История и основные характеристики чистой монополии


Монополия означает существование одного продавца на рынке. Продукт, который он продает, не имеет заменителей. На первый взгляд, монополию довольно легко определить. В реальной жизни это сделать довольно сложно.
Концентрация капитала и производства имеет два измерения абсолютное и относительное. Какими бы впечатляющими ни казались величины абсолютной концентрации экономической мощи, их необходимо соизмерять с размерами рынка. Величина капитала и стоимость продукции местного кирпичного завода невелик, но из-за высоких транспортных издержек он может занимать монополистическую позицию на местном рынке

Проблемы монополизации в хозяйственной жизни, конкуренция на товарных рынках привлекают сегодня пристальное внимание не только специалистов, но и широких слоев общества.
С начала 90-х годов эти проблемы остро стали перед Украиной: без принятия твердых и последовательных мер против монополизма нельзя надеяться на успех экономической реформы и переход к рыночной экономике. Успех экономических преобразований в немалом зависит от взвешенной, проверенной системы регулирования государством монопольных процессов и конкурентных отношений. В нашей стране, промышленности которой в наследство от командно-административной системы прошлого СССР достался целый комплекс гигантов-монополистов, особенно важной становится проблема демонополизации экономики и недопущение усиления роли уже образованных на рынке монополий.
В Украине процесс создания государственного контроля по недопущению несовершенной конкуренции фактически начался с нуля, т.к. присутствующая еще недавно в управлении экономикой командно-административная система по своей сути исключала присутствие свободной конкуренции в хозяйственной деятельности.
Поэтому на данном этапе огромное значение имеет создание и усовершенствование законодательной базы по поводу регулирования монополистических процессов и конкуренции, понимание гражданами Украины необходимости экономических реформ в данной сфере.
В этой работе я постараюсь рассмотреть историю возникновения монополий, особенности современной монополизации экономики, действующее на Ураине антимонопольное законодательство и перспективы его усовершенствования, а также законодательство стран с развитой рыночной экономикой в области антимонопольной практики, опыт которой является не безинтересным и для нашей страны.






1 История и основные характеристики чистой монополии




И
стория монополии достигает глубокой древности. Монополия возникает там и когда, где велики барьеры для вступления в отрасль. Монополистические тенденции в разных формах и в неодинаковой степени проявляются на всех этапах развития рыночных процессов и сопровождают их.
Но их история начинается в последней трети XIX стлетия, особенно во время экономического кризиса 1873г. Связь явления кризисов и монополий указывает на одну из причин монополизации пробу многих фирм найти спасение от кризисных потрясений. Не случайно монополии в прошлой экономической литературе имела название “детей кризиса”.
Что представляет собой Чистая монополия (Pure monopoly)? Это - ситуация на рынке, когда существует только один продавец данного товара, который не имеет близких заменителей. Монополистический рынок является полной противоположностью совершенно конкурентному рынку.
Для покупателей существует только один источник предложения - монополист.
Монопольное положение желанное для каждого предприятия или предпринимателя положение. Это положение позволяет избежать целого ряда проблем и рисков, связанных с конкуренцией, занять привилегированную позицию на рынке, концентрируя в своих руках значительную власть и т.д.
Понятно, что, как и совершенная конкуренция, чистая монополия является некой абстракцией. Во - первых, практически не существует продуктов не имеющих заменителей. Во- вторых, редко когда на национальном (или мировом) рынке есть только один продавец.
Хотя на более замкнутых рынках, к примеру, в маленьком городке, мы можем наблюдать явление чистой монополии. Например, в таком городе может быть только один врач - ветеринар.
Фирма обладает монопольной властью (monopoly power) тогда, когда она имеет возможность воздействовать на цену своего товара, изменяя количество, которое она готова продать. Степень, до которой монополист может использовать свою монопольную власть, зависит от наличия близких заменителей на его товар и его доли на данном рынке. Естественно, чтобы обладать монопольной властью фирме не требуется быть чистой монополией.
Причем необходимо, чтобы кривая спроса на продукцию фирмы была наклонена вниз, а не была горизонтальной, как для конкурентной фирмы, так как иначе у монополиста не будет возможности изменять цену путем изменения количества предлагаемого товара. В крайнем, предельном случае кривая спроса на продукт, реализуемый чистой монополией, является направленной вниз кривой рыночного спроса на данный продукт. Существенное различие между монополистическим рынком и рынком конкурентным заключается в том, что монополист способен влиять на цену, выручаемую за товар, а конкурентный продавец такой возможности не имеет.
Фирма с монопольной властью является фирмой, которая по своему усмотрению устанавливает цену на свой товар, а не принимает ее как данное, т. е. в отличие опять - таки от конкурентного продавца она не является ценополучателем, он - ценоустановитель.
Чистая монополия и совершенная конкуренция являются крайними формами организации рынка (рыночной структуры). Реальные рыночные структуры находятся между этими двумя крайними случаями.

Основные характеристики чистой монополии

  1. единственный продавец
  2. товарная дифференциация отсутствует
  3. продавец осуществляет практически полный контроль над ценами
  4. очень трудные условия вхождения в отрасль новых предприятий



Вход оказывается заблокирован финансовыми, технологическими, ресурсными, правовыми условиями, ”Железный занавес” надежно ограждает их и от иностранных конкурентов.

















2 Поведение фирмы в условиях чистой монополии
История и основные характеристики чистой монополии


1 График максимизации прибыли при равенстве
предельного дохода предельным издержкам

    1. Определение цены и объемов производства. Максимизация прибыли.
    Какое количество товара должен производить монополист? Чтобы максимизировать прибыль, фирма должна достичь такого объема продукции, при котором предельный доход равен предельным издержкам. В этом - решение проблемы и для монополиста.
    На 1 кривая рыночного спроса D является кривой среднего дохода монополиста. Цена единицы продукции, которую получит монополист, является функцией объема производства. Здесь также показаны кривая предельного дохода МR и кривые средних и предельных издержек - АС и МС. Предельный доход и предельные издержки совпадают при выпуске объема Q*.
    С помощью кривой спроса мы можем определить цену Р*, которая соответствует данному количеству продукции Q*.
    Как мы можем проверить, что Q* - объем производства, максимизирующий прибыль? Предположим, монополист производит меньшее количество продукции - Q1 и соответственно получает более высокую цену Р1. Как показывает 1, в таком случае предельный доход монополиста превышает предельные издержки, и если бы он производил большее количество продукции, чем Q1, он получил бы добавочную прибыль (МR - МС), т.е. увеличил бы свою совокупную прибыль.
    Фактически монополист может увеличивать объем производства, повышая свою совокупную прибыль вплоть до объема производства Q*, при котором дополнительная прибыль, получаемая от выпуска еще одной единицы продукции, равна нулю. Поэтому меньшее количество продукции Q1 не максимизирует прибыль, хотя и позволяет монополисту установить более высокую цену. При объеме производства Q1 вместо Q* совокупная прибыль монополиста будет меньше на величину, равную заштрихованной площади между кривой МR и кривой МС, между Q1 и Q*.
    На 1 больший объем производства Q2 также не является максимизирующим прибыль. При данном объеме предельные издержки превышают предельный доход, и если бы монополист производил меньшее количество, чем Q2, он увеличил бы совокупную прибыль (на МС - МR). Монополист мог бы увеличить прибыль еще больше, сокращая объем производства до Q*. Увеличение прибыли за счет снижения объема производства Q* вместо Q2 дано площадью ниже кривой МС и выше кривой МR, между Q* и Q2.
    Мы также можем показать алгебраически, что объем производства Q* максимизирует прибыль. Прибыль равна разности между доходом и издержками, которые представляют собой функцию от Q:

    (Q) = TR(Q) - TC(Q).

    По мере того как Q растет, начиная с нуля, прибыль будет возрастать до тех пор, пока не достигнет максимума, а затем станет снижаться. Таким образом, объем производства Q максимизирует прибыль в том случае, когда приращение прибыли от дополнительного увеличения Q равно нулю (т.е. /Q = 0). Тогда

    Но TR/Q является предельным доходом, а C/Q - предельными издержками, и поэтому условием максимизации прибыли является

    MR - MC = 0 или MR = MC.


    2.2. Правило для ценообразования
    Мы знаем, что цена и объем производства должны быть такими, чтобы предельный доход равнялся предельным издержкам, но как может практически руководитель фирмы правильно определить соответствующие цену и объем производства? Большинство руководителей располагают ограниченной информацией о кривых средних и предельных доходов, с которыми сталкиваются их фирмы. Они также располагают информацией о предельных издержках фирмы лишь для изменяющихся в определенных пределах объемов производства.
    Мы, следовательно, хотим перевести условие равенства предельного дохода и предельных издержек в универсальное правило, которым легче пользоваться на практике.

    Антимонопольная политика в условиях рыночной экономики


    - принятие решений о централизованном распределении товаров, что приводит к монопольному положению на рынке;
    - установление запрета на реализацию товаров из одного региона страны в другой;
    - предоставление отдельным предпринимателям налоговых и других льгот, ставящих их в привилегированное положение по отношению к другим предпринимателям;
    - ограничение прав предпринимателей по приобретению и реализации товаров;
    - установление запретов или ограничений относительно отдельных предпринимателей или групп предпринимателей.
    Недобросовестной конкуренцией признается:
    - неправомерное использование товарного знака, фирменного наименования или маркировки товара, а также копирование формы, упаковки, внешнего оформления, имитация, копирование, прямое воссоздание товара другого предпринимателя, самовольное использование его имени;
    - умышленное распространение заведомо ложных или неточных сведений, которые могут нанести ущерб деловой репутации или имущественным интересам другого предпринимателя;
    - получение, использование, разглашение коммерческой тайны, а также конфиденциальной информации в целях нанесения ущерба деловой репутации или имуществу другого предпринимателя.
    Государственной контроль за соблюдением антимонопольного законодательства, защита интересов предпринимателей от злоупотребления монопольным положением и недобросовестной конкуренции осуществляется Антимонопольным комитетом Украины в соответствии с его компетенцией.
    Антимонопольный комитет Украины образуется Верховным Советом Украины. В своей деятельности Антимонопольный комитет Украины подчинен и подотчетен Верховному Совету Украины.
    Антимонопольный комитет Украины является юридическим лицом, имеет печать с изображением Государственного герба Украины и своим наименованием. В своей деятельности Антимонопольный комитет Украины руководствуется настоящим Законом, другими законодательными актами Украины, а также положением об Антимонопольном комитете Украины, утвержденным Верховным Советом Украины.
    Сведения, полученные Антимонопольным комитетом Украины и его территориальными управлениями и являющиеся коммерческой тайной, не подлежат разглашению. Убытки, причиненные разглашением сведений, являющихся коммерческой тайной, подлежат возмещению в полном объеме Антимонопольным комитетом Украины в судебном порядке за счет государственного бюджета.
    В целях предотвращения монопольного положения отдельных предпринимателей на рынке Антимонопольный комитет Украины и его территориальные управления осуществляют предварительные действия по государственному контролю за реорганизацией (слиянием и присоединением) предприятий, созданием ассоциаций, концернов, межотраслевых, региональных и других объединений предприятий, превращения органов управления в указанные объединения, а также за созданием, реорганизацией т ликвидацией хозяйственных обществ.
    Предприниматель может приобретать контрольный пакет акций акционерного общества, занимающего монопольное положение на рынке, при условии уведомления в месячный срок Антимонопольного комитета Украины. Такие же правила применяются и а тех случаях, если предприниматель доли (паи) в другом хозяйственном обществе, которое занимает монопольное положение.
    В случаях, если предприниматели злоупотребляют монопольным положением на рынке, Антимонопольный комитет Украины и его территориальные управления выдают распоряжение о принудительном разделе монопольных образований. Принудительный раздел не применяется в случаях:
    - невозможности организационного или территориального отделения предприятий, структурных подразделений или структурных единиц;
    - наличия тесной технологической связи предприятий, структурных подразделений или структурных единиц (если доля внутреннего оборота в общем объеме валовой продукции предприятия составляет менее 30%).
    Штрафы на предпринимателей налагаются Антимонопольным комитетом за:
    - уклонение от выполнения или несвоевременное выполнение распоряжений Антимонопольного комитета Украины о прекращении нарушений антимонопольного законодательства, восстановлении начального состояния или изменении соглашений, противоречащих настоящему Закону;
    - непредставление, несвоевременное представление информации монопольному комитету Украины и его территориальным монополистич. управлениям или представления заведомо недостоверных данных.
    Прибыль, незаконно полученная субъектами предпринимательской деятельности в результате нарушения данного Закона, взыскивается судом или арбитражным судом в государственной бюджет.
    Убытки, причиненные злоупотреблением монопольным положением и недобросовестной конкуренцией, подлежат возмещению по искам заинтересованных лиц в порядке, предусмотренном гражданским законодательством Украины.
    По утверждению зарубежных наблюдателей, Антимонопольное законодательство Украины отвечает мировым стандартам. Однако создавалось оно, к сожалению, не в рамках реализации единой программы социально-экономических преобразований. Ее нет и по сей день. Не видя ориентиров, украинское правительство, как показала жизнь, уже начально избрало неправильный путь.
    Мировая практика свидетельствует о том, что только после запуска демонополизации основных сфер производства следует проводить либерализацию цен и финансово-денежное реформирование. Наше правительство поступило наоборот и получило известные результаты.
    В суете повседневных забот, занятый собственными проблемами законодатель принял почти четыре года назад вышеизложенный Закон, не обеспечив при этом необходимую правовую среду для его функционирования. Жизненно важные принципы деятельности этого закона и модели корпоратизации еще только обсуждались. Не было утверждено и специальное положение об Антимонопольном комитете, что заведомо обрекало Закон на бездействие.
    Лишь 26 ноября 1993 года вступил в силу Закон “ОБ Антимонопольном комитете”, который юридически определил полномочия принципиально нового по своему правовому статусу и компетенции органа, объединяющего контрольно-наблюдательные и судебные функции. Именно об этом Законе положительно отзывались западные эксперты. Сейчас на него возлагаются большие задачи в надежде, что и Закон, и государственная программа демонополизации экономики могут создать необходимые условия для развития добросовестной конкуренции на рынке.
    Вновь созданной государственной структуре предстоит противостоять самому государству — главному монополисту, поддерживающему свои министерства, ведомства, военно-промышленный комплекс. Ведь неуверенная антимонопольная политика продолжает негативно влиять на товарно-денежное обращение, а министерства-монополисты, воплощающие львиную долю государственного бюджета, просто препятствуют демонополизации. Два года существования Антимонопольного комитета Украины показали, как трудно продвигается работа.
    Но сегодня комитет уже выполняет программу-минимум, — рассматривает конкретные дела, совершенствует законодательную базу, создает региональные организации. Впереди его ждет программа-максимум — устранение монопольных структур и создание благоприятной среды для конкуренции на рынке Украины.



    4. 2. Антимонопольная политика в условиях рыночной экономики.


    История развития монополий является одновременно и историей борьбы с ними. Негативные результаты монополизации проявляются сразу, и это особенно ощущают широкие слои населения. Вокруг монополий формируется негативное общественное мнение, которое требует государственной защиты потребителей от деятельности монополистов, ограничения деятельности других.
    Накопленный опыт и научные обобщения помогли обществу понять все “плюсы” и “минусы” монополий, выработать по отношению к ним определенную политику, которая получила название монопольной. Первым ее результатом в Украине оказалось антимонопольное законодательство. Оно заложено антимонопольными законами: Законом Украины “Об ограничении монополизма и недопущении недобросовестной конкуренции в предпринимательской деятельности” и Законом Украины ”Об антимонопольном комитете”, о которых уже говорилось выше.
    Антимонопольная политика и антимонопольное законодательство не имеют целью запрещение или ликвидацию монопольных образований. В обществе сложилось понимание того, что монополия как фактор роста прибыли не может быть уничтожена. Поэтому реальное задание антимонопольной политики заключается в том, чтобы поставить деятельность монополии на государственный контроль, исключить возможность злоупотребления монопольным положением.
    К. Маркс еще в середине прошлого столетия пришел к выводу, что появление монополий требует государственного вмешательства.
    Главная цель этого вмешательства заключается в защите и сохранении свободной конкуренции, которой угрожают монопольные тенденции. Конкретно можно сформулировать такие цели: ограничение монополий, поддержка и содействие малому бизнесу, защита прав потребителя. Существуют две основные формы борьбы с монополиями: 1) предупреждение создания монополий; 2) ограничение использования монопольной власти.
    Для проведения антимонопольной политики государство создает антимонопольные службы, основной задачей которых является контроль монополистических тенденций в стране. Антимонопольные службы не являются частью законодательной власти, но их компетенция позволяет им выполнять совещательную функцию. Подобные организации не имеют права действовать авторитарными методами, например, закрывать предприятия. Но они могут заставить предприятие, доминирующее на рынке, возобновить поставку продукции тому получателю, которому в этих поставках было противозаконно отказано. Все их решения обязательны для исполнения.
    В противном случае накладываются денежные штрафы, предусмотренные законодательством за нарушение антимонопольного закона. При этом необходимо отметить, что все решения антимонопольной службы должны подлежать проверке государственными судами.



    Ценообразование по принципу "издержки плюс накидка"




    Вспомним важное различие между совершенно конкурентной фирмой и фирмой с монопольной властью: для конкурентной фирмы цена равна предельным издержкам, для фирмы с монопольной властью цена превышает предельные издержки. Следовательно, способом измерения монопольной власти является величина, на которую цена, максимизирующая прибыль, превышает предельные издержки.
    В частности, мы может использовать коэффициент превышения цены над предельными издержками. Данный способ определения монопольной власти был предложен в 1934 г. экономистом Абба Лернером и получил название показателя монопольной власти Лернера:
    Ценообразование по принципу

    Численное значение коэффициента Лернера всегда находится между 0 и 1. Для совершенно конкурентной фирмы P = MC и L = 0. Чем больше L, тем больше и монопольная власть.
    Данный коэффициент монопольной власти может быть также выражен в терминах эластичности спроса, с которой сталкивается фирма. По уравнению (1
    Ценообразование по принципу
    ) мы знаем, что

    Ценообразование по принципу


    Однако, Еd теперь означает эластичность спроса фирмы, а не всего рыночного спроса..
    Заметим, что значительная монопольная власть не гарантирует высокие прибыли. Прибыль зависит от отношения средних издержек к цене. Фирма А может обладать большей монопольной властью, чем фирма В, но получать меньшую прибыль, если у нее значительно выше средние издержки.

    Пример
    Ценообразование по принципу "издержки плюс накидка": универсамы и джинсы с наклейкой дизайнера.
    Три примера помогут понять применение универсального правила ценообразования "издержки плюс накидка". Рассмотрим сеть универсамов розничной торговли. Хотя эластичность рыночного спроса на продовольствие невелика (около - 1), несколько универсамов обычно обслуживают большую часть районов, и поэтому ни один из них не может значительно поднять свои цены без потери множества потребителей, которые перейдут в другие магазины. В итоге эластичность спроса для любого универсама нередко доходит до - 10. Подставляя это значение вместо Еd в уравнении (2), мы получаем P = MC/(1 -0,1) = MC/(0,9) = (1,11)MC.
    Другими словами, руководитель типичного универсама должен установить цену примерно на 11% выше предельных издержек. Для различных объемов производства (при которых размер магазина и число служащих останутся постоянными) предельные издержки включают стоимость закупки продуктов питания оптом, издержки на их хранение, расстановку на полках и т.д. Для большинства универсамов накидка, несомненно, составит 10-11%.
    Маленькие продовольственные магазины самообслуживания, которые обычно работают в воскресные дни или круглые сутки, как правило, назначают более высокую цену, чем универсамы. Почему? Потому, что у них менее эластичная кривая спроса.
    Посетители таких магазинов в целом меньше реагируют на цену. Им может потребоваться ночью пакет молока или батон хлеба или они посчитают неудобным ехать в универсам. Эластичность спроса для таких магазинчиков составляет -5, и поэтому согласно универсальному правилу цены в них должны быть выше предельных издержек на 25%, что обычно и бывает.
    Коэффициент Лернера (Р - МС)/Р свидетельствует о том, что у маленьких продовольственных магазинов больше монопольной власти. Но больше ли у них прибыль? Нет.
    Так как их объем реализации значительно меньше, а средние постоянные издержки больше, они обычно получают значительно меньшую прибыль, чем крупный универсам, несмотря на более высокую накидку.
    Наконец, рассмотрим производство джинсов. Хотя джинсы выпускаются многими производителями, некоторые потребители платят дороже за джинсы с наклейкой фирменного дизайна. Но насколько больше они готовы заплатить (точнее насколько снизится сбыт в ответ на более высокие цены) - вот вопрос, который должен тщательно взвесить производитель, так как этот вопрос является решающим при определении цены, по которой может быть продана одежда (оптом в магазины розничной торговли для дальнейшей продажи потребителям).
    Для джинсов с наклейкой фирменного дизайна эластичность спроса колеблется от -3 до -4 (что типично для товаров с фирменными знаками). Это означает, что цена должна быть на 33-50% выше предельных издержек. Предельные издержки составляют 8-12 долл. за пару джинсов, а оптовая цена будет колебаться в пределах 12-18 долл.

    4 Антимонопольное законодательство.

    4.1 Антимонопольное законодательство на Украине


    В бывшем СССР почти 2000 продуктов производилось на предприятиях-монополистах, а удельный вес монопольного производства в машиностроительном комплексе составлял 80% объема производства. Только в машиностроении было 166 предпр.- монополистов и 180 монопольных производств.
    Если рассматривать конкретные виды продукции, то уровень монополизации оказывается еще выше. Например, 96% выпуска магистральных тепловозов было сосредоточено в объединении “Ворошиловградтепловоз”, 100% глубинных насосов - на Бакинском заводе имени Дзержинского.
    Функции контроля над ценами в Украине выполняет Государственная инспекция по контролю за ценами. Совместно с Антимонопольным комитетом инспекция стремится предупредить злоупотребления, вытекающие из господствующего положения какого либо предприятия при заключении торговых сделок (отказ от продажи, навязывание миним. цен), а также злоупотребления в организации сбыта.
    Нарушение порядка формирования, установления и применения цен и тарифов (статья 1652 кодекса Украины об административных правонарушениях (КоАП) предусматривает административную ответственность за нарушение порядка формирования и применения цен и тарифов, наценок и доплат к ним влечет наложение штрафа на должностных лиц от 5-10 миним. необлагаемых мин. доходов граждан. Невыполнение требований ведет к статье 1883КоАП с наложением штрафа 10-20 необлагаемых минимальных доходов граждан.




    Закон Украины “Об ограничении монополизма и недопущении недобросовестной конкуренции в предпринимательской деятельности”.

    Данный Закон определяет правовые основы ограничения и предупреждения монополизма, недопущения недобросовестной конкуренции в предпринимательской деятельности и осуществления государственного контроля за соблюдением норм антимонопольного законодательства.
    Для целей настоящего Закона употребляются следующие термины:
    - рынок товара (товарный рынок) — сфера оборота товара одной потребительской стоимости, в пределах которой определяется монопольное положение;
    - конкуренция — состязательность предпринимателей, когда их самостоятельные действия ограничивают возможности каждого их них влиять на общие условия реализации товара на рынке и стимулируют производство тех товаров, в которых нуждается потребитель;
    - монопольное положение — доминирующее положение предпринимателя, дающее ему возможность самостоятельно или вместе с другими предпринимателями ограничивать конкуренцию на рынке определенного товара. Монопольным признается положение предпринимателя, доля которого на рынке определенного товара превышает 35%. Решением Антимонопольного комитета Украины может определиться монопольным положение предпринимателя, доля которого на рынке определенного товара менее 35%.;
    - монопольная цена — цена, устанавливаемая предпринимателем, который занимает монопольное положение на рынке и приводит к ограничению конкуренции и нарушению прав потребителя;
    - монопольная деятельность — действия (бездеятельность) предпринимателя (предпринимателей) при условии монопольного положения на рынке одного предпринимателя (группы предпринимателей) в производстве и реализации товаров, а также действия (бездеятельность) органов власти и управления, направленные на недопущение, существенное ограничение или устранение конкуренции;
    - монопольное образование — предприятие, объединение или хозяйственное общество и другое образование, занимающее монопольное положение на рынке.
    Злоупотреблениями монопольным положением считаются:
    - навязывание таких условий договора, которые ставят контрагентов в неравное положение, или дополнительных условий, не относящихся к предмету договора, в том числе навязывание товара, не нужного контрагенту;
    - ограничение или приостановление производства, а также изъятие из оборота товаров в целях создания или поддержки дефицита на рынке или установления монопольных цен;
    - частичный или полный отказ от реализации или закупки товара при отсутствии альтернативных источников снабжения или сбыта в целях создания или поддержания дефицита на рынке или установления монопольных цен;
    - другие действия в целях создания препятствий доступа на рынок (выхода из рынка) других предпринимателей;
    - установление дискриминационных цен (тарифов, расценок) на свои товары, ограничивающих права отдельных потребителей.
    Дискриминацией предпринимателей органами власти и управления признается:
    - запрещение создания новых предприятий или других организационных форм предпринимательства в какой-либо сфере деятельности, а также установление ограничений на осуществление отдельных видов деятельности, на производство определенных видов товаров в целях ограничения конкуренции;
    - принуждение предпринимателей к приоритетному заключению договоров, первоочередной поставке товаров определенному кругу потребителей;



    Изменение спроса при переменном объеме


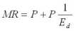
    Чтобы сделать это, мы должны переписать формулу предельного дохода следующим образом:
    MR = TR/Q =(PQ)/Q.

    Отметим, что дополнительный доход, получаемый в результате выпуска дополнительной единицы продукции, (PQ)/Q обладает двумя свойствами. Произведя одну дополнительную единицу продукции и продавая ее по цене Р, мы получим доход: (1)•(Р) = Р. Но фирма сталкивается с кривой спроса, имеющей наклон вниз, и поэтому производство и продажа данной дополнительной единицы приводят к небольшому снижению в цене P/Q, которое уменьшает доход от всей проданной продукции (т.е. изменение дохода Q[P/Q]).
    Таким образом:

    Правую часть формулы мы получили, умножив выражение Q (P/Q) на Р, а затем разделив его на Р. Вспомним, что эластичность спроса выражается как Еd=(P/Q)•(Q/P). Таким образом, (Q/P)•(P/Q) есть выражение, обратное эластичности спроса 1/Еd следовательно, при объеме производства, максимизирующем прибыль, можно записать:

    Теперь, так как целью фирмы является максимизация прибыли, мы можем приравнять предельный доход к предельным издержкам:
    P + P (1/Ed) = MC,
    или,
    (1)

    Данная формула представляет собой правило "большого пальца" для ценообразования. Левая часть уравнения (P - MC)/P выражает превышение цены над предельными издержками как процент от цены. Уравнение показывает, что данное превышение равняется величине, обратной эластичности спроса, взятой с отрицательным знаком. Точно так же мы можем переписать это уравнение, чтобы выразить цену через предельные издержки:
    (2)
    Например, если эластичность спроса равняется -4, а предельные издержки 9 долл. на единицу продукции, цена должна составить: 9/(1 - 1/4) = 9/0,75 = 12 долл. за единицу.
    Как сравнить цену, устанавливаемую монополистом, с ценой в условиях свободной конкуренции? На совершенном конкурентном рынке цена равна предельным издержкам. Монополист назначает цену, превышающую предельные издержки на величину, обратно пропорциональную эластичности спроса.
    Как показывает уравнение (1), если спрос чрезвычайно эластичен, Еd представляет собой большую отрицательную величину, а цена будет близка к предельным издержкам и, таким образом, монополизированный рынок будет очень похож на рынок свободной конкуренции. Фактически, когда спрос очень эластичен, монополисту достается незначительная прибыль.




    2.3. Кривая спроса для монополиста
    На конкурентном рынке существует прямая зависимость между ценой и объемом предложения. Эта зависимость отражена кривой предложения, которая совпадает с кривой издержек производства для отраслей в целом. Кривая предложения показывает, сколько будет производиться продукции по каждой цене.

    Изменение спроса при переменном объеме

    2а Зависимость цены от изменения спроса при
    том же объеме производства
    2в Изменение спроса при переменном объеме
    производства и постоянной цене

    В условиях монополизированного рынка кривая предложения отсутствует. Другими словами, нет пропорциональной зависимости между ценой и производимым количеством. Причина заключается в том, что решение монополиста по объему производства зависит не только от предельных издержек, но и от формы кривой спроса.
    Изменения в спросе не приводят к пропорциональным изменениям цены и предложения, как это происходит с кривой предложения для рынка свободной конкуренции. Вместо этого изменения в спросе могут привести к изменению цен при постоянном объеме производства, изменения в объеме производства могут произойти без изменения цены или же измениться могут как цена, так и объем производства. Это показано на 2а и 2b. На обоих частях рисунка кривой первоначального спроса D1 соответствуют кривая предельного дохода МR1, первоначальная монопольная цена Р1 и объем производства Q1. На 2а кривая спроса смещается вниз и поворачивается.
    Новые кривые спроса и предельного дохода обозначены D2 и МR2. Отметим, что MR2 пересекает кривую издержек в той же точке, что и MR1. В итоге объем производства продукции остается прежним.
    Цена, однако, снизится до Р2.
    На 2b кривая спроса поднимается вверх и поворачивается. Кривая нового предельного дохода MR2 пересекает кривую предельных издержек в точке, соответствующей большему объему производства, т.е. Q2 больше Q1.
    Но смещение кривой спроса таково, что цена остается прежней.
    Изменение спроса обычно вызывает изменения как цены, так и объема выпуска продукции. Но особые случаи, приведенные на 2, показывают важное различие между монопольным и конкурентным предложением. Отрасль с конкурирующими производителями предлагает определенное количество продукции по каждой цене.
    Такой взаимосвязи нет для монополиста, который в зависимости от того, как изменится спрос, может предлагать разное количество продукции по одной и той же цене или одинаковое количество по разным ценам.

    2.4. Воздействие и последствия налога для монополиста.
    X-неэффективность.
    Налог на объем производства также влияет на монополиста иначе, чем на отрасль с конкурирующими производителями. Введение налога на единицу продукции в отрасли с конкурирующими производителями приводит к увеличению рыночной цены на величину, которая несколько меньше налога, и что бремя налога несут как производители, так и потребители. При монополии, однако, цена может возрастать на величину, превышающую размер налога.

    Изменение спроса при переменном объеме

    3 График изменения издержек производства
    при введении налога на объем производства
    монополистической фирмы

    Проанализировать воздействие налога на монополиста несложно. Предположим, каждая единица продукции облагается определенным налогом в t долл., так что монополист должен платить правительству t долл. за каждую проданную единицу продукции. Следовательно, предельные (и средние) издержки фирмы возросли на величину налога t. Если первоначальные издержки фирмы составляли МС, ее решение по оптимальному объему производства теперь выглядит так:

    МК = МС + t

    На графике мы смещаем кривую предельных издержек вверх на величину t и обнаруживаем новую точку пересечения с кривой предельного дохода (3). Здесь Q0 и Р0 - соответственно объем производства и цена до обложения налогом, а Q1 и Р1 - объем выпуска и цена после введения налога.
    Смещение кривой предельных издержек вверх приводит к уменьшению объема производства и повышению цены. Иногда цена растет на величину меньше налога, но далеко не всегда (на 3 цена поднялась выше размеров налога). Это было бы невозможно на конкурентном рынке, но может случиться на монопольном рынке, так как в последнем случае отношение цены к предельным издержкам зависит от эластичности спроса. Предположим, например, что монополист сталкивается со спросом с постоянной эластичностью -2. Тогда согласно уравнению (2) цена будет равна двойным предельным издержкам.
    При налоге t предельные издержки увеличиваются до МС + t и цена возрастает до 2 (МС + t) = 2 МС + 2t, т.е. возрастает на удвоенную величину налога.
    Если в условиях совершенной конкуренции фирма выбирает только объем пр-ва, то монополист может назначать и цену. Следовательно, цена превышает предельный доход. Если в условиях совершенной конкуренции Р=MR, то на монополизированном рынке PMR.

    цена, Р

    Р1
    убыток
    P2
    прибыль


    Q1 Q2 Q

    Обычно считают, что монопольные цены самые высокие. Действительно, они, как правило, выше конкурентных, однако следует помнить, что монополист стремится к максимизации совокупной прибыли, а не прибыли на единицу продукции. И главное, рост цен не беспределен, он ограничивается ценовой эластичностью спроса на продукцию данной фирмы.
    Другим стереотипом является, будто монополист всегда стремится ограничивать выпуск продукции. Это тоже не совсем верно. По мере монополизации отрасли издержки и спрос, как правило, изменяются. На издержки действуют 2 противоположных фактора понижающий и повышающий.
    Понижающий, так как в результате создания монополии можно полнее использовать положительный эффект от роста масштаба производства(экономия на постоянных издержках, централизация снабжения и сбыта, экономия на маркетинговых операциях и т.д.). с другой стороны, действует и тенденция к их повышению, связанная с разбуханием и бюрократизацией управленческого аппарата, ослаблением стимулов к инновациям и риску вообще. Эту тенденцию Х.Лейбенстайн обозначил как “X-неэффективность”.





    Согласно Х. Лейбенстайну, X-неэффективность возникает всегда, когда фактические издержки при любом объеме производства выше средних совокупных издержек. Объем производства сокращается с Qc до Qm, а X-неэффективность (отрезок CD) заметно увеличивается




    ATC
    D



    D
    Х-неэффективность
    ATCm
    C B
    Х-неэффективность
    ATCc A


    Qm Qc Q






    3.Показатели монопольной власти В качестве одного из таких критериев используется индекс Харфиндела-Хиршмана, согласно которому безопасный с точки зрения монополизации рынок предполагает наличие10 и более конкурирующих фирм, при этом доля крупнейшей из них не должна превышать 31% , двух не более44%, 3-х не более 44%, а 4-х не более 64%.

    IHH=S12+S22+S32+…+Sn2

    где IHH- индекс Харфиндела-Хиршмана,

    S1- удельный вес самой крупной фирмы,

    S2- удельный вес второй по вел-не фирмы и т.д.
    Если в отрясли 1 фирма-чистая монополия, то IHH=10000



    Монополии в рыночной экономике Запада


    Кроме осуществления процесса демонополизации антимонопольная служба призвана бороться со злоупотреблениями. Такая борьба может быть эффективной только при активном участии потребителей. Поэтому широкие массы населения должны понимать практическое значение антимонопольной политики в повседневной жизни. Помочь в этом должна прежде всего пресса и другие средства массовой информации.
    Прессе должно предоставляться право на соответствующее сообщение, но лишь в объективной и честной форме, без какой-либо дискредитации. Каждая антимонопольная служба должна иметь сотрудника для связи с прессой, который сообщает о деятельности службы и комментирует ее.
    На Украине единственной монопольной службой государства, кроме самого государства, является Антимонопольный комитет Украины, о функциях и задачах которого уже было сказано выше.
    Может ли антимонопольная политика государства нанести вред экономике своей страны? Да, может, если она, без учета экономических взаимосвязей и без скурпулезной оценки той или иной проблемы, запрещает укрупнение фирм, которое было бы полезно и предоставило бы лучшие шансы в конкурентной борьбе с отечественными или зарубежными конкурентами.
    Безусловно, от проведения антимонопольной политики в нынешних тяжелых экономических условиях Украины чудес ожидать не приходится. Но очень важно, чтобы проведение антимонопольной политики завоевало доверие и поддержку населения, чтобы люди знали, что они могут обратиться в антимонопольные службы со своими проблемами. Необходимо убедить людей, что свободная конкуренция является добром для всех.






    4.3 Монополии в рыночной экономике Запада, возможность использования их опыта в условиях Украины.



    Во всех промышленно развитых странах в настоящее время осуществляется правовое регулирование (как правило, в рамках торгового права) процесса концентрации капитала и конкуренции в целях смягчения экономических и социальных последствий монополистической практики.
    Разработка и принятие антимонопольного законодательства — одно из самых важных средств такого государственного регулирования экономики. В современный период главная особенность этого законодательства состоит в том, что оно направлено на защиту так называемой олигополии как рыночного механизма*. При этом под олигополией понимается такая организация отрасли (или локального рынка), при которой ограниченное число крупных производителей выпускают значительную или преобладающую часть отраслевой продукции и благодаря этому они способны либо осуществлять самостоятельную монопольную политику, либо вступать в монопольный сговор относительно единой рыночной политики.
    Важнейшая черта олигополистического рынка — взаимодействие конкурентных и монопольных сил.

    Следует отметить, что антимонопольное законодательство не является первой попыткой в истории развития регулируемой конкуренции. Впервые регулирование конкурентных отношений возникло в середине ХIХ века в рамках законодательства о пресечении недобросовестной конкуренции, когда назрела необходимость в правовом регулировании методов и средств ведения конкуренции с тем, чтобы уберечь от дезорганизации товарно-денежные отношения.
    Возвращаясь к генезису антимонопольного законодательства, необходимо отметить, что исторически сложилось два типа антимонопольных законов. Первый из них предусматривает формальное запрещение монополии, второй строится на принципе контроля за монополистическими объединениями и ограничения их злоупотреблений*. Речь идет об антитрестовском законодательстве США и европейской системе антимонопольного законодательства, которая предусматривает контроль за монополистическими объединениями в целях недопущения их злоупотреблений своим господствующим положением на рынке. В странах европейской системы антимонопольного законодательства предусмотрена регистрация определенных видов соглашений о создании монополий или существенном ограничении конкуренции.
    При противоречии указанных соглашений публичным интересам они признаются государственным органом, регистрирующим подобные соглашения, вышестоящим государственным органом или судами недействительными.


    Американская система антимонопольного законодательства принята в Аргентине и ряде других стран. Европейская система помимо стран Западной Европы действует в Австралии, Новой Зеландии, ЮАР. Промежуточное положение между этими двумя системами занимает законодательство ФРГ, что объясняется тем фактом, что антимонопольное законодательство этой страны наряду с общей нормой о запрете монополий предусматривает большое количество исключений из этого принципа.
    Первый антитрестовский закон был принят в штате Алабама в 1883 году. Затем, на протяжении 1889-1890 годов, аналогичное законодательство было принято в других штатах США*. Принятие антитрестовского законодательства многими штатами способствовало разработке соответствующих законов на федеральном уровне.
    Так, в 1890 г. появляется так называемый Закон Шермана, положивший начало антимонопольному законодательству США. Главной особенностью этого законодательства является формальный запрет монополий, что придает ему, в отличие от законодательства других стран, наиболее жесткий характер. В 1914 г. в развитие общих положений Закона Шермана были приняты Закон Клейтона и Закон о федеральной торговой комиссии.
    Эти три нормативных акта с последующими изменениями и дополнениями составили костяк антимонопольного законодательства США.
    Основная особенность антитрестовского законодательства США заключается в принципе запрета монополий как таковых, то есть признания их незаконными изначально, в то время как западноевропейское антимонопольное законодательство строилось на

    принципе регулирования монополистической практики путем устранения ее отрицательных последствий. Но вскоре судебная практика в США нашла инструмент, посредством которого жесткое правило запрета всякой монополии нашло смягчение. Таким инструментом стало так называемое “правило разумности”, одобренное Верховным судом США в 1911 г. Верховный суд постановил, что Закон Шермана основывается на доктринах общего права об ограничении торговли и что его следует толковать в пользу запрета только тех ограничений, которые можно классифицировать как “неразумные” согласно принципам общего права.
    Кроме этого, американские суды со временем стали использовать и другие средства регулирования конкуренции, что в целом открыло для них и возможность более гибкого подхода к регламентации монополистической практики, и широкое поле судебного усмотрения. Так, в американской правовой литературе указывается, что отрицательные последствия жесткого правила незаконности монополий как таковых могут быть устранены тремя способами: более узким толкованием этого правила, установлением исключений из него и использованием как первого этапа в более широком анализе монополистической практики в рамках применения “правила разумности”.
    Однако сам режим антитрестовского регулирования время от времени претерпевает определенные изменения (смягчение или ужесточение), связанные с различными факторами, в частности со сменой экономической политики после прихода к власти определенной администрации, ослаблением или усилением государственного вмешательства в дела частного сектора. Преобладающей в настоящее время является оценка монополизма и его антипода — конкуренции, исходя из принципа эффективности экономики. Иными словами, отрицательные последствия монополизма в плане ограничения конкуренции могут перекрываться экономической эффективностью монополизации тех или иных рынков.
    Ярким примером страны с европейской системой патентного законодательства является Великобритания. В целом оно либеральнее американского антитрестовского законодательства, так как следует традиционной британской политике свободы торговли и минимизации прямого государственного вмешательства в хозяйственную деятельность предпринимателей.
    Становление современного антимонопольного законодательства в Великобритании связано с принятием в 70-х годах нашего столетия ряда нормативных актов в области ограничительных торговой практики и добросовестной торговли: Закона о добросовестной торговле 1973 г., Закона об ограничительной торговой практике 1975 г., законов о суде по ограничительной практике 1976 и 1977 г.г., Закона о перепродажных ценах 1976 г. Результатом попытки совершенствования правового регулирования процессов монополизации в стране стали разработка и принятие Закона о конкуренции 1980 г. Однако в целом надежды, возлагаемые на этот Закон, не оправдались, поскольку процедура контроля за антиконкурентной практикой не стала более оперативной и не возросло количество рассматриваемых дел.
    С принятием Закона от 19 июля 1977 г. наметились глубокие изменения во французском антимонопольном законодательстве. Так, в соответствии с этим Законом были ужесточены санкции по отношению к запрещенным картелям и злоупотреблению доминирующим положением на рынке. Впервые был организован контроль за концентрацией производства.
    В 1986 г. Принято новое французское антимонопольное законодательство, которое существенно отличается от ранее действовавшего. Суть его можно понять в связи с государственным вмешательством в экономическую жизнь страны (так называемая политика “дирижизма”), в частности с государственным регулированием цен. Поворотным моментом в экономической политике Франции стал отказ от экономического вмешательства со стороны государства, хотя и со многими оговорками.
    Отныне борьба с инфляцией, установление и регулирование цен попало под действие рыночного механизма.



    Заключение


    Как указывалось выше, антимонопольное законодательство ФРГ занимает промежуточное положение между двумя системами антимонопольного законодательства. Значительным импульсом в развитии антимонопольного законодательства в ФРГ стало утверждение там свободной рыночной экономики в послевоенное время. В 1949 г. были разработаны два законопроекта: об обеспечении конкуренции путем повышения эффективности и о ведомстве по монополиям. Работа в этом направлении была продолжена и завершилась принятием в 1957 г. Закона против ограничений конкуренции, который в обиходе получил сокращенное название Картельного закона, что не совсем точно отражает его содержание, поскольку он призван регламентировать ограничения конкуренции не только в форме картелей.
    В последующие годы в Картельный закон были внесены многочисленные изменения. В настоящее время Закон действует в редакции 1989 года. Вступив в силу 1 января 1990 г., он так теперь и датируется.
    Следует отметить, что Картельный закон ФРГ покоится на двух принципах: принципе запрещения и принципе контроля и регулирования монополистической деятельности. Как и в США, он запрещает определенную категорию соглашений, например картельные договоры и картельные постановления. Однако эти запреты сопровождаются многочисленными исключениями, которые в значительной степени нейтрализуют принцип запрещения монопольной практики. Так, если Закон Шермана объявляет незаконным заключение любого договора, ограничивающего торговлю, то Картельный закон ФРГ признает недействительным исполнение картельных договоров или постановлений. Кроме того, в отличие от горизонтальных конкурентных ограничений, вертикальные ограничения формально не запрещаются.
    Они подлежат административному контролю с целью предупреждения антиконкурентной практики.
    Опыт законодательства промышленно развитых стран свидетельствует о различных источниках правового регулирования пресечения недобросовестной конкуренции и монополистической деятельности: отдельно принятые антимонопольные законы и законы о пресечении недобросовестной конкуренции (Австрия, Испания, Канада, ФРГ, Швейцария); антимонопольные законы и общие нормы гражданского права в области пресечения недобросовестной конкуренции (Италия, Франция); антимонопольные или антитрестовские законы и судебные прецеденты в области пресечения недобросовестной конкуренции (Великобритания, США).







    Заключение


    Подводя итоги, можно охарактеризовать антимонопольное законодательство и антимонольную политику Украины как необходимые атрибуты структурных преобразований во всех сферах экономики страны. На данном этапе проблема монополизации и недобросовестной конкуренции перестает быть чисто экономической — она все больше становится политической и общественной. Поэтому чрезвычайно необходимо, чтобы население Украины осознало всю пагубность и все отрицательные последствия монополии как таковой.
    Бесспорно, в некоторых случаях (но лишь в малой толике от их общего количества) существование монополии является оправданным и необходимым, но за этими процессами должен осуществляться жесткий контроль со стороны государства по недопущению злоупотребления своим монопольным положением.
    Решающую роль в создании на рынке благоприятной конкурентной среды играют антимонопольное законодательство и деятельность антимонопольных органов, правильное поведение которых способствует стабилизации всей экономики в целом.
    Антимонопольная служба Украины еще очень молода, но уже сделаны ее первые шаги к нормализации ситуации по данным проблемам. Намного больше ей еще предстоит сделать, и эти действия должны осуществляться одновременно с усовершенствованием антимонопольного законодательства Украины. В данном направлении нужно обратить особое внимание на более чем вековой опыт антимонопольного законодательства США и на антимонопольную практику других развитых стран.
    Но здесь возникает еще одна проблема, заключаящаяся в том, что десятилетиями сладывающаяся отраслевая монополия не может быть быстро заменена свободным и саорганизующимся рынком, ведь утверждение конкурентных отношений — не единовременная моментальная акция, а процесс длительный, сложный, а для немалого же числа предприятий — гибельный. Выжить смогут лишь те предприятия, которые обеспечат более высокое качество товара, относительно более низкие цены и быструю сменяемость ассортимента.

    Литература



    1. Архипов А.И. Экономика.- М.:Финансы и статистика,2000.-304с.
    2. Задоя А.А., Ю.Е. Петруня основы экономики.-К.:Вища шк.-Знання,1998г.-478с.:ил..
    3. Задоя А.А. микроэкономика Днепропетровск, 2000г.-150с.
    4. Нуреев Р.М.- Курс микроэкономики.-М.:Инфра-М,2001.-572с.
    5. Сажина М.А., Чибриков Г.Г. Экономическая теория. - М.: Норма, Инфра-М, 2001г.-500с.
    6. Сажина М.А., Чибриков Г.Г. Основы экономической теории. - М.: Учеб. пособие для вузов. “Техлит”, 1996г.
    7. Сайт Верховної Ради України
    8. Сальников Е. Монополія: учора, сьогодні, завтра//
    9. Економіка і життя.-1999г.,№28Тотьев К. Державна і природна монополії// Закон.- 2000г.,№4, с.60-63.
    10. ГрищенкоВ.О.Микроэкономика.-К.:Ника-Центр,2000г.- 500с.



    Антимонопольная политика в условиях рыночной экономики


    - принятие решений о централизованном распределении товаров, что приводит к монопольному положению на рынке;
    - установление запрета на реализацию товаров из одного региона страны в другой;
    - предоставление отдельным предпринимателям налоговых и других льгот, ставящих их в привилегированное положение по отношению к другим предпринимателям;
    - ограничение прав предпринимателей по приобретению и реализации товаров;
    - установление запретов или ограничений относительно отдельных предпринимателей или групп предпринимателей.
    Недобросовестной конкуренцией признается:
    - неправомерное использование товарного знака, фирменного наименования или маркировки товара, а также копирование формы, упаковки, внешнего оформления, имитация, копирование, прямое воссоздание товара другого предпринимателя, самовольное использование его имени;
    - умышленное распространение заведомо ложных или неточных сведений, которые могут нанести ущерб деловой репутации или имущественным интересам другого предпринимателя;
    - получение, использование, разглашение коммерческой тайны, а также конфиденциальной информации в целях нанесения ущерба деловой репутации или имуществу другого предпринимателя.
    Государственной контроль за соблюдением антимонопольного законодательства, защита интересов предпринимателей от злоупотребления монопольным положением и недобросовестной конкуренции осуществляется Антимонопольным комитетом Украины в соответствии с его компетенцией.
    Антимонопольный комитет Украины образуется Верховным Советом Украины. В своей деятельности Антимонопольный комитет Украины подчинен и подотчетен Верховному Совету Украины.
    Антимонопольный комитет Украины является юридическим лицом, имеет печать с изображением Государственного герба Украины и своим наименованием. В своей деятельности Антимонопольный комитет Украины руководствуется настоящим Законом, другими законодательными актами Украины, а также положением об Антимонопольном комитете Украины, утвержденным Верховным Советом Украины.
    Сведения, полученные Антимонопольным комитетом Украины и его территориальными управлениями и являющиеся коммерческой тайной, не подлежат разглашению. Убытки, причиненные разглашением сведений, являющихся коммерческой тайной, подлежат возмещению в полном объеме Антимонопольным комитетом Украины в судебном порядке за счет государственного бюджета.
    В целях предотвращения монопольного положения отдельных предпринимателей на рынке Антимонопольный комитет Украины и его территориальные управления осуществляют предварительные действия по государственному контролю за реорганизацией (слиянием и присоединением) предприятий, созданием ассоциаций, концернов, межотраслевых, региональных и других объединений предприятий, превращения органов управления в указанные объединения, а также за созданием, реорганизацией т ликвидацией хозяйственных обществ.
    Предприниматель может приобретать контрольный пакет акций акционерного общества, занимающего монопольное положение на рынке, при условии уведомления в месячный срок Антимонопольного комитета Украины. Такие же правила применяются и а тех случаях, если предприниматель доли (паи) в другом хозяйственном обществе, которое занимает монопольное положение.
    В случаях, если предприниматели злоупотребляют монопольным положением на рынке, Антимонопольный комитет Украины и его территориальные управления выдают распоряжение о принудительном разделе монопольных образований. Принудительный раздел не применяется в случаях:
    - невозможности организационного или территориального отделения предприятий, структурных подразделений или структурных единиц;
    - наличия тесной технологической связи предприятий, структурных подразделений или структурных единиц (если доля внутреннего оборота в общем объеме валовой продукции предприятия составляет менее 30%).
    Штрафы на предпринимателей налагаются Антимонопольным комитетом за:
    - уклонение от выполнения или несвоевременное выполнение распоряжений Антимонопольного комитета Украины о прекращении нарушений антимонопольного законодательства, восстановлении начального состояния или изменении соглашений, противоречащих настоящему Закону;
    - непредставление, несвоевременное представление информации монопольному комитету Украины и его территориальным монополистич. управлениям или представления заведомо недостоверных данных.
    Прибыль, незаконно полученная субъектами предпринимательской деятельности в результате нарушения данного Закона, взыскивается судом или арбитражным судом в государственной бюджет.
    Убытки, причиненные злоупотреблением монопольным положением и недобросовестной конкуренцией, подлежат возмещению по искам заинтересованных лиц в порядке, предусмотренном гражданским законодательством Украины.
    По утверждению зарубежных наблюдателей, Антимонопольное законодательство Украины отвечает мировым стандартам. Однако создавалось оно, к сожалению, не в рамках реализации единой программы социально-экономических преобразований. Ее нет и по сей день. Не видя ориентиров, украинское правительство, как показала жизнь, уже начально избрало неправильный путь.
    Мировая практика свидетельствует о том, что только после запуска демонополизации основных сфер производства следует проводить либерализацию цен и финансово-денежное реформирование. Наше правительство поступило наоборот и получило известные результаты.
    В суете повседневных забот, занятый собственными проблемами законодатель принял почти четыре года назад вышеизложенный Закон, не обеспечив при этом необходимую правовую среду для его функционирования. Жизненно важные принципы деятельности этого закона и модели корпоратизации еще только обсуждались. Не было утверждено и специальное положение об Антимонопольном комитете, что заведомо обрекало Закон на бездействие.
    Лишь 26 ноября 1993 года вступил в силу Закон “ОБ Антимонопольном комитете”, который юридически определил полномочия принципиально нового по своему правовому статусу и компетенции органа, объединяющего контрольно-наблюдательные и судебные функции. Именно об этом Законе положительно отзывались западные эксперты. Сейчас на него возлагаются большие задачи в надежде, что и Закон, и государственная программа демонополизации экономики могут создать необходимые условия для развития добросовестной конкуренции на рынке.
    Вновь созданной государственной структуре предстоит противостоять самому государству — главному монополисту, поддерживающему свои министерства, ведомства, военно-промышленный комплекс. Ведь неуверенная антимонопольная политика продолжает негативно влиять на товарно-денежное обращение, а министерства-монополисты, воплощающие львиную долю государственного бюджета, просто препятствуют демонополизации. Два года существования Антимонопольного комитета Украины показали, как трудно продвигается работа.
    Но сегодня комитет уже выполняет программу-минимум, — рассматривает конкретные дела, совершенствует законодательную базу, создает региональные организации. Впереди его ждет программа-максимум — устранение монопольных структур и создание благоприятной среды для конкуренции на рынке Украины.



    4. 2. Антимонопольная политика в условиях рыночной экономики.


    История развития монополий является одновременно и историей борьбы с ними. Негативные результаты монополизации проявляются сразу, и это особенно ощущают широкие слои населения. Вокруг монополий формируется негативное общественное мнение, которое требует государственной защиты потребителей от деятельности монополистов, ограничения деятельности других.
    Накопленный опыт и научные обобщения помогли обществу понять все “плюсы” и “минусы” монополий, выработать по отношению к ним определенную политику, которая получила название монопольной. Первым ее результатом в Украине оказалось антимонопольное законодательство. Оно заложено антимонопольными законами: Законом Украины “Об ограничении монополизма и недопущении недобросовестной конкуренции в предпринимательской деятельности” и Законом Украины ”Об антимонопольном комитете”, о которых уже говорилось выше.
    Антимонопольная политика и антимонопольное законодательство не имеют целью запрещение или ликвидацию монопольных образований. В обществе сложилось понимание того, что монополия как фактор роста прибыли не может быть уничтожена. Поэтому реальное задание антимонопольной политики заключается в том, чтобы поставить деятельность монополии на государственный контроль, исключить возможность злоупотребления монопольным положением.
    К. Маркс еще в середине прошлого столетия пришел к выводу, что появление монополий требует государственного вмешательства.
    Главная цель этого вмешательства заключается в защите и сохранении свободной конкуренции, которой угрожают монопольные тенденции. Конкретно можно сформулировать такие цели: ограничение монополий, поддержка и содействие малому бизнесу, защита прав потребителя. Существуют две основные формы борьбы с монополиями: 1) предупреждение создания монополий; 2) ограничение использования монопольной власти.
    Для проведения антимонопольной политики государство создает антимонопольные службы, основной задачей которых является контроль монополистических тенденций в стране. Антимонопольные службы не являются частью законодательной власти, но их компетенция позволяет им выполнять совещательную функцию. Подобные организации не имеют права действовать авторитарными методами, например, закрывать предприятия. Но они могут заставить предприятие, доминирующее на рынке, возобновить поставку продукции тому получателю, которому в этих поставках было противозаконно отказано. Все их решения обязательны для исполнения.
    В противном случае накладываются денежные штрафы, предусмотренные законодательством за нарушение антимонопольного закона. При этом необходимо отметить, что все решения антимонопольной службы должны подлежать проверке государственными судами.



    Ценообразование по принципу "издержки плюс накидка"




    Вспомним важное различие между совершенно конкурентной фирмой и фирмой с монопольной властью: для конкурентной фирмы цена равна предельным издержкам, для фирмы с монопольной властью цена превышает предельные издержки. Следовательно, способом измерения монопольной власти является величина, на которую цена, максимизирующая прибыль, превышает предельные издержки.
    В частности, мы может использовать коэффициент превышения цены над предельными издержками. Данный способ определения монопольной власти был предложен в 1934 г. экономистом Абба Лернером и получил название показателя монопольной власти Лернера:
    Ценообразование по принципу

    Численное значение коэффициента Лернера всегда находится между 0 и 1. Для совершенно конкурентной фирмы P = MC и L = 0. Чем больше L, тем больше и монопольная власть.
    Данный коэффициент монопольной власти может быть также выражен в терминах эластичности спроса, с которой сталкивается фирма. По уравнению (1
    Ценообразование по принципу
    ) мы знаем, что

    Ценообразование по принципу


    Однако, Еd теперь означает эластичность спроса фирмы, а не всего рыночного спроса..
    Заметим, что значительная монопольная власть не гарантирует высокие прибыли. Прибыль зависит от отношения средних издержек к цене. Фирма А может обладать большей монопольной властью, чем фирма В, но получать меньшую прибыль, если у нее значительно выше средние издержки.

    Пример
    Ценообразование по принципу "издержки плюс накидка": универсамы и джинсы с наклейкой дизайнера.
    Три примера помогут понять применение универсального правила ценообразования "издержки плюс накидка". Рассмотрим сеть универсамов розничной торговли. Хотя эластичность рыночного спроса на продовольствие невелика (около - 1), несколько универсамов обычно обслуживают большую часть районов, и поэтому ни один из них не может значительно поднять свои цены без потери множества потребителей, которые перейдут в другие магазины. В итоге эластичность спроса для любого универсама нередко доходит до - 10. Подставляя это значение вместо Еd в уравнении (2), мы получаем P = MC/(1 -0,1) = MC/(0,9) = (1,11)MC.
    Другими словами, руководитель типичного универсама должен установить цену примерно на 11% выше предельных издержек. Для различных объемов производства (при которых размер магазина и число служащих останутся постоянными) предельные издержки включают стоимость закупки продуктов питания оптом, издержки на их хранение, расстановку на полках и т.д. Для большинства универсамов накидка, несомненно, составит 10-11%.
    Маленькие продовольственные магазины самообслуживания, которые обычно работают в воскресные дни или круглые сутки, как правило, назначают более высокую цену, чем универсамы. Почему? Потому, что у них менее эластичная кривая спроса.
    Посетители таких магазинов в целом меньше реагируют на цену. Им может потребоваться ночью пакет молока или батон хлеба или они посчитают неудобным ехать в универсам. Эластичность спроса для таких магазинчиков составляет -5, и поэтому согласно универсальному правилу цены в них должны быть выше предельных издержек на 25%, что обычно и бывает.
    Коэффициент Лернера (Р - МС)/Р свидетельствует о том, что у маленьких продовольственных магазинов больше монопольной власти. Но больше ли у них прибыль? Нет.
    Так как их объем реализации значительно меньше, а средние постоянные издержки больше, они обычно получают значительно меньшую прибыль, чем крупный универсам, несмотря на более высокую накидку.
    Наконец, рассмотрим производство джинсов. Хотя джинсы выпускаются многими производителями, некоторые потребители платят дороже за джинсы с наклейкой фирменного дизайна. Но насколько больше они готовы заплатить (точнее насколько снизится сбыт в ответ на более высокие цены) - вот вопрос, который должен тщательно взвесить производитель, так как этот вопрос является решающим при определении цены, по которой может быть продана одежда (оптом в магазины розничной торговли для дальнейшей продажи потребителям).
    Для джинсов с наклейкой фирменного дизайна эластичность спроса колеблется от -3 до -4 (что типично для товаров с фирменными знаками). Это означает, что цена должна быть на 33-50% выше предельных издержек. Предельные издержки составляют 8-12 долл. за пару джинсов, а оптовая цена будет колебаться в пределах 12-18 долл.

    4 Антимонопольное законодательство.

    4.1 Антимонопольное законодательство на Украине


    В бывшем СССР почти 2000 продуктов производилось на предприятиях-монополистах, а удельный вес монопольного производства в машиностроительном комплексе составлял 80% объема производства. Только в машиностроении было 166 предпр.- монополистов и 180 монопольных производств.
    Если рассматривать конкретные виды продукции, то уровень монополизации оказывается еще выше. Например, 96% выпуска магистральных тепловозов было сосредоточено в объединении “Ворошиловградтепловоз”, 100% глубинных насосов - на Бакинском заводе имени Дзержинского.
    Функции контроля над ценами в Украине выполняет Государственная инспекция по контролю за ценами. Совместно с Антимонопольным комитетом инспекция стремится предупредить злоупотребления, вытекающие из господствующего положения какого либо предприятия при заключении торговых сделок (отказ от продажи, навязывание миним. цен), а также злоупотребления в организации сбыта.
    Нарушение порядка формирования, установления и применения цен и тарифов (статья 1652 кодекса Украины об административных правонарушениях (КоАП) предусматривает административную ответственность за нарушение порядка формирования и применения цен и тарифов, наценок и доплат к ним влечет наложение штрафа на должностных лиц от 5-10 миним. необлагаемых мин. доходов граждан. Невыполнение требований ведет к статье 1883КоАП с наложением штрафа 10-20 необлагаемых минимальных доходов граждан.




    Закон Украины “Об ограничении монополизма и недопущении недобросовестной конкуренции в предпринимательской деятельности”.

    Данный Закон определяет правовые основы ограничения и предупреждения монополизма, недопущения недобросовестной конкуренции в предпринимательской деятельности и осуществления государственного контроля за соблюдением норм антимонопольного законодательства.
    Для целей настоящего Закона употребляются следующие термины:
    - рынок товара (товарный рынок) — сфера оборота товара одной потребительской стоимости, в пределах которой определяется монопольное положение;
    - конкуренция — состязательность предпринимателей, когда их самостоятельные действия ограничивают возможности каждого их них влиять на общие условия реализации товара на рынке и стимулируют производство тех товаров, в которых нуждается потребитель;
    - монопольное положение — доминирующее положение предпринимателя, дающее ему возможность самостоятельно или вместе с другими предпринимателями ограничивать конкуренцию на рынке определенного товара. Монопольным признается положение предпринимателя, доля которого на рынке определенного товара превышает 35%. Решением Антимонопольного комитета Украины может определиться монопольным положение предпринимателя, доля которого на рынке определенного товара менее 35%.;
    - монопольная цена — цена, устанавливаемая предпринимателем, который занимает монопольное положение на рынке и приводит к ограничению конкуренции и нарушению прав потребителя;
    - монопольная деятельность — действия (бездеятельность) предпринимателя (предпринимателей) при условии монопольного положения на рынке одного предпринимателя (группы предпринимателей) в производстве и реализации товаров, а также действия (бездеятельность) органов власти и управления, направленные на недопущение, существенное ограничение или устранение конкуренции;
    - монопольное образование — предприятие, объединение или хозяйственное общество и другое образование, занимающее монопольное положение на рынке.
    Злоупотреблениями монопольным положением считаются:
    - навязывание таких условий договора, которые ставят контрагентов в неравное положение, или дополнительных условий, не относящихся к предмету договора, в том числе навязывание товара, не нужного контрагенту;
    - ограничение или приостановление производства, а также изъятие из оборота товаров в целях создания или поддержки дефицита на рынке или установления монопольных цен;
    - частичный или полный отказ от реализации или закупки товара при отсутствии альтернативных источников снабжения или сбыта в целях создания или поддержания дефицита на рынке или установления монопольных цен;
    - другие действия в целях создания препятствий доступа на рынок (выхода из рынка) других предпринимателей;
    - установление дискриминационных цен (тарифов, расценок) на свои товары, ограничивающих права отдельных потребителей.
    Дискриминацией предпринимателей органами власти и управления признается:
    - запрещение создания новых предприятий или других организационных форм предпринимательства в какой-либо сфере деятельности, а также установление ограничений на осуществление отдельных видов деятельности, на производство определенных видов товаров в целях ограничения конкуренции;
    - принуждение предпринимателей к приоритетному заключению договоров, первоочередной поставке товаров определенному кругу потребителей;



    Изменение спроса при переменном объеме


    Чтобы сделать это, мы должны переписать формулу предельного дохода следующим образом:
    MR = TR/Q =(PQ)/Q.

    Отметим, что дополнительный доход, получаемый в результате выпуска дополнительной единицы продукции, (PQ)/Q обладает двумя свойствами. Произведя одну дополнительную единицу продукции и продавая ее по цене Р, мы получим доход: (1)•(Р) = Р. Но фирма сталкивается с кривой спроса, имеющей наклон вниз, и поэтому производство и продажа данной дополнительной единицы приводят к небольшому снижению в цене P/Q, которое уменьшает доход от всей проданной продукции (т.е. изменение дохода Q[P/Q]).
    Таким образом:

    Правую часть формулы мы получили, умножив выражение Q (P/Q) на Р, а затем разделив его на Р. Вспомним, что эластичность спроса выражается как Еd=(P/Q)•(Q/P). Таким образом, (Q/P)•(P/Q) есть выражение, обратное эластичности спроса 1/Еd следовательно, при объеме производства, максимизирующем прибыль, можно записать:

    Теперь, так как целью фирмы является максимизация прибыли, мы можем приравнять предельный доход к предельным издержкам:
    P + P (1/Ed) = MC,
    или,
    (1)

    Данная формула представляет собой правило "большого пальца" для ценообразования. Левая часть уравнения (P - MC)/P выражает превышение цены над предельными издержками как процент от цены. Уравнение показывает, что данное превышение равняется величине, обратной эластичности спроса, взятой с отрицательным знаком. Точно так же мы можем переписать это уравнение, чтобы выразить цену через предельные издержки:
    (2)
    Например, если эластичность спроса равняется -4, а предельные издержки 9 долл. на единицу продукции, цена должна составить: 9/(1 - 1/4) = 9/0,75 = 12 долл. за единицу.
    Как сравнить цену, устанавливаемую монополистом, с ценой в условиях свободной конкуренции? На совершенном конкурентном рынке цена равна предельным издержкам. Монополист назначает цену, превышающую предельные издержки на величину, обратно пропорциональную эластичности спроса.
    Как показывает уравнение (1), если спрос чрезвычайно эластичен, Еd представляет собой большую отрицательную величину, а цена будет близка к предельным издержкам и, таким образом, монополизированный рынок будет очень похож на рынок свободной конкуренции. Фактически, когда спрос очень эластичен, монополисту достается незначительная прибыль.




    2.3. Кривая спроса для монополиста
    На конкурентном рынке существует прямая зависимость между ценой и объемом предложения. Эта зависимость отражена кривой предложения, которая совпадает с кривой издержек производства для отраслей в целом. Кривая предложения показывает, сколько будет производиться продукции по каждой цене.

    Изменение спроса при переменном объеме

    2а Зависимость цены от изменения спроса при
    том же объеме производства
    2в Изменение спроса при переменном объеме
    производства и постоянной цене

    В условиях монополизированного рынка кривая предложения отсутствует. Другими словами, нет пропорциональной зависимости между ценой и производимым количеством. Причина заключается в том, что решение монополиста по объему производства зависит не только от предельных издержек, но и от формы кривой спроса.
    Изменения в спросе не приводят к пропорциональным изменениям цены и предложения, как это происходит с кривой предложения для рынка свободной конкуренции. Вместо этого изменения в спросе могут привести к изменению цен при постоянном объеме производства, изменения в объеме производства могут произойти без изменения цены или же измениться могут как цена, так и объем производства. Это показано на 2а и 2b. На обоих частях рисунка кривой первоначального спроса D1 соответствуют кривая предельного дохода МR1, первоначальная монопольная цена Р1 и объем производства Q1. На 2а кривая спроса смещается вниз и поворачивается.
    Новые кривые спроса и предельного дохода обозначены D2 и МR2. Отметим, что MR2 пересекает кривую издержек в той же точке, что и MR1. В итоге объем производства продукции остается прежним.
    Цена, однако, снизится до Р2.
    На 2b кривая спроса поднимается вверх и поворачивается. Кривая нового предельного дохода MR2 пересекает кривую предельных издержек в точке, соответствующей большему объему производства, т.е. Q2 больше Q1.
    Но смещение кривой спроса таково, что цена остается прежней.
    Изменение спроса обычно вызывает изменения как цены, так и объема выпуска продукции. Но особые случаи, приведенные на 2, показывают важное различие между монопольным и конкурентным предложением. Отрасль с конкурирующими производителями предлагает определенное количество продукции по каждой цене.
    Такой взаимосвязи нет для монополиста, который в зависимости от того, как изменится спрос, может предлагать разное количество продукции по одной и той же цене или одинаковое количество по разным ценам.

    2.4. Воздействие и последствия налога для монополиста.
    X-неэффективность.
    Налог на объем производства также влияет на монополиста иначе, чем на отрасль с конкурирующими производителями. Введение налога на единицу продукции в отрасли с конкурирующими производителями приводит к увеличению рыночной цены на величину, которая несколько меньше налога, и что бремя налога несут как производители, так и потребители. При монополии, однако, цена может возрастать на величину, превышающую размер налога.

    Изменение спроса при переменном объеме

    3 График изменения издержек производства
    при введении налога на объем производства
    монополистической фирмы

    Проанализировать воздействие налога на монополиста несложно. Предположим, каждая единица продукции облагается определенным налогом в t долл., так что монополист должен платить правительству t долл. за каждую проданную единицу продукции. Следовательно, предельные (и средние) издержки фирмы возросли на величину налога t. Если первоначальные издержки фирмы составляли МС, ее решение по оптимальному объему производства теперь выглядит так:

    МК = МС + t

    На графике мы смещаем кривую предельных издержек вверх на величину t и обнаруживаем новую точку пересечения с кривой предельного дохода (3). Здесь Q0 и Р0 - соответственно объем производства и цена до обложения налогом, а Q1 и Р1 - объем выпуска и цена после введения налога.
    Смещение кривой предельных издержек вверх приводит к уменьшению объема производства и повышению цены. Иногда цена растет на величину меньше налога, но далеко не всегда (на 3 цена поднялась выше размеров налога). Это было бы невозможно на конкурентном рынке, но может случиться на монопольном рынке, так как в последнем случае отношение цены к предельным издержкам зависит от эластичности спроса. Предположим, например, что монополист сталкивается со спросом с постоянной эластичностью -2. Тогда согласно уравнению (2) цена будет равна двойным предельным издержкам.
    При налоге t предельные издержки увеличиваются до МС + t и цена возрастает до 2 (МС + t) = 2 МС + 2t, т.е. возрастает на удвоенную величину налога.
    Если в условиях совершенной конкуренции фирма выбирает только объем пр-ва, то монополист может назначать и цену. Следовательно, цена превышает предельный доход. Если в условиях совершенной конкуренции Р=MR, то на монополизированном рынке PMR.

    цена, Р

    Р1
    убыток
    P2
    прибыль


    Q1 Q2 Q

    Обычно считают, что монопольные цены самые высокие. Действительно, они, как правило, выше конкурентных, однако следует помнить, что монополист стремится к максимизации совокупной прибыли, а не прибыли на единицу продукции. И главное, рост цен не беспределен, он ограничивается ценовой эластичностью спроса на продукцию данной фирмы.
    Другим стереотипом является, будто монополист всегда стремится ограничивать выпуск продукции. Это тоже не совсем верно. По мере монополизации отрасли издержки и спрос, как правило, изменяются. На издержки действуют 2 противоположных фактора понижающий и повышающий.
    Понижающий, так как в результате создания монополии можно полнее использовать положительный эффект от роста масштаба производства(экономия на постоянных издержках, централизация снабжения и сбыта, экономия на маркетинговых операциях и т.д.). с другой стороны, действует и тенденция к их повышению, связанная с разбуханием и бюрократизацией управленческого аппарата, ослаблением стимулов к инновациям и риску вообще. Эту тенденцию Х.Лейбенстайн обозначил как “X-неэффективность”.





    Согласно Х. Лейбенстайну, X-неэффективность возникает всегда, когда фактические издержки при любом объеме производства выше средних совокупных издержек. Объем производства сокращается с Qc до Qm, а X-неэффективность (отрезок CD) заметно увеличивается




    ATC
    D



    D
    Х-неэффективность
    ATCm
    C B
    Х-неэффективность
    ATCc A


    Qm Qc Q






    3.Показатели монопольной власти В качестве одного из таких критериев используется индекс Харфиндела-Хиршмана, согласно которому безопасный с точки зрения монополизации рынок предполагает наличие10 и более конкурирующих фирм, при этом доля крупнейшей из них не должна превышать 31% , двух не более44%, 3-х не более 44%, а 4-х не более 64%.

    IHH=S12+S22+S32+…+Sn2

    где IHH- индекс Харфиндела-Хиршмана,

    S1- удельный вес самой крупной фирмы,

    S2- удельный вес второй по вел-не фирмы и т.д.
    Если в отрясли 1 фирма-чистая монополия, то IHH=10000



    Монополии в рыночной экономике Запада


    Кроме осуществления процесса демонополизации антимонопольная служба призвана бороться со злоупотреблениями. Такая борьба может быть эффективной только при активном участии потребителей. Поэтому широкие массы населения должны понимать практическое значение антимонопольной политики в повседневной жизни. Помочь в этом должна прежде всего пресса и другие средства массовой информации.
    Прессе должно предоставляться право на соответствующее сообщение, но лишь в объективной и честной форме, без какой-либо дискредитации. Каждая антимонопольная служба должна иметь сотрудника для связи с прессой, который сообщает о деятельности службы и комментирует ее.
    На Украине единственной монопольной службой государства, кроме самого государства, является Антимонопольный комитет Украины, о функциях и задачах которого уже было сказано выше.
    Может ли антимонопольная политика государства нанести вред экономике своей страны? Да, может, если она, без учета экономических взаимосвязей и без скурпулезной оценки той или иной проблемы, запрещает укрупнение фирм, которое было бы полезно и предоставило бы лучшие шансы в конкурентной борьбе с отечественными или зарубежными конкурентами.
    Безусловно, от проведения антимонопольной политики в нынешних тяжелых экономических условиях Украины чудес ожидать не приходится. Но очень важно, чтобы проведение антимонопольной политики завоевало доверие и поддержку населения, чтобы люди знали, что они могут обратиться в антимонопольные службы со своими проблемами. Необходимо убедить людей, что свободная конкуренция является добром для всех.






    4.3 Монополии в рыночной экономике Запада, возможность использования их опыта в условиях Украины.



    Во всех промышленно развитых странах в настоящее время осуществляется правовое регулирование (как правило, в рамках торгового права) процесса концентрации капитала и конкуренции в целях смягчения экономических и социальных последствий монополистической практики.
    Разработка и принятие антимонопольного законодательства — одно из самых важных средств такого государственного регулирования экономики. В современный период главная особенность этого законодательства состоит в том, что оно направлено на защиту так называемой олигополии как рыночного механизма*. При этом под олигополией понимается такая организация отрасли (или локального рынка), при которой ограниченное число крупных производителей выпускают значительную или преобладающую часть отраслевой продукции и благодаря этому они способны либо осуществлять самостоятельную монопольную политику, либо вступать в монопольный сговор относительно единой рыночной политики.
    Важнейшая черта олигополистического рынка — взаимодействие конкурентных и монопольных сил.

    Следует отметить, что антимонопольное законодательство не является первой попыткой в истории развития регулируемой конкуренции. Впервые регулирование конкурентных отношений возникло в середине ХIХ века в рамках законодательства о пресечении недобросовестной конкуренции, когда назрела необходимость в правовом регулировании методов и средств ведения конкуренции с тем, чтобы уберечь от дезорганизации товарно-денежные отношения.
    Возвращаясь к генезису антимонопольного законодательства, необходимо отметить, что исторически сложилось два типа антимонопольных законов. Первый из них предусматривает формальное запрещение монополии, второй строится на принципе контроля за монополистическими объединениями и ограничения их злоупотреблений*. Речь идет об антитрестовском законодательстве США и европейской системе антимонопольного законодательства, которая предусматривает контроль за монополистическими объединениями в целях недопущения их злоупотреблений своим господствующим положением на рынке. В странах европейской системы антимонопольного законодательства предусмотрена регистрация определенных видов соглашений о создании монополий или существенном ограничении конкуренции.
    При противоречии указанных соглашений публичным интересам они признаются государственным органом, регистрирующим подобные соглашения, вышестоящим государственным органом или судами недействительными.


    Американская система антимонопольного законодательства принята в Аргентине и ряде других стран. Европейская система помимо стран Западной Европы действует в Австралии, Новой Зеландии, ЮАР. Промежуточное положение между этими двумя системами занимает законодательство ФРГ, что объясняется тем фактом, что антимонопольное законодательство этой страны наряду с общей нормой о запрете монополий предусматривает большое количество исключений из этого принципа.
    Первый антитрестовский закон был принят в штате Алабама в 1883 году. Затем, на протяжении 1889-1890 годов, аналогичное законодательство было принято в других штатах США*. Принятие антитрестовского законодательства многими штатами способствовало разработке соответствующих законов на федеральном уровне.
    Так, в 1890 г. появляется так называемый Закон Шермана, положивший начало антимонопольному законодательству США. Главной особенностью этого законодательства является формальный запрет монополий, что придает ему, в отличие от законодательства других стран, наиболее жесткий характер. В 1914 г. в развитие общих положений Закона Шермана были приняты Закон Клейтона и Закон о федеральной торговой комиссии.
    Эти три нормативных акта с последующими изменениями и дополнениями составили костяк антимонопольного законодательства США.
    Основная особенность антитрестовского законодательства США заключается в принципе запрета монополий как таковых, то есть признания их незаконными изначально, в то время как западноевропейское антимонопольное законодательство строилось на

    принципе регулирования монополистической практики путем устранения ее отрицательных последствий. Но вскоре судебная практика в США нашла инструмент, посредством которого жесткое правило запрета всякой монополии нашло смягчение. Таким инструментом стало так называемое “правило разумности”, одобренное Верховным судом США в 1911 г. Верховный суд постановил, что Закон Шермана основывается на доктринах общего права об ограничении торговли и что его следует толковать в пользу запрета только тех ограничений, которые можно классифицировать как “неразумные” согласно принципам общего права.
    Кроме этого, американские суды со временем стали использовать и другие средства регулирования конкуренции, что в целом открыло для них и возможность более гибкого подхода к регламентации монополистической практики, и широкое поле судебного усмотрения. Так, в американской правовой литературе указывается, что отрицательные последствия жесткого правила незаконности монополий как таковых могут быть устранены тремя способами: более узким толкованием этого правила, установлением исключений из него и использованием как первого этапа в более широком анализе монополистической практики в рамках применения “правила разумности”.
    Однако сам режим антитрестовского регулирования время от времени претерпевает определенные изменения (смягчение или ужесточение), связанные с различными факторами, в частности со сменой экономической политики после прихода к власти определенной администрации, ослаблением или усилением государственного вмешательства в дела частного сектора. Преобладающей в настоящее время является оценка монополизма и его антипода — конкуренции, исходя из принципа эффективности экономики. Иными словами, отрицательные последствия монополизма в плане ограничения конкуренции могут перекрываться экономической эффективностью монополизации тех или иных рынков.
    Ярким примером страны с европейской системой патентного законодательства является Великобритания. В целом оно либеральнее американского антитрестовского законодательства, так как следует традиционной британской политике свободы торговли и минимизации прямого государственного вмешательства в хозяйственную деятельность предпринимателей.
    Становление современного антимонопольного законодательства в Великобритании связано с принятием в 70-х годах нашего столетия ряда нормативных актов в области ограничительных торговой практики и добросовестной торговли: Закона о добросовестной торговле 1973 г., Закона об ограничительной торговой практике 1975 г., законов о суде по ограничительной практике 1976 и 1977 г.г., Закона о перепродажных ценах 1976 г. Результатом попытки совершенствования правового регулирования процессов монополизации в стране стали разработка и принятие Закона о конкуренции 1980 г. Однако в целом надежды, возлагаемые на этот Закон, не оправдались, поскольку процедура контроля за антиконкурентной практикой не стала более оперативной и не возросло количество рассматриваемых дел.
    С принятием Закона от 19 июля 1977 г. наметились глубокие изменения во французском антимонопольном законодательстве. Так, в соответствии с этим Законом были ужесточены санкции по отношению к запрещенным картелям и злоупотреблению доминирующим положением на рынке. Впервые был организован контроль за концентрацией производства.
    В 1986 г. Принято новое французское антимонопольное законодательство, которое существенно отличается от ранее действовавшего. Суть его можно понять в связи с государственным вмешательством в экономическую жизнь страны (так называемая политика “дирижизма”), в частности с государственным регулированием цен. Поворотным моментом в экономической политике Франции стал отказ от экономического вмешательства со стороны государства, хотя и со многими оговорками.
    Отныне борьба с инфляцией, установление и регулирование цен попало под действие рыночного механизма.



    Заключение


    Как указывалось выше, антимонопольное законодательство ФРГ занимает промежуточное положение между двумя системами антимонопольного законодательства. Значительным импульсом в развитии антимонопольного законодательства в ФРГ стало утверждение там свободной рыночной экономики в послевоенное время. В 1949 г. были разработаны два законопроекта: об обеспечении конкуренции путем повышения эффективности и о ведомстве по монополиям. Работа в этом направлении была продолжена и завершилась принятием в 1957 г. Закона против ограничений конкуренции, который в обиходе получил сокращенное название Картельного закона, что не совсем точно отражает его содержание, поскольку он призван регламентировать ограничения конкуренции не только в форме картелей.
    В последующие годы в Картельный закон были внесены многочисленные изменения. В настоящее время Закон действует в редакции 1989 года. Вступив в силу 1 января 1990 г., он так теперь и датируется.
    Следует отметить, что Картельный закон ФРГ покоится на двух принципах: принципе запрещения и принципе контроля и регулирования монополистической деятельности. Как и в США, он запрещает определенную категорию соглашений, например картельные договоры и картельные постановления. Однако эти запреты сопровождаются многочисленными исключениями, которые в значительной степени нейтрализуют принцип запрещения монопольной практики. Так, если Закон Шермана объявляет незаконным заключение любого договора, ограничивающего торговлю, то Картельный закон ФРГ признает недействительным исполнение картельных договоров или постановлений. Кроме того, в отличие от горизонтальных конкурентных ограничений, вертикальные ограничения формально не запрещаются.
    Они подлежат административному контролю с целью предупреждения антиконкурентной практики.
    Опыт законодательства промышленно развитых стран свидетельствует о различных источниках правового регулирования пресечения недобросовестной конкуренции и монополистической деятельности: отдельно принятые антимонопольные законы и законы о пресечении недобросовестной конкуренции (Австрия, Испания, Канада, ФРГ, Швейцария); антимонопольные законы и общие нормы гражданского права в области пресечения недобросовестной конкуренции (Италия, Франция); антимонопольные или антитрестовские законы и судебные прецеденты в области пресечения недобросовестной конкуренции (Великобритания, США).







    Заключение


    Подводя итоги, можно охарактеризовать антимонопольное законодательство и антимонольную политику Украины как необходимые атрибуты структурных преобразований во всех сферах экономики страны. На данном этапе проблема монополизации и недобросовестной конкуренции перестает быть чисто экономической — она все больше становится политической и общественной. Поэтому чрезвычайно необходимо, чтобы население Украины осознало всю пагубность и все отрицательные последствия монополии как таковой.
    Бесспорно, в некоторых случаях (но лишь в малой толике от их общего количества) существование монополии является оправданным и необходимым, но за этими процессами должен осуществляться жесткий контроль со стороны государства по недопущению злоупотребления своим монопольным положением.
    Решающую роль в создании на рынке благоприятной конкурентной среды играют антимонопольное законодательство и деятельность антимонопольных органов, правильное поведение которых способствует стабилизации всей экономики в целом.
    Антимонопольная служба Украины еще очень молода, но уже сделаны ее первые шаги к нормализации ситуации по данным проблемам. Намного больше ей еще предстоит сделать, и эти действия должны осуществляться одновременно с усовершенствованием антимонопольного законодательства Украины. В данном направлении нужно обратить особое внимание на более чем вековой опыт антимонопольного законодательства США и на антимонопольную практику других развитых стран.
    Но здесь возникает еще одна проблема, заключаящаяся в том, что десятилетиями сладывающаяся отраслевая монополия не может быть быстро заменена свободным и саорганизующимся рынком, ведь утверждение конкурентных отношений — не единовременная моментальная акция, а процесс длительный, сложный, а для немалого же числа предприятий — гибельный. Выжить смогут лишь те предприятия, которые обеспечат более высокое качество товара, относительно более низкие цены и быструю сменяемость ассортимента.

    Литература



    1. Архипов А.И. Экономика.- М.:Финансы и статистика,2000.-304с.
    2. Задоя А.А., Ю.Е. Петруня основы экономики.-К.:Вища шк.-Знання,1998г.-478с.:ил..
    3. Задоя А.А. микроэкономика Днепропетровск, 2000г.-150с.
    4. Нуреев Р.М.- Курс микроэкономики.-М.:Инфра-М,2001.-572с.
    5. Сажина М.А., Чибриков Г.Г. Экономическая теория. - М.: Норма, Инфра-М, 2001г.-500с.
    6. Сажина М.А., Чибриков Г.Г. Основы экономической теории. - М.: Учеб. пособие для вузов. “Техлит”, 1996г.
    7. Сайт Верховної Ради України
    8. Сальников Е. Монополія: учора, сьогодні, завтра//
    9. Економіка і життя.-1999г.,№28Тотьев К. Державна і природна монополії// Закон.- 2000г.,№4, с.60-63.
    10. ГрищенкоВ.О.Микроэкономика.-К.:Ника-Центр,2000г.- 500с.





     

        Экономика: Теории - Концепции