Математический редактор MathCAD
О постановке краевых задач
12.1.1. О постановке краевых задачЧтобы лучше понять, что из себя представляют краевые задачи, рассмотрим их постановочную часть на конкретном физическом примере модели взаимодействия встречных световых пучков. Предположим, что надо определить распределение интенсивности оптического излучения в пространстве между источником (лазером) и зеркалом, заполненном некоторой средой (рис. 12.1). Будем считать, что от зеркала отражается R-Я часть падающего излучения (т. е. его коэффициент отражения равен к), а среда как поглощает излучение с коэффициентом ослабления а(х), так и рассеивает его. Причем коэффициент рассеяния назад равен г(х). В этом случае закон изменения интенсивности у0(х) излучения, распространяющегося вправо, и интенсивности у:(х) излучения влево определяется системой двух ОДУ первого порядка.
Для правильной постановки задачи требуется, помимо уравнений, задать такое же количество граничных условий. Одно из них будет выражать известную интенсивность излучения I0, падающего с левой границы х=0, а второе — закон отражения на его правой границе х=1:
Алгоритм стрельбы
12.1.2. Алгоритм стрельбыДля решения краевых задач в Mathcad реализован наиболее популярный алгоритм, называемый методом стрельбы или пристрелки (shooting method). Он, по сути, сводит решение краевой задачи к решению серии задач Коши с различными начальными условиями. Рассмотрим здесь его основной принцип на примере модели (рис. 12.1), а встроенные функции, реализующие этот алгоритм, приведем в следующем разделе.
Суть метода стрельбы заключается в пробном задании недостающих граничных условий на левой границе интервала и решении затем полученной задачи Коши хорошо известными методами (см. гл. 11). В нашем примере не хватает начального условия для Y1(0), поэтому сначала зададим ему произвольное значение, например Y1(0)=10. Конечно, такой выбор не совсем случаен, поскольку из физических соображений ясно, что, во-первых, интенсивность излучения — величина заведомо положительная, и, во-вторых, отраженное излучение должно быть намного меньше падающего. Решение задачи Коши с помощью функции rkfixed приведено в листинге 12.1.
Решение двухточечных краевых задач
12.1.3. Решение двухточечных краевых задачРешение краевых задач для систем ОДУ методом стрельбы в Mathcad достигается применением двух встроенных функций. Первая предназначена для двухточечных задач с краевыми условиями, заданными на концах интервала.
Как видно, функция sbval предназначена не для поиска собственно решения, т. е. неизвестных функций yi(x), а для определения недостающих начальных условий в первой точке интервала, т. е. yi(x). Чтобы вычислить yi(x) на всем интервале, требуется дополнительно решить задачу Коши.
Разберем особенности использования функции sbval на конкретном примере (листинг 12.2), описанном выше (см. разд. 12.1.1). Краевая задача состоит из системы двух уравнений (N=2), одного левого (L=1) и одного правого (N-L=2-1=1) граничного условия.
Решение краевых задач с дополнительным условием в промежуточной точке
12.1.4. Решение краевых задач с дополнительным условием в промежуточной точкеИногда дифференциальные уравнения определяются с граничными условиями не только на концах интервала, но и с дополнительным условием в некоторой промежуточной точке расчетного интервала. Чаше всего такие задачи содержат данные о негладких в некоторой внутренней точке интервала решениях. Для них имеется встроенная функция bvaif.it, также реализующая алгоритм стрельбы.
Рассмотрим действие функции bvaifit на знакомом примере модели взаимодействия пучков света (см. рис. 12.1), предположив, что в промежутке между xf=0.5 и x1=1.0 находится другая, оптически более плотная среда с другим коэффициентом ослабления излучения а(х)=3. Соответствующая краевая задача решена в листинге 12.3, причем разрывный показатель ослабления определяется в его второй строке.
Краевые задачи для ОДУ
12.1. Краевые задачи для ОДУПостановка краевых задач для ОДУ отличается от задач Коши, рассмотренных в главе 11, тем, что граничные условия для них ставятся не в одной начальной точке, а на обеих границах расчетного интервала. Если имеется система N обыкновенных дифференциальных уравнений первого порядка, то часть из N условий может быть поставлена на одной границе интервала, а оставшиеся условия — на противоположной границе.
Дифференциальные уравнения высших порядков можно свести к эквивалентной системе ОДУ первого порядка Сем. гл. 11).
Задачи на собственные значения для ОДУ
12.2. Задачи на собственные значения для ОДУЗадачи на собственные значения — это краевые задачи для системы ОДУ, в которой правые части зависят от одного или нескольких параметров К. Значения этих параметров неизвестны, а решение краевой задачи существует только при определенных Xk, которые называются собственными значениями (eigenvalues) задачи. Решения, соответствующие этим Xk, называют собственными функциями (eigenfunctions) задачи. Правильная постановка таких задач требует формулировки количества граничных условий, равного сумме числа уравнений и числа собственных значений. Физическими примерами задач на собственные значения являются, например, уравнение колебаний струны, уравнение Шредингера в квантовой механике, уравнения волн в резонаторах и многие другие.
С вычислительной точки зрения, задачи на собственные значения очень похожи на рассмотренные выше краевые задачи. В частности, для многих из них также применим метод стрельбы (см. разд. 12.1.2). Отличие заключается в пристрелке не только по недостающим левым граничным условиям, но еще и по искомым собственным значениям. В Mathcad для решения задач на собственные значения используются те же функции sbval и bvaifit. В их первый аргумент, т. е. вектор, присваивающий начальные значения недостающим начальным условиям, следует включить и начальное приближение для собственного значения.
Рассмотрим методику решения на конкретном примере определения собственных упругих колебаний струны. Профиль колебаний струны у(х) описывается линейным дифференциальным уравнением второго порядка.
где р(х) и q(x) — жесткость и плотность, которые, вообще говоря, могут меняться вдоль струны. Если струна закреплена на обоих концах, то граничные условия задаются в виде у(0)=у(1)=0. Сформулированная задача является частным случаем задачи Штурма-Лиувилля. Поскольку решается система двух ОДУ, содержащая одно собственное значение А,, то по идее задача требует задания трех (2+1) условий. Однако, как легко убедиться, уравнение колебаний струны — линейное и однородное, поэтому в любом случае решение у(х) будет определено с точностью до множителя. Это означает, что производную решения можно задать произвольно, например у' (0) =1, что и будет третьим условием. Тогда краевую задачу можно решать как задачу Коши, а пристрелку вести только по одному параметру — собственному значению.
Процедура поиска первого собственного значения представлена в листинге 12.5.
О разностном методе решения ОДУ
12.3.1. О разностном методе решения ОДУРазберем идею разностного метода решения краевых задач на примере взаимодействия световых пучков (см. рис. 12.1), переобозначив в системе (12.1,1) интенсивность излучения вправо на Y, а интенсивность излучения влево на у (просто в целях удобства, чтобы не писать индекс). Суть метода заключается в покрытии расчетного интервала сеткой из N точек. Тем самым определяются (N-I) шагов (рис. 12.7). Затем надо заменить дифференциальные уравнения исходной краевой задачи аппроксимирующими их уравнениями в конечных разностях, выписав соответствующие разностные уравнения для каждого 1-го шага. В нашем случае достаточно просто заменить первые производные из (12.1,1) их разностными аналогами (такой метод называется еще методом Эйлера).
Жесткие краевые задачи
12.3.2. Жесткие краевые задачиОдин из случаев, когда применение разностных схем может быть очень полезным, связан с решением жестких краевых задач (подробнее о жестких ОДУ читайте в гл. 11). В частности, рассматриваемая задача о встречных световых пучках становится жесткой при увеличении коэффициента ослабления а(х) в несколько десятков раз. Например, при попытке решить ее с а (х) :=100 с помощью листинга 12.2 вместо ответа выдается сообщение об ошибке "Can't converge to a solution. Encountered too many integration steps" (He сходится к решению. Слишком много шагов интегрирования). Это и неудивительно, поскольку жесткие системы характерны тем, что требуют исключительно малого значения шага в стандартных алгоритмах.
Для жестких задач неприменимы и явные разностные схемы, о которых рассказывалось в предыдущем разделе (см. разд. 12.3.1). Результат расчетов по программе листинга 12.6, например с а(х):=20 (рис. 12.9), дает характерную для неустойчивых разностных схем "разболтку" — колебания нарастающей амплитуды, не имеющие ничего общего с реальным решением.
Разностные схемы для ОДУ
12.3. Разностные схемы для ОДУМногие краевые задачи не поддаются решению методом стрельбы. Однако в Mathcad 11 других встроенных алгоритмов нет. Тем не менее, это не означает, что по-другому решать краевые задачи невозможно, ведь другие численные алгоритмы несложно запрограммировать самому пользователю. Рассмотрим возможную реализацию наглядного метода, называемого разностным, которым можно решать краевые задачи как для ОДУ, так и для дифференциальных уравнений в частных производных.
Иллюстрация метода стрельбы (листинг 12.1)
Иллюстрация метода стрельбы (листинг 12.1)
Конечно, описанный алгоритм несложно запрограммировать самому, оформив его как решение системы заданных алгоритмически уравнений, выражающих граничные условия на второй границе, относительно неизвестных пристрелочных начальных условий. Но делать этого нет необходимости, поскольку он оформлен в Mathcad в виде встроенных функций.
Решение пробной задачи Коши для модели (12.1, 1)
Листинг 12.1. Решение пробной задачи Коши для модели (12.1, 1)
График полученных решений показан на рис. 12.2 (слева). Из него видно, что взятое наугад второе начальное условие не обеспечило выполнение граничного условия при х=1. И понятно, что для лучшего выполнения этого граничного условия следует взять большее значение yi(0). Возьмем, например, у1(0)=15, и вновь решим задачу Коши. Результат показан на том же рис. 12.2 (в центре). Граничное условие выполняется с лучшей точностью, но опять-таки оказалось недостаточным. Для еще одного значения у1(0)=20 получается решение, показанное на рис. 12.2 (справа). Из сравнения двух правых графиков легко заключить, что недостающее начальное условие больше 15, но меньше 20. Продолжая подобным образом "пристрелку" по недостающему начальному условию, возможно отыскать правильное решение краевой задачи.
В этом и состоит принцип алгоритма стрельбы. Выбирая пробные начальные условия (проводя пристрелку) и решая соответствующую серию задач Коши, можно найти то решение системы ОДУ, которое (с заданной точностью) удовлетворит граничному условию (или, в общем случае, условиям) на другой границе расчетного интервала.
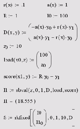
Решение краевой задачи
Листинг 12.2. Решение краевой задачи
Первые три строки листинга задают необходимые параметры задачи и саму систему ОДУ. В четвертой строке определяется вектор г. Поскольку правое граничное условие всего одно, то недостающее начальное условие тоже одно, соответственно, и вектор z имеет только один элемент z0. Ему необходимо присвоить начальное значение (мы приняли z0=io, как в листинге 12.1), чтобы запустить алгоритм стрельбы (см. разд 12.1.2).
Начальное значение фактически является параметром численного метода и поэтому может сильно повлиять на решение краевой задачи.
В следующей строке листинга векторной функции ioad(x,z) присваиваются левые граничные условия. Эта функция аналогична векторной переменной, определяющей начальные условия для встроенных функций, решающих задачи Коши. Отличие заключается в записи недостающих условий. Вместо конкретных чисел на соответствующих местах пишутся имена искомых элементов вектора z. В нашем случае вместо второго начального условия стоит аргумент z0 функции load. Первый аргумент функции load — это точка, в которой ставится левое граничное условие. Ее конкретное значение определяется непосредственно в списке аргументов функции sbval.
Следующая строка листинга определяет правое граничное условие, для введения которого используется функция score(х,у). Оно записывается точно так же, как система уравнений в функции D. Аргумент х функции score аналогичен функции load и нужен для тех случаев, когда граничное условие явно зависит от координаты х. Вектор score должен состоять из такого же числа элементов, что и вектор z.
Реализованный в функции sbval алгоритм стрельбы ищет недостающие начальные условия таким образом, чтобы решение полученной задачи Коши делало функцию score (х, у) как можно ближе к нулю. Как видно из листинга, результат применения sbval для интервала (0,1) присваивается векторной переменной и. Этот вектор похож на вектор z, только в нем содержатся искомые начальные условия вместо приближенных начальных значений, заданных в z. Вектор и содержит, как и z, всего один элемент I10. С его помощью можно определить решение краевой задачи у(х) (последняя строка листинга). Тем самым, функция sbval сводит решение краевых задач к задачам Коши. График решения краевой задачи показан на рис. 12.3.
Краевая задача с фанячным условием в промежуточной точке
Листинг 12.3. Краевая задача с фанячным условием в промежуточной точке
Система уравнений и левое краевое условие вводится так же, как и в предыдущем листинге для функции sbvai. Обратите внимание, что таким же образом записано и правое краевое условие. Для того чтобы ввести условие отражения на правой границе, пришлось определить еще один неизвестный пристрелочный параметр z20. Строка листинга, в которой определена функция score, задает условие стрельбы — сшивку двух решений в точке xf. В самой последней строке листинга выдан ответ — определенные численным методом значения обоих пристрелочных параметров, которые объединены в вектор и (мы применили в предпоследней строке операцию транспонирования, чтобы результат получился в форме вектора, а не матрицы-строки).
Для корректного построения графика решения лучше составить его из двух частей — решения задачи Коши на интервале (x0,xf) и другой задачи Ко-ши для интервала (xf,x1). Реализация этого способа приведена в листинге 12.4, который является продолжением листинга 12.3. В последней строке листинга 12.4 выведено значение второй искомой функции на правой границе интервала. Всегда полезно проконтролировать, что оно совпадает с соответствующим пристрелочным параметром (выведенном в последней строке листинга 12.3).
Решение краевой задачи (продолжение 12.3)
Листинг 12.4. Решение краевой задачи (продолжение 12.3)
Решение краевой задачи приведено на рис. 12.5. С физической точки зрения естественно, что интенсивность света уменьшается быстрее по мере распространения в более плотной среде в правой половине расчетного интервала. В средней точке xf=0.5, как и ожидалось, производные обоих решений имеют разрыв.
Еще один пример решения краевых задач с разрывными коэффициентами ОДУ приведен в справочной системе Mathcad.
Решение задачи о собственных колебаниях струны
Листинг 12.5. Решение задачи о собственных колебаниях струны
В первых двух строках листинга определяются функции, входящие в задачу, в том числе р'(х):=о, и границы расчетного интервала (0,1). В третьей строке дается начальное приближение к собственному значению А0, в четвертой вводится система ОДУ. Обратите внимание, что она состоит не из двух, а из трех уравнений. Первые два из них определяют эквивалентную систему ОДУ первого порядка, а третье необходимо для задания собственного значения в виде еще одного компонента у2 искомого вектора у. Поскольку, по определению, собственное значение постоянно при всех х, то его производная должна быть приравнена нулю, что отражено в последнем уравнении. Важно также, что во втором из уравнений собственное значение записано как у2, поскольку является одним из неизвестных.
В следующих двух строках листинга задается левое граничное условие, включающее и недостающее условие на собственное значение для третьего уравнения, и правое граничное условие у0=о. В предпоследней строке листинга обычным образом применяется функция sbval, а в последней выводится результат ее работы вместе с известным аналитически собственным значением n2 pi2. Как легко убедиться, мы нашли первое собственное значение для n=1, а чтобы найти другие собственные значения, необходимо задать другие начальные приближения к ним (в третьей строке листинга 12.5). Например, выбор Lо=50 приводит ко второму собственному значению 22 pi2, Lо=50 — к третьему 32 pi2.
Чтобы построить график соответствующей собственной функции, надо добавить в листинг строку, программирующую решение задачи Коши, например, такую: u:=rkfixed(load(a,A), а, b, 100, D). Полученные кривые показаны на рис. 12.6 в виде коллажа трех графиков, рассчитанных для трех собственных значений.
Примеры решения нескольких задач на собственные значения можно найти в разделе Mathcad Resources.
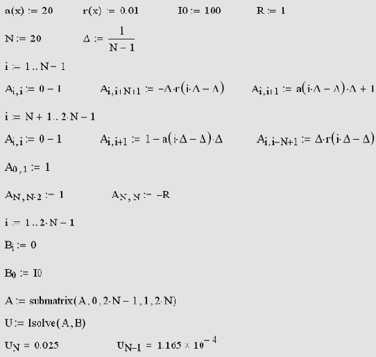
Реализация явной разностной схемы
Листинг 12.6. Реализация явной разностной схемы
Дадим минимальные комментарии, надеясь, что заинтересовавшийся читатель с карандашом в руках разберется в порядке индексов и соответствии матричных элементов, а возможно, составит и более удачную программу.
В первой строке листинга определяются функции и константы, входящие в модель, во второй задается число точек сетки N=5 и ее равномерный шаг. Следующие две строки определяют матричные коэффициенты, аппроксимирующие уравнения для уi а пятая и шестая — для ух. Седьмая и восьмая строки листинга задают, соответственно, левое и правое граничное условие, а строки с девятой по одиннадцатую — правые части системы (3). В следующей строке завершается построение матрицы А вырезанием из нее левого нулевого столбца. В предпоследней строке листинга применена встроенная функция isolve для решения системы (3), а в последней выведены рассчитанные ею неизвестные граничные значения. Графики решения приведены на рис. 12.8, причем первые N элементов итогового вектора есть вычисленное излучение вперед, а последние N элементов — излучение назад.
Реализация неявной разностной схемы для жесткой краевой задачи
Листинг 12.7. Реализация неявной разностной схемы для жесткой краевой задачи
Не будем специально останавливаться на обсуждении листинга 12.7, поскольку он почти в точности повторяет предыдущий листинг. Отличие заключается лишь в формировании матрицы А другим способом, согласно неявной схеме. Решение, показанное на рис. 12.10, демонстрирует, что произошло "небольшое чудо": "разболтка" исчезла, а распределение интенсив-ностей стало физически предсказуемым. Обратите внимание, что (из-за взятого нами слишком большого коэффициента ослабления излучения) отраженный пучок света имеет очень маленькую интенсивность, и ее пришлось построить на графике с увеличением в тысячу раз.
Модель для постановки краевой задачи
Модель для постановки краевой задачи
Полученную задачу называют краевой (boundary value problem), поскольку условия поставлены не на одной, а на обеих границах интервала (0,1). И, в связи с этим, их не решить методами предыдущей главы, предназначенными для задач с начальными условиями. Далее для показа возможностей Mathcad будем использовать этот пример с R=I и конкретным видом a(x)=const=i и r(x)=const=0.1, описывающим случай изотропного (не зависящего от координаты х) рассеяния.
Модель рис. 12.1 привела к краевой задаче для системы линейных ОДУ. Она имеет аналитическое решение в виде комбинации экспонент. Более сложные, нелинейные задачи, возможно решить только численно. Нетрудно сообразить, что модель станет нелинейной, если сделать коэффициенты ослабления и рассеяния зависящими от интенсивности излучения. Физически это будет соответствовать изменению оптических свойств среды под действием мощного излучения.
Модель встречных световых пучков привела нас к системе уравнений (1), в которые входят производные только по одной переменной х. Если бы мы стали рассматривать более сложные эффекты рассеяния в стороны (а не только вперед и назад), то в уравнениях появились бы частные производные по другим пространственным переменным у и z. В этом случае получилась бы краевая задача для уравнений в частных производных, решение которой во много раз сложнее ОДУ.
Неверное решение жесткой краевой задачи по неустойчивой явной разностной схеме
Неверное решение жесткой краевой задачи по неустойчивой явной разностной схеме
Выходом из положения будет использование неявных разностных схем. Применительно к нашей задаче достаточно заменить правые части уравнений (1) значениями не на левой, а на правой границе каждого шага.
Граничные условия, конечно, можно оставить в том же виде (2). Поскольку мы имеем дело с линейными дифференциальными уравнениями, то и схему (4) легко будет записать в виде матричного равенства (3), перегруппировывая соответствующим образом выражение (4) и приводя подобные слагаемые. Разумеется, полученная матрица А будет иной, нежели матрица А для явной схемы (1). Поэтому и решение (реализация неявной схемы) может отличаться от изображенного на рис. 12.9 результата расчетов по явной схеме. Программа, составленная для решения системы (4), приведена в листинге 12.7.
Первые три собственные функции задачи колебаний струны (коллаж трех графиков)
Первые три собственные функции задачи колебаний струны (коллаж трех графиков)
показано решение той же
Решение краевой задачи для R=0
На рис. 12. 4 показано решение той же самой краевой задачи, но с другим правым граничным условием, соответствующим R=0, т. е. без зеркала на правой границе. В этом случае слабый обратный пучок света образуется исключительно за счет обратного рассеяния излучения от лазера. Конечно, многие из читателей уже обратили внимание, что реальная физическая среда не может создавать такого большого рассеяния назад. Иными словами, более реальны значения r(х)<<а(х). Однако, когда коэффициенты в системе ОДУ при разных ух очень сильно (на порядки) различаются, система ОДУ становится жесткой, и функция sbval не может найти решения, выдавая вместо него сообщение об ошибке("Соuld not find a solution").
Метод стрельбы не годится для решения жестких краевых задач. Поэтому алгоритмы решения жестких ОДУ в Mathcad приходится программировать самому (см. разд. 12.3).
Решение краевой задачи для R=1 (листинг 12.2)
Решение краевой задачи для R=1 (листинг 12.2)
Решение краевой задачи разностным методом (листинг 12.6)
Решение краевой задачи разностным методом (листинг 12.6)
Как мы увидели, реализация в Mathcad разностных схем вполне возможна и не слишком трудоемка — предложенная программа состоит всего из двух десятков математических выражений. Конечно, для их написания требуется и время, и часто кропотливые расчеты, но, собственно, в этом и состоит работа математика. Кстати говоря, при небольшом числе шагов, расчеты по разностным схемам не требуют существенного времени (программа, приведенная в листинге 12.6, работает быстрее, чем метод стрельбы, встроенный в функцию sbval). Существуют, кроме того, весьма очевидные для многих читателей пути ускорения расчетов, связанные с применением более подходящих методов решения систем линейных уравнений с разреженной матрицей.
Решение краевой задачи разностным методом (листинг 12.7)
Решение краевой задачи разностным методом (листинг 12.7)
Решение краевой задачи с разрывом в хf=0.5 (листинги 12.3—12.4)
Решение краевой задачи с разрывом в хf=0.5 (листинги 12.3—12.4)
Ради справедливости необходимо заметить, что разобранную краевую задачу легко решить и с помощью функции sbval, заменив в листинге 12.2 зависимость а(х) на третью строку листинга 12.3. В этом случае листинг 12.2 даст в точности тот же ответ, что показан на рис. 12.5. Однако в определенных случаях (в том числе из соображений быстроты расчетов) удобнее использовать функцию bvaif it, т. е. вести пристрелку с обеих границ интервала.
Если Вы имеете дело с подобными уравнениями, попробуйте сначала решить их как обычную краевую задачу с помощью более надежной и легкой в применении функции sbval.
Сетка, покрывающая расчетный интервал
Сетка, покрывающая расчетный интервал
Существует множество способов аппроксимации дифференциальных уравнений разностными. От выбора конкретного варианта зависит не только простота, быстрота и удобство вычислений, но и сама возможность получения правильного ответа.
Получилась система (по числу шагов) 2 (N-1) разностных линейных алгебраических уравнений с 2N неизвестными Yi и уi,.. Для того чтобы она имела единственное решение, надо дополнить число уравнений до 2N. Это можно сделать, записав в разностном виде оба граничных условия:
Y0=I0, YN=RYN (2)
Сформированная полная система алгебраических уравнений называется разностной схемой, аппроксимирующей исходную краевую задачу. Обратите внимание, что правые части разностных уравнений системы (1) на каждом шаге записаны для левой границы шага. Такие разностные схемы называют явными, т. к. все значения Yi+1 и Y1+i находятся в левой части уравнений. Полученную явную разностную схему легко записать в матричной форме
Az=B, (3)
где z — неизвестный вектор, получающийся объединением векторов Y и у. Решив систему (3), мы получим решение краевой задачи.
На самом деле, все несколько сложнее, поскольку, вообще говоря, необходимо еще доказать, что, во-первых, разностная схема действительно аппроксимирует дифференциальные уравнения и, во-вторых, при N разностное решение действительно сходится к дифференциальному.
Процесс решения системы разностных уравнений называют также реализацией разностной схемы. Программа, которая решает рассматриваемую краевую задачу разностным методом, приведена в листинге 12.6.
Биржевой анализ: Технический анализ - Инструменты - Софт
- Биржевой анализ - Технический анализ
- Обучение техническому анализу
- Индексы технического анализа
- Индикаторы технического анализа
- Методы технического анализа
- Графика в техническом анализе
- Технический анализ рынков
- Российский технический анализ
- Инструменты технического анализа
- Математика в биржевом анализе
- Разновидности биржевого анализа
- Mathematica в биржевом анализе
- MathCAD в биржевом анализе
- Maple в биржевом анализе
- Matlab в биржевом анализе