Математический редактор MathCAD
Способы символьных вычислений
5.1. Способы символьных вычисленийСимвольные вычисления в Mathcad можно осуществлять в двух различных вариантах:
В символьных вычислениях допускается использование большинства встроенных функций Mathcad.
Для символьных вычислений при помощи команд предназначено главное меню Symbolics (Символика), объединяющее математические операции, которые Mathcad умеет выполнять аналитически (рис. 5.1). Для реализации второго способа применяются все средства Mathcad, пригодные для численных вычислений (например, панели Calculator, Evaluation и т. д.), и специальная математическая панель инструментов, которую можно вызвать на экран нажатием кнопки Symbolic Keyword Toolbar (Панель символики) на панели Math. На панели Symbolic (Символические) находятся кнопки, соответствующие специфическим командам символьных преобразований (рис 5.2) Например, таким, как разложение выражения на множители, расчет преобразования Лапласа и другим операциям, которые в Mathcad нельзя проводить численно и для которых, соответственно, не предусмотрены встроенные функции.
Упрощение выражений (Simplify)
5.2.1. Упрощение выражений (Simplify)Упрощение выражений — наиболее часто применяемая операция. Символьный процессор Mathcad стремится так преобразовать выражение, чтобы оно приобрело более простую форму. При этом используются различные арифметические формулы, приведение подобных слагаемых, тригонометрические тождества, пересчет обратных функций и др. Чтобы упростить выражение с помощью меню (рис. 5.7):
Разложение выражений (Expand)
5.2.2. Разложение выражений (Expand)Операция символьного разложения, или расширения, выражений противоположна по смыслу операции упрощения. В ходе разложения раскрываются все суммы и произведения, а сложные тригонометрические зависимости разлагаются с помощью тригонометрических тождеств. Разложение выражений производится путем выбора команды Symbolics / Expand (Символика / Разложить) либо использованием вместе с оператором символьного вывода ключевого слова expand. Применение операции разложения было подробно рассмотрено в разд. 5.1 (см. рис. 5.3—5.6 и листинг 5.1).
Разложение на множители (Factor)
5.2.3. Разложение на множители (Factor)Разложение выражений на простые множители производится при помощи команды Symbolics / Factor (Символика / Разложить на множители) (рис. 5.8) либо использованием вместе с оператором символьного вывода ключевого слова factor (листинг 5.5). Эта операция позволяет разложить полиномы на произведение более простых полиномов, а целые числа — на простые сомножители. Применяя команду меню, не забывайте перед ее вызовом выделить все выражение или его часть, которую планируете разложить на множители.
Приведение подобных слагаемых (Collect)
5.2.4. Приведение подобных слагаемых (Collect)Чтобы привести подобные слагаемые полинома с помощью меню (рис. 5.9):
Коэффициенты полинома (Polynomial Coefficients)
5.2.5. Коэффициенты полинома (Polynomial Coefficients)Если выражение является полиномом относительно некоторой переменной х, заданным не в обычном виде а0+а1х+а2х2+..., а как произведение других, более простых полиномов, то коэффициенты а0+а1+а2 легко определяются символьным процессором Mathcad. Коэффициенты сами могут быть функциями (подчас, довольно сложными) других переменных.
Ряды и произведения
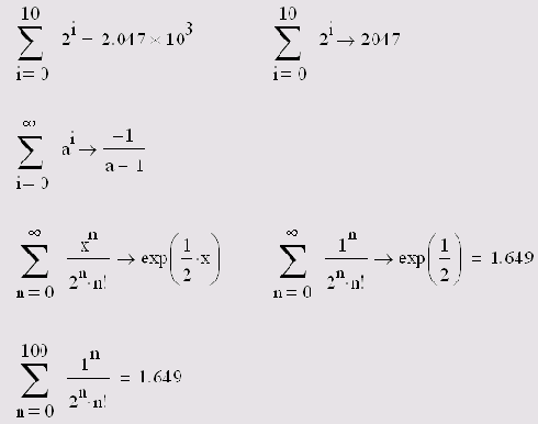
5.2.6. Ряды и произведенияЧтобы вычислить символьно конечную или бесконечную сумму или произведение:
Листоин 5.9. Символьные и численные расчеты рядов
Разложение на элементарные дроби (Convert to Partial Fractions)
5.2.7. Разложение на элементарные дроби (Convert to Partial Fractions)Чтобы разложить сложную дробь на более простые дроби, следует либо выполнить команду Symbolics / Variable / Convert to Partial Fractions (Символика / Переменная / Разложить на элементарные дроби) (рис. 5.11), либо указать ключевое слово parfrас (листинг 5.11). Применяя первый способ (меню), не забывайте перед выбором его команды выделить переменную, по которой будет производиться разложение, а если используется второй способ (с оператором символьного вывода), то имя переменной следует указать после ключевого слова parfгас. В общем, последовательность действий при разложении на дроби та же самая, что и обычно (см., например, разд. 5.2.4).
Подстановка переменной (Substitute)
5.2.8. Подстановка переменной (Substitute)Очень удобная возможность символьных вычислений — это операция подстановки значения переменной в выражение. При помощи меню подстановка производится следующим образом (рис. 5.12):
Матричная алгебра
5.2.9. Матричная алгебраСимвольный процессор Mathcad позволяет аналитически выполнять самые разные матричные вычисления. Помня о том, что большинство операций и встроенных функций осуществляются над матрицами точно так же, как над обычными числами, к матричным вычислениям можно применять рассмотренную выше команду упрощения (Simplify) из меню символьных вычислений.
Кроме того, имеется ряд специфичных матричных операций, которые можно организовать либо с помощью пункта меню Symbolics / Matrix (Символика / Матрица), либо с помощью нескольких кнопок на панели Symbolic (Символика), относящихся к матрицам (см рис. 5.2). Это следующие матричные операции.
Символьная алгебра
5.2. Символьная алгебраСимвольный процессор Mathcad умеет выполнять основные алгебраические преобразования, такие, как упрощение выражений, разложение их на множители, символьное суммирование и перемножение.
Дифференцирование (Differentiate)
5.3.1. Дифференцирование (Differentiate)Чтобы аналитически продифференцировать выражение по некоторой переменной, выделите в нем эту переменную и выберите команду Symbolics / Variable /Differentiate (Символика/ Переменная /Дифференцировать) (рис. 5.13).
Интегрирование (Integrate)
5.3.2. Интегрирование (Integrate)Для вычисления неопределенного интеграла от некоторого выражения по определенной переменной выделите в выражении переменную и выполните команду Symbolics / Variable / Integrate (Символика / Переменная / Интегрировать) (рис. 5.14). Вычисленное аналитическое представление неопределенного интеграла появится ниже. При этом результат может содержать как встроенные в Mathcad функции (см. гл. 10 и приложение 3), так и другие спецфункции, которые нельзя непосредственно рассчитать в Mathcad, но символьный процессор "умеет" выдавать их в качестве результата некоторых символьных операций.
Более подробную информацию о символьном решении алгебраических уравнений, дифференцировании и интегрировании (с применением оператора символьного вывода), включая вычисление производных высших порядков, определенных кратных интегралов, можно найти в части III этой книги (см гл 7)
Разложение в ряд (Expand to Series)
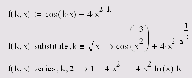
5.3.3. Разложение в ряд (Expand to Series)С помощью символьного процессора Mathcad возможно получить разложение выражения в ряд Тейлора по любой переменной х в точке х=о, т. е. представить выражение в окрестности точки х суммой вида a0+a1x+a2x2+a3x3+... Здесь а1— некоторые коэффициенты, не зависящие от х, но, возможно, являющиеся функциями других переменных, входящих в исходное выражение. Если выражение имеет в точке х=о особенность, то * соответствующее разложение называют рядом Лорана.
Чтобы разложить выражение в ряд
Не забывайте, что разложение строится только в точке х=о Чтобы получить разложение в другой точке х=а, можно, к примеру, подставить вместо переменной х значение х-а (см. разд 52.8).
Решение уравнений (Solve)
5.3.4. Решение уравнений (Solve)С помощью символьного процессора можно вычислить аналитически значение переменной, при котором выражение обращается в ноль. Для этого:
Математический анализ
5.3. Математический анализНаиболее ярким проявлением возможностей символьного процессора в Mathcad являются аналитические вычисления пределов, производных, интегралов и разложений в ряд, а также решение алгебраических уравнений. Все эти операции при выполнении их посредством меню Symbolics (Символика) находятся в его подменю Variable (Переменная). Соответственно, требуется предварительное выделение в выражении переменной, относительно которой будет совершаться операция Для выделения переменной достаточно поместить ее между линиями ввода, но для большей наглядности лучше выделить ее черным цветом путем протаскивания указателя мыши через нужную часть выражения.
Все перечисленные операции можно осуществлять и при помощи оператора символьного вывода. Применение этого способа описывается в соответствующих главах части III (за исключением разложения в ряд, освещенного в разд. 5.3.3). Ниже в этом разделе приводятся сведения о проведении операций математического анализа посредством меню.
Символьный поиск предела функции описан в разд "Вычислительные операторы" гл 3)
Преобразование Фурье (Fourier)
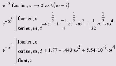
5.4.1. Преобразование Фурье (Fourier)Преобразование Фурье представляет функцию f (х) в виде интеграла по гармоническим функциям, называемого интегралом Фурье:
Преобразование Лапласа (Laplace)
5.4.2. Преобразование Лапласа (Laplace)Преобразованием Лапласа называют интеграл от f (х) следующего вида:
Рассчитывается преобразование Лапласа совершенно аналогично Фурье-преобразованию (см. предыдущий раздел). Примеры преобразования Лапласа приведены в листинге 5.17.
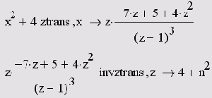
Z-преобразование (Z)
5.4.3. Z-преобразование (Z)Z-преобразование функции f(x) определяется через бесконечную сумму следующего вида:
Пример Z-преобразования приведен в листинге 5.18.
Интегральные преобразования
5.4. Интегральные преобразованияИнтегральные преобразования, по определению, ставят в соответствие некоторой функции f (х) другую функцию от другого аргумента F(CO). Причем это соответствие f(x)-"F(o)) задается интегральной зависимостью. Символьный процессор Mathcad позволяет осуществлять три вида интегральных преобразований функций — преобразование Фурье, Лапласа и Z-преобра-зование. Наряду с прямыми преобразованиями, имеется возможность совершать любое из этих трех обратных преобразований, т. е. F (w) ->f (x).
Выполняются все символьные интегральные преобразования аналогично уже рассмотренным операциям. Для вычисления преобразования выражения выделяется переменная, по которой будет осуществляться преобразование, и затем выбирается соответствующий пункт меню. Преобразования с применением оператора символьного вывода используются с одним из соответствующих ключевых слов, вслед за которым требуется указать имя нужной переменной.
Приведем примеры символьного расчета каждого из трех интегральных преобразований.
Применение функций пользователя
5.5.1. Применение функций пользователяПри проведении символьных вычислений с оператором символьного вывода функции пользователя и переменные, определенные ранее в документе Mathcad, воспринимаются символьным процессором корректно. Таким образом, имеется мощный аппарат включения символьных расчетов в программы пользователя. Примеры применения функции пользователя приведены в листингах 5.19 и 5.20. Сравните последние строчки этих листингов. Несмотря на их идентичность слева от знака символьного вывода, полученные результаты потличаются. Это связано с тем, что в листинге 5.20 предварительно переменной х присвоено значение 4. Поскольку значения переменных влияют на символьные вычисления, то результат учитывает подстановку вместо х числа 4.
Получение численного значения выражения
5.5.2. Получение численного значения выраженияС помощью символьного процессора можно рассчитать численное значение выражения (действительное или комплексное). Иногда такой путь представляется более удобным, чем применение численного процессора (т. е. знака обычного равенства). Чтобы рассчитать значение некоторого выражения (рис. 5.21), выберите команду Symbolics/ Evaluate/ Symbolically (Символика / Вычислить / Символьно), либо пункт Symbolics / Evaluate / Floating Point (Символика / Вычислить / С плавающей точкой). В последнем случае Вам будет предложено с помощью диалога Floating Point Evaluation (Вычисления с плавающей точкой) задать точность вывода. В итоге применения данных команд Mathcad заменяет символьные результаты, где это возможно, значениями в виде чисел с плавающей точкой.
Последовательности символьных команд
5.5.3. Последовательности символьных командСимвольные вычисления допускается проводить с применением цепочек из ключевых слов. Для этого ключевые слова, соответствующие последовательным символьным операциям, должны быть введены по очереди с панели Symbolic (Символика). Принцип организации цепочек символьных вычислений очень похож на применение встроенного языка программирования Mathcad (см. следующую главу). Несколько примеров использования последовательности символьных операторов приводится в листингах 5.23 и 5.24.
Последовательности символьных команд допускают введение дополнительных условий в расчеты, например таких, как ограничение на действительную или комплексную форм/ результата. Это делается с помощью ключевого слова assume. Более подробную информацию читатель найдет в справочной системе Mathcad.
Дополнительные возможности символьного процессора
5.5. Дополнительные возможности символьного процессораВыше в этой главе были разобраны основные приемы символьных вычислений в Mathcad. Они, как правило, были показаны на простых примерах, которые иллюстрировали ту или иную символьную операцию. Тем не менее, при проведении разнообразных (и численных тоже) расчетов в Mathcad возможности символьного процессора можно использовать более эффективно. Отметим некоторые из них.
Дифференцирование по переменной
Дифференцирование по переменной
В результате в следующей строке за выражением появится значение ее производной. Для того чтобы найти вторую производную, повторно примените эту последовательность действий, но уже к полученному результату дифференцирования. Так же находятся и производные высших порядков.
Функция и ее разложения в ряды Тейлора
Функция и ее разложения в ряды Тейлора
Символьные вычисления
Глава 5. Символьные вычисленияИнтегрирование по переменной
Интегрирование по переменной
ом 5.16 иллюстрируется обратное преобразование Фурье одной из функций предыдущего листинга.
Листингом 5.16 иллюстрируется обратное преобразование Фурье одной из функций предыдущего листинга.В Mathcad преобразование Фурье можно вычислить и с помощью численного процессора, использующего популярный алгоритм БПФ (см. разд. "Преобразование Фурье" гл. 14).
Символьный расчет произведения
Листинг 5.10. Символьный расчет произведения

Разложение на элементарные дроби
Листинг 5.11. Разложение на элементарные дроби
Подстановка значения переменной
Листинг 5.12. Подстановка значения переменной
Разложение выражения в ряд с разным порядком аппроксимации
Листинг 5.13. Разложение выражения в ряд с разным порядком аппроксимацииРазложение выражения в ряд по разным переменным
Листинг 5.14.Разложение выражения в ряд по разным переменным
Обратное преобразование
Листинг 5.16.Обратное преобразование

Прямое и обратное преобразование Лапласа
Листинг 5.17. Прямое и обратное преобразование Лапласа
Прямое и обратное Z-преобразование
Листинг 5.18. Прямое и обратное Z-преобразование
Функция пользователя в символьных вычислениях
Листинг 5.19. Функция пользователя в символьных вычисленияхСимвольные преобразования
Листинг 5.1. Символьные преобразованияЗначения переменных влияет на результат символьных вычислений
Листинг 5.20. Значения переменных влияет на результат символьных вычислений

Напротив, при осуществлении символьных операций через меню Symbolics (Символика), символьный процессор "не видит" ничего, кроме выражения, в пределах которого находятся линии ввода. Поэтому ни функции пользователя, ни предварительно определенные значения каких-либо переменных никак не влияют на вычисления.
Используйте меню Symbolics (Символика), если требуется "сиюминутно" провести некоторые аналитические действия с выражением и получить ответ в общем виде, не учитывающем текущие значения переменных, входящих в выражение.
Комплексные преобразования выражения
Листинг 5.22. Комплексные преобразования выражения

Z-преобразование и разложение на простые дроби
Листинг 5.24. Z-преобразование и разложение на простые дроби

Упрощение выражения с подстановкой значения переменных
Листинг 5.3. Упрощение выражения с подстановкой значения переменных
У прощение выражения с числами
Листинг 5.4. У прощение выражения с числами

Примеры разложения на множетели
Листинг 5.5. Примеры разложения на множетели
Приведение подобных слагаемых по разным переменным
Листинг 5.6. Приведение подобных слагаемых по разным переменным
показывает расчет...
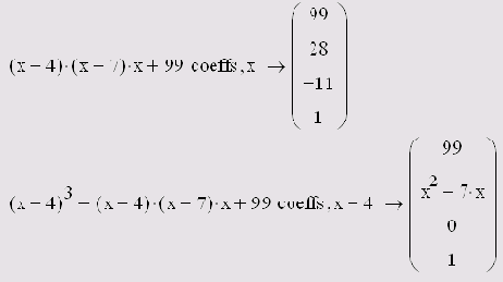
Листинг 5.7 показывает расчет коэффициентов для разных аргументов. Последний листинг демонстрирует возможность определения коэффи-щентов не только для отдельных переменных, но для более сложных выражений, входящих в рассматриваемую формулу в качестве составной части.Вычисление коэффициентов полинома
Листинг 5.7. Вычисление коэффициентов полинома
Листинг 5.8. Вычисление полиноминальных коэффициентов для простой переменной и выражения

Меню Symbolics
Меню Symbolics
Панель Symbolic
Панель Symbolic
Рассмотрим оба типа символьных вычислений на простом примере разложения на сомножители выражения sin (2х)
Первый способ (с помощью меню).
Подготовка выражения для разложения в ряд по переменной х
Подготовка выражения для разложения в ряд по переменной х
Подстановка значения переменной
Подстановка значения переменной
Для осуществления той же операции в совокупности с оператором символьного вывода используйте ключевое слово substitute, которое вставляется в документ одноименной кнопкой на панели Symbolic (Символика). После ключевого слова substitute необходимо ввести в местозаполнители логическое выражение, показывающее, какую именно переменную какой формулой следует заменить (листинг 5.12).
Приведение подобных слагаемых
Приведение подобных слагаемых
Чтобы привести подобные слагаемые с помощью оператора символьного вывода (листинг 5.6):
Расчет Фурье-преобразования при помощи меню
Расчет Фурье-преобразования при помощи меню
Аналитический расчет преобразования Фурье при помощи меню показан на рис. 5.20. В листинге 5.15 приведены два примера вычисления прямого преобразования Фурье с применением ключевого слова fourier и оператора символьного вывода
Различие в символьных вычислениях при помощи меню (сверху) и оператора -> (снизу)
Различие в символьных вычислениях при помощи меню (сверху) и оператора -> (снизу)
Далее в этой главе, рассматривая символьные вычисления с помощью меню, будем иллюстрировать результаты рисунками, а символьные вычисления с применением оператора -> приводить в виде листингов.
Разложение сложной дроби на элементарные дроби
Разложение сложной дроби на элементарные дроби
Разложение выражения на множители
Разложение выражения на множители
Разложение в ряд Тейлора
Разложение в ряд Тейлора
Результат применения команды меню Symbolics / Expand
Результат применения команды меню Symbolics / Expand
Символьные операции с помощью меню возможны лишь над каким-либо объектом (выражением, его частью или отдельной переменной) Для того чтобы правильно осуществить желаемое аналитическое преобразование, предварительно необходимо выделить тот объект, к которому оно будет относиться В данном случае преобразование было применено ко всему выражению sin (2х) Если же выделить часть формулы, как показано на рис 5.4, то соответствующее преобразование будет отнесено к выделенной части (нижняя строка на этом рисунке).
Результат разложения в ряд Тейлора
Результат разложения в ряд Тейлора
Для разложения в ряд альтернативным способом, с помощью оператора символьного вывода, используйте ключевое слово series, вставляя его одноименной кнопкой панели Symbolic (Символика) После ключевого слова series, через запятую, указывается имя переменной, по которой производится разложение, и порядок аппроксимации (листинги 5.13. и 5.14.) Сравнение функции и ее разложений в ряды с разными порядками аппроксимации (для k=b=i) иллюстрируется рис 5.18. Видно, что разложение в ряд хорошо работает в окрестности точки х=о, а по мере удаления от нее все сильнее и сильнее отличается от функции
Символьное разложение части выражения и его результат
Символьное разложение части выражения и его результат
Второй способ символьных преобразований (с помощью оператора ->).
Символьное разложение выражения
Символьное разложение выражения
Если символьные вычисления осуществляются вторым способом, символьный процессор учитывает все формулы, предварительно введенные в документе (рис. 5.6, внизу). Но если те же преобразования выполняются при помощи меню, символьный процессор "не видит" ничего, кроме одной формулы, и воспринимает все ее переменные аналитически, даже если им предварительно были присвоены какие-то значения (рис. 5.6, сверху). По этой причине, например, символьным преобразованиям через меню недоступны предварительные определения функций пользователя.
Если Вы можете выбрать способ символьных вычислений, рекомендуем второй путь — с помощью оператора ->, поскольку при этом в документе сохраняются действия пользователя. Наличие специального меню символьных вычислений — своего рода дань прежним версиям Mathcad. В них аналитические преобразования были встроены не так гармонично и были доступны, главным образом, через меню.
Не всякое выражение поддается аналитическим преобразованиям. Если это так (либо в силу того, что задача вовсе не имеет аналитического решения, либо она оказывается слишком сложной для символьного процессора Mathcad), то в качестве результата выводится само выражение (листинг 5.1. внизу).
Символьное решение уравнения
Символьное решение уравнения
Упрощение выражения
Упрощение выражения
Для упрощения выражения при помощи оператора символьного вывода используйте ключевое слово simplify (листинг 5.2). Не забывайте, если некоторым переменным, входящим в выражение, ранее были присвоены некоторые значения, то они будут подставлены в него при выполнении символьного вывода (листинг 5.3).
Вычисление коэффициентов полинома
Вычисление коэффициентов полинома
Чтобы вычислить полиномиальные коэффициенты в выражении при помощи меню (рис. 5 10):
Конкретная задача, требующая вычисления полиномиальных коэффициентов, приведена в разделе, посвященном численному отделению корней полинома (см. разд. "Корни полинома" гл. 8).
Чтобы вычислить полиномиальные коэффициенты с помощью оператора символьного вывода:
Вычисление выражения с плавающей точкой
Вычисление выражения с плавающей точкой
Еще один пункт меню Symbolics / Evaluate / Complex (Символика / Вычислить / Комплексно) позволяет представить выражение в виде а+b-i.
Аналогичные по действию ключевые слова float и complex можно использовать в документах, вводя их с панели Symbolic (Символика). Ключевое слово float применяется вместе со значением точности вывода результата с плавающей точкой (листинг 5.21). С помощью слова complex можно преобразовывать выражения как в символьном виде, так и с учетом численных значений, если они были ранее присвоены переменным (несколько примеров приведено в листинге 5.22).
Биржевой анализ: Технический анализ - Инструменты - Софт
- Биржевой анализ - Технический анализ
- Обучение техническому анализу
- Индексы технического анализа
- Индикаторы технического анализа
- Методы технического анализа
- Графика в техническом анализе
- Технический анализ рынков
- Российский технический анализ
- Инструменты технического анализа
- Математика в биржевом анализе
- Разновидности биржевого анализа
- Mathematica в биржевом анализе
- MathCAD в биржевом анализе
- Maple в биржевом анализе
- Matlab в биржевом анализе