уравнений...................................... 105
ТЕМА 9. Решение оптимизационных задач в пакете MathCAD 112
9.1. Решение оптимизационных задач без ограничений 112
9.2. Решение оптимизационных задач с ограничениями 114
ТЕМА 10. ОБРАБОТКА ЭКСПЕРиМЕНТАЛЬНЫХ ДАННЫХ В ПАКЕТЕ MathCAD 118
10.1. Моделирование и обработка статистических данных 118
10.2. Построение эмпирических зависимостей............. 125
Заключение 135
БИБЛИОГРАФИЧЕСКИЙ СПИСОК 135
Обмен информацией с текстовым процессором Word
При оформлении дипломного проекта, диссертации, научной публикации возникает необходимость в объединении текстовой информации и результатов вычислений, графиков, полученных в документе MathCAD. Здесь возможны два способа объединения.Способ 1. Вставка фрагмента документа MathCAD в документ Word.
Способ 2. Вставка фрагмента документа Word в документ MathCAD.
На наш взгляд, первый способ является более предпочтительным из-за «первичной роли» текстового процессора Word для большинства пользователей и мощных функциональных возможностей этого процессора для создания хорошо оформленных научных публикаций. Поэтому начнем изложение с первого способа.
Возможны следующие случаи:
Случай 1. В документе MathCAD выполнены необходимые расчеты, и фрагмент документа необходимо вставить в документ Word.
Для этого нужно:
а) перейти в документ MathCAD, выделить в нем необходимый фрагмент и занести его в буфер обмена, щелкнув правой кнопкой на выделенном фрагменте и выполнив команду контекстного меню Copy (Копировать);
б) перейти в документ Word и щелкнуть левой кнопкой мыши в том месте, куда будет вставляться фрагмент из буфера обмена;
в) вставить из буфера обмена фрагмент MathCAD, выполнив команду Paste (Вставить)
контекстного меню.
К сожалению, вставляемый таким образом фрагмент плохо позиционируется, т.е. перемещается по документу Word. В последних версиях Word отсутствует команда Кадр пункта меню Вставка, которая позволяет легко позиционировать вставляемый фрагмент. «Заменить» эту команду можно следующим образом: перед шагом в) включить панель инструментов Рисование, выбрать инструмент Надпись и установить необходимый размер окна (изменяя мышью его границы), в которое будет вставлен фрагмент из буфера обмена, а затем выполнить шаг в).
Вставляемый таким образом фрагмент легко позиционируется, и его размеры можно изменить стандартным приемом – «перетаскивая» границы окна. Кроме того, это окно легко отформатировать – заливка цветом, удаление линии границы окна и т. д.
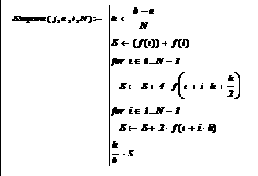
На рис. 2.1. 1 показан фрагмент документа Word, в который вставлен фрагмент MathCAD – описание программы-функции вычисления определенного интеграла. Для иллюстрации включен режим обтекания фрагмента MathCAD текстом Word.
![]() |
Приводимая программа-функция выполняет вычисление определенного интеграла по формуле Симпсона (формула парабол). Описание формальных параметров:f – имя интегрируемой функции;
a, b
– пределы интегрирования;
N – количество интервалов интегрирования
![]() |
Рис. 2.1.1. Вставка фрагмента документа MathCAD
Случай 2. Непосредственно в документе Word необходимо создать фрагмент документа MathCAD, в котором будут выполнены необходимые вычисления. Это проще всего осуществить установлением объектной связи текстового редактора с пакетом MathCAD, выполнив следующие шаги:
а) обратиться к пункту меню Вставка, команда Объект;
б) в появившемся диалоговом окне (рис. 2.1.2) выделить в списке Тип объекта строку MathCAD document и щелкнуть кнопкой ОК;

Рис. 2.1.2. Диалоговое окно Вставка объекта
в) в появившемся окне (часть документа выделена рамкой) набрать необходимые для вычислений конструкции и операторы (например, оператор вычисления определенного интеграла, приведенный на рис. 2.1.3);
г) для выхода из режима создания фрагмента MathCAD щелкнуть мышью вне окна MathCAD. После этого в документе Word отображаются только введенные конструкции MathCAD (см. рис. 2.1.4);
д) для редактирования и форматирования фрагмента MathCAD сделать на нем двойной щелчок левой кнопкой мыши и в появившемся окне пакета MathCAD выполнить необходимые операции.

Рис. 2.1.3. Вставка фрагмента MathCAD в документ Word

Рис. 2.1.4. Вставленный фрагмент MathCAD
В некоторых случаях неудобно «отображать» в документе Word фрагмент MathCAD в «полном объеме». Для того чтобы представить этот фрагмент значком, необходимо на шаге б) включить в диалоговом окне (см. рис. 2.1.2) флажок В виде значка. Тогда, после щелчка на кнопке ОК, на экране появится полнофункциональное программное окно MathCAD, а в документ Word вставится значок, показанный на рис. 2.1.5.

Рис. 2.1.5. Значок вставленного документа MathCAD
После набора необходимых конструкций и вычислений для возвращения в документ Word обратиться к пункту меню MathCAD Файл, команда Выход и возврат к… (последняя команда в выпадающем меню) или щелкнуть на кнопке завершения работы MathCAD.
Для редактирования и форматирования необходимо сделать двойной щелчок на значке документа MathCAD и в появившемся окне MathCAD выполнить необходимые операции, а затем вернуться в Word.
Весьма привлекательно выглядит документ Word со вставленными в него графиками, созданными программой MathCAD. Для вставки графиков из MathCAD необходимо выделить нужные графики, а затем выполнить шаги а) – в) случая 1.
Обратимся к способу 2, когда в документ MathCAD необходимо вставить фрагмент документа Word. Это можно осуществить:
Замечание 2.1.1. Точно так же могут импортироваться в MathCAD фрагменты других программ-приложений (графических редакторов, других математических и статистических пакетов). Необходимо лишь одно условие – возможность установления объектной связи с другой программой (т. е. это приложение должно поддерживать технологию OLE).
Обмен информацией с табличным процессором Excel
Прежде всего заметим, что обмен информацией между MathCAD и Excel может быть осуществлен либо через буфер обмена, либо через установление объектной связи (это было показано в п.2.1 на примере текстового процессора Word).Более «быстрый» обмен можно осуществить, используя расширение MathCAD (начиная с версии MathCAD2000), называемое Add–In for Excel, которое устанавливает полноценную объектную связь между MathCAD и Excel. Однако это расширение инсталлируется отдельно после инсталляции пакета MathCAD. Предположим, что это расширение инсталлировано, и рассмотрим несколько случаев, часто встречающихся при работе в пакете MathCAD.

Рис. 2.1.5. Вставка в документ MathCAD фрагмента
документа из редактора Word
Случай 1. В программе Excel создан набор табличных данных, которые необходимо обработать с использованием функций операторов MathCAD.
Для конкретности предположим, что в Excel была сформирована прямоугольная матрица, и нам необходимо вычислить ее сингулярные числа, используя функцию MathCAD svds (фрагмент таблицы приведен на рис. 2.2.1).

Рис. 2.2.1. Фрагмент таблицы, созданной в Excel
Для этого необходимо выполнить следующие шаги:
а) находясь в документе MathCAD, обратиться к пункту меню Вставка, команда Компонент;
б) в появившемся диалоговом окне (см. рис. 2.2.2) выбрать строку Excel и щелкнуть кнопкой След;
в) в появившемся новом диалоговом окне (см. рис. 2.2.3) включить:

Рис. 2.2.2. Выбор компоненты Excel

Рис. 2.2.3. Задание полного имени файла с электронной таблицей
г) в появившемся диалоговом окне (рис. 2.2.4) установить Inputs = 0, Outputs = 1, а в поле Range задать диапазон ячеек, занимаемых элементами матрицы (в нашем примере B3:D7), и щелкнуть кнопкой Готово;

Рис. 2.2.4. Задание фрагмента таблицы
д) в появившемся окне документа MathCAD выводится вставляемый массив, в левом верхнем углу находится шаблон ¦: =, в который вводится имя массива (в нашем примере имя массива А). После чего с определенным таким образом массивом можно выполнять нужные вычисления. На рис. 2.2.5 приведен фрагмент документа MathCAD вычисления сингулярных чисел вставленной матрицы А.
Заметим, что существует возможность из одной таблицы Excel сформировать два или более массивов. Возвращаясь к таблице, приведенной на рис. 2.2.1, сформируем две матрицы:
Для этого на шаге г) в диалоговом окне устанавливаем Outputs = 2, в поле Range заполняем две строки (первая строка B3:D7, вторая В3:С7) и щелкаем кнопкой Готово. Затем в появившемся окне (см. рис. 2.2.6) в первом поле шаблона вводим имя массива А, во втором поле – имя В и щелкаем кнопкой Готово. На рис 2.2.7 показан фрагмент документа MathCAD, в котором введены сформированные матрицы А, В.

Рис. 2.2.5. Вычисления в документе MathCAD

Рис. 2.2.6. Шаблоны для формирования массивов
Очевидно, что «выделение» матрицы В из матрицы А
можно осуществить и средствами MathCAD (функция submatrix), но в общем случае формирование нескольких массивов MathCAD из различных ячеек таблицы Excel является очень эффективным средством связи MathCAD и Excel.
Остановимся еще на одном важном моменте. Сделав двойной щелчок на ячейках вставленной таблицы, мы вновь входим в электронную таблицу и можем сделать необходимое редактирование и вычисления. Для возврата в документ MathCAD достаточно щелкнуть мышью вне рамки электронной таблицы.

Рис. 2.2.7. Результаты вычислений в документе MathCAD
Случай 2. В MathCAD получены числовые данные, которые необходимо «передать» в таблицы процессора Excel (например, для построения «красивой» круговой диаграммы).
Для конкретности предположим, что в MathCAD сформированы два вектора:
и
. Первый вектор нужно расположить в диапазоне ячеек В2:В5, а второй – в С3:D6.Выполним следующие шаги:
а) шаг а) из случая 1;
б) включаем кнопку Create an empty Excel и щелкаем кнопкой Далее (см. рис. 2.2.3);
в) в появившемся окне устанавливаем Outputs
= 0, Inputs = 2 и в поле Starting Cell заполняем две строки: в первой строке вводим адрес В2, во второй – С3 (см. рис. 2.2.8) и щелкаем кнопкой Готово;
г) в окне документа MathCAD выводится фрагмент пустой электронной таблицы, в левом нижнем углу находится два пустых шаблона (см. рис. 2.2.9), в которые вводим имена векторов x, y и щелкаем мышью вне рамки электронной таблицы;
д) в документе MathCAD появляется фрагмент электронной таблицы. Сделав на ней двойной щелчок, переходим в табличный процессор Excel для выполнения необходимых операций (форматирование, построение диаграмм и т.д.) На рис. 2.2.10 показан фрагмент таблицы с построенной диаграммой, и этот фрагмент расположен в документе MathCAD.

Рис. 2.2.8. Задание фрагмента таблицы

Рис. 2.2.9. Шаблоны имен массивов

Рис. 2.2.10. Диаграмма, построенная в Excel по данным
из документа MathCAD
В заключение параграфа заметим, что рассмотренные способы «связи» MathCAD с табличным процессором Excel существенно увеличивают возможности MathCAD при обработке табличных данных и их графической интерпретации.
Программирование линейных алгоритмов
Характерной особенностью линейных алгоритмов является строго последовательное выполнение всех операций алгоритма без пропусков и повторений вычислений. Поэтому конструкции, реализующие такой алгоритм, записываются в документе MathCAD в нужном порядке их выполнения, т.е. «слева направо – сверху вниз».Пример 3.1.1. Составить программу для вычисления корней квадратного уравнения: ax2 + bx + c = 0 по известной формуле:
. (3.1.1)Алгоритм (3.1.1) является линейным (убедитесь в этом), и фрагмент документа MathCAD содержит конструкции, приведенные на рис. 3.1.1.

Рис. 3.1.1. Пример программирования линейного алгоритма
В этом фрагменте x1, x2 являются простыми переменными, цифры 1, 2
являются нижними индексами в именах (а не индексными выражениями у элементов массива) и поэтому вводятся после нажатия клавиши [.] – «десятичная точка». ¨
Задание 3.1.1. Подобрать коэффициенты a, b, c, получить две пары вещественных корней уравнения и две пары комплексных корней. Выполнить их проверку. ?
Очевидно, что в реализации линейного алгоритма могут использоваться обращения к встроенным функциям MathCAD и функциями пользователя.
Программирование разветвляющихся алгоритмов
Характерной чертой разветвляющихся алгоритмов является наличие в них нескольких возможных ветвей вычислений. Выбор конкретной ветви зависит от выполнения (или не выполнения) заданных условий на значения переменных алгоритма.Пример 3.2.1. Значение переменной y зависит от значений переменной x
и определяется выражением:
(3.2.1)Выбор одной из двух ветвей вычислений определяется текущим x. На рис. 3.2.1 представлена блок-схема этого алгоритма, хорошо подтверждающая название алгоритма – «разветвляющийся».¨
![]() |
Рис. 3.2.1. Блок-схема разветвляющегося алгоритма (3.2.1)
Возникает вопрос: какие конструкции необходимы для реализации разветвляющегося алгоритма? Анализ алгоритма (3.2.1) и «программистская интуиция» подсказывают необходимость использования:
Для проверки заданных условий в MathCAD используется: выражение отношений, логические операции и логические выражения.
Выражением отношений (или просто отношением) называется конструкция вида:
<выр.1> <операция отношения> <выр.2>,
где <выр.1>, <выр.2> – произвольные арифметические выражения, <операция отношения> – любая из следующих операций:
(здесь вертикальные чёрточки являются разделительным символом при перечислении).Смысл этих операций понятен и не нуждается в пояснении. Для ввода знаков операций отношений можно использовать палитру Логический (приведённую на рис. 3.2.2) или использовать клавиши, обозначения которых приведены в табл. 3.2.1.

Рис. 3.2.2. Палитра инструментов Логический
Внимание!
Не следует путать знак операции сравнения = с похожим знаком вывода значений переменных. Знак операции = имеет больший размер и более жирное начертание.
Таблица 3.2.1
|
Знаки операции |
Клавиши |
|
< |
[<] |
![]() |
[Ctrl] + [9] |
|
> |
[>] |
![]() |
[Ctrl] + [0] |
|
= |
[Ctrl] + [=] |
![]() |
[Ctrl] + [3] |
Выражение отношений принимает одно из двух значений: 1 – если заданное отношение выполняется, 0 – в противном случае. Значение 1 можно интерпретировать как значение истина, а 0 – как ложь.
Задание 3.2.1. Пусть значение целой переменной x =3. Определить значение следующих выражений отношений:
. ?Для проверки более сложных условий используются четыре логические операции, обозначения которых приведены в табл. 3.2.2.
Программирование циклических алгоритмов
Циклическим алгоритмом (или просто циклом) называется алгоритм, содержащий вычисления, повторяющиеся при различных значениях некоторой переменной, названной параметром цикла, а сами повторяющиеся вычисления составляют тело цикла.Типы циклов. По способам организации цикла можно выделить:
а) цикл типа арифметической прогрессии;
б) итерационный цикл.
Особенностью цикла типа арифметической прогрессии является изменение параметра цикла по закону арифметической прогрессии, и поэтому можно, не выполняя цикла, определить количество повторений цикла.
Пример 3.3.1. Сформировать вектор z из n элементов, определяемых соотношением:
, i = 1, …, n; n = 10.В этом примере i – параметр цикла, а тело цикла (вычисление элементов
) будет повторено n= 10 раз, т.е. алгоритм является циклом типа арифметической прогрессии. ¨
В итерационном цикле невозможно «априори», т.е. не выполняя вычислений, определить число повторений тела цикла из-за разнообразных условий завершения цикла.
Пример 3.3.2. Вычислить приближенное значение
, используя итерационную процедуру:
(3.3.1)В качестве приближенного значения
принимается
, удовлетворяющее условию:
, (3.3.2)где
– заданная точность вычисления корня квадратного. Даже задав конкретные значения
(например, а = 9,
), невозможно априори определить количество повторений цикла. ¦Программирование цикла типа арифметической прогрессии. Параметр такого цикла задается дискретной переменной (называемой также ранжированной переменной), и тогда конструкции, входящие в тело цикла, располагаются начиная от этого описания и до конца документа MathCAD или до конструкции, переопределяющей дискретную переменную – параметр цикла.
Фрагмент документа, в котором реализован алгоритм решения задачи примера 3.3.1 приведен на рис. 3.3.1.

Рис. 3.3.1. Формирование вектора z
примера 3.3.1
На рис. 3.3.2 приведен фрагмент документа, формирующий матрицу (двумерный массив) по следующему правилу:
. (3.3.3)Очевидно, что этот цикл имеет уже два параметра: i
– параметр, определяющий номер строки; j – параметр, определяющий номер столбца матрицы. Напомним, что такой цикл называется двойным циклом.

Описание подпрограммы-функции и локальный оператор присваивания
Перед тем как использовать подпрограмму-функцию (П-Ф), нужно ее задать, т.е. выполнить описания. Описание П-Ф размещается в рабочем документе перед ее вызовом и включает в себя имя подпрограммы-функции, список формальных параметров (который может отсутствовать) и тело подпрограммы-функции. Для ввода конструкций в тело П-Ф используется палитра инструментов ПРОГРАММИРОВАНИЕ, приведенная на рис. 4.1.1.
Рис. 4.1.1. Палитра ПРОГРАММИРОВАНИЕ
Каждая П-Ф Mathcad имеет оригинальное имя, посредством которого осуществляется обращение к ней. Через это же имя (и только через это имя) «возвращается» результат выполнения П-Ф.
После имени П-Ф идет список формальных параметров, заключенный в круглые скобки. Через формальные параметры «внутрь» П-Ф «передаются» данные, необходимые для выполнения вычислений внутри программы, т.е. все формальные параметры являются входными. В качестве формальных параметров могут использоваться имена простых переменных, массивов и функций. Формальные параметры отделяются друг от друга запятой.
Замечание 4.1.1. П-Ф может не иметь формальных параметров, и тогда данные передаются через имена переменных, определенных выше описания П-Ф.
Тело подпрограммы-функции
включает любое число операторов: локальных операторов присваивания, условных операторов и операторов цикла, а также вызов других П-Ф и функций пользователя.
Порядок описания подпрограммы-функции Mathcad. Для ввода в рабочий документ описания П-Ф необходимо выполнить следующие действия:
· ввести имя П-Ф и список формальных параметров, заключенный в круглые скобки (см. замечание 4.1.1);
· ввести символ “:” – на экране отображается как “: =”;
· открыть палитру Программирования и щелкнуть кнопкой Add line (см. рис. 4.1.1). На экране появится вертикальная черта и вертикальный столбец с двумя полями для ввода операторов, образующих тело П-Ф (см. рис. 4.1.2);
![]() |
Рис. 4.1.2. Структура подпрограммы-функции
· перейти в поле 1 ( щелкнув на нем мышью или нажав клавишу [Tab]) и ввести первый оператор тела П-Ф. Так как самое нижнее поле всегда предназначено для возвращаемого П-Ф значения, то поля ввода для дополнительных операторов открываются с помощью щелчка на кнопке Add line палитры программирование (см. рис. 4.1.3). При этом поле ввода добавляется внизу выделенного к этому моменту оператора. Для удаления того или иного оператора или поля ввода из тела П-Ф нужно заключить его в выделяющую рамку и нажать клавишу [Delete];
![]() |
Рис. 4.1.3. Добавление операторов в тело подпрограммы-функции
· заполнить самое нижнее поле ввода (поле 2), введя туда выражение, определяющее возвращаемое через имя П-Ф (см. рис. 4.1.4).

Рис. 4.1.4. Окончательная структура подпрограммы-функции
В приведенном примере формальным параметром является простая переменная x, тело П-Ф включает два локальных оператора присваивания (см. следующий пункт) и значение переменной z, которая определяет возвращаемый через имя функции результат выполнения П-Ф.
Замечание 4.1.2. Если результатом работы П-Ф являются несколько величин, то из них в теле П-Ф необходимо сформировать массив и его имя поместить в последней строке тела П-Ф.
Локальный оператор присваивания. Для задания внутри программы значения какой-либо переменной используется так называемый локальный оператор присваивания, имеющий вид:
< имя переменной >
< выражение > .Внимание! Использование «обычного» оператора присваивания в теле П-Ф (на экране отображается : =) приводит к синтаксической ошибке.
Обращение к подпрограмме-функции Mathcad
Для выполнения П-Ф необходимо обратиться к ее имени с указанием списка фактических параметров (если в описании программы присутствует список формальных параметров), т.е.:< имя П-Ф > (< список фактических параметров >) .
Фактические параметры указывают, при каких конкретных значениях осуществляются вычисления в теле программы. Фактические параметры отделяются друг от друга запятой.
Очевидно, что между фактическими и формальными параметрами должно быть соответствие по количеству, порядку следования и типу. Последнее соответствие означает:
· если формальным параметром является простая переменная, то в качестве фактического может использоваться константа, переменная, арифметическое выражение;
· если формальным параметром является вектор или матрица, то фактическим должен быть вектор или матрица;
· если формальным параметром является имя встроенной функции или другой программы, то и фактическим параметром должен являться тот же объект.
Замечание 4.2.1. Обращение к П-Ф должно находиться после ее описания, и к моменту обращения фактические параметры должны быть определены.
Пример 4.2.1. Обращение к программе f(x), приведенной на рис. 4.1.4, может иметь следующий вид:
Заметим, что переменная z никак не связана с «локальной» переменной z, используемой внутри тела П-Ф.¨
Замечание 4.2.2. Передать данные внутрь П-Ф можно используя внутри подпрограммы переменные, определенные до описания П-Ф (см. пример на рис. 4.2.1).
Вызов подпрограммы-функции

Рис. 4.2.1. Подпрограмма-функция без формальных параметров
Хотя значение переменной х изменилось внутри П-Ф, вне описания П-Ф эта переменная сохранила свое прежнее значение.
Замечание 4.2.3. Имена фактических параметров при вызове П-Ф могут либо совпадать, либо не совпадать с именами ее формальных параметров.
Программирование линейных алгоритмов в подпрограмме-функции
Напомним, что под линейным алгоритмом понимается вычислительный процесс, в котором необходимые операции выполняются строго последовательно (см. п. 3.1). Операторы, реализующие этот алгоритм, в теле П-Ф также размещаются последовательно и выполняются все, начиная с первого и заканчивая последним.Пример 5.1.1. Оформим в виде П-Ф вычисление корней квадратного уравнения ax2
+ bx +c = 0 по формуле
.Описание П-Ф root_poly2 и обращение к ней приведено на рис. 5.5.1. П-Ф имеет три входных формальных параметра – коэффициенты квадратного уравнения. Выходом является вектор с двумя компонентами. Заметим, что величины x1, x2 являются простыми переменными, а не элементами одномерного массива. Поэтому нижние индексы в их именах вводятся после нажатия клавиши [.] – «десятичная точка». Подпрограмма-функция реализует линейный алгоритм –
все операторы выполняются всегда строго последовательно. ¨

Рис. 5.1.1. Пример программирования линейного алгоритма
Программирование разветвляющихся алгоритмов в подпрограмме-функции
Напомним, что в разветвляющихся алгоритмах присутствует несколько ветвей вычислительного процесса. Выбор конкретной ветви зависит от выполнения (или не выполнения) заданных условий на значения переменных алгоритма.Для программирования разветвляющихся алгоритмов в подпрограмме-функции Mathcad можно использовать условную функцию и условный оператор if. Используя эти конструкции, можно «изменить» последовательное выполнение операторов. Условная функция if была рассмотрена в п. 3.2, поэтому перейдем к изучению условного оператора if.
Условный оператор. Этот оператор используется только в теле П-Ф и для его ввода необходимо щелкнуть на кнопке if палитры программирование. На экране появляется конструкция с двумя полями ввода, изображенная на рис. 5.2.1.
![]() |
Рис. 5.2.1. Структура условного оператора if
В поле 2 вводится логическое выражение УСЛ (в простейшем случае это выражение отношений). В поле 1 вводится конструкция ВЫР1 (как правило, арифметическое выражение), которая выполняется, если проверяемое логическое выражение принимает значение 1. Если УСЛ = 0, то ВЫР1 не выполняется. Это соответствует условной структуре, называемой ЕСЛИ – ТО.
Для получения условной структуры ЕСЛИ – ТО – ИНАЧЕ используется оператор otherwise, вводимый с палитры ПРОГРАММИРОВАНИЕ, в поле которого размещается конструкция ВЫР2, которая выполняется, если проверяемое логическое выражение принимает значение 0 (см. рис. 5.2.2). Оператор otherwise непосредственно следует после условного оператора if.
![]() |

Рис. 5.2.2. Реализация структуры ЕСЛИ – ТО – ИНАЧЕ
Для ввода ВЫР2 в поле оператора otherwise необходимо:
· выделить поле, стоящее после оператора if;
· щелкнуть на кнопке otherwise палитры программированиЕ;
· в появившееся поле оператора otherwise ввести необходимую конструкцию ВЫР2.
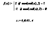
Пример 5.2.1. Составим описание П-Ф, вычисляющей функцию y(x), заданную в примере 3.2.1. Описание и вызов П-Ф приведены на рис. 5.2.3. ¨

Рис. 5.2.3. Реализация разветвляющегося алгоритма примера 3.2.1
Таким образом, конструкция, стоящая перед словом otherwise выполняется только в том случае, если не выполнено заданное перед этим условие. В программе можно использовать несколько следующих друг за другом условных операторов с одним оператором otherwise.
Пример 5.2.2. Составим описание П-Ф для вычисления переменной z(t) по формуле
z(t) =

Описание П-Ф и ее вызов приведены на рис. 5.2.4.

Рис. 5.2.4. Реализация разветвляющегося алгоритма примера 5.2.2
Из описания видно, что функция z(t) получит значение ln(t) только тогда, когда не выполняются условия, записанные в двух вышестоящих строках тела П-Ф.
Внимание! Если в строке 3 ввести просто ln(t), то это выражение будет вычисляться всегда вне зависимости от выполнения заданных выше условных операторов.
Задание 5.2.1. Составьте описания П-Ф, реализующих следующие разветвляющиеся алгоритмы:
А. y =
Б. 

где
. Рассмотрим использование условного оператора if при программировании более сложных разветвляющихся алгоритмов. Выделим следующие варианты.
Вариант 1. При выполнении заданного условия УСЛ необходимо выполнить несколько конструкций MathCAD.
В этом случае необходимо выделить поле 1 условного оператора (см. рис. 5.2.2), щелкнуть на кнопке Add line палитры ПРОГРАММИРОВАНИЕ нужное число раз и заполнить появившиеся поля (рис. 5.2.5).
![]() |
Рис. 5.2.5. Вариант 1 реализации условного оператора
Вариант 2. При невыполнении заданного условия УСЛ необходимо выполнить несколько конструкций MathCAD.
В этом случае необходимо выделить поле оператора otherwise, щелкнуть на кнопке Add line палитры ПРОГРАММИРОВАНИЕ нужное число раз и заполнить появившиеся поля (рис. 5.2.6).
Рис. 5.2.6. Вариант 2 реализации условного оператора
Пример 5.2.3. Составьте описание П-Ф, вычисляющей значения двух полиномов x(t), y(t) нулевой или первой степени. Порядок полиномов задается переменной n. Если n < 0
или n > 1, то значения полиномов равны 0. Описание П-Ф приведено на рис. 5.2.7. Обратите внимание, что коэффициенты полиномов передаются через массивы a, b, а в полях условных операторов находятся не арифметические выражения, а локальные операторы присваивания. ¨

Рис. 5.2.7. Реализация алгоритма примера 5.2.3
Пример 5.2.4. Даны два числа x, y. Составить описание П-Ф, которая переменной x присваивает максимальное значение из этих двух чисел, а y – минимальное. Описание приведено на рис. 5.2.8. Выходным параметром является массив v, нулевой элемент которого содержит новое значение x, а первый элемент – новое значение y. Вызов этой П-Ф показан на рис. 5.2.9. ¨

Рис. 5.2.8. Реализация алгоритма примера 5.2.4

Рис. 5.2.9. Вызов подпрограммы-функции arrangement
Задание 5.2.2. Даны три числа a, b, c. Составить П-Ф, реализующую следующий алгоритм. Если
, то все числа заменить их квадратами, если
, то каждое число заменить максимальным значением из этих трех чисел, в противном случае — сменить знаки у чисел.Задание 5.2.3. Координаты точки на плоскости задаются двумя числами x, y. Составить П-Ф, вычисляющую номер четверти на плоскости, в которую попала точка.
Задание 5.2.4. Длина сторон треугольника задается числами a, b, c. Составить П-Ф, вычисляющую значение целой переменной n по следующему правилу: n = 3, если три стороны равны; n = 2, если любые две стороны равны; n = 1, если все три стороны имеют разную длину.
Программирование циклических алгоритмов вподпрограмме-функции
Напомним, что циклические алгоритмы (циклы) содержат повторяющиеся вычисления, зависящие от некоторой переменной. Такая переменная называется параметром цикла, а сами повторяющиеся вычисления составляют тело цикла. Циклы можно условно разделить на две группы:· циклы типа арифметической прогрессии;
· итерационные циклы.
Особенности этих циклов были рассмотрены в п. 3.3.
Программирование цикла типа арифметической прогрессии. Для программирования таких циклов используется оператор цикла for (часто называемый оператором цикла с параметром). Для ввода такого оператора необходимо выполнить следующие действия:
![]() |

Рис. 5.3.1. Поля оператора цикла for
· в поле ввода 1 ввести имя переменной, являющейся параметром цикла;
· в поле 2 — закон изменения параметра цикла, используя для этого описание дискретной переменной или описание массива;
· в поле 3 — операторы, составляющие тело цикла. Если одной строки недостаточно, то дополнительные поля ввода (дополнительные строки) создаются щелчком на кнопке Add line палитры программированиЕ, и тогда слева от тела цикла появляется вертикальная черта, охватывающая тело цикла.
Пример 5.3.1. Составить описание П-Ф, реализующей алгоритм примера 3.3.1.
Описание П-Ф и ее вызов приведены на рис. 5.3.2. Заметим, что значение системной переменной ORIGIN (начальное значение индексного выражения) задается равным 1. ¨

Рис. 5.3.2. Подпрограмма-функция формирования вектора
Пример 5.3.2.
Для x меняющегося от -2 до 2 с шагом 0.5 вычислить значение f(x) = e-x. Cos (2x) и сформировать из этих значений вектор y, т.е. y1 = f(-2), y2 = f(-1.5) и т.д.
В этом примере количество повторений тела цикла определяется по формуле
![]() |
где xk, x0
– конечное и начальное значения параметра цикла, d – шаг его изменения. Подставив значения, получаем (2–(–2))/0.5+1=9. Следовательно, сформированный вектор y будет содержать 9 элементов. Необходимо отметить, что алгоритм формирования содержит два параметра цикла: первый параметр – переменная x, определяющая текущее значение аргумента функции f(x); второй – это переменная i, определяющая текущее значение индекса у элемента формируемого вектора. Но между этими двумя параметрами имеется однозначное соответствие, поэтому цикл нужно организовывать только по одному параметру, например, по переменной x, а значение второго параметра будет вычисляться в теле цикла.
Описание П-Ф и ее вызов приведены на рис. 5.3.3. Видно, что в теле цикла выполняется два оператора. Первый оператор формирует элемент массива y, а второй изменяет на 1 значение индекса. ¨

Рис. 5.3.3. Формирование вектора примера 5.3.2
Пример 5.3.3. Составить описание П-Ф, где значения параметра цикла задаются вектором.
На рис. 5.3.4 приведено описание такой П-Ф.


Рис. 5.3.4. Описание П-Ф примера 5.3.3
Задание 5.3.1. Составьте описание П-Ф формирования вектора y примера 5.3.2, приняв в качестве параметра цикла переменную i.
Программирование итерационных циклов. Для программирования таких циклов используется оператор цикла while. Для ввода этого оператора необходимо выполнить следующие действия:
· щелкнуть на кнопке while палитры ПрограммированиЕ. На экране появляются элементы, показанные на рис. 5.3.5;

Рис. 5.3.5. Структура оператора цикла while
· в поле 1 ввести условие выполнения цикла;
· в поле 2 ввести операторы тела цикла. В теле цикла должны присутствовать операторы, которые могут изменить значение условия цикла, иначе цикл будет продолжаться бесконечно.
Оператор цикла while выполняется следующим образом: обнаружив оператор while, Mathcad проверяет указанное в операторе условие. Если оно равно 1 (т.е. выполняется), то выполняется тело цикла, и снова проверяется условие. Если условие принимает значение 0, то цикл заканчивается.
Пример 5.3.4. Составим П-Ф, реализующую итерационную процедуру приближенного вычисления корня квадратного, описанную в примере 3.3.2. Описание П-Ф приведено на рис. 5.3.6.
Как видно из текста, П-Ф нет необходимости хранить в памяти все приближенные решения x0, x1, x2,... (как это делалось при использовании функции until — см. рис. 3.3.3). Достаточно хранить предыдущее («старое») значение (обозначим его как xc) и последующее («новое») значение xn.
К сожалению, организация итерационного цикла с помощью оператора while без дополнительных средств контроля может привести к зацикливанию, т.е. повторению тела цикла «бесконечное» число раз. Например, задав при обращении к П-Ф
< 0, получаем зацикливание.Вызов подпрограммы-функции
![]() |

Рис. 5.3.6. Реализация итерационного цикла примера 5.3.4
Поэтому в Mathcad имеется специальный оператор break, который позволяет выйти из цикла или приостановить исполнение программы при выполнении заданного в операторе break условия. Для ввода оператора break необходимо щелкнуть на кнопке break панели ПрограммированиЕ (нельзя вводить этот оператор с клавиатуры по символам). Оператор break используется в левом поле ввода условного оператор if, а в правом размещается условие, при выполнении которого происходит прекращение работы цикла или программы. Поэтому первоначально вводится оператор if, а затем заполняются поля этого оператора. Следующий пример показывает написание подпрограммы без «зацикливания» с использованием оператора break.
Пример 5.3.5. Составим П-Ф, реализующую итерационную про цедуру вычисления корня квадратного без «зацикливания». Описание П-Ф приведено на рис. 5.3.7.
В этой подпрограмме число повторений тела ограничено 10000. Если за это число итераций приближенное значение корня с заданной точностью не найдено, то параметр ierr – индикатор ошибки получает значение 1, что говорит об ошибке в вычислительном процессе. Для передачи двух вычисленных значений xn, ierr используется вектор. Если ierr = 1, то переменной xn присваивается значение строковой константы “not solve” для привлечения внимания пользователя к ошибочному завершению работы П-Ф. Заметим, что после обращения к П-Ф необходимо обязательно проверить значение индикатора ошибки ierr и, в зависимости от его значения, либо продолжить работу с вычисленным значением корня квадратного, либо прекратить дальнейшие вычисления и определить причину появления ошибки. ¨
Вызов подпрограммы-функции
![]() |

Рис. 5.3.7. Реализация итерационного цикла без «зацикливания»
Пример 5.3.6. Составить П-Ф, осуществляющую суммирование ряда с бесконечным числом слагаемых. Накопление суммы прекращается, как только очередное слагаемое по абсолютной величине становится меньше заданной погрешности
. Описание П-Ф и ее вызов показаны на рис. 5.3.8. Заметим, что вторым формальным параметром является имя функции пользователя, определяющей зависимость величины члена ряда от его номера. При вызове этот формальный параметр заменяется фактическим – именем функции пользователя, описанной до обращения к П-Ф. ¨

![]() |
|
Описание слагаемых суммируемых рядов |

Программирование разветвляющихся алгоритмов
Будет рассмотрено несколько примеров программирования разветвляющихся алгоритмов, в некоторых из которых используются встроенные функции MathCAD.Пример 6.1.1. Составить описание П-Ф, формирующей новый вектор из первых n элементов исходного вектора. Описание П-Ф и ее вызов приведены на рис. 6.1.1. В этой П-Ф использованы две функции:
Значение системной переменной ORIGIN = 0. ¨

Программирование циклов типа арифметическойпрогрессии
В этом параграфе будут рассмотрены четыре типа циклических алгоритмов, входящих в более сложные алгоритмы. Во всех ниже приведенных фрагментах MathCAD системная переменная ORIGIN=1.Тип 1 (формирование элементов массива,
удовлетворяющих заданным условиям)
Пример 6.2.1. Составить П-Ф, формирующую матрицу a по следующему правилу:

Описание П-Ф приведено на рис. 6.2.1. ¨

Рис. 6.2.1. Реализация алгоритма примера 6.2.1
Задание 6.2.1. Даны два вектор x и
y, состоящие из n элементов. Составить П-Ф, формирующую матрицу B
размерности
по следующему правилу:
Задание 6.2.2. Даны два вектора x и
y, состоящие из n элементов. Составить П-Ф, формирующую вектор q размерности n, i-й элемент которого равен 1, если точка с координатами
принадлежит кругу радиуса r с центром в начале координат. ?Задание 6.2.3. Дана матрица A размерности
. Составить П-Ф, заменяющую все элементы матрицы, с четной суммой индексов на 1, а другие элементы – на 0. ?Задание 6.2.4. Даны два вектора x, y, состоящие из n элементов. Преобразовать эти векторы по правилу: большее из чисел xi и yi принять в качестве нового значения xi, а меньшее – в качестве нового значения yi. ?
Тип 2 (подсчет числа элементов массива или
последовательности, удовлетворяющих заданным условиям)
Пример
6.2.2. Дан массив y, состоящий из n элементов. Составить П-Ф, определяющую:
;Описание П-Ф приведено на рис. 6.2.2. ¨
Пример 6.2.3. Дана квадратная матрица С размерности
. Составить П-Ф, вычисляющую число элементов, находящихся ниже главной диагонали и удовлетворяющих условию
. Заметим, что для элементов, лежащих ниже главной диагонали справедливо неравенство
. Поэтому возможны два варианта выбора элементов, лежащих ниже главной диагонали: а) проверять все элементы матрицы на выполнение этого условия; б) организовать двойной цикл так, чтобы в нем было обращение только к элементам, удовлетворяющим этому условию. В П-Ф, приведенной на рис. 6.2.3 реализован второй вариант. ¨
Рис. 6.2.2. Реализация алгоритма примера 6.2.2

Рис. 6.2.3. Реализация алгоритма примера 6.2.3
Пример 6.2.4. Дана последовательность
где i=1,2,...,n; n=10.Составить П-Ф, подсчитывающую число отрицательных членов последовательности и число членов, принадлежащих отрезку [0.5, 1].
При составлении описания учтем два момента: а) для универсальности П-Ф элементы последовательности задаются функцией пользователя, имя которой будет параметром П-Ф; б) для подсчета числа элементов необязательно внутри П-Ф формировать массив из элементов последовательности – достаточно работать со значением текущего элемента последовательности. Описание П-Ф и ее вызов приведены на рис. 6.2.4. ¨

![]() |

Рис. 6.2.4. Реализация алгоритма примера 6.2.4
Пример 6.2.5. Дана матрица D размерности
. Составить П-Ф, формирующую вектор, i-й элемент которого равен количеству положительных элементов в i-й строке матрицы D. Описание П-Ф приведено на рис. 6.2.5. Здесь (в отличие от предыдущего примера) искомая характеристика (количество положительных элементов) вычисляется для каждой строки матрицы. Поэтому нулевое начальное значение задается в теле внешнего цикла до начала внутреннего цикла. ¨
![]() |

Рис. 6.2.5. Реализация алгоритма примера 6.2.5
Задание 6.2.4. Даны две матрицы A, B размерности
. Составить П-Ф, подсчитывающую число случаев
?Задание 6.2.5. Дана матрица D размерности
. Составить П-Ф, которая вместо последнего элемента i-й строки записывает количество элементов i-й строки матрицы D, удовлетворяющих условию
, где
– задаваемая величина. ?Тип 3 (подсчет суммы или произведения
элементов массива, удовлетворяющих заданным условиям)
Пример 6.2.6. Дан массив y, состоящий из n элементов. Составить П-Ф, определяющую:
. Описание П-Ф приведено на рис. 6.2.6. Обратите внимание, что начальные значения для переменных sum, pr
задаются до начала цикла, в котором происходит «накопление» значений этих переменных. ¨

Рис. 6.2.6. Реализация алгоритма примера 6.2.6
Пример 6.2.7. Дана матрица A размерности
. Составить П-Ф, которая вместо первого элемента i-й строки записывает сумму всех элементов этой строки матрицы. Описание П-Ф приведено на рис. 6.2.7.Задание 6.2.6. Дан вектор x, состоящий из n элементов. Составить П-Ф, вычисляющую наибольшую из двух сумм элементов с четными и нечетными индексами. ?
Задание 6.2.7. Дан вектор x, состоящий из n
элементов. Составить П-Ф, вычисляющую среднее арифметическое элементов вектора, а затем преобразующую исходный вектор по правилу: те элементы, которые меньше среднего арифметического, заменить нулями. ?

![]() |

Рис. 6.2.7. Реализация алгоритма примера 6.2.7
Задание 6.2.8. Дана матрица A размерности
. Составить П-Ф, формирующую вектор, i-й элемент равен среднему арифметическому i-й строки матрицы. ?Задание 6.2.9. Дана матрица A размерности
. Составить П-Ф, вычисляющую сумму и количество только тех элементов матрицы, которые удовлетворяют условию
, где
— задаваемая величина. ?Задание 6.2.10. Имеется экзаменационная ведомость студенческой группы из n = 20 человек по m = 5 дисциплинам. Оценки из этой ведомости занесены в матрицу размерности
. Составить П-Ф, вычисляющую число студентов, получивших только четверки и пятерки. ?Задание 6.2.11. Имеется экзаменационная ведомость студенческой группы из n = 20 человек по m = 5 дисциплинам. Оценки из этой ведомости занесены в матрицу размерности
. Составить П-Ф, вычисляющую средний балл по каждой дисциплине. ? Тип 4 (вычисление максимального или минимального
элемента массива и его индекса)
Пример 6.2.8. Дан массив y, состоящий из n элементов. Составить П-Ф, меняющую максимальный и минимальный элемент местами. Описание П-Ф приведено на рис. 6.2.8. ¨


Рис. 6.2.8. Реализация алгоритма примера 6.2.8
Пример 6.2.9. Дана функция f(x) и вектор x, состоящий из n элементов. Составить описание П-Ф, определяющей: а) максимальное значение этой функции на элементах этого вектора; б) номер индекса и значение элемента массива, на котором функция достигает максимального значения.
Описание П-Ф и обращение к ней приведены на рис. 6.2.9. Заметим, что в качестве третьего параметра П-Ф используется имя функции пользователя. Формальным параметром является функция f(x), а фактическим — функция
, описание которой должно находиться до обращения к П-Ф. ¨Пример 6.2.10. Дана матрица A размерности
. Составить П-Ф, формирующую вектор, i-й элемент равен номеру столбца в котором на i-й строке матрицы стоит минимальный элемент. Описание П-Ф приведено на рис. 6.2.10. ¨
![]() |
![]() |

Рис. 6.2.9. Реализация алгоритма примера 6.2.9

![]() |

Рис. 6.2.10. Реализация алгоритма примера 6.2.10
Задание 6.2.12. Даны две матрицы A, B размерности
. Вычислить величину
, где
максимальные значения матриц A, B соответственно. Для вычисления значения максимального элемента составить П-Ф. ?Задание 6.2.13. Дана матрица A размерности
. Составить П-Ф, меняющую местами максимальный и минимальный элементы матрицы. ?Задание 6.2.14. Дана матрица A размерности
. Составить П-Ф, вычисляющую номер столбца, который содержит наименьший по модулю элемент этой матрицы. ?Задание 6.2.15. Имеется экзаменационная ведомость студенческой группы из n = 20 человек по m = 5 дисциплинам. Оценки из этой ведомости занесены в матрицу размерности
. Составить П-Ф, вычисляющую номер дисциплины (т.е. номер столбца), имеющей максимальный средний балл. ?Задание 6.2.16. Имеется экзаменационная ведомость студенческой группы из n = 15 человек по m = 4 дисциплинам. Оценки из этой ведомости занесены в матрицу размерности
. Составить П-Ф, вычисляющую номер студента (т.е. номер строки), имеющего максимальный средний балл по учебным дисциплинам. ?Программирование итерационных циклов
Пример 6.3.1. Составить описание П-Ф, вычисляющей факториал числа
по формуле
.Описание П-Ф с использованием оператора произведения приведено на рис. 6.3.1.

Рис. 6.3.1. Вычисление факториала числа

Описание П-Ф с использованием итерационного цикла и оператора break приведено на рис. 6.3.2. Обратите внимание на запись условия в операторе while, а именно while 1, что обеспечивает повторение тела цикла до тех пор, пока не выполнится условие n = 1, что приведет к выполнению оператора break и выходу из цикла. ¨

Рис. 6.3.2. Вычисление факториала числа

Пример 3.6.2. Дан вектор v, состоящий из n элементов. Составить П-Ф, определяющую первый элемент этого массива, который удовлетворяет условию
, где
— заданные величины. Описание П-Ф приведено на рис. 6.3.3. Эту же задачу можно реализовать с помощью оператора цикла for, что предотвратит «зацикливание», которое может иметь место в П-Ф search при неправильном задании исходных данных (например, при задании
). Описание П-Ф приведено на рис. 6.3.4. ¨

Рис. 6.3.3. Реализация алгоритма примера 6.3.2


Рис. 6.3.4. Реализация алгоритма примера 6.3.2
В двух предыдущих примерах была показана возможность замены оператора while (используемого при программной реализации итерационного цикла) другими конструкциями. Это обусловлено тем, что в этих примерах параметры цикла изменялись по закону арифметической прогрессии. Однако встречаются циклы, параметры которых изменяются по более сложным соотношениям. Особенно это характерно для алгоритмов решения нелинейных уравнений. В примере 6.3.3 рассматривается один из таких алгоритмов – метод последовательных предложений.
Пример 6.3.3. Дано нелинейное уравнение
. (6.3.1)Необходимо вычислить с точностью
вещественный корень, лежащий в интервале
, используя метод последовательных приближений (называемый также методом простой итерации). Не останавливаясь на теоретическом обосновании, приведем основные расчетные соотношения, необходимые для программной реализации этого метода.Первоначально исходное уравнение
заменяется эквивалентным ему уравнением
. (6.3.2)Затем выбираем начальное значение
из некоторого интервала
, внутри которого находится только один корень уравнения
(в нашем примере это интервал
). Подставляя это значение в правую часть (6.3.2), получаем первое приближение
. Затем значение
вновь подставляем в правую часть (6.3.2) и получаем
. Повторяя этот процесс, получаем последовательность чисел
(6.3.3)(это оправдывает название – метод последовательных приближений). Возможны два случая.
Случай 1. Последовательность
сходится к некоторому числу
, т.е. имеет предел, и тогда этот предел является решением нелинейного уравнения, т.е.
.Случай 2. Последовательность
расходится,т.е. не имеет предела, и в этом случае метод не применим.
Приведем условие, являющееся достаточным для сходимости метода последовательных приближений.
Пусть на отрезке
имеется единственный корень уравнения
, и во всех точках этого отрезка справедливо неравенство
. (6.3.4)Если при этом выполняется и условие
, (6.3.5)то итерационный процесс (6.3.3) сходится, а за нулевое приближение можно брать любое
.Заметим, что чем меньше величина q в (6.3.4), тем быстрее сходится последовательность
к своему пределу
. В качестве приближенного значения корня можно принять приближение
, удовлетворяющее условию
, (6.3.6)где
— заданная точность вычисления корня, входящая в неравенство
, (6.3.7)
— точное значение корня.Вернемся к уравнению нашего примера и преобразуем его к виду (6.3.2). Получаем
(знак минус появился из-за отрицательности искомого корня), т.е.
. Проверим выполнение условия (6.3.4) графическим способом, используя графику MathCAD (см. рис. 6.3.5).

Рис. 6.3.5. Проверка условия (6.3.4)
Из графика видно, что в качестве величины
в условии (6.3.4) можно принять значение 0.5, которое удовлетворяет условию (6.3.4).Для проверки условия (6.3.5) построим график функции
на интервале
(см. рис. 6.3.6). Видно, что условие (6.3.5) также выполняется – на всем интервале
функция
удовлетворяет условию
.Вывод: метод последовательных приближений для любого
сходится к точному решению нелинейного уравнения (6.3.1).Определим величину
в условии окончания итераций (6.3.6):
Описание П-Ф, реализующей метод последовательных приближений приведено на рис. 6.3.7. Здесь же показаны вычисленное приближенное значение корня и его проверка. Имя функции
является формальным параметром. Для предотвращения «зацикливания» итерационной процедуры (6.3.3) используется оператор цикла for (обсуждение см. в примере 5.3.4). Заметим, что переменные
, используемые в теле П-Ф, являются простыми переменными, имена которых имеют нижние индексы (вводимые после нажатия клавиши
– «десятичная точка»). ¨
Рис. 6.3.6. Проверка условия (6.3.5)



Рис. 6.3.7. Программная реализация метода
последовательных приближений
Задание 6.3.1. Дано нелинейное уравнение
.Составьте П-Ф для вычисления корня уравнения, лежащего в интервале
, методом последовательных приближений. Для организации итерационного цикла используйте оператор цикла while (см. пример 5.3.3). ?Задание 6.3.2. Дано нелинейное уравнение
.Составьте П-Ф для вычисления двух корней уравнения, лежащих в интервалах [–7, –1] и [2, 12], методом последовательных приближений с точностью 0.001. Для организации итерационного цикла используйте оператор цикла while (см. пример 5.3.3). ?
Преимущества модульного программирования
Модульное программирование появилось в конце шестидесятых годов XX столетия и способствовало резкому повышению производительности труда при разработке, тестировании и сопровождении программ. Вопросам модульного программирования было посвящено большое число публикаций (например, [10]). Основная идея модульного программирования заключается:Программа, реализующая алгоритм вычислений в виде модулей и обращения к ним, получила название модульной программы.
Что же дает модульное программирование? К основным преимуществам можно отнести следующее:
Как же реализуется модульное программирование в MathCAD? Модуль реализуется в виде подпрограммы-функции (см. тему 4). По расположению описания П-Ф можно выделить два метода получения модульных программ:
Модульное программирование в пределах одного документа MathCAD
Этот метод характеризуется тем, что:Пример 7.2.1.
Составим П-Ф вычисления определенного интеграла вида:
, (7.2.1)используя формулу Симпсона с автоматическим выбором числа интервалов, на которые делится отрезок интегрирования [a, b].
Подпрограмма-функция Simpson (f,a,b,N) (приведенная на рис. 7.2.1) выделяет определенный интеграл по формуле Симпсона при фиксированном числе интервалов N, а подпрограмма-функция Adapt-Simpson (f, a, b,
)увеличивает число интервалов до тех пор, пока не будет достигнута заданная точность вычисления интеграла
, т. е. не выполнится условие:
(7.2.2.)где I2 – значение интеграла, вычисленного по удвоенному (по сравнению с интегралом I1) числу интегралов (длина которых стала в два раза меньше).
На рис. 7.2.2 показаны вызовы П-Ф для определенной подынтегральной функций f(x). Для контроля вычисленных значений интегралов здесь же приводятся значения интегралов, вычисленных с помощью оператора Интеграл (палитра Математический анализ). Видно, что при
значения интегралов совпадают.Задание 7.2.1. Составьте описания П-Ф вычисления интеграла вида (7.2.1.) с точностью
по формуле трапеций с автоматическим выбором числа интервалов. Формула трапеций при делении отрезка [a, b] на N равных интервалов имеет вид:
, (7.2.3) где
. ?
Рис. 7.2.1. Подпрограммы-функции вычисления интегралов




Рис. 7.2.2. Вычисление интеграла различными способами
Модульное программирование в одном документе имеет ряд недостатков:
Эти недостатки устраняются при переходе к модульному программированию в нескольких документах, подробно рассмотренному в следующем пункте.
Модульное программирование внескольких документах MathCAD
Такое модульное программирование подразумевает, что описания П-Ф выполнены в одном документе MathCAD, а их вызов помещен в другом документе (такой метод широко используется в современных алгоритмических языках высокого уровня). Однако при этом возникает вопрос: как «присоединить» документ с описанием П-Ф к документу, в котором вызывается эта П-Ф?
Для этого необходимо выполнить следующие шаги:
1) активизировать документ, в котором вызываются П-Ф, описанные в другом документе;
2) щелкнуть мышью в том месте документа (обязательно перед обращением к П-Ф), куда будет вставлена специальная конструкция Ссылка;
3) обратиться к пункту меню Вставка и выполнить команду Ссылка;
4) в появившемся диалоговом окне в поле ввести полное имя файла (используя кнопку Обзор), в котором находится описание вызываемых П-Ф. Затем щелкнуть на кнопке ОК;
5) в документе появится конструкция, подобная показанной на рис. 7.3.1.
Reference:F:\COPY\П_Ф_Интегрирования.mcd

Рис. 7.3.1. Ссылка на файл с описаниями подпрограмм-функций
Пример 7.3.1.
Реализовать модульное программирование в нескольких документах для задачи примера 7.2.1.
На первом этапе составим описания П-Ф (приведены на рис. 7.2.1) и сохраним их в файле с именем П_Ф_интегрирования
в папке с маршрутом F:\Copy.
На втором этапе в начале нового документа вставляем конструкцию Ссылка, показанную на рис. 7.3.1, а ниже записываем вызовы П-Ф, вычисляющих значения определенных интегралов (см. рис. 7.3.2).
Reference:F:\COPY\П_Ф_Интегрирования.mcd

Рис. 7.3.2. Вызов подпрограмм-функций вычисления интегралов
Очевидно, что:
Программы MathCAD в Internet
Возможность использования в MathCAD П-Ф и целых программ, разработанных другими пользователями, вызвала появление в Internet Web-сайтов, на которых размещены файлы с документами MathCAD для решения различных задач. Также на сайтах могут размещаться целые библиотеки П-Ф, ориентированные уже на решение определенного класса задач. Кратко остановимся на некоторых из таких ресурсов Internet.Библиотека Web Library содержит в себе много интересных примеров применения пакета MathCAD в различных областях науки, техники и образования. Для доступа в библиотеку необходимо:

Рис. 7.4.1. Окно Resource Center

Рис. 7.4.2. Окно Web Library
На сайте фирмы MathSoft (разработчик пакета MathCAD) расположена тематическая библиотека файлов MathCAD для решения различных научных и технических задач (URL-адрес сайта http://www.mathcad.com/library/Mathcad_Files.asp). Оглавление библиотеки приведено на рис. 7.4.4. Для каждого тематического раздела указано количество файлов в этом разделе библиотеки. Например, в разделе Civil and Mechanical Engineering находится 94 файла (февраль 2002 года).

Рис. 7.4.3. Страница Web Library

Рис. 7.4.4. Оглавление тематической библиотеки файлов
MathCAD
Щелкнув кнопкой мыши на выбранной гиперссылке нужного раздела, входим в него, и на экране появляется содержание этого раздела (см. рис. 7.4.5, на котором приведено оглавление Civil and Mechanical Engineering).
Для загрузки нужного файла MathCAD достаточно щелкнуть мышью на его имени (в правой половине).

Рис. 7.4.5. Содержание тематического раздела
Civil and Mechanical Engineering
Много методических разработок по изучению и использованию пакета MathCAD находится на образовательном сайте Exponenta (URL-адрес сайта www.exponenta.ru/soft/Mathcad). На рис. 7.4.6 показан пример оформления ссылки на методические материалы по программированию в пакете MathCAD.

Рис. 7.4.6. Пример методических материалов,
размещенных на сайте Exponenta
В Интернете существует много Web-страниц, на которых авторы размещают файлы MathCAD, посвященные решению различных научно-технических задач. На рис. 7.4.7 показан пример такой Web-страницы. Ниже приводятся адреса некоторых сайтов:
– англоязычный форум по проблемам Mathcad (русское описание форума – twt.mpei.ac.ru/ochkov/Collab/Collab.htm);
– галерея трехмерной графики Mathcad (русское описание галереи – twt.mpei.ac.ru/ochkov/Lace/Lace.htm);
– сборник прикладных файлов Mathcad;
– статья «Жесткие дифференциальные уравнения (интегрирование в среде Mathcad)»;
– учебно-методический комплекс «Численные методы с системой Mathcad» для изучения алгоритмов решения математических задач с использованием системы MathCAD;
– лабораторные работы по дисциплине «Вычислительная математика».
http://www2.latech.edu/~dmg/#Civil Engineering

Рис. 7.4.7. Персональная страничка в Интернете
Одной из самых привлекательных возможностей, предоставляемых фирмой MathSoft, является организация совместной работы по созданию программного обеспечения для пакета MathCAD. Технически это реализуется с помощью специального раздела сайта этой фирмы, на котором хранятся тематические подборки проектов (разработок программного обеспечения) для совместной работы пользователей MathCAD из разных стран. Каждый проект имеет руководителя – обычно, первого автора, предложившего этот проект. Все остальные члены авторского коллектива могут принимать участие в доработке проекта. Таким образом обеспечивается объединение потенциалов различных организаций и научных школ в решении общих задач с использованием пакета MathCAD.
Для перехода в раздел совместной работы необходимо:
После этого достаточно активизировать какую-либо гиперссылку тематического каталога и выбрать подходящий проект. Контекстное меню открывает доступ к ряду команд (например, для записи проекта на жесткий диск или загрузки его прямо в окно документов MathCAD).
Файл проекта (как и любого другого документа MathCAD) можно отправить по электронной почте нужному адресату. Для этого достаточно в окне программы MathCAD обратиться к пункту меню File команде Send. После этого появляется окно почтовой программы Outlook Express. Текущий документ MathCAD становится вложенным в электронное сообщение файлом с расширением.mcd. Щелчок на кнопке Отправить запускает обычный процесс отправки сообщения со вложенным файлом по электронной почте.

Рис. 7.4.7. Перечень проектов
Определение нелинейного уравнения
Нелинейное уравнение с одним неизвестным можно записать в виде:
. (8.1.1)Совокупность значений переменной
, при которых уравнение (8.1.1) превращается в тождество, называется решениемэтого уравнения, а каждое значение
из этой совокупности называется корнем уравнения. Например, уравнение
имеет два корня:
. Для проверки этого утверждения необходимо каждое из этих двух значений подставить в уравнение и убедиться в том, что уравнение обращается в тождество. На графике функции
корнями являются те значения
, в которых функция обращается в ноль. На рис. 8.1.1 приведен график функции
, полученной после преобразования уравнения
, на котором хорошо определяются значения корней уравнения
(в этом и заключается графический метод нахождения корней нелинейного уравнения).
Рис. 8.1.1. К определению корней нелинейного уравнения
Если в запись уравнения входят только алгебраические функции (четыре арифметические операции и возведение в степень), то уравнение называется алгебраическим, и оно после необходимых преобразований может быть записано в виде:
. (8.1.2)Числа
называются коэффициентами уравнения, и в дальнейшем будем полагать, что все коэффициенты являются вещественными (хотя они могут быть и комплексными). Корни уравнения при этом могут быть как вещественными, так и мнимыми.Известно, что уравнение (8.1.2)
- го порядка имеет
корней и допускает представление
, (8.1.3)где
– корни уравнения (8.1.2). Если поделить (8.1.2) на
, то порядок полученного алгебраического уравнения
(8.1.4)будет на единицу меньше, и среди его корней не будет корня
. В справедливости нетрудно убедиться, используя формулу (8.1.3). Этот прием понижения порядка уравнения будет часто использоваться в дальнейшем.Нелинейное уравнение, в которое входят трансцендентные
функции (показательные, логарифмические, тригонометрические и обратные тригонометрические функции), называется трансцендентным. Примером может служить уравнение
, корни которого определяются как
.Решение уравнения можно найти, используя различные методы: аналитические (корни определяются аналитическим выражением), графические (приближенные значения корней находятся из графика – пример рис. 8.1.1), численные (приближенные численные значения корней определяются в результате некоторой вычислительной процедуры). В дальнейшем будут рассматриваться только численные методы.
Вычисление корней численными методами включает два основных этапа:
Рассмотрим эти два этапа подробно.
Отделение корней нелинейного уравнения
Корень
уравнения
считается отделенным на отрезке
, если на этом отрезке уравнение
не имеет других корней. Такой отрезок
можно назвать отрезком отделения корня. Следовательно, отделить корни, значит, разбить всю область допустимых значений корней на отрезки, в каждом из которых содержится только один корень уравнения. Отделение корней можно осуществить одним из двух методов: аналитическимили графическим.
Аналитическое отделение корней основано на следующем утверждении: если функция
непрерывна и монотонна на отрезке
и принимает на концах отрезка значения разных знаков, то внутри отрезка
содержится только один корень уравнения
.Графическое отделение корней заключается в построении графика функции
и взятии в качестве отрезка отделения
окрестность точки пересечения функции
с осью
.Учитывая легкость построения графиков функций в MathCAD, в дальнейшем будет использоваться графический метод. Рассмотрим этот метод на конкретном примере.
Пример 8.1.1. Дано алгебраическое уравнение
. (8.1.5)Определить интервалы локализации корней этого уравнения.
На рис. 8.1.2 приведен график функции
, построенный в MathCAD. Видно, что в качестве интервалов локализации можно взять следующие интервалы:
. Так, если алгебраическое уравнение третьей степени имеет три корня, то для всех трех корней определены интервалы локализации. ¨
Рис. 8.1.2. Отделение корней уравнения (8.1.5)
Пример 8.1.2. Дано алгебраическое уравнение
. (8.1.6)Определить интервалы локализации корней этого уравнения.
На рис. 8.1.3 приведен график функции

, построенный в MathCAD. Видно, что в качестве интервала изоляции можно принять интервал
. Однако уравнение (8.1.6) имеет три корня. Следовательно, можно сделать вывод о наличии еще двух комплексных корней. ¨
Рис. 8.1.3. Отделение корней уравнения (8.1.7)
Уточнение корней нелинейного уравнения
Под уточнением корня подразумевают процедуру уменьшения длины интервала локализации таким образом, чтобы корень уравнения всегда находился в новом интервале локализации (обозначим такой интервал локализации как
). Процедура уточнения завершается, если выполняется условие
, (8.1.7)где
– заданная точность вычисления корня. Для уточнения корня используются специальные вычислительные методы [11] такие, как метод деления отрезка пополам, метод хорд, метод касательных (метод Ньютона) и многие другие.Пример 8.1.3.
Используя метод деления отрезка пополам, уточнить корни уравнения (8.1.5). Реализовать метод в виде П-Ф.
Метод деления отрезка пополам заключается в делении длины «старого» интервала локализации пополам и принятии в качестве «нового» интервала локализации
такого интервала из двух полученных, у которого на концах функция
имеет разные знаки, т.е.
.Описание П-Ф root_2 приведено на рис. 8.1.4. Здесь же показаны уточненные значения корней. Выполненная проверка показала высокую точность нахождения корней.



Рис. 8.1.4. Реализация метода «деления отрезка пополам»
Заметим, что в теле П-Ф для организации итерационного цикла использовался оператор цикла for, что предотвращает «зацикливание» при неправильно заданных исходных данных. ¨
Функция root. В MathCAD для уточнения корней любого нелинейного уравнения (не обязательно только алгебраического) введена функция root, которая может иметь два или четыре аргумента, т.е.
или
, где
– имя функции или арифметическое выражение, соответствующее решаемому нелинейному уравнению,
– скалярная переменная, относительно которой решается уравнение,
– границы интервала локализации корня. Пример 8.1.4.
Используя функцию
, найти все три корня уравнения (8.1.6), включая и два комплексных (см. пример 8.1.2). Фрагмент документа MathCAD, вычисляющий эти корни приведен на рис. 8.1.5.
Рис. 8.1.5. Вычисление корней уравнения примера 8.1.2
Заметим, что для вычисления всех трех корней
использовался прием понижения порядка алгебраического уравнения, рассмотренный в п. 8.1.1. ¨
Функция root с двумя аргументами требует задания (до обращения к функции) переменной
начального значения корня из интервала локализации. Рекомендации по использованию функции root:
. Чтобы изменить значение TOL для всего рабочего документа, необходимо обратиться к пункту меню Математика команда Опции в появившемся диалоговом окне в закладке Встроенные переменные изменить значение системной переменной TOL (по умолчанию она равна 0.001);
.Пример 8.1.5.
Используя функцию root, вычислить изменения корня нелинейного уравнения
при изменении коэффициента а от 1 до 10 с шагом 1.Фрагмент документа приведен на рис. 8.1.6. ¦

Рис. 8.1.6. Вычисление корней уравнения в цикле
Функция polyroots. Для вычисления всех корней алгебраического уравнения вида (8.1.2) порядка
(не выше 5) рекомендуется использовать функцию polyroots. Обращение к этой функции имеет вид polyroots(v), где v – вектор, состоящий из n +1 проекций, равных коэффициентам алгебраического уравнения, т.е.
. Эта функция не требует проведения процедуры локализации корней.Пример 8.1.6.
Используя функцию polyroots, найти все три корня уравнения (8.1.6), включая и два комплексных (см. пример 8.1.2). Фрагмент документа MathCAD, вычисляющий эти корни приведен на рис. 8.1.7. ¦
Задание 8.1.1. Используя функцию root, вычислить корень из указанного интервала локализации следующих нелинейных уравнений:
;
. ?
Рис. 8.1.7. Вычисление корней уравнения
с использованием функции polyroots
Блок Given. При уточнении корня нелинейного уравнения можно использовать специальный вычислительный блок Given, имеющий следующую структуру:
(8.1.8)Решаемое уравнение задается в виде равенства, в котором используется «жирный» знак равно, вводимый с палитры Логический. Ограничения содержат равенства или неравенства, которым должен удовлетворять искомый корень.
Функция Find уточняет корень уравнения, вызов этой функции имеет вид Find(x), где x – переменная, по которой уточняется корень. Если корня уравнения на заданном интервале не существует, то следует вызвать функцию Minerr(x), которая возвращает приближенное значение корня.
Для уточнения корней в функциях Find(x), Minerr(x) реализованы различные численные алгоритмы и пользователю предоставляется возможность либо задать один из реализованных алгоритмов (к которому он имеет «максимальное доверие»), либо предоставить право выбора алгоритма пакету MathCAD. Для этого необходимо щелкнуть правой кнопкой мыши на имени функции Find(x) и в появившемся контекстном меню (см. рис. 8.1.8) выбрать подходящий алгоритм. Пользователю, не «искушенному» в вычислительных методах рекомендуется предоставить выбор MathCAD, включив для этого команду Автовыбор. В контекстном меню можно увидеть выбранный алгоритм.
![]() |

Рис. 8.1.8. Задание алгоритма функции Find
Аналогично можно задать алгоритм решения и для функции Minerr(x).
Замечание 8.1.1. Использование численных методов в функциях Find(x), Minerr(x) требует перед блоком Given задать начальные значения переменным, по которым осуществляется поиск корней уравнения.
Пример 8.1.7. Используя блок Given, вычислите корень уравнения примера 8.1.2 в интервале отделения
. Фрагмент документа приведен на рис. 8.1.9. ¨Задание 8.1.2. Используя блок Given, вычислить корень из указанного интервала отделения следующих нелинейных уравнений и выполнить проверку найденных корней:
;
;
. ?
Рис. 8.1.9. Решение уравнения с использованием Given
Решение нелинейных уравнений
В этом параграфе приводится определение нелинейного уравнения, и описываются основные этапы его решения.Системы уравнений
Совокупность нескольких уравнений с несколькими неизвестными называется системой уравнений. Решением системы уравнений с несколькими неизвестными называется совокупность значений этих неизвестных, обращающая каждое уравнение в тождество. Например, система
(8.2.1)имеет решение
, так как при этих значениях уравнения обращаются в тождество (убедитесь в этом).В зависимости от того, какие функции входят в систему уравнений, можно выделить два класса систем:
Среди алгебраических систем уравнений особое место занимают системы линейных алгебраических уравнений (СЛАУ).
Рассмотрим этот класс систем подробнее.
Системы линейных алгебраических уравнений
Системой линейных алгебраических уравнений (СЛАУ) называется система вида:
(8.2.2)состоящая из
уравнений относительно
неизвестных. В матричном виде систему можно записать как
, (8.2.3)где
– матрица размерности
,
– вектор с
проекциями. В дальнейшем будем предполагать, что: а) матрица
является квадратной, т.е.
; б) матрица
является невырожденной, т.е. ее определитель не равен нулю.При выполнении этих условий для любого вектора
всегда существует единственное решение – вектор с
проекциями.Для вычисления решения СЛАУ следует использовать функцию lsolve, обращение к которой имеет вид: lsolve(А,b), где А – матрица системы,
– вектор правой части.Пример 8.2.1. Дана система уравнений
(8.2.4)Используя функцию lsolve, найти решение этой системы и выполнить проверку найденного решения.
Фрагмент программы документа MathCAD приведен на рис. 8.2.1. Здесь же вычислен определитель матрицы. ¨

Рис. 8.2.1. Решение системы уравнений
Задание 8.2.1. Используя функцию lsolve, вычислить решение следующих систем уравнений:
А
(8.2.5)Б
(8.2.6)Решение нелинейных систем уравнений
MathCAD дает возможность находить решение системы уравнений численными методами, при этом максимальное число уравнений в MathCAD2001i доведено до 200.Для решения системы уравнений необходимо выполнить следующие этапы.
Задание начального приближения для всех неизвестных, входящих в систему уравнений. При небольшом числе неизвестных этот этап можно выполнить графически, как показано в примере 8.2.2.
Пример 8.2.2. Дана система уравнений:
(8.2.7)Определить начальные приближения для решений этой системы. Фрагмент документа MathCAD, приведенный на рис. 8.2.2, содержит построение графиков двух функций, входящих в систему (8.2.7), координаты точек пересечения этих графиков могут быть взяты в качестве начальных приближений.

Рис. 8.2.2. Определение начальных приближений
Видно, что система имеет два решения: для первого решения в качестве начального приближения может быть принята точка (-2, 2), а для второго решения – точка (5, 20). ¨
Вычисление решения системы уравнений с заданной точностью (т.е. уточнение начального приближения). Для этого используется уже известный вычислительный блок Given, имеющий структуру (8.1.8). В этом блоке решаемые уравнения задаются в виде равенств, в которых используется «жирный» знак равно, вводимый с палитры Логический. Ограничения содержат равенства или неравенства, которым должно удовлетворять искомое решение.
Функция Find вычисляет решение системы уравнений с заданной точностью, и вызов этой функции имеет вид Find(x), где x – список переменных, по которым ищется решение. Начальные значения этим переменным задаются в блоке < Начальные условия >. Число аргументов функции должно быть равно числу неизвестных.
Следующие выражения недопустимы внутри блока решения:
Заметим, что, используя функцию Find, можно определить другую функцию пользователя. Например,
f(a, b, c, …):= Find(x, y, z, …).
Эта конструкция удобна для многократного решения системы уравнений для различных значений некоторых параметров a, b, c,…,
непосредственно входящих в систему уравнений.
Сообщение об ошибке
(решение не найдено) при вычислении решения уравнений появляется, когда: Если в процессе вычисления решения не может быть получено дальнейшее уточнение текущего приближения к решению, то функция Minner возвращает это приближение. Функция Find
в этом случае возвращает сообщение об ошибке.
Пример 8.2.3. Используя блок Given, вычислить все решения системы (8.2.7) примера 8.2.2. Выполнить проверку найденных решений. Фрагмент документа приведен на рис. 8.2.3. ¨

Рис. 8.2.3. Решение системы уравнений примера 8.2.2
Задание 8.2.1. Используя блок Given, вычислить все решения следующих систем уравнений:
А
Б 
В
Г 
Проверить найденные решения. ?
Пример 8.2.4. Используя функцию
, вычислите решение системы уравнений
Фрагмент документа MathCAD показан на рис. 8.2.4. ¨

Рис. 8.2.4. Вычисление решения системы примера 8.2.4
Решение систем уравнений
В этом параграфе приводится определение системы уравнений, и описываются основные этапы построения решения системы уравнений и конструкции MathCAD для этого.Решение оптимизационных задач без ограничений
Для этого используются две функции MathCAD:Внимание!
Перед обращением к функциям Maximize, Minimize (имена которых начинаются прописными буквами) обязательно задать начальное значение параметров оптимизации.
Пример 9.1.1. Дан функционал:
. (9.1.1)Определить значения x, y, z, при которых g(x, y, z) достигает минимального значения.
Документ MathCAD, решающий эту задачу, приведен на рис. 9.1.1. ¨

Рис. 9.1.1. Пример минимизации функционала (9.1.1)
Пример 9.1.2.
Дан функционал:
. (9.1.2)Определить значения u, v, при которых f(u,v) достигает максимального значения.
Документ MathCAD, решающий эту задачу приведен на рис. 9.1.2. В последних строках документа выполнена проверка найденного решения на максимум. ¨

Рис. 9.1.2. Максимизация функционала (9.1.2)
Задание 9.1.1. Дан функционал:
. (9.1.3)Определить точки минимума и максимума этого функционала. ?
Решение оптимизационных задач с ограничениями
Используются те же функции Maximize, Minimize, но они входят уже в блок решения Given (см. (8.1.8)) и перед ними размещаются ограничения в виде равенств или неравенств, определяющие допустимую область значений параметров оптимизации.Пример 9.2.1. Дан функционал:

(9.2.1)и ограничения в виде
(9.2.2)Определить значения a, b, доставляющие максимальное значение функционала (9.2.1) и удовлетворяющие неравенствам (9.2.2).
Документ MathCAD, решающий эту задачу, показан на рис. 9.2.1. Точка «старта» алгоритма берется из допустимой области, определяемой ограничениями (9.2.2).

Рис. 9.2.1. Условная максимизация функционала (9.2.1)
Замечание 9.2.1. В оптимизационных задачах с ограничениями решение целесообразно определять из необходимых условий экстремума. Эти условия порождают систему уравнений (чаще всего нелинейных), которые располагаются в блоке Given, вместе с ограничениями, определяющими допустимую область. Само решение ищется с помощью функций Find, Minerr (подробно рассмотренных в п. 8.2.2).
Пример 9.2.2.
В качестве тестового функционала при поиске точки минимума часто используется функционал Розенброка:
. (9.2.3)«Поверхность» этого функционала напоминает глубокий овраг, что сильно осложняет работу многих алгоритмов минимизации. Требуется вычислить точку минимума функционала при ограничениях:
. (9.2.4)Документ MathCAD решения этой задачи показан на рис. 9.2.2.

Рис. 9.2.2. Минимизация функции Розенброка
Пример 9.2.3 (задача линейного программирования). Цех малого предприятия должен изготовить 100 изделий трех типов
и не менее 20 штук изделий каждого типа. На изделия уходит 4, 3.4 и 2 кг металла соответственно, при его общем запасе 340 кг, а также расходуются по 4.75, 11 и 2 кг пластмассы, при ее общем запасе 400 кг. Прибыль, полученная от каждого изделия равна 4, 3 и 2 р. Определить сколько изделий каждого типа необходимо выпустить для получения максимальной прибыли в рамках установленных запасов металла и пластмассы.Документ MathCad, решающий эту задачу приведен на рис. 9.2.3.

Рис. 9.2.3. Решение задачи линейного программирования
Пример 9.2.4 (задача нелинейного программирования). Пусть вектор v состоит из трех проекций и дан функционал:

Вычислить точку минимума этого функционала при ограничениях:

Документ MathCAD, решающий эту задачу, показан на рис. 9.2.4.

Рис. 9.2.4. Решение задачи нелинейного программирования
Задание 9.2.1 (задача линейного программирования). Дан функционал:
.Определить точку максимума этого функционала при ограничениях:

Вычислить значения функционала в этой точке.
Ответ: максимум функционала достигается в точке (0, 13, 8). ?
Задание 9.2.2 (задача квадратичного программирования). Дан функционал:

Определить точку максимума этого функционала при ограничениях:

Ответ: максимум функционала достигается в точке (7.5, 10, 6).?
Для выбора нужной ветви разветвляющегося
if (<логическое выражение>, <выр. 1>, <выр. 2>),где имя функции if вводится с клавиатуры. Если логическое выражение равно 1, то значение функции определяется выр.1, в противном случае – выр. 2. Блок-схема этой функции приведена на рис. 3.2.4.
![]() |
Рис. 3.2.4. Блок-схема функции if
При программировании разветвляющихся алгоритмов с тремя и более вычислительными ветвями в качестве выр. 1 и выр. 2 вновь может использоваться функция if (см. пример 3.2.1).
Пример 3.2.1. Используя условную функцию if, запрограммировать два разветвляющихся алгоритма.
А.

Б.


z(x)
| x |

Рис. 3.2.5. Реализация разветвляющихся алгоритмов
Конструкции, реализующие эти алгоритмы, показаны на рис. 3.2.5. Для алгоритма Б была определена функция пользователя z (x), а затем был построен ее график.
В MathCAD имеется ряд встроенных функций, которые возвращают результат, зависящий от знака или величины аргумента, и могут использоваться при программировании разветвляющихся алгоритмов. Приведем некоторые из них:
с точностью до n знаков после десятичной точки;
в остальных случаях.Обращение
к подпрограмме-функции
Рис. 6.1.1. Реализация алгоритма примера 6.1.1
Пример 6.1.2. Составить описание П-Ф, вычисляющей значения прямоугольных сигналов с периодом 2 и амплитудой +1 и –1 (график приведен на рис. 6.1.2). Описание П-Ф приведено на рис. 6.1.2. Здесь использовались функции:
Пример 6.1.3. Составить описание П-Ф, вычисляющей прямоугольный сигнал амплитудой A на интервале
. Вне этого интервала значение равно В. Описание П-Ф имеет вид:
,а график сигнала при
приведен на рис. 6.1.3. Здесь использовалась функция
, равная нулю при х < 0 и 1 для всех других значений аргумента. ¨
">

Рис. 6.1.2. Реализация алгоритма примера 6.1.2

Рис. 6.1.3. График сигнала примера 6.1.3
Пример 6.1.4. Составить фрагмент документа MathCAD для вычисления значения
, где
— максимальный по модулю корень уравнения x2 + 5.45x – 8.12 = 0;
— любой положительный корень уравнения y2 + 25.3y – 9.5 = 0. Фрагмент приведен на рис. 6.1.4. В этом фрагменте вызывается П-Ф вычисления корней квадратного уравнения, описание которой приведено на рис. 5.1.1 (см. пример 5.1.1). ¨





Рис. 6.1.4. Реализация алгоритма примера 6.1.4
Задание 6.1.1. Составить описание П-Ф, вычисляющей значения прямоугольных сигналов такой же формы, как на рис. 6.1.2, но с периодами: а) равным 1; б) равным 8. Построить графики этих сигналов (см. пример 6.1.2). ?
Задание 6.1.2. Составить описание П-Ф, реализующей алгоритм, приведенный на рис. 6.1.4, а. Составить фрагмент для проверки правильности работы П-Ф. ?
Задание 6.1.3. Составить описание П-Ф, вычисляющей площадь S геометрической фигуры по ее номеру n=1, 2, 3. Расчетные соотношения приведены на рис 6.1.4, б, h, a, b, r, n — исходные данные. ?

Вызов подпрограммы-функции

Рис. 5.3.8. Реализация итерационного цикла примера 5.3.6
Программирование двойных циклов. Напомним, что элементы матриц (двумерных массивов) имеют два индекса: первый индекс определяет номер строки, а второй – номер столбца, на пересечении которых находится указанный элемент. Например, запись
– означает обращение к элементу, стоящему на пересечении второй строки и четвертого столбца. Поэтому в общем случае для работы с матрицами необходимо использовать так называемый двойной цикл, у которого тело одного цикла, называемого внутренним, «вкладывается» в тело другого – «внешнего» цикла. Каждый из этих циклов имеет свой параметр: параметр внешнего цикла и параметр внутреннего цикла. Следовательно, для организации такого двойного цикла необходимо использовать два оператора цикла, один из которых размещен в теле другого (различные варианты вложений операторов цикла приведены на рис. 5.3.9).
Рис. 5.3.9. Варианты вложений операторов цикла
Пример 5.3.7. Составить описание П-Ф формирующей матрицу по следующему правилу:
.Описание и вызов П-Ф приведены на рис. 5.3.9. В этой П-Ф параметром внешнего цикла является переменная i, а параметром внутреннего — переменная j. ¨

Рис. 5.3.10. Реализация двойного цикла примера 5.3.7
Пример 5.3.8. Дана матрица
размерности
. Составить описание П-Ф, вычисляющей индексы и значение элемента матрицы, который по модулю максимально близок к заданному числу c. Описание П-Ф и ее вызов приведены на рис 5.3.10. Напомним, что системная переменная ORIGIN = 1. ¨
![]() |
Рис. 5.3.14. Два варианта реализации алгоритма примера 5.3.10
Оператор on error. Этот оператор является обработчиком возникающих при выполнении тех или иных вычислений ошибок и записывается в виде:
< конструкция 1 > on error < конструкция 2 >.
Оператор выполняется следующим образом. Если при выполнении <конструкция 2> возникает ошибка, то выполняется <конструкция 1>. Если ошибка не возникает, то выполняется <конструкция 2>.
Пример 5.3.11. Используем оператор on error для
предотвращения появления ошибки «деление на ноль» при вычислении функции angl(x,y). Фрагмент представлен на рис. 5.3.15. ¦
«деление на ноль»


Рис. 5.3.15. Использование функции on error в примере 5.3.11
Функция error. Используется для вывода диагностических сообщений при возникновении в вычислениях ошибки и записывается в виде:
error ("< диагностическое сообщение пользователя >").
Имя функции вводится с клавиатуры. Функция используется в левом поле условного оператора if, как показано в следующем примере.
Пример 5.3.12. Запрограммируем вывод диагностического сообщения при попытке спроецировать вектор v на нулевой вектор w. Описание П-Ф и ее вызовы приведены на рис. 5.3.16.


Рис. 5.3.16. Использование в П-Ф оператора error
Следует заметить, что взятое в кавычки диагностическое сообщение появится на экране только после щелчка мышью на выделенном красным цветом обращении к П-Ф, при выполнении которой произошла ошибка (см. рис. 5.3.17).

Рис. 5.3.17. Применение функции error в примере 5.3.12
Знак
Логическое отрицание (NOT)


Таблица 3.2.3
NOT ![]() | AND ![]() | OR ![]() | XOR ![]() | ||||
![]() ![]() | ![]() ![]() ![]() ![]() | ![]() ![]() ![]() ![]() | ![]() ![]() ![]() ![]() |
Логическим выражением называется конструкция, состоящая из выражений отношений, логических операций и круглых скобок. Логическое выражение принимает только одно из двух значений: 1 или 0; вычисляется слева направо с учетом приоритета входящих в выражение операций. Наивысший приоритет – круглые скобки, а затем по убыванию: AND, OR и XOR – одинаковый приоритет и самый низкий приоритет выражения отношений.
Задание 3.2.2. Определите порядок вычисления значений логических выражений в документе MathCAD, приведенных на рис. 3.2.3. ?

Рис. 3.2.3. Примеры логических выражений
Биржевой анализ: Технический анализ - Инструменты - Софт
- Биржевой анализ - Технический анализ
- Обучение техническому анализу
- Индексы технического анализа
- Индикаторы технического анализа
- Методы технического анализа
- Графика в техническом анализе
- Технический анализ рынков
- Российский технический анализ
- Инструменты технического анализа
- Математика в биржевом анализе
- Разновидности биржевого анализа
- Mathematica в биржевом анализе
- MathCAD в биржевом анализе
- Maple в биржевом анализе
- Matlab в биржевом анализе





целое неотрицательное число,
)


, если 




, 



распределение
;
, если 
число степеней свободы)



число степеней свободы)













полиномиальной функции 
). Вычисленные параметры размещаются в результирующем векторе, начиная с четвертой проекции (см. пример 10.2.2)
линейной комбинации 
являются проекциями вектора-функции Ф(x), формируемого до обращения к функции linfit
нелинейной функции S(x). До обращения формируется F(x,a) – вектор-функция размерности (m+1),
ао – вектор размерности m, составленный из «стартовых» значений параметров
(см. пример 10.2.3)
. Вектор ао (размерности 3) определяет «стартовые» значения для а1, а2, а3
.Вектор ао (размерности 3) задаёт «стартовые» значения для а1, а2, а3
. Вектор ао (размерности 3) задаёт «стартовые» значения для а1, а2, а3
. Вектор ао








































