Математический редактор MathCAD
Одно уравнение с одним неизвестным
8.1. Одно уравнение с одним неизвестнымРассмотрим одно алгебраическое уравнение с одним неизвестным х.
f(x)=0, (1)
например,
sin(x)=0.
Для решения таких уравнений Mathcad имеет встроенную функцию root, которая, в зависимости от типа задачи, может включать либо два, либо четыре аргумента и, соответственно, работает несколько по-разному.
Приведем пример решения очень простого уравнения sin(x)=o, корни которого известны заранее.
Корни полинома
8.2. Корни полиномаЕсли функция f (х) является полиномом, то все его корни можно определить, используя встроенную функцию
polyroots(v),
где v — вектор, составленный из коэффициентов полинома.
Поскольку полином N-й степени имеет ровно N корней (некоторые из них могут быть кратными), вектор v должен состоять из N+I элемента. Результатом действия функции poiyroots является вектор, составленный из N корней рассматриваемого полинома. При этом нет надобности вводить какое-либо начальное приближение, как для функции root. Пример поиска корней полинома четвертой степени иллюстрируется листингом 8.5.
Системы уравнений
8.3. Системы уравненийРассмотрим решение системы N нелинейных уравнений с M неизвестными
f1(x1, ... ,хм) = 0,
. . . (1)
fn(x1, ... ,хм) = 0,
Здесь f1(x1, ... ,хм) , ..., fn(x1, ... ,хм) — некоторые скалярные функции от скалярных переменных хцх2/ ... /хм и, возможно, от еще каких-либо переменных. Уравнений может быть как больше, так и меньше числа переменных. Заметим, что систему (1) можно формально переписать в виде
f(x)=0, (2)
где х — вектор, составленный из переменных x1,х2, ... ,хм, a f (х) — соответствующая векторная функция.
Для решения систем имеется специальный вычислительный блок, состоящий из трех частей, идущих последовательно друг за другом:
В листинге 8.6. приведен пример решения системы двух уравнений.
О численных методах решения систем уравнений
8.4. О численных методах решения систем уравненийЕсли Вы решаете "хорошие" уравнения, как все те, которые были приведены в предыдущих разделах, то можете никогда не задумываться, как именно Mathcad ищет их корни. Однако даже в этом случае полезно представлять, что происходит "за кадром", т. е. какие действия совершаются в промежутке между введением необходимых условий после ключевого слова Given и получением результата после применения функции Find. Это важно хотя бы с позиций выбора начальных значений переменных перед вычислительным блоком. Рассмотрим в данном разделе некоторые особенности численных методов и возможности установки их различных параметров, которые предоставляет Mathcad.
Функция Find реализует градиентные численные методы. Покажем их основную идею на примере уравнения с одним неизвестным f(x)=o для функции f (х)=х2+5х+2, график которой показан на рис. 8.4. Основная идея градиентных методов состоит в последовательных приближениях к истинному решению уравнения, которые вычисляются с помощью производной от f (х). Приведем наиболее простую форму алгоритма, называемого методом Ньютона:
Приближенное решение уравнений
8.5. Приближенное решение уравненийИногда приходится заменять задачу определения корней системы уравнений задачей поиска экстремума функции многих переменных. Например, когда невозможно найти решение с помощью функции Find, можно попытаться потребовать вместо точного выполнения уравнений условий минимизировать их невязку. Для этого следует в вычислительном блоке вместо функции Find использовать функцию Minerr, имеющую тот же самый набор параметров. Она также должна находиться в пределах вычислительного блока:
Пример использования функции Minerr показан в листинге 8.9. Как видно, достаточно заменить в вычислительном блоке имя функции на Minerr, чтобы вместо точного (с точностью до TOL) получить приближенное решение уравнения, заданного после ключевого слова Given.
Экстремум функции одной переменной
8.6.1. Экстремум функции одной переменнойПоиск экстремума функции включает в себя задачи нахождения локального и глобального экстремума. Последние называют еще задачами оптимизации. Рассмотрим конкретный пример функции f(x), показанной графиком на рис. 8.8 на интервале (-2,5). Она имеет глобальный максимум на левой границе интервала, глобальный минимум, локальный максимум, локальный минимум и локальный максимум на правой границе интервала (в порядке слева направо).
В Mathcad с помощью встроенных функций решается только задача поиска локального экстремума. Чтобы найти глобальный максимум (или минимум), требуется либо сначала вычислить все их локальные значения и потом выбрать из них наибольший (наименьший), либо предварительно просканиро-вать с некоторым шагом рассматриваемую область, чтобы выделить из нее подобласть наибольших (наименьших) значений функции и осуществить поиск глобального экстремума, уже находясь в его окрестности. Последний путь таит в себе некоторую опасность уйти в зону другого локального экстремума, но часто может быть предпочтительнее из соображений экономии времени.
Условный экстремум
8.6.2. Условный экстремумВ задачах на условный экстремум функции минимизации и максимизации должны быть включены в вычислительный блок, т. е. им должно предшествовать ключевое слово Given. В промежутке между Given и функцией поиска экстремума с помощью булевых операторов записываются логические выражения (неравенства, уравнения), задающие ограничения на значения аргументов минимизируемой функции. В листинге 8.13 показаны примеры поиска условного экстремума на различных интервалах, определенных неравенствами. Сравните результаты работы этого листинга с двумя предыдущими.
Экстремум функции многих переменных
8.6.3. Экстремум функции многих переменныхВычисление экстремума функции многих переменных не несет принципиальных особенностей по сравнению с функциями одной переменной. Поэтому ограничимся примером (листинг 8.14) нахождения максимума и минимума функции, показанной в виде графиков трехмерной поверхности и линий уровня на рис. 8.9. Привлечем внимание читателя только к тому, как с помощью неравенств, введенных логическими операторами, задается область на плоскости (х,y) .
Линейное программирование
8.6.4. Линейное программированиеЗадачи поиска условного экстремума функции многих переменных часто встречаются в экономических расчетах для минимизации издержек, финансовых рисков, максимизации прибыли и т. п. Целый класс экономических задач оптимизации описывается системами линейных уравнений и неравенств. Они называются задачами линейного программирования. Приведем характерный пример т. н. транспортной задачи, которая решает одну из проблем оптимальной организации доставки товара потребителям с точки зрения экономии транспортных средств (листинг 8.15).
Поиск экстремума функции
8.6. Поиск экстремума функцииЗадачи поиска экстремума функции означают нахождение ее максимума (наибольшего значения) или минимума (наименьшего значения) в некоторой области определения ее аргументов. Ограничения значений аргументов, задающих эту область, как и прочие дополнительные условия, должны быть определены в виде системы неравенств и (или) уравнений. В таком случае говорят о задаче на условный экстремум.
Для решения задач поиска максимума и минимума в Mathcad имеются встроенные функции Minerr, Minimize и Maximize. Все они используют те же градиентные численные методы, что и функция Find для решения уравнений. Поэтому Вы можете выбирать численный алгоритм минимизации из уже рассмотренных нами численных методов (см. разд. 8.4).
Символьное решение уравнений
8.7. Символьное решение уравненийНекоторые уравнения можно решить точно с помощью символьного процессора Mathcad. Делается это очень похоже на численное решение уравнений с применением вычислительного блока. Присваивать неизвестным начальные значения нет необходимости.
Метод продолжения по параметру
8.8. Метод продолжения по параметруРешение "хороших" нелинейных уравнений и систем типа тех, которые были рассмотрены в предыдущих разделах этой главы, представляет собой несложную, с вычислительной точки зрения, задачу. В реальных инженерных и научных расчетах очень распространена более сложная проблема: решение не одного уравнения (или системы), а целой серии уравнений, зависящих от некоторого параметра (или нескольких параметров). Для таких задач существуют очень эффективные методы, которые называются методами продол-жения. Эти методы непосредственно не встроены в Mathcad, но могут быть легко запрограммированы с помощью уже рассмотренных нами средств. Будем далее говорить об одном уравнении, имея в виду, что всегда возможно обобщение результатов на случай системы уравнений.
Пусть имеется уравнение f (а,х)=0, зависящее не только от неизвестного х, но и от параметра а. Требуется определить зависимость его корня х от параметра а, т. е. х(а). Простой пример такой задачи был приведен в предыдущем разделе в листинге 8.18. Тогда нам повезло, и решение в общем виде было найдено с помощью символьных вычислений. Рассмотрим еще один, чуть более сложный пример, аналитическое решение которого также заранее известно, но с которым символьный процессор, тем не менее, не справляется. Обобщим задачу, добавив зависимость от параметра а следующим образом:
sin(ax)=0. (1)
Аналитическое решение этого уравнения находится из соотношения ах =Npi, где N=0,1,2,..., т е. имеется бесконечное количество (для каждого N) семейств решений xN=Npi/a. Несколько из семейств для N=1,2,3 показаны на рис. 8.10 тремя сплошными кривыми. Кроме того, следует иметь в виду, что для N=0, т. е. х=0, решением является прямая, совпадающая с осью х. Заметим (листинг 8.19), что символьный процессор Mathcad выдает в качестве решения только эту серию х=0.
Диалоговое окно Advanced Options
Диалоговое окно Advanced Options
Пара переключателей Multistart (Сканирование) задает опцию поиска глобального или локального минимума или максимума Если выставлен переключатель Yes (Да), Mathcad будет пытаться найти наиболее глубокий экстремум из области, близкой к начальному приближению Эта опция предназначена, в основном, для настройки (тех же самых, градиентных) алгоритмов поиска экстремума, а не для решения алгебраических уравнений
Наконец, последний переключатель Evolutionary (Эволюционный алгоритм), если установить его в положение Yes (Да), позволяет использовать модификацию численного метода для решения уравнений, определяемых не обязательно гладкими функциями Как мы убедились в этом разделе, все градиентные методы, реализованные в функции Find, требуют многократного вычисления производных Если Вы работаете с достаточно гладкими функциями, то градиентные методы обеспечивают быстрый и надежный поиск корня. Для поиска корня недостаточно гладких функций одной переменной, следует либо выставить данную опцию функции Find, либо использовать метод секущих (функцию root). Помните, что правильный выбор численного метода и его параметров может помочь при решении нестандартной задачи, которая при стандартных установках может и не поддаваться решению.
Графическое решение системы двух уравнений
Графическое решение системы двух уравнений
Пока мы рассмотрели пример системы из двух уравнений и таким же числом неизвестных, что встречается наиболее часто. Но число уравнений и неизвестных может и не совпадать. Более того, в вычислительный блок можно добавить дополнительные условия в виде неравенств. Например, введение ограничения на поиск только отрицательных значений х в рассмотренный выше листинг 8.6 приведет к нахождению другого решения, как это показано в листинге 8.7.
и положение найденного корня показаны
Графическое решение уравнения sin(x)=0
График функции f (x)=sin(x) и положение найденного корня показаны на рис. 8.1. Обратите внимание, что, хотя уравнение имеет бесконечное количество корней xn=npi (n=0,±1,±2,...), Mathcad находит (с заданной точностью) только один из них, х0, лежащий наиболее близко к х=0.5. Если задать другое начальное значение, например х=3, то решением будет другой корень уравнения х1=pi и т. д. Таким образом, для поиска корня средствами Mathcad требуется его предварительная локализация. Это связано с особенностями выбранного численного метода, который называется методом секущих и состоит в следующем (рис. 8.2):
График функции f(х)=х4+5х3-10х
График функции f(х)=х4+5х3-10х
Для поиска локальных экстремумов имеются две встроенные функции, которые могут применяться как в пределах вычислительного блока, так и автономно.
Дополнительные условия могут быть заданы
График функции f (х, у) и отрезок прямой х+у=10
Дополнительные условия могут быть заданы и равенствами. Например, определение после ключевого слова Given уравнения х+у=10 приводит к такому решению задачи на условный экстремум.
Как нетрудно сообразить, еще одно дополнительное условие привело к тому, что численный метод ищет минимальное значение функции f(x,y) вдоль отрезка прямой, показанного на рис. 8.9.
Поиск минимума можно организовать и с помощью функции Minerr. Для этого в листинге 8.14 надо поменять имя функции Minimize на Minerr, а после ключевого слова Given добавить выражение, приравнивающее функции f (х,у) значение, заведомо меньшее минимального, например f (х,у) =0.
мы рассмотрели пример нахождения
График функции kx2+y2
В листинге 8. 9 мы рассмотрели пример нахождения существующего решения уравнения. Приведем в заключение пример нахождения функцией Minerr приближенного решения несовместной системы уравнений и неравенств (листинг 8.10). Решение, выдаваемое функцией Minerr, минимизирует невязку данной системы.
Согласно своему математическому смыслу, функция Minerr может применяться для построения регрессии серии данных по закону, заданному пользователем (см. разд. 15.2).
Иллюстрация метода Ньютона
Иллюстрация метода Ньютона
Модификация алгоритма Ньютона для решения системы нескольких уравнений заключается в линеаризации соответствующих функций многих переменных, т. е. аппроксимации их линейной зависимостью с помощью частных производных. Например, для нулевой итерации в случае системы двух уравнений используются выражения.
Чтобы отыскать точку, соответствующую каждой новой итерации, требуется приравнять оба равенства нулю, т. е. решить на каждом шаге полученную систему линейных уравнений.
Mathcad предлагает три различных вида градиентных методов. Чтобы поменять численный метод:
Иллюстрация метода секущих
Иллюстрация метода секущих
Результат, показанный на рис. 8.2, получен для погрешности вычислений, которой в целях иллюстративности предварительно присвоено значение TOL=0.5. Поэтому для поиска корня с такой невысокой точностью оказалось достаточно одной итерации. В вычислениях, приведенных в листинге 8.1, погрешность TOL=0.001 была установлена по умолчанию, и решение, выданное численным методом, лежало намного ближе к истинному положению корня х=0. Иными словами, чем меньше константа TOL, тем ближе к нулю будет значение f (x) в найденном корне, но тем больше времени будет затрачено вычислительным процессором Mathcad на его поиск.
Соответствующий пример можно найти в Быстрых шпаргалках, на странице Ресурсов Mathcad. Он расположен в разделе "Solving Equations" (Решение уравнений) и называется "Effects of TOL on Solving Equations" (Влияние константы TOL на решение уравнений).
Если уравнение неразрешимо, то при попытке найти его корень будет выдано сообщение об ошибке. Кроме того, к ошибке или выдаче неправильного корня может привести и попытка применить метод секущих в области локального максимума или минимума f (х). В этом случае секущая может иметь направление, близкое к горизонтальному, выводя точку следующего приближения далеко от предполагаемого положения корня. Для решения таких уравнений лучше применять другую встроенную функцию Minerr (см. разд. 8.5). Аналогичные проблемы могут возникнуть, если начальное приближение выбрано слишком далеко от настоящего решения или f (х) имеет особенности типа бесконечности.
Для решения уравнения с одним неизвестным применимы и градиентные методы, относящиеся в Mathcad к системам уравнений. Информация об этом приведена в разд. 8.3.
Иногда удобнее задавать не начальное приближение к корню, а интервал [а,b], внутри которого корень заведомо находится. В этом случае следует использовать функцию root с четырьмя аргументами, а присваивать начальное значение х не нужно, как показано в листинге 8.2. Поиск корня будет осуществлен в промежутке между а и ь альтернативным численным методом (Риддера или Брента).
Приближенное решение несовместной системы уравнений и неравенств
Листинг 8.10. Приближенное решение несовместной системы уравнений и неравенств
Как видно из листинга, в качестве результата выдаются значения переменных, наилучшим образом удовлетворяющие уравнению и неравенствам внутри вычислительного блока. Внимательный читатель может обнаружить, что решение, выдаваемое функцией Minerr в рассматриваемом примере, не является единственным, поскольку множество пар значений (х,у) в равной степени минимизирует невязку данной системы уравнений и неравенств. Поэтому для различных начальных значений будут получаться разные решения, подобно тому как разные решения выдаются функцией Find в случае бесконечного множества корней (см. обсуждение листинга 8.6 в разд. 8.3). Еще более опасен случай, когда имеются всего несколько локальных минимумов функции невязки. Тогда неудачно выбранное начальное приближение приведет к выдаче именно этого локального минимума, несмотря на то, что другой (глобальный) минимум невязки может удовлетворять системе гораздо лучше.
Максимум функции одной переменной
Листинг 8.12. Максимум функции одной переменной

Как видно из листингов, существенное влияние на результат оказывает выбор начального приближения, в зависимости от чего в качестве ответа выдаются различные локальные экстремумы. В последнем случае численный метод вообще не справляется с задачей, поскольку начальное приближение х=-10 выбрано далеко от области локального максимума, и поиск решения уходит в сторону увеличения f (х).
Три примера поиска условного экстремума функции
Листинг 8.13. Три примера поиска условного экстремума функции
Не забывайте о важности выбора правильного начального приближения и в случае задач на условный экстремум. Например, если вместо условия - 3<х<0 в последнем примере листинга задать -5<х<0, то при том же самом начальном х=-10 будет найден максимум Maximize(f,x) =-0.944, что неверно, поскольку максимальное значение достигается функцией f (х) на левой границе интервала при х=-5. Выбор начального приближения х=-4 решает задачу правильно, выдавая в качестве результата Maximize (f ,x) =-5.
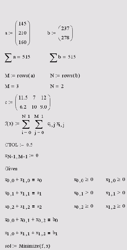
Решение задачи линейного программирования
Листинг 8.15. Решение задачи линейного программирования
Модель типичной транспортной задачи следующая. Пусть имеется N предприятий-производителей, выпустивших продукцию в количестве b0,... ,bn-1, тонн. Эту продукцию требуется доставить м потребителям в количестве a0,... ,aм-1 тонн каждому. Численное определение векторов а и ь находится в первой строке листинга. Сумма всех заказов потребителей ai равна сумме произведенной продукции, т. е. всех bi (проверка равенства во второй строке). Если известна стоимость перевозки тонны продукции от 1-го производителя к j-му потребителю cij то решение задачи задает оптимальное распределение соответствующего товаропотока xij с точки зрения минимизации суммы транспортных расходов. Матрица с и минимизируемая функция f (х) матричного аргумента х находятся в середине листинга 8.15.
Условия, выражающие неотрицательность товаропотока, и равенства, задающие сумму произведенной каждым предприятием продукции и сумму заказов каждого потребителя, находятся после ключевого слова Given. Решение, присвоенное матричной переменной sol, выведено в последней строке листинга вместе с соответствующей суммой затрат. Обратите внимание, что для получения результата пришлось увеличить погрешность CTOL, задающую максимальную допустимую невязку дополнительных условий. В строке, предшествующей ключевому слову Given, определяются нулевые начальные значения ддя х простым созданием нулевого элемента матрицы xn-1, м-1
Если взять другие начальные значения для х, решение, скорее всего, будет другим! Возможно, Вы сумеете отыскать другой локальный минимум, который еще больше минимизирует транспортные затраты. Это еще раз доказывает, что задачи на глобальный минимум, к классу которых относится линейное программирование, требуют аккуратного отношения в смысле выбора начальных значений. Часто ничего другого не остается, кроме сканирования всей области начальных значений, чтобы из множества локальных минимумов выбрать наиболее глубокий.
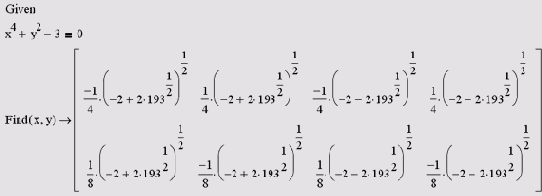
Символьное решение системы алгебраических уравнений
Листинг 8.17. Символьное решение системы алгебраических уравнений
Символьное решение уравнения, зависящего от параметра
Листинг 8.18. Символьное решение уравнения, зависящего от параметра

В следующем разделе мы рассмотрим более подробно, как с помощью Mathcad можно численными методами решать подобные задачи.
Решение уравнения sin(ax)=0 методом продолжения по параметру
Листинг 8.21. Решение уравнения sin(ax)=0 методом продолжения по параметру
Поиск мнимого корня
Листинг 8.3. Поиск мнимого корня
Поиск корня уравнения, заданного функцией двух переменных
Листинг 8.4. Поиск корня уравнения, заданного функцией двух переменных

В первой строке листинга определяется функция f (x,y), во второй и третьей — значения, для которых будет производиться решение уравнения по у и х, соответственно. В четвертой строке решено уравнение f (x,0)=0, а в последней —уравнение f (1,y)=0. Не забывайте при численном решении уравнений относительно одной из переменных предварительно определить значения остальных переменных. Иначе попытка вычислить уравнения приведет к появлению ошибки "This variable or function is not defined above", в данном случае говорящей о том, что другая переменная ранее не определена. Конечно, можно указать значение других переменных непосредственно внутри функции root, беспрепятственно удалив, например, вторую и третью строки листинга 8.4 и введя его последние строки в виде root(f (x,0) ,х)= и root(f (1,у) ,у)=, соответственно.
Для того чтобы отыскать зависимость корней уравнения, вычисленных по одной переменной, от других переменных, разработаны специальные эффективные алгоритмы. Об одной из возможностей читайте в разд. 8.8.
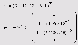
Поиск корня полинома
Листинг 8.5. Поиск корня полинома
Коэффициенты рассматриваемого в примере полинома
f (х) = (х-3 ) (х-1)3=х4-6х3 + 12х2-10х+3 (1)
записаны в виде вектора в первой строке листинга. Первым в векторе должен идти свободный член полинома, вторым — коэффициент при х1 и т. д. Соответственно, последним n+1 элементом вектора должен быть коэффициент при старшей степени Xn.
Иногда исходный полином имеется не в развернутом виде, а, например, как произведение нескольких полиномов. В этом случае определить все его коэффициенты можно, выделив его и выбрав в меню Symbolics (Символика) пункт Expand (Разложить). В результате символьный процессор Mathcad сам преобразует полином в нужную форму, пользователю надо будет только корректно ввести ее в аргументы функции polyroots.
Во второй строке листинга 8.5 показано действие функции poiyroots. Обратите внимание, что численный метод вместо двух из трех действительных единичных корней (иными словами, кратного корня 1) выдает два мнимых числа. Однако малая мнимая часть этих корней находится в пределах погрешности, определяемой константой TOL, и не должна вводить пользователей в заблуждение. Просто нужно помнить, что корни полинома могут быть комплексными, и ошибка вычислений может сказываться как на действительной, так и на комплексной части искомого корня.
Для функции poiyroots можно выбрать один из двух численных методов — метод полиномов Лаггера (он установлен по умолчанию) или метод парной матрицы.
Для смены метода:
Поиск корня уравнения с одним неизвестным с помощью функции Find
Листинг 8.8. Поиск корня уравнения с одним неизвестным с помощью функции Find

В чем же отличие приведенного решения от листинга 8.1 с функцией root? Оно состоит в том, что одна и та же задача решена различными численными методами. В данном случае выбор метода не влияет на окончательный результат, но бывают ситуации, когда применение того или иного метода имеет решающее значение.
демонстрирует приближенное...
Листинг 8.9 демонстрирует приближенное решение уравнения kx2+y2:=0, которое при любом значении коэффициента k имеет единственный точный корень (х=0,у=0). Тем не менее, при попытке решить его функцией Find для больших k, порядка принятых в листинге, происходит генерация ошибки "No solution was found" (Решение не найдено). Это связано с иным поведением функции f (x,y)=kx2+y2 вблизи ее корня, по сравнению с функциями, приводимыми в качестве примеров выше в этой главе (см. рис. 8.1, 8.2). В отличие от них, f (х,у) не пересекает плоскость f (х,у)=о, а лишь касается ее (рис. 8.7) в точке (х=0,у=0). Поэтому и найти корень изложенными в предыдущем разделе градиентными методами сложнее, поскольку вблизи корня производные f (х,у) близки к нулю, и итерации могут уводить предполагаемое решение далеко от корня.
Ситуация еще более ухудшается, если наряду с корнем типа касания (см. рис. 8.7) имеются (возможно, весьма удаленные) корни типа пересечения. Тогда попытка решить уравнение или систему уравнений с помощью функции Find может приводить к нахождению корня второго типа, даже если начальное приближение было взято очень близко к первому. Поэтому если Вы предполагаете, что система уравнений имеет корень типа касания, намного предпочтительнее использовать функцию Minerr, тем более, что всегда есть возможность проверить правильность решения уравнений простой подстановкой в них полученного решения (см. листинг 8.6).
Решение уравнения sin(a-x)=0 методом продолжения для у0=300 (листинг 8.21)
Решение уравнения sin(a-x)=0 методом продолжения для у0=300 (листинг 8.21)
Чтобы найти другое семейство решений, нужно взять соответствующее первое начальное значение у0, например у0=600. Результат действия листинга 8.21 для этого случая показан на рис. 8.12. Если взять у0 ближе к третьему семейству решений (например у0=300), то оно и будет найдено вычислительным процессором Mathcad, и т. д.
С помощью метода продолжения можно решать и соответствующие задачи оптимизации, зависящие от параметра. Идеология в этом случае остается точно такой же, но вместо функций решения нелинейных уравнений root или Find вам следует применить одну из функций поиска экстремума Min-err, Maximize или Minimize.
Мы привели основную идею и один из возможных способов реализации метода продолжения по параметру. Безусловно, Вы можете предложить иные как математические, так и программистские решения этой проблемы. В частности, для выбора очередного начального приближения к корню можно использовать результат экстраполяции уже найденной зависимости х(а), придумаъ более сложные алгоритмы для ветвящихся сем решений и т. д.
методом продолжения по параметру
Решение уравнения sin (ах) = 0 методом продолжения по параметру для у0=600
Решение уравнения sin(ax) =0 (см. листинг 8.21)
Решение уравнения sin(ax) =0 (см. листинг 8.21)
Смена численного метода
Смена численного метода
Чтобы вернуть автоматический выбор типа численного метода, в контекстном меню надо выбрать пункт AutoSelect (Автоматический выбор) Если установлена опция автоматического выбора (о чем говорит флажок, установленный в пункте AutoSelect), то текущий тип численного метода можно узнать, вызвав то же самое подменю и посмотрев, который из них отмечен точкой Два последних метода являются квази-Ньютоновскими, основная идея которых была рассмотрена выше Первый из них, метод сопряженных градиентов, является двухшаговым — для поиска очередной итерации он использует как текущую, так и предыдущую итерации. Алгоритм Левенберга подробно описан в справочной системе Mathcad, а детальную информацию о методах Ньютона и сопряженных градиентов можно найти в большинстве книг по численным методам
Помимо выбора самою метода, имеется возможность устанавливать их некоторые параметры Для этого нужно вызвать с помощью того же контекстного меню диалоговое окно Advanced Options (Дополнительные параметры), выбрав в контекстном меню пункты Nonlinear / Advanced options (Нелинейный / Дополнительные параметры) В этом диалоговом окне (рис. 8.6.) имеется пять групп переключателей, по два в каждой
В первой строке Derivative estimation (Аппроксимация производной) определяется метод вычисления производной Forward (Вперед) или Central (Центральная) Они соответствуют аппроксимации производной либо правой (двухточечная схема "вперед"), либо центральной (трехточечная симметричная схема) конечной разностью
Обратите внимание, что вычисление производной в градиентных численных методах решения уравнений производится более экономичным способом, нежели при численном дифференцировании (см гл 7)
Во второй строке Variable estimation (Аппроксимация переменных) можно определить тип аппроксимации рядом Тейлора Для рассмотренного нами в этом разделе случая аппроксимации касательной прямой линией выберите переключатель Tangent (Касательная), для более точной квадратичной аппроксимации (параболой) выберите Quadratic (Квадратичная) Следующая группа переключателей Linear variable check (Проверка линейности) позволяет в специфических задачах сэкономить время вычислений Если Вы уверены, что нелинейности всех функций, входящих в уравнение, мало сказываются на значениях всех их частных производных, то установите переключатель Yes (Да) В этом случае производные будут приняты равными константам и не будут вычисляться на каждом шаге
С осторожностью изменяйте параметры численных методов Пользуйтесь ими, когда решение не находится при выставленных по умолчанию параметрах или когда расчеты занимают очень продолжительное время.
Биржевой анализ: Технический анализ - Инструменты - Софт
- Биржевой анализ - Технический анализ
- Обучение техническому анализу
- Индексы технического анализа
- Индикаторы технического анализа
- Методы технического анализа
- Графика в техническом анализе
- Технический анализ рынков
- Российский технический анализ
- Инструменты технического анализа
- Математика в биржевом анализе
- Разновидности биржевого анализа
- Mathematica в биржевом анализе
- MathCAD в биржевом анализе
- Maple в биржевом анализе
- Matlab в биржевом анализе