Математический редактор MathCAD
Действительные числа
4.1.1. Действительные числаЛюбое выражение, начинающееся с цифры, Mathcad интерпретирует как число. Поэтому для ввода числа просто начните его набирать на клавиатуре. Несмотря на то, что Mathcad хранит все числа в одинаковом формате, вводить их можно в наиболее подходящем представлении (notation), исходя из контекста документа:
При вводе целых чисел, больших или равных 1000, все цифры пишутся слитно (как показано в первой строке листинга 4.1) и ни в коем случае не разделяются на порядки запятыми. Например, ввод числа 1000 как 1,000 или 1.000 недопустим.
Комплексные числа
4.1.2. Комплексные числаБольшинство операций в среде Mathcad по умолчанию осуществляются над комплексными числами. Комплексное число является суммой действительного и мнимого числа, получающегося путем умножения любого действительного числа на мнимую единицу (imaginary unit) i. По определению, i2=-1.
Чтобы ввести мнимое число, например 3i:
Встроенные константы
4.1.3. Встроенные константыНекоторые имена в Mathcad зарезервированы под системные переменные, которые называются встроенными константами (built-in constants). Встроенные константы делятся на два типа: математические, хранящие значения некоторых общеупотребительных специальных математических символов, и системные, определяющие работу большинства численных алгоритмов, реализованных в Mathcad.
Строковые выражения
4.1.4. Строковые выраженияЗначением переменной или функции может быть не только число, но и строка, состоящая из любой последовательности символов, заключенной в кавычки (листинг 4.7). Для работы со строками в Mathcad имеется несколько встроенных функций (см. разд. "Строковые функции" гл. 10).
Типы данных
4.1. Типы данныхНаиболее простой и распространенный ввод-вывод данных в Mathcad реализован присваиванием и выводом (либо численным, либо символьным) непосредственно в документе. Переменные и функции, посредством которых осуществляется ввод-вывод, могут иметь значения различных типов (числовые, строковые и т. д.). Перечислим основные типы данных, которые обрабатываются процессорами системы Mathcad:
Создание размерной переменной
4.2.1. Создание размерной переменнойЧтобы создать размерную переменную, определяющую, например, силу тока в 10 А:
Просмотреть вставку единиц измерения можно и без выхода из диалогового окна Insert Unit, нажимая вместо кнопки ОК кнопку Insert (Вставить).
В этом случае Вы увидите, что единица измерений появилась в нужном месте документа, и можете поменять ее, оставаясь в диалоге Insert Unit.
Работа с размерными переменными
4.2.2. Работа с размерными переменнымиРаботая с размерными переменными, приготовьтесь к тому, что Mathcad будет постоянно контролировать корректность расчетов. Например, нельзя складывать переменные разной размерности, в противном случае (рис. 4.6) будет получено сообщение об ошибке "The units in this expression do not match" (Размерности в этом выражении не совпадают). Тем не менее, позволяется складывать, например, амперы с килоамперами (см. рис. 4.9).
Выбор системы единиц
4.2.3. Выбор системы единицКак легко заметить, во всех примерах этого раздела вставлялись единицы системы измерения SI. Об этом можно было судить как по перечню самих единиц, так и по недоступному списку System (Система) в диалоге Insert Unit (Вставка единицы измерений) с выбранным пунктом SI. Сменить систему единиц во всем документе можно, выполнив команду Tools / Document Options (Сервис / Опции документа) и переходя на вкладку Unit System (Система единиц). В ней следует выбрать один из переключателей, соответствующий желаемой системе.
Определение новой размерности
4.2.4. Определение новой размерностиЧтобы определить новую (пользовательскую) единицу измерения, достаточно присвоить ее выражение через используемые размерности переменной с соответствующим именем. Пример создания новой единицы измерения "наноампер" приведен в листинге 4.9.
Размерные переменные
4.2. Размерные переменныеВ Mathcad числовые переменные и функции могут обладать размерностью. Сделано это для упрощения инженерных и физических расчетов. В Mathcad встроено большое количество единиц измерения, с помощью которых и создаются размерные переменные.
Доступ к элементам массива
4.3.1. Доступ к элементам массиваДоступ ко всему массиву осуществляется по имени векторной переменной. Например, последовательность символов "а", "=" в листингах 4.10 и 4.11 приведет к выводу соответствующего вектора или матрицы. В Mathcad имеются и операторы, и встроенные функции, которые действуют на векторы и матрицы целиком (они рассматриваются в гл. 9), например, транспонирование, матричное умножение и т. д.
Над элементами массива можно совершать действия как над обычными числами. Нужно только правильно задать соответствующий индекс или сочетание индексов массива. Например, чтобы получить доступ к нулевому элементу вектора а из листинга 4.10:
Чтобы получить доступ к элементу многоиндексного массива (например элементу а1,0 матрицы а из листинга 4.11):
В рассмотренных листингах нумерация индексов массивов начинается с нуля, иными словами, первый элемент массива имеет индекс о. Стартовый индекс массива задается системной переменной ORIGIN, которая по умолчанию равна нулю. Если Вы привыкли нумеровать элементы векторов и матриц с единицы, присвойте этой переменной значение 1 (листинг 4.12). Обратите внимание, что в этом случае попытка выяснить значение нулевого элемента вектора приводит к ошибке, поскольку его значение не определено.
Помимо доступа к отдельным элементам массива, имеется возможность совершать действия над его подмассивами (например векторами-столбцами, образующими матрицу). Делается это с помощью оператора со значком х<> на панели Matrix (Матрица) (см. гл. 9).
Ранжированные переменные
4.3.2. Ранжированные переменныеРанжированные переменные в Mathcad являются разновидностью векторов и предназначены, главным образом, для создания циклов или итерационных вычислений. Простейший пример ранжированной переменной — это массив с числами, лежащими в некотором диапазоне с некоторым шагом.
Например, для создания ранжированной переменной s с элементами 0,1,2,3,4,5:
Создание массивов
4.3.3. Создание массивовСуществует несколько способов создания массива:
Отображение вывода векторов и матриц
4.3.4. Отображение вывода векторов и матрицВы, вероятно, обратили внимание, что матрицы, векторы и ранжированные переменные отображались в различных примерах по-разному. Это связано с автоматическими установками отображения матриц, принятыми в Mathcad по умолчанию. Существуют два стиля отображения массива: в форме матрицы и в форме таблицы (рис. 4.16).
Массивы
4.3. МассивыМассивами (arrays) называют упорядоченные последовательности чисел или элементов массива. Доступ к любому элементу массива возможен по его индексу, т. е. номеру в последовательности чисел (в листинге 4.10 а — это массив, ах — его элемент). Применение массивов чрезвычайно эффективно в математических расчетах.
Формат результата
4.4.1. Формат результатаУправление представлением числа в десятичном представлении или представлении с порядком осуществляется при помощи следующих параметров:
Округление малых чисел до нуля
4.4.2. Округление малых чисел до нуляMathcad автоматически округляет малые числа до нуля (листинг 4.23). Допускается установка порогового значения округления (в степенях 10), отдельно для действительной и мнимой части числа. При этом числа, по модулю меньшие порога, отображаются в виде нуля.
Помните, что это касается только отображения чисел. В памяти компьютера они хранятся корректно.
Вывод чисел в других системах счисления
4.4.3. Вывод чисел в других системах счисленияАналогично вводу чисел в других системах, счисления (см. разд. 4.1.1), вывести результат также возможно в виде десятичного, двоичного, восьмеричного или шестнадцатеричного числа (листинг 4.24, сверху вниз).
Формат вывода числовых данных
4.4. Формат вывода числовых данныхНесмотря на то, что невозможно влиять на результат, который отображается справа от оператора вывода значений переменных, функций и выражений, допускается изменять формат его отображения. Напомним, что как ввод, так и вывод данных может осуществляться в двух основных представлениях (см. разд. 4.1.1):
Элементы управления (controls)
4.5. Элементы управления (controls)Одна из редко используемых возможностей Mathcad — ввод данных при помощи общеупотребительных элементов управления (такие, как поле ввода, ползунковый регулятор и т. п.). Очевидно, что такой способ ввода удобен, если Вы занимаетесь разработкой расчетов, которые предназначены для непрофессиональных пользователей Mathcad.
В Mathcad 11 имеются следующие элементы управления (рис. 4.25):
Десятичный (decimal) формат
Десятичный (decimal) формат
Числа отображаются только в десятичном представлении и никогда — в представлении с порядком.
Диалоговое окно Insert Unit
Диалоговое окно Insert Unit
Добавление одного столбца к матрице
Добавление одного столбца к матрице
Добавление одной строки к матрице
Добавление одной строки к матрице
В местозаполнители элементов матрицы можно вставлять не только числа (действительные или комплексные), но и любые математические выражения, состоящие из переменных, операторов, встроенных и пользовательских функций (листинг 4.16, вторая строка).
Дробный формат
Дробный формат
Дробный (fraction) формат
Дробный (fraction) форматЭтот формат сильно отличается от предыдущих, представляя число в виде дроби (рис. 4.21). Причем можно управлять как точностью представления числа с помощью поля level of accuracy (Уровень точности), так и задать модификацию этого формата — отображение числа в виде целой и дробной части (как показано на рис. 4.21 внизу слева) посредством установки флажка Use mixed numbers (Смешанные числа).
Вид одного и того же числа в различных форматах приведен в листинге 4.22. В первой строке показан десятичный формат, во второй строке — научный с тремя десятичными знаками, в третьей — инженерный также с тремя десятичными знаками. В последних двух строках представлен дробный формат: в предпоследней с уровнем точности 5, в последней — 10. К тому же, для выражения последней строки установлен флажок Use mixed numbers (Смешанные числа).
Элементы управления MathSoft и панель Controls
Элементы управления MathSoft и панель Controls
Как видно из рис. 4.25, элементы управления в Mathcad используются для присваивания переменным значений, которые определяются действиями пользователя над элементами управления. К примеру, на рис. 4.26 два флажка проверки определяют переменные х0 и x1. Если флажок проверки выставлен, переменная принимает значение 1, а если снят — 0.
Типы данных
Глава 4. Типы данныхИнженерный (engineering) формат
Инженерный (engineering) форматЧисла отображаются только с порядком, причем обязательно кратным 3; как и в научном формате, пользователю разрешается изменять количество десятичных знаков.
Изменение единиц измерения в ответе
Изменение единиц измерения в ответе
Над размерными переменными можно производить любые корректные с физической точки зрения расчеты. Пример расчета сопротивления через отношение напряжения к току приведен в листинге 4.8.
Изменение стиля отображения массива
Изменение стиля отображения массива
Стиль отображения в виде таблицы допускает различное выравнивание матрицы относительно выражения слева от оператора вывода (рис. 4.18). Для изменения выравнивания вызовите контекстное меню из области таблицы, наведите в нем указатель мыши на пункт Alignment (Выравнивание) и в подменю выберите тип выравнивания.
Одномерный массив (вектор)
Листинг 4.10. Одномерный массив (вектор)Двумерный массив (матрица)
Листинг 4.11. Двумерный массив (матрица)

Изменение нумерации индексов массивов
Листинг 4.12. Изменение нумерации индексов массивов
Ранжированная переменная при параллельных вычислениях
Листинг 4.13. Ранжированная переменная при параллельных вычисленияхРанжированная переменная при параллельных вычислениях
Листинг 4.14. Ранжированная переменная при параллельных вычислениях
Использование ранжированной переменной для определения матрицы
Листинг 4.15. Использование ранжированной переменной для определения матрицы

Определяя массив с помощью ранжированных переменных (листинги 4.14 и 4.15), позаботьтесь о том, чтобы их значения пробегали все необходимые индексы массива. Например, если задать шаг изменения ранжированной переменной, равный 2, то половина элементов вектора будет не определена.
Помните о том, что ранжированные переменные — просто разновидности векторов с упрощенной формой задания элементов. Часто необходимо провести одни и те же вычисления циклически, большое количество раз, например, вычисление некоторой функции f (х) в некотором диапазоне х для построения подробного графика. Задание вручную всех значений аргумента (наподобие вектора из листинга 4.10) очень трудоемко, а с помощью задания ранжированной переменной х это делается в одну строку.
Использование переменных и функций при определении матрицы
Листинг 4.16. Использование переменных и функций при определении матрицыСоздание матрицы определением одного ее элемента.
Листинг 4.17. Создание матрицы определением одного ее элемента.Изменение матрицы (продолжение листинге 4.17)
Листинг 4.18. Изменение матрицы (продолжение листинге 4.17)
Создание тензора и доступ к его элементам
Листинг 4.19. Создание тензора и доступ к его элементам
Процесс создания тензора автоматизирует применение ранжированных переменных.
Обратите внимание, что Mathcad по умолчанию не отображает трехмерную структуру тензора (предпоследняя строка листинга 4.19), а вместо этого показывает информацию о размерах каждого элемента матрицы s. Развернуть вложенные массивы можно с помощью команды Format / Result / Display Options (Формат / Результат / Опции отображения), устанавливая флажок Expand Nested Arrays (Разворачивать вложенные массивы) на вкладке Display Options (Опции отображения).
Ввод действительных чисел
Листинг 4.1. Ввод действительных чиселОсновной формат результата
Листинг 4.21. Основной формат результатаДругие форматы результаа вычислений
Листинг 4.22. Другие форматы результаа вычислений
Представление близких к нулю чисел
Листинг 4.23. Представление близких к нулю чиселВывод чисел в других системах счисления
Листинг 4.24. Вывод чисел в других системах счисленияФорматирование вывода чисел в других системах счисления
Листинг 4.25. Форматирование вывода чисел в других системах счисления
Мы рассмотрели в этой главе основные принципы наиболее простого численного ввода и вывода данных. О более впечатляющих формах ввода-вывода (графики, анимация, ввод-вывод в файлы) рассказывается в последней части книги.
Ввод чисел в других системах исчисления
Листинг 4.2. Ввод чисел в других системах исчисления

В логических функциях используются битовые числа (ложь или истина). Они в Mathcad обозначаются обычными действительными числами 0 и 1.
Комплексные числа
Листинг 4.3. Комплексные числаФункций работы с комплексными числами
Листинг 4.4. Функций работы с комплексными числами

Можно выводить мнимую единицу в результатах вычислений не как i, а как j. Для смены представления выберите нужное в списке Imaginary Value (Мнимое значение) диалогового окна Result Format (Формат результата), доступного по команде Format / Result / Display Options (Формат / Результат / Опции отображения).
Значения математических констант
Листинг 4.5. Значения математических константПредустановленные значения системных переменных
Листинг 4.6. Предустановленные значения системных переменныхВвод и вывод строк
Листинг 4.7. Ввод и вывод строк
Совершенно аналогичным образом можно определять пользовательские функции строкового типа.
Расчеты с размерными переменными
Листинг 4.8. Расчеты с размерными переменнымиОпределение новой единицы измерения
Листинг 4.9. Определение новой единицы измерения
Созданные пользователем единицы измерения недоступны в диалоговом окне Insert Unit (Вставка единицы измерений), поэтому их приходится вводить вручную с клавиатуры (как это сделано для новой единицы ПА во второй строке листинга 4.9).
Математические константы (math constants)
Математические константы (math constants)Научный (scientific) формат
Научный (scientific) форматЧисла отображаются только с порядком, причем количество десятичных знаков левого сомножителя, как и отображение незначащих нулей, определяется пользователем.
Нельзя складывать переменные разной размерности
Нельзя складывать переменные разной размерности
Основной (general) формат
Основной (general) форматЭтот формат принят при выводе чисел по умолчанию. Можно управлять и количеством отображаемых десятичных знаков (поле Number of decimal places), и порядковым порогом (поле Exponential threshold). При превышении порога число отображается с порядком (как показано на рис. 4.20). Несколько примеров вывода одного и того же числа в общем формате показано в листинге 4.21. В левой колонке приведены числа с порядковым порогом, равным 3, и количеством десятичных знаков (сверху вниз) 3, 4, 5, соответственно. Для нижнего числа установлен флажок отображения незначащих нулей. В правой колонке сгруппированы числа с порядковым порогом от 1 до 4 (сверху вниз).
Отображение массивов в форме матрицы (слева) и таблицы (справа)
Отображение массивов в форме матрицы (слева) и таблицы (справа)
Изменение стиля отображения какого-либо массива выполняется командой Format/ Result (Формат/ Результат), вызывающей диалог Result Format (Формат результата). В этом диалоге следует перейти на вкладку Display Options (Опции отображения) (рис. 4.17) и в списке Matrix display style (Стиль отображения матриц) выбрать один из стилей:
Пример использования флажка проверки
Пример использования флажка проверки
Для того чтобы вставить элемент управления в документ, можно использовать либо команду меню Insert / Controls (Вставка / Элемент управления), либо панель инструментов Controls (Элементы управления), которую можно вызвать при помощи пункта Toolbars / Controls (Панели инструментов / Элементы управления) меню View (Вид). После нажатия кнопки с пиктограммой нужного элемента управления новый элемент управления появляется в документе вместе с местозаполнителем, который следует заменить именем переменной.
Чтобы отредактировать свойства самого элемента управления, следует вызвать на нем контекстное меню и выбрать в меню пункт Properties (Свойства). Большинство свойств имеет интуитивный смысл, и Вам будет несложно управлять характеристиками ввода данных посредством регулировки параметров самих элементов управления. Дополнительную информацию об использовании элементов управления Вы сможете найти в специальном справочном пособии, доступном по команде Help / Developer's Reference (Справка / Руководство разработчика).
Просмотр точного значения числа в строке состояния
Просмотр точного значения числа в строке состояния
Изменение порога мнимого нуля возможно и в режиме редактирования формулы (рис. 4.22), но изменение действительного порога нуля при этом недоступно.
Просмотреть число в точном представлении можно, нажав клавиши
Различные стили выравнивания матриц
Различные стили выравнивания матриц
В диалоговом окне Result Format (Формат результата), помимо стиля отображения матрицы, можно задать стиль отображения тензоров (вложенных массивов). Для того чтобы отображать тензоры в стиле, показанном на рис. 4.19, установите флажок Expand nested arrays (Разворачивать вложенные массивы). Чтобы отображать их в свернутой форме (см. листинг 4.19), снимите этот флажок.
Разворачивание вложенных массивов
Разворачивание вложенных массивов
Особенно наглядной формой отображения вектора является построение его в виде графика).
Системные переменные (system variables)
Системные переменные (system variables)
Сложение переменных одной размерности, выраженных в разных единицах
Сложение переменных одной размерности, выраженных в разных единицах
Создание массива определением его отдельных элементов
Создание массива определением его отдельных элементов
Массив можно определить следующим образом:
Создание матрицы командой Insert Matrix
Создание матрицы командой Insert MatrixСамый простой и наглядный способ создания вектора или матрицы заключается в следующем:
Создание ранжированной переменной
Создание ранжированной переменной
Результат создания ранжированной переменной показан на рис. 4.10.
Чтобы создать ранжированную переменную с шагом, не равным 1, например, 0,2,4,6,8:
Чаще всего ранжированные переменные используются:
Создание ранжированной переменной с шагом, не равным 1
Чаще всего ранжированные переменные используются:
Создание тензора
Создание тензора
Определение отдельных элементов — удобный способ создания тензоров (многоиндексных массивов). В Mathcad имеется непосредственная возможность работы только с векторами и матрицами. Тем не менее, можно создать тензор путем определения вложенного массива (nested array). Для этого необходимо присвоить каждому элементу матрицы значение в виде другого вектора или матрицы (листинг 4.19). Пользователь должен лишь позаботиться о корректности задания индексов тензора и не запутаться в индексировании вложенных матриц (последняя строка листинга).
Вкладка Built-in Variables диалога Worksheet Options
Вкладка Built-in Variables диалога Worksheet Options
Вставка единиц измерения размерной величины
Вставка единиц измерения размерной величины
Вставка матрицы
Вставка матрицы
Ввод мнимой единицы
Ввод мнимой единицы
Комплексное число можно ввести в виде обычной суммы действительной и мнимой частей или в виде любого выражения, содержащего мнимое число. Примеры ввода и вывода комплексных чисел иллюстрируются листингом 4.3.
Выбор формата вывода числа
Выбор формата вывода числа
Выбор размерности
Выбор размерности
Вывод ранжированной переменной
Вывод ранжированной переменной
Задание порога мнимого нуля
Задание порога мнимого нуля
Задание вывода результата в других системах счисления
Задание вывода результата в других системах счисления
Заполнение матрицы элементами
Заполнение матрицы элементами
На рис. 4.14 и 4.15 показаны результаты последовательной вставки в матрицу столбца и строки после определения соответствующего числа столбцов и строк в диалоге Insert Matrix и нажатия в нем кнопки Insert (Вставить).
Действительные числа
4.1.1. Действительные числаЛюбое выражение, начинающееся с цифры, Mathcad интерпретирует как число. Поэтому для ввода числа просто начните его набирать на клавиатуре. Несмотря на то, что Mathcad хранит все числа в одинаковом формате, вводить их можно в наиболее подходящем представлении (notation), исходя из контекста документа:
При вводе целых чисел, больших или равных 1000, все цифры пишутся слитно (как показано в первой строке листинга 4.1) и ни в коем случае не разделяются на порядки запятыми. Например, ввод числа 1000 как 1,000 или 1.000 недопустим.
Комплексные числа
4.1.2. Комплексные числаБольшинство операций в среде Mathcad по умолчанию осуществляются над комплексными числами. Комплексное число является суммой действительного и мнимого числа, получающегося путем умножения любого действительного числа на мнимую единицу (imaginary unit) i. По определению, i2=-1.
Чтобы ввести мнимое число, например 3i:
Встроенные константы
4.1.3. Встроенные константыНекоторые имена в Mathcad зарезервированы под системные переменные, которые называются встроенными константами (built-in constants). Встроенные константы делятся на два типа: математические, хранящие значения некоторых общеупотребительных специальных математических символов, и системные, определяющие работу большинства численных алгоритмов, реализованных в Mathcad.
Строковые выражения
4.1.4. Строковые выраженияЗначением переменной или функции может быть не только число, но и строка, состоящая из любой последовательности символов, заключенной в кавычки (листинг 4.7). Для работы со строками в Mathcad имеется несколько встроенных функций (см. разд. "Строковые функции" гл. 10).
Типы данных
4.1. Типы данныхНаиболее простой и распространенный ввод-вывод данных в Mathcad реализован присваиванием и выводом (либо численным, либо символьным) непосредственно в документе. Переменные и функции, посредством которых осуществляется ввод-вывод, могут иметь значения различных типов (числовые, строковые и т. д.). Перечислим основные типы данных, которые обрабатываются процессорами системы Mathcad:
Создание размерной переменной
4.2.1. Создание размерной переменнойЧтобы создать размерную переменную, определяющую, например, силу тока в 10 А:
Просмотреть вставку единиц измерения можно и без выхода из диалогового окна Insert Unit, нажимая вместо кнопки ОК кнопку Insert (Вставить).
В этом случае Вы увидите, что единица измерений появилась в нужном месте документа, и можете поменять ее, оставаясь в диалоге Insert Unit.
Работа с размерными переменными
4.2.2. Работа с размерными переменнымиРаботая с размерными переменными, приготовьтесь к тому, что Mathcad будет постоянно контролировать корректность расчетов. Например, нельзя складывать переменные разной размерности, в противном случае (рис. 4.6) будет получено сообщение об ошибке "The units in this expression do not match" (Размерности в этом выражении не совпадают). Тем не менее, позволяется складывать, например, амперы с килоамперами (см. рис. 4.9).
Выбор системы единиц
4.2.3. Выбор системы единицКак легко заметить, во всех примерах этого раздела вставлялись единицы системы измерения SI. Об этом можно было судить как по перечню самих единиц, так и по недоступному списку System (Система) в диалоге Insert Unit (Вставка единицы измерений) с выбранным пунктом SI. Сменить систему единиц во всем документе можно, выполнив команду Tools / Document Options (Сервис / Опции документа) и переходя на вкладку Unit System (Система единиц). В ней следует выбрать один из переключателей, соответствующий желаемой системе.
Определение новой размерности
4.2.4. Определение новой размерностиЧтобы определить новую (пользовательскую) единицу измерения, достаточно присвоить ее выражение через используемые размерности переменной с соответствующим именем. Пример создания новой единицы измерения "наноампер" приведен в листинге 4.9.
Размерные переменные
4.2. Размерные переменныеВ Mathcad числовые переменные и функции могут обладать размерностью. Сделано это для упрощения инженерных и физических расчетов. В Mathcad встроено большое количество единиц измерения, с помощью которых и создаются размерные переменные.
Доступ к элементам массива
4.3.1. Доступ к элементам массиваДоступ ко всему массиву осуществляется по имени векторной переменной. Например, последовательность символов "а", "=" в листингах 4.10 и 4.11 приведет к выводу соответствующего вектора или матрицы. В Mathcad имеются и операторы, и встроенные функции, которые действуют на векторы и матрицы целиком (они рассматриваются в гл. 9), например, транспонирование, матричное умножение и т. д.
Над элементами массива можно совершать действия как над обычными числами. Нужно только правильно задать соответствующий индекс или сочетание индексов массива. Например, чтобы получить доступ к нулевому элементу вектора а из листинга 4.10:
Чтобы получить доступ к элементу многоиндексного массива (например элементу а1,0 матрицы а из листинга 4.11):
В рассмотренных листингах нумерация индексов массивов начинается с нуля, иными словами, первый элемент массива имеет индекс о. Стартовый индекс массива задается системной переменной ORIGIN, которая по умолчанию равна нулю. Если Вы привыкли нумеровать элементы векторов и матриц с единицы, присвойте этой переменной значение 1 (листинг 4.12). Обратите внимание, что в этом случае попытка выяснить значение нулевого элемента вектора приводит к ошибке, поскольку его значение не определено.
Помимо доступа к отдельным элементам массива, имеется возможность совершать действия над его подмассивами (например векторами-столбцами, образующими матрицу). Делается это с помощью оператора со значком х<> на панели Matrix (Матрица) (см. гл. 9).
Ранжированные переменные
4.3.2. Ранжированные переменныеРанжированные переменные в Mathcad являются разновидностью векторов и предназначены, главным образом, для создания циклов или итерационных вычислений. Простейший пример ранжированной переменной — это массив с числами, лежащими в некотором диапазоне с некоторым шагом.
Например, для создания ранжированной переменной s с элементами 0,1,2,3,4,5:
Создание массивов
4.3.3. Создание массивовСуществует несколько способов создания массива:
Отображение вывода векторов и матриц
4.3.4. Отображение вывода векторов и матрицВы, вероятно, обратили внимание, что матрицы, векторы и ранжированные переменные отображались в различных примерах по-разному. Это связано с автоматическими установками отображения матриц, принятыми в Mathcad по умолчанию. Существуют два стиля отображения массива: в форме матрицы и в форме таблицы (рис. 4.16).
Массивы
4.3. МассивыМассивами (arrays) называют упорядоченные последовательности чисел или элементов массива. Доступ к любому элементу массива возможен по его индексу, т. е. номеру в последовательности чисел (в листинге 4.10 а — это массив, ах — его элемент). Применение массивов чрезвычайно эффективно в математических расчетах.
Формат результата
4.4.1. Формат результатаУправление представлением числа в десятичном представлении или представлении с порядком осуществляется при помощи следующих параметров:
Округление малых чисел до нуля
4.4.2. Округление малых чисел до нуляMathcad автоматически округляет малые числа до нуля (листинг 4.23). Допускается установка порогового значения округления (в степенях 10), отдельно для действительной и мнимой части числа. При этом числа, по модулю меньшие порога, отображаются в виде нуля.
Помните, что это касается только отображения чисел. В памяти компьютера они хранятся корректно.
Вывод чисел в других системах счисления
4.4.3. Вывод чисел в других системах счисленияАналогично вводу чисел в других системах, счисления (см. разд. 4.1.1), вывести результат также возможно в виде десятичного, двоичного, восьмеричного или шестнадцатеричного числа (листинг 4.24, сверху вниз).
Формат вывода числовых данных
4.4. Формат вывода числовых данныхНесмотря на то, что невозможно влиять на результат, который отображается справа от оператора вывода значений переменных, функций и выражений, допускается изменять формат его отображения. Напомним, что как ввод, так и вывод данных может осуществляться в двух основных представлениях (см. разд. 4.1.1):
Элементы управления (controls)
4.5. Элементы управления (controls)Одна из редко используемых возможностей Mathcad — ввод данных при помощи общеупотребительных элементов управления (такие, как поле ввода, ползунковый регулятор и т. п.). Очевидно, что такой способ ввода удобен, если Вы занимаетесь разработкой расчетов, которые предназначены для непрофессиональных пользователей Mathcad.
В Mathcad 11 имеются следующие элементы управления (рис. 4.25):
Десятичный (decimal) формат
Десятичный (decimal) формат
Числа отображаются только в десятичном представлении и никогда — в представлении с порядком.
Диалоговое окно Insert Unit
Диалоговое окно Insert Unit
Добавление одного столбца к матрице
Добавление одного столбца к матрице
Добавление одной строки к матрице
Добавление одной строки к матрице
В местозаполнители элементов матрицы можно вставлять не только числа (действительные или комплексные), но и любые математические выражения, состоящие из переменных, операторов, встроенных и пользовательских функций (листинг 4.16, вторая строка).
Дробный формат
Дробный формат
Дробный (fraction) формат
Дробный (fraction) форматЭтот формат сильно отличается от предыдущих, представляя число в виде дроби (рис. 4.21). Причем можно управлять как точностью представления числа с помощью поля level of accuracy (Уровень точности), так и задать модификацию этого формата — отображение числа в виде целой и дробной части (как показано на рис. 4.21 внизу слева) посредством установки флажка Use mixed numbers (Смешанные числа).
Вид одного и того же числа в различных форматах приведен в листинге 4.22. В первой строке показан десятичный формат, во второй строке — научный с тремя десятичными знаками, в третьей — инженерный также с тремя десятичными знаками. В последних двух строках представлен дробный формат: в предпоследней с уровнем точности 5, в последней — 10. К тому же, для выражения последней строки установлен флажок Use mixed numbers (Смешанные числа).
Элементы управления MathSoft и панель Controls
Элементы управления MathSoft и панель Controls
Как видно из рис. 4.25, элементы управления в Mathcad используются для присваивания переменным значений, которые определяются действиями пользователя над элементами управления. К примеру, на рис. 4.26 два флажка проверки определяют переменные х0 и x1. Если флажок проверки выставлен, переменная принимает значение 1, а если снят — 0.
Типы данных
Глава 4. Типы данныхИнженерный (engineering) формат
Инженерный (engineering) форматЧисла отображаются только с порядком, причем обязательно кратным 3; как и в научном формате, пользователю разрешается изменять количество десятичных знаков.
Изменение единиц измерения в ответе
Изменение единиц измерения в ответе
Над размерными переменными можно производить любые корректные с физической точки зрения расчеты. Пример расчета сопротивления через отношение напряжения к току приведен в листинге 4.8.
Изменение стиля отображения массива
Изменение стиля отображения массива
Стиль отображения в виде таблицы допускает различное выравнивание матрицы относительно выражения слева от оператора вывода (рис. 4.18). Для изменения выравнивания вызовите контекстное меню из области таблицы, наведите в нем указатель мыши на пункт Alignment (Выравнивание) и в подменю выберите тип выравнивания.
Одномерный массив (вектор)
Листинг 4.10. Одномерный массив (вектор)Двумерный массив (матрица)
Листинг 4.11. Двумерный массив (матрица)

Изменение нумерации индексов массивов
Листинг 4.12. Изменение нумерации индексов массивов
Ранжированная переменная при параллельных вычислениях
Листинг 4.13. Ранжированная переменная при параллельных вычисленияхРанжированная переменная при параллельных вычислениях
Листинг 4.14. Ранжированная переменная при параллельных вычислениях
Использование ранжированной переменной для определения матрицы
Листинг 4.15. Использование ранжированной переменной для определения матрицы

Определяя массив с помощью ранжированных переменных (листинги 4.14 и 4.15), позаботьтесь о том, чтобы их значения пробегали все необходимые индексы массива. Например, если задать шаг изменения ранжированной переменной, равный 2, то половина элементов вектора будет не определена.
Помните о том, что ранжированные переменные — просто разновидности векторов с упрощенной формой задания элементов. Часто необходимо провести одни и те же вычисления циклически, большое количество раз, например, вычисление некоторой функции f (х) в некотором диапазоне х для построения подробного графика. Задание вручную всех значений аргумента (наподобие вектора из листинга 4.10) очень трудоемко, а с помощью задания ранжированной переменной х это делается в одну строку.
Использование переменных и функций при определении матрицы
Листинг 4.16. Использование переменных и функций при определении матрицыСоздание матрицы определением одного ее элемента.
Листинг 4.17. Создание матрицы определением одного ее элемента.Изменение матрицы (продолжение листинге 4.17)
Листинг 4.18. Изменение матрицы (продолжение листинге 4.17)
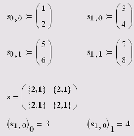
Создание тензора и доступ к его элементам
Листинг 4.19. Создание тензора и доступ к его элементам
Процесс создания тензора автоматизирует применение ранжированных переменных.
Обратите внимание, что Mathcad по умолчанию не отображает трехмерную структуру тензора (предпоследняя строка листинга 4.19), а вместо этого показывает информацию о размерах каждого элемента матрицы s. Развернуть вложенные массивы можно с помощью команды Format / Result / Display Options (Формат / Результат / Опции отображения), устанавливая флажок Expand Nested Arrays (Разворачивать вложенные массивы) на вкладке Display Options (Опции отображения).
Ввод действительных чисел
Листинг 4.1. Ввод действительных чиселОсновной формат результата
Листинг 4.21. Основной формат результатаДругие форматы результаа вычислений
Листинг 4.22. Другие форматы результаа вычислений
Представление близких к нулю чисел
Листинг 4.23. Представление близких к нулю чиселВывод чисел в других системах счисления
Листинг 4.24. Вывод чисел в других системах счисленияФорматирование вывода чисел в других системах счисления
Листинг 4.25. Форматирование вывода чисел в других системах счисления
Мы рассмотрели в этой главе основные принципы наиболее простого численного ввода и вывода данных. О более впечатляющих формах ввода-вывода (графики, анимация, ввод-вывод в файлы) рассказывается в последней части книги.
Ввод чисел в других системах исчисления
Листинг 4.2. Ввод чисел в других системах исчисления

В логических функциях используются битовые числа (ложь или истина). Они в Mathcad обозначаются обычными действительными числами 0 и 1.
Комплексные числа
Листинг 4.3. Комплексные числаФункций работы с комплексными числами
Листинг 4.4. Функций работы с комплексными числами

Можно выводить мнимую единицу в результатах вычислений не как i, а как j. Для смены представления выберите нужное в списке Imaginary Value (Мнимое значение) диалогового окна Result Format (Формат результата), доступного по команде Format / Result / Display Options (Формат / Результат / Опции отображения).
Значения математических констант
Листинг 4.5. Значения математических константПредустановленные значения системных переменных
Листинг 4.6. Предустановленные значения системных переменныхВвод и вывод строк
Листинг 4.7. Ввод и вывод строк
Совершенно аналогичным образом можно определять пользовательские функции строкового типа.
Расчеты с размерными переменными
Листинг 4.8. Расчеты с размерными переменнымиОпределение новой единицы измерения
Листинг 4.9. Определение новой единицы измерения
Созданные пользователем единицы измерения недоступны в диалоговом окне Insert Unit (Вставка единицы измерений), поэтому их приходится вводить вручную с клавиатуры (как это сделано для новой единицы ПА во второй строке листинга 4.9).
Математические константы (math constants)
Математические константы (math constants)Научный (scientific) формат
Научный (scientific) форматЧисла отображаются только с порядком, причем количество десятичных знаков левого сомножителя, как и отображение незначащих нулей, определяется пользователем.
Нельзя складывать переменные разной размерности
Нельзя складывать переменные разной размерности
Основной (general) формат
Основной (general) форматЭтот формат принят при выводе чисел по умолчанию. Можно управлять и количеством отображаемых десятичных знаков (поле Number of decimal places), и порядковым порогом (поле Exponential threshold). При превышении порога число отображается с порядком (как показано на рис. 4.20). Несколько примеров вывода одного и того же числа в общем формате показано в листинге 4.21. В левой колонке приведены числа с порядковым порогом, равным 3, и количеством десятичных знаков (сверху вниз) 3, 4, 5, соответственно. Для нижнего числа установлен флажок отображения незначащих нулей. В правой колонке сгруппированы числа с порядковым порогом от 1 до 4 (сверху вниз).
Отображение массивов в форме матрицы (слева) и таблицы (справа)
Отображение массивов в форме матрицы (слева) и таблицы (справа)
Изменение стиля отображения какого-либо массива выполняется командой Format/ Result (Формат/ Результат), вызывающей диалог Result Format (Формат результата). В этом диалоге следует перейти на вкладку Display Options (Опции отображения) (рис. 4.17) и в списке Matrix display style (Стиль отображения матриц) выбрать один из стилей:
Пример использования флажка проверки
Пример использования флажка проверки
Для того чтобы вставить элемент управления в документ, можно использовать либо команду меню Insert / Controls (Вставка / Элемент управления), либо панель инструментов Controls (Элементы управления), которую можно вызвать при помощи пункта Toolbars / Controls (Панели инструментов / Элементы управления) меню View (Вид). После нажатия кнопки с пиктограммой нужного элемента управления новый элемент управления появляется в документе вместе с местозаполнителем, который следует заменить именем переменной.
Чтобы отредактировать свойства самого элемента управления, следует вызвать на нем контекстное меню и выбрать в меню пункт Properties (Свойства). Большинство свойств имеет интуитивный смысл, и Вам будет несложно управлять характеристиками ввода данных посредством регулировки параметров самих элементов управления. Дополнительную информацию об использовании элементов управления Вы сможете найти в специальном справочном пособии, доступном по команде Help / Developer's Reference (Справка / Руководство разработчика).
Просмотр точного значения числа в строке состояния
Просмотр точного значения числа в строке состояния
Изменение порога мнимого нуля возможно и в режиме редактирования формулы (рис. 4.22), но изменение действительного порога нуля при этом недоступно.
Просмотреть число в точном представлении можно, нажав клавиши
Различные стили выравнивания матриц
Различные стили выравнивания матриц
В диалоговом окне Result Format (Формат результата), помимо стиля отображения матрицы, можно задать стиль отображения тензоров (вложенных массивов). Для того чтобы отображать тензоры в стиле, показанном на рис. 4.19, установите флажок Expand nested arrays (Разворачивать вложенные массивы). Чтобы отображать их в свернутой форме (см. листинг 4.19), снимите этот флажок.
Разворачивание вложенных массивов
Разворачивание вложенных массивов
Особенно наглядной формой отображения вектора является построение его в виде графика).
Системные переменные (system variables)
Системные переменные (system variables)
Сложение переменных одной размерности, выраженных в разных единицах
Сложение переменных одной размерности, выраженных в разных единицах
Создание массива определением его отдельных элементов
Создание массива определением его отдельных элементов
Массив можно определить следующим образом:
Создание матрицы командой Insert Matrix
Создание матрицы командой Insert MatrixСамый простой и наглядный способ создания вектора или матрицы заключается в следующем:
Создание ранжированной переменной
Создание ранжированной переменной
Результат создания ранжированной переменной показан на рис. 4.10.
Чтобы создать ранжированную переменную с шагом, не равным 1, например, 0,2,4,6,8:
Чаще всего ранжированные переменные используются:
Создание ранжированной переменной с шагом, не равным 1
Чаще всего ранжированные переменные используются:
Создание тензора
Создание тензора
Определение отдельных элементов — удобный способ создания тензоров (многоиндексных массивов). В Mathcad имеется непосредственная возможность работы только с векторами и матрицами. Тем не менее, можно создать тензор путем определения вложенного массива (nested array). Для этого необходимо присвоить каждому элементу матрицы значение в виде другого вектора или матрицы (листинг 4.19). Пользователь должен лишь позаботиться о корректности задания индексов тензора и не запутаться в индексировании вложенных матриц (последняя строка листинга).
Вкладка Built-in Variables диалога Worksheet Options
Вкладка Built-in Variables диалога Worksheet Options
Вставка единиц измерения размерной величины
Вставка единиц измерения размерной величины
Вставка матрицы
Вставка матрицы
Ввод мнимой единицы
Ввод мнимой единицы
Комплексное число можно ввести в виде обычной суммы действительной и мнимой частей или в виде любого выражения, содержащего мнимое число. Примеры ввода и вывода комплексных чисел иллюстрируются листингом 4.3.
Выбор формата вывода числа
Выбор формата вывода числа
Выбор размерности
Выбор размерности
Вывод ранжированной переменной
Вывод ранжированной переменной
Задание порога мнимого нуля
Задание порога мнимого нуля
Задание вывода результата в других системах счисления
Задание вывода результата в других системах счисления
Заполнение матрицы элементами
Заполнение матрицы элементами
На рис. 4.14 и 4.15 показаны результаты последовательной вставки в матрицу столбца и строки после определения соответствующего числа столбцов и строк в диалоге Insert Matrix и нажатия в нем кнопки Insert (Вставить).