ценных бумаг, достаточно широко распространенные на российском
рынке: акции, облигации и векселя. Оставшиеся виды основных ценных
бумаг, описанных в Гражданском кодексе РФ или в иных законах
РФ, не имеют широкого распространения в связи с недостаточным
развитием рыночных отношений в нашей стране, а значит, и в связи с
отсутствием спроса на них со стороны участников рынка. В основном
они связаны с обслуживанием денежных расчетов или товарного обращения.
По указанным причинам данные ценные бумаги не являются предметом
изучения настоящего учебного курса, а потому их описание приведено
в краткой форме.
БАНКОВСКИЙ СЕРТИФИКАТ
Отличительная особенность. Это единственный вид ценнойбумаги, выпускать которую имеет право только коммерческий банк.
Экономическая природа. Долговая ценная бумага с процентным доходом.
Виды: депозитный сертификат и сберегательный сертификат.
Юридические определения.
Депозитный сертификат — ценная бумага, удостоверяющая сумму
вклада, внесенного в банк юридическим лицом, и его права на получение
в этом банке или в его филиалах по истечении установленного
срока суммы вклада и причитающихся по нему процентов.
Сберегательный сертификат — ценная бумага, удостоверяющая
сумму вклада, внесенного в банк гражданином, и его права на получение
в этом банке или в его филиалах по истечении установленного срока
суммы вклада и причитающихся по нему процентов.
Юридическая основа. Договоры банковского вклада.
Форма существования. Документарная (бумажная).
Срок существования. Депозитный сертификат — до 1 года, сберегательный
сертификат — до 3 лет.
Порядок фиксации владельца. Банковский сертификат может быть
и именным, и на предъявителя.
Обязательные реквизиты:
• наименование «депозитный (или сберегательный) сертификат»;
• указание на причину выдачи сертификата (внесение депозита или
сберегательного вклада);
• дата внесения депозита или сберегательного вклада;
• размер депозита или сберегательного вклада, оформленного сертификатом
(прописью и цифрами);
• безусловное обязательство банка вернуть сумму, внесенную в депозит
или на вклад;
• дата востребования вкладчиком суммы по сертификату;
• ставка процента за пользование депозитом или вкладом;
• сумма причитающихся процентов;
• наименование и адрес банка-эмитента, а для именного сертификата
— наименование вкладчика;
• подписи двух лиц, уполномоченных банком на подписание такого
рода обязательств, скрепленные печатью банка.
Отсутствие какого-либо из указанных реквизитов означает потерю
статуса сертификата как ценной бумаги.
Банк имеет право включать в сертификат дополнительные реквизиты,
не противоречащие действующему законодательству.
Условия выпуска. Условия выпуска и обращения банковских сертификатов
должны быть зарегистрированы в порядке, определяемом
Центральным банком РФ и Федеральной комиссией по рынку ценных
бу.маг.
Выпуск и обращение депозитных и сберегательных сертификатов
регулируются статьей 844 Граукданского кодекса РФ, а также письмом
Банка России «О депозитных и сберегательных сертификатах
банков» Afo 14-3-20 от 10 февраля 1992 г. с последующими дополнениями
и изменениями к не.му.
В отличие от депозитных сертификатов, сберегательные сертификаты
могут выпускать только банки:
• осуществляющие банковскую деятельность не менее года;
• опубликовавщие годовую отчетность (баланс и отчет о прибылях
и убытках), подтвержденную аудиторской фирмой;
Соблюдающие банковское законодательство и нормативные акты
Центрального банка РФ, в том числе директивные экономические нормативы;
• имеющие резервный фонд не менее 15% от фактически оплаченного
уставного фонда;
• имеющие резервы на возможные потери по ссудам в соответствии
с требованиями Центрального банка РФ.
Выпуск сертификатов осуществляется как сериями, так и в разовом
порядке.
Порядок обращения. Сертификаты на предъявителя передаются путем
вручения. Сертификаты именные передаются путем оформления
цессии на его оборотной стороне. Данное соглашение скрепляется подписями
и печатями сторон, участвующих в сделке.
Расчеты по депозитным сертификатам осуществляются только в
безналичном порядке.
Банковский сертификат, в отличие от векселя и чека, не может служить
расчетным и платежным средством при купле-продаже товаров и услуг.
При наступлении срока окончания обращения по банковскому сертификату
выплачивается сумма вклада и установленная сумма процентов
независимо от времени его приобретения.
В случае досрочного предъявления сберегательного или депозитного
сертификата к оплате банком выплачиваются сумма вклада и проценты,
соответствующие вкладам до востребования, если условиями
сертификата не установлен иной размер процентов.
Особенности учета. В отличие от выпускаемых банком облигаций,
которые в качестве заемного капитала входят в состав капитала банка,
служащего основой для определения (расчета) важнейших финансовых
нормативов коммерческого банка, банковские сертификаты относятся
к так называемым «привлеченным средствам», в состав которых
также включаются депозиты, полученные займы на межбанковском
рынке, доходы от операций репо и учета векселей, банковские векселя
(коммерческие бумаги) и т.д.
ЧЕК
Глава 1 Глава 2 Глава 3
Экономическая природа. Чек есть особая форма переводного
векселя, плательщиком по которому всегда является банк.
Юридическое определение. Чек — это ценная бумага, содержащая
ничем не обусловленное распоряжение чекодателя банку произвести
платеж указанной в нем суммы чекодержателю.
Обязательные реквизиты:
• наименование «чек»;
• поручение плательщику (банку) выплатить определенную сумму
денег;
• наименование плательщика и реквизиты счета, с которого должен
быть произведен платеж;
• валюта платежа;
• дата и место составления чека;
• подпись чекодателя.
Отличительная особенность. Указание о процентах считается ненаписанным.
Форма существования. Документарная (бумажная).
Срок существования. По российскому законодательству чек выписывается
на срок до 10 дней.
Порядок фиксации владельца. Чек может быть на предъявителя, именной
и ордерный.
Порядок обращения. Предъявительский чек передается путем вручения.
Именной чек не подлежит передаче. Ордерный чек передается
путем индоссамента.
Виды чеков. Расчетный чек — по нему не допускается оплата наличными
деньгами. Денежный чек предназначен для получения наличных
денег в банке.
Коносамент — это документ стандартной формы, принятой
в международной практике, на перевозку груза, который удостоверяет
его погрузку, перевозку и право на получение.
Коносамент используется при перевозке грузов в международном
сообщении и представляет собой ценную бумагу, которая удостоверяет
право владения перевозимым грузом, товаром.
Формы коносамента:
• на предъявителя, т.е. предъявитель коносамента является владельцем
груза;
• именной, т.е. владельцем груза является лицо, поименованное в
коносаменте; именной коносамент не подлежит передаче другому лицу;
• ордерный, т.е. передача коносамента от одного лица к другому
осуществляется с помощью передаточной надписи на нем — индоссамента;
это самая распространенная форма коносамента.
К коносаменту обязательно прилагается страховой полис на груз.
Коносамент может сопровождаться различными дополнительными документами,
необходимыми для перевозки груза, его хранения и сохранности,
для прохождения таможенных процедур и т.п.
Коносамент является документом, в котором никакие изменения невозможны.
Основные реквизиты коносамента:
• наименование судна;
• наименование фирмы-перевозчика;
• место приема груза;
• наименование отправителя груза;
• наименование получателя груза;
• наименование груза и его главные характеристики;
• время и место выдачи коносамента;
• подпись капитана судна.
Юридическая основа. Договор складского хранения.
Определение. Складское свидетельство — это ценная бумага, удостоверяющая
принятие товара на хранение по договору складского хранения.
Форма существования. Документарная (бумажная).
Срок существования. Срок хранения товара на складе.
Виды складского свидетельства в зависимости от порядка фиксации
владельца:
а) на предъявителя — простое складское свидетельство;
б) именное — двойное складское свидетельство.
Обязательные реквизиты:
• наименование и место нахождения склада;
• номер по реестру склада;
• наименование и место нахождения товаровладельца (для именного
свидетельства);
• наименование и количество хранимого товара;
• срок хранения или указание на хранение товара до востребования;
• размер и порядок оплаты за хранение;
• дата выдачи;
• подписи и печати склада.
Особенности двойного складского свидетельства. Состоит из двух
частей — складского свидетельства и залогового свидетельства (варранта),
которые могут быть отделены друг от друга, и каждое по отдельности
есть ценная бумага.
Выдача со склада товара по двойному складскому свидетельству
возможна только в обмен на обе его части вместе.
Порядок обращения. Простое складское свидетельство передается
путем вручения. Обе части двойного складского свидетельства передаются
вместе или порознь путем индоссамента.
Товар, принятый на хранение, может быть предметом залога путем
залога соответствующего складского свидетельства.
удостоверяющая права ее владельца в соответствии с договором об
ипотеке (залоге недвижимого имущества) на получение денежного обязательства
или указанного в нем имущества.
Юридическая основа. Договор об ипотеке.
Форма существования. Документарная (бумажная).
Срок существования. В соответствии с договором об ипотеке.
Порядок фиксации владельца. Именная.
Обязательные реквизиты:
• наименование «закладная»;
• имя залогодателя и его адрес;
• имя первоначального залогодержателя и его адрес;
• название денежного обязательства, обеспечиваемого ипотекой;
• имя должника (если он не есть залогодатель) и его адрес;
• размер суммы обязательства (включая проценты) или порядок ее
определения;
• сроки уплаты суммы (сумм) обязательства;
• описание имущества, передаваемого в залог, его местонахождение
и денежная оценка;
• наименование права, в силу которого имущество, передаваемое в
залог, принадлежит залогодателю, и органа регистрации этого права с
указанием реквизитов регистрации и сроков его действия;
• наличие прав третьих лиц на закладываемое имущество;
• подписи залогодателя и должника;
• время и место нотариального удостоверения договора об ипотеке
и сведения о его государственной регистрации.
В отличие, например, от векселя, закладная может быть более «объемной
» ценной бумагой, так как кроме добавочного листа (аллонжа) для
осуществления индоссаментов она может иметь неограниченное число
приложений, т.е. других документов, в которых указываются условия
ипотеки или права по закладной, повторяющие положения договора об
ипотеке или развивающие их. Все добавочные листы и приложения (если
в них содержится соответствующее указание) являются неотъемлемой
частью закладной.
Условия выпуска. Закладная составляется (выписывается, оформляется)
лицом (залогодателем), которое передает свое имущество в залог
по обязательству другому лицу (залогодержателю). При этом сам
залогодатель не обязательно является должником перед залогодержателем,
а может быть гарантом исполнения должником своих обязательств
перед залогодержателем.
Закладная выдается первоначальному залогодержателю. Указанная
выдача осуществляется органом государственной регистрации договора
об ипотеке, но только после государственной регистрации самого
договора.
Выпуск закладной неразрывно связан с наличием договора об ипотеке.
При этом если второй может иметь место без выпуска закладной,
то обратное положение невозможно.
Сама по себе закладная как ценная бумага появляется тогда, когда
в указанном договоре содержится положение о том, что права залогодержателя
удостоверяются закладной. Главная причина, по которой
залогодержатель может быть заинтересован в таком пункте договора
об ипотеке, состоит в том, что он не исключает возможности того, что
денежные средства, которые он, к примеру, дал взаймы владельцу
недвижимости, могут понадобиться ему раньше, чем последний обязан
их вернуть в соответствии с заключенным договором. Продав по индоссаменту
закладную, залогодержатель получает необходимые ему
денежные средства, а покупатель закладной становится новым залогодержателем.
Регистрация закладной как при ее выпуске, так и при дальнейшей
передаче осуществляется в органе государственной регистрации ипотеки
в едином государственном реестре прав на недвижимое имущество.
Выпуск закладных запрещен, если предметом ипотеки выступают:
предприятия как единый имущественный комплекс, земельные участки,
подпадающие под действие Федерального закона «Об ипотеке (залоге
недвижимости)», леса, а также права аренды на перечисленные объекты.
Не допускается также существование закладных в том случае, когда
сумма долга по договору об ипотеке не определена на момент его
подписания и не может быть определена в дальнейшем.
Порядок обращения. Передача прав по закладной осуществляется в
том же порядке, что и по векселю, т.е. путем совершения на ней (или на
добавочном листе к ней) передаточной надписи (индоссамента) и передачи
ее новому владельцу.
Никаких ограничений по передаче закладной нет.
Закладная, как и другие первичные ценные бумаги, может передаваться
в залог, быть объектом купли-продажи, переходить по наследству
и т.д.
Если новый (а не первоначальный) законный владелец закладной
обнаружит несоответствие ее договору об ипотеке, обязательство по
которому обеспечивается закладной, то верным считается содержание
закладной, и ее владелец может потребовать от составителя закладной
устранения выявленного несоответствия путем аннулирования существующей
закладной и выдачи ему новой, если только он сделает это
сразу же, как только ему это стало известно. При этом все убытки, возникшие
в данной ситуации, несет составитель закладной.
ОСНОВНЫЕ ОПРЕДЕЛЕНИЯ
Банковский сертификат ценная бумага, удостоверяющая сумму
вклада, внесенного в банк юридическим лицом, и его нрава на получение
в этом банке или в его филиалах по истечении установленного срока
вклада и дохода но нему.
Чек есть особая форма переводного векселя, плательщиком по которому
всегда является банк.
Коносамент — документ стандартной формы, который используется
при перевозке грузов в международном сообщении и представляет
собой ценную бумагу, удостоверяющую право владения перевозимым
грузом, товаром.
Складское свидетельство — ценная бумага, удостоверяющая принятие
товара на хранение по договору складского хранения.
Закладная — это именная ценная бумага, которая удостоверяет права
ее владельца в соответствии с договором об ипотеке (залоге недвижимого
имущества) на получение денежного обязательства или указанного
в нем имущества.
ГЛАВНЫЕ ВЫВОДЫ
Рассмотренные виды ценных бумаг не имеют большого спроса со
стороны участников рынка ценных бумаг и поэтому не находят широкого
распространения. Они могут быть востребованы по мере развития
рыночных отношений для обеспечения денежных расчетов или товарного
обращения.
Государственные ценные бумаги (ГЦБ) — это форма
существования государственного внутреннего долга; это долговые ценные
бумаги, эмитентом которых выступает государство.
Наименование ГЦБ. Хотя по своей экономической сути все виды ГЦБ
есть долговые ценные бумаги, на практике каждая самостоятельная ГЦБ
получает свое собственное название, позволяющее отличать ее от других
видов облигации. Обычно кроме термина «облигация» используются
термины «казначейский вексель», «сертификат», «заем» и др. Каждая
страна использует свою терминологию для выпускаемых ГЦБ.
Функции ГЦБ. Выпуск в обращение ГЦБ может использоваться для
решения следующих основных задач:
а) финансирование дефицита государственного бюдж:ета на не инфляционной
основе, т.е. без дополнительного выпуска денег в обращение
в широком смысле, или в следующих случаях: когда расходы бюджета
на определенную календарную дату превышают имеющиеся в его
распоряжении средства на эту же дату (кассовый дефицит); когда поступление
доходов за месяц или квартал оказывается меньше, чем средства,
необходимые в этом же периоде для финансирования расходов
бюджета (сезонный дефицит); когда по итогам года доходы бюджета
меньше его расходов, и этот дефицит не покрывается за счет поступлений
в бюджет в следующем году (годовой дефицит);
б) финансирование целевых государственных программ в области
жилищного строительства, инфраструктуры, социального обеспечения
и т.п.;
в) регулирование экономической активности: денежной массы в обращении,
воздействие на цены и инфляцию, на расходы и направления
инвестирования, экономический рост, платежный баланс и т.д.
Преимущества ГЦБ. Ценные бумаги государства имеют, как
правило, два очень крупных преимущества перед любыми другими
ценными бумагами и активами. Во-первых, это самый высокий относительный
уровень надежности для вложенных средств и соответственно
минимальный риск потери основного капитала и доходов по нему.
Во-вторых, наиболее льготное налогооблож:ение по сравнению с другими
ценными бумагами или направлениями вложений капитала. Часто
на ГЦБ отсутствуют налоги на операции с ними и на получаемые
доходы.
Размещение ГЦБ. Обычно осуществляется:
• через центральные банки или министерства финансов. Основными
инвесторами в зависимости от вида выпускаемых облигаций являются:
население, пенсионные и страховые компании и фонды, банки, инвестиционные
компании и фонды;
• в бумажной (бланковой) или безбумаж:ной формах (в виде записей
на счетах в уполномоченных депозитариях). Имеется четкая тенденция
к увеличению выпуска ГЦБ в безбумажной форме;
Ф разнообразными методами: аукционные торги, открытая продажа
всем желающим по установленным ценам, закрытое распространение
среди определенного круга инвесторов и т.д.
ГЦБ, как правило, занимают ведущее место на рынке облигаций,
где их доля доходит до 50%, а значит, и на всем рынке ценных бумаг,
поскольку на последнем преобладают облигации. В структуре ГЦБ наибольший
удельный вес имеют среднесрочные и долгосрочные облигации,
но по отдельным странам имеется значительный разброс показателей,
характеризующих место и структуру рынка ГЦБ (табл.1).
Таблица 1
Структура рынка государственных ценных бумаг
развитых стран в 80—90-е годы.

Каждая страна имеет свою сложившуюся историю и практику рынка
ГЦБ, что находит отражение в видах и формах выпускаемых государственных
облигаций, масштабах национального рынка облигаций и
его участниках, порядке размещения облигаций и особенностях их налогообложения
и т.д. По этой причине российский рынок ГЦБ вряд ли
может быть устроен по образцу рынка какой-либо одной страны, будь
то США, Великобритания или любая другая страна. Не является правильным
и эклектический подход по принципу «брать самое лучшее» из
каждой страны, так как в экономике все взаимосвязано. Российские ГЦБ,
с одной стороны, должны отвечать реалиям отечественного рынка, а с
другой — отражать общие для многих стран, проверенные временем экономические
основы функционирования рынка ГЦБ Boo6nie и его современные
новации.
Основные проблемы российского рынка ГЦБ.
Краткосрочный характер ГЦБ. Сроки погашения государственных
облигаций составляют обычно 1 год и менее. Это связано с высоким
уровнем инфляции в стране. В нормальной рыночной ситуации ГЦБ
будут иметь в основном средне- и долгосрочный характер.
Государственный статус ценных бумаг. В Российской Федерации
Cтaтyc государственных ценных бумаг имеют как ценные бумаги федерального
правительства, так и ценные бумаги субъектов Федерации.
Налогообложение ГЦБ. Решается по-разному для разных видов ГЦБ.
С выпуском каждого нового вида облигаций издаются соответствующие
разъяснения по их налогообложению. Необходимо унифицировать
порядок налогообложения ГЦБ.
Обеспечение единой технологии первичного размещения ГЦБ и их
вторичных торгов на базе государственного (или полугосударственного)
депозитарного обслуживания.
Организация региональных рынков ГЦБ, что позволяет вовлечь свободные
капиталы территорий на рынок ГЦБ.
Необходимость вовлечения свободных денеж:иых средств населении
на рынок ГЦБ, в результате чего частные лица получают возможность
защиты своих сбережений от инфляции, а экономика страны, в конечном
счете, приобретет искомые источники инвестиционных ресурсов.
Гипертрофирование рынка ГЦБ в силу слабого развития рынка корпоративных
Ценных бумаг.
Российский рынок ГЦБ имеет небольшую историю. Прежде выпускались
государственные выигрышные займы, приспособленные для обращения
в условиях плановой социалистической экономики. В настоящее
время рынок ГЦБ представлен несколькими видами государственных
долговых обязательств.
Выпуск ГЦБ осуществляется в соответствии с требованиями Федерального
закона «Об особенностях эмиссии и обращения государственных
и муниципальных ценных бумаг» от 29 июля 1998 г. № 136-ФЗ.
существует несколько группировок.
По виду эмитента:
• ценные бумаги федерального правительства;
• региональные ценные бумаги, или ценные бумаги других уровней
государственного управления;
• ценные бумаги государственных учреж:дений;
• ценные бумаги, которым придан статус государственных.
По форме обращаемости:
• рыночные ценные бумаги, которые могут свободно перепродаваться
после их первичного размещения,
• нерыночные, которые не могут перепродаваться их держателями,
но могут быть через обусловленный срок возвращены эмитенту.
По срокам обращения:
• краткосрочные, выпускаемые на срок обычно до 1 года;
• среднесрочные, срок обращения которых растягивается на период
обычно от 1 года до 5— 10 лет;
• долгосрочные, т.е. имеющие срок жизни обычно свыше 10- 15 лет.
По способу выплаты (получения) доходов:
• процентые ценные бумаги (процентная ставка может быть фиксированной,
т.е. неизменной на весь период существования облигации,
плавающей, ступенчатой);
• дисконтные ценные бумаги, которые размещаются по цене ниже
номинальной, и эта разница (дисконт) образует доход по облигации;
• индексируемые облигации, номинальная стоимость которых возрастает,
например на индекс инфляции;
• выигрышные, доход по которым выплачивается в форме выигрышей;
• комбинированные облигации, по которым доход образуется за счет
комбинации ранее перечисленных способов.
Основные виды государственных ценных бумаг в России и в развитых
странах приведены в табл.
По мере выхода экономики России из кризисного состояния и решения
«технических» вопросов ГЦБ займут принадлежащее им место на
рынке ценных бумаг (табл. 2).


Российские государственные ценные бумаги федерального уровня имеют следующую новейшую историю.
1) Государственный республиканский внутренний заем РСФСР 1991 г.
(Государственные долгосрочные облигации — ГДО),
Размер займа — 79,7 млрд руб. ( в ценах 1991 г.).
Вид ценной бумаги - облигация.
Номинал - 100 тыс. руб. (в ценах 1991 г.).
Срок обращения — 30 лет (с 0091 г. по 3021 г.). Досрочные
погашения с 2000 г.
Купонная ставка — 15% годовых.
Обращение: • только между юридическими лицами;
• котировки устанавливаются Центральным банком
РФ еженедельно;
• риски инвесторов ограничены одним годом благодаря
установлению цены «особая неделя» за 13 месяцев
до ее наступления.
2) Облигации внутреннего валютного займа 1993 г.
История появления. В июне 1991 г. Банк внешнеэкономической деятельности
СССР обанкротился и не мог вернуть юридическим и физическим
лицам их валютные средства, которые к этому моменту хранились
на его счете. С целью гарантирования возвращения этих средств
российским резидентам Министерством финансов Российской Федерации
в первой половине 1993 г. был выпущен внутренний валютный заем,
в соответствии с которым долги перед юридическими лицами переводились
в облигации этого займа. (Долги перед физическими лицами были
погашены в полном объеме с 1 июля 1993 г.)
Условия займа. Валюта займа — доллары США. Процентная ставка —
3% годовых. Объем займа — 7,885 млрд долл. в 1993 г. и 5050 млрд долл. в
1996 г. Номинал облигации — 1000, 10 000 и 100 000 долл. США. Форма
выпуска - - предъявительская облигация с купонами. Дата выплаты по
купонам — 14 мая каждого года; купон действителен в течение 10 лет.
Выпуск — 5 серий:
• 1-й транш — на сумму 0,266 млрд долл., погашен 1094 г.
• 2-й транш - на сумму 1,518 млрд долл. - - сроком на 3 года; дата
погашения - 1096 г.
• 3-й транш — на сумму 1,307 млрд долл. сроком на 6 лет; дата
погашения 1099 г.
#4-й транш на сумму 2,627 млрд долл. сроком на 10 лет; дата
погашения — 1003 г.
• 5-й транш - на сумму 2,167 млрд долл. — сроком на 15 лет; дата
погашения -- 1008 г.
• 6-й транш на сумму 1,750 млрд долл. - сроком iia 10 лет; дата
погашения — 1006 г.
• 7-й транш — на сумму 1,750 млрд долл. — сроком на 15 лет; дата
погашения — 1011 г.
Условия обращения. Облигации внутреннего валютного займа могут
свободно продаваться и покупаться с расчетом за рубли или за конвертируемую
валюту. Вывоз этих облигаций из России запрещен.
Приобретение этих облигаций иностранными юридическими или
физическими лицами (т.е. нерезидентами) разрешено только за счет
средств специальных рублевых счетов в уполномоченных российских
банках. Валютные облигации могут вноситься в качестве вклада в уставный
капитал предприятий и коммерческих организаций.
Имеется биржевой и внебиржевой рынок рассматриваемых облигаций.
Биржевой рынок организован на базе Московской межбанковской
валютной биржи. Число его участников сравнительно невелико и насчитывает
несколько десятков торгующих фирм.
3) Государственные краткосрочные бескупонные облигации (ГКО).
Выпускаются с 1993 г.
Сроки обращения - до 1 года.
Номинал — от 10 руб. - устанавливается эмитентом при выпуске.
Форма существования — бездокументарная.
Владельцы — российские юридические и физические лица, а также
нерезиденты.
Форма владения — именная.
Форма выплаты дохода — дисконт, т.е. облигации продаются по цене
ниже номинала.
Место торговли - Московская межбанковская валютная биржа,
выполняющая одновременно функции торговой системы, расчетной системы
и депозитария.
Доходность определялась на основе рыночных торгов. Доходность
на момент выпуска устанавливалась в ходе проведения аукционов по
так называемым конкурентным заявкам, т.е. заявкам, которые принимают
участие в определении цены облигации.
Задолженность по ГКО, сложившаяся на 17 августа 1998 г., была
частично погашена, а частично реконструирована в новые, более долгосрочные
долговые ценные бумаги федерального правительства.
С августа 1998 г. выпуски ГКО не проводились. С конца 1999 г. выпуски
ГКО возобновились.
Главная и непосредственная причина краха рынка ГКО — высокий
уровень доходности, поддерживавшийся несмотря на все более сокращающуюся
доходную базу федерального бюджета. Экономические корни
указанного краха — отсутствие экономического роста в стране.
4) Облигации федерального займа (ОФЗ).
Начало выпуска — с июля 1995 г.
Сроки обращения — свыше 1 года.
Форма существования — документарная с обязательным централизованным
хранением, что приравнивает ее к бездокументарной ценной
бумаге.
Номинал — 1000 руб.
Эмитент — Министерство финансов РФ.
Форма владения — именная.
Форма выплаты дохода — фиксированная и переменная купонная
ставка.
Место торговли — Московская межбанковская валютная биржа.
До августа 1998 г. выпускались ОФЗ с переменным и постоянным
купонным доходом. Доход по ОФЗ с переменным купонным доходом
устанавливался на каждые последующие три месяца исходя из средней
доходности по ГКО.
Задолженность по ОФЗ со сроками погашения до 3199 г. и выпущенных
в обращение до 1098 г. реструктурирована во вновь выпускаемые
ОФЗ с фиксированным купонным доходом (ОФЗ — ФД) со сроками обращения
4 и 5 лет с соответствующими процентными ставками, с постоянным
купонным доходом (ОФЗ — ПД) со сроком обращения 3 года и нулевым
купонным доходом. Последние могут быть использованы для уплаты
задолженности по налогам в государственный бюджет.
5) Облигации государственного сберегательного займа (ОГСЗ).
Начало выпуска — август 1995 г.
Срок обращения — 1—2 года.
Номинал — 100 и 500 руб.
Форма существования — документарная.
Эмитент — Министерство финансов РФ.
Форма владения — предъявительская.
Форма выплаты дохода — купонная; процентный доход устанавливается
на каждые последующие три месяца и выплачивается ежеквартально
учреждениями Сбербанка РФ.
Владельцы — юридические и физические лица; резиденты и нерезиденты.
Порядок обращения — ОГСЗ свободно продаются и покупаются на
вторичном рынке. Первичное размещение ОГСЗ осуществляется Министерством
финансов в форме закрытых торгов.
Доход по ОГСЗ для физических лиц не облагается налогами.
6) Государственные облигации, погашаемые золотом (золотые сертификаты).
Сущность — предоставляют владельцу право получить при погашении
сертификата 1 кг химически чистого золота в слитках.
Эмитент — Министерство финансов РФ.
Форма существования — документарная с обязательным централизованным
хранением.
Форма владения — именная ценная бумага.
Наличие дохода — беспроцентная.
Номинал — цена покупки Банком России 1 кг химически чистого
золота на дату выпуска сертификата.
Описанные характеристики золотого сертификата утверждены условиями
его выпуска в 1998 г. До этого имелся очень небольшой опыт
выпуска золотых сертификатов на основе условий, утвержденных осенью
1993 г., с номиналом 10 кг.
7) Другие виды государственных внутренних долговых ценных бумаг.
Казначейские векселя. Их выпуск практикуется с 1994 г. в основном
с целью покрытия самых неотложных платежей федерального бюджета.
Размеры эмиссии сравнительно невелики, выпуск осуществляется на срок
до1 года, векселя реализуются с дисконтом.
Казначейские обязательства. Имели хождение в 1994—1996 гг. с целью
погашения задолженности федерального бюджета перед соответствующими
бюджетными и не бюджетными организациями. Свободно
продавались на вторичном рынке и могли использоваться для погашения
задолженности перед федеральным бюджетом по налогам (путем
обмена их на казначейские налоговые освобождения).
8) Государственные облигации, размещаемые на мировом рынке (еврооблигации).
С 1996 г. Россия осуществляет размещение своих долговых ценных
бумаг на мировом рынке. На европейском рынке эти бумаги называются
еврооблигациями.
Сроки размещения — 5~ 10 лет.
Номинал — в долларах США, в немецких марках и других валютах.
Доход - купонный, в процентах к номиналу (примерно 9- 13% годовых);
выплачивается в валюте номинала 1 -2 раза в год.
Форма существования — обычно бездокументарная.
Еврооблигации свободно обращаются на мировом рынке ценных
бумаг. В отличие от рассмотренных ранее государственных ценных
бумаг еврооблигации представляют собой форму государственного
внешнего, а не внутреннего долга.
векселя, плательщиком по которому всегда является банк.
Юридическое определение. Чек — это ценная бумага, содержащая
ничем не обусловленное распоряжение чекодателя банку произвести
платеж указанной в нем суммы чекодержателю.
Обязательные реквизиты:
• наименование «чек»;
• поручение плательщику (банку) выплатить определенную сумму
денег;
• наименование плательщика и реквизиты счета, с которого должен
быть произведен платеж;
• валюта платежа;
• дата и место составления чека;
• подпись чекодателя.
Отличительная особенность. Указание о процентах считается ненаписанным.
Форма существования. Документарная (бумажная).
Срок существования. По российскому законодательству чек выписывается
на срок до 10 дней.
Порядок фиксации владельца. Чек может быть на предъявителя, именной
и ордерный.
Порядок обращения. Предъявительский чек передается путем вручения.
Именной чек не подлежит передаче. Ордерный чек передается
путем индоссамента.
Виды чеков. Расчетный чек — по нему не допускается оплата наличными
деньгами. Денежный чек предназначен для получения наличных
денег в банке.
Коносамент — это документ стандартной формы, принятой
в международной практике, на перевозку груза, который удостоверяет
его погрузку, перевозку и право на получение.
Коносамент используется при перевозке грузов в международном
сообщении и представляет собой ценную бумагу, которая удостоверяет
право владения перевозимым грузом, товаром.
Формы коносамента:
• на предъявителя, т.е. предъявитель коносамента является владельцем
груза;
• именной, т.е. владельцем груза является лицо, поименованное в
коносаменте; именной коносамент не подлежит передаче другому лицу;
• ордерный, т.е. передача коносамента от одного лица к другому
осуществляется с помощью передаточной надписи на нем — индоссамента;
это самая распространенная форма коносамента.
К коносаменту обязательно прилагается страховой полис на груз.
Коносамент может сопровождаться различными дополнительными документами,
необходимыми для перевозки груза, его хранения и сохранности,
для прохождения таможенных процедур и т.п.
Коносамент является документом, в котором никакие изменения невозможны.
Основные реквизиты коносамента:
• наименование судна;
• наименование фирмы-перевозчика;
• место приема груза;
• наименование отправителя груза;
• наименование получателя груза;
• наименование груза и его главные характеристики;
• время и место выдачи коносамента;
• подпись капитана судна.
Юридическая основа. Договор складского хранения.
Определение. Складское свидетельство — это ценная бумага, удостоверяющая
принятие товара на хранение по договору складского хранения.
Форма существования. Документарная (бумажная).
Срок существования. Срок хранения товара на складе.
Виды складского свидетельства в зависимости от порядка фиксации
владельца:
а) на предъявителя — простое складское свидетельство;
б) именное — двойное складское свидетельство.
Обязательные реквизиты:
• наименование и место нахождения склада;
• номер по реестру склада;
• наименование и место нахождения товаровладельца (для именного
свидетельства);
• наименование и количество хранимого товара;
• срок хранения или указание на хранение товара до востребования;
• размер и порядок оплаты за хранение;
• дата выдачи;
• подписи и печати склада.
Особенности двойного складского свидетельства. Состоит из двух
частей — складского свидетельства и залогового свидетельства (варранта),
которые могут быть отделены друг от друга, и каждое по отдельности
есть ценная бумага.
Выдача со склада товара по двойному складскому свидетельству
возможна только в обмен на обе его части вместе.
Порядок обращения. Простое складское свидетельство передается
путем вручения. Обе части двойного складского свидетельства передаются
вместе или порознь путем индоссамента.
Товар, принятый на хранение, может быть предметом залога путем
залога соответствующего складского свидетельства.
ЗАКЛАДНАЯ
Определение. Закладная — это именная ценная бумага,удостоверяющая права ее владельца в соответствии с договором об
ипотеке (залоге недвижимого имущества) на получение денежного обязательства
или указанного в нем имущества.
Юридическая основа. Договор об ипотеке.
Форма существования. Документарная (бумажная).
Срок существования. В соответствии с договором об ипотеке.
Порядок фиксации владельца. Именная.
Обязательные реквизиты:
• наименование «закладная»;
• имя залогодателя и его адрес;
• имя первоначального залогодержателя и его адрес;
• название денежного обязательства, обеспечиваемого ипотекой;
• имя должника (если он не есть залогодатель) и его адрес;
• размер суммы обязательства (включая проценты) или порядок ее
определения;
• сроки уплаты суммы (сумм) обязательства;
• описание имущества, передаваемого в залог, его местонахождение
и денежная оценка;
• наименование права, в силу которого имущество, передаваемое в
залог, принадлежит залогодателю, и органа регистрации этого права с
указанием реквизитов регистрации и сроков его действия;
• наличие прав третьих лиц на закладываемое имущество;
• подписи залогодателя и должника;
• время и место нотариального удостоверения договора об ипотеке
и сведения о его государственной регистрации.
В отличие, например, от векселя, закладная может быть более «объемной
» ценной бумагой, так как кроме добавочного листа (аллонжа) для
осуществления индоссаментов она может иметь неограниченное число
приложений, т.е. других документов, в которых указываются условия
ипотеки или права по закладной, повторяющие положения договора об
ипотеке или развивающие их. Все добавочные листы и приложения (если
в них содержится соответствующее указание) являются неотъемлемой
частью закладной.
Условия выпуска. Закладная составляется (выписывается, оформляется)
лицом (залогодателем), которое передает свое имущество в залог
по обязательству другому лицу (залогодержателю). При этом сам
залогодатель не обязательно является должником перед залогодержателем,
а может быть гарантом исполнения должником своих обязательств
перед залогодержателем.
Закладная выдается первоначальному залогодержателю. Указанная
выдача осуществляется органом государственной регистрации договора
об ипотеке, но только после государственной регистрации самого
договора.
Выпуск закладной неразрывно связан с наличием договора об ипотеке.
При этом если второй может иметь место без выпуска закладной,
то обратное положение невозможно.
Сама по себе закладная как ценная бумага появляется тогда, когда
в указанном договоре содержится положение о том, что права залогодержателя
удостоверяются закладной. Главная причина, по которой
залогодержатель может быть заинтересован в таком пункте договора
об ипотеке, состоит в том, что он не исключает возможности того, что
денежные средства, которые он, к примеру, дал взаймы владельцу
недвижимости, могут понадобиться ему раньше, чем последний обязан
их вернуть в соответствии с заключенным договором. Продав по индоссаменту
закладную, залогодержатель получает необходимые ему
денежные средства, а покупатель закладной становится новым залогодержателем.
Регистрация закладной как при ее выпуске, так и при дальнейшей
передаче осуществляется в органе государственной регистрации ипотеки
в едином государственном реестре прав на недвижимое имущество.
Выпуск закладных запрещен, если предметом ипотеки выступают:
предприятия как единый имущественный комплекс, земельные участки,
подпадающие под действие Федерального закона «Об ипотеке (залоге
недвижимости)», леса, а также права аренды на перечисленные объекты.
Не допускается также существование закладных в том случае, когда
сумма долга по договору об ипотеке не определена на момент его
подписания и не может быть определена в дальнейшем.
Порядок обращения. Передача прав по закладной осуществляется в
том же порядке, что и по векселю, т.е. путем совершения на ней (или на
добавочном листе к ней) передаточной надписи (индоссамента) и передачи
ее новому владельцу.
Никаких ограничений по передаче закладной нет.
Закладная, как и другие первичные ценные бумаги, может передаваться
в залог, быть объектом купли-продажи, переходить по наследству
и т.д.
Если новый (а не первоначальный) законный владелец закладной
обнаружит несоответствие ее договору об ипотеке, обязательство по
которому обеспечивается закладной, то верным считается содержание
закладной, и ее владелец может потребовать от составителя закладной
устранения выявленного несоответствия путем аннулирования существующей
закладной и выдачи ему новой, если только он сделает это
сразу же, как только ему это стало известно. При этом все убытки, возникшие
в данной ситуации, несет составитель закладной.
ОСНОВНЫЕ ОПРЕДЕЛЕНИЯ
Банковский сертификат ценная бумага, удостоверяющая сумму
вклада, внесенного в банк юридическим лицом, и его нрава на получение
в этом банке или в его филиалах по истечении установленного срока
вклада и дохода но нему.
Чек есть особая форма переводного векселя, плательщиком по которому
всегда является банк.
Коносамент — документ стандартной формы, который используется
при перевозке грузов в международном сообщении и представляет
собой ценную бумагу, удостоверяющую право владения перевозимым
грузом, товаром.
Складское свидетельство — ценная бумага, удостоверяющая принятие
товара на хранение по договору складского хранения.
Закладная — это именная ценная бумага, которая удостоверяет права
ее владельца в соответствии с договором об ипотеке (залоге недвижимого
имущества) на получение денежного обязательства или указанного
в нем имущества.
ГЛАВНЫЕ ВЫВОДЫ
Рассмотренные виды ценных бумаг не имеют большого спроса со
стороны участников рынка ценных бумаг и поэтому не находят широкого
распространения. Они могут быть востребованы по мере развития
рыночных отношений для обеспечения денежных расчетов или товарного
обращения.
Государственные ценные бумаги
ОБЩАЯ ХАРАКТЕРИСТИКАГосударственные ценные бумаги (ГЦБ) — это форма
существования государственного внутреннего долга; это долговые ценные
бумаги, эмитентом которых выступает государство.
Наименование ГЦБ. Хотя по своей экономической сути все виды ГЦБ
есть долговые ценные бумаги, на практике каждая самостоятельная ГЦБ
получает свое собственное название, позволяющее отличать ее от других
видов облигации. Обычно кроме термина «облигация» используются
термины «казначейский вексель», «сертификат», «заем» и др. Каждая
страна использует свою терминологию для выпускаемых ГЦБ.
Функции ГЦБ. Выпуск в обращение ГЦБ может использоваться для
решения следующих основных задач:
а) финансирование дефицита государственного бюдж:ета на не инфляционной
основе, т.е. без дополнительного выпуска денег в обращение
в широком смысле, или в следующих случаях: когда расходы бюджета
на определенную календарную дату превышают имеющиеся в его
распоряжении средства на эту же дату (кассовый дефицит); когда поступление
доходов за месяц или квартал оказывается меньше, чем средства,
необходимые в этом же периоде для финансирования расходов
бюджета (сезонный дефицит); когда по итогам года доходы бюджета
меньше его расходов, и этот дефицит не покрывается за счет поступлений
в бюджет в следующем году (годовой дефицит);
б) финансирование целевых государственных программ в области
жилищного строительства, инфраструктуры, социального обеспечения
и т.п.;
в) регулирование экономической активности: денежной массы в обращении,
воздействие на цены и инфляцию, на расходы и направления
инвестирования, экономический рост, платежный баланс и т.д.
Преимущества ГЦБ. Ценные бумаги государства имеют, как
правило, два очень крупных преимущества перед любыми другими
ценными бумагами и активами. Во-первых, это самый высокий относительный
уровень надежности для вложенных средств и соответственно
минимальный риск потери основного капитала и доходов по нему.
Во-вторых, наиболее льготное налогооблож:ение по сравнению с другими
ценными бумагами или направлениями вложений капитала. Часто
на ГЦБ отсутствуют налоги на операции с ними и на получаемые
доходы.
Размещение ГЦБ. Обычно осуществляется:
• через центральные банки или министерства финансов. Основными
инвесторами в зависимости от вида выпускаемых облигаций являются:
население, пенсионные и страховые компании и фонды, банки, инвестиционные
компании и фонды;
• в бумажной (бланковой) или безбумаж:ной формах (в виде записей
на счетах в уполномоченных депозитариях). Имеется четкая тенденция
к увеличению выпуска ГЦБ в безбумажной форме;
Ф разнообразными методами: аукционные торги, открытая продажа
всем желающим по установленным ценам, закрытое распространение
среди определенного круга инвесторов и т.д.
ГЦБ, как правило, занимают ведущее место на рынке облигаций,
где их доля доходит до 50%, а значит, и на всем рынке ценных бумаг,
поскольку на последнем преобладают облигации. В структуре ГЦБ наибольший
удельный вес имеют среднесрочные и долгосрочные облигации,
но по отдельным странам имеется значительный разброс показателей,
характеризующих место и структуру рынка ГЦБ (табл.1).
Таблица 1
Структура рынка государственных ценных бумаг
развитых стран в 80—90-е годы.

Каждая страна имеет свою сложившуюся историю и практику рынка
ГЦБ, что находит отражение в видах и формах выпускаемых государственных
облигаций, масштабах национального рынка облигаций и
его участниках, порядке размещения облигаций и особенностях их налогообложения
и т.д. По этой причине российский рынок ГЦБ вряд ли
может быть устроен по образцу рынка какой-либо одной страны, будь
то США, Великобритания или любая другая страна. Не является правильным
и эклектический подход по принципу «брать самое лучшее» из
каждой страны, так как в экономике все взаимосвязано. Российские ГЦБ,
с одной стороны, должны отвечать реалиям отечественного рынка, а с
другой — отражать общие для многих стран, проверенные временем экономические
основы функционирования рынка ГЦБ Boo6nie и его современные
новации.
Основные проблемы российского рынка ГЦБ.
Краткосрочный характер ГЦБ. Сроки погашения государственных
облигаций составляют обычно 1 год и менее. Это связано с высоким
уровнем инфляции в стране. В нормальной рыночной ситуации ГЦБ
будут иметь в основном средне- и долгосрочный характер.
Государственный статус ценных бумаг. В Российской Федерации
Cтaтyc государственных ценных бумаг имеют как ценные бумаги федерального
правительства, так и ценные бумаги субъектов Федерации.
Налогообложение ГЦБ. Решается по-разному для разных видов ГЦБ.
С выпуском каждого нового вида облигаций издаются соответствующие
разъяснения по их налогообложению. Необходимо унифицировать
порядок налогообложения ГЦБ.
Обеспечение единой технологии первичного размещения ГЦБ и их
вторичных торгов на базе государственного (или полугосударственного)
депозитарного обслуживания.
Организация региональных рынков ГЦБ, что позволяет вовлечь свободные
капиталы территорий на рынок ГЦБ.
Необходимость вовлечения свободных денеж:иых средств населении
на рынок ГЦБ, в результате чего частные лица получают возможность
защиты своих сбережений от инфляции, а экономика страны, в конечном
счете, приобретет искомые источники инвестиционных ресурсов.
Гипертрофирование рынка ГЦБ в силу слабого развития рынка корпоративных
Ценных бумаг.
Российский рынок ГЦБ имеет небольшую историю. Прежде выпускались
государственные выигрышные займы, приспособленные для обращения
в условиях плановой социалистической экономики. В настоящее
время рынок ГЦБ представлен несколькими видами государственных
долговых обязательств.
Выпуск ГЦБ осуществляется в соответствии с требованиями Федерального
закона «Об особенностях эмиссии и обращения государственных
и муниципальных ценных бумаг» от 29 июля 1998 г. № 136-ФЗ.
Виды ГОСУДАРСТВЕННЫХ ЦЕННЫХ БУМАГ
В зависимости от критерия, лежащего в основе классификации,существует несколько группировок.
По виду эмитента:
• ценные бумаги федерального правительства;
• региональные ценные бумаги, или ценные бумаги других уровней
государственного управления;
• ценные бумаги государственных учреж:дений;
• ценные бумаги, которым придан статус государственных.
По форме обращаемости:
• рыночные ценные бумаги, которые могут свободно перепродаваться
после их первичного размещения,
• нерыночные, которые не могут перепродаваться их держателями,
но могут быть через обусловленный срок возвращены эмитенту.
По срокам обращения:
• краткосрочные, выпускаемые на срок обычно до 1 года;
• среднесрочные, срок обращения которых растягивается на период
обычно от 1 года до 5— 10 лет;
• долгосрочные, т.е. имеющие срок жизни обычно свыше 10- 15 лет.
По способу выплаты (получения) доходов:
• процентые ценные бумаги (процентная ставка может быть фиксированной,
т.е. неизменной на весь период существования облигации,
плавающей, ступенчатой);
• дисконтные ценные бумаги, которые размещаются по цене ниже
номинальной, и эта разница (дисконт) образует доход по облигации;
• индексируемые облигации, номинальная стоимость которых возрастает,
например на индекс инфляции;
• выигрышные, доход по которым выплачивается в форме выигрышей;
• комбинированные облигации, по которым доход образуется за счет
комбинации ранее перечисленных способов.
Основные виды государственных ценных бумаг в России и в развитых
странах приведены в табл.
По мере выхода экономики России из кризисного состояния и решения
«технических» вопросов ГЦБ займут принадлежащее им место на
рынке ценных бумаг (табл. 2).


Российские государственные ценные бумаги федерального уровня имеют следующую новейшую историю.
1) Государственный республиканский внутренний заем РСФСР 1991 г.
(Государственные долгосрочные облигации — ГДО),
Размер займа — 79,7 млрд руб. ( в ценах 1991 г.).
Вид ценной бумаги - облигация.
Номинал - 100 тыс. руб. (в ценах 1991 г.).
Срок обращения — 30 лет (с 0091 г. по 3021 г.). Досрочные
погашения с 2000 г.
Купонная ставка — 15% годовых.
Обращение: • только между юридическими лицами;
• котировки устанавливаются Центральным банком
РФ еженедельно;
• риски инвесторов ограничены одним годом благодаря
установлению цены «особая неделя» за 13 месяцев
до ее наступления.
2) Облигации внутреннего валютного займа 1993 г.
История появления. В июне 1991 г. Банк внешнеэкономической деятельности
СССР обанкротился и не мог вернуть юридическим и физическим
лицам их валютные средства, которые к этому моменту хранились
на его счете. С целью гарантирования возвращения этих средств
российским резидентам Министерством финансов Российской Федерации
в первой половине 1993 г. был выпущен внутренний валютный заем,
в соответствии с которым долги перед юридическими лицами переводились
в облигации этого займа. (Долги перед физическими лицами были
погашены в полном объеме с 1 июля 1993 г.)
Условия займа. Валюта займа — доллары США. Процентная ставка —
3% годовых. Объем займа — 7,885 млрд долл. в 1993 г. и 5050 млрд долл. в
1996 г. Номинал облигации — 1000, 10 000 и 100 000 долл. США. Форма
выпуска - - предъявительская облигация с купонами. Дата выплаты по
купонам — 14 мая каждого года; купон действителен в течение 10 лет.
Выпуск — 5 серий:
• 1-й транш — на сумму 0,266 млрд долл., погашен 1094 г.
• 2-й транш - на сумму 1,518 млрд долл. - - сроком на 3 года; дата
погашения - 1096 г.
• 3-й транш — на сумму 1,307 млрд долл. сроком на 6 лет; дата
погашения 1099 г.
#4-й транш на сумму 2,627 млрд долл. сроком на 10 лет; дата
погашения — 1003 г.
• 5-й транш - на сумму 2,167 млрд долл. — сроком на 15 лет; дата
погашения -- 1008 г.
• 6-й транш на сумму 1,750 млрд долл. - сроком iia 10 лет; дата
погашения — 1006 г.
• 7-й транш — на сумму 1,750 млрд долл. — сроком на 15 лет; дата
погашения — 1011 г.
Условия обращения. Облигации внутреннего валютного займа могут
свободно продаваться и покупаться с расчетом за рубли или за конвертируемую
валюту. Вывоз этих облигаций из России запрещен.
Приобретение этих облигаций иностранными юридическими или
физическими лицами (т.е. нерезидентами) разрешено только за счет
средств специальных рублевых счетов в уполномоченных российских
банках. Валютные облигации могут вноситься в качестве вклада в уставный
капитал предприятий и коммерческих организаций.
Имеется биржевой и внебиржевой рынок рассматриваемых облигаций.
Биржевой рынок организован на базе Московской межбанковской
валютной биржи. Число его участников сравнительно невелико и насчитывает
несколько десятков торгующих фирм.
3) Государственные краткосрочные бескупонные облигации (ГКО).
Выпускаются с 1993 г.
Сроки обращения - до 1 года.
Номинал — от 10 руб. - устанавливается эмитентом при выпуске.
Форма существования — бездокументарная.
Владельцы — российские юридические и физические лица, а также
нерезиденты.
Форма владения — именная.
Форма выплаты дохода — дисконт, т.е. облигации продаются по цене
ниже номинала.
Место торговли - Московская межбанковская валютная биржа,
выполняющая одновременно функции торговой системы, расчетной системы
и депозитария.
Доходность определялась на основе рыночных торгов. Доходность
на момент выпуска устанавливалась в ходе проведения аукционов по
так называемым конкурентным заявкам, т.е. заявкам, которые принимают
участие в определении цены облигации.
Задолженность по ГКО, сложившаяся на 17 августа 1998 г., была
частично погашена, а частично реконструирована в новые, более долгосрочные
долговые ценные бумаги федерального правительства.
С августа 1998 г. выпуски ГКО не проводились. С конца 1999 г. выпуски
ГКО возобновились.
Главная и непосредственная причина краха рынка ГКО — высокий
уровень доходности, поддерживавшийся несмотря на все более сокращающуюся
доходную базу федерального бюджета. Экономические корни
указанного краха — отсутствие экономического роста в стране.
4) Облигации федерального займа (ОФЗ).
Начало выпуска — с июля 1995 г.
Сроки обращения — свыше 1 года.
Форма существования — документарная с обязательным централизованным
хранением, что приравнивает ее к бездокументарной ценной
бумаге.
Номинал — 1000 руб.
Эмитент — Министерство финансов РФ.
Форма владения — именная.
Форма выплаты дохода — фиксированная и переменная купонная
ставка.
Место торговли — Московская межбанковская валютная биржа.
До августа 1998 г. выпускались ОФЗ с переменным и постоянным
купонным доходом. Доход по ОФЗ с переменным купонным доходом
устанавливался на каждые последующие три месяца исходя из средней
доходности по ГКО.
Задолженность по ОФЗ со сроками погашения до 3199 г. и выпущенных
в обращение до 1098 г. реструктурирована во вновь выпускаемые
ОФЗ с фиксированным купонным доходом (ОФЗ — ФД) со сроками обращения
4 и 5 лет с соответствующими процентными ставками, с постоянным
купонным доходом (ОФЗ — ПД) со сроком обращения 3 года и нулевым
купонным доходом. Последние могут быть использованы для уплаты
задолженности по налогам в государственный бюджет.
5) Облигации государственного сберегательного займа (ОГСЗ).
Начало выпуска — август 1995 г.
Срок обращения — 1—2 года.
Номинал — 100 и 500 руб.
Форма существования — документарная.
Эмитент — Министерство финансов РФ.
Форма владения — предъявительская.
Форма выплаты дохода — купонная; процентный доход устанавливается
на каждые последующие три месяца и выплачивается ежеквартально
учреждениями Сбербанка РФ.
Владельцы — юридические и физические лица; резиденты и нерезиденты.
Порядок обращения — ОГСЗ свободно продаются и покупаются на
вторичном рынке. Первичное размещение ОГСЗ осуществляется Министерством
финансов в форме закрытых торгов.
Доход по ОГСЗ для физических лиц не облагается налогами.
6) Государственные облигации, погашаемые золотом (золотые сертификаты).
Сущность — предоставляют владельцу право получить при погашении
сертификата 1 кг химически чистого золота в слитках.
Эмитент — Министерство финансов РФ.
Форма существования — документарная с обязательным централизованным
хранением.
Форма владения — именная ценная бумага.
Наличие дохода — беспроцентная.
Номинал — цена покупки Банком России 1 кг химически чистого
золота на дату выпуска сертификата.
Описанные характеристики золотого сертификата утверждены условиями
его выпуска в 1998 г. До этого имелся очень небольшой опыт
выпуска золотых сертификатов на основе условий, утвержденных осенью
1993 г., с номиналом 10 кг.
7) Другие виды государственных внутренних долговых ценных бумаг.
Казначейские векселя. Их выпуск практикуется с 1994 г. в основном
с целью покрытия самых неотложных платежей федерального бюджета.
Размеры эмиссии сравнительно невелики, выпуск осуществляется на срок
до1 года, векселя реализуются с дисконтом.
Казначейские обязательства. Имели хождение в 1994—1996 гг. с целью
погашения задолженности федерального бюджета перед соответствующими
бюджетными и не бюджетными организациями. Свободно
продавались на вторичном рынке и могли использоваться для погашения
задолженности перед федеральным бюджетом по налогам (путем
обмена их на казначейские налоговые освобождения).
8) Государственные облигации, размещаемые на мировом рынке (еврооблигации).
С 1996 г. Россия осуществляет размещение своих долговых ценных
бумаг на мировом рынке. На европейском рынке эти бумаги называются
еврооблигациями.
Сроки размещения — 5~ 10 лет.
Номинал — в долларах США, в немецких марках и других валютах.
Доход - купонный, в процентах к номиналу (примерно 9- 13% годовых);
выплачивается в валюте номинала 1 -2 раза в год.
Форма существования — обычно бездокументарная.
Еврооблигации свободно обращаются на мировом рынке ценных
бумаг. В отличие от рассмотренных ранее государственных ценных
бумаг еврооблигации представляют собой форму государственного
внешнего, а не внутреннего долга.
Стоимость и ЦЕНА ЦЕННОЙ БУМАГИ
Глава 1 Глава 2 Глава 3
Понятие стоимости ценной бумаги не может совпадать
с понятием стоимости обычного товара как материализации общественно
необходимого труда на его производство, так как ценная бумага не
производится. Ее объективной экономической основой, или источником
происхождения, является не труд непосредственно, а его абстрактная
форма — капитал.
Ценная бумага есть единство титула капитала (действительного
капитала) и самого капитала (фиктивного капитала), а потому в отличие
от простого товара, который имеет только одну стоимость — стоимость
самого товара, ценная бумага обладает двумя стоимостями:
стоимостью в качестве представителя действительного капитала, или
нарицательной стоимостью, и стоимостью в качестве фиктивного капитала,
или рыночной стоимостью.
Нарицательная стоимость ценной бумаги находит свое выражение в
той сумме денег, которую ценная бумага представляет при обмене ее
на действительный капитал на стадии ее выпуска или гашения. Эта сумма
денег называется номиналом ценной бумаги.
Рыночная стоимость ценной бумаги возникает в результате капитализации
ее имущественных прав, ибо благодаря этому процессу ценная
бумага и превращается в капитал, хотя и фиктивный.
Главное имущественное право в ценной бумаге — это ее право на
доход, поэтому стоимость ценной бумаги есть прежде всего капитализация
этого дохода. Однако получение начисляемого дохода — не единственное
право по ценной бумаге у ее владельца, остальные права тоже
имеют то или иное основание в ее стоимости или являются стоимостно-
образующими факторами. Поэтому самая абстрактная модель рыночной
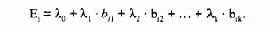
стоимости ценной бумаги имеет следующий вид:

Капитализация начисляемого дохода — это частное от деления этого
дохода на рыночную (обычно банковскую) процентную ставку. Капитализация
позволяет рассчитывать величину капитала, который, будучи
положен на депозит под эту процентную ставку, станет приносить
доход, равный начисляемому доходу.
В отличие от права на доход другие права по ценной бумаге не поддаются
строгой количественной оценке. Чем больше их значимость с
точки зрения рынка, тем менее детерминирован процесс ценообразования
на эту ценную бумагу, тем выше роль субъективно-психологических
оценок.
Рыночная цена ценной бумаги — это денежная оценка ее рыночной
стоимости. Самая абстрактная модель рыночной цены ценной бумаги
имеет такой вид:

В практике рыночная цена ценной бумаги HMeef такие названия, как
курсовая стоимость, курсовая цена, курс, рыночная котировка и т.п.
государственных и муниципальных ценных бумаг» деление государственных
ценных бумаг в нашей стране имеет следующий вид:
• федеральные государственные ценные бумаги, т.е. ценные бумаги,
выпускаемые федеральным правительством. Их основные виды рассмотрены
в предыдущем параграфе;
• государственные ценные бумаги субъектов Российской Федерации,
т.е. ценные бумаги, выпускаемые этими субъектами государственного
управления;
• муниципальные ценные бумаги, т.е. ценные бумаги, выпускаемые
от имени муниципального органа государственного управления.
Иначе говоря, юридический статус государственных ценных бумаг
имеют лишь федеральные бумаги и бумаги субъектов Федерации, а
муниципальные ценные бумаги лишены этого статуса.
Однако по существу все перечисленные группы ценных бумаг есть
государственные бумаги, так как они выпускаются от лица государственного
органа управления.
В свою очередь ценные бумаги и субъектов Федерации, и муниципальных
органов власти есть ценные бумаги, выпускаемые региональными
органами государственной власти, а потому в дальнейшем
будем для краткости называть их региональными ценными бумагами.
Региональные ценные бумаги (РЦБ) — это способ привлечения финансовых
ресурсов региональными органами государственной власти
в случае дефицита регионального бюджета или на инвестиционные цели
путем выпуска долговых ценных бумаг.
Цели. Региональные органы власти могут привлекать дополнительные
финансовые средства, в принципе, на любые цели, которые группируются следующим образом:
• покрытие временного дефицита регионального бюджета;
• финансирование бесприбыльных объектов, требующих единовременных
вложений крупных средств, которыми не располагает ежегодный
бюджет: строительство, реконструкция и ремонт объектов
социального назначения (школ, больниц, музеев, библиотек и т.п.)
и объектов региональной инфраструктуры (дорог, мостов, водо сетей
и т.п.);
• финансирование прибыльных проектов, вложения в которые окупаются
в течение нескольких лет за счет получаемой от них прибыли;
• финансирование проектов строительства, ремонта и реконструкции
жилья, как правило, на основе их самоокупаемости, т.е. затраты
компенсируются выручкой от продажи всего или части построенного
жилого фонда.
Формы региональных займов. Существуют две главные формы региональных
займов:
• выпуск региональных ценных бумаг;
• ссуды.
Региональные ценные бумаги обычно выпускаются в виде облигаций,
реже векселей'.
Ссуды могут предоставляться либо по бюджетной линии (бюджетные
ссуды вышестоящих бюджетов), либо коммерческими банками.
В последнем случае ссуда местным органам власти обычно не отличается
от аналогичных ссуд предприятиям и организациям.
При выборе формы займа решающее значение имеет, с одной стороны,
его стоимость, т.е. та плата, которую орган власти должен заплатить
за привлекаемые ресурсы, а с другой — наличие в нужных размерах
финансовых ресурсов на соответствующем рынке капиталов.
В мировой практике выпуск муниципальных ценных бумаг является
основной формой муниципального займа, поскольку это обходится дешевле,
чем брать ссуду в коммерческих банках, за счет предоставляемых
по этим ценным бумагам налоговых льгот.
Региональные ценные бумаги имеют обычно статус государственных
ценных бумаг с точки зрения вопросов налогообложения для юридических
и физических лиц, а также порядка эмиссии и обращения.
Инвесторы. Основными покупателями региональных ценных бумаг
выступают: местное население, коммерческие банки, страховые и пенсионные
фонды, другие организации и предприятия.
Доходность и надежность. Приобретение указанных ценных бумаг
оказывается привлекательным для инвесторов по двум основным причинам:
• более высокая конечная их доходность по сравнению с банковскими
депозитами за счет налоговых льгот;
• надежность этих ценных бумаг по сравнению с ценными бумагами
акционерных обществ или банков.
Еще большей надежностью, чем ценные бумаги региональных органов
власти, обладают только ценные бумаги федерального правительства.
Обеспечением этих ценных бумаг обычно являются доходы соответствующего
бюджета в целом или их определенные виды, муниципальное
имущество либо доходы от реализации инвестиционных проектов,
под которые выпущены региональные облигации.
Согласно действующему законодательству, предельный объем расходов
по обслуживанию регионального займа не может превышать 15%
объема расходов бюджета соответствующего уровня, а предельный
размер заемных средств не может превышать ЗОУо доходов бюджета
субъектов Федерации и 15%о доходов бюджета муниципального органа
управления (местного бюджета) без учета в обоих случаях поступлений
из федерального бюджета и привлеченных заемных средств.
Механизм выпуска и обращения. Решение о региональном займе и
форме его выпуска (обычно в виде муниципальных облигаций) принимает
руководящий орган местного самоуправления. Размещение облигационного
займа осуществляется через посредство одного или нескольких
уполномоченных на это коммерческих банков или других коммерческих
структур.
Выбор таких посредников для размещения займов должен
осуществляться на конкурсной основе с учетом минимизации расходов
местного органа власти на выпуск и обращение облигаций. Уполномоченный
банк (или банки) через свои отделения, отделения других
банков или другие финансовые компании, с которыми он, в свою очередь,
заключает договоры на размещение регионального займа, реализует
муниципальные облигации органа власти их конечным держателям,
в первую очередь населению, различного рода финансовым фондам
и др. Обычно региональные облигации являются свободно
обращаемыми, т.е. их держатели могут свободно продавать и покупать
облигации на биржевом или внебиржевом рынках ценных бумаг в течение
всего срока, на который выпущен облигационный заем. По окончании
срока облигации выкупаются (погашаются) эмитентом по их нарицательной
стоимости (с выплатой соответствующего дохода, если это
предусмотрено условиями займа).
В целом на региональные облигации распространяются теоретические
положения, касающиеся облигаций вообще как одного из главных
видов ценных бумаг. Размещение их осуществляется в соответствии
с действующим законодательством (закрытая или открытая
подписка), и эти облигации, наравне с другими ценными бумагами,
могут продаваться и покупаться на соответствующем биржевом или
внебиржевом рынке.
Российская практика. В настоящее время общее количество зарегистрированных
региональных займов исчисляется сотнями, а их номинальная
стоимость составляет десятки миллиардов рублей. Однако с учетом
того, что часть этих займов выпускалась в предшествующие годы
(начиная с 1992 г.) и уже поращена, в обращении имеются муниципальные
облигации на меньшую сумму.
Облигации региональных органов власти обычно обеспечивают уровень
доходности, сравнимый с федеральными облигациями, и на них в
настоящее время распространяются те же налоговые льготы.
Разновидностью российских облигаций являются жилищные облигации,
цель которых - финансирование строительства жилья. Указанные
облигации в зависимости от условий предоставления жилья могут быть
либо низко доходными, либо бездоходными, так как для их владельцев
важно получить квартиру, а не доход на вложенный капитал. Это очень
актуально для многих жителей городов и поселков России.
Самыми крупными эмитентами региональных облигаций являются
Москва, Санкт- Петербург, Татария, Тюменская область и некоторые
другие.
Основные черты российского рынка облигаций региональных органов
власти состоят в следующем.
Во-первых, его быстрый рост. Но в целом рынок ценных бумаг, выпущенных
органами региональной власти, составляет менее 10% объемов
всего рынка государственных ценных бумаг, и перспективы его
роста имеют двоякий характер. Несомненно, что в абсолютном выражении
этот рынок будет увеличиваться, однако в относительном выражении,
т.е. в части увеличения его доли по сравнению с рынком федеральных
облигаций, он вряд ли вырастет. С одной стороны, этому мешает
сверх концентрация финансовых ресурсов в Москве, а с другой —
расширение рынка федеральных облигаций в направлении все большего
охвата регионов.
Во-вторых, расширение географии выпуска региональных займов.
Теперь уже большинство регионов страны зарегистрировало те или иные
выпуски. Выпуск этих займов по своим качественным параметрам существенно
и, можно сказать, выгодно отличается от федеральных займов.
Прежде всего, если последние носили по преимуществу краткосрочный
характер (3—6 месяцев), то региональные займы в основной
своей массе сразу выпускаются на среднесрочный (1—5 лет) и долгосрочный
периоды (от 5 лет и выше).
Если федеральные облигации обычно выпускаются в бездокументарной
именной форме (исключение — облигации государственного сберегательного
займа), то свыше '/з региональных облигаций выпущено на
предъявителя. Предъявительская форма ценной бумаги особенно удобна,
когда, с одной стороны, сам рынок (продавцов и покупателей) еще только
складывается, а с другой — его инфраструктура почти отсутствует.
Следующее отличие состоит в том, что если современные российские
займы преследуют, как правило, только одну цель — финансирование
дефицита федерального бюджета, то спектр целей у региональных
займов намного шире. Это не только непосредственно финансирование
дефицита местного бюджета, но и финансирование производственных,
социальных и экологических проектов региона, борьба с неплатежами.
Рост показателей рынка облигаций, выпускаемых регионами, будет
связан с рядом причин. Во-первых, с необходимостью выполнения обязательств
по ранее выпущенным займам и поддержанием уровня бюджетного
финансирования в регионах в размерах, не меньших, чем прежде.
Например, если за счет региональных займов сроком на один год
были профинансированы какие-то мероприятия или расходы на сумму
500 млн руб., то в следующем году необходимо погасить облигации на
сумму 500 млн руб., выплатить по ним обусловленные в проекте эмиссии
проценты, кроме того, желательно снова профинансировать аналогичные
расходы хотя бы на уровне предыдущего года.
Следовательно, общая сумма вновь выпускаемых облигаций должна быть удвоенной, а то и утроенной по сравнению с предшествующим годом.
Во-вторых, увеличение масштабов региональных займов обусловливается
ростом цен, т.е. инфляцией.
В-третьих, необходимость в использовании инструментария рынка
ценных бумаг может проистекать из усиления социальной направленности
политики государства, а значит, местных администраций, в преддверии
различного рода выборов, включая и выборы местных органов
управления, и других политических событий.
В-четвертых, масштабы рассматриваемого рынка будут возрастать
по мере овладения региональными органами власти рыночными механизмами
при проведении бюджетной политики.
В разных странах мира муниципальные ценные бумаги занимают
неодинаковое место на рынке. В США, где рынок ценных бумаг развит
в наибольшей степени, доля муниципальных облигаций, по оценкам,
составляет более половины рынка ценных бумаг и превышает долю
корпоративных акций и облигаций.
Субъекты Российской Федерации имеют право выпускать ценные
бумаги, приводящие к росту не только внутреннего, но внешнего долга
государства при условиях исполнения ими своих бюджетов, получения
разрешения на осуществление валютных операций, получения международного
кредитного рейтинга и т.п. Однако выпуск еврооблигаций
федерального правительства имеет приоритет при решении вопросов о
выпуске внешних займов субъектов Федерации.
Муниципальные органы власти России по действующему законодательству
лишены права выпуска ценных бумаг, приводящих к образованию
внешнего долга страны.
ОСНОВНЫЕ ОПРЕДЕЛЕНИЯ
Государственные ценные бумаги (ГЦБ) — это форма существования
государственного внутреннего долга; это долговые ценные бумаги,
эмитентом которых выступает государство.
ГЛАВНЫЕ ВЫВОДЫ
Государственные ценные бумаги используются для финансирования
дефицита государственного бюджета и целевых государственных программ,
а также для регулирования экономической активности в стране.
От других ценных бумаг их отличает высокая надежность и ликвидность,
низкая доходность, льготное налогообложение.
бумаги — это представители фиктивного капитала или такие ценные
бумаги, которые выражают имущественные права на основные ценные
бумаги как представители действительного капитала.
Причины появления вторичных ценных бумаг можно разбить на две
группы. Первая - - это наличие у владельцев основных ценных бумаг
таких прав, которые могут иметь самостоятельную, отдельную от основной
ценной бумаги форму существования, которая позволяет лучше
и эффективнее как для владельцев основной бумаги, так и для лица,
обязанного по ней, реализовать соответствующее имущественное (или
иное) право.
Вторая - - это повышение качества существующих основных ценных
бумаг путем выпуска на их основе ценных бумаг, более привлекательных
для рынка, чем исходная бумага. Речь идет о повышении
ликвидности основной ценной бумаги или, например, о снижении некоторых
важных для определенных групп ее владельцев рисков, свойственных
этой бумаге.
Из сказанного следует, что вторичные ценные бумаги могут представлять
собой:
• самостоятельно обращающиеся права;
• вторичные акции;
• вторичные облигации;
• вторичные закладные.
Обычно в мировой практике вторичные ценные бумаги получают
самостоятельные названия, отличающие их от своих основных ценных
бумаг и друг от друга. Однако все увеличивающееся их количество
требует их лингвистического и юридического упорядочения.
В ряде ситуаций покупка (продажа) тех или иных основных
ценных бумаг, главным образом акций или облигаций, может
иметь важное значение для эмитента или владельца с точки зрения задач,
стоящих перед первым, или соблюдения прав второго.
Эмитент может желать продать на рынке один вид своих ценных
бумаг, например обыкновенные акции. Выпустив облигации с правом
владельца облигации на покупку через какой-то отрезок времени акций
данного эмитента, последний находит компромисс между своими интересами
и интересами рынка.
Акционеры, как правило, имеют право на первоочередное приобретение
новых выпусков акций своей компании. В условиях, когда их количество
исчисляется десятками, сотнями тысяч или миллионами, реализация
этого права с помощью выпуска специальной ценной бумаги
представляется часто самым удобным механизмом выполнения этого
права и для акционеров общества, и для его инвесторов.
Основными видами вторичных ценных бумаг, предоставляющих
права на приобретение основных ценных бумаг, являются варранты
(фондовые) и подписные права, или подписные варранты.
Кроме варранта как разновидности складского свидетельства
и составной части двойного складского свидетельства по российскому
законодательству и в мировой практике существует другая
разновидность варрантов, которую в дальнейшем будем называть фондовыми
варрантами.
Фондовый варрант — это ценная бумага (вторичная), которая дает
ее владельцу право на покупку определенного числа акций (или облигаций)
какой-либо компании в течение установленного периода времени
по фиксированной цене.
Выпуск фондовых варрантов осуществляется под акции (или облигации),
которые должны быть выпущены в обращение, но в течение всего
срока существования этих фондовых варрантов отсутствуют на
рынке и появляются лишь по мере обмена варрантов на акции (или облигации).
Ценность фондового варранта для его владельца состоит в возможности
получения дифференциального дохода в виде разницы между будущей
ценой акций и ценой, зафиксированной в варранте. Последние
обычно выпускаются компанией в качестве бесплатного приложения при
продаже ею своих привилегированных акций или облигаций, что делает
эти последние более привлекательными для рынка, чем просто выпуск
например, облигаций.
Срок существования фондового варранта обычно 10—20 лет или не
ограничен.
Цена, фиксированная в варранте, обычно превышает текущий рыночный
курс акции компании на 15—20 %. Она может быть неизменной
в течение всего срока его существования или периодически повышаться,
например каждые 5 лет, на заданный процент.
Фондовый варрант продается и покупается на рынке как и любая
другая ценная бумага. Его теоретическая цена (стоимость) определяется,
с одной стороны, существующей на каждый момент времени разницей
между рыночной ценой акции и ценой, фиксированной в варранте,
которая называется его «внутренней» стоимостью, а с другой стороны,
зависит от времени, остающегося до истечения срока действия варранта,
или «временной» стоимости, в которой отражаются перспективы или
ожидания относительно динамики рыночной цены акции данной компании
в будущем.
Фондовые варранты могут погашаться компанией без обмена на
акции, например путем выкупа у владельцев и т.п.
По своему экономическому содержанию фондовый варрант представляет
собой опционный контракт (или просто опцион) на покупку соответствующей
ценной бумаги, о котором будет идти речь в следующей
главе. Основные отличия данного варранта от опциона на покупку состоят
в следующем:
а) варрант есть ценная бумага, которая эмитируется (выпускается)
компанией, а опцион есть срочный контракт, результат заключения опционной
сделки;
б) количество варрантов ограничено размерами эмиссии соответствующей
ценной бумаги, а количество заключенных опционных сделок
определяется потребностями самого рынка;
в) варранты выпускаются на длительные сроки, а опционный контракт
— это обычно краткосрочный контракт;
г) в случае выпуска варрантов величина капитала компании (собственного
или заемного) увеличивается в ходе реализации варрантов, а заключение
опционных сделок не имеет отношения к капиталу компании;
д) варранты выдаются своим первоначальным владельцам бесплатно,
а владелец опциона уплачивает за него премию подписчику (продавцу)
опциона.
Подписное право — это ценная бумага, которая дает
право акционерам компании подписаться на определенное количество
вновь выпускаемых акций (или облигаций) данной компании по установленной
цене подписки в течение установленного срока.
Как правило, акционеры имеют преимущественное и льготное право
подписки на вновь выпускаемые ценные бумаги, прежде всего акции
компании.
Один из возможных механизмов реализации такого права — это выпуск
подписных прав.
Подписное право дает возможность приобрести определенное число
акций компании ее акционеру до начала общей подписки (для всех желающих),
т.е. в течение «льготной» подписки и по льготной цене, которая
ниже, чем текущая цена акций компании.
Выпуску подписных прав предшествует процедура выпуска новых
акций, на которые будут обмениваться подписные права, рассылаемые
акционерам компании в установленном порядке и пропорционально имеющимся
у них акциям.
Для реализации подписного права акционер отсылает свой чек на
оплату акций в компанию до даты начала общей подписки. Если он не
желает воспользоваться своим правом, он может его свободно продать.
В зависимости от количества вновь выпускаемых акций по отношению
к числу уже имеющихся устанавливается пропорция, в которой одна
новая акция обменивается на определенное количество подписных прав.
Каждый акционер получает число подписных прав в соответствии с тем
количеством акций, которым он располагает. Период льготной подписки
длится обычно несколько недель.
Теоретическая цена подписного права обычно определяется по формулам:
а) в течение времени продажи существующих акций компании, покупатели
которых имеют право на получение подписных прав,

б) В случае, когда продажа существующих акций компании уже не
дает права их новым владельцам на получение подписных прав,

Во втором случае рыночная цена акции обычно снижается на величину
стоимости подписного права. При этом стоимость последнего остается
одинаковой и в ситуации «а», и в ситуации «б».
Основные различия между фондовыми варрантами и подписным
правом:
а) первые получают покупатели новых выпусков привилегированных
акций и облигаций, вторые — акционеры компании;
б) первые выпускаются на длительный период, вторые — на короткий
срок;
в) цена подписки первых превышает рыночную стоимость акции в
моменты выпуска варранта; цена подписки вторых ниже текущей рыночной
стоимости акций.
В целях противодействия нежелательным для компании поглощениям
или слияниям могут выпускаться подписные права с длительным сроком
действия, что делает очень сложным и дорогим скупку акций компании.
Подписное право точнее было бы называть подписным варрантом
(или подписным фондовым варрантом), так как у них одинаковая
суть — право покупки ценной бумаги компании, а различие состоит в
периоде реализации этого права: период льготной подписки или период
общей подписки. Удлинение периода льготной подписки существенно
стирает различия между ними.
Появление вторичных ценных бумаг, основанных на
акциях, или вторичных акций, связано с выходом национальных ценных
бумаг за пределы своей страны, т.е. с одним из путей образования
международного, или мирового, рынка ценных бумаг. Этот процесс интернационализации
рынков идет разными путями в сочетании с много-
численными национальными ограничениями, преодоление которых вызывает
к жизни в том числе и новые ценные бумаги.
В тех случаях, когда лицо (юридическое или физическое) желает приобрести
акции компании, расположенной в другой стране, но не может
осуществить это непосредственно, существует способ предоставить ему
такую возможность путем выпуска так называемых депозитарных расписок.
Депозитарная расписка — это ценная бумага, свидетельствующая
о владении определенным количеством акций иностранной компании,
депонированных в стране нахождения этой компании, кругооборот которой
осуществляется в другой стране (или странах).
Другие встречающиеся в литературе названия депозитарной расписки:
депозитарное свидетельство, депозитарная квитанция.
Депозитарные расписки выпускаются на основе специального законодательства.
Такое законодательство существует в США, а потому
выпускаемые там депозитарные расписки называются американскими
депозитарными расписками или сокращенно АДР (или ADR).
Депозитарная расписка - это непрямое владение акциями иностранной
компании. Оно становится возможным в результате следующего
механизма. Банк-посредник в стране нахождения компании депонирует
(на имя своего филиала) определенное количество ее акций, которое
изымается из обращения в данной стране и хранится в качестве
основы (залога) для выпуска депозитарных расписок, но уже в другой
стране.
Депозитарные расписки помогают упростить торговлю акциями иностранных
эмитентов, сократить расходы на операции с ценными бумагами,
преодолеть правовые ограничения на непосредственное владение
акциями, реализовать налоговые преимущества и расширить состав
потенциальных инвесторов, особенно из числа институциональных.
В настоящее время на международных фондовых рынках обращается
примерно 1100 депозитарных расписок эмитентов из более чем 50
стран, в том числе и из России. Общая стоимость депозитарных расписок,
обращающихся в настоящее время только на фондовом рынке США,
оценивается в сотни миллиардов долларов. Особенно интенсивно используют
возможности депозитарных расписок страны третьего мира, в первую
очередь латиноамериканские. Среди причин, побуждающих эмитентов
начать программу DR, можно назвать две основные: привлечение
дополнительного капитала и улучшение имиджа компании.
Привлекательные качества ADR для инвесторов состоят в:
• покупке ценных бумаг с более высоким уровнем доходности, чем
акции национальных компаний;
• минимизации рисков по сравнению с прямой покупкой иностранных
акций;
• возможности выхода на рынок другой страны при отсутствии достаточных
знаний иностранных фондовых рынков, их особенностей и
традиций, налогообложения и т.п.;
• отсутствии необходимости конвертации получаемых дивидендов
и связанного с этим валютного риска.
Упрощенно торговлю в США акциями российского эмитента через
ADR можно представить следующим образом. Американский инвестор,
пожелавший купить ADR, делает заказ на покупку своему брокеру.
Последний вначале пытается приобрести ADR на вторичном рынке
США. Если он находит требуемые бумаги и цена его устраивает, то
сделка регистрируется депозитарием банка-эмитента этих депозитарных
расписок. В случае если сделка не состоялась, например ввиду отсутствия
предложения на продажу данных бумаг либо высокой цены
предложения, брокер может связаться с коллегой в России и сделать заказ
на покупку. Российский брокер приобретает требуемые акции на
местном рынке и регистрирует их в банке, который в данном
случае оказывается номинальным держателем российских акций. Данные
акции подлежат перерегистрации в реестре акционеров российского
акционерного общества на «номини». Далее 6aнк информирует
депозитарный банк о том, что требуемые акции перерегистрированы.
Депозитарный банк, в свою очередь, выпускает депозитарные
расписки на эти акции и передает их американскому брокеру, а тот доводит
бумаги до своего клиента, конечного инвестора.
Продажа ADR происходит аналогичным образом. Владелец расписок
обращается к своему брокеру с поручением продать ADR. Брокер
пытается продать их на внутреннем рынке США, и если ему это удается,
регистрирует сделку в депозитарном банке, после чего депозитарные
расписки оформляются на нового владельца. Если этот брокер не
сумел продать бумаги своего клиента на американском рынке, то он
опять обращается к российскому брокеру и предлагает ему найти покупателя
в России. Когда последний будет найден, депозитарный банк аннулирует
выпущенные им ADR, банк-custody прекращает выполнение
функций номинального держателя акций и акции переоформляются в
реестре на нового владельца.
Существуют три крупнейших лидера в области оказания депозитарных
услуг и обслуживания программ выпуска ADR — банки The
Bank of New- York (контролирует 47% данного рынка услуг), Morgan
Guaranty (28%) и Citibank (24%о). На долю прочих банков приходится
около 2%). Иностранные эмитенты и их представители постоянно информируют банк-депозитарий об условиях подписки, планах дальнейшей
капитализации, готовящихся годовых собраниях акционеров и др.
Таким образом, банк- депозитарий берет на себя функции, выполнение
которых частному инвестору было бы обременительно и далеко не
бесплатно. Необходимо подчеркнуть, что депозитарный банк обеспечивает
техническую сторону операций с бумагами, но отнюдь не гарантирует
надежности акций: риск полностью лежит на инвесторе.
Основные функции депозитарных банков, работающих по программе
APR:
• выпуск и аннулирование депозитарных расписок;
• ведение реестра ADR и перерегистрация их владельцев;
• оказание помощи иностранной компании в подготовке документов
для SEC (комиссия по рынку ценных бумаг) при регистрации выпуска
расписок, а также при предоставлении в SEC форм регулярной
финансовой отчетности; информирование широкого круга участников
рынка ценных бумаг о начале выпуска депозитарных расписок.
Наиболее известный и крупный депозитарный банк в мире — The
Bank of New- York - - старейший коммерческий банк в США. У него открыты
отделения в 24 странах мира, в том числе и в России. Банк предоставляет
полный диапазон услуг по депозитарным распискам, включая
услуги трансферт-агента, услуги по хранению ценных бумаг, услуги
депозитария и услуги консультанта в едином скоординированном комплексе.
The Bank of New-York обслуживает свыше 7 млн зарегистрированных
у него акционеров и свыше 700 программ выпуска ADR эмитентами
из 35 стран. В России банк также имеет отделение; кроме того,
в России работает дочерняя компания Citibank — Citibank-Russia, которая
имеет лицензию Центрального банка РФ на осуществление банковской
деятельности.
Существует ряд требований и к банку-custody. Он должен иметь
отделение (должен быть официально зарегистрирован) на территории
страны (в нашем случае России) и соответствующие лицензии на осуществление
банковской деятельности. Услуги банка-custody могут выполнять
как местные банки, так и дочерние подразделения депозитарных
банков в России. Во многом деятельность банка-custody очень схожа
с деятельностью депозитарного банка, однако путать эти два понятия
не стоит. В качестве примера банка-custody в России можно назвать
банки Credit Suisse и ING Bank, имеющие
• участие в переводе дивидендов;
• регистрация себя самого в реестре акционерного общества в качестве
номинального держателя по акциям, на которые выпущены депозитарные
расписки.
Примерная программа организации и выпуска APR на акции российских
эмитентов.
Подготовительный этап (1—2-я недели): утверждение финансового
и юридического консультантов; заключение соответствующих договоров.
Этап подготовки документов (3—9-я недели): подготовка информации
для предоставления в Комиссию США по ценным бумагам в соответствии
с положениями закона США о ценных бумагах.
Этап предоставления документов (10-я неделя): подача документов
в Комиссию США по ценным бумагам; предоставление документов в
банк-депозитарий.
Этап рассмотрения документов (10—15-я недели): рассмотрение документов
в Комиссии США по ценным бумагам; обсуждение договора
о предоставлении депозитарных услуг с депозитарным банком.
Этап представления формы F-6 и депозитарного договора (16—19-я
недели): подача в Комиссию договора о предоставлении депозитарных
услуг; подготовка и подача в Комиссию регистрационной формы F-
Этап рассмотрения формы F-6 и депозитарного договора (20—23-я
недели): рассмотрение Комиссией формы F-6 и депозитарного договора;
переговоры с маркет-мейкерами США.
Заключительный этап (24—28-я недели): получение разрешения Комиссии
США по ценным бумагам на выпуск американских депозитарных
расписок на акции заявителя; подготовка выпуска сертификата
ADR на акции и непосредственно сам выпуск ADR.
Для осуществления всей этой работы необходимо привлечение финансового
консультанта, имеющего лицензию Министерства финансов
РФ, юридического консультанта, имеющего лицензию Министерства
юстиции РФ, банка-депозитария и, при необходимости, банка-custody.
При этом в функции финансового консультанта входят выбор банка-
депозитария и переговоры с ним об условиях выпуска ADR, подготовка
финансовых и маркетинговых отчетов на русском и английском языках
для распространения среди потенциальных покупателей депозитарных
расписок, организация индивидуальных презентаций для
потенциальных инвесторов в США, организация рынка ADR и предоставление
документов в Комиссию США по ценным бумагам и фондовым
биржам. В функции юридического консультанта входят подготовка
документов, необходимых для предоставления в SEC, подготовка
и заключение договора о депозитарном обслуживании и оказание
иной юридической поддержки по представлению финансового консультанта.
Теоретическая цена депозитарной расписки определяется по следующей
формуле:

с понятием стоимости обычного товара как материализации общественно
необходимого труда на его производство, так как ценная бумага не
производится. Ее объективной экономической основой, или источником
происхождения, является не труд непосредственно, а его абстрактная
форма — капитал.
Ценная бумага есть единство титула капитала (действительного
капитала) и самого капитала (фиктивного капитала), а потому в отличие
от простого товара, который имеет только одну стоимость — стоимость
самого товара, ценная бумага обладает двумя стоимостями:
стоимостью в качестве представителя действительного капитала, или
нарицательной стоимостью, и стоимостью в качестве фиктивного капитала,
или рыночной стоимостью.
Нарицательная стоимость ценной бумаги находит свое выражение в
той сумме денег, которую ценная бумага представляет при обмене ее
на действительный капитал на стадии ее выпуска или гашения. Эта сумма
денег называется номиналом ценной бумаги.
Рыночная стоимость ценной бумаги возникает в результате капитализации
ее имущественных прав, ибо благодаря этому процессу ценная
бумага и превращается в капитал, хотя и фиктивный.
Главное имущественное право в ценной бумаге — это ее право на
доход, поэтому стоимость ценной бумаги есть прежде всего капитализация
этого дохода. Однако получение начисляемого дохода — не единственное
право по ценной бумаге у ее владельца, остальные права тоже
имеют то или иное основание в ее стоимости или являются стоимостно-
образующими факторами. Поэтому самая абстрактная модель рыночной
стоимости ценной бумаги имеет следующий вид:

Капитализация начисляемого дохода — это частное от деления этого
дохода на рыночную (обычно банковскую) процентную ставку. Капитализация
позволяет рассчитывать величину капитала, который, будучи
положен на депозит под эту процентную ставку, станет приносить
доход, равный начисляемому доходу.
В отличие от права на доход другие права по ценной бумаге не поддаются
строгой количественной оценке. Чем больше их значимость с
точки зрения рынка, тем менее детерминирован процесс ценообразования
на эту ценную бумагу, тем выше роль субъективно-психологических
оценок.
Рыночная цена ценной бумаги — это денежная оценка ее рыночной
стоимости. Самая абстрактная модель рыночной цены ценной бумаги
имеет такой вид:

В практике рыночная цена ценной бумаги HMeef такие названия, как
курсовая стоимость, курсовая цена, курс, рыночная котировка и т.п.
ЦЕННЫЕ БУМАГИ РЕГИОНАЛЬНЫХ ОРГАНОВ ГОСУДАРСТВЕННОЙ ВЛАСТИ
Федеральным законом «Об особенностях эмиссии и обращениягосударственных и муниципальных ценных бумаг» деление государственных
ценных бумаг в нашей стране имеет следующий вид:
• федеральные государственные ценные бумаги, т.е. ценные бумаги,
выпускаемые федеральным правительством. Их основные виды рассмотрены
в предыдущем параграфе;
• государственные ценные бумаги субъектов Российской Федерации,
т.е. ценные бумаги, выпускаемые этими субъектами государственного
управления;
• муниципальные ценные бумаги, т.е. ценные бумаги, выпускаемые
от имени муниципального органа государственного управления.
Иначе говоря, юридический статус государственных ценных бумаг
имеют лишь федеральные бумаги и бумаги субъектов Федерации, а
муниципальные ценные бумаги лишены этого статуса.
Однако по существу все перечисленные группы ценных бумаг есть
государственные бумаги, так как они выпускаются от лица государственного
органа управления.
В свою очередь ценные бумаги и субъектов Федерации, и муниципальных
органов власти есть ценные бумаги, выпускаемые региональными
органами государственной власти, а потому в дальнейшем
будем для краткости называть их региональными ценными бумагами.
Региональные ценные бумаги (РЦБ) — это способ привлечения финансовых
ресурсов региональными органами государственной власти
в случае дефицита регионального бюджета или на инвестиционные цели
путем выпуска долговых ценных бумаг.
Цели. Региональные органы власти могут привлекать дополнительные
финансовые средства, в принципе, на любые цели, которые группируются следующим образом:
• покрытие временного дефицита регионального бюджета;
• финансирование бесприбыльных объектов, требующих единовременных
вложений крупных средств, которыми не располагает ежегодный
бюджет: строительство, реконструкция и ремонт объектов
социального назначения (школ, больниц, музеев, библиотек и т.п.)
и объектов региональной инфраструктуры (дорог, мостов, водо сетей
и т.п.);
• финансирование прибыльных проектов, вложения в которые окупаются
в течение нескольких лет за счет получаемой от них прибыли;
• финансирование проектов строительства, ремонта и реконструкции
жилья, как правило, на основе их самоокупаемости, т.е. затраты
компенсируются выручкой от продажи всего или части построенного
жилого фонда.
Формы региональных займов. Существуют две главные формы региональных
займов:
• выпуск региональных ценных бумаг;
• ссуды.
Региональные ценные бумаги обычно выпускаются в виде облигаций,
реже векселей'.
Ссуды могут предоставляться либо по бюджетной линии (бюджетные
ссуды вышестоящих бюджетов), либо коммерческими банками.
В последнем случае ссуда местным органам власти обычно не отличается
от аналогичных ссуд предприятиям и организациям.
При выборе формы займа решающее значение имеет, с одной стороны,
его стоимость, т.е. та плата, которую орган власти должен заплатить
за привлекаемые ресурсы, а с другой — наличие в нужных размерах
финансовых ресурсов на соответствующем рынке капиталов.
В мировой практике выпуск муниципальных ценных бумаг является
основной формой муниципального займа, поскольку это обходится дешевле,
чем брать ссуду в коммерческих банках, за счет предоставляемых
по этим ценным бумагам налоговых льгот.
Региональные ценные бумаги имеют обычно статус государственных
ценных бумаг с точки зрения вопросов налогообложения для юридических
и физических лиц, а также порядка эмиссии и обращения.
Инвесторы. Основными покупателями региональных ценных бумаг
выступают: местное население, коммерческие банки, страховые и пенсионные
фонды, другие организации и предприятия.
Доходность и надежность. Приобретение указанных ценных бумаг
оказывается привлекательным для инвесторов по двум основным причинам:
• более высокая конечная их доходность по сравнению с банковскими
депозитами за счет налоговых льгот;
• надежность этих ценных бумаг по сравнению с ценными бумагами
акционерных обществ или банков.
Еще большей надежностью, чем ценные бумаги региональных органов
власти, обладают только ценные бумаги федерального правительства.
Обеспечением этих ценных бумаг обычно являются доходы соответствующего
бюджета в целом или их определенные виды, муниципальное
имущество либо доходы от реализации инвестиционных проектов,
под которые выпущены региональные облигации.
Согласно действующему законодательству, предельный объем расходов
по обслуживанию регионального займа не может превышать 15%
объема расходов бюджета соответствующего уровня, а предельный
размер заемных средств не может превышать ЗОУо доходов бюджета
субъектов Федерации и 15%о доходов бюджета муниципального органа
управления (местного бюджета) без учета в обоих случаях поступлений
из федерального бюджета и привлеченных заемных средств.
Механизм выпуска и обращения. Решение о региональном займе и
форме его выпуска (обычно в виде муниципальных облигаций) принимает
руководящий орган местного самоуправления. Размещение облигационного
займа осуществляется через посредство одного или нескольких
уполномоченных на это коммерческих банков или других коммерческих
структур.
Выбор таких посредников для размещения займов должен
осуществляться на конкурсной основе с учетом минимизации расходов
местного органа власти на выпуск и обращение облигаций. Уполномоченный
банк (или банки) через свои отделения, отделения других
банков или другие финансовые компании, с которыми он, в свою очередь,
заключает договоры на размещение регионального займа, реализует
муниципальные облигации органа власти их конечным держателям,
в первую очередь населению, различного рода финансовым фондам
и др. Обычно региональные облигации являются свободно
обращаемыми, т.е. их держатели могут свободно продавать и покупать
облигации на биржевом или внебиржевом рынках ценных бумаг в течение
всего срока, на который выпущен облигационный заем. По окончании
срока облигации выкупаются (погашаются) эмитентом по их нарицательной
стоимости (с выплатой соответствующего дохода, если это
предусмотрено условиями займа).
В целом на региональные облигации распространяются теоретические
положения, касающиеся облигаций вообще как одного из главных
видов ценных бумаг. Размещение их осуществляется в соответствии
с действующим законодательством (закрытая или открытая
подписка), и эти облигации, наравне с другими ценными бумагами,
могут продаваться и покупаться на соответствующем биржевом или
внебиржевом рынке.
Российская практика. В настоящее время общее количество зарегистрированных
региональных займов исчисляется сотнями, а их номинальная
стоимость составляет десятки миллиардов рублей. Однако с учетом
того, что часть этих займов выпускалась в предшествующие годы
(начиная с 1992 г.) и уже поращена, в обращении имеются муниципальные
облигации на меньшую сумму.
Облигации региональных органов власти обычно обеспечивают уровень
доходности, сравнимый с федеральными облигациями, и на них в
настоящее время распространяются те же налоговые льготы.
Разновидностью российских облигаций являются жилищные облигации,
цель которых - финансирование строительства жилья. Указанные
облигации в зависимости от условий предоставления жилья могут быть
либо низко доходными, либо бездоходными, так как для их владельцев
важно получить квартиру, а не доход на вложенный капитал. Это очень
актуально для многих жителей городов и поселков России.
Самыми крупными эмитентами региональных облигаций являются
Москва, Санкт- Петербург, Татария, Тюменская область и некоторые
другие.
Основные черты российского рынка облигаций региональных органов
власти состоят в следующем.
Во-первых, его быстрый рост. Но в целом рынок ценных бумаг, выпущенных
органами региональной власти, составляет менее 10% объемов
всего рынка государственных ценных бумаг, и перспективы его
роста имеют двоякий характер. Несомненно, что в абсолютном выражении
этот рынок будет увеличиваться, однако в относительном выражении,
т.е. в части увеличения его доли по сравнению с рынком федеральных
облигаций, он вряд ли вырастет. С одной стороны, этому мешает
сверх концентрация финансовых ресурсов в Москве, а с другой —
расширение рынка федеральных облигаций в направлении все большего
охвата регионов.
Во-вторых, расширение географии выпуска региональных займов.
Теперь уже большинство регионов страны зарегистрировало те или иные
выпуски. Выпуск этих займов по своим качественным параметрам существенно
и, можно сказать, выгодно отличается от федеральных займов.
Прежде всего, если последние носили по преимуществу краткосрочный
характер (3—6 месяцев), то региональные займы в основной
своей массе сразу выпускаются на среднесрочный (1—5 лет) и долгосрочный
периоды (от 5 лет и выше).
Если федеральные облигации обычно выпускаются в бездокументарной
именной форме (исключение — облигации государственного сберегательного
займа), то свыше '/з региональных облигаций выпущено на
предъявителя. Предъявительская форма ценной бумаги особенно удобна,
когда, с одной стороны, сам рынок (продавцов и покупателей) еще только
складывается, а с другой — его инфраструктура почти отсутствует.
Следующее отличие состоит в том, что если современные российские
займы преследуют, как правило, только одну цель — финансирование
дефицита федерального бюджета, то спектр целей у региональных
займов намного шире. Это не только непосредственно финансирование
дефицита местного бюджета, но и финансирование производственных,
социальных и экологических проектов региона, борьба с неплатежами.
Рост показателей рынка облигаций, выпускаемых регионами, будет
связан с рядом причин. Во-первых, с необходимостью выполнения обязательств
по ранее выпущенным займам и поддержанием уровня бюджетного
финансирования в регионах в размерах, не меньших, чем прежде.
Например, если за счет региональных займов сроком на один год
были профинансированы какие-то мероприятия или расходы на сумму
500 млн руб., то в следующем году необходимо погасить облигации на
сумму 500 млн руб., выплатить по ним обусловленные в проекте эмиссии
проценты, кроме того, желательно снова профинансировать аналогичные
расходы хотя бы на уровне предыдущего года.
Следовательно, общая сумма вновь выпускаемых облигаций должна быть удвоенной, а то и утроенной по сравнению с предшествующим годом.
Во-вторых, увеличение масштабов региональных займов обусловливается
ростом цен, т.е. инфляцией.
В-третьих, необходимость в использовании инструментария рынка
ценных бумаг может проистекать из усиления социальной направленности
политики государства, а значит, местных администраций, в преддверии
различного рода выборов, включая и выборы местных органов
управления, и других политических событий.
В-четвертых, масштабы рассматриваемого рынка будут возрастать
по мере овладения региональными органами власти рыночными механизмами
при проведении бюджетной политики.
В разных странах мира муниципальные ценные бумаги занимают
неодинаковое место на рынке. В США, где рынок ценных бумаг развит
в наибольшей степени, доля муниципальных облигаций, по оценкам,
составляет более половины рынка ценных бумаг и превышает долю
корпоративных акций и облигаций.
Субъекты Российской Федерации имеют право выпускать ценные
бумаги, приводящие к росту не только внутреннего, но внешнего долга
государства при условиях исполнения ими своих бюджетов, получения
разрешения на осуществление валютных операций, получения международного
кредитного рейтинга и т.п. Однако выпуск еврооблигаций
федерального правительства имеет приоритет при решении вопросов о
выпуске внешних займов субъектов Федерации.
Муниципальные органы власти России по действующему законодательству
лишены права выпуска ценных бумаг, приводящих к образованию
внешнего долга страны.
ОСНОВНЫЕ ОПРЕДЕЛЕНИЯ
Государственные ценные бумаги (ГЦБ) — это форма существования
государственного внутреннего долга; это долговые ценные бумаги,
эмитентом которых выступает государство.
ГЛАВНЫЕ ВЫВОДЫ
Государственные ценные бумаги используются для финансирования
дефицита государственного бюджета и целевых государственных программ,
а также для регулирования экономической активности в стране.
От других ценных бумаг их отличает высокая надежность и ликвидность,
низкая доходность, льготное налогообложение.
Вторичные ценные бумаги
Как было отмечено в первой главе, вторичные ценныебумаги — это представители фиктивного капитала или такие ценные
бумаги, которые выражают имущественные права на основные ценные
бумаги как представители действительного капитала.
Причины появления вторичных ценных бумаг можно разбить на две
группы. Первая - - это наличие у владельцев основных ценных бумаг
таких прав, которые могут иметь самостоятельную, отдельную от основной
ценной бумаги форму существования, которая позволяет лучше
и эффективнее как для владельцев основной бумаги, так и для лица,
обязанного по ней, реализовать соответствующее имущественное (или
иное) право.
Вторая - - это повышение качества существующих основных ценных
бумаг путем выпуска на их основе ценных бумаг, более привлекательных
для рынка, чем исходная бумага. Речь идет о повышении
ликвидности основной ценной бумаги или, например, о снижении некоторых
важных для определенных групп ее владельцев рисков, свойственных
этой бумаге.
Из сказанного следует, что вторичные ценные бумаги могут представлять
собой:
• самостоятельно обращающиеся права;
• вторичные акции;
• вторичные облигации;
• вторичные закладные.
Обычно в мировой практике вторичные ценные бумаги получают
самостоятельные названия, отличающие их от своих основных ценных
бумаг и друг от друга. Однако все увеличивающееся их количество
требует их лингвистического и юридического упорядочения.
В ряде ситуаций покупка (продажа) тех или иных основных
ценных бумаг, главным образом акций или облигаций, может
иметь важное значение для эмитента или владельца с точки зрения задач,
стоящих перед первым, или соблюдения прав второго.
Эмитент может желать продать на рынке один вид своих ценных
бумаг, например обыкновенные акции. Выпустив облигации с правом
владельца облигации на покупку через какой-то отрезок времени акций
данного эмитента, последний находит компромисс между своими интересами
и интересами рынка.
Акционеры, как правило, имеют право на первоочередное приобретение
новых выпусков акций своей компании. В условиях, когда их количество
исчисляется десятками, сотнями тысяч или миллионами, реализация
этого права с помощью выпуска специальной ценной бумаги
представляется часто самым удобным механизмом выполнения этого
права и для акционеров общества, и для его инвесторов.
Основными видами вторичных ценных бумаг, предоставляющих
права на приобретение основных ценных бумаг, являются варранты
(фондовые) и подписные права, или подписные варранты.
Кроме варранта как разновидности складского свидетельства
и составной части двойного складского свидетельства по российскому
законодательству и в мировой практике существует другая
разновидность варрантов, которую в дальнейшем будем называть фондовыми
варрантами.
Фондовый варрант — это ценная бумага (вторичная), которая дает
ее владельцу право на покупку определенного числа акций (или облигаций)
какой-либо компании в течение установленного периода времени
по фиксированной цене.
Выпуск фондовых варрантов осуществляется под акции (или облигации),
которые должны быть выпущены в обращение, но в течение всего
срока существования этих фондовых варрантов отсутствуют на
рынке и появляются лишь по мере обмена варрантов на акции (или облигации).
Ценность фондового варранта для его владельца состоит в возможности
получения дифференциального дохода в виде разницы между будущей
ценой акций и ценой, зафиксированной в варранте. Последние
обычно выпускаются компанией в качестве бесплатного приложения при
продаже ею своих привилегированных акций или облигаций, что делает
эти последние более привлекательными для рынка, чем просто выпуск
например, облигаций.
Срок существования фондового варранта обычно 10—20 лет или не
ограничен.
Цена, фиксированная в варранте, обычно превышает текущий рыночный
курс акции компании на 15—20 %. Она может быть неизменной
в течение всего срока его существования или периодически повышаться,
например каждые 5 лет, на заданный процент.
Фондовый варрант продается и покупается на рынке как и любая
другая ценная бумага. Его теоретическая цена (стоимость) определяется,
с одной стороны, существующей на каждый момент времени разницей
между рыночной ценой акции и ценой, фиксированной в варранте,
которая называется его «внутренней» стоимостью, а с другой стороны,
зависит от времени, остающегося до истечения срока действия варранта,
или «временной» стоимости, в которой отражаются перспективы или
ожидания относительно динамики рыночной цены акции данной компании
в будущем.
Фондовые варранты могут погашаться компанией без обмена на
акции, например путем выкупа у владельцев и т.п.
По своему экономическому содержанию фондовый варрант представляет
собой опционный контракт (или просто опцион) на покупку соответствующей
ценной бумаги, о котором будет идти речь в следующей
главе. Основные отличия данного варранта от опциона на покупку состоят
в следующем:
а) варрант есть ценная бумага, которая эмитируется (выпускается)
компанией, а опцион есть срочный контракт, результат заключения опционной
сделки;
б) количество варрантов ограничено размерами эмиссии соответствующей
ценной бумаги, а количество заключенных опционных сделок
определяется потребностями самого рынка;
в) варранты выпускаются на длительные сроки, а опционный контракт
— это обычно краткосрочный контракт;
г) в случае выпуска варрантов величина капитала компании (собственного
или заемного) увеличивается в ходе реализации варрантов, а заключение
опционных сделок не имеет отношения к капиталу компании;
д) варранты выдаются своим первоначальным владельцам бесплатно,
а владелец опциона уплачивает за него премию подписчику (продавцу)
опциона.
Подписное право — это ценная бумага, которая дает
право акционерам компании подписаться на определенное количество
вновь выпускаемых акций (или облигаций) данной компании по установленной
цене подписки в течение установленного срока.
Как правило, акционеры имеют преимущественное и льготное право
подписки на вновь выпускаемые ценные бумаги, прежде всего акции
компании.
Один из возможных механизмов реализации такого права — это выпуск
подписных прав.
Подписное право дает возможность приобрести определенное число
акций компании ее акционеру до начала общей подписки (для всех желающих),
т.е. в течение «льготной» подписки и по льготной цене, которая
ниже, чем текущая цена акций компании.
Выпуску подписных прав предшествует процедура выпуска новых
акций, на которые будут обмениваться подписные права, рассылаемые
акционерам компании в установленном порядке и пропорционально имеющимся
у них акциям.
Для реализации подписного права акционер отсылает свой чек на
оплату акций в компанию до даты начала общей подписки. Если он не
желает воспользоваться своим правом, он может его свободно продать.
В зависимости от количества вновь выпускаемых акций по отношению
к числу уже имеющихся устанавливается пропорция, в которой одна
новая акция обменивается на определенное количество подписных прав.
Каждый акционер получает число подписных прав в соответствии с тем
количеством акций, которым он располагает. Период льготной подписки
длится обычно несколько недель.
Теоретическая цена подписного права обычно определяется по формулам:
а) в течение времени продажи существующих акций компании, покупатели
которых имеют право на получение подписных прав,

б) В случае, когда продажа существующих акций компании уже не
дает права их новым владельцам на получение подписных прав,

Во втором случае рыночная цена акции обычно снижается на величину
стоимости подписного права. При этом стоимость последнего остается
одинаковой и в ситуации «а», и в ситуации «б».
Основные различия между фондовыми варрантами и подписным
правом:
а) первые получают покупатели новых выпусков привилегированных
акций и облигаций, вторые — акционеры компании;
б) первые выпускаются на длительный период, вторые — на короткий
срок;
в) цена подписки первых превышает рыночную стоимость акции в
моменты выпуска варранта; цена подписки вторых ниже текущей рыночной
стоимости акций.
В целях противодействия нежелательным для компании поглощениям
или слияниям могут выпускаться подписные права с длительным сроком
действия, что делает очень сложным и дорогим скупку акций компании.
Подписное право точнее было бы называть подписным варрантом
(или подписным фондовым варрантом), так как у них одинаковая
суть — право покупки ценной бумаги компании, а различие состоит в
периоде реализации этого права: период льготной подписки или период
общей подписки. Удлинение периода льготной подписки существенно
стирает различия между ними.
ДЕПОЗИТАРНЫЕ РАСПИСКИ
ПОНЯТИЕ ДЕПОЗИТАРНОЙ РАСПИСКИ И ЕЕ КРУГООБОРОТПоявление вторичных ценных бумаг, основанных на
акциях, или вторичных акций, связано с выходом национальных ценных
бумаг за пределы своей страны, т.е. с одним из путей образования
международного, или мирового, рынка ценных бумаг. Этот процесс интернационализации
рынков идет разными путями в сочетании с много-
численными национальными ограничениями, преодоление которых вызывает
к жизни в том числе и новые ценные бумаги.
В тех случаях, когда лицо (юридическое или физическое) желает приобрести
акции компании, расположенной в другой стране, но не может
осуществить это непосредственно, существует способ предоставить ему
такую возможность путем выпуска так называемых депозитарных расписок.
Депозитарная расписка — это ценная бумага, свидетельствующая
о владении определенным количеством акций иностранной компании,
депонированных в стране нахождения этой компании, кругооборот которой
осуществляется в другой стране (или странах).
Другие встречающиеся в литературе названия депозитарной расписки:
депозитарное свидетельство, депозитарная квитанция.
Депозитарные расписки выпускаются на основе специального законодательства.
Такое законодательство существует в США, а потому
выпускаемые там депозитарные расписки называются американскими
депозитарными расписками или сокращенно АДР (или ADR).
Депозитарная расписка - это непрямое владение акциями иностранной
компании. Оно становится возможным в результате следующего
механизма. Банк-посредник в стране нахождения компании депонирует
(на имя своего филиала) определенное количество ее акций, которое
изымается из обращения в данной стране и хранится в качестве
основы (залога) для выпуска депозитарных расписок, но уже в другой
стране.
Депозитарные расписки помогают упростить торговлю акциями иностранных
эмитентов, сократить расходы на операции с ценными бумагами,
преодолеть правовые ограничения на непосредственное владение
акциями, реализовать налоговые преимущества и расширить состав
потенциальных инвесторов, особенно из числа институциональных.
В настоящее время на международных фондовых рынках обращается
примерно 1100 депозитарных расписок эмитентов из более чем 50
стран, в том числе и из России. Общая стоимость депозитарных расписок,
обращающихся в настоящее время только на фондовом рынке США,
оценивается в сотни миллиардов долларов. Особенно интенсивно используют
возможности депозитарных расписок страны третьего мира, в первую
очередь латиноамериканские. Среди причин, побуждающих эмитентов
начать программу DR, можно назвать две основные: привлечение
дополнительного капитала и улучшение имиджа компании.
Привлекательные качества ADR для инвесторов состоят в:
• покупке ценных бумаг с более высоким уровнем доходности, чем
акции национальных компаний;
• минимизации рисков по сравнению с прямой покупкой иностранных
акций;
• возможности выхода на рынок другой страны при отсутствии достаточных
знаний иностранных фондовых рынков, их особенностей и
традиций, налогообложения и т.п.;
• отсутствии необходимости конвертации получаемых дивидендов
и связанного с этим валютного риска.
Упрощенно торговлю в США акциями российского эмитента через
ADR можно представить следующим образом. Американский инвестор,
пожелавший купить ADR, делает заказ на покупку своему брокеру.
Последний вначале пытается приобрести ADR на вторичном рынке
США. Если он находит требуемые бумаги и цена его устраивает, то
сделка регистрируется депозитарием банка-эмитента этих депозитарных
расписок. В случае если сделка не состоялась, например ввиду отсутствия
предложения на продажу данных бумаг либо высокой цены
предложения, брокер может связаться с коллегой в России и сделать заказ
на покупку. Российский брокер приобретает требуемые акции на
местном рынке и регистрирует их в банке, который в данном
случае оказывается номинальным держателем российских акций. Данные
акции подлежат перерегистрации в реестре акционеров российского
акционерного общества на «номини». Далее 6aнк информирует
депозитарный банк о том, что требуемые акции перерегистрированы.
Депозитарный банк, в свою очередь, выпускает депозитарные
расписки на эти акции и передает их американскому брокеру, а тот доводит
бумаги до своего клиента, конечного инвестора.
Продажа ADR происходит аналогичным образом. Владелец расписок
обращается к своему брокеру с поручением продать ADR. Брокер
пытается продать их на внутреннем рынке США, и если ему это удается,
регистрирует сделку в депозитарном банке, после чего депозитарные
расписки оформляются на нового владельца. Если этот брокер не
сумел продать бумаги своего клиента на американском рынке, то он
опять обращается к российскому брокеру и предлагает ему найти покупателя
в России. Когда последний будет найден, депозитарный банк аннулирует
выпущенные им ADR, банк-custody прекращает выполнение
функций номинального держателя акций и акции переоформляются в
реестре на нового владельца.
Существуют три крупнейших лидера в области оказания депозитарных
услуг и обслуживания программ выпуска ADR — банки The
Bank of New- York (контролирует 47% данного рынка услуг), Morgan
Guaranty (28%) и Citibank (24%о). На долю прочих банков приходится
около 2%). Иностранные эмитенты и их представители постоянно информируют банк-депозитарий об условиях подписки, планах дальнейшей
капитализации, готовящихся годовых собраниях акционеров и др.
Таким образом, банк- депозитарий берет на себя функции, выполнение
которых частному инвестору было бы обременительно и далеко не
бесплатно. Необходимо подчеркнуть, что депозитарный банк обеспечивает
техническую сторону операций с бумагами, но отнюдь не гарантирует
надежности акций: риск полностью лежит на инвесторе.
Основные функции депозитарных банков, работающих по программе
APR:
• выпуск и аннулирование депозитарных расписок;
• ведение реестра ADR и перерегистрация их владельцев;
• оказание помощи иностранной компании в подготовке документов
для SEC (комиссия по рынку ценных бумаг) при регистрации выпуска
расписок, а также при предоставлении в SEC форм регулярной
финансовой отчетности; информирование широкого круга участников
рынка ценных бумаг о начале выпуска депозитарных расписок.
Наиболее известный и крупный депозитарный банк в мире — The
Bank of New- York - - старейший коммерческий банк в США. У него открыты
отделения в 24 странах мира, в том числе и в России. Банк предоставляет
полный диапазон услуг по депозитарным распискам, включая
услуги трансферт-агента, услуги по хранению ценных бумаг, услуги
депозитария и услуги консультанта в едином скоординированном комплексе.
The Bank of New-York обслуживает свыше 7 млн зарегистрированных
у него акционеров и свыше 700 программ выпуска ADR эмитентами
из 35 стран. В России банк также имеет отделение; кроме того,
в России работает дочерняя компания Citibank — Citibank-Russia, которая
имеет лицензию Центрального банка РФ на осуществление банковской
деятельности.
Существует ряд требований и к банку-custody. Он должен иметь
отделение (должен быть официально зарегистрирован) на территории
страны (в нашем случае России) и соответствующие лицензии на осуществление
банковской деятельности. Услуги банка-custody могут выполнять
как местные банки, так и дочерние подразделения депозитарных
банков в России. Во многом деятельность банка-custody очень схожа
с деятельностью депозитарного банка, однако путать эти два понятия
не стоит. В качестве примера банка-custody в России можно назвать
банки Credit Suisse и ING Bank, имеющие
• участие в переводе дивидендов;
• регистрация себя самого в реестре акционерного общества в качестве
номинального держателя по акциям, на которые выпущены депозитарные
расписки.
Примерная программа организации и выпуска APR на акции российских
эмитентов.
Подготовительный этап (1—2-я недели): утверждение финансового
и юридического консультантов; заключение соответствующих договоров.
Этап подготовки документов (3—9-я недели): подготовка информации
для предоставления в Комиссию США по ценным бумагам в соответствии
с положениями закона США о ценных бумагах.
Этап предоставления документов (10-я неделя): подача документов
в Комиссию США по ценным бумагам; предоставление документов в
банк-депозитарий.
Этап рассмотрения документов (10—15-я недели): рассмотрение документов
в Комиссии США по ценным бумагам; обсуждение договора
о предоставлении депозитарных услуг с депозитарным банком.
Этап представления формы F-6 и депозитарного договора (16—19-я
недели): подача в Комиссию договора о предоставлении депозитарных
услуг; подготовка и подача в Комиссию регистрационной формы F-
Этап рассмотрения формы F-6 и депозитарного договора (20—23-я
недели): рассмотрение Комиссией формы F-6 и депозитарного договора;
переговоры с маркет-мейкерами США.
Заключительный этап (24—28-я недели): получение разрешения Комиссии
США по ценным бумагам на выпуск американских депозитарных
расписок на акции заявителя; подготовка выпуска сертификата
ADR на акции и непосредственно сам выпуск ADR.
Для осуществления всей этой работы необходимо привлечение финансового
консультанта, имеющего лицензию Министерства финансов
РФ, юридического консультанта, имеющего лицензию Министерства
юстиции РФ, банка-депозитария и, при необходимости, банка-custody.
При этом в функции финансового консультанта входят выбор банка-
депозитария и переговоры с ним об условиях выпуска ADR, подготовка
финансовых и маркетинговых отчетов на русском и английском языках
для распространения среди потенциальных покупателей депозитарных
расписок, организация индивидуальных презентаций для
потенциальных инвесторов в США, организация рынка ADR и предоставление
документов в Комиссию США по ценным бумагам и фондовым
биржам. В функции юридического консультанта входят подготовка
документов, необходимых для предоставления в SEC, подготовка
и заключение договора о депозитарном обслуживании и оказание
иной юридической поддержки по представлению финансового консультанта.
Теоретическая цена депозитарной расписки определяется по следующей
формуле:

ЭКОНОМИЧЕСКИЕ РЕКВИЗИТЫ ЦЕННОЙ БУМАГИ
Глава 1 Глава 2 Глава 3
ПОНЯТИЕ и виды ЭКОНОМИЧЕСКИХ РЕКВИЗИТОВ
Экономическое содержание ценной бумаги заключается
в ее потребительной стоимости и стоимости. Последние находят свое
выражение в экономических характеристиках ценной бумаги, стандартный
набор которых называется реквизитами ценной бумаги.
Реквизиты ценной бумаги устанавливаются законом. Условно реквизиты
можно разделить на две группы: на экономические реквизиты,
которые отражают экономическое содержание ценной бумаги, и неэкономические,
или технические, реквизиты, которые хотя и не отражают
экономического содержания, но абсолютно необходимы для ее
кругооборота и в этом смысле являются реквизитами обращения.
Главная особенность реквизитов ценной бумаги как установленных
по закону сведений о ней, состоит в том, что отсутствие какого-либо из
обязательных реквизитов ценной бумаги лишает ее статуса ценной бумаги,
так как в этом случае нарушается либо ее экономическое содержание,
либо возможность ее кругооборота.
К техническим реквизитам относятся: порядковые номера, адреса,
подписи, печати, наименование организаций, обслуживающих реализацию
прав владельцев ценной бумаги, и т.п.
• форма существования;
• срок существования;
• принадлежность;
• обязанное лицо;
• номинал;
• предоставляемые права.
Форма существования — это то, в виде чего существует ценная бумага
в жизни, это ее «физический» вид.
Срок существования — это временное бытие ценной бумаги, период,
в течение которого она существует или совершает свой кругооборот.
Принадлежность — это порядок фиксации права собственности владельца
ценной бумаги.
Обязанное лицо — это юридическое или физическое лицо, которое
несет обязательства по ценной бумаге перед ее владельцем.
Номинал — это денежная оценка нарицательной стоимости ценной
бумаги, т.е. это цена, присвоенная (назначенная) ценной бумаге
при ее обмене на действительный капитал в начале или в конце кругооборота.
Предоставляемые права — это основания, которые позволяют владельцу
ценной бумаги получать имущественные выгоды от обладания ею.
расписки делятся на два класса в зависимости от инициатора выпуска:
неспонсируемые и спонсируемые.
Не спонсируемые депозитарные расписки выпускаются по инициативе
отдельных акционеров компании, которые и несут все расходы,
связанные с их выпуском.
Спонсируемые депозитные расписки выпускаются по инициативе
самой компании, которая имеет право заключить договор на их выпуск
лишь с одним американским банком (из числа тех, кому такое право
предоставлено), и все затраты, возникающие в этом случае, несет сама
компания согласно заключенному договору.
Не спонсируемые расписки, хотя и имеют облегченную процедуру
регистрации (выпуска), не имеют права обращаться на американских
организованных фондовых рынках (биржах и в системе электронной
торговли НАСДАК), а потому не представляют интереса и их выпусков
на практике нет, хотя юридическая возможность выпуска имеется.
Спонсируемые депозитарные расписки делятся на две группы в зависимости
от вида акций, на которые они выпускаются: на ранее выпущенные
акции или на вновь выпускаемые акции.
Каждая из указанных групп, в свою очередь, делится на два вида
расписок в зависимости от формы их размещения: частное или публичное.
Частное размещение — это право торговли только на неорганизованном
рынке, публичное — это право торговли на фондовых биржах
США и в системе НАСДАК, или право на публичные котировки.
Спонсируемые депозитарные расписки на ранее выпущенные акции,
подлежащие частному размещению, называются ADR первого уровня
(ADR-l); подлежащие публичному размещению — ADR второго уровня
(ADR-2).
ADR-1 имеют облегченную процедуру регистрации выпуска, поскольку
для них не требуется приведения бухгалтерской отчетности,
например, российской компании к американским бухгалтерским стандартам.
Но в этом случае «прозрачность» финансовой отчетности компании
для американского фондового рынка резко снижается, а потому
ADR-1 лишаются статуса публично обращающихся ценных бумаг на
американском рынке.
Однако в соответствии с имеющимся в США законодательством но
депозитарным распискам последние по так называемому правилу S могут
обращаться на фондовых биржах других стран. Такие депозитарные
расписки называются глобальными депозитарными записками
(GDR). Поэтому российские компании, получив для своих депозитарных
расписок статус ADR-1, согласно правилу S получают возмож1юсть
торговать ими на европейских фондовых биржах, т.е. иметь их публичные,
а не только частные котировки.
Выпуск ADR-2 предполагает полное соответствие бухгалтерской
отчетности российской компании требованиям американских бухгалтерских
стандартов, т.е. полную «прозрачность» ее для американского
рынка, а потому ADR-2 имеют право обращаться на американских фондовых
биржах и в системе НАСДАК (как, впрочем, и на фондовых рынках
друг их стран).
Спонсируемые депозитарные расписки на вновь выпускаемые акции
компании, подлежащие публичному размещению, называются ADR третьего
уровня (ADR-3), а подлежащие частному размещению — ADR четвертого
уровня (ADR-4) или, как они называются в американском законодательстве,
ADR, выпускаемые в соответствии с правилом 144 А.
С точки зрения процедуры выпуска и последующего их обращения,
ADR-3 есть полный аналог ADR- Примерно то же можно сказать и
относительно ADR-4, которые есть аналог ADR-1, но с некоторыми
дополнениями.
Согласно американскому законодательству, покупателями ADR-4
могут быть только так называемые «квалифицированные институциональные
инвесторы», т.е. компании, которые вложили в ценные бумаги
100 млн долл. и более. (Таких компаний насчитывается в США свыше
300) Упомянутые инвесторы имеют право торговать между собой
ADR-4 через систему электронной торговли ПОРТАЛ, которая есть
составная часть национальной системы НАСДАК.
Итак, классификация американских депозитарных расписок имеет следующий вид

Классификация депозитарных расписок
Экономическое содержание ценной бумаги заключается
в ее потребительной стоимости и стоимости. Последние находят свое
выражение в экономических характеристиках ценной бумаги, стандартный
набор которых называется реквизитами ценной бумаги.
Реквизиты ценной бумаги устанавливаются законом. Условно реквизиты
можно разделить на две группы: на экономические реквизиты,
которые отражают экономическое содержание ценной бумаги, и неэкономические,
или технические, реквизиты, которые хотя и не отражают
экономического содержания, но абсолютно необходимы для ее
кругооборота и в этом смысле являются реквизитами обращения.
Главная особенность реквизитов ценной бумаги как установленных
по закону сведений о ней, состоит в том, что отсутствие какого-либо из
обязательных реквизитов ценной бумаги лишает ее статуса ценной бумаги,
так как в этом случае нарушается либо ее экономическое содержание,
либо возможность ее кругооборота.
К техническим реквизитам относятся: порядковые номера, адреса,
подписи, печати, наименование организаций, обслуживающих реализацию
прав владельцев ценной бумаги, и т.п.
• форма существования;
• срок существования;
• принадлежность;
• обязанное лицо;
• номинал;
• предоставляемые права.
Форма существования — это то, в виде чего существует ценная бумага
в жизни, это ее «физический» вид.
Срок существования — это временное бытие ценной бумаги, период,
в течение которого она существует или совершает свой кругооборот.
Принадлежность — это порядок фиксации права собственности владельца
ценной бумаги.
Обязанное лицо — это юридическое или физическое лицо, которое
несет обязательства по ценной бумаге перед ее владельцем.
Номинал — это денежная оценка нарицательной стоимости ценной
бумаги, т.е. это цена, присвоенная (назначенная) ценной бумаге
при ее обмене на действительный капитал в начале или в конце кругооборота.
Предоставляемые права — это основания, которые позволяют владельцу
ценной бумаги получать имущественные выгоды от обладания ею.
Виды ДЕПОЗИТАРНЫХ РАСПИСОК
По американскому законодательству депозитарныерасписки делятся на два класса в зависимости от инициатора выпуска:
неспонсируемые и спонсируемые.
Не спонсируемые депозитарные расписки выпускаются по инициативе
отдельных акционеров компании, которые и несут все расходы,
связанные с их выпуском.
Спонсируемые депозитные расписки выпускаются по инициативе
самой компании, которая имеет право заключить договор на их выпуск
лишь с одним американским банком (из числа тех, кому такое право
предоставлено), и все затраты, возникающие в этом случае, несет сама
компания согласно заключенному договору.
Не спонсируемые расписки, хотя и имеют облегченную процедуру
регистрации (выпуска), не имеют права обращаться на американских
организованных фондовых рынках (биржах и в системе электронной
торговли НАСДАК), а потому не представляют интереса и их выпусков
на практике нет, хотя юридическая возможность выпуска имеется.
Спонсируемые депозитарные расписки делятся на две группы в зависимости
от вида акций, на которые они выпускаются: на ранее выпущенные
акции или на вновь выпускаемые акции.
Каждая из указанных групп, в свою очередь, делится на два вида
расписок в зависимости от формы их размещения: частное или публичное.
Частное размещение — это право торговли только на неорганизованном
рынке, публичное — это право торговли на фондовых биржах
США и в системе НАСДАК, или право на публичные котировки.
Спонсируемые депозитарные расписки на ранее выпущенные акции,
подлежащие частному размещению, называются ADR первого уровня
(ADR-l); подлежащие публичному размещению — ADR второго уровня
(ADR-2).
ADR-1 имеют облегченную процедуру регистрации выпуска, поскольку
для них не требуется приведения бухгалтерской отчетности,
например, российской компании к американским бухгалтерским стандартам.
Но в этом случае «прозрачность» финансовой отчетности компании
для американского фондового рынка резко снижается, а потому
ADR-1 лишаются статуса публично обращающихся ценных бумаг на
американском рынке.
Однако в соответствии с имеющимся в США законодательством но
депозитарным распискам последние по так называемому правилу S могут
обращаться на фондовых биржах других стран. Такие депозитарные
расписки называются глобальными депозитарными записками
(GDR). Поэтому российские компании, получив для своих депозитарных
расписок статус ADR-1, согласно правилу S получают возмож1юсть
торговать ими на европейских фондовых биржах, т.е. иметь их публичные,
а не только частные котировки.
Выпуск ADR-2 предполагает полное соответствие бухгалтерской
отчетности российской компании требованиям американских бухгалтерских
стандартов, т.е. полную «прозрачность» ее для американского
рынка, а потому ADR-2 имеют право обращаться на американских фондовых
биржах и в системе НАСДАК (как, впрочем, и на фондовых рынках
друг их стран).
Спонсируемые депозитарные расписки на вновь выпускаемые акции
компании, подлежащие публичному размещению, называются ADR третьего
уровня (ADR-3), а подлежащие частному размещению — ADR четвертого
уровня (ADR-4) или, как они называются в американском законодательстве,
ADR, выпускаемые в соответствии с правилом 144 А.
С точки зрения процедуры выпуска и последующего их обращения,
ADR-3 есть полный аналог ADR- Примерно то же можно сказать и
относительно ADR-4, которые есть аналог ADR-1, но с некоторыми
дополнениями.
Согласно американскому законодательству, покупателями ADR-4
могут быть только так называемые «квалифицированные институциональные
инвесторы», т.е. компании, которые вложили в ценные бумаги
100 млн долл. и более. (Таких компаний насчитывается в США свыше
300) Упомянутые инвесторы имеют право торговать между собой
ADR-4 через систему электронной торговли ПОРТАЛ, которая есть
составная часть национальной системы НАСДАК.
Итак, классификация американских депозитарных расписок имеет следующий вид

Классификация депозитарных расписок
ВТОРИЧНЫЕ ДОЛГОВЫЕ ЦЕННЫЕ БУМАГ ВТОРИЧНЫЕ ЗАКЛАДНЫЕ
Глава 1 Глава 2 Глава 3
Вторичные закладные ценные бумаги основаны обычно
на ипотечных кредитах, которые предоставляют либо государственные,
либо коммерческие структуры для приобретения в рассрочку недвижимости
(жилья) или дорогих предметов личного потребления (например,
автомобилей).
Предоставление ипотечных кредитов требует все новых и новых
источников финансирования, которые нецелесообразно ограничивать
лишь средствами от возврата ранее выданных ипотек, ибо процесс их
возврата растягивается на десятилетия.
С целью повышения ликвидности вторичного рынка закладных были
разработаны механизмы, обеспечивающие выпуск новых ценных бумаг
на базе объединения однородных ипотечных кредитов, которые в США
получили название «переходные сертификаты» или «сертификаты участия
». Указанные сертификаты представляют собой пропорциональные
права на все поступления по пулу ипотек (т.е. на процентные платежи и
платежи по основной сумме долга). Основная их масса выпускается соответствующими
финансовыми организациями, и все выплаты по ним
полностью гарантированы государством.
Номинальная стоимость переходных сертификатов обычно 25 тыс.
долл., а процентная ставка на полпроцента ниже, чем процентная ставка
по ипотекам данного пула, так как эта разница используется на обслуживание
и выпуск сертификатов.
Выпуск описанных вторичных ценных бумаг позволил достичь двух
целей: с одной стороны, ипотечный рынок получил финансовые ресурсы
для расширения масштабов ипотечного кредитования, а с другой —
инвесторы получили высокодоходные и гарантированные ценные бумаги.
Различие между обычной процентной долговой ценной бумагой и
переходным сертификатом можно проиллюстрировать на графиках
(рис. 2 и 3).
Как видно из рис. 3, владелец такого сертификата имеет равномерный
ежегодный доход в размере, существенно превышающем еже-

годный процентный доход по обычной облигации. Это является очень
привлекательным стимулом для тех групп населения (например, пенсионеров),
которые заинтересованы в существенном ежегодном доходе,
который к тому же выплачивается не один раз в полгода, как по облигациям,
а ежемесячно.
Основной недостаток переходных сертификатов — это риск досрочной
выплаты ипотеки должником, в результате чего владельцу сертификата
может быть досрочно возвращена его номинальная стоимость, и
он более не будет получать необходимый ему процентный доход, а должен
искать другое прибыльное применение своему капиталу.
переходным сертификатам, были разработаны и выпущены другие вторичные
ценные бумаги — облигации, обеспеченные пулом ипотек (или
закладных), или ипотечные облигации.
Основа их выпуска — это либо непосредственно пул ипотек, либо
пул переходных сертификатов. Выпуск облигаций осуществляется сериями
(траншами), обладающими разными правами, суть которых состоит
в том, чтобы удовлетворить разные по своим целям группы инвесторов.
Например, те из них, кто желает самого быстрого погашения
облигаций, приобретают облигации 1-го транша, а те, кто желает постепенной
выплаты дохода в зависимости от нужного им срока, покупают
облигации последующих серий. Иначе говоря, основное различие
между переходными сертификатами и рассматриваемыми облигациями
состоит в том, что первые одинаковы для всех своих владельцев, а вторые
выпускаются сериями (траншами), которые различаются между
собой по правам, предоставленным инвесторам.
Один из возможных механизмов выпуска ипотечных облигаций представлен
на схеме (рис. 4).
Порядок погашения облигаций: сначала транш 1, затем транш 2 и т.д.
Пока выплачивается процентный доход и основной долг по 1-му траншу,
по остальным выплачивается только процентный доход. После погашения
1-го транша процентный доход и основной долг выплачиваются по
2-му траншу, а по остальным — только процентный доход, и т.д.
Разновидностями ипотечных облигаций являются облигации, у которых
основная сумма долга может выплачиваться более чем по одному
траншу одновременно, или, например, облигации с кумулятивной
доходностью, когда по какому-либо траншу не выплачиваются ни про-

центы, ни основной долг, пока до него не дойдет очередь, и тогда по
нему сразу выплачиваются все причитающиеся за годы проценты и номинал,
и т.п.
Другая существующая разновидность «вторичных» облигаций — это
стрипы. Стрипы — это облигации с нулевым купоном (т.е. беспроцентные),
выпускаемые компаниями (обычно крупными инвестиционными
компаниями) под ежегодные процентные платежи по имеющемуся в их
распоряжении портфелю высоконадежных облигаций, обычно государственных.
Принципиальная схема выпуска стрипов имеет вид (рис. 5).
Z-облигация (зеро- купонная облигация) — облигация с нулевым купоном,
или дисконтная облигация. Компания выпускает под имеющийся
у нее портфель облигаций дисконтные облигации с погашением через
полгода, 1 год, 1,5 года и т.д.

Каждый облигационный выпуск (тран1п)
по номиналу равен полугодовой сумме процентов, начисляемых на этот
портфель облигаций государством. На рынке стрипы продаются с дисконтом
от своей номинальной стоимости.
Компания получает от выпуска стрипов выгоды, связанные с тем,
что стоимость продажи Z-облигаций превышает стоимость портфеля
облигаций, лежащего в их основе, а инвесторы имеют более высокодоходный
инструмент.
ОСНОВНЫЕ ОПРЕДЕЛЕНИЯ
Депозитарная расписка — это ценная бумага, свидетельствующая
о владении определенным количеством акций иностранной компании,
депонированных в стране нахождения этой компании, кругооборот которой
осуществляется в другой стране (или странах).
Кратко: депозитарная расписка — это «вторичная» акция.
Американская депозитарная расписка, или ADR, — это депозитарная
расписка, выпуск которой зарегистрирован в соответствии с американским
законодательством.
Спонсируемые ADR могут выпускаться в следующих разновидностях:
• на ранее выпускаемые акции — ADR-1, которые не имеют публичного
размещения, и ADR-2, которые могут обращаться на организованном
американском фондовом рынке;
• на вновь выпускаемые акции — ADR-3, которые могу публично
размещаться, и ADR-4 (144А), которые могут обращаться только между
квалифицированными институциональными инвесторами США.
ГЛАВНЫЕ ВЫВОДЫ
Депозитарная расписка — это форма непрямого владения акциями
иностранной компании. Ее выпуск осуществляется на основе специального
законодательства, отличного от того, которое регулирует выпуск
и обращение собственно акций.
Депозитарная расписка позволяет эмитенту выходить со своими ценными
бумагами на мировой фондовый рынок, а инвестору — получить
доступ к тем сравнительным выгодам, которые он рассчитывает иметь
на рынке другой страны, например, более высокие дивиденды.
ПОНЯТИЕ и ОСНОВНЫЕ виды ПРОИЗВОДНЫХ ИНСТРУМЕНТОВ
Понятие производных инструментов существует в двух
аспектах. Предварительно можно дать следующие определения.
В узком значении производные инструменты — это срочные контракты
и особые условия их заключения и исполнения. В широком значении
производные инструменты — это любые инструменты рынка, основывающиеся
на первичных доходных активах, таких, как товары, деньги,
имущество, ценные бумаги. Они используются для получения наибольшего
дохода при заданном уровне риска или получения заданного дохода
при минимальном риске, снижения размеров налогообложения и для
достижения иных подобных целей, выдвигаемых участниками рынка.
В последнем случае класс производных инструментов включает не
только срочные контракты, но и любые другие новые инструменты
рынка, такие как вторичные ценные бумаги в их потенциально бесконечном
многообразии, комбинации ценных бумаг со срочными контрактами
и т.п.
Главные особенности производных инструментов:
Их цена базируется на цене лежащего в их основе актива, конкретная
форма которого может быть любой.
Внешняя форма обращения производных инструментов аналогична
обращению основных ценных бумаг.
Более ограниченный временной период существования (обычно —
от нескольких минут до нескольких месяцев) по сравнению с периодом
жизни исходного актива (акции — бессрочные, облигации — годы и десятилетия).
Они позволяют получать прибыль при минимальных инвестициях
по сравнению с другими активами, поскольку инвестор оплачивает не
всю стоимость актива, а только гарантийный (маржевой) взнос.
Рассмотрим понятие производных инструментов в их узком значении (табл. 1).

Под объектами рынка обычно понимаются те или иные активы, по
которым заключаются сделки участниками рынка. Активы могут быть
реальными, такими, как товары, деньги, работы (услуги), иначе говоря,
материальные носители действительного капитала, или фиктивными, такими,
как ценные бумаги — представители фиктивного капитала. В обоих
случаях речь идет о капитале в его, так сказать, «вещной» форме. Но
это лишь определенная форма капитала, который сам по себе есть
Специфическое экономическое отношение между участниками рынка. Сутью
его является, в конечном счете, самовозрастание стоимости (капитала).
Участники рынка, вступая между собой в те или иные экономические
отношения по поводу «вещных» форм капитала, заключают обычно
какие-либо сделки или договоры (контракты). Поскольку любой договор
выражает указанные отношения, постольку он сам есть определенная
форма существования капитала. Можно сказать, что договор
между участниками рынка есть капитал в форме этого договора, или
капитал как чисто экономическое отношение безотносительно к его
«вещной» форме проявления, безотносительно к тому активу, который
лежит в основе заключаемого договора.
Договор, целью которого является получение дохода (т.е. самовозрастание
капитала), при определенных условиях сам становится «объектом
» рынка, но не в том смысле, что с ним заключаются сделки, ибо
нельзя заключить, например, сделку купли-продажи на саму куплю-продажу,
а в том смысле, что заключение договоров становится самоцелью;
что их исполнение — это исключение, а не правило; что их цель —
не купить-продать лежащий в основе сделки актив, а получить доход от
колебаний цен на этот актив.
Сделки с капиталом разделяются на две категории: эквивалентные
сделки и неэквивалентные сделки (рис. 1).

Классификация договоров (сделок) с капиталом
Эквивалентные сделки — это сделки, в результате которых происходит
обмен капитала в одной форме на такое же количество капитала
в другой форме. Например, это имеет место в сделках купли-продажи
или в сделках мены (обмена).
Неэквивалентные сделки — это сделки, или договоры, в соответствии
с которыми перемещение капитала от одной стороны сделки к другой и
обратно сопровождается либо его увеличением, либо определенными
затратами для владельца капитала, например, в договоре займа, хранения,
перевозки и др.
В результате эквивалентной сделки ее стороны не имеют прибыли
(или убытка). Договор может быть полезен лишь в результате комбинации
как минимум двух эквивалентных сделок: например, по первой -
купить актив по цене 100, а по второй — продать этот актив за 11
Итог — 10 единиц дохода. При этом если цель состоит именно в получении
такого рода прибыли, т.е. спекулятивной прибыли, то необязательно
спекулировать самими активами, проще достигать этой же цели,
«спекулируя контрактами», т.е. заключая сделки, не доводя дело до
непосредственного их исполнения. А это возможно лишь при заключении
сделок, которые должны исполняться лишь через какой-либо срок
после их заключения, т.е. при заключении срочных сделок.
В результате неэквивалентной сделки одна из ее сторон получает то или
иное имущественное право (или права), прежде всего на доход. Если это право
существует в обособленной, самостоятельной форме или в форме ценной
бумаги, то это облегчает процесс передачи его от одного владельца к другому
и, кроме того, создает возможность получения дополнительного дохода
сверх того, право на который дает эта неэквивалентная сделка.
Неэквивалентные сделки с капиталом исторически получили внешнюю
форму проявления в виде ценных бумаг. Эквивалентные сделки не
имеют и не могут иметь формы ценной бумаги по самой своей сути (их
эквивалентности, равенства позиций сторон договора). Они могут приносить
доход лишь при особом механизме их функционирования в качестве
только срочных сделок, по которым существует временной разрыв
между моментом их заключения и моментом их исполнения. При
этом целью заключения таких контрактов является не купля-продажа
лежащего в их основе актива, а получение положительной разницы в
результате колебаний цен на этот актив.
Срочный контракт становится производным инструментом, если он
имеет своей целью получение дифференциального дохода, т.е. положительной
разницы в ценах.
Срочные контракты в зависимости от вида договора, который кладется
в их основу, делятся на две группы (рис. 2):
• срочные контракты, основанные на договоре купли-продажи, или
срочные контракты на поставку актива;
• срочные контракты, основанные на договоре мены (обмена), или
свопы.

В свою очередь срочные контракты на поставку могут быть стандартными,
или биржевыми, и нестандартными, или не биржевыми.
К нестандартным, или не биржевым, срочным контрактам на поставку
относятся форвардные контракты и не биржевые опционы.
Стандартные и нестандартные контракты в зависимости от характера
обязательств по сделке делятся на твердые и условные.
Твердые стандартные контракты на поставку — это фьючерсные
контракты, а условные — это биржевые опционы.
Твердые нестандартные контракты на поставку — это форвардные
контракты, а условные — это не биржевые опционы.
Форвардный контракт — договор купли-продажи (поставки) какого-
либо актива через определенный срок в будущем, все условия которого
оговариваются сторонами сделки в момент его заключения.
Фьючерсный контракт — это форма форвардного контракта, разрешенного
к заключению на бирже; это стандартный биржевой договор
купли-продажи (поставки) биржевого актива через определенный срок
в будущем по цене, согласованной сторонами сделки в момент ее заключения.
Биржевой опцион — это стандартный договор купли-продажи биржевого
актива, в соответствии с которым его держатель получает право
купить (или продать) этот актив по определенной цене до установленной
даты в будущем или на эту дату с уплатой за полученное право
подписчику определенной суммы денег, называемой премией.
Своп — договорная конструкция, на основе которой стороны обмениваются
своими обязательствами: активами и (или) связанными с ними
выплатами в течение фиксированного периода.
Дальнейшее развитие определения производных инструментов в узком
понимании состоит в том, что производные инструменты — это срочные
контракты не вообще, а имеющие своей целью получение дифференциального
дохода. В этом случае «активом» в срочном контракте выступает
не сам «физический», конкретный актив, например товар или акция,
а лишь его постоянно меняющаяся цена, или меновая стоимость в чистом
виде без ее вещественной оболочки. Срочный контракт, заключаемый
только с целью получить (или продать), например, через пару месяцев
алюминий или акции какой-либо компании, не есть производный инструмент.
Он ничем, кроме срока, не отличается от обычного контракта с
немедленным исполнением (кассовая сделка), но он часто не реален, ибо
можно заранее сказать, что при такой цели одна из сторон контракта заведомо
окажется в невыгодном положении (например, в случае повышения
цен - это продавец, который мог бы продать дороже, чем по ранее
заключенному контракту, а в случае снижения цен — это покупатель,
который мог бы купить при наступлении срока исполнения контракта
дешевле, чем предусмотрено по этому контракту).
Поскольку получение дохода от капитала всегда связано с риском,
т.е. неопределенностью его получения, постольку определение производных
инструментов только с позиции получения дохода можно расширить.
Дифференциальный доход, полученный на основе срочных контрактов,
может принимать форму спекулятивной прибыли либо идти на компенсацию
каких-либо убытков по другим активам владельца контракта,
т.е. выполнять функцию поддержания уровня доходности по таким
активам или снижения уровня их риска.
Использование срочных контрактов для борьбы с риском или для его
страхования называется хедж:ированием.
С учетом сказанного суть производных инструментов состоит в том,
что они основываются на срочных контрактах, заключаемых для получения
спекулятивной прибыли или хеджирования рисков, сопутствующих
рыночным активам, на основе выравнивания денежных потоков во
времени и пространстве.
Рынок капитала имеет целью, в конечном счете, увеличение дохода при
минимизации возможных рисков на протяжении заданного временного интервала.
Для достижения этой цели используются все существующие виды
капитальных активов (товары, деньги, ценные бумаги) и сделок (контрактов)
с ними.
Различные комбинации активов и сделок между собой, внутренних
и т.п. приводят к появлению все новых инструментов рынка, удовлетворяющих
интересам различных групп участников рынка с точки зрения
размеров дохода, риска и других характеристик капитала.
Широкое понятие производных инструментов рынка как любых нововведений,
основывающихся на капитальных активах и срочных сделках
с ними, не раскрывает сути процессов их возникновения и функционирования.
Если подойти к ним с точки зрения того, зачем они создаются, то общий
ответ будет таков: этого требует рынок. Дальнейший анализ показывает,
что производные инструменты есть ответ рынка, с одной стороны,
на усиление его нестабильности, неопределенности (возрастают размеры
колебаний в ценах; увеличивается число активов, цена которых
существенно изменяется; частые изменения в налогообложении, валютном
регулировании и т.п.), а с другой стороны, на удовлетворение запросов
и интересов все более конкретных, индивидуальных и разнообразных
групп участников рынка, находящихся в разных странах, с точки зрения
доходности, риска, периодичности платежей, стоимости обслуживания,
затрат на выпуск новых ценных бумаг, нaлoгooбложeния и т.д.
Одно из наиболее распространенных понятий производных инструментов,
которое обычно приводится, - это инструменты, стоимость которых
определяется стоимостью лежащих в их основе активов. В нем
как бы определяется механизм ценообразования на производные инструменты.
Если же учесть, что цена любого товара зависит от пены сырья, из
которого он изготовлен, то каждый товар попадает под такое определение
производного инструмента.
По сути дела, производные инструменты - - это дальнейшее развитие
форм капитала (форм стоимости) на современном этапе. Они используются
для достижения специфических целей, не связанных непосредственно
с куплей-продажей активов или со сменой форм собственности
на них. Эти цели достигаются благодаря (или па основе) изменениям
(колебаниям) рыночных цен на товары, ценные бумаги, кредит (процентные
ставки), валюту (валютные курсы) во времени и пространстве (в
различных странах, отраслях, компаниях и т.д.).
Можно сказать, что производные инструменты это такие инструменты
рынка, которые позволяют бороться с колебаниями рыночных цен
на основе использования самих этих колебаний. Поэтому широкое понимание
производных инструментов состоит в том, что они есть такие инструменты
рынка, которые основываются на его реальных активах и сделках с
ними и используют различия в ценах для достижения целей, которые ставят
перед собой участники рынка. Например, такими целями могут быть
достижение определенного уровня доходности, риска и периодичности платежей,
получение спекулятивной прибыли, хеджирование и др.
Доход в виде разницы в ценах в сумме 10 единиц может быть получен,
например, путем покупки товара (ценной бумаги) за 100 и перепродажи
его через определенный срок за 11 Но если этот же результат
достигается без непосредственной купли-продажи товара (ценной бумаги),
то инструмент, с помощью которого этого можно достичь, есть
производный инструмент. Таким инструментом в данном примере может
быть срочный контракт, целью которого не является поставка актива,
лежащего в его основе.
Владелец варранта на покупку акций какой-либо компании по цене
100 при текущей рыночной цене этой акции 110 может продать свой варрант
и получить доход в 10 единиц без купли-продажи самих акций.
Поэтому и варрант тоже можно отнести к производным инструментам.
Аналогично «вторичные» облигации приносят доход без непосредственной
купли-продажи активов, которые лежат в их основе.
Если несколько сузить определение производных инструментов с
точки зрения целей их использования, то можно сказать, что производный
инструмент — это такой инструмент рынка, который позволяет
получать дифференциальную прибыль из-за временных и пространственных
различий в цене актива, который лежит в его основе, без каких-
либо действий с самим этим активом.
Необходимо отметить, что класс производных инструментов не исчерпывается
инструментами, базисными активами которых являются
ценные бумаги, а охватывает и товары, и валюту, и банковские депозиты.
В этом смысле срочные контракты и производные инструменты вообще,
формально говоря, не есть инструменты только рынка ценных
бумаг, а есть инструменты рынка в целом. Однако факторов или причин,
позволяющих причислять рынок производных инструментов к рынку
ценных бумаг, все же больше, чем причин его обособлять или разделять
на отдельные рынки. Во-первых, реально рынок производных инструментов
существует как единое целое, независимо от различия в
исходных активах. Во-вторых, этот рынок функционирует обычно на
тех же основах, что и рынок ценных бумаг: экономических, организационных,
юридических, деловых и т.п. В-третьих, этот рынок с одними и
теми же участниками. В-четвертых, это рынок с едиными механизмами
ценообразования. В-пятых, этот рынок обычно имеет единое место торговли
или единую систему организации торговли. В-шестых, этот рынок
неразрывно связан с рынками реальных активов, на которые заключаются
срочные контракты или на базе которых «конструируются»
производные активы (ценные бумаги).
на ипотечных кредитах, которые предоставляют либо государственные,
либо коммерческие структуры для приобретения в рассрочку недвижимости
(жилья) или дорогих предметов личного потребления (например,
автомобилей).
Предоставление ипотечных кредитов требует все новых и новых
источников финансирования, которые нецелесообразно ограничивать
лишь средствами от возврата ранее выданных ипотек, ибо процесс их
возврата растягивается на десятилетия.
С целью повышения ликвидности вторичного рынка закладных были
разработаны механизмы, обеспечивающие выпуск новых ценных бумаг
на базе объединения однородных ипотечных кредитов, которые в США
получили название «переходные сертификаты» или «сертификаты участия
». Указанные сертификаты представляют собой пропорциональные
права на все поступления по пулу ипотек (т.е. на процентные платежи и
платежи по основной сумме долга). Основная их масса выпускается соответствующими
финансовыми организациями, и все выплаты по ним
полностью гарантированы государством.
Номинальная стоимость переходных сертификатов обычно 25 тыс.
долл., а процентная ставка на полпроцента ниже, чем процентная ставка
по ипотекам данного пула, так как эта разница используется на обслуживание
и выпуск сертификатов.
Выпуск описанных вторичных ценных бумаг позволил достичь двух
целей: с одной стороны, ипотечный рынок получил финансовые ресурсы
для расширения масштабов ипотечного кредитования, а с другой —
инвесторы получили высокодоходные и гарантированные ценные бумаги.
Различие между обычной процентной долговой ценной бумагой и
переходным сертификатом можно проиллюстрировать на графиках
(рис. 2 и 3).
Как видно из рис. 3, владелец такого сертификата имеет равномерный
ежегодный доход в размере, существенно превышающем еже-

годный процентный доход по обычной облигации. Это является очень
привлекательным стимулом для тех групп населения (например, пенсионеров),
которые заинтересованы в существенном ежегодном доходе,
который к тому же выплачивается не один раз в полгода, как по облигациям,
а ежемесячно.
Основной недостаток переходных сертификатов — это риск досрочной
выплаты ипотеки должником, в результате чего владельцу сертификата
может быть досрочно возвращена его номинальная стоимость, и
он более не будет получать необходимый ему процентный доход, а должен
искать другое прибыльное применение своему капиталу.
ВТОРИЧНЫЕ ОБЛИГАЦИИ
Для целей частичного уменьшения риска, присущегопереходным сертификатам, были разработаны и выпущены другие вторичные
ценные бумаги — облигации, обеспеченные пулом ипотек (или
закладных), или ипотечные облигации.
Основа их выпуска — это либо непосредственно пул ипотек, либо
пул переходных сертификатов. Выпуск облигаций осуществляется сериями
(траншами), обладающими разными правами, суть которых состоит
в том, чтобы удовлетворить разные по своим целям группы инвесторов.
Например, те из них, кто желает самого быстрого погашения
облигаций, приобретают облигации 1-го транша, а те, кто желает постепенной
выплаты дохода в зависимости от нужного им срока, покупают
облигации последующих серий. Иначе говоря, основное различие
между переходными сертификатами и рассматриваемыми облигациями
состоит в том, что первые одинаковы для всех своих владельцев, а вторые
выпускаются сериями (траншами), которые различаются между
собой по правам, предоставленным инвесторам.
Один из возможных механизмов выпуска ипотечных облигаций представлен
на схеме (рис. 4).
Порядок погашения облигаций: сначала транш 1, затем транш 2 и т.д.
Пока выплачивается процентный доход и основной долг по 1-му траншу,
по остальным выплачивается только процентный доход. После погашения
1-го транша процентный доход и основной долг выплачиваются по
2-му траншу, а по остальным — только процентный доход, и т.д.
Разновидностями ипотечных облигаций являются облигации, у которых
основная сумма долга может выплачиваться более чем по одному
траншу одновременно, или, например, облигации с кумулятивной
доходностью, когда по какому-либо траншу не выплачиваются ни про-

центы, ни основной долг, пока до него не дойдет очередь, и тогда по
нему сразу выплачиваются все причитающиеся за годы проценты и номинал,
и т.п.
Другая существующая разновидность «вторичных» облигаций — это
стрипы. Стрипы — это облигации с нулевым купоном (т.е. беспроцентные),
выпускаемые компаниями (обычно крупными инвестиционными
компаниями) под ежегодные процентные платежи по имеющемуся в их
распоряжении портфелю высоконадежных облигаций, обычно государственных.
Принципиальная схема выпуска стрипов имеет вид (рис. 5).
Z-облигация (зеро- купонная облигация) — облигация с нулевым купоном,
или дисконтная облигация. Компания выпускает под имеющийся
у нее портфель облигаций дисконтные облигации с погашением через
полгода, 1 год, 1,5 года и т.д.

Каждый облигационный выпуск (тран1п)
по номиналу равен полугодовой сумме процентов, начисляемых на этот
портфель облигаций государством. На рынке стрипы продаются с дисконтом
от своей номинальной стоимости.
Компания получает от выпуска стрипов выгоды, связанные с тем,
что стоимость продажи Z-облигаций превышает стоимость портфеля
облигаций, лежащего в их основе, а инвесторы имеют более высокодоходный
инструмент.
ОСНОВНЫЕ ОПРЕДЕЛЕНИЯ
Депозитарная расписка — это ценная бумага, свидетельствующая
о владении определенным количеством акций иностранной компании,
депонированных в стране нахождения этой компании, кругооборот которой
осуществляется в другой стране (или странах).
Кратко: депозитарная расписка — это «вторичная» акция.
Американская депозитарная расписка, или ADR, — это депозитарная
расписка, выпуск которой зарегистрирован в соответствии с американским
законодательством.
Спонсируемые ADR могут выпускаться в следующих разновидностях:
• на ранее выпускаемые акции — ADR-1, которые не имеют публичного
размещения, и ADR-2, которые могут обращаться на организованном
американском фондовом рынке;
• на вновь выпускаемые акции — ADR-3, которые могу публично
размещаться, и ADR-4 (144А), которые могут обращаться только между
квалифицированными институциональными инвесторами США.
ГЛАВНЫЕ ВЫВОДЫ
Депозитарная расписка — это форма непрямого владения акциями
иностранной компании. Ее выпуск осуществляется на основе специального
законодательства, отличного от того, которое регулирует выпуск
и обращение собственно акций.
Депозитарная расписка позволяет эмитенту выходить со своими ценными
бумагами на мировой фондовый рынок, а инвестору — получить
доступ к тем сравнительным выгодам, которые он рассчитывает иметь
на рынке другой страны, например, более высокие дивиденды.
Срочные контракты
ПОНЯТИЕ и ОСНОВНЫЕ виды ПРОИЗВОДНЫХ ИНСТРУМЕНТОВ
Понятие производных инструментов существует в двух
аспектах. Предварительно можно дать следующие определения.
В узком значении производные инструменты — это срочные контракты
и особые условия их заключения и исполнения. В широком значении
производные инструменты — это любые инструменты рынка, основывающиеся
на первичных доходных активах, таких, как товары, деньги,
имущество, ценные бумаги. Они используются для получения наибольшего
дохода при заданном уровне риска или получения заданного дохода
при минимальном риске, снижения размеров налогообложения и для
достижения иных подобных целей, выдвигаемых участниками рынка.
В последнем случае класс производных инструментов включает не
только срочные контракты, но и любые другие новые инструменты
рынка, такие как вторичные ценные бумаги в их потенциально бесконечном
многообразии, комбинации ценных бумаг со срочными контрактами
и т.п.
Главные особенности производных инструментов:
Их цена базируется на цене лежащего в их основе актива, конкретная
форма которого может быть любой.
Внешняя форма обращения производных инструментов аналогична
обращению основных ценных бумаг.
Более ограниченный временной период существования (обычно —
от нескольких минут до нескольких месяцев) по сравнению с периодом
жизни исходного актива (акции — бессрочные, облигации — годы и десятилетия).
Они позволяют получать прибыль при минимальных инвестициях
по сравнению с другими активами, поскольку инвестор оплачивает не
всю стоимость актива, а только гарантийный (маржевой) взнос.
Рассмотрим понятие производных инструментов в их узком значении (табл. 1).

Под объектами рынка обычно понимаются те или иные активы, по
которым заключаются сделки участниками рынка. Активы могут быть
реальными, такими, как товары, деньги, работы (услуги), иначе говоря,
материальные носители действительного капитала, или фиктивными, такими,
как ценные бумаги — представители фиктивного капитала. В обоих
случаях речь идет о капитале в его, так сказать, «вещной» форме. Но
это лишь определенная форма капитала, который сам по себе есть
Специфическое экономическое отношение между участниками рынка. Сутью
его является, в конечном счете, самовозрастание стоимости (капитала).
Участники рынка, вступая между собой в те или иные экономические
отношения по поводу «вещных» форм капитала, заключают обычно
какие-либо сделки или договоры (контракты). Поскольку любой договор
выражает указанные отношения, постольку он сам есть определенная
форма существования капитала. Можно сказать, что договор
между участниками рынка есть капитал в форме этого договора, или
капитал как чисто экономическое отношение безотносительно к его
«вещной» форме проявления, безотносительно к тому активу, который
лежит в основе заключаемого договора.
Договор, целью которого является получение дохода (т.е. самовозрастание
капитала), при определенных условиях сам становится «объектом
» рынка, но не в том смысле, что с ним заключаются сделки, ибо
нельзя заключить, например, сделку купли-продажи на саму куплю-продажу,
а в том смысле, что заключение договоров становится самоцелью;
что их исполнение — это исключение, а не правило; что их цель —
не купить-продать лежащий в основе сделки актив, а получить доход от
колебаний цен на этот актив.
Сделки с капиталом разделяются на две категории: эквивалентные
сделки и неэквивалентные сделки (рис. 1).

Классификация договоров (сделок) с капиталом
Эквивалентные сделки — это сделки, в результате которых происходит
обмен капитала в одной форме на такое же количество капитала
в другой форме. Например, это имеет место в сделках купли-продажи
или в сделках мены (обмена).
Неэквивалентные сделки — это сделки, или договоры, в соответствии
с которыми перемещение капитала от одной стороны сделки к другой и
обратно сопровождается либо его увеличением, либо определенными
затратами для владельца капитала, например, в договоре займа, хранения,
перевозки и др.
В результате эквивалентной сделки ее стороны не имеют прибыли
(или убытка). Договор может быть полезен лишь в результате комбинации
как минимум двух эквивалентных сделок: например, по первой -
купить актив по цене 100, а по второй — продать этот актив за 11
Итог — 10 единиц дохода. При этом если цель состоит именно в получении
такого рода прибыли, т.е. спекулятивной прибыли, то необязательно
спекулировать самими активами, проще достигать этой же цели,
«спекулируя контрактами», т.е. заключая сделки, не доводя дело до
непосредственного их исполнения. А это возможно лишь при заключении
сделок, которые должны исполняться лишь через какой-либо срок
после их заключения, т.е. при заключении срочных сделок.
В результате неэквивалентной сделки одна из ее сторон получает то или
иное имущественное право (или права), прежде всего на доход. Если это право
существует в обособленной, самостоятельной форме или в форме ценной
бумаги, то это облегчает процесс передачи его от одного владельца к другому
и, кроме того, создает возможность получения дополнительного дохода
сверх того, право на который дает эта неэквивалентная сделка.
Неэквивалентные сделки с капиталом исторически получили внешнюю
форму проявления в виде ценных бумаг. Эквивалентные сделки не
имеют и не могут иметь формы ценной бумаги по самой своей сути (их
эквивалентности, равенства позиций сторон договора). Они могут приносить
доход лишь при особом механизме их функционирования в качестве
только срочных сделок, по которым существует временной разрыв
между моментом их заключения и моментом их исполнения. При
этом целью заключения таких контрактов является не купля-продажа
лежащего в их основе актива, а получение положительной разницы в
результате колебаний цен на этот актив.
Срочный контракт становится производным инструментом, если он
имеет своей целью получение дифференциального дохода, т.е. положительной
разницы в ценах.
Срочные контракты в зависимости от вида договора, который кладется
в их основу, делятся на две группы (рис. 2):
• срочные контракты, основанные на договоре купли-продажи, или
срочные контракты на поставку актива;
• срочные контракты, основанные на договоре мены (обмена), или
свопы.

В свою очередь срочные контракты на поставку могут быть стандартными,
или биржевыми, и нестандартными, или не биржевыми.
К нестандартным, или не биржевым, срочным контрактам на поставку
относятся форвардные контракты и не биржевые опционы.
Стандартные и нестандартные контракты в зависимости от характера
обязательств по сделке делятся на твердые и условные.
Твердые стандартные контракты на поставку — это фьючерсные
контракты, а условные — это биржевые опционы.
Твердые нестандартные контракты на поставку — это форвардные
контракты, а условные — это не биржевые опционы.
Форвардный контракт — договор купли-продажи (поставки) какого-
либо актива через определенный срок в будущем, все условия которого
оговариваются сторонами сделки в момент его заключения.
Фьючерсный контракт — это форма форвардного контракта, разрешенного
к заключению на бирже; это стандартный биржевой договор
купли-продажи (поставки) биржевого актива через определенный срок
в будущем по цене, согласованной сторонами сделки в момент ее заключения.
Биржевой опцион — это стандартный договор купли-продажи биржевого
актива, в соответствии с которым его держатель получает право
купить (или продать) этот актив по определенной цене до установленной
даты в будущем или на эту дату с уплатой за полученное право
подписчику определенной суммы денег, называемой премией.
Своп — договорная конструкция, на основе которой стороны обмениваются
своими обязательствами: активами и (или) связанными с ними
выплатами в течение фиксированного периода.
Дальнейшее развитие определения производных инструментов в узком
понимании состоит в том, что производные инструменты — это срочные
контракты не вообще, а имеющие своей целью получение дифференциального
дохода. В этом случае «активом» в срочном контракте выступает
не сам «физический», конкретный актив, например товар или акция,
а лишь его постоянно меняющаяся цена, или меновая стоимость в чистом
виде без ее вещественной оболочки. Срочный контракт, заключаемый
только с целью получить (или продать), например, через пару месяцев
алюминий или акции какой-либо компании, не есть производный инструмент.
Он ничем, кроме срока, не отличается от обычного контракта с
немедленным исполнением (кассовая сделка), но он часто не реален, ибо
можно заранее сказать, что при такой цели одна из сторон контракта заведомо
окажется в невыгодном положении (например, в случае повышения
цен - это продавец, который мог бы продать дороже, чем по ранее
заключенному контракту, а в случае снижения цен — это покупатель,
который мог бы купить при наступлении срока исполнения контракта
дешевле, чем предусмотрено по этому контракту).
Поскольку получение дохода от капитала всегда связано с риском,
т.е. неопределенностью его получения, постольку определение производных
инструментов только с позиции получения дохода можно расширить.
Дифференциальный доход, полученный на основе срочных контрактов,
может принимать форму спекулятивной прибыли либо идти на компенсацию
каких-либо убытков по другим активам владельца контракта,
т.е. выполнять функцию поддержания уровня доходности по таким
активам или снижения уровня их риска.
Использование срочных контрактов для борьбы с риском или для его
страхования называется хедж:ированием.
С учетом сказанного суть производных инструментов состоит в том,
что они основываются на срочных контрактах, заключаемых для получения
спекулятивной прибыли или хеджирования рисков, сопутствующих
рыночным активам, на основе выравнивания денежных потоков во
времени и пространстве.
Рынок капитала имеет целью, в конечном счете, увеличение дохода при
минимизации возможных рисков на протяжении заданного временного интервала.
Для достижения этой цели используются все существующие виды
капитальных активов (товары, деньги, ценные бумаги) и сделок (контрактов)
с ними.
Различные комбинации активов и сделок между собой, внутренних
и т.п. приводят к появлению все новых инструментов рынка, удовлетворяющих
интересам различных групп участников рынка с точки зрения
размеров дохода, риска и других характеристик капитала.
Широкое понятие производных инструментов рынка как любых нововведений,
основывающихся на капитальных активах и срочных сделках
с ними, не раскрывает сути процессов их возникновения и функционирования.
Если подойти к ним с точки зрения того, зачем они создаются, то общий
ответ будет таков: этого требует рынок. Дальнейший анализ показывает,
что производные инструменты есть ответ рынка, с одной стороны,
на усиление его нестабильности, неопределенности (возрастают размеры
колебаний в ценах; увеличивается число активов, цена которых
существенно изменяется; частые изменения в налогообложении, валютном
регулировании и т.п.), а с другой стороны, на удовлетворение запросов
и интересов все более конкретных, индивидуальных и разнообразных
групп участников рынка, находящихся в разных странах, с точки зрения
доходности, риска, периодичности платежей, стоимости обслуживания,
затрат на выпуск новых ценных бумаг, нaлoгooбложeния и т.д.
Одно из наиболее распространенных понятий производных инструментов,
которое обычно приводится, - это инструменты, стоимость которых
определяется стоимостью лежащих в их основе активов. В нем
как бы определяется механизм ценообразования на производные инструменты.
Если же учесть, что цена любого товара зависит от пены сырья, из
которого он изготовлен, то каждый товар попадает под такое определение
производного инструмента.
По сути дела, производные инструменты - - это дальнейшее развитие
форм капитала (форм стоимости) на современном этапе. Они используются
для достижения специфических целей, не связанных непосредственно
с куплей-продажей активов или со сменой форм собственности
на них. Эти цели достигаются благодаря (или па основе) изменениям
(колебаниям) рыночных цен на товары, ценные бумаги, кредит (процентные
ставки), валюту (валютные курсы) во времени и пространстве (в
различных странах, отраслях, компаниях и т.д.).
Можно сказать, что производные инструменты это такие инструменты
рынка, которые позволяют бороться с колебаниями рыночных цен
на основе использования самих этих колебаний. Поэтому широкое понимание
производных инструментов состоит в том, что они есть такие инструменты
рынка, которые основываются на его реальных активах и сделках с
ними и используют различия в ценах для достижения целей, которые ставят
перед собой участники рынка. Например, такими целями могут быть
достижение определенного уровня доходности, риска и периодичности платежей,
получение спекулятивной прибыли, хеджирование и др.
Доход в виде разницы в ценах в сумме 10 единиц может быть получен,
например, путем покупки товара (ценной бумаги) за 100 и перепродажи
его через определенный срок за 11 Но если этот же результат
достигается без непосредственной купли-продажи товара (ценной бумаги),
то инструмент, с помощью которого этого можно достичь, есть
производный инструмент. Таким инструментом в данном примере может
быть срочный контракт, целью которого не является поставка актива,
лежащего в его основе.
Владелец варранта на покупку акций какой-либо компании по цене
100 при текущей рыночной цене этой акции 110 может продать свой варрант
и получить доход в 10 единиц без купли-продажи самих акций.
Поэтому и варрант тоже можно отнести к производным инструментам.
Аналогично «вторичные» облигации приносят доход без непосредственной
купли-продажи активов, которые лежат в их основе.
Если несколько сузить определение производных инструментов с
точки зрения целей их использования, то можно сказать, что производный
инструмент — это такой инструмент рынка, который позволяет
получать дифференциальную прибыль из-за временных и пространственных
различий в цене актива, который лежит в его основе, без каких-
либо действий с самим этим активом.
Необходимо отметить, что класс производных инструментов не исчерпывается
инструментами, базисными активами которых являются
ценные бумаги, а охватывает и товары, и валюту, и банковские депозиты.
В этом смысле срочные контракты и производные инструменты вообще,
формально говоря, не есть инструменты только рынка ценных
бумаг, а есть инструменты рынка в целом. Однако факторов или причин,
позволяющих причислять рынок производных инструментов к рынку
ценных бумаг, все же больше, чем причин его обособлять или разделять
на отдельные рынки. Во-первых, реально рынок производных инструментов
существует как единое целое, независимо от различия в
исходных активах. Во-вторых, этот рынок функционирует обычно на
тех же основах, что и рынок ценных бумаг: экономических, организационных,
юридических, деловых и т.п. В-третьих, этот рынок с одними и
теми же участниками. В-четвертых, это рынок с едиными механизмами
ценообразования. В-пятых, этот рынок обычно имеет единое место торговли
или единую систему организации торговли. В-шестых, этот рынок
неразрывно связан с рынками реальных активов, на которые заключаются
срочные контракты или на базе которых «конструируются»
производные активы (ценные бумаги).
ФОРМА СУЩЕСТВОВАНИЯ ЦЕННОЙ БУМАГИ
Глава 1 Глава 2 Глава 3
Формы существования ценной бумаги, или, выражаясь
философским языком, материальное бытие ценной бумаги, — эго ее существование
в бумажной (документарной) или безбумажной (бездокументарной)
формах.
Первоначально все ценные бумаги выпускались только в бумажной
форме, откуда и произошло их название — это бумага, но не
обычная, а ценная. Однако развитие рыночных отношений в последние
десятилетия привело к появлению новой формы существования ценной
бумаги — безбумажной, или бездокументарной, формы, что нашло
отражение в Гражданском кодексе РФ. Так, в статье 149 говорится о
том, что допускается фиксация прав, закрепляемых ценной бумагой, в
бездокументарной форме.
Переход от бумажной формы ценной бумаги к безбумажной связан,
во-первых, с нарастанием количества обращающихся ценных бумаг,
прежде всего таких известных видов, как акции и облигации. По другим ценным бумагам, число которых сравнительно невелико, документарная
форма преобладает.
Во-вторых, права, закрепляемые за владельцем ценной бумаги, могут
быть реализованы безотносительно к ее форме. Например, выплата
дохода по ценной бумаге, купля-продажа ценной бумаги и т.п. могут
производиться без наличия ее самой в качестве материального носителя
этих прав.
В-третьих, безбумажная форма ценной бумаги может ускорять, упрощать
и удешевлять ее обращение в части расчетов, передачи от одного
владельца к другому, хранения и учета, налогообложения и т.п.
В-четвертых, это связано со структурными изменениями на рынке
ценных бумаг (в частности, с увеличением числа именных ценных бумаг
и снижением доли предъявительских ценных бумаг).
Основанием для появления безбумажной формы ценной бумаги является
то, что переход ее от одного владельца к другому есть просто
передача соответствующих прав, закрепляемых ею, а потому форма
самой ценной бумаги при этом не играет никакой роли.
В этом смысле можно сказать, что бумажная и безбумажная формы
- это не просто формы, а стадии развития ценной бумаги, это
переход одного качества в другое. Безбумажная ценная бумага — это
не то же самое, что традиционная ценная бумага в виде определенного
бумажного бланка. Это уже не бумага, а электронная форма учета
владельцев капитала, обладающих заранее обозначенными правами по
отношению к пользователю этого капитала.
Благодаря безбумажной форме владение капиталом еще более формализуется:
физическое владение (сначала в виде денежного капитала,
затем в бумажной форме) превращается в учетное в виде электронных
записей. Физическое отделение капитала от его владельца продолжается
именно в безбумажной форме ценной бумаги.
ОБЩЕЕ ПОНЯТИЕ
Обычный форвардный контракт — это договор купли-
продажи (поставки) какого-либо актива через определенный срок в
будущем. Это срочный договор с обязательным его испо;п1ением каждой
из сторон договора, т.е. твердая сделка.
Все условия такого форвардного контрак1а согласовываются сторона-
ми сделки в момент се заю1ючения. Цена актива, подлежащего поставке в
будущем, или форвардная цена контракта, обычно устанавливается в момент
заключения сделки. Однако возможны любые другие формы ее определения,
например, в договоре может быть установлен механизм ее определения
или указано, что она будет равна рыночной цене актива в момент исполнения
контракта и т.д. Обычный форвардный контракт заключается с целью
купить-продать лежащий в его основе актив (товар, валюту, ценную бумагу
и др.) в будущем, но на условиях, определенных в момент его заключения.
Это имеет важное значение, например, при наличии долговременных связей
между поставщиками и потребителями сырья и материалов, других товаров
и услуг. Стабильность условий или взаимоотношений участников рынка на
длительные сроки — важный фактор успешной и прибыльной работы в сфере
производства, торговли, транспортировки товаров и т.п.
Заключение обычного форвардного контракта не связано с какими-
либо предварительными затратами сторон, но оно опирается на устойчивые
доверительные отношения между участниками сделки, так как
гарантия ее исполнения - это дело договаривающихся сторон, которые
должны иметь необходимую платежеспособность и т.п.
Главное достоинство обычного форвардного контракта - это возможность
его приспособления к индивидуальным запросам сторон контракта
по любым параметрам заключаемой сделки (по цене, срокам, размерам,
формам расчетов и поставки).
Но в этом же и его слабое место, ибо обязательство по такому контракту
очень трудно ликвидировать досрочно, если одна из сторон контракта
не захочет его исполнять. Поэтому по обычным форвардным контрактам
вторичный рынок, т.е. рынок, на котором можно было бы совершить
обратную сделку, практически отсутствует.
Форвардные контракты, по которым отсутствует вторичный рынок,
не являются производными инструментами.
Форвардные контракты превращаются в производные инструменты по мере стандартизации условий заключения, т.е. частичного отказа
от их индивидуальности, уникальности каждого отдельного контракта,
и при наличии рыночного посредника (посредников или дилеров), который
становится одной из сторон форвардного контракта с любым другим
участником рынка. Благодаря таким условиям появляется вторичный
рынок соответствующих форвардных контрактов, или, как еще
говорят, последние становятся ликвидными контрактами.
Ликвидность форвардного контракта превращает его в производный
инструмент рынка, т.е. позволяет получать с его помощью дифференциальную
прибыль, или, иначе говоря, использовать для целей хеджирования
и спекулирования.
Основными видами ликвидных форвардных контрактов являются
валютные форварды и форвардные контракты на ставку процента.
В обоих случаях рыночными посредниками (дилерами или маркет- мейкерами) являются крупные банки, обслуживающие мировой рынок (валют
и кредитов). Они устанавливают форвардные курсы купли-продажи валют
с любым сроком исполнения и заключают форвардные сделки как на покупку,
так и на продажу валют с участниками рынка — клиентами между
собой. Масштабы валютного обмена таковы, что не представляет труда в
случае необходимости погасить обязательства по ранее заключенной сделке
путем совершения обратной сделки с тем же дилером.
Форвардные контракты на валюту, или валютные форварды, как
контракты ничем не отличаются от форвардов, например, на товары.
Однако в отличие от последних они одновременно являются производными
инструментами рынка, так как представляют собой ликвидные
контракты по причинам масштабов валютного рынка (это самый большой
по объему рынок в мире, превосходящий все рынки вместе взятые)
и дилерской формы организации его торговли.
о будущей процентной ставке, или просто процентные форварды,
были разработаны в начале 80-х годов и появились на рынке в 1983 г.
В качестве актива такого форвардного контракта выступает не обычный
актив (товар, валюта, ценная бумага), а банковская или иная процентная
ставка. Суть этого контракта как производного инструмента
проявляется, в отличие от валютного форварда, в непосредственном
виде, ибо доход по этому контракту есть разница между будущей (форвардной)
процентной ставкой, зафиксированной в контракте, и фактической
ставкой (ставкой спот) на дату расчетов по контракту.
Одной из сторон контракта всегда является банк-дилер (или маркет-
мейкер).
Тот, кто заключает контракт на условиях получения депозита (основной
суммы), называется «покупателем», а процесс его заключения — «покупкой
» контракта. Тот, кто заключает контракт на условиях внесения
депозита (основной суммы), называется «продавцом», и говорят, что он
«продает» контракт.
Если процентная ставка спот на момент исполнения (расчетов) контракта
превысит форвардную ставку, записанную в контракте, то покупатель
получает дифференциальный доход, который выплачивает ему
банк, ибо покупатель как бы взял ссуду в банке под данный процент, а
затем вернул ее в банк под более высокий процент. И наоборот, если ставка
спот окажется ниже форвардной ставки по контракту.
Размер, или номинал, контракта — это сумма «условного депозита
», или просто условная основная сумма, по отношению к которой и
рассчитывается разность между форвардной процентной ставкой и процентной ставкой спот на дату расчета (исполнения контракта).
Процентные форварды обычно заключаются на трех-, шести- и девятимесячные
депозиты, но они могут быть заключены и на любые другие
сроки, не кратные трем месяцам.
Процентные форварды заключаются со сроками исполнения от одного
месяца и далее.
Их обозначение состоит из двух цифр: первая показывает срок исполнения,
а вторая — срок окончания депозита, так что разность этих
цифр и составляет временной период депозита в месяцах. Например,
процентный форвард«3-9» (три умножить на девять) означает, что он
представляет собой контракт на шестимесячный депозит, вносимый (или
предоставляемый) через три месяца от даты заключения контракта, а
срок закрытия депозита отстает от этой даты на девять месяцев.
Поскольку расчет (исполнение) по процентному форварду производится
в начале внесения (предоставления) депозита, а дифференциальный
доход относится к будущему периоду действия депозита, постольку этот
доход должен быть приведен (дисконтирован) на дату расчета по контракту.
Сумма платежа по данному контракту определяется по формуле

Процентный форвард используется как для получения спекулятивной
прибыли, так и для хеджирования операций, осуществляемых банком
или компаниями, вступающими в кредитные отношения между собой
или со своими клиентами.
Развитие посреднических (прежде всего дилерских) услуг на рынке форвардных
контрактов позволяет создавать все новые виды ликвидных форвардов
или производных инструментов на основе форвардных контрактов.
Группировка форвардных контрактов приведена на схеме (рис. 3).

Виды форвардных контрактов
философским языком, материальное бытие ценной бумаги, — эго ее существование
в бумажной (документарной) или безбумажной (бездокументарной)
формах.
Первоначально все ценные бумаги выпускались только в бумажной
форме, откуда и произошло их название — это бумага, но не
обычная, а ценная. Однако развитие рыночных отношений в последние
десятилетия привело к появлению новой формы существования ценной
бумаги — безбумажной, или бездокументарной, формы, что нашло
отражение в Гражданском кодексе РФ. Так, в статье 149 говорится о
том, что допускается фиксация прав, закрепляемых ценной бумагой, в
бездокументарной форме.
Переход от бумажной формы ценной бумаги к безбумажной связан,
во-первых, с нарастанием количества обращающихся ценных бумаг,
прежде всего таких известных видов, как акции и облигации. По другим ценным бумагам, число которых сравнительно невелико, документарная
форма преобладает.
Во-вторых, права, закрепляемые за владельцем ценной бумаги, могут
быть реализованы безотносительно к ее форме. Например, выплата
дохода по ценной бумаге, купля-продажа ценной бумаги и т.п. могут
производиться без наличия ее самой в качестве материального носителя
этих прав.
В-третьих, безбумажная форма ценной бумаги может ускорять, упрощать
и удешевлять ее обращение в части расчетов, передачи от одного
владельца к другому, хранения и учета, налогообложения и т.п.
В-четвертых, это связано со структурными изменениями на рынке
ценных бумаг (в частности, с увеличением числа именных ценных бумаг
и снижением доли предъявительских ценных бумаг).
Основанием для появления безбумажной формы ценной бумаги является
то, что переход ее от одного владельца к другому есть просто
передача соответствующих прав, закрепляемых ею, а потому форма
самой ценной бумаги при этом не играет никакой роли.
В этом смысле можно сказать, что бумажная и безбумажная формы
- это не просто формы, а стадии развития ценной бумаги, это
переход одного качества в другое. Безбумажная ценная бумага — это
не то же самое, что традиционная ценная бумага в виде определенного
бумажного бланка. Это уже не бумага, а электронная форма учета
владельцев капитала, обладающих заранее обозначенными правами по
отношению к пользователю этого капитала.
Благодаря безбумажной форме владение капиталом еще более формализуется:
физическое владение (сначала в виде денежного капитала,
затем в бумажной форме) превращается в учетное в виде электронных
записей. Физическое отделение капитала от его владельца продолжается
именно в безбумажной форме ценной бумаги.
ФОРВАРДНЫЕ КОНТРАКТЫ
ОБЩЕЕ ПОНЯТИЕ
Обычный форвардный контракт — это договор купли-
продажи (поставки) какого-либо актива через определенный срок в
будущем. Это срочный договор с обязательным его испо;п1ением каждой
из сторон договора, т.е. твердая сделка.
Все условия такого форвардного контрак1а согласовываются сторона-
ми сделки в момент се заю1ючения. Цена актива, подлежащего поставке в
будущем, или форвардная цена контракта, обычно устанавливается в момент
заключения сделки. Однако возможны любые другие формы ее определения,
например, в договоре может быть установлен механизм ее определения
или указано, что она будет равна рыночной цене актива в момент исполнения
контракта и т.д. Обычный форвардный контракт заключается с целью
купить-продать лежащий в его основе актив (товар, валюту, ценную бумагу
и др.) в будущем, но на условиях, определенных в момент его заключения.
Это имеет важное значение, например, при наличии долговременных связей
между поставщиками и потребителями сырья и материалов, других товаров
и услуг. Стабильность условий или взаимоотношений участников рынка на
длительные сроки — важный фактор успешной и прибыльной работы в сфере
производства, торговли, транспортировки товаров и т.п.
Заключение обычного форвардного контракта не связано с какими-
либо предварительными затратами сторон, но оно опирается на устойчивые
доверительные отношения между участниками сделки, так как
гарантия ее исполнения - это дело договаривающихся сторон, которые
должны иметь необходимую платежеспособность и т.п.
Главное достоинство обычного форвардного контракта - это возможность
его приспособления к индивидуальным запросам сторон контракта
по любым параметрам заключаемой сделки (по цене, срокам, размерам,
формам расчетов и поставки).
Но в этом же и его слабое место, ибо обязательство по такому контракту
очень трудно ликвидировать досрочно, если одна из сторон контракта
не захочет его исполнять. Поэтому по обычным форвардным контрактам
вторичный рынок, т.е. рынок, на котором можно было бы совершить
обратную сделку, практически отсутствует.
Форвардные контракты, по которым отсутствует вторичный рынок,
не являются производными инструментами.
Форвардные контракты превращаются в производные инструменты по мере стандартизации условий заключения, т.е. частичного отказа
от их индивидуальности, уникальности каждого отдельного контракта,
и при наличии рыночного посредника (посредников или дилеров), который
становится одной из сторон форвардного контракта с любым другим
участником рынка. Благодаря таким условиям появляется вторичный
рынок соответствующих форвардных контрактов, или, как еще
говорят, последние становятся ликвидными контрактами.
Ликвидность форвардного контракта превращает его в производный
инструмент рынка, т.е. позволяет получать с его помощью дифференциальную
прибыль, или, иначе говоря, использовать для целей хеджирования
и спекулирования.
Основными видами ликвидных форвардных контрактов являются
валютные форварды и форвардные контракты на ставку процента.
В обоих случаях рыночными посредниками (дилерами или маркет- мейкерами) являются крупные банки, обслуживающие мировой рынок (валют
и кредитов). Они устанавливают форвардные курсы купли-продажи валют
с любым сроком исполнения и заключают форвардные сделки как на покупку,
так и на продажу валют с участниками рынка — клиентами между
собой. Масштабы валютного обмена таковы, что не представляет труда в
случае необходимости погасить обязательства по ранее заключенной сделке
путем совершения обратной сделки с тем же дилером.
Форвардные контракты на валюту, или валютные форварды, как
контракты ничем не отличаются от форвардов, например, на товары.
Однако в отличие от последних они одновременно являются производными
инструментами рынка, так как представляют собой ликвидные
контракты по причинам масштабов валютного рынка (это самый большой
по объему рынок в мире, превосходящий все рынки вместе взятые)
и дилерской формы организации его торговли.
ПРОЦЕНТНЫЕ ФОРВАРДЫ
Форвардные контракты на ставку процента, или соглашенияо будущей процентной ставке, или просто процентные форварды,
были разработаны в начале 80-х годов и появились на рынке в 1983 г.
В качестве актива такого форвардного контракта выступает не обычный
актив (товар, валюта, ценная бумага), а банковская или иная процентная
ставка. Суть этого контракта как производного инструмента
проявляется, в отличие от валютного форварда, в непосредственном
виде, ибо доход по этому контракту есть разница между будущей (форвардной)
процентной ставкой, зафиксированной в контракте, и фактической
ставкой (ставкой спот) на дату расчетов по контракту.
Одной из сторон контракта всегда является банк-дилер (или маркет-
мейкер).
Тот, кто заключает контракт на условиях получения депозита (основной
суммы), называется «покупателем», а процесс его заключения — «покупкой
» контракта. Тот, кто заключает контракт на условиях внесения
депозита (основной суммы), называется «продавцом», и говорят, что он
«продает» контракт.
Если процентная ставка спот на момент исполнения (расчетов) контракта
превысит форвардную ставку, записанную в контракте, то покупатель
получает дифференциальный доход, который выплачивает ему
банк, ибо покупатель как бы взял ссуду в банке под данный процент, а
затем вернул ее в банк под более высокий процент. И наоборот, если ставка
спот окажется ниже форвардной ставки по контракту.
Размер, или номинал, контракта — это сумма «условного депозита
», или просто условная основная сумма, по отношению к которой и
рассчитывается разность между форвардной процентной ставкой и процентной ставкой спот на дату расчета (исполнения контракта).
Процентные форварды обычно заключаются на трех-, шести- и девятимесячные
депозиты, но они могут быть заключены и на любые другие
сроки, не кратные трем месяцам.
Процентные форварды заключаются со сроками исполнения от одного
месяца и далее.
Их обозначение состоит из двух цифр: первая показывает срок исполнения,
а вторая — срок окончания депозита, так что разность этих
цифр и составляет временной период депозита в месяцах. Например,
процентный форвард«3-9» (три умножить на девять) означает, что он
представляет собой контракт на шестимесячный депозит, вносимый (или
предоставляемый) через три месяца от даты заключения контракта, а
срок закрытия депозита отстает от этой даты на девять месяцев.
Поскольку расчет (исполнение) по процентному форварду производится
в начале внесения (предоставления) депозита, а дифференциальный
доход относится к будущему периоду действия депозита, постольку этот
доход должен быть приведен (дисконтирован) на дату расчета по контракту.
Сумма платежа по данному контракту определяется по формуле

Процентный форвард используется как для получения спекулятивной
прибыли, так и для хеджирования операций, осуществляемых банком
или компаниями, вступающими в кредитные отношения между собой
или со своими клиентами.
Развитие посреднических (прежде всего дилерских) услуг на рынке форвардных
контрактов позволяет создавать все новые виды ликвидных форвардов
или производных инструментов на основе форвардных контрактов.
Группировка форвардных контрактов приведена на схеме (рис. 3).

Виды форвардных контрактов
ФЬЮЧЕРСНЫЕ КОНТРАКТЫ ПОНЯТИЕ И ВИДЫ
Глава 1 Глава 2 Глава 3
Фьючерсный контракт — это стандартный биржевой
договор купли-продажи (поставки) биржевого актива через определенный
срок в будущем по цене, установленной сторонами сделки в момент ее
заключения.
Фьючерсный контракт, как и форвардный контракт, есть срочный
договор, относящийся к классу твердых сделок. Но в отличие от последнего
фьючерсный контракт полностью стандартизирован, т.е. все его
параметры, кроме цены, известны заранее и не зависят от воли и желания
сторон договора. Этот контракт заключается только в ходе биржевой
торговли. Гарантом его исполнения является сама биржа, точнее,
расчетная организация, обслуживающая биржевую торговлю, которая
называется часто клиринговой организацией (палатой).
Заключение фьючерсного контракта на условиях его покупателя
называется «покупкой» контракта, а на условиях продавца — «продажей
» контракта. Принятие обязательства по контракту (на условиях
покупателя или продавца) называется «открытием позиции». Ликвидация
обязательства по данному контракту путем заключения обратной
сделки с аналогичным контрактом называется «закрытием позиции».
При открытии позиции владелец контракта уплачивает первоначальную
маржу, или взнос, в размере нескольких процентов от стоимости
контракта, которая учитывается (возвращается к нему) при ликвидации
позиции. Если позиция остается (переходит) на следующий день (остается
«открытой»), то по ней рассчитывается переменная маржа как
разница между рыночными ценами данного контракта, используемыми
для этих целей, или так называемыми расчетными ценами данного и
предыдущего дней. В случае роста цен эту разницу уплачивают продавцы
по открытым позициям, а получают покупатели — обладатели
открытых позиций. В случае падения цен — наоборот.
Фьючерсные контракты делятся на два класса: товарные и финансовые
фьючерсы.
Товарные фьючерсы классифицируются по следующим группам биржевых
товаров:
а) сельскохозяйственное сырье и полуфабрикаты — зерно, скот, мясо,
растительное масло, семена и т.п.;
б) лес и пиломатериалы;
в) цветные и драгоценные металлы — алюминий, медь, свинец, цинк,
никель, олово, золото, серебро, платина, палладий;
г) нефтегазовое сырье - нефть, газ, бензин, мазут и др.
Товарные фьючерсы оставались главным видом фьючерсных контрактов
до начала 70-х годов. В 1972 г. появились финансовые фьючерсы
как результат резкого увеличения нестабильности всех основных
финансовых инструментов (валютных курсов, процентных ставок и т.п.).
Финансовые фьючерсы делятся па четыре основные группы: валютные,
фондовые, процентные и индексные.
Валютные фьючерсы — фьючерсные контракты купли-продажи какой-
либо конвертируемой валюты. Они аналогичны валютным форвардам
и отличаются от последних местом заключения (на биржах), уровнем
стандартизации (полная) и механизмом их гарантирования (механизм
маржевых сборов).
Фондовые фьючерсы - - это фьючерсные контракты купли-продажи
некоторых видов акций. Широкого распространения не имеют.
Процентные фьючерсы — это фьючерсные контракты на изменение процентных
ставок и на куплю-продажу долгосрочных облигаций. Первые есть
краткосрочные процентные фьючерсы, а вторые — долгосрочные.
Индексные фьючерсы — это фьючерсные контракты на изменение
значений индексов фондового рынка.
В целом классификация фьючерсных контрактов представлена на
схеме (рис. 4).

договор купли-продажи (поставки) биржевого актива через определенный
срок в будущем по цене, установленной сторонами сделки в момент ее
заключения.
Фьючерсный контракт, как и форвардный контракт, есть срочный
договор, относящийся к классу твердых сделок. Но в отличие от последнего
фьючерсный контракт полностью стандартизирован, т.е. все его
параметры, кроме цены, известны заранее и не зависят от воли и желания
сторон договора. Этот контракт заключается только в ходе биржевой
торговли. Гарантом его исполнения является сама биржа, точнее,
расчетная организация, обслуживающая биржевую торговлю, которая
называется часто клиринговой организацией (палатой).
Заключение фьючерсного контракта на условиях его покупателя
называется «покупкой» контракта, а на условиях продавца — «продажей
» контракта. Принятие обязательства по контракту (на условиях
покупателя или продавца) называется «открытием позиции». Ликвидация
обязательства по данному контракту путем заключения обратной
сделки с аналогичным контрактом называется «закрытием позиции».
При открытии позиции владелец контракта уплачивает первоначальную
маржу, или взнос, в размере нескольких процентов от стоимости
контракта, которая учитывается (возвращается к нему) при ликвидации
позиции. Если позиция остается (переходит) на следующий день (остается
«открытой»), то по ней рассчитывается переменная маржа как
разница между рыночными ценами данного контракта, используемыми
для этих целей, или так называемыми расчетными ценами данного и
предыдущего дней. В случае роста цен эту разницу уплачивают продавцы
по открытым позициям, а получают покупатели — обладатели
открытых позиций. В случае падения цен — наоборот.
Фьючерсные контракты делятся на два класса: товарные и финансовые
фьючерсы.
Товарные фьючерсы классифицируются по следующим группам биржевых
товаров:
а) сельскохозяйственное сырье и полуфабрикаты — зерно, скот, мясо,
растительное масло, семена и т.п.;
б) лес и пиломатериалы;
в) цветные и драгоценные металлы — алюминий, медь, свинец, цинк,
никель, олово, золото, серебро, платина, палладий;
г) нефтегазовое сырье - нефть, газ, бензин, мазут и др.
Товарные фьючерсы оставались главным видом фьючерсных контрактов
до начала 70-х годов. В 1972 г. появились финансовые фьючерсы
как результат резкого увеличения нестабильности всех основных
финансовых инструментов (валютных курсов, процентных ставок и т.п.).
Финансовые фьючерсы делятся па четыре основные группы: валютные,
фондовые, процентные и индексные.
Валютные фьючерсы — фьючерсные контракты купли-продажи какой-
либо конвертируемой валюты. Они аналогичны валютным форвардам
и отличаются от последних местом заключения (на биржах), уровнем
стандартизации (полная) и механизмом их гарантирования (механизм
маржевых сборов).
Фондовые фьючерсы - - это фьючерсные контракты купли-продажи
некоторых видов акций. Широкого распространения не имеют.
Процентные фьючерсы — это фьючерсные контракты на изменение процентных
ставок и на куплю-продажу долгосрочных облигаций. Первые есть
краткосрочные процентные фьючерсы, а вторые — долгосрочные.
Индексные фьючерсы — это фьючерсные контракты на изменение
значений индексов фондового рынка.
В целом классификация фьючерсных контрактов представлена на
схеме (рис. 4).

ФОРМА СУЩЕСТВОВАНИЯ ЦЕННОЙ БУМАГИ
Временное бытие ценной бумаги характеризуется как
тем периодом времени, в течение которого данная ценная бумага существует
на рынке, так и формой фиксации этого времени. Временной период
существования ценной бумаги имеет, в свою очередь, два аспекта,
а именно: время существования ценной бумаги как исторического вида
и время ее существования как конкретной ценной бумаги с позиции ее
владельца и лица, выпустившего эту бумагу, или как время кругооборота
данной ценной бумаги.
Как определенный вид каждая ценная бумага имеет свое историческое
происхождение, причем сначала в практике рынка появлялись прообразы
конкретных видов ценных бумаг, лишь постепенно они получали
свою общепринятую форму.
Первоначально ценная бумага основывается на доверии ее владельца
к тому лицу, которое получает взамен ее деньги. Однако увеличение
количества владельцев ценных бумаг требует подкрепления этого доверия
на общественном, государственном уровнях, т.е. законодательного
оформления всего, что связано с существованием ценной бумаги
как особой формы закрепления имущественных прав.
Тот или иной вид ценной бумаги играет разную роль в ходе развития
рыночного хозяйства. В этом процессе рождаются новые виды ценных
бумаг и теряют свое значение (или отмирают) какие-то старые их виды.
В отличие от исторического вида ценной бумаги, время существования
которого может исчисляться столетиями, каждая конкретная бумага,
составляющая этот вид, имеет свой определенный, заданный условиями
ее выпуска срок кругооборота. Последний может быть задан
либо временной мерой, т.е. количеством дней, месяцев, лет и т.п., либо
он может быть определен (задан) временем существования того юридического
лица (компании, государственной власти), которое заимствует
капитал путем выпуска определенного вида ценной бумаги на весь срок
своего существования. Временная мера характерна для большинства
ценных бумаг, составляющих те или иные их виды. От срока существования
юридического лица зависят обычно ценные бумаги, входяпще в
группу акций (так называемые простые, или обыкновенные, акции).
По истечении срока существования конкретной ценной бумаги действительный
капитал возвращается к последнему владельцу его титула.
Это происходит либо через известный ему период времени, либо в
случае ликвидации юридического лица, выпустившего эти ценные бумаги.
Размеры возвращаемого капитала либо оговариваются условиями
выпуска данной ценной бумаги, либо определяются остаточным путем,
т.е. никак не оговариваются заранее.
тем периодом времени, в течение которого данная ценная бумага существует
на рынке, так и формой фиксации этого времени. Временной период
существования ценной бумаги имеет, в свою очередь, два аспекта,
а именно: время существования ценной бумаги как исторического вида
и время ее существования как конкретной ценной бумаги с позиции ее
владельца и лица, выпустившего эту бумагу, или как время кругооборота
данной ценной бумаги.
Как определенный вид каждая ценная бумага имеет свое историческое
происхождение, причем сначала в практике рынка появлялись прообразы
конкретных видов ценных бумаг, лишь постепенно они получали
свою общепринятую форму.
Первоначально ценная бумага основывается на доверии ее владельца
к тому лицу, которое получает взамен ее деньги. Однако увеличение
количества владельцев ценных бумаг требует подкрепления этого доверия
на общественном, государственном уровнях, т.е. законодательного
оформления всего, что связано с существованием ценной бумаги
как особой формы закрепления имущественных прав.
Тот или иной вид ценной бумаги играет разную роль в ходе развития
рыночного хозяйства. В этом процессе рождаются новые виды ценных
бумаг и теряют свое значение (или отмирают) какие-то старые их виды.
В отличие от исторического вида ценной бумаги, время существования
которого может исчисляться столетиями, каждая конкретная бумага,
составляющая этот вид, имеет свой определенный, заданный условиями
ее выпуска срок кругооборота. Последний может быть задан
либо временной мерой, т.е. количеством дней, месяцев, лет и т.п., либо
он может быть определен (задан) временем существования того юридического
лица (компании, государственной власти), которое заимствует
капитал путем выпуска определенного вида ценной бумаги на весь срок
своего существования. Временная мера характерна для большинства
ценных бумаг, составляющих те или иные их виды. От срока существования
юридического лица зависят обычно ценные бумаги, входяпще в
группу акций (так называемые простые, или обыкновенные, акции).
По истечении срока существования конкретной ценной бумаги действительный
капитал возвращается к последнему владельцу его титула.
Это происходит либо через известный ему период времени, либо в
случае ликвидации юридического лица, выпустившего эти ценные бумаги.
Размеры возвращаемого капитала либо оговариваются условиями
выпуска данной ценной бумаги, либо определяются остаточным путем,
т.е. никак не оговариваются заранее.
ВАЛЮТНЫЕ ФЬЮЧЕРСЫ
Глава 1 Глава 2 Глава 3
Первичным рынком для фьючерсных контрактов на
валютный курс, или кратко — валютных фьючерсов, является банковский
биржевой или внебиржевой рынок иностранных валют, которые
имеют свободное обращение на мировом рынке. Обычно курсы валют
выражаются в приравнивании соответствующей национальной валюты
к 1 долл. США. Торговля валютой осуществляется на условиях немедленной
поставки (спот-рынок) в течение двух рабочих дней или на
ycловияx поставки через несколько месяцев (форвардный рьнок). В случае
форвардных валютных сделок, например, через три месяца будущий
курс обмена валют будет отражать различия в национальных ставках
банковского процента по депозитам соответствующих валют.

Фьючерсный контра:ст па валютный курс — это стандартный биржевой
договор купли-продажи определенного вида валюты в конкретный день
в будущем но курсу, установленному в момент заключения контракта.
Конструкция валютного фьючерса:
• цена фьючерсного контракта — валютный курс (например, количество
единиц национальной валюты, необходимой для покупки 1 долл.
США, или 1 немецкой марки, или 1 фунта стерлингов);
• стоимость (размер) одного контракта — установленная сумма
иностранной валюты (например, 1000 долл. США);
• минимальное изменение цены (тик) соответствует минимальному
изменению валютного курса на спот- рынке (например, 1 руб.);
• минимальное изменение стоимости контракта равно произведению
тика и стоимости контракта (например, 1 руб. • 1000 = 1000 руб.);
• период, на который заключается контракт, — обычно три месяца;
• поставка по контракту предусматривает возможность физической
поставки, если он не закрывается обратной сделкой до истечения
срока его действия. Покупка валютного фьючерса означает обязательство
купить иностранную валюту (например, доллары) и продать отечественную
валюту (рубли). Продажа валютного фьючерса означает
обязательство продать иностранную валюту (те же доллары) и купить
отечественную валюту (рубли);
• биржевая расчетная цена определяется либо по результатам торгов в
последний торговый день, либо в качестве основы для ее определения берется
валютный курс гю результатам торгов на ту же дату на валютной бирже.
для краткосрочных процентных фьючерсных контрактов является
рынок банковских депозитных ставок на срок до одного года, обычно
- на три месяца.
Банки принимают на депозит вклады от населения и компаний под
определенный рыночный процент и используют их в качестве кредитных
ресурсов для выдачи ссуд под более высокий процент. Разница в
указанных процентных ставках, как правило, является доходом банка.
Депозитные вклады могут вноситься как в национальной валюте,
так и в валюте других государств. При этом процентные ставки будут
различаться. Процентные ставки по депозитам в иностранной валюте
обычно привязываются к этим ставкам на национальном рынке соответствующей
валюты, если имеет место достаточно свободный перелив
капиталов между странами.
Рыночный процент по депозитам подвержен постоянным колебаниям из-
за различного рода экономических и политических факторов. С одной стороны,
это делает операции с депозитами привлекательными для спекулянтов.
С другой стороны, у многих инвесторов существует потребность в
фиксации уровня процентных ставок на требуемом уровне на какой-либо
срок, что становится возможным через механизм биржевого хеджирования.
Краткосрочные процентные фьючерсные контракты это фьючерсные
контракты, основанные па краткосрочной процентной ставке, например,
на банковской процентной ставке по государственным краткосрочным
облигациям, выпускаемым на срок до 1 года, и т.д.
Это стандартный биржевой договор, имеющий форму договора купли-
продажи краткосрочного процента в конкретный день в будуп1ем по
цепе, установленной в момент заключения сделки.
Процент, как и индекс, — это просто число, купля-продажа которого
не имеет реального смысла. Поэтому краткосрочный процентный
фьючерсный контракт относится к разряду фьючерсных контрактов па
разницу, по которым вместо поставки производится только расчет разницы
в ценах в денежной форме.
Стандартная конструкция фьючерсного контракта на краткосрочный
процент:
• цена фьючерсного контракта - индекс, равный разнице между
числом 100 и процентной ставкой (последняя составляет обычно несколько
процентов).
Смысл такой конструкции цены краткосрочного фьючерса состоит
в том, что в этом случае она соответствует конструкции цены краткосрочных
облигаций, которые продаются обычно с дисконтом от номинальной
цены. Следовательно, торговцам легко сопоставить движение
цен на эти облигации и на процентные фьючерсы;
• стоимость (размер) фьючерсного контракта — установленная
биржей сумма денег, например, 1 млн долл., 500 тыс. фунтов стерлингов
или 1 млн немецких марок и т.д.;
0 минимальное изменение цены контракта (тик) соответствует минимальному
изменению процентной ставки, например, 0,01% годовых;
• минимальное изменение стоимости контракта равно произведению
стоимости фьючерсного контракта, минимального изменения цены
и относительного времени жизни контракта. Например: стоимость контракта
- I млн долл., тик — 0,01%, или 0,0001, относительное время
жизни трехмесячного контракта — 3/12, или 0,25; минимальное изменение
стоимости контракта = 1 MJUI долл. • 0,0001 • 0,25 = 25 дол;г;
• период поставки — физическая поставка отсутствует. Никакого
перехода суммы денег, соответствующей стоимости фьючерсного контракта,
из рук в руки не происходит. Если контракт не закрывается обратной
сделкой до истечения срока его действия, то в последний торговый
день месяца поставки производится закрытие контракта по биржевой
расчетной цене. Расчеты по контракту осуществляются на
следующий рабочий день после последнего торгового дня;
• биржевая расчетная цена — трехмесячная ставка на депозиты в
соответствующей валю7е на наличном рынке на дату последнего торгового
дня.
Нововведением данного рынка является появление фьючерса на разницу
между процентными ставками депозитов в разных валютах, или
дифференциальных процентных фьючерсов (дифф- фьючерсов).
фьючерсных контрактов является рынок долгосрочных государственных
облигаций, выпускаемых на несколько лет (обычно на 8-
10 лет и более) с фиксированным купонным доходом.
Рыночная цена долгосрочных облигаций находится в зависимости
от колебаний ставки банковского процента по трехмесячным депозитам,
но не более сложной зависимости, чем это имеет место между данной
ставкой и ценами на краткосрочные облигации, так как большое
значение имеют срок, на который выпущены облигации, размер ежегодного
купонного дохода и периодичность его выплаты.
Обычно с увеличением ставок рыночного процента цена на облигации
снижается. Наоборот, с уменьшением числа лет, остающихся до
погашения номинальной стоимости займа, его рыночная цена приближается
к номиналу облигации.
Долгосрочный процентный фьючерсный контракт — это стандартный
биржевой договор купли-продажи облигаций стандартного количества и стандартного качества на фиксированную дату в будущем по
цене, согласованной в момент заключения сделки.
Стандартная конструкция долгосрочного процентного фьючерса:
• цена фьючерсного контракта устанавливается в процентах от номинальной
стоимости облигации (например, 86,5%);
• стоимость (размер) фьючерсного контракта — установленная
номинальная стоимость облигаций, разрешенных к поставке (например,
100 тыс. долл. США при данном купонном доходе в размере 10%
годовых);
9 минимальное изменение цены (тик) — обычно 1%;
• минимальное изменение стоимости контракта равно произведению
тика и стоимости контракта: 0,0001 • 100 тыс. долл. = 10 долл.;
• период, на который заключаются контракты, — обычно три месяца,
т.е. в году четыре .месяца поставки;
• поставки по контракту имеет место физическая поставка облигации
по контракту, не ликвидированному до окончания срока его
действия. Поставка производится отбираемыми биржей видами облигаций,
у которых выплата номинала начинается не ранее чем через определенное
число лет от установленной даты (или в пределах установленного
числа лет)с соответствующей купонной ставкой;
• быр.71севая расчетная цена поставки по контракту биржевая
рыночная цена в последний торговый день по данному фьючерсному
контракту.
Поставка и ценообразование долгосрочных процентных фьючерсов
имеет одну важную особенность. В условиях развитого фондового рынка
на нем продается и покупается сразу много различных видов облигаций,
отличающихся друг от друга размерами, сроками обращения, датой
выпуска (датой погашения при одном и том же сроке
обращения) и величиной купонного дохода. Практика не пошла по
пути конструирования фьючерсных контрактов па конкретные выпуски
облигаций, ибо, с одной стороны, их очень много, что делает практически
невозможным биржевую торговлю фьючерсами на все эти выпуски,
а с другой стороны, это могло бы привести к различного рода рыночным
манипуляциям с отдельными видами облигаций. Поэтому, как
следует из конструкции долгосрочного процентного фьючерса, он основан
не на конкретном облигационном выпуске, а на условных облигациях,
которые на самом деле включают в себя определенный спектр
реально обращающихся облигаций. Указываемый при этом в контракте
размер купонного дохода необходим для образования цены контракта.
Для каждого конкретного месяца поставки биржа заблаговременно
устанавливает и публикует перечень облигаций с различными
купонными ставками и датами погашения, которые могут быть поставлены в
случае, если стороны контракта желают его исполнить (т.е. не закрыли
его офсетными сделками).
Отсюда следует, что долгосрочный процентный фьючерс — это фьючерсный
контракт не на конкретный вид долгосрочных облигаций, а
сразу на ряд их видов, но составленный таким образом, чтобы общая
номинальная стоимость любой комбинации этих облигаций равнялась
бы стоимости контракта (в нашей примерной конструкции - 100 тыс.
долл. США) и на дату поставки они бы приносили установленный доход
(в нашей конструкции - - 10% годовых).
Чтобы привести все облигации, которые могут быть поставлены по
контракту, к единой базе с точки зрения купонного дохода и сроков погашения,
биржа рассчитывает коэффициент приведения, или ценностный
коэффициент каждого вида этих облигаций.
Индекс фондового рынка, или фондовый индекс, есть
обобщающий показатель изменения во времени определенной совокупности
курсов акций компаний на фондовых биржах данной страны, рассчитываемый
по установленным правилам.
Наиболее известные фондовые индексы мира, по которым заключаются
фьючерсные контракты:
• «Стандард энд Пурз 500» (Standard & Poors (S+P) 500) — индекс
акций 500 компаний США (в том числе: 400 — промышленных, 20 —
финансовых, 40 - коммунальных (энергетических), 40 — транспортных),
взвешенных по их рыночной стоимости;
« «футси-100» (FT-SE-100) — индекс акций 100 компаний Великобритании;
• «Дакс» (ДАХ) — фондовый индекс Германии;
• «САС-40» (САС-40) — фондовый индекс Франции;
• «НИККЕЙ-225» (NIKKE1-225) — фондовый индекс Японии.
В России наиболее известными индексами фондового рынка являются
индексы «АК & М», Интерфакса, журнала «Коммерсантъ», компании
«Грант», Российской торговой системы.
Фьючерсный контракт на индекс фондового рынка, или индексный
фьючерс, — это стандартный биржевой договор, имеющий форму купли-
продажи фондового индекса в конкретный день в будущем по цене,
установленной в момент заключения сделки.
Дело в том, что индекс — это просто число, которое, естественно, не
может продаваться или покупаться, да еще с физической поставкой.
Поэтому по фьючерсному контракту на индекс осуществляется только
расчет в денежной форме на величину разницы между значениями индекса
при заключении контракта и при его досрочном закрытии или на
дату исполнения.
Фьючерсы на индексы относятся к группе фьючерсных контрактов
на разницу.
Стандартная конструкция фьючерсного контракта па индекс:
• цена фьючерсного контракта — величина фондового индекса
(обычно безразмерная, например 3000);
• стоимость (размер) фьючерсного контракта равна произведению
индекса и денежного множителя, указываемого в спецификации контракта
100 долл., 25 фунтов стерлингов, 100 немецких марок и т.д. (например,
для долларового фьючерсного контракта его стоимость равна
3000 • 100 долл. = 300 000 долл.);
• минимальное изменение цены контракта (тик) соответствует минимальному
изменению фондового индекса; обычно это либо1 пункт,
либо 0,5 пункта;
• минимальное изменение стоимости контракта равно произведению
одного тика и денежного множителя (например, 1 пункт • 100 долл. =
= 100 долл.);
• период, на который заключается контракт, -- обычно три месяца,
т.е. из двенадцати месяцев четыре являются месяцами поставки;
• поставка по контракту — физическая поставка отсутствует. Если
контракт не закрывается офсетной сделкой до истечения срока его действия,
то в последний торговый день месяца поставки он закрывается
автоматически по расчетной цене биржи этого дня. Расчет но контракту
производится в первый рабочий день после последнего торгового дня
путем выплаты разницы в ценах выигравшей стороне контракта и уплаты
этой разницы проигравшей стороной контракта;
• биржевая расчетная цена поставки по контракту принимается в
размере уровня соответствующего фондового индекса па последний
торговый день по фьючерсному контракту либо основываегся на этом
уровне.
Пример массовой операции с фьючерсным контрактом на индекс:
инвестор прогнозирует увеличение фондового индекса в течение ближайшего
месяца и хочет заработать на этом. Для этого он покупает
фьючерсный контракт на индекс по цене 3000 долл. Если его прогноз
оправдался и индекс за месяц поднялся до 3020 долл., то, продав, уже по
новой цене такой же контракт, т.е. с той же датой исполнения, что и
первый контракт, инвестор получает прибыль в размере (3020-3000) х
X 100 долл. = 2000 долл.
Использование индексного фьючерса:
а) спекуляция на динамике фондовых индексов;
б) хеджирование портфелей акций инвесторов от падения курсов
акций, входящих в данный портфель.
Опционный контракт — это договор, в соответствии с
которым одна из его сторон, называемая владельцем (или покупателем),
получает право купить (продать) какой-либо актив по установленной
цене (цене исполнения) до определенной в будущем даты или на эту дату
у другой его стороны, называемой подписчиком (или продавцом), или
право отказаться от исполнения сделки с уплатой за эти права подписчику
некоторой суммы денег, называемой премией.
Опционный контракт часто для краткости называют просто опционом,
что не совсем точно, ибо понятие опциона шире, чем опционного контракта.
Но в данном случае эти термины будем употреблять как синонимы.
Владелец опциона еще называется его держателем. Можно употреблять
и термин «покупатель опциона», но при этом помнить, что покупатель
опциона может занимать в опционе позицию как покупателя, так и
продавца.
Подписчик опциона может называться выписывателем, или продавцом,
опциона. Однако последний термин не означает, что он всегда занимает
позицию продавца в опционе.
Опцион, который даст право купить актив, называется опционом на
покупку или опционом колл, или просто коллом.
Опцион, который дает право продать актив, называется опционом
на продажу или опционом пут, или просто путом.
Актив, который лежит в основе опциона, всегда имеет две цены: текущую
рыночную цену, или цену спот, и цену исполнения, зафиксированную
в опционе, по которой последний может быть исполнен.
Ценой самого опциона является его премия, а не цена актива, лежащего
в основе опциона.
Опцион имеет срок действия, который ограничен датой экспирации,
т.е. датой окончания срока действия. В зависимости от даты исполнения
опциона он может быть либо американским опционом, либо европейским
опционом. Американский опцион может быть исполнен в любой
момент времени, включая дату экспирации. Европейский опцион
может быть исполнен только на дату экспирации, т.е. для него даты
исполнения и экспирации совпадают, а для американского опциона эти
даты могут не совпадать.
Опционы делятся на биржевые и не биржевые. Биржевые опционные
контракты зак:почаю7ся только на биржах и по механизму своего действия
они почти полностью аналогичны фьючерсным контрактам. Биржевые
опционы полностью стандартизированы, они могут закрываться
обратной сделкой, они имеют маржевыи механизм гарантирования их
исполнения (только в случае опциона маржу обычно уплачивает подписчик
(продавец) опциона). Биржевые опционы, как и фьючерсные контракты,
имеют в основном краткосрочный характер, т.е. сроки их действия
очень редко превышают один год, а самым распространенным
сроком их действия является трехмесячный период.
Биржевые опционы заключаются на те же активы, что и фьючерсные
контракты: на товары, валюту, процентные ставки, индексы. Кроме
того, имеются биржевые опционы на фьючерсные контракты.
Не биржевые опционы по механизму своего обращения аналогичны
ликвидным форвардным контрактам, т.е. их рынок формируется банками-
дилерами (маркет- мейкерами), которые, как правило, являются стороной
каждого не биржевого опциона, т.е. но сути они выполняют роль
расчетной (клиринговой) палаты в обеспечении не биржевой торговли с
тем лишь отличием что гарантии от риска — это дело только банка и
клиента, а не всего рынка контрактов, как в случае биржевой торговли.
Не биржевые опционы делятся на краткосрочные (срок действия до
одного года) и долгосрочные. К краткосрочным не биржевым опционам
относятся опционы на долгосрочные опционы и
опционы на другие не биржевые срочные контракты, например опционы
на свопы, или своп опционы.
Долгосрочные опционы делятся на однопериодные и многопериодные. Однопериодные опционы — это опционы, момент расчета (или отказа
от расчета) либо исполнения по которым совпадает с окончанием
срока их действия. Многопериодные опционы — это опционы, в течение
срока действия которых существует несколько дат расчета (исполнения)
опциона.
По сути одно периодными являются и все краткосрочные опционы,
хотя теоретически нельзя, например, исключать возможности существования
трех- или щестимесячного опциона с расчетами на ежемесячной
ос1Юве. что превращает такой краткосрочный опцион в многопериодный.
Долгосрочные многопериодные опционы, в основе которых лежит опцион
колл, называются «кэпы», а те, в основе которых лежит опцион пут, называются
«флоры». Комбинации кэпов и флоров называются «коллары».
В целом классификация современных опционных контрактов приведена на рис.

Классификация опционных контрактов
контрактов, наиболее широко распространенные на фондовом рынке:
индексные, процентные, валютные фьючерсные контракты. Виды биржевых
опционов, с одной стороны, повторяют виды фьючерсных контрактов,
но в то же время их круг шире за счет того, что фьючерсные
контракты на акции применяются мало, в то время как по достаточно
широкому кругу акций заключаются опционные контракты.
С другой стороны, существует класс опционов, который не может
иметь аналога среди фьючерсов. Это — опционы на фьючерсные контракты.
Поскольку механизмы конструирования биржевых опционов в
большой степени аналогичны тем, которые применяются для фьючерсных
контрактов, ограничимся краткой характеристикой основных видов
биржевых опционов.
Опционы на акции. Обычно биржа устанавливает перечень компаний,
акции которых включены в ее листинг и могут являться предметом
опционных контрактов. В зависимости от рыночной цены каждого вида
акций возможны отличия опционов по количеству акций, на которое
заключается опцион. Чаще всего опцион заключается на стандартное
количество акций, например 100 или 100
Акции, по которым разрешается заключение биржевых опционов, как
правило, являются наиболее ликвидными.
Стандартная конструкция опциона на акции:
щ размер опциона — обычно 1000 акций (конкретной компании, включенной
в биржевой листинг);
• цена опциона — премия в расчете на одну акцию в зависимости от
вида опциона, месяца поставки и цены исполнения;
• минимальное изменение цены опциона (тик) соответствует минимальному
изменению цены акции;
• минимальное изменение стоимости контракта равно произведению
тика и размера опциона (на 1000);
• период, на который заключается опцион, — обычно три месяца;
• исполнение опциона — физическая поставка акций по цене исполнения
опциона.
Опционы на индекс. Опционы на индекс обычно заключаются на те
же фондовые индексы, что и фьючерсные контракты. Благодаря этому
достигаются дополнительные возможности для хеджирования и спекулятивных
стратегий на основе комбинаций фьючерсных контрактов и
индексных опционов.
Стандартная конструкция индексного опциона:
• цена опциона — премия в индексных пунктах, т.е. предполагаемое
изменение индекса;
• стоимость опциона — премия, умноженная на денежный множитель,
устанавливаемый биржей (например 100 долл. или 10 фунтов стерлингов
и т.п.);
• минимальное изменение цены (тик) соответствует минимальному
изменению индекса;
• минимальное изменение стоимости опциона равно произведению
денежного множителя;
• период, на который заключается опцион, — обычно три месяца;
• исполнение опциона — физическая поставка отсутствует, расчет
по контракту производится в соответствии с разницей между ценой его
исполнения и рыночным значением индекса в день исполнения опциона.
Процентные опционы. Это широкий класс опционов, основывающихся
на изменении цены различных долговых обязательств: краткосрочных,
среднесрочных и долгосрочных облигаций, обычно федерального правительства
и местных органов власти, а также долговых ипотечных
обязательств.
Стандартная конструкция соответствует стандартной конструкции
индексного опциона с тем лишь отличием, что при исполнении процентного
опциона может осуществляться «физическая» поставка лежащих в
его основе долговых обязательств.
Валютные опционы. Класс опционов, в основе которых лежит изменение
курсов свободно конвертируемых валют по отношению к национальной
валюте. Единицей торговли служит заданная сумма соответствующей
валюты, например 100 000 долл. США и т.п. Ценой исполнения
опциона является курс валюты, премия устанавливается в расчете
на единицу валюты. Исполнение опциона может быть как путем «физической
» поставки соответствующей валюты, так и путем уплаты разницы
между рыночным курсом и ценой исполнения опциона в пользу
выигравшей стороны опционного контракта.
Опционы на фьючерсные контракты — это класс опционов, заключаемых
на существующие виды фьючерсных контрактов.
Опцион на фьючерсный контракт дает право купить или продать
соответствующий фьючерсный контракт по цене исполнения опциона,
т.е. исполнение такого опциона означает, что опцион обменивается на
фьючерсный контракт. При этом:
• покупатель опциона на покупку (колла) имеет право стать покупателем
по фьючерсному контракту со сроком исполнения последнего в
том же месяце, что и срок исполнения опциона, а продавец опциона обязан
стать продавцом по этому фьючерсному контракту;
• покупатель опциона на продажу (пута) имеет право стать продавцом
по фьючерсному контракту со сроком исполнения последнего в том
же месяце, что и срок исполнения опциона, а продавец 01Щиона обязан
стать покупателем по этому фьючерсному контракту.
Стандартная конструкция опциона на фьючерсный контракт (на примере
валютного фьючерса):
т размер опционного контракта — 1 фьючерсный контракт на покупку
1000 долл. США;
• премия (цена опциона) — в руб. за 1 долл.;
минимальное изменение цены (тик) — 1 руб.;
т минимальное изменение премии — 1000 руб. (1 руб. • 1000 долл.);
• срок исполнения — три месяца;
расчеты — уплата маржевых платежей продавцом и покупателем
опциона на рынке данного фьючерсного контракта;
• исполнение опциона (варианты исполнения):
а) заключение фьючерсного контракта на поставку 1000 долл. США
с тем же сроком исполнения, что и опцион;
б) уплата разницы между рыночным валютным курсом и ценой исполнения
опциона.
опционов являются опционы, которые получили название
«кэпы» и «флоры». Потребность в их возникновении связана с необходимостью
заключения опционных контрактов на длительные сроки, исчисляемые
годами, в отличие от биржевых опционов, которые имеют
важное значение для рынка, но они, как правило, краткосрочны, в то
время как очень многие экономические отношения на рынке имеют долгосрочный
характер. Кэпы и флоры заключаются на сроки, исчисляемые
не месяцами, а годами (3—5 лет и более).
Организатором их рынка всегда является банк, который в зависимости
от потребности клиента выступает либо подписчиком (продавцом),
либо владельцем (покупателем) опциона.
Первоначально были разработаны процентные кэпы и флоры, затем
валютные и товарные.
В своей основе кэп — это опцион на покупку, или колл. Покупая кэп,
его владелец приобретает право на получение дифференциального дохода
в случае, если рыночная цена спот превысит цену исполнения кэпа.
В противном случае владелец кэпа ничего не получает (как бы отказывается
от его исполнения).
За такое право владелец кэпа уплачивает определенную премию
банку, т.е. подписчику кэпа, вперед за весь срок действия опциона. (В
случае продажи кэпа эту премию выплачивает банк.)
Сутью кэпа является способ расчетов по нему. Расчеты осуществляются
не в момент исполнения опциона, а многократно, через равные
интервалы времени (обычно — через 3 или 6 месяцев) на протяжении
всего периода существования опциона.
В основе флора лежит опцион на продажу, или пут.
Покупатель флора имеет право через равный промежуток времени в
течение всего срока действия опциона получать дифференциальный доход
в виде разницы между ценой исполнения опциона и рыночной ценой спот в
случае, когда первая превышает вторую. В противном случае он ничего не
получает от продавца флора. За это право покупатель флора должен уплатить
его продавцу сумму премии за весь срок действия опциона.
Чаще всего покупателями кэпа или флора являются клиенты, а продавцом
для них выступает банк-дилер. Однако при необходимости клиент
может стать и продавцом по кэпу или флору, тогда покупателем
будет банк, который платит клиенту премии, но, с другой стороны, получает
от него дифференциальный доход при соответствующей разнице
цен спот и исполнения.
Коллар - - это комбинация опционов кэп и флор, при которой покупатель
коллара является покупателем кэпа и продавцом флора и наоборот
в случае продажи коллара.
Покупатель, например кэпа, должен уплатить продавцу (т.е. обычно
банку) сумму премии за весь срок действия опциона сразу, что не
всегда может его устроить, так как размер премии может быть достаточно
велик. Поэтому продавец, т.е. банк, может предложить форму
кэпа, при которой покупатель уплачивает лищь часть премии, но за это
в каждом периоде он должен платить банку некоторый процент от дифференциального
дохода в случае, если цена исполнения кэпа превышает
цену спот. (В нормальной ситуации покупатель кэпа ничего не платит
банку, если цена исполнения выше цены спот.)
Такая разновидность кэпа называется «кэп участия». Аналогичный
механизм возможен и для флора.
Внебиржевые опционы, как и биржевые, используются для хеджирования
финансово-ценностных рисков, но могут применяться и в спекулятивных
целях.
Основное назначение кэпов и флоров состоит в том, чтобы клиент в
наибольшей степени гарантировал себя от рыночных колебаний цен,
валют, процентных ставок, которые могли бы либо существенно снизить
его доходы в различных временных периодах по сравнению с требуемым
ему уровнем, либо существенно увеличить его обязательные
выплаты по сравнению со средним или возможным для него уровнем.
своего владельца, или лицо, которое обменяло свой действительный
капитал на его титул. Однако с точки зрения порядка фиксации права
собственности на нее, или фиксации ее владельца, она может быть или
именной, или предъявительской. В первом случае имеет место неразрывная связь (фиксация) ценной бумаги с ее владельцем, во втором случае
только сам факт владения ценной бумагой (нахождения ее у владельца)
подтверждает право собственности на нее.
Именная ценная бумага - это ценная бумага, имя владельца которой
зафиксировано на бланке и (или) в ее реестре собственников, который
может вестись в обычной документарной и (или) электронной формах.
Предъявительская ценная бумага — это ценная бумага, имя владельца
которой не фиксируется вообще: ни непосредственно на ней самой, ни
как-либо иначе, а ее обращение не нуждается ни в какой регистрации.
Деление ценных бумаг на именные и предъявительские имеет глубокие
корни. Исторически сложилось, что, например, в США и Великобритании
преобладают именные ценные бумаги, а в Германии — предъявительские.
С точки зрения участников рынка предъявительская ценная бумага
имеет преимущества перед именной, так как процесс перехода
прав на капитал совершается мгновенно путем передачи ценной
бумаги от ее продавца к покупателю, т.е. скорость ее обращения и расчетов
по ней максимально высокая. Кроме затрат на печатание такой
ценной бумаги ее обращение почти не требует каких-либо других затрат
участников рынка, связанных с «техникой и технологией» рыночного
процесса. В этом смысле, когда рынок еще только развивается и
отсутствуют в достаточной мере капиталы для создания его инфраструктуры,
выпуск предъявительских ценных бумаг в бумажной форме —
самый быстрый, дешевый и легкий путь формирования рынка ценных
бумаг и фондового рынка в частности.
Предъявительская ценная бумага может существовать только в бумажной
(документарной) форме. Она передается простым вручением ее
данным владельцем новому владельцу. Все ее фактические владельцы
в каждый момент времени неизвестны, так как их учет на постоянной
основе не ведется.
Именная ценная бумага в отличие от предъявительской обладает двумя
важными свойствами. Иначе говоря, при
условии, что рынок ценных бумаг уже достаточно развился, имеется сильнейшая
тенденция к увеличению выпуска именных ценных бумаг. В этом
заинтересованы, с одной стороны, те, кто их выпускает, так как это позволяет
контролировать все передачи прав собственности, а с другой, - - государство,
так как оно расширяет тем самым свою налогооблагаемую базу.
При этом и тому, кто выпускает в обращение ценную бумагу, и государству
сама по себе форма именной ценной бумаги безразлична.
Важен лишь признак регистрируемости в чистом виде, что в конечном счете и
ведет к тому, что бумажная форма именной ценной бумаги все больше уступает
место ее безбумажной форме.
Предъявительская ценная бумага в определенных ситуациях тоже
фактически превращается в именную. Это связано с процессами хранения
таких бумаг, например, в коммерческих банках и превращением
последних в представителей владельцев предъявительских ценных бумаг.
Сданная на хранение в банк на описанных условиях предъявительская
бумага имеет конкретного владельца, заключившего соответствующий
договор с этим банком, а значит, по сути она превратилась в именную
с точки зрения правовых отношений.
Безбумажная ценная бумага это всегда именная ценная бумага,
так как в электронной памяти она зарегистрирована на определенное
юридическое или физическое лицо.
Передача именной ценной бумаги в отличие от предъявительской
осуществляется путем уступки требования, т.е. либо путем заключения
двусторонней сделки, или цессии, либо путем одностороннего приказа
ее владельца, или индоссамента.
валютный курс, или кратко — валютных фьючерсов, является банковский
биржевой или внебиржевой рынок иностранных валют, которые
имеют свободное обращение на мировом рынке. Обычно курсы валют
выражаются в приравнивании соответствующей национальной валюты
к 1 долл. США. Торговля валютой осуществляется на условиях немедленной
поставки (спот-рынок) в течение двух рабочих дней или на
ycловияx поставки через несколько месяцев (форвардный рьнок). В случае
форвардных валютных сделок, например, через три месяца будущий
курс обмена валют будет отражать различия в национальных ставках
банковского процента по депозитам соответствующих валют.

Фьючерсный контра:ст па валютный курс — это стандартный биржевой
договор купли-продажи определенного вида валюты в конкретный день
в будущем но курсу, установленному в момент заключения контракта.
Конструкция валютного фьючерса:
• цена фьючерсного контракта — валютный курс (например, количество
единиц национальной валюты, необходимой для покупки 1 долл.
США, или 1 немецкой марки, или 1 фунта стерлингов);
• стоимость (размер) одного контракта — установленная сумма
иностранной валюты (например, 1000 долл. США);
• минимальное изменение цены (тик) соответствует минимальному
изменению валютного курса на спот- рынке (например, 1 руб.);
• минимальное изменение стоимости контракта равно произведению
тика и стоимости контракта (например, 1 руб. • 1000 = 1000 руб.);
• период, на который заключается контракт, — обычно три месяца;
• поставка по контракту предусматривает возможность физической
поставки, если он не закрывается обратной сделкой до истечения
срока его действия. Покупка валютного фьючерса означает обязательство
купить иностранную валюту (например, доллары) и продать отечественную
валюту (рубли). Продажа валютного фьючерса означает
обязательство продать иностранную валюту (те же доллары) и купить
отечественную валюту (рубли);
• биржевая расчетная цена определяется либо по результатам торгов в
последний торговый день, либо в качестве основы для ее определения берется
валютный курс гю результатам торгов на ту же дату на валютной бирже.
КРАТКОСРОЧНЫЕ ПРОЦЕНТНЫЕ ФЬЮЧЕРСЫ
Первичным рынком (или физическим, реальным, наличным)для краткосрочных процентных фьючерсных контрактов является
рынок банковских депозитных ставок на срок до одного года, обычно
- на три месяца.
Банки принимают на депозит вклады от населения и компаний под
определенный рыночный процент и используют их в качестве кредитных
ресурсов для выдачи ссуд под более высокий процент. Разница в
указанных процентных ставках, как правило, является доходом банка.
Депозитные вклады могут вноситься как в национальной валюте,
так и в валюте других государств. При этом процентные ставки будут
различаться. Процентные ставки по депозитам в иностранной валюте
обычно привязываются к этим ставкам на национальном рынке соответствующей
валюты, если имеет место достаточно свободный перелив
капиталов между странами.
Рыночный процент по депозитам подвержен постоянным колебаниям из-
за различного рода экономических и политических факторов. С одной стороны,
это делает операции с депозитами привлекательными для спекулянтов.
С другой стороны, у многих инвесторов существует потребность в
фиксации уровня процентных ставок на требуемом уровне на какой-либо
срок, что становится возможным через механизм биржевого хеджирования.
Краткосрочные процентные фьючерсные контракты это фьючерсные
контракты, основанные па краткосрочной процентной ставке, например,
на банковской процентной ставке по государственным краткосрочным
облигациям, выпускаемым на срок до 1 года, и т.д.
Это стандартный биржевой договор, имеющий форму договора купли-
продажи краткосрочного процента в конкретный день в будуп1ем по
цепе, установленной в момент заключения сделки.
Процент, как и индекс, — это просто число, купля-продажа которого
не имеет реального смысла. Поэтому краткосрочный процентный
фьючерсный контракт относится к разряду фьючерсных контрактов па
разницу, по которым вместо поставки производится только расчет разницы
в ценах в денежной форме.
Стандартная конструкция фьючерсного контракта на краткосрочный
процент:
• цена фьючерсного контракта - индекс, равный разнице между
числом 100 и процентной ставкой (последняя составляет обычно несколько
процентов).
Смысл такой конструкции цены краткосрочного фьючерса состоит
в том, что в этом случае она соответствует конструкции цены краткосрочных
облигаций, которые продаются обычно с дисконтом от номинальной
цены. Следовательно, торговцам легко сопоставить движение
цен на эти облигации и на процентные фьючерсы;
• стоимость (размер) фьючерсного контракта — установленная
биржей сумма денег, например, 1 млн долл., 500 тыс. фунтов стерлингов
или 1 млн немецких марок и т.д.;
0 минимальное изменение цены контракта (тик) соответствует минимальному
изменению процентной ставки, например, 0,01% годовых;
• минимальное изменение стоимости контракта равно произведению
стоимости фьючерсного контракта, минимального изменения цены
и относительного времени жизни контракта. Например: стоимость контракта
- I млн долл., тик — 0,01%, или 0,0001, относительное время
жизни трехмесячного контракта — 3/12, или 0,25; минимальное изменение
стоимости контракта = 1 MJUI долл. • 0,0001 • 0,25 = 25 дол;г;
• период поставки — физическая поставка отсутствует. Никакого
перехода суммы денег, соответствующей стоимости фьючерсного контракта,
из рук в руки не происходит. Если контракт не закрывается обратной
сделкой до истечения срока его действия, то в последний торговый
день месяца поставки производится закрытие контракта по биржевой
расчетной цене. Расчеты по контракту осуществляются на
следующий рабочий день после последнего торгового дня;
• биржевая расчетная цена — трехмесячная ставка на депозиты в
соответствующей валю7е на наличном рынке на дату последнего торгового
дня.
Нововведением данного рынка является появление фьючерса на разницу
между процентными ставками депозитов в разных валютах, или
дифференциальных процентных фьючерсов (дифф- фьючерсов).
ДОЛГОСРОЧНЫЕ ПРОЦЕНТНЫЕ ФЬЮЧЕРСЫ
Первичным рынком для долгосрочных процентныхфьючерсных контрактов является рынок долгосрочных государственных
облигаций, выпускаемых на несколько лет (обычно на 8-
10 лет и более) с фиксированным купонным доходом.
Рыночная цена долгосрочных облигаций находится в зависимости
от колебаний ставки банковского процента по трехмесячным депозитам,
но не более сложной зависимости, чем это имеет место между данной
ставкой и ценами на краткосрочные облигации, так как большое
значение имеют срок, на который выпущены облигации, размер ежегодного
купонного дохода и периодичность его выплаты.
Обычно с увеличением ставок рыночного процента цена на облигации
снижается. Наоборот, с уменьшением числа лет, остающихся до
погашения номинальной стоимости займа, его рыночная цена приближается
к номиналу облигации.
Долгосрочный процентный фьючерсный контракт — это стандартный
биржевой договор купли-продажи облигаций стандартного количества и стандартного качества на фиксированную дату в будущем по
цене, согласованной в момент заключения сделки.
Стандартная конструкция долгосрочного процентного фьючерса:
• цена фьючерсного контракта устанавливается в процентах от номинальной
стоимости облигации (например, 86,5%);
• стоимость (размер) фьючерсного контракта — установленная
номинальная стоимость облигаций, разрешенных к поставке (например,
100 тыс. долл. США при данном купонном доходе в размере 10%
годовых);
9 минимальное изменение цены (тик) — обычно 1%;
• минимальное изменение стоимости контракта равно произведению
тика и стоимости контракта: 0,0001 • 100 тыс. долл. = 10 долл.;
• период, на который заключаются контракты, — обычно три месяца,
т.е. в году четыре .месяца поставки;
• поставки по контракту имеет место физическая поставка облигации
по контракту, не ликвидированному до окончания срока его
действия. Поставка производится отбираемыми биржей видами облигаций,
у которых выплата номинала начинается не ранее чем через определенное
число лет от установленной даты (или в пределах установленного
числа лет)с соответствующей купонной ставкой;
• быр.71севая расчетная цена поставки по контракту биржевая
рыночная цена в последний торговый день по данному фьючерсному
контракту.
Поставка и ценообразование долгосрочных процентных фьючерсов
имеет одну важную особенность. В условиях развитого фондового рынка
на нем продается и покупается сразу много различных видов облигаций,
отличающихся друг от друга размерами, сроками обращения, датой
выпуска (датой погашения при одном и том же сроке
обращения) и величиной купонного дохода. Практика не пошла по
пути конструирования фьючерсных контрактов па конкретные выпуски
облигаций, ибо, с одной стороны, их очень много, что делает практически
невозможным биржевую торговлю фьючерсами на все эти выпуски,
а с другой стороны, это могло бы привести к различного рода рыночным
манипуляциям с отдельными видами облигаций. Поэтому, как
следует из конструкции долгосрочного процентного фьючерса, он основан
не на конкретном облигационном выпуске, а на условных облигациях,
которые на самом деле включают в себя определенный спектр
реально обращающихся облигаций. Указываемый при этом в контракте
размер купонного дохода необходим для образования цены контракта.
Для каждого конкретного месяца поставки биржа заблаговременно
устанавливает и публикует перечень облигаций с различными
купонными ставками и датами погашения, которые могут быть поставлены в
случае, если стороны контракта желают его исполнить (т.е. не закрыли
его офсетными сделками).
Отсюда следует, что долгосрочный процентный фьючерс — это фьючерсный
контракт не на конкретный вид долгосрочных облигаций, а
сразу на ряд их видов, но составленный таким образом, чтобы общая
номинальная стоимость любой комбинации этих облигаций равнялась
бы стоимости контракта (в нашей примерной конструкции - 100 тыс.
долл. США) и на дату поставки они бы приносили установленный доход
(в нашей конструкции - - 10% годовых).
Чтобы привести все облигации, которые могут быть поставлены по
контракту, к единой базе с точки зрения купонного дохода и сроков погашения,
биржа рассчитывает коэффициент приведения, или ценностный
коэффициент каждого вида этих облигаций.
Индекс фондового рынка, или фондовый индекс, есть
обобщающий показатель изменения во времени определенной совокупности
курсов акций компаний на фондовых биржах данной страны, рассчитываемый
по установленным правилам.
Наиболее известные фондовые индексы мира, по которым заключаются
фьючерсные контракты:
• «Стандард энд Пурз 500» (Standard & Poors (S+P) 500) — индекс
акций 500 компаний США (в том числе: 400 — промышленных, 20 —
финансовых, 40 - коммунальных (энергетических), 40 — транспортных),
взвешенных по их рыночной стоимости;
« «футси-100» (FT-SE-100) — индекс акций 100 компаний Великобритании;
• «Дакс» (ДАХ) — фондовый индекс Германии;
• «САС-40» (САС-40) — фондовый индекс Франции;
• «НИККЕЙ-225» (NIKKE1-225) — фондовый индекс Японии.
В России наиболее известными индексами фондового рынка являются
индексы «АК & М», Интерфакса, журнала «Коммерсантъ», компании
«Грант», Российской торговой системы.
Фьючерсный контракт на индекс фондового рынка, или индексный
фьючерс, — это стандартный биржевой договор, имеющий форму купли-
продажи фондового индекса в конкретный день в будущем по цене,
установленной в момент заключения сделки.
Дело в том, что индекс — это просто число, которое, естественно, не
может продаваться или покупаться, да еще с физической поставкой.
Поэтому по фьючерсному контракту на индекс осуществляется только
расчет в денежной форме на величину разницы между значениями индекса
при заключении контракта и при его досрочном закрытии или на
дату исполнения.
Фьючерсы на индексы относятся к группе фьючерсных контрактов
на разницу.
Стандартная конструкция фьючерсного контракта па индекс:
• цена фьючерсного контракта — величина фондового индекса
(обычно безразмерная, например 3000);
• стоимость (размер) фьючерсного контракта равна произведению
индекса и денежного множителя, указываемого в спецификации контракта
100 долл., 25 фунтов стерлингов, 100 немецких марок и т.д. (например,
для долларового фьючерсного контракта его стоимость равна
3000 • 100 долл. = 300 000 долл.);
• минимальное изменение цены контракта (тик) соответствует минимальному
изменению фондового индекса; обычно это либо1 пункт,
либо 0,5 пункта;
• минимальное изменение стоимости контракта равно произведению
одного тика и денежного множителя (например, 1 пункт • 100 долл. =
= 100 долл.);
• период, на который заключается контракт, -- обычно три месяца,
т.е. из двенадцати месяцев четыре являются месяцами поставки;
• поставка по контракту — физическая поставка отсутствует. Если
контракт не закрывается офсетной сделкой до истечения срока его действия,
то в последний торговый день месяца поставки он закрывается
автоматически по расчетной цене биржи этого дня. Расчет но контракту
производится в первый рабочий день после последнего торгового дня
путем выплаты разницы в ценах выигравшей стороне контракта и уплаты
этой разницы проигравшей стороной контракта;
• биржевая расчетная цена поставки по контракту принимается в
размере уровня соответствующего фондового индекса па последний
торговый день по фьючерсному контракту либо основываегся на этом
уровне.
Пример массовой операции с фьючерсным контрактом на индекс:
инвестор прогнозирует увеличение фондового индекса в течение ближайшего
месяца и хочет заработать на этом. Для этого он покупает
фьючерсный контракт на индекс по цене 3000 долл. Если его прогноз
оправдался и индекс за месяц поднялся до 3020 долл., то, продав, уже по
новой цене такой же контракт, т.е. с той же датой исполнения, что и
первый контракт, инвестор получает прибыль в размере (3020-3000) х
X 100 долл. = 2000 долл.
Использование индексного фьючерса:
а) спекуляция на динамике фондовых индексов;
б) хеджирование портфелей акций инвесторов от падения курсов
акций, входящих в данный портфель.
Опционный контракт — это договор, в соответствии с
которым одна из его сторон, называемая владельцем (или покупателем),
получает право купить (продать) какой-либо актив по установленной
цене (цене исполнения) до определенной в будущем даты или на эту дату
у другой его стороны, называемой подписчиком (или продавцом), или
право отказаться от исполнения сделки с уплатой за эти права подписчику
некоторой суммы денег, называемой премией.
Опционный контракт часто для краткости называют просто опционом,
что не совсем точно, ибо понятие опциона шире, чем опционного контракта.
Но в данном случае эти термины будем употреблять как синонимы.
Владелец опциона еще называется его держателем. Можно употреблять
и термин «покупатель опциона», но при этом помнить, что покупатель
опциона может занимать в опционе позицию как покупателя, так и
продавца.
Подписчик опциона может называться выписывателем, или продавцом,
опциона. Однако последний термин не означает, что он всегда занимает
позицию продавца в опционе.
Опцион, который даст право купить актив, называется опционом на
покупку или опционом колл, или просто коллом.
Опцион, который дает право продать актив, называется опционом
на продажу или опционом пут, или просто путом.
Актив, который лежит в основе опциона, всегда имеет две цены: текущую
рыночную цену, или цену спот, и цену исполнения, зафиксированную
в опционе, по которой последний может быть исполнен.
Ценой самого опциона является его премия, а не цена актива, лежащего
в основе опциона.
Опцион имеет срок действия, который ограничен датой экспирации,
т.е. датой окончания срока действия. В зависимости от даты исполнения
опциона он может быть либо американским опционом, либо европейским
опционом. Американский опцион может быть исполнен в любой
момент времени, включая дату экспирации. Европейский опцион
может быть исполнен только на дату экспирации, т.е. для него даты
исполнения и экспирации совпадают, а для американского опциона эти
даты могут не совпадать.
Опционы делятся на биржевые и не биржевые. Биржевые опционные
контракты зак:почаю7ся только на биржах и по механизму своего действия
они почти полностью аналогичны фьючерсным контрактам. Биржевые
опционы полностью стандартизированы, они могут закрываться
обратной сделкой, они имеют маржевыи механизм гарантирования их
исполнения (только в случае опциона маржу обычно уплачивает подписчик
(продавец) опциона). Биржевые опционы, как и фьючерсные контракты,
имеют в основном краткосрочный характер, т.е. сроки их действия
очень редко превышают один год, а самым распространенным
сроком их действия является трехмесячный период.
Биржевые опционы заключаются на те же активы, что и фьючерсные
контракты: на товары, валюту, процентные ставки, индексы. Кроме
того, имеются биржевые опционы на фьючерсные контракты.
Не биржевые опционы по механизму своего обращения аналогичны
ликвидным форвардным контрактам, т.е. их рынок формируется банками-
дилерами (маркет- мейкерами), которые, как правило, являются стороной
каждого не биржевого опциона, т.е. но сути они выполняют роль
расчетной (клиринговой) палаты в обеспечении не биржевой торговли с
тем лишь отличием что гарантии от риска — это дело только банка и
клиента, а не всего рынка контрактов, как в случае биржевой торговли.
Не биржевые опционы делятся на краткосрочные (срок действия до
одного года) и долгосрочные. К краткосрочным не биржевым опционам
относятся опционы на долгосрочные опционы и
опционы на другие не биржевые срочные контракты, например опционы
на свопы, или своп опционы.
Долгосрочные опционы делятся на однопериодные и многопериодные. Однопериодные опционы — это опционы, момент расчета (или отказа
от расчета) либо исполнения по которым совпадает с окончанием
срока их действия. Многопериодные опционы — это опционы, в течение
срока действия которых существует несколько дат расчета (исполнения)
опциона.
По сути одно периодными являются и все краткосрочные опционы,
хотя теоретически нельзя, например, исключать возможности существования
трех- или щестимесячного опциона с расчетами на ежемесячной
ос1Юве. что превращает такой краткосрочный опцион в многопериодный.
Долгосрочные многопериодные опционы, в основе которых лежит опцион
колл, называются «кэпы», а те, в основе которых лежит опцион пут, называются
«флоры». Комбинации кэпов и флоров называются «коллары».
В целом классификация современных опционных контрактов приведена на рис.

Классификация опционных контрактов
ВИДЫ БИРЖЕВЫХ опционных КОНТРАКТОВ
Ранее были рассмотрены основные виды фьючерсныхконтрактов, наиболее широко распространенные на фондовом рынке:
индексные, процентные, валютные фьючерсные контракты. Виды биржевых
опционов, с одной стороны, повторяют виды фьючерсных контрактов,
но в то же время их круг шире за счет того, что фьючерсные
контракты на акции применяются мало, в то время как по достаточно
широкому кругу акций заключаются опционные контракты.
С другой стороны, существует класс опционов, который не может
иметь аналога среди фьючерсов. Это — опционы на фьючерсные контракты.
Поскольку механизмы конструирования биржевых опционов в
большой степени аналогичны тем, которые применяются для фьючерсных
контрактов, ограничимся краткой характеристикой основных видов
биржевых опционов.
Опционы на акции. Обычно биржа устанавливает перечень компаний,
акции которых включены в ее листинг и могут являться предметом
опционных контрактов. В зависимости от рыночной цены каждого вида
акций возможны отличия опционов по количеству акций, на которое
заключается опцион. Чаще всего опцион заключается на стандартное
количество акций, например 100 или 100
Акции, по которым разрешается заключение биржевых опционов, как
правило, являются наиболее ликвидными.
Стандартная конструкция опциона на акции:
щ размер опциона — обычно 1000 акций (конкретной компании, включенной
в биржевой листинг);
• цена опциона — премия в расчете на одну акцию в зависимости от
вида опциона, месяца поставки и цены исполнения;
• минимальное изменение цены опциона (тик) соответствует минимальному
изменению цены акции;
• минимальное изменение стоимости контракта равно произведению
тика и размера опциона (на 1000);
• период, на который заключается опцион, — обычно три месяца;
• исполнение опциона — физическая поставка акций по цене исполнения
опциона.
Опционы на индекс. Опционы на индекс обычно заключаются на те
же фондовые индексы, что и фьючерсные контракты. Благодаря этому
достигаются дополнительные возможности для хеджирования и спекулятивных
стратегий на основе комбинаций фьючерсных контрактов и
индексных опционов.
Стандартная конструкция индексного опциона:
• цена опциона — премия в индексных пунктах, т.е. предполагаемое
изменение индекса;
• стоимость опциона — премия, умноженная на денежный множитель,
устанавливаемый биржей (например 100 долл. или 10 фунтов стерлингов
и т.п.);
• минимальное изменение цены (тик) соответствует минимальному
изменению индекса;
• минимальное изменение стоимости опциона равно произведению
денежного множителя;
• период, на который заключается опцион, — обычно три месяца;
• исполнение опциона — физическая поставка отсутствует, расчет
по контракту производится в соответствии с разницей между ценой его
исполнения и рыночным значением индекса в день исполнения опциона.
Процентные опционы. Это широкий класс опционов, основывающихся
на изменении цены различных долговых обязательств: краткосрочных,
среднесрочных и долгосрочных облигаций, обычно федерального правительства
и местных органов власти, а также долговых ипотечных
обязательств.
Стандартная конструкция соответствует стандартной конструкции
индексного опциона с тем лишь отличием, что при исполнении процентного
опциона может осуществляться «физическая» поставка лежащих в
его основе долговых обязательств.
Валютные опционы. Класс опционов, в основе которых лежит изменение
курсов свободно конвертируемых валют по отношению к национальной
валюте. Единицей торговли служит заданная сумма соответствующей
валюты, например 100 000 долл. США и т.п. Ценой исполнения
опциона является курс валюты, премия устанавливается в расчете
на единицу валюты. Исполнение опциона может быть как путем «физической
» поставки соответствующей валюты, так и путем уплаты разницы
между рыночным курсом и ценой исполнения опциона в пользу
выигравшей стороны опционного контракта.
Опционы на фьючерсные контракты — это класс опционов, заключаемых
на существующие виды фьючерсных контрактов.
Опцион на фьючерсный контракт дает право купить или продать
соответствующий фьючерсный контракт по цене исполнения опциона,
т.е. исполнение такого опциона означает, что опцион обменивается на
фьючерсный контракт. При этом:
• покупатель опциона на покупку (колла) имеет право стать покупателем
по фьючерсному контракту со сроком исполнения последнего в
том же месяце, что и срок исполнения опциона, а продавец опциона обязан
стать продавцом по этому фьючерсному контракту;
• покупатель опциона на продажу (пута) имеет право стать продавцом
по фьючерсному контракту со сроком исполнения последнего в том
же месяце, что и срок исполнения опциона, а продавец 01Щиона обязан
стать покупателем по этому фьючерсному контракту.
Стандартная конструкция опциона на фьючерсный контракт (на примере
валютного фьючерса):
т размер опционного контракта — 1 фьючерсный контракт на покупку
1000 долл. США;
• премия (цена опциона) — в руб. за 1 долл.;
минимальное изменение цены (тик) — 1 руб.;
т минимальное изменение премии — 1000 руб. (1 руб. • 1000 долл.);
• срок исполнения — три месяца;
расчеты — уплата маржевых платежей продавцом и покупателем
опциона на рынке данного фьючерсного контракта;
• исполнение опциона (варианты исполнения):
а) заключение фьючерсного контракта на поставку 1000 долл. США
с тем же сроком исполнения, что и опцион;
б) уплата разницы между рыночным валютным курсом и ценой исполнения
опциона.
ОСНОВНЫЕ виды НЕБИРЖЕВЫХ ОПЦИОНОВ
Основными, или исходными, видами долгосрочных внебиржевыхопционов являются опционы, которые получили название
«кэпы» и «флоры». Потребность в их возникновении связана с необходимостью
заключения опционных контрактов на длительные сроки, исчисляемые
годами, в отличие от биржевых опционов, которые имеют
важное значение для рынка, но они, как правило, краткосрочны, в то
время как очень многие экономические отношения на рынке имеют долгосрочный
характер. Кэпы и флоры заключаются на сроки, исчисляемые
не месяцами, а годами (3—5 лет и более).
Организатором их рынка всегда является банк, который в зависимости
от потребности клиента выступает либо подписчиком (продавцом),
либо владельцем (покупателем) опциона.
Первоначально были разработаны процентные кэпы и флоры, затем
валютные и товарные.
В своей основе кэп — это опцион на покупку, или колл. Покупая кэп,
его владелец приобретает право на получение дифференциального дохода
в случае, если рыночная цена спот превысит цену исполнения кэпа.
В противном случае владелец кэпа ничего не получает (как бы отказывается
от его исполнения).
За такое право владелец кэпа уплачивает определенную премию
банку, т.е. подписчику кэпа, вперед за весь срок действия опциона. (В
случае продажи кэпа эту премию выплачивает банк.)
Сутью кэпа является способ расчетов по нему. Расчеты осуществляются
не в момент исполнения опциона, а многократно, через равные
интервалы времени (обычно — через 3 или 6 месяцев) на протяжении
всего периода существования опциона.
В основе флора лежит опцион на продажу, или пут.
Покупатель флора имеет право через равный промежуток времени в
течение всего срока действия опциона получать дифференциальный доход
в виде разницы между ценой исполнения опциона и рыночной ценой спот в
случае, когда первая превышает вторую. В противном случае он ничего не
получает от продавца флора. За это право покупатель флора должен уплатить
его продавцу сумму премии за весь срок действия опциона.
Чаще всего покупателями кэпа или флора являются клиенты, а продавцом
для них выступает банк-дилер. Однако при необходимости клиент
может стать и продавцом по кэпу или флору, тогда покупателем
будет банк, который платит клиенту премии, но, с другой стороны, получает
от него дифференциальный доход при соответствующей разнице
цен спот и исполнения.
Коллар - - это комбинация опционов кэп и флор, при которой покупатель
коллара является покупателем кэпа и продавцом флора и наоборот
в случае продажи коллара.
Покупатель, например кэпа, должен уплатить продавцу (т.е. обычно
банку) сумму премии за весь срок действия опциона сразу, что не
всегда может его устроить, так как размер премии может быть достаточно
велик. Поэтому продавец, т.е. банк, может предложить форму
кэпа, при которой покупатель уплачивает лищь часть премии, но за это
в каждом периоде он должен платить банку некоторый процент от дифференциального
дохода в случае, если цена исполнения кэпа превышает
цену спот. (В нормальной ситуации покупатель кэпа ничего не платит
банку, если цена исполнения выше цены спот.)
Такая разновидность кэпа называется «кэп участия». Аналогичный
механизм возможен и для флора.
Внебиржевые опционы, как и биржевые, используются для хеджирования
финансово-ценностных рисков, но могут применяться и в спекулятивных
целях.
Основное назначение кэпов и флоров состоит в том, чтобы клиент в
наибольшей степени гарантировал себя от рыночных колебаний цен,
валют, процентных ставок, которые могли бы либо существенно снизить
его доходы в различных временных периодах по сравнению с требуемым
ему уровнем, либо существенно увеличить его обязательные
выплаты по сравнению со средним или возможным для него уровнем.
ПРИНАДЛЕЖНОСТЬ ЦЕННОЙ БУМАГИ
Ценная бумага всегда кому-либо принадлежит, т.е. имеетсвоего владельца, или лицо, которое обменяло свой действительный
капитал на его титул. Однако с точки зрения порядка фиксации права
собственности на нее, или фиксации ее владельца, она может быть или
именной, или предъявительской. В первом случае имеет место неразрывная связь (фиксация) ценной бумаги с ее владельцем, во втором случае
только сам факт владения ценной бумагой (нахождения ее у владельца)
подтверждает право собственности на нее.
Именная ценная бумага - это ценная бумага, имя владельца которой
зафиксировано на бланке и (или) в ее реестре собственников, который
может вестись в обычной документарной и (или) электронной формах.
Предъявительская ценная бумага — это ценная бумага, имя владельца
которой не фиксируется вообще: ни непосредственно на ней самой, ни
как-либо иначе, а ее обращение не нуждается ни в какой регистрации.
Деление ценных бумаг на именные и предъявительские имеет глубокие
корни. Исторически сложилось, что, например, в США и Великобритании
преобладают именные ценные бумаги, а в Германии — предъявительские.
С точки зрения участников рынка предъявительская ценная бумага
имеет преимущества перед именной, так как процесс перехода
прав на капитал совершается мгновенно путем передачи ценной
бумаги от ее продавца к покупателю, т.е. скорость ее обращения и расчетов
по ней максимально высокая. Кроме затрат на печатание такой
ценной бумаги ее обращение почти не требует каких-либо других затрат
участников рынка, связанных с «техникой и технологией» рыночного
процесса. В этом смысле, когда рынок еще только развивается и
отсутствуют в достаточной мере капиталы для создания его инфраструктуры,
выпуск предъявительских ценных бумаг в бумажной форме —
самый быстрый, дешевый и легкий путь формирования рынка ценных
бумаг и фондового рынка в частности.
Предъявительская ценная бумага может существовать только в бумажной
(документарной) форме. Она передается простым вручением ее
данным владельцем новому владельцу. Все ее фактические владельцы
в каждый момент времени неизвестны, так как их учет на постоянной
основе не ведется.
Именная ценная бумага в отличие от предъявительской обладает двумя
важными свойствами. Иначе говоря, при
условии, что рынок ценных бумаг уже достаточно развился, имеется сильнейшая
тенденция к увеличению выпуска именных ценных бумаг. В этом
заинтересованы, с одной стороны, те, кто их выпускает, так как это позволяет
контролировать все передачи прав собственности, а с другой, - - государство,
так как оно расширяет тем самым свою налогооблагаемую базу.
При этом и тому, кто выпускает в обращение ценную бумагу, и государству
сама по себе форма именной ценной бумаги безразлична.
Важен лишь признак регистрируемости в чистом виде, что в конечном счете и
ведет к тому, что бумажная форма именной ценной бумаги все больше уступает
место ее безбумажной форме.
Предъявительская ценная бумага в определенных ситуациях тоже
фактически превращается в именную. Это связано с процессами хранения
таких бумаг, например, в коммерческих банках и превращением
последних в представителей владельцев предъявительских ценных бумаг.
Сданная на хранение в банк на описанных условиях предъявительская
бумага имеет конкретного владельца, заключившего соответствующий
договор с этим банком, а значит, по сути она превратилась в именную
с точки зрения правовых отношений.
Безбумажная ценная бумага это всегда именная ценная бумага,
так как в электронной памяти она зарегистрирована на определенное
юридическое или физическое лицо.
Передача именной ценной бумаги в отличие от предъявительской
осуществляется путем уступки требования, т.е. либо путем заключения
двусторонней сделки, или цессии, либо путем одностороннего приказа
ее владельца, или индоссамента.
Свопы
Глава 1 Глава 2 Глава 3
ПОНЯТИЕ и ОСНОВНЫЕ КЛАССИФИКАЦИИ
Своп, или своп-контракт, -~ это договор обмена базовыми
активами и (или) платежами на их основе в течение установленного
периода, в котором цена одного из активов является твердой (фиксированной),
а цена другого — переменной (плавающей), или же обе эти
цены являются переменными.
Своп может состоять из одного-единственного обмена на протяжении
своего срока действия, но обычно он состоит из серии обменов и
платежей через установленные промежутки времени. В этом смысле своп,
как кэп или флор, относится к группе многопериодных производных инструментов.
Своп может включать обмен базовыми активами. Обычно это имеет
место при заключении контракта (собственно обмен) и при завершении
контракта (обратный обмен активами). Однако чаще всего никакого
обмена активами не происходит. В качестве актива берется ценовая денежная
сумма (или натуральное количество физического актива), по
отношению к которой осуществляются все расчеты и сальдовый платеж
одной из сторон контракта другой стороне.
Та сторона, для которой расчеты проводятся по твердой ставке (цене),
называется покупателем свопа. Сторона контракта, которая обязана
платить по плавающей ставке (цене), называется продавцом свопа.
Своп — это внебиржевой контракт, ликвидность которого обеспечивается
наличием финансовых посредников, так называемых своповых
дилеров, или своповых банков, которые одновременно являются дилерами
и по многопериодным опционам, что создает благоприятные возможности
для комбинированного использования этих производных инструментов.
Рынок свопов нигде не регламентируется со стороны государства,
что является одной из причин его бурного роста как в количественном
(по объему сделок), так и в качественном (по числу нововведений на
нем) отношении. Главное место на рынке свопов, как уже говорилось,
занимают банки (своп-банки), осуществляющие операции со свопами
(своп-операции), и, как правило, являющиеся одной из сторон сделки.
Свопы относятся к классу срочных сделок, или срочных контрактов,
так как заключаются на несколько лет. Однако, в отличие от фьючерсных
контрактов, они не обращаются на биржах и не являются биржевыми
сделками. В отличие от форвардного контракта без физической
поставки актива, который по механизму наиболее близок к свопу,
последний является обменом обязательствами, в то время как первый
представляет собой одностороннее обязательство.
Типовые условия заключения своп-контрактов разрабатываются
рядом международных профессиональных организаций, например
International Swap Dealers Association (ISDA), British Bankers Association
и др. Стандартизация своп-контрактов создает условия для функционирования
вторичного рынка, организуемого своп-банками, на основе
определения своп-курсов.
Вторичный рынок свопов позволяет одной из
сторон контракта путем заключения обратной сделки с третьей стороной
досрочно ликвидировать свои обязательства по нему, если заключенный
своп не оправдывает финансовых ожиданий или по иным причинам.
В зависимости от произошедших на рынке изменений результатом
будет либо выигрыш, либо проигрыш для «уходящей» стороны.
Использование свопов имеет множество целей, как то: уменьшение
риска, в том числе валютного; обеспечение стабильности платежей; снижение
расходов на управление портфелем ценных бумаг, особенно при
его реструктуризации; валютно-финансовый арбитраж, т.е. получение
безрисковой прибыли из разницы между процентными ставками в различных
валютах, в разных странах; получение спекулятивной прибыли
на основе прогнозов ставок и курсов; и даже для получения убытка,
если это необходимо для решения некоторых вопросов налогообложения
(«свопинг»).
В зависимости от вида базисного актива (или активов), на который
заключается своп-контракт, существуют такие виды свопов, как процентный,
валютный, товарный, индексный и др. Их краткое описание
приведено в следующем под параграфе.
Одно из последних нововведений на рынке — опционный своп, или
свопцион. Это гибрид опциона, обычно европейского типа, и свопа, например
процентного. Свопцион колл — это право заплатить фиксированную
ставку и получить выплату в соответствии с плавающей процентной
ставкой. Свопцион пут, наоборот, дает право заплатить плавающую
процентную ставку и получить выплату в соответствии с фиксированной
процентной ставкой. В момент заключения свопциона устанавливаются
номинал своп-контракта, фиксированная процентная ставка, сроки
действия опциона и самого свопа. В обмен на право исполнения свопциона
его владелец уплачивает продавцу свопциона (обычно банку) установленную
по опциону премию. Исполнение свопциона колл оправдано в
случае тенденции роста рыночных процентных ставок, а свопциона
пут— наоборот, в случае их падения.
Разновидности свопов существуют не только из-за вида базисного актива,
но и из-за начала исполнения свопа (с немедленным началом в течение
двух дней — енотовый своп, с отложенным исполнением); видов обмениваемых
ставок (фиксированная против плавающей; плавающая против
плавающей — базисный спот); изменений основной суммы контракта
с течением времени (если она снижается, то это амортизируемый своп).
В целом классификация своп-контрактов приведена на рис. На
нем отражены наиболее массовые (применяемые) свопы и основные видовые
признаки. На самом деле разновидностей свопов существует большее
количество, поскольку своп в состоянии отражать практически
любые индивидуальные запросы (требования) участников рынка.
Рис. Классификация своп-контрактов

место на рынке своп- контрактов, являются: процентные, валютные,
товарные и индексные (или фондовые) свопы.
Процентный своп — обмен займа с фиксированной банковской процентной
ставкой на заем с плавающей банковской процентной ставкой;
обмен займами с плавающими банковскими процентными ставками,
имеющими разную базу. Поскольку процентный своп осуществляется
в одной и той же валюте, он не подразумевает фактического обмена
займами, а включает только возмещение разницы в процентных ставках
от исходной суммы займа. Например, компания А обязуется выплачивать
компании Б ежеквартально 2% годовых на сумму займа (контракта)
100 млн долл., а компания Б обязуется выплачивать компании
А ежеквартально процентную ставку в размере трехмесячной лондонской
межбанковской кредитной процентной ставки (по межбанковским
договорам — LIBOR), которая устанавливается ежедневно, на ту же
сумму займа. Если в качестве займа выступает стоимость облигаций,
то процентный своп можно было бы назвать свопом на облигации.
Однако поскольку и банковская ссуда, и облигация есть долговое обязательство,
постольку не проводится различия между указанными свопами.
Исключение составляет ситуация, когда согласно конкретному
свопу осуществляется реальный обмен одних видов облигаций на другие
в расчете на ожидаемый уровень их доходности, процентной ставки
и т.п. В этом случае имеет место непосредственно своп на облигации.
Процентный своп появился на рынке в 1981 г.
Конструкция процентного свопа:
• базисный актив — сумма условного депозита в одной и той же
валюте (например, 100 млн руб.);
• обмен активами отсутствует из-за их полной идентичности у каждой
из сторон контракта;
9 расчеты (обычно через каждые 6 месяцев) — покупатель свопа получает
положительную разницу между суммой платежа, основывающейся
на плавающей ставке, и суммой платежа, основывающейся на
твердой ставке; продавец свопа получает платеж, основывающийся на
разнице между твердой и плавающей ставками.
Валютный своп - обмен валютами или валютными обязательствами
в будущем по фиксированному или плавающему курсу. Например,
стороны передают друг другу эквивалентные суммы в разных валютах
на основе их текущего валютного курса сразу после заключения договора,
а через определенный срок возвращают их друг другу в соответствии
с указанным в договоре форвардным курсом их обмена. Или
стороны (одна из когорых обычно — банк) передают друг другу эквивалентные
суммы своих долговых обязательств в разных валютах и
обязуются в течение нескольких лет выплачивать по ним друг другу
причитающиеся платежи в валюте, используемой каждой стороной.
Валютный своп был разработан в 1979 г.
Конструкция валютного свопа:
• базисный актив - одна и та же сумма депозита, но в разных валютах
(например, 100 тыс. долл. и 70 тыс. немецких марок);
• обмен активами имеет или не имеет место по соглашению сторон;
9 расчеты (обычно один раз в полгода или год) - обмен платежами
в валютах, противоположных валютам депозитов сторон, в соответствии
с процентными ставками по контракту.
Товарный своп — обмен товарного актива с фиксированной ценой
на тот же или иной товарный актив с плавающей ценой. Как и в предыдущих
случаях, фактический обмен товарами не производится. Покупатель
свопа берет обязательство по фиксированной цене, а выплачивается
только разница в ценах.
Товарный своп впервые быть применен в 1986 г. Чейз Манхеттен банком.
Конструкция товарного свопа:
• базисный актив — количество соответствующего товара (например,
1000 т алюминия), но могут быть и различные товары в разных
количествах;
• обмен активами обычно отсутствует;
• расчеты — покупатель свопа получает от продавца (точнее, от дилера)
плюсовую разницу между фиксированной ценой товара и текущей
енотовой ценой на него; продавец свопа получает от покупателя (точнее,
от дилера) плюсовую разницу между енотовой и фиксированной ценами.
Индексный своп — обмен актива с фиксированной ставкой процента на
актив, доходность которого зависит от согласованного фондового индекса. Например, обмен облигаций на сумму 100 млн долл. с фиксированной
ставкой 8% годовых на акции общей стоимостью 100 млн долл. со ставкой
доходности, равной доходности фондового индекса S &Р 500, которая постоянно
меняется. Срок действия контракта обычно составляет несколько
лет, а расчет проводится ежеквартально. Фактический обмен активами
обычно отсутствует. Выплачивается разница в процентных ставках.
Индексный своп был разработан в 1989 г.
Конструкция индексного свопа (он еще часто называется фондовым):
• базисный актив — условная сумма денег;
• обмен активами отсутствует;
9 расчеты — покупатель свопа получает плюсовую разницу между
процентной ставкой, привязанной к текущей величине фондового индекса,
и фиксированной ставкой.
ОСНОВНЫЕ ОПРЕДЕЛЕНИЯ
Производные инструменты в узком смысле — это рыночные механизмы,
основанные на срочных контрактах, имеющих своей целью получение
дифференциального дохода или положительной разницы в ценах в форме
спекулятивной прибыли или в форме, обеспечивающей выравнивание
денежных потоков во времени и пространстве при хеджировании.
Производные инструменты в широком смысле - это инструменты
рынка, основывающиеся на его реальных активах и сделках с ними, которые
используют различия в ценах, ставках и курсах на эти активы во
времени и пространстве для достижения целей, которые ставят перед
собой участники рынка.
Форвардный контракт — это договор купли-продажи какого-либо
актива через определенный срок в будущем, все условия которого подлежат
согласованию сторонами в момент его заключения.
Твердая срочная сделка — это срочная сделка, которая обязательна
для исполнения всеми ее сторонами.
Фьючерсный контракт — это стандартный биржевой договор купли-
продажи биржевого актива через определенный срок в будущем по
цене, установленной сторонами сделки в момент ее заключения.
Фьючерсный контракт — это стандартный биржевой форвардный
контракт.
«Купить» фьючерсный контракт — это значит заключить его на
условиях покупателя, принять обязательство оплатить актив, поставляемый
по контракту.
«Продать» фьючерсный контракт — это значит заключить его на
условиях продавца, принять обязательство поставить актив в соответствии
с заключенным контрактом.
Опцион — право выбора.
Опционный контракт это договор, в соответствии с которым одна
из его сторон, называемая владельцем, получает право купить (продать)
какой-либо актив по установленной цене до определенной в будущем
даты или на эту дату у другой стороны, называемой подписчиком, или
отказаться от исполнения сделки с уплатой за это подписчику некоторой
суммы денег, называемой премией.
Коли - опцион, дающий право его владельцу купить актив.
Пут — опцион, дающий право его владельцу продать актив.
Американский опцион — это опцион, который может быть исполнен
в любой момент времени до даты окончания срока его действия или на
эту дату.
Европейский опцион — опцион, который может быть исполнен только
на дату окончания срока его действия.
Своп, или своп-контракт, — это договорная конструкция обмена
обязательствами по базовым активам и (или) платежами на их основе в
течение установленного периода, когда цена одного из активов является
твердой (фиксированной), а цена другого — переменной (плавающей),
или же обе эти цены являются переменными.
ГЛАВНЫЕ ВЫВОДЫ
Производные инструменты позволяют получать прибыль на основе
колебаний цен во времени и пространстве на любые активы рынка без
непосредственной купли-продажи самих этих активов.
В широком понимании производные инструменты охватывают существующие
виды срочных контрактов, вторичные ценные бумаги и
другие «синтетические» инструменты рынка.
В узком понимании производные инструменты есть особые рыночные
механизмы, основанные на срочных контрактах, которые включают
форвардные, фьючерсные и опционные контракты, а также свопы.
Каждый из перечисленных видов контрактов имеет много подвидов.
Хотя производные инструменты и не являются во многих своих разновидностях
ценными бумагами, с точки зрения механизмов функционирования их
рынков они тесно связаны с рынком ценных бумаг и поэтому
рассматриваются совместно с ним.
Все условия форвардного контракта подлежат согласованию его сторонами,
а гарантии его исполнения всецело зависят от них самих. Главное
его достоинство — это возможность приспособления его к индивидуальным
запросам сторон контракта, но, с другой стороны, по этой причине
«ликвидность» форвардного контракта обычно минимальна и увеличивается
лишь по мере повышения уровня его стандартизации и наличия рыночного
посредника. Основные виды форвардных контрактов — это форвардные
контракты на валюту, или валютные форварды, и форвардные
контракты на ставку процента, или процентные форварды.
В отличие от форвардного контракта фьючерсный контракт полностью
стандартизирован, заключается только на бирже и имеет биржевой
механизм гарантирования его исполнения каждой из сторон контракта.
Существует множество видов фьючерсных контрактов: товарные,
валютные, фондовые, процентные и индексные.
Основные направления использования фьючерсных контрактов, как и
других производных инструментов, — это спекуляция и хеджирование.
Опционный контракт — это разновидность условной срочной сделки.
Он может быть инструментом как биржевого, так и внебиржевого
рынка. Механизм обращения биржевого опционного контракта аналогичен
обращению фьючерсных контрактов. Механизм обращения внебиржевых
опционных контрактов аналогичен обращению ликвидных форвардных
контрактов.
Видов опционных контрактов с точки зрения лежащих в их основе
активов больше, чем видов фьючерсных контрактов, поскольку существуют
опционы на фьючерсные контракты и на другие производные
инструменты (кэнционы, свопционы).
С точки зрения дат расчета по опционам они делятся на одно- и многопериодные опционы (кэпы, флоры и др.).
Опционные инструменты используются для удовлетворения индивидуальных
запросов участников рынка в области хеджирования, спекуляции,
налогообложения и т.п.
Своп — внебиржевой договор, относящийся к классу производных
инструментов, заключение которого обеспечивается профессиональным
посредником рынка, обычно банком.
Стандартизация своп-контрактов превращает их в ликвидный инструмент
рынка, позволяющий служить целям хеджирования, спекулирования
и т.д.
В зависимости от вида базисного актива существуют самые разнообразные
виды свопов: процентный, валютный, товарный, индексный,
свопционы и др.
Своп, или своп-контракт, -~ это договор обмена базовыми
активами и (или) платежами на их основе в течение установленного
периода, в котором цена одного из активов является твердой (фиксированной),
а цена другого — переменной (плавающей), или же обе эти
цены являются переменными.
Своп может состоять из одного-единственного обмена на протяжении
своего срока действия, но обычно он состоит из серии обменов и
платежей через установленные промежутки времени. В этом смысле своп,
как кэп или флор, относится к группе многопериодных производных инструментов.
Своп может включать обмен базовыми активами. Обычно это имеет
место при заключении контракта (собственно обмен) и при завершении
контракта (обратный обмен активами). Однако чаще всего никакого
обмена активами не происходит. В качестве актива берется ценовая денежная
сумма (или натуральное количество физического актива), по
отношению к которой осуществляются все расчеты и сальдовый платеж
одной из сторон контракта другой стороне.
Та сторона, для которой расчеты проводятся по твердой ставке (цене),
называется покупателем свопа. Сторона контракта, которая обязана
платить по плавающей ставке (цене), называется продавцом свопа.
Своп — это внебиржевой контракт, ликвидность которого обеспечивается
наличием финансовых посредников, так называемых своповых
дилеров, или своповых банков, которые одновременно являются дилерами
и по многопериодным опционам, что создает благоприятные возможности
для комбинированного использования этих производных инструментов.
Рынок свопов нигде не регламентируется со стороны государства,
что является одной из причин его бурного роста как в количественном
(по объему сделок), так и в качественном (по числу нововведений на
нем) отношении. Главное место на рынке свопов, как уже говорилось,
занимают банки (своп-банки), осуществляющие операции со свопами
(своп-операции), и, как правило, являющиеся одной из сторон сделки.
Свопы относятся к классу срочных сделок, или срочных контрактов,
так как заключаются на несколько лет. Однако, в отличие от фьючерсных
контрактов, они не обращаются на биржах и не являются биржевыми
сделками. В отличие от форвардного контракта без физической
поставки актива, который по механизму наиболее близок к свопу,
последний является обменом обязательствами, в то время как первый
представляет собой одностороннее обязательство.
Типовые условия заключения своп-контрактов разрабатываются
рядом международных профессиональных организаций, например
International Swap Dealers Association (ISDA), British Bankers Association
и др. Стандартизация своп-контрактов создает условия для функционирования
вторичного рынка, организуемого своп-банками, на основе
определения своп-курсов.
Вторичный рынок свопов позволяет одной из
сторон контракта путем заключения обратной сделки с третьей стороной
досрочно ликвидировать свои обязательства по нему, если заключенный
своп не оправдывает финансовых ожиданий или по иным причинам.
В зависимости от произошедших на рынке изменений результатом
будет либо выигрыш, либо проигрыш для «уходящей» стороны.
Использование свопов имеет множество целей, как то: уменьшение
риска, в том числе валютного; обеспечение стабильности платежей; снижение
расходов на управление портфелем ценных бумаг, особенно при
его реструктуризации; валютно-финансовый арбитраж, т.е. получение
безрисковой прибыли из разницы между процентными ставками в различных
валютах, в разных странах; получение спекулятивной прибыли
на основе прогнозов ставок и курсов; и даже для получения убытка,
если это необходимо для решения некоторых вопросов налогообложения
(«свопинг»).
В зависимости от вида базисного актива (или активов), на который
заключается своп-контракт, существуют такие виды свопов, как процентный,
валютный, товарный, индексный и др. Их краткое описание
приведено в следующем под параграфе.
Одно из последних нововведений на рынке — опционный своп, или
свопцион. Это гибрид опциона, обычно европейского типа, и свопа, например
процентного. Свопцион колл — это право заплатить фиксированную
ставку и получить выплату в соответствии с плавающей процентной
ставкой. Свопцион пут, наоборот, дает право заплатить плавающую
процентную ставку и получить выплату в соответствии с фиксированной
процентной ставкой. В момент заключения свопциона устанавливаются
номинал своп-контракта, фиксированная процентная ставка, сроки
действия опциона и самого свопа. В обмен на право исполнения свопциона
его владелец уплачивает продавцу свопциона (обычно банку) установленную
по опциону премию. Исполнение свопциона колл оправдано в
случае тенденции роста рыночных процентных ставок, а свопциона
пут— наоборот, в случае их падения.
Разновидности свопов существуют не только из-за вида базисного актива,
но и из-за начала исполнения свопа (с немедленным началом в течение
двух дней — енотовый своп, с отложенным исполнением); видов обмениваемых
ставок (фиксированная против плавающей; плавающая против
плавающей — базисный спот); изменений основной суммы контракта
с течением времени (если она снижается, то это амортизируемый своп).
В целом классификация своп-контрактов приведена на рис. На
нем отражены наиболее массовые (применяемые) свопы и основные видовые
признаки. На самом деле разновидностей свопов существует большее
количество, поскольку своп в состоянии отражать практически
любые индивидуальные запросы (требования) участников рынка.
Рис. Классификация своп-контрактов

ОСНОВНЫЕ виды свопов
Основными видами свопов, которые занимают ведущееместо на рынке своп- контрактов, являются: процентные, валютные,
товарные и индексные (или фондовые) свопы.
Процентный своп — обмен займа с фиксированной банковской процентной
ставкой на заем с плавающей банковской процентной ставкой;
обмен займами с плавающими банковскими процентными ставками,
имеющими разную базу. Поскольку процентный своп осуществляется
в одной и той же валюте, он не подразумевает фактического обмена
займами, а включает только возмещение разницы в процентных ставках
от исходной суммы займа. Например, компания А обязуется выплачивать
компании Б ежеквартально 2% годовых на сумму займа (контракта)
100 млн долл., а компания Б обязуется выплачивать компании
А ежеквартально процентную ставку в размере трехмесячной лондонской
межбанковской кредитной процентной ставки (по межбанковским
договорам — LIBOR), которая устанавливается ежедневно, на ту же
сумму займа. Если в качестве займа выступает стоимость облигаций,
то процентный своп можно было бы назвать свопом на облигации.
Однако поскольку и банковская ссуда, и облигация есть долговое обязательство,
постольку не проводится различия между указанными свопами.
Исключение составляет ситуация, когда согласно конкретному
свопу осуществляется реальный обмен одних видов облигаций на другие
в расчете на ожидаемый уровень их доходности, процентной ставки
и т.п. В этом случае имеет место непосредственно своп на облигации.
Процентный своп появился на рынке в 1981 г.
Конструкция процентного свопа:
• базисный актив — сумма условного депозита в одной и той же
валюте (например, 100 млн руб.);
• обмен активами отсутствует из-за их полной идентичности у каждой
из сторон контракта;
9 расчеты (обычно через каждые 6 месяцев) — покупатель свопа получает
положительную разницу между суммой платежа, основывающейся
на плавающей ставке, и суммой платежа, основывающейся на
твердой ставке; продавец свопа получает платеж, основывающийся на
разнице между твердой и плавающей ставками.
Валютный своп - обмен валютами или валютными обязательствами
в будущем по фиксированному или плавающему курсу. Например,
стороны передают друг другу эквивалентные суммы в разных валютах
на основе их текущего валютного курса сразу после заключения договора,
а через определенный срок возвращают их друг другу в соответствии
с указанным в договоре форвардным курсом их обмена. Или
стороны (одна из когорых обычно — банк) передают друг другу эквивалентные
суммы своих долговых обязательств в разных валютах и
обязуются в течение нескольких лет выплачивать по ним друг другу
причитающиеся платежи в валюте, используемой каждой стороной.
Валютный своп был разработан в 1979 г.
Конструкция валютного свопа:
• базисный актив - одна и та же сумма депозита, но в разных валютах
(например, 100 тыс. долл. и 70 тыс. немецких марок);
• обмен активами имеет или не имеет место по соглашению сторон;
9 расчеты (обычно один раз в полгода или год) - обмен платежами
в валютах, противоположных валютам депозитов сторон, в соответствии
с процентными ставками по контракту.
Товарный своп — обмен товарного актива с фиксированной ценой
на тот же или иной товарный актив с плавающей ценой. Как и в предыдущих
случаях, фактический обмен товарами не производится. Покупатель
свопа берет обязательство по фиксированной цене, а выплачивается
только разница в ценах.
Товарный своп впервые быть применен в 1986 г. Чейз Манхеттен банком.
Конструкция товарного свопа:
• базисный актив — количество соответствующего товара (например,
1000 т алюминия), но могут быть и различные товары в разных
количествах;
• обмен активами обычно отсутствует;
• расчеты — покупатель свопа получает от продавца (точнее, от дилера)
плюсовую разницу между фиксированной ценой товара и текущей
енотовой ценой на него; продавец свопа получает от покупателя (точнее,
от дилера) плюсовую разницу между енотовой и фиксированной ценами.
Индексный своп — обмен актива с фиксированной ставкой процента на
актив, доходность которого зависит от согласованного фондового индекса. Например, обмен облигаций на сумму 100 млн долл. с фиксированной
ставкой 8% годовых на акции общей стоимостью 100 млн долл. со ставкой
доходности, равной доходности фондового индекса S &Р 500, которая постоянно
меняется. Срок действия контракта обычно составляет несколько
лет, а расчет проводится ежеквартально. Фактический обмен активами
обычно отсутствует. Выплачивается разница в процентных ставках.
Индексный своп был разработан в 1989 г.
Конструкция индексного свопа (он еще часто называется фондовым):
• базисный актив — условная сумма денег;
• обмен активами отсутствует;
9 расчеты — покупатель свопа получает плюсовую разницу между
процентной ставкой, привязанной к текущей величине фондового индекса,
и фиксированной ставкой.
ОСНОВНЫЕ ОПРЕДЕЛЕНИЯ
Производные инструменты в узком смысле — это рыночные механизмы,
основанные на срочных контрактах, имеющих своей целью получение
дифференциального дохода или положительной разницы в ценах в форме
спекулятивной прибыли или в форме, обеспечивающей выравнивание
денежных потоков во времени и пространстве при хеджировании.
Производные инструменты в широком смысле - это инструменты
рынка, основывающиеся на его реальных активах и сделках с ними, которые
используют различия в ценах, ставках и курсах на эти активы во
времени и пространстве для достижения целей, которые ставят перед
собой участники рынка.
Форвардный контракт — это договор купли-продажи какого-либо
актива через определенный срок в будущем, все условия которого подлежат
согласованию сторонами в момент его заключения.
Твердая срочная сделка — это срочная сделка, которая обязательна
для исполнения всеми ее сторонами.
Фьючерсный контракт — это стандартный биржевой договор купли-
продажи биржевого актива через определенный срок в будущем по
цене, установленной сторонами сделки в момент ее заключения.
Фьючерсный контракт — это стандартный биржевой форвардный
контракт.
«Купить» фьючерсный контракт — это значит заключить его на
условиях покупателя, принять обязательство оплатить актив, поставляемый
по контракту.
«Продать» фьючерсный контракт — это значит заключить его на
условиях продавца, принять обязательство поставить актив в соответствии
с заключенным контрактом.
Опцион — право выбора.
Опционный контракт это договор, в соответствии с которым одна
из его сторон, называемая владельцем, получает право купить (продать)
какой-либо актив по установленной цене до определенной в будущем
даты или на эту дату у другой стороны, называемой подписчиком, или
отказаться от исполнения сделки с уплатой за это подписчику некоторой
суммы денег, называемой премией.
Коли - опцион, дающий право его владельцу купить актив.
Пут — опцион, дающий право его владельцу продать актив.
Американский опцион — это опцион, который может быть исполнен
в любой момент времени до даты окончания срока его действия или на
эту дату.
Европейский опцион — опцион, который может быть исполнен только
на дату окончания срока его действия.
Своп, или своп-контракт, — это договорная конструкция обмена
обязательствами по базовым активам и (или) платежами на их основе в
течение установленного периода, когда цена одного из активов является
твердой (фиксированной), а цена другого — переменной (плавающей),
или же обе эти цены являются переменными.
ГЛАВНЫЕ ВЫВОДЫ
Производные инструменты позволяют получать прибыль на основе
колебаний цен во времени и пространстве на любые активы рынка без
непосредственной купли-продажи самих этих активов.
В широком понимании производные инструменты охватывают существующие
виды срочных контрактов, вторичные ценные бумаги и
другие «синтетические» инструменты рынка.
В узком понимании производные инструменты есть особые рыночные
механизмы, основанные на срочных контрактах, которые включают
форвардные, фьючерсные и опционные контракты, а также свопы.
Каждый из перечисленных видов контрактов имеет много подвидов.
Хотя производные инструменты и не являются во многих своих разновидностях
ценными бумагами, с точки зрения механизмов функционирования их
рынков они тесно связаны с рынком ценных бумаг и поэтому
рассматриваются совместно с ним.
Все условия форвардного контракта подлежат согласованию его сторонами,
а гарантии его исполнения всецело зависят от них самих. Главное
его достоинство — это возможность приспособления его к индивидуальным
запросам сторон контракта, но, с другой стороны, по этой причине
«ликвидность» форвардного контракта обычно минимальна и увеличивается
лишь по мере повышения уровня его стандартизации и наличия рыночного
посредника. Основные виды форвардных контрактов — это форвардные
контракты на валюту, или валютные форварды, и форвардные
контракты на ставку процента, или процентные форварды.
В отличие от форвардного контракта фьючерсный контракт полностью
стандартизирован, заключается только на бирже и имеет биржевой
механизм гарантирования его исполнения каждой из сторон контракта.
Существует множество видов фьючерсных контрактов: товарные,
валютные, фондовые, процентные и индексные.
Основные направления использования фьючерсных контрактов, как и
других производных инструментов, — это спекуляция и хеджирование.
Опционный контракт — это разновидность условной срочной сделки.
Он может быть инструментом как биржевого, так и внебиржевого
рынка. Механизм обращения биржевого опционного контракта аналогичен
обращению фьючерсных контрактов. Механизм обращения внебиржевых
опционных контрактов аналогичен обращению ликвидных форвардных
контрактов.
Видов опционных контрактов с точки зрения лежащих в их основе
активов больше, чем видов фьючерсных контрактов, поскольку существуют
опционы на фьючерсные контракты и на другие производные
инструменты (кэнционы, свопционы).
С точки зрения дат расчета по опционам они делятся на одно- и многопериодные опционы (кэпы, флоры и др.).
Опционные инструменты используются для удовлетворения индивидуальных
запросов участников рынка в области хеджирования, спекуляции,
налогообложения и т.п.
Своп — внебиржевой договор, относящийся к классу производных
инструментов, заключение которого обеспечивается профессиональным
посредником рынка, обычно банком.
Стандартизация своп-контрактов превращает их в ликвидный инструмент
рынка, позволяющий служить целям хеджирования, спекулирования
и т.д.
В зависимости от вида базисного актива существуют самые разнообразные
виды свопов: процентный, валютный, товарный, индексный,
свопционы и др.
Понятие о рынке ценных бумаг ОПРЕДЕЛЕНИЕ РЫНКА ЦЕННЫХ БУМАГ И ЕГО ВИДЫ
Глава 1 Глава 2 Глава 3
В общем виде рынок ценных бумаг можно определить
как совокупность экономических отношений его участников по поводу
выпуска и обращения ценных бумаг.
В этом смысле понятие рынка ценных бумаг не отличается и не может
отличаться от определения рынка любого другого товара, например
нефти.
С точки зрения товарного хозяйства рынок ценных бумаг, с одной
стороны, подобен рынку любого другого товара, ибо ценная бумага —
это тоже товар, а с другой — имеет особенности, связанные со спецификой
своего товара — ценных бумаг.
Первое различие между рынком ценных бумаг и рынком товаров
как материальных благ (работ, услуг) состоит в объекте и объеме рынка.
У них разные объекты рынка: ценная бумага или материальный товар.
Объем рынка ценных бумаг намного больше объема рынка материальных
благ и потенциально не имеет предела.
Второе различие — способ образования рынка. Товар как материальный
объект должен быть произведен или добыт в процессе трудовой деятельности
человека. Ценная бумага выпускается в обращение; раньше для этого
надо было хотя бы напечатать бланки самой ценной бумаги, а теперь достаточно
зарегистрировать всех владельцев в специальном реестре.
Третье различие между этими рынками — значимость процесса обращения.
Целью производства материального товара является его производительное
или личное потребление. Процесс обращения необходим, чтобы
доставить товар от производителя к потребителю. Число стадий обращения
товара ограничено, и чем их меньше, тем лучше. Ценная бумага
существует только в процессе обращения. Количество актов перехода ее
ИЗ рук в руки ничем не ограничено и потенциально бесконечно. Скорость
обращения ценной бумаги — важнейший показатель ее «качества». Прекращение
процесса обращения означает «смерть» для ценной бумаги.
Четвертое различие отражает субординацию сравниваемых рынков.
Поскольку материальное товарное производство — основа человеческого
существования, постольку рынок материальных товаров первичен
по отношению к рынку ценных бумаг.
Рынок ценных бумаг, отличаясь от рынка денег (валют, банковских
ссуд и депозитов) своим объектом, очень сходен с ним способом образования,
и значимостью процесса обращения. Близость этих рынков так
велика, что в ряде случаев ценные бумаги могут выполнять функции
платежно-расчетных средств (например, векселя, чеки). Как уже отмечалось,
сами современные бумажные деньги исторически произошли от
такой ценной бумаги, как банковский вексель.
Классификации видов рынков ценных бумаг имеют много сходства
с классификациями самих видов ценных бумаг. Так различают:
• международные и национальные рынки ценных бумаг;
• национальные и региональные (территориальные) рынки;
• рынки конкретных видов ценных бумаг (акций, облигаций и т.п.);
• рынки государственных и корпоративных (негосударственных)
ценных бумаг;
• рынки ценных бумаг и производных инструментов и т.п.
Смысл той или иной классификации рынка ценных бумаг определяется
ее практической значимостью.
Вместе с денежным и валютным рынками рынок ценных бумаг входит
в понятие финансового рынка.
В литературе, посвященной рьшку ценных бумаг, последний часто называется
фондовым рынком. Устоявшегося различия между этими понятиями
в нашей стране пока нет. Кроме того, что понятие фондового рынка используется
как синоним понятия рынка ценных бумаг, существуют и более узкие
трактовки его содержания. В частности, фондовый рынок охватывает только
ценные бумаг и корпораций, или он является рынком ценных бумаг, которые
принято относить к фондовым (капитальным) ценностям.
экономики вообще является получение прибыли, постольку любая деятельность
есть или должна быть сферой приумножения капитала, и с этой позиции
любой рынок есть одновременно и рынок для вложения капиталов.
Денежные средства могут быть вложены в производственную и торговую
деятельность, недвижимость, антиквариат, драгоценные металлы
и т.п., и во всех случаях эти денежные средства с течением времени
могут иметь свой прирост, т.е. принести прибыль, и весьма значительную,
если правильно выбраны направления и условия, на которых вкладываются
деньги как капитал. Однако в рассмотренных случаях отсутствует
сам процесс предварительного накопления необходимой для капитального
вложения денежной суммы. Ведь прежде чем вложить
капитал, его надо накопить или откуда-нибудь получить.
Сфера, где можно накопить капитал или откуда его получить, есть
финансовая сфера деятельности. Основными рынками, на которых преобладают
финансовые отношения, являются:
• рынок банковских капиталов;
• рынок ценных бумаг;
• валютный рынок;
• рынок страховых и пенсионных фондов.
Итак, следует различать рынки, куда можно только вкладывать капитал,
или первичные рынки, и собственно финансовые рынки, где эти
капиталы накапливаются, концентрируются, централизуются и вкладываются,
в конечном счете, в первичные рынки. Финансовые рынки,
или, как их еще называют, рынки капиталов - это рынки посредников
между первичными владельцами денежных средств и их конечными
пользователями.
Поскольку далеко не все ценные бумаги ведут свое происхождение
от денежных капиталов, постольку рынок ценных бумаг не может в полном
объеме быть отнесен к финансовому рынку. В той части, в какой
рынок ценных бумаг основывается на деньгах как на капитале, он называется
фондовым рынком и в этом своем качестве является составной
частью финансового рынка. Фондовый рынок образует большую
часть рынка ценных бумаг. Оставшаяся часть рынка цепных бумаг из-
за сравнительно небольших размеров не получила специального названия,
и поэтому рынок ценных бумаг и фондовый рынок считаются синонимами.
В дальнейшем будем называть вторую часть рынка ценных
бумаг рынком денежных и товарных ценных бумаг или рынком прочих
ценных бумаг.
В целом место рынка ценных бумаг показано на рис.
Место рынка ценных бумаг можно оценить с двух позиций: с точки
зрения объемов привлечения денежных средств из разных источников и с
точки зрения вложения свободных денежных средств в какой-либо рынок.
Привлечение денежных средств может осуществляться за счет внутренних
и внешних источников.

К внутренним источникам обычно относятся амортизационные средства и полученная прибыль. Основными
внешними источниками являются банковские ссуды и средства, полученные
от выпуска ценных бумаг. В обществе в целом преобладают,
естественно, внутренние источники, ибо внешние являются результатом
перераспределения первых (неважно, своей страны или других стран).
В среднем внутренние источники в развитых странах составляют до 75%
привлеченных средств, а на банковские ссуды и ценные бумаги приходится
примерно 5 и 20% соответственно.
Свободные денежные средства могут быть использованы для прибыльного
инвестирования во многие сферы: в производственную и иную
хозяйственную деятельность (промышленность, строительство, торговлю,
связь и т.п.), в недвижимость, в антиквариат, драгоценности и драгоценные
металлы, произведения искусства. Денежные средства могут
быть вложены в иностранную валюту, если отечественная обесценивается,
в пенсионные и страховые фонды, в ценные бумаги различных видов,
отданы в ссуду или положены под проценты на банковский депозит
и т.п. Как видно из приведенного, рынок ценных бумаг - одна из многих
сфер приложения свободных капиталов, а потому ему приходится
конкурировать за их привлечение.
Движение средств между перечисленными рынками вложений капитала
происходит в зависимости от многих факторов, основными из которых
являются:
• уровень доходности рынка;
• условия налогообложения на рынке;
• уровень риска потери капитала или недополучения ожидаемого дохода;
• организация рынка и удобства для инвестора, возможность быстрого
входа на рынок и ухода с него, уровень информированности рынка и т.п.
как совокупность экономических отношений его участников по поводу
выпуска и обращения ценных бумаг.
В этом смысле понятие рынка ценных бумаг не отличается и не может
отличаться от определения рынка любого другого товара, например
нефти.
С точки зрения товарного хозяйства рынок ценных бумаг, с одной
стороны, подобен рынку любого другого товара, ибо ценная бумага —
это тоже товар, а с другой — имеет особенности, связанные со спецификой
своего товара — ценных бумаг.
Первое различие между рынком ценных бумаг и рынком товаров
как материальных благ (работ, услуг) состоит в объекте и объеме рынка.
У них разные объекты рынка: ценная бумага или материальный товар.
Объем рынка ценных бумаг намного больше объема рынка материальных
благ и потенциально не имеет предела.
Второе различие — способ образования рынка. Товар как материальный
объект должен быть произведен или добыт в процессе трудовой деятельности
человека. Ценная бумага выпускается в обращение; раньше для этого
надо было хотя бы напечатать бланки самой ценной бумаги, а теперь достаточно
зарегистрировать всех владельцев в специальном реестре.
Третье различие между этими рынками — значимость процесса обращения.
Целью производства материального товара является его производительное
или личное потребление. Процесс обращения необходим, чтобы
доставить товар от производителя к потребителю. Число стадий обращения
товара ограничено, и чем их меньше, тем лучше. Ценная бумага
существует только в процессе обращения. Количество актов перехода ее
ИЗ рук в руки ничем не ограничено и потенциально бесконечно. Скорость
обращения ценной бумаги — важнейший показатель ее «качества». Прекращение
процесса обращения означает «смерть» для ценной бумаги.
Четвертое различие отражает субординацию сравниваемых рынков.
Поскольку материальное товарное производство — основа человеческого
существования, постольку рынок материальных товаров первичен
по отношению к рынку ценных бумаг.
Рынок ценных бумаг, отличаясь от рынка денег (валют, банковских
ссуд и депозитов) своим объектом, очень сходен с ним способом образования,
и значимостью процесса обращения. Близость этих рынков так
велика, что в ряде случаев ценные бумаги могут выполнять функции
платежно-расчетных средств (например, векселя, чеки). Как уже отмечалось,
сами современные бумажные деньги исторически произошли от
такой ценной бумаги, как банковский вексель.
Классификации видов рынков ценных бумаг имеют много сходства
с классификациями самих видов ценных бумаг. Так различают:
• международные и национальные рынки ценных бумаг;
• национальные и региональные (территориальные) рынки;
• рынки конкретных видов ценных бумаг (акций, облигаций и т.п.);
• рынки государственных и корпоративных (негосударственных)
ценных бумаг;
• рынки ценных бумаг и производных инструментов и т.п.
Смысл той или иной классификации рынка ценных бумаг определяется
ее практической значимостью.
Вместе с денежным и валютным рынками рынок ценных бумаг входит
в понятие финансового рынка.
В литературе, посвященной рьшку ценных бумаг, последний часто называется
фондовым рынком. Устоявшегося различия между этими понятиями
в нашей стране пока нет. Кроме того, что понятие фондового рынка используется
как синоним понятия рынка ценных бумаг, существуют и более узкие
трактовки его содержания. В частности, фондовый рынок охватывает только
ценные бумаг и корпораций, или он является рынком ценных бумаг, которые
принято относить к фондовым (капитальным) ценностям.
МЕСТО РЫНКА ЦЕННЫХ БУМАГ
Поскольку одной из основополагающих целей товарнойэкономики вообще является получение прибыли, постольку любая деятельность
есть или должна быть сферой приумножения капитала, и с этой позиции
любой рынок есть одновременно и рынок для вложения капиталов.
Денежные средства могут быть вложены в производственную и торговую
деятельность, недвижимость, антиквариат, драгоценные металлы
и т.п., и во всех случаях эти денежные средства с течением времени
могут иметь свой прирост, т.е. принести прибыль, и весьма значительную,
если правильно выбраны направления и условия, на которых вкладываются
деньги как капитал. Однако в рассмотренных случаях отсутствует
сам процесс предварительного накопления необходимой для капитального
вложения денежной суммы. Ведь прежде чем вложить
капитал, его надо накопить или откуда-нибудь получить.
Сфера, где можно накопить капитал или откуда его получить, есть
финансовая сфера деятельности. Основными рынками, на которых преобладают
финансовые отношения, являются:
• рынок банковских капиталов;
• рынок ценных бумаг;
• валютный рынок;
• рынок страховых и пенсионных фондов.
Итак, следует различать рынки, куда можно только вкладывать капитал,
или первичные рынки, и собственно финансовые рынки, где эти
капиталы накапливаются, концентрируются, централизуются и вкладываются,
в конечном счете, в первичные рынки. Финансовые рынки,
или, как их еще называют, рынки капиталов - это рынки посредников
между первичными владельцами денежных средств и их конечными
пользователями.
Поскольку далеко не все ценные бумаги ведут свое происхождение
от денежных капиталов, постольку рынок ценных бумаг не может в полном
объеме быть отнесен к финансовому рынку. В той части, в какой
рынок ценных бумаг основывается на деньгах как на капитале, он называется
фондовым рынком и в этом своем качестве является составной
частью финансового рынка. Фондовый рынок образует большую
часть рынка ценных бумаг. Оставшаяся часть рынка цепных бумаг из-
за сравнительно небольших размеров не получила специального названия,
и поэтому рынок ценных бумаг и фондовый рынок считаются синонимами.
В дальнейшем будем называть вторую часть рынка ценных
бумаг рынком денежных и товарных ценных бумаг или рынком прочих
ценных бумаг.
В целом место рынка ценных бумаг показано на рис.
Место рынка ценных бумаг можно оценить с двух позиций: с точки
зрения объемов привлечения денежных средств из разных источников и с
точки зрения вложения свободных денежных средств в какой-либо рынок.
Привлечение денежных средств может осуществляться за счет внутренних
и внешних источников.

К внутренним источникам обычно относятся амортизационные средства и полученная прибыль. Основными
внешними источниками являются банковские ссуды и средства, полученные
от выпуска ценных бумаг. В обществе в целом преобладают,
естественно, внутренние источники, ибо внешние являются результатом
перераспределения первых (неважно, своей страны или других стран).
В среднем внутренние источники в развитых странах составляют до 75%
привлеченных средств, а на банковские ссуды и ценные бумаги приходится
примерно 5 и 20% соответственно.
Свободные денежные средства могут быть использованы для прибыльного
инвестирования во многие сферы: в производственную и иную
хозяйственную деятельность (промышленность, строительство, торговлю,
связь и т.п.), в недвижимость, в антиквариат, драгоценности и драгоценные
металлы, произведения искусства. Денежные средства могут
быть вложены в иностранную валюту, если отечественная обесценивается,
в пенсионные и страховые фонды, в ценные бумаги различных видов,
отданы в ссуду или положены под проценты на банковский депозит
и т.п. Как видно из приведенного, рынок ценных бумаг - одна из многих
сфер приложения свободных капиталов, а потому ему приходится
конкурировать за их привлечение.
Движение средств между перечисленными рынками вложений капитала
происходит в зависимости от многих факторов, основными из которых
являются:
• уровень доходности рынка;
• условия налогообложения на рынке;
• уровень риска потери капитала или недополучения ожидаемого дохода;
• организация рынка и удобства для инвестора, возможность быстрого
входа на рынок и ухода с него, уровень информированности рынка и т.п.
ФУНКЦИИ РЫНКА ЦЕННЫХ БУМАГ
Глава 1 Глава 2 Глава 3
Рынок ценных бумаг имеет целый ряд функций, которые
условно можно разделить на две группы: обще рыночные функции,
присущие обычно каждому рынку, и специфические функции, которые
отличают его от других рынков.
К обще рыночным функциям относятся такие, как:
• коммерческая функция, т.е. получение прибыли от операций на данном
рынке;
• ценообразующая функция, т.е. рынок обеспечивает процесс складывания
рыночных цен, их постоянное движение, прогнозирование и т.д.;
• информационная функция, т.е. рынок производит и доводит до своих
участников рыночную информацию об объектах торговли и ее участниках;
• регулирующая функция, т.е. рынок создает правила торговли и
участия в ней, порядок разрешения споров между участ1П1ками, устанавливает
приоритеты, органы контроля или даже управления и т.д.
К специфическим функциям рынка ценных бумаг можно отнести следующие:
• перераспределительную функцию;
• функцию страхования ценовых и финансовых рисков или их перераспределения.
Рынок ценных бумаг как финансовый рынок со своими особыми инструментами
и правилами имеет две основные специфические функции:
перераспределение денежных средств от владельцев пассивного капитала
к владельцам активного капитала и перераспределение рисков
между владельцами любых рыночных активов. И та и другая функции
осуществляются в строго заданных временных рамках.
Функция перераспределения денежных средств, осуществляемая посредством
выпуска и обращения ценных бумаг, означает перераспределение
средств между отраслями и сферами деятельности; между территориями
и странами; между населением и предприятиями, т.е. когда сбережения
граждан принимают производительную форму; между
государством и другими юридическими и физическими ,1щцами, что имеет
место, например, в случае финансирования дефицита государственного
бюджета на не инфляционной основе.
Итак, перераспределительная функция условно может быть разбита
на три подфункции:
• перераспределение денежных средств между отраслями и сферами
рыночной деятельности;
• перевод сбережений, прежде всего населения, из непроизводительной
формы в производительную;
• финансирование дефицита государственного бюджета на неинфляционной
основе, т.е. без выпуска в обращение дополнительных денежных
средств.
Функция перераспределения рисков -- это использование инструментов
рынка ценных бумаг (прежде всего в сочетании с производными инструментами)
для защиты владельцев каких-либо активов (товарных,
валютных, финансовых) от неблагоприятного для них изменения цен, стоимости
или доходности этих активов. Данную функцию можно было бы
так и называть — функция защиты (страхования) от риска, или, точнее,
функция хеджирования. Однако хеджирование невозможно в одностороннем порядке; если есть тот, кто желает застраховаться от риска, то должна
быть и другая сторона, которая считает возможным для себя принять
этот риск. С помощью рынка ценных бумаг можно попытаться переложить
риск на спекулянта, желающего рискнуть. Следовательно, сутью
хеджирования на рынке ценных бумаг является перераспределение рисков.
Данная функция — это сравнительно новая функция рынка ценных
бумаг, которая появилась в своем современном виде лишь в начале 70-х
годов с появлением производных инструментов в широком понимании.
Благодаря ей рынок ценных бумаг существенно увеличил свою устойчивость,
с одной стороны, и свою значимость, с другой, поскольку функция
перераспределения рисков, основываясь все на той же функции перераспределения
денежных средств, резко ускоряет и даже упрощает переливы
свободных (или высвобождаемых) финансовых капиталов.
условно можно разделить на две группы: обще рыночные функции,
присущие обычно каждому рынку, и специфические функции, которые
отличают его от других рынков.
К обще рыночным функциям относятся такие, как:
• коммерческая функция, т.е. получение прибыли от операций на данном
рынке;
• ценообразующая функция, т.е. рынок обеспечивает процесс складывания
рыночных цен, их постоянное движение, прогнозирование и т.д.;
• информационная функция, т.е. рынок производит и доводит до своих
участников рыночную информацию об объектах торговли и ее участниках;
• регулирующая функция, т.е. рынок создает правила торговли и
участия в ней, порядок разрешения споров между участ1П1ками, устанавливает
приоритеты, органы контроля или даже управления и т.д.
К специфическим функциям рынка ценных бумаг можно отнести следующие:
• перераспределительную функцию;
• функцию страхования ценовых и финансовых рисков или их перераспределения.
Рынок ценных бумаг как финансовый рынок со своими особыми инструментами
и правилами имеет две основные специфические функции:
перераспределение денежных средств от владельцев пассивного капитала
к владельцам активного капитала и перераспределение рисков
между владельцами любых рыночных активов. И та и другая функции
осуществляются в строго заданных временных рамках.
Функция перераспределения денежных средств, осуществляемая посредством
выпуска и обращения ценных бумаг, означает перераспределение
средств между отраслями и сферами деятельности; между территориями
и странами; между населением и предприятиями, т.е. когда сбережения
граждан принимают производительную форму; между
государством и другими юридическими и физическими ,1щцами, что имеет
место, например, в случае финансирования дефицита государственного
бюджета на не инфляционной основе.
Итак, перераспределительная функция условно может быть разбита
на три подфункции:
• перераспределение денежных средств между отраслями и сферами
рыночной деятельности;
• перевод сбережений, прежде всего населения, из непроизводительной
формы в производительную;
• финансирование дефицита государственного бюджета на неинфляционной
основе, т.е. без выпуска в обращение дополнительных денежных
средств.
Функция перераспределения рисков -- это использование инструментов
рынка ценных бумаг (прежде всего в сочетании с производными инструментами)
для защиты владельцев каких-либо активов (товарных,
валютных, финансовых) от неблагоприятного для них изменения цен, стоимости
или доходности этих активов. Данную функцию можно было бы
так и называть — функция защиты (страхования) от риска, или, точнее,
функция хеджирования. Однако хеджирование невозможно в одностороннем порядке; если есть тот, кто желает застраховаться от риска, то должна
быть и другая сторона, которая считает возможным для себя принять
этот риск. С помощью рынка ценных бумаг можно попытаться переложить
риск на спекулянта, желающего рискнуть. Следовательно, сутью
хеджирования на рынке ценных бумаг является перераспределение рисков.
Данная функция — это сравнительно новая функция рынка ценных
бумаг, которая появилась в своем современном виде лишь в начале 70-х
годов с появлением производных инструментов в широком понимании.
Благодаря ей рынок ценных бумаг существенно увеличил свою устойчивость,
с одной стороны, и свою значимость, с другой, поскольку функция
перераспределения рисков, основываясь все на той же функции перераспределения
денежных средств, резко ускоряет и даже упрощает переливы
свободных (или высвобождаемых) финансовых капиталов.
СОСТАВНЫЕ ЧАСТИ РЫНКА ЦЕННЫХ БУМАГ
Глава 1 Глава 2 Глава 3
Рынок ценных бумаг, как и любой другой рынок, — это
сложная структура, имеющая много характеристик. В зависимости от
этого его можно рассматривать с разных сторон, и его разные характеристики
попарно отражают ту или иную сторону рынка ценных бумаг.
Составные части рынка ценных бумаг в своей основе имеют не только
тот или иной вид ценной бумаги, но и способ торговли на данном
рынке в широком смысле слова. С этих позиций в рынке ценных бумаг
необходимо выделять рынки:
• первичный и вторичный;
• организованный и неорганизованный;
• биржевой и внебиржевой;
• традиционный и компьютеризированный;
• кассовый и срочный.
В зависимости от стадии обращения ценной бумаги различают первичные
и вторичные рынки. Первичный рынок — это рынок, обеспечивающий
выпуск ценной бумаги в обращение, это ее первое появление на
рынке, так сказать, стадия «производства» ценной бумаги. Результатом
всех процессов, обеспечивающих выпуск ценной бумаги, должно
стать приобретение их первыми владельцами.
Вторичный рынок — это рынок, на котором обращаются ранее выпущенные
ценные бумаги. Это совокупность любых операций с данными
бумагами, в результате которых осуществляется постоянный переход
прав собственности на них от одного владельца к другому.
В зависимости от уровня регулируемости рынки ценных бумаг
могут быть организованные и неорганизованные. На первых обращение
ценных бумаг происходит по твердо установленным правилам,
регулирующим практически все стороны деятельности рынка, на
вторых участники сделки самостоятельно договариваются по всем
вопросам.
В зависимости от места торговли различают биржевые и внебиржевые
рынки ценных бумаг. Биржевой рынок означает, что торговля ценными
бумагами ведется на фондовых биржах, однако большинство видов
ценных бумаг обращается вне бирж. Если биржевой рынок по сути
всегда есть организованный рынок, то внебиржевой рынок может быть
как организованным, так и неорганизованным («уличным», «стихийным
»). В настоящее время в странах с развитой рыночной экономикой
Подавляющее значение имеет только организованный рынок ценных
бумаг, который представлен либо фондовыми биржами, либо небиржевыми
системами электронной торговли.
В зависимости от типа торговли рынок ценных бумаг существует в
двух основным формах: традиционной и компьютеризированной.
Традиционный рынок — это традиционная форма торговли ценными
бумагами, при которой продавцы и покупатели ценных бумаг (обычно
в лице фондовых посредников) непосредственно встречаются в определенном
месте и происходит публичный гласный торг (как в случае биржевой
торговли) или ведутся закрытые торги, переговоры, которые по
каким-либо причинам не подлежат широкой огласке.
Компьютеризированный рынок — это разнообразные формы торговли
ценными бумагами на основе использования компьютерных сетей и
современных средств связи. Для него характерны:
а) отсутствие физического места встречи продавцов и покупателей;
компьютерные торговые места располагаются непосредственно в офисах
фирм, торгующих ценными бумагами, или непосредственно их продавцов
и покупателей;
б) непубличный характер процесса ценообразования, автоматизация
процесса торговли ценными бумагами;
в) непрерывность во времени и пространстве процесса торговли ценными
бумагами.
В зависимости от сроков, на которые заключаются сделки с ценными
бумагами, рынки ценных бумаг подразделяются на кассовые и
срочные. Кассовый рынок (рынок «спот», рынок «кэш») - это рынок
немедленного исполнения заключенных сделок, при этом чисто технически
их исполнение может растянуться на срок до одного- трех дней,
если требуется поставка самой ценной бумаги в физическом виде.
Срочный рынок ценных бумаг — это рынок с отсроченным, обычно на
несколько месяцев, исполнением сделки. Как правило, традиционные
ценные бумаги (акции, облигации) обращаются на кассовом рынке, а
контракты на производные инструменты рынка ценных бумаг - на
срочным рынке.
или организации, которые продают либо покупают ценные бумаги, обслуживают
их оборот и расчеты по ним. Это те, кто вступает между
собой в определенные экономические отношения по поводу кругооборота
ценных бумаг.
Существуют следующие основные группы участников рынка ценных
бумаг (рис. 2) в зависимости от их функционального назначения:
• продавцы;
• инвесторы;
• фондовые посредники;
• организации, обслуживающие рынок ценных бумаг;
• органы регулирования и контроля.
Продавцы - это эмитенты и владельцы ценных бумаг.
Инвесторы - это те, кто вкладывают («инвестируют») свой реальный
капитал в ценные бумаги.
Фондовые посредники — это торговцы, обеспечивающие связь между
эмитентами и инвесторами на рынке ценных бумаг.
Организации, обслуживающие рынок ценных бумаг, — это организации,
выполняющие все другие функции на рынке ценных бумаг, кроме
функции купли-продажи этих ценных бумаг.
Эмитенты — это государство, коммерческие предприятия и организации.
Инвесторы — это население, а также коммерческие организации,
заинтересованные в увеличении (приросте) свободных денежных средств.
Фондовые посредники — это организации, которые осуществляют
на рынке ценных бумаг брокерскую или дилерскую деятельность, или
деятельность по управлению ценными бумагами.
Организации, обслуживающие рынок ценных бумаг, могут включать:
• организаторов рынка ценных бумаг (фондовые биржи или внебиржевые
организаторы рынка);
• расчетные центры (расчетные палаты, клиринговые центры);
• депозитарии;

• регистраторов;
• информационные агентства и другие организации, оказывающие
услуги участникам рынка.
Государственные органы регулирования и контроля рынка ценных
бумаг в Российской Федерации включают:
• высшие органы управления (Президент, Правительство);
• министерства и ведомства (Министерство финансов Российской
Федерации, Комиссия по ценным бумагам при Правительстве Российской
Федерации и др.);
• Центральный банк Российской Федерации.
Какие интересы преследует эмитент на рынке ценных бумаг? Основной
мотив, который им движет, — это привлечь капитал (денежные ресурсы).
Кроме того, продажа ценных бумаг дает возможность реконструировать
собственность, например государственную в акционерную путем
приватизации. Путем выпуска ценных бумаг можно улучшить финансовое
планирование или управление финансовыми потоками, сделать более
мобильными или ликвидными имеющиеся активы компании и т.п.
На другой стороне рынка — инвестор, покупатель ценных бумаг,
основная цель которого — заставить свои средства работать и приносить
доход. Кроме того, он может быть заинтересован в получении прав,
гарантированных той или иной ценной бумагой (например, права голоса).
Аналогично эмитенту инвестор приобретает ценные бумаги и для
хеджирования, и для управления ликвидностью и т.д.
Рассмотренная классификация участников рынка ценных бумаг является
специфической, т.е. присущей только данному рынку.
Поскольку рынок ценных бумаг есть составная часть рынка вообще,
постольку состав его участников может быть классифицирован в
зависимости от той позиции, какую занимает участник на рынке и по
отношению к рынку.
Участник рынка может находиться либо в позиции покупателя, либо
в позиции продавца, либо только обслуживать рыночные процессы. На
рынке ценных бумаг эмитент всегда занимает позицию только продавца.
Другими продавцами ценных бумаг могут быть и инвесторы, и фондовые
посредники. Покупателями на данном рынке являются только
инвесторы и фондовые посредники. Обслуживают рынок организации
фондовой инфраструктуры и органы регулирования рынка.
В зависимости от отношения к рынку ценных бумаг всех лиц, которые
так или иначе причастны к нему, можно условно разделить на три
группы. К первой группе относятся «клиенты», или «пользователя» фондового
рынка. Это эмитенты и инвесторы.
Их профессиональные интересы, их основная «деловая жизнь», если
так можно сказать, лежат вне рынка
ценных бумаг. Этот рынок для них — один из элементов сферы финансовых
услуг, которыми они периодически пользуются. Эмитенты обращаются
к фондовому рынку тогда, когда им необходимо привлечь долгосрочные
или среднесрочные капиталы для финансирования каких-либо
своих программ. Инвесторы обращаются к фондовому рынку для временного
вложения имеющихся в их распоряжении капиталов с целью их
сохранения и приумножения. Эмитентов и инвесторов объединяет то, что
рынок ценных бумаг для них — часть «внешней деловой среды», а не
профессия и не «основной» профессиональный бизнес.
Вторую группу составляют профессиональные торговцы, т.е. те, кого
называют брокерами и дилерами. Это организации, а в ряде стран и граждане,
для которых торговля ценными бумагами — основная профессиональная
деятельность. Их задача состоит в том, чтобы обслуживать
эмитентов и инвесторов, удовлетворять их потребности в выходе на
фондовый рынок. Система взаимоотношений «клиенты профессиональные
торговцы» — это «розничный» сегмент фондового рынка, ориентированный
на потребности эмитентов и инвесторов. Профессиональные
торговцы здесь предлагают клиентам рынка широкий спектр финансовых
услуг и финансовых инструментов.
Рядом с «розничным» сегментом фондового рынка существует не
менее значительный «оптовый» сегмент сфера отношений непосредственно
между профессиональными торговцами. Здесь «профессионалы
» торгуют друг с другом на равных. Принципы организации этой
торговли в целом незначительно отличаются от тех, которые существуют
в «розничном» сегменте фондового рынка.
Третью группу составляют организации, которые специализируются
на предоставлении услуг всем участникам фондового рынка. Совокупность
этих организаций называют также «инфраструктурой» фондового
рынка. К ним относятся фондовые биржи и другие организаторы
торговли, клиринговые и расчетные организации, депозитарии и регистраторы
и др.
Необходимо отметить, что применяемые здесь наименования различных
организаций не являются исключительными. Например, в ряде стран
(в соответствии с национальным законодательством и историческими
традициями) принято говорить о брокерах (дилерах) или о расчетно-
клиринговых центрах и т.п. Имеются в виду, скорее, не наименования конкретных
организаций, а виды деятельности (брокерская, дилерская, расчетная,
клиринговая, депозитарная, биржевая и т.д.), которые по одному
или в сочетании могут осуществляться различными юридическими
лицами.
Российское законодательство (указы Президента Российской Федерации,
Федеральный закон «О рынке ценных бумаг», подзаконные нормативные
акты) оперируют следующими терминами: дилерская деятельность
— дилер, брокерская деятельность — брокер, деятельность
по организации торговли — организатор торговли и фондовая биржа,
депозитарная деятельность — депозитарий, деятельность по ведению
реестра ценных бумаг — регистратор, расчетно-клиринговая деятельность
по ценным бумагам — клиринговый или расчетный центр, расчетная
деятельность по ценным бумагам — расчетный центр. При
этом в ряде случаев допускается совмещение одним юридическим
лицом нескольких видов профессиональной деятельности на рынке
ценных бумаг.
ОСНОВНЫЕ ОПРЕДЕЛЕНИЯ
Рынок ценных бумаг — совокупность экономических отношений его
участников но поводу выпуска и обращения ценных бумаг.
Первичный рынок - - это рынок, обеспечивающий выпуск ценных
бумаг в обращение.
Вторичный рынок — это рынок, на котором обращаются ранее выпущенные
ценные бумаги.
Эмитент - тот, кто выпускает ценные бумаги в обращение и несет
по ним обязательства в пределах установленных имущественных прав
перед их собственниками.
Инвестор ~ юридическое или физическое лицо, которое вкладывает
(«инвестирует») свой реальный капитал от своего имени в ценные
бумаги.
Фондовые посредники - профессиональные участники рынка ценных
бумаг, торговцы, обеспечивающие связь между продавцами и инвесторами
на рынке ценных бумаг и выполняющие такие виды деятельности,
как брокерская, дилерская или деятельность по управлению ценными
бумагами.
ГЛАВНЫЕ ВЫВОДЫ
Рынок ценных бумаг подобен рынку любого другого товара, но и
имеет свои особенности, которые определяются спецификой товара,
способом образования, характером обращения.
Рынок ценных бумаг является частью финансового рынка.
Основное назначение рынка ценных бумаг заключается в аккумуляции
временно свободных денежных средств с целью их инвестирования.
Для выполнения указанной цели рынок ценных бумаг осуществляет
определенные общерыночные и специфические функции.
Структура рынка ценных бумаг определяется как тем или иным видом
ценных бумаг, так и способом торговли на данном рынке. Поэтому
выделяют такие рынки, как: первичный и вторичный; организованный и
неорганизованный; биржевой и внебиржевой; традиционный и компьютеризированный;
кассовый и срочный.
Участников рынка ценных бумаг можно разделить в зависимости от
их функционального назначения на продавцов, потребителей (инвесторов);
посредников; организации, обслуживающие рынок ценных бумаг;
органы регулирования и контроля; либо в зависимости от их отношения
к рынку на клиентов или пользователей; профессиональных торговцев;
организации, специализирующиеся на предоставлении услуг участникам
рынка ценных бумаг.
Согласно Федеральному закону «О рынке ценных бумаг»
эмитент — это юридическое лицо, группа юридических лиц, связанных
между собой договором, или органы государственной власти и местного
самоуправления, несущие от своего имени обязательства перед
инвесторами по осуществлению прав, удостоверенных ценной бумагой.
Эмитент поставляет на фондовый рынок товар — ценную бумагу,
качество которой определяется статусом эмитента, хозяйственно-финансовыми
результатами его деятельности, а маркетабельность — часто
просто количеством «кoлокoльчикoв и свистков», которые выглядят весьма
привлекательно в глазах неискушенного российского инвестора.
Однако не следует думать, что эмитент уходит с рынка, поставив
на него ценные бумаги. Эмитент постоянно присутствует на нем, так
как он должен нести от своего имени обязательства перед покупателями
(инвесторами) ценных бумаг по осуществлению прав, удостоверенных
ими. Кроме того, эмитент сам оперирует своими ценными бумагами,
осуществляя их выкуп или продажу.
На рынке эмитент прежде всего оценивается с точки зрения инвестиционных
качеств выпускаемых им (предлагаемых на продажу) ценных бумаг.
Схематично состав эмитентов представлен на рис. 1
Первенство среди российских эмитентов прочно удерживает государство.
Важным фактором особой популярности ценных бумаг этого
эмитента является его статус. Считается, что государственные ценные
бумаги имеют нулевой риск, так как возможен крах банка, банкротство
акционерного общества, но государство будет нести свои обязательства
всегда, поскольку с ним ничего подобного произойти не может.
По теории инвестиционного анализа ценные бумаги, имеющие
нулевое или близкое к нему значение риска, могут продаваться с минимальным доходом.

Практика торговли ценными бумагами на развитых
фондовых рынках мира подтверждает этот постулат. Государственные
ценные бумаги сочетают в себе несколько приятных для инвестора
свойств: при действительно низком риске обладают приемлемой доходностью
и из-за хорошо отлаженной технологии торговли — почти абсолютной
ликвидностью. Поэтому государство как эмитент ценных бумаг
занимает прочные позиции на российском фондовом рынке.
Следует отметить, что местные органы власти вышли на фондовый
рынок несколько позже федеральных органов власти (а именно в 1992 г.)
и статус их несколько ниже. Местная администрация может в обеспечение
ценных бумаг предложить лин1ь муниципальную собственность —
жилищный фонд, ликвидность которого ограничена. Поэтому эмитент
должен прибегать к «колокольчикам и свисткам», т.е.
арендных льгот, выпуску доходных облигаций и т.д.
Негосударственные структуры при выпуске ценных бумаг могут
пользоваться поддержкой органов власти различных уровней, которые
либо выступают гарантами по этим ценным бумагам, либо устанавливают
налоговые льготы и т.д. Примером такого эмитента может
служить РАО «Высокоскоростные магистрали», выпустившее облигации,
гарантом которых выступал Минфин России.
Как эмитенты ценных бумаг акционерные общества, относящиеся к
производственному сектору, качественно разделяются. Приватизированные
предприятия составляют одну группу, а другую вновь создаваемые
акционерные общества.
Акционерное общество, возникшее в результате приватизации как
эмитент, характеризуется низкой доходностью, информационной закрытостью,
неопределенностью экономических перспектив и слабой предсказуемостью
показателей. Для того чтобы завоевать рынок, таким
эмитентам необходима требуемая прозрачность, существенные колебания
курсовой стоимости их ценных бумаг.
Поэтому процесс конструирования новых выпусков ценных бумаг
становится не только наукой, но и искусством. К подготовке товара —
ценных бумаг — целесообразно привлекать специалистов — инвестиционных
консультантов, которые, как правило, используют различные
новации для того, чтобы сделать ценную бумагу привлекательной для
инвестора.
Однако существуют общие правила, с помощью которых можно достигнуть
определенных успехов на отечественном фондовом рынке.
Эмиссии ценных бумаг должны быть адресными, т. е. сориентированными
на определенного инвестора.
Тщательной проработки требует определение времени появления
выпуска на основе оценки финансовой ситуации в стране.
Важно отразить в условиях предстоящего выпуска ценных бумаг
преимущества эмитента и его инвестиционной программы.
Чем ниже статус эмитента, тем больше прав и гарантий для инвестора
должен содержать выпуск ценных бумаг. По возможности его целесообразно
наделить уникальными преимуществами для инвестора, например,
правом конверсии в иные ценные бумаги, правом объединять
выпускаемые акции с опционом «пут» и др.
Лидером среди эмитентов корпоративных пенных бумаг остаются
банки. Это объясняется тем, что банковский бизнес даже в кризисный
период является наиболее прибыльным, а в условиях выпуска и обращения
ценных бумаг, жестко регламентируемых ЦБ РФ, позволяет банкам
по надежности (статусу) занимать второе место после ГЦБ.
Поскольку коммерческие банки должны постоянно увеличивать свои
уставные фонды, можно предположить, что их статус как эмитента будет
гарантировать банковским ценным бумагам достаточно высокий
рейтинг.
Частные предприятия как эмитенты могут выпускать только долговые
ценные бумаги (в основном облигации и векселя). Причем для выпуска
облигаций частные предприятия, как правило, объединяются.
сложная структура, имеющая много характеристик. В зависимости от
этого его можно рассматривать с разных сторон, и его разные характеристики
попарно отражают ту или иную сторону рынка ценных бумаг.
Составные части рынка ценных бумаг в своей основе имеют не только
тот или иной вид ценной бумаги, но и способ торговли на данном
рынке в широком смысле слова. С этих позиций в рынке ценных бумаг
необходимо выделять рынки:
• первичный и вторичный;
• организованный и неорганизованный;
• биржевой и внебиржевой;
• традиционный и компьютеризированный;
• кассовый и срочный.
В зависимости от стадии обращения ценной бумаги различают первичные
и вторичные рынки. Первичный рынок — это рынок, обеспечивающий
выпуск ценной бумаги в обращение, это ее первое появление на
рынке, так сказать, стадия «производства» ценной бумаги. Результатом
всех процессов, обеспечивающих выпуск ценной бумаги, должно
стать приобретение их первыми владельцами.
Вторичный рынок — это рынок, на котором обращаются ранее выпущенные
ценные бумаги. Это совокупность любых операций с данными
бумагами, в результате которых осуществляется постоянный переход
прав собственности на них от одного владельца к другому.
В зависимости от уровня регулируемости рынки ценных бумаг
могут быть организованные и неорганизованные. На первых обращение
ценных бумаг происходит по твердо установленным правилам,
регулирующим практически все стороны деятельности рынка, на
вторых участники сделки самостоятельно договариваются по всем
вопросам.
В зависимости от места торговли различают биржевые и внебиржевые
рынки ценных бумаг. Биржевой рынок означает, что торговля ценными
бумагами ведется на фондовых биржах, однако большинство видов
ценных бумаг обращается вне бирж. Если биржевой рынок по сути
всегда есть организованный рынок, то внебиржевой рынок может быть
как организованным, так и неорганизованным («уличным», «стихийным
»). В настоящее время в странах с развитой рыночной экономикой
Подавляющее значение имеет только организованный рынок ценных
бумаг, который представлен либо фондовыми биржами, либо небиржевыми
системами электронной торговли.
В зависимости от типа торговли рынок ценных бумаг существует в
двух основным формах: традиционной и компьютеризированной.
Традиционный рынок — это традиционная форма торговли ценными
бумагами, при которой продавцы и покупатели ценных бумаг (обычно
в лице фондовых посредников) непосредственно встречаются в определенном
месте и происходит публичный гласный торг (как в случае биржевой
торговли) или ведутся закрытые торги, переговоры, которые по
каким-либо причинам не подлежат широкой огласке.
Компьютеризированный рынок — это разнообразные формы торговли
ценными бумагами на основе использования компьютерных сетей и
современных средств связи. Для него характерны:
а) отсутствие физического места встречи продавцов и покупателей;
компьютерные торговые места располагаются непосредственно в офисах
фирм, торгующих ценными бумагами, или непосредственно их продавцов
и покупателей;
б) непубличный характер процесса ценообразования, автоматизация
процесса торговли ценными бумагами;
в) непрерывность во времени и пространстве процесса торговли ценными
бумагами.
В зависимости от сроков, на которые заключаются сделки с ценными
бумагами, рынки ценных бумаг подразделяются на кассовые и
срочные. Кассовый рынок (рынок «спот», рынок «кэш») - это рынок
немедленного исполнения заключенных сделок, при этом чисто технически
их исполнение может растянуться на срок до одного- трех дней,
если требуется поставка самой ценной бумаги в физическом виде.
Срочный рынок ценных бумаг — это рынок с отсроченным, обычно на
несколько месяцев, исполнением сделки. Как правило, традиционные
ценные бумаги (акции, облигации) обращаются на кассовом рынке, а
контракты на производные инструменты рынка ценных бумаг - на
срочным рынке.
УЧАСТНИКИ РЫНКА ЦЕННЫХ БУМАГ
Участники рынка ценных бумаг — это физические лицаили организации, которые продают либо покупают ценные бумаги, обслуживают
их оборот и расчеты по ним. Это те, кто вступает между
собой в определенные экономические отношения по поводу кругооборота
ценных бумаг.
Существуют следующие основные группы участников рынка ценных
бумаг (рис. 2) в зависимости от их функционального назначения:
• продавцы;
• инвесторы;
• фондовые посредники;
• организации, обслуживающие рынок ценных бумаг;
• органы регулирования и контроля.
Продавцы - это эмитенты и владельцы ценных бумаг.
Инвесторы - это те, кто вкладывают («инвестируют») свой реальный
капитал в ценные бумаги.
Фондовые посредники — это торговцы, обеспечивающие связь между
эмитентами и инвесторами на рынке ценных бумаг.
Организации, обслуживающие рынок ценных бумаг, — это организации,
выполняющие все другие функции на рынке ценных бумаг, кроме
функции купли-продажи этих ценных бумаг.
Эмитенты — это государство, коммерческие предприятия и организации.
Инвесторы — это население, а также коммерческие организации,
заинтересованные в увеличении (приросте) свободных денежных средств.
Фондовые посредники — это организации, которые осуществляют
на рынке ценных бумаг брокерскую или дилерскую деятельность, или
деятельность по управлению ценными бумагами.
Организации, обслуживающие рынок ценных бумаг, могут включать:
• организаторов рынка ценных бумаг (фондовые биржи или внебиржевые
организаторы рынка);
• расчетные центры (расчетные палаты, клиринговые центры);
• депозитарии;

• регистраторов;
• информационные агентства и другие организации, оказывающие
услуги участникам рынка.
Государственные органы регулирования и контроля рынка ценных
бумаг в Российской Федерации включают:
• высшие органы управления (Президент, Правительство);
• министерства и ведомства (Министерство финансов Российской
Федерации, Комиссия по ценным бумагам при Правительстве Российской
Федерации и др.);
• Центральный банк Российской Федерации.
Какие интересы преследует эмитент на рынке ценных бумаг? Основной
мотив, который им движет, — это привлечь капитал (денежные ресурсы).
Кроме того, продажа ценных бумаг дает возможность реконструировать
собственность, например государственную в акционерную путем
приватизации. Путем выпуска ценных бумаг можно улучшить финансовое
планирование или управление финансовыми потоками, сделать более
мобильными или ликвидными имеющиеся активы компании и т.п.
На другой стороне рынка — инвестор, покупатель ценных бумаг,
основная цель которого — заставить свои средства работать и приносить
доход. Кроме того, он может быть заинтересован в получении прав,
гарантированных той или иной ценной бумагой (например, права голоса).
Аналогично эмитенту инвестор приобретает ценные бумаги и для
хеджирования, и для управления ликвидностью и т.д.
Рассмотренная классификация участников рынка ценных бумаг является
специфической, т.е. присущей только данному рынку.
Поскольку рынок ценных бумаг есть составная часть рынка вообще,
постольку состав его участников может быть классифицирован в
зависимости от той позиции, какую занимает участник на рынке и по
отношению к рынку.
Участник рынка может находиться либо в позиции покупателя, либо
в позиции продавца, либо только обслуживать рыночные процессы. На
рынке ценных бумаг эмитент всегда занимает позицию только продавца.
Другими продавцами ценных бумаг могут быть и инвесторы, и фондовые
посредники. Покупателями на данном рынке являются только
инвесторы и фондовые посредники. Обслуживают рынок организации
фондовой инфраструктуры и органы регулирования рынка.
В зависимости от отношения к рынку ценных бумаг всех лиц, которые
так или иначе причастны к нему, можно условно разделить на три
группы. К первой группе относятся «клиенты», или «пользователя» фондового
рынка. Это эмитенты и инвесторы.
Их профессиональные интересы, их основная «деловая жизнь», если
так можно сказать, лежат вне рынка
ценных бумаг. Этот рынок для них — один из элементов сферы финансовых
услуг, которыми они периодически пользуются. Эмитенты обращаются
к фондовому рынку тогда, когда им необходимо привлечь долгосрочные
или среднесрочные капиталы для финансирования каких-либо
своих программ. Инвесторы обращаются к фондовому рынку для временного
вложения имеющихся в их распоряжении капиталов с целью их
сохранения и приумножения. Эмитентов и инвесторов объединяет то, что
рынок ценных бумаг для них — часть «внешней деловой среды», а не
профессия и не «основной» профессиональный бизнес.
Вторую группу составляют профессиональные торговцы, т.е. те, кого
называют брокерами и дилерами. Это организации, а в ряде стран и граждане,
для которых торговля ценными бумагами — основная профессиональная
деятельность. Их задача состоит в том, чтобы обслуживать
эмитентов и инвесторов, удовлетворять их потребности в выходе на
фондовый рынок. Система взаимоотношений «клиенты профессиональные
торговцы» — это «розничный» сегмент фондового рынка, ориентированный
на потребности эмитентов и инвесторов. Профессиональные
торговцы здесь предлагают клиентам рынка широкий спектр финансовых
услуг и финансовых инструментов.
Рядом с «розничным» сегментом фондового рынка существует не
менее значительный «оптовый» сегмент сфера отношений непосредственно
между профессиональными торговцами. Здесь «профессионалы
» торгуют друг с другом на равных. Принципы организации этой
торговли в целом незначительно отличаются от тех, которые существуют
в «розничном» сегменте фондового рынка.
Третью группу составляют организации, которые специализируются
на предоставлении услуг всем участникам фондового рынка. Совокупность
этих организаций называют также «инфраструктурой» фондового
рынка. К ним относятся фондовые биржи и другие организаторы
торговли, клиринговые и расчетные организации, депозитарии и регистраторы
и др.
Необходимо отметить, что применяемые здесь наименования различных
организаций не являются исключительными. Например, в ряде стран
(в соответствии с национальным законодательством и историческими
традициями) принято говорить о брокерах (дилерах) или о расчетно-
клиринговых центрах и т.п. Имеются в виду, скорее, не наименования конкретных
организаций, а виды деятельности (брокерская, дилерская, расчетная,
клиринговая, депозитарная, биржевая и т.д.), которые по одному
или в сочетании могут осуществляться различными юридическими
лицами.
Российское законодательство (указы Президента Российской Федерации,
Федеральный закон «О рынке ценных бумаг», подзаконные нормативные
акты) оперируют следующими терминами: дилерская деятельность
— дилер, брокерская деятельность — брокер, деятельность
по организации торговли — организатор торговли и фондовая биржа,
депозитарная деятельность — депозитарий, деятельность по ведению
реестра ценных бумаг — регистратор, расчетно-клиринговая деятельность
по ценным бумагам — клиринговый или расчетный центр, расчетная
деятельность по ценным бумагам — расчетный центр. При
этом в ряде случаев допускается совмещение одним юридическим
лицом нескольких видов профессиональной деятельности на рынке
ценных бумаг.
ОСНОВНЫЕ ОПРЕДЕЛЕНИЯ
Рынок ценных бумаг — совокупность экономических отношений его
участников но поводу выпуска и обращения ценных бумаг.
Первичный рынок - - это рынок, обеспечивающий выпуск ценных
бумаг в обращение.
Вторичный рынок — это рынок, на котором обращаются ранее выпущенные
ценные бумаги.
Эмитент - тот, кто выпускает ценные бумаги в обращение и несет
по ним обязательства в пределах установленных имущественных прав
перед их собственниками.
Инвестор ~ юридическое или физическое лицо, которое вкладывает
(«инвестирует») свой реальный капитал от своего имени в ценные
бумаги.
Фондовые посредники - профессиональные участники рынка ценных
бумаг, торговцы, обеспечивающие связь между продавцами и инвесторами
на рынке ценных бумаг и выполняющие такие виды деятельности,
как брокерская, дилерская или деятельность по управлению ценными
бумагами.
ГЛАВНЫЕ ВЫВОДЫ
Рынок ценных бумаг подобен рынку любого другого товара, но и
имеет свои особенности, которые определяются спецификой товара,
способом образования, характером обращения.
Рынок ценных бумаг является частью финансового рынка.
Основное назначение рынка ценных бумаг заключается в аккумуляции
временно свободных денежных средств с целью их инвестирования.
Для выполнения указанной цели рынок ценных бумаг осуществляет
определенные общерыночные и специфические функции.
Структура рынка ценных бумаг определяется как тем или иным видом
ценных бумаг, так и способом торговли на данном рынке. Поэтому
выделяют такие рынки, как: первичный и вторичный; организованный и
неорганизованный; биржевой и внебиржевой; традиционный и компьютеризированный;
кассовый и срочный.
Участников рынка ценных бумаг можно разделить в зависимости от
их функционального назначения на продавцов, потребителей (инвесторов);
посредников; организации, обслуживающие рынок ценных бумаг;
органы регулирования и контроля; либо в зависимости от их отношения
к рынку на клиентов или пользователей; профессиональных торговцев;
организации, специализирующиеся на предоставлении услуг участникам
рынка ценных бумаг.
Эмитенты и инвесторы
ЭМИТЕНТЫСогласно Федеральному закону «О рынке ценных бумаг»
эмитент — это юридическое лицо, группа юридических лиц, связанных
между собой договором, или органы государственной власти и местного
самоуправления, несущие от своего имени обязательства перед
инвесторами по осуществлению прав, удостоверенных ценной бумагой.
Эмитент поставляет на фондовый рынок товар — ценную бумагу,
качество которой определяется статусом эмитента, хозяйственно-финансовыми
результатами его деятельности, а маркетабельность — часто
просто количеством «кoлокoльчикoв и свистков», которые выглядят весьма
привлекательно в глазах неискушенного российского инвестора.
Однако не следует думать, что эмитент уходит с рынка, поставив
на него ценные бумаги. Эмитент постоянно присутствует на нем, так
как он должен нести от своего имени обязательства перед покупателями
(инвесторами) ценных бумаг по осуществлению прав, удостоверенных
ими. Кроме того, эмитент сам оперирует своими ценными бумагами,
осуществляя их выкуп или продажу.
На рынке эмитент прежде всего оценивается с точки зрения инвестиционных
качеств выпускаемых им (предлагаемых на продажу) ценных бумаг.
Схематично состав эмитентов представлен на рис. 1
Первенство среди российских эмитентов прочно удерживает государство.
Важным фактором особой популярности ценных бумаг этого
эмитента является его статус. Считается, что государственные ценные
бумаги имеют нулевой риск, так как возможен крах банка, банкротство
акционерного общества, но государство будет нести свои обязательства
всегда, поскольку с ним ничего подобного произойти не может.
По теории инвестиционного анализа ценные бумаги, имеющие
нулевое или близкое к нему значение риска, могут продаваться с минимальным доходом.

Практика торговли ценными бумагами на развитых
фондовых рынках мира подтверждает этот постулат. Государственные
ценные бумаги сочетают в себе несколько приятных для инвестора
свойств: при действительно низком риске обладают приемлемой доходностью
и из-за хорошо отлаженной технологии торговли — почти абсолютной
ликвидностью. Поэтому государство как эмитент ценных бумаг
занимает прочные позиции на российском фондовом рынке.
Следует отметить, что местные органы власти вышли на фондовый
рынок несколько позже федеральных органов власти (а именно в 1992 г.)
и статус их несколько ниже. Местная администрация может в обеспечение
ценных бумаг предложить лин1ь муниципальную собственность —
жилищный фонд, ликвидность которого ограничена. Поэтому эмитент
должен прибегать к «колокольчикам и свисткам», т.е.
арендных льгот, выпуску доходных облигаций и т.д.
Негосударственные структуры при выпуске ценных бумаг могут
пользоваться поддержкой органов власти различных уровней, которые
либо выступают гарантами по этим ценным бумагам, либо устанавливают
налоговые льготы и т.д. Примером такого эмитента может
служить РАО «Высокоскоростные магистрали», выпустившее облигации,
гарантом которых выступал Минфин России.
Как эмитенты ценных бумаг акционерные общества, относящиеся к
производственному сектору, качественно разделяются. Приватизированные
предприятия составляют одну группу, а другую вновь создаваемые
акционерные общества.
Акционерное общество, возникшее в результате приватизации как
эмитент, характеризуется низкой доходностью, информационной закрытостью,
неопределенностью экономических перспектив и слабой предсказуемостью
показателей. Для того чтобы завоевать рынок, таким
эмитентам необходима требуемая прозрачность, существенные колебания
курсовой стоимости их ценных бумаг.
Поэтому процесс конструирования новых выпусков ценных бумаг
становится не только наукой, но и искусством. К подготовке товара —
ценных бумаг — целесообразно привлекать специалистов — инвестиционных
консультантов, которые, как правило, используют различные
новации для того, чтобы сделать ценную бумагу привлекательной для
инвестора.
Однако существуют общие правила, с помощью которых можно достигнуть
определенных успехов на отечественном фондовом рынке.
Эмиссии ценных бумаг должны быть адресными, т. е. сориентированными
на определенного инвестора.
Тщательной проработки требует определение времени появления
выпуска на основе оценки финансовой ситуации в стране.
Важно отразить в условиях предстоящего выпуска ценных бумаг
преимущества эмитента и его инвестиционной программы.
Чем ниже статус эмитента, тем больше прав и гарантий для инвестора
должен содержать выпуск ценных бумаг. По возможности его целесообразно
наделить уникальными преимуществами для инвестора, например,
правом конверсии в иные ценные бумаги, правом объединять
выпускаемые акции с опционом «пут» и др.
Лидером среди эмитентов корпоративных пенных бумаг остаются
банки. Это объясняется тем, что банковский бизнес даже в кризисный
период является наиболее прибыльным, а в условиях выпуска и обращения
ценных бумаг, жестко регламентируемых ЦБ РФ, позволяет банкам
по надежности (статусу) занимать второе место после ГЦБ.
Поскольку коммерческие банки должны постоянно увеличивать свои
уставные фонды, можно предположить, что их статус как эмитента будет
гарантировать банковским ценным бумагам достаточно высокий
рейтинг.
Частные предприятия как эмитенты могут выпускать только долговые
ценные бумаги (в основном облигации и векселя). Причем для выпуска
облигаций частные предприятия, как правило, объединяются.
ЛИЦО, ОБЯЗАННОЕ ПО ЦЕННОЙ БУМАГЕ
Глава 1 Глава 2 Глава 3
Согласно российскому законодательству по всем видам
ценных бумаг обязанными могут быть только юридические лица.
Исключение составляет вексель, по которому обязанными могут быть
и граждане. Однако в современной практике такие случаи практически
отсутствуют. Главное обязанное лицо по ценной бумаге это тот, кто
ее выпустил путем обмена титула на действительный капитал, нпи эмитент.
Эмитенты обычно делятся на две группы: государство и корпорации
(все остальные юридические лица), соответственно выпускаемые
ими ценные бумаги называются государственными и корпоративными.
Обязанное по ценной бумаге лицо отвечает перед се владельцем за
реальность всех прав по ней, за их исполнение.
Рынок любой ценной бумаги существует и развивается, если в
его основе лежит интерес инвестора к ее приобретению. Поэтому понять
интересы инвестора, предложить ему именно те ценные бумаги,
которые соответствуют его запросам, — ключ к успеху.
Федеральный закон «О рынке ценных бумаг» определяет инвестора
как лицо, которому ценные бумаги принадлежат на праве собственности
(собственник) или ином вещном праве (владелец).
Кроме того, введено понятие добросовестного приобретателя. Им
считается лицо, которое приобрело ценные бумаги, произвело их оплату
и в момент приобретения не знало и не могло знать о правах третьих
лиц на эти ценные бумаги, если не доказано иное.
Инвесторов можно классифицировать по ряду признаков. Наиболее
значимым можно считать их статус. Тогда инвесторов можно разделить
на физических лиц, корпоративных и коллективных инвесторов и государство
(рис. 12).
Если основным эмитентом на рынке ценных бумаг является государство,
то основным инвестором, определяющим состояние фондового
рынка, — физическое лицо, использующее свои сбережения для приобретения
ценных бумаг с целью получения дополнительных доходов
и выступающее в качестве поставщика капитала на рынок ценных
бумаг.
Основной круг инвесторов, вложивших свои средства в акции, —
это работники приватизированных предприятий, которые на начало
1996 г. являлись самой мощной группой собственников российских акционерных
обществ и на долю которых приходилось 40% акций этих
предприятий.
Юридические лица, не имеющие лицензии на право осуществления
профессиональной деятельности на рынке ценных бумаг в качестве посредников,
но приобретающие ценные бумаги от своего имени и за свой
счет, составляют группу институциональных инвесторов.
Трудно представить, что государство, имея дефицит в бюджетах всех
уровней, как, например, Россия, будет заниматься приобретением ценных
бумаг. Однако в ряде случаев государство выступает стратегическим
инвестором, цель которого — изменить форму собственности,
стабилизировать рынок, получить доход от вложения средств в международные
рынки, диверсифицировать свои ресурсы и т.д.

Состав инвесторов на рынке ценных бумаг
Также двойственна позиция корпоративных инвесторов, к которым
относятся предприятия и организации, располагающие денежными средствами,
но не имеющие возможности осуществлять собственные инвестиции.
С одной стороны, предприятие эмитирует ценные бумаги с целью
привлечения финансовых ресурсов, а с другой — ищет прибыльного
размещения своих временно свободных денежных средств. Соотношение
этих направлений деятельности предприятий зависит от совокупности
макро- и микроэкономических факторов. Спад производства и сокращение
источников финансирования собственного производства побуждают
предприятия к вложениям в государственные ценные бумаги.
Классификацию инвесторов можно проводить в зависимости от цели
инвестирования. Тогда их делят на стратегических, портфельных и спекулянтов.
Стратегический инвестор предполагает получить собственность,
завладев контролем над акционерным обществом, и рассчитывает получать
доход от использования этой собственности, который, безусловно,
будет отличаться от дохода миноритарного акционера'.
Кроме того, стратегический инвестор может ставить своей задачей расширение сферы влияния, приобретение контроля в перераспределении собственности,
в том числе с помощью слияний и жестких поглощений.
Портфельный инвестор рассчитывает лишь на доход от принадлежащих
ему ценных бумаг, поэтому вопросы: что покупать, как покупать,
где покупать и когда покупать — для него всегда актуальны.
Прежде чем ответить на эти вопросы, инвестор должен определить,
с какой целью он осуществляет вложение средств в ценные бумаги (финансовые
инструменты), насколько он готов рисковать при инвестировании
ресурсов, что для него важнее, безопасность вложения средств и
их сохранение или высокий уровень доходности при соответственно
большом риске вложений.
Поэтому в основу дальнейшей классификации инвесторов можно положить
цель инвестирования и отношение к риску. Данная классификация
отражает соотношение между доходом и риском. В зависимости от
этого признака инвесторов принято подразделять на следующие группы:
• консервативный, или робкий, инвестор, который не расположен к
высокому риску и имеет целью обеспечить безопасность вложений даже
при минимуме доходности;
• умеренно-агрессивный, «средний», инвестор, находящийся на перепутье
между робостью и агрессивностью, который стремится к безопасности
вложений, однако учитывает их доходность;
• агрессивный инвестор имеет целью высокую доходность и рост
курсовой стоимости, ликвидность ценных бумаг (акций в первую очередь);
• изощренный инвестор, строящий свою стратегию таким образом,
чтобы получать максимальные доходы;
• нерациональный инвестор — тот, который вкладывает деньги в
ценные бумаги, не имея четко сформированных целей.
Каждая группа инвесторов использует обычно свои инвестиционные
инструменты и имеет инвестиционную стратегию, отличную от инвестиционной
стратегии другой группы.
В зависимости от этого различают инвестиционные инструменты,
которые используются той или иной группой инвесторов, а также их
инвестиционные стратегии. Многое зависит от психологии инвестора и
от системного правовой защиты. Инвестиционные предпочтения инвестора
формируются в процессе эволюции фондового рынка, и при конструировании
новых финансовых продуктов необходимо учитывать
внешние условия спроса на рынке ценных бумаг на те или иные продукты
с заданными инвестиционными характеристиками.
Инвесторов в зависимости от их местонахождения принято делить
на резидентов и нерезидентов.
ОПРЕДЕЛЕНИЯ
Эмитент — юридическое лицо, группа юридических лиц, связанных
между собой договором, или органы государственной власти и местного
самоуправления, несущие от своего имени обязательства перед инвесторами
по осуществлению прав, удостоверенных ценной бумагой.
Инвестор — лицо, которому ценные бумаги принадлежат на праве
собственности (собственник) или ином вещном праве (владелец).
Институциональные инвесторы — юридические лица, которые не
имеют лицензии на право осуществления профессиональной деятельности
на рынке ценных бумаг в качестве посредников, но приобретающие
ценные бумаги от своего имени и за свой счет.
ГЛАВНЫЕ ВЫВОДЫ
Эмитенты на рынке ценных бумаг выступают в роли первоначальных
продавцов — поставщиков ценных бумаг, они формируют спрос
на деньги и предложение на ценные бумаги. По своему составу эмитенты
достаточно разнообразны: от государственных до частных предприятий.
Наиболее крупным и высоконадежным эмитентом в мировой практике
являются государственные органы. Выпускаемые ими ценные бумаги
— низко рискованные (без рисковые), но и низко доходные. Вместе с
тем самым распространенным (многочисленным) эмитентом являются
акционерные общества (корпорации).
Инвестор на рынке ценных бумаг занимает противоположную позицию
— он является покупателем ценных бумаг, т.е. он формирует предложение
денег и спрос на ценные бумаги. Инвесторов принято делить по
их статусу (государство, физические лица, институциональные и корпоративные
инвесторы), по цели инвестирования (стратегический и портфельный
инвесторы), относительно к риску (консервативный, «средний
», агрессивный, изощренный, нерациональный), местонахождению
(резидент, нерезидент).
Третья rpyinia участников рынка ценных бумаг представлена
профессиональными участниками, к которым, согласно Федеральному
закону «О рынке ценных бумаг», следует отнести юридических лиц.
в том числе и кредитные организации, а также граждан (физических лиц),
зарегистрированных в качестве предпринимателей и специализирующихся
на оказании услуг всем участникам фондового рынка.
Понятие профессионального участника рынка ценных бумаг в Российской
Федерации по мере его развития и создания законодательной
базы претерпевало некоторые изменения, как и присущие участникам
виды деятельности. В настоящее время в соответствии с Федеральным
законом «О рьн1ке ценных бумаг» к профессиональной относятся
следующие виды деятельности:
• брокерская;
• дилерская;
• по управлению ценными бумагами;
• по определению взаимных обязательств (клиринг);
• депозитарная;
• по ведению реестра владельцев ценных бумаг;
• по организации торговли на рынке ценных бумаг.
Брокерская и дилерская виды деятельности и деятельность по управлению
ценными бумагами являются разновидностями посреднической
деятельности.
Как для самого рынка ценных бумаг, так и для его участников посредники
жизненно необходимы. Они взаимо связывают и объединяют
всех субъектов рынка. Наличие такого понятия как «профессиональный
посредник» способствует решению следующих задач: развитие
рынка, проведение государственной политики, обеспечение гарантий
защиты прав инвесторов, развитие современных технологий рынка ценных
бумаг, повышение уровня профессионализма.
Профессиональное посредничество как экономическая категория
представляет собой специализированную деятельность на фондовом
рынке по перераспределению денежных ресурсов, использующую в качестве
носителя денежной стоимости ценные бумаги, по организационно-
техническому и информационному обслуживанию выпуска и обращения
ценных бумаг, которая ведется, как правило, на исключительной
или преимущественной основе. Эта деятельность должна быть
признана государством и участниками фондового рынка и соответствовать
квалификационным требованиям, критериям финансовой
устойчивости, приемлемого уровня риска, требованиям раскрытия
информации и соблюдения деловой этики.
Другими словами, посредническая деятельность — это деятельность
по обеспечению взаимосвязи поставщиков и потребителей капитала на
рынке ценных бумаг, а также по их обслуживанию.
Профессиональная посредническая деятельность развивается адекватно
только в условиях экономической стабильности. Отсюда также
вытекает условие наличия эффективного рынка ценных бумаг, такого,
при котором цены на инструменты рынка отражают реальную их стоимость.
В этом случае кризисные явления в меньшей степени могут отразиться
на посреднических структурах рынка ценных бумаг.
Следующим условием является наличие детально продуманного законодательства,
которое в равной степени учитывает интересы как самих
посредников, так и их клиентов, а также в случае возникновения
конфликтов позволяет разрешать их должным образом.
Важным является наличие инфраструктуры для посреднической деятельности
на рынке ценных бумаг, причем работа инфраструктуры должна
быть хорошо налажена и организована, все ее компоненты (депозитарии,
регистраторы, торговые площадки) должны работать согласованно
и в интересах друг друга и посредника.
Организация отлаженной системы подготовки квалифицированного
персонала для работы на рынке ценных бумаг также является непременным условием.
Эта система должна обеспечивать обучение, аттестацию
и повышение квалификации, желательно в комплексе.
Посредники — это юридические и (или) физические лица, которые
являются связующим звеном рынка между покупателем и продавцом,
или, говоря точнее, между первичными владельцами денежных средств
и их конечными пользователями. В укрупненной схеме рынка ценных
бумаг посредники представлены как элемент третьего уровня. Их можно
разделить на две группы:
• финансовые посредники;
• посредники, для которых посредническая деятельность — это профессиональный
вид деятельности.
Финансовые посредники преимущественно работают на финансовом
рынке, и рынок ценных бумаг для них является частью финансового
рынка. На этом рынке такие посредники взаимодействуют с хозяйственными
субъектами, населением (физическими лицами) и между собой. Они
предназначены для того, чтобы аккумулировать небольшие и краткосрочные
сбережения (временно свободные денежные средства) для долгосрочного
инвестирования (реального и финансового). В международной
практике финансовых посредников делят на следующие типы:
• депозитные (коммерческие банки, сберегательно- кредитные ассоциации,
взаимные сберегательные банки, кредитные союзы) - принимают
вклады под проценты и аккумулированные средства используют
для кредитования или долгосрочного инвестирования;
• контрактно- сберегательные (государственные и частные пенсионные
фонды, компании по страхованию) — принимают взносы для их
выдачи в последующем;
• инвестиционые (паевые и инвестиционные фонды, инвестиционные
компании, траст-фонды) — выступают в качестве коллективного
инвестора.
К посредникам второй группы относятся брокеры и дилеры.
Брокером считают профессионального участника рынка ценных бумаг,
который занимается брокерской деятельностью. В соответствии с
Федеральным законом «О рынке ценных бумаг» «...брокерской деятельностью
признается совершение гражданско-правовых сделок с ценными
бумагами в качестве поверенного или комиссионера, действующего
на основе договора-поручения или комиссии либо доверенности на совершение
таких сделок».
В качестве брокера могут выступать как физические, так и юридические
лица. Профессиональная брокерская деятельность на фондовом
рынке выполняется на основании лицензии, полученной в установленном
порядке. Брокер получает эту лицензию в Федеральной комиссии по
рынку ценных бумаг (ФКЦБ России) или в уполномоченных его организациях,
получивших у нее генеральную лицензию.
Законом допускается совмещение брокерской деятельности с другими видами деятельности на рынке ценных бумаг.
Для деятельности на рынке ценных бумаг брокеры или брокерская
организация должны отвечать следующим требованиям;
• иметь в штате специалистов, у которых есть квалификационные
аттестаты;
• обладать установленным минимальным собственным капиталом,
необходимым для материальной ответственности перед инвесторами;
• располагать разработанной системой учета и отчетности, точно и
полно отражающей операции с ценными бумагами.
Если брокер занимается и дилерской деятельностью, он обязан уведомить
об этом своих клиентов. В обязанность брокера входит добросовестное
выполнение поручений клиентов. Их интересы он должен ставить
на первое место и выполнять их в порядке поступления.
Взаимоотношения брокера и клиента строятся на договорной основе.
При этом может использоваться как договор поручения, так и договор
комиссии. Если заключен договор поручения, то это означает, что
брокер будет выступать в роли поверенного, т.е. от имени клиента и за
счет клиента. В этом случае стороной по заключенным сделкам является
клиент, и он несет ответственность за исполнение сделки. Если же
предпочтение отдается договору комиссии, то при заключении сделки
брокер выступает в роли комиссионера, т.е. от своего имени, но действует
в интересах клиента и за его счет. Стороной по сделке в данном
случае выступает брокер, и он несет ответственность за ее исполнение.
По существующему законодательству клиент до исполнения договора
имеет право в одностороннем порядке прекратить его действие.
Исполнением договора поручения или комиссии считается передача
клиенту официального извещения брокера о заключении сделки. Как
правило, брокер регистрирует заключенную сделку и контролирует
смену собственника — своевременное внесение в реестр акционеров
необходимых изменений.
Брокер может действовать также на основании доверенности на совершение
таких сделок при отсутствии указаний на полномочия поверенного
или комиссионера в договоре.
В случае работы по договору комиссии клиент перечисляет на свой
клиентский счет в брокерской конторе необходимую сумму денежных
средств для обеспечения планируемых сделок. Клиент дает распоряжение
на заключение сделки за свой счет, используя утвержденные средства
связи, например, телефон с записью разговора и (или) факс.
Персональный менеджер принимает заявку от клиента по телефону (факсу),
оформляет и передает ее трейдеру на исполнение.
В процессе исполнения заявки брокеру важно иметь возможность
оперативной связи с клиентом для корректировки условий заявки в случае
изменения рынка. Исполненная заявка оформляется поручением и
отчетом в письменном виде по цене фактического исполнения. Брокер
представляет клиенту оперативный отчет, содержащий всю информацию
по каждой конкретной сделке и по портфелю в целом (временной
график прохождения расчетов, фактический и ожидаемый остатки и т.д.).
После проведения перерегистрации акций брокер представляет клиенту
выписки со счета депо для отражения зачисления (списания) акций по
балансу клиента.
Один раз в месяц брокер представляет клиенту сводный отчет и проводит
расчеты по начисленному за это время вознаграждению и затратам
комиссионера. По желанию клиент в любой момент может отозвать
свободные денежные средства со своего клиентского счета либо сделать
дополнительное перечисление. Работая по договору комиссии, брокер
обеспечивает надежность прохождения всех взаиморасчетов по сделке
и несет ответственность перед контрагентом (включая уплату возможных
штрафных санкций). От клиента требуется только отдача
распоряжений на покупку (продажу), предоставление некоторых документов
(например, в отдельных случаях — распоряжение на перевод
ценных бумаг) и подтверждение поручений и отчетов «живой» подписью
и печатью.
Главным отличием договора поручения является тот факт, что все
права и обязанности по сделке возникают непосредственно у клиента
(доверителя), а не у брокера (поверенного). Однако при работе в Российской
торговой системе (РТС) все зарегистрированные участники
обязаны выполнять, кроме норм гражданского законодательства, также
и правила торговли этой системы. Согласно этим правилам, участник
РТС обязан выступать поручителем за своего клиента перед
контрагентом и исполнять за него все обязательства по сделке, включая
поставку акций и уплату штрафных санкций. В этом случае брокер
старается сделать все необходимое для корректного исполнения
сделки клиентом.
После заключения сделки по поручению клиента и подписания с
контрагентом договора купли-продажи (первоначально по факсу) брокер
пересылает данный договор, содержащий все существенные условия
сделки, своему клиенту.
В случае покупки акций брокер пересылает уведомление о зачислении
акций на счет депо клиента, дает ему команду на оплату постав-
ленных акций и сообщает о необходимости предоставления клиентом
дополнительных документов для прохождения сделки (в отдельных случаях).
Если, несмотря на это, клиент не надлежаще исполняет свои обязательства,
вследствие чего брокер несет издержки как поручитель, то
в ряде случаев договор поручения (брокерский договор) предусматривает
обязательство клиента компенсировать данные издержки в большем
размере. Удвоение штрафных санкций предусмотрено для того,
чтобы клиентам ни при каких рыночных условиях не было выгодно нарушать
условия договора, не говоря уже об умышленном не исполнении
обязательств. Любое нарушение обязательств по сделкам, в которых
брокер выступает поручителем, рассматривается как нанесение морального
ущерба компании и подрыв репутации перед другими профессиональными
участниками.
Таким образом, основными функциями брокера являются:
• совершение гражданско-правовых сделок с ценными бумагами в
качестве комиссионера;
• совершение гражданско-правовых сделок с ценными бумагами в
качестве поверенного;
• обеспечение надлежащего хранения и отдельный учет ценных бумаг
клиентов в соответствии с требованиями ФКЦБ России;
• принятие на себя ручательства за исполнение сделки купли-продажи
ценных бумаг третьим лицом;
• информационное, методическое, правовое, аналитическое и консультационное
сопровождение операций с ценными бумагами;
• доведение до сведения клиентов всей необходимой информации,
включая информацию о существующих рисках;
• раскрытие информации о своих операциях с ценными бумагами в
случаях и порядке, предусмотренных действующим законодательством.
Вторым профессиональным посредником на рынке ценных бумаг
является дилер.
Дилером называется профессиональный участник рынка ценных бу-
.маг, осуществляющий дилерскую деятельность. В Федеральном законе
«О рынке ценных бумаг» определено, что «дилерской деятельностью
признается совершение сделок купли-продажи ценных бумаг от своего
имени и за свой счет путем публичного объявления цен покупки и (или)
продажи определенных ценных бумаг с обязательством покупки и (или)
продажи определенных ценных бумаг по объявленным лицом, осуществляющим
такую деятельность, ценам». Дилером может быть только
юридическое лицо, являющееся коммерческой организацией.
Доход дилера состоит из разницы цен продажи и покупки.
Поэтому дилер должен постоянно контролировать и учитывать меняющуюся
конъюнктуру рынка. Обычно он специализируется на определенных
видах ценных бумаг, но крупные организации могут обслуживать рынок
ценных бумаг в целом.
Выступая в роли оператора рынка, дилер объявляет цену продажи и
покупки, минимальное и максимальное количество покупаемых и (или)
продаваемых бумаг, а также срок, в течение которого действуют объявленные
цены.
На российском рынке в роли дилера может выступать инвестиционная
компания, одной из функций которой является вложение средств в
ценные бумаги, осуществление сделок с ними от своего имени, в том
числе путем их котировки.
Функциями дилера являются:
• совершение сделок купли-продажи ценных бумаг за свой счет и от
своего имени путем публичного объявления цен покупки и (или) продажи
определенных ценных бумаг по объявленным дилером ценам;
• дополнительные обязательства по обеспечению ликвидности рынка
ценных бумаг;
• раскрытие информации о своих операциях с ценными бумагами
в случаях и порядке, предусмотренных действующим законодательством.
В рамках дилерской деятельности участник торговли может принимать
на себя дополнительные обязательства по обеспечению ликвидности
рынка ценных бумаг. Эти действия участника торговли затрагивают
прежде всего процесс формирования рыночной стоимости
конкретных ценных бумаг. Такие участники торговли являются маркет-
мейкерами.
Нарицательная стоимость — это стоимость ценной бумаги
как титула. В своей денежной форме нарицательная стоимость
является ценной бумагой.
Номинал представляет собой сумму денег, которая закрепляется за
конкретной ценной бумагой на стадии ее выпуска и которая представляет
собой денежную оценку действительного капитала в момент его
обмена на титул либо на стадии выпуска, либо на стадии гашения. На
основе номинала ценной бумаги исчисляются те или иные показатели
капитала юридического лица, обязанного по этой ценной бумаге, а также
устанавливается (рассчитывается) начисляемый доход, т.е. по сути
плата за использование капитала, титулом или представителем которого
и является данная ценная бумага. В практике начисляемый доход
существует в двух формах: в форме дивиденда (по акциям) и процента
(по остальным ценным бумагам).
Номинал может выражаться суммой денег, закрепленной за конкретным
имуществом (товаром). Это имеет место, когда ценная бумага есть
представитель товара (товарного капитала) и по сути ее номиналом
является этот товар, имеющий определенную денежную оценку.
ценных бумаг обязанными могут быть только юридические лица.
Исключение составляет вексель, по которому обязанными могут быть
и граждане. Однако в современной практике такие случаи практически
отсутствуют. Главное обязанное лицо по ценной бумаге это тот, кто
ее выпустил путем обмена титула на действительный капитал, нпи эмитент.
Эмитенты обычно делятся на две группы: государство и корпорации
(все остальные юридические лица), соответственно выпускаемые
ими ценные бумаги называются государственными и корпоративными.
Обязанное по ценной бумаге лицо отвечает перед се владельцем за
реальность всех прав по ней, за их исполнение.
ИНВЕСТОРЫ
Значение инвестора на фондовом рынке трудно переоценить.Рынок любой ценной бумаги существует и развивается, если в
его основе лежит интерес инвестора к ее приобретению. Поэтому понять
интересы инвестора, предложить ему именно те ценные бумаги,
которые соответствуют его запросам, — ключ к успеху.
Федеральный закон «О рынке ценных бумаг» определяет инвестора
как лицо, которому ценные бумаги принадлежат на праве собственности
(собственник) или ином вещном праве (владелец).
Кроме того, введено понятие добросовестного приобретателя. Им
считается лицо, которое приобрело ценные бумаги, произвело их оплату
и в момент приобретения не знало и не могло знать о правах третьих
лиц на эти ценные бумаги, если не доказано иное.
Инвесторов можно классифицировать по ряду признаков. Наиболее
значимым можно считать их статус. Тогда инвесторов можно разделить
на физических лиц, корпоративных и коллективных инвесторов и государство
(рис. 12).
Если основным эмитентом на рынке ценных бумаг является государство,
то основным инвестором, определяющим состояние фондового
рынка, — физическое лицо, использующее свои сбережения для приобретения
ценных бумаг с целью получения дополнительных доходов
и выступающее в качестве поставщика капитала на рынок ценных
бумаг.
Основной круг инвесторов, вложивших свои средства в акции, —
это работники приватизированных предприятий, которые на начало
1996 г. являлись самой мощной группой собственников российских акционерных
обществ и на долю которых приходилось 40% акций этих
предприятий.
Юридические лица, не имеющие лицензии на право осуществления
профессиональной деятельности на рынке ценных бумаг в качестве посредников,
но приобретающие ценные бумаги от своего имени и за свой
счет, составляют группу институциональных инвесторов.
Трудно представить, что государство, имея дефицит в бюджетах всех
уровней, как, например, Россия, будет заниматься приобретением ценных
бумаг. Однако в ряде случаев государство выступает стратегическим
инвестором, цель которого — изменить форму собственности,
стабилизировать рынок, получить доход от вложения средств в международные
рынки, диверсифицировать свои ресурсы и т.д.

Состав инвесторов на рынке ценных бумаг
Также двойственна позиция корпоративных инвесторов, к которым
относятся предприятия и организации, располагающие денежными средствами,
но не имеющие возможности осуществлять собственные инвестиции.
С одной стороны, предприятие эмитирует ценные бумаги с целью
привлечения финансовых ресурсов, а с другой — ищет прибыльного
размещения своих временно свободных денежных средств. Соотношение
этих направлений деятельности предприятий зависит от совокупности
макро- и микроэкономических факторов. Спад производства и сокращение
источников финансирования собственного производства побуждают
предприятия к вложениям в государственные ценные бумаги.
Классификацию инвесторов можно проводить в зависимости от цели
инвестирования. Тогда их делят на стратегических, портфельных и спекулянтов.
Стратегический инвестор предполагает получить собственность,
завладев контролем над акционерным обществом, и рассчитывает получать
доход от использования этой собственности, который, безусловно,
будет отличаться от дохода миноритарного акционера'.
Кроме того, стратегический инвестор может ставить своей задачей расширение сферы влияния, приобретение контроля в перераспределении собственности,
в том числе с помощью слияний и жестких поглощений.
Портфельный инвестор рассчитывает лишь на доход от принадлежащих
ему ценных бумаг, поэтому вопросы: что покупать, как покупать,
где покупать и когда покупать — для него всегда актуальны.
Прежде чем ответить на эти вопросы, инвестор должен определить,
с какой целью он осуществляет вложение средств в ценные бумаги (финансовые
инструменты), насколько он готов рисковать при инвестировании
ресурсов, что для него важнее, безопасность вложения средств и
их сохранение или высокий уровень доходности при соответственно
большом риске вложений.
Поэтому в основу дальнейшей классификации инвесторов можно положить
цель инвестирования и отношение к риску. Данная классификация
отражает соотношение между доходом и риском. В зависимости от
этого признака инвесторов принято подразделять на следующие группы:
• консервативный, или робкий, инвестор, который не расположен к
высокому риску и имеет целью обеспечить безопасность вложений даже
при минимуме доходности;
• умеренно-агрессивный, «средний», инвестор, находящийся на перепутье
между робостью и агрессивностью, который стремится к безопасности
вложений, однако учитывает их доходность;
• агрессивный инвестор имеет целью высокую доходность и рост
курсовой стоимости, ликвидность ценных бумаг (акций в первую очередь);
• изощренный инвестор, строящий свою стратегию таким образом,
чтобы получать максимальные доходы;
• нерациональный инвестор — тот, который вкладывает деньги в
ценные бумаги, не имея четко сформированных целей.
Каждая группа инвесторов использует обычно свои инвестиционные
инструменты и имеет инвестиционную стратегию, отличную от инвестиционной
стратегии другой группы.
В зависимости от этого различают инвестиционные инструменты,
которые используются той или иной группой инвесторов, а также их
инвестиционные стратегии. Многое зависит от психологии инвестора и
от системного правовой защиты. Инвестиционные предпочтения инвестора
формируются в процессе эволюции фондового рынка, и при конструировании
новых финансовых продуктов необходимо учитывать
внешние условия спроса на рынке ценных бумаг на те или иные продукты
с заданными инвестиционными характеристиками.
Инвесторов в зависимости от их местонахождения принято делить
на резидентов и нерезидентов.
ОПРЕДЕЛЕНИЯ
Эмитент — юридическое лицо, группа юридических лиц, связанных
между собой договором, или органы государственной власти и местного
самоуправления, несущие от своего имени обязательства перед инвесторами
по осуществлению прав, удостоверенных ценной бумагой.
Инвестор — лицо, которому ценные бумаги принадлежат на праве
собственности (собственник) или ином вещном праве (владелец).
Институциональные инвесторы — юридические лица, которые не
имеют лицензии на право осуществления профессиональной деятельности
на рынке ценных бумаг в качестве посредников, но приобретающие
ценные бумаги от своего имени и за свой счет.
ГЛАВНЫЕ ВЫВОДЫ
Эмитенты на рынке ценных бумаг выступают в роли первоначальных
продавцов — поставщиков ценных бумаг, они формируют спрос
на деньги и предложение на ценные бумаги. По своему составу эмитенты
достаточно разнообразны: от государственных до частных предприятий.
Наиболее крупным и высоконадежным эмитентом в мировой практике
являются государственные органы. Выпускаемые ими ценные бумаги
— низко рискованные (без рисковые), но и низко доходные. Вместе с
тем самым распространенным (многочисленным) эмитентом являются
акционерные общества (корпорации).
Инвестор на рынке ценных бумаг занимает противоположную позицию
— он является покупателем ценных бумаг, т.е. он формирует предложение
денег и спрос на ценные бумаги. Инвесторов принято делить по
их статусу (государство, физические лица, институциональные и корпоративные
инвесторы), по цели инвестирования (стратегический и портфельный
инвесторы), относительно к риску (консервативный, «средний
», агрессивный, изощренный, нерациональный), местонахождению
(резидент, нерезидент).
Участники рынка ценных бумаг, обеспечивающие его нормальное функционирование
ФОНДОВЫЕ БРОКЕРЫ И ДИЛЕРЫТретья rpyinia участников рынка ценных бумаг представлена
профессиональными участниками, к которым, согласно Федеральному
закону «О рынке ценных бумаг», следует отнести юридических лиц.
в том числе и кредитные организации, а также граждан (физических лиц),
зарегистрированных в качестве предпринимателей и специализирующихся
на оказании услуг всем участникам фондового рынка.
Понятие профессионального участника рынка ценных бумаг в Российской
Федерации по мере его развития и создания законодательной
базы претерпевало некоторые изменения, как и присущие участникам
виды деятельности. В настоящее время в соответствии с Федеральным
законом «О рьн1ке ценных бумаг» к профессиональной относятся
следующие виды деятельности:
• брокерская;
• дилерская;
• по управлению ценными бумагами;
• по определению взаимных обязательств (клиринг);
• депозитарная;
• по ведению реестра владельцев ценных бумаг;
• по организации торговли на рынке ценных бумаг.
Брокерская и дилерская виды деятельности и деятельность по управлению
ценными бумагами являются разновидностями посреднической
деятельности.
Как для самого рынка ценных бумаг, так и для его участников посредники
жизненно необходимы. Они взаимо связывают и объединяют
всех субъектов рынка. Наличие такого понятия как «профессиональный
посредник» способствует решению следующих задач: развитие
рынка, проведение государственной политики, обеспечение гарантий
защиты прав инвесторов, развитие современных технологий рынка ценных
бумаг, повышение уровня профессионализма.
Профессиональное посредничество как экономическая категория
представляет собой специализированную деятельность на фондовом
рынке по перераспределению денежных ресурсов, использующую в качестве
носителя денежной стоимости ценные бумаги, по организационно-
техническому и информационному обслуживанию выпуска и обращения
ценных бумаг, которая ведется, как правило, на исключительной
или преимущественной основе. Эта деятельность должна быть
признана государством и участниками фондового рынка и соответствовать
квалификационным требованиям, критериям финансовой
устойчивости, приемлемого уровня риска, требованиям раскрытия
информации и соблюдения деловой этики.
Другими словами, посредническая деятельность — это деятельность
по обеспечению взаимосвязи поставщиков и потребителей капитала на
рынке ценных бумаг, а также по их обслуживанию.
Профессиональная посредническая деятельность развивается адекватно
только в условиях экономической стабильности. Отсюда также
вытекает условие наличия эффективного рынка ценных бумаг, такого,
при котором цены на инструменты рынка отражают реальную их стоимость.
В этом случае кризисные явления в меньшей степени могут отразиться
на посреднических структурах рынка ценных бумаг.
Следующим условием является наличие детально продуманного законодательства,
которое в равной степени учитывает интересы как самих
посредников, так и их клиентов, а также в случае возникновения
конфликтов позволяет разрешать их должным образом.
Важным является наличие инфраструктуры для посреднической деятельности
на рынке ценных бумаг, причем работа инфраструктуры должна
быть хорошо налажена и организована, все ее компоненты (депозитарии,
регистраторы, торговые площадки) должны работать согласованно
и в интересах друг друга и посредника.
Организация отлаженной системы подготовки квалифицированного
персонала для работы на рынке ценных бумаг также является непременным условием.
Эта система должна обеспечивать обучение, аттестацию
и повышение квалификации, желательно в комплексе.
Посредники — это юридические и (или) физические лица, которые
являются связующим звеном рынка между покупателем и продавцом,
или, говоря точнее, между первичными владельцами денежных средств
и их конечными пользователями. В укрупненной схеме рынка ценных
бумаг посредники представлены как элемент третьего уровня. Их можно
разделить на две группы:
• финансовые посредники;
• посредники, для которых посредническая деятельность — это профессиональный
вид деятельности.
Финансовые посредники преимущественно работают на финансовом
рынке, и рынок ценных бумаг для них является частью финансового
рынка. На этом рынке такие посредники взаимодействуют с хозяйственными
субъектами, населением (физическими лицами) и между собой. Они
предназначены для того, чтобы аккумулировать небольшие и краткосрочные
сбережения (временно свободные денежные средства) для долгосрочного
инвестирования (реального и финансового). В международной
практике финансовых посредников делят на следующие типы:
• депозитные (коммерческие банки, сберегательно- кредитные ассоциации,
взаимные сберегательные банки, кредитные союзы) - принимают
вклады под проценты и аккумулированные средства используют
для кредитования или долгосрочного инвестирования;
• контрактно- сберегательные (государственные и частные пенсионные
фонды, компании по страхованию) — принимают взносы для их
выдачи в последующем;
• инвестиционые (паевые и инвестиционные фонды, инвестиционные
компании, траст-фонды) — выступают в качестве коллективного
инвестора.
К посредникам второй группы относятся брокеры и дилеры.
Брокером считают профессионального участника рынка ценных бумаг,
который занимается брокерской деятельностью. В соответствии с
Федеральным законом «О рынке ценных бумаг» «...брокерской деятельностью
признается совершение гражданско-правовых сделок с ценными
бумагами в качестве поверенного или комиссионера, действующего
на основе договора-поручения или комиссии либо доверенности на совершение
таких сделок».
В качестве брокера могут выступать как физические, так и юридические
лица. Профессиональная брокерская деятельность на фондовом
рынке выполняется на основании лицензии, полученной в установленном
порядке. Брокер получает эту лицензию в Федеральной комиссии по
рынку ценных бумаг (ФКЦБ России) или в уполномоченных его организациях,
получивших у нее генеральную лицензию.
Законом допускается совмещение брокерской деятельности с другими видами деятельности на рынке ценных бумаг.
Для деятельности на рынке ценных бумаг брокеры или брокерская
организация должны отвечать следующим требованиям;
• иметь в штате специалистов, у которых есть квалификационные
аттестаты;
• обладать установленным минимальным собственным капиталом,
необходимым для материальной ответственности перед инвесторами;
• располагать разработанной системой учета и отчетности, точно и
полно отражающей операции с ценными бумагами.
Если брокер занимается и дилерской деятельностью, он обязан уведомить
об этом своих клиентов. В обязанность брокера входит добросовестное
выполнение поручений клиентов. Их интересы он должен ставить
на первое место и выполнять их в порядке поступления.
Взаимоотношения брокера и клиента строятся на договорной основе.
При этом может использоваться как договор поручения, так и договор
комиссии. Если заключен договор поручения, то это означает, что
брокер будет выступать в роли поверенного, т.е. от имени клиента и за
счет клиента. В этом случае стороной по заключенным сделкам является
клиент, и он несет ответственность за исполнение сделки. Если же
предпочтение отдается договору комиссии, то при заключении сделки
брокер выступает в роли комиссионера, т.е. от своего имени, но действует
в интересах клиента и за его счет. Стороной по сделке в данном
случае выступает брокер, и он несет ответственность за ее исполнение.
По существующему законодательству клиент до исполнения договора
имеет право в одностороннем порядке прекратить его действие.
Исполнением договора поручения или комиссии считается передача
клиенту официального извещения брокера о заключении сделки. Как
правило, брокер регистрирует заключенную сделку и контролирует
смену собственника — своевременное внесение в реестр акционеров
необходимых изменений.
Брокер может действовать также на основании доверенности на совершение
таких сделок при отсутствии указаний на полномочия поверенного
или комиссионера в договоре.
В случае работы по договору комиссии клиент перечисляет на свой
клиентский счет в брокерской конторе необходимую сумму денежных
средств для обеспечения планируемых сделок. Клиент дает распоряжение
на заключение сделки за свой счет, используя утвержденные средства
связи, например, телефон с записью разговора и (или) факс.
Персональный менеджер принимает заявку от клиента по телефону (факсу),
оформляет и передает ее трейдеру на исполнение.
В процессе исполнения заявки брокеру важно иметь возможность
оперативной связи с клиентом для корректировки условий заявки в случае
изменения рынка. Исполненная заявка оформляется поручением и
отчетом в письменном виде по цене фактического исполнения. Брокер
представляет клиенту оперативный отчет, содержащий всю информацию
по каждой конкретной сделке и по портфелю в целом (временной
график прохождения расчетов, фактический и ожидаемый остатки и т.д.).
После проведения перерегистрации акций брокер представляет клиенту
выписки со счета депо для отражения зачисления (списания) акций по
балансу клиента.
Один раз в месяц брокер представляет клиенту сводный отчет и проводит
расчеты по начисленному за это время вознаграждению и затратам
комиссионера. По желанию клиент в любой момент может отозвать
свободные денежные средства со своего клиентского счета либо сделать
дополнительное перечисление. Работая по договору комиссии, брокер
обеспечивает надежность прохождения всех взаиморасчетов по сделке
и несет ответственность перед контрагентом (включая уплату возможных
штрафных санкций). От клиента требуется только отдача
распоряжений на покупку (продажу), предоставление некоторых документов
(например, в отдельных случаях — распоряжение на перевод
ценных бумаг) и подтверждение поручений и отчетов «живой» подписью
и печатью.
Главным отличием договора поручения является тот факт, что все
права и обязанности по сделке возникают непосредственно у клиента
(доверителя), а не у брокера (поверенного). Однако при работе в Российской
торговой системе (РТС) все зарегистрированные участники
обязаны выполнять, кроме норм гражданского законодательства, также
и правила торговли этой системы. Согласно этим правилам, участник
РТС обязан выступать поручителем за своего клиента перед
контрагентом и исполнять за него все обязательства по сделке, включая
поставку акций и уплату штрафных санкций. В этом случае брокер
старается сделать все необходимое для корректного исполнения
сделки клиентом.
После заключения сделки по поручению клиента и подписания с
контрагентом договора купли-продажи (первоначально по факсу) брокер
пересылает данный договор, содержащий все существенные условия
сделки, своему клиенту.
В случае покупки акций брокер пересылает уведомление о зачислении
акций на счет депо клиента, дает ему команду на оплату постав-
ленных акций и сообщает о необходимости предоставления клиентом
дополнительных документов для прохождения сделки (в отдельных случаях).
Если, несмотря на это, клиент не надлежаще исполняет свои обязательства,
вследствие чего брокер несет издержки как поручитель, то
в ряде случаев договор поручения (брокерский договор) предусматривает
обязательство клиента компенсировать данные издержки в большем
размере. Удвоение штрафных санкций предусмотрено для того,
чтобы клиентам ни при каких рыночных условиях не было выгодно нарушать
условия договора, не говоря уже об умышленном не исполнении
обязательств. Любое нарушение обязательств по сделкам, в которых
брокер выступает поручителем, рассматривается как нанесение морального
ущерба компании и подрыв репутации перед другими профессиональными
участниками.
Таким образом, основными функциями брокера являются:
• совершение гражданско-правовых сделок с ценными бумагами в
качестве комиссионера;
• совершение гражданско-правовых сделок с ценными бумагами в
качестве поверенного;
• обеспечение надлежащего хранения и отдельный учет ценных бумаг
клиентов в соответствии с требованиями ФКЦБ России;
• принятие на себя ручательства за исполнение сделки купли-продажи
ценных бумаг третьим лицом;
• информационное, методическое, правовое, аналитическое и консультационное
сопровождение операций с ценными бумагами;
• доведение до сведения клиентов всей необходимой информации,
включая информацию о существующих рисках;
• раскрытие информации о своих операциях с ценными бумагами в
случаях и порядке, предусмотренных действующим законодательством.
Вторым профессиональным посредником на рынке ценных бумаг
является дилер.
Дилером называется профессиональный участник рынка ценных бу-
.маг, осуществляющий дилерскую деятельность. В Федеральном законе
«О рынке ценных бумаг» определено, что «дилерской деятельностью
признается совершение сделок купли-продажи ценных бумаг от своего
имени и за свой счет путем публичного объявления цен покупки и (или)
продажи определенных ценных бумаг с обязательством покупки и (или)
продажи определенных ценных бумаг по объявленным лицом, осуществляющим
такую деятельность, ценам». Дилером может быть только
юридическое лицо, являющееся коммерческой организацией.
Доход дилера состоит из разницы цен продажи и покупки.
Поэтому дилер должен постоянно контролировать и учитывать меняющуюся
конъюнктуру рынка. Обычно он специализируется на определенных
видах ценных бумаг, но крупные организации могут обслуживать рынок
ценных бумаг в целом.
Выступая в роли оператора рынка, дилер объявляет цену продажи и
покупки, минимальное и максимальное количество покупаемых и (или)
продаваемых бумаг, а также срок, в течение которого действуют объявленные
цены.
На российском рынке в роли дилера может выступать инвестиционная
компания, одной из функций которой является вложение средств в
ценные бумаги, осуществление сделок с ними от своего имени, в том
числе путем их котировки.
Функциями дилера являются:
• совершение сделок купли-продажи ценных бумаг за свой счет и от
своего имени путем публичного объявления цен покупки и (или) продажи
определенных ценных бумаг по объявленным дилером ценам;
• дополнительные обязательства по обеспечению ликвидности рынка
ценных бумаг;
• раскрытие информации о своих операциях с ценными бумагами
в случаях и порядке, предусмотренных действующим законодательством.
В рамках дилерской деятельности участник торговли может принимать
на себя дополнительные обязательства по обеспечению ликвидности
рынка ценных бумаг. Эти действия участника торговли затрагивают
прежде всего процесс формирования рыночной стоимости
конкретных ценных бумаг. Такие участники торговли являются маркет-
мейкерами.
Нарицательная стоимость — это стоимость ценной бумаги
как титула. В своей денежной форме нарицательная стоимость
является ценной бумагой.
Номинал представляет собой сумму денег, которая закрепляется за
конкретной ценной бумагой на стадии ее выпуска и которая представляет
собой денежную оценку действительного капитала в момент его
обмена на титул либо на стадии выпуска, либо на стадии гашения. На
основе номинала ценной бумаги исчисляются те или иные показатели
капитала юридического лица, обязанного по этой ценной бумаге, а также
устанавливается (рассчитывается) начисляемый доход, т.е. по сути
плата за использование капитала, титулом или представителем которого
и является данная ценная бумага. В практике начисляемый доход
существует в двух формах: в форме дивиденда (по акциям) и процента
(по остальным ценным бумагам).
Номинал может выражаться суммой денег, закрепленной за конкретным
имуществом (товаром). Это имеет место, когда ценная бумага есть
представитель товара (товарного капитала) и по сути ее номиналом
является этот товар, имеющий определенную денежную оценку.
УПРАВЛЯЮЩИЕ КОМПАНИИ И ДЕЯТЕЛЬНОСТЬ ПО УПРАВЛЕНИЮ ЦЕННЫМИ БУМАГАМИ
Глава 1 Глава 2 Глава 3
Одним из профессиональных участников рынка ценных
бумаг могут быть управляющие компании, независимо от конкретной юридической
формы их организации, но имеющие государственную лицензию
на деятельность по управлению ценными бумагами. В соответствии
с Федеральным законом «О рынке ценных бумаг» под деятельностью по
управлению ценными бумагами признается осуществление юридическим
лицом или индивидуальным предпринимателем от своего имени за вознаграждение
в течение определенного срока доверительного управления
переданными ему во владение и принадлежащими другому ;шцу в интересах
этого лица или указанных этим лицом третьих лиц:
• ценными бумагами и денежными средствами, предназначенными
для инвестирования в ценные бумаги;
• ценными бумагами и денежными средствами, которые компания
получает в процессе своей деятельности на рынке ценных бумаг.
Экономический смысл функционирования управляющих компаний и
их деятельности на рынке ценных бумаг состоит в том, что они могут
обеспечивать:
• как правило, лучшие результаты от управления ценными бумагами
клиентов по сравнению с деятельностью последних за счет своего
профессионализма;
• более низкие затраты, связанные с операциями на фондовых рынках,
за счет масштабов своей деятельности;
• эффективность операций за счет одновременной работы в разных
секторах рынка и (или) в разных странах.
Профессиональный участник рынка ценных бумаг, который осуществляет
деятельность по управлению ценными бумагами, носит название
«управляющий». Собственник имущества, переданного в доверительное
управление (ценных бумаг и денежных средств), называется учредителем
управления. Лицо, в интересах которого происходит управление
ценными бумагами, считается выгодо приобретателем. Согласно определению,
Выгодо приобретателем может быть либо сам учредитель управления,
либо названное им третье лицо.
В России, как правило, в роли управляющего выступает коммерческий
банк, который заключает с учредителем управления специальный
договор, определяющий права и обязанности сторон, а также порядок
действий по управлению ценными бумагами и денежными средствами.
или иной страны, исторических традиций и особенностей формирования
национальных фондовых рынков банки могут играть на них различную
роль.
Основная теоретическая и практическая проблема здесь состоит в
том, как отделить риски, свойственные обычным «классическим» банковским
операциям (депозитно -ссудным и расчетным), от рисков, возникающих
в связи с участием банков на фондовом рынке.
Мировая практика знает два подхода к проблеме сочетания обычной
банковской деятельности с деятельностью на рынке ценных бумаг.
Согласно одному из подходов, банкам должно быть запрещено заниматься
некоторыми видами профессиональной деятельности на рынке
ценных бумаг (брокерской, дилерской, организатора рынка), а также
должны быть существенно ограничены отдельные виды непрофессиональной
деятельности в качестве инвесторов (вложения в негосударственные
ценные бумаги, кроме дочерних банковских и финансовых
компаний).
Этот подход применяется в США, где разделение универсальных
банков на коммерческие и инвестиционные на рубеже 30-х годов XX в.
было введено как реакция на волну массовых банкротств банков. Причиной
этих банкротств была чрезмерная активность банков по вложению
привлеченных средств клиентов в негосударственные ценные бумаги
и по предоставлению гарантий по таким ценным бумагам. Жестокий
экономический кризис и депрессия привели к массовому разорению
компаний, обесценению их ценных бумаг и как следствие — к цепочке
банкротств банков. Свою роль сыграло также отсутствие должного
государственного регулирования банковской инвестиционной деятельности.
В результате экономического кризиса система рынка ценных
бумаг и банковская система США были настолько разрушены, ослаблены
и дискредитированы, что пришлось фактически заново перестраивать
систему государственного регулирования финансового рынка (как
рынка ценных бумаг, так и банковской системы). На этом фоне концепция
разделения банков на коммерческие и инвестиционные (так называемый
«закон Гласса — Стигала») была легко принята и, надо отдать
должное, в течение нескольких десятилетий успешно решала поставленную
перед ней задачу — защиту средств массовых вкладчиков от рисков,
свойственных инвестициям в ценные бумаги.
В течение последнего десятилетия в США наблюдается «размыванием
границ между инвестиционными и коммерческими банками путем принятия
постепенных поправок в законодательство, расширяющих компетенцию
коммерческих банков, а также путем внедрения новых видов банковских
операций (особенно с производными финансовыми инструментами),
которые прямо не подпадают под существующие ограничения.
Второй подход представляет собой разрешение банкам сочетают
обычные банковские операции с большинством операций на рынке ценных
бумаг (как профессиональных, так и непрофессиональных). Taкой
подход преобладает в европейских странах и принят в качестве основного
для будущей объединенной Европы.
Согласно этому подходу, ограничение риска банковских инвестиционных операций должно осуществляться не «хирургическими» методами прямого разделения функций,
а путем введения специальных «встроенных» ограничителей, дестимулирующих чрезмерные инвестиции банков в ценные бумаги, путем надлежащего
государственного контроля за банковской деятельностью, а
также повышенного внимания к проблеме конфликта интересов при операциях
на финансовых рынках.
В наиболее завершенном виде этот подход преобладает в Германии,
где по законодательству исключительно банковские организации имеют
право на основании специальной лицензии работать с финансовыми
средствами клиентов как в области «классических» банковских операций,
так и в области инвестиционной деятельности и обслуживания такой
деятельности (например, в качестве депозитариев).
Под влиянием конкуренции в Европе некоторые банки сами внедряют
в свою деятельность концепцию специализации и разделения различных
банковских функций по разным филиалам и дочерним обществам. При
этом, однако, необходимо подчеркнуть принцип добровольности, самостоятельности
в выборе банковской стратегии, законодательно закрепленную
возможность при необходимости сочетать разные банковские
операции в рамках одного юридического лица.
С момента возрождения современной российской банковской системы
(конец 8()-х — начало 90-х годов) законодательство придерживалось
второго подхода — универсальности банков.
По банковскому законодательству банки в России являются универсальными
банками, т.е. совмещают обычные банковские операции с
операциями на рынке ценных бумаг (непрофессиональными и профессиональными).
Российские банки осуществляют непрофессиональные операции с
ценными бумагами по общим правилам для инвесторов и эмитентов, а
также в рамках нормативов и по дополнительным правилам, установленным
Банком России. Необходимо отметить, что Банк России регулирует
непрофессиональную деятельность банков на рынке ценных бумаг
более жестко, чем иные российские государственные органы контролируют
подведомственные им коммерческие организации.
Профессиональная деятельность банков на рынке ценных бумаг осуществляется
по общим банковским лицензиям, выдаваемым Банком
России. При этом предполагается, что Банк России как единый надзорный
и контрольный орган имеет все полномочия проверять и при необходимости
регламентировать профессиональную деятельность банков,
в том числе и на рынке ценных бумаг. У Банка России для этого есть
возможность требовать обычную и специальную отчетность, право назначать
банковские проверки и при необходимости применять к банкам
санкции (как легкие, так и серьезные, вплоть до отзыва лицензии и ликвидации
банка).
Кроме того, по действующему российскому валютному законодательству
только банки, получившие на основании лицензии Банка России
право на ведение валютных операций, могут беспрепятственно осуществлять
как профессиональную, так и непрофессиональную деятельность
на зарубежных финансовых рынках.
При этом Банк России применяет ряд ограничений на инвестиционные
операции банков — повышенные коэффициенты риска при расчете
соотношения собственных средств банков и различных статей их
активов, а также значительные требования к созданию внутренних
банковских резервов под потенциальное обесценение вложений в ценные
бумаги.
Деятельность банков как инвесторов и эмитентов на рынке ценных
бумаг регулирует Банк России, включая установление правил бухгалтерского
учета и техники проведения операций.
Современное состояние дел на российском фондовом рынке позволяет
предположить, что в обозримом будущем банки будут занимать лидирующее
место как среди эмитентов и институциональных инвесторов,
так и среди профессиональных участников рынка ценных бумаг.
Например, на рынке государственных ценных бумаг банки самые
активные покупатели при их первичном размещении. Основной оборот
вторичного рынка с государственными ценными бумагами осуществляется
банками. Последние активно начинают приобретать акции предприятий
в целях создания финансово-промышленных групп и закрепления
своего влияния на производящие отрасли экономики.
Кроме того, инфраструктура российского фондового рынка будет
развиваться в дальнейшем за счет того, что именно банки будут предоставлять
массовым клиентам и другим профессиональным торговцам
услуги в области депозитарной, расчетно-денежной и клиринговой деятельности.
Итак, коммерческие банки в России могут выполнять все виды деятельности
и все виды операций на рынке ценных бумаг, разрешенные
действующим законодательством, как то:
• выступать в роли эмитентов и институциональных инвесторов;
• осуществлять брокерскую и дилерскую деятельность;
• управлять инвестициями фондами;
• проводить расчетное обслуживание участников рынка ценных бумаг;
• организовывать депозитарное обслуживание;
• предлагать консалтинговые услуги и т.п.
организации, которые по договору с эмитентом ведут реестр.
Реестром называется список владельцев именных ценных бумаг, составленный
на определенную дату. Задача регистратора состоит в том,
чтобы вовремя и без ошибок предоставить реестр эмитенту. А для чего
эмитенту нужен реестр? В первую очередь он нужен для того, чтобы
эмитент мог исполнить свои обязанности перед владельцами выпущенных
им ценных бумаг. Если максимально упростить ситуацию, то исполнение
обязанностей эмитента по именным ценным бумагам происходит
следующим образом. Сотрудники эмитента берут реестр и в соответствии
с ним (напомним, что реестр — это список, содержащий
необходимые реквизиты) переводят дивиденды или, например, рассылают
владельцам приглашение на собрание акционеров и т.п. Это и отличает
именные бумаги от предъявительских. По предъявительской бумаге
дивиденды выплачивают тому, кто пришел и предъявил сертификат,
а по именной бумаге — тому, кто числится в реестре. Кроме того, реестр
может понадобиться руководству эмитента для того, чтобы контролировать
состав владельцев, отслеживать попытки массовой скупки
акций и иные недружественные действия.
Акционерное общество может выполнять функции регистратора
само или передавать их выполнение сторонней организации, оказывающей
услуги по ведению реестров. Традиционно в роли таких организаций
выступают банки или специализированные регистраторы. (Отметим,
что в США регистраторов называют трансфер- агентами, в то время
как в России трансфер- агентами обычно являются организации,
которые сами реестр не ведут, а помогают инвестору и регистратору
произвести регистрацию смены собственности.) Эмитент заключает с
регистратором договор о ведении реестра и платит ему за выполняемую
работу. При этом эмитент может поручить ведение реестра только
одному регистратору, в то время как регистратор может вести реестр
для многих эмитентов.
Помимо своих основных функций регистраторы, как правило, исполняют
и дополнительные обязанности, тесно связанные с ведением
реестра. По документарным выпускам регистратор отвечает за выдачу
на руки сертификатов ценных бумаг и контроль за их обращением.
При смене владельца регистратор должен выписать сертификат на имя
нового владельца и при этом убедиться, что сданный ему для переоформления
сертификат действительно принадлежит тому, кто его сдал, а не
украден и не находится в розыске, т.е. регистратор учитывает права
собственности инвесторов на принадлежащие им ценные бумаги.
Кроме того, регистратор оформляет блокировку ценных бумаг, связанную
с арестом, залогом или другими операциями. Регистратор, как правило,
является агентом эмитента по выполнению корпоративных действий
в отношении ценных бумаг, таких, как сплит (расщепление акций на более
мелкие), консолидация, конвертация и др. Через регистратора эмитент
может передавать информационные сообщения своим инвесторам, регистратор
также может выступать в роли платежного агента эмитента.
Регистратор выполняет свои основные обязанности по сбору и передаче
реестра эмитенту следующим образом. Он ведет лицевые счета владельцев
ценных бумаг. На лицевом счете указано число принадлежащих
владельцу ценных бумаг, а также вся необходимая информация о владельце.
Если произошла сделка купли-продажи, то смена владельца должна
быть отмечена в реестре. Иначе эмитент будет законно продолжать
исполнять свои обязанности по отношению к прежнему владельцу.
Таким образом, лицевой счет представляет собой совокупность данных
о зарегистрированном лице, о принадлежащих ему ценных бумагах
и операциях с ними. Держатель реестра может вести следующие типы
лицевых счетов:
• эмиссионный счет эмитента — на него зачисляются ценные бумаги
эмитента, прошедшие в установленном порядке государственную регистрацию
выпуска, и списываются по мере размещения или погашения;
• лицевой счет эмитента — на него зачисляются размещенные акции
эмитента, выкупленные по требованию акционеров или приобретаемые
на баланс по решению совета директоров;
• лицевой счет зарегистрированного лица — счет, который открывается
владельцу, номинальному держателю, залогодержателю или доверительному
управляющему.
В реальности регистрационная деятельность в России может быть
затруднена. Например, крайне неудобно, когда для регистрации каждой
сделки приходится постоянно ездить к регистратору, особенно если
тот расположен далеко. Это очень замедляет исполнение сделок и повышает
стоимость регистрации. Да и эмитенту его реестр нужен не каждый
день, а лишь в определенные моменты. По всем этим причинам широкое
распространение получил институт «номинального держателя».
Номинальный держатель — это лицо, на которое в реестре записаны
ценные бумаги, тогда как на самом деле он не является их собственником.
Номинальный держатель сам ведет учет реальных собственников.
Если старый и новый собственники ценной бумаги открыли счета у номинального
держателя, то при купле-продаже меняется состояние счетов у номинального держателя, но общее количество ценных бумаг, записанных
на него, остается неизменным и состояние его счета у регистратора
не меняется.
Поэтому не нужно ехать к регистратору и оформлять
у него произведенную сделку. Смена собственника оформляется у
номинального держателя. Это очень удобно, если эмитент и его регистратор
находятся далеко от основных финансовых рынков. Институт номинальных
держателей позволяет приблизить место оформления смены
собственника к месту совершения большинства сделок и вследствие
этого значительно ускорить и удешевить регистрацию сделок. В те моменты,
когда эмитенту нужен полный реестр владельцев его бумаг, регистратор
посылает запрос номинальному держателю, и тот предоставляет
ему полный список истинных собственников, чьи счета он ведет.
Итак, основная обязанность регистратора — своевременное предоставление
реестра эмитенту. Другая обязанность регистратора, тесно
связанная с основной, — ведение лицевых счетов владельцев ценных
бумаг и номинальных держателей счетов, которые при бездокументарном
выпуске удостоверяют право собственности на ценные бумаги.
Таким образом, в деятельности регистратора, как правило, совмещаются
две основные обязанности — составлять реестры для эмитента и
учитывать права собственности инвесторов на ценные бумаги.
Во многих развитых странах институт регистраторов отсутствует
как таковой. Обязанности по сбору реестров и передаче их эмитентам с
успехом берет на себя депозитарная система. Подобная картина, как
правило, наблюдается в странах, которые в соответствии с рекомендациями
«группы тридцати» создали у себя центральный депозитарий.
Примерами таких стран являются Германия, Швеция и остальные скандинавские
страны, Швейцария и др. В некоторых странах (например, во
Франции) регистраторы все еще существуют, но вытеснены на периферию
фондового рынка. Все еще традиционно много регистраторов в
США, однако и там постоянно расширяющаяся депозитарная система
все больше и больше вытесняет регистраторов. Следует, по-видимому,
признать неперспективность регистраторского бизнеса. Депозитарные
системы, специально приспособленные для ведения ценно бумажных счетов
владельцев, легко выполняют побочную функцию по составлению
полного списка владельцев ценных бумаг данного вида, что, в конечном
счете, делает регистраторов ненужными.
Сейчас в России институт регистраторов развит достаточно сильно.
Ведение реестра самим эмитентом возможно только в том случае, если
число держателей его ценных бумаг не превышает 50 Регистратор,
являясь профессиональным участником рынка ценных бумаг, не может
совмещать эту деятельность с другими видами профессиональной
деятельности, т.е. деятельность по ведению реестра собственников именных
ценных бумаг рассматривается как исключительная.
В роли регистратора может выступать только юридическое лицо, имеющее соответствующую лицензию.
В соответствии с российским законодательством в обязанности держателя
реестра входит:
• вносить в систему ведения реестра все необходимые изменения и
дополнения;
• производить операции на лицевых счетах владельцев и номинальных
держателей ценных бумаг только по их поручению;
• доводить до зарегистрированных лиц информацию, предоставляемую
эмитентом;
• предоставлять зарегистрированным в системе ведения реестра владельцам
и номинальным держателям ценных бумаг, владеющим более
1% голосующих акций эмитента, данные из реестра об имени (наименовании)
зарегистрированных в нем владельцев и о количестве, категории
и номинальной стоимости принадлежащих им ценных бумаг;
• информировать зарегистрированных в системе ведения реестра владельцев
и номинальных держателей о правах, закрепленных ценными
бумагами, и о способах и порядке осуществления этих прав;
• строго соблюдать порядок передачи системы реестра при расторжении
договора с эмитентом.
Наиболее важными операциями на лицевых счетах владельцев и номинальных
держателей ценных бумаг можно считать следующие.
Открытие лицевого счета. С этой операции по существу и начинается
ведение реестра. Регистратор не сможет выполнить никакого указания
эмитента или инвестора, если не будет его лицевого счета. Физическое
лицо открывает лицевой счет либо само, либо поручает открыть
его своему уполномоченному представителю. Лицевой счет юридического
лица может быть открыт только его уполномоченным представителем.
Важным моментом при открытии лицевого счета является собственноручная
подпись физического лица или должностного лица, имеющего
право действовать от имени юридического лица без доверенности.
Внесение изменений в информацию лицевого счета о зарегистрированном
лице. Если у зарегистрированного лица происходят какие-либо
изменения в информации, включаемой в анкету зарегистрированного
лица (наименование для юридического лица, почтовый адрес, номер телефона
и т.д.), то оно обязано сообщить об этом регистратору и заполнить
новую анкету зарегистрированного лица. На основании новой анкеты
регистратор внесет необходимые изменения в информацию лицевого
счета о зарегистрированном лице.
Внесение в реестр записей о переходе прав собственности на ценные
бумаги. Такие записи связаны со списанием какого-либо количества ценных
бумаг с лицевого счета или, напротив, с их зачислением на лицевой
счет. Они могут производиться регистратором только на основании передаточного
распоряжения зарегистрированного лица (того, кто передает
ценные бумаги, или того, кто их получает). При этом регистратор
вносит записи в реестр о переходе права собственности на ценные бумаги
только в том случае, если;
• представлены те документы, которые необходимы в соответствии
с действующими законами и практикой;
• представленные документы содержат необходимую информацию
для внесения изменений по количеству ценных бумаг на лицевом счете
зарегистрированного лица;
• количество ценных бумаг, указанное в передаточном распоряжении,
не превышает количество ценных бумаг, учитываемых на лицевом
счете лица, передающего ценные бумаги;
• в системе ведения реестра имеется собственноручная подпись зарегистрированного лица или его уполномоченного представителя и можно
произвести сверку подписей;
• нет запрета на проведение операций по лицевому счету зарегистрированного
лица, передающего ценные бумаги;
• учтены ограничения, установленные эмитентом, по обращению
ценных бумаг.
Операции по поручению эмитента. Так как эмитент рассматривает
регистратора как орган, который предоставляет ему необходимую информацию
о держателях его ценных бумаг, регистратор по поручению
эмитента предоставляет ему список лиц, имеющих право на получение
доходов по ценным бумагам. Такой список содержит информацию о зарегистрированных
лицах, имеющих право на получение дохода, о месте их
нахождения, почтовом адресе, количестве ценных бумаг, сумме начисленного
дохода, сумме налоговых выплат, подлежащих удержанию, сумме
к выплате. Для составления этого списка регистратору необходимо
получить от эмитента распоряжение о подготовке такого списка, а также
информацию о предстоящей выплате дохода по ценным бумагам (сведения
о том, какой орган управления эмитента принял решение о выплате
дохода, на какую дату должен быть составлен список зарегистрированных
лиц, имеющих право на получение дохода, в какой форме предполагается
произвести выплату дохода, в каком размере и когда будет выплачиваться
доход, кто будет производить выплату дохода).
Эмитент вправе потребовать от регистратора подготовить ему список
акционеров, имеющих право на участие в общем собрании акционеров.
Эмитент предоставляет регистратору необходимую информацию для
внесения записей о размещении ценных бумаг, их конвертации или
погашении, а также о консолидации или расщеплении.
По своей сути ценная бумага есть обмен действительного
(в данном случае ссудного) капитала на совокупность прав, которые
получает ее владелец взамен этого капитала.
В самой общей форме ценная бумага дает ее владельцу два вида
прав, составляющих ее экономическую суть: право на возврат ее номинала
и (или) на получение дохода с этого номинала, т.е. на начисляемый
доход, и право на обращение, а точнее, право передачи этой ценной бумаги
другому владельцу.
Если ценная бумага для ее владельца есть представитель просто
товара или определенной суммы денег, то круг предоставляемых ею
прав сводится к безусловному праву на возврат этих последних, но главное
~ к праву передачи этой ценной бумаги от одного владельца к другому
на тех или иных условиях, а поэтому такие ценные бумаги могут
выполнять функцию платежного средства.
Если ценная бумага есть представитель капитала своего владельца, то
«букет» предоставляемых ею прав может расширяться до бесконечности.
Это связано со следующим. Ценная бумага как титул капитала дает право
ее владельцу на получение начисляемого дохода в той или иной форме в
зависимости от ее вида. Однако сам по себе уровень этого начисляемого
дохода не может сильно различаться по видам ценных бумаг и уж тем более
по конкретным ценным бумагам. Поэтому конкуренция на рынке заставляет
обязанного по ней лица, кроме выплаты того или иного начисляемого дохода
по данной ценной бумаге, придавать ей все возможные дополнительные
права, которые могут заинтересовать потенциальных ее владельцев.
Это могут быть как имущественные, так и неимущественные права, в том
числе право участия в управлении, какие-то льготы для владельцев, дополнительные
возможности в области обращения или обмена и т.п.
Право на обращение в широком понимании охватывает весь спектр
разрешенных законодательством способов перехода имущества путем
купли-продажи, мены, залога, кредитования, дарения, наследования и
т.п. Благодаря праву на обращение с помощью ценной бумаги осуществляются
процессы перераспределения стоимости в экономике во всех
ее разрезах: между государствами, между отраслями и территориями,
между рынками, между юридическими лицами, между государством и
юридическими лицами, между государством и населением и т.д.
Вследствие имеющихся у ценной бумаги прав она может выполнять
функции:
• обслуживания товарного и платежного оборотов капитала;
• мобилизации капитала, т.е. его привлечения для осуществления
каких-либо проектов;
• перераспределения капитала между странами, отраслями, рынка-
•ми, экономическими субъектами;
• возрастания капитала, или обеспечения дохода для ее владельца.
Ценная бумага может служить инструментом безналичных расчетов,
инвестирования, спекуляции и т.д.
Депозитарием называется организация, которая оказывает
услуги по хранению сертификатов ценных бумаг и (или) учету
прав собственности на ценные бумаги. Другими словами, депозитарий
ведет счета, на которых учитываются ценные бумаги, переданные ему
клиентами на хранение, а также непосредственно хранит сертификаты
этих ценных бумаг. Ведение счетов дает депозитарию возможность фиксировать
(удостоверять) право собственности на ценные бумаги и учитывать
те имущественные права, которые закреплены ими. Счета, предназначенные
для учета ценных бумаг, называются «счета депо».
Депозитарии появились для ускорения расчетов на организованных
рынках ценных бумаг. Первые депозитарные системы создавались для
обслуживания фондовых бирж, где профессиональные участники рынка
постоянно совершают сделки между собой и где требования к оперативности
регистрации смены собственника и эффективности этой
процедуры особенно высоки. Можно представить себе следующую ситуацию:
договорившись между собой, торгующие на бирже брокеры
собирают все хранящиеся у них сертификаты ценных бумаг (свои и
принадлежащие их клиентам) и депонируют их в биржевой депозитарий.
При этом во всех реестрах данные ценные бумаги переписываются
со счетов брокеров на счет биржевого депозитария как номинального
держателя. Каждому брокеру в биржевом депозитарии открывается
счет депо, на котором учитывают все принадлежащие ему ценные
бумаги. Теперь при оформлении результатов сделки, совершенной
между брокерами на этой бирже, не надо обрап1аться к дорогим и
неторопливым услугам регистратора. Смена собственника отражается
на счетах депо биржевого депозитария. При этом отпадает необходимость
переоформлять сертификаты, которые выписаны на депозитарий
и продолжают находиться в его хранилище. Поэтому расчеты по
ценным бумагам становятся безналичными и сводятся к внесению изменений
в счета депо.
При сборе реестра по одному из депонированных выпусков ценных
бумаг (если это нужно эмитенту) депозитарий, будучи номинальным
держателем, сообщит регистратору имена истинных владельцев. Однако
во многих случаях эмитенты предпочитают не собирать полный реестр,
а исполняют свои обязанности с помощью депозитария.
Например, при выплате дивидендов эмитент переводит в депозитарий
сумму денег, соответствующую числу ценных бумаг, находящихся на счете депозитария.
Депозитарий в свою очередь перечисляет дивиденды своим
клиентам в соответствии с количеством ценных бумаг этого выпуска,
находящихся на их счетах депо. Отсюда возникает еще одна функция
депозитария. Он является посредником между эмитентом и инвестором.
Депозитарий помогает клиенту, депонировавшему свои ценные бумаги,
получить причитающиеся ему блага, передает всю предназначенную
для него информацию, поступающую от эмитента. Кроме того, депозитарий
снимает эти обязанности с эмитента, чем облегчает ему исполнение
обязательств по ценным бумагам. Например, эмитент может прибегнуть
к помощи депозитария для организации заочного голосования.
Таким образом, в наличии депозитария как промежуточного звена в цепочке
между эмитентом и инвестором заинтересованы все участники
рынка ценных бумаг.
Для того чтобы депозитарий мог полноценно выполнять свои посреднические
функции, его положение должно быть «узаконено». Другими
словами, депозитарий каким-то образом должен быть включен в систему
обслуживания данного выпуска ценных бумаг и признаваться в таком
качестве эмитентом. Как правило, для этого депозитарий становится
номинальным держателем или, заключив договор с эмитентом,
головным депозитарием по данному выпуску ценных бумаг.
В России депозитарий рассматривается как составной элемент учетной
системы. Под учетной системой понимают совокупность институтов
фондового рынка, которые ведут записи, удостоверяющие права
клиентов на ценные бумаги. В России и за рубежом необходимость учетной
системы связывают с тем, что подавляющая часть оборота ценных
бумаг происходит в безналичной форме. Поэтому должны быть институты,
регистрирующие этот оборот и связанный с ним переход права
собственности на ценные бумаги. В России к таким институтам относят
регистраторов и депозитарии.
Итак, депозитарий — профессиональный участник рынка ценных
бумаг, оказывающий депозитарные услуги, а его клиент называется
депонентом.
Депозитарий может оказывать своим депонентам около депозитарные
услуги, которые содействуют реализации владельцами имущественных
прав, закрепленных ценными бумагами, например, участие в управлении
акционерным обществом, получение доходов по ценным бумагам,
проверка подлинности сертификатов ценных бумаг, оформление
сертификатов ценных бумаг и передача их третьим лицам и т.д.
Депозитарием может быть только юридическое лицо. Депозитарная
деятельность может совмещаться с другими видами профессиональной
деятельности на рынке ценных бумаг, кроме деятельности по ведению
реестра владельцев ценных бумаг. Чаще всего депозитарная деятельность
совмещается с деятельностью по выявлению взаимных обязательств
по сделкам (расчетно-клиринговой деятельностью).
Депозитарная деятельность подлежит лицензированию. Лицензия на
осуществление депозитарной деятельности выдается сроком до трех лет.
Основными требованиями для получения лицензии являются финансовая
обеспеченность и профессиональная пригодность. Финансовую обеспеченность
связывают с требованиями необходимого собственного капитала.
(Например, в 1998 г. минимальный размер собственного капитала
для депозитарной деятельности был установлен в сумме 75 000
минимальных размеров оплаты труда, установленных законодательством
Российской Федерации.)
Депозитарии в настоящее время принято делить на расчетные и
кастодиальные (рис. 11).
Расчетные депозитарии обслуживают участников организованных
рынков. Расчетными их называют потому, что они, кроме депозитарной
деятельности, ведут расчеты по сделкам или взаимодействуют с
клиринговыми и торговыми системами, чтобы обеспечить расчеты по
сделкам с ценными бумагами своих депонентов.
Кастодиальные депозитарии оказывают услуги непосредственным
владельцам ценных бумаг, поэтому их часто называют клиентскими. В
России их делят на специализированные и неспециализированные. Неспециализированные
совмещают депозитарную деятельность с посреднической
деятельностью (брокерской, дилерской, деятельностью по управлению
ценными бумагами). Специализированные обслуживают паевые
инвестиционные фонды или конкретного эмитента, который при
эмиссии своих документарных именных ценных бумаг принял решение
об их обязательном централизованном хранении.
Для выполнения функций, которыми наделен депозитарий, нужно
заключить со своими клиентами, которых называют депонентами, специальный
договор. Такой договор называют депозитарным договором.
Он составляется обязательно в письменной форме, так как содержит
обязательство сторон и условия, в соответствии с которыми депозитарий
будет выполнять поручения депонентов. Что же должно быть указано
в депозитарном договоре? Прежде всего, в нем следует указать,
какие функции будет выполнять депозитарий, что поручает депонент
депозитарию. Депонент может выбрать одну из функций или несколько.

Он может в соответствии с договором поручить депозитарию только
хранение и учет своих ценных бумаг или кроме хранения и учета ценных
бумаг депонент может поручить депозитарию покупать другие ценные
бумаги или продавать те, которые находятся на хранении, выступать
от его имени на общем собрании акционеров, получать доход по
принадлежащим депоненту ценным бумагам и т.д.
В депозитарном договоре указывается порядок действий как депонента,
так и персонала депозитария. Этот договор служит основанием
для открытия депоненту специального счета -счета депо.
В рамках одного счета депо могут учитываться различные выпуски
ценных бумаг. Кроме того, ценные бумаги одного выпуска могут
находиться в различных состояниях. Например, частично они могут
быть заложены, частично выставлены на торги и т.п. Для того чтобы
отразить все детали состояния ценных бумаг, вводится понятие лицевого
счета депо. Лицевой счет депо — минимальная единица депозитарного
учета. На нем учитываются ценные бумаги одного выпуска,
находящиеся в одном и том же состоянии. Для открытия лицевого
счета депо не требуется заключения особого договора. Лицевые счета
открываются по мере необходимости при выполнении тех или иных
операций депозитария. Совокупность лицевых счетов владельца образует
его счет депо.
Некоторые лицевые счета могут быть объединены общим признаком.
Например, ценные бумаги нескольких выпусков, переданные в залог
по одному договору, или все ценные бумаги, выставленные на торги
в рамках одной торговой системы, и т.п. Поэтому для более точного
отражения в депозитарном учете отношений, возникающих на фондовом
рынке в процессе обращения ценной бумаги, появляется понятие
«раздел счета депо», который состоит из одного или нескольких лицевых
счетов, объединенных общим признаком. Разделу счета депо соответствует
некоторый документ, в котором описаны основные правила
работы с лицевыми счетами, попавшими в данный раздел. В принципе
возможно иерархическое подчинение разделов счета депо, если это вызвано
иерархическим подчинением соответствующих документов, однако
эти вопросы, равно как и стандартизацию типов разделов, пока нельзя
считать полностью проработанными. Такова конструкция счета депо
депонента или, иными словами, пассивного счета депо.
По аналогии с денежными счетами счета депо бывают пассивными и
активными. На пассивных счетах ценные бумаги учитываются в разрезе
владельцев, а на активных счетах — в разрезе мест хранения. То есть,
как и для каждого владельца, для каждого места хранения открывается
свой счет депо. На нем учитываются все ценные бумаги, находящиеся в
этом месте хранения.
Конструкция активного счета депо полностью повторяет конструкцию
пассивного счета депо. Активный счет депо
также разбивается на лицевые счета, которые могут объединяться в
разделы. Каждая ценная бумага, находящаяся на хранении в депозитарии,
учитывается дважды: по активу и по пассиву. Отсюда вытекает
понятие «баланса депо». Количество ценных бумаг одного выпуска на
активных счетах должно быть равно количеству ценных бумаг одного
выпуска, учитываемых на пассивных счетах. Иными словами, обязательства
депозитария перед клиентами должны быть обеспечены имеющимися
на хранении активами раздельно по каждому выпуску ценных
бумаг. Это основное требование депозитарного учета, которое позволяет
максимально приблизить его к стандартным правилам денежного
балансового учета.
Различают открытый, закрытый и маркированный способы учета
ценных бумаг в депозитариях. При открытом способе учета сертификаты
всех ценных бумаг одного выпуска учитываются «в одной куче».
Нельзя сказать, какому именно из депонентов какой именно сертификат
принадлежит. Поручения на исполнение депозитарных операций при таком
виде учета принимаются только с указанием числа ценных бумаг
без указания их индивидуальных признаков.
При закрытом способе учета депозитарию известно, какие именно
ценные бумаги принадлежат данному депоненту. При таком способе
учета поручения от депонента принимаются с указанием индивидуальных
признаков ценных бумаг или удостоверяющих их сертификатов.
Открытый способ значительно технологичнее и проще, и именно его
следует рекомендовать для организации учета эмиссионных ценных
бумаг, когда потребительские свойства разных ценных бумаг одного
выпуска не отличаются друг от друга. Именно открытый способ учета
позволяет наиболее эффективно организовывать безналичные расчеты
на организованных рынках.
Закрытый способ учета рекомендуется использовать в особых случаях,
когда свойства ценных бумаг одного и того же выпуска могут
быть различными. Например, мы можем неодобрительно относиться к
лотерейным розыгрышам по принадлежащим владельцам акциям, но если
нам приходится учитывать ценные бумаги такого выпуска в депозитарии,
то мы вынуждены организовать их закрытый учет. И открытый, и
закрытый способы депозитарного учета следует отличать от хранения
ценностей как таковых. Депозитарное хранение отличается от хранения
ценностей (в том числе и сертификатов ценных бумаг) «в сейфе»
тем, что по поручению клиента с ценными бумагами могут производиться
депозитарные операции (в частности, безналичные списания и
зачисления), тогда как при «сейфовом» хранении возможный набор
операции ограничивается приемом ценностей на хранение и снятием их
с хранения.
В последнее время выделяют еще один способ учета ценных бумаг —
маркированный. Он предполагает, что ценные бумаги разбиваются на
группы, отличающиеся условиями выпуска или особенностями хранения
(учета). Депозитарий вправе самостоятельно определить способ
учета прав на ценные бумаги, если он не оговорен в депозитарном
договоре.
Работа депозитария выражается в проводимых им депозитарных
операциях. Депозитарная операция — совокупность действий депозитария
с учетными регистрами, хранящимися сертификатами ценных
бумаг и другими материалами депозитарного учета. Можно выделить
следующие классы депозитарных операций: административные, инвентарные,
информационные, комплексные и глобальные.
Административные операции связаны с открытием и закрытием
счетов депо. Они могут быть двух видов: счет депо депонента и счет
депо по месту хранения ценных бумаг. Счет депо депонента открывается
на основании депозитарного договора при заполнении депонентом анкеты
клиента и счета депо. Счет депо по месту хранения ценных бумаг
открывается на основании внутренних документов депозитария.
Закрытие счета депо проводится по поручению клиента, при условии
нулевого остатка ценных бумаг на счете депо или при расторжении
депозитарного договора, а также при ликвидации депозитария.
Инвентарные операции изменяют остаток ценных бумаг на счете
депо, поэтому они связаны с приемом ценных бумаг, их переводом
или перемещением, а также со снятием ценных бумаг с хранения или
учета.
Информационные операции связаны с составлением отчетов и справок
о состоянии счета депо по поручению депонентов.
Комплексные операции — это операции, которые включают элементы
разных классов операций. Например, депозитарий может блокировать
ценные бумаги депонента, т.е. он временно прекращает движение
ценных бумаг по счетам. Такая операция имеет черты и административных,
и инвентарных операций.
Глобальные операции депозитария затрагивают все ценные бумаги
конкретного выпуска или их значительную часть. Такие операции проводятся
но инициативе эмитента и связаны с выплатой дохода по ценным
бумагам, погашением долговых ценных бумаг, конвертацией облигаций
или акций.
не только их передачей от одного владельца к другому или переучетом
прав собственности на них у реестро держателей или в депозитариях,
но и противоположно направленной передачей денег за эти ценные
бумаги от их покупателя к продавцу. Если речь идет о разовых или немногочисленных
сделках, то расчеты по ним производятся обычным
путем, как и при сделках купли-продажи других товаров. Однако на
рынке ценных бумаг, организованном в форме биржевой торговли или
на основе компьютерных систем торговли, число сделок и участников
торговли очень велико, что объективно привело к выделению деятельности
по расчетам с ценными бумагами в специфическую сферу с образованием
расчетно-клиринговых организаций.
В практике эти организации могут иметь такие названия, как: расчетная
палата, клиринговая палата, клиринговый центр, расчетный центр
и т.п. в самом общем виде расчетно-клиринговая организация — это
профессиональный участник рынка ценных бумаг, специализированная
организация, которая осуществляет расчетное обслуживание участников
организованного рынка ценных бумаг и выявляет их позиции по
результатам заключенных сделок.
Основные цели такой организации:
• выявление позиций участников сделок и их урегулирование;
• снижение издержек по расчетному обслуживанию участников рынка;
• сокращение времени расчетов;
• снижение до минимального уровня всех видов рисков, которые имеют
место при расчетах.
Расчетно-клиринговая организация может существовать в форме
закрытого акционерного общества или некоммерческого партнерства
и должна иметь лицензию Федеральной комиссии по рынку ценных
бумаг, которая выдается на срок до трех лет. Она может обслуживать
какую-либо одну фондовую биржу или сразу несколько фондовых бирж
или рынков ценных бумаг. Последний вариант предпочтительнее, так
как обычно профессиональные фондовые посредники работают сразу
на многих фондовых биржах и для них удобнее и выгоднее, если расчетное
обслуживание всех таких рынков ведется в одном месте.
Расчетно-клиринговые организации могут быть не только национальными,
но и международными, а в перспективе — всемирными. Это
отражает происхождение процессов интернационализации национальных
рынков ценных бумаг.
Деятельность расчетно-клиринговых организаций включает:
• проведение расчетных операций между членами расчетно- клиринговой организации (а в ряде случаев — и другими участниками фондового
рынка);
• осуществление зачета взаимных требований между участниками
расчетов, или осуществление клиринга;
• сбор, сверку и корректировку информации по сделкам, совершенным
на рынках, которые обслуживаются данной организацией;
• разработку расписания расчетов, т.е. установление строгих сроков,
в течение которых денежные средства и соответствующая им информация
и документация должны поступать в расчетно-клиринговую
организацию;
• контроль за перемещением ценных бумаг (или других активов, лежащих
в основе биржевых сделок) в результате исполнения контрактов;
• гарантирование исполнения заключенных на бирже контрактов
(сделок);
• бухгалтерское и документарное оформление произведенных расчетов.
Как правило, расчетно-клиринговая организация — это коммерческая
организация, которая должна работать с прибылью. Ее уставный
капитал образуется за счет взносов ее членов. Основные источники доходов
складываются из:
• платы за регистрацию сделок;
• поступлений от продажи информации;
• прибыли от обращения денежных средств, находящихся в распоряжении
организации;
• поступлений от продажи своих технологий расчетов, программного
обеспечения и т.п.;
• других доходов.
Без расчетно-клиринговых организаций невозможна торговля производными
ценными бумагами — фьючерсными контрактами и биржевыми
опционами.
Взаимоотношения между расчетно-клиринговой организацией и ее
членами, биржами и другими организациями строятся на основе соответствующих
договоров.
Членами такой организации обычно являются крупные банки и крупные
финансовые компании, а также фондовые и фьючерсные биржи.
Расчетно-клиринговые организации не имеют права проводить кредитные
и большинство других активных операций (вкладывать деньги
в ценные бумаги и т.п.) в отличие от коммерческих банков. Содержание
расчетно-клиринговой деятельности на рынке ценных бумаг рассматривается
в учебнике «Биржевое дело».
Как правило, расчетно-клиринговые организации не ограничивают
круг своей деятельности только расчетным обслуживанием, а одновременно
выполняют и услуги депозитарного характера.
ОСНОВНЫЕ ОПРЕДЕЛЕНИЯ
Профессиональные участники рынка ценных бумаг — юридические
лица, в том числе и кредитные организации, а также физические лица,
зарегистрированные в качестве предпринимателей, специализирующиеся
на оказании услуг всем участникам фондового рынка.
Брокерской деятельностью признается совершение гражданско-правовых
сделок с ценными бумагами в качестве поверенного или комиссионера,
действующего на основе договора-поручения или комиссии либо
доверенности на совершение таких сделок.
Дилерской деятельностью признается совершение сделок купли-продажи
ценных бумаг от своего имени и за свой счет путем публичного
объявления цен покупки и (или) продажи определенных ценных бумаг с
обязательством покупки и (или) продажи определенных ценных бумаг
по объявленным лицом, осуществляющим такую деятельность, ценам.
Управление ценными бумагами — доверительное управление переданными
во владение управляющему учредителем управления ценными
бумагами и денежными средствами, предназначенными для инвестирования
в ценные бумаги, а также ценными бумагами и денежными средствами,
полученными в результате его деятельности на рынке ценных
бумаг в интересах выгодо приобретателя.
Управляющий — профессиональный участник рынка ценных бумаг,
осуществляющий деятельность по управлению ценными бумагами.
Учредитель управления — собственник имущества (ценных бумаг и
денежных средств), переданного в доверительное управление.
Выгодо приобретатель — лицо, в интересах которого происходит
управление ценными бумагами (учредитель управления или названное
им третье лицо).
Регистратор — профессиональный участник рынка ценных бумаг,
имеющий лицензию на право ведения реестра владельцев именных ценных
бумаг.
Реестр — список владельцев именных ценных бумаг, составленный
на определенную дату.
Лицевой счет — совокупность данных о зарегистрированном лице,
принадлежащих ему ценных бумагах и операциях с ними.
Депозитарий - профессиональный участник рынка ценных бумаг,
имеющий лицензию на оказание услуг по хранению сертификатов ценных
бумаг и (или) учету прав собственности на ценные бумаги.
Депонент клиент депозитария.
Счет депо — совокупность записей, объединенных общим признаком,
которая используется для учета ценных бумаг.
Расчетно-клиринговая организация — профессиональный участник рынка
ценных бумаг, специализированная организация, которая осуществляет
расчетное обслуживание участников организованного рынка ценных
бумаг и выявляет их позиции по результатам заключенных сделок.
Клиринговая деятельность — деятельность по определению взаимных
обязательств и их зачету при поставке ценных бумаг и расчетах по ним.
ГЛАВНЫЕ ВЫВОДЫ
Участники рынка ценных бумаг, обеспечивающие его нормальное
функционирование, делятся на посредников и организации, составляющие
его инфраструктуру. Посредники на рынке ценных бумаг делятся
на финансовых посредников и посредников, которые считаются профессиональными
участниками рынка ценных бумаг. Организации инфраструктуры
рынка ценных бумаг обслуживают участников этого рынка.
Они могут функционировать только при наличии соответствующей
лицензии, так как их деятельность в соответствии с Федеральным законом
«О рынке ценных бумаг» относится к профессиональной.
Особое место на рынке ценных бумаг занимает коммерческий банк,
поскольку он может выступать как в роли эмитента и инвестора, так и
в роли профессионального участника рынка ценных бумаг.
Операции коммерческих банков на рынке ценных бумаг не имеют
существенных отличий от таких же операций, совершаемых другими
участниками рынка. Они так же, как и любое другое акционерное общество, используют эмиссию акций для формирования или увеличения
уставного капитала. Хотя в отличие от других эмитентов коммерческие
банки для привлечения заемного капитала широко используют выпуск
депозитных и сберегательных сертификатов, а также векселей.
Инвестиционная деятельность банков может осуществляться как за
счет собственных, так и за счет привлеченных средств. Как правило,
она связана с формированием инвестиционного портфеля банка и отражается
в его инвестиционной политике.
Выполнение коммерческими банками профессиональных видов деятельности
связано с созданием дочерних финансовых компаний, организацией
крупных финансово-банковских групп.
В гражданском кодексе РФ перечисляются конкретные
виды документов, относящиеся к ценным бумагам:
а) в статье 143:
• государственная облигация;
• облигация;
• вексель;
• чек;
• депозитный сертификат;
• сберегательный сертификат;
• банковская сберегательная книжка на предъявителя;
• коносамент;
• акция;
• приватизационные ценные бумаги;
б) В статье 912 (вторая часть ГК РФ) вводятся еще четыре вида ценных
бумаг:
• двойное складское свидетельство;
• складское свидетельство как часть двойного свидетельства;
• залоговое свидетельство (варрант) как часть двойного свидетельства;
• простое складское свидетельство'.
Последний, пятнадцатый, вид российской ценной бумаги — это закладная,
которая получила права «гражданства» в соответствии с Федеральным
законом «Об ипотеке (залоге недвижимости)» от 16 июля
1998 г. № 102-0
Юридическое определение каждой из перечисленных видов ценных
бумаг дается либо в самом Гражданском кодексе, либо в соответствующих
законах, регулирующих выпуск и обращение конкретных ценных
бумаг.
В Гражданском кодексе определяются следующие виды ценных бумаг.
Вексель (статья 815).
Простой вексель — ничем не обусловленное обязательство векселедателя
выплатить по наступлении предусмотренного векселем срока
полученную взаймы денежную сумму.
Переводной вексель - ничем не обусловленное обязательство иного
(а не векселедателя) указанного в векселе плательщика выплатить по
наступлении предусмотренного векселем срока полученную взаймы
денежную сумму.
Облигация (статья 816) — ценная бумага, удостоверяющая право ее
держателя на получение от лица, выпустившего облигацию, в предусмотренный
ею срок номинальной стоимости облигации или иного имущественного
эквивалента. Облигация предоставляет ее держателю также
право на получение фиксированного в ней процента от номинальной
стоимости облигации либо иные имущественные права.
Государственная облигация (статья 817) — это юридическая форма
удостоверения договора государственного займа; она удостоверяет
право заимодавца (т.е. владельца облигации) на получение от заемщика
(т.е. государства) предоставленных ему взаймы денежных средств
или в зависимости от условий займа иного имущества, установленных
процентов либо иных имущественных прав в сроки, предусмотренные
условиями выпуска займа в обращение.
Согласно действующему российскому законодательству,
фондовая биржа относится к участникам рынка ценных бумаг,
организующим их куплю-продажу, т.е. «непосредственно способствующим
заключению гражданско-правовых сделок с ценными бумагами
». По закону фондовая биржа не может совмещать деятельность по
организации торговли ценными бумагами с другими видами профессиональной
деятельности на рынке ценных бумаг, кроме депозитарной
и клиринговой. Поэтому ее задачи и функции определяются тем положением,
которое фондовая биржа занимает на рынке ценных бумаг
как ее участник.
Фондовые отделы других (товарных и валютных) бирж приравнены
к фондовым биржам, поэтому в своей деятельности (за исключением
вопросов организации) не отличаются от последних.
Являясь организатором рынка ценных бумаг, фондовая биржа первоначально
занимается исключительно созданием необходимых условий
для ведения эффективной торговли, но по мере развития рынка ее
задачей становится не столько организация торговли, сколько ее обслуживание.
Изначально фондовая биржа создавалась для того, чтобы поощрять
и поддерживать торговлю ценными бумагами, обеспечивать соблюдение
интересов ее участников. Поэтому биржа рассматривалась как
надлежащим образом организованное место для торговли. Первая задача
фондовой биржи заключается в том, чтобы предоставить место
для торговли, иначе говоря, централизовать место, где может происходить
как продажа ценных бумаг их первым владельцам, так и вторичная
их перепродажа.
При этом принципиальным отличием бирж как
организованного оптового рынка ценных бумаг является установление
обязательного требования ко всем участникам торгов вести себя
в соответствии с твердыми правилами. В этом смысле фондовая биржа
представляет собой организацию со своими исторически сложившимися
правилами ведения торгов. И несмотря на то, что в настоящее
время открытый биржевой торг, требующий физического присутствия
его участников, заменяется компьютерным (электронным, экранным),
дающим возможность принимать участие в торговле из своего офиса
(со своего рабочего места), обязательным остается соблюдение установленных
правил торговли и системы ее регулирования, а также
готовность всех участников торгов эти правила соблюдать.
Для выполнения первой задачи (централизовать торговлю ценными
бумагами в одном месте) фондовой бирже необходимо не только отработать
правила и системы регулирования торговли, но также выработать
достаточно жесткие требования к компаниям, поставляющим
ценные бумаги для продажи, а также к членам биржи, которые на
профессиональном уровне ведут торговлю и представляют интересы
клиентов, не имеющих возможности принимать непосредственное участие
в торговле на бирже и вынужденных прибегать к услугам посредников.
Кроме того, биржа должна располагать обученным высококвалифицированным
персоналом, способным как провести сам биржевой
торг, так и обеспечить эффективный надзор за исполнением сделок,
заключенных на бирже. Необходимость выполнения перечисленных
выше требований объясняется тем, что инвестор и эмитент ищут ликвидные
и эффективные рынки, которые характеризуются «узким» спрэдом,
эффективными торговыми системами, большим оборотом и эффективной
защитой инвестора.
Второй задачей фондовой биржи следует считать установление равновесной
биржевой цены. Выполнение этой задачи возможно в силу того,
что биржа собирает большое количество как продавцов, так и покупателей,
предоставляя им рыночное место, где они могут встречаться не
только для обсуждения и согласования условий торговли, но и для выявления
приемлемой стоимости (цены) конкретных ценных бумаг. Кроме
того, биржа добивается доверия к достоверности достигнутых в процессе
биржевого торга цен. Для решения указанной задачи биржа обеспечивает
открытость информации об эмитенте и его ценных бумагах,
стандартизацию методов установления цен, использование средств массовой
информации для распространения информации о котировках цен
Это позволяет членам биржи и профессиональным участникам
знать самые последние цены, по которым можно совершать сделки,
а также объемы заключенных сделок. Зарубежные биржи с помощью
такой службы, как Телетекст, на экранах домашних телевизоров устраивают
для частных лиц показ цен акций, котирующихся на бирже. Это
дает возможность заинтересовать в биржевой торговле новых участников,
прежде всего покупателей.
Третья задача биржи заключается в том, что она должна не только
аккумулировать временно свободные денежные средства, но и перераспределять
их. Привлекая покупателей ценных бумаг, биржа дает возможность
эмитентам взамен своих финансовых обязательств получить
нужные им средства для инвестиций, т.е. способствует мобилизации
новых средств, с одной стороны, а с другой — расширению круга собственников.
При этом биржа создает возможности для перепродажи приобретаемых
ценных бумаг, т.е. обеспечивает передачу прав собственности,
постоянно привлекая на биржу новых инвесторов, имеющих в
наличии крупные или мелкие суммы временно свободных денежных
средств. Обеспечивая перепродажу ранее купленных ценных бумаг, биржа
освобождает покупателя от обязанности владения ими «вечно». У
него появляется возможность продать ранее купленные ценные бумаги
и искать другие возможности использования своих денежных средств, в
частности вложить их в другие, более привлекательные для него ценные
бумаги. Такая смена владельца не затрагивает эмитента, полученные
им при эмиссии ценных бумаг денежные средства остаются в его
распоряжении, изменяется только акционер (при купле-продаже акций)
или кредитор (при купле-продаже облигаций).
Четвертой задачей фондовой биржи можно считать обеспечение гласности,
открытости биржевых торгов. Нужно иметь в виду, что биржа
не гарантирует того, что вложенные в ценные бумаги средства обязательно
принесут доход. Как дивиденды, так и курсовая стоимость
акций, например, могут расти и падать, но фондовая биржа гарантирует
лишь то, что участники торгов могут иметь достаточную и достоверную
информацию для формирования собственных суждений о
доходности принадлежащих им ценных бумаг. Биржа обязана каждому
заинтересованному сообщать о дате и времени заключения сделок,
наименовании ценных бумаг, являющихся предметом сделки, государственном
регистрационном номере ценных бумаг, цене одной ценной
бумаги и количестве проданных (купленных) ценных бумаг за каждый
биржевой день. Биржа должна обеспечить доступность информации,
способной оказать влияние на рыночный курс ценных бумаг для всех
участников биржевой торговли в одно и то же время.
Кроме того, все они должны обладать одинаковой информацией,
т.е. все должны находиться
в одном положении. Биржа также должна комментировать любые
решения правительства, которые могут повлиять на курсы ценных
бумаг, которые котируются на ней.
Пятая задача биржи заключается в обеспечении арбитража. При этом
под арбитражем следует понимать механизм для беспристрастного разрешения
споров. Он должен определить круг лиц, которые могут их разрешать,
а также возможные компенсации пострадавшей стороне. Многие
биржи для решения задачи арбитража создают специальные арбитражные
комиссии, в состав которых включают независимых лиц,
имеющих как опыт в ведении биржевой торговли, так и в решении споров.
Арбитражная комиссия должна беспристрастно выслушать обе стороны
и принять взвешенное решение. Влиятельность арбитражной комиссии
должна быть общепризнанной. Для усиления значимости ей придается
иногда статус третейского суда, и тогда решения арбитражной
комиссии имеют не только рекомендательный, но и обязательный характер.
Поэтому решение о компенсации должно быть приемлемо как
для потерпевшей стороны, так и для ответчика и обязательно для исполнения.
Хотя всякий арбитраж предполагает апелляцию.
Шестой задачей биржи считают обеспечение гарантий исполнения сделок,
заключенных в биржевом зале. Выполнение этой задачи достигается
тем, что биржа гарантирует надежность ценных бумаг, которые котируются
на ней. Надежность в свою очередь обеспечивается тем, что к обращению
на бирже допускаются только те ценные бумаги, которые прошли
проверку, а значит, соответствуют предъявляемым требованиям.
Кроме того, на бирже имеется возможность подтверждения условий
покупки или продажи ценной бумаги.
Как только участники торгов (член биржи, брокеры — представители
продавца и покупателя) согласовали условия сделки, последние тут
же регистрируются, и каждый участник торгов по этой сделке получает
соответствующее подтверждение от биржи. Поэтому не может быть никаких
споров о том, какое конкретное соглашение было достигнуто по
поводу той или иной сделки.
Выполняя указанную задачу, биржа берет на себя обязанности посредника
при осуществлении расчетов. Под этим подразумевается, что
биржа принимает на себя ответственность за выполнение всех подтвержденных
сделок, т.е. что покупки будут оплачены, а все проданные акции
будут доставлены для передачи новому покупателю или по его указанию
другому лицу. Это чрезвычайно важная функция биржи, поскольку
она дает всем покупателям и продавцам гарантию, что их операции
будут полностью завершены.
Наиболее существенной проблемой в биржевой торговле является
проблема исполнения сделок: сможет ли покупатель заплатить за ценные
бумаги, на покупку которых он дал указание, или сможет ли продавец
действительно представить ценные бумаги, в отношении которых
он дал указание о продаже. Хотя биржа не может проверить каждого
конкретного продавца и покупателя, она может и должна предъявлять
жесткие требования как к профессионализму участников торгов, так и
к их финансовому состоянию. Кроме того, гарантия исполнения сделок
достигается за счет постоянного совершенствования системы клиринга
и расчетов.
Гарантия исполнения сделок обеспечивается контролем за системой,
обслуживающей биржу (уменьшение риска системы в связи с ее повреждением
или риска цепного невыполнения финансовых условий).
Биржа должна обеспечивать постоянный контроль за состоянием своих
внутренних систем коммуникаций, чтобы гарантировать их надежность,
и осуществлять надзор за соблюдением финансовой дисциплины
ее членов — участников торгов, чтобы банкротство одного члена (участника)
не повлекло за собой банкротства другого.
Гарантия исполнения сделок, заключенных на бирже, тесно связана
с такой проблемой, как защита денег клиента. Самостоятельно решить
эту проблему биржа не может, однако в своих правилах торговли
она отмечает, что члены биржи, управляющие деньгами клиента,
по которым еще не наступил срок платежа но сделке, должны хранить
деньги клиента отдельно от своих собственных денег. Правила торговли биржи могут включать требование, чтобы такие деньги были
положены на отдельный инвестиционный банковский счет в банке
третьей стороны так, чтобы в случае неспособности фирмы ~ члена
биржи выполнить свои собственные финансовые обязательства она
бы не смогла, даже неумышленно, использовать деньги клиента. Система
peгулирования здесь чрезвычайно жесткая, и биржа должна проводить
регулярные проверки правильности ведения учета операций и
осуществлять контроль ведения банковского счета (в основном ежедневно).
Седьмая задача биржи заключается в разработке этических стандартов,
кодекса поведения участников биржевой торговли. Для ее выполнения
на бирже принимаются специальные соглашения, которые разрешают
использование специфических слов и оговаривают соблюдение их
строгой интерпретации.
Биржа должна контролировать разработанные ею стандарты и кодекс
поведения, применять штрафные санкции вплоть до приостановки
деятельности или лишения лицензии в случае их несоблюдения.
В зарубежной практике принято разрабатывать специальный свод
деловых правил для биржи. В них излагаются основы взаимоотношений
с клиентами. Сюда включают вопросы, относящиеся к рекламе, — что
разрешено и что не разрешено; извещение о подтверждении — минимальный
перечень деталей, о которых необходимо сообщить; телефонные
разговоры — когда они разрешены и когда нет, и возможные темы разговоров;
типы инвестиционных консультаций — доверительные, частные,
профессиональные; услуги по оценке — какая минимальная информация
должна быть предоставлена; качество консультаций — не вводящие
в заблуждение обзоры; качество персонала, который в состоянии
давать инвестиционные консультации, - лицензирование частных лиц
и фирм, квалификационные экзамены; защита денег клиента — специальные
правила и отдельные банковские счета; достаточность средств
(капитала) — обеспечение капиталом потребностей фирмы для покрытия
исполнения приказа; контроль за соблюдением — независимые должностные
лица, гарантирующие соблюдение фирмами всех правил; документация
клиентов и предоставление информации фирмой — проверка
документации, скрепленной подписями клиентов, подтверждающей
свои права и права фирмы, и информация об услугах, предоставляемых
брокерами; действия в отношении новой эмиссии — процедура подачи
заявок клиентами; процедура обжалования — первоначальные и независимые
действия, сообщение о случаях нарушения в регулирующий
орган; многое другое.
Свод деловых правил и операционный кодекс должны ответить на
многие вопросы, но для того чтобы проконтролировать их строгое соблюдение,
биржа осуществляет наблюдение за поведением участников
торгов. Она должна быть уверена в том, что участники торгов осведомлены
о последних изменениях правил и корректируют свои действия
соответствующим образом и что ожидаемые высокие стандарты не снижаются.
Такое наблюдение позволяет выявить, не появились ли несоответствия
в самих правилах или в их применении.
означает, что торговать на ней ценными бумагами могут только ее члены.
Кого же считают членом биржи? Чтобы ответить на этот вопрос,
нужно вспомнить, что фондовая биржа — это некоммерческая организация.
Поэтому в ее деятельности заинтересованы те, кто профессионально
занимается операциями с ценными бумагами. Именно поэтому
российское законодательство определяет, что членами фондовой биржи
являются любые профессиональные участники рынка ценных бумаг. В
России к профессиональным участникам рынка ценных бумаг относят
коммерческие банки, поэтому они также могут быть членами биржи.
Причем коммерческие банки, как правило, самые активные члены биржи.
Хотя следует отметить, что не во всех странах коммерческим банкам
разрешено заниматься биржевой деятельностью или, напротив, на
них делается основная ставка. Например, в 1993 г. 79% акций Франкфуртской
фондовой биржи принадлежало отечественным коммерческим
банкам и 10% — зарубежным банкам.
Членами российских фондовых бирж являются, как правило, юридические
лица. В зарубежной практике существует разное отношение к
категории членов фондовой биржи. В одних странах предпочтение отдается
физическим лицам (США), в других — юридическим (Япония. Канада),
в третьих (их большинство) не делается различия между физическими
и юридическими лицами.
В большинстве государств в деятельности бирж разрешается принимать
участие иностранным физическим и юридическим лицам, удовлетворяющим
предъявляемым требованиям. В то же время в отдельных странах
(Канада и Франция) иностранные лица не могут быть членами биржи
или их участие в уставном фонде бирж ограничивается. В российском
законодательстве этот вопрос не затрагивается.
Число членов биржи или паев ограничено. Оно определяется уставным
фондом, числом выпускаемых акций и тем количеством акций, которыми
может владеть один член биржи. Такая практика характерна
для большинства стран в мире. Поэтому прием новых членов биржи оговаривается
уставом. В зарубежной практике можно встретить биржи,
которые не ограничивают число ее членов. В этом случае право торговли
предоставляется либо руководством биржи, либо уполномоченными
государственными органами.
В России для фондовой биржи все ее члены равны, т.е. не допускается
наличие разных категорий членов, как это имеет место, например, на
товарных биржах. Это приводит к тому, что не может быть временного
членства, сдачи места члена биржи в аренду или в залог тем лицам,
которые не являются членами данной биржи или фондового отдела.
В зарубежной практике, напротив, выделяют разные категории членов
фондовой биржи. Например, фирмы — члены Лондонской фондовой
биржи разбиваются на три категории.
Первая наиболее важная. К ней относятся члены биржи, которые могут
являться либо дилерами, либо брокерами, либо дилерами и брокерами
одновременно.
Если член биржи занимается дилерской деятельностью, то он может зарегистрироваться на бирже в качестве организатора
рынка -- «маркет- мейкера». Как правило, такие функции берут на себя
только крупные фирмы. Основная их функция — активная покупка (продажа)
ценных бумаг в установленный период, который называют обязательным
периодом котировок. Организаторы рынка предлагают цены,
по которым они хотели бы совершать сделки. Так как число организаторов
достаточно велико, то между ними возникает конкуренция, что
приводит к формированию более обоснованных цен на ценные бумаги.
Организаторы рынка обязаны при котировке указывать два курса: цену
спроса (покупателя) и цену предложения (продавца). Например, котировка
в виде 143- 10x10 означает, что формирователь рынка готов
купить до 10 000 акций по цене 143 пенса и продать до 10 000 акций по
цене 146 пенсов. Разница между курсами (3 пенса) составляет спрэд,
или курсовую прибыль.
Вторую категорию членов Лондонской фондовой биржи составляют
меж дилерские брокеры. Это фирмы, которые оказывают посреднические
услуги тем организаторам рынка, которые хотели бы взаимодействовать
друг с другом анонимно. Использование междилерских брокеров
позволяет организаторам рынка скрывать от конкурентов свои текущие
позиции по ценным бумагам.
Третью категорию членов представляют денежные брокеры. Основная
их функция заимствование ценных бумаг для организаторов рынка.
Требования, предъявляемые к членам биржи, устанавливаются как
государственным законодательством, так и самими биржами. При этом
в законах обычно устанавливаются лишь общие требования к членству
на бирже, а внутри биржевые нормативные документы предъявляют дополнительные
требования. Например, биржа может определить необходимость
содержания в уставах перечня организаций, претендующих на
членство, статей, декларирующих право проведения операций с ценными
бумагами, а также обязательность наличия квалификационных аттестатов
у физических лиц, работающих на бирже.
Биржа даст возможность своим членам:
• участвовать в общих собраниях биржи и управлении ее делами;
• избирать и быть избранными в органы управления и контроля;
• пользоваться имуществом биржи, имеющейся информацией и любыми
услугами, которые она оказывает;
• торговать в зале биржи как от своего имени и за свой счет (исполняя
функции дилера), так и от имени и за счет клиента (исполнять функции
брокера);
• участвовать в разделе оставшегося после ликвидации биржи имущества.
Вместе с тем биржа определяет и обязанности членов биржи. К ним
относятся:
• соблюдение устава биржи и других внутри биржевых нормативных
документов;
• внесение вкладов и дополнительных взносов в порядке, размере
и способами, предусмотренными уставом и нормативными документами;
• оказание бирже содействия в осуществлении ее деятельности.
Сберегательная книжка на предъявителя (статья 843) — это юридическая
форма удостоверения договора банковского вклада (депозита) с
гражданином и внесения денежных средств на его счет, в соответствии
с которым банк, принявший поступившую от вкладчика или поступившую
для него денежную сумму (вклад), обязуется возвратить сумму
вклада и выплатить проценты на нее лицу, предъявившему сберегательную
книжку.
Сберегательный (депозитный) сертификат (статья 844) цепная
бумага, удостоверяющая сумму вклада, внесенного в банк, и права
вкладчика (держателя сертификата) на получение по истечении установленного
срока суммы вклада и обусловленных в сертификате процентов
в банке, выдавшем сертификат, или в любом филиале этого банка
(на практике сберегательные сертификаты распространяются среди
граждан, а депозитные — среди юридических лиц).
Чек (статья 877) — ценная бумага, содержащая ничем не обусловленное
распоряжение чекодателя банку произвести платеж указанной в
нем суммы чекодержателю.
Складское свидетельство (статьи 912 917) — ценная бумага, подтверждающая
принятие товара на хранение.
Двойное складское свидетельство состоит из двух частей складского
свидетельства и залогового свидетельства (варранта), которые
могут быть отделены друг от друга, и каждое в отдельности есть именная
ценная бумага.
Простое складское свидетельство это складское свидетельство
на предъявителя.
В Федераль}1ом законе «О рынке ценных бумаг» лается определение
акции (статья 2).
Акция - эмиссионная ценная бумага, закрепляющая права ее владельца
(акционера) на получение части прибыли акционерного общества
в виде дивидендов, на участие в управлении акционерным обществом
и на часть имущества, остающегося после его ликвидации.
В Федеральном законе «Об ипотеке (залоге недвиж:имости)» определяется
понятие закладной.
Закладная — именная ценная бумага, удостоверяющая права ее владельца
в соответствии с договором об ипотеке (залоге недвижимого
имущества) на получение денежного обязательства или указанного в
нем имущества.
Единственный вид российской ценной бумаги, не описанный до сих
пор в законодательных актах, а только упомянутый в Гражданском кодексе,
— это коносамент. По-видимому, о нем будет сказано в третьей
части Гражданского кодекса РФ.
Практически все перечисленные виды ценных бумаг обязаны своим
существованием наличию адекватных им хозяйственных договоров,
одним из возможных свидетельств или одной из форм существования
которых они являются. Так, складские свидетельства выпускаются в
соответствии с договором хранения; коносамент — договором на перевозку;
облигации и векселя — договором займа; банковские сертификаты
и сберкнижки на предъявителя — договором банковского вклада;
закладная — договором об ипотеке. По аналогии можно сказать, что
акции выпускаются в соответствии с учредительным договором. Что
касается чека, то он экономически есть особая разновидность векселя;
он есть форма переводного векселя, обязанным лицом по которому (т.е.
плательщиком по нему) является банк.
В целом конкретные виды ценных бумаг — это различные формы
сочетания их реквизитов и особенно имущественных прав.
перед ней задачи, она должна иметь эффективную организационную
структуру, которая могла бы обеспечивать не только более низкие издержки,
связанные с торговлей ценными бумагами, но и ликвидность
рынка, наличие достаточного количества продавцов и покупателей,
возможность получения участниками торгов достаточной и точной информации
как о прошлых ценах и объемах заключенных сделок, так и о
текущих ценах продавца и покупателя, представленных на торги объемах
и видах ценных бумаг.
Организационная структура биржи также должна обеспечивать доверие
к ней со стороны ее членов, т.е. она должна иметь демократически
избранные органы управления.
Поэтому биржа рассматривается как саморегулируемая организация,
действующая на принципах биржевого самоуправления. Это проявляется
в том, что в рамках действующего законодательства биржа
сама принимает решения об организации своего управления, что находит
отражение в ее уставе.
В соответствии с российскими законодательными документами фондовые
биржи создаются в форме некоммерческого партнерства. Поэтому
органы ее управления делятся на общественную и стационарную
структуры. Общественная структура может быть представлена в виде
схемы, приведенной на рис. 1
Общее собрание членов биржи является ее высшим законодательным
органом управления. Собрания членов биржи бывают годовыми,
созываемыми в обязательном порядке один раз в год с интервалом
между ними не более 15 месяцев, и чрезвычайными (внеочередными).
Последние созываются биржевым комитетом (советом), ревизионной
комиссией или членами биржи, обладающими не менее 10% голосов.

К исключительной компетенции общего собрания относятся:
• осуществление общего руководства биржей и биржевой торговлей;
• определение целей и задач биржи, стратегии ее развития; утверждение
и внесение изменений во внутри биржевые нормативные документы;
• формирование выборных органов;
• рассмотрение и утверждение бюджета биржи, годового баланса,
отчета прибылей и убытков, распределение прибыли;
• прием новых членов биржи;
• утверждение сметы расходов на содержание комитета (совета) и
персонала биржи, в том числе определение условий оплаты труда должностных
лиц биржи, ее филиалов и представительств;
• принятие решения о прекращении деятельности биржи, назначении
ликвидационной комиссии, утверждение ликвидационного баланса.
Так как собрание членов биржи собирается один раз в год, для оперативного
управления биржей выбирается биржевой совет. Он является
контрольно-распорядительным органом текущего управления биржей и
решает все вопросы ее деятельности, кроме тех, которые могут решаться
ТОЛЬКО на общем собрании членов биржи.
Как правило, на биржевой совет возлагаются следующие функции:
О заслушивание и оценка отчетов правления;
О внесение изменений в правила торговли на бирже;
О подготовка решений общего собрания членов биржи;
О установление размеров всех взносов, выплат, денежных и комиссионных
сборов;
О подготовка решения о приеме или исключении членов биржи;
О руководство биржевыми торгами;
О распоряжение имуществом биржи;
О наем и увольнение персонала биржи и т.д.
Из состава биржевого совета формируется правление, которое осуществляет
оперативное руководство биржей и представляет ее интересы
в организациях и учреждениях. Порядок действия совета и правления
определяется уставом и может иметь различия на разных биржах.
Контроль за финансово-хозяйственной деятельностью биржи осуществляет
ревизионная комиссия, которая избирается общим собранием
членов биржи одновременно с биржевым советом.
Ревизионная комиссия вправе оценить правомочность решений, принимаемых
органами управления биржи. К общему собранию членов биржи
ревизионная комиссия проводит документальную проверку финансово-
хозяйственной деятельности биржи (сплошную или выборочную),
результатов се торговых, расчетных, валютных и других операций.
Кроме того, ревизионная комиссия проверяет:
• финансово-хозяйственную деятельность биржи, состояние ее счетов
и достоверность бухгалтерской документации;
• постановку и правильность оперативного, бухгалтерского и статистического
учета и отчетности;
• выполнение установленных смет, нормативов и лимитов;
• своевременность и правильность платежей в бюджет;
• соблюдение биржей и ее органами законодательных актов и инструкций,
а также решений общих собраний членов биржи;
• состояние кассы и фондов биржи.
Ревизионная комиссия ведет проверки по:
О поручению общего собрания членов биржи;
О собственной инициативе;
О требованию биржевого комитета и участников биржи, обладающих
в совокупности более 40% голосов.
Ревизии проводятся не реже одного раза в год.
Члены ревизионной комиссии вправе требовать от должностных лиц
биржи представления всех необходимых документов и личных объяснений.
Результаты проверок направляются общему собранию членов биржи.
При отсутствии аудиторов ревизионная комиссия составляет заключение
по годовым отчетам и балансам, на основании которого общее
собрание членов биржи может их утверждать. Члены ревизионной комиссии
обязаны потребовать созыва чрезвычайного собрания членов
биржи, если возникла серьезная угроза интересам биржи.
Стационарная структура фондовой биржи может быть представлена
схемой, приведенной на рис. 1

Стационарная структура биржи необходима для ведения хозяйственной
биржевой деятельности. От того, как осуществляют свою работу
подразделения, входящие в стационарную структуру, во многом зависит
эффективность работы биржи. Стационарная структура делится
на исполнительные (функциональные) подразделения и специализированные.
Исполнительные (функциональные) подразделения — это аппарат
биржи, который готовит и проводит биржевой торг. Они весьма разнообразны
и зависят от объема биржевых сделок, количества членов биржи
и брокеров, которые работают на бирже. Однако обязательны такие
подразделения, как информационный отдел, отдел листинга, регистрационное
бюро, бюро по программному обеспечению, отдел по организации
торгов.
Специализированные подразделения делятся на коммерческие организации
(например, расчетная палата, депозитарий) и комиссии, наиболее
важными из которых являются: арбитражная, котировальная, по приему
в члены биржи, по правилам биржевой торговли и биржевой этике.
Органы управления зарубежных фондовых бирж аналогичны российским.
В качестве примера рассмотрим структуру управления Франкфуртской
фондовой биржи. Органы управления ею составляют общественную
и стационарную структуру.
Общественная структура включает: собрание акционеров, наблюдательный
совет и правление.
Согласно немецкому акционерному праву, собрание акционеров, состоящее
из всей совокупности акционеров, избирает наблюдательный совет.
Последний в свою очередь назначает правление. Устав Франкфуртской
фондовой биржи предусматривает, что из 15 мест в наблюдательном
совете восемь мест принадлежат банкам, два — маклерам и пять мест —
служащим фондовой биржи. Представление интересов служащих биржи в
наблюдательном совете предписывается действующими в Германии законами
о праве работников на участие в принятии решений на предприятиях.
Задачи правления:
• допуск предприятий и лиц к участию в биржевой торговле;
• организация и проведение операций на бирже;
• контроль за соблюдением законов, распоряжений и прочих положений;
• гюддержание порядка в помещениях биржи;
• установление условий деятельности на бирже;
• назначение органов руководства биржей.
Из состава правления биржи 19 членов избираются на три года, а
именно:
О 13 представителей банков — членов биржи;
О два курсовых маклера;
О два свободных маклера;
О два представителя служащих — членов биржи.
Кроме них в состав правления биржи входят:
О представитель компаний, акциями которых ведется торговля;
О представитель вкладчиков;
О представитель инвестиционных фондов.
Плюралистический состав правления биржи для Германии традиционен и обеспечивает соответствующее представительство интересов всех
групп, участвующих в торговле при формировании рыночного порядка
и правил торговли ценными бумагами.
Стационарная структура включает комиссии и отделы, которые
заняты организацией биржевого торга. К комиссиям относятся:
/. Арбитражная комиссия является исполнительным органом биржи
и занимается расследованием и разрешением хозяйственных споров между
участниками сделок относительно правомерности и законности той
или иной операции.
Листинговая комиссия осуществляет строжайший отбор ценных
бумаг с целью недопущения на фондовую биржу финансовых активов
недостаточно надежных эмитентов. Листинговая комиссия самостоятельно
разрабатывает правила допуска ценных бумаг к торгам и согласовывает
их с соответствующими государственными органами. Она
формирует биржевой список из числа фондовых ценностей наиболее
перспективных акционерных обществ и других эмитентов и передает
его вместе с другими материалами в котировальную комиссию.
Котировальная комиссия — это орган, который ведет учет ценных
бумаг, принимает их к котировке, рекомендует их начальную котировочную
цену, а после торгов регистрирует изменение цен. Данная
комиссия оглашает и доводит до всеобщего сведения информацию о
курсах ценных бумаг и объемах заключаемых сделок.
Клиринговая комиссия — это комиссия, которая занимается после-
торговыми операциями в форме организации безналичных расчетов
между участниками фондовых сделок. Комиссия составляет специальное
расписание денежных расчетов по каждому типу ценных бумаг, а
также организует прямые расчеты между продавцом и покупателем и
доставку товара (финансовых активов) новому владельцу.
Информационно-издательский отдел осуществляет централизованное
информационное обеспечение, издает биржевой бюллетень, справочники,
рекламные проспекты и т.п.
Отдел технического обеспечения выполняет организационно-вспомогательную
работу по обеспечению нормального функционирования
всех подразделений фондовой биржи. В его обязанности входит снабжение,
контроль за работой и профилактика технического оборудования,
средств связи и т.д.
Непосредственно организацией биржевого торга занимаются следующие
отделы:
• собственности и финансов;
• компьютерных операций;
• секретаря корпорации;
• листинга и котировок;
• регулирования членов биржи;
• торговли и развития рынка;
• клиринговое подразделение.
Функции отдела собственности и финансов заключаются в аудиторских
проверках всех бухгалтерских и финансовых книг биржи; финансовом
контроле для обеспечения адекватного потока наличности;
финансовых анализе и планировании.
Отдел компьютерных операций несет ответственность за разработку
электронных систем, обеспечение их непрерывного функционирования
и работу с этими системами.
Функции отдела секретаря корпорации следующие:
• выполнение функций секретариата совета директоров;
• внесение изменений и дополнений в правила и положения биржи;
• оказание юридических услуг;
• выпуск извещений для членов биржи;
• обработка заявок на членство.
К функциям отдела листинга и котировок относятся:
• установление условий получения биржевой котировки, стандартов
и сведений, которые должна предоставить компания;
• обработка новых заявок на получение котировки, рассмотрение
их содержания на предмет соответствия требованиям биржи и обсуждение
с подателями заявки;
• по вторичным эмиссиям - - предъявление санкций на эмиссии дополнительных
продуктов заимствования компаниям, имеющим котировку;
• мониторинг компаний, имеющих котировку.
Отдел регулирования членов бир:жи занимается:
О разработкой, определением и предоставлением экспертиз фирмам —
членам биржи;
О мониторингом достаточности собственного капитала;
О проверкой соблюдения правил и положений биржи;
О разрешением споров между членами биржи.
К функциям отдела торговли и развития рынка относятся:
О создание новых продуктов;
О надзор за рынком, разработка кодекса поведения;
О мониторинг торговли;
О контроль качества рынка, обеспечение гарантии того, что не происходит
манипуляций с котировками цен.
Итак, мы видим, что зарубежные фондовые биржи представляют собой
достаточно сложные организационные структуры, основная цель
которых — достижение максимальной эффективности функционирования
биржи.
различным образом, а встречи продавцов и покупателей для заключения
сделок купли-продажи могут происходить на разных торговых
площадках.
Организация фондового рынка прошла путь от так называемого
«уличного» (дикого, неорганизованного) рынка ценных бумаг до фондовой
биржи и современных электронных систем торговли ценными
бумагами.
Фондовая биржа является одной из наиболее развитых форм организации
торговли ценными бумагами. Напомним, что биржевой рынок
представляет собой особый институционально организованный рынок,
на котором обращаются ценные бумаги наиболее высокого качества и
операции на котором совершают профессиональные участники рынка
цепных бумаг.
Отличительные признаки биржевого рынка:
• определенные время и место проведения торговли;
• конкретный круг участников (профессионалов) фондового рынка;
• установленные правила торгов и подчинение участников этим правилам;
• организатором торгов является конкретное учреждение (организация,
имеющая соответствующую лицензию).
Внебиржевой и «уличный» рынки ценных бумаг — не тождественные
понятия, поскольку внебиржевой рынок можно разделить па организованный
и неорганизованный. «Уличный» (дикий) рынок может быть
охарактеризован как внебиржевой неорганизованный рынок. Предметом
рассмотрения данного раздела является организованный внебиржевой
рынок ценных бумаг.
Значение биржевых и внебиржевых рынков в организации торговли
ценными бумагами, их соотношение в различных странах не одинаково.
В одних государствах торговля вне бирж не играет существенной роли,
а в других даже запрещена. В то же время в ряде стран во внебиржевом
обращении находится значительная масса ценных бумаг.
Хотя в странах с развитой рыночной экономикой фондовые биржи все
еще играют достаточно большую роль в организации обращения ценных
бумаг, тем не менее значение биржи и биржевых механизмов купли-продажи
фондовых ценностей постоянно снижается. По сути дела, биржа при
наличии высокоэффективных средств связи не столь уж необходима, и на
Западе биржа как место, где ведется торговля финансовыми активами,
постепенно утрачивает свои позиции. Основными ее конкурентами выступают
коммерческие и инвестиционные банки, превращающиеся в расчетные
центры и центры торговли фондовыми ценностями. Все более решительно
заявляют о себе новые формы организации внебиржевого оборота
с использованием компьютерной техники и каналов связи.
Наибольшее развитие внебиржевой рынок получил в США, где преобладающее
большинство торговых сделок с государственными ценными
бумагами производится через компьютерные экраны или с помощью
телефонов, телексов и без биржевых посредников.
Значительная часть государственных ценных бумаг в этой стране
существует только в форме записей в книгах или хранится в банках
данных Федеральной резервной системы. Когда эти бумаги продаются,
Федеральный резервный банк осуществляет передачу прав собственности
посредством телеграфной или телексной связи. Еще одной альтернативой
биржевому рынку в США является Система автоматической
котировки Национальной ассоциации дилеров по ценным бумагам —
НАСДАК, которая образовалась как междилерский рынок зарегистрированных,
но НС котирующихся на бирже ценных бумаг. Под эгидой этой
ассоциации в США с 1971 г. функционирует своеобразная электронная
биржа. Аналогичные процессы протекают и в других высокоразвитых
странах Запада. Конкуренцию бирже составляют новые организационные
формы (механизмы и технологии) торговли ценными бумагами.
Закономерностью развития организационных форм фондового рынка
является постепенное стирание различий между биржевой и внебиржевой
формами организации торговли ценными бумагами, появление
различных переходных форм. Примером могут служить так называемые
«вторые», «третьи», «параллельные» рынки, создаваемые фондовыми
биржами и находящиеся под их регулирующим воздействием. Подобные
рынки функционируют с 80-х годов в важнейших европейских
центрах торговли ценными бумагами. Их возникновение было обусловлено
стремлением фондовых бирж расширить свой рынок, желанием создать
упорядоченный регулируемый рынок ценных бумаг для финансирования
небольших и средних компаний, являющихся носителями наиболее
современных технологий.
Поэтому такие рынки в сравнении с биржевым предъявляют более
низкие требования к качеству ценных бумаг, включают в себя акции
малых и средних компаний, но при этом поддерживают регулярность
торговли, котировки, единство правил и т.д.
С другой стороны, из внебиржевого оборота возникают системы
торговли ценными бумагами, основывающиеся на современных средствах
коммуникации и компьютерных тех1юлогиях. Эти системы представляют
собой подобие территориально распределенной электронной
биржи. Они имеют свои правила организации торговли, допуска ценных
бумаг на рынок (листинг), отбора участников и т.д.
В качестве примера организованных компьютерных рынков внебиржевой
торговли служат:
• Система автоматической котировки Национальной ассоциации
инвестиционных дилеров (NASDAQ — National Association of Securities
Dealers Automated Quotations). В отечественной экономической литературе
принята аббревиатура НАСДАК.
• Канадская система внебиржевой автоматической торговли (СО—
АТС — Canadian Over-the-Counter Automated).
• Система автоматической котировки и дилинга при Сингапурской
фондовой бирже.
В России фондовые биржи, в большинстве своем возникшие в 1991—
1992 гг., не заняли лидирующие позиции на отечественном рынке ценных
бумаг. Многие из них «тихо скончались» уже в 1994—1995 гг.
Фондовая биржа образца 90-х годов не превратилась в торговое, профессиональное
и технологическое ядро российского рынка ценных
бумаг. Суждено ли этому институту финансового рынка в России
занять подобающее ему место, покажет время. Но анализ общих закономерностей
развития фондового рынка и особенностей российской
биржевой деятельности позволяет высказать предположение, что скорее
всего фондовая биржа как форма организации торговли ценными
бумагами отомрет, так и не получив сколько-нибудь серьезного развития
в России.
Основная тенденция развития российского фондового рынка — перемещение
акцента с биржевой торговли на внебиржевую. Объемы сделок
на фондовых биржах и в фондовых отделах товарных бирж со второй
половины декабря 1991 г. резко сократились, в то же время внебиржевой
рынок был более стабилен.
Изначальное преобладание в России внебиржевого рынка ценных
бумаг над биржевым связано с тем, что первичное размещение ценных
бумаг осуществляется преимущественно на внебиржевом рынке, это
соответствует и мировой практике.
В настоящее время российский внебиржевой рынок ценных бумаг
представлен в следующем виде:
• торговая сеть Сберегательного банка РФ (основу составляет разветвленная
филиальная сеть Сбербанка России);
• внебиржевой рынок ценных бумаг коммерческих банков;
• телефонные дилерские рынки — получили развитие в процессе приватизации
и выхода на рынок значительных объемов акций приватизированных
предприятий, а также в процессе первичного размещения акций
вновь создаваемых торгово-промышленных акционерных обществ
и акционерных коммерческих банков;
• электронные рынки (Интерфакс — Диллинг).
Каждый из названных видов внебиржевых рынков (каждый сегмент,
сектор внебиржевого рынка) характеризуется определенной системой
параметров:
а) обращающиеся на данном рынке финансовые инструменты (условия
их выпуска и обращения);
б) состав участников (их функции);
в) наличие (отсутствие) определенной обслуживающей инфраструктуры;
г) механизм регулирования данного вида внебиржевого рынка;
д) правила работы с данным финансовым инструментом;
ж) правила осуществления торгов.
Для того чтобы получить более полное представление о внебиржевом
рынке, необходимо рассмотреть его устройство, отдельные компоненты.
С этой целью следует ответить на такие вопросы:
Кто участвует во внебиржевой торговле?
Где происходит торговля ценными бумагами на внебиржевом
рынке?
Как она организована и каким правилам подчиняется?
Регулируется ли внебиржевая торговля государством и законами,
и если да, то каким образом?
В качестве первоначального варианта внебиржевой торговли —
«Портал» — была принята одна из подсистем американской внебиржевой
системы торговли НАСДАК. Технические средства «Портал»
были усовершенствованы российскими специалистами, и система получила
свое нынешнее наименование «Российская торговая система»
(РТС). Она была создана при финансовом содействии правительства
США.
До недавнего времени самой крупной внебиржевой системой в России,
имеющей лицензию организатора торговли ценными бумагами,
была РТС, которая получила статус биржи. Первоначально система
была ориентирована на обслуживание 50 трейдеров, работающих с
удаленных терминалов. Однако затем эта торговая система распространилась
на другие регионы России. Российской торговой системой
могут пользоваться члены других саморегулируемых организаций, в
частности Ассоциации фондовых дилеров Сибири, Петербургской объединенной
торговой системы. Уральской ассоциации брокеров и дилеров.
Основным объектом торговых сделок в РТС являются акции крупнейших
российских предприятий, таких, как РАО ЕЭС, РАО «Норильский
никель», АО «Юганскнефтегаз», НК «ЛУКойл». Всего в основном
листинге РТС 13 крупных компаний.
Торговля в РТС осуществляется следующим образом. Участники
торгов через удаленные терминалы вводят в центральный компьютер
свои предложения на покупку и продажу акций.
Введенные предложения отображаются на терминалах всех участников
торгов. Если кто- нибудь из участников торгов пожелает совершить сделку на предложенных условиях, то он связывается с трейдером, выставившим заявку
по телефону, и договаривается с ним о сделке.
Оплата акций и перерегистрация прав собственности совершаются
контрагентами сделки самостоятельно. РТС никаких услуг в этом отношении
в настоящее время не предоставляет. Таким образом, РТС в
современном виде — это своеобразная доска объявлений, доступ к которой
регламентируется определенными правилами.
Членами НАУФОР разработан пакет нормативных документов, регулирующих торговлю через РТС (правила, типовой договор купли-
продажи, меры ответственности). Также созданы органы, контролирующие
и регулирующие деятельность участников РТС: торговый комитет,
дисциплинарный комитет (контролирующий соблюдение правил
торговли), третейский суд (разбирающий спорные вопросы и конфликтные
ситуации).
Ключевые моменты правил торговли в РТС:
Все предложения (котировки), введенные в систему, являются
«твердыми», т.е. обязательными для исполнения.
Минимальный объем лота, выставляемого в системе, — 10 тыс.
долл. США.
Участники торговой системы разделены на несколько категорий,
среди которых выделяются маркет-мейкеры, одной из основных задач
которых является поддержание ликвидности рынка.
В обязанности маркет- мейкеров входит:
• постоянное поддержание двусторонних котировок (на покупку и
на продажу) по акциям как минимум трех эмитентов и односторонних
котировок (либо на покупку, либо на продажу) как минимум двух эмитентов;
• объем выставляемых ими лотов должен быть не менее 30 тыс. долл.
США.
Маркет-мейкеры имеют определенные льготы. Так, им предоставляется
право в случае, если к ним обратится «простой» участник торгов,
менять заявленную в системе цену в пределах 10%.
Основными недостатками РТС являются: информационная закрытость
(непрозрачность) системы, дискриминация участников торговли
и преимущественно справочно-информационный, а не торговый характер
системы (она слабо обеспечивает процесс заключения сделки и не
создает условия для ее реализации).
В юридических определениях ценных бумаг фиксируются
их главные права (или признаки, свойства), по которым одна ценная
бумага традиционно (как правило) отличается от другой. Однако
из практики известно (и это есть результат конкуренции между разными
видами ценных бумаг), что очень многие права, предоставляемые
одной ценной бумагой, придаются другой ценной бумаге и наоборот.
Перечисленные выше виды ценных бумаг, разрешенные действующим
российским законодательством, могут быть сгруппированы с точки
зрения их экономического вида независимо от юридической формы
проявления.
Государственная облигация и просто облигация — это один и тот же
экономический вид ценной бумаги под общим названием «облигация».
У них лишь разные обязанные лица (в первом случае — государство, во
втором — другие юридические лица), и они по-разному выражают действительный
капитал (в первом случае — косвенно, во втором — непосредственно).
Чек — это разновидность переводного векселя, плательщиком по которому
всегда является банк, обособившаяся в юридически самостоятельный
вид ценной бумаги в силу широкого использования его в расчетах. В
отличие от обычного переводного векселя, плательщиком по которому
тоже может быть банк, форма чека и порядок его обращения имеют самостоятельную
правовую базу, отличную от вексельного законодательства.
Депозитный и сберегательный сертификаты, а ^акже банковская сберегательная
книжка на предъявителя экономически могут быть объединены
в единый вид — банковский сертификат. Первые два отличаются
лишь по их владельцу (в первом случае им является юридическое лицо,
во втором — граждане). Сберкнижка на предьявителя экономически есть
разновидность сберегательного сертификата, иными словами, она есть
сертификат в форме сберегательной книжки.
В то же время сам по себе банковский сертификат, как и чек, есть
разновидность векселя, точнее, банковского векселя, но в отличие от
последнего банковский сертификат не передается путем индоссамента,
а только путем вручения или цессии.
То, что все перечисленные виды складских свидетельств есть экономически
один вид, достаточно очевидно.
Таким образом, российские ценные бумаги существуют согласно
действующему законодательству в количестве шести самостоятельных
экономических видов':
• облигация;
• вексель;
• закладная;
• коносамент;
• складское свидетельство;
• акция.
Перечисленные виды ценных бумаг будем в дальнейшем называть
основными ценными бумагами.
целью организацию торговли ценными бумагами на основе лицензии
на право осуществления этой деятельности.
Член фондовой биржи — профессиональный участник рынка ценных
бумаг, принимающий участие в формировании ее уставного капитала,
вносящий целевые взносы для обеспечения ее деятельности и принимающий
активное участие в биржевых торгах.
Внебиржевой организатор фондового рынка — это профессиональный
участник фондового рынка, организующий торговлю ценными бумагами
и не являющийся биржей.
ГЛАВНЫЕ ВЫВОДЫ
Фондовая биржа необходима для функционирования организованного
рынка ценных бумаг. Ее основная задача — организовать биржевую
торговлю. Для этого она должна выполнять закрепленные функции и
иметь определенную организационную структуру, которую принято
делить на общественную и стационарную. Биржа представляет собой
саморегулируемую организацию, действующую на принципах биржевого
самоуправления, поэтому важным органом управления биржи является
общее собрание членов биржи. Для управления биржей создаются
контрольно-распорядительный орган (биржевой совет) и контрольный
орган (ревизионная комиссия). Подготовкой и проведением биржевой торговли
занимается стационарная структура биржи.
Кроме биржевых рынков необходимы внебиржевые, которые делятся
на организованные, имеющие много общего с биржевыми, и неорганизованные.
Организованные внебиржевые рынки представлены структурами,
имеющими лицензию на право выступать в качестве организатора
торговли ценными бумагами.
1 ПОНЯТИЕ и ЦЕЛИ РЕГУЛИРОВАНИЯ
Регулирование рынка ценных бумаг — это упорядочение
деятельности на нем всех его участников и операций между ними со
стороны организаций, уполномоченных обществом на эти действия.
Регулирование рынка ценных бумаг охватывает всех его участников:
эмитентов, инвесторов, профессиональных фондовых посредников,
организации инфраструктуры рынка.
Регулирование деятельности участников рынка может быть внешним
и внутренним. Внутреннее регулирование — это подчиненность деятельности
данной организации ее собственным нормативным документам:
уставу, правилам и другим внутренним нормативным документам, определяющим
деятельность этой организации в целом, ее подразделений
и ее работников. Внешнее регулирование — это подчиненность деятельности
данной организации нормативным актам государства, других
организаций, международным соглашениям.
Регулирование рынка ценных бумаг охватывает все виды деятельности
и все виды операций на нем: эмиссионные, посреднические, инвестиционные,
спекулятивные, залоговые, трастовые и т.п.
Регулирование рынка ценных бумаг осуществляется органами или
организациями, уполномоченными на выполнение функций регулирования.
С этих позиций различают:
• государственное регулирование рынка, которое осуществляется
государственными органами, в компетенцию которых входит выполнение
тех или иных функций регулирования;
• регулирование со стороны профессиональных участников рынка
ценных бумаг, или саморегулирование рынка. Этот процесс может развиваться
двояко: с одной стороны, государство передает часть своих
функций по регулированию рынка уполномоченным или отобранным
им организациям профессиональных участников рынка ценных бумаг,
а с другой — эти последние сами договариваются о том, что созданная
организация получает от них некие права регулирования по отношению
ко всем учредителям или участникам данной организации;
• общественное регулирование, или регулирование через общественное
мнение. В конечном счете, именно реакция широких слоев общества
в целом на какие-либо действия на рынке ценных бумаг является первопричиной,
по которой начинаются те или иные регулятивные действия
государства или профессионалов рынка.
Регулирование рынка ценных бумаг обычно имеет следующие
цели:
• поддержка порядка на рынке, создание нормальных условий для
работы всех участников рынка;
• защита участников рынка от недобросовестности и мошенничества
отдельных лиц или организаций, от преступных организаций и преступников
вообще;
• обеспечение свободного и открытого процесса ценообразования
на ценные бумаги на основе спроса и предложения;
• создание эффективного рынка, на котором всегда имеются стимулы
для предпринимательской деятельности и на котором каждый риск
адекватно вознаграждается;
• в определенных случаях — создание новых рынков, поддержка необходимых
обществу рынков и рыночных структур, рыночных начинаний
и нововведений и т.п.;
• воздействие на рынок с целью достижения каких-либо общественных
целей (например, для повышения темпов роста экономики, снижения
уровня безработицы и т.д.);
• защита общественных интересов на рынке.
Процесс регулирования на рынке ценных бумаг включает:
• создание нормативной базы функционирования рынка, т.е. разработку
законов, постановлений, инструкций, правил, методических положений
и других нормативных актов, которые ставят функционирование
рынка на общепризнанную и всеми соблюдаемую основу;
• отбор профессиональных участников рынка. Современный рынок
ценных бумаг, как, пожалуй, и любой другой рынок, невозможен без
профессиональных посредников. Однако не любое лицо или организация
может занять место такого посредника. Чтобы это сделать, необходимо
удовлетворять определенным требованиям по знаниям, опыту и
капиталу, которые устанавливаются уполномоченными на это регулирующими
организациями или органами;
• контроль за соблюдением всеми участниками рынка норм и правил
функционирования рынка. Этот контроль выполняется соответствующими
контрольными органами;
• систему санкций за отклонение от норм и правил, установленных
на рынке; такими санкциями могут быть устные и письменные предупреждения,
штрафы, уголовные наказания, исключение из рядов участников
рынка.
бумаг могут быть управляющие компании, независимо от конкретной юридической
формы их организации, но имеющие государственную лицензию
на деятельность по управлению ценными бумагами. В соответствии
с Федеральным законом «О рынке ценных бумаг» под деятельностью по
управлению ценными бумагами признается осуществление юридическим
лицом или индивидуальным предпринимателем от своего имени за вознаграждение
в течение определенного срока доверительного управления
переданными ему во владение и принадлежащими другому ;шцу в интересах
этого лица или указанных этим лицом третьих лиц:
• ценными бумагами и денежными средствами, предназначенными
для инвестирования в ценные бумаги;
• ценными бумагами и денежными средствами, которые компания
получает в процессе своей деятельности на рынке ценных бумаг.
Экономический смысл функционирования управляющих компаний и
их деятельности на рынке ценных бумаг состоит в том, что они могут
обеспечивать:
• как правило, лучшие результаты от управления ценными бумагами
клиентов по сравнению с деятельностью последних за счет своего
профессионализма;
• более низкие затраты, связанные с операциями на фондовых рынках,
за счет масштабов своей деятельности;
• эффективность операций за счет одновременной работы в разных
секторах рынка и (или) в разных странах.
Профессиональный участник рынка ценных бумаг, который осуществляет
деятельность по управлению ценными бумагами, носит название
«управляющий». Собственник имущества, переданного в доверительное
управление (ценных бумаг и денежных средств), называется учредителем
управления. Лицо, в интересах которого происходит управление
ценными бумагами, считается выгодо приобретателем. Согласно определению,
Выгодо приобретателем может быть либо сам учредитель управления,
либо названное им третье лицо.
В России, как правило, в роли управляющего выступает коммерческий
банк, который заключает с учредителем управления специальный
договор, определяющий права и обязанности сторон, а также порядок
действий по управлению ценными бумагами и денежными средствами.
КОММЕРЧЕСКИЕ БАНКИ НА РЫНКЕ ЦЕННЫХ БУМАГ
В зависимости от национального законодательства тойили иной страны, исторических традиций и особенностей формирования
национальных фондовых рынков банки могут играть на них различную
роль.
Основная теоретическая и практическая проблема здесь состоит в
том, как отделить риски, свойственные обычным «классическим» банковским
операциям (депозитно -ссудным и расчетным), от рисков, возникающих
в связи с участием банков на фондовом рынке.
Мировая практика знает два подхода к проблеме сочетания обычной
банковской деятельности с деятельностью на рынке ценных бумаг.
Согласно одному из подходов, банкам должно быть запрещено заниматься
некоторыми видами профессиональной деятельности на рынке
ценных бумаг (брокерской, дилерской, организатора рынка), а также
должны быть существенно ограничены отдельные виды непрофессиональной
деятельности в качестве инвесторов (вложения в негосударственные
ценные бумаги, кроме дочерних банковских и финансовых
компаний).
Этот подход применяется в США, где разделение универсальных
банков на коммерческие и инвестиционные на рубеже 30-х годов XX в.
было введено как реакция на волну массовых банкротств банков. Причиной
этих банкротств была чрезмерная активность банков по вложению
привлеченных средств клиентов в негосударственные ценные бумаги
и по предоставлению гарантий по таким ценным бумагам. Жестокий
экономический кризис и депрессия привели к массовому разорению
компаний, обесценению их ценных бумаг и как следствие — к цепочке
банкротств банков. Свою роль сыграло также отсутствие должного
государственного регулирования банковской инвестиционной деятельности.
В результате экономического кризиса система рынка ценных
бумаг и банковская система США были настолько разрушены, ослаблены
и дискредитированы, что пришлось фактически заново перестраивать
систему государственного регулирования финансового рынка (как
рынка ценных бумаг, так и банковской системы). На этом фоне концепция
разделения банков на коммерческие и инвестиционные (так называемый
«закон Гласса — Стигала») была легко принята и, надо отдать
должное, в течение нескольких десятилетий успешно решала поставленную
перед ней задачу — защиту средств массовых вкладчиков от рисков,
свойственных инвестициям в ценные бумаги.
В течение последнего десятилетия в США наблюдается «размыванием
границ между инвестиционными и коммерческими банками путем принятия
постепенных поправок в законодательство, расширяющих компетенцию
коммерческих банков, а также путем внедрения новых видов банковских
операций (особенно с производными финансовыми инструментами),
которые прямо не подпадают под существующие ограничения.
Второй подход представляет собой разрешение банкам сочетают
обычные банковские операции с большинством операций на рынке ценных
бумаг (как профессиональных, так и непрофессиональных). Taкой
подход преобладает в европейских странах и принят в качестве основного
для будущей объединенной Европы.
Согласно этому подходу, ограничение риска банковских инвестиционных операций должно осуществляться не «хирургическими» методами прямого разделения функций,
а путем введения специальных «встроенных» ограничителей, дестимулирующих чрезмерные инвестиции банков в ценные бумаги, путем надлежащего
государственного контроля за банковской деятельностью, а
также повышенного внимания к проблеме конфликта интересов при операциях
на финансовых рынках.
В наиболее завершенном виде этот подход преобладает в Германии,
где по законодательству исключительно банковские организации имеют
право на основании специальной лицензии работать с финансовыми
средствами клиентов как в области «классических» банковских операций,
так и в области инвестиционной деятельности и обслуживания такой
деятельности (например, в качестве депозитариев).
Под влиянием конкуренции в Европе некоторые банки сами внедряют
в свою деятельность концепцию специализации и разделения различных
банковских функций по разным филиалам и дочерним обществам. При
этом, однако, необходимо подчеркнуть принцип добровольности, самостоятельности
в выборе банковской стратегии, законодательно закрепленную
возможность при необходимости сочетать разные банковские
операции в рамках одного юридического лица.
С момента возрождения современной российской банковской системы
(конец 8()-х — начало 90-х годов) законодательство придерживалось
второго подхода — универсальности банков.
По банковскому законодательству банки в России являются универсальными
банками, т.е. совмещают обычные банковские операции с
операциями на рынке ценных бумаг (непрофессиональными и профессиональными).
Российские банки осуществляют непрофессиональные операции с
ценными бумагами по общим правилам для инвесторов и эмитентов, а
также в рамках нормативов и по дополнительным правилам, установленным
Банком России. Необходимо отметить, что Банк России регулирует
непрофессиональную деятельность банков на рынке ценных бумаг
более жестко, чем иные российские государственные органы контролируют
подведомственные им коммерческие организации.
Профессиональная деятельность банков на рынке ценных бумаг осуществляется
по общим банковским лицензиям, выдаваемым Банком
России. При этом предполагается, что Банк России как единый надзорный
и контрольный орган имеет все полномочия проверять и при необходимости
регламентировать профессиональную деятельность банков,
в том числе и на рынке ценных бумаг. У Банка России для этого есть
возможность требовать обычную и специальную отчетность, право назначать
банковские проверки и при необходимости применять к банкам
санкции (как легкие, так и серьезные, вплоть до отзыва лицензии и ликвидации
банка).
Кроме того, по действующему российскому валютному законодательству
только банки, получившие на основании лицензии Банка России
право на ведение валютных операций, могут беспрепятственно осуществлять
как профессиональную, так и непрофессиональную деятельность
на зарубежных финансовых рынках.
При этом Банк России применяет ряд ограничений на инвестиционные
операции банков — повышенные коэффициенты риска при расчете
соотношения собственных средств банков и различных статей их
активов, а также значительные требования к созданию внутренних
банковских резервов под потенциальное обесценение вложений в ценные
бумаги.
Деятельность банков как инвесторов и эмитентов на рынке ценных
бумаг регулирует Банк России, включая установление правил бухгалтерского
учета и техники проведения операций.
Современное состояние дел на российском фондовом рынке позволяет
предположить, что в обозримом будущем банки будут занимать лидирующее
место как среди эмитентов и институциональных инвесторов,
так и среди профессиональных участников рынка ценных бумаг.
Например, на рынке государственных ценных бумаг банки самые
активные покупатели при их первичном размещении. Основной оборот
вторичного рынка с государственными ценными бумагами осуществляется
банками. Последние активно начинают приобретать акции предприятий
в целях создания финансово-промышленных групп и закрепления
своего влияния на производящие отрасли экономики.
Кроме того, инфраструктура российского фондового рынка будет
развиваться в дальнейшем за счет того, что именно банки будут предоставлять
массовым клиентам и другим профессиональным торговцам
услуги в области депозитарной, расчетно-денежной и клиринговой деятельности.
Итак, коммерческие банки в России могут выполнять все виды деятельности
и все виды операций на рынке ценных бумаг, разрешенные
действующим законодательством, как то:
• выступать в роли эмитентов и институциональных инвесторов;
• осуществлять брокерскую и дилерскую деятельность;
• управлять инвестициями фондами;
• проводить расчетное обслуживание участников рынка ценных бумаг;
• организовывать депозитарное обслуживание;
• предлагать консалтинговые услуги и т.п.
РЕГИСТРАТОРЫ
Регистраторами на рынке ценных бумаг обычно называюторганизации, которые по договору с эмитентом ведут реестр.
Реестром называется список владельцев именных ценных бумаг, составленный
на определенную дату. Задача регистратора состоит в том,
чтобы вовремя и без ошибок предоставить реестр эмитенту. А для чего
эмитенту нужен реестр? В первую очередь он нужен для того, чтобы
эмитент мог исполнить свои обязанности перед владельцами выпущенных
им ценных бумаг. Если максимально упростить ситуацию, то исполнение
обязанностей эмитента по именным ценным бумагам происходит
следующим образом. Сотрудники эмитента берут реестр и в соответствии
с ним (напомним, что реестр — это список, содержащий
необходимые реквизиты) переводят дивиденды или, например, рассылают
владельцам приглашение на собрание акционеров и т.п. Это и отличает
именные бумаги от предъявительских. По предъявительской бумаге
дивиденды выплачивают тому, кто пришел и предъявил сертификат,
а по именной бумаге — тому, кто числится в реестре. Кроме того, реестр
может понадобиться руководству эмитента для того, чтобы контролировать
состав владельцев, отслеживать попытки массовой скупки
акций и иные недружественные действия.
Акционерное общество может выполнять функции регистратора
само или передавать их выполнение сторонней организации, оказывающей
услуги по ведению реестров. Традиционно в роли таких организаций
выступают банки или специализированные регистраторы. (Отметим,
что в США регистраторов называют трансфер- агентами, в то время
как в России трансфер- агентами обычно являются организации,
которые сами реестр не ведут, а помогают инвестору и регистратору
произвести регистрацию смены собственности.) Эмитент заключает с
регистратором договор о ведении реестра и платит ему за выполняемую
работу. При этом эмитент может поручить ведение реестра только
одному регистратору, в то время как регистратор может вести реестр
для многих эмитентов.
Помимо своих основных функций регистраторы, как правило, исполняют
и дополнительные обязанности, тесно связанные с ведением
реестра. По документарным выпускам регистратор отвечает за выдачу
на руки сертификатов ценных бумаг и контроль за их обращением.
При смене владельца регистратор должен выписать сертификат на имя
нового владельца и при этом убедиться, что сданный ему для переоформления
сертификат действительно принадлежит тому, кто его сдал, а не
украден и не находится в розыске, т.е. регистратор учитывает права
собственности инвесторов на принадлежащие им ценные бумаги.
Кроме того, регистратор оформляет блокировку ценных бумаг, связанную
с арестом, залогом или другими операциями. Регистратор, как правило,
является агентом эмитента по выполнению корпоративных действий
в отношении ценных бумаг, таких, как сплит (расщепление акций на более
мелкие), консолидация, конвертация и др. Через регистратора эмитент
может передавать информационные сообщения своим инвесторам, регистратор
также может выступать в роли платежного агента эмитента.
Регистратор выполняет свои основные обязанности по сбору и передаче
реестра эмитенту следующим образом. Он ведет лицевые счета владельцев
ценных бумаг. На лицевом счете указано число принадлежащих
владельцу ценных бумаг, а также вся необходимая информация о владельце.
Если произошла сделка купли-продажи, то смена владельца должна
быть отмечена в реестре. Иначе эмитент будет законно продолжать
исполнять свои обязанности по отношению к прежнему владельцу.
Таким образом, лицевой счет представляет собой совокупность данных
о зарегистрированном лице, о принадлежащих ему ценных бумагах
и операциях с ними. Держатель реестра может вести следующие типы
лицевых счетов:
• эмиссионный счет эмитента — на него зачисляются ценные бумаги
эмитента, прошедшие в установленном порядке государственную регистрацию
выпуска, и списываются по мере размещения или погашения;
• лицевой счет эмитента — на него зачисляются размещенные акции
эмитента, выкупленные по требованию акционеров или приобретаемые
на баланс по решению совета директоров;
• лицевой счет зарегистрированного лица — счет, который открывается
владельцу, номинальному держателю, залогодержателю или доверительному
управляющему.
В реальности регистрационная деятельность в России может быть
затруднена. Например, крайне неудобно, когда для регистрации каждой
сделки приходится постоянно ездить к регистратору, особенно если
тот расположен далеко. Это очень замедляет исполнение сделок и повышает
стоимость регистрации. Да и эмитенту его реестр нужен не каждый
день, а лишь в определенные моменты. По всем этим причинам широкое
распространение получил институт «номинального держателя».
Номинальный держатель — это лицо, на которое в реестре записаны
ценные бумаги, тогда как на самом деле он не является их собственником.
Номинальный держатель сам ведет учет реальных собственников.
Если старый и новый собственники ценной бумаги открыли счета у номинального
держателя, то при купле-продаже меняется состояние счетов у номинального держателя, но общее количество ценных бумаг, записанных
на него, остается неизменным и состояние его счета у регистратора
не меняется.
Поэтому не нужно ехать к регистратору и оформлять
у него произведенную сделку. Смена собственника оформляется у
номинального держателя. Это очень удобно, если эмитент и его регистратор
находятся далеко от основных финансовых рынков. Институт номинальных
держателей позволяет приблизить место оформления смены
собственника к месту совершения большинства сделок и вследствие
этого значительно ускорить и удешевить регистрацию сделок. В те моменты,
когда эмитенту нужен полный реестр владельцев его бумаг, регистратор
посылает запрос номинальному держателю, и тот предоставляет
ему полный список истинных собственников, чьи счета он ведет.
Итак, основная обязанность регистратора — своевременное предоставление
реестра эмитенту. Другая обязанность регистратора, тесно
связанная с основной, — ведение лицевых счетов владельцев ценных
бумаг и номинальных держателей счетов, которые при бездокументарном
выпуске удостоверяют право собственности на ценные бумаги.
Таким образом, в деятельности регистратора, как правило, совмещаются
две основные обязанности — составлять реестры для эмитента и
учитывать права собственности инвесторов на ценные бумаги.
Во многих развитых странах институт регистраторов отсутствует
как таковой. Обязанности по сбору реестров и передаче их эмитентам с
успехом берет на себя депозитарная система. Подобная картина, как
правило, наблюдается в странах, которые в соответствии с рекомендациями
«группы тридцати» создали у себя центральный депозитарий.
Примерами таких стран являются Германия, Швеция и остальные скандинавские
страны, Швейцария и др. В некоторых странах (например, во
Франции) регистраторы все еще существуют, но вытеснены на периферию
фондового рынка. Все еще традиционно много регистраторов в
США, однако и там постоянно расширяющаяся депозитарная система
все больше и больше вытесняет регистраторов. Следует, по-видимому,
признать неперспективность регистраторского бизнеса. Депозитарные
системы, специально приспособленные для ведения ценно бумажных счетов
владельцев, легко выполняют побочную функцию по составлению
полного списка владельцев ценных бумаг данного вида, что, в конечном
счете, делает регистраторов ненужными.
Сейчас в России институт регистраторов развит достаточно сильно.
Ведение реестра самим эмитентом возможно только в том случае, если
число держателей его ценных бумаг не превышает 50 Регистратор,
являясь профессиональным участником рынка ценных бумаг, не может
совмещать эту деятельность с другими видами профессиональной
деятельности, т.е. деятельность по ведению реестра собственников именных
ценных бумаг рассматривается как исключительная.
В роли регистратора может выступать только юридическое лицо, имеющее соответствующую лицензию.
В соответствии с российским законодательством в обязанности держателя
реестра входит:
• вносить в систему ведения реестра все необходимые изменения и
дополнения;
• производить операции на лицевых счетах владельцев и номинальных
держателей ценных бумаг только по их поручению;
• доводить до зарегистрированных лиц информацию, предоставляемую
эмитентом;
• предоставлять зарегистрированным в системе ведения реестра владельцам
и номинальным держателям ценных бумаг, владеющим более
1% голосующих акций эмитента, данные из реестра об имени (наименовании)
зарегистрированных в нем владельцев и о количестве, категории
и номинальной стоимости принадлежащих им ценных бумаг;
• информировать зарегистрированных в системе ведения реестра владельцев
и номинальных держателей о правах, закрепленных ценными
бумагами, и о способах и порядке осуществления этих прав;
• строго соблюдать порядок передачи системы реестра при расторжении
договора с эмитентом.
Наиболее важными операциями на лицевых счетах владельцев и номинальных
держателей ценных бумаг можно считать следующие.
Открытие лицевого счета. С этой операции по существу и начинается
ведение реестра. Регистратор не сможет выполнить никакого указания
эмитента или инвестора, если не будет его лицевого счета. Физическое
лицо открывает лицевой счет либо само, либо поручает открыть
его своему уполномоченному представителю. Лицевой счет юридического
лица может быть открыт только его уполномоченным представителем.
Важным моментом при открытии лицевого счета является собственноручная
подпись физического лица или должностного лица, имеющего
право действовать от имени юридического лица без доверенности.
Внесение изменений в информацию лицевого счета о зарегистрированном
лице. Если у зарегистрированного лица происходят какие-либо
изменения в информации, включаемой в анкету зарегистрированного
лица (наименование для юридического лица, почтовый адрес, номер телефона
и т.д.), то оно обязано сообщить об этом регистратору и заполнить
новую анкету зарегистрированного лица. На основании новой анкеты
регистратор внесет необходимые изменения в информацию лицевого
счета о зарегистрированном лице.
Внесение в реестр записей о переходе прав собственности на ценные
бумаги. Такие записи связаны со списанием какого-либо количества ценных
бумаг с лицевого счета или, напротив, с их зачислением на лицевой
счет. Они могут производиться регистратором только на основании передаточного
распоряжения зарегистрированного лица (того, кто передает
ценные бумаги, или того, кто их получает). При этом регистратор
вносит записи в реестр о переходе права собственности на ценные бумаги
только в том случае, если;
• представлены те документы, которые необходимы в соответствии
с действующими законами и практикой;
• представленные документы содержат необходимую информацию
для внесения изменений по количеству ценных бумаг на лицевом счете
зарегистрированного лица;
• количество ценных бумаг, указанное в передаточном распоряжении,
не превышает количество ценных бумаг, учитываемых на лицевом
счете лица, передающего ценные бумаги;
• в системе ведения реестра имеется собственноручная подпись зарегистрированного лица или его уполномоченного представителя и можно
произвести сверку подписей;
• нет запрета на проведение операций по лицевому счету зарегистрированного
лица, передающего ценные бумаги;
• учтены ограничения, установленные эмитентом, по обращению
ценных бумаг.
Операции по поручению эмитента. Так как эмитент рассматривает
регистратора как орган, который предоставляет ему необходимую информацию
о держателях его ценных бумаг, регистратор по поручению
эмитента предоставляет ему список лиц, имеющих право на получение
доходов по ценным бумагам. Такой список содержит информацию о зарегистрированных
лицах, имеющих право на получение дохода, о месте их
нахождения, почтовом адресе, количестве ценных бумаг, сумме начисленного
дохода, сумме налоговых выплат, подлежащих удержанию, сумме
к выплате. Для составления этого списка регистратору необходимо
получить от эмитента распоряжение о подготовке такого списка, а также
информацию о предстоящей выплате дохода по ценным бумагам (сведения
о том, какой орган управления эмитента принял решение о выплате
дохода, на какую дату должен быть составлен список зарегистрированных
лиц, имеющих право на получение дохода, в какой форме предполагается
произвести выплату дохода, в каком размере и когда будет выплачиваться
доход, кто будет производить выплату дохода).
Эмитент вправе потребовать от регистратора подготовить ему список
акционеров, имеющих право на участие в общем собрании акционеров.
Эмитент предоставляет регистратору необходимую информацию для
внесения записей о размещении ценных бумаг, их конвертации или
погашении, а также о консолидации или расщеплении.
По своей сути ценная бумага есть обмен действительного
(в данном случае ссудного) капитала на совокупность прав, которые
получает ее владелец взамен этого капитала.
В самой общей форме ценная бумага дает ее владельцу два вида
прав, составляющих ее экономическую суть: право на возврат ее номинала
и (или) на получение дохода с этого номинала, т.е. на начисляемый
доход, и право на обращение, а точнее, право передачи этой ценной бумаги
другому владельцу.
Если ценная бумага для ее владельца есть представитель просто
товара или определенной суммы денег, то круг предоставляемых ею
прав сводится к безусловному праву на возврат этих последних, но главное
~ к праву передачи этой ценной бумаги от одного владельца к другому
на тех или иных условиях, а поэтому такие ценные бумаги могут
выполнять функцию платежного средства.
Если ценная бумага есть представитель капитала своего владельца, то
«букет» предоставляемых ею прав может расширяться до бесконечности.
Это связано со следующим. Ценная бумага как титул капитала дает право
ее владельцу на получение начисляемого дохода в той или иной форме в
зависимости от ее вида. Однако сам по себе уровень этого начисляемого
дохода не может сильно различаться по видам ценных бумаг и уж тем более
по конкретным ценным бумагам. Поэтому конкуренция на рынке заставляет
обязанного по ней лица, кроме выплаты того или иного начисляемого дохода
по данной ценной бумаге, придавать ей все возможные дополнительные
права, которые могут заинтересовать потенциальных ее владельцев.
Это могут быть как имущественные, так и неимущественные права, в том
числе право участия в управлении, какие-то льготы для владельцев, дополнительные
возможности в области обращения или обмена и т.п.
Право на обращение в широком понимании охватывает весь спектр
разрешенных законодательством способов перехода имущества путем
купли-продажи, мены, залога, кредитования, дарения, наследования и
т.п. Благодаря праву на обращение с помощью ценной бумаги осуществляются
процессы перераспределения стоимости в экономике во всех
ее разрезах: между государствами, между отраслями и территориями,
между рынками, между юридическими лицами, между государством и
юридическими лицами, между государством и населением и т.д.
Вследствие имеющихся у ценной бумаги прав она может выполнять
функции:
• обслуживания товарного и платежного оборотов капитала;
• мобилизации капитала, т.е. его привлечения для осуществления
каких-либо проектов;
• перераспределения капитала между странами, отраслями, рынка-
•ми, экономическими субъектами;
• возрастания капитала, или обеспечения дохода для ее владельца.
Ценная бумага может служить инструментом безналичных расчетов,
инвестирования, спекуляции и т.д.
ДЕПОЗИТАРИИ
Депозитарием называется организация, которая оказывает
услуги по хранению сертификатов ценных бумаг и (или) учету
прав собственности на ценные бумаги. Другими словами, депозитарий
ведет счета, на которых учитываются ценные бумаги, переданные ему
клиентами на хранение, а также непосредственно хранит сертификаты
этих ценных бумаг. Ведение счетов дает депозитарию возможность фиксировать
(удостоверять) право собственности на ценные бумаги и учитывать
те имущественные права, которые закреплены ими. Счета, предназначенные
для учета ценных бумаг, называются «счета депо».
Депозитарии появились для ускорения расчетов на организованных
рынках ценных бумаг. Первые депозитарные системы создавались для
обслуживания фондовых бирж, где профессиональные участники рынка
постоянно совершают сделки между собой и где требования к оперативности
регистрации смены собственника и эффективности этой
процедуры особенно высоки. Можно представить себе следующую ситуацию:
договорившись между собой, торгующие на бирже брокеры
собирают все хранящиеся у них сертификаты ценных бумаг (свои и
принадлежащие их клиентам) и депонируют их в биржевой депозитарий.
При этом во всех реестрах данные ценные бумаги переписываются
со счетов брокеров на счет биржевого депозитария как номинального
держателя. Каждому брокеру в биржевом депозитарии открывается
счет депо, на котором учитывают все принадлежащие ему ценные
бумаги. Теперь при оформлении результатов сделки, совершенной
между брокерами на этой бирже, не надо обрап1аться к дорогим и
неторопливым услугам регистратора. Смена собственника отражается
на счетах депо биржевого депозитария. При этом отпадает необходимость
переоформлять сертификаты, которые выписаны на депозитарий
и продолжают находиться в его хранилище. Поэтому расчеты по
ценным бумагам становятся безналичными и сводятся к внесению изменений
в счета депо.
При сборе реестра по одному из депонированных выпусков ценных
бумаг (если это нужно эмитенту) депозитарий, будучи номинальным
держателем, сообщит регистратору имена истинных владельцев. Однако
во многих случаях эмитенты предпочитают не собирать полный реестр,
а исполняют свои обязанности с помощью депозитария.
Например, при выплате дивидендов эмитент переводит в депозитарий
сумму денег, соответствующую числу ценных бумаг, находящихся на счете депозитария.
Депозитарий в свою очередь перечисляет дивиденды своим
клиентам в соответствии с количеством ценных бумаг этого выпуска,
находящихся на их счетах депо. Отсюда возникает еще одна функция
депозитария. Он является посредником между эмитентом и инвестором.
Депозитарий помогает клиенту, депонировавшему свои ценные бумаги,
получить причитающиеся ему блага, передает всю предназначенную
для него информацию, поступающую от эмитента. Кроме того, депозитарий
снимает эти обязанности с эмитента, чем облегчает ему исполнение
обязательств по ценным бумагам. Например, эмитент может прибегнуть
к помощи депозитария для организации заочного голосования.
Таким образом, в наличии депозитария как промежуточного звена в цепочке
между эмитентом и инвестором заинтересованы все участники
рынка ценных бумаг.
Для того чтобы депозитарий мог полноценно выполнять свои посреднические
функции, его положение должно быть «узаконено». Другими
словами, депозитарий каким-то образом должен быть включен в систему
обслуживания данного выпуска ценных бумаг и признаваться в таком
качестве эмитентом. Как правило, для этого депозитарий становится
номинальным держателем или, заключив договор с эмитентом,
головным депозитарием по данному выпуску ценных бумаг.
В России депозитарий рассматривается как составной элемент учетной
системы. Под учетной системой понимают совокупность институтов
фондового рынка, которые ведут записи, удостоверяющие права
клиентов на ценные бумаги. В России и за рубежом необходимость учетной
системы связывают с тем, что подавляющая часть оборота ценных
бумаг происходит в безналичной форме. Поэтому должны быть институты,
регистрирующие этот оборот и связанный с ним переход права
собственности на ценные бумаги. В России к таким институтам относят
регистраторов и депозитарии.
Итак, депозитарий — профессиональный участник рынка ценных
бумаг, оказывающий депозитарные услуги, а его клиент называется
депонентом.
Депозитарий может оказывать своим депонентам около депозитарные
услуги, которые содействуют реализации владельцами имущественных
прав, закрепленных ценными бумагами, например, участие в управлении
акционерным обществом, получение доходов по ценным бумагам,
проверка подлинности сертификатов ценных бумаг, оформление
сертификатов ценных бумаг и передача их третьим лицам и т.д.
Депозитарием может быть только юридическое лицо. Депозитарная
деятельность может совмещаться с другими видами профессиональной
деятельности на рынке ценных бумаг, кроме деятельности по ведению
реестра владельцев ценных бумаг. Чаще всего депозитарная деятельность
совмещается с деятельностью по выявлению взаимных обязательств
по сделкам (расчетно-клиринговой деятельностью).
Депозитарная деятельность подлежит лицензированию. Лицензия на
осуществление депозитарной деятельности выдается сроком до трех лет.
Основными требованиями для получения лицензии являются финансовая
обеспеченность и профессиональная пригодность. Финансовую обеспеченность
связывают с требованиями необходимого собственного капитала.
(Например, в 1998 г. минимальный размер собственного капитала
для депозитарной деятельности был установлен в сумме 75 000
минимальных размеров оплаты труда, установленных законодательством
Российской Федерации.)
Депозитарии в настоящее время принято делить на расчетные и
кастодиальные (рис. 11).
Расчетные депозитарии обслуживают участников организованных
рынков. Расчетными их называют потому, что они, кроме депозитарной
деятельности, ведут расчеты по сделкам или взаимодействуют с
клиринговыми и торговыми системами, чтобы обеспечить расчеты по
сделкам с ценными бумагами своих депонентов.
Кастодиальные депозитарии оказывают услуги непосредственным
владельцам ценных бумаг, поэтому их часто называют клиентскими. В
России их делят на специализированные и неспециализированные. Неспециализированные
совмещают депозитарную деятельность с посреднической
деятельностью (брокерской, дилерской, деятельностью по управлению
ценными бумагами). Специализированные обслуживают паевые
инвестиционные фонды или конкретного эмитента, который при
эмиссии своих документарных именных ценных бумаг принял решение
об их обязательном централизованном хранении.
Для выполнения функций, которыми наделен депозитарий, нужно
заключить со своими клиентами, которых называют депонентами, специальный
договор. Такой договор называют депозитарным договором.
Он составляется обязательно в письменной форме, так как содержит
обязательство сторон и условия, в соответствии с которыми депозитарий
будет выполнять поручения депонентов. Что же должно быть указано
в депозитарном договоре? Прежде всего, в нем следует указать,
какие функции будет выполнять депозитарий, что поручает депонент
депозитарию. Депонент может выбрать одну из функций или несколько.

Он может в соответствии с договором поручить депозитарию только
хранение и учет своих ценных бумаг или кроме хранения и учета ценных
бумаг депонент может поручить депозитарию покупать другие ценные
бумаги или продавать те, которые находятся на хранении, выступать
от его имени на общем собрании акционеров, получать доход по
принадлежащим депоненту ценным бумагам и т.д.
В депозитарном договоре указывается порядок действий как депонента,
так и персонала депозитария. Этот договор служит основанием
для открытия депоненту специального счета -счета депо.
В рамках одного счета депо могут учитываться различные выпуски
ценных бумаг. Кроме того, ценные бумаги одного выпуска могут
находиться в различных состояниях. Например, частично они могут
быть заложены, частично выставлены на торги и т.п. Для того чтобы
отразить все детали состояния ценных бумаг, вводится понятие лицевого
счета депо. Лицевой счет депо — минимальная единица депозитарного
учета. На нем учитываются ценные бумаги одного выпуска,
находящиеся в одном и том же состоянии. Для открытия лицевого
счета депо не требуется заключения особого договора. Лицевые счета
открываются по мере необходимости при выполнении тех или иных
операций депозитария. Совокупность лицевых счетов владельца образует
его счет депо.
Некоторые лицевые счета могут быть объединены общим признаком.
Например, ценные бумаги нескольких выпусков, переданные в залог
по одному договору, или все ценные бумаги, выставленные на торги
в рамках одной торговой системы, и т.п. Поэтому для более точного
отражения в депозитарном учете отношений, возникающих на фондовом
рынке в процессе обращения ценной бумаги, появляется понятие
«раздел счета депо», который состоит из одного или нескольких лицевых
счетов, объединенных общим признаком. Разделу счета депо соответствует
некоторый документ, в котором описаны основные правила
работы с лицевыми счетами, попавшими в данный раздел. В принципе
возможно иерархическое подчинение разделов счета депо, если это вызвано
иерархическим подчинением соответствующих документов, однако
эти вопросы, равно как и стандартизацию типов разделов, пока нельзя
считать полностью проработанными. Такова конструкция счета депо
депонента или, иными словами, пассивного счета депо.
По аналогии с денежными счетами счета депо бывают пассивными и
активными. На пассивных счетах ценные бумаги учитываются в разрезе
владельцев, а на активных счетах — в разрезе мест хранения. То есть,
как и для каждого владельца, для каждого места хранения открывается
свой счет депо. На нем учитываются все ценные бумаги, находящиеся в
этом месте хранения.
Конструкция активного счета депо полностью повторяет конструкцию
пассивного счета депо. Активный счет депо
также разбивается на лицевые счета, которые могут объединяться в
разделы. Каждая ценная бумага, находящаяся на хранении в депозитарии,
учитывается дважды: по активу и по пассиву. Отсюда вытекает
понятие «баланса депо». Количество ценных бумаг одного выпуска на
активных счетах должно быть равно количеству ценных бумаг одного
выпуска, учитываемых на пассивных счетах. Иными словами, обязательства
депозитария перед клиентами должны быть обеспечены имеющимися
на хранении активами раздельно по каждому выпуску ценных
бумаг. Это основное требование депозитарного учета, которое позволяет
максимально приблизить его к стандартным правилам денежного
балансового учета.
Различают открытый, закрытый и маркированный способы учета
ценных бумаг в депозитариях. При открытом способе учета сертификаты
всех ценных бумаг одного выпуска учитываются «в одной куче».
Нельзя сказать, какому именно из депонентов какой именно сертификат
принадлежит. Поручения на исполнение депозитарных операций при таком
виде учета принимаются только с указанием числа ценных бумаг
без указания их индивидуальных признаков.
При закрытом способе учета депозитарию известно, какие именно
ценные бумаги принадлежат данному депоненту. При таком способе
учета поручения от депонента принимаются с указанием индивидуальных
признаков ценных бумаг или удостоверяющих их сертификатов.
Открытый способ значительно технологичнее и проще, и именно его
следует рекомендовать для организации учета эмиссионных ценных
бумаг, когда потребительские свойства разных ценных бумаг одного
выпуска не отличаются друг от друга. Именно открытый способ учета
позволяет наиболее эффективно организовывать безналичные расчеты
на организованных рынках.
Закрытый способ учета рекомендуется использовать в особых случаях,
когда свойства ценных бумаг одного и того же выпуска могут
быть различными. Например, мы можем неодобрительно относиться к
лотерейным розыгрышам по принадлежащим владельцам акциям, но если
нам приходится учитывать ценные бумаги такого выпуска в депозитарии,
то мы вынуждены организовать их закрытый учет. И открытый, и
закрытый способы депозитарного учета следует отличать от хранения
ценностей как таковых. Депозитарное хранение отличается от хранения
ценностей (в том числе и сертификатов ценных бумаг) «в сейфе»
тем, что по поручению клиента с ценными бумагами могут производиться
депозитарные операции (в частности, безналичные списания и
зачисления), тогда как при «сейфовом» хранении возможный набор
операции ограничивается приемом ценностей на хранение и снятием их
с хранения.
В последнее время выделяют еще один способ учета ценных бумаг —
маркированный. Он предполагает, что ценные бумаги разбиваются на
группы, отличающиеся условиями выпуска или особенностями хранения
(учета). Депозитарий вправе самостоятельно определить способ
учета прав на ценные бумаги, если он не оговорен в депозитарном
договоре.
Работа депозитария выражается в проводимых им депозитарных
операциях. Депозитарная операция — совокупность действий депозитария
с учетными регистрами, хранящимися сертификатами ценных
бумаг и другими материалами депозитарного учета. Можно выделить
следующие классы депозитарных операций: административные, инвентарные,
информационные, комплексные и глобальные.
Административные операции связаны с открытием и закрытием
счетов депо. Они могут быть двух видов: счет депо депонента и счет
депо по месту хранения ценных бумаг. Счет депо депонента открывается
на основании депозитарного договора при заполнении депонентом анкеты
клиента и счета депо. Счет депо по месту хранения ценных бумаг
открывается на основании внутренних документов депозитария.
Закрытие счета депо проводится по поручению клиента, при условии
нулевого остатка ценных бумаг на счете депо или при расторжении
депозитарного договора, а также при ликвидации депозитария.
Инвентарные операции изменяют остаток ценных бумаг на счете
депо, поэтому они связаны с приемом ценных бумаг, их переводом
или перемещением, а также со снятием ценных бумаг с хранения или
учета.
Информационные операции связаны с составлением отчетов и справок
о состоянии счета депо по поручению депонентов.
Комплексные операции — это операции, которые включают элементы
разных классов операций. Например, депозитарий может блокировать
ценные бумаги депонента, т.е. он временно прекращает движение
ценных бумаг по счетам. Такая операция имеет черты и административных,
и инвентарных операций.
Глобальные операции депозитария затрагивают все ценные бумаги
конкретного выпуска или их значительную часть. Такие операции проводятся
но инициативе эмитента и связаны с выплатой дохода по ценным
бумагам, погашением долговых ценных бумаг, конвертацией облигаций
или акций.
РАСЧЕТНО-КЛИРИНГОВЫЕ ОРГАНИЗАЦИИ
Совершение сделок с ценными бумагами сопровождаетсяне только их передачей от одного владельца к другому или переучетом
прав собственности на них у реестро держателей или в депозитариях,
но и противоположно направленной передачей денег за эти ценные
бумаги от их покупателя к продавцу. Если речь идет о разовых или немногочисленных
сделках, то расчеты по ним производятся обычным
путем, как и при сделках купли-продажи других товаров. Однако на
рынке ценных бумаг, организованном в форме биржевой торговли или
на основе компьютерных систем торговли, число сделок и участников
торговли очень велико, что объективно привело к выделению деятельности
по расчетам с ценными бумагами в специфическую сферу с образованием
расчетно-клиринговых организаций.
В практике эти организации могут иметь такие названия, как: расчетная
палата, клиринговая палата, клиринговый центр, расчетный центр
и т.п. в самом общем виде расчетно-клиринговая организация — это
профессиональный участник рынка ценных бумаг, специализированная
организация, которая осуществляет расчетное обслуживание участников
организованного рынка ценных бумаг и выявляет их позиции по
результатам заключенных сделок.
Основные цели такой организации:
• выявление позиций участников сделок и их урегулирование;
• снижение издержек по расчетному обслуживанию участников рынка;
• сокращение времени расчетов;
• снижение до минимального уровня всех видов рисков, которые имеют
место при расчетах.
Расчетно-клиринговая организация может существовать в форме
закрытого акционерного общества или некоммерческого партнерства
и должна иметь лицензию Федеральной комиссии по рынку ценных
бумаг, которая выдается на срок до трех лет. Она может обслуживать
какую-либо одну фондовую биржу или сразу несколько фондовых бирж
или рынков ценных бумаг. Последний вариант предпочтительнее, так
как обычно профессиональные фондовые посредники работают сразу
на многих фондовых биржах и для них удобнее и выгоднее, если расчетное
обслуживание всех таких рынков ведется в одном месте.
Расчетно-клиринговые организации могут быть не только национальными,
но и международными, а в перспективе — всемирными. Это
отражает происхождение процессов интернационализации национальных
рынков ценных бумаг.
Деятельность расчетно-клиринговых организаций включает:
• проведение расчетных операций между членами расчетно- клиринговой организации (а в ряде случаев — и другими участниками фондового
рынка);
• осуществление зачета взаимных требований между участниками
расчетов, или осуществление клиринга;
• сбор, сверку и корректировку информации по сделкам, совершенным
на рынках, которые обслуживаются данной организацией;
• разработку расписания расчетов, т.е. установление строгих сроков,
в течение которых денежные средства и соответствующая им информация
и документация должны поступать в расчетно-клиринговую
организацию;
• контроль за перемещением ценных бумаг (или других активов, лежащих
в основе биржевых сделок) в результате исполнения контрактов;
• гарантирование исполнения заключенных на бирже контрактов
(сделок);
• бухгалтерское и документарное оформление произведенных расчетов.
Как правило, расчетно-клиринговая организация — это коммерческая
организация, которая должна работать с прибылью. Ее уставный
капитал образуется за счет взносов ее членов. Основные источники доходов
складываются из:
• платы за регистрацию сделок;
• поступлений от продажи информации;
• прибыли от обращения денежных средств, находящихся в распоряжении
организации;
• поступлений от продажи своих технологий расчетов, программного
обеспечения и т.п.;
• других доходов.
Без расчетно-клиринговых организаций невозможна торговля производными
ценными бумагами — фьючерсными контрактами и биржевыми
опционами.
Взаимоотношения между расчетно-клиринговой организацией и ее
членами, биржами и другими организациями строятся на основе соответствующих
договоров.
Членами такой организации обычно являются крупные банки и крупные
финансовые компании, а также фондовые и фьючерсные биржи.
Расчетно-клиринговые организации не имеют права проводить кредитные
и большинство других активных операций (вкладывать деньги
в ценные бумаги и т.п.) в отличие от коммерческих банков. Содержание
расчетно-клиринговой деятельности на рынке ценных бумаг рассматривается
в учебнике «Биржевое дело».
Как правило, расчетно-клиринговые организации не ограничивают
круг своей деятельности только расчетным обслуживанием, а одновременно
выполняют и услуги депозитарного характера.
ОСНОВНЫЕ ОПРЕДЕЛЕНИЯ
Профессиональные участники рынка ценных бумаг — юридические
лица, в том числе и кредитные организации, а также физические лица,
зарегистрированные в качестве предпринимателей, специализирующиеся
на оказании услуг всем участникам фондового рынка.
Брокерской деятельностью признается совершение гражданско-правовых
сделок с ценными бумагами в качестве поверенного или комиссионера,
действующего на основе договора-поручения или комиссии либо
доверенности на совершение таких сделок.
Дилерской деятельностью признается совершение сделок купли-продажи
ценных бумаг от своего имени и за свой счет путем публичного
объявления цен покупки и (или) продажи определенных ценных бумаг с
обязательством покупки и (или) продажи определенных ценных бумаг
по объявленным лицом, осуществляющим такую деятельность, ценам.
Управление ценными бумагами — доверительное управление переданными
во владение управляющему учредителем управления ценными
бумагами и денежными средствами, предназначенными для инвестирования
в ценные бумаги, а также ценными бумагами и денежными средствами,
полученными в результате его деятельности на рынке ценных
бумаг в интересах выгодо приобретателя.
Управляющий — профессиональный участник рынка ценных бумаг,
осуществляющий деятельность по управлению ценными бумагами.
Учредитель управления — собственник имущества (ценных бумаг и
денежных средств), переданного в доверительное управление.
Выгодо приобретатель — лицо, в интересах которого происходит
управление ценными бумагами (учредитель управления или названное
им третье лицо).
Регистратор — профессиональный участник рынка ценных бумаг,
имеющий лицензию на право ведения реестра владельцев именных ценных
бумаг.
Реестр — список владельцев именных ценных бумаг, составленный
на определенную дату.
Лицевой счет — совокупность данных о зарегистрированном лице,
принадлежащих ему ценных бумагах и операциях с ними.
Депозитарий - профессиональный участник рынка ценных бумаг,
имеющий лицензию на оказание услуг по хранению сертификатов ценных
бумаг и (или) учету прав собственности на ценные бумаги.
Депонент клиент депозитария.
Счет депо — совокупность записей, объединенных общим признаком,
которая используется для учета ценных бумаг.
Расчетно-клиринговая организация — профессиональный участник рынка
ценных бумаг, специализированная организация, которая осуществляет
расчетное обслуживание участников организованного рынка ценных
бумаг и выявляет их позиции по результатам заключенных сделок.
Клиринговая деятельность — деятельность по определению взаимных
обязательств и их зачету при поставке ценных бумаг и расчетах по ним.
ГЛАВНЫЕ ВЫВОДЫ
Участники рынка ценных бумаг, обеспечивающие его нормальное
функционирование, делятся на посредников и организации, составляющие
его инфраструктуру. Посредники на рынке ценных бумаг делятся
на финансовых посредников и посредников, которые считаются профессиональными
участниками рынка ценных бумаг. Организации инфраструктуры
рынка ценных бумаг обслуживают участников этого рынка.
Они могут функционировать только при наличии соответствующей
лицензии, так как их деятельность в соответствии с Федеральным законом
«О рынке ценных бумаг» относится к профессиональной.
Особое место на рынке ценных бумаг занимает коммерческий банк,
поскольку он может выступать как в роли эмитента и инвестора, так и
в роли профессионального участника рынка ценных бумаг.
Операции коммерческих банков на рынке ценных бумаг не имеют
существенных отличий от таких же операций, совершаемых другими
участниками рынка. Они так же, как и любое другое акционерное общество, используют эмиссию акций для формирования или увеличения
уставного капитала. Хотя в отличие от других эмитентов коммерческие
банки для привлечения заемного капитала широко используют выпуск
депозитных и сберегательных сертификатов, а также векселей.
Инвестиционная деятельность банков может осуществляться как за
счет собственных, так и за счет привлеченных средств. Как правило,
она связана с формированием инвестиционного портфеля банка и отражается
в его инвестиционной политике.
Выполнение коммерческими банками профессиональных видов деятельности
связано с созданием дочерних финансовых компаний, организацией
крупных финансово-банковских групп.
В гражданском кодексе РФ перечисляются конкретные
виды документов, относящиеся к ценным бумагам:
а) в статье 143:
• государственная облигация;
• облигация;
• вексель;
• чек;
• депозитный сертификат;
• сберегательный сертификат;
• банковская сберегательная книжка на предъявителя;
• коносамент;
• акция;
• приватизационные ценные бумаги;
б) В статье 912 (вторая часть ГК РФ) вводятся еще четыре вида ценных
бумаг:
• двойное складское свидетельство;
• складское свидетельство как часть двойного свидетельства;
• залоговое свидетельство (варрант) как часть двойного свидетельства;
• простое складское свидетельство'.
Последний, пятнадцатый, вид российской ценной бумаги — это закладная,
которая получила права «гражданства» в соответствии с Федеральным
законом «Об ипотеке (залоге недвижимости)» от 16 июля
1998 г. № 102-0
Юридическое определение каждой из перечисленных видов ценных
бумаг дается либо в самом Гражданском кодексе, либо в соответствующих
законах, регулирующих выпуск и обращение конкретных ценных
бумаг.
В Гражданском кодексе определяются следующие виды ценных бумаг.
Вексель (статья 815).
Простой вексель — ничем не обусловленное обязательство векселедателя
выплатить по наступлении предусмотренного векселем срока
полученную взаймы денежную сумму.
Переводной вексель - ничем не обусловленное обязательство иного
(а не векселедателя) указанного в векселе плательщика выплатить по
наступлении предусмотренного векселем срока полученную взаймы
денежную сумму.
Облигация (статья 816) — ценная бумага, удостоверяющая право ее
держателя на получение от лица, выпустившего облигацию, в предусмотренный
ею срок номинальной стоимости облигации или иного имущественного
эквивалента. Облигация предоставляет ее держателю также
право на получение фиксированного в ней процента от номинальной
стоимости облигации либо иные имущественные права.
Государственная облигация (статья 817) — это юридическая форма
удостоверения договора государственного займа; она удостоверяет
право заимодавца (т.е. владельца облигации) на получение от заемщика
(т.е. государства) предоставленных ему взаймы денежных средств
или в зависимости от условий займа иного имущества, установленных
процентов либо иных имущественных прав в сроки, предусмотренные
условиями выпуска займа в обращение.
Фондовая биржа и организаторы внебиржевого рынка
1 ЗАДАЧИ И ФУНКЦИИ ФОНДОВОЙ БИРЖИСогласно действующему российскому законодательству,
фондовая биржа относится к участникам рынка ценных бумаг,
организующим их куплю-продажу, т.е. «непосредственно способствующим
заключению гражданско-правовых сделок с ценными бумагами
». По закону фондовая биржа не может совмещать деятельность по
организации торговли ценными бумагами с другими видами профессиональной
деятельности на рынке ценных бумаг, кроме депозитарной
и клиринговой. Поэтому ее задачи и функции определяются тем положением,
которое фондовая биржа занимает на рынке ценных бумаг
как ее участник.
Фондовые отделы других (товарных и валютных) бирж приравнены
к фондовым биржам, поэтому в своей деятельности (за исключением
вопросов организации) не отличаются от последних.
Являясь организатором рынка ценных бумаг, фондовая биржа первоначально
занимается исключительно созданием необходимых условий
для ведения эффективной торговли, но по мере развития рынка ее
задачей становится не столько организация торговли, сколько ее обслуживание.
Изначально фондовая биржа создавалась для того, чтобы поощрять
и поддерживать торговлю ценными бумагами, обеспечивать соблюдение
интересов ее участников. Поэтому биржа рассматривалась как
надлежащим образом организованное место для торговли. Первая задача
фондовой биржи заключается в том, чтобы предоставить место
для торговли, иначе говоря, централизовать место, где может происходить
как продажа ценных бумаг их первым владельцам, так и вторичная
их перепродажа.
При этом принципиальным отличием бирж как
организованного оптового рынка ценных бумаг является установление
обязательного требования ко всем участникам торгов вести себя
в соответствии с твердыми правилами. В этом смысле фондовая биржа
представляет собой организацию со своими исторически сложившимися
правилами ведения торгов. И несмотря на то, что в настоящее
время открытый биржевой торг, требующий физического присутствия
его участников, заменяется компьютерным (электронным, экранным),
дающим возможность принимать участие в торговле из своего офиса
(со своего рабочего места), обязательным остается соблюдение установленных
правил торговли и системы ее регулирования, а также
готовность всех участников торгов эти правила соблюдать.
Для выполнения первой задачи (централизовать торговлю ценными
бумагами в одном месте) фондовой бирже необходимо не только отработать
правила и системы регулирования торговли, но также выработать
достаточно жесткие требования к компаниям, поставляющим
ценные бумаги для продажи, а также к членам биржи, которые на
профессиональном уровне ведут торговлю и представляют интересы
клиентов, не имеющих возможности принимать непосредственное участие
в торговле на бирже и вынужденных прибегать к услугам посредников.
Кроме того, биржа должна располагать обученным высококвалифицированным
персоналом, способным как провести сам биржевой
торг, так и обеспечить эффективный надзор за исполнением сделок,
заключенных на бирже. Необходимость выполнения перечисленных
выше требований объясняется тем, что инвестор и эмитент ищут ликвидные
и эффективные рынки, которые характеризуются «узким» спрэдом,
эффективными торговыми системами, большим оборотом и эффективной
защитой инвестора.
Второй задачей фондовой биржи следует считать установление равновесной
биржевой цены. Выполнение этой задачи возможно в силу того,
что биржа собирает большое количество как продавцов, так и покупателей,
предоставляя им рыночное место, где они могут встречаться не
только для обсуждения и согласования условий торговли, но и для выявления
приемлемой стоимости (цены) конкретных ценных бумаг. Кроме
того, биржа добивается доверия к достоверности достигнутых в процессе
биржевого торга цен. Для решения указанной задачи биржа обеспечивает
открытость информации об эмитенте и его ценных бумагах,
стандартизацию методов установления цен, использование средств массовой
информации для распространения информации о котировках цен
Это позволяет членам биржи и профессиональным участникам
знать самые последние цены, по которым можно совершать сделки,
а также объемы заключенных сделок. Зарубежные биржи с помощью
такой службы, как Телетекст, на экранах домашних телевизоров устраивают
для частных лиц показ цен акций, котирующихся на бирже. Это
дает возможность заинтересовать в биржевой торговле новых участников,
прежде всего покупателей.
Третья задача биржи заключается в том, что она должна не только
аккумулировать временно свободные денежные средства, но и перераспределять
их. Привлекая покупателей ценных бумаг, биржа дает возможность
эмитентам взамен своих финансовых обязательств получить
нужные им средства для инвестиций, т.е. способствует мобилизации
новых средств, с одной стороны, а с другой — расширению круга собственников.
При этом биржа создает возможности для перепродажи приобретаемых
ценных бумаг, т.е. обеспечивает передачу прав собственности,
постоянно привлекая на биржу новых инвесторов, имеющих в
наличии крупные или мелкие суммы временно свободных денежных
средств. Обеспечивая перепродажу ранее купленных ценных бумаг, биржа
освобождает покупателя от обязанности владения ими «вечно». У
него появляется возможность продать ранее купленные ценные бумаги
и искать другие возможности использования своих денежных средств, в
частности вложить их в другие, более привлекательные для него ценные
бумаги. Такая смена владельца не затрагивает эмитента, полученные
им при эмиссии ценных бумаг денежные средства остаются в его
распоряжении, изменяется только акционер (при купле-продаже акций)
или кредитор (при купле-продаже облигаций).
Четвертой задачей фондовой биржи можно считать обеспечение гласности,
открытости биржевых торгов. Нужно иметь в виду, что биржа
не гарантирует того, что вложенные в ценные бумаги средства обязательно
принесут доход. Как дивиденды, так и курсовая стоимость
акций, например, могут расти и падать, но фондовая биржа гарантирует
лишь то, что участники торгов могут иметь достаточную и достоверную
информацию для формирования собственных суждений о
доходности принадлежащих им ценных бумаг. Биржа обязана каждому
заинтересованному сообщать о дате и времени заключения сделок,
наименовании ценных бумаг, являющихся предметом сделки, государственном
регистрационном номере ценных бумаг, цене одной ценной
бумаги и количестве проданных (купленных) ценных бумаг за каждый
биржевой день. Биржа должна обеспечить доступность информации,
способной оказать влияние на рыночный курс ценных бумаг для всех
участников биржевой торговли в одно и то же время.
Кроме того, все они должны обладать одинаковой информацией,
т.е. все должны находиться
в одном положении. Биржа также должна комментировать любые
решения правительства, которые могут повлиять на курсы ценных
бумаг, которые котируются на ней.
Пятая задача биржи заключается в обеспечении арбитража. При этом
под арбитражем следует понимать механизм для беспристрастного разрешения
споров. Он должен определить круг лиц, которые могут их разрешать,
а также возможные компенсации пострадавшей стороне. Многие
биржи для решения задачи арбитража создают специальные арбитражные
комиссии, в состав которых включают независимых лиц,
имеющих как опыт в ведении биржевой торговли, так и в решении споров.
Арбитражная комиссия должна беспристрастно выслушать обе стороны
и принять взвешенное решение. Влиятельность арбитражной комиссии
должна быть общепризнанной. Для усиления значимости ей придается
иногда статус третейского суда, и тогда решения арбитражной
комиссии имеют не только рекомендательный, но и обязательный характер.
Поэтому решение о компенсации должно быть приемлемо как
для потерпевшей стороны, так и для ответчика и обязательно для исполнения.
Хотя всякий арбитраж предполагает апелляцию.
Шестой задачей биржи считают обеспечение гарантий исполнения сделок,
заключенных в биржевом зале. Выполнение этой задачи достигается
тем, что биржа гарантирует надежность ценных бумаг, которые котируются
на ней. Надежность в свою очередь обеспечивается тем, что к обращению
на бирже допускаются только те ценные бумаги, которые прошли
проверку, а значит, соответствуют предъявляемым требованиям.
Кроме того, на бирже имеется возможность подтверждения условий
покупки или продажи ценной бумаги.
Как только участники торгов (член биржи, брокеры — представители
продавца и покупателя) согласовали условия сделки, последние тут
же регистрируются, и каждый участник торгов по этой сделке получает
соответствующее подтверждение от биржи. Поэтому не может быть никаких
споров о том, какое конкретное соглашение было достигнуто по
поводу той или иной сделки.
Выполняя указанную задачу, биржа берет на себя обязанности посредника
при осуществлении расчетов. Под этим подразумевается, что
биржа принимает на себя ответственность за выполнение всех подтвержденных
сделок, т.е. что покупки будут оплачены, а все проданные акции
будут доставлены для передачи новому покупателю или по его указанию
другому лицу. Это чрезвычайно важная функция биржи, поскольку
она дает всем покупателям и продавцам гарантию, что их операции
будут полностью завершены.
Наиболее существенной проблемой в биржевой торговле является
проблема исполнения сделок: сможет ли покупатель заплатить за ценные
бумаги, на покупку которых он дал указание, или сможет ли продавец
действительно представить ценные бумаги, в отношении которых
он дал указание о продаже. Хотя биржа не может проверить каждого
конкретного продавца и покупателя, она может и должна предъявлять
жесткие требования как к профессионализму участников торгов, так и
к их финансовому состоянию. Кроме того, гарантия исполнения сделок
достигается за счет постоянного совершенствования системы клиринга
и расчетов.
Гарантия исполнения сделок обеспечивается контролем за системой,
обслуживающей биржу (уменьшение риска системы в связи с ее повреждением
или риска цепного невыполнения финансовых условий).
Биржа должна обеспечивать постоянный контроль за состоянием своих
внутренних систем коммуникаций, чтобы гарантировать их надежность,
и осуществлять надзор за соблюдением финансовой дисциплины
ее членов — участников торгов, чтобы банкротство одного члена (участника)
не повлекло за собой банкротства другого.
Гарантия исполнения сделок, заключенных на бирже, тесно связана
с такой проблемой, как защита денег клиента. Самостоятельно решить
эту проблему биржа не может, однако в своих правилах торговли
она отмечает, что члены биржи, управляющие деньгами клиента,
по которым еще не наступил срок платежа но сделке, должны хранить
деньги клиента отдельно от своих собственных денег. Правила торговли биржи могут включать требование, чтобы такие деньги были
положены на отдельный инвестиционный банковский счет в банке
третьей стороны так, чтобы в случае неспособности фирмы ~ члена
биржи выполнить свои собственные финансовые обязательства она
бы не смогла, даже неумышленно, использовать деньги клиента. Система
peгулирования здесь чрезвычайно жесткая, и биржа должна проводить
регулярные проверки правильности ведения учета операций и
осуществлять контроль ведения банковского счета (в основном ежедневно).
Седьмая задача биржи заключается в разработке этических стандартов,
кодекса поведения участников биржевой торговли. Для ее выполнения
на бирже принимаются специальные соглашения, которые разрешают
использование специфических слов и оговаривают соблюдение их
строгой интерпретации.
Биржа должна контролировать разработанные ею стандарты и кодекс
поведения, применять штрафные санкции вплоть до приостановки
деятельности или лишения лицензии в случае их несоблюдения.
В зарубежной практике принято разрабатывать специальный свод
деловых правил для биржи. В них излагаются основы взаимоотношений
с клиентами. Сюда включают вопросы, относящиеся к рекламе, — что
разрешено и что не разрешено; извещение о подтверждении — минимальный
перечень деталей, о которых необходимо сообщить; телефонные
разговоры — когда они разрешены и когда нет, и возможные темы разговоров;
типы инвестиционных консультаций — доверительные, частные,
профессиональные; услуги по оценке — какая минимальная информация
должна быть предоставлена; качество консультаций — не вводящие
в заблуждение обзоры; качество персонала, который в состоянии
давать инвестиционные консультации, - лицензирование частных лиц
и фирм, квалификационные экзамены; защита денег клиента — специальные
правила и отдельные банковские счета; достаточность средств
(капитала) — обеспечение капиталом потребностей фирмы для покрытия
исполнения приказа; контроль за соблюдением — независимые должностные
лица, гарантирующие соблюдение фирмами всех правил; документация
клиентов и предоставление информации фирмой — проверка
документации, скрепленной подписями клиентов, подтверждающей
свои права и права фирмы, и информация об услугах, предоставляемых
брокерами; действия в отношении новой эмиссии — процедура подачи
заявок клиентами; процедура обжалования — первоначальные и независимые
действия, сообщение о случаях нарушения в регулирующий
орган; многое другое.
Свод деловых правил и операционный кодекс должны ответить на
многие вопросы, но для того чтобы проконтролировать их строгое соблюдение,
биржа осуществляет наблюдение за поведением участников
торгов. Она должна быть уверена в том, что участники торгов осведомлены
о последних изменениях правил и корректируют свои действия
соответствующим образом и что ожидаемые высокие стандарты не снижаются.
Такое наблюдение позволяет выявить, не появились ли несоответствия
в самих правилах или в их применении.
ЧЛЕНЫ ФОНДОВОЙ БИРЖИ
Фондовая биржа относится к числу закрытых бирж. Этоозначает, что торговать на ней ценными бумагами могут только ее члены.
Кого же считают членом биржи? Чтобы ответить на этот вопрос,
нужно вспомнить, что фондовая биржа — это некоммерческая организация.
Поэтому в ее деятельности заинтересованы те, кто профессионально
занимается операциями с ценными бумагами. Именно поэтому
российское законодательство определяет, что членами фондовой биржи
являются любые профессиональные участники рынка ценных бумаг. В
России к профессиональным участникам рынка ценных бумаг относят
коммерческие банки, поэтому они также могут быть членами биржи.
Причем коммерческие банки, как правило, самые активные члены биржи.
Хотя следует отметить, что не во всех странах коммерческим банкам
разрешено заниматься биржевой деятельностью или, напротив, на
них делается основная ставка. Например, в 1993 г. 79% акций Франкфуртской
фондовой биржи принадлежало отечественным коммерческим
банкам и 10% — зарубежным банкам.
Членами российских фондовых бирж являются, как правило, юридические
лица. В зарубежной практике существует разное отношение к
категории членов фондовой биржи. В одних странах предпочтение отдается
физическим лицам (США), в других — юридическим (Япония. Канада),
в третьих (их большинство) не делается различия между физическими
и юридическими лицами.
В большинстве государств в деятельности бирж разрешается принимать
участие иностранным физическим и юридическим лицам, удовлетворяющим
предъявляемым требованиям. В то же время в отдельных странах
(Канада и Франция) иностранные лица не могут быть членами биржи
или их участие в уставном фонде бирж ограничивается. В российском
законодательстве этот вопрос не затрагивается.
Число членов биржи или паев ограничено. Оно определяется уставным
фондом, числом выпускаемых акций и тем количеством акций, которыми
может владеть один член биржи. Такая практика характерна
для большинства стран в мире. Поэтому прием новых членов биржи оговаривается
уставом. В зарубежной практике можно встретить биржи,
которые не ограничивают число ее членов. В этом случае право торговли
предоставляется либо руководством биржи, либо уполномоченными
государственными органами.
В России для фондовой биржи все ее члены равны, т.е. не допускается
наличие разных категорий членов, как это имеет место, например, на
товарных биржах. Это приводит к тому, что не может быть временного
членства, сдачи места члена биржи в аренду или в залог тем лицам,
которые не являются членами данной биржи или фондового отдела.
В зарубежной практике, напротив, выделяют разные категории членов
фондовой биржи. Например, фирмы — члены Лондонской фондовой
биржи разбиваются на три категории.
Первая наиболее важная. К ней относятся члены биржи, которые могут
являться либо дилерами, либо брокерами, либо дилерами и брокерами
одновременно.
Если член биржи занимается дилерской деятельностью, то он может зарегистрироваться на бирже в качестве организатора
рынка -- «маркет- мейкера». Как правило, такие функции берут на себя
только крупные фирмы. Основная их функция — активная покупка (продажа)
ценных бумаг в установленный период, который называют обязательным
периодом котировок. Организаторы рынка предлагают цены,
по которым они хотели бы совершать сделки. Так как число организаторов
достаточно велико, то между ними возникает конкуренция, что
приводит к формированию более обоснованных цен на ценные бумаги.
Организаторы рынка обязаны при котировке указывать два курса: цену
спроса (покупателя) и цену предложения (продавца). Например, котировка
в виде 143- 10x10 означает, что формирователь рынка готов
купить до 10 000 акций по цене 143 пенса и продать до 10 000 акций по
цене 146 пенсов. Разница между курсами (3 пенса) составляет спрэд,
или курсовую прибыль.
Вторую категорию членов Лондонской фондовой биржи составляют
меж дилерские брокеры. Это фирмы, которые оказывают посреднические
услуги тем организаторам рынка, которые хотели бы взаимодействовать
друг с другом анонимно. Использование междилерских брокеров
позволяет организаторам рынка скрывать от конкурентов свои текущие
позиции по ценным бумагам.
Третью категорию членов представляют денежные брокеры. Основная
их функция заимствование ценных бумаг для организаторов рынка.
Требования, предъявляемые к членам биржи, устанавливаются как
государственным законодательством, так и самими биржами. При этом
в законах обычно устанавливаются лишь общие требования к членству
на бирже, а внутри биржевые нормативные документы предъявляют дополнительные
требования. Например, биржа может определить необходимость
содержания в уставах перечня организаций, претендующих на
членство, статей, декларирующих право проведения операций с ценными
бумагами, а также обязательность наличия квалификационных аттестатов
у физических лиц, работающих на бирже.
Биржа даст возможность своим членам:
• участвовать в общих собраниях биржи и управлении ее делами;
• избирать и быть избранными в органы управления и контроля;
• пользоваться имуществом биржи, имеющейся информацией и любыми
услугами, которые она оказывает;
• торговать в зале биржи как от своего имени и за свой счет (исполняя
функции дилера), так и от имени и за счет клиента (исполнять функции
брокера);
• участвовать в разделе оставшегося после ликвидации биржи имущества.
Вместе с тем биржа определяет и обязанности членов биржи. К ним
относятся:
• соблюдение устава биржи и других внутри биржевых нормативных
документов;
• внесение вкладов и дополнительных взносов в порядке, размере
и способами, предусмотренными уставом и нормативными документами;
• оказание бирже содействия в осуществлении ее деятельности.
Сберегательная книжка на предъявителя (статья 843) — это юридическая
форма удостоверения договора банковского вклада (депозита) с
гражданином и внесения денежных средств на его счет, в соответствии
с которым банк, принявший поступившую от вкладчика или поступившую
для него денежную сумму (вклад), обязуется возвратить сумму
вклада и выплатить проценты на нее лицу, предъявившему сберегательную
книжку.
Сберегательный (депозитный) сертификат (статья 844) цепная
бумага, удостоверяющая сумму вклада, внесенного в банк, и права
вкладчика (держателя сертификата) на получение по истечении установленного
срока суммы вклада и обусловленных в сертификате процентов
в банке, выдавшем сертификат, или в любом филиале этого банка
(на практике сберегательные сертификаты распространяются среди
граждан, а депозитные — среди юридических лиц).
Чек (статья 877) — ценная бумага, содержащая ничем не обусловленное
распоряжение чекодателя банку произвести платеж указанной в
нем суммы чекодержателю.
Складское свидетельство (статьи 912 917) — ценная бумага, подтверждающая
принятие товара на хранение.
Двойное складское свидетельство состоит из двух частей складского
свидетельства и залогового свидетельства (варранта), которые
могут быть отделены друг от друга, и каждое в отдельности есть именная
ценная бумага.
Простое складское свидетельство это складское свидетельство
на предъявителя.
В Федераль}1ом законе «О рынке ценных бумаг» лается определение
акции (статья 2).
Акция - эмиссионная ценная бумага, закрепляющая права ее владельца
(акционера) на получение части прибыли акционерного общества
в виде дивидендов, на участие в управлении акционерным обществом
и на часть имущества, остающегося после его ликвидации.
В Федеральном законе «Об ипотеке (залоге недвиж:имости)» определяется
понятие закладной.
Закладная — именная ценная бумага, удостоверяющая права ее владельца
в соответствии с договором об ипотеке (залоге недвижимого
имущества) на получение денежного обязательства или указанного в
нем имущества.
Единственный вид российской ценной бумаги, не описанный до сих
пор в законодательных актах, а только упомянутый в Гражданском кодексе,
— это коносамент. По-видимому, о нем будет сказано в третьей
части Гражданского кодекса РФ.
Практически все перечисленные виды ценных бумаг обязаны своим
существованием наличию адекватных им хозяйственных договоров,
одним из возможных свидетельств или одной из форм существования
которых они являются. Так, складские свидетельства выпускаются в
соответствии с договором хранения; коносамент — договором на перевозку;
облигации и векселя — договором займа; банковские сертификаты
и сберкнижки на предъявителя — договором банковского вклада;
закладная — договором об ипотеке. По аналогии можно сказать, что
акции выпускаются в соответствии с учредительным договором. Что
касается чека, то он экономически есть особая разновидность векселя;
он есть форма переводного векселя, обязанным лицом по которому (т.е.
плательщиком по нему) является банк.
В целом конкретные виды ценных бумаг — это различные формы
сочетания их реквизитов и особенно имущественных прав.
ОРГАНЫ УПРАВЛЕНИЯ БИРЖЕЙ
Чтобы фондовая биржа могла выполнять поставленныеперед ней задачи, она должна иметь эффективную организационную
структуру, которая могла бы обеспечивать не только более низкие издержки,
связанные с торговлей ценными бумагами, но и ликвидность
рынка, наличие достаточного количества продавцов и покупателей,
возможность получения участниками торгов достаточной и точной информации
как о прошлых ценах и объемах заключенных сделок, так и о
текущих ценах продавца и покупателя, представленных на торги объемах
и видах ценных бумаг.
Организационная структура биржи также должна обеспечивать доверие
к ней со стороны ее членов, т.е. она должна иметь демократически
избранные органы управления.
Поэтому биржа рассматривается как саморегулируемая организация,
действующая на принципах биржевого самоуправления. Это проявляется
в том, что в рамках действующего законодательства биржа
сама принимает решения об организации своего управления, что находит
отражение в ее уставе.
В соответствии с российскими законодательными документами фондовые
биржи создаются в форме некоммерческого партнерства. Поэтому
органы ее управления делятся на общественную и стационарную
структуры. Общественная структура может быть представлена в виде
схемы, приведенной на рис. 1
Общее собрание членов биржи является ее высшим законодательным
органом управления. Собрания членов биржи бывают годовыми,
созываемыми в обязательном порядке один раз в год с интервалом
между ними не более 15 месяцев, и чрезвычайными (внеочередными).
Последние созываются биржевым комитетом (советом), ревизионной
комиссией или членами биржи, обладающими не менее 10% голосов.

К исключительной компетенции общего собрания относятся:
• осуществление общего руководства биржей и биржевой торговлей;
• определение целей и задач биржи, стратегии ее развития; утверждение
и внесение изменений во внутри биржевые нормативные документы;
• формирование выборных органов;
• рассмотрение и утверждение бюджета биржи, годового баланса,
отчета прибылей и убытков, распределение прибыли;
• прием новых членов биржи;
• утверждение сметы расходов на содержание комитета (совета) и
персонала биржи, в том числе определение условий оплаты труда должностных
лиц биржи, ее филиалов и представительств;
• принятие решения о прекращении деятельности биржи, назначении
ликвидационной комиссии, утверждение ликвидационного баланса.
Так как собрание членов биржи собирается один раз в год, для оперативного
управления биржей выбирается биржевой совет. Он является
контрольно-распорядительным органом текущего управления биржей и
решает все вопросы ее деятельности, кроме тех, которые могут решаться
ТОЛЬКО на общем собрании членов биржи.
Как правило, на биржевой совет возлагаются следующие функции:
О заслушивание и оценка отчетов правления;
О внесение изменений в правила торговли на бирже;
О подготовка решений общего собрания членов биржи;
О установление размеров всех взносов, выплат, денежных и комиссионных
сборов;
О подготовка решения о приеме или исключении членов биржи;
О руководство биржевыми торгами;
О распоряжение имуществом биржи;
О наем и увольнение персонала биржи и т.д.
Из состава биржевого совета формируется правление, которое осуществляет
оперативное руководство биржей и представляет ее интересы
в организациях и учреждениях. Порядок действия совета и правления
определяется уставом и может иметь различия на разных биржах.
Контроль за финансово-хозяйственной деятельностью биржи осуществляет
ревизионная комиссия, которая избирается общим собранием
членов биржи одновременно с биржевым советом.
Ревизионная комиссия вправе оценить правомочность решений, принимаемых
органами управления биржи. К общему собранию членов биржи
ревизионная комиссия проводит документальную проверку финансово-
хозяйственной деятельности биржи (сплошную или выборочную),
результатов се торговых, расчетных, валютных и других операций.
Кроме того, ревизионная комиссия проверяет:
• финансово-хозяйственную деятельность биржи, состояние ее счетов
и достоверность бухгалтерской документации;
• постановку и правильность оперативного, бухгалтерского и статистического
учета и отчетности;
• выполнение установленных смет, нормативов и лимитов;
• своевременность и правильность платежей в бюджет;
• соблюдение биржей и ее органами законодательных актов и инструкций,
а также решений общих собраний членов биржи;
• состояние кассы и фондов биржи.
Ревизионная комиссия ведет проверки по:
О поручению общего собрания членов биржи;
О собственной инициативе;
О требованию биржевого комитета и участников биржи, обладающих
в совокупности более 40% голосов.
Ревизии проводятся не реже одного раза в год.
Члены ревизионной комиссии вправе требовать от должностных лиц
биржи представления всех необходимых документов и личных объяснений.
Результаты проверок направляются общему собранию членов биржи.
При отсутствии аудиторов ревизионная комиссия составляет заключение
по годовым отчетам и балансам, на основании которого общее
собрание членов биржи может их утверждать. Члены ревизионной комиссии
обязаны потребовать созыва чрезвычайного собрания членов
биржи, если возникла серьезная угроза интересам биржи.
Стационарная структура фондовой биржи может быть представлена
схемой, приведенной на рис. 1

Стационарная структура биржи необходима для ведения хозяйственной
биржевой деятельности. От того, как осуществляют свою работу
подразделения, входящие в стационарную структуру, во многом зависит
эффективность работы биржи. Стационарная структура делится
на исполнительные (функциональные) подразделения и специализированные.
Исполнительные (функциональные) подразделения — это аппарат
биржи, который готовит и проводит биржевой торг. Они весьма разнообразны
и зависят от объема биржевых сделок, количества членов биржи
и брокеров, которые работают на бирже. Однако обязательны такие
подразделения, как информационный отдел, отдел листинга, регистрационное
бюро, бюро по программному обеспечению, отдел по организации
торгов.
Специализированные подразделения делятся на коммерческие организации
(например, расчетная палата, депозитарий) и комиссии, наиболее
важными из которых являются: арбитражная, котировальная, по приему
в члены биржи, по правилам биржевой торговли и биржевой этике.
Органы управления зарубежных фондовых бирж аналогичны российским.
В качестве примера рассмотрим структуру управления Франкфуртской
фондовой биржи. Органы управления ею составляют общественную
и стационарную структуру.
Общественная структура включает: собрание акционеров, наблюдательный
совет и правление.
Согласно немецкому акционерному праву, собрание акционеров, состоящее
из всей совокупности акционеров, избирает наблюдательный совет.
Последний в свою очередь назначает правление. Устав Франкфуртской
фондовой биржи предусматривает, что из 15 мест в наблюдательном
совете восемь мест принадлежат банкам, два — маклерам и пять мест —
служащим фондовой биржи. Представление интересов служащих биржи в
наблюдательном совете предписывается действующими в Германии законами
о праве работников на участие в принятии решений на предприятиях.
Задачи правления:
• допуск предприятий и лиц к участию в биржевой торговле;
• организация и проведение операций на бирже;
• контроль за соблюдением законов, распоряжений и прочих положений;
• гюддержание порядка в помещениях биржи;
• установление условий деятельности на бирже;
• назначение органов руководства биржей.
Из состава правления биржи 19 членов избираются на три года, а
именно:
О 13 представителей банков — членов биржи;
О два курсовых маклера;
О два свободных маклера;
О два представителя служащих — членов биржи.
Кроме них в состав правления биржи входят:
О представитель компаний, акциями которых ведется торговля;
О представитель вкладчиков;
О представитель инвестиционных фондов.
Плюралистический состав правления биржи для Германии традиционен и обеспечивает соответствующее представительство интересов всех
групп, участвующих в торговле при формировании рыночного порядка
и правил торговли ценными бумагами.
Стационарная структура включает комиссии и отделы, которые
заняты организацией биржевого торга. К комиссиям относятся:
/. Арбитражная комиссия является исполнительным органом биржи
и занимается расследованием и разрешением хозяйственных споров между
участниками сделок относительно правомерности и законности той
или иной операции.
Листинговая комиссия осуществляет строжайший отбор ценных
бумаг с целью недопущения на фондовую биржу финансовых активов
недостаточно надежных эмитентов. Листинговая комиссия самостоятельно
разрабатывает правила допуска ценных бумаг к торгам и согласовывает
их с соответствующими государственными органами. Она
формирует биржевой список из числа фондовых ценностей наиболее
перспективных акционерных обществ и других эмитентов и передает
его вместе с другими материалами в котировальную комиссию.
Котировальная комиссия — это орган, который ведет учет ценных
бумаг, принимает их к котировке, рекомендует их начальную котировочную
цену, а после торгов регистрирует изменение цен. Данная
комиссия оглашает и доводит до всеобщего сведения информацию о
курсах ценных бумаг и объемах заключаемых сделок.
Клиринговая комиссия — это комиссия, которая занимается после-
торговыми операциями в форме организации безналичных расчетов
между участниками фондовых сделок. Комиссия составляет специальное
расписание денежных расчетов по каждому типу ценных бумаг, а
также организует прямые расчеты между продавцом и покупателем и
доставку товара (финансовых активов) новому владельцу.
Информационно-издательский отдел осуществляет централизованное
информационное обеспечение, издает биржевой бюллетень, справочники,
рекламные проспекты и т.п.
Отдел технического обеспечения выполняет организационно-вспомогательную
работу по обеспечению нормального функционирования
всех подразделений фондовой биржи. В его обязанности входит снабжение,
контроль за работой и профилактика технического оборудования,
средств связи и т.д.
Непосредственно организацией биржевого торга занимаются следующие
отделы:
• собственности и финансов;
• компьютерных операций;
• секретаря корпорации;
• листинга и котировок;
• регулирования членов биржи;
• торговли и развития рынка;
• клиринговое подразделение.
Функции отдела собственности и финансов заключаются в аудиторских
проверках всех бухгалтерских и финансовых книг биржи; финансовом
контроле для обеспечения адекватного потока наличности;
финансовых анализе и планировании.
Отдел компьютерных операций несет ответственность за разработку
электронных систем, обеспечение их непрерывного функционирования
и работу с этими системами.
Функции отдела секретаря корпорации следующие:
• выполнение функций секретариата совета директоров;
• внесение изменений и дополнений в правила и положения биржи;
• оказание юридических услуг;
• выпуск извещений для членов биржи;
• обработка заявок на членство.
К функциям отдела листинга и котировок относятся:
• установление условий получения биржевой котировки, стандартов
и сведений, которые должна предоставить компания;
• обработка новых заявок на получение котировки, рассмотрение
их содержания на предмет соответствия требованиям биржи и обсуждение
с подателями заявки;
• по вторичным эмиссиям - - предъявление санкций на эмиссии дополнительных
продуктов заимствования компаниям, имеющим котировку;
• мониторинг компаний, имеющих котировку.
Отдел регулирования членов бир:жи занимается:
О разработкой, определением и предоставлением экспертиз фирмам —
членам биржи;
О мониторингом достаточности собственного капитала;
О проверкой соблюдения правил и положений биржи;
О разрешением споров между членами биржи.
К функциям отдела торговли и развития рынка относятся:
О создание новых продуктов;
О надзор за рынком, разработка кодекса поведения;
О мониторинг торговли;
О контроль качества рынка, обеспечение гарантии того, что не происходит
манипуляций с котировками цен.
Итак, мы видим, что зарубежные фондовые биржи представляют собой
достаточно сложные организационные структуры, основная цель
которых — достижение максимальной эффективности функционирования
биржи.
ВНЕБИРЖЕВЫЕ ФОНДОВЫЕ РЫНКИ
Торговля ценными бумагами может быть организованаразличным образом, а встречи продавцов и покупателей для заключения
сделок купли-продажи могут происходить на разных торговых
площадках.
Организация фондового рынка прошла путь от так называемого
«уличного» (дикого, неорганизованного) рынка ценных бумаг до фондовой
биржи и современных электронных систем торговли ценными
бумагами.
Фондовая биржа является одной из наиболее развитых форм организации
торговли ценными бумагами. Напомним, что биржевой рынок
представляет собой особый институционально организованный рынок,
на котором обращаются ценные бумаги наиболее высокого качества и
операции на котором совершают профессиональные участники рынка
цепных бумаг.
Отличительные признаки биржевого рынка:
• определенные время и место проведения торговли;
• конкретный круг участников (профессионалов) фондового рынка;
• установленные правила торгов и подчинение участников этим правилам;
• организатором торгов является конкретное учреждение (организация,
имеющая соответствующую лицензию).
Внебиржевой и «уличный» рынки ценных бумаг — не тождественные
понятия, поскольку внебиржевой рынок можно разделить па организованный
и неорганизованный. «Уличный» (дикий) рынок может быть
охарактеризован как внебиржевой неорганизованный рынок. Предметом
рассмотрения данного раздела является организованный внебиржевой
рынок ценных бумаг.
Значение биржевых и внебиржевых рынков в организации торговли
ценными бумагами, их соотношение в различных странах не одинаково.
В одних государствах торговля вне бирж не играет существенной роли,
а в других даже запрещена. В то же время в ряде стран во внебиржевом
обращении находится значительная масса ценных бумаг.
Хотя в странах с развитой рыночной экономикой фондовые биржи все
еще играют достаточно большую роль в организации обращения ценных
бумаг, тем не менее значение биржи и биржевых механизмов купли-продажи
фондовых ценностей постоянно снижается. По сути дела, биржа при
наличии высокоэффективных средств связи не столь уж необходима, и на
Западе биржа как место, где ведется торговля финансовыми активами,
постепенно утрачивает свои позиции. Основными ее конкурентами выступают
коммерческие и инвестиционные банки, превращающиеся в расчетные
центры и центры торговли фондовыми ценностями. Все более решительно
заявляют о себе новые формы организации внебиржевого оборота
с использованием компьютерной техники и каналов связи.
Наибольшее развитие внебиржевой рынок получил в США, где преобладающее
большинство торговых сделок с государственными ценными
бумагами производится через компьютерные экраны или с помощью
телефонов, телексов и без биржевых посредников.
Значительная часть государственных ценных бумаг в этой стране
существует только в форме записей в книгах или хранится в банках
данных Федеральной резервной системы. Когда эти бумаги продаются,
Федеральный резервный банк осуществляет передачу прав собственности
посредством телеграфной или телексной связи. Еще одной альтернативой
биржевому рынку в США является Система автоматической
котировки Национальной ассоциации дилеров по ценным бумагам —
НАСДАК, которая образовалась как междилерский рынок зарегистрированных,
но НС котирующихся на бирже ценных бумаг. Под эгидой этой
ассоциации в США с 1971 г. функционирует своеобразная электронная
биржа. Аналогичные процессы протекают и в других высокоразвитых
странах Запада. Конкуренцию бирже составляют новые организационные
формы (механизмы и технологии) торговли ценными бумагами.
Закономерностью развития организационных форм фондового рынка
является постепенное стирание различий между биржевой и внебиржевой
формами организации торговли ценными бумагами, появление
различных переходных форм. Примером могут служить так называемые
«вторые», «третьи», «параллельные» рынки, создаваемые фондовыми
биржами и находящиеся под их регулирующим воздействием. Подобные
рынки функционируют с 80-х годов в важнейших европейских
центрах торговли ценными бумагами. Их возникновение было обусловлено
стремлением фондовых бирж расширить свой рынок, желанием создать
упорядоченный регулируемый рынок ценных бумаг для финансирования
небольших и средних компаний, являющихся носителями наиболее
современных технологий.
Поэтому такие рынки в сравнении с биржевым предъявляют более
низкие требования к качеству ценных бумаг, включают в себя акции
малых и средних компаний, но при этом поддерживают регулярность
торговли, котировки, единство правил и т.д.
С другой стороны, из внебиржевого оборота возникают системы
торговли ценными бумагами, основывающиеся на современных средствах
коммуникации и компьютерных тех1юлогиях. Эти системы представляют
собой подобие территориально распределенной электронной
биржи. Они имеют свои правила организации торговли, допуска ценных
бумаг на рынок (листинг), отбора участников и т.д.
В качестве примера организованных компьютерных рынков внебиржевой
торговли служат:
• Система автоматической котировки Национальной ассоциации
инвестиционных дилеров (NASDAQ — National Association of Securities
Dealers Automated Quotations). В отечественной экономической литературе
принята аббревиатура НАСДАК.
• Канадская система внебиржевой автоматической торговли (СО—
АТС — Canadian Over-the-Counter Automated).
• Система автоматической котировки и дилинга при Сингапурской
фондовой бирже.
В России фондовые биржи, в большинстве своем возникшие в 1991—
1992 гг., не заняли лидирующие позиции на отечественном рынке ценных
бумаг. Многие из них «тихо скончались» уже в 1994—1995 гг.
Фондовая биржа образца 90-х годов не превратилась в торговое, профессиональное
и технологическое ядро российского рынка ценных
бумаг. Суждено ли этому институту финансового рынка в России
занять подобающее ему место, покажет время. Но анализ общих закономерностей
развития фондового рынка и особенностей российской
биржевой деятельности позволяет высказать предположение, что скорее
всего фондовая биржа как форма организации торговли ценными
бумагами отомрет, так и не получив сколько-нибудь серьезного развития
в России.
Основная тенденция развития российского фондового рынка — перемещение
акцента с биржевой торговли на внебиржевую. Объемы сделок
на фондовых биржах и в фондовых отделах товарных бирж со второй
половины декабря 1991 г. резко сократились, в то же время внебиржевой
рынок был более стабилен.
Изначальное преобладание в России внебиржевого рынка ценных
бумаг над биржевым связано с тем, что первичное размещение ценных
бумаг осуществляется преимущественно на внебиржевом рынке, это
соответствует и мировой практике.
В настоящее время российский внебиржевой рынок ценных бумаг
представлен в следующем виде:
• торговая сеть Сберегательного банка РФ (основу составляет разветвленная
филиальная сеть Сбербанка России);
• внебиржевой рынок ценных бумаг коммерческих банков;
• телефонные дилерские рынки — получили развитие в процессе приватизации
и выхода на рынок значительных объемов акций приватизированных
предприятий, а также в процессе первичного размещения акций
вновь создаваемых торгово-промышленных акционерных обществ
и акционерных коммерческих банков;
• электронные рынки (Интерфакс — Диллинг).
Каждый из названных видов внебиржевых рынков (каждый сегмент,
сектор внебиржевого рынка) характеризуется определенной системой
параметров:
а) обращающиеся на данном рынке финансовые инструменты (условия
их выпуска и обращения);
б) состав участников (их функции);
в) наличие (отсутствие) определенной обслуживающей инфраструктуры;
г) механизм регулирования данного вида внебиржевого рынка;
д) правила работы с данным финансовым инструментом;
ж) правила осуществления торгов.
Для того чтобы получить более полное представление о внебиржевом
рынке, необходимо рассмотреть его устройство, отдельные компоненты.
С этой целью следует ответить на такие вопросы:
Кто участвует во внебиржевой торговле?
Где происходит торговля ценными бумагами на внебиржевом
рынке?
Как она организована и каким правилам подчиняется?
Регулируется ли внебиржевая торговля государством и законами,
и если да, то каким образом?
В качестве первоначального варианта внебиржевой торговли —
«Портал» — была принята одна из подсистем американской внебиржевой
системы торговли НАСДАК. Технические средства «Портал»
были усовершенствованы российскими специалистами, и система получила
свое нынешнее наименование «Российская торговая система»
(РТС). Она была создана при финансовом содействии правительства
США.
До недавнего времени самой крупной внебиржевой системой в России,
имеющей лицензию организатора торговли ценными бумагами,
была РТС, которая получила статус биржи. Первоначально система
была ориентирована на обслуживание 50 трейдеров, работающих с
удаленных терминалов. Однако затем эта торговая система распространилась
на другие регионы России. Российской торговой системой
могут пользоваться члены других саморегулируемых организаций, в
частности Ассоциации фондовых дилеров Сибири, Петербургской объединенной
торговой системы. Уральской ассоциации брокеров и дилеров.
Основным объектом торговых сделок в РТС являются акции крупнейших
российских предприятий, таких, как РАО ЕЭС, РАО «Норильский
никель», АО «Юганскнефтегаз», НК «ЛУКойл». Всего в основном
листинге РТС 13 крупных компаний.
Торговля в РТС осуществляется следующим образом. Участники
торгов через удаленные терминалы вводят в центральный компьютер
свои предложения на покупку и продажу акций.
Введенные предложения отображаются на терминалах всех участников
торгов. Если кто- нибудь из участников торгов пожелает совершить сделку на предложенных условиях, то он связывается с трейдером, выставившим заявку
по телефону, и договаривается с ним о сделке.
Оплата акций и перерегистрация прав собственности совершаются
контрагентами сделки самостоятельно. РТС никаких услуг в этом отношении
в настоящее время не предоставляет. Таким образом, РТС в
современном виде — это своеобразная доска объявлений, доступ к которой
регламентируется определенными правилами.
Членами НАУФОР разработан пакет нормативных документов, регулирующих торговлю через РТС (правила, типовой договор купли-
продажи, меры ответственности). Также созданы органы, контролирующие
и регулирующие деятельность участников РТС: торговый комитет,
дисциплинарный комитет (контролирующий соблюдение правил
торговли), третейский суд (разбирающий спорные вопросы и конфликтные
ситуации).
Ключевые моменты правил торговли в РТС:
Все предложения (котировки), введенные в систему, являются
«твердыми», т.е. обязательными для исполнения.
Минимальный объем лота, выставляемого в системе, — 10 тыс.
долл. США.
Участники торговой системы разделены на несколько категорий,
среди которых выделяются маркет-мейкеры, одной из основных задач
которых является поддержание ликвидности рынка.
В обязанности маркет- мейкеров входит:
• постоянное поддержание двусторонних котировок (на покупку и
на продажу) по акциям как минимум трех эмитентов и односторонних
котировок (либо на покупку, либо на продажу) как минимум двух эмитентов;
• объем выставляемых ими лотов должен быть не менее 30 тыс. долл.
США.
Маркет-мейкеры имеют определенные льготы. Так, им предоставляется
право в случае, если к ним обратится «простой» участник торгов,
менять заявленную в системе цену в пределах 10%.
Основными недостатками РТС являются: информационная закрытость
(непрозрачность) системы, дискриминация участников торговли
и преимущественно справочно-информационный, а не торговый характер
системы (она слабо обеспечивает процесс заключения сделки и не
создает условия для ее реализации).
В юридических определениях ценных бумаг фиксируются
их главные права (или признаки, свойства), по которым одна ценная
бумага традиционно (как правило) отличается от другой. Однако
из практики известно (и это есть результат конкуренции между разными
видами ценных бумаг), что очень многие права, предоставляемые
одной ценной бумагой, придаются другой ценной бумаге и наоборот.
Перечисленные выше виды ценных бумаг, разрешенные действующим
российским законодательством, могут быть сгруппированы с точки
зрения их экономического вида независимо от юридической формы
проявления.
Государственная облигация и просто облигация — это один и тот же
экономический вид ценной бумаги под общим названием «облигация».
У них лишь разные обязанные лица (в первом случае — государство, во
втором — другие юридические лица), и они по-разному выражают действительный
капитал (в первом случае — косвенно, во втором — непосредственно).
Чек — это разновидность переводного векселя, плательщиком по которому
всегда является банк, обособившаяся в юридически самостоятельный
вид ценной бумаги в силу широкого использования его в расчетах. В
отличие от обычного переводного векселя, плательщиком по которому
тоже может быть банк, форма чека и порядок его обращения имеют самостоятельную
правовую базу, отличную от вексельного законодательства.
Депозитный и сберегательный сертификаты, а ^акже банковская сберегательная
книжка на предъявителя экономически могут быть объединены
в единый вид — банковский сертификат. Первые два отличаются
лишь по их владельцу (в первом случае им является юридическое лицо,
во втором — граждане). Сберкнижка на предьявителя экономически есть
разновидность сберегательного сертификата, иными словами, она есть
сертификат в форме сберегательной книжки.
В то же время сам по себе банковский сертификат, как и чек, есть
разновидность векселя, точнее, банковского векселя, но в отличие от
последнего банковский сертификат не передается путем индоссамента,
а только путем вручения или цессии.
То, что все перечисленные виды складских свидетельств есть экономически
один вид, достаточно очевидно.
Таким образом, российские ценные бумаги существуют согласно
действующему законодательству в количестве шести самостоятельных
экономических видов':
• облигация;
• вексель;
• закладная;
• коносамент;
• складское свидетельство;
• акция.
Перечисленные виды ценных бумаг будем в дальнейшем называть
основными ценными бумагами.
ОСНОВНЫЕ ОПРЕДЕЛЕНИЯ
Фондовая биржа - некоммерческое партнерство, имеющее своейцелью организацию торговли ценными бумагами на основе лицензии
на право осуществления этой деятельности.
Член фондовой биржи — профессиональный участник рынка ценных
бумаг, принимающий участие в формировании ее уставного капитала,
вносящий целевые взносы для обеспечения ее деятельности и принимающий
активное участие в биржевых торгах.
Внебиржевой организатор фондового рынка — это профессиональный
участник фондового рынка, организующий торговлю ценными бумагами
и не являющийся биржей.
ГЛАВНЫЕ ВЫВОДЫ
Фондовая биржа необходима для функционирования организованного
рынка ценных бумаг. Ее основная задача — организовать биржевую
торговлю. Для этого она должна выполнять закрепленные функции и
иметь определенную организационную структуру, которую принято
делить на общественную и стационарную. Биржа представляет собой
саморегулируемую организацию, действующую на принципах биржевого
самоуправления, поэтому важным органом управления биржи является
общее собрание членов биржи. Для управления биржей создаются
контрольно-распорядительный орган (биржевой совет) и контрольный
орган (ревизионная комиссия). Подготовкой и проведением биржевой торговли
занимается стационарная структура биржи.
Кроме биржевых рынков необходимы внебиржевые, которые делятся
на организованные, имеющие много общего с биржевыми, и неорганизованные.
Организованные внебиржевые рынки представлены структурами,
имеющими лицензию на право выступать в качестве организатора
торговли ценными бумагами.
1 ПОНЯТИЕ и ЦЕЛИ РЕГУЛИРОВАНИЯ
Регулирование рынка ценных бумаг — это упорядочение
деятельности на нем всех его участников и операций между ними со
стороны организаций, уполномоченных обществом на эти действия.
Регулирование рынка ценных бумаг охватывает всех его участников:
эмитентов, инвесторов, профессиональных фондовых посредников,
организации инфраструктуры рынка.
Регулирование деятельности участников рынка может быть внешним
и внутренним. Внутреннее регулирование — это подчиненность деятельности
данной организации ее собственным нормативным документам:
уставу, правилам и другим внутренним нормативным документам, определяющим
деятельность этой организации в целом, ее подразделений
и ее работников. Внешнее регулирование — это подчиненность деятельности
данной организации нормативным актам государства, других
организаций, международным соглашениям.
Регулирование рынка ценных бумаг охватывает все виды деятельности
и все виды операций на нем: эмиссионные, посреднические, инвестиционные,
спекулятивные, залоговые, трастовые и т.п.
Регулирование рынка ценных бумаг осуществляется органами или
организациями, уполномоченными на выполнение функций регулирования.
С этих позиций различают:
• государственное регулирование рынка, которое осуществляется
государственными органами, в компетенцию которых входит выполнение
тех или иных функций регулирования;
• регулирование со стороны профессиональных участников рынка
ценных бумаг, или саморегулирование рынка. Этот процесс может развиваться
двояко: с одной стороны, государство передает часть своих
функций по регулированию рынка уполномоченным или отобранным
им организациям профессиональных участников рынка ценных бумаг,
а с другой — эти последние сами договариваются о том, что созданная
организация получает от них некие права регулирования по отношению
ко всем учредителям или участникам данной организации;
• общественное регулирование, или регулирование через общественное
мнение. В конечном счете, именно реакция широких слоев общества
в целом на какие-либо действия на рынке ценных бумаг является первопричиной,
по которой начинаются те или иные регулятивные действия
государства или профессионалов рынка.
Регулирование рынка ценных бумаг обычно имеет следующие
цели:
• поддержка порядка на рынке, создание нормальных условий для
работы всех участников рынка;
• защита участников рынка от недобросовестности и мошенничества
отдельных лиц или организаций, от преступных организаций и преступников
вообще;
• обеспечение свободного и открытого процесса ценообразования
на ценные бумаги на основе спроса и предложения;
• создание эффективного рынка, на котором всегда имеются стимулы
для предпринимательской деятельности и на котором каждый риск
адекватно вознаграждается;
• в определенных случаях — создание новых рынков, поддержка необходимых
обществу рынков и рыночных структур, рыночных начинаний
и нововведений и т.п.;
• воздействие на рынок с целью достижения каких-либо общественных
целей (например, для повышения темпов роста экономики, снижения
уровня безработицы и т.д.);
• защита общественных интересов на рынке.
Процесс регулирования на рынке ценных бумаг включает:
• создание нормативной базы функционирования рынка, т.е. разработку
законов, постановлений, инструкций, правил, методических положений
и других нормативных актов, которые ставят функционирование
рынка на общепризнанную и всеми соблюдаемую основу;
• отбор профессиональных участников рынка. Современный рынок
ценных бумаг, как, пожалуй, и любой другой рынок, невозможен без
профессиональных посредников. Однако не любое лицо или организация
может занять место такого посредника. Чтобы это сделать, необходимо
удовлетворять определенным требованиям по знаниям, опыту и
капиталу, которые устанавливаются уполномоченными на это регулирующими
организациями или органами;
• контроль за соблюдением всеми участниками рынка норм и правил
функционирования рынка. Этот контроль выполняется соответствующими
контрольными органами;
• систему санкций за отклонение от норм и правил, установленных
на рынке; такими санкциями могут быть устные и письменные предупреждения,
штрафы, уголовные наказания, исключение из рядов участников
рынка.
ПРИНЦИПЫ РЕГУЛИРОВАНИЯ РЫНКА ЦЕННЫХ БУМАГ
Глава 1 Глава 2 Глава 3
Принципы регулирования российского рынка ценных
бумаг во многом зависят от существующих в стране политических и
экономических условий, но одновременно они должны отражать и проверенную
временем историческую практику мирового рынка ценных
бумаг.
Основными принципами являются:
Разделение подходов в регулировании отношений между эмитентом
и инвестором, с одной стороны, и отношений с участием профессиональных
участников рынка — с другой. В первом случае регулируются
отношения между владельцем прав по ценной бумаге и лицом, по ней
обязанным. Во втором — отношения, связанные с заключением и исполнением
сделки, между эмитентом и профессиональным участником, инвестором
и профессиональным участником или между профессиональными
участниками.
Выделение из всех видов ценных бумаг так называемых эмиссионных,
т.е. тех, которые выпускаются в массовом порядке, сериями и
могут быстро распространяться и рынок которых может быть быстро
организован. Операции именно с такими бумагами нуждаются в тщательном
регулировании, поскольку именно этими инструментами злоумышленники
могут нанести большой ущерб участникам рынка.
Максимально широкое использование процедур раскрытия информации
обо всех участниках рынка — эмитентах, крупных инвесторах и
профессиональных участниках. Этим достигается возможность получения
участниками рынка информации друг о друге для принятия деловых
решений при операциях на рынке.
Необходимость обеспечения конкуренции как механизма объективного
повышения качества услуг и снижения их стоимости. Этот принцип
реализуется через непринятие регулятивных документов, делающих
преференции отдельным участникам рынка. Все субъекты регулирования
имеют равные права перед регулирующими органами: в нормах не
упоминаются конкретные имена или фирменные названия.
При разделении полномочий между регулирующими органами следует
исходить из того, что нормотворчеством и нормо применением не
должно заниматься одно и то же лицо.
Обеспечение гласности нормотворчества, широкое публичное обсуждение
путей решения проблем рынка. Такой принцип повышает качество
нормотворчества и его объективность.
Соблюдение принципа преемственности российской системы регулирования
рынка ценных бумаг, имеющей определенную историю и
традиции. Вместе с тем нельзя не учитывать и все возрастающую интеграцию
национального фондового рынка с международным. Неэффективно
начинать строить новую систему регулирования рынка «с центра
поля» — необходимо практически учитывать опыт мирового рынка,
качественно перерабатывать его и использовать удачные регуляционные
решения. Вместе с тем не следует делать из этого опыта догмы —
повторение чужих ошибок может замедлить прогресс в регулировании
рынка.
Оптимальное распределение функций регулирования рынка ценных
бумаг между государственными и негосударственными органами управления
(коммерческими организациями, общественными организациями).
в качестве:
инвестора - - при управлении крупными портфелями акций промышленных
предприятий;
эмитента — при выпуске государственных ценных бумаг;
профессионального участника — при торговле акциями в ходе приватизационных
аукционов;
регулятора - при написании законов и подзаконных актов;
верховного арбитра в спорах между участниками рынка — через
систему судебных органов.
Государственное регулирование рынка ценных бумаг — это регулирование
со стороны общественных органов государственной власти.
Система государственного регулирования рынка включает:
• государственные и иные нормативные акты;
• государственные органы регулирования и контроля.
Государственное управление рынком имеет следующие формы: прямое,
или административное, управление; косвенное, или экономическое,
управление.
Прямое, или административное, управление рынком ценных бумаг
со стороны государства осуществляется путем:
• установления обязательных требований ко всем участникам рынка
ценных бумаг;
• регистрации участников рынка и ценных бумаг, эмитируемых ими;
• лицензирования профессиональной деятельности на рынке ценных
бумаг;
• обеспечения гласности и равной информированности всех участников
рынка;
• поддержания правопорядка на рынке.
Косвенное, или экономическое, управление рынка ценных бумаг осуществляется
государством через находящиеся в его распоряжении экономические
рычаги и капиталы:
• систему налогообложения (ставки налогов, льготы и освобождение
от налогов);
• денежную политику (процентные ставки, минимальный размер заработной
платы и др.);
• государственные капиталы (государственный бюджет, внебюджетные
фонды финансовых ресурсов и др.);
• государственную собственность и ресурсы (государственные предприятия,
природные ресурсы и земли).
Структура органов государственного регулирования российского
рынка ценных бумаг в настоящее время сложилась следующая.
Высшие органы государственной власти:
Государственная Дума Российской Федерации издает законы, регулирующие
рынок ценных бумаг.
Президент Российской Федерации издает указы, особенно в тех случаях,
когда принятие необходимых законов по каким-либо причинам задерживается.
Правительство Российской Федерации выпускает постановления,
обычно в развитие указов Президента и принятых законов.
Государственные органы регулирования рынка ценных бумаг министерского
уровня:
Федеральная комиссия по рынку ценных бумаг (ФКЦБ России);
Министерство финансов Российской Федерации;
Центральный банк Российской Федерации;
Министерство Российской Федерации по антимонопольной политике
и поддержке предпринимательства.
Федеральная комиссия по рынку ценных бумаг — коллегиальный орган
в составе Правительства Российской Федерации — имеет большие полномочия
в области координации, разработки стандартов, лицензирования,
установления квалификационных требований и т.д. Она приняла
на себя основную нормотворческую и контрольную работу по регулированию
рынка ценных бумаг.
Министерство финансов Российской Федерации регулирует выпуск
государственных ценных бумаг, включая ценные бумаги субъектов Федерации
и органов местного самоуправления, устанавливает правила
бухгалтерского учета операций с ценными бумагами, осуществляет
выпуск государственных ценных бумаг и т.п.
Центральный банк Российской Федерации — федеральный орган,
который действует на основании Закона, регистрирует выпуски ценных
бумаг кредитных организаций, регулирует порядок осуществления
кредитными организациями операций на открытом рынке ценных бумаг,
ломбардного кредитования и переучета векселей, устанавливает и
контролирует антимонопольные требования к операциям на рынке ценных
бумаг кредитных организаций, регулирует деятельность на рынке
ценных бумаг клиринговых организаций и организаций, производящих
безналичные расчеты по сделкам с ценными бумагами (в том числе депозитариев),
контролирует экспорт и импорт капитала.
Министерство Российской Федерации по антимонопольной политике
и поддер:жке предпринимательства устанавливает антимонопольные
правила и осуществляет контроль за их исполнением.
Основные законодательные акты, которыми регулируется российский
рынок ценных бумаг:
Гра:жданский кодекс Российской Федерации, части 1 и 2;
Закон РФ «О банках и банковской деятельности» в редакции Федерального
закона от 3 февраля 1996 г. № 17-ФЗ с последующими изменениями
и дополнениями;
Федеральный закон «О Центральном банке Российской Федерации
(Банке России)» в редакции Федерального закона от 26 апреля 1995 г.
№ 65-ФЗ с последующими изменениями и дополнениями;
Федеральный закон «О приватизации государственного имущества
и об основах приватизации муниципального имущества в Российской
Федерации» от 21 июля 1997 г. JV" 123-ФЗ;
Закон «О товарных биржах и биржевой торговле» от 20 февраля 1992 г.
№ 2384-1 с соответствующими изменениями и дополнениями;
Закон РФ «О валютном регулировании и валютном контроле» от
9 октября 1992 г. № 3615-1 с последующими изменениями и дополнениями;
Федеральный закон «Об акционерных обществах» от 26 декабря 1995 г.
№ 208-ФЗ с последующими изменениями и дополнениями;
Федеральный закон «О рынке ценных бумаг» от 22 сшреля 1996 г.
№ 39-ФЗ с последующими изменениями и дополнениями:
Указы Президента по развитию рынка ценных бумаг;
Постановления Правительства Российской Федерации. В основном
они касаются регулирования и развития рынка государственных ценных
бумаг во всех их разновидностях.
бумаг во многом зависят от существующих в стране политических и
экономических условий, но одновременно они должны отражать и проверенную
временем историческую практику мирового рынка ценных
бумаг.
Основными принципами являются:
Разделение подходов в регулировании отношений между эмитентом
и инвестором, с одной стороны, и отношений с участием профессиональных
участников рынка — с другой. В первом случае регулируются
отношения между владельцем прав по ценной бумаге и лицом, по ней
обязанным. Во втором — отношения, связанные с заключением и исполнением
сделки, между эмитентом и профессиональным участником, инвестором
и профессиональным участником или между профессиональными
участниками.
Выделение из всех видов ценных бумаг так называемых эмиссионных,
т.е. тех, которые выпускаются в массовом порядке, сериями и
могут быстро распространяться и рынок которых может быть быстро
организован. Операции именно с такими бумагами нуждаются в тщательном
регулировании, поскольку именно этими инструментами злоумышленники
могут нанести большой ущерб участникам рынка.
Максимально широкое использование процедур раскрытия информации
обо всех участниках рынка — эмитентах, крупных инвесторах и
профессиональных участниках. Этим достигается возможность получения
участниками рынка информации друг о друге для принятия деловых
решений при операциях на рынке.
Необходимость обеспечения конкуренции как механизма объективного
повышения качества услуг и снижения их стоимости. Этот принцип
реализуется через непринятие регулятивных документов, делающих
преференции отдельным участникам рынка. Все субъекты регулирования
имеют равные права перед регулирующими органами: в нормах не
упоминаются конкретные имена или фирменные названия.
При разделении полномочий между регулирующими органами следует
исходить из того, что нормотворчеством и нормо применением не
должно заниматься одно и то же лицо.
Обеспечение гласности нормотворчества, широкое публичное обсуждение
путей решения проблем рынка. Такой принцип повышает качество
нормотворчества и его объективность.
Соблюдение принципа преемственности российской системы регулирования
рынка ценных бумаг, имеющей определенную историю и
традиции. Вместе с тем нельзя не учитывать и все возрастающую интеграцию
национального фондового рынка с международным. Неэффективно
начинать строить новую систему регулирования рынка «с центра
поля» — необходимо практически учитывать опыт мирового рынка,
качественно перерабатывать его и использовать удачные регуляционные
решения. Вместе с тем не следует делать из этого опыта догмы —
повторение чужих ошибок может замедлить прогресс в регулировании
рынка.
Оптимальное распределение функций регулирования рынка ценных
бумаг между государственными и негосударственными органами управления
(коммерческими организациями, общественными организациями).
ГОСУДАРСТВЕННОЕ РЕГУЛИРОВАНИЕ РОССИЙСКОГО РЫНКА ЦЕННЫХ БУМАГ
Государство на российском рынке ценных бумаг выступаетв качестве:
инвестора - - при управлении крупными портфелями акций промышленных
предприятий;
эмитента — при выпуске государственных ценных бумаг;
профессионального участника — при торговле акциями в ходе приватизационных
аукционов;
регулятора - при написании законов и подзаконных актов;
верховного арбитра в спорах между участниками рынка — через
систему судебных органов.
Государственное регулирование рынка ценных бумаг — это регулирование
со стороны общественных органов государственной власти.
Система государственного регулирования рынка включает:
• государственные и иные нормативные акты;
• государственные органы регулирования и контроля.
Государственное управление рынком имеет следующие формы: прямое,
или административное, управление; косвенное, или экономическое,
управление.
Прямое, или административное, управление рынком ценных бумаг
со стороны государства осуществляется путем:
• установления обязательных требований ко всем участникам рынка
ценных бумаг;
• регистрации участников рынка и ценных бумаг, эмитируемых ими;
• лицензирования профессиональной деятельности на рынке ценных
бумаг;
• обеспечения гласности и равной информированности всех участников
рынка;
• поддержания правопорядка на рынке.
Косвенное, или экономическое, управление рынка ценных бумаг осуществляется
государством через находящиеся в его распоряжении экономические
рычаги и капиталы:
• систему налогообложения (ставки налогов, льготы и освобождение
от налогов);
• денежную политику (процентные ставки, минимальный размер заработной
платы и др.);
• государственные капиталы (государственный бюджет, внебюджетные
фонды финансовых ресурсов и др.);
• государственную собственность и ресурсы (государственные предприятия,
природные ресурсы и земли).
Структура органов государственного регулирования российского
рынка ценных бумаг в настоящее время сложилась следующая.
Высшие органы государственной власти:
Государственная Дума Российской Федерации издает законы, регулирующие
рынок ценных бумаг.
Президент Российской Федерации издает указы, особенно в тех случаях,
когда принятие необходимых законов по каким-либо причинам задерживается.
Правительство Российской Федерации выпускает постановления,
обычно в развитие указов Президента и принятых законов.
Государственные органы регулирования рынка ценных бумаг министерского
уровня:
Федеральная комиссия по рынку ценных бумаг (ФКЦБ России);
Министерство финансов Российской Федерации;
Центральный банк Российской Федерации;
Министерство Российской Федерации по антимонопольной политике
и поддержке предпринимательства.
Федеральная комиссия по рынку ценных бумаг — коллегиальный орган
в составе Правительства Российской Федерации — имеет большие полномочия
в области координации, разработки стандартов, лицензирования,
установления квалификационных требований и т.д. Она приняла
на себя основную нормотворческую и контрольную работу по регулированию
рынка ценных бумаг.
Министерство финансов Российской Федерации регулирует выпуск
государственных ценных бумаг, включая ценные бумаги субъектов Федерации
и органов местного самоуправления, устанавливает правила
бухгалтерского учета операций с ценными бумагами, осуществляет
выпуск государственных ценных бумаг и т.п.
Центральный банк Российской Федерации — федеральный орган,
который действует на основании Закона, регистрирует выпуски ценных
бумаг кредитных организаций, регулирует порядок осуществления
кредитными организациями операций на открытом рынке ценных бумаг,
ломбардного кредитования и переучета векселей, устанавливает и
контролирует антимонопольные требования к операциям на рынке ценных
бумаг кредитных организаций, регулирует деятельность на рынке
ценных бумаг клиринговых организаций и организаций, производящих
безналичные расчеты по сделкам с ценными бумагами (в том числе депозитариев),
контролирует экспорт и импорт капитала.
Министерство Российской Федерации по антимонопольной политике
и поддер:жке предпринимательства устанавливает антимонопольные
правила и осуществляет контроль за их исполнением.
Основные законодательные акты, которыми регулируется российский
рынок ценных бумаг:
Гра:жданский кодекс Российской Федерации, части 1 и 2;
Закон РФ «О банках и банковской деятельности» в редакции Федерального
закона от 3 февраля 1996 г. № 17-ФЗ с последующими изменениями
и дополнениями;
Федеральный закон «О Центральном банке Российской Федерации
(Банке России)» в редакции Федерального закона от 26 апреля 1995 г.
№ 65-ФЗ с последующими изменениями и дополнениями;
Федеральный закон «О приватизации государственного имущества
и об основах приватизации муниципального имущества в Российской
Федерации» от 21 июля 1997 г. JV" 123-ФЗ;
Закон «О товарных биржах и биржевой торговле» от 20 февраля 1992 г.
№ 2384-1 с соответствующими изменениями и дополнениями;
Закон РФ «О валютном регулировании и валютном контроле» от
9 октября 1992 г. № 3615-1 с последующими изменениями и дополнениями;
Федеральный закон «Об акционерных обществах» от 26 декабря 1995 г.
№ 208-ФЗ с последующими изменениями и дополнениями;
Федеральный закон «О рынке ценных бумаг» от 22 сшреля 1996 г.
№ 39-ФЗ с последующими изменениями и дополнениями:
Указы Президента по развитию рынка ценных бумаг;
Постановления Правительства Российской Федерации. В основном
они касаются регулирования и развития рынка государственных ценных
бумаг во всех их разновидностях.
САМОРЕГУЛИРУЕМЫЕ ОРГАНИЗАЦИИ РЫНКА ЦЕННЫХ БУМАГ
Глава 1 Глава 2 Глава 3
Саморегулируемые организации — это некоммерческие,
негосударственные организации, создаваемые профессиональными участниками
рынка ценных бумаг на добровольной основе с целью регулирования
определенных аспектов рынка на основе государственных гарантий
поддержки, выражающихся в присвоении им государственного
статуса саморегулируемой организации.
Количество и направленность саморегулируемых организаций должны
устанавливаться государством, так как один и тот же предмет саморегулирования
не может регулироваться сразу двумя или более однотипными
органами.
Права саморегулируемой организации:
• разработка обязательных правил и стандартов профессиональной
деятельности и операций на рынке;
• осуществление профессиональной подготовки кадров, установление
требований к участникам рынка, обязательных для работы на данном
рынке;
• контроль за соблюдением участниками рынка установленных правил
и нормативов;
• информационная деятельность на рынке;
• обеспечение связи и представительства (защиты) интересов участников
рынка в государственных органах управления.
Саморегулируемая организация учреждается профессиональными
участниками рынка ценных бумаг с целью обеспечения условий для их
деятельности, соблюдения стандартов профессиональной этики, защиты
интересов профессиональных участников рынка ценных бумаг, установления
правил и стандартов проведения операций с ценными бумагами.
Саморегулируемая организация не только устанавливает обязательные
для своих членов правила профессиональной деятельности, стан-
дарты проведения операций с ценными бумагами, но и осуществляет
контроль за их соблюдением.
Саморегулируемая организация учреждается не менее чем 10 профессиональными
участниками рынка ценных бумаг. Организация приобретает
статус саморегулируемой на основе лицензии, выдаваемой
ФКЦБ. Условием функционирования организации является выполнение
ею и ее членами действующего законодательства. Саморегулируемая
организация обязана регулярно представлять в ФКЦБ отчеты о своей
деятельности.
Основные признаки саморегулируемой организации:
• добровольное объединение;
• членство — профессиональные участники рынка ценных бумаг;
• функции и саморегулирование, установление формальных правил
поведения участников организации на рынке;
• отношения с государством - - государство передает ей часть своих
функций.
Статус саморегулируемых организаций в России. По российским правовым
нормам саморегулируемые организации могут принимать форму:
• ассоциации;
• профессиональных союзов;
• профессиональных общественных организаций.
Функции саморегулируемой организации:
• саморегулирование деятельности участников на рынке ценных
бумаг;
• поддержание высоких профессиональных стандартов и подготовка
кадров для рынка ценных бумаг;
• отстаивание своих интересов на рынке и перед государством.
Саморегулируемыми организациями обычно являются организаторы
рынка ценных бумаг (биржи или их союзы), объединения других различных
групп профессиональных участников рынка ценных бумаг, что,
как правило, находит отражение в их названиях.
Основные саморегулируемые организации, имеющие отношение к
российскому рынку ценных бумаг:
Национальная ассоциация участников фондового рынка (НАУФОР).
Образована в 1994 г.
Национальная ассоциация участников рынка государственных ценных
бумаг (НАУРаГ). Образована в 1996 г.
Профессиональная ассоциация регистраторов, трансфер-агентов и
депозитариев (ПАРТАД). Образована в 1997 г.
Союз фондовых бирж России. Образован в 1993 г.
Ассоциация валютных бирж. Образована в 1995 г.
Российский биржевой союз (объединяет товарные биржи). Образован
в 1992 г.
Национальная фондовая ассоциация.
Ассоциация участников вексельного рынка и др.
способствующих упорядочению деятельности всех его участников,
заставляющая их действовать в соответствии с установленными
стандартами и правилами при соблюдении взаимных интересов.
Саморегулируемая организация — добровольное объединение профессиональных
участников рынка ценных бумаг на некоммерческой основе,
действующее в рамках существующего законодательства.
ГЛАВНЫЕ ВЫВОДЫ
Современный рынок ценных бумаг из-за своих размеров и значимости
для мировой экономики не может развиваться стихийно. Он должен
регулироваться. При этом регулирование должно охватывать всех его
участников, все виды деятельности и операции, которые могут совершаться
на нем.
Форма и методы регулирования рынка ценных бумаг могут быть
различны. Наибольшее значение придается государственному регулированию
рынка ценных бумаг и его регулированию со стороны профессиональных
участников рынка, т.е. саморегулированию рынка.
1 ФОНДОВЫЕ БИРЖИ РОССИИ
Рассматривая развитие рынка ценных бумаг в историческом
аспекте, можно выделить несколько периодов. Во-первых,
дореволюционный (до 1917 г.), затем советский период и, наконец,
современный этап, начавшийся с приватизации государственной собственности.
Все эти этапы имеют свою специфику, связанную с условиями их
формирования, есть и некоторые общие черты, которые позволяют лучше
понять и оценить современные процессы развития фондового рынка.
Рынок ценных бумаг, функционировавший в Российской империи,
играл важную роль в экономической жизни страны. Он был связан непосредственно
с состоянием промышленности, сельского хозяйства,
транспорта и вообще с политико-экономическим и финансовым положением
России. Его возникновение и становление говорило о том, что Россия
плавно входила в круг развитых промышленных держав, поднималась
на новый уровень социально-экономического развития, требовавшего
аккумуляции денежных накоплений промышленников, купцов,
банков, обычных граждан и направления этих средств на производительное
потребление.
Исторической точкой отсчета возникновения российского фондового
рынка можно считать 1769 г., когда в Амстердаме был размещен первый
выпуск Российского государственного займа. Первоначально потребности
государства в необходимых финансовых ресурсах удовлетворялись
большей частью за счет распространения крупных государственных займов
на иностранных рынках. Собственно на российском рынке государственные
долговые бумаги появились значительно позже, лишь сорок лет
спустя, в 1809 г.
Условия выпуска и основные правила были определены Высочайшим
указом от 25 марта 1809 г., согласно которому размер дохода был
установлен в 6% годовых и плюс 1% грация (премия). Доходность на
государственные ценные бумаги была выше, чем доход, который предоставляли
кредитные учреждения. Однако последние имели более глубокие
традиции, пользовались доверием у населения, разветвленная сеть
делала их доступной и удобной для широкой публики. Поэтому для успешного
размещения выпуска его владельцам предос1авлялись определенные
льготы. Так, облигации могли приниматься в залог по всем подрядам
и откупам, в определенной части приниматься в уплату казенных
сборов и таможенных пошлин. Процент и грация по облигациям выплачивались
ежегодно вперед за год. Несмотря на определенные трудности,
связанные со становлением рынка государственных долговых обязательств,
в период с 1809 по 1816 г. было выпущено бумаг на сумму
354 млн руб.
Успешное размещение первых займов положило начало регулярному
использованию этого источника финансирования государственной
казны. Однако до середины XIX в. внутренние государственные займы
покрывали лишь около 10% государственного долга, остальное казна
получала за счет размещения российских займов за рубежом.
Государственные процентные бумаги были широко представлены
на российском фондовом рынке в биржевом и внебиржевом оборотах. В
30-х годах на фондовом рынке появились акции и облигации частных
компаний, выпуск и обращение которых регулировались принятым в
1836 г. Законом о промышленных обществах. Однако их оборот по сравнению
с государственными процентными бумагами и аналогичными бумагами
на западном фондовом рынке был незначителен, что, в общем-
то, соответствовало уровню развития капитализма в России в тот
период.
К 1911 г. насчитывалось 1617 акционерных компаний, из них на Санкт-
Петербургской бирже котировались акции лишь 27
Сделки совершались главным образом с акциями железных дорог, коммерческих и земельных банков, нефтяных и металлургических предприятий, страховых
компаний.
Реформы третей четверти XIX в. создали предпосылки для появления
на фондовом рынке долговых обязательств местных органов власти.
Их появление диктовалось острой нехваткой средств для развития
местной культурно-хозяйственной жизни. Доходность на эти бумаги,
как правило, устанавливалась выше, чем по государственным
долговым обязательствам, однако с последними они не могли конкурировать.
Во-первых, это было вызвано ограниченностью их хождения как на
биржевом, так и «уличном» рынке. География их обращения была ограничена
тем регионом, где их выпускали. Во-вторых, они имели длительные
сроки обращения в 39 и 49 лет, а иногда и еще больше.
К началу 1913 г. облигационные займы имелись у 65 городов, однако
более 80% сумм по займам приходилось на восемь крупнейших городов,
в том числе Москву и Санкт- Петербург. Значительная часть этих
займов размещалась на зарубежных рынках из-за отсутствия необходимых
финансовых ресурсов на местах. Таким образом, на российском
фондовом рынке были представлены государственные долговые обязательства,
долговые обязательства городов, акции и облигации промышленных
и транспортных предприятий.
Государственные бумаги выпускались правительством как именные,
так и на предъявителя. С 1906 г. владелец предъявительских облигаций
государственных займов получал возможность заменить их на именные
облигации или так называемые удостоверения именной записи. Если в
первом случае проценты выплачивались предъявителю купона, то проценты
по удостоверению именной записи выплачивались только тому
лицу, на чье имя было выписано удостоверение или на его поверенного
в делах. До 1895 г. Министерство финансов не принимало никаких заявлений
об утрате купонов, затем по правилам, принятым в 1895 г., если
владелец ценной бумаги мог доказать время приобретения, время утраты
и обстоятельства, при которых утрачена ценная бумага, то можно
было рассчитывать на получение капитала и процентов по нему. Поэтому
именные ценные бумаги считались более надежными и давали
гарантию прочности владения ценной бумагой.
Обращение предъявительских ценных бумаг в именные и наоборот
производила Государственная комиссия погашения долгов. Для поощрения
развития именных бумаг при превращении предъявительских в
именные все расходы относились на казенный счет, а при обратном превращении
— на счет владельца бумаги.
Акции по законодательству Российской империи были именными
бумагами. Но поскольку устав акционерного общества являлся законодательным
актом, положения которого имели приоритет над положениями общего законодательства, постольку во многих случаях уставами
акционерных обществ делались исключения в пользу акций на
предъявителя. Поэтому на рынке ценных бумаг преобладали предъявительские
акции, причем доля последних постоянно росла. Так, если
в 1910 г. соотношение между именными бумагами и предъявительскими
было 1 : 2, то в 1912 г. — уже 1 :
Торговля ценными бумагами осуществлялась на товарных биржах и
через Государственный банк России. Продажа государственных облигаций
проводилась главным образом через Государственный банк при
активном посредничестве коммерческих банков. Первоначально операции
с ценными бумагами на биржах осуществлялись в соответствии с
правилами биржевой торговли конкретных бирж.
Крупнейшей биржей, осуществлявшей фондовые операции, была
Санкт-Петербургская, на которой торговля ценными бумагами началась
после выпуска первых государственных займов. В 1883 г. на ней
были приняты первые правила, регулирующие операции с ценными бумагами.
В 1891 г. аналогичные правила были приняты на Московской
бирже.
Кроме столичных бирж операции с фондовыми ценностями вели Варшавская,
Киевская, Одесская, Харьковская и Рижская биржи.
Согласно правилам, биржевая публика фондового отдела состояла
из действительных членов, постоянных посетителей и гостей.
Кроме того, фондовый отдел посещался представителями Министерства
финансов как для надзора, так и для осуществления сделок с фондами
и валютой за счет государственного банка и государственного
казначейства.
Действительными членами могли быть только представители банков,
банкирских контор и лица, имевшие промысловое свидетельство
первого разряда на производство банковских операций. Действительные
члены имели право заключать сделки на бирже через своего уполномоченного
и подручных, не прибегая к посредничеству маклеров.
В отличие от действительных членов постоянные посетители, кроме
права присутствия на биржевом собрании, имели право заключения
сделок через посредничество фондовых маклеров. Постоянными посетителями
могли быть лица, имевшие промысловое свидетельство первого
разряда. Гости допускались на биржу по рекомендации действительных
членов, уплачивали за каждое посещение по рублю и были лишены
права заключать сделки.
Все остальные могли совершать сделки путем открытия специального
(онкольного) счета в банке, на который
клиент вносил средства для покупки ценных бумаг (не менее 100 руб.),
при этом банк мог закупить бумаг на сумму, которая превышала вложенные
средства в 5—8 раз.
Высшим органом управления фондового отдела биржи являлось общее
собрание действительных членов. Текушим органом управления
являлся совет фондового отдела, он определял распорядок собраний,
издавал правила биржевых сделок, определял маклерскую таксу, разрешал
возникающие при сделках споры, принимал решения о допущении
ценных бумаг к котировке. Состав совета утверждался Министерством
финансов, которое оставляло за собой право изменять этот состав
по своему усмотрению.
Фондовые маклеры назначались Министерством финансов по представлению
совета фондового отдела. Маклерам запрещалось совершать
сделки за свой счет, они выступали только посредниками. Для получения
должности маклер должен был удовлетворять определенным нравственным
критериям и внести залог 1500 руб. По сделкам с ценными
бумагами маклер получал вознаграждение в размере 0,1% по сделкам с
фондами с обеих сторон, с иностранных переводных векселей — 0,Г/о со
стороны продавца; по внутренним учетным векселям — от '/з2 до 18% в
зависимости от срока векселя с той и другой стороны сделки.
О всех совершаемых сделках маклеры обязаны были сообщать котировальной
комиссии. На основе этих сведений составлялись официальные
котировочные бюллетени, которые передавались в Министерство
финансов и публиковались в «Биржевых ведомостях» и «Торгово-
промышленной газете».
Международный пoлитичecкий кризис в 1914 г., приведший к началу
первой мировой войны, вызвал небывалую панику на европейских биржах.
В течение нескольких дней после объявления войны российские биржи
прекратили операции с ценными бумагами. Эти операции оказались
дезорганизованными.
С конца 1914 г. в Петербурге, а также в Москве и Киеве начали проходить
частные биржевые собрания для осуществления сделок с ценными
бумагами. Массовый характер они стали принимать в Петербурге
весной и летом 1915 г. в помещениях биржи и некоторых крупных акционерных
банков. В конце 1916 г. началось некоторое оживление на фондовом
рынке, что явилось неожиданным для правительства.
Открытие официальной фондовой биржи оттягивалось Министерством
финансов в ожидании решения принципиальных вопросов правительственной
политики в отношении частных эмиссий и стабилизации
конъюнктуры на фондовом рынке.
В январе 1917 г. вновь была открыта Санкт-Петербургская фондовая биржа. Временным правительством воспрещались срочные сделки, объектом
сделок могли быть только
ценные бумаги, круг участников биржевых собраний ограничивался
(«гости» не допускались, иностранные подданные — только с разрешения Министерства финансов). Для упрощения взаимных расчетов
акционерных банков по покупкам и продажам ценных бумаг при Петербургской
конторе Государственного банка был утвержден фондовый
расчетный отдел. При этом имелось в виду, что все биржевые
сделки без исключения будут подлежать регистрации и контролю со
стороны представителей Министерства финансов. Нестабильная политическая
ситуация привела к тому, что биржа просуществовала всего
один месяц.
После революции рынок ценных бумаг фактически прекратил свое
существование.
Декретом советского правительства 23 декабря 1917 г. были запрещены
все операции с ценными бумагами, и в начале 1918 г. были аннулированы
государственные займы.
С переходом к нэпу были сняты ограничения на частную предпринимательскую
деятельность, появились государственные и смешанные
акционерные общества. Государство прибегало к акционированию предприятий
для привлечения частного капитала. Несмотря на небольшое
количество акционерных оби1еств, они имели важное экономическое
значение. В 1927 г. только уставный капитал 86 частных акционерных
обществ составлял 12,6 млн руб.
В период нэпа товарные биржи и фондовые отделы при биржах существовали
с 1921 по 1930 г. Организация фондовых бирж в СССР была
предусмотрена постановлением ВЦИК и СНК о валютных операциях.
В фондовых отделах допускались сделки по покупке и продаже иностранной
валюты и векселей, чеков и иных платежных документов, золота
и серебра в слитках, государственных ценных бумаг, облигаций
государственных и кооперативных предприятий, а также допущенных
к обращению в СССР иностранных ценных бумаг.
Це1пюсти, находившиеся в обороте, например царские десятки, иностранные
ценности и другие, по соображениям экономической политики
не были допущены на биржу. Это обусловило возникновение внебиржевого
рынка, на котором к тому же осуществлялись активные спекулятивные
операции и с отечественной валютой. Фондовые отделы находились
в ведении Наркомфина, который устанавливал правила совершения
сделок и осуществлял надзор за их деятельностью. Органами
управления фондового отдела являлись общее собрание членов отдела,
совет фондового отдела и ревизионная комиссия.
Самостоятельно фондовый отдел осуществлял созыв и проведение
общих собраний, организовывал работы различных компаний, учреждал
должность маклеров, издавал справочники и т.д. Членами фондового
отдела бирж и их постоянными посетителями могли быть представители
Наркомфина, Народного комиссариата по внутренней торговле
и Госбанка, а также кредитные учреждения, кооперативные
союзы, крупные частные торговые и промышленные предприятия,
которым по закону было предоставлено право производить фондовые
биржевые операции.
Помимо членов фондового отдела участниками торгов могли быть
постоянные и разовые посетители. Они имели право совершать операции
исключительно через маклеров. Фондовые маклеры заключали
сделки согласно Положению о биржевых маклерах, по которому они
не имели права производить операции ни за свой счет, ни от своего
имени, не могли состоять ни на какой-либо службе или заниматься
самостоятельной коммерческой деятельностью. Это делалось с целью
создать в лице фондового маклера профессионального посредника на
бирже. У маклера сосредоточивались заявки на спрос и предложение
валют и фондов. На основе полученных данных маклер заключал
сделки. Заключенные сделки оформлялись им в так называемой «маклерской
записке».
Несмотря на большое сходство во внешних формах организации
фондовых отделов в России до революции и в период нэпа, их экономическая
природа была различна. Последние являлись не объектом регулирующего
воздействия, а органами регулирования валютно-фондового рынка,
выражением регулирующей воли государства. В рамках централизованного
управления экономикой распределение материальных
и финансовых ресурсов совершалось преимущественно государственными
органами разных уровней. При этом пропорции в распределении
материальных ресурсов предопределяли направления движения денежных
средств.
Государство могло через регулирование оплаты труда и цен, налоги,
свободный доступ к ссудному фонду Госбанка, налично денежную и
кредитную эмиссию привлекать средства для реализации своих программ.
Поэтому оно не испытывало острой потребности в налаживании
реального рынка собственных долговых обязательств. И тем не менее
возрождение рынка ценных бумаг в период нэпа произошло за счет расширения
государственного кредита и формирования рынка государственных
бумаг. В 20-е годы было размешено 24 госзайма. Первый из
них был осуществлен в 1922 г.: для физических лиц — 6%-ный выигрышный
заем на 100 млн руб., а для предприятий — 8%-ный заем, в ценные
бумаги которого предприятия должны были вложить не менее 60%
резервных капиталов.
Первоначально реализация займа шла в добровольной
форме, но длительные сроки и трудности распространения привели
Наркомфин на путь принудительного размещения. Облигации выдавались
в счет заработной платы рабочим и служащим.
С начала 30-х годов по 1957 г. государство осуществило 45 займов.
В 1948 г. займы 1936—1946 гг. были конвертированы в государственный
2%-ный заем 1948 г. В 1957 г. правительство приняло решение
об отсрочке начальной даты выплат по облигациям на 20 лет до
1977 г.
Общим для всех этих займов являлось, во-первых, то, что это была
норма принудительного изъятия средств у предприятий и заработной
платы у населения, а во-вторых, непривлекательность из-за невысоких
процентов и частого невыполнения обязательств государством,
которое выражалось в отсрочке выплат или конверсии займов. При
этом выплачивался незначительный доход за пользование этими средствами.
Погашение всех послевоенных займов закончилось в декабре 1991 г.
В первой половине 90-х годов Россия начала переход к рыночной
организации экономики. Приватизация промышленности и других объектов
государственной собственности заложили основы формирования
российского фондового рынка.
Рынок государственных ценных бумаг обычно занимает
ведущее место (до 50%) в общем объеме рынка ценных бумаг
(государственных и корпоративных). Российские государственные
ценные бумаги по своим масштабам преобладают и на фондовом рынке
в России.
С переходом к рыночной экономике российское государство стало
более активно использовать рынок ценных бумаг. Значение государственных
внутренних выигрышных займов упало практически до нуля.
Последний заем из этой серии был выпущен в 1992 г. под 15% годовых,
что в связи с огромной инфляцией полностью его обесценило.
Фактически в 1992—1995 гг. государство почти совсем отказалось
от практики размещения займов среди населения. Лишь с конца 1995 г. в
обращение поступили первые выпуски сберегательного займа, нацеленные
на продажу населению.
Активно использовать рынок ценных бумаг для привлечения средств
в государственную казну заставило то обстоятельство, что дефицит
государственного бюджета не должен покрываться путем дополнительной
денежной эмиссии, ибо только на этом пути стало возможно постепенное
снижение инфляционных процессов в российской экономике первой
половины 90-х годов.
В этих целях государство предприняло несколько попыток привлечения
средств предприятий и организаций, наиболее удачным из которых
оказались, в конечном счете, выпуски ГКО, ОФЗ и частично казначейские
обязательства. Хотя число видов государственных ценных бумаг,
обращавшихся на российском рынке, достаточно велико,
первенство прочно захватили ГКО и ОФЗ, объемы выпуска которых до
августа 1998 г. были преобладающими.
Другой особенностью российского рынка государственных облигаций,
как отмечалось выше, была их высокая доходность (до 100% годовых
и более) в отдельные периоды, позволявшая привлекать средства
инвесторов с других рынков капиталов, которые в российских условиях
90-х годов были не в состоянии обеспечивать подобную доходность.
Однако в августе 1998 г. рынок государственных ценных бумаг рухнул
в связи с отказом государства выполнять свои обязательства перед
инвесторами. В ближайшей перспективе государство будет стремиться
экономическим путем снизить столь высокую доходность, которая в
конечном счете разорительна и не может быть оправдана на длительный
период.
В отличие от рынка корпоративных ценных бумаг рынок государственных
облигаций в своей большей части является централизованным
биржевым рынком. Ядром этого рынка стала Московская межбанковская
валютная биржа (ММВБ), на которой сосредоточены торговая, расчетная
и депозитарная системы, обеспечивающие на современном уровне
организацию торговли основными видами государственных ценных
бумаг (ГКО, ОФЗ, облигациями внутреннего валютного займа) в режиме
компьютерных биржевых торгов.
Российские государственные ценные бумаги обращаются не только
на внутреннем фондовом рынке, но и на зарубежных рынках. Так, с конца
80-х годов на международном рынке обращается несколько облигационных
займов бывшего СССР, выпушенных в разных европейских
валютах. С 1996 г. российское правительство размещает на внешнем
рынке облигационные займы. С этого же года начиналась практика допуска
иностранных инвесторов на внутренний рынок российских государственных
облигаций.
Поскольку весь общественный капитал состоит из действительного,
реально функционирующего капитала, и фиктивного капитала
(представителем которого являются ценные бумаги), постольку
существующие ценные бумаги можно разделить на группу ценных бумаг,
которые являются свидетельством действительного капитала, или
основные ценные бумаги, и на группу ценных бумаг, которые служат
свидетельством на фиктивный капитал (т.е. ценные бумаги на ценные
бумаги), или вторичные ценные бумаги. К основным ценным бумагам
относятся те их виды, которые перечислены ранее.
Вторичная ценная бумага с юридической точки зрения — это ценная
бумага, представляющая собой имущественное право на другую ценную
бумагу и (или) на доход от нее. Экономически вторичная ценная
бумага — это представитель не действительного, а непосредственно
фиктивного капитала. Она есть титул титула, титул самой ценной бумаги.
Выражаясь математическим языком, вторичная ценная бумага
может быть производ1юй первого порядка, второго порядка и т.д. Практически
дело ограничивается в основном вторичными ценными бумага-
ми первого, очень редко второго порядка.
Вторичные ценные бумаги основаны прежде всего на акциях, облигациях
и закладных. Они могут выпускаться в двух формах:
1) в форме тех же самых основных ценных бумаг, например, облигации,
основанные на пуле закладных; такие ценные бумаги еще называются
переходными, т.е. когда с их помощью осуществляется переход
прав от владельцев одних видов ценных бумаг к владельцам других
видов ценных бумаг;
2) в форме, отличной от основных ценных бумаг:
а) в виде самостоятельно обращающихся прав на приобретение,
обычно акций. К таким ценным бумагам в рыночной практике относятся:
фондовые варранты — ценная бумага, которая дает право ее
владельцу купить определенное количество акций или облигаций по
установленной цене в течение конкретного периода времени; подписные
права это по сути те же варранты, но действующие только в
течение определенного времени подписки на акции; премиальные опционы
— это опять же разновидность варрантов, которые выдаются в
качестве поощрения (премирования) руководителям компаний;
б) в виде депозитарных свидетельств (сертификатов, расписок) типа
американских депозитарных расписок (ADR) на акции.
В российском законодательстве вторичные виды ценных бумаг отсутствуют.
негосударственные организации, создаваемые профессиональными участниками
рынка ценных бумаг на добровольной основе с целью регулирования
определенных аспектов рынка на основе государственных гарантий
поддержки, выражающихся в присвоении им государственного
статуса саморегулируемой организации.
Количество и направленность саморегулируемых организаций должны
устанавливаться государством, так как один и тот же предмет саморегулирования
не может регулироваться сразу двумя или более однотипными
органами.
Права саморегулируемой организации:
• разработка обязательных правил и стандартов профессиональной
деятельности и операций на рынке;
• осуществление профессиональной подготовки кадров, установление
требований к участникам рынка, обязательных для работы на данном
рынке;
• контроль за соблюдением участниками рынка установленных правил
и нормативов;
• информационная деятельность на рынке;
• обеспечение связи и представительства (защиты) интересов участников
рынка в государственных органах управления.
Саморегулируемая организация учреждается профессиональными
участниками рынка ценных бумаг с целью обеспечения условий для их
деятельности, соблюдения стандартов профессиональной этики, защиты
интересов профессиональных участников рынка ценных бумаг, установления
правил и стандартов проведения операций с ценными бумагами.
Саморегулируемая организация не только устанавливает обязательные
для своих членов правила профессиональной деятельности, стан-
дарты проведения операций с ценными бумагами, но и осуществляет
контроль за их соблюдением.
Саморегулируемая организация учреждается не менее чем 10 профессиональными
участниками рынка ценных бумаг. Организация приобретает
статус саморегулируемой на основе лицензии, выдаваемой
ФКЦБ. Условием функционирования организации является выполнение
ею и ее членами действующего законодательства. Саморегулируемая
организация обязана регулярно представлять в ФКЦБ отчеты о своей
деятельности.
Основные признаки саморегулируемой организации:
• добровольное объединение;
• членство — профессиональные участники рынка ценных бумаг;
• функции и саморегулирование, установление формальных правил
поведения участников организации на рынке;
• отношения с государством - - государство передает ей часть своих
функций.
Статус саморегулируемых организаций в России. По российским правовым
нормам саморегулируемые организации могут принимать форму:
• ассоциации;
• профессиональных союзов;
• профессиональных общественных организаций.
Функции саморегулируемой организации:
• саморегулирование деятельности участников на рынке ценных
бумаг;
• поддержание высоких профессиональных стандартов и подготовка
кадров для рынка ценных бумаг;
• отстаивание своих интересов на рынке и перед государством.
Саморегулируемыми организациями обычно являются организаторы
рынка ценных бумаг (биржи или их союзы), объединения других различных
групп профессиональных участников рынка ценных бумаг, что,
как правило, находит отражение в их названиях.
Основные саморегулируемые организации, имеющие отношение к
российскому рынку ценных бумаг:
Национальная ассоциация участников фондового рынка (НАУФОР).
Образована в 1994 г.
Национальная ассоциация участников рынка государственных ценных
бумаг (НАУРаГ). Образована в 1996 г.
Профессиональная ассоциация регистраторов, трансфер-агентов и
депозитариев (ПАРТАД). Образована в 1997 г.
Союз фондовых бирж России. Образован в 1993 г.
Ассоциация валютных бирж. Образована в 1995 г.
Российский биржевой союз (объединяет товарные биржи). Образован
в 1992 г.
Национальная фондовая ассоциация.
Ассоциация участников вексельного рынка и др.
ОСНОВНЫЕ ОПРЕДЕЛЕНИЯ
Регулирование рынка ценных бумаг — совокупность методов и механизмов,способствующих упорядочению деятельности всех его участников,
заставляющая их действовать в соответствии с установленными
стандартами и правилами при соблюдении взаимных интересов.
Саморегулируемая организация — добровольное объединение профессиональных
участников рынка ценных бумаг на некоммерческой основе,
действующее в рамках существующего законодательства.
ГЛАВНЫЕ ВЫВОДЫ
Современный рынок ценных бумаг из-за своих размеров и значимости
для мировой экономики не может развиваться стихийно. Он должен
регулироваться. При этом регулирование должно охватывать всех его
участников, все виды деятельности и операции, которые могут совершаться
на нем.
Форма и методы регулирования рынка ценных бумаг могут быть
различны. Наибольшее значение придается государственному регулированию
рынка ценных бумаг и его регулированию со стороны профессиональных
участников рынка, т.е. саморегулированию рынка.
1 ФОНДОВЫЕ БИРЖИ РОССИИ
Рассматривая развитие рынка ценных бумаг в историческом
аспекте, можно выделить несколько периодов. Во-первых,
дореволюционный (до 1917 г.), затем советский период и, наконец,
современный этап, начавшийся с приватизации государственной собственности.
Все эти этапы имеют свою специфику, связанную с условиями их
формирования, есть и некоторые общие черты, которые позволяют лучше
понять и оценить современные процессы развития фондового рынка.
Рынок ценных бумаг, функционировавший в Российской империи,
играл важную роль в экономической жизни страны. Он был связан непосредственно
с состоянием промышленности, сельского хозяйства,
транспорта и вообще с политико-экономическим и финансовым положением
России. Его возникновение и становление говорило о том, что Россия
плавно входила в круг развитых промышленных держав, поднималась
на новый уровень социально-экономического развития, требовавшего
аккумуляции денежных накоплений промышленников, купцов,
банков, обычных граждан и направления этих средств на производительное
потребление.
Исторической точкой отсчета возникновения российского фондового
рынка можно считать 1769 г., когда в Амстердаме был размещен первый
выпуск Российского государственного займа. Первоначально потребности
государства в необходимых финансовых ресурсах удовлетворялись
большей частью за счет распространения крупных государственных займов
на иностранных рынках. Собственно на российском рынке государственные
долговые бумаги появились значительно позже, лишь сорок лет
спустя, в 1809 г.
Условия выпуска и основные правила были определены Высочайшим
указом от 25 марта 1809 г., согласно которому размер дохода был
установлен в 6% годовых и плюс 1% грация (премия). Доходность на
государственные ценные бумаги была выше, чем доход, который предоставляли
кредитные учреждения. Однако последние имели более глубокие
традиции, пользовались доверием у населения, разветвленная сеть
делала их доступной и удобной для широкой публики. Поэтому для успешного
размещения выпуска его владельцам предос1авлялись определенные
льготы. Так, облигации могли приниматься в залог по всем подрядам
и откупам, в определенной части приниматься в уплату казенных
сборов и таможенных пошлин. Процент и грация по облигациям выплачивались
ежегодно вперед за год. Несмотря на определенные трудности,
связанные со становлением рынка государственных долговых обязательств,
в период с 1809 по 1816 г. было выпущено бумаг на сумму
354 млн руб.
Успешное размещение первых займов положило начало регулярному
использованию этого источника финансирования государственной
казны. Однако до середины XIX в. внутренние государственные займы
покрывали лишь около 10% государственного долга, остальное казна
получала за счет размещения российских займов за рубежом.
Государственные процентные бумаги были широко представлены
на российском фондовом рынке в биржевом и внебиржевом оборотах. В
30-х годах на фондовом рынке появились акции и облигации частных
компаний, выпуск и обращение которых регулировались принятым в
1836 г. Законом о промышленных обществах. Однако их оборот по сравнению
с государственными процентными бумагами и аналогичными бумагами
на западном фондовом рынке был незначителен, что, в общем-
то, соответствовало уровню развития капитализма в России в тот
период.
К 1911 г. насчитывалось 1617 акционерных компаний, из них на Санкт-
Петербургской бирже котировались акции лишь 27
Сделки совершались главным образом с акциями железных дорог, коммерческих и земельных банков, нефтяных и металлургических предприятий, страховых
компаний.
Реформы третей четверти XIX в. создали предпосылки для появления
на фондовом рынке долговых обязательств местных органов власти.
Их появление диктовалось острой нехваткой средств для развития
местной культурно-хозяйственной жизни. Доходность на эти бумаги,
как правило, устанавливалась выше, чем по государственным
долговым обязательствам, однако с последними они не могли конкурировать.
Во-первых, это было вызвано ограниченностью их хождения как на
биржевом, так и «уличном» рынке. География их обращения была ограничена
тем регионом, где их выпускали. Во-вторых, они имели длительные
сроки обращения в 39 и 49 лет, а иногда и еще больше.
К началу 1913 г. облигационные займы имелись у 65 городов, однако
более 80% сумм по займам приходилось на восемь крупнейших городов,
в том числе Москву и Санкт- Петербург. Значительная часть этих
займов размещалась на зарубежных рынках из-за отсутствия необходимых
финансовых ресурсов на местах. Таким образом, на российском
фондовом рынке были представлены государственные долговые обязательства,
долговые обязательства городов, акции и облигации промышленных
и транспортных предприятий.
Государственные бумаги выпускались правительством как именные,
так и на предъявителя. С 1906 г. владелец предъявительских облигаций
государственных займов получал возможность заменить их на именные
облигации или так называемые удостоверения именной записи. Если в
первом случае проценты выплачивались предъявителю купона, то проценты
по удостоверению именной записи выплачивались только тому
лицу, на чье имя было выписано удостоверение или на его поверенного
в делах. До 1895 г. Министерство финансов не принимало никаких заявлений
об утрате купонов, затем по правилам, принятым в 1895 г., если
владелец ценной бумаги мог доказать время приобретения, время утраты
и обстоятельства, при которых утрачена ценная бумага, то можно
было рассчитывать на получение капитала и процентов по нему. Поэтому
именные ценные бумаги считались более надежными и давали
гарантию прочности владения ценной бумагой.
Обращение предъявительских ценных бумаг в именные и наоборот
производила Государственная комиссия погашения долгов. Для поощрения
развития именных бумаг при превращении предъявительских в
именные все расходы относились на казенный счет, а при обратном превращении
— на счет владельца бумаги.
Акции по законодательству Российской империи были именными
бумагами. Но поскольку устав акционерного общества являлся законодательным
актом, положения которого имели приоритет над положениями общего законодательства, постольку во многих случаях уставами
акционерных обществ делались исключения в пользу акций на
предъявителя. Поэтому на рынке ценных бумаг преобладали предъявительские
акции, причем доля последних постоянно росла. Так, если
в 1910 г. соотношение между именными бумагами и предъявительскими
было 1 : 2, то в 1912 г. — уже 1 :
Торговля ценными бумагами осуществлялась на товарных биржах и
через Государственный банк России. Продажа государственных облигаций
проводилась главным образом через Государственный банк при
активном посредничестве коммерческих банков. Первоначально операции
с ценными бумагами на биржах осуществлялись в соответствии с
правилами биржевой торговли конкретных бирж.
Крупнейшей биржей, осуществлявшей фондовые операции, была
Санкт-Петербургская, на которой торговля ценными бумагами началась
после выпуска первых государственных займов. В 1883 г. на ней
были приняты первые правила, регулирующие операции с ценными бумагами.
В 1891 г. аналогичные правила были приняты на Московской
бирже.
Кроме столичных бирж операции с фондовыми ценностями вели Варшавская,
Киевская, Одесская, Харьковская и Рижская биржи.
Согласно правилам, биржевая публика фондового отдела состояла
из действительных членов, постоянных посетителей и гостей.
Кроме того, фондовый отдел посещался представителями Министерства
финансов как для надзора, так и для осуществления сделок с фондами
и валютой за счет государственного банка и государственного
казначейства.
Действительными членами могли быть только представители банков,
банкирских контор и лица, имевшие промысловое свидетельство
первого разряда на производство банковских операций. Действительные
члены имели право заключать сделки на бирже через своего уполномоченного
и подручных, не прибегая к посредничеству маклеров.
В отличие от действительных членов постоянные посетители, кроме
права присутствия на биржевом собрании, имели право заключения
сделок через посредничество фондовых маклеров. Постоянными посетителями
могли быть лица, имевшие промысловое свидетельство первого
разряда. Гости допускались на биржу по рекомендации действительных
членов, уплачивали за каждое посещение по рублю и были лишены
права заключать сделки.
Все остальные могли совершать сделки путем открытия специального
(онкольного) счета в банке, на который
клиент вносил средства для покупки ценных бумаг (не менее 100 руб.),
при этом банк мог закупить бумаг на сумму, которая превышала вложенные
средства в 5—8 раз.
Высшим органом управления фондового отдела биржи являлось общее
собрание действительных членов. Текушим органом управления
являлся совет фондового отдела, он определял распорядок собраний,
издавал правила биржевых сделок, определял маклерскую таксу, разрешал
возникающие при сделках споры, принимал решения о допущении
ценных бумаг к котировке. Состав совета утверждался Министерством
финансов, которое оставляло за собой право изменять этот состав
по своему усмотрению.
Фондовые маклеры назначались Министерством финансов по представлению
совета фондового отдела. Маклерам запрещалось совершать
сделки за свой счет, они выступали только посредниками. Для получения
должности маклер должен был удовлетворять определенным нравственным
критериям и внести залог 1500 руб. По сделкам с ценными
бумагами маклер получал вознаграждение в размере 0,1% по сделкам с
фондами с обеих сторон, с иностранных переводных векселей — 0,Г/о со
стороны продавца; по внутренним учетным векселям — от '/з2 до 18% в
зависимости от срока векселя с той и другой стороны сделки.
О всех совершаемых сделках маклеры обязаны были сообщать котировальной
комиссии. На основе этих сведений составлялись официальные
котировочные бюллетени, которые передавались в Министерство
финансов и публиковались в «Биржевых ведомостях» и «Торгово-
промышленной газете».
Международный пoлитичecкий кризис в 1914 г., приведший к началу
первой мировой войны, вызвал небывалую панику на европейских биржах.
В течение нескольких дней после объявления войны российские биржи
прекратили операции с ценными бумагами. Эти операции оказались
дезорганизованными.
С конца 1914 г. в Петербурге, а также в Москве и Киеве начали проходить
частные биржевые собрания для осуществления сделок с ценными
бумагами. Массовый характер они стали принимать в Петербурге
весной и летом 1915 г. в помещениях биржи и некоторых крупных акционерных
банков. В конце 1916 г. началось некоторое оживление на фондовом
рынке, что явилось неожиданным для правительства.
Открытие официальной фондовой биржи оттягивалось Министерством
финансов в ожидании решения принципиальных вопросов правительственной
политики в отношении частных эмиссий и стабилизации
конъюнктуры на фондовом рынке.
В январе 1917 г. вновь была открыта Санкт-Петербургская фондовая биржа. Временным правительством воспрещались срочные сделки, объектом
сделок могли быть только
ценные бумаги, круг участников биржевых собраний ограничивался
(«гости» не допускались, иностранные подданные — только с разрешения Министерства финансов). Для упрощения взаимных расчетов
акционерных банков по покупкам и продажам ценных бумаг при Петербургской
конторе Государственного банка был утвержден фондовый
расчетный отдел. При этом имелось в виду, что все биржевые
сделки без исключения будут подлежать регистрации и контролю со
стороны представителей Министерства финансов. Нестабильная политическая
ситуация привела к тому, что биржа просуществовала всего
один месяц.
После революции рынок ценных бумаг фактически прекратил свое
существование.
Декретом советского правительства 23 декабря 1917 г. были запрещены
все операции с ценными бумагами, и в начале 1918 г. были аннулированы
государственные займы.
С переходом к нэпу были сняты ограничения на частную предпринимательскую
деятельность, появились государственные и смешанные
акционерные общества. Государство прибегало к акционированию предприятий
для привлечения частного капитала. Несмотря на небольшое
количество акционерных оби1еств, они имели важное экономическое
значение. В 1927 г. только уставный капитал 86 частных акционерных
обществ составлял 12,6 млн руб.
В период нэпа товарные биржи и фондовые отделы при биржах существовали
с 1921 по 1930 г. Организация фондовых бирж в СССР была
предусмотрена постановлением ВЦИК и СНК о валютных операциях.
В фондовых отделах допускались сделки по покупке и продаже иностранной
валюты и векселей, чеков и иных платежных документов, золота
и серебра в слитках, государственных ценных бумаг, облигаций
государственных и кооперативных предприятий, а также допущенных
к обращению в СССР иностранных ценных бумаг.
Це1пюсти, находившиеся в обороте, например царские десятки, иностранные
ценности и другие, по соображениям экономической политики
не были допущены на биржу. Это обусловило возникновение внебиржевого
рынка, на котором к тому же осуществлялись активные спекулятивные
операции и с отечественной валютой. Фондовые отделы находились
в ведении Наркомфина, который устанавливал правила совершения
сделок и осуществлял надзор за их деятельностью. Органами
управления фондового отдела являлись общее собрание членов отдела,
совет фондового отдела и ревизионная комиссия.
Самостоятельно фондовый отдел осуществлял созыв и проведение
общих собраний, организовывал работы различных компаний, учреждал
должность маклеров, издавал справочники и т.д. Членами фондового
отдела бирж и их постоянными посетителями могли быть представители
Наркомфина, Народного комиссариата по внутренней торговле
и Госбанка, а также кредитные учреждения, кооперативные
союзы, крупные частные торговые и промышленные предприятия,
которым по закону было предоставлено право производить фондовые
биржевые операции.
Помимо членов фондового отдела участниками торгов могли быть
постоянные и разовые посетители. Они имели право совершать операции
исключительно через маклеров. Фондовые маклеры заключали
сделки согласно Положению о биржевых маклерах, по которому они
не имели права производить операции ни за свой счет, ни от своего
имени, не могли состоять ни на какой-либо службе или заниматься
самостоятельной коммерческой деятельностью. Это делалось с целью
создать в лице фондового маклера профессионального посредника на
бирже. У маклера сосредоточивались заявки на спрос и предложение
валют и фондов. На основе полученных данных маклер заключал
сделки. Заключенные сделки оформлялись им в так называемой «маклерской
записке».
Несмотря на большое сходство во внешних формах организации
фондовых отделов в России до революции и в период нэпа, их экономическая
природа была различна. Последние являлись не объектом регулирующего
воздействия, а органами регулирования валютно-фондового рынка,
выражением регулирующей воли государства. В рамках централизованного
управления экономикой распределение материальных
и финансовых ресурсов совершалось преимущественно государственными
органами разных уровней. При этом пропорции в распределении
материальных ресурсов предопределяли направления движения денежных
средств.
Государство могло через регулирование оплаты труда и цен, налоги,
свободный доступ к ссудному фонду Госбанка, налично денежную и
кредитную эмиссию привлекать средства для реализации своих программ.
Поэтому оно не испытывало острой потребности в налаживании
реального рынка собственных долговых обязательств. И тем не менее
возрождение рынка ценных бумаг в период нэпа произошло за счет расширения
государственного кредита и формирования рынка государственных
бумаг. В 20-е годы было размешено 24 госзайма. Первый из
них был осуществлен в 1922 г.: для физических лиц — 6%-ный выигрышный
заем на 100 млн руб., а для предприятий — 8%-ный заем, в ценные
бумаги которого предприятия должны были вложить не менее 60%
резервных капиталов.
Первоначально реализация займа шла в добровольной
форме, но длительные сроки и трудности распространения привели
Наркомфин на путь принудительного размещения. Облигации выдавались
в счет заработной платы рабочим и служащим.
С начала 30-х годов по 1957 г. государство осуществило 45 займов.
В 1948 г. займы 1936—1946 гг. были конвертированы в государственный
2%-ный заем 1948 г. В 1957 г. правительство приняло решение
об отсрочке начальной даты выплат по облигациям на 20 лет до
1977 г.
Общим для всех этих займов являлось, во-первых, то, что это была
норма принудительного изъятия средств у предприятий и заработной
платы у населения, а во-вторых, непривлекательность из-за невысоких
процентов и частого невыполнения обязательств государством,
которое выражалось в отсрочке выплат или конверсии займов. При
этом выплачивался незначительный доход за пользование этими средствами.
Погашение всех послевоенных займов закончилось в декабре 1991 г.
В первой половине 90-х годов Россия начала переход к рыночной
организации экономики. Приватизация промышленности и других объектов
государственной собственности заложили основы формирования
российского фондового рынка.
Рынок государственных ценных бумаг обычно занимает
ведущее место (до 50%) в общем объеме рынка ценных бумаг
(государственных и корпоративных). Российские государственные
ценные бумаги по своим масштабам преобладают и на фондовом рынке
в России.
С переходом к рыночной экономике российское государство стало
более активно использовать рынок ценных бумаг. Значение государственных
внутренних выигрышных займов упало практически до нуля.
Последний заем из этой серии был выпущен в 1992 г. под 15% годовых,
что в связи с огромной инфляцией полностью его обесценило.
Фактически в 1992—1995 гг. государство почти совсем отказалось
от практики размещения займов среди населения. Лишь с конца 1995 г. в
обращение поступили первые выпуски сберегательного займа, нацеленные
на продажу населению.
Активно использовать рынок ценных бумаг для привлечения средств
в государственную казну заставило то обстоятельство, что дефицит
государственного бюджета не должен покрываться путем дополнительной
денежной эмиссии, ибо только на этом пути стало возможно постепенное
снижение инфляционных процессов в российской экономике первой
половины 90-х годов.
В этих целях государство предприняло несколько попыток привлечения
средств предприятий и организаций, наиболее удачным из которых
оказались, в конечном счете, выпуски ГКО, ОФЗ и частично казначейские
обязательства. Хотя число видов государственных ценных бумаг,
обращавшихся на российском рынке, достаточно велико,
первенство прочно захватили ГКО и ОФЗ, объемы выпуска которых до
августа 1998 г. были преобладающими.
Другой особенностью российского рынка государственных облигаций,
как отмечалось выше, была их высокая доходность (до 100% годовых
и более) в отдельные периоды, позволявшая привлекать средства
инвесторов с других рынков капиталов, которые в российских условиях
90-х годов были не в состоянии обеспечивать подобную доходность.
Однако в августе 1998 г. рынок государственных ценных бумаг рухнул
в связи с отказом государства выполнять свои обязательства перед
инвесторами. В ближайшей перспективе государство будет стремиться
экономическим путем снизить столь высокую доходность, которая в
конечном счете разорительна и не может быть оправдана на длительный
период.
В отличие от рынка корпоративных ценных бумаг рынок государственных
облигаций в своей большей части является централизованным
биржевым рынком. Ядром этого рынка стала Московская межбанковская
валютная биржа (ММВБ), на которой сосредоточены торговая, расчетная
и депозитарная системы, обеспечивающие на современном уровне
организацию торговли основными видами государственных ценных
бумаг (ГКО, ОФЗ, облигациями внутреннего валютного займа) в режиме
компьютерных биржевых торгов.
Российские государственные ценные бумаги обращаются не только
на внутреннем фондовом рынке, но и на зарубежных рынках. Так, с конца
80-х годов на международном рынке обращается несколько облигационных
займов бывшего СССР, выпушенных в разных европейских
валютах. С 1996 г. российское правительство размещает на внешнем
рынке облигационные займы. С этого же года начиналась практика допуска
иностранных инвесторов на внутренний рынок российских государственных
облигаций.
Поскольку весь общественный капитал состоит из действительного,
реально функционирующего капитала, и фиктивного капитала
(представителем которого являются ценные бумаги), постольку
существующие ценные бумаги можно разделить на группу ценных бумаг,
которые являются свидетельством действительного капитала, или
основные ценные бумаги, и на группу ценных бумаг, которые служат
свидетельством на фиктивный капитал (т.е. ценные бумаги на ценные
бумаги), или вторичные ценные бумаги. К основным ценным бумагам
относятся те их виды, которые перечислены ранее.
Вторичная ценная бумага с юридической точки зрения — это ценная
бумага, представляющая собой имущественное право на другую ценную
бумагу и (или) на доход от нее. Экономически вторичная ценная
бумага — это представитель не действительного, а непосредственно
фиктивного капитала. Она есть титул титула, титул самой ценной бумаги.
Выражаясь математическим языком, вторичная ценная бумага
может быть производ1юй первого порядка, второго порядка и т.д. Практически
дело ограничивается в основном вторичными ценными бумага-
ми первого, очень редко второго порядка.
Вторичные ценные бумаги основаны прежде всего на акциях, облигациях
и закладных. Они могут выпускаться в двух формах:
1) в форме тех же самых основных ценных бумаг, например, облигации,
основанные на пуле закладных; такие ценные бумаги еще называются
переходными, т.е. когда с их помощью осуществляется переход
прав от владельцев одних видов ценных бумаг к владельцам других
видов ценных бумаг;
2) в форме, отличной от основных ценных бумаг:
а) в виде самостоятельно обращающихся прав на приобретение,
обычно акций. К таким ценным бумагам в рыночной практике относятся:
фондовые варранты — ценная бумага, которая дает право ее
владельцу купить определенное количество акций или облигаций по
установленной цене в течение конкретного периода времени; подписные
права это по сути те же варранты, но действующие только в
течение определенного времени подписки на акции; премиальные опционы
— это опять же разновидность варрантов, которые выдаются в
качестве поощрения (премирования) руководителям компаний;
б) в виде депозитарных свидетельств (сертификатов, расписок) типа
американских депозитарных расписок (ADR) на акции.
В российском законодательстве вторичные виды ценных бумаг отсутствуют.
РОССИЙСКИЙ РЫНОК КОРПОРАТИВНЫХ ЦЕННЫХ БУМАГ
Глава 1 Глава 2 Глава 3
В отличие от рынка государственных ценных бумаг,
который существовал в России на протяжении всего периода ее
социалистического развития, рынок негосударственных, или корпоративных, ценных
бумаг возродился в начале 90-х годов прежде всего в связи с началом
процесса приватизации государственной собственности в 1992 г., а раньше
— с образованием акционерных коммерческих банков и бирж.
Условно современную историю российского рынка корпоративных
ценных бумаг можно разделить на три этапа.
Первый этап (1990-1992 гг.) — создание предпосылок для развития
фондового рынка: образование фондовых бирж и рынка акций коммерческих
банков, товарных и фондовых бирж.
Второй этап (1993 г. первая половина 1994 г.) фондовый рынок
существует в форме рынка приватизационных чеков.
Третий этап (со второй половины 1994 г. до настоящего времени) —
начало обращения акций российских акционерных обществ; зарождение
рынка корпоративных ценных бумаг в общепринятом понимании.
На первом этапе началось формирование законодательной базы российского
рынка ценных бумаг. Были приняты Положение о выпуске и
обращении ценных бумаг и фондовых биржах в РСФСР, Положение об
акционерных обществах; установлен порядок лицензирования и аттестации
на рынке ценных бумаг.
Второй этап это начало, расцвет и закрытие рынка приватизационных
чеков, которые были выпущены государством и выдавались
гражданам России бесплатно. Последние обменивали их на акции приватизируемых
предприятий, вкладывали в чековые инвестиционные
фонды или продавали на биржевом и внебиржевом рынках.
Важной особенностью второго и начала третьего этапа было наличие на
российском фондовом рынке, кроме приватизационных чеков, различного
рода псевдо ценных бумаг (тапа акций МММ и др.), которые активно покупались
российским населением под влиянием, с одной стороны, соответствующей
рекламы, а с другой — внешних обстоятельств (высочайшая инфляция,
нищета и т.п.), что провоцировало широкие слои населения вкладывать
свои средства в «высокодоходные ценные бумаги», которые оказывались в
дальнейшем совсем не ценными, хотя и бумагами. Обманутые ожидания
широких слоев населения на рынке ценных бумаг подорвали веру частного
инвестора в этот рынок, возможно, на многие годы вперед.
рынок, на котором торговля ведется уже акциями существующих российских акционерных обществ. В отличие от второго этапа в ходе третьего
формируется рынок крупных инвесторов и посредников — отечественных
и зарубежных, который имеет две основные цели.
Во-первых, это борьба за собственность — покупка контрольного пакета
акций предприятий, которые либо представляют стратегические интересы
для соответствующих зарубежных или отечественных компаний, либо
являются высокодоходными, имеют крупную валютную выручку и т.п.
Во-вторых, это получение спекулятивной прибыли от операций на
фондовом рынке благодаря использованию колебаний цен в зависимости
от соотношения спроса и предложения, политических и экономических
факторов, с помощью знаний внутренней информации о компании,
недоступной для других участников рынка и т.п.
Для третьего этапа развития российского рынка корпоративных ценных
бумаг характерно:
• дальнейшее развитие законодательной базы рынка;
• прекращение и преобразование деятельности чековых инвестиционных
фондов;
• увеличение числа участников фондового рынка;
• быстрое развитие страховых и негосударственных пенсионных
фондов;
• образование крупного вексельного рынка в стране;
• создание организаций инфраструктуры фондового рынка (регистраторов,
депозитариев, расчетных палат);
• создание рынка первых фьючерсных контрактов (валютных).
В отличие от первого и второго этапов, в течение которых рынок в
значительной мере был биржевым, на третьем этапе рынок корпоративных
ценных бумаг практически полностью превратился во внебиржевой
рынок. Биржевая торговля акциями приобрела второстепенное значение.
Российский рынок корпоративных акций условно делится на две части:
рынок наиболее ликвидных акций, насчитывающий акции примерно
20—30 компаний, относящихся к отраслям нефтегазодобычи, электроэнергетики,
телекоммуникаций, металлургии, транспорта, которые
постоянно продаются и покупаются по рыночным ценам; и рынок всех
остальных акций, прежде всего региональных предприятий, которые
практически отсутствуют в свободном обращении, а это акции порядка
40 000 акционерных обществ открытого типа. Кроме эмитентов, к
числу участников фондового рынка в настоящее время можно отнести
около 3000 инвестиционных компаний, свыше 2000 коммерческих банков,
порядка 1000 страховых организаций и столько же негосударственных
пенсионных фондов. Правда, очень многие из этих участников не
принимают активного участия на рынке.
Рынок российских акций в большой степени функционирует за счет
иностранного капитала (до августа 1998 г. приток его составлял 1,5—2
млрд долл. в год). Всякий отток этого капитала по причинам, например,
политического характера, ввергает рынок акций в глубокий спад. В то
же время внутренние финансовые ресурсы страны сосредоточены главным
образом либо в виде наличных сбережений у населения, которое
уже не рискует вкладывать их в акции любого вида, либо в виде депозитов
в Сберегательном банке России.
В 1995 г. начался выход российских корпоративных ценных бумаг
на внешние фондовые рынки через механизм депозитарных расписок
(прежде всего, американских депозитарных расписок, которые обращаются
на фондовом рынке США и европейских стран).
К основным проблемам российского рынка акций, решение которых
будет происходить в ближайшие годы, относятся:
• развитие инфраструктуры фондового рынка — возрождение фондовых
бирж и создание организованных внебиржевых систем торговли,
укрупнение и объединение регистраторов и депозитариев рынка, создание
расчетно-клиринговых систем;
• повышение информационной открытости рынка, увеличение его
«прозрачности», т.е. создание системы обеспечения информацией обо
всех эмитентах, доступной для всех участников рынка;
• создание полной законодательной и другой нормативной базы функционирования
фондового рынка, обеспечивающей защиту интересов
инвесторов от мошенничества и недобросовестности отдельных участников
рынка при одновременном совершенствовании регулирования
фондового рынка со стороны государства и уполномоченных им организаций
и контроля за соблюдением этой нормативной базы;
• дальнейшая интеграция с фондовыми рынками развитых стран мира;
• вовлечение в рыночный оборот все большего числа акций (по объему
и по количеству эмитентов) российских акционерных обществ.
Основными тенденциями развития современного рынка
ценных бумаг в странах с развитыми рыночными отношениями на
нынешнем этапе являются:
• концентрация и централизация капиталов;
• интернационализация и глобализация рынка;
• повышение уровня организованности и усиление государственного
контроля;
• компьютеризация рынка ценных бумаг;
• нововведения на рынке;
• секьюритизация;
• взаимопроникновение в другие рынки капиталов.
Тенденция к концентрации и централизации капиталов имеет два
аспекта по отношению к рынку ценных бумаг. С одной стороны, это
Обще рыночная тенденция, которая на рынке ценных бумаг проявляется
в укрупнении организаций профессиональных посредников и в сокращении
их количества, включая функционирующие в каждой стране фондовые
биржи. Указанные организации становятся все более мощными
по размерам собственного капитала и привлекаемым капиталам своих
клиентов; разрастается их филиальная сеть как внутри своей страны,
так и за рубежом; они становятся все более многофункциональными, и
спектр услуг, которые они предоставляют на рынке, становится все
более широким; идет процесс их слияния как между собой, так и с другими
финансовыми и банковскими структурами.
С другой стороны, эта тенденция находит отражение в том, что рынок
ценных бумаг сам по себе притягивает все большие капиталы общества.
Интернационализация рынка ценных бумаг означает, что национальный
капитал переходит границы стран, формируется мировой
рынок ценных бумаг, по отношению к которому национальные рынки
становятся второстепенными, а барьеры на пути движения капиталов
убираются. Рынок ценных бумаг принимает глобальный характер. Национальные
рынки — это составные части глобального всемирного
рынка ценных бумаг. Торговля на таком глобальном рынке ведется непрерывно
и повсеместно. Его основу составляют ценные бумаги транснациональных
компаний.
Формирование мирового рынка ценных бумаг — это тот локомотив,
который движет вперед процесс в целом. Объединение национальных
рынков ценных бумаг в мировой практике идет по таким
направлениям, как обеспечение возможности для любого инвестора оперировать
с ценными бумагами независимо от их национальной принадлежности;
тесная связь национальных рынков между собой благодаря
современным средствам связи и организации банковских расчетов в мировом
масштабе; переход на единые стандарты деятельности с различными
инструментами рынка, а также на фондовых рынках разных стран
и их общее регулирование и т.п.
утверждается законом, то ее основными признаками остаются:
стандартный набор реквизитов, существование выражаемого ею имущественного
права в качестве обособленного объекта, возможность передачи
от одного владельца к другому, доходность.
Имущественные права и обязательства возникают обычно в результате
заключения тех или иных договоров (сделок). Это касается, как
было сказано, и ценной бумаги. Она есть имущественное право, кото-
рос передается путем вручения или уступки требования. Однако возможна
передача не только прав кредитора, но и обязательств, т.е. перевод
долга с одного лица на другое, но это возможно лии1ь с согласия
владельца права (кредитора). В случае с ценной бумагой передача обязательства
по ней не предусмотрена.
В то же время в практике рынка появились такие имущественные
обязательства, передача которых стала возможной и привлекательной
(т.е. доходной) для участников рынка. Речь идет о так называемых производных
инструментах современного финансового рынка, представляющих
собой имущественные обязательства по срочным сделкам. Срочная
сделка - это сделка купли-продажи, исполнение сторонами которой
вытекающих из нее обязательств должно произойти через какой-то
период времени в будущем. В результате ее заключения возникают сразу
два обязательства: обязательство продавца по сделке и обязательство
покупателя по сделке, которые одновременно являются и соответствующими
правами, но которые, в отличие от ценной
бумаги, неотделимы от противоположных им обязательств. Эти
обязательства существуют какое-то время, а не исчезают сразу же, как
это имеет место в обычной (кассовой) сделке купли-продажи какого-
либо актива.
Передача ценной бумаги как имущественного права — это обычно
ее купля-продажа по договору (кассовому или срочному), то передача
обязательства, возникп1его в результате заключившего срочного договора
(но не его ликвидация вообще), возможна лишь путем заключения
такого же срочного договора, в котором передающая обязательство
сторона занимает противоположную позицию. То есть если в первом
договоре лицо А было покупателем, т.е. имело обязательство купить
какой-то актив через какой-то период времени, то во втором договоре
лицо А должно стать продавцом этого же актива на ту же дату, что и в
первом договоре, т.е. взять обязательство продать этот актив. В результате
такого механизма передачи обязательства обязательство купить
актив переходит от лица А к другому лицу, т.е. сохраняется при передаче,
но у лица А противоположные и равные по всем параметрам обязательства
могут быть взаимопогащены.
Технически передача таких имущественных обязательств очень облегчается
при выполнении двух условий: а) если они существуют в форме
стандартных, одинаковых для всех участников рынка обязательств (как
и в случае с правами по ценной бумаге); б) если эти обязательства существуют перед одним и тем же кредитором, т.е. легко обеспечить согласие
последнего на перевод долга с одного обязанного лица на другое,
которое желает «взвалить» на себя это обязательство. (В случае с
ценной бумагой передача имущественных прав вообще не требует согласия
обязанного по ней лица.)
Если причиной для передачи прав по ценной бумаге является либо
желание ее владельца вернуть свой действительный капитал, либо возможность
заработать дифференциальную прибыль при превышении продажной
цены ценной бумаги над ее покупной ценой, то причиной для
передачи обязательства может служить или нежелание нести по нему
убытки, или желание досрочно (т.е. до достижения срока погашения обязательства)
получить дифференциальную прибыль по нему или положительную
разницу между «продажей» обязательства и его «покупкой».
Действительно, если, например, лицо А как владелец обязательства «купить
актив по цене 100» передает это обязательство другому лицу путем
принятия на себя обязательства «продать этот актив по цене 110»,
то оба обязательства как противоположные могут быть погашены путем
выплаты лицу А дифференциальной прибыли, равной 10 (110 100).
Фактически это как бы абстрактное воплощение двух реальных процессов:
лицо А купило актив по цене 100 и затем продало этот же актив
по цене 110, заработав на такой спекулятивной операции 10 единиц дохода.
Если лицо А приняло бы на себя обязательство «продать этот актив
по цене 90», то это означало бы, что он ликвидирует свое первоначальное
обязательство «купить этот актив по цене 100» с убытком для
себя в размере 10 единиц.
На практике обязательство по срочному контракту называется просто
контрактом или позицией. Если обязательство на покупку, то это купленный
контракт, или длинная позиция. Ecjm обязательство на продажу, то
это проданный контракт, или короткая позиция. Соответственно передача
обязательств называется куплей-продажей контрактов: если надо передать
обязательство на покупку, то следует взять обязательство на продажу,
продать контракт; если надо передать обязательство на продажу, то следует
взять обязательство на покупку, или купить контракт.
Главное отличие производных инструментов от ценных бумаг состоит
в том, что они не есть титулы действительного капитала, а потому
они не входят и в понятие фиктивного капитала. Производные инструменты
~ это имущественные обязательства в неразрывном единстве
с имущественными правами, но не на действительный (или фиктивный)
капитал, а на будущий капитал, которого еще нет, но прогнозы на который
рынок строит ежедневно и ежечасно путем принятия сторонами срочного
контракта соответствующих обязательств на будущее.
Производные инструменты есть выразители экономических отношений
по поводу будущего капитала, а ценные бумаги — это титулы уже
существующего капитала.
Обращение ценных бумаг — это просто их купля-продажа как самостоятельных
объектов рынка. Обращение производных инструментов
— это заключение сделок противоположных, или обратных, ранее
заключенным.
Производные инструменты — это титулы будущей стоимости безотносительно
к форме ее существования. Не имеет никакого значения
для обращения производного инструмента, что является объектом его
обязательства (и права). Главное — это как меняется текущая оценка
будущей стоимости, будущих капиталов в их предметной или даже абстрактной
форме, так как с точки зрения настоящего, текущего момента
времени предметная форма будущего капитала есть сама по себе абстракция.
Ценная бумага есть выразитель исключительно реальных имущественных
прав, а не абстрактных.
Производные инструменты объединяет с ценной бумагой то, что они
есть представители капитала (но первые — будущего, а вторые — настоящего);
обособленные имущественные права (но первые неразрывны
от обязательств, а вторые отделены от них); передаваемые от одного
владельца к другому инструменты рынка, при этом передача или
обращение производных инструментов на практике принимает форму
купли-продажи бездокументарных ценных бумаг; инструменты, приносящие
доход своим владельцам (но первые приносят доход только в форме
дифференциальной прибыли, а вторые приносят и доход в форме дифференциальной прибыли, и начисляемый доход).
массового инвестора напрямую связаны с повышением уровня организованности рынка и усиления государственного контроля за ним.
Масштабы и значение рынка ценных бумаг таковы, что его разрушение
прямо ведет к разрушению экономического процесса, процесса воспроизводства
вообще. Никакое государство в современную эпоху не
может допустить, чтобы вера в этот рынок была бы поколеблена, чтобы
массы людей, вложивших свои сбережения в ценные бумаги своей
страны или любой другой, вдруг потеряли бы их в результате каких-
либо катаклизмов или мошенничества. Все участники рынка поэтому
имеют прямую заинтересованность в том, чтобы рынок был правильно
организован и жестко контролировался, в первую очередь, самым главным
участником рынка — государством.
Но есть и другая причина данного процесса — фискальная.
Усиление организованности рынка и контроля за ним позволяет каждому
государству увеличивать свою налогооблагаемую базу и размер
налоговых поступлений от участников рынка. Одновременно все более
и более перекрываются возможности для «отмывания» денег, полученных
от незаконных видов бизнеса — торговли наркотиками и др.
Компьютеризация рынка ценных бумаг — результат широчайшего
внедрения компьютеров во все области человеческой жизни в последние
десятилетия. Без компьютеризации рынок ценных бумаг в современных
формах и размерах был бы просто невозможен. Компьютеризация позволила
совершить революцию как в обслуживании рынка, прежде всего
через современные системы быстродействующих и всеохватывающих
расчетов для участников рынка и между ними, так и в его способах
торговли. Компьютеризация составляет фундамент всех нововведений
на рынке ценных бумаг.
Нововведения на рынке ценных бумаг и производных инструментов:
• новые инструменты данного рынка;
• новые системы торговли ценными бумагами;
• новая инфраструктура рынка.
Новыми инструментами рынка ценных бумаг являются прежде все-
I о многочисленные виды производных ценных бумаг.
Новые системы торговли — это системы торговли, основанные на
использовании компьютеров и современных средств связи, позволяющие
вести торговлю полностью в автоматическом режиме, без посредников,
без непосредственных контактов между продавцами и покупателями.
Новая инфраструктура рынка — это современные информационные
системы, системы клиринга и расчетов, депозитарного обслуживания
участников рынка ценных бумаг.
Секьюритизация — это тенденция перехода денежных средств из
своих традиционных форм (сбережения, наличность, депозиты и т.п.) в
форму ценных бумаг; тенденция превращения все большей массы капитала
в форму ценных бумаг; тенденция перехода одних форм ценных
бумаг в другие, более доступные для широких кругов инвесторов; тенденция
повышения ликвидности (ускорения оборачиваемости) любых
активов и пассивов компаний через форму ценной бумаги или с помощью
производных инструментов.
Развитие рынка ценных бумаг вовсе не ведет к прекращению использования
других рынков капиталов, происходит процесс их взаимопроникновения,
взаимо стимулирования. С одной стороны, рынок ценных бумаг
оттягивает на себя капиталы, а с другой — перемещает эти капиталы
через механизм ценных бумаг на другие рынки, тем самым способствует
их развитию. Например, все более широкое распространение получает
выпуск долговых ценных бумаг под страховку страховых компаний.
Иными словами, инструментарий страхового рынка используется для
страхования рисков на рынке ценных бумаг. Выплаты доходов по ценным
бумагам ведут к резкому увеличению размеров мирового валютного
рынка, что, в свою очередь, является фактором быстрого развития
рынка валютных фьючерсных контрактов и опционов и т.п.
В последующие годы на рынке ценных бумаг и производных инструментов
все отчетливее проявляются две новейшие тенденции:
• индивидуализация инструментов рынка;
• стирание различий между инструментами рынка.
В первом случае имеет место выпуск таких ценных бумаг и (или)
производных инструментов, которые отвечают индивидуальным интересам
(требованиям) отдельных эмитентов и инвесторов (или их небольших
групп) с точки зрения сочетания доходности, риска, налогообложения
и т.п.
Во втором случае создание все новых инструментов рынка осуществляется
путем комбинации различных свойств существующих инструментов
рынка на каком-либо новом инструменте — «гибридном», или
«синтетическом», «искусственном».
ОСНОВНЫЕ ОПРЕДЕЛЕНИЯ
Эволюция рынка ценных бумаг — это его историческое развитие от низших
форм к высшим в соответствии с развитием рыночных отношений.
Тенденция рынка ценных бумаг — одно из важнейших направлений
будущего развития рынка ценных бумаг, основанное на его предшествующем
историческом развитии.
В развитии биржевой торговли ценными бумагами в России выделяют
три этапа: дореволюционный (до 1917 г.), советский (нэп и последующие
годы), современный (от приватизации государственной собственности
до настоящего времени).
Дореволюционный период развития рынка ценных бумаг характеризуется
тем, что торговля ценными бумагами осуществлялась через
коммерческие банки России и на товарных биржах, имеющих фондовые
отделы. Торговля ценными бумагами контролировалась государством.
В советский период государство не было заинтересовано в рынке
ценных бумаг, поскольку для реализации своих программ оно могло использовать
регулирование оплаты труда и цеп, налоги, свободный доступ
к ссудному фонду Центрального банка, налично денежную и кредитную
эмиссию. Государственные займы носили принудительный нерыночный
характер.
Современный этап развития рынка ценных бумаг обусловлен переходом
к рыночной экономике. В его структуре можно выделить рынок
государственных, муниципальных и корпоративных цепных бумаг, которые
имеют специфические условия развития.
Тенденция развития современно10 мирового рынка ценных бумаг
заключается в:
• концентрации и централизации капиталов;
• интернационализации и глобализации рынка;
• повышении уровня организованности и усилении государственного
контроля;
• компьютеризации рынка ценных бумаг;
• нововведениях на рынке;
• секьюритизации;
• взаимопроникновении рынка ценных бумаг и других рынков капитала.
Эмиссию ценных бумаг следует рассматривать в качестве
одного из источников финансовых ресурсов, привлекаемых для решения
определенных целей.
Государство использует эмиссию собственных бумаг потому, что
чрезмерное увеличение налогов может привести к спаду экономической
активности в стране, а неконтролируемая эмиссия денег грозит ростом
темпов инфляции. Внешние кредиты могут ослабить экономическую независимость,
а внутренние ограничат возможности Центрального банка
Российской Федерации при регулировании денежного обращения. Субъекты
Федерации и местные органы власти и управления (муниципальные
органы) за счет выпуска собственных долговых обязательств могут обеспечить
как приток денежных средств в бюджет, так и финансирование
отдельных инвестиционных проектов. Эмиссия ценных бумаг наряду с
другими источниками финансовых ресурсов может быть привлекательна
для корпораций, так как в этом случае можно:
• варьировать сроки привлечения необходимых денежных средств
(без ограничения срока при эмиссии акций) и выбирать приемлемый срок
(при эмиссии облигаций);
• устанавливать приемлемую плату за привлекаемые денежные ресурсы,
комбинируя имущественные права, закладываемые в ценные
бумаги;
• увеличивать объем привлекаемых средств по сравнению с кредитом,
который может выдать отдельный банк, за счет предложения выпускаемых
ценных бумаг потенциально неограниченному кругу покупателей.
Эмиссия представляет собой выпуск и размещение ценных бумаг.
Федеральный закон «О рынке ценных бумаг» трактует эмиссию как
установленную законом последовательность действий эмитента по размещению эмиссионных ценных бумаг, т.е. действия, которые охватывают
подготовку к выпуску, сам выпуск ценных бумаг и отчуждение
их первым владельцам путем заключения гражданско-правовых сделок,
осуществляемые эмитентом самостоятельно или андеррайтером по договору
с ним.
Эмиссия охватывает исключительно эмиссионные ценные бумаги.
Исходя из определения эмиссионных бумаг, к ним относят акции и облигации.
При эмиссии ценных бумаг необходимо учитывать то, что как
инвестор, так и эмитент особое значение придают набору имущественных
нрав, которые закреплены за ними. Поэтому у эмитента возникает
возможность комбинировать различные имущественные права и тем
самым изменять инвестиционные характеристики ценных бумаг, делая
их более привлекательными для инвесторов. А у инвестора появляется
возможность сравнивать инвестиционные характеристики предлагаемых
ценных бумаг и выбирать те, которые соответствуют его инвестиционным
целям.
Участниками этого процесса являются:
• эмитенты;
• инвесторы;
• профессиональные участники рынка ценных бумаг, выполняющие
посреднические функции;
• органы, регистрирующие выпуски ценных бумаг.
В качестве эмитента ценных бумаг могут выступать:
• юридические лица (ак1ДИонерные общества, общества с ограниченной
ответственностью, товарищества, производственные кооперативы
и др.);
• государство (органы исполнительной власти, к функциям которых
по решению Правительства Российской Федерации отнесены составление
и (или) исполнение федерального бюджета);
• субъекты Федерации (органы государственной власти, уполномоченные
на составление и (или) исполнение бюджета субъекта Федерации);
• муниципальные образования (органы местного самоуправления,
уполномоче1шые на составление и (или) исполнение местного бюджета).
Для каждого типа эмитента цель эмиссии может быть своя, однако
можно выделить следующие общие цели эмиссии для всех типов эмитентов:
привлечение необходимых денежных средств; реконструкция
собственности; секьюритизация задолженности; снижение риска; совершенствование
финансового планирования и управления; формирование
рациональной структуры капитала.
Наиболее важной целью эмиссии следует счигать привлечение необходимых
денежных средств. Эта цель является приоритетной для всех
типов эмитентов.
Выпуск ценных бумаг государством, субъектами Федерации и муниципальными
образованиями был освещен выше. Поэтому в дальнейшем
рассмотрим эмиссию ценных бумаг применительно к акционерному
обществу.
В настоящее время в России эмиссия ценных бумаг акционерного
общества с целью привлечения денежных средств необходима в связи с
существующей экономической ситуацией, нехваткой собственных
средств, почти полным отсутствием централизованного инвестирования,
относительной дороговизной банковских кредитов.
Наиболее остро проблема привлечения денежных средств стоит перед
акционерным обществом при учреждении, реорганизации или преобразовании.
В этом случае эмиссию используют для формирования
уставного капитала.
Привлечение денежных средств как цель эмиссии находит свое проявление
также при осуществлении инвестиционной деятельности акционерного
общества или расширении его производственно-хозяйственной деятельности.
Тогда эмиссию связывают либо с привлечением заемного капитала,
либо с увеличением уставного капитала.
Эмиссия ценных бумаг связана с первичным рынком. Она предполагает
привлечение денежных средств под ценные бумаги, выпускаемые
эмитентом. Но не нужно думать, что эмитент связан исключительно с
первичным рынком. Осуществляя эмиссию своих ценных бумаг, эмитент
должен не только поддерживать вторичный рынок, но и нести свои обязательства
перед новыми приобретателями его ценных бумаг (рис. 11).
Кто бы ни выступал в роли эмитента при эмиссии ценных бумаг, он
должен обеспечивать всех потенциальных покупателей необходимой
информацией о предстоящем выпуске. Прежде всего он должен сообщать
о виде выпускаемых ценных бумаг и объеме выпуска, имущественных
нравах, особенностях размещения и обращения.
Инвестором ценных бумаг может быть резидент или нерезидент,
физическое лицо или институциональный инвестор. Для эмитента наибольший интерес представляет институциональный инвестор, который
может приобрести больший объем выпускаемых ценных бумаг по сравнению
с отдельным физическим лицом.
Для России достаточно важно было привлечь нерезидентов как потенциальных
инвесторов. Нерезиденты рассматривались как наиболее
крупные покупатели, располагающие большими инвестиционными ресурсами.

Основная доля иностранного капитала предназначалась для
сектора государственных ценных бумаг (67% в 1997 г. и 61% в 1998 г.),
однако необходимо иметь в виду, что нерезидент никогда не будет патриотом
чужого рынка. При малейших признаках кризиса он станет сбрасывать
чужие ценные бумаги, что и показал российский кризис 1998 г.
При эмиссии ценных бумаг посредник выполняет роль андеррайтера,
т.е. берет на себя обязательства перед эмитентом по выпуску и размещению
ценных бумаг на согласованных условиях и за вознаграждение. В
международной практике андеррайтер выполняет следующие функции.
Анализ эмитента — оценка предложения эмитента, подтверждение
возможностей эмитента выполнить те имущественные права, которые
могут быть закреплены в выпускаемых ценных бумагах, оценка
рейтинга эмитента и его бумаг. Анализируя эмитента, андеррайтер может
определить его положение на рынке, в отрасли, к которой относится
эмитент, в экономике страны в целом.
Подготовка эмиссии — оказание помощи эмитенту при установлении
цели эмиссии, выборе типа ценных бумаг, подготовке проспекта
эмиссии, установлении связи эмитента с ключевыми инвесторами, регистрации
выпуска.
Размещение ценных бумаг — отчуждение ценных бумаг их первым
владельцам на основе заключения гражданско-правовых сделок на
согласованных с эмитентом условиях.
После рыночная поддержка — поддержка курса размещенных ценных
бумаг в течение года.
Аналитическая и исследовательская поддержка — контроль динамики
курса ценных бумаг, выявление факторов, оказывающих влияние
на курс.
Организация субандеррайтинга, или институционального размещения.
Если андеррайтер, выполняя свои рыночные функции, будет уверен
в том, что для компании и для рынка будет выгодно, чтобы компания
имела много акционеров, он может быть готов к тому, чтобы предложить
часть своих комиссионных другим, разделив с ними груз гарантийной
ответственности или, наоборот, заранее разместить (возможно, на условиях
«клобэк») часть акций в крупных инвестиционных организациях.
(«Клобэк» — это процесс, при котором финансовому институту предлагается
какое-либо число акций, но в случае, если публичный спрос на них
окажется выше предполагавшегося, часть акций забирается у этого института
обратно и направляется на удовлетворение публичного спроса.)
В мировой практике используются достаточно разнообразные условия
соглашений между эмитентом и андеррайтером. В российской практике
применяют следующие виды андеррайтинга:
• «на базе твердых обязательств», или «с полным финансовым участием
». В этом случае по условиям соглашения с эмитентом андеррайтер
несет твердые обязательства по выкупу всего выпуска по фиксированным
ценам с целью дальнейшей перепродажи привлеченным инвесторам,
принимая на себя тем самым финансовые риски размещения
ценных бумаг;
• «с частичным финансовым участием». По условиям соглашения
андеррайтер принимает на себя обязательства по выкупу части выпуска.
(Андеррайтинг с частичным финансовым участием может быть двух
видов: андеррайтер сразу определяет размер выкупаемой части выпуска
или берет на себя обязательство выкупить неразмещенную часть по
окончании срока размещения);
• «на базе лучших усилий», или «без финансовых обязательств». В
этом случае по условиям соглашения с эмитентом андеррайтер не несет
никаких обязательств по выкупу неразмещенной части выпуска. Тем
самым финансовые риски ложатся на эмитента. Нераспроданная часть
выпуска возвращается эмитенту. Обязательства андеррайтера ограничиваются
усилиями по размещению ценных бумаг, однако финансовой
ответственности за конечный результат андеррайтер не несет.
В мировой практике андеррайтинг для эмитента рассматривается как
определенная гарантия того, что в результате продажи выпускаемых
ценных бумаг он получит некую определенную сумму денег. Для мелких
эмитентов андеррайтинг позволяет избежать трудоемких процедур,
сопровождающих размещение ценных бумаг. Крупные эмитенты поручают
процедуру эмиссии крупным банкам, которые могут создавать
специальные синдикаты, занимающиеся размещением и выступающие
в качестве посредника между эмитентом и инвестором. Синдикаты в
этом случае представляют собой добровольное временное объединение
андеррайтеров без образования юридического лица, которое создается
для выполнения совместных обязательств в отношении конкретного
выпуска ценных бумаг. Синдикат организуется на договорных началах
на принципах разделения прибылей.
В мировой практике банк (фирма), входящий в состав синдиката,
может играть разные роли в эмиссионном процессе. Он может быть:
• ведущим .менеджером, тогда он объединяет других участников
синдиката и ведет все дела, связанные с обслуживанием конкретного
эмитента;
• андеррайтером; в этом случае банк не претендует на роль организатора,
он вкладывает свой капитал в синдикат для покупки определенной
части выпуска ценных бумаг с целью перепродажи;
• торговым агентом, когда банк не вкладывает свой капитал, а только
подбирает покупателей для размещаемых ценных бумаг.
Каждый из указанных участников синдиката имеет различную долю
в получаемой прибыли. Эта доля определяется вложенным капиталом и
выполняемыми функциями.
В мировой практике синдикаты действуют на основе раздельного и
нераздельного счета.
Первый принцип наиболее распространен. Он заключается в том, что
каждый член синдиката несет установленную ответственность за выпуск
ценных бумаг в пределах своего участия. Например, если участие
конкретного банка составляет 5%, то при выпуске акций на сумму
40 млн руб. он несет ответственность за продажу акций на 2 млн руб. и
не отвечает за другие непроданные акции.
Второй принцип чаще всего используется при выпуске государственных
или муниципальных ценных бумаг. Он заключаетсяв том, что
каждый член синдиката несет ответственность за свою долю и долю
других членов синдиката. Например, член синдиката вложил в него
10% капитала и взял на себя обязательства продать облигации на сумму
20 млн руб. при объеме эмиссии 200 млн руб. Если он продал свою
долю, а в целом неразмещенных облигаций осталось на 50 млн руб.,
то этот член синдиката будет нести ответственность за продажу облигаций
еще на 5 млн руб.
Эмитент может обратиться к одному андеррайтеру или объявить
конкурс андеррайтеров. В соответствии с этим выделяют:
• договорный андеррайтинг. При этой форме андеррайтинга ценовые
условия эмиссии (цена выпуска акций у эмитента, спрэд между
указанной ценой и ценой, по которой размещает эмиссию синдикат) устанавливаются
на основе переговоров между эмитентом и единственным
менеджером синдиката;
• конкурентный, или конкурсный, андеррайтинг. При таком виде андеррайтинга
подготовку эмиссии на конкурентных началах ведут несколько
андеррайтеров, каждый из которых формирует свои ценовые
условия (естественно, скрыто друг от друга). Эмитент выбирает андеррайтера
по конкурсу заявок на проведение андеррайтинга, обычно ориентируясь
на лучшие ценовые и иные условия.
Конкурентный андеррайтинг характерен при эмиссии государственных,
муниципальных ценных бумаг или при осуществлении эмиссии
крупными компаниями (ЛУКойл, РАО «ЕЭС России»). Для небольших
компаний чаще используется договорный андеррайтинг.
Посредник, выполняющий роль андеррайтера, берет на себя ответственность
за качество эмиссионного проспекта, и не только за его
полноту, но и за достоверность. В международной практике рынок,
закон и саморегулирование превращают андеррайтеров в самых строгих
оппонентов и экзаменаторов компаний в период подготовки к
выпуску ценных бумаг. Пройдя через «мелкое сито» андеррайтерско-
го анализа, проспекты эмиссии редко дают инвесторам повод для судебных
тяжб. Кроме того, они обязаны сертифицировать проспект
эмиссии, они могут использовать такое мощное дисциплинирующее
средство, как «эскрау», т.е. «арест» ценных бумаг или выручки
от их продажи до наступления какого-либо события или выполнения
какого-либо условия. «Эскрау» используется в случаях, когда
риск провала эмиссии или развала только что учрежденной компании
велик. Проводником в жизнь идеи эскрау должен быть андеррайтер.
«Эскрау» следует применять к венчурным компаниям, когда у них
нет ничего, кроме уставного капитала и проекта на бумаге. Таким образом
инвесторы при определенных условиях могут вернуть свои деньги,
не обращаясь в суд для доказательства вины эмитента.
В мировой практике вознаграждение, взимаемое андеррайтером с
эмитентов, колеблется от 1 до 7%. Причем в более развитых странах
вознаграждение выше.
В России за регистрацию выпускаемых ценных бумаг отвечает Федеральная
комиссия по рынку ценных бумаг (ФКЦБ). Она регистрирует
и ежегодно утверждает перечень органов, осуществляющих государственную
регистрацию выпусков ценных бумаг на территории Российской
Федерации (табл. 11).


Процедура эмиссии ценных бумаг акционерными обществами регламентируется:
Федеральным законом «Об акционерных обществах» (1995 г.);
Федераль}1ым законом «О рынке ценных бумаг» (1996 г.);
Федеральным законом «О защите прав и законных интересов инвесторов
на рынке ценных бумаг» от 5 марта 1999 г. № 46-ФЗ;
Инструкцией Центрального банка Российской Федерации № 8
«О правилах выпуска и регистрации ценных бумаг кредитными организациями
на территории Российской Федерации» (1996 г.);
«Стандартами эмиссии акций при учреж:дении акционерных обществ,
дополнительных акций, облигаций и их проспектов эмиссий»
(1998 г.) (далее — «Стандарты эмиссии»).
Эмиссия ценных бумаг связана с риском для эмитента. Наиболее
существенные виды риска следующие:
1) риск ликвидности:
• снижение цены размещения (эмиссионной стоимости);
• увеличение комиссионных андеррайтеру;
2) временной риск:
• упущено выгодное время для размещения (рынок не готов или «перегрет»);
3) риск платежа:
• затягивание оплаты ценных бумаг приобретателями;
• возможность их оплаты не только деньгами, но и другими ценностями;
4) операционный риск:
• отсутствие навыков у эмитента;
• неправильный выбор андеррайтера;
5) риск неразмещения:
• нет возможности разместить заявленный объем;
• не стоило устанавливать объем размещения, при котором эмиссия
считается состоявшейся.
определения ее целей, порядка проведения и параметров важно
четко представлять себе отдельные виды (типы) эмиссии. Для этого
проводят классификацию эмиссий, выделяя следующие наиболее значимые
классификационные принципы:
• очередность проведения;
• форма осуществления;
• способ размещения ценных бумаг;
• форма существования выпускаемых ценных бумаг;
• характер владения;
• тип ценных бумаг.
В зависимости от очередности проведения эмиссию принято делить
на первичную и последующие (дополнительные).
Первичная эмиссия имеет место тогда, когда образуется акционерное
общество и необходимо сформировать уставный капитал. Порядок
проведения первичной эмиссии зависит от того, какой способ учредительства
законодательно закреплен в той или иной стране. В мировой
практике принято различать единовременное (симультанное) и постепенное
(суксессивное) учредительство.
Учредительство рассматривается как первоначальное вложение денежного
капитала в акции, т. е. покупка акций в соответствии с их номиналом.
Более простой формой учредительства считается единовременное.
При этой форме акционерное общество считается учрежденным только
после того, как все выпущенные им акции полностью оплачены. В этом
случае уставный капитал образуется за счет взносов учредителей, переданных
в оплату акций общества. Как правило, государственная регистрация
общества осуществляется после оплаты его учредителями
определенной части уставного капитала, которая как бы служит гарантией
организации и функционирования общества. Оставшаяся часть
уставного капитала, как правило, должна быть оплачена в течение определенного
законодательством срока.
Именно такой порядок учредительства принят в России. Согласно
Федеральному закону «Об акционерных обществах» (ст. 34) акции акционерного
общества при его учреждении должны быть полностью оплачены
в течение срока, указанного в уставе общества. При этом не
менее 50% уставного капитала общества должно быть оплачено к моменту
его регистрации, а остальная часть — в течение одного года с
момента регистрации.
Использование подобного подхода направлено прежде всего на защиту
интересов контрагентов общества, поскольку оплаченный уставный
капитал в этом случае является гарантией исполнения обществом
своих обязательств (ст. 165 и 166).
Закон устанавливает (ст. 26) минимальный уставный капитал для
государственной регистрации (100 МРОТ для ЗАО и 1000 МРОТ для
ОАО) и обязательное указание в уставе на объем размещенных и объявленных
акций (ст. 27).
При постепенном учредительстве акционерное общество считается
учрежденным сразу же после его государственной регистрации независимо
от того, полностью или нет оплачен уставный капитал общества. Учредители
общества после его государственной регистрации привлекают
инвесторов для оплаты уставного капитала. Постепенное учредительство
получило распространение в практике США и Великобритании.
Необходимо подчеркнуть, что первичная эмиссия касается исключительно
акций и имеет особое значение для акционерных обществ.
Последующие эмиссии преследуют более широкий круг целей, так
как они связаны с финансированием инвестиционной деятельности эмитента
и расширением его хозяйственной деятельности. К последующим
эмиссиям эмитент прибегает тогда, когда недостаточно внутренних
накоплений (собственных средств).
В России последующие эмиссии используются пока редко по следующим
причинам:
• отсутствие опыта по эмиссии собственных ценных бумаг;
• слабое знание конъюнктуры рынка и механизма его функционирования;
• желание избежать издержек, сопровождающих эмиссию;
• преувеличение рисков, связанных с эмиссией ценных бумаг;
• стремление избежать размывания капитала и привлечения к управлению
новых акционеров.
Если первичная эмиссия связана исключительно с привлечением денег,
необходимых для формирования уставного капитала, то последующие
эмиссии могут использоваться эмитентом не только для привлечения
денежных средств, но и для решения других целей.
В зависимости от формы осуществления эмиссию можно разделить
на открытую и закрытую.
Открытую эмиссию чаще называют публичной, так как она предполагает
предложение выпускаемых ценных бумаг неограниченному кругу
потенциальных инвесторов и публичное объявление о предполагаемой
эмиссии, сопровождаемое обязательством о раскрытии информации.
Закрытая эмиссия считается частной, или приватной, так как выпускаемые
ценные бумаги предлагаются заранее определенному кругу
инвесторов, поэтому при ней не требуется, как правило, принимать на
себя обязательства по раскрытию информации.
Независимо от формы акционерного общества (открытого или закрытого)
первичная эмиссия может осуществляться только в закрытой форме.
Указанные формы эмиссии различаются кругом инвесторов, привлекаемых
к приобретению ценных бумаг, а также составом обязательств,
принимаемых на себя эмитентом при выпуске ценных бумаг.
Выбор той или иной формы эмиссии имеет большое значение для эмитента
при привлечении денег под свои финансовые обязательства, поэтому
важно определить достоинства и недостатки этих форм эмиссии.
К достоинствам открытой эмиссии можно отнести, во-первых, широкие
возмож:ности для привлечения дополнительных финансовых ресурсов. Это
напрямую зависит от количества возможных потенциальных инвесторов.
При открытом размещении их количество не ограничено, а при закрытом
оно заранее определено. Особое значение этот фактор приобретает при необходимости
финансирования крупномасштабного проекта.
Во-вторых, обеспечение ликвидности ценных бумаг. С точки зрения
эмитентов одним из факторов привлекательности ценной бумаги является
степень ее ликвидности, которая определяет возможность для него
быстро и без потерь мобилизовать денежные ресурсы в обмен на выпускаемые
ценные бумаги. Естественно, что владелец свободно обращающихся
акций находится в более предпочтительном положении, чем учредитель
закрытого акционерного общества. Помимо этого эмитенты,
сформировавшие ликвидный рынок своих ценных бумаг, имеют возможность
более мобильно действовать на фондовом рынке, т.е. в относительно
короткие сроки разместить новые выпуски ценных бумаг по приемлемой
цене.
Несмотря на существенные преимущества, открытое размещение
акций имеет и негативные стороны:
• потеря контроля над управлением компанией путем размывания
ее акционерного капитала. На сегодняшний день для многих российских
компаний это тот фактор, который во многом тормозит развитие как
данных конкретных компаний, так и всего фондового рынка;
• возрастание издержек по обслуживанию корпоративного капитала
и поддержанию компанией курса своих акций на вторичном рынке —
проявляется в необходимости нести издержки по составлению ежеквартальных
и годовых отчетов о финансово-хозяйственной деятельности.
По способу размещения выделяют четыре вида эмиссии:
• распределение среди учредителей при первичной эмиссии;
• распределение среди акционеров при последующих эмиссиях;
• подписка;
• конвертация.
Распределение как вид эмиссии имеет место только для акций. При
этом распределение акций среди учредителей при первичной эмиссии производится
согласно письменному договору, заключаемому учредителями
между собой (ст. 9 Федерального закона «Об акционерных обществах»).
Распределение акций среди акционеров происходит при последующих
эмиссиях, когда выпускаются дополнительные акции. Этот вид
эмиссии осуществляется за счет собственных средств, поэтому он не
связан с дополнительным привлечением денежных ресурсов. Для акционеров
это бесплатное получение акций дополнительно к тем, которыми
они уже владеют. Поэтому данный вид эмиссии чаще называют премиальной,
или бонусной, эмиссией. Такая эмиссия увеличивает платный капитал,
так как эмитент обязан выплачивать одинаковые дивиденды как
по акциям, за которые инвестор заплатил деньги, так и по акциям, которые
тот получил бесплатно в виде премии.
Эмиссия в порядке размещения среди акционеров возможна только
за счет:
• эмиссионного дохода;
• остатков фондов специального назначения по итогам предыдущего
года;
• нераспределенной прибыли;
• средств от переоценки основных фондов.
Распределение акций среди акционеров должно охватывать всех акционеров,
которые получают распределяемые акции пропорционально числу
принадлежащих им акций. Поэтому их доля в уставном капитале не меняется,
хотя число акций и их номинальная стоимость увеличиваются.
Подписка как вид эмиссии отличается тем, что она осуществляется
на возмездной основе, так как предполагает заключение договоров купли-
продажи между инвестором и эмитентом или между инвестором и
андеррайтером, реализующим ценные бумаги эмитента по его поручению.
Подписка делится на открытую и закрытую, так как зависит от
формы осуществления эмиссии. Как правило, при открытой подписке
эмитент привлекает к эмиссии андеррайтера.
Эмиссия в порядке конвертации представляет собой замену ценных
бумаг одних видов на другие на предлагаемых эмитентом условиях.
Возможны следующие разновидности конвертации:
• выпуск ценных бумаг, конвертируемых в акции;
• выпуск ценных бумаг, конвертируемых в облигации;
• конвертация акций в акции с большим или меньшим номиналом в
соответствии с решением акционерного общества;
• конвертация при консолидации и дроблении;
• конвертация акций в акции с иными имущественными правами.
При эмиссии в порядке конвертации эмитент устанавливает порядок
и условия конвертации. При этом определяется, в каком порядке
она будет осуществляться: по требованию владельцев или при наступлении
срока, определенного конкретной датой или истечением периода.
При э.миссии облигаций могут быть использованы только подписка
и конвертация, в то время как эмиссия акций может осуществляться
любым способом.
В России из указанных видов эмиссии наибольшее распространение
получили распределение среди учредителей и подписка. В последнее
время начинает проявляться интерес к конвертации, особенно к выпуску
облигаций, конвертируемых в обыкновенные акции. Распределение
среди акционеров проводится пока в том случае, когда происходит переоценка
основных фондов.
По форме существования выпускаемых ценных бумаг выделяют эмиссию
документарных и бездокументарных ценных бумаг.
Эмитент имеет право выбора любого вида эмиссии. Эмиссия без
документарных ценных бумаг находит все большее распространение в
связи с развитием самого рынка ценных бумаг, а также особенностей
его инфраструктуры.
При эмиссии документарных ценных бумаг эмитент обязан в соответствии
с нормативными документами выпускать сертификаты ценных
бумаг. Однако в пределах одного выпуска эмитент вправе выбрать
только одну форму ценных бумаг.
По характеру распоряжения эмитент вправе выпускать как именные,
так и предъявительские ценные бумаги. При именной форме информация
о владельцах должна быть доступна эмитенту в форме реестра владельцев
ценных бумаг, переход прав на которые требует идентификации
владельца. Если ценная бумага эмитирована на предъявителя, то
переход прав на нее и осуществление закрепленных ею нрав не требуют
идентификации владельца.
В зависимости от целей, которые преследует эмитент при эмиссии
ценных бумаг, он может выпускать различные типы ценных бумаг: ак-
ции обыкновенные или привилегированные, облигации, конвертируемые
и производные ценные бумаги. Эмитируемые им ценные бумаги могут
обладать разным набором прав и различными инвестиционными характеристиками.
Во многом это определит как параметры, так и условия
привлечения капитала эмитентом. В этой связи для эмитента становится
важным процесс конструирования ценных бумаг и формирования их
инвестиционных характеристик.
эмитент разрабатывает концепцию эмиссии. Безусловно, она будет специфична
для каждого отдельного эмитента, но вместе с тем можно установить
обязательные вопросы, которые должны быть затронуты при
ее разработке.
К ним следует отнести:
• установление цели эмиссии в соответствии с тем местом, которое
занимает эмитент в отрасли и экономике;
• расчет ее объема;
• выбор вида и типа (категории, разновидности) выпускаемых ценных
бумаг на основе сравнительной характеристики их инвестиционных
свойств;
• анализ состояния рынка ценных бумаг и возможностей размещения
выпускаемых ценных бумаг;
• анализ возможных моделей конструирования ценных бумаг;
• выбор формы эмиссии;
• обоснование способа эмиссии;
• установление формы существования и характера распоряжения имущественными
правами, закрепленными в выпускаемых ценных бумагах;
• расчет эмиссионной цены или порядка ее установления;
• выбор андеррайтера;
• определение затрат, связанных с предстоящей эмиссией;
• анализ эффективности эмиссии.
Определение цели эмиссии должно вытекать из концепции развития
эмитента и того места, которое он занимает или планирует занять в
отрасли. Это позволит эмитенту решить проблему конкурентоспособности,
а также установить объем необходимого капитала и его структуру.
В конечном счете эмитент определит тип выпускаемых ценных
бумаг' и необходимый объем эмиссии.
Устанавливая объем эмиссии, эмитент должен учитывать объективные
ограничения. К их числу можно отнести сохранение в результате
дополнительной эмиссии закрепленной доли государства или муниципального
образования, а также отдельных акционеров в уставном капитале
общества-эмитента, если она равна или выше 25 %. Дополнительный
выпуск акций возможен только в том случае, если в уставе есть
разделение на размещенные и объявленные акции, объем их эмиссии должен
соответствовать указанному в уставе. Номинальная стоимость всех
обыкновенных акций (размещенных и выпущенных дополнительно) должна
быть одинаковой. Привилегированные акции в уставном капитале
по номинальной стоимости не должны превышать 25%. Объем выпуска
акций на предъявителя должен соответствовать установленному ФКЦБ
соотношению к величине оплаченного уставного капитала. Уставный
капитал не может превышать чистые активы акционерного общества, а
объем выпуска облигаций не может превышать размер уставного капитала
или величину обеспечения, предоставленного третьим лицом.
Выбирая те или иные бумаги, которые могут выступить в качестве
объекта эмиссии, следует иметь в виду, что это касается только эмиссионных
ценных бумаг.
Согласно Федеральному soKotty «О рынке ценных бумаг» к эмиссионным
ценным бумагам относят те, которые размещаются отдельными
выпусками и имеют одинаковый объем прав независимо от срока их
приобретения, т.е. применительно к акционерному обществу эмиссионными
ценными бумагами можно считать акции и облигации.
Выбор той или иной ценной бумаги для эмитента в основном будет
зависеть от цели эмиссии. Акционерное общество может выпускать разные
типы (разновидности) акций и облигаций в зависимости от объема
имущественных прав, закрепляемых за той или иной ценной бумагой
(табл. 12).
Поэтому эмитент имеет возможность их комбинировать. Заложенные
имущественные права будут не только привлекать инвесторов, но
и накладывать определенные обязанности на эмитента, так как он принимает
на себя обязательства по выплате дивидендов или гарантированного
дохода по облигациям.
При выпуске ценных бумаг эмитент должен анализировать рынок,
на котором предстоит размещать его бумаги. Поэтому эмитент должен
производить экономические расчеты потребности в денежных средствах
как прогнозного характера, так и основанные на его конкретных потребностях
в ресурсах для осуществления инвестиционного проекта с
учетом эффективности их использования и сроков окупаемости.

Анализ рынка ценных бумаг позволит эмитенту решить и другие вопросы, входящие в эмиссионную концепцию.
После разработки концепции эмитент приступает непосредственно к процедуре эмиссии.
выполнение эмитентом установленных действий, а также подготовку
специальных документов, которые необходимы для признания
эмиссии состоявшейся. Отдельные действия эмитента называют этапами
эмиссии. Количество этапов и их содержание зависят от двух факторов:
1) формы эмиссии;
2) требуется или нет подготовка проспекта эмиссии.
Проспект эмиссии необходим независимо от ее параметров, если
эмитентом выбрана открытая форма эмиссии, а также если при закрытой
эмиссии число потенциальных покупателей более 500 и объем эмиссии
превышает 50 000 МРОТ.
В настоящее время этапы эмиссии определяются Федеральным законом
«О рынке ценных бумаг» и «Стандартами эмиссии». При открытой
эмиссии и при подготовке проспекта эмиссии таких этапов может быть
восемь (табл. 13).

При закрытой эмиссии, когда не требуется выпуск проспекта эмиссии,
количество этапов уменьшается за счет того, что в этом случае не
нужно готовить проспект, раскрывать информацию, содержащуюся как
в проспекте эмиссии, так и в отчете об итогах эмиссии.
Содержание самих этапов сводится к следующему.
I этап. Принятие решения о выпуске цепных бумаг. Решение — это
специальный документ, который составляет эмитент. Цель этого документа
— зафиксировать те имущественные права, которые эмитент
закладывает в выпускаемые ценные бумаги. Решение принимается
в при:
• учреждении;
• росте уставного капитала путем размещения дополнительных акций
или увеличения их номинальной стоимости;
• конвертации одних ценных бумаг в другие;
• уменьшении уставною капитала путем снижения номинальной стоимости
акций;
• консолидации или дроблении акций;
• при выпуске облигаций;
• при выпуске производных ценных бумаг.
Принятое решение о выпуске ценных бумаг утверждается советом
директоров (органом, который по законодательству выполняет эти функции)
в срок не позднее шести месяцев с момента принятия решения об
их размещении. В принятом документе должна найти отражение следующая
информация:
О вид выпускаемых ценных бумаг (категория и тип для акций, серия
и транши для облигаций);
О форма выпуска ценных бумаг (документарная или бездокументарная);
О наличие или отсутствие обязательного централизованного хранения;
О номинальная стоимость;
О права владельца;
О количество ценных бумаг данного выпуска;
О порядок размещения (способ, сроки, цена или порядок ее установления,
условия и порядок оплаты, доля, при размещении которой эмиссия
цепных бумаг будет считаться состоявшейся, а также порядок возврата
средств, переданных в их оплату, если выпуск будет признан несостоявшимся).
В ходе принятия решения о выпуске следует иметь в виду, что эмитент
вправе выпускать ценные бумаги как в документарной, так и бездокументарной
форме.
При этом форма выпуска должна быть однозначно определена в учредительных документах и (или) в решении о выпуске
ценных бумаг, а также в проспекте эмиссии ценных бумаг. Невыполнение
эмитентом этих требований является основанием для отказа в регистрации
выпуска ценных бумаг. Форма эмиссионных ценных бумаг может
быть изменена по решению органа управления эмитента, который принял
решение о выпуске ценных бумаг. При этом форма выпуска может быть
изменена только с согласия всех владельцев ценных бумаг данного выпуска
и после регистрации такого решения в уполномоченном государственном
органе.
В решении не могут предусматриваться привилегии одним инвесторам
в ущерб других. Привилегии могут быть предоставлены только
акционерам данного эмитента, владеющим и голосующими акциями, и
ценными бумагами, конвертируемыми в голосующие акции. Для них
цена размещения может быть установлена ниже на 10%, чем цена размещения,
установленная для других.
Кроме того, эмитент вправе включить в решение о выпуске ограничения:
• касающиеся числа акций или номинальной стоимости акций, принадлежащих
одному акционеру;
• на приобретение его ценных бумаг нерезидентами.
Если выпуск ценных бумаг осуществляется в порядке закрытой подписки,
то в решении о выпуске определяется круг лиц, среди которых
эмитент будет размещать ценные бумаги.
Если выпуск ценных бумаг происходит в порядке распределения среди
акционеров, то обязательно указывается источник, за счет которого
увеличивается уставный капитал.
II этап. Подготовка проспекта эмиссии. Проспект эмиссии составляется
при распределении акций среди учредителей и акционеров, при
конвертации и закрытой подписке, если число потенциальных приобретателей
превышает 500 и (или) объем эмиссии (номинальная стоимость
выпуска) превышает 50 000 МРОТ, а также при открытой
подписке.
Проспект эмиссии включает пять разделов:
А — данные об эмитенте;
Б данные о финансовом положении эмитента;
В — сведения о предыдущих выпусках ценных бумаг;
Г — сведения о размещаемых ценных бумагах;
Д — дополнительная информация.
Раздел А. Наиболее важными в данном разделе являются сведения
об учредителях эмитента, структуре и органах управления, о специализации
или основной выпускаемой продукции, о наличии филиалов
или дочерних организаций, об аффилированных лицах эмитента.
В этом разделе указываются крупные акционеры, владеющие 5% голосующих
акций и более, а также те юридические лица, в которых эмитент
признается крупным акционером, т.е. владеет 5% голосующих акций
и более.
Раздел Б. Здесь содержится характеристика бухгалтерских балансов
эмитента за прошедшие три года или за каждый отчетный период,
если эмитент существует менее трех лет. Для этого раздела наиболее
важными показателями считаются такие, как формирование уставного
капитала и резервного фонда, прибыль и направления ее
использования, задолженности эмитента, в том числе по платежам в
бюджет.
В этом разделе указывается доля государства (муниципального образования)
в уставном капитале эмитента, наличие «золотой акции».
Приводятся также сведения об объявленных и размещенных акциях каждой
категории (типа) и их номинальная стоимость. Раздел Б может быть
опущен, если акционерное общество создается вновь, однако если оно
создается в ходе реорганизации, то этот раздел проспекта эмиссии сохраняется.
Раздел В содержит данные, характеризующие предшествующие выпуски,
каждый в отдельности. Они соответствуют той информации,
которая отражается в решении о выпуске, а также указываются даты
начала и окончания размещения, орган, который проводил регистрацию
выпуска, состояние акций (облигаций) выпуска, рыночная информация
о ценных бумагах эмитента.
Раздел Г. В нем приводятся сведения о размещаемых ценных бумагах
отдельно по акциям и облигациям. В этом разделе повторяется информация,
содержащаяся в решении о выпуске. Кроме того, указываются
любые ограничения на эмиссию акций, а также доля акций, при
неразмещении которой выпуск акций признается несостоявшимся. Этот
раздел также включает порядок хранения и учета прав, порядок принятия
эмитентом решения о заключении крупной сделки и сделки, в которой
имеется заинтересованность. Здесь же приводятся сведения об андеррайтере
и о существенных условиях договора между андеррайтером
и эмитентом. Эмитент в этом разделе характеризует использование
средств от размещения ценных бумаг, порядок налогообложения доходов
по ценным бумагам.
Раздел Д включает ограничения в обращении ценных бумаг, особенности
и условия выпуска, основные места (место) продажи размещаемых
ценных бумаг путем подписки или обмена при конвертации.
III этап. Независимо от цели и вида эмиссии (открытая или закрытая)
выпускаемые эмитентом бумаги подлежат обязательной регистрации.
Под государственной регистрацией понимается регистрация:
• утвержденного решения о выпуске ценных бумаг;
• подготовленного проспекта эмиссии в том случае, если выпуск ценных
бумаг требует его составления;
• самих ценных бумаг.
Законодательно устанавливается срок, в течение которого эмитент
должен представить ценные бумаги для регистрации. Эмитент представляет
необходимые документы в течение одного месяца после государственной
регистрации как юридического лица, когда происходит распределение
акций среди учредителей. В такой же срок после принятия
решения о выпуске эмитент представляет документы на регистрацию
при выпуске акций или облигаций, конвертируемых в акции открытым
акционерным обществом. В остальных случаях документы на государственную
регистрацию должны быть представлены не позднее трех
месяцев с даты утверждения решения об их выпуске.
Законодательно устанавливается перечень документов, необходимых
для регистрации, а также основания для отказа в регистрации.
Регистрирующий орган проводит регистрацию или принимает мотивированное
решение об отказе в государственной регистрации не позднее
30 дней с даты представления эмитентом документов для регистрации.
Основанием для отказа в регистрации может быть только одно из
следующих условий:
1) нарушение эмитентом требований законодательства о выпуске и
обращении ценных бумаг;
2) несоответствие представленных документов и информации, которая
в них содержится, требуемой по закону (неполный перечень документов,
недостаточная информация в проспекте эмиссии и т.д.);
3) нарушение эмитентом установленных требований (ложная информация
в проспекте эмиссии, отсутствие указаний на форму выпуска
и т.д.).
4) неполная уплата налога при эмиссии ценных бумаг (налог составляет
0,8% объявленного объема эмиссии).
Если регистрирующий орган отказывает эмитенту в государственной
регистрации, то он не позднее трех дней с даты принятия такого
решения должен отправить уведомление об отказе с обоснованием отказа.
Если принимается решение о регистрации выпуска, то эмитент получает
уведомление регистрирующего органа о регистрации выпуска
ценных бумаг и государственном регистрационном номере этого выпуска
ценных бумаг, который должен упоминаться при всех сделках с
ними.
Например, Московское региональное отделение ФКЦБ использует
следующую схему регистрационного номера. Для обозначения номера
используется девять знаков (разрядов):
X, — категория и тип ценной бумаги;
цифры 1, 2, 3 используются для обозначения акций: 1 — обыкновенные,
2 — привилегированные; 3 — конвертируемые; цифры 4 и 5 — для
обозначения облигаций: 4 — необеспеченные; 5 — конвертируемые;
Хт и Хз используются для обозначения очередности (порядкового номера)
выпуска данного вида ценной бумаги;
Х4, Xj, Х(;, Ху, Xjj повторяют уникальный код эмитента, который он получил
при государственной регистрации выпуска ценных бумаг;
Хц указывает на принадлежность эмитента и обозначается буквой
латинского алфавита: А указывает, что эмитент ~ - открытое акционерное
общество, Н - закрытое акционерное общество, R — иная организация.
При регистрации регистрирующие органы несут ответственность за
полноту сведений, содержащихся в решении о выпуске и проспекте эмиссии,
но не за их достоверность. За достоверность сведений отвечает эмитент.
До государственной регистрации эмитент не может совершать никаких
действий по размещению выпускаемых ценных бумаг (реклама,
подготовка и совершение сделок и т.д.). В порядке исключения эмитенту
до регистрации выпуска разрешается распределить акции среди учредителей
и заключить договор с андеррайтером.
IV этап. Если эмитент принял решение о выпуске документарных
ценных бумаг, то сертификат рассматривается в качестве документа,
удостоверяющего права, закрепленные ценной бумагой в том объеме,
в котором они установлены решением о выпуске ценных бумаг. Поэтому
сертификат должен содержать те же данные, что и решение. За
соответствие этих данных отвечает эмитент. Сертификат должен содержать
тс же реквизиты, что и ценная бумага. К обязательным реквизитам
сертификата именной ценной бумаги относится имя (наименование)
владельца. Эмитент может одним сертификатом удостоверять
права на одну, несколько или на все выпущенные эмиссионные ценные
бумаги, имеющие один номер. Однако одна эмиссионная ценная бумага
может иметь только один сертификат. При выпуске документарных
ценных бумаг эмитент имеет право устанавливать или не устанавливать
обязательное централизованное хранение сертификатов.
При обязательном централизованном хранении эмитент определяет депозитарий,
которому передается глобальный сертификат (один на весь выпуск),
а на руки владельцам сертификаты не выдаются. Обязательное
централизованное хранение может использоваться эмитентом только в
том случае, если ценные бумаги имеют одну и ту же форму выпуска,
т.е. НС допускается, например, обязательное централизованное хранение
для акций акционерных обществ в документарной и бездокументарной
формах.
Если эмитент не устанавливает обязательного централизованного
хранения, то владелец, получив сертификат, может передать его на хранение
в депозитарий на общих условиях.
При открытой (публичной) эмиссии, а также при закрытой эмиссии,
которая сопровождается выпуском проспекта эмиссии, эмитент
обязан обеспечить всем потенциальным покупателям равный доступ
к информации, которая может повлиять на принятие решения о приобретении
его ценных бумаг. Эта информация носит название раскрываемой
информации. Она должна быть доступна до приобретения
ценных бумаг.
Прежде всего эмитент обязан после государственной регистрации
опубликовать информацию о регистрации выпуска в средствах массовой
информации тиражом не менее 50 тыс. экземпляров или в Вестнике,
выпускаемом ФКЦБ. Обязательно должна быть представлена следующая
информация:
• наименование эмитента;
• вид и форма размещаемых ценных бумаг;
• количество ценных бумаг, подлежащих размещению;
• сроки и условия размещения;
• дата и номер государственной регистрации выпуска ценных
бумаг;
• место (места) и порядок ознакомления с проспектом эмиссии.
Кроме того. Федеральным законом «О рынке ценных бумаг» установлено,
что эмитент раскрывает информацию о своих ценных
бумагах и своей финансово-хозяйственной деятельности в двух
формах:
Не позднее чем через 30 календарных дней после окончания квартала
представляет в регистрируемый орган ежеквартальный отчет.
Не позднее чем через пять дней после возникновения публикует
сообщение о существенных фактах, затрагивающих финансово-хозяйственную
деятельность эмитента.
Ежеквартальный отчет эмитента должен содержать следующую информацию:
• КОДЫ, присвоенные регистрирующим органом сообщениям о раскрытых
в отчетном квартале существенных фактах, затрагивающих
финансово-хозяйственную деятельность эмитента;
• данные о финансово-хозяйственной деятельности эмитента (бухгалтерский
баланс, счета прибылей и убытков на конец отчетного квартала);
• факты, повлекшие увеличение чистой прибыли или убытков эмитента
более чем на 20% в течение отчетного квартала по сравнению с
предыдущим кварталом;
• данные о формировании и использовании резервного и других специальных
фондов эмитента.
К существенным фактам относятся следующие сведения:
• изменения в списке лиц, входящих в органы управления эмитента
(за исключением общего собрания участников в ООО и общего собрания
акционеров в акционерных обществах);
• изменения в размере участия лиц, входящих в органы управления
эмитента, в уставном капитале эмитента, а также его дочерних и зависимых
обществ, участие этих лиц в капитале других юридических лиц,
если они владеют более чем 20% указанного капитала;
• изменения в списке владельцев (акционеров) эмитента, владеющих
20% уставного капитала эмитента и более;
• изменение в списке юридических лиц, в которых данный эмитент
владеет 20% уставного капитала и более;
• реорганизация эмитента, его дочерних и зависимых обществ;
• начисление и (или) выплата доходов по ценным бумагам эмитента;
• погашение ценных бумаг;
• выпуски ценных бумаг, приостановленные или признанные несостоявшимися;
• появление в реестре эмитента лица, владеющего более чем 25%
его эмиссионных ценных бумаг любого отдельного вида.
V этап. Размещению подлежат только те эмиссионные ценные бумаги,
которые прошли регистрацию в установленном законом порядке.
Таким образом, эмитент может начинать размещение ценных бумаг только
после их регистрации и не ранее чем через две недели после раскрытия
информации о государственной регистрации выпуска и обеспечения
всем потенциальным приобретателям возможности доступа к информации,
которая отнесена к раскрываемой.
Если для эмиссии ценных бумаг выбрана подписка или конвертация
их в акции или облигации, то размещение должно быть завершено в срок,
указанный в зарегистрированном решении, который не может превышать
одного года со дня утверждения решения о выпуске ценных бумаг.
Распределение акций среди акционеров и конвертация в акции с большей
(меньшей) номинальной стоимостью, в акции с иными правами, при
дроблении или консолидации завершаются в сроки, установленные законодательством
Российской Федерации.
В ходе размещения ценных бумаг эмитент не может разместить больше
указанного в проспекте эмиссии количества. В процессе эмиссии он может
изменить цену размещения, но не может предоставлять преимущество приобретения
ценных бумаг одним инвесторам перед другими. (Это ограничение
не применяется при эмиссии государственных ценных бумаг; при предоставлении
акционерам преимущественного права выкупа нового выпуска
цепных бумаг в количестве, пропорциональном числу принадлежащих им
акций в момент принятия решения об эмиссии; при введении эмитентом
ограничений на приобретение ценных бумаг нерезидентами.)
Выпускаемые эмитентом акции и облигации должны размещаться
по рыночной цене. При этом цена акции не может быть ниже их номинальной
стоимости.
Эмитент может проводить размещение собственными силами или
привлекать к этому андеррайтера.
В ходе размещения регистрирующий орган может приостановить
эмиссию при выявлении нарушений установленного порядка. Для возобновления
размещения требуется специальное разрешение ФКЦБ.
При размещении ценных бумаг возможны крупные сделки или сделки,
в совершении которых имеется заинтересованность. Для заключения
таких сделок необходимо решение о согласии, которое принимается
до совершения такой сделки в соответствии с Федеральным законом «Об
акционерных обществах» и «Стандартами эмиссии». При этом решение
о согласии на совершение крупной сделки, связанной с размещением
обыкновенных акций или привилегированных акций, конвертируемых
в обыкновенные, составляющих от 25 до 50% ранее размешенных акций,
принимается советом директоров единогласно. Если единогласия
нет, то вопрос выносится на общее собрание акционеров, которое принимает
решение о согласии на совершение крупной сделки, составляющей
свыше 50% ранее размешенных акций.
Реализация выпускаемых акций может происходить следующим образом:
Прием от акционеров в установленном порядке взносов в уставный
капитал (взносы могут быть в виде наличных денежных средств,
материальных ценностей, иностранной валюты, нематериальных активов,
ценных бумаг, эмитированных третьими лицами).
Продажа акций (заключение эмитентом с покупателями договоров
купли-продажи акций на оговоренное число акций).
Переоформление ранее внесенных паев в акции (при преобразовании,
например, паевого банка в акционерный).
Капитализация собственных средств с распределением соответствующего
количества акций среди акционеров.
Замена конвертируемых ценных бумаг на объявленные акции (привилегированные
или обыкновенные).
VI этап. Отчет об итогах выпуска ценных бумаг представляется
после завершения размещения. Окончанием размещения считается:
• наступление указанного в решении срока окончания размещения;
• истечение одного года с даты утверждения решения о выпуске ценных
бумаг;
• дата последней сделки с размещаемыми ценными бумагами.
Эмитент должен представить отчет об итогах выпуска в регистрирующий
эмиссию орган не позднее чем через 30 дней после завершения
размещения. (Регистрация отчета об итогах выпуска акций, распределяемых
среди учредителей при образовании акционерного общества,
осуществляется одновременно с государственной регистрацией выпуска
этих акций.)
В отчете об итогах выпуска должна быть отражена следующая информация:
Даты начала и окончания размещения. Для распределения среди
учредителей и акционеров — дата распределения; при подписке - фактические
начало и окончание размещения; при конвертации дата фактической
конвертации или срок, в течение которого она была фактически
осуществлена.
Номинальная стоимость каждой ценной бумаги выпуска.
Фактическое количество размещенных ценных бумаг. При распределении
среди учредителей и акционеров — количество фактически
распределенных акций; при подписке отдельно указывается количество
фактически размещенных ценных бумаг, оплачиваемых денежными средствами
в рублях, иностранной валюте и иным имуществом; при конвертации
— количество ценных бумаг, фактически размещенных путем
конвертации в них ценных бумаг каждого вида.
Цена или цены размещения с указанием количества ценных бумаг,
распределяемых по каждой цене размещения.
Общий объем поступлений за размещенные ценные бумаги по видам
поступивших средств.
Если была предусмотрена доля акций, при неразмещении которой
выпуск акций признается несостоявшимся, то указывается такая
доля.
Доля размещенных и неразмещенных ценных бумаг выпуска (в
процентах от общего количества ценных бумаг выпуска).
Сумма эмиссионного дохода.
Сведения о крупных сделках и сделках, в совершении которых
имеется заинтересованность.
1 Сведения об акционерах, владеющих не менее чем 2% голосующих
акций общества, а также о руководителях акционерного общества
и принадлежащих им акциях.
Если в ходе размещения оплата ценных бумаг производилась в неденежной
форме, то одновременно с отчетом об итогах выпуска представляется
заключение независимого оценщика о стоимости имущества,
внесенного в оплату ценных бумаг.
Регистрация отчета регистрирующим органом должна быть проведена
в течение двух недель с даты представления отчета эмитентом.
При регистрации отчета эмиссия может быть признана несостоявшейся.
Это происходит в том случае, если эмитенту отказано в регистрации
или в случае неразмещения предусмотренной обязательной доли размещения
акций, а также в случае неразмещения ни одной ценной бумаги
выпуска.
Если эмиссия признается несостоявшейся, то государственная регистрация
выпуска аннулируется, а эмитент должен привести все в исходное
положение, т.е. все ценные бумаги данного выпуска подлежат
возврату эмитенту, а средства, полученные эмитентом, должны быть
возвращены владельцам.
Все издержки, связанные с выпуском эмиссионных ценных бумаг,
который признан несостоявшимся, и с возвратом средств владельцам,
относятся за счет эмитента.
В случае нарушения, выражающегося в выпуске ценных бумаг в
обращение сверх объявленного в проспекте эмиссии, эмитент обязан
обеспечить выкуп и погашение ценных бумаг, выпущенных в обращение
сверх количества, объявленного к выпуску.
Если эмитент в течение двух месяцев не обеспечит выкуп и погашение
ценных бумаг, выпущенных в обращение сверх количества, объявленного
к выпуску, то ФКЦБ вправе обратиться в суд о взыскании
средств, неосновательно полученных эмитентом.
VII этап. Эмитент должен представить отчет об итогах выпуска общему
собранию акционеров, на котором он должен быть утвержден.
Кроме того, эмитент раскрывает информацию о завершении размещения
в установленном порядке.
VIII этап. После регистрации отчета об итогах выпуска дополнительных
акций, размещаемых путем подписки, в устав акционерного
общества вносятся изменения, связанные с:
1) увеличением уставного капитала на номинальную стоимость фактически
размещенных дополнительных акций;
2) увеличением числа размещенных акций соответствующих категорий
(типов);
3) уменьшением числа объявленных акций соответствующих категорий
(типов).
Основанием для внесения изменений в устав служат:
• решение об увеличении уставного капитала путем размещения дополнительных
акций;
• зарегистрированный отчет об итогах выпуска дополнительных
акций.
ОСНОВНЫЕ ОПРЕДЕЛЕНИЯ
Эмиссия — установленная законом последовательность действий
эмитента по размещению эмиссионных ценных бумаг, т.е. действия,
которые охватывают подготовку к выпуску, сам выпуск ценных бумаг
и отчуждение их первым владельцам путем заключения гражданско-
правовых сделок, осуществляемые эмитентом самостоятельно или
андеррайтером по договору с ним.
Андеррайтинг — это посредническая деятельность, имеющая своей
целью размещение ценных бумаг.
Андеррайтер — профессиональный участник рынка ценных бумаг,
принимающий на себя определенные обязательства перед эмитентом по
размещению его эмиссионных ценных бумаг на согласованных условиях
и за вознаграждение.
Первичная эмиссия — эмиссия с целью формирования уставного капитала.
Последующие эмиссии - дополнительные эмиссии, которые проводятся
после формирования уставного капитала.
Открытая эмиссия — эмиссия, при которой круг потенциальных
инвесторов не ограничен, т.е. ценные бумаги предлагаются широкой
публике.
Закрытая эмиссия — эмиссия, при которой круг потенциальных инвесторов
заранее определен.
Подписка — эмиссия, которая осуществляется на возмездной основе
и предполагает заключение договоров купли-продажи между инвестором и эмитентом или между инвестором и андеррайтером, реализующим
ценные бумаги эмитента по его поручению.
Процедура эмиссии — выполнение эмитентом установленных действий,
обеспечивающих эмиссию ценных бумаг.
ГЛАВНЫЕ ВЫВОДЫ
Эмиссия ценных бумаг является одним из источников привлечения
финансовых средств. Она используется как государством, органами
власти и управления, так и отдельными юридическими лицами, которым
предоставлено право выпуска ценных бумаг.
Эмиссия составляет основу первичного рынка ценных бумаг. Его
участниками являются эмитенты, инвесторы, органы, регистрирующие
выпуск ценных бумаг.
Эмиссия ценных бумаг представляет собой строго регламентированный
со стороны государства процесс, обеспечивающий прозрачность
рынка цепных бумаг.
как представителей капитала, титулами или представителями которого
они являются. С одной стороны, капитал объединяет виды ценных
бумаг в единую систему, а с другой — в соответствии с его делением
происходит деление ценных бумаг на их экономические виды.
Система ценных бумаг как титулов (представителей) капитала изображена
на рис.
Функционирующий, или действительный, капитал любой хозяйственной
организации может иметь два источника: капитал уставный, или
собственный, и капитал, полученный от других лиц (юридических, физических)
и по которому организация несет установленные обязательства перед ними, или заемный капитал.

Соответственно этому ценные бумаги как представители
действительного капитала делятся на два
класса: долевые, или совладельческие, цепные бумаги и долговые, или
обязательственные, ценные бумаги.
Класс долевых ценных бумаг в России представлен только акциями
(и появившимися сравнительно недавно инвестиционными паями, которые
по российскому законодательству еще пе получили статус цепной
бумаги). Все остальные виды ценных бумаг, указанные ранее, есть долговые
ценные бумаги.
Получение заемного капитала может осуществляться либо в денежной
форме, либо в товарной форме. В соответствии с этим долговые
ценные бумаги могут быть либо представителем денег, либо представителем
товара. В первом случае это финансовый вексель, облигация,
закладная. Во втором случае это товарный вексель, складские свидетельства,
коносамент. Как следует их сказанного, экономическая природа
векселя неоднозначна. С одной стороны, он есть долговая ценная
бумага, а с другой — в зависимости от того, что передается в долг по
векселю или что является основанием для его выпуска - товар или денежная
сумма, вексель может быть либо товарным, либо финансовым
(денежным). Из формы векселя и произошли все остальные долговые
ценные бумаги.
Деление долговых ценных бумаг как представителей товара на свои
виды связано с фазами его обращения. Если товар отдается в пользование,
то это товарный вексель; если он отдается на хранение, то это складское
свидетельство; если он отдается в процессе перевозки, то это коносамент.
Деление долговых ценных бумаг как представителей денег на упомянутые
виды не связано с каким-либо особым экономическим содержанием,
а отражает условия, на которых деньги функционируют в качестве
заемных средств.
Экономически все виды долговых цепных бумаг как представителей
денег есть одна и та же цепная бумага под общим названием, например
«облигация» или «вексель» (финансовый), т.е. между ними нет капитального
различия.
Обычно по всем этим видам долговых ценных бумаг выплачивается
доход в форме процента к их номинальной стоимости, и возвращается
сам этот номинал. Выплата дохода может производиться либо через
определенные временные промежутки (например, раз в полгода), либо
при гашении ценной бумаги. Соответственно возврат номинала может
происходить по частям или при гашении ценной бумаги. Различные сочетания
форм уплаты процентов (дохода) и выплаты номинала образуют существующие виды основополагающих долговых ценных бумаг
(вариант А):

Различия между долговыми ценными бумагами принимают в дальнейшем
более конкретный и внешний по отношению к их экономической
природе характер. Например, осуществляется ли обращение с согласия
государства (государственная регистрация) или в этом нет необходимости;
каким образом происходит передача прав по ценной бумаге; могут
ли они быть средством платежа (расчетов) или нет. Описанные различия
между долговыми ценными бумагами как представителями денег
приведем в табличной форме (табл. 1).

Различия между перечисленными видами ценных бумаг в их конкретных
формах могут состоять также и в сроках обращения: облигации
и закладные часто выпускаются на сроки вплоть до нескольких десятков
лет, а векселя — обычно на срок до 1 года.
Следует подчеркнуть, что все эти конкретные различия между ценными
бумагами, раз они не определяются их экономической природой,
могут видоизменяться по воле законодателя (государства) или того,
кто их выпускает в обращение, в зависимости от потребностей рынка.
В конце концов никто не мешает, к примеру, ввести государственную
регистрацию выпусков векселей или, например, разрешить передачу
закладной по соглашению сторон.
Исторически сложившиеся различия экономических видов долговых
ценных бумаг в соответствии с вариантом А стираются по мере появления
все новых их форм, поскольку на самом деле сочетаний способов
выплаты дохода и номинала не четыре, а девять (вариант Б):

Итак, вариант Б наглядно показывает, что между долговыми ценными
бумагами нет нестираемых различий даже в части комбинирования
выплаты дохода и возврата их номинала. Развитие конкретных форм
долговых ценных бумаг как представителей денежного капитала ведет
ко все большему стиранию различий между ними, что и доказывает их
абсолютно одинаковую экономическую сущность.
Если обратить внимание на треаье и на девятое сочетаР1ия в варианте
Б, то нетрудно заметить, что такой комбинации отвечает другая
классическая ценная бумага - акция. Третье сочетание условно подходит
с учетом того, что владелец акции имеет право на пропорциональную
стоимость принадлежащих ему акций, часть имущества компании
в случае ее ликвидации. Может создаться видимость, что по
своей экономической природе акция и ценная бумага (например, облигация) мало чем отличаются или отличаются лишь внешней
формой проявления одних и тех же нрав на капитал и на доход. Однако
это не так. Экономическая природа акции принципиально отличается
от всех других рассмотренных видов ценных бумаг. Это отличие
состоит в том, что в форме акции имеет место образование новой
формы собственности акционерной, что совершенно не характерно
для других ценных бумаг, выпуск и обращение которых не влияют на
изменение или преобразование собственности лица, обязанного по ним.
Эта особенность акции частично находит отражение в особом праве,
которое она в своей простейшей форме предоставляет своему владельцу,
— праве на участие в управлении акционерным обществом.
Однако в мировой практике имеются прецеденты предоставления такого
права даже владельцам облигаций.
Следовательно, экономическая суть акций в отличие от других ценных
бумаг состоит в том, что она есть единство двух свидетельств:
а) процентного свидетельства, или свидетельства о нраве на доход
(плюс на остаток имущества, в котором был воплощен вложенный владельцем
акции капитал);
б) свидетельства общей формы собственности, а точнее, свидетельства
совладения акционерным обществом.
Как процентное свидетельство акция очень близка к долговой ценной
бумаге, как свидетельство совладения она абсолютно противоположна ей.
Иначе можно сказать, что между облигациями, векселями
и закладными нет неустранимых различий, а между ними и акциями
есть.
Классификация ценных бумаг как представителей различных видов
капитала па разных стадиях его обращения образует скелетную основу
системы ценных бумаг. Но как было рассмотрено в параграфе 5, форма
ценной бумаги имеет целый ряд реквизитов, или экономических характеристик,
наряду с их сущностным (капитальным) содержанием.
Указанные рыночные характеристики обычно имеют попарно-противоположный
характер (например, бумажная или безбумажная формы существования
ценной бумаги), а потому ценные бумаги могут классифицироваться
в зависимости от того, какому признаку из соответствующей их пары они отвечают. Совокупность этих признаков, присущих
ценной бумаге, составляет ее экономическое содержание.
Набор характеристик, которыми обладает любая ценная бумага,
включает:
Временные характеристики:
• срок существования ценной бумаги: когда выпущена в обращение,
на какой период времени или бессрочно.
Пространственные характеристики:
• форма существования: бумажная, или, выражаясь юридически, документарная
форма, или безбумажная, бездокументарная форма;
• национальная принадлежность: ценная бумага отечественная или
другого государства, т.е. иностранная.
Рыночные характеристики:
• порядок фиксации владельца: ценная бумага на предъявителя или
на конкретное лицо (юридическое, физическое);
• форма выпуска: эмиссионная, т.е. выпускаемая отдельными сериями,
внутри которых все ценные бумаги совершенно одинаковы по своим
характеристикам, или неэмиссионная (индивидуальная);
• вид эмитента, т.е. того, кто выпускает на рынок ценную бумагу:
государство, корпорации, частные лица;
• степень обращаемости: свободно обращается на рынке или есть
ограничения;
• уровень риска: высокий, низкий и т.п.;
• наличие начисляемого дохода: выплачивается по ценной бумаге
какой-то доход или нет;
• порядок передачи (форма обращения): вручение, уступка прав требования
(цессия или индоссамент);
• регистрируемость: регистрируемая или нерегистрируемая;
• вид номинала: постоянный или переменный.
Деление ценных бумаг на группы в соответствии с перечисленными
характеристиками приведено в табл.

Ценные бумаги, выпускаемые на весь срок существования лица,
обязанного по ним, напрямую не связаны с каким-либо временным периодом,
а потому они есть бессрочные бумаги. К ним обычно относятся
акции. Ценные бумаги, выпускаемые на какой-то ограниченный период
времени, независимо от того, задан он при выпуске ценной бумаги или
будет определен в ходе ее обращения, составляют группу срочных ценных
бумаг.
Срочные ценные бумаги — это ценные бумаги, имеющие установленный
при их выпуске срок существования или порядок установления
этого срока. Обычно срочные бумаги делятся на три подвида:
• краткосрочные, имеющие срок обращения до 1 года;
• среднесрочные, имеющие срок обращения свыше 1 года в пределах
до 5 10 лет;
• долгосрочные, имеющие срок обращения до 20—30 лет.
Срочные ценные бумаги, срок обращения которых ничем не регламентирован,
т.е. они существуют до момента погашения, дата которого
никак не обозначена при выпуске ценной бумаги, а установлен лишь
порядок их гашения (выкупа), называются отзывными.
Классическая форма существования ценной бумаги — это бумажная
форма, при которой ценная бумага представлена в форме документа.
Развитие рынка ценных бумаг требует перехода многих видов ценных
бумаг, прежде всего эмиссионных, к бездокументарной форме.
Инвестиционные (капитальные) ценные бумаги — ценные бумаги,
являющиеся объектом для вложения денег как капитала, т.е. с целью
получения дохода.
Не инвестиционные ценные бумаги — ценные бумаги, обслуживающие
денежные расчеты на товарных или других рынках. Обычно в этой
роли выступают коносаменты, складские свидетельства, векселя.
Владение ценной бумагой может быть именное или на предъявителя.
Предъявительская ценная бумага не фиксирует имя ее владельца, и ее
обращение осуществляется путем простой передачи от одного лица к
другому. Именная ценная бумага содержит имя ее владельца и, кроме
того, регистрируется в специальном реестре. Обычно она передается по
соглашению сторон, или путем цессии.
Если именная ценная бумага передается другому лицу путем совершения
на ней передаточной надписи (индоссамента) или приказа ее владельца,
то она называется ордерной ценной бумагой.
Государственные ценные бумаги — это обычно различные виды облигаций,
выпускаемые государством. Негосударственные ценные бумаги
- это ценные бумаги, которые выпускаются в обращение корпорациями
(компаниями, банками, организациями) и даже частными лицами.
Основные виды ценных бумаг являются рыночными, т.е. могут свободно
продаваться и покуна1ься на рынке. Однако в ряде случаев обращение
ценных бумаг может быть ограничено, и ценную бумагу нельзя
продать никому, кроме как тому, кто ее выпустил, и то через оговоренный
срок. Такие бумаги называются нерыночными.
С точки зрения начисляемого дохода ценные бумаги, как правило,
являются доходными, но могут быть и бездоходными, когда для их
владельца они есть простое свидетельство на товар или на деньги, а
не капитал. Доход по ценной бумаге может начисляться в форме дивиденда
(акции), процента (долговые бумаги) или дисконта, т.е. разницы
между номиналом ценной бумаги и более низкой ценой ее приобретения.
Эмиссионные ценные бумаги выпускаются обычно крупными сериями,
в больших количествах, и внутри каждой серии все ценные бумаги
абсолютно идентичны. Это обычно акции и облигации. Не эмиссионные
ценные бумаги выпускаются поштучно или небольшими сериями.
По российскому законодательству каждая ценная бумага имеет свой
номинал или номинальную стоимость. Однако в мировой практике разрешается
выпуск, например, акций без денежною номинала или с нулевым
номиналом. В этом случае указывается, какую долю в уставном
капитале составляет одна акция, а потому ее номинал, исчисленный
путем деления уставного капитала на число акций, меняется каждый
раз с изменением размеров этого капитала, а не остается неизменным,
как в случае, когда номинал ценной бумаги задан при ее выпуске. Если
ценная бумага выпускается с указанием денежного номинала, то это
бумага с постоянным номиналом. Если ценная бумага выпускается без
денежного номинала (с нулевым номиналом), то это бумага с переменным
номиналам.
Выпуск ценных бумаг может сопровождаться или не сопровождаться
их обязательной регистрацией в органах государственного управления.
Обычно государственной регистрации подлежат эмиссионные ценные
бумаги, так как их выпуск затрагивает интересы большого числа
участников рынка. По российскому законодательству обязательной
регистрации подлежат выпускаемые акции, o6jmraHHH. Остальные виды
российских ценных бумаг независимо от размеров их выпуска государственной
регистрации не подлежат.
По уровню риска ценные бумаги условно подразделяются на без рисковые
и рисковые. Без рисковые - это бумаги, по которым риск практически
отсутствует. В мировой практике эго краткосрочные (срок 1--
3 месяца) государственные долговые обязательства (казначейские векселя).
Все остальные ценные бумаги по уровню риска принято делить
на низко рисковые (это обычно государственные бумаги), средне рисковые
(это обычно корпоративные облигации) и высоко рисковые (это
обычно акции). Существуют и более высоко рисковые, чем акции, ценные
бумаги и другие инструменты рынка.
Графически место основных видов доходных ценных бумаг с точки
зрения соотношения в них риска и уровня доходности принято изображать
следующим образом (рис. 5).

Рис. Зависимость дохода от риска
С учетом описанных ранее характеристик система российских ценных
бумаг в сравнительном виде представлена в табл.
В свою очередь, каждый из видов основных ценных бумаг делится
на подвиды и т.п., вплоть до ценной бумаги, выпускаемой конкретным
лицом. В этом смысле каждый вид ценной бумаги представляет собой
систему внутри самого себя, которая есть подсистема во всей системе
ценных бумаг. Дифференциация видов ценных бумаг на подвиды и группы
рассматривается в главах, посвященных соответствующей ценной
бумаге.


В своей совокупности экономические реквизиты дают наименование
той или иной ценной бумаге. Парадокс заключается в том, что чем
больп1им числом этих реквизитов обладает та или иная денная бумага,
тем меньше она отличается от других ее видов. Неизменными остаются
лишь те ее отличия, которые ведут свое происхождение от капитала,
свидетельством которого она является.
ОСНОВНЫЕ ОПРЕДЕЛЕНИЯ
Ценная бумага это закрепленные в соответствии с законом имущественные
права в документарной или бездокументарной формах, представляющие
собой движимое имущество.
Действительный капитал капитал, непосредственно участвующий
в производстве и реализации прибавочной стоимости.
Фиктивный капитал — каптал, не участвующий в производстве и
реализации прибавочной стоимости.
Капитализация — это процесс превращения актива, приносящего
доход, в капитал.
Кругооборот ценной бумаги — это исторические этапы се существования.
Выпуск ценной бумаги — это обмен ссудного капитала (в товарной
или денежной форме) на титул имущественных прав, на ценную бумагу.
Обращение ценной бумаги это переход прав собственности на нее.
Гашение ценной бумаги — это ее обратный обмен на действительный
капитал.
Потребительная стоимость ценной бумаги — это взятые как единое
целое права, которыми наделена ценная бумага.
Качество ценной бумаги — это мера реализации прав, которыми она
наделена.
Ликвидность ценной бумаги — это сочетание нрава на передачу ее
от одного владельца к другому с осуществимостью этого права.
Доход по ценной бумаге — это доход в абсолютном или относительном
выражении, который она приносит за определенный период времени.
Начисляемый доход это доход, который приносит ценная бумага
как представитель действительного капитала.
Дифференциальный доход это доход, который приносит ценная
бумага в качестве фиктивного капитал; это положительная разница
между ценами ее продажи и покупки.
Риск ценной бумаги - это неопределенность, связанная с реализацией
ее прав.
Нарицательная стоимость ценной бумаги — величина стоимости
действительного капитала, которую она представляет.
Номинал ценной бумаги — это сумма денег, которую она представляет
в момент своего обмена на действительный капитал; это денежное
выражение нарицательной стоимости.
Рыночная стоимость ценной бумаги - это результат капитализации
ее имущественных прав.
Рыночная цена ценной бумаги — денежная оценка ее рыночной стоимости.
Реквизиты ценной бумаги — установленный по закону набор ее экономических
и неэкономических характеристик, или набор обязательных
сведений о ней.
Форма существования ценной бумаги — это ее материальное бытие в
бумажной (документарной) или безбумажной (бездокументарной) форме.
Срок существования ценной бумаги — это период времени ее кругооборота.
Принадлежность — это порядок фиксации права собственности владельца
ценной бумаги.
Владелец ценной бумаги — это лицо, которое обменивает действительный
капитал на его титул.
Предъявительская ценная бумага — ценная бумага, права собственности
по которой фиксируются самим фактом ее владения (т.е. не фиксируется
ни на ней самой, ни где-либо еще).
Именная ценная бумага — ценная бумага, права собственности по
которой неразрывно связаны с ней самой (т.е. зафиксированы на ней
самой или в специальном реестре ее собственников).
Обязанное лицо — это юридическое или физическое лицо, которое
имеет обязательства по ценной бумаге перед ее владельцем.
Права ценной бумаги - это основания, которые позволяют ее владельцу
получать имущественные выгоды от нее.
Основные ценные бумаги — это экономически самостоятельные виды
ценных бумаг, закрепленные юридически.
Вторичные ценные бумаги — это ценные бумаги, представляющие
собой имущественное право на другие виды ценных бумаг и (или) на
доход от них.
Производные инструменты — это имущественные обязательства
сторон, возникающие в результате заключения срочного контракта,
передача которых любой из сторон может осуществляться путем заключения
обратной срочной сделки.
Система ценных бумаг ~ это совокупность ценных бумаг как представителей
капитала (действительного или фиктивного).
Классификация ценных бумаг — это распределение ценных бумаг,
составляющих единую систему, по классам и видам.
ГЛАВНЫЕ выводы
Юридический подход состоит в вычленении из широкого круга документов,
удостоверяющих имущественные права, конкретных документов,
которым присваивается статус ценной бумаги, во многом
исходя из существующего мирового опыта. Отличие статуса документа
как ценной бумаги от других документов, удостоверяющих иму-
Н1ественные права, состоит, во-первых, в том, что этот статус может
устанавливаться только законом или в определенном им порядке,
т.е. ценная бумага — это титул высшего уровня нормотворчества, а
все другие виды титулов — это более низкие уровни юридических
документов; а во-вторых, ценная бумага есть не только представитель
имущественных прав, не только их титул, но и имущество как
таковое.
Ценная бумага — результат отделения функций собственника на
действительный капитал от функций управления этим капиталом в результате
развития крупного капиталистического производства.
Ценная бумага это представитель действительного капитала (в
случае государственных ценных бумаг - косвенный представитель),
который .может быть использован и как ссудный, и как промышленный,
и как товарный капитал, но сама по себе ценная бумага есть форма
вложения ссудного капитала.
Ценная бумага есть одновременно и представитель действительного
капитала, и фиктивный капитал. Данное единство есть экономическая
основа ценной бумаги.
Капитал в форме ценных бумаг имеет тенденцию к самовозрастанию.
Однако развитие этого фиктивного капитала происходит циклично,
а его материальной основой является действительный капитал.
Ценная бумага существует только в сфере обращения, в которой
она совершает свой кругооборот: выпуск, обращение и гашение. Обращение
ценной бумаги позволяет действительному капиталу, представителем
которого она является, максимально сосредоточиться на производстве
прибавочной стоимости.
Ценная бумага имеет присущую ей потребительную стоимость, которая
коренится не в ее материальном содержании, а в ее имущественных
правах. Мерой потребительной стоимости ценной бумаги является
ее качество, которое проявляется в трех основных свойствах: ликвидности,
доходности и риске.
Ликвидность есть форма выражения права на передачу (обращение)
ценной бумаги. Доходность есть проявление капитальной природы ценной
бумаги, двойственный характер которой выражается в двух формах ее дохода: начисляемого дохода и дифференциального дохода.
Риск отражает неопределенность, присущую ценной бумаге как инструменту
рынка.
Ценная бумага в отличие от обычного товара имеет две стоимости
и соответствующие им две цены: нарицательную стоимость и номинал;
рыночную стоимость и рыночную цену.
Сущность ценной бумаги проявляется в ее реквизитах (прежде всего
экономических реквизитах), которые закрепляются законом. К экономическим
реквизитам относятся: форма существования ценной бумаги;
срок ее существования; принадлежность; обязанное лицо по ней; номинал
и предоставляемые ею права.
Ценная бумага может существовать в бумажной или безбумажной
форме. Время существования ценной бумаги как исторического вида
может исчисляться столетиями. Срок существования конкретной ценной
бумаги определяется временем ее кругооборота.
Ценная бумага всегда кому-нибудь принадлежит, однако в зависимости
от порядка фиксации права собственности на нее она может быть
предъявительской или именной. Владелец ценной бумаги обменивает свой
действительный капитал на его титул. Получатель действительного
капитала становится лицом, обязанным по данной ценной бумаге.
Величина действительного капитала, обмениваемая на титул в момент
выпуска или гашения ценной бумаги, фиксируется в форме номинала
этой бумаги на стадии ее выпуска, который используется для
определения размеров капитала компании и величины дохода, начисляемого
владельцам ценных бумаг от функционирования этого капитала.
Владелец действительного капитала обменивает его на ценную бумагу.
Это означает приобретение им соответствующих имущественных
(и неимущественных) прав, позволяющих иметь отвечающие его интересам
имущественные и другие выгоды, прежде всего в виде получения
права на доход.
Ценная бумага дает ее владельцу две группы прав:
а) права, вытекающие из капиталистической сути ценной бумаги:
• право на возврат номинала (в денежной или товарной форме);
• право получения начисляемого дохода;
• право передачи ее другому владельцу;
б) дополнительные права, вытекающие из условий экономической
конкуренции:
• права в области управления и контроля за деятельностью обязанного
по ценной бумаге лица;
• права обмена на другие ценные бумаги;
• права преимущественного и (или) льготного приобретения новых
ценных бумаг;
• права досрочного изъятия из обращения;
• права на дополнительную информацию и т.п.
Ценная бума1' а благодаря присущим ей правам выполняет платежно -
расчетные функции, функции мобилизации, перераспределения и возрастания
капитала. Она является инструментом расчетов, инвестирования,
спекулирования и т.п.
Юридические виды российских ценных бумаг объединяются в шесть
основных экономических видов: акция, облигация, вексель, закладная,
коносамент, складское свидетельство.
Кроме основных ценных бумаг в мировой практике существуют
вторичные ценные бумаги, которые представляют собой титулы основных
ценных бумаг. Однако в российском законодательстве вторичные
ценные бумаги пока отсутствуют.
Производные инструменты не являются ценными бумагами, так как
они — титулы будущего капитала, а не действительного, реально существующего
капитала.
Производные инструменты — это инструменты рынка, подобные
ценным бумагам в бездокументарной форме, так как они обращаются в
порядке, аналогичном купле-продаже ценных бумаг.
В зависимости от того, какой капитал и какую стадию его функционирования
отражают ценные бумаги, они делятся на классы: долевые
(акции) и долговые. Долговые ценные бумаги делятся на ценные бумаги
как представители капитала в товарной и в денежной формах. Отражением
различных фаз движения товарного капитала являются вексель
(товарный), складское свидетельство и коносамент. Долговые ценные
бумаги как представители денежного капитала исторически разделились
на вексель (финансовый), облигации и закладные в зависимости от
сочетания форм выплаты дохода по ним и возврата капитала. Однако
развитие все новых конкретных форм этих долговых ценных бумаг стирает
ранее существовавшие различия между ними, высвечивая их единую
экономическую природу, внутри которой ценные бумаги различаются
по экономическим признакам, или по экономическому содержанию,
которое лежит в основе их деления на группы, виды и подвиды.
Если первичный рынок связан с появлением ценных бумаг
на рынке (их выпуском и размещением), то вторичный рынок создает
необходимые условия для их обра1цения. Под обращением ценных бумаг
понимается переход права собственности от одного их держателя (владельца)
к другому при заключении ими гражданско-правовых сделок. При
этом следует также иметь в виду, что гражданско-правовые сделки могут
совершаться как на рыночных условиях, так и на основе гражданско-
правовых норм, определенных Гражданским кодексом РФ. Состав и характер
сделок при этом будут разные. Для рынка ценных бумаг необходимы
спрос и предложение, поэтому сделка подразумевает взаимное
согласование условий и цены. Гражданско-правовые нормы четко определяют
условия тех или иных сделок, они становятся законом и не могут
согласовываться или оспариваться сторонами. На рынке ценных бумаг
их обращение принимает форму сделки купли-продажи или обмена (мены).
Гражданско-правовые сделки предусматривают, что переход права собственности
может произойти при таких сделках, как мена, дарение, наследование.
Право собственности от одного держателя к другому может
перейти и по решению суда, при приватизации, внесении ценных бумаг в
качестве взноса в уставный капитал (рис. 11).
На рынке ценных бумаг их обращение регламентируется как государством,
так и самими участниками рынка через устанавливаемые ими
правила торговли, стандарты и нормы поведения.
Для обращения ценных бумаг на рынке характерна определенная
последовательность действий, которой обязаны придерживаться
профессиональные участники рынка ценных бумаг

Листинг необходим дня допуска ценных бумаг на тот или иной рынок
(биржевой или внебиржевой), выдвигающий совокупность требований, которым
должны соответствовать ценные бумаги, выступающие объектом
сделок. Только после листинга как продавец, так и покупатель могут давать
посредникам торговые поручения на продажу или покупку ценных
бумаг.
Наиболее сложным этапом обращения являются торги ценными бумагами.
Торги ценными бумагами могут происходить только в том случае,
если их участники будут располагать необходимой информацией, достаточной
для согласования условий сделки. Такая информация формируется
на основе торговых поручений (приказов) непосредственных продавцов
и покупателей ценных бумаг, а также на основе заявок, которые
представляют участники торгов.
В зависимости от системы организации торгов в ряде случаев может
требоваться предварительное депонирование ценных бумаг и денежных
средств.
Если в результате торгов произошло заключение сделки, то торговая
система должна создать необходимые условия для сверки параметров сделки отдельными участниками.

По результатам такой сверки торговая
система гарантирует равенство объемов покупки и продажи, возможность
подбора сделок, а участники сделок исключают технические
ошибки, связанные с заключением сделок.
Согласно действующему законодательству факт совершения сделки
не означает перехода прав собственности на ценные бумаги. Для этого
необходимо исполнение сделки, которому предшествуют клиринг и расчеты
по сделкам. Основное назначение клиринга состоит в выявлении
позиций участников сделок (обеспечение требований и обязательств).
Переход права собственности на ценные бумаги связан со следующими
проблемами.
Прежде всего необходимо подчеркнуть, что переход права собственности
на ценную бумагу означает и переход к новому держателю тех
имущественных прав, которые закреплены за той или иной ценной бумагой
(рис. 13).

Поэтому о переходе права собственности, а следовательно, и о передаче
имущественных прав, закрепленных за ценной бумагой, должен бытъ извещен
тот, кто осуществляет эти имущественные права, и тот, кто учитывает
как право собственности, так и право на имущественные права по ценным
бумагам — номинальный держатель, депозитарий, регистратор (держатель
реестра). При этом ответственность за своевременное уведомление о переходе
права собственности лежит на приобретателе ценной бумаги.
Имущественные права, закрепленные за ценной бумагой, должен
обеспечивать эмитент или уполномоченное им лицо. При этом эмитент
обязан осуществлять имущественные права по предъявленным ценным
бумагам в следующем порядке (табл. 11):

Каким же образом фиксируется право собственности на ценную
бумагу? Форма удостоверения права собственности на ценную бумагу
зависит от формы ее существования, а также места нахождения
(табл. 12).

Учет прав собственности именных ценных бумаг документарной
формы выпуска, помещенных на хранение в депозитарий, ведется на
основании записи на счете депо о количестве ценных бумаг, находящихся
в централизованном (коллективном) или обособленном хранении.
Именная ценная бумага может находиться у владельца, тогда право
собственности будет удостоверяться не только сертификатом, но и записью
на лицевом счете в реестре, и для осуществления имущественных
прав, как было отмечено ранее, необходимо совпадение имени владельца,
указанного в сертификате и на лицевом счете.
В случае бездокументарных ценных бумаг, которые могут быть
только именными, право собственности удостоверяется либо записью
на счете депо, либо на лицевом счете в зависимости от принятой системы
учета прав (места нахождения).
Форма удостоверения права собственности для документарных ценных
бумаг на предъявителя будет зависеть от их места нахождения: если
ценная бумага находится у владельца, то право собственности удостоверяется
только сертификатом, если она помещена владельцем в депозитарий
— то записью на счете депо.
Переход права собственности на ценную бумагу будет означать изменение
формы удостоверения права собственности (табл. 13).

Чаще всего перерегистрацией права собственности на ценные бумаги
занимается держатель реестра (сам эмитент или независимый регистратор).
Он обязан вносить в реестр записи о переходе права собственности
на ценные бумаги при представлении передаточного распоряжения,
которое может представить лицо, зарегистрированное в
реестре. Таким лицом может быть продавец, передающий ценные бумаги
приобретателю. Переданное распоряжение может представить и
покупатель, на лицевой счет которого должны быть зачислены приобретенные
ценные бумаги, или уполномоченный представитель продавца
или покупателя.
Для внесения записи в реестр о переходе права собственности на ценные
бумаги необходимо, чтобы:
• были представлены все установленные действующим законодательством
документы;
• представленные документы содержали всю необходимую информацию;
• количество ценных бумаг, указанное в передаточном распоряжении,
соответствовало тому количеству, которое учитывается на лицевом
счете лица, передающего ценные бумаги;
• была произведена сверка подписи лица, представившего передаточное
распоряжение;
• лицо, представившее передаточное распоряжение, оплатило услуги,
связанные с перерегистрацией права собственности;
• не было блокирования операций по лицевому счету лица, передающего
ценные бумаги.
бумаг отечественных и зарубежных эмитентов, которые будут продаваться
и покупаться в той или иной торговой системе. Как известно,
на фондовом рынке встречается товар различного качества — можно
купить ак1щю надежного эмитента, по которой обеспечиваются высокие
дивиденды, а можно приобрести и суррогаты ценных бумаг. В
случае прохождения процедуры листинга ценная бумага включается в
котировальный бюллетень — Реестр ценных бумаг, допущенных к торгам.
Чем выше степень ор1анизации рынка, тем жестче ограничения
по качеству ценных бумаг, официально включенных в котировальный
бюллетень.
Так, биржевой рынок, или, как его называют в странах с развитой
экономикой, официальный рынок, предполагает наивысшие гарантии
качества. Для того чтобы ценные бумаги стали биржевым товаром, они
проходят процедуру допуска, которая в англоговорящих странах и в
России называется листингом, во Франции — интрадукцией, в Германии
— допуском и т.д.
Внебиржевой организованный рынок также имеет свои стандарты
по допуску ценных бумаг к биржевым торгам, которые по мере развития
рынка все более приближаются к стандартам биржевого рынка.
Неорганизованный, «уличный», свободный или стихийный рынок
не предполагает, что ценные бумаги должны пройти экспертизу качества.
Режим, регулирующий допуск ценных бумаг к котировке, в совокупности
с порядком проведения операций с фондовыми ценностями
обслуживает и регулирует движение финансового капитала. Биржевая
и внебиржевая торговля, совершение операций с фондовыми ценностями
невозможны без котировки, т.е. особого способа формирования,
учета и публикации биржевых цен. Под биржевой котировкой
понимают действия Котировальной комиссии биржи, преследующие
цели:
• допуск ценных бумаг на фондовую биржу для совершения с ними
различных операций после соответствующей проверки и изучения финансового
положения фирм, предлагающих эти фондовые ценности;
• определение величины курса ценных бумаг, а также регистрация и
публикация курсов (цен) на фондовые ценности в биржевых бюллетенях.
Любой компании необходимо внести таким путем в лист (список)
соответствующей биржи свои ценные бумаги, что является обязательной
предпосылкой для допуска к торговле на ней. Иногда фондовые
биржи не только не допускают фондовые ценности, отсутствующие в
листах (списках), к процессу обращения в своих помеп1ениях, но под
страхом самых суровых санкций категорически запрещают зарегистрированным
на них членам осуществлять какие-либо операции с такими
ценностями даже по инициативе клиентов. Все сделки с не внесенными
в биржевые листы ценными бумагами подлежат обсуждению и
исполнению исключительно в частном порядке только между самими
участниками и вне помещения биржи; при этом биржа не несет ответственности
за надежность и законность таких сделок, как не попадающих
под ее юрисдикцию и не отвечающих принятым на ней правилам
и положениям.
Листинг конкретных видов ценных бумаг, т.е. их появление в биржевых
списках, по существу означает разрешение на участие этих бумаг
в торговле и дает им все те привилегии, которыми наделяется любая
другая ценная бумага, уже задействованная в биржевой торговле. С
юридической точки зрения никакая компания изначально не обязана вносить
свои акции и иные ценные бумаги в котировальные листы той или
иной биржи; она лищь имеет на это право, выполнение которого вовсе
не обязательно. В то же время присутствие ценных бумаг компании в
торговле на бирже является столь выгодным и привлекательным, что,
как правило, большинство компаний стремится разместить свои ценные
бумаги на какой-либо одной или даже нескольких биржах.
Если ценные бумаги прошли процедуру листинга, то тем самым повысится
их надежность, возрастает доверие к ним инвесторов, что создает
целый ряд несомненных выгод и привилегий.
Так, компании, внесенные в списки биржи, получают б6льн1ую известность
и популярность (паблисити) среди лиц, занятых в сфере инвестиций,
так как компания, чьи ценные бумаги вносятся в котировальные
листы, должна соответствовать определенным требованиям.
Ликвидность акций, включенных в котировальный лист, выше, и поэтому
желание инвесторов совершать сделки с ними растет, тем самым
облегчается процесс купли-продажи этих акций и обеспечивается
прозрачность деятельности на рынке компании-эмитента.
В случае выпуска компанией, чьи акции котируются на бирже, новых
видов ценных бумаг издержки, связанные с их размещением, окажутся
значительно ниже по сравнению с издержками фирм, чьи ценные
бумаги не обращаются на бирже. Как свидетельствует зарубежный опыт,
в дальнейшем облегчается привлечение заемного капитала. Листинг
повышает эффективность размещения выпуска конвертируемых облигаций
или облигаций с ордерами. Такие облигации легче продать, если
инвесторы смогут впоследствии обменять их на акции, включенные в
котировальный лист. Кроме того, банки и другие финансовые институты
крайне неохотно соглашаются заниматься подпиской на новые выпуски
акций и иных ценных бумаг тех компаний, которые отвечают
отказом на предложения о внесении таких бумаг в биржевые листы хотя
бы на одной бирже. Напротив, компаниям, чьи акции официально допущены
к котировке на ведущих биржах, как правило, легче бывает добиться
доверия и расположения банков и финансовых институтов в случаях
возникновения у них потребности в займах и кредитах, а также
облегчает для компании размещение новых выпусков ценных бумаг.
Компании, ценные бумаги которой прошли процедуру листинга, предлагаются
лучшие условия кредитования, ведь кредиторы могут сравнить
балансовую стоимость активов компании с рыночной, биржевой
оценкой ее деятельности. Если последняя выше первой, то кредиторы
скорее согласятся с возможностью кредитования этой компании. Кроме
того, в этом случае они имеют установочную стоимость для залога.
При прочих равных условиях кредиторы с большей охотой примут в
залог прошедшие процедуру листинга акции, чем вне списочные, — продать
списочные акции легче, если продажа неизбежна из-за несостоятельности
заемщика.
При поглощении и слиянии компаний оценка активов опирается на
курсовую рыночную стоимость акций, а не на книжную, балансовую,
которая у таких компаний, как правило, ниже. Нельзя не принимать во
внимание и то, что для акционерного общества, чьи акции обращаются
на бирже, легче определить установочную стоимость при слияниях и
поглощениях, которая ориентируется на рыночную цену соответствующих
акций. Если же данная финансовая операция организуется в отношении
компании, акции которой не имеют рыночной котировки, то она
вынуждена согласиться с ценой, близкой к книжной стоимости своих
активов, которую сопоставить будет не с чем.
Листинг в ряде стран является основанием для предоставления компании
определенных, более существенных скидок при налогообложении.
Подводя итоги, можно отметить, что листинг обеспечивает большую
рыночность и внимание к компании со стороны инвесторов.
Публикация данных о рынке списочных акций позволяет инвесторам и финансовым
экспертам составить полное представление о рыночном «поведении
» каждого списочного выпуска, что привлекает к этим акциям новых
покупателей, способствует увеличению числа сделок с ними и повышению
их ликвидности. Это в конечном итоге позволяет компании,
чьи акции допущены к обращению на бирже, увеличить число своих акционеров
и распределить собственность между большим числом лиц, а
следовательно меньшим числом акций, управлять большим капиталом,
что облегчает управление компанией теми, кто владеет контрольным
пакетом акций.
Котировка акций на бирже приносит компании дополнительную известность,
способствует формированию благоприятного общественного
мнения о ней, что в свою очередь сказывается на повышении спроса
на ее продукцию и услуги.
Котировка акций на бирже позволяет компаниям занять устойчивые
позиции на рынке. Биржа — это система поддержки рыночной стоимости
акций, так как в своих собственных интересах она осуществляет ряд
мероприятий, направленных на поддержание рыночной стоимости акций
и предотвращение манипулирования ценами, которое могло бы привести
к нежелательным изменениям их стоимости.
Таким образом, листинг — это система поддержки рынка, которая
создает наиболее благоприятные условия для организованного рынка,
позволяет выявить надежные и качественные ценные бумаги и способствует
повышению их ликвидности.
Вместе с тем не следует понимать, что преимущества, которых позволяет
добиться листинг, реализуются автоматически. Часто рынок
проявляет безразличие к тому, прошли ли акции процедуру листинга
или нет. Если компания малоизвестна и не может использовать преимущества листинга, то активность торговли акциями снижается, и акции
перестают удовлетворять требованиям листинга. Иногда цены на такие
акции после листинга находятся на более низком уровне, чем до него.
К тому же, контроль за компанией и ее деятельностью со стороны биржи,
если это предусматривается соглашением о листинге, предполагает
дополнительные обязательства и расходы, связанные с листингом: биржевой
сбор за листинг, ежегодная плата за поддержание листинга и т.д.
Инвестор, покупающий ценные бумаги, включенные в котировальный
лист биржи, может быть уверен в достоверности информации о компании-
эмитенте и рынке ее ценных бумаг. В зарубежной практике компании,
чьи ценные бумаги котируются на бирже, в соответствии с договором
о листинге представляют инвесторам значительно больше
информации о себе и своей деятельности.
Это позволит им оценивать перспективы экономического развития эмитента и качество его ценных бумаг. Котировка на бирже увеличивает ликвидность
акций и позволяет легче реализовывать их.
Таким образом, можно утверждать, что всякий инвестор, решивший
вложить средства во внесенные в листы фондовые ценности, вместе с
ними автоматически приобретает и полный набор преимуществ, которые
песет в себе комплекс средств защиты, предлагаемый фондовыми
биржами. Фондовая биржа, однако, не гарантирует доходность инвестиций
в акции компаний, прошедших листинг.
Получает ряд преимуществ от введения листинга и биржа. Отсев
некачественных ценных бумаг повышает стабильность и ликвидность
рынка, это ведет к увеличению числа участников торговли и их активности,
что в свою очередь способствует росту репутации биржи и ее
доходов. Процесс листинга является одним из элементов контроля за
обращением ценных бумаг на бирже и непосредственно регулируется
самой биржей, которая таким образом предохраняет заключаемые на
ней сделки от мошенничества и злоупотреблений.
В 1992— 1993 гг. некоторые российские фондовые биржи, претендовавшие
на ведущее положение на российском рынке ценных бумаг, объявили
о введении процедуры листинга. Первой среди них была Московская
центральная фондовая биржа. В то время процедура допуска цепных
бумаг к торговле на российских фондовых биржах законодательно
не регулировалась, и биржи устанавливали порядок включения ценных
бумаг в свои списки исключительно самостоятельно. В тот период в
нашей стране листинг не оказывал сколько-нибудь значительного влияния
как на оценку качества ценной бумаги с точки зрения инвестора,
так и на оценку эмитента с точки зрения партнера. Однако все чаще в
нормативных документах упоминались ценные бумаги, имеющие рыночную
котировку.
Например, покупатели — банковские структуры, владеющие ценными
бумагами, включенными в рыночную котировку, как правило, имеют
преимущество в резервировании под их обеспечение по сравнению с
ценными бумагами, такой котировкой не обладающими.
Биржи устанавливают правила для компаний-эмитентов, желающих
включить акции в биржевой список, поэтому на каждой бирже была своя
«технология» допуска ценных бумаг к котировке, различались и требования
к компаниям, желающим котировать свои акции на данной бирже.
Разрабатывая положения о листинге, российские биржи опирались на
мировой опыт.
Например, в Германии существует восемь фондовых бирж, но эмитенту
важнейших немецких ценных бумаг («национальных») достаточно
пройти процедуру листинга хотя бы в одной из них, и его акции могут
котироваться и на остальных семи. Считается, что в Германии установлены
самые либеральные требования к допуску ценных бумаг к
биржевым торгам, более строгие — в Японии и, наконец, самые жесткие
— в США.
Это, по-видимому, объясняется тем, что при допуске к биржевой торговле
ценных бумаг в Германии решающую роль играют кредитные
институты. Без их участия эмитент не может включить свои ценные
бумаги в списки биржи, и кредитные институты, сопровождающие допуск
ценных бумаг эмитента в биржевые торги, принимают на себя такую
же ответственность за качество ценных бумаг, как и их эмитенты.
Банк, стремясь избежать удара по репутации от введения в биржевой
торг «некачественной» ценной бумаги и потерять доверие клиентов,
осуществляет тщательный отбор эмитентов для продвижения их ценных
бумаг на биржу. Благодаря информационной открытости биржевого
рынка, сведения о неблагоприятном положении дел компании-эмитента
быстро становятся достоянием широкой общественности, что может
негативным образом сказаться на деятельности данного кредитного
учреждения.
Поэтому основная проблема для эмитента, желающего пройти процедуру
листинга, найти банк, который возьмет на себя ответственность
ввести его ценные бумаги на биржу. В Германии банки являются
универсальными, и их деятельность распространяется как на осуществление
банковских операций, так и па торговлю ценными бумагами, хранение
и управление ими. Банк, занимаясь подготовкой документа на
допуск, принимает на себя руководство по осуществлению этой процедуры.
Предприятие-эмитент должно просуществовать по крайней мере
три года, прежде чем оно сможет подать ходатайство о допуске своих
ценных бумаг к официальной котировке на бирже.
Вместе с подачей ходатайства представляется официально заверенная
выписка из торгового реестра, последняя регистрация устава, а также
годовые балансы и платежи за три года деятельности. Собственный капитал
компании должен составлять не менее 3,5 млн нем. марок, а
предположительная курсовая стоимость эмиссии — 2,5 млн нем. марок. Для
обеспечения достаточного уровня спроса на акции, допуск которых предусматривается,
необходимо разместить на рынке по крайней мере 25%
уставного капитала, т.е. ценные бумаги свободно обращаются на рынке,
и в них учитываются потребности биржевой торговли. При этом акция
каждого номинала и каждого вида, эмитируемая данной компанией,
проходит процедуру листинга.
Сравним условия допуска на внебиржевой
организованный или, как он называется в Германии, регулируемый
рынок. Первый критерий — срок существования акционерного общества
— не имеет значения, однако если отсутствует финансовый отчет,
банк не станет подвергать себя риску и осуществлять торговлю такими
ценными бумагами.
Собственный капитал должен составлять не менее 500 тыс. нем. марок,
а процент «распыления» акций, т.е. распространения их среди акционеров,
не менее 5%. Таким образом, это рынок акций средних и мелких
предприятий, поэтому правила допуска к торговле менее жесткие,
кроме того, в основном такие предприятия — это собственность семьи,
и банк совместно с клиентом решает, какая часть будет котироваться
на внебиржевом организованном, или регулируемом, рынке.
Для проверки соответствия параметров выпуска ценных бумаг установленным
критериям, а также постоянного анализа инвестиционных
качеств ценных бумаг на биржах создан специальный отдел — отдел
листинга, который решает следующие задачи: осуществляет экспертизу
соответствия показателей, указанных в заявке эмитента, формальным
критериям, установленным биржей, и выносит свои рекомендации.
Если в Германии процедуру листинга наряду с государственными
органами организуют банки, то в Японии окончательное решение о допуске
ценных бумаг к обращению на бирже принимается лично министром
финансов. Отличительной особенностью японской модели организации
листинга является то, что ценные бумаги могут быть включены
в котировальные листы биржи не только по заявлению эмитента, но
и по заявлению участника торговли. Однако, как было показано выше,
листинг помимо целого ряда очевидных преимуществ может иметь и
отрицательные черты для эмитента.
Развитие биржевого законодательства направлено на ужесточение
правил листинга для обеспечения больших гарантий инвесторам, поэтому
для того, чтобы акции корпорации были приняты к котировке, например,
на Нью- Йоркской фондовой бирже, корпорация должна отвечать
ряду требований. Часть из них касается количественных показателей
деятельности последней: величина активов для резидентов минимум
18 млн долл.; для слаборазвитых стран — 12 млн долл.; для стран, где
нет фондовых бирж, — 10 млн долл.; прибыль за последний балансовый
год должна составлять 2,5 млн долл., за каждый год из двух предшествующих
последнему балансовому году — не менее 2,5 млн долл. (или
суммарная прибыль за последние три года — не менее 6,5 млн долл.,
причем каждый год должен быть прибыльным); число выпущенных в
обращение акций должно составлять не менее 1,1 млн штук, число акционеров,
владеющих не менее чем 100 акциями, — 2 тыс. человек или
общее число акционеров — 2,2 тыс. человек.
Вместе с тем корпорация, отвечающая всем «количественным» требованиям, автоматически не
включается в число фирм, котирующих свои акции на бирже, так как
биржа оценивает еще и степень известности компании в масштабе страны,
место, занимаемое ею в отрасли, и т.п.
Другой тенденцией развития процедуры листинга является унификация
правил допуска ценных бумаг на биржу в пределах одной страны
путем установления одинаковых количественных и качественных критериев,
по которым происходит отбор ценных бумаг. С учетом многолетнего
опыта развития биржевой торговли в развитых странах построены
механизмы государственного регулирования, устанавливающие
минимальные общие критерии листинга для всех бирж. В России правила
листинга и делистинга, установленные биржей, должны включать
следующие требования к эмитенту ценных бумаг для занесения их в
котировальный лист первого уровня:
• размер собственного капитала эмитента ценных бумаг должен составлять
не менее 10 млн ЭКЮ;
• срок существования эмитента ценных бумаг должен быть не менее
трех лет;
• соблюдение эмитентом обязанности раскрывать информацию о своих
ценных бумагах в соответствии с Федеральным законом «О рынке
ценных бумаг» и информацию об акционерном обществе в соответствии
с Федеральным законом «Об акционерных обществах».
К ценным бумагам эмитента для их включения в котировальный лист
первого уровня должны устанавливаться следующие требования:
• ценные бумаги должны быть выпущены и зарегистрированы в соответствии
с требованиями российского законодательства;
• отчет об итогах выпуска ценных бумаг должен быть зарегистрирован
в соответствии с действующим законодательством;
• ценные бумаги должны быть свободно обращаемыми;
• наличие в торговой системе на постоянной основе котировок не
менее чем двух маркет-мейкеров;
• для акционерных обществ не более чем 60% голосующих акций
должно находиться во владении заинтересованных лиц акционерного
общества. В соответствии с требованиями Федерального закона «Об
акционерных обществах» заинтересованными лицами признаются: член
совета директоров общества, лицо, занимающее должность в иных органах
управления общества, акционер, владеющий совместно с аффилированным
лицом 20% и более голосующих акций общества;
• численность акционеров общества должна составлять не менее
1000 чел.;
• минимальный объем продаж ценных бумаг в среднем за месяц по
итогам каждого отчетного полугодия не может быть менее 40 тыс. ЭКЮ.
Для включения ценных бумаг в котировальный лист первого уровня
их эмитент должен принять перед биржей обязательство соблюдать требования
по раскрытию информации в порядке и объеме, установленными
биржей.
Правила листинга и делистинга должны включать следующие требования
к эмитенту ценных бумаг для внесения их в котировальный лист
второго уровня:
• размер собственного капитала эмитента ценных бумаг должен составлять
не менее 6 млн ЭКЮ;
• срок существования эмитента ценных бумаг должен быть не менее
двух лет;
• соблюдение эмитентом обязанности раскрывать информацию о своих
ценных бумагах в соответствии с Федеральным законом «О рынке
ценных бумаг» и информацию об акционерном обществе в соответствии
с Федеральным законом «Об акционерных обществах».
К ценным бумагам эмитента для их включения в котировальный лист
второго уровня должны устанавливаться следующие требования:
• ценные бумаги должны быть выпущены и зарегистрированы в соответствии
с требованиями российского законодательства;
• отчет об итогах выпуска ценных бумаг должен быть зарегистрирован
в соответствии с действующим законодательством;
• ценные бумаги должны быть свободно обращаемыми;
• наличие в торговой системе на постоянной основе котировок не
менее чем двух маркет-мейкеров;
• для акционерных обществ не более чем 60% голосующих акций
должно находиться во владении заинтересованных лиц акционерного
общества. В соответствии с требованиями Федерального закона «Об
акционерных обществах» заинтересованными лицами признаются: член
совета директоров общества, лицо, занимающее должность в иных органах
управления общества, акционер, владеющий совместно с аффилированным
лицом 20% и более голосующих акций общества;
• численность акционеров общества должна быть не менее 500 чел.;
• минимальный объем продаж ценных бумаг в среднем за месяц
по итогам каждого отчетного полугодия не может быть менее 20 тыс.
ЭКЮ.
Правилами листинга и делистинга биржи могут устанавливаться
дополнительные требования и критерии для включения ценных бумаг в
котировальные листы первого и второго уровней, а также более строгие
требования к эмитентам и их ценным бумагам по сравнению с требованиями,
изложенными в Полоукении «О требованиях, предъявляемых
к организаторам торговли на рынке ценных бумаг».
Однако в зависимости от размеров биржи, ее престижа и занимаемого
ею положения на фондовом рынке страны могут различаться числовые
величины, характеризующие соответствующие критерии. Чем выше
престиж биржи и ее значение для национального рынка ценных бумаг,
тем выше требования, предъявляемые ею к ценным бумагам и их эмитентам.
Рассматривая опыт применения листинга на пяти крупнейших
отечественных биржах, необходимо отметить, что до введения правил
листинга ФКЦБ были установлены такие качественные критерии, как
число акций в обращении, срок существования эмитента без убытков
хозяйственно-финансовой деятельности, а на четырех из них еще и минимальная
граница уставного фонда.
Вместе с тем наблюдался значительный разброс по показателям, принятым
в качестве критерия листинга как в количественном, так и качественном
отношениях. Это отличало процедуру листинга на отечественных
фондовых биржах от допуска ценных бумаг к списочной биржевой
торговле акциями в развитых странах, где критерии листинга в основном
унифицированы. Критерии, используемые на отечественных биржах,
были неоднородны, что особенно четко прослеживалось при изучении
опыта развитых фондовых рынков.
Значение унификации требований к листингу весьма велико. Пройдя
процедуру листинга на одной из бирж, эмитенты могут без особых
сложнocтeй обеспечить котировки своих ценных бумаг на другой бирже
и по существу быть включены в котировальные листы сразу нескольких
бирж. Это существенно расширяет их рыночное пространство. Например,
в Германии ценные бумаги наиболее крупных эмитентов и государственные
ценные бумаги, включенные в списки одной из восьми
фондовых бирж, могут быть автоматически допущены к обращению на
всех остальных.
В связи с этим важное значение имеет принятое ФКЦБ Положение
«О требованиях, предъявляемых к организаторам торговли на рынке
ценных бумаг», которое является первым нормативным актом, регулирующим
процесс допуска и исключения ценных бумаг из обращения на
фондовых биржах. До принятия данного Положения порядок включения
ценных бумаг в списки биржи регулировался исключительно самими
биржами.
Положением установлены обязательные минимальные требования,
предъявляемые к эмитентам и их ценным бумагам при проведении
листинга. Очень важен тот факт, что эти требования являются общими
для всех бирж. Таким образом, можно сказать, что создана единая
база, на основании которой биржи могут составлять свои правила
листинга.
Унификация требований к листингу позволяет преодолеть существующий разброс показателей, используемых при листинге на
различных биржах.
Положение устанавливает более строгие требования к эми1ен1ам
ценных бумаг в части раскрытия ими информации о своей деятельности
и своих ценных бумагах. Это ведет к большей информационной
прозрачности биржевого рынка ценных бумаг, а также позволяет более
точно определить качество ценных бумаг, предлагаемых к торговле
на бирже, что в свою очередь повышает степень защищенности
инвесторов.
Система допуска ценных бумаг к обращению должна быть достаточно
эффективной и надежно защищать инвесторов от неправомерных
действий участников биржевой торговли, на это нацелены основные
принципы ее организации, такие как:
• создание равных возможностей для участников торговли и их клиентов
при получении информации, раскрываемой в соответствии с правилами
листинга и делистинга;
• осуществление необходимых мер, предотвращающих манипулирование
ценами.
Правила листинга и делистинга ценных бумаг для включения в котировальные
листы второго уровня должны обеспечивать своевременное
исключение из котировального листа ценных бумаг, не соответствующих
установленным требованиям.
Организация процедуры листинга на отечественном фондовом рынке
в целом соответствует мировой практике. Как правило, на всех российских
биржах процедура листинга начинается с подачи заявки в отдел листинга с приложением ряда нотариально заверенных документов. Заявка
может подаваться только тем эмитентом, ценные бумаги которого размещены
и зарегистрированы в соответствии с действующим законодательством.
Она представляется на фирменном бланке и должна иметь печать
и подпись руководителя, сведения о регистрируемом выпуске ценных
бумаг, наименование, номер выпуска, номинал, гарантию
достоверности представляемых в отдел листинга документов, а также
уведомление о согласии с существующими правилами допуска к листингу.
Кроме того, представляются учредительные документы, справка об
оплаченном уставном капитале, копии проспекта эмиссии установленного
образца. Ecjm акционерное общество функционирует более одного года
или является правопреемником другого юридического лица, то дополнительно
представляются бухгалтерский баланс и отчет о распределении
прибыли за последний финансовый год, заверенный независимыми аудиторами.
Как правило, биржа оставляет за собой право требовать от эмитента
представления других документов и информации, необходимой для
проведения экспертной оценки и допуска ценных бумаг к котировке. Рассмотрение
заявки обычно не превышает один месяц.
Решение о внесении в биржевой список принимают последовательно
три инстанции: отдел листинга, затем комиссия по допуску ценных бумаг
и, наконец, биржевой совет. Если принимаемое решение положительное,
биржа и акционерное общество-эмитент заключают договор (соглашение) о листинге.
Отказ в допуске ценных бумаг к обращению на бирже возможен исключительно
в случае несоответствия представленных документов законодательству
Российской Федерации и правилам листинга и делистинга.
Подписав соглашение о листинге, эмитент обязуется представлять
бирже годовые и промежуточные отчеты, сведения о трансфер- агенте и
регистраторе акций, о дивидендах и иных распределяемых доходах, а
также другую информацию, указанную в данном соглашении.
Например, одним из требований, предъявляемых к корпорациям, котирующим
акции на Нью-Йоркской фондовой бирже, является периодическое
представление ими достаточно большого объема информации
инвесторам, а также периодической публичной отчетности о финансово-
хозяйственной деятельности. Публикация сведений, касающихся финансового
положения компании — один из центральных моментов как
саморегулирования, осуществляемого биржей, так и государственного
регулирования фондового рынка. Подобные требования введены и на
российских биржах.
Компания уплачивает бирже единовременный сбор за листинг, размеры
которого зависят от числа акций, включаемых в биржевой список,
и ежегодно вносит определенную сумму за поддержание листинга.
Процедура регулирования допуска к обращению ценных бумаг может
предусматривать и процедуру делистига. Она проводится на ведущих
биржах экономически развитых стран (исключение составляет
Германия) и состоит в том, что биржа с целью занщты интересов инвесторов
может временно или навсегда исключить ценные бумаги акционерного
общества из котировочного листа. Например, правилами допуска
акций корпорации к котировке, действующими на Нью-Йоркской
фондовой бирже, за последней закрепляется право приостановить
котировку акций компании или вообще исключить ее из числа котирующихся,
если появятся обстоятельства, которые совет директоров сочтет
достаточно основательными для принятия такого рода мер. Они
могут быть приняты по отношению к фирмам, отвечающим всем количественным требованиям, но имеющим неблагоприятное финансовое
состояние, поскольку банкротство компании — это удар и по репутации
биржи, где котировались ее акции.
Существуют три формы временного прекращения котировки на
бирже:
• отсрочка начала торговли — до открытия торгов биржа может приказать
трейдерам сбалансировать заказы на покупку или продажу и тем
самым определить более справедливую цену, если по какому-либо виду
акций поступило очень большое количество заказов на покупку или
продажу;
• перерыв в торговле, который объявляется в любое время, в случае
если необходимо сообщить какую-либо важную информацию;
• приостановка торговли на одну сессию и более используется, когда
нужно время, чтобы разобраться в каком-либо важном событии, или
при нарушении компанией соглашения о листинге. Торговля приостанавливается
до устранения такого нарушения или принятия решения о
делистинге ценных бумаг компании-эмитента.
Исключение ценных бумаг из котировального листа биржи (делистинг
ценных бумаг) может производиться биржей по следующим причинам:
• заявитель подал заявление на исключение ценных бумаг из
котировальною листа;
• регулирующим органом принято решение о признании выпуска ценных
бумаг несостоявшимся;
• вступило в силу решение суда о недействительности выпуска ценных
бумаг;
• ликвидирован эмитент ценных бумаг;
• истекли сроки допуска ценных бумаг к обращению на бирже;
• истекли сроки обращения ценных бумаг;
• эмитент ценных бумаг не выполнил обязательств перед биржей,
принятых при включении ценных бумаг в котировальный лист;
• показатели деятельности эмитента и объемы продаж ценных бумаг
эмитента не соответствуют требованиям, предъявляемым при включении
ценных бумаг в котировальный лист биржи.
Помимо ценных бумаг, включенных в котировальные листы, к обращению
на бирже по решению органа управления биржи могут допускаться
иные ценные бумаги, выпущенные в порядке и в соответствии с
требованиями действующего законодательства. Порядок листинга и
делистинга этих ценных бумаг, а также предъявляемые при этом требования
к эмитенту и непосредственно ценным бумагам устанавливаются
биржей самостоятельно. Отдельно биржа организует торговлю и рас-
крытие информации о данных ценных бумагах согласно принятому
Полоукению «О требованиях, предъявляемых к организаторам торговли
на рынке ценных бумаг».
Ситуацию, складывающуюся на российском фондовом рынке, можно
охарактеризовать как этап становления листинга. Хотя на многих
биржах в основном обращаются ценные бумаги, которые не прошли
установленную процедуру листинга, и различия между введением ценной
бумаги в процесс биржевой и внебиржевой организованной торговли
мало ощутимы, основные отечественные биржи, например ММВБ, а
также внебиржевые торговые площадки применяли систему листинга,
включая согласно нормативным документам ценные бумаги в котировальные
листы первого и второго уровней.
от информации, которая поступает от профессиональных посредников.
Для однотипности ведения внутреннего учета Федеральная комиссия по
рынку ценных бумаг предъявляет определенные требования к профессиональным
участникам и порядку внутреннего учета ценных бумаг, по
которым осуществляются операции. При этом брокерские и дилерские
фирмы руководствуются постановлением ФКЦБ «Об утверждении Временного
положения "О лицензировании брокерской и дилерской деятельности
на рынке ценных бумаг"» от 19 декабря 1996 г. № 22 и Временного
положения «О порядке осуществления брокерской и дилерской деятельности
на рынке ценных бумаг».
В данном документе предусматриваются следующие требования к
брокерской и дилерской деятельности:
• исполнять поручения клиентов в полном соответствии с полученными
от них указаниями;
• доводить до сведения клиентов всю необходимую информацию,
связанную с осуществлением поручений клиентов и исполнением обязательств
по договору купли-продажи ценных бумаг;
• исполнять поручения клиентов в порядке их поступления с учетом
условий поручений клиентов;
• обеспечить надлежащее хранение и отдельный учет ценных бумаг;
• утвердить внутренние процедуры и правила ведения учетных регистров
и составление внутренней отчетности в соответствии с требованием
ФКЦБ.
При ведении внутреннего учета ценных бумаг в брокерской и дилерской
фирмах они руководствуются Временным положением об учетных
регистрах и внутренней отчетности профессиональных участников
рынка ценных бумаг, утвержденным Постановлением Федеральной
комиссии по рынку ценных бумаг России от 26 ноября 1996 г. № 2
В данном документе представлены первичные документы и регистры
внутреннего учета ценных бумаг.
К первичным документам относятся поручение клиента на совершение
сделки с ценными бумагами и распорядительная записка (документ,
удостоверяющий совершение сделки с ценными бумагами).
К регистрам внутреннего учета относятся: регистр учета сделок,
регистр учета расчетов и регистр учета ценных бумаг.
Процесс специализации между профессиональными посредниками
требует четкого отражения операции с ценными бумагами в посреднических
подразделениях. Это позволяет повысить конкурентоспособность
конкретной посреднической фирмы и обеспечивает доверие со стороны
клиентов. Внутренний учет ценных бумаг необходим для того, чтобы
знать о состоянии ценных бумаг на каждый рабочий день.
В структуре брокерской и дилерской компании можно выделить следующие
подразделения, связанные с процессом исполнения и учета сделок;
• фронт-офис (торговый отдел), сотрудники которого заключают
сделки с ценными бумагами;
• бэк-офис, обеспечивающий исполнение сделок, осуществляющий
внутренний учет и контроль операций с ценными бумагами;
• бухгалтерия, осуществляющая учет операций и составляющая финансовую
отчетность в соответствии с существующими нормативами учета.
Фронт-офис может включать следующие отделы:
• торговый отдел (дилинг);
• отдел портфельного менеджмента;
• отдел по работе с институциональными клиентами;
• отдел но работе с индивидуальными клиентами.
Основной задачей фронт-офиса является заключение сделок с ценными
бумагами от имени компании и по поручению ее клиентов.
Бэк-офис осуществляет процедуры учета и исполнение сделок по ценным
бумагам.
Основными функциями бэк-офиса являются:
• контроль за исполнением заказов клиентов;
• улаживание сделок;
• контроль за соблюдением нормативов финансового состояния счетов
и использованием денежных средств и ценных бумаг клиентов;
• учет движения ценных бумаг и денежных средств;
• хранение ценных бумаг и денежных средств клиента;
• представление информации руководству фирмы и брокерам;
• поддержание связи между владельцами и эмитентами ценных бумаг.
Организационная структура бэк-офиса брокерской фирмы была разработана
американским ученым Дэвидом Вайсом и используется в 65
странах мира (рис. 14).

В каждой отдельно взятой стране и на каждой фирме бэк-офис представлен
определенными из указанных отделов. В России бэк-офис брокерской
фирмы представлен двумя отделами: отделом заказов и отделом
покупок и продаж.
Рассмотрим функции, выполняемые отделами бэк-офиса брокерской
фирмы.
Отдел клиентской документации - это подразделение бэк-офиса,
которое осуществляет первоначальное установление отношений брокера
с клиентом. Клиент заполняет заявление и анкету. Анкета имеет важное
значение в установлении взаимоотношений и представляет собой информационный
документ, дающий возможность брокеру знать, как найти клиента, размер его годового дохода, инвестиционные цели и др.
На основании этих документов подписывается договор, в котором
отражаются права и обязанности как клиента, так и брокера.
В российской практике эти функции выполняют юристы фирмы.
После подписания договора осуществляется открытие счета клиенту,
посредством которого брокерская фирма ведет раздельный учет активов
и пассивов денежных средств и ценных бумаг клиента и собственных
ценностей.
В зависимости от статуса клиента счета могут быть розничные и
институциональные. Розничный счет открывается физическому лицу, а
институциональный - юридическому (банку, страховой компании, пенсионному
фонду и т.д.).
В зависимости от степени участия клиента в управлении счетом счета
могут быть дискреционные, управляемые и обыкновенные.
Дискреционный (экстренный) счет — счет, по которому брокер управляет
клиентскими ценностями по собственному усмотрению. Например,
если клиента на данный момент нет на месте или он выбыл на определенное
время.
Управляемый (доверительный) счет открывается в случае, если клиент
доверяет управление счетом брокерской фирме.
Обыкновенный счет открывается в случае, если сам клиент будет
принимать участие в управлении счетом с учетом степени участия.
В зависимости от степени участия клиента в оплате и поставке ценных
бумаг можно выделить следующие типы счетов:
• регулярный расчетный счет предусматривает полную оплату и
поставку ценных бумаг в установленные сроки;
• счет Оплата при доставке подразумевает полную оплату ценных
бумаг в день их поставки продавцом;
• счет «Поставка против платежа» предусматривает поставку ценных
бумаг в день их оплаты покупателем;
• ссудный (кредитный) счет предполагает, что каждая новая покупка
частично оплачивается клиентом, а продажа ценных бумаг не предполагает
их поставку со стороны клиента;
• счет «Хранение» открывается для хранения ценных бумаг по письменному
договору с клиентом.
Каждый клиент (индивидуальный и коллективный) может иметь одновременно
один регулярный расчетный счет, а также счета «Оплата
при доставке», «Поставка против платежа», ссудный, и счет «Хранение
». Эти счета, кроме счета «Хранение», могут быть дискреционными.
Наличие ссудного счета исключает счета «Оплата при доставке» и «Поставка
против платежа».
На основании открытия счета ему присваивается номер в системе
счетов внутреннего учета в брокерской фирме и формируется система
счетов внутреннего учета.
После открытия счета клиенту он может составить торговое поручение,
которое поступит в отдел заказов.
Отдел заказов осуществляет функции подготовки торгового поручения
и контроля за его исполнением. При этом отдел заказов контактирует
с биржевым (внебиржевым) рынком.
Вид заказа отражается в тикете — документе, содержащий инструкции
заказчика, а также отчет и инструкции трейдера, исполнившего заказ.
Тикет состоит из четырех разделов: «заказ», «заказчик», «исполнение
», «улаживание». Разделы «заказ» и «заказчик» заполняются в отделе
заказов. Раздел «заказ» содержит информацию: о виде ценных бумаг,
которые надо купить/продать; виде сделки; количестве ценных бумаг;
пене одной ценной бумаги. Раздел «заказчик» содержит информацию о
заказчике и менеджере счета, которому предстоит исполнять заказ клиента.
Работа по исполнению сделки производится во фронт-офисе.
Получив от трейдера отчет об исполнении заказа, отдел заказов заносит
цену в тикет, информирует клиента об исполнении заказа, уведомляет
отдел покупок и продаж об исполнении заказа.
Отдел покупок и продаж: готовит покупки и продажи к урегулированию
требований, что отражается в соответствующем разделе тике-
га. Определяется срок оплаты сделки, валюта платежа, тип договора,
принятый на данном рынке, форма оплаты (со счета клиента, со счета
фирмы), регистрируется срок поставки ценных бумаг (на имя клиента,
па имя фирмы, на имя депозитария) и др.
После получения информации об исполнении сделки отдел покупок
и продаж готовит блотер (регистр учета сделок) и оформляет сделки по
регистрам учета ценных бумаг.
Отдел проводит работу по калькулированию (подготовка счетов-
фактур, расчет комиссионных, регистрационных сборов). Неисполненные
сделки оформляются в журнале неулаженных сделок.
Получив копию извси1ения о сделке и другие документы, кассовый
отдел осуществляет оплату и поставку ценных бумаг. На этом этапе
он получает инструкции из кредитного отдела о состоянии клиентских
счетов.
В зависимости от степени развития фондового рынка в стране кассовый
отдел может состоять из отдельных секторов (сектора приема-
выдачи, сектора перевода собственности, сектора хранения, сектора
сток-ссуд, денежных ссуд, сектора реорганизаций).
Кредитный отдел контролирует все клиентские счета. По решению
ФКЦБ брокерская фирма может осуществлять кредитование покупок
ценных бумаг не более чем на 50%.
За рубежом кредитный отдел является важнейшим в структуре бэк-
офиса брокерской фирмы. Без его разрешения кассовый отдел не может
выдавать денежные средства и ценные бумаги.
Кредитный отдел осуществляет запись операций в счета клиентов
1Ю данным из отдела покупок и продаж, отдела клиентской документации
и кассового отдела.
Отдел учета движения ценных бумаг осуществляет контроль за возникновением
и соблюдением обязательств по сделкам и перемещением
ценных бумаг.
В функции отдела входит:
• ежедневные подготовка и анализ книги учета ценных бумаг (дневная
оборотная ведомость по выпускам ценных бумаг);
• в случае обнаружения дисбаланса (несовпадение позиций дебета и
кредита) анализ первичных документов и корректировка журнала.
Внутренний учет, проводимый в бэк-офисе брокерской фирмы, должен
дать ответы на вопросы: Кому принадлежат ценные бумаги? Где
они находятся?
Этим обусловлено деление счетов внутреннего учета на счета
принадлежности (кому) и счета местонахождения (где). Из этого деления
проистекает требование к учетным проводкам: счету принадлежности
должен противостоять счет (счета) местонахождения. Остатки на счетах
принадлежности в сумме должны равняться остаткам на счетах местонахождения.
Для счетов принадлежности нормальное сальдо — дебетовое (увеличение
отражается по дебету), а для счетов местонахождения — кредитовое
(увеличение отражается по кредиту), т.е. счета принадлежности -
активные счета, счета местонахождения — пассивные.
Счета принадлежности ценных бумаг:
счет «Ценные бумаги фирмы» показывает, сколько ценных бумаг
разных выпусков полностью оплачено фирмой;
счет «Регулярные расчеты» показывает, сколько ценных бумаг разных
выпусков полностью оплачено клиентом в общепринятый срок улаживания.
Предполагается, что имеет место быть стандартный срок поставки,
нарушение которого влечет за собой штрафные санкции;
счет «Оплата при доставке» показывает, сколько ценных бумаг
разных выпусков полностью оплачено клиентом в срок улаживания,
определенный сторонами сделки. Предполагается, что стандартный срок
поставки отсутствует и стороны сами договариваются, когда и какие
штрафные санкции вступят в силу;
счет «Ссудный long» в корреспонденции со счетом «Сток-ссуда»
показывает, сколько ценных бумаг, купленных клиентом в кредит, находятся
в распоряжении фирмы банка до погашения клиентской задолженности
по кредиту;
счет «Ссудный short» показывает, сколько ценных бумаг клиент продал
без займа ценных бумаг (нормальное сальдо кредитовое). Счет «Ссудный
short» в корреспонденции со счетом «Сток-заем» показывает, сколько
ценных бумаг агент занял у фирмы для короткой продажи;
счет «Хранение» показывает, сколько полностью оплаченных клиентом
ценных бумаг разных выпусков хранит для него фирма по письменному
договору о хранении. Счет открывается каждому юшенту, для которого
фирма хранит ценные бумаги. Он корреспондируется со счетом
«Депо».
Счета местонахождения ценных бумаг:
счет «Денежная ссуда» показывает, сколько ценных бумаг' заложено
под банковскую ссуду. Открывается каждому кредитному учреждению,
которое финансирует сделки фирмы с ценными бумагами;
счет «Клиринг» показывает, сколько ценных бумаг фирма должна
поставить в клиринговый центр или получить оттуда, если центр оказывает
услуги по расчетам (нормальное сальдо - дебетово- кредитовое);
счет «Не поставлено» показывает, сколько ценных бумаг фирма не
поставила в оговоренный срок (нормальное сальдо — дебетовое);
счет «Не получено» показывает, сколько ценных бумаг фирма не
получила в оговоренный срок;
счет «В пути» показывает, сколько ценных бумаг находится в пути
более одного рабочего дня;
счет «Реестр» показывает, сколько ценных бумаг находится на перерегистрации.
Открывается каждому реестродержателю;
счет «Сегрегировано» показывает, сколько ценных бумаг, полностью
оплаченных клиентом, находится на обособленном ответственном
хранении;
счет «Сток-заем» показывает, сколько ценных бумаг взято фирмой
взаймы у клиентов или профессиональных участников рынка (1юрмаль-
ное сальдо дебетовое);
счет «Сток-ссуда» показывает, сколько ценных бумаг дано фирмой
взаймы клиентам или профессиональным участникам рынка;
счет «Утрачено» показывает, сколько ценных бумаг потеряно;
счет «Депо» показывает, сколько ценных бумаг в результате сделок
хранится в кассе фирмы или депозитарии.
Прочие счета:
счет «Контрагент» используется для хранения информации о расчетах
с профессиональными участниками рынка. Открывается каждому
контр-брокеру;
счет «Эмитент» показывает, сколько дополнительных акций получено
от эмитента в связи с выплатой сток-дивидендов или Сплитом;
сче! «Сверка» показываег, сколько ценных бумаг вписано в подтверждение
сделки, переданное контр-брокерам;
счет «Договор» показывает, сколько ценных бумаг фигурирует в
договоре купли-продажи, отправленном контр-брокеру.
Отдел бухгалтерского учета осуществляет свою деятельность в соответствии
с Правилами отражения профессиональными участниками
рынка ценных бумаг и инвестиционными фондами в бухгалтерском учете
отдельных операций с ценными бумагами, утвержденными ФКЦБ
от 27 ноября 1997 г. № 4
Учет операций по приобретению, реализации и прочему выбытию
ценных бумаг производится на дату перехода прав на ценные бумаги.
При организации бухгалтерского учета по счету 06 «Долгосрочные
финансовые вложения» и счету 38 «Краткосрочные финансовые вложения
» обеспечивается раздельный учет ценных бумаг, приобретенных для
собственных нужд как финансовые вложения (с целью получения инвестиционного
дохода) и для перепродажи (с целью получения дохода от их
реализации).
Ценные бумаги, приобретаемые с целью получения инвестиционного
дохода, принимаются к учету в сумме по дебету счета 06 «Долгосрочные
финансовые вложения» в корреспонденции со счетами учета
денежных средств.
Ценные бумаги, приобретаемые с целью получения дохода от их реализации,
принимаются к учету в сумме фактических затрат на приобретение
по дебету счета 58 «Краткосрочные финансовые вложения» в
корреспонденции со счетами учета денежных средств.
При этом стоимость ценных бумаг на счете 58, выраженная в иностранной валюте,
подлежит пересчету в рубли. Пересчет производится по курсу, установленному
ЦБ РФ на дату совершения операции с указанными ценными
бумагами, а также на дату составления бухгалтерской отчетности.
Профессиональным участникам разрешается производить переоценку
вложений в ценные бумаги, котировки которых регулярно публикуются.
Переоценка отражается путем увеличения (уменьшения) балансовой
стоимости ценных бумаг в корреспонденции со счетом 80 «Прибыли
и убытки», субсчет «Прибыли и убытки от переоценки финансовых
в:южений».
Выручка от реализации ценных бумаг, приобретаемых ДJ^я перепродажи,
отражается по кредиту счета 46 «Реализация продукции, работ,
услуг» в корреспонденции со счетами учета расчетов.
Выручка от реализации и прочего выбытия ценных бумаг, приобретенных
с целью получения инвестиционного дохода, отражается по кредиту
счета 48 «Реализация прочих активов» в корреспонденции с дебетом
счетов учета расчетов.
Затраты профессиональных участников, связанные с образованием
юридического лица (плата за регистрацию проспекта эмиссии, государственная
пошлина за регистрацию, единовременный сбор за выдачу долгосрочных
лицензий, стоимость приобретения бланков при их выпуске)
включаются в состав нематериальных активов. Указанные затраты
отражаются по дебету счета 04 «Нематериальные активы».
Затраты, связанные с деятельностью профессиональных участников,
отражаются на счете 26 «Общехозяйственные расходы». К ним можно
отнести комиссионные и вознаграждения посредникам, причитающиеся
при покупке и продаже ценных бумаг, приобретаемых с целью получения
дохода от реализации. Затраты, учтенные на счете 26, ежемесячно
вписываются в дебет счета 46 «Реализация продукции, работ, услуг».
Затраты, связанные с обслуживанием ценных бумаг, приобретенных
с целью получения инвестиционного дохода, в том числе расходы на
оплату услуг депозитария, регистратора и др., отражаются по дебету
счета 80 «Прибыли и убытки» в корреспонденции со счетами учета денежных
средств.
Затраты на выплату комиссионных и вознаграждение посреднику
при реализации и прочем выбытии ценных бумаг, приобретенных с целью
получения инвестиционного дохода, отражаются по дебету счета
48 «Реализация прочих активов».
При приобретении облигаций по стоимости, включающей часть процента,
начисляемого с момента его последней выплаты, в случае его
отражения в бухгалтерском учете, производятся следующие записи: по
дебету счетов 06 «Долгосрочные финансовые вложения» или 58 «Краткосрочные
финансовые вложения», субсчет «Облигации» (на сумму покупной
стоимости облигаций, уменьшенной на величину оплаченного
процента, дохода), субсчет «Средства полученные и затраты произведенные
по облигационным процентам (доходам)» (на сумму оплаченного
процента (дохода), причитающегося к получению на момент приобретения
облигации) и соответствующих счетов учета денежных средств
или расчетов.
Получение процентов (при наличии по данной облигации уплаченного
процента) отражается по дебету счетов учета денежных средств или
расчетов и кредиту счетов 06 «Долгосрочные финансовые вложения» или
58 «Краткосрочные финансовые вложения», субсчет «Средства полученные
и затраты произведенные по облигационным процентам».
В случае реализации (погашения) облигаций суммы процентов (доходов),
начисленные с момента реализации облигации, отражаются по
кредиту счета 06 «Долгосрочные финансовые вложения», субсчет «Средства
полученные и затраты произведенные по облигационным процентам
» в корреспонденции со счетами реализации.
Разница между полученным и уплаченным процентом но каждому
отдельному выпуску облигации подлежит списанию со счетов 06 и 58
на счет 80 «Прибыли и убытки» в день реализации облигации.
Начисление процентов по облигациям отражается в бухгалтерском
учете записью по дебету счета 76 «Расчеты с различными дебиторами и
кредиторами», субсчет «Проценты (доходы) по облигациям» и кредиту
счета 80 «Прибыли и убытки».
Себестоимость реализованных и выбывших ценных бумаг определяется
в соответствии с учетной политикой организации одним из методов
оценки: по средней себестоимости, по себестоимости первых по времени
закупок (ФИФО), но себестоимости последних но времени закупок
(ЛИФО).
В течение отчетного года используется один метод оценки.
Отдел бухгалтерского учета представляет руководству фирмы и в
официальные инстанции бухгалтерские отчеты по установленной форме.
Отдел бухгалтерского учета участвует в подготовке справок о состоянии
клиентских счетов. Эти справки рассылаются клиентам ежемесячно
и позволяют иметь достоверную информацию о совершенных операциях
с денежными средствами и ценными бумагами клиента.
Создание и функционирование отдела дивидендов и отдела по работе
с реальными владельцами связано с проблемами реальной и номинальной
собственности. Клиент, являясь владельцем ценных бумаг, — реальный
владелец.
После того как клиент отдает ценные бумаги и денежные
средства в управление брокерской фирме, последняя становится
номинальным владельцем.
При начислении дивидендов на обыкновенные акции они будут перечислены
на счет брокерской фирмы, т.е. номинального владельца.
Функции отдела дивидендов:
• составление списка клиентов, которым причитается полученный
фирмой совокупный дивидендный доход;
• кредитование счетов клиентов, которым полагается дивиденд, соответствующими
суммами;
• подготовка требований контрагентам о выплате фирме причитающихся
дивидендов, не полученных в связи с особенностями дивидендного
цикла или ошибок.
Отдел по работе с реальными владельцами осуществляет рассылку
информации, полученной фирмой от эмитентов как номинальных держателей.
Отдел высылает реальным владельцам бланки запросов на
голосование (proxy). «Proxy» представляет собой сочетание бюллетеня
и доверенности, в котором указаны вопросы, поставленные на повестку
дня общего собрания акционеров, т.е. вопросы, требующие решения
путем голосования. Получив заполненные бланки от клиентов, сотрудники
отдела по работе с реальными владельцами обрабатывают их, подсчитывают
голоса, и фирма выступает на собрании в качестве номинального
держателя.
Необходимость создания бэк-офиса брокерской фирмы была определена
спецификой деятельности брокеров и дилеров и тем, что учет операций
с ценными бумагами в рамках бухгалтерии фирмы не в полной
мере отвечает задачам оперативного управления и принятия инвестиционных
решений.
Важнейшей задачей бэк-офиса брокерской фирмы является оперативность
учета ценных бумаг и денежных средств, что становится возможным
при его программном обеспечении.
на покупку и продажу в процессе торга.
На организованном рынке оформление заказов на покупку и продажу
формализовано и имеет определенные стандарты. На стихийном
рынке продавец и покупатель включаются в процесс торговли; в связи
с этим отсутствуют формальные требования к оформлению спроса и
предложения. Когда же торговля осуществляется через посредника (брокера),
то для эффективного выполнения приказов клиента необходимы
четкие указания.
Технология биржевой торговли ценными бумагами предполагает, что
имеющийся спрос оформляется согласно правилам работы биржи заявкой
на покупку (заказом на покупку), а предложение - заявкой на продажу
ценных бумаг (заказом на продажу).
Современный инвестор имеет возможность дать разнообразные поручения
своему брокеру по заключению сделок с ценными бумагами,
котирующимися на бирже. Вид и способ обработки поручений зависит
от того, какой клиент осуществляет поручение и каковы параметры
заключаемой сделки. Заявку (заказ) может оформить любое физическое
или юридическое лицо (клиент), имеющее договор с брокером, который
может выполнить данный заказ на бирже. В свою очередь институциональными
инвесторами - клиентами брокера могут быть коллективные
инвесторы (например, инвестиционные компании, паевые инвестиционные
фонды и т.д.), юридические лица (резиденты и нерезиденты),
иностранные банки и брокеры. Процесс обработки поручения брокером
будет зависеть также и от того, осуществляется ли доверительное управление
активами клиента. Инвестор может поручить брокеру не только
купить те или иные ценные бумаги наиболее предпочтительного с eгo
точки зрения эмитента, но и оговорить в заявке условия сделки. Мелкие
индивидуальные инвесторы, которые предпочитают заключить сделку
быстро и с минимальными издержками, дают поручение на стандартную
сделку своему менеджеру в отдел по работе с клиентами. Такие
поручения поступают на сделки с ликвидными ценными бумагами, имеющими
нормальный рыночный размер (NMS - - normal market size), и
сделка может быть заключена сразу. Она завершается дебетованием
денежного счета или по желанию клиента путем осуществления наличного
расчета через кассу. При этом наличные ценные бумаги вручаются
день в день или переводятся на счет депо.
В отличие от стандартных, индивидуальные сделки частных инвесторов
требуют обработки различных параметров поручения, которое
клиент дает брокеру. После консультации с менеджером и получения
детальной информации о состоянии рынка, индексах, а также об эмиссионных
характеристиках ценных бумаг (например, условиях и порядке
выплаты дохода эмитентом) клиент отдает поручение.
Поручение - это конкретная инструкция клиента, которая должна содержать необходимую
информацию для совершения сделок.
Во-первых, должен быть определен вид операции, указывающей положение
клиента в сделке как покупателя или продавца (заказ или предложение),
указаны номер договора, код брокера, вид ценной бумаги, ее
точное наименование, которое фигурирует в курсовом бюллетене. Кроме
того, если бумаги котируются по сериям, как, например, «Облигации
государственного сберегательного займа», то следует указать и серию.
Подавая заявку на акцию, необходимо уточнить ее категорию, например,
простая или привилегированная акция. Если эмитент имеет несколько
выпусков облигаций, обязательно уточняется год выпуска ценной бумаги,
указанной в заявке. Объединение этих распоряжений не случайно.
Общее правило по кассовым сделкам «спот» на ведущих фондовых биржах
мира состоит в том, что биржевая заявка действительна на всех биржевых
торгах того месяца, в течение которого была подана. После последних
биржевых торгов текущего месяца она теряет силу. Если брокер
получил «контингентный» заказ, то он должен одновременно покупать
одни ценные бумаги и продавать другие фо1щовые ценности.
Во-вторых, должно быть указано количество ценных бумаг, т.е. определен
объем заявки. В связи с существующей классификацией приказов
они различаются следующим образом: заявки, в которых указано
(lot round), партия ценных бумаг, являющаяся единицей сделок, обычно
100 акций или неполный лот (odd lot); любое количество акций, меньшее
единицы сделок, например, менее 100 акций или приказ на покупку нестандартной
партии ценных бумаг. Конкретная величина лота, принимаемая
на бирже, называется фасовкой, или торговой мерой. Обычно,
по правилам электронной торговли, клиент может заказать любое количество
ценных бумаг, самые крупные приказы исполняются в первую
очередь.
В-третьих, в каждом поручении должен быть определен срок его исполнения:
текущий биржевой торг, перенос сроков, условия продления
этих сроков и тип сделки (кассовая сделка «спот», срочная сделка «форвард
»; опцион «кол», опцион «пут»).
Однако клиент всегда может изменить срок действия своего поручения,
и, рассматривая классификацию по времени их действия, следует
выделить такие приказы:
• на один день (day order);
• на одну неделю;
• до момента исполнения приказа или исгечения срока — открытый
приказ (good till cancelled — GTC);
• по открытию (opening order) или закрытию (close order).
Поручение, подлежащее исполнению в течение дня, в котором оно
передано, считается в мировой практике дневным. Поручение, выданное
клиентом без временного ограничения, остается в силе до последнего
биржевого дня месяца. Брокеры могут по желанию клиента продлить
срок таких приказов до 60 или 90 дней, а затем вновь запрашивают своих
клиентов, желают ли те снова продлить сроки. Приказы «на момент
закрытия» .могут быть введены в любое время рабочего дня, но будут
выполнены настолько близко ко времени закрытия биржи, насколько
позволяют условия сделки. Приказ «при открытии»,
должен быть в течение нескольких минут после открытия биржи введен
в систему биржевого торга до определенного, строго фиксированного
часа. На некоторых биржах заявки на приобретенные акции, связанные
с реализацией права акционера на преимущественное приобретение дополнительных
акций при увеличении уставного капитала, обычно действуют
в течение всего периода подписки на акции.
Если же сделка срочная, то обычно заявка действительна до даты
текущей ликвидации сделки, т.е. текущего расчета, если участник сделки
не ограничил срок действия своего поручения более ранней датой. На
некоторых биржах существуют исключения, например, поручения на
куплю-продажу по первому («первый курс») и последнему курсу действительны
лишь в течение одного заседания биржи.
В-четвертых, важным условием каждого поручения является уровень
цены, поэтому приказы классифицируются по следующим типам:
• рыночный приказ (market order);
• приказ, ограниченный условиями (limit order);
• стоп-заказ (stop order).
Именно типы приказов отражают конкретную стратегию клиента
на фондовом рынке.
Если клиент поручает брокеру купить или продать определенное количество
ценных бумаг по текущему рыночному курсу, купить или про-
дать определенные ценные бумаги на фиксированную сумму по усмотрению
брокера либо предоставляет нрава брокеру действовать в рамках определенной клиентом суммы, оставляя выбор ценных бумаг, их
количество, направление сделки, цену на его усмотрение, то брокер имеет
право брать цену с рынка, т.е. выполнять данное поручение как рыночный
приказ. Таким образом, если не указан лимит на сумму, поручение
на покупку считается как «по минимальной цене», а поручение на продажу
выполняется «наилучшим образом». Следовательно, если клиент
хочет купить ценные бумаги с инвестиционными целями, т.е. для увеличения
капитала в течение длительного периода, то текущая цена не
может быть существенным фактором, и отдается рыночный приказ.
Брокер в любом случае постарается получить наилучшую возможную
цену. При этом он имеет право выполнить приказы, поступающие
до открытия биржи, полностью по первому котируемому курсу, а
приказы, поданные в ходе заседания биржи, — учитывая возможности
рынка с момента их поступления. Все приказы, где нет цены, считаются
рыночными, т.е. их можно продавать или покупать по наиболее
выгодному для клиента курсу на момент распоряжения последнего о
сделке.
Клиент, который имеет краткосрочные цели и хочет получить доход
от перепродажи ценных бумаг, устанавливает ценовой лимит, т.е. цену,
по которой должна состояться сделка, если брокер не сможет получить
лучшую. В этом случае он предлагает брокеру купить ценные бумаги
по фиксированному курсу или ниже или продать ценные бумаги по фиксированному
курсу или выше, иначе говоря, клиент отдает лимитный
приказ, в котором установлен минимальный курс покупки или максимальный
курс продажи. Трудно ожидать, что такие заказы будут исполняться
сразу же по прибытии на биржу, поэтому они заносятся в книгу
лимита заказов.
Данный приказ может иметь различные оговорки, конкретизирующие
полномочия брокера, и по существу требуют от него знания нынешней
конъюнктуры фондового рынка для успешного определения курса
и времени проведения сделки.
«Лучший приказ» (better order) обязывает брокера всегда стремиться
получать цену лучшую, чем цена ограниченного приказа. Приказ,
оцененный как «лучпшй», показывает, что лимитная цена выше рыночной
(при покупке) или ниже (в случае продажи).
Если брокер получил приказ выполнить по возможности, остальное
отменить (immediate-or-cancelled-IOC), приказ выполняется немедленно
либо полностью, либо частично, а невыполненная часть отменяется. Возможна
и более жесткая форма приказа — выполнить или отменить (fill
or kill) «горящий» приказ. Этот приказ исполняется полностью и немедленно
по получению, иначе он должен быть отменен.
Приказ «не понижать» (do not reduce) содержит указания о том, чтобы
ограничения по приказу не были снижены на сумму дивиденда в случае,
если с ценными бумагами производятся сделки без выплаты дивидендов
наличными. Приказ «не понижать» применяется только к обычным
наличным дивидендам.
Приказ «не повышать» определяется как ограниченный приказ на
покупку, стон-приказ на продажу или стоп-ограниченный приказ на продажу,
который не должен быть повышен на сумму акций, покупаемых
без дивидендов.
Если котируемый курс выше установленного в заявке лимита при
продаже и ниже при покупке, то заявки исполняются, и торговля ценными
бумагами для клиента осуществляется непрерывно. Однако лимитный
заказ позволяет остановить торговлю ценными бумагами для клиента,
как только их цена выходит из определенного интервала. К такому
приему клиент прибегает в том случае, если желает, чтобы брокер
продавал его акции, но до тех пор, пока цена снизится до установленного
в лимитном заказе предела, с целью сокращения убытков от падения
цены. Напротив, если цена акции растет, а инвестор желает приобрести
эти ценные бумаги, то его брокер покупает их в тот момент, когда курс
ценной бумаги совпадает с «лимит-ценой», на которой клиент просил
остановить покупку ценных бумаг. Лимитные приказы неэффективны
тогда, когда биржевая цена близка к курсу, зафиксированному в приказе,
но не достигает его.
Одной из особенностей «стоп -приказа», название которого произошло от выражения «stop loss» ограниченные потери, является возможность
его использования для хеджирования от возможных потерь (убытков)
или от возможного сокращения «бумажной прибыли». Одно из правил
работы с ценными бумагами гласит: нельзя покупать ценные бумаги
при самом высоком курсе, а продавать при самом низком. С помощью
«стоп -заказа», или, как его еще называют, порогового поручения, клиент
устанавливает свой, приемлемый для него минимальный уровень
при продаже и максимальный при покупке. Стоп-приказ — это приказ
продавать (покупать) в случае падения (роста) до определенного уровня
или ниже (выше). Например, если клиент купил акции по 90 единиц,
рассчитывая их продать по большей цене, однако вопреки прогнозам
курс акции пошел вниз, то его брокер имеет «стоп-цену» продажи 88
единиц, таким образом, клиент знает, что его максимальные потери от
падения курса не будут превышать 2 единиц.
Заявка на продажу («стоп-приказ») ценной бумаги превращается в
рыночную заявку в тот момент, когда она продается по котируемому
курсу, равному или более низкому, чем цена «стоп-заказ».
Если спекулянт совершает срочную сделку, рассчитывая на понижение
курса, и имеет договор, по которому к концу месяца должен поставить
ценные бумаги по 80 единиц, а курс неожиданно для него пошел
вверх, то его брокер имеет «стоп-цену» покупки 82 единицы, таким образом
он ограничивает свои потери 2 единицами.
Аналогично «стоп-заказ» используется и для сокращения потерь прибыли.
Инвестор, имея некоторую «бумажную прибыль», которую не
хочет превратить в наличность, в частности потому, что рассчитывает
на рост курса, вместе с тем страхует себя от ее потери.
При падении курса его брокер имеет поручение продать акции при достижении курсом порогового значения.
Например, инвестор приобрел ценные бумаги за 60 единиц, в настоящее
время биржевой курс — 70 единиц, и есть надежда на рост курса,
«бумажная прибыль» — 10 единиц. Однако если курс упадет до 68 единиц,
брокер продаст ценные бумаги, таким образом, «недополученная
прибыль» не будет превышать 2 единиц.
Таким образом, инвестиционные цели клиента всегда конкретны, между
тем, вводя приказ просто как рыночный или лимитный, брокер не может
учесть их в полной мере. Поэтому существует пятый вид классификации
приказов по конкретным распоряжениям (или особым реквизитам):
• приказ на собственный выбор;
• «связанный заказ»;
• «лучший приказ»;
• приказ на выполнение по возможности, остальное отменить и выполнить
или отменить;
• не понижать, не повышать;
• приказ «или-или»;
• приказ «с переключением», «сначала ..., а затем ...»;
• «все или ничего»;
• приказ «приму в любом виде»;
• приказ «проявить внимание».
Приказ на собственный выбор передается в том случае, если между
брокером и его клиентом установились доверительные отношения, и
последний полагается на знание брокером конъюнктуры фондового рынка,
тогда в его заявке может быть указано:
• купить определенные ценные бумаги на фиксированную сумму по
усмотрению брокера;
• продать определенные ценные бумаги по усмотрению брокера.
Клиент может передать «дискретное поручение», которое предоставляет
брокеру право действовать в рамках определенной суммы. Причем
в этом случае выбор ценных бумаг, их количество, направление
сделки, цены и время выполнения выбирает брокер. Такой заказ фактически
означает передачу брокеру всех полномочий в области принятия
инвестиционных решений. Неограниченные полномочия требуют высокой
квалификации и безупречной репутации брокера.
Близок по значению к дискретному поручению и «связанный заказ».
Он предполагает, что брокер исполнит для клиента в течение одной биржевой
сессии ряд сделок по покупке ценных бумаг и по продаже. Иногда
клиент назначает разницу, которая должна быть между курсом продажи
и покупки.
Клиенту, в частности, предоставляется право поставить
в зависимость заключение одной сделки от заключения или не заключения
другой. Приказ «или-или» предполагает, что заключение одной из
сделок автоматически отменяет все остальные заказы. Приказ «с переключением» означает, что выручка от продажи одних ценных бумаг
может быть использована для покупки других. Несколько иначе формулируется,
но близок к нему по значению приказ «сначала ..., а затем ...»,
выполнение которого также предполагает покупку и продажу ценных
бумаг в последовательности, обязательной для брокера, «сначала» продать,
а «затем» купить ценные бумаги, или наоборот. Например, клиент
может пожелать «сначала» совершить продажу, чтобы иметь денежный
резерв для торговли ценными бумагами, «а затем» совершить покупку.
Приказ «все или ничего» означает, что брокер должен купить
или продать все акции, указанные в заказе, прежде чем клиент согласится
с исполнением заявки. Приказ «приму в любом виде» предполагает,
что клиент примет любое количество ценных бумаг из указанных
им в заявке, вплоть до заказанного максимума.
Приказы подаются либо накануне биржевого торга, либо в процессе
его. Техника передачи биржевых приказов весьма разнообразна:
можно воспользоваться услугами курьера, отправить заказное письмо
по почте, послать заверенную телеграмму или телекс, использовать
телефакс. Если есть взаимосогласованный документ, подтверждающий
периодическую силу заявок по телефону или сетям компьютерной связи,
то возможно и таким путем передавать информацию своему брокеру.
Так или иначе, приказ, оформляемый в письменном виде, передается
менеджеру, который должен сразу письменно подтвердить его получение
с указанием даты и времени. После этого менеджер обязан проверить
поручение на достоверность и прежде всего распорядительные
полномочия клиента.
Для того чтобы заказ был исполнен, клиент должен предоставить
гарантии оплаты приобретаемых ценных бумаг. Если торговля организована
по принципу «с полным обеспечением», то необходимо предварительное
депонирование и ценных бумаг, и денежных средств, которые
предполагается использовать в процессе биржевого торга. Если нет,
то гарантиями исполнения сделки со стороны покупателя могут быть
представление брокеру простого векселя на полную сумму сделки либо
перечисление на его счет суммы в определенном проценте от суммы
сделки, которая является залогом и может быть использована брокером,
если клиент не выполнит свои обязательства, либо открытие брокеру
текущего счета (с правом распоряжения) на сумму, составляющую определенный
процент от суммы сделок, поручаемых последнему в течение
полугодия.
Можно также предоставить брокеру аккредитив на полную сумму сделки или страховой полис. Однако самым эффективным
средством расчета является банковская гарантия, по которой банком
должны быть оплачены все обязательства клиента по первому требованию
брокера. Такая форма расчетов не отвлекает финансовые ресурсы
из оборота брокера или его клиента и максимально приближает время
совершения сделки и время платежа.
Если клиент направляет менеджеру заявку-предложение с поручением
продать ценные бумаги, то одновременно он должен направить брокеру
сами ценные бумаги, предназначенные для продажи, или сохранную
расписку (заверенную руководителем и главным бухгалтером).
Сохранная расписка содержит обязательство выдать ценные бумаги по
первому требованию брокеру или другому лицу, имеющему доверенность
от брокера.
Современные системы торговли все больше ориентируются на торговлю
с полным обеспечением поданных поручений. Обычно менеджер.
принимающий поручения клиентов, не имеет самостоятельного доступа
в торговые системы, где данное поручение будет исполняться. Поэтому
он направляет поручение брокеру, работающему на бирже, либо
в то подразделение, которое будет обеспечивать исполнение поручения.
Пред торговая фаза обработки поручений обеспечивает трансформацию
поручений клиентов в заявки или ордера, которые могут подаваться
в систему торгов. Часто для этого используются электронные системы,
которые обеспечивают обработку поручений, регистрацию (прием)
заявок и передачу их исполняющему брокеру (маклеру). Брокер анализирует
ситуацию, складывающуюся на рынке, просматривает все поданные
заявки, вносит необходимые с его точки зрения коррективы по
любым параметрам, уточняет состав открытых приказов.
Формирование заявок на куплю-продажу ценных бумаг может осуществляться
брокером в электронной системе на основе приказов клиентов,
которые несут полную ответственность за соответствие поданных
заявок этим поручениям. Исполнение заявок осуществляется в процессе
биржевого торга. Есть определенные особенности, отличающие
процесс исполнения заявок в ходе биржевой сессии в режиме открытого
выкрика и электронных торгов.
Для проведения операций с ценными бумагами на торгах, организованных
по методу открытого выкрика, технология обработки поручений
следующая. Первым этапом процесса является передача поручения
биржевому брокеру. Брокер записывает все инструкции на дилерском
бланке, на котором часто проставляется отметка текущего времени.
Инструкции немедленно передаются клеркам брокера, работающим в
соответствующих секциях операционного зала (обычно клерки располагаются в кабине, находящейся вне торговой зоны). Они регистрируют
поступившее поручение и связываются с трейдерами «на полу» (в
«яме»), которые затем приступают к выполнению поручения. В ходе
торгов трейдеры передают все детали о ситуации в кабину клерков, а
оттуда информация передается в офис брокерской фирмы и клиенту.
В электронной системе торгов сделки с ценными бумагами заключаются
в соответствии с предварительно подготовленными на основе
поручений клиентов электронными заявками на покупку/продажу ценных
бумаг. Подача заявки в систему торгов означает безоговорочное
согласие совершить сделку на условиях, указанных в ней. Заявка, таким
образом, является офертой, адресованной всем участникам торгов.
Заявке присваивается идентификационный номер в системе торгов.
Применяются различные виды заявок в системе электронных торгов:
лимитные заявки с сохранением или без сохранения в котировках;
рыночные заявки с сохранением или без сохранения в котировках; заявки
периода закрытия. Информация, которая содержится в заявках, незначительно
различается в зависимости от их видов. Так, во всех заявках
на заключение сделок должны быть указаны: вид заявки (заявка с
сохранением или без сохранения в котировках); код участника торгов,
направленность заявки (заявка на покупку или заявка на продажу); наименование
ценной бумаги; количество ценных бумаг, выраженное в лотах;
позиция по ценным бумагам (количество ценных бумаг, которые
могут быть использованы в качестве обеспечения заявок на продажу в
течение торгов), в счет которой подана данная заявка. В лимитной заявке,
кроме того, фиксируется цена за одну ценную бумагу; в качестве
цены в заявке периода закрытия указывается цена закрытия, определяемая
в соответствии с правилами торговли. При отсутствии цены закрытия
заявка периода закрытия не принимается к исполнению. В рыночной
заявке также может указываться цена за одну ценную бумагу (если
вид заявки — рыночная заявка с сохранением в котировках).
Заявки подаются трейдерами с рабочих мест, находящихся в торговом
зале или с удаленных рабочих мест. При приеме заявки в системе
торгов автоматически фиксируется время ее ввода и присваивается идентификационный
номер. Все заявки, находящиеся в очереди в системе
торгов, могут быть сняты или изменены путем ввода участником торгов
соответствующего распоряжения. Внесение изменений в заявку, находящуюся
в очереди в системе торгов, осуществляется исключительно
путем отмены прежней и введения в систему торгов новой заявки.
Изменение реквизитов заявки рассматривается в системе торгов как
снятие первоначальной заявки и подача новой и влечет за собой ее перемещение
в конец очереди по времени подачи.
к тому, что различия в организации биржевых торгов и торговли на внебиржевом
организованном рынке стираются. Технологически любая из
современных систем торговли может происходить в режиме биржевой и
внебиржевой торговли. Однако исторически именно биржевая торговля
определяла стандарты организации торгов.
Организация торговли оказывает значительное влияние на ее стабильность
и ликвидность. Ее формы зависят в основном от состояния
фондового рынка, а именно от его глубины, ширины и уровня сопротивляемости.
Чем больше объем спроса и предложения на ценные бумаги,
тем рынок шире; чем крупнее объемы заявок инвесторов и концентрированнее
спрос и предложение, тем глубже вторичный рынок. Сопротивляемость
связана с диапазоном цен, в котором участники рынка готовы
покупать или продавать ценные бумаги. Основной задачей биржи
является установление рыночной цены путем использования различных
форм организации биржевой торговли.
Можно выделить четыре основные формы организации биржевой
торговли, в которых различаются механизмы установления рыночной
цены:
• аукцион;
• система со специалистами;
• система с котировками, устанавливаемыми маркет- мейкерами,
• система, основанная на заявках.
Рассматривая вопрос в историческом аспекте, следует отметить,
что на первых биржах в качестве механизма установления рыночной
цены использовался исключительно аукцион. Такая форма организации
биржевого торга широко известна и в настоящее время обычно
применяется при первичном размещении ценных бумаг. Она используется
и на вторичном рынке для торговли мало ликвидными ценными
бумагами, — если различные условия функционирования рынка изменяются,
существует разрыв между спросом и предложением и цена
подвержена влиянию многих факторов, сделки заключаются редко, а
цена сильно колеблется. Биржевая торговля, организованная в форме
аукциона, предполагает подачу и сравнение заявок. Классификация
аукционов приведена на рис, 1
При небольшом объеме спроса или предложения торговля организуется
в форме простого аукциона (рис. 15).

Такой аукцион может быть организован либо продавцом, который получает предложение покупателей
(аукцион продавца), либо покупателем, который ищет выгодное
предложение от ряда потенциальных продавцов (аукцион покупателя).
В России биржевая торговля также возрождалась, начиная с простых
аукционов продавцов по типу английского аукциона, когда продавцы
до начала торговых собраний подают свои заявки на продажу фондовых
ценностей по начальной цене. Они сводятся в котировочных бюллетенях,
которые раздаются участникам биржевого торга. В ходе аукциона,
если есть конкуренция покупателей, цена последовательно, шаг
за шагом повышается (размер шага аукциона определяется до начала
торгов), пока не остается один покупатель, и ценные бумаги продаются
по самой высокой цене предложения.
Таким образом, английский аукцион
— это прямая борьба между покупателями, последовательно повышающими
цену, и последним покупателем, предложившим самую высокую
цену, по которой приобретается биржевой товар (см. рис. 15).
По правилам голландского аукциона продавец назначает максимальную
цену, заведомо зная, что его начальная, стартовая цена завышена,
и ведущий торги последовательно предлагает все более низкие ставки
за выставленный лот, пока какая-либо из них не принимается. В этом
случае ценные бумаги продаются первому покупателю, которого устраивает
предложенный курс. Таким образом, голландский аукцион заключается
в последовательном снижении максимальной цены продавца
до уровня, приемлемого для покупателя, и признаваемого в качестве цены,
по которой заключается сделка (см. рис. 15).
На аукционе «в темную», или так называемом закрытом (заочном),
все покупатели предлагают свои ставки одновременно, и ценные бумаги
приобретает тот, кто сделал самое высокое предложение (см.
рис. 15). Такой тип аукциона Министерство финансов Российской
Федерации использовало при размещении государственных краткосрочных
облигаций (трехмесячных, шестимесячных и годовых). Покупатели
(физические и юридические лица) представляют свои ставки
одновременно до оговоренного срока, и размещение осуществляется
по ценам, указанным в заявке. Эти цены выше цены отсечения нижней
цены размещения данного выпуска или равны ей. Таким образом, закрытый
аукцион основан на предварительном сборе заявок, ранмсировании
и выборе наиболее привлекательных из них.
Нетрудно заметить, что простой аукцион предполагает конкуренцию
либо продавцов (в условиях избытка фондовых ценностей и недостатка
платежеспособного спроса), либо покупателей (при избытке платежеспособного
спроса и монопольном положении продавцов ценных
бумаг). При отсутствии этих факторов, а также при достаточной глубине
и ширине фондового рынка наиболее эффективной оказывается
система двойного аукциона (см. рис. 15). Он предполагает наличие
конкуренции между продавцами и покупателями. Двойные аукционы
как форма организации биржевой торговли наиболее полно соответствуют
природе фондового рынка. В свою очередь, имеются две формы двойных
аукционов: онкольный рынок и непрерывный аукцион (см. рис. 15).
Состояние рынка ценных бумаг, а именно его ликвидность, предопределяет
выбор формы двойного аукциона. Если сделки на рынке осуществляются
редко, существует большой разрыв между ценой покупателя
и ценой продавца (этот разрыв в биржевой котировке называется «спрэдом»),
а колебания цен от сделки к сделке велики, и сделки носят не регулярный
характер, то такой рынок нельзя назвать ликвидным, и биржевая
торговля практически не может быть организована в форме непрерывного
аукциона.
Более приемлемым является организация биржевой торговли
по типу онкольного рынка с редким шагом. Чем менее ликвиден рынок,
тем реже шаг аукциона и длительнее период накопления заявок на
покупку и продажу ценных бумаг, которые затем «выстреливаются залпом
» в торговый зал для одновременного исполнения. При неустойчивом
рынке, испытывающем резкие колебания цен для достижения относительной
стабильности, аукцион временно прекращается, и это наиболее эффективно
при онкольной форме двойного аукциона. С точки зрения техники
проведения, аукцион может быть голосовым или устным (см. рис.
15). При этом собираются биржевые посредники для устного сопоставления
заявок клиентов, находящихся в их портфеле. Делается это с целью
установления равновесия между заявками на покупку и заявками на продажу:
заявки на продажу с одинаковыми параметрами в процессе торга
исполняются.
В шумной атмосфере, царящей на голосовых рынках, трудно сориентироваться,
НС прибегая к определенным жестам. Эти жесты были выработаны
историей биржевых аукционов, например, «аукцион выкриков» (out
cry system) имеет достаточно глубокие исторические корни. Федеральное
правительство США в 1790 г. выпустило на 80 млн долл. облигаций для
рефинансирования своего долга, связанного с войной за независимость.
Облигации вызвали большой интерес у спекулянтов, и вскоре неформальная
торговля в кофейнях и конторах уступила место регулярным аукционам,
проводимым в полдень на Уолл- Стрит. Ведущий аукцион в окружении
собравшихся выкрикивал названия отдельных ценных бумаг по порядку
одного за другим. После объявления выпуска участники аукциона
выкрикивали свои предложения: одни называли цену, по которой они согласны
купить ценные бумаги, - - bid price («цена покупателя»), другие -
цену ask price, по которой согласны продать («цена продавца»).
Таким образом, нетрудно заметить, что онкольному рынку соответствует
такая временная конфигурация, как залповый аукцион. Рассматривая
вопрос в историческом аспекте, следует отметить, что заказы
вводились либо устно, либо письменно, либо организация торгов осуществлялась
полуписьменно, полуустно. При устном вводе уполномоченный
биржи ведет аукцион по каждому выпуску от цены последней
сделки вчерашнего дня. По мере поступления заявок он увеличивает или
уменьшает цену, пока не наступает наибольший баланс спроса и предложения,
таким образом, максимизирует оборот. При этом брокер может
изменить свой первоначальный заказ. Каждый из участников торга
знает о неукоснительном соблюдении приоритета цены, а при прочих
равных условиях и второго приоритета объема, т. е. количества указанных
в заявке ценных бумаг.
Например, в Париже устный аукцион использовался при торговле крупными, активными выпусками. Он обходится дороже, чем полуписьменный,
полуустный. При его проведении
заявки на покупку и продажу сосредоточиваются в специальном журнале
(отдельном для каждой ценной бумаги). Механизм указанного способа
основывается преимущественно на деятельности котировщика-служащего.
До начала заседания биржи маклеры стараются исполнить поступившие
к ним рыночные заявки на основе голосового аукциона. И только
после этого неисполненные заявки передают для регистрации в журнал.
Сопоставляя заказы для увеличения оборота, специалист прибегает
к поиску держателей заявок на рассматриваемую ценную бумагу.
Ликвидный рынок предоставляет возможность использовать письменный
ввод заказов в биржевой аукцион (см. рис. 15).
При письменном вводе заказов исходная цена устанавливается курс-
маклером (официальным брокером), который концентрирует заявки на
покупку и продажу, а затем устанавливает цену, максимизирующую
оборот. Подавая заявку заранее, брокер не может изменить свой первоначальный
заказ, поэтому приоритет времени, который действует на
любом устном аукционе, в случае письменной подачи заявки теряет
смысл. В итоге определяется клиринговая цена, по которой продавцы и
покупатели заключают сделки, таким образом, каждый «залп» «очищает
» рынок от наибольшего количества заказов. При ликвидном рынке
«залпы» осуществляются несколько раз в течение биржевого дня. Крупнейшие
залповые рынки ^ это биржи Австрии, Бельгии, Германии и
Израиля. Частые залпы свидетельствуют о наличии постоянного спроса
и предложения на ценные бумаги, ликвидности рынка, позволяют перейти
к непрерывному аукциону, который в свою очередь имеет три
вида (см. рис. 15).
Первый из них — использование книги заказов, куда заносятся устно
передаваемые брокерами заявки, которые исполняются клерком (уполномоченным
биржей) путем сличения объемов и цен. Таким образом осуществляется
подбор заказов, благодаря которому конкретные покупатели
торгуют с конкретными продавцами, причем в сделке могут участвовать
несколько заказов. Так, крупный заказ на покупку может
исполняться несколькими заказами на продажу, и наоборот.
Второй вид непрерывного аукциона — «табло» (см. рис. 15), на котором
указывается наилучшая пара цен на каждый выпуск (наивысшая —
при покупке, наименьшая — при продаже). Маклер группирует поступившие
заявки и определяет по каждому виду ценных бумаг курсовые пожелания (наивысшую — при покупке, наименьшую — при продаже).
Эти цены выводятся на табло или экран рабочего места брокера. Например, на табло Нью-Йоркской фондовой биржи по акциям какой-либо корпорации указано
«17 и 3/8 к 17 и 3/4» или «3/8, 3/4». Это означает, что 17 и 3/8 — наилучшая
цена спроса, а 17 и 3/4 — наилучшая цена предложения.
Данные цены служат основой для корректировки собственных заявок
и построения стратегии игры в процессе биржевого торга. Проанализировав
ситуацию, брокеры сами вводят цены на табло, которые видны
всем трейдерам, находящимся в торговом зале. Заказы размещаются
на табло в хронологическом порядке, поэтому приоритет времени
играет определяющую роль. Заказ может быть не выполнен, если аналогичные
заказы на ту же цену приходят раньше и поглощают заказы
противоположной стороны рынка. Причиной невыполнения данного заказа,
таким образом, может быть «опережение» заявки на акции. Если
диапазон цен, который, как уже отмечалось, характеризует уровень
сопротивляемости рынка, большой, то маклер может внести корректировки
в ходе биржевой торговли, исключив те заявки, которые слишком
отрываются от цен спроса и предложения. Сама организация биржевой
торговли позволит повысить ликвидность рынка путем установления
предельного «спрэда».
Третий вид непрерывного аукциона — толпа (см. рис. 15). Трейдеры
собираются вокруг клерка (уполномоченного биржи), который лишь
объявляет поступающий в торговлю выпуск, а затем сами делают все
остальное (выкрикивают котировки, отыскивая контрагента). Сделки
в «толпе» заключаются по разным ценам, причем один покупатель может
заключить сделку с разными продавцами, не пытаясь определить
некую общую цену. Трудно себе представить торговлю «толпой» на
больших биржах, оснащенных современной компьютерной техникой, по
активным выпускам крупнейших компаний. Однако и у этого вида непрерывного
аукциона есть определенные преимущества, которые заключаются
в объединении заказов для долговых рынков, что позволяет
«очистить рынок» от ценных бумаг, максимально увеличив количество
исполняющихся заказов.
Таким образом, мы видим, что «залповый» аукцион способствует
установлению единой, наиболее справедливой с точки зрения рынка
цены, а на непрерывном аукционе цена колеблется от сделки к сделке,
поэтому попытка применить этот способ на рынке, объемы спроса и
предложения на котором незначительны либо число участников биржевой
торговли ограничено, могут привести к росту колебаний цен от сделки
к сделке в силу неравномерности поступления заявок и, возможно, к
биржевой панике.
Организация биржевой торговли и ее эффективность зависят не только
от формы аукциона, принятой на той или иной бирже, но и от роли
биржевых посредников в процессе ее осуществления. Облик биржевой
торговли определяет работа биржевых посредников, их статус и порядок
участия в торгах. Как уже упоминалось ранее, для установления
рыночной цены могут быть использованы:
• система со специалистами;
• система с котировками, устанавливаемыми маркет-мейкерами;
• система, основанная на заявках.
Биржа — это царство посредников, и трудно найти фондовую биржу,
на которой операции с фондовыми ценностями осуществляли бы
сами инвесторы. Однако основная цель биржи — организовать торговлю,
которую осуществляют профессионалы рынка брокеры и дилеры,
— с целью исполнения заявок инвестора. Для этого может быть
использована система со специалистами, которая обеспечивает торговлю
через посредничество. Особенно наглядно это иллюстрирует исторический
пример.
В 1875 г., согласно преданию, травма ноги, полученная брокером по
имени Джеймс Бойд, способствовала введению в действие практики, которая
впоследствии стала главной отличительной чертой современной
американской фондовой биржи. Потеряв способность передвигаться по
залу, Дж. Бойд рещил предложить брокерские услуги только по одному
наименованию акций — по акциям «Вестерн Юнион Компани». Осуществляя
функции центральной клиринговой (расчетной) палаты, Дж. Бойд
скоро обнаружил, что его возможности по совмещению поручений на продажу
и покупку акций возросли. Благодаря этому к нему стало поступать
еще больше заказов от других брокеров. Существенная часть предложений
поступала от тех брокеров, которым их клиенты поручили совершить
сделки с акциями «Вестерн Юнион Компания» по ценам выше
либо ниже преобладающей рыночной цены. Для того чтобы устраивать
другие свои сделки, требовавшие их присутствия в разных местах биржевого
зала, брокеры оставляли свои заказы по акциям «Вестерн Юнион
Компани» Дж. Бойду с тем, чтобы он выполнял их по мере возможности.
Таким образом, Дж. Бойд стал первым «специалистом» на Нью-Йоркской
фондовой бирже. Тот тип поручений, который он выполнял для других
брокеров, стал известен под названием «лимитные поручения». В качестве
центра притяжения потока предложений Дж. Бойд стал привлекать
также тех брокеров, которые искали возможность совершить сделку по
наилучшей цене в соответствии с «рыночными поручениями» своих клиентов.
Такие поручения не содержали указаний относительно лимита цены
и должны были реализовываться «в соответствии с рынком».
Преследуя аналогичные выгоды, другие брокеры стали копировать
практику Дж. Бойда, выбирая для себя другие акции. Вскоре эти специалисты
осознали, что исполнение ими роли расчетных палат позволяло
обладать привилегированной информацией относительно спроса и предложения
по избранным ими ценным бумагам. Эта информация могла
быть использована для выгодной торговли за свой собственный счет.
Поэтому специалисты стали действовать не только в качестве посредников
в сделках, но и в качестве принципалов или дилеров. Таким образом,
специалисты заключают сделки со всеми участниками торгов и
выступают в роли посредников между брокерами.
Однако на традиционно функционирующей бирже не все сделки будут
заключаться только через специалистов. Рассмотрим работу «комиссионных
» и «двухдолларовых» брокеров на Нью-Йоркской фондовой
бирже. «Комиссионный» брокер — служащий ко.мпании члена биржи
и работающий в зале биржи на «полу». «Двух долларовый брокер» (от
англ. two-dollar broker) - независимый брокер торгового зала; в прошлом
такие брокеры брали комиссию в размере 2 долл. за каждые 100
единиц реализованных ценных бумаг.
Получив поручение клиента, «комиссионный» брокер обычно идет к
месту, где работает специалист по таким акциям. Если он в данный
момент занят, то просит отнести поручение к специалисту - одному из
«двухдолларовых» брокеров. Будучи независимыми дельцами, они берут
комиссионные за каждое поручение, которое помогают исполнить.
Эти комиссионные выплачиваются «верхней» брокерской фирмой. Работа
«комиссионных» и «двухдолларовых» брокеров состоит в том,
чтобы обеспечить наилучшие возможные цены для тех поручений, которые
им передала «верхняя» брокерская фирма.
Принеся поручение к специалисту, брокер торгового зала («комиссионный
» или «двухдолларовый») может выбрать одну из нескольких
возможностей. Он определяет наилучшие предлагаемую и запрашиваемую
цены (самую высокую предлагаемую и самую низкую запрашиваемую)
по данному наименованию акций; обычно он выясняет эту информацию
у специалиста или считывает с электронного терминала,
расположенного над местом его работы. На терминале также высвечивается
количество акций, которые предлагается купить или продать по
указанной цене; это количество называется «размещением заявки». Вооружившись
этой информацией, брокер может разработать стратегию
исполнения поручения. Если, например, у брокера есть «рыночное» поручение
на покупку 1200 акций, он может оценить наилучшую запрашиваемую
цену и количество акций, которое предлагается к продаже
по этой цене. Если количество акций не менее 1200 и если брокер посчитает
цену привлекательной, то он может выкрикнуть, что хочет принять
предложение.
В этом случае сделка совершается немедленно.
Если оказывается, что наилучшее предложение исходит от брокера
торгового зала, также находящегося возле этого места, то оба эти брокера
обмениваются названиями фирм, представляют и утверждают детали
сделки, которую они совершили. В данном случае сделка обходится
без прямого участия специалиста, и каждый из брокеров зарабатывает
комиссионные от той брокерской фирмы, которую он представляет
(если только они не работают по твердой ставке). Специалист от такой
сделки никаких комиссионных не получает.
С другой стороны, если наилучшая цена названа в «лимитном» предложении,
которое было оставлено у специалиста для реализации, то
брокер торгового зала, пришедший с поручением на покупку, зарабатывает
комиссионные, а специалист получает комиссионные от брокерской
фирмы, оставившей у него «лимитное» поручение. Если специалист
продает 1200 акций из собственного запаса, то он не получает комиссионных.
Разумеется, брокер с «рыночным» поручением на покупку
1200 акций не обязан «хвататься» за лучшую текушую цену сразу по
приходу к месту специалиста. Если брокер полагает, что он может получить
более выгодную цену, подождав или предложив немного более
низкую цену, то он может так поступить.
Если вместо «рыночного» поручения брокеру торгового зала дано
«лимитное» поручение, причем оговоренная в нем цена существенно ниже
или выше преобладающей рыночной цены, он может предпочесть оставить
это поручение у специалиста, чтобы тот исполнил его, когда позволят
рыночные условия. Поступая так, брокер торгового зала отказывается
от возможности заработать на этом поручении комиссионные
от брокерской фирмы.
Исполняя лимитные поручения, оставленные им «комиссионными» и
«двухдолларовыми» брокерами, специалисты зарабатывают комиссионные
от «верхних» фирм. Конечно, брокер торгового зала может сам
остаться у места специалиста в поисках возможности исполнить «лимитное
» поручение по более выгодной цене, чем та, которая оговорена
инвестором. В этом случае он, а не специалист, получит комиссионные
от «верхней» брокерской фирмы. В общем случае брокеры торгового
зала и специалисты зарабатывают комиссионные только тогда, когда
они действительно осуществляют посреднические услуги. Например,
большинство специалистов Нью- Йоркской фондовой биржи берут за
исполняемые поручения единообразную комиссию в размере от 1,5 до
2 долл. за 100 акций. «Двухдолларовые» брокеры зарабатывают в среднем
от 1 до 1,5 долл. за 100 акций.
В отличие от брокера специалист покупает и продает ценные бумаги
за свой счет или за счет фирмы, которую он представляет. Исполняя заказ
на покупку, дилер продает часть своего фондового резерва, а выполняя
заказ на продажу, покупает за счет собственных средств, т.е. выступает
на рынке принципалом. Совокупность сделок, в которых одним из
контрагентов выступает дилер, называется дилерским рынком. Различие
между дилерским и агентским рынками не столь формально, как это может
показаться на первый взгляд, т.е. дилер может предлагать свои котировки,
а также поддерживать ликвидность, обеспечивать порядок и справедливость
этого рынка. Дилер, будучи профессионалом и обладая определенным
резервным капиталом, может способствовать большей
ликвидности рынка. Его прибыль — это результат игры на мелких колебаниях
курса, которые он обязан сглаживать.
На агентском рынке брокер как агент клиента, имеющий те же обязательства
перед противоположной стороной рынка, что и его клиент,
получив заявку, старается как можно лучше ее исполнить, найдя контрагента
по сделке, интересы которого на бирже представляет другой
брокер или он сам (в этом последнем случае заказы будут самовыполняющимися).
Если сделка и со стороны продавца, и со стороны покупателя
будет заключена на бирже от имени клиента и за его счет, то брокер
представляет клиента, поэтому рынок, являющийся совокупностью
этих сделок, называется агентским (рис. 16). Например, в Германии
клиент, желая купить или продать ценные бумаги, обращается в банк,
который и будет выступать агентом клиента при заключении сделки на
Франкфуртской бирже или на одной из семи региональных бирж.
В других европейских странах банки не занимают столь решающего
монопольного положения на фондовом рынке, как в Германии, и агентами
клиентов при исполнении заказа являются брокеры. Таким образом,
сочетание формы организации биржевой торговли с агентским и дилерским
рынками составляет основу биржевого механизма и определяет фундаментальные
особенности биржевой торговли. Поскольку биржевая торговля
— это всегда сочетание различных видов рынков, аукционов, профессиональных
посредников, то нет ничего удивительного, что биржевой
процесс, организованный в рамках одной биржи, включает и агентский, и
дилерский рынки. И это подтверждает организация торговли на каждой
из бирж мира. Большинство из них — это сочетание агентского рынка и
аукциона. Например, на Франкфуртской фондовой бирже можно наблюдать
агентский рынок в сочетании с онкольным, причем последний имеет
очень «частый шаг» и по ликвидности мало чем отличает от непрерывного.
С 10—30 до 13—30 ежедневно «онкольный рынок» идет «частым шагом». Цена по активным выпускам меняется в среднем 30—40 раз.

По неактивно торгуемым выпускам цена устанавливается одним залпом в
12 часов дня. Токийская фондовая биржа — пример агентского рынка,
непрерывный аукцион, который организован с помощью книги лимит- заказов
и табло, а американские и канадские биржи являются в основном
дилерскими рынками, на которых непрерывный аукцион обеспечивается
тем, что каждый дилер, отвечающий за выпуск, объявляет цену продавца
и цену покупателя, т.е. поддерживает непрерывный двусторонний
рынок путем продажи или покупки акций за свой счет, если временно нарушается
баланс спроса и предложения. При этом все дилеры придерживаются
определенных правил.
По правилам Нью-Йоркской фондовой биржи каждый дилер-специалист
отвечает за «эффективное исполнение доверенных ему посреднических
поручений». Таким образом, специалист будет искать для поручений
от публики возможность исполнения по наилучшей возможной
цене. Это обязывает специалиста во всякое время доводить до общего
сведения наивысшую предлагаемую и наинизшую запрашиваемую цену
по закрепленным за ним акциям. В рамках одной сделки специалист не
может выступать одновременно и как посредник, и как принципал.
Правила биржи требуют, чтобы специалист воздерживался от участия
в торговле в качестве принципала, если его дилерская роль не является необходимой для осуществления поручений, например, если по данной
акции одновременно поступают предложения купли и продажи, оба
по цене 3 долл.
Какова бы ни была цена, специалист должен отдавать
предпочтение исполнению публичных поручений по сравнению с собственным
интересом. Напротив, если поручения от публики трудно или
невозможно совместить, то правила допускают, что специалист будет
«по мере разумной возможности» выступать в качестве принципала.
Таким образом, значения предлагаемой и запрашиваемой цен, как
они даются в котировке Нью-Йоркской фондовой биржи, обычно представляют
собой наиболее привлекательные цены публичных предложений,
соответственно покупки и продажи, представленные у специалиста
(самим специалистом или брокерами торгового зала). Однако если
публичных предложений нет в наличии, от специалиста требуется сделать
публичные предложения покупки и продажи от своего собственного
имени. При этом у него есть некоторая свобода в установлении разницы,
или «спрэда», между своими значениями предлагаемой и запрашиваемой
цен. Если «спрэд» большой, то специалист может больше
заработать на перепродаже акций, покупая их по низкой предлагаемой
цене и продавая по высокой запрашиваемой цене. Если «спрэд» небольшой,
то на средней единичной сделке специалист заработает меньше,
но, возможно, благодаря более привлекательным ценам, в операциях примет
участие большее количество инвесторов.
В наши дни брокеры и инвесторы постоянно просматривают преобладавшие значения предлагаемых и запрашиваемых цен на электронном
терминале, который подключен к специалисту. От специалиста
требуется сообщать, таким образом, только о самой высокой предлагаемой
и самой низкой запрашиваемой ценах на закрепленные за ним
акции.
Возможно, самая важная обязанность специалиста состоит в том,
чтобы поддерживать «справедливость и порядок» в торговле закрепленными
за ним акциями. Правила требуют, чтобы специалист проводил в
жизнь систему приоритетов, определяющую порядок исполнения поручений.
Согласно этой системе, каждому поручению приписывается некоторый
приоритет в зависимости от фигурирующих в нем цены, времени
поступления поручения к специалисту и размера поручения. При
любых прочих условиях приоритетом пользуются самая высокая предлагаемая
цена и самая низкая запрашиваемая цена.
На Нью-Йоркской фондовой бирже, например, запрещается всем ее
членам-брокерам действовать в качестве принципалов или посредников
между покупателем и продавцом в сделках по котируемым акциям
без представления сделки на непрерывный аукцион, происходящий
в торговом зале.
В соответствии с правилом № 390 большая часть
поручений на операции с котируемыми акциями направляется для исполнения
в торговый зал, чем обеспечивается соблюдение системы приоритетов
на бирже. В результате происходит консолидация потока заявок,
которая может улучшить шансы отдельного поручения на то,
чтобы быть исполненным по наилучшей возможной цене; при этом
также поддерживается монополия специалиста. Биржа последовательно
защищает правило № 390 как необходимое средство обеспечения
справедливости и эффективности рынка; в то же время критики утверждают,
что в действительности биржа при этом хочет сохранить свой
контроль за торговлей котируемыми акциями. Некоторые брокеры-
дилеры, являющиеся членами биржи, желали бы отмены правила № 390,
что позволило бы им создать свои рынки котируемых акций наподобие
внебиржевого рынка.
Биржевая торговля существует несколько столетий, постоянно развиваясь
и совершенствуясь. За это время улучшались правила торговли
и клиринг, убыстрялись расчеты и исполнение сделок и т.д. Параллельно
в биржевой торговле происходили изменения в технике ее ведения.
Система с котировками и маркет-мейкерами (quoote-driven system)
осуществляется в системе электронных торгов с помощью ручных манипуляций
и основана на использовании модуля «акцепт», который можно
сравнить с электронной «доской объявлений».
Посредники, именуемые маркет-мейкерами, выставляют на этой доске
цены, по которым они могут продать или купить ценные бумаги. Фондовые
брокеры заключают сделки с ними по поручению своих клиентов
(физических лиц и институциональных инвесторов). Маркет-мейкеры —
игроки, действующие как принципалы и активно влияющие на цены, выставляя
свои котировки, чтобы побудить маркет-тейкеров вступить в
ифу. Таким образом, участники торгов разделены на две группы — маркет-
мейкеры и маркет-тейкеры. Маркет-мейкеры, постоянные участники
торгов, вводят свою котировку в систему на условиях, которые они
обязуются поддерживать, и дают публичные обязательства покупать и
продавать ценные бумаги по объявленным ими ценам.
При этом другие участники — маркет-тейкеры — имеют право заключить
сделку только с маркет-мейкерами. Они могут выбрать наиболее
выгодное предложение и вступить в переговоры относительно цены
или объема. Сделка считается заключенной после того, как они придут
к согласию. При этом в результате переговоров предложение на покупку
или продажу может отличаться от того, которое было введено в систему
первоначально, путем введения новых условий сделки через компьютерный
терминал.
Аналогичная система используется в РТС, когда в период торговой
сессии для всех ее участников котировки являются твердыми.
«Твердая котировка» — котировка, сопряженная с обязательством
ее участника заключить сделку на содержащихся в ней условиях. При
этом она может быть как односторонней, т.е. содержащей предложение
либо на покупку, либо на продажу ценных бумаг определенного
эмитента с указанием их количества, цены, валюты расчета и числа
дней, необходимых для регистрации перехода права собственности,
так и двусторонней, одновременно объявляющей о покупке и продаже
ценной бумаги одного эмитента. Каждая из них объявляется под именем
участника электронных торгов, и поэтому он несет ответственность
за соответствие котировок установленным в системе электронных
торгов правилам. Кроме этого, выставляя котировку, участник
электронного торга берет на себя обязательства заключать сделки по
указанной в котировке цене и гарантировать надлежащее ее исполнение.
Сделка при такой системе заключается в результате согласия
(«акцепта») двух участников электронной торговли, из которых маркет
-мейкер выставил котировку в торговой системе на покупку или
продажу ценных бумаг. Сделки должны заключаться по «твердым»
котировкам, но иногда разрешается заключение сделки в системе РТС
по индикативным (в мировой практике они носят название «объявленных
котировок»).
Индикативная котировка не сопряжена с обязательством объявившего
ее участника заключить сделку на содержащихся в ней условиях и
поэтому, например, в РТС, сделки по таким котировкам заключаются
вне торговой сессии при условии документально зафиксированного сбоя
в торговой системе, и если инициатором сделки является кандидат в
маркет-мейкеры.
Система, основанная на котировках, например, существовала и по
ликвидным и неликвидным акциям до конца 1997 г. на Лондонской фондовой
бирже. Однако повышение ликвидности рынка приводило к сбоям
в системе, основанной на котировках. Посредники, именуемые маркет-
мейкерами, выставляли цены, по которым они могли продать или купить
ценные бумаги, а фондовые брокеры посылали запросы, и если их
было так много, чтомаркет-мейкеры не могли на них ответить с помощью
ручных манипуляций, то система давала сбой. Таким образом, движение
рынка было быстрее, чем они могли ответить на запрос. Поэтому
система с котировками и маркет-мейкерами используется для ограниченно
ликвидного рынка. И вот с 20 октября 1997 г. торговля по наиболее
ликвидным акциям (акции ТОРЮО) на Лондонской фондовой бирже
перешла на систему, основанную на заявках.
Она использует Лондонскую SETS систему, которая представляла собой систему электронной торговли.
Система, основанная на заявках, или мэтчинг, — «метчинг» (автоматическая
система сверки и подбора контрагента). При такой системе
каждый аккредитованный участник торговли может поставить на проведение
операции свои заявки, которые затем вводятся в компьютер и
исполняются автоматически, как только совпадает цена. В отличие от
акцепта, система «мэтчинг» предусматривает, что брокеры должны ввести
в компьютер код ценной бумаги, xapaтep сделки (покупка или продажа),
цену и количество ценных бумаг. Ввод заявок может происходить
24 ч в сутки, и электронная система автоматически фиксирует время
ее ввода и присваивает ей номер.
Как правило, заявка не принимается к исполнению, если она не обеспечена
предварительно внесенными денежными средствами, необходимыми
для исполнения заказа на покупку или ценными бумагами в случае
заказа на продажу. Так, заявка на продажу ценных бумаг принимается
системой торгов к исполнению при условии, если ее величина не
превосходит позиции аккредитованного участника торговли по ценным
бумагам, а заявка на покупку ценных бумаг принимается системой торгов
к исполнению при условии, если ее величина не превосходит позиции
аккредитованного участника торговли по денежным средствам. При
поступлении заявки на продажу ценных бумаг значение позиции данного
аккредитованного участника торговли по ценным бумагам, указанное
в данной заявке, в системе торгов автоматически уменьшается на
количество ценных бумаг, которое необходимо для полного удовлетворения
поданной заявки. Если получившийся результат отрицателен, то
данная заявка не принимается к исполнению в системе торгов.
При поступлении заявки от аккредитованного участника торговли
на покупку ценных бумаг значение денежной позиции автоматически
уменьшается в системе торгов на сумму денежных средств, которые
необходимы для полного удовлетворения поданной заявки (включая
суммы, необходимые для уплаты комиссионного вознаграждения). Ваш
получившийся результат отрицателен, то данная заявка не принимается
к исполнению. Для определения суммы денежных средств, необходимой
для полного удовлетворения поданной заявки, используется:
• для лимитной и заявки периода закрытия цена, указанная в заявке;
• для рыночной заявки без сохранения в котировках максимальная
цена в заявках на продажу, находящихся в очереди;
• для рыночной заявки с сохранением в котировках — цена, указанная
в заявке, либо максимальная цена в заявках на продажу, находящихся
в очереди (в зависимости от того, какая из этих двух цен будет
большей).
Заявка, включенная в систему электронных торгов по правилам непрерывного
сопоставления заявок, автоматически (мгновенно) проверяется
на наличие допустимых встречных заявок. Встречными называются
заявки, поданные на покупку и продажу одной и той же ценной
бумаги. При этом заявки на покупку всегда будут встречными по отношению
к заявкам на продажу, и наоборот.
Допустимыми встречными заявками считаются те из них, в которых
цена на продажу не выше цены, указанной в заявке на покупку, и соответственно
цена на покупку в поданной заявке не ниже указанной во
встречной заявке цены на продажу. При наличии допустимых встречных
заявок происходит заключение сделки, которое не требует дополнительного
согласия участника электронного торга, подавшего заявку.
Сделка заключается между поданной встречной заявкой, стоящей
первой в очереди на исполнение. Очередность устанавливается, как правило,
в соответствии с приоритетом цены и времени подачи заявок. Хотя
допустимы и иные приоритеты очередности заявок, например, их объем.
На немецких биржах соединение контрагентов друг с другом происходит
по случайному признаку, и при этом рационализация повышается.
Количество ценных бумаг, указанных в поданной заявке и допустимой
встречной заявке, при заключении сделки уменьшается на объем
последней, и это повторяется до тех пор, пока заявка не будет исполнена
или не останется ни одной допустимой встречной заявки. В зарубежной
практике третий модуль системы — отчетность также используется
для заключения сделок вне торговой системы, например, по телефону.
По окончании торговой операции обе стороны обязаны ввести отчет
в систему в течение 90 секунд.
Электронные торги по системе «мэтчинг» возможны лишь на рынках
наиболее ликвидных ценных бумаг и обычно используются для заключения
крупных сделок, тогда как мелкие заказы чаше всего исполняются
через систему акцепта.
Преимущества системы, основанной на котировках, очевидны: более
объективно формируется цена, сужается спрэд, снижаются издержки
на проведение операции, возрастает активность рынка. Система позволяет
обеспечивать высокую надежность сделки, быстрое ее исполнение.
Технологически любая из систем может быть организована и в
рамках традиционной биржи, но что же привлекает в организации электронной
торговли?
Прежде всего электронная торговля позволяет повысить ликвидность
фондового рынка.
Если на бирже рынок акций какой-либо компании«делает» один специалист,
то в системе электронных торгов в создании
рынка участвует широкая сеть «брокеров-дилеров», которые и по существу,
а в ряде стран и по названию являются «производителями рынка
». Название «брокеры/дилеры» (или «брокеры-дилеры») связано с тем,
что на внебиржевом электронном рынке большинство фирм функционирует
одновременно и как брокеры, и как дилеры. Торговец, выступающий
«производителем» рынка, исполняет заявки на куплю-продажу ценных
бумаг по своему выбору, не совмещая в одной операции функции
брокера и дилера. Некоторые «брокеры-дилеры» берутся за исполнение
заказов, охватывающих тысячи акций, которые по стандартам биржевой
торговли не могут обращаться на бирже.
Технические возможности электронной системы торгов позволяют
ежедневно осуществлять сделки, включающие несколько миллионов акций.
К достоинствам компьютеризированной торговли относится то, что
она прекрасно подготовлена к большим торговым объемам. При расширении
рынка увеличить ее мощность значительно проще и дешевле.
Вторым преимуществом электронной торговли является возможность
работать с индивидуальным инвестором. Подыскивая для покупки акцию,
агент обычно контактирует со своим брокером. Если тот не является
«производителем» рынка по данной ценной бумаге, он принимает
поручение клиента, уведомляя его, что при исполнении заявки он будет
действовать как брокер, и отправляет заказ другим участникам внебиржевого
рынка путем введения информации в систему. При исполнении
заказа участник внебиржевого рынка, действуя как брокер, получает
комиссионное вознаграждение, которое обычно не должно превышать
5% суммы сделки. Если же он действует на рынке данной ценной
бумаги как дилер, т.е. имеет определенный резерв по указанной в заявке
ценной бумаге, то исполнение приказа клиента на покупку осуществляется
за счет данного резерва и на продажу — за счет его собственных
средств: исполнение заказа приводит к увеличению резерва дилера.
В этом варианте исполнение заказа представляет собой обычную принципиальную
сделку, вознаграждением по которой является стандартный
дилерский сбор. Он, как правило, также фиксируется правилами
торговли, устанавливаемыми профессиональными участниками рынка.
Например, в Правилах торговли в РТС, принятых НАУФОР, было зафиксировано,
что максимальный спрэд внутри котировок на покупку
или продажу не должен превышать 10 (десяти) % от лучшей котировки
на покупку или продажу. Участник торговой системы, чья котировка в
торговой системе вышла за указанную границу, обязан изменить или
убрать ее. Например, если лучшая котировка на покупку 10 руб., а лучшая
котировка на продажу 14 руб., то все остальные котировки должны
быть в следующих пределах: на покупку — не менее 9 руб., на продажу—
не более 15 руб. 40 коп.
При этом минимальный размер торгового лота для всех котировок, объявленных членами торговой системы, не
может быть ниже 10 тыс. долл. США, а минимальный размер торгового
лота для всех других котировок, объявленных в торговой системе, не
может быть ниже 20 тыс. долл. США.
Очень наглядно влияние электронной торговли на повышение качества
рынка можно проследить, изучая опыт системы автоматизации
котировки Национальной ассоциации дилеров по ценным бумагам (НАСДАК).
До 1971 г. — года наступления эры НАСДАК внебиржевой рынок,
рынок ОТС (Over the counter Market) страдал от торговых злоупотреблений
и недостатка надзора. При отсутствии «прозрачности» этого
рынка торговля на нем зачастую осуществлялась акциями несуществующих
компаний. В настоящее время к торговле через систему НАСДАК
допускаются лишь те эмитенты, которые удовлетворяют определенным
требованиям, хотя котировки акций в системе НАСДАК ниже акций
аналогичных компаний на фондовых биржах. Еще более жесткие ограничения
существуют в системе РТС.
Качество рынка электронной торговли определяется также и работой
его участников. Хотя при торговле акциями на внебиржевом электронном
рынке и не устанавливаются описанные выше правила или система
приоритетов, тем не менее механизм подключения участников торгов
к торговой системе позволяет клиенту выбрать лучшую цену.
— единовременный акт, то определение цены или курса ценной
бумаги — это операция, постоянно возобновляемая на каждом биржевом
собрании в процессе аукциона.
Котировка' ценной бумаги — это механизм выявления цены, ее фиксация
и публикация в бирж:евых бюллетенях. Появление цены в процессе
биржевого торга, как следует из предыдущего параграфа, — результат
взаимодействия зарегистрированных торговцев, а биржа лишь выявляет
ее, объективно способствуя ее формированию.
Биржа концентрирует спрос и предложение на покупку и продажу
ценных бумаг, определяя соотношение между текущими спросом и предложением,
и в результате этого выявляется цена как выражение равновесия,
временного и относительного, но достаточного для осуществления
той или иной сделки. Цена, по которой заключаются сделки и ценные
бумаги переходят из рук в руки, называется курсом. Вот почему
биржевые курсы используются как ориентир при заключении сделок как
в биржевом, так и во внебиржевом обороте. При этом естественно, что
«залповый» биржевой аукцион позволяет выявить единую цену, которая
будет существовать до следующего «залпа». Непрерывный — соотношение
между текущим спросом (цена спроса ~ наивысшая цена,
предлагаемая покупателем) и предложением на ценную бумагу (цена
предложения - минимальная цена продажи ценной бумаги) в этом случае
не фиксируется в цене, как это имеет место при двойном аукционе.
На внебиржевом рынке котировки существуют либо как одностороннее
выставление цены (указывается лишь цена спроса), либо как двустороннее
(выставляется и цена спроса, и цена предложения).
Касаясь биржевой котировки, следует отмстить, что нормативные
акты и законы о биржах, как правило, не фиксируют порядок определения
биржевого курса ценных бумаг. Однако в зависимости от принципов,
положенных в основу котировки, различают:
1) метод единого курса, основанный на установлении единой (типичной)
цены;
2) регистрационный метод, основанный на регистрации фактических
цен сделок, спроса и предложения (цен продавцов и покупателей).
Как правило, биржевые заседания начинаются с объявления цен, которые
имели место в конце предыдущего заседания. Они определяются
специальной котировальной комиссией по результатам предыдущего
торга (например, вчерашнего дня) и раздаются участникам биржевого
торга в виде котировочного листа. На тех биржах, где применяется
способ формирования единой биржевой цены, т.е. торговля осуществляется
с помощью залпового аукциона, эта цена «строится» таким образом,
что субъективная оценка положения рынка со стороны лиц, производящих
котировку, почти устранена. Проблема заключается в том,
чтобы установить такую цену, которую не мог бы оспорить никто -
ни покупатель, ни продавец. Прежде всего представляет интерес метод
фондовой котировки, используемый на немецких биржах. В данном случае
при установлении биржевых цен во внимание принимаются только
сделки, заключенные при посредстве официальных, так называемых
курсовых, маклеров. По каждой группе фондовых ценностей имеются
специальные маклеры, принимающие заявки спроса и предложения. В
конкретное время они сходятся в определенном месте биржевого зала и
в присутствии всех лиц, заинтересованных в данных ценных бумагах,
приступают к установлению того курса, при котором они смогли бы
покрыть максимальную сумму спроса и предложения.
При дефиците заявок с какой- либо стороны рынка они выкрикивают в зал заказ, который помог бы уравновесить рынок. Если данный заказ находит поддержку у какого-либо свободного маклера и он желает его выставить,
но от своего имени, то курсовой маклер вводит его заказ в компьютер,
и рынок по данной ценной бумаге становится более равновесным.
Итоговые расчеты единого курса, осуществленные с помощью компьютера,
можно представить следующей таблицей (табл. 14).

Совершенно очевидно, что при установлении курса необходимо учитывать
определенные правила:
1) биржевой курс устанавливается на уровне, обеспечивающем наибольшее
количество сделок;
2) все заявки «продать по любому курсу», «купить по любому курсу» осуществляются при появлении первого предложения цены;
3) все заявки, в которых содержатся максимальные уровни цен при
покупке и минимальные цены при продаже, должны осуществляться;
4) все заявки, в которых указываются цены, приближающиеся к максимальным
при покупке и минимальным при продаже, могут реализовываться частично;
5) все заявки, где указаны цены ниже искомого курса при покупке
или выше при продаже, не реализуются.
Те приказы, которые поступили на покупку ценных бумаг по любой
цене, могут быть исполнены и по цене 555, поэтому общее количество
приказов на покупку по этой цене 150 (80+70). Аналогично желающие
купить по цене 555 будут рады совершить сделку по цене 554 и т.д.
В отношении приказов на продажу нетрудно заметить, что их суммирование
осуществляется в обратном порядке от наименьшей цены в
соответствии с желаниями продавцов продать дороже.
Наибольшее количество сделок, а именно 600, удовлетворяется при
курсе 55 Он и фиксируется как единый. Однако может сложиться ситуация,
при которой, например, 600 сделок будут исполняться при курсе
550 и 55 Какими приоритетами руководствоваться в этом случае?
Искусство курсового маклера состоит в том, чтобы поддерживать наиболее
ликвидный рынок, а следовательно, стимулировать увеличение
заявок с той стороны рынка, где их меньше. Таким образом, если заявок
на покупку меньше, чем на продажу, целесообразно установить курс
550, а если наоборот — 55
Простому и непрерывному аукциону соответствует котировка по
регистрационному методу; в биржевом бюллетене отмечаются (регистрируются)
действительные цены сделок, заключенных в течение данного
периода времени (биржевого дня). Поскольку котировка заключается
в регистрации фактических цен, под ней не следует понимать
механическое фиксирование выявленных в процессе биржевого торга
курсов (цен), котировка воспроизводит только показательные для
оборота цены.
Анализируя данные регистрации сделок и заявки инвесторов, котировальная
комиссия определяет верхний и нижний пределы цен по видам
ценных бумаг, исключая при этом цены, не показательные для рыночной
конъюнктуры.
Обычно в биржевых бюллетенях регистрируются не все цены сделок,
а лишь предельные, наиболее полно характеризующие динамику
цен в процессе биржевого дня. Предельные цены берутся в вертикальном
и горизонтальном разрезах: высшая и низшая в продолжении биржевого
дня, начальная в первые минуты и заключительная цена в конце
биржевого дня.
Например, во Франции после каждого заседания Парижской фондовой
биржи Профессиональная палата Компании биржевых маклеров
публикует бюллетень, в котором приводятся официальные курсы реализованных
ценных бумаг. Информация проходит по разделам: курсы
сделок за наличные, курсы срочных сделок, курсы рынка опционов,
курсы срочных сделок на дополнительном сеансе предшествующего
дня, а также публикуются сведения о специальных рынках. В
конце курсового бюллетеня фигурируют: объявленные купоны и заимствования,
решения и сообщения Профессиональной палаты Компании
биржевых маклеров и ежедневные сообщения но крупным отраслям
экономики.
Не менее важным для обеспечения «прозрачности» рынка, а значит
для создания цивилизованного и эффективного фондового рынка, является
наличие информации о ценах внебиржевого рынка. Например, в
США источником информации о котировках фондовых ценностей, обращающихся
вне бирж, являются издания Национального котировочного
бюро, в частности «Бюллетень Борд» Национальной ассоциации дилеров
фондового рынка и ежедневный справочник «Розовые страницы»
(Pink Sheets). Такое название соответствует цвету бумаги, на которой
они печатаются, а та часть справочника, где публикуются цены на облигации,
называется «Желтые страницы».
ОСНОВНЫЕ ОПРЕДЕЛЕНИЯ
Обращение ценных бумаг — заключение гражданско-правовых сделок,
влекущих переход права собственности на ценные бумаги.
Листинг — процедура допуска ценных бумаг на организованный
рынок после соответствующей проверки и изучения финансового положения
фирм —эмитентов этих ценных бумаг.
Делистинг — процедура исключения ценных бумаг из котировок соответствующего
организованного рынка.
Фронт-офис — торговые подразделения брокерской компании, сотрудники
которого заключают сделки с ценными бумагами по поручению
клиентов.
Бэк-офис — подразделение брокерской компании, обеспечивающее
исполнение сделок после их заключения и осуществляющее внутренний
учет и контроль операций с ценными бумагами.
Торговые поручения — документ, выдаваемый в установленной форме
клиентом брокеру, содержащий всю необходимую информацию для
осуществления покупки и продажи ценных бумаг.
Заявка — безусловное обязательство участника биржевой торговли
совершить сделку с ценными бумагами на условиях, зафиксированных
в ней.
Английский аукцион — вид аукциона, на котором исходное число
покупателей превышает число продавцов, и поэтому аукционная цена
изменяется снизу вверх.
Голландский аукцион вид аукциона, на котором исходное число
покупателей меньше числа продавцов, и поэтому аукционная цена изменяется
сверху вниз.
Закрытый аукцион вид аукциона, происходящего без открытого
торга, не требующий физического присутствия участников. Основан на
предварительном сборе заявок покупателей, их ранжировании и выборе
наиболее привлекательных по предложенной цене на покупку.
Котировка цепной бумаги - - процедура выявления цены, ее фиксация
и публикации в биржевых бюллетенях.
ГЛАВНЫЕ ВЫВОДЫ
Вторичный рынок создает необходимые условия для обращения ценных
бумаг, в ходе которого происходит перепродажа и смена собственника.
Формы перехода права собственности могут быть разными: купля-
продажа, обмен, дарение и т.д. Они регулируются, как правило, и
рынком, и нормами права, установленными государством.
Обращение ценных бумаг на организованных рынках начинается с
процедуры допуска их к торгам, которая основывается на проверке и
изучении финансового положения эмитента, характеристик эмиссии и
т.п. Наиболее сложным в обращении ценных бумаг является сам процесс
торгов, который происходит на основе торговых поручений клиентов
и заявок непосредственных его участников.
Механизм торговли ценными бумагами предъявляет определенные
требования к брокерским конторам, которые обязаны вести внутренний
учет принятых торговых поручений клиентов и хода их выполнения.
Развитие фондового рынка приводит к стиранию различий биржевого
и внебиржевого рынка, так как целью того и другого является выявление
цены спроса и предложения.
сопровождаться риском, под которым каждый понимает некую неопределенность
финансовых результатов в будущем. Однако интуитивных
представлений о риске недостаточно для успешной деятельности на современном
рынке. Поэтому необходимо управление риском, связанное
с определением количественных вероятностей наступления определенных
событий.
Всякое инвестирование в финансовые активы подразумевает существование
некоторого неблагоприятного события, в результате которого:
• будущий доход ниже ожидаемого;
• доход не будет получен;
• можно потерять часть вложенного капитала — капитальной стоимости
ценной бумаги;
• может быть потерян весь капитал — все вложения в ценную бумагу.
Неопределенность финансовых результатов, связанная с потерями
инвестора, носит название чистой неопределенности.
В качестве допустимого риска можно принять угрозу потери части
прибыли от предпринимательской деятельности на фондовом рынке.
Критический (катастрофический) риск сопряжен не только с потерей
прибыли, но и потерей части или всей капитальной стоимости ценной
бумаги.
Может ли инвестиция считаться нерискованной, если доход по ней
гарантирован? Нет, просто риск этой инвестиции будет ниже.
Таким образом, каждому виду инвестиции присущ собственный уровень
риска. Его оценка и сопоставление с уровнем вероятного дохода
позволяют видеть, что для различных видов инвестиций с одинаковым
уровнем риска величина дохода различная. И в то же время одинаковый
уровень дохода возможен при совершенно различных уровнях
риска.
Инвестиционный риск связан с возможным распределением нормы
дохода и рассчитанной вероятностью ее получения. Вероятность наступления
событий случайного характера, изменяющего норму дохода тем
больше, чем дольше период инвестирования. Таким образом, риск —
категория вероятностная, и его оценивают как допустимость уровня
потерь того или иного вида. Если говорить о неопределенности, то отклонение
результата возможно и в большую сторону, и в меньшую.
Следовательно, неопределенность является не только источником убытка,
но и потенциальной прибыли, т.е. неопределенность является спекулятивной.
Риск — сложная экономическая категория, и в экономике в целом, и
на рынке ценных бумаг постоянно возникают новые риски. В связи с
этим универсальная классификация рисков отсутствует, но существуют
общие подходы к их изучению и классификации. Так, важно выявить
масштаб проявления риска и степень его влияния на инвестиционный
процесс, т.е. относится ли он к финансовому рынку в целом или только
к его сектору - рынку ценных бумаг, связан ли он с государственным
регулированием экономики, обусловлен ли он изменением политической
ситуации и т.д.
Таким образом, на макроуровне выделяют страновой риск, возникновение
которого обусловлено воздействием социально-политических, экономических
факторов, фискально-монетарной политикой государства и т.д.
На мезоуровне проявляются риски, связанные с функционированием
рынка ценных бумаг как отрасли (бумажная индустрия), с ее способностью
функционировать и развиваться.
На микроуровне следует учитывать как риски отдельного оператора,
так и риски фирмы — инвестиционной компании или брокерской конторы.
Риск, существующий на рынке ценных бумаг, можно классифицировать
по уровню оценки, причинам возникновения и последствиям. При
этом каждый из выделенных видов риска оцениваются по-разному.
Риски по уровню оценки подразделяются на:
• страновыс;
• отраслевые;
• риски, связанные с деятельностью отдельного оператора (рис. 11).

Страновые риски — это риски вложения денежных средств в ценные
бумаги стран с неустойчивым фондовым рынком. Уровень странового
риска определяет инвестиционный климат. Страновые риски анализируют
при инвестициях в фондовые ценности иностранных государств.
При этом оцениваются экономические, фискально-монетарные, социально-
политические риски.
Для инвестора экономические риски на макроуровне прежде всего
отражаются в инфляционном риске. Покупая ценные бумаги, инвестор
испытывает воздействие инфляции, и в результате доходы, получаемые
инвесторами от ценных бумаг, обесцениваются с точки зрения реальной
покупательной способности, а инвестор несет потери.
Фискально-монетарные риски возникают в результате законодательных
изменений денежно-кредитной, налоговой и других направлений политики
государства. Следует учитывать, что в обществе всегда существует
возможность радикального изменения экономического курса,
особенно при избрании нового президента, парламента. Думы, правительства,
а следовательно, возникает опасность:
• отказа правительства выполнять ранее принятые обязательства по
определенным фондовым инструментам или задержки в исполнении этих
обязательств (например, чеки «Урожай» и целевой беспроцентный заем
1990 г., внутренний заем 1982 г.);
• необходимости перерегистрации выпусков ценных бумаг;
• изменения инвестиционного климата при введении новых налоговых,
торговых и иных правил.
Нерезидент испытывает риски репатриации прибыли, для него большое
значение имеет налоговый климат и другие экономические условия.
Например, политические риски возникают и усиливаются из-за «эксплуатации
» сильной политической группы более слабой. Внещние инвесторы
сталкиваются с международным политическим риском в том
случае, если происходит изъятие из обращения активов и одновременное
контролирование валютного обмена, в связи с чем иностранные инвесторы
не могут забрать свой капитал. Их также отпугивают жесткие
требования, которые предъявляют к ним местные власти.
Примером социально-политических рисков является риск военных
конфликтов. Военные действия, проводимые на той или иной территории,
приводят к нарушению функционирования организованных рынков,
в том числе и фондовых. Как правило, государство приостанавливает
работу бирж, запрещает сделки с ценными бумагами и т.д.
Отраслевые риски. Риски, связанные с особенностями отдельных
отраслей. Анализ отраслевых рисков состоит из трех частей.
I часть — определение стадии жизненного цикла отрасли:
1) подверженные циклическим колебаниям;
2) менее подверженные циклическим колебаниям;
3) стабильно работающие;
4) быстро растущие молодые отрасли.
II часть — установление позиции отрасли в отношении делового цикла
и макроэкономических условий.
III часть — качественный анализ и прогнозирование перспектив развития
отрасли.
В качестве исходной информации используются объем продаж, доходы,
дивиденды, данные социологических исследований по инновациям
на предприятиях этой индустрии.
Для инвестора наиболее благоприятным является вложение в ценные
бумаги корпораций отраслей, находящихся в стадии расширения,
во время которой стабильные и высокие дивиденды сочетаются с относительно
низким уровнем риска.
Оценка цикличности развития отрасли основана на сравнении динамики
ее развития с общеэкономическими тенденциями. Такой анализ
позволяет предвидеть дальнейшие события в зависимости от прогнозирования
роста процентных ставок и общеэкономической конъюнктуры.
На основе указанных материалов делаются выводы о перспективности
вложения средств в предприятия данной отрасли и о риске, который несет
инвестор, вкладывая свои средства в корпорации, занимающиеся
данным видом деятельности.
Отраслевые риски проявляются в изменениях инвестиционного качества
и курсовой стоимости ценных бумаг и соответствующих потерях
для инвестора в зависимости от принадлежности отрасли к тому
или иному типу и правильности оценки инвесторами данных факторов.
Таким образом, отраслевой риск связан со спецификой отрасли промышленности,
сельского хозяйства, коммунального хозяйства или сферы
обслуживания.
Риски финансового оператора на рынке ценных бумаг можно разделить
на финансовые и коммерческие.
Финансовые риски — возможность потерь в результате неопределенности
рынка, изменения действий контрагента или собственных ошибок.
Рыночные риски — неопределенность стоимости активов в результате
колебаний процентных ставок курсов валют, цен акций и т.д. Рыночные
риски связаны с неопределенностью рынка, на котором работает
оператор, т.е. возможным снижением стоимости активов, обусловленным
рыночными факторами:
• колебание процентных ставок;
• падение цен на акции, облигации;
• изменение курсов валют и т.д.
Процентные риски — это вероятность снижения стоимости активов
в результате изменения процентных ставок. Оперируя на рынке ценных
бумаг, нельзя не испытывать влияние кредитного, валютного и иных
секторов финансового рынка, которые определяют общий процент по
вложенным в финансовые активы средствам.
Валютные риски возникают в том случае, если существует вероятность
отрицательного изменения стоимости активов в связи с изменением
курса одной иностранной валюты по отношению к другой. Валютный
риск связан с вложением в ценные бумаги, деноминированные в
иностранной валюте, и возникает при изменении курса валюты.
Риски изменения цены акции называют риски на рынке «быков» и
«медведей». Неотъемлемой чертой фондового рынка является чередование
периодов повышающегося тренда фондового рынка «быка» и понижающего
тренда рынка «медведя». Возникновение потерь, связанных
с изменением тенденции в движении рынка, является составляющей рыночного
риска — риска потерь от снижения стоимости ценной бумаги в
связи с общим падением рынка. Таким образом, рыночный риск возникает
в результате возможного падения спроса на данный вид ценных
бумаг, который является объектом инвестирования.
Кредитные риски — риски того, что выпустивший ценные бумаги
окажется не в состоянии платить по ним. Предварительный анализ кредитоспособности
клиента существенно снижает кредитный риск.
Риски ликвидности связаны с возможностью потерь при реализации
ценных бумаг из-за изменения оценки их качества, а также из-за невозможности
продать актив. Таким образом, снижение предполагаемой цены
реализации ценной бумаги или изменение размера комиссионных за их
реализацию — источник риска ликвидности. Неликвидные активы, как
правило, не являются высокодоходными и требуют существенного снижения
цены при реализации.
К операционным рискам относят возможность потерь в результате
действий оператора рынка. Они носят как технический характер, так и
связаны с ошибками в используемых моделях и методах оценки риска.
Этот риск определяется качеством сервисного обслуживания операций
с ценными бумагами.
Коммерческие риски (риски предприятия) возникают в связи с отклонением
от ожидаемых результатов деятельности предприятия и, таким
образом, связаны с использованием потенциала фирмы. Данные
риски на уровне отдельно взятой фирмы оцениваются при экспертном
анализе финансового состояния компании-эмитента ценных бумаг,
Организационных условий и позиций инвестора на рынке.
При проведении исследований на уровне отдельных фирм крупнейшие
рейтинговые агентства ориентируются на следующие показатели
в расчете на одну акцию: объем продаж (оборот), общий доход, амортизация,
уплаченные налоги, заработная плата работников, рабочий капитал и капиталовложения (затраты на приобретение).
Кроме того, ими учитываются такие показатели, как отношение цены к прибыли, дивиденды в процентах к сумме продаж, прирост дивидендов, прирост прибыли
к активам.
Деятельность оператора на рынке ценных бумаг также порождает
риски; неверно осуществил селекцию или выбор ценных бумаг во временном
или качественном аспекте. Комбинация ценных бумаг в портфеле
должна оптимальным образом обеспечивать цель портфельного инвестирования.
Например, при минимаксной модели портфеля — максимальный
доход при минимальном риске. Наилучший результат может
дать только определенный подбор ценных бумаг, и вместе с тем всегда
существует риск, что оператор, менеджер портфеля не обеспечит его
качественного формирования.
Маркетинговые риски предприятия. Риски, связанные с выбором стратегии
поведения предприятия на рынке. Данное предприятие может быть
консервативного типа, т.е. оно не преследует стратегию расширения,
универсализации и использует выгоду от максимальной специализации
своих работ, качества предоставляемой продукции (услуг), работы со
стабильной клиентурой. Предприятию агрессивного типа (выбравшего
стратегию расширения и универсализации, освоения новых типов технологий
и продуктов) присущ другой тип риска. Предприятие умеренного
риска сочетает в себе консервативный и агрессивный типы риска.
Деловые риски определяются такими факторами, как эффективность
управления, эффективность производственной и инвестиционной деятельности.
Деловые риски могут быть представлены и в такой ситуации,
при которой различные компании конкурируют между собой с целью
изыскания новых рынков сбыта для однородных товаров.
Для завоевания рынка фирма затрачивает дополнительные финансовые
ресурсы, что снижает доходность инвестиций. Если произойдет расширение
сектора продаж, то эти затраты окупятся, в противном случае
эта операция является источником инвестиционного риска.
Если рассмотреть риски с точки зрения инвесторов, то можно сделать
вывод, что они будут проявляться в зависимости от рыночных
факторов, поэтому их следует назвать систематическими. Величину этих
рисков нельзя изменить, применяя тактику диверсификации, т.е. вложения
в различные виды ценных бумаг. Поскольку систематический риск,
как риск падения рынка ценных бумаг в целом, присущ всем обращающимся
на нем фондовым ценностям, то он является недиверсифицируемым,
т.е. не снижается при изменении или расширении направления вложений.
Однако их характеристики для каждого актива индивидуальны
и измеряются Р- коэффициентом.
Вторым видом рисков можно считать диверсифицируемые (несистемные)
риски. Они связаны с особенностями каждой конкретной ценной
бумаги, т.е. носят индивидуальный характер. Эти риски для данной
ценной бумаги зависят также от условий выпуска и обращения, т.е. определяются
возможностью наступления таких событий, которые изменят
величину предполагаемого дохода.
Риски переплетаются, концентрируясь в какой-либо ценной бумаге
или в действиях операторов рынка. Поэтому важно установить основные
разновидности рисков.
Выше были перечислены далеко не все виды рисков, возникающих
при финансовых инвестициях на фондовом рынке.
Составляющие диверсифицированных рисков более сложные. В них
выделяются риски объектов инвестирования, направлений инвестирования,
селективные и технические риски, которые в свою очередь включают
определенные разновидности рисков (рис. 12).
Риски объекта инвестирования в основном зависят от эмитента и
определяются уровнем его доходности и способностью к выплате дохода
по ценной бумаге. Таким образом, риски объекта инвестирования зависят
от возможности наступления события случайного характера и потерь
от вложений в ценные бумаги данного эмитента.
Управленческие риски определяются квалификацией менеджеров, осуществляющих
управление предприятием. Ошибки, допущенные бизнес-
менеджером, могут повлечь за собой ущерб для тех, кто вложил средства
в ценные бумаги данного эмитента.
Конвертируемые риски возникают при переводе облигаций или привилегированных
акций в простые акции.
Риски невыплаты дивидендов являются частным случаем общего
вида рисков, связанные с индивидуальным положением инвестора в компании.
Они анализируются в основном по двум позициям:
• права, предоставляемые инвестору: уровень дивидендов и сколько
раз они выплачиваются, имеет ли инвестор право голоса при решении
важнейших вопросов стратегии, приоритетность его требований
по отношению к держателям других ценных бумаг данной компании;
• рыночная позиция данной акции: ее популярность, объем выпуска,
дополнительные и последующие выпуски, история обращения на рынке.
Как правило, невыплата дивидендов связана не с отсутствием прибыли,
а с нежеланием администрации их выплачивать и невозможностью
для отдельного акционера потребовать выплаты.
Катастрофические риски, приводящие к банкротству, потере инвестиций
или даже имущества предпринимателя, являются результатом
крупных ошибок предпринимателей и редко рассматривается в качестве
инвестиционных решений.

По своим последствиям риски подразделяются на риски прекращения
деятельности (например, вследствие банкротства, неплатежеспособности,
бесперспективности геологического объекта и др.) и вариационный,
обусловленный изменчивостью доходности по ценным бумагам. Риски
банкротства и неплатежеспособности компании связаны с рейтингом выпускаемых
ею ценных бумаг. Их возникновение связано с тем, что уровень
процентной ставки дисконта при расчете ориентировочной цены
увеличивается на величину дополнительной премии независимо от того,
изменяется ли доходность ценной бумаги или остается постоянной.
Риски, связанные с направлением инвестирования, можно разделить
на страновые, отраслевые и региональные риски.
Региональные риски возникают не только в связи с различным экономическим
положением районов, уровнем развития фондового рынка,
технологий торговли ценными бумагами, взаимосвязи с центральными
фондовыми рынками, но и с особенностями налогового климата, действиями
местной администрации и т.д.
В частности, к немаловажным факторам рисков можно отнести экологическую
ситуацию в регионе: вероятность аварий, экологических катастроф.
К селективным рискам можно отнести риски портфельного инвестирования
и временные риски.
Временные риски — риск выпуска, покупки или продажи ценной бумаги
в неоптимальное время, что обусловливает вероятность определенных
потерь. Известное правило работы с ценными бумагами гласит;
«Нельзя покупать ценные бумаги при самом высоком курсе, а продавать
при самом низком». Приближение к максимальному значению курсов
служит сигналом к продажам — «время продаж», а минимальным —
к покупкам («время покупок»). Продажа в иные периоды влечет за собой
риски.
Технологические риски обусловлены применяемой системой торговли
и расчетов, зависят от квалификации операторов, надеж1юсти технических
систем обеспечения т.д. Они включают следующие разновидности:
• риски поставки - невыполнение обязательств по поставке ценной
бумаги: поставка не принадлежащей продавцу ценной бумаги (отсутствие
перерегистрации прав собственности на купленные ценные бумаги).
Поскольку многие акции существуют лишь в форме записей, то весьма
распространенной разновидностью риска является невключе1гис в
реестр держателей ценных бумаг;
• риски платежа являются оборотной стороной риска поставки. Действующая
система расчетов позволяет не платить в течение определенного
периода времени за приобретение фондовых ценностей;
Клиринговые риски --- риски, возникающие в связи с ошибками в
исчислении чистой позиции; ошибками в переводе денег и т.д.. т.е. риски
функционирования клиринговой системы;
• операционные риски в современных условиях в основном связаны с
непрофессионализмом технического персонала, осуществляющего поручения
с нарушениями в технологии операций с ценными бумагами. Возможны
и риски потерь в результате сбоя в работе компьютерных систем:
• риски перевода определяются возможностью покупателя перевести
средства продавцу в конвертируемой валюте.
Отдельно стоят вариационные риски, заключающиеся в том, что действующая
компания может выплачивать по своим ценным бумагам больший
или меньший доход и, таким образом, ожидания инвесторов относительно
будущих дивидендов и роста курсовой стоимости могут оправдаться
в большей или меньшей степени. Поскольку эти риски связаны с
отклонениями фактических значений доходности относительно ожидаемых,
то они при статическом моделировании цены акций рассчитываются
как дисперсия, коэффициент вариации, среднеквадратическое отклонение
возможных значений доходности в будущем относительно наиболее
вероятного значения этого показателя.
Вариационные риски подразделяются на систематические и несистематические.
Систематические связаны с обще рыночными колебаниями
цен и доходности. Несистематические отражают изменчивость доходности
данной ценной бумаги и обусловлены спецификой спроса и предложения
на конкретную акцию или облигацию.
По результатам комплексного анализа делаются выводы об инвестиционной
привлекательности данного вида вложений в сравнении с альтернативными
вариантами вложений с позиций отраслевого, внутрифирменного
риска и индивидуального риска инвестора. Поскольку подобный
анализ достаточно дорогостоящий и сравнительно длительный, он проводится
не всегда, а лишь при решении стратегических вопросов инвестирования
(например, приобретении контроля над акционерным обществом,
организации подписной кампании, рейтинговой оценки).
На практике классификация рисков по последствиям используется для
того, чтобы оценить, какой должна быть доходность интересующей нас ценной
бумаги. Одно из фундаментальных положений инвестиционного
за состоит в том, что более высокие риски должны компенсироваться более
высоким доходом. Вопрос, таким образом, формулируется так: насколько
должна быть повышена доходность по акции или иной ценной бумаге, чтобы
компенсировать данный уровень рисков?
Значительная часть процессов, происходящих в рыночной экономике,
не поддается априорному оцениванию, т.е. заведомому суждению о будущих результатах.
Единственный способ научного предвидения в этих
случаях заключается в статистическом анализе рынка, дающем возможность
на основании результатов прошлых лет обнаружить устойчивые
тенденции и количественные взаимосвязи отдельных рыночных звеньев и
элементов. В методологическом отношении базой такого анализа являются
вероятностно-статистические методы, которые, как известно, оперируют
приближенными характеристиками и условными допущениями.
Поэтому все оценки, полученные на их основе, весьма условны.
Для определения рисков можно воспользоваться статистическим,
экспертным и комбинированным методами.
Суть статистического метода заключается в том, что изучается статистика
потерь и прибылей, имевших место при данном и аналогичном инвестиционных
решениях, устанавливается величина и частота получения той
или иной экономической отдачи, а затем проводится вероятностный анализ
и составляется прогноз для будущего инвестиционного проекта.
Экспертный метод может быть реализован путем обработки мнений
опытных предпринимателей и менеджеров.
Наиболее приемлемым для практического применения является комбинированный
метод, сочетающий расчет показателей и экспертную
оценку вариантов инвестиционных решений.
ОСНОВНЫЕ ОПРЕДЕЛЕНИЯ
Риск — неопределенность финансового результата в будущем.
Системный (недиверсифицируемый) риск присущ рынку в целом,
который нельзя снизить рыночным путем (например, применяя тактику
диверсификации).
Диверсифицируемый (несистемный) риск может быть уменьшен, так
как связан с конкретной ценной бумагой, квалификацией операторов,
работающих с ценными бумагами, применяемой системой расчетов, т.е.
определяется возможностью наступления таких событий, которые изменят
величину предполагаемого дохода.
ГЛАВНЫЕ ВЫВОДЫ
Работа на рынке ценных бумаг сопряжена с рисками. Каждому виду
инвестиций присущи те или иные уровни рисков. Избежать рисков невозможно,
но снизить их уровень либо заранее предусмотреть необходимые
действия для смягчения их последствий можно. Для этого следует
изучать природу возникновения рисков, выявлять отдельные их виды
и степень их влияния.
Как проанализировать все многообразие изменяющихся
и зачастую неожиданно возникающих причин, прямо или косвенно
влияющих на установление биржевых курсов? Ответ на этот и
многие другие вопросы можно получить, используя методы, приемы
анализа, которые выработала теория и практика зарубежного фондового
рынка.
Подойти к оценке инвестиционной привлекательности фондовых
инструментов можно двояко. Во-первых, с точки зрения их рыночной
конъюнктуры, исследуя динамику курсов. Во-вторых, давая инвестиционные
характеристики ценной бумаге, изучая финансово-экономическое
положение эмитента, отрасли, к которой он принадлежит, и т.д.
Так исторически сложилocь два направления в анализе фондового рынка.
Сторонники первого направления создали школу технического анализа,
а последователи второго — школу фундаментального анализа.
Фундаментальный анализ основывается на оценке эмитента: его
доходов, положения на рынке, в основном через показатели объема продаж,
активов и пассивов компании. При этом рассчитывается норма
прибыли на собственный капитал и другие показатели, характеризующие
эффективность деятельности компании. Базой анализа является изучение
балансов, отчетов о прибылях и убытках, других материалах,
публикуемых компанией.
Кроме того, изучается практика управления компанией, состав управляющих
органов (совета директоров). Анализируются данные о состоянии
дел в отрасли на базе использования классификаторов отраслей
по уровню деловой активности и по стадиям развития, а также качественного анализа развития отрасли, рынков, на которые компания
выходит как продавец или покупатель.
Эти многочисленные и весьма трудоемкие исследования позволяют
сделать вывод, завышена или занижена стоимость ценной бумаги
данной корпорации по сравнению с реальной стоимостью активов,
будущими прибылями и т.д. Таким образом, с помощью фундаментального
анализа делается прогноз дохода, который определяет будущую
стоимость акции и, следовательно, может повлиять на цену. На
основе этого даются рекомендации о целесообразности покупок и
продаж.
Технический анализ, напротив, предполагает, что все бесчисленные
фундаментальные причины суммируются и отражаются в ценах фондового
рынка. Основное пoложeниe, на котором строится технический анализ,
заключается в том, что в движении биржевых курсов уже отражена
вся информация, публикующаяся в отчетах фирмы, она и становится
объектом фундаментального анализа. Основной объект технического
анализа — спрос и предложение ценных бумаг, динамика курсов и объемов
операций по их купле-продаже.
Более того, сторонники технического анализа склонны отрицать
влияние роста доходности компаний и риска предпринимательства на
стоимость акций. Действительно, резкие колебания цеп на акции, наблюдаемые,
например, па отечественном фондовом рынке, показывают,
сколь велик бывает разрыв между предполагаемым доходом и реальной
рыночной ценой.
Доходность ценной бумаги, которая была определена фундаментальными
аналитиками, необходимо оценить через механизм фондового рынка.
Там и только там под воздействием спроса и предложения устанавливается
цена, и в ней в каждой конкретной ситуации может быть отражена
оценка «модель идеального дохода» на основе фундаментального
анализа. Но этого может и не произойти.
Цена на фондовом рынке реагирует на различные слухи, страхи, изменение
политической ситуации, рациональные и иррациональные представления
сотен покупателей и продавцов. Но она опирается и на фундаментальную
оценку акции в целом — рынок отражает и потребность
покупателя в ценной бумаге именно такого качества.
Таким образом, между техническим и фундаментальным анализом
не существует «китайской стены». Фактически многие аналитики фондового
рынка используют инструментарий и технического, и фундаментального
анализа. Однако приемы технического анализа используются
чаще, и можно сказать, что это широко распространенная практика на
цивилизованном фондовом рынке.
Приверженцы этого метода так характеризуют его преимущества:
1) техническая легкость;
2) быстрота анализа;
3) пригодность для большего числа акций, чем при осуществлении
фундаментального анализа.
Тем не менее операторы рынка, использующие технический анализ,
не могут предвидеть цены фондового рынка на длительную перспективу
достаточно точно. Поэтому необходимо учитывать данные фундаментального
анализа. Безусловно, добывать эти данные каждому оператору
рынка сложно. Можно с уверенностью сказать, что практически
каждому профессионалу доступен инструментарий технического анализа,
но далеко не каждому — фундаментальный.
Допустим, фундаментальный аналитик выясняет, завышена или занижена
рыночная стоимость акций данной компании по сравнению с
их «внутренней», или «действительной», стоимостью. Цель этого анализа
- выявить «недооцененные» рынком ценные бумаги. На основании
этого принимаются инвестиционные решения — купить, продать
или держать.
Однако если рынок «недооценил» акцию сейчас, то вполне возможно,
что он не сделает это и в будущем, в результате издержки (затраты
на анализ) не окупятся, т.е. нет никаких гарантий, что рынок подтвердит
фундаментальные оценки аналитиков.
Кроме того, фундаментальный анализ — это тяжелая, трудоемкая
работа, требующая и создания базы данных, и адекватного финансирования.
Причем доход от операций с ценными бумагами каждого отдельного
оператора может оказаться недостаточным для финансирования затрат
по проводимому им фундаментальному анализу. В странах с развитой
рыночной экономикой широко используется методика рейтинговой
оценки корпораций в различных отраслях экономики, применяемая специалистами
в рамках фирмы, компании, агентства, бюро и т.д.
Результаты фундаментального анализа становятся товаром фондового
рынка, и в форме бюллетеней, отчетов и т.д. продаются участникам
рынка. Если характеризовать основные направления фундаментального
анализа, то можно выделить следующие его этапы.
Общеэкономический, или макроэкономический, анализ. Положение
экономики оценивается с учетом следующих факторов: ВНП, занятости,
инфляции, процентных ставок, валютного курса и т.п. Учитывается
фискальная и монетаристская политика правительства, влияние их
на фондовый рынок. Таким образом, определяется социально-политический
и экономический климат инвестиционной деятельности.
Индустриальный анализ предполагает изучение делового цикла в
экономике, его индикаторов, осуществление классификации отраслей
по отношению к уровню деловой активности и по стадиям развития, а
также качественный анализ развития отрасли.
Анализ конкретного предприятия (фирмы, корпорации). Оценка
корпорации включает: анализ состояния и перспектив развития менеджмента,
организационные и коммерческие условия работы; анализ финансового
положения компании (предприятия); коэффициенты, оценка
платежеспособности; оценка финансовой устойчивости — определение
цены фирмы.
Моделирование пены ценных бумаг. Макроэкономический анализ
в рыночной экономике — это исследования рынка, живущего по законам
спроса и предложения. Цена на фондовом рынке зависит прежде
всего от совокупности капиталов, инвестируемых в ценные бумаги
(спрос) и от объема предлагаемых для продажи ценных бумаг (предложение),
т.е. их соотношение определяет конъюнктуру фондового рынка.
В стадии высокой конъюнктуры наблюдается прирост денежной массы,
направленной в фондовый сектор финансового рынка, что требует
повышения курсов для уравновешивания цены. Внешний спрос позволяет
фондовому рынку функционировать устойчиво, и курсы легко двигаются
вверх.
В стадии низкой конъюнктуры, когда объем ценных бумаг, предназначенных
для продажи, превышает платежеспособный спрос и наблюдается
отток капитала из секторов фондового рынка, держатели ценных бумаг
могут их реализовать только при значительных потерях в цене. В результате
курсы понижаются, такой рынок называется «тяжелым».
Следовательно, конъюнктура рынка находится под влиянием спроса
— притока капитала на фондовый рынок и оттока его. Фундаментальный
макроэкономический анализ изучает влияние факторов на этот
процесс. Основной источник капитала — валовой национальный продукт.
Финансовый рынок его не создает, а лишь перераспределяет. Поэтому
чем выше произведенный ВНП, тем на больший объем инвестиций
можно рассчитывать на фондовом рынке.
Однако вполне возможно, что средства не поступят на фондовый
рынок, так как они могут быть использованы на потребление. Основную
часть инвестиций на фондовый рынок поставляет население, если
оно имеет доходы, превышающие расходы на потребление. Увеличение
занятости, рост заработной платы, снижение налогов способствуют притоку
капитала на рынок, хотя высокий уровень инфляции может привести
к тому, что практически все средства населения будут использованы
на потребление.
Аналитики, занимающиеся фундаментальными исследованиями на
макроуровне, отмечают:
• эффективная система социального обеспечения, при которой расходы,
ранее покрываемые образованием резервов, обеспечиваются социальными
выплатами, снижает приток капитала на фондовый рынок;
• инвесторы могут отдать предпочтение либо ценным бумагам, либо
другим видам использования своих средств. Конкуренция существует
не только между реальным инвестированием и финансовыми вложениями,
но и внутри секторов финансового рынка, например, вложение средств
в валюту, на вклады в банк или в фондовые ценности. Поэтому фундаментальный
анализ изучает движение процентных ставок, динамику
валютного курса в сопоставлении с индикаторами фондового рынка.
• доходы могут быть инвестированы за границей. В связи с этим
предметом макроэкономической части фундаментального анализа становится
социально-политический и экономический климат в стране, фискальная
и монетарная политика ее правительства и влияние фондового
рынка.
Для установления приоритетов инвестирования средств также большое
значение имеет отраслевой, или индустриальный, анализ.
Цены на большинство акций меняются в соответствии с основной
рыночной тенденцией (трендом рыночной конъюнктуры), но при этом
следует учитывать, что при падении цен в первую очередь снижается
курс акций наименее устойчивых компаний.
Кроме того, в разные периоды приоритетное развитие получит какая-
либо отрасль или группа отраслей, имеющая монопольное положение
на рынке, например, добывающие отрасли или инновации, обеспечивающие
открытие нового сектора продаж.
Выявить и прогнозировать отраслевые отклонения от тренда рыночной
конъюнктуры позволяет индустриальный анализ. Эта часть фундаментального
анализа позволяет классифицировать отрасли по отношению
к уровню деловой активности и по стадиям развития.
Третий этап фундаментального анализа предполагает изучение деятельности
фирмы, оценку ее финансового состояния и положения на рынке.
Большинство аналитиков считают, что наиболее существенным является
получение информации по следующим вопросам:
• Чем занимается компания?
• Каков доход на акции компании?
• Какой дивиденд выплачивает компания?
• Какова текущая рыночная цена на ее акции и как она выглядит в
сравнении с максимальными верхними и нижними уровнями цен прошлого
цикла?
• Как соотносится рыночный курс с расчетной стоимостью акций (исходя
из стоимости активов компании и доходности их использования)?
• Каковы резервы компании?
• Как выглядит настоящий и будущий рынок компании?
• Кто управляет компанией, насколько велико доверие к руководству
компании (качество менеджмента)?
Анализ этих вопросов лежит в сфере «интересов» школы фундаментального
анализа.
Касаясь четвертого этапа фундаментального анализа, задача которого
спрогнозировать цену на товар, следует рассмотреть основные
элементы оценки — объем резервов, финансовые операции, структуру
рынка данной ценной бумаги и, наконец, доходность ценной бумаги,
которая и является с учетом всех вышеперечисленных факторов базой
для определения цены.
Объем резервов компании служит гарантией стабильности дивидендных
выплат и позволяет акционерному обществу увеличить капитал
за счет присоединения резервов. Кроме того, они повышают ликвидную
стоимость акций. Таким образом, увеличение резервов влияет
на курс акций, хотя и не так непосредственно, как дивиденд, и поэтому
учитывается фундаментальными аналитиками при моделировании
цены акций.
Сами по себе финансовые операции, проводимые акционерным обществом,
могли и НС оказать влияние на курсы акций, однако рыночные
ожидания держателей акций или инвесторов приводят к тому, что курс
ценной бумаги приходит в движение. Так, например, если акционерное
общество увеличивает свой капитал за счет резервов, то инвесторы
воспринимают это как признак процветания компании и расширения
рынка акций.
Аналогично воспринимается увеличение капитала за счет поглощения
другой компании. Повышение курса акций может последовать и за
выпуском облигаций. Инвесторы считают, что эффективное использование
заемных средств, привлеченных облигационным займом, повысит
доходность акционерного общества, и ожидания инвесторов отражаются
в росте курса акций.
Важным элементом моделирования цены является структура рынка
данной ценной бумаги.
«Узкий» рынок, где ежедневно совершаются сделки с небольшим
количеством ценных бумаг, чутко реагирует на незначительное их количество.
Цена на таком рынке управляема. Стоит совершить всего
несколько сделок, чтобы добиться желаемого повышения или понижения
курса.
«Широкий» рынок, напротив, не изменят даже крупные сделки, так
как подобные операции осуществляются ежедневно.
И наконец, главный элемент - это доходность ценной бумаги, ее
способность приносить прибыль от инвестируемых в нее денежных
средств.
Курс ценных бумаг с фиксированным доходом выравнивается почти
автоматически в зависимости от степени капитализации дохода
по ставке, равной процентной. Падение рыночного процента против
установленного по данному долговому обязательству повышает его
рыночную цену; рост — понижает. При этом учитываются и условия
эмиссии ценной бумаги — срок, на который она выпускается, и условия
погашения.
На эффективном рынке курс акций зависит от величины дивиденда.
Однако, покупая акцию, владелец приобретает не только сегодняшний
доход, но и будущие дивиденды. Поэтому при стабильном, постоянно
выплачиваемом дивиденде, который имеет тенденцию роста, курс акций
возрастает.
Метод определения цены акции на основе дивиденда является частным
случаем оценки акции как производной от величины будущих доходов
компании, скорректированной на степень риска, который связывается
инвестором с реализацией прогнозируемых доходов. В таких ситуациях
аналитик оценивает поток дохода, а не реальные и не материальные
активы, использование которых обеспечивает его получение. Этот метод
широко используется в практике фундаментального анализа, но его нелегко
применять.
Методом оценки капитализации доходов предусматривается два
этапа: первый — необходимо оценить будущие доходы и второй - необходимо
выбрать норму капитализации для использования в оценке.
Обычно аналитик основывает оценку будущих доходов компании
на ее средних доходах за последние несколько лет с учетом корректировки,
связанной с его ожиданиями дальнейших перспектив компании
на ближайшие пять или более лет. Вместо попытки предсказать доходы
на каждый год из будущего периода аналитик принимает среднюю величину
доходов на этот период или прогнозирует плавную тенденцию.
Корректировки ранее сложившейся структуры доходов могут быть связаны
с ожидаемыми изменениями в национальной экономике, появлением
новых продуктов, потенциальными слияниями компаний, обращением
в обычные акции основных конвертируемых ценных бумаг и
с другими факторами, выявленными в процессе макроэкономическою
индустриального анализа, влияющими на величину дохода на одну
акцию.
Норма капитализации является обратным отношением цены к доходам,
выраженным в процентах. Она отражает норму, по которой на
рынке капитализируется стоимость текущих доходов. Например, умножение
средней величины доходов на норму капитализации в 10% равнозначно
расчету дисконтированной стоимости по потоку равных годовых
доходов за длительный период времени, уменьшенному на 10%. Также
норма капитализации в 20% эквивалентна коэффициенту цены к
доходам, равному пяти, который, будучи умноженным на средние прогнозируемые
доходы, даст стоимость, являющуюся дисконтированной
стоимостью такого же потока доходов, уменьшенного на 20%. Ясно, что
потоки доходов непостоянны по времени. Однако из-за высокой степени
неуверенности, чему будут равняться действительные доходы в любом
конкретном году, аналитику удобнее упростить проблему, используя
расчет средних прогнозируемых доходов.
В большинстве случаев чем больше аналитик уверен, что прогнозируемые
доходы будут реализованы, тем ниже норма капитализации,
применяемая к этим доходам. Например, в бизнесе с очень стабильными
доходами аналитик может использовать норму капитализации 7%. Если
прогнозируемые доходы составляли 5 долл. на акцию, такая норма предполагает
рыночную стоимость около 70 долл. (5/0,07 = 71,43). Также
аналитик, оценивающий бизнес с высокой степенью риска, может использовать
или консервативный прогноз доходов, или высокую норму
капитализации. В компаниях с большим потенциальным ростом иногда
к текущим доходам применяется очень низкая норма капитализации. В
этих случаях она может достигать 1%.
Выбор соответствующей нормы капитализации очень субъективен. Она
является производной от рассчитанного риска, связанного с реализацией
прогнозируемого потока доходов и желанием инвестора взять на себя этот
риск и обусловленного финансовым положением инвестора и его отношением
к риску. Например, на основе прогнозируемых доходов аналитик может
принять норму капитализации 15%. Однако инвестор считает, что она
слишком низка, поскольку в случае, если компании не удастся достичь прогнозируемых
доходов, любые потери от инвестирования в акции уничтожат
большую часть его сбережений. Поэтому инвестор вправе потребовать
установить норму капитализации 30% до начала осуществления вложений.
Одним из показателей для принятия приемлемых норм капитализации
является система коэффициентов цены к доходам, определенных рынком
для текущих доходов конкретных отраслей или компаний с характеристиками,
приближенными к таковым оцениваемой компании.
Определенная политика связана с ролью выплачиваемых дивидендов
в оценке надежности.
Метод капитализации доходов предполагает что 1 долл. доходов одинаково
ценен для инвестора, будет ли он выплачен в качестве дивиденда или
оставлен для реинвестирования в компанию.
Напротив, некоторые инвесторы утверждают, что оценка надежности
отражает ожидаемый поток денежных средств, не поступающий
в собственность, т.е. платежи по дивидендам. Такой подход для определения
стоимости скорее предполагает капитализацию прогнозируемого
потока выплат по дивидендам, чем доходов. В конечном итоге конкретный
инвестор будет зависеть от финансовых потребностей эмитента и
его ресурсов, а также перспектив роста доходов компании относительно
потенциальной нормы прибыли по дивидендам инвестора.
К инструментарию фундаментального анализа относится и применяемый
метод коэффициентов. При этом, однако, нельзя не отметить,
что анализ коэффициентов имеет дело лишь с количественными данными.
Поэтому использование только коэффициентов без проведения всех
этапов фундаментального анализа может привести к получению недостоверной
информации.
Наиболее часто используются следующие коэффициенты:
• коэффициент р/е = ratio определяется как отношение курсовой стоимости
акции к величине чистой прибыли в расчете на одну обыкновенную
акцию;
• коэффициент d/p = ratio определяется как отношение дивиденда
по обыкновенной акции к ее курсовой стоимости;
• бета-коэффициент. Данный коэффициент определяет влияние общей
ситуации на рынке в целом на судьбу конкретной ценной бумаги.
Если бета-коэффициент положителен, то эффективность данной ценной
бумаги аналогична эффективности рынка. При отрицательном бета-
коэффициенте эффективность данной ценной бумаги будет снижаться
при возрастании эффективности рынка.
Бета-коэффициент также принято считать мерой риска инвестиций
в данные ценные бумаги. При бета- коэффициенте больше единицы риск
инвестиций выше, чем в среднем по рынку, а при бета- коэффициенте
меньшем единицы - наоборот;
• R-квадрат (R-squared). Этот коэффициент характеризует долю
риска вклада в данную ценную бумагу по отношению к риску в целом:
чем ближе R-квадрат к нулю, тем более независимым является поведение
акции по отношению к общей тенденции рынка.
Результаты анализа финансовых коэффициентов имеют несомненное
значение при сравнении со стандартами, выбор которых всегда затруднителен.
Сравнение можно проводить с аналогичными показателями
западных компаний или коэффициентами других эмитентов в данном
секторе рынка.
Высокое соотношение p/e- ratio может указывать, например, на то,
что инвесторы, покупающие данную ценную бумагу, ожидают роста
прибыли компании. Вместе с тем вполне возможно, что потенциал роста
курсовой стоимости данной ценной бумаги исчерпан и может начаться
падение цены.
Классическими приемами анализа p/e-ratio являются:
1) сравнение сегодняшнего соотношения р/е (данного коэффициента)
со средним уровнем прошлого периода, составляющего от 5 до 10 лет.
При этом необходимо учитывать инфляцию, а следовательно, ключевым
является вопрос о том, компенсируют ли в будущем доходы и дивидендные
выплаты рост рыночного процента, обусловленный инфляционными
процессами. Это, естественно, зависит от возможности продаж
производимой продукции по более высоким ценам и роста
рентабельности в пропорции, опережающей или соответствующей темпам
инфляции;
2) сравнение сегодняшнего p/e-ratio к p/e-ratio других компаний, по
основным условиям оценки: рентабельности, возможностям реинвестирования,
недиверсифицированным эксплуатационным характеристикам
и финансовому риску.
Перехитрить рынок — это явно нелегкая задача, которую пытается
решить фундаментальный аналитик. Если даже он, занимаясь поиском
недооцененной рынком бумаги и имея информацию, не доступную широкой
публике, выявил ее, то где гарантия того, что ценная бумага все-
таки будет оценена рынком в соответствии с фундаментальным анализом.
Поэтому следует более внимательно подойти к инструментам, которые
используются техническими аналитиками.
на трех основополагающих принципах - отражения, тренда, повторяемости.
Принцип отражения означает, что все происходящие события
(экономические, политические, социальные, психологические и др.)
находят свое отражение в ценах. Иными словами, цены финансовых
активов изменяются под воздействием сложнейшей совокупности сфер
человеческой жизни, в том числе и заранее не поддающихся количественному выражению (математическому описанию). Это подтверждается,
например, историческими данными о балансовой и рыночной
стоимости акций. Можно сказать, ссылаясь и на российскую практику,
что правилом остается ситуация, когда между указанными показателями
существует значительный разрыв. Технические аналитики
имеют дело с реальными ценами по итогам торговой сессии на бирже
или в какой-либо электронной системе. Техническому аналитику фактически безразличны те причины, по которым меняются цены. Однако
он стремится точно знать, что же на самом деле произошло с ценами
и в каком направлении будут происходить изменения? Принцип отражения
позволил сформулировать правило «продавать при появлении
хороших новостей». Хорошие новости практически моментальное отражаются
на ценах. Поэтому ожидать дальнейшего повышения рыночной
цены нецелесообразно.
Согласно принципу тренда, изменения цен происходят в соответствии
с определенным преобладающим направлением. Именно эти, поддающиеся
выделению, направления и представляют собой нормальное
«описание» рынка. Стихийные взлеты и падения занимают в рыночной
истории менее значительное место по сравнению с трендами. Тренд создается
соотношением спроса и предложения и остается стабильным до
появления чего-то полностью противоположного. Рыночные цены изменяются
таким же образом: сначала они движутся в одном направлении,
например вверх, создавая тем самым повышательный тренд. Этот тренд
остается господствующим до тех пор, пока скорость его изменений не
начинает снижаться, что предупреждает его предстоящей смене направления.
В это время уже начинает зарождаться новый тренд. Выявление
тренда и момента его смены является главной целью технического
анализа. Следуя определенному тренду, можно значительно повысить
вероятность получения положительного результата от проводимых операций.
И наконец, принцип повторяемости. Его суть состоит в выявлении
модельных ситуаций, появляющихся время от времени на рынке. Эти
модели позволяют интерпретировать уже произошедшие изменения и
прогнозировать будущие движения цен. Принцип повторяемости дает
возможность в новых ситуациях реализовать уже приобретенный ранее
опыт. Человеческая природа такова, что люди, как правило, действуют
в соответствии с уже приобретенным ими опытом. А любой
рынок есть не что иное, как результат действий людей; он отражает
их поведение. Поэтому рынок ценных бумаг склонен к повторяемости.
При этом технический аналитик должен стараться отследить эти повторения.
На основе раскрытых выше принципов технического анализа можно
дать его развернутое определение. Технический анализ представляет
собой совокупность методов анализа динамики котировок отдельных
ценных бумаг и всего рынка в целом на основе постоянно изменяющегося
спроса и предложения. На практике это означает отслеживание и интерпретацию
истории ценовых и объемных показателей, характеризующих
происходящие на рынке изменения.
Технический анализ дает возможность инвесторам реализовать самостоятельный
подход к инвестициям. Известно, что каждый инвестор
обладает единственным, присущим только ему отношением к риску,
темпераментом, опытом, суммой свободных денежных средств. Все это
определяет и различия инвестиционного поведения. По указанной причине
каждый инвестор, участник рынка ищет свою золотую середину,
стремится в заданных условиях принять наиболее адекватные собственным
предпочтениям решения. Именно на этой основе каждый инвестор
формирует собственный набор, можно сказать, систему показателей.
Технический анализ позволяет оценить краткосрочные, среднесрочные
и долгосрочные инвестиционные альтернативы, избежать субъективных
оценок ситуации на рынке.
Технические аналитики, как уже было показано ранее,
не верят в то, что цены отдельных ценных бумаг изменяются случайным
образом. Более того, они уверены в наличии тесной зависимости
между ценовыми изменениями прошлого и будущего. При этом их цель,
т. е. цель технического анализа, состоит в определении степени и формы
этой зависимости и возможном предсказании на ее основе роста или падения
курса как отдельных ценных бумаг, так и рынка в целом. Основным
методом, которым пользуются технические аналитики, является построение
«картин» движения цен или графиков.
Основные виды графиков, применяемых при проведении технического
анализа, представлены на рис. 11, 1 Данные графические
построения носят название «биржевого графика» и «графика цены закрытия».
Независимо от того, какой график используется, изучаемый период
будет определяться продолжительностью инвестиционных горизонтов.
Следует отметить, что однозначного определения этих горизонтов не
существует. Однако в большинстве случаев под краткосрочным инвестиционным горизонтом понимается период в 3 месяца, под среднесрочным
— от 3 до 6 месяцев, а под долгосрочным — от 6 месяцев до одного года.

Для определения супер краткосрочных тенденций многие аналитики
используют почасовые или поминутные графики происходящих ценовых
изменений. Для получения качественных прогнозов для среднесрочных
инвестиций в большинстве случаев применяются недельные графики,
а месячные и годовые больше подходят для долгосрочных инвестиций.
Рассмотрим указанные виды графиков более подробно.
Построение биржевого графика можно легко проиллюстрировать. Ценовые
изменения отражаются по вертикальной шкале, а временные —
по горизонтальной. Для каждого периода времени отмечаются четыре
показателя: максимальная цена, минимальная цена, цена открытия и цена
последней сделки (цена закрытия).
Таким образом, вертикальная черта соединяет максимальную и минимальную
цены, а горизонтальные полосы направо и налево представляют
соответственно цену открытия и цену закрытия.
Можно рассмотреть и более сложный пример. Предположим, что какая-
либо ценная бумага торговалась на протяжении нескольких недель
(например, трех, что равнозначно 15 торговым дням). Недельный биржевой
график, который является сжатой версией ежедневного, показан
на рис. 1 В недельном графике одна черта представляет собой пять
дней.
При изучении трех видов биржевых графиков (ежедневных, недельных
и месячных) можно получить представление о соответствующих
сценариях развития событий. Так, месячные графики позволяют оценить
сравнительно долгосрочную перспективу инвестиций. Недельные графики
дают представление о менее продолжительных ожиданиях, в отличие
от ежедневных графиков, на которых отражается краткосрочный
срез ценовой информации.
Некоторые аналитики предпочитают использовать только цену закрытия,
считая ее наиболее информационно насыщенным показателем,
и строят графики исходя из этого. Этот график, как правило, основывается
на двух видах информации: цене закрытия и обороте торгов. Вполне
вероя1но, что чистое отображение цены закрытия является более наглядным,
однако оно далеко не всегда отражает происходившие на рынке
события. Это в большей мере относится к тем рынкам, которые
находятся на начальных стадиях своего развития.
Объемы торговли традиционно показываются в нижней части биржевого
графика. Каждый из объемов торговых сессий отмечается вертикальной
чертой под соответствующими ценовыми показателями.

Вполне понятно, что высокая черта свидетельствует о значительном
объеме торгов. При указании объемов торгов используется вторая шкала
ординат.
Точечные диаграммы являются одним из старейших видов отображения
рыночных тенденций в техническом анализе. Некоторые аналитики
предпочитают использовать именно эти диаграммы с целью выявления
трендов.
Существует несколько различий между точечными диаграммами и
обычными графиками. Главное отличие состоит в принципе построения
и отображения колебаний цен. Точечная диаграмма — это набор ячеек,
в которых положительные изменения цен отмечаются знаком «X»,
а отрицательные — «О» (рис. 14).
Изучая горизонтальную ось, можно заметить, что фактор времени
не принимается в расчет, т.е. в одном «столбце» зафиксированы несколько
однородных событий. Масштаб клетки также выбирается произвольно.
Одним знаком «X» или «О» может быть обозначено изменение
цены на 5 или 10 условных единиц (например, процентные пункты).
Однако чем меньше эта величина, тем чувствительнее становится
график.

Рассмотрим конкретный пример. Масштаб каждой клетки
примем за 1%-ный пункт. Предположим, что цена первой сделки на
рынке была зафиксирована на уровне 8 В первый момент времени
она выросла до 8 Затем цена поднялась еще на 3 пункта — с 85 до
8 Этот рост отражается на рисунке одним столбиком из семи «X».
После этого цена опустилась на 4 пункта до значения 84, падение
отмечено как четыре «О».
«Японские подсвечники» как инструмент технического анализа использовались
японскими трейдерами на протяжении столетий, и лишь
сравнительно недавно они привлекли внимание трейдеров из других
стран. «Японские подсвечники» достаточно легко строить. Каждый
подсвечник — это цена открытия, закрытия, максимальный и минимальный
уровни, которые являются отражением торговой активности
в течение одного момента времени (часа, дня, недели и т.д.). Основная
часть подсвечника — разница между величиной цены открытия и ценой
закрытия. В случае роста цены к моменту закрытия торгов по
отношению к цене открытия подсвечник будет пустой (белый) если же
цена к концу торгов опустилась ниже цены открытия, подсвечник —
темный.
Тонкие линии сверху и снизу подсвечника называют тенями. Они
показывают самые высокие и самые низкие значения цен, зафиксированных
в течение торгов (как на биржевом графике). Длинный белый
подсвечник (рис. 15) обычно является показателем присутствия «быков
» на рынке. После торговли в широком диапазоне цена закрытия
оказывается около максимума. Длинный черный подсвечник формируется
по результатам торгов в широком диапазоне цен, однако цена закрытия
оказывается около минимального значения, ниже цены открытия.
Это рассматривается как проявление «медведей» на рынке.

Может случиться и так, что основная часть подсвечника ни белая,
ни черная — ее просто нет. Это происходит, когда цена закрытия оказывается
равна цене открытия (Доджи- линия).
Для построения «японских подсвечников» требуется цена открытия,
но поскольку она не публикуется в финансовых изданиях, их использование
как инструмента технического анализа может быть затруднено
для большинства частных и мелких инвесторов. Несмотря на это, отсутствие
цены открытия в периодических изданиях не может полностью
отстранить инвесторов от использования «японских подсвечников»
для анализа фондового рынка.
Линии подсвечников могут иметь разнообразные формы в зависимости
от соотношений цен открытия и закрытия, максимальных и минимальных
уровней. На рис. 16 показаны наиболее общие формы подсвечников
с их интерпретацией, позволяющей судить о текущем состоянии
рынка.

Чрезвычайно сильное проявление «медведей» на рынке.
Чрезвычайно сильное проявление «быков» на рынке.
Проявление «медведей» па рынке.
Проявление «медведей» на рынке.
Проявление «быков» на рынке.
Проявление «быков» на рынке.
Нейтральный рынок.
Нейтральный рынок.
На понижательном тревде проявление «быков»; на повышательном «медведей».
1 На понижательном тренде проявление «быков»; на повышательном — «медведей».
1 Точка изменения тренда.
1 Точка изменения тренда.
1 Конец понижательного тренда.
1 Точка изменения тренда.
1 Возможная точка изменения тренда.
соответствующих баз данных по ценовой и объемной информации. В
противном случае полученные графики не будут полезными при принятии
инвестиционных решений. Эта проблема представляется едва ли не
самой главной по той причине, что следует точно установить вид необходимой
информации и возможные источники ее получения. При подготовке
графиков большую помощь могут оказать специальные аналитические
пакеты. Однако они представляют собой стандартизованные
компьютерные программы и могут быть полезными только в случае соответствующего информационного обеспечения. Кроме того, следует
обратить внимание на результаты, получаемые от использования пакета.
Ведь может оказаться, что на их основе нельзя достичь необходимых
инвестиционных результатов. При этом практика использования технического
анализа показывает, что лучше изучать уже построенные
графики, а не создавать новые.
Разработка и применение торговых систем, под которыми следует
понимать определенный алгоритм накопления и обработки специфических
данных о рынке и принятия торговых решений, являет собой необходимый
и жизненно важный компонент технического анализа любого
рынка. Это подтверждается следующими моментами.
Во-первых, развитие технического анализа основано на единстве
двух противоположностей, первой из которых является специализация
методов технического анализа. В данном случае хорошим примером
могут служить так называемые обратные модели, многие из которых
просто неприменимы на рынке долговых инструментов. Вторым направлением
развития технического анализа однозначно является противоположная
специализации комбинаторика различных методов, основанная
на принципе подтверждения. Последний на практике означает, как уже
отмечалось ранее, желательность, необходимость подтверждения сигнала
одного индикатора сигналом, полученным от другого индикатора.
Объединение различных методов технического анализа позволяет в значительной
степени освободиться от одностороннего подхода, свойственного
отдельному использованию единичных индикаторов рынка.
Во-вторых, существующее техническое обеспечение технического анализа
позволяет, с одной стороны, использовать сколь угодно длинные массивы
данных, а с другой — создавать увязки таких важных компонентов
торговых операций, как торговая стратегия, управление риском и пр.
В-третьих, потребности участников рынка, которые в условиях чрезвычайно
быстро меняющихся рынков должны быстро принимать адекватные
рыночной ситуации решения. Это в значительной степени корреспондирует
с повышением качества анализа ситуации при использовании
многообразия индикаторов.
В-четвертых, возможность внесения в торговую систему элемента
саморазвития, иначе говоря, возможности оптимизации входящих в нее
параметров. Таковы основания использования торговых систем. Что же
собой представляет создание торговой системы?
Создание торговой системы представляет собой сложный процесс,
состоящий из нескольких внутренне связанных шагов. Так, к примеру,
Р. Пардо в своей книге «Дизайн, тестирование и оптимизация торговых
систем»' наиболее важными считает следующие этапы формирования
модели торговой системы:
• формулирование торговой стратегии в строго определенной
форме;
• проверка торговой стратегии;
• оптимизация торговой стратегии;
• практическое использование торговой стратегии;
• отслеживание рыночных результатов и сравнение их с результатами
специальных тестов;
• «шлифовка» торговой стратегии.
Каждый из указанных шагов полностью зависит от результатов предыдущих
этапов. Так, можно с большой степенью уверенности утверждать,
что выбор неудачной торговой стратегии однозначно приведет к
низким результатам предварительного тестирования, которые ничем не
смогут быть скорректированы, ничем кроме пересмотра основных правил
поведения на рынке. Рассмотрим этапы развития торговой системы
более подробно.
Принципиальным моментом является определение собственной торговой
стратегии. Она может быть как простой, так и сложной. Однако в
любом случае торговая стратегия должна давать четкие и недвусмысленные
ответы по меньшей мере на два чрезвычайно важных вопроса -
когда войти в рынок и когда с него уйти? При этом правила вхождения
и выхода с рынка могут быть симметричными (правило выхода представляет
собой зеркальное отражение правил входа) и асимметричными
(правило входа полностью отличается от правила выхода). Если обратиться
к практике, то хорошим примером симметричного входа и выхода
является покупка при условии, что цены превзошли максимальный
уровень последних двух дней, и продажа в том случае, когда цены упали
ниже минимальных цен за последние опять же два дня. Асимметричный
подход иллюстрируется на примере торговой системы, состоящей
из правила входа на рынок (предположим, роста цен выше максимумов
последних трех дней) и выхода с рынка, формулируемого как пересечение
6-дневных и 18-дневных скользящих средних. Правила входа и выхода
с рынка могут быть разделены на три группы, первая из которых
относится к правилам входа. Они связываются с условиями открытия
короткой или длинной позиции на рынке того или иного инструмента.
Вторая группа правил относится к условиям ухода с рынка и поэтому
описывает ситуации закрытия существующих длинных и коротких позиций.
Третья группа правил образует комбинацию входа и выхода. При
этом происходит закрытие текущих открытых позиций и автоматическое
открытие противоположных позиций на рынке.
Другим аспектом торговой стратегии можно назвать управление
риском, иными словами, ограничение суммы средств, подверженных риску
в момент открытия какой-либо из позиций.
Одним из примеров в данном случае является так называемый стоп- лосс, который отражает максимальный убыток, «приемлемый» для одной сделки. Однако этим риск, связанный с открытой позицией, не ограничивается. Если, к примеру,
позиция сохраняется на следующий день, то это означает возникновение
так называемого риска овернайт (overnight). Другими словами, переход
позиции из одного дня в другой может привести к потенциальным
убыткам из-за возникновения разницы между вчерашней ценой закрытия
и завтрашней ценой открытия торгов. Наиболее надежным средством
решения этой проблемы является закрытие позиций каждый день.
Однако если стоп-лосс служит ограничителем убытков, то «ползучий
» стоп обеспечивает фиксацию минимальной прибыли в каждой сделке.
О чем в данном случае идет речь? Предположим, что была открыта
длинная позиция по облигациям на уровне 80 «Ползучий» стоп на
продажу устанавливается на уровне в два пункта. Через три дня цена
на рынке достигла 80 Соответственно при возможном последующем
снижении цен «ползучий» стоп в любом случае сохраняет два пункта
прибыли на одну купленную облигацию. В данной ситуации «ползучий»
стоп выполняет роль средства управления прибылью с каждой сделки.
В установлении «ползучего» стопа, как показывает практика, наиболее
применимы следующие подходы. Первый основывается на том, что стоп
устанавливается только при достижении позицией минимальной прибыльности.
Иначе говоря, когда есть что защищать. Другой подход несколько
отличен от первого и основывается на установлении «ползучего
» стопа в день открытия позиции. Сложно сказать, какой из этих вариантов
является наиболее предпочтительным. Наилучшим критерием
в данном случае является практическое тестирование.
Таким образом, любая торговая стратегия должна максимально четко
отвечать на вопросы входа и выхода, управления риском и прибылью.
Будем считать, что торговая стратегия уже разработана. Дальше,
как отмечалось ранее, следует этап тестирования. К нему, с нашей точки
зрения, предъявляются свои требования.
Во-первых, тестирование торговой стратегии должно в технико-организационном
плане показать, что торговая система выполняет то, что
она должна делать. Иначе говоря, она отвечает правилам входа и выхода,
соответствует установленным этапам.
Во-вторых, тестирование торговой системы по отдельных данным
позволяет оценить реальный уровень рискованности и прибыльности,
которому она соответствует. В данном случае наиболее репрезентативные
результаты достигаются посредством проверки торговой системы
на различных рынках с использованием информации за продолжительный
период времени.
Результатом тестирования является сводный лист
результатов, содержащий информацию о прибылях и убытках, включая
данные о максимальных убытках, количестве сделок, проценте удачных
(прибыльных) сделок.
Удовлетворительные результаты тестирования, как правило, становятся
основой для оптимизации торговой стратегии. Задачей оптимизации
является выработка, определение наиболее эффективного применения
правил, представляющих собой торговую стратегию. Это в наибольшей
степени относится к индикаторам, индексам, другим методам
технического анализа, образующим торговую систему. С практической
точки зрения, оптимизация торговой системы сводится к проведению
тестирования различных вариантов использования показателей на
одном массиве информации. Хорошим примером процесса оптимизации
выступает система скользящих средних, основанная на применении короткой
и длинной средних. Предположим, что начальными значениями
периодов короткой и длинной средних были 9 и 18 дней. Более того, торговая
система, состоящая из указанных средних, уже была протестирована
и дала определенные результаты. Самое время задаться вопросом
о том, в какой степени эта система может быть улучшена? Ответ на
этот вопрос подсказывает оптимизация, которая из заданного набора
значений для короткой и длинной скользящих средних позволяет выбрать
наиболее эффективное соотношение.
Оптимизация торговой системы фактически заканчивает этап ее
лабораторного существования. Следующим важным шагом в жизни
торговой системы становится ее практическое применение. Необходимо
отметить, что оно требует выполнения определенных правил, среди
которых особо выделяется необходимость следования сигналам, подаваемым
торговой системой. Отслеживание этих сигналов позволяет
наилучшим образом понять поведение системы в условиях реального
рынка, для которого могут быть характерны затяжные периоды низкой
ликвидности или резкие всплески волатильности. Практические
решения системы дают возможность оценить реальный уровень риска,
возникающий при ее использовании. Более того, практическое применение
торговой системы нуждается в постоянной фиксации с целью
проведения сравнительного анализа с результатами предварительного
тестирования. Наиболее важными показателями в этом случае являются;
максимальные потери, максимальная прибыль, количество
проведенных сделок, количество прибыльных/убыточных сделок и пр.
Данные показатели сопоставляются с результатами тестов. При этом
все значительные отклонения в лучшую или худшую сторону должны
быть максимально четко объяснены. Только после этого можно принимать
какие-либо решения относительно общей эффективности всей
торговой системы.
Последний этап создания и развития торговой системы связывается
с ее улучшением, которое становится логическим завершением всех
предшествующих шагов. В данном случае совершенствование торгового
подхода основывается и зависит от всеобъемлющего понимания
используемого торгового механизма.
методов, применяемых для определения ценовых трендов на рынке
акций. Ее основные положения были выведены из работ Чарльза Доу,
написанных в 90-х годах XIX в.
Теория Доу основывается на использовании двух рыночных индексов,
а именно: Dow Jones Industrial Average и Dow Jones Transportation
Average. Основные принципы теории таковы.
Во-первых, все отражается в динамике средних. Учитывая то, что
поведение каждого инвестора влияет на изменения средней, каждое событие,
изменяющее спрос или предложение, отражается средними.
Во-вторых, на рынке традиционно выделяются три вида трендов:
первичные, вторичные и второстепенные. Первичные тренды представляют
собой долгосрочные ценовые тренды акций. Вторичные имеют
характер корректирующих. Они на время прерывают господство первичных
трендов и действуют в направлении, им противоположном. Что
же касается второстепенных трендов, то к ним относятся однодневные
изменения цен, которым в теории не придается сколько-нибудь важное
значение.
В-третьих, первичные тренды («бычий» рынок) обычно имеют три
движения вверх. При этом первое движение является результатом действий
наиболее дальновидных инвесторов, аккумулирующих акции в то
время, когда бизнес-цикл замедляется в расчете на то, что дальнейшие
условия будут постепенно улучшаться. Вторая повышательная волна
связывается с тем, что инвесторы начинают покупать акции, основываясь
на росте доходов корпорации-эмитента. И, наконец, последняя волна
повышения цен создается публикой, покупающей акции при условиях,
когда все финансовые новости могут однозначно считаться хорошими.
Во время последней волны спекуляция становится необузданной.
В-четвертых, первичные понижательные тренды («медвежий» рынок)
также состоят из трех этапов снижения цен.
Первое снижение цен происходит, когда наиболее дальновидные инвесторы приходят к выводу о том, что доходы от бизнеса слишком высоки для того, чтобы удерживаться на существующем уровне, и принимают решение о
продаже облигаций.
Вторая волна фактически означает панику на рынке, при которой
покупатели становятся все более осторожными, а продавцы стремятся
всеми силами уйти с рынка. Последняя волна снижения цен
означает вынужденную продажу и желание инвесторов любыми средствами
получить столь желаемые деньги в обмен на ценные бумаги.
В-пятых, две средние должны подтверждать друг друга. При этом в
качестве сигнала для повышательного тренда рассматривается превышение
Dow Jones Industrial Average и Dow Jones Transportation Average
своих максимальных значений за время предыдущих вторичных изменений.
По аналогии с этим понижательный тренд начинает господствовать
тогда, когда значения указанных средних падают ниже уровня предыдущих
вторичных изменений.
В-шестых, расчет средних Dow Jones Industrial Average и Dow Jones
Transportation Average производится на основе цен закрытия. Как правило,
изменение тренда сначала показывается одной средней, а затем -
другой.
В-седьмых, тренд остается эффективным до тех пор, пока сигнал об
обратном тренде не подается двумя средними.
Несмотря на то что в целом теория Доу может быть признана достаточно
успешной, противники этой теории продолжают ее критиковать за
слишком поздние сигналы, приводящие инвесторов к потере прибыли.
Теория случайного движения. Согласно Иану Нотли, в 1900 г. Луи
Бакалье написал провокационную работу, которая получила название
«Теория спекуляции». Она легла в основу теории случайного движения,
среди основополагающих принципов которой необходимо отметить следующие.
Отрицание правдивости как технического, так и фундаментального
анализа. В этой теории устанавливалось, с одной стороны, что изменения
цен акций являются случайными, а с другой, проводилась идея о
невозможности прогнозирования будущего ни одним из известных методов.
Тем самым подразумевалось, что цены акций не имеют памяти и
последняя история не может предсказать будущее в том смысле, что
данные сами по себе не являются основой для сколько-нибудь качественного
прогноза. На практике это означало, что все аналитические усилия
специалистов технического анализа признавались тщетными из-за
использования прошлой информации для определения будущих движений
цен. Эта гипотеза получила поддержку среди незначительного числа
профессионалов, но была встречена с энтузиазмом в академических кругах.
Необходимо отметить, что фактически никто из «академиков»
не смог улучшить или развить идеи Л. Бакалье. Тем самым они были
полностью удовлетворены достигнутым разрушением практически
любой надежды на создание какого-либо интеллекта, способного капитализировать
изменения рыночных цен. Тот факт, что отдельные инвесторы
весьма преуспели в использовании технической информации, не
признавался и сводился к простому везению.
Однако в дальнейшем, по мере развития рынка, позиции так называемых
«академиков» в значительной степени ослабли в связи с тем, что
они уже не могли отрицать долгосрочный повышательный тренд цен
акций наряду с 200-летним ростом доходов и дивидендов. В дальнейшем
они были вынуждены признать и тот факт, что технический анализ
способен не просто делать деньги, но и делать это очень часто.
Однако, несмотря на это, реальная проверка качества технических
методов так и не была проведена. Вместо этого из практики рынка выхватывались
отдельные примеры, которые критиковались за неэффективность
по сравнению с наиболее прибыльной с позиции сторонников теории
долгосрочной стратегии «купи и держи». Важно понимать, что указанная
стратегия в значительной степени себя оправдала за последние
два века, однако можно выделить отдельные периоды времени, когда
последствия пассивного держания были исключительно разрушительными.
Так, ни один практик рынка никогда не сможет забыть, что стратегия
«купи и держи» привела к потере 89% вложенного капитала за
период с 1929 г. по 1932 г., а также потере от 20 до 50'М) в дальнейшем в
ходе последующих периодов «медвежьего» рынка. Даже многие консервативные
инвесторы отказались от подобной стратегии как наиболее
рискованной.
Принцип Эллиота. Волновой принцип был разработан Р. Эллиотом и
впервые опубликован в серии статей в 1939 г. Основой волновой теории
стало наблюдение за ритмической регулярностью, повторяемостью различных
событий. Р. Эллиот отмечал, что все циклы природы, такие как
смена дня и ночи, обладают способностью повторяться. Эти циклические
изменения характеризовались двумя силами: одной — создающей,
другой — разрушающей.
Концепция природного закона повторения связывалась Р. Эллиотом
с выдающимися числовыми последовательностями, открытыми математиком
XIII в. Фибоначчи. Числовая последовательность Фибоначчи
1, 2, 3, 5, 8, 13, 21, 34, 55, 89, 144, 233 обладает целым рядом
характеристик:
• сумма двух последовательных чисел дает последующее число: так,
3+5=8, а 5+8=13 и т.д.;
• отношение любого числа к последующему составляет 61,8 к 100, а
к предыдущему составляет 161,8 к 100;
• отношение 1,68, умноженное на 0,618, дает
Оказывается, что отношения чисел Фибоначчи встречаются во многих
проявлениях природы. Например, подсолнух имеет 89 колец, из которых
55 направлены в одну сторону, а 34 — в противоположную. В
музыке октава составляет 13 клавиш на пианино, из которых 5 черных
и 8 белых. Деревья всегда дают ветки на основе последовательности
Фибоначчи.
Сопоставляя природные циклы со знанием чисел Фибоначчи, Р. Эллиот
отметил, что 80-летний период истории рынка характеризуется
пятью повышательными волнами и тремя понижательными (рис. 17).

Наиболее длинный цикл в концепции Р. Эллиота получил название
Великого супер цикла и начался в 1800 г. При этом последняя понижательная
волна имела место в период с 1929 по 1932 г. Если обратиться к
более современной истории, то можно отметить 8-летний период между
падениями 1966 и 1974 гг., а также ростами 1968 и 1976 гг., и 5 лет,
которые прошли между 1968 и 1973 гг.
Предварительный анализ данного подхода выявляет, что моменты начала
и окончания тех или иных волн, как правило, определяются весьма
субъективно и фактически уже после самого события. Тем самым старая
аксиома о том, что недостаточные знания представляют собой очень опасную
вещь, оказывается наиболее применимой именно к теории Эллиота.
ОСНОВНЫЕ ОПРЕДЕЛЕНИЯ
Фундаментальный анализ рынка ценных бумаг — анализ, основанный
на использовании основных экономических факторов, влияющих
на рыночную оценку ценной бумаги.
Технический анализ —- совокупность математических методов анализа
и прогнозирования динамики котировок отдельных ценных бумаг
и рынка в целом.
ГЛАВНЫЕ ВЫВОДЫ
Успешная работа на рынке ценных бумаг требует оценки инвестиционной
привлекательности обращающихся на нем ценных бумаг. Для
этого используют фундаментальный и технический анализ рынка ценных
бумаг. Фундаментальный анализ в своей основе имеет оценку основополагающих
факторов ценообразования.
Современный технический анализ базируется на трех основных принципах:
отражение в цене всех факторов, тренда и повторяемости. Цель
технического анализа — прогнозирование курса как ценных бумаг, так
и рынка в целом на основе анализа движения цен и их интерпретации.
Технический анализ позволяет каждому инвестору реализовать собственный
подход к инвестициям, исходя из своих оценок предыдущего и
текущего состояния рынка.
показателях рынка относительно вероятности изменения цен, уровня
дивидендов, оплаты основной суммы долга и процента по ценной бумаге,
т.е. рейтинг - это точка зрения эксперта на качество той или иной
фондовой ценности.
Создание рейтинговых оценок один из способов охарактеризовать
рынок.
Рейтинг не означает конкретной рекомендации по покупке или продаже
ценных бумаг, это лишь информация, которую могут использовать
инвесторы в качестве критериев, осуществляя операции с ценными
бумагами. В мире ценных бумаг инвестору необходимы какие-либо
ориентиры, непредвзятое суждение о доходности и надежности фондовых
ценностей как объектов инвестирования. Рейтинг оказывается весьма
полезным и для эмитента — он помогает повысить ликвидность ценной
бумаги. Действительно, на развитом рынке, где практически все
долговые обязательства имеют рейтинговую оценку, трудно продать
какую-либо облигацию, если отсутствует ее рейтинг.
Цивилизованный рынок ценных бумаг вынуждает эмитента обратиться
с заказом в известные рейтинговые агентства, уплатив определенную
сумму для того, чтобы специалисты-аналитики проверили качество
ценной бумаги и дали ей рейтинговую оценку. Таким образом, на
эффективном фондовом рынке только долговые обязательства, которые
прошли процедуру рейтинга, могут обеспечить доступ к получению
заемных средств. При этом цена займа для эмитента определяется
категорией, которую присваивает рейтинговое агентство.
Рейтинг — американское изобретение, имеющее длительную, более
чем 70-летнюю историю развития в этой стране. Практически все доли имеют рейтинг.
Трудно поверить, но 15 лет назад на европейском рынке
рейтинга не было, но в последнем десятилетии ситуация изменилась, и
рейтинговый процесс на еврорынке активизировался. Однако по-прежнему
наиболее известными рейтинговыми агентствами являются «Стандард
энд Пурз» — компания, ведущая свою историю с 1860 г., и определяющая
рейтинг выпускаемых ценных бумаг с 1923 г. — «Мудиз инвесторз
сервис». Они дают облигациям рейтинговую оценку (табл. 11).

Итак, мы видим, что рейтинг для эмитента определяет цену займа,
делает рынок выпускаемой им ценной бумаги ликвидным и в конечном
итоге определяет ее место («нишу») на рынке.
Не менее важны рейтинги для посредников — они содействуют продаже
и гарантируют размещение долговых обязательств. Исходя из потребностей
инвестора, финансовый посредник предлагает ему ценные
бумаги, которые считает для него приемлемыми.
Рейтинговые оценки включают прогнозы курса, а это поддерживает
рынок, делает его более устойчивым.
Поскольку кредитный риск принимает на себя инвестор, посреднику
очень важно иметь независимую оценку, на которую он может опираться,
работая с инвестором.
Говоря об интересах, возникающих в связи с рейтинговым процессом,
нельзя не упомянуть и об органах регулирования — государственных
и саморегулируемых организациях, связанных с фондовым рынком.
Как известно, одним из основных направлений их деятельности является
обеспечение прозрачности рынка. Рейтинги, которые являются обобщенной
характеристикой финансово-экономического положения эмитента,
в немалой степени способствуют созданию здорового и эффективного
фондового рынка. Это связано с тем, что рейтинг обеспечивает
дифференциацию эмитентов, выявляя наиболее слабых из них, не гарантирующих
погашение задолженности, создавая объективную основу
для оценки кредитного риска и стандарты открытости и прозрачности
на фондовом рынке.
На молодых, формирующихся рынках, где процесс рейтинга только
зарождается, может возникнуть вопрос — должно ли установление рейтинга
быть прерогативой государственных структур? Против этого
можно привести два аргумента;
• во-первых, необходимо создание системы финансирования вне
бюджета.
• во-вторых, рейтинг не дает государственных гарантий.
Решение вопроса об организации рейтингового процесса тесно связано
с заказчиками, т.е. теми, кто оплачивает анализ финансового и экономического
состояния. В связи с этим можно различать рейтинг спроса
и рейтинг предложения.
Считается, что эффективный и прозрачный рынок создается тогда,
когда рейтинг осуществляется под давлением инвестора. Например,
компания «Мудиз инвесторз сервис» осуществляет агрессивный рейтинг,
т.е. проводит рейтинг компаний без их официального разрешения.
Просьба о рейтинге, как правило, исходит от эмитента.
Рассматривая рейтинг как результат аналитической работы, следует
выделить три основных направления:
• независимый рейтинг;
• рейтинг финансовых институтов;
• рейтинг промышленных компаний.
Независимый рейтинг (рис. 11) оценивает возможности страны по
возврату долга в национальной или иностранной валюте. При этом
следует учитывать, что рейтинг — это не формула, а качественная
интерпретация количественных показателей. Следовательно, выбирается
некая совокупность факторов, которая подвергается анализу. Исследование
начинается с оценки политических рисков. Рассматривается,
насколько общественная среда, существующая в стране, обеспечивает
готовность к уплате внешнего долга, т.е., во-первых, оценивается
политическая система; во-вторых, изучается социальная среда (уровень
жизни, демографическая ситуация и т.д.); третье направление в
исследовании политического риска — это сфера международных отношений.

Второй крупный блок независимого рейтинга — оценка экономических
рисков. В первую очередь оценивается экономический потенциал
страны, ее ресурсы, капиталовложения, производство, сфера услуг, распределение
созданного продукта на накопление и потребление. Во вторую
очередь характеризуются государственные финансы, налоговая
система страны, бюджет, его издержки, размер государственного
долга и т.д.
Присвоение рейтинговой оценки стране осуществляется, как правило,
по просьбе ее правительства.
Рейтинг финансовых институтов — это рейтинг банков и начинается
он с оценки бизнес- рисков и финансовых рисков.
Корпоративный рейтинг, базой которого является анализ финансово-
экономического положения эмитента, применяется при оценке облигаций,
векселей и других коммерческих обязательств, получении банковских
кредитов, а также установлении основного кредитного рейтинга
при операциях лизинга, гарантийных операциях и т.д.
Следует отметить, что так же, как корпоративный рейтинг не существует
вне экономической системы, так и построение рейтинга инвестиционной
привлекательности эмитента основывается на анализе положения
экономической и отраслевой среды.
На первом этапе рейтингового процесса обосновывается набор показателей,
используемых для оценки деятельности акционерных компаний.
В странах развитого фондового рынка оценка, как правило,
базируется на анализе конкурентоспособности и состояния финансов.
При этом детально исследуются перспективы деятельности компании,
качество управления, позиции по конкурентоспособности и т.д.
Одним словом, осуществляется качественный анализ корпорации,
а затем уже переходят к рассмотрению проблем количественных оценок,
т.е. финансовой политики, прибыльности за максимально возможный
период времени, притока наличности, структуры капитала, финансовой
гибкости и т.д.
В отечественной практике при построении рейтинга инвестиционной
привлекательности эмитентов, как правило, осуществляется сравнение
предприятий по конкретному набору количественных показателей. Предлагается
формировать пять групп оценочных показателей, которые мы
далее и рассмотрим.
В первую группу включены наиболее общие и важные показатели,
характеризующие эффективность использования и доходность вложенного
капитала:
• норма прибыли;
• доходность (рентабельность) активов;
• оборачиваемость и отдача активов;
• рентабельность (прибыльность) продаж;
• рентабельность производства;
• текущая (дивидендная) и общая доходность акций;
• рыночная капитализация компании.
Данные показатели характеризуют прибыльность предприятия и качество
управления его активами.
Во вторую группу включены показатели, характеризующие финансовое
состояние компании (ее устойчивость):
• платежеспособность;
• ликвидность;
• рыночную (финансовую устойчивость) предприятия.
К третьей группе относятся показатели, характеризующие производственный
потенциал предприятия, состав и структуру имущества
компании и источники его финансирования. Основным показателем
является доля (удельный вес) основных средств в уставном капитале
компании и в активах баланса. Сюда также входят показатели, характеризующие
степень использования и изношенности основных средств:
• коэффициент износа основных средств;
• рентабельность основных средств;
• стоимость основных средств (по первоначальной и остаточной стоимости)
в расчете на одну акцию.
В четвертую группу включены показатели, характеризующие надежность
и безопасность вложения средств в ценные бумаги определенной
корпорации:
• риск дебиторской задолженности;
• соотношение дебиторской и кредиторской задолженности;
• ликвидационная стоимость одной акции;
• риск банкротства;
• риск не ликвидности акций на вторичном рынке.
В пятую группу включены показатели, отражающие перспективы
роста стоимости акций. Основу составляют показатели, характеризующие
перспективы отрасли, ее экспортный потенциал.
ОСНОВНЫЕ ОПРЕДЕЛЕНИЯ
Рейтинг - экспертная оценка авторитетных участников рынка ценных
бумаг объективных показателей состояния рынка той или иной страны
и его инструментов, основанная на соответствующих количественных
и качественных подходах.
Еще раз напомним, что рейтинг — это не конкретные рекомендации
по покупке или продаже ценных бумаг, это лишь информация, которую
могут использовать инвесторы в качестве критериев при проведении
операций с ценными бумагами. Инвесторам необходимы какие-либо
ориентиры, непредвзятое суждение о доходности и надежности фондовых
ценностей как объектов инвестирования. Рейтинг очень важен и для
эмитента, поскольку помогает повысить ликвидность ценной бумаги. В
современных условиях на развитом рынке, где практически все долговые
обязательства имеют рейтинговую оценку, трудно продать какую-
либо облигацию, если отсутствует ее рейтинг.
ГЛАВНЫЕ ВЫВОДЫ
Рейтинг, представляя собой мнение авторитетных на рынке экспертов,
дает возможность оценить качество ценных бумаг, обращаемых
на рынке той или иной страны. Рейтинг не означает обязательной рекомендации
к покупке тех или иных ценных бумаг, его следует рассматривать
в качестве ориентира, который можно принимать во внимание
при совершении операций с ценными бумагами.
В сложившейся мировой практике фондового рынка под
инвестиционным портфелем понимается некая совокупность ценных
бумаг, принадлежащих физическому или юридическому лицу, выступающая
как целостный объект управления. Это означает, что при формировании
портфеля и в дальнейшем изменяя его состав, структуру менеджер-
управляющий формирует новое инвестиционное качество с заданным
соотношением риск/доход. Однако созданный портфель
представляет собой определенный набор из корпоративных акций, облигаций
с различной степенью обеспечения и риска и бумаг с фиксированным
гарантированным государством доходом, т.е. с минимальным
риском потерь по основной сумме и текущих поступлений — дивидендов,
процентов. Теоретически портфель может состоять из бумаг одного
вида. Его структуру можно изменить путем замещения одних бумаг
другими. Вместе с тем каждая ценная бумага в отдельности не может
достичь подобного результата. Смысл портфеля — у.1учшить условия
инвестирования, придав совокупности ценных бумаг такие инвестиционные
характеристики, которые недостижимы с позиции отдельно
взятой ценной бумаги и возмож:ны только при их комбинации.
В процессе формирования портфеля достигается новое инвестиционное
качество с заданными характеристиками. Портфель ценных бумаг
является тем инструментом, с помощью которого инвестору обеспечивается
требуемая устойчивость дохода при минимальном риске. Доходы по
портфельным инвестициям представляют собой валовую прибыль по всей
совокупности бумаг, включенных в тот или иной портфель с учетом риска.
Возникает проблема количественного соответствия между прибылью
и риском, которая должна решаться оперативно в целях постоянного совершенствования структуры уже сформированных портфелей и создания
новых в соответствии с пожеланиями инвесторов.
Надо сказать, что указанная проблема относится к числу тех, которые
имеют общую схему решения, но которые практически не решаются до конца,
С учетом инвестиционных качеств ценных бумаг можно сформировать различные портфели, в каждом из которых будет собственный баланс между
существующим риском, приемлемым для владельца портфеля, и ожидаемой им отдачей (доходом) в определенный период времени. Соотношение этих
факторов позволяет определить тип портфеля ценных бумаг.
Тип портфеля — это его инвестиционная характеристика, основанная
на соотношении дохода и риска. При этом важным признаком
классификации типа портфеля является то, каким способом и за счет
какого источника данный доход получен: роста курсовой стоимости или
за счет текущих выплат - - дивидендов, процентов (рис. 21).

Было бы упрощенным понимание портфеля как некой однородной
совокупности: несмотря на то что портфель роста, например, ориентирован
на акции, инвестиционной характеристикой которых является рост
курсовой стоимости, в его состав могут входить и ценные бумаги с иными
инвестиционными свойствами.
Портфель роста формируется из акций компаний, курсовая стоимость
которых растет. Цель данного типа портфеля — рост его капитальной
стоимости вместе с получением дивидендов. Однако дивидендные
выплаты производятся в небольшом размере. Темпы роста курсовой
стоимости совокупности акций, входящих в портфель, определяют
виды портфелей, входящих в данную группу.
Портфель агрессивного роста нацелен на максимальный прирост
капитала. В его состав входят акции молодых, быстрорастущих компаний.
Инвестиции в данный тип портфеля являются достаточно рискованными,
но вместе с тем могут приносить самый высокий доход.
Портфель консервативного роста является наименее рискованным.
Состоит в основном из акций крупных, хорошо известных компаний,
характеризующихся хотя и невысокими, но устойчивыми темпами роста
курсовой стоимости. Состав портфеля остается стабильным в течение
длительного периода времени и нацелен на сохранение капитала.
Портфель среднего роста представляет собой сочетание инвестиционных
свойств портфелей агрессивного и консервативного роста. В
данный тип портфеля включаются наряду с надежными ценными бумагами,
приобретаемыми на длительный срок, рискованные фондовые инструменты,
состав которых периодически обновляется. При этом обеспечивается
средний прирост капитала и умеренная степень риска вложений.
Надежность определяется ценными бумагами консервативного
роста, а доходность — ценными бумагами агрессивного роста. Данный
тип является наиболее распространенной моделью портфеля и пользуется
большой популярностью у инвесторов, не склонных к высокому
риску.
Портфель дохода — данный тип портфеля ориентирован на получение
высокого текущего дохода - процентных и дивидендных выплат.
Он составляется в основном из акций дохода, т.е. таких акций,
которые характеризуются умеренным ростом курсовой стоимости и
высокими дивидендами, облигаций и других ценных бумаг, инвестиционным
свойством которых являются высокие текущие выплаты.
Особенностью этого типа портфеля является то, что цель его создания —
получение соответствующего уровня дохода, величина которого отвечала
бы минимальной степени риска, приемлемого консервативным
инвестором. Поэтому объектами портфельного инвестирования
ЯВЛЯЮ1СЯ высоконадежные инструменты фондового рынка, у которых
высокое соотношение стабильно выплачиваемого процента и курсовой
стоимости.
Портфель регулярного дохода формируется из высоконадежных ценных
бумаг и приносит средний доход при минимальном уровне риска.
Портфель доходных бумаг состоит из высокодоходных облигаций
корпораций, ценных бумаг, приносящих высокий доход при среднем
уровне риска.
Портфель роста и дохода. Формирование данного типа портфеля
осуществляется во избежание возможных потерь на фондовом рынке как
от падения курсовой стоимости, так и низких дивидендных или процентных
выплат. Одна часть финансовых активов, входящих в состав данного
портфеля, дает владельцу рост капитальной стоимости, а другая —-
доход. Потеря одной части может компенсироваться возрастанием другой.
Охарактеризуем виды данного типа портфеля.
Портфель двойного назначения. В состав этого портфеля включаются
бумаги, приносящие его владельцу высокий доход при росте вложенного
капитала. В данном случае речь идет о ценных бумагах инвестиционных
фондов двойного назначения. Они выпускают собственные
акции двух типов, первые приносят высокий доход, вторые -— прирост
капитала. Инвестиционные характеристики портфеля определяются значительным
содержанием данных бумаг в портфеле.
Сбалансированный портфель предполагает сбалансированность не
только доходов, но и риска, который сопровождает операции с ценными
бумагами, и поэтому в определенной пропорции состоит из ценных бумаг,
быстро растущих в курсовой стоимости, и из высокодоходных ценных
бумаг, В состав портфелей могут включаться и высоко рискованные
ценные бумаги, а также обыкновенные и привилегированные акции,
облигации. В зависимости от конъюнктуры рынка в те или иные
фондовые инструменты, включенные в данный портфель, вкладывается
большая часть средств. Портфели можно классифицировать и по другим
признакам.
Как известно, такое инвестиционное качество портфеля, как ликвидность,
означает возможность быстрого превращения портфеля в денежную
наличность без потери его стоимости. Лучше всего данную задачу
позволяют решить портфели денежного рынка.
Портфели денежного рынка. Эта разновидность портфелей ставит
своей целью полное сохранение капитала, В состав такого портфеля
включается преимущественно денежная наличность или быстрореализуемые
активы. Следует отметить, что одно из «золотых» правил работы
с ценными бумагами гласит; «Нельзя вкладывать все средства i
ценные бумаги -— необходимо иметь резерв свободной денежной наличности
для решения инвестиционных задач, возникающих неожиданно».
Портфели ценных бумаг, освобожденных от налога, содержат в основном
государственные долговые обязательства и предполагают сохранение
капитала при высокой степени ликвидности.
Отечественный рынок позволяет получать по этим ценным бумагам и
самый высокий доход, который, как правило, освобождается от налогов. Именно поэтому портфель государственных ценных бумаг — наиболее распространенная
разновидность портфеля и, в частности, сформированная по
некоторым ценным бумагам. Например, рассматривая ГКО в качестве
примера, характеризующего высоконадежные ценные бумаги, отметим,
что покупая краткосрочные облигации, выпушенные Министерством
финансов РФ, инвестор тем самым дает в долг правительству, которое
оплатит эту облигацию в конце срока с уплатой в виде дисконтной разницы.
Фактически это не вызывает дефицита бюджета, так как богатство
нации вкладывается в эти облигации. Поэтому государственные
ценные бумаги являются, возможно, самыми безопасными, так как считается,
что государство в принципе обанкротиться не может. Их краткосрочный
характер и небольшой риск делают данные инструменты
одним и из самых низко рискованных и реально должны были бы показывать
низкую изменчивость дохода. Относительно высокий доход по
ГКО и их надежность привлекают инвесторов к покупке ценных бумаг,
выпущенных государственными органами власти. Любопытно, что портфель
ГКО в сущности — это портфель роста, так как доход образуется
как курсовая разница.
Портфели, состоящие из ценных бумаг государственных структур.
Эта разновидность портфеля формируется из государственных и муниципальных
ценных бумаг и обязательств. Вложения в данные рыночные
инструменты обеспечивают держателю портфеля доход, получаемый от
разницы в цене приобретения с дисконтом и выкупной ценой и по ставкам
выплаты процентов. Немаловажное значение имеет и то, что и центральные
и местные органы власти предоставляют налоговые льготы.
Инвестиционная направленность вложений в региональном разрезе приводит
к созданию портфелей, сформированных из ценных бумаг определенных
эмитентов, находящихся в одном регионе; ценных бумаг иностранных
эмитентов.
Портфели, состоящие из ценных бумаг различных отраслей промышленности.
Портфель данной разновидности формируется на базе ценных
бумаг, выпущенных предприятиями различных отраслей промышленности,
связанных технологически, или какой-либо одной отрасли.
В зависимости от целей инвестирования в состав портфелей включаются
различные ценные бумаги, которые соответствуют поставленной
цели. Так, например, конвертируемые портфели состоят из конвертируемых
привилегированных акций и облигаций, которые могут быть
обменены на установленное количество обыкновенных акций по фиксированной
цене в определенный момент времени.
При активном рынке —«рынке быка» — это дает возможность получить дополнительный доход.
Мы рассмотрели принципы формирования портфеля в качественном
отношении, но не менее важен количественный аспект проблемы.
Сколько ценных бумаг должно быть в портфеле?
Согласно теории инвестиционного анализа, простая диверсификация,
т.е. распределение средств портфеля по принципу «не клади все яйца в
одну корзину», ничуть не хуже, чем диверсификация по отраслям, предприятиям
и т.д. Кроме того, увеличение различных активов (более восьми)
т.е. видов ценных бумаг, находящихся в портфеле, не дает значительного
уменьшения портфельного риска. Максимальное сокращение
риска достижимо, если в портфель отобрано от 40 до 70 видов различных
ценных бумаг. Дальнейшее увеличение состава портфеля нецелесообразно,
так как возникает эффект излишней диверсификации, который
может привести к следующим отрицательным результатам:
• невозможность качественного портфельного управления;
• покупка недостаточно надежных, доходных, ликвидных ценных бумаг;
• высокие издержки поиска ценных бумаг (расходы на предварительный анализ и т.д.);
• высокие издержки по покупке небольших мелких партий ценных бумаг и т.д.
Издержки по управлению излишне диверсифицированным портфелем
не дадут желаемого результата, так как доходность портфеля вряд ли
будет возрастать более высокими темпами, чем издержки в связи с излишней
диверсификацией.
Формирование и управление портфелем — область деятельности профессионалов,
а создаваемый портфель — это товар, который может продаваться
либо частями — продают доли в портфеле для каждого инвестора;
либо целиком, когда менеджер берет на себя труд управлять портфелем
ценных бумаг клиента. И как любой товар, портфель определенных
инвестиционных свойств может пользоваться или нет спросом на фондовом
рынке. Кроме того, существуют бессистемные портфели — результат
деятельности непрофессионалов (в частности, например, нерационального
инвестора), не имеющих четких инвестиционных целей.
Разновидностей портфелей много, и каждый конкретный держатель
придерживается собственной стратегии инвестирования, учитывая состояние
рынка ценных бумаг и основательно «перетряхивая» портфель,
согласно «золотому правилу» работы с ценными бумагами, не реже
одного раза в три-пять лет. Поэтому материал, изложенный в этом параграфе,
не охватывает все многообразие существующих портфелей, а
лишь позволяет определить принципы их формирования.
и структура портфеля соответствовали его типу, необходимо управление
портфелем. Под управлением понимается применение к совокупности
различных видов ценных бумаг определенных методов и технологических
возможностей, которые позволяют:
• сохранить первоначально инвестированные средства;
• достигнуть максимального уровня дохода;
• обеспечить инвестиционную направленность портфеля.
Иначе говоря, процесс управления направлен на сохранение основного
инвестиционного качества портфеля и тех свойств, которые соответствовали
бы интересам его держателя. Поэтому необходима текущая
корректировка структуры портфеля на основе мониторинга факторов,
которые могут вызвать изменение его составных частей.
Совокупность применяемых к портфелю методов и технических возможностей
представляет способ управления, который может быть охарактеризован
как «активный» и «пассивный».
Первым и одним из наиболее дорогостоящих, трудоемким элементом
управления является мониторинг, представляющий собой непрерывный
детальный анализ:
• фондового рынка, тенденций его развития;
• секторов фондового рынка;
• финансово-экономических показателей фирмы — эмитента ценных
бумаг;
• инвестиционных качеств ценных бумаг.
Таким образом, конечной целью мониторинга является выбор ценных
бумаг, обладающих инвестиционными свойствами, соответствующими
данному типу портфеля.
Мониторинг является основой как активного, так и пассивного способов
управления. Активная модель управления предполагает тщательное
отслеживание и немедленное приобретение инструментов, отвечающих
инвестиционным целям портфеля, а также быструю смену состава
фондовых инструментов, входящих в него.
Отечественный фондовый рынок характеризуется резким изменением
котировок, динамичностью процессов, высоким уровнем риска. Все
это позволяет считать, что состояние российского фондового рынка
адекватно активной модели мониторинга, которая делает управление портфеля эффективным.
Мониторинг является базой для прогнозирования размера возможных доходов от инвестиционных средств и интенсификации операций с ценными бумагами (рис. 22).

Менеджер, занимающийся активным управлением, должен суметь
отследить и прибрести наиболее эффективные ценные бумаги и максимально
быстро избавиться от низко доходных активов. При этом важно
не допустить снижение стоимости портфеля и потерю им инвестиционных
свойств, а следовательно, необходимо сопоставлять стоимость,
доходность, риск и иные инвестиционные характеристики «нового» портфеля
с учетом вновь приобретенных ценных бумаг и продажи низко доходных с аналогичными характеристиками имеющегося «старого» портфеля.
При этом нельзя не учитывать затраты по изменению состава
портфеля, что в определенной степени зависит от формы обмена, или
так называемого «свопинга».
Менеджер должен уметь опережать конъюнктуру фондового рынка
и превратить в реальность то, что подсказывает анализ. От него требуются
смелость и решительность в реализации замыслов в сочетании с
осторожностью и точным расчетом. Затраты по активному управлению
портфелем довольно высоки.
Какие же формы «свопинга», или обмена старого портфеля на новый,
чаще применяют в работе отечественные менеджеры? Поскольку
им приходится, как правило, работать с государственными ценными
бумагами, то в основном это «подбор чистого дохода» и «подмена».
Например, при работе с портфелем ГКО менеджер постоянно осуществлял
«подбор чистого дохода». Он проводится из-за временной
рыночной неэффективности; при этом две идентичные облигации обмениваются
по ценам, немногим отличающимся друг от друга, В итоге
продается облигация с низким доходом, а покупается — с более
высоким,
«Подмена» предполагает обмен двух похожих, но не идентичных
ценных бумаг, имеющих разные курсовые цены: например, ГКО на ОФЗ-
ПК, «Сектор-своп» предполагает перемещение ценных бумаг из разных
секторов экономики, с различными сроками действия и доходом. При
этом особое внимание менеджеров привлекают ценные бумаги, показатели
которых заметно отличаются от средних. При получении информации
о том, что условия, вызывающие отличия, могут измениться,
менеджеры проводят операции купли-продажи с этими фондовыми ценностями.
В случае нестабильности учетной ставки используется метод «предвидения
учетной ставки». Он основывается на стремлении удлинить срок
действия портфеля, когда учетные ставки снижаются. Высокая конъюнктура
фондового рынка диктует необходимость сократить срок существования
портфеля; чем больше срок действия портфеля, тем значительнее
его стоимость подвержена колебаниям вследствие изменения
учетных ставок. Активный мониторинг на спекулятивном, нестабильном
рынке представляет непрерывный процесс. Управление портфелем
ценных бумаг ориентируется в этом случае на возможные изменения
учетной ставки ценных бумаг, входящих в его состав.
Пассивное управление предполагает создание диверсифицированных
портфелей с заранее определенным уровнем риска, рассчитанным на
длительную перспективу. Такой подход возможен при достаточно эффективном
рынке, насыщенном ценными бумагами высокого качества.
Продолжительность «жизни» портфеля предполагает стабильность процессов
на фондовом рынке. В условиях инфляции, а следовательно, наличия
в основном рынка краткосрочных ценных бумаг, а также нестабильной
конъюнктуры фондового рынка такой подход представляется
малоэффективным.
Во-первых, пассивное управление эффективно лишь в отношении
портфеля, состоящего из низко рискованных ценных бумаг, а их на отечественном
рынке немного.
Во-вторых, ценные бумаги должны быть долгосрочными для того,
чтобы портфель существовал в неизменном состоянии длительное время.
Это позволит реализовать основное преимущество пассивного управления
- низкий уровень накладных расходов. Динамизм российского
рынка не позволяет портфелю иметь низкий оборот, так как велика
вероятность потери не только дохода, но и стоимости.
Малоприменим и такой способ пассивного управления как метод
и1щексного фонда, Индексный фонд - это портфель, отражающий движение
выбранного биржевого индекса, характеризующего состояние
всего рынка ценных бумаг, Если инвестор желает, чтобы портфель отражал
состояние рынка, он должен иметь в портфеле такую долю ценных
бумаг, какую эти бумаги составляют при подсчете индекса, В целом
отечественный рынок ценных бумаг в настоящее время малоэффективен,
поэтому применение данного метода может принести убытки
вместо желаемого положительного результата.
Определенные трудности могут возникнуть и при использовании
метода сдерживания портфеля.
Вариант пассивного управления связан с инвестированием в неэффективные
ценные бумаги. При этом выбираются акции с наименьшим
соотношением цены к доходу, что позволяет в будущем получить доход
от спекулятивных операций на бирже.
Сигналом к изменению сформированного портфеля служат не рыночные
изменения, как в случае активного управления, а падение доходности
портфеля ниже минимальной. Таким образом, доходность является
тем индикатором, который заставляет «перетряхнуть» портфель.
Нельзя утверждать, что только конъюнктура фондового рынка
определяет способ управления портфелем.
Выбор тактики управления зависит и от типа портфеля. Скажем, трудно ожидать значительного выигрыша, если к агрессивному портфелю применить тактику
«пассивного» управления. Вряд ли будут оправданы затраты на активное
управление, ориентированное, например, для портфеля регулярного дохода.
Выбор тактики управления зависит также от способности менеджера
(инвестора) выбирать ценные бумаги и прогнозировать состояние
рынка. Если он плохо ориентируется в ценных бумагах или не учитывает
время, то ему следует создать диверсифицированный портфель и держать
риск на желаемом уровне. Если инвестор уверен, что он в состоянии
верно спрогнозировать состояние рынка, ему можно менять состав
портфеля в зависимости от рыночных перемен и выбранного им вида
управления. Например, пассивный метод управления возможен по портфелю
облигаций государственного сберегательного займа. Расчет доходности
и колебания рыночных цен с позиции отдельного инвестора
представляется малопривлекательным.
Как «активная», так и «пассивная» модели управления могут быть
осуществлены либо на основе поручения клиента и за его счет или на
основе договора. Активное управление предполагает высокие затраты
специализированного финансового учреждения, которое берет на
себя решение всех вопросов по купле-продаже и структурному построению
портфеля ценных бумаг клиента, управлению имеющихся в
его распоряжении средств инвестора. Управляющий осуществляет
операции с фондовыми ценностями, руководствуясь своим знанием
рынка, выбранной стратегией и т.д. Прибыль будет в значительной
степени зависеть от инвестиционного искусства менеджера, а следовательно,
комиссионное вознаграждение определяется процентом от полученной
прибыли. Данный вид услуг называется «Investment portfolio
management treaty», или «договором об управлении портфелем ценных
бумаг».
Пассивная модель управления подразумевает передачу денежных
средств специализированному учреждению, которое занимается портфельными
инвестициями с целью вложения этих средств от имени и по
поручению их владельца в различные фондовые инструменты с целью
извлечения прибыли. За проведение операций взимается комиссионное
вознаграждение. В зарубежной практике операции такого рода
носят название «Private banking», или «доверительные банковские операции».
дается юридическое определение ценной бумаги как документа установленной
формы и реквизитов, удостоверяющего имущественные права,
осуществление или передача которых возможны только при его
предъявлении.
Поскольку число документов, которые могут удостоверять имущественные
права, достаточно велико, постольку в следующей, 143-й статье
указанного Кодекса устанавливается способ отнесения того или
иного документа к классу ценных бумаг: только по закону или в установленном
им порядке.
Статьей 149 Гражданского кодекса разрешается бездокументарная
форма фиксации прав, удостоверяемых ценной бумагой, а поэтому
юридической сутью ее понимания остаются сами эти права. Ценная
бумага — это просто титул, т.е. юридическое основание прав ее владельца
на что-то, на какое-либо имущество (деньги, товары, недвижимость
и т.п.).
В соответствии со статьей 128 цитируемого Кодекса ценные бумаги
относятся к объектам гражданских прав и приравнены к вещам, имуществу.
Следовательно, трактовка ценной бумаги лищь как имущественного
права является неполной. Юридически ценная бумага есть и титул,
и само имущество' одновременно (рис. 1).

Рис. Юридическое понимание ценной бумаги
В расширенном понимании ценная бумага — это любой документ
(«бумага»), который продается и покупается по соответствующей цене.
Исторические примеры: продажа индульгенций в средние века, в наше
время - продажа ценных бумаг типа «билеты МММ». Юридическое
понятие ценной бумаги более узкое, так как оно включает только такие
ценные бумаги, которые отражают конкретные имущественные отношения,
а не любые отношения, например отношения религиозной веры
или веры во что-либо другое.
Юридический подход к определению ценной бумаги состоит в следующем.
Если невозможно дать строгое юридическое определение, если
невозможно сформулировать понятие ценной бумаги на все случаи
жизни, то эту труд1юсть можно обойти путем перечисления признанных
государством видов ценных бумаг, которые выработала практика.
Например, в Гражданском кодексе или других законах, относящихся
к рынку ценных бумаг, определенные виды конкретных бумаг
фиксируются именно как ценные бумаги. Все, что объявлено как ценная
бумага, подпадает под законодательные акты, регулирующие ее
жизнь.
портфеля ценных бумаг, — распределение инвестором определенной
денежной суммы по различным альтернативным вложениям
(например, акции, облигации, наличные деньги и др.) так, чтобы наилучшим
образом достичь своих целей.
В первую очередь инвестор стремится к получению максимального
дохода за счет выигрыша от благоприятного изменения курса акций, дивидендов,
получения твердых процентов и тд. С другой стороны, любое
вложение капитала связано не только с ожиданием получения дохода, но
и с постоянной опасностью проигрыша, а значит, в оптимизационных задачах
по выбору портфеля ценных бумаг необходимо учитывать риск.
В принципе для создания портфеля ценных бумаг достаточно инвестировать
деньги в какой-либо один вид финансовых активов. Но современная
экономическая практика показывает, что такой однородный по содержанию
портфель встречается очень редко. Гораздо более
распространенной формой является так называемый диверсифицированный
портфель, т.е. портфель с самыми разнообразными ценными бумагами.
Приведем классический пример, почему именно диверсифицированный
портфель стал преобладающим. Допустим, существуют две фирмы:
первая производит солнцезащитные очки, вторая — зонты. Инвестор
вкладывает половину денежных средств в акции «Очки», а другую
половину — в акции «Зонты». Результат проведенной операции представлен
в табл. 2

Использование диверсифицированного портфеля элиминирует разброс в нормах доходности различных финансовых активов. Иными словами, портфель, состоящий из акций столь разноплановых компаний, обеспечивает стабильность получения положительного результата.
Нынешнее состояние финансового рынка заставляет быстро и адекватно
реагировать на его изменения, поэтому роль управления инвестиционным
портфелем резко возрастает и заключается в нахождении той
грани между ликвидностью, доходностью и рискованностью, которая
позволила бы выбрать оптимальную структуру портфеля. Этой цели
служат различные модели выбора оптимального портфеля.
Рассмотрим некоторые из известных моделей выбора оптимального
портфеля ценных бумаг.
Модель Марковитца. Основная идея модели Марковитца заключается
в том, чтобы статистически рассматривать будущий доход, приносимый
финансовым инструментом, как случайную переменную, т.е. доходы
по отдельным инвестиционным объектам случайно изменяются в
некоторых пределах. Тогда, если неким образом установить по каждому
инвестиционному объекту вполне определенные вероятности наступления,
можно получить распределение вероятностей получения дохода
по каждой альтернативе вложения средств. Из модели Марковитца следует,
что доходы по альтернативам инвестирования распределены нормально.
По модели Марковитца определяются показатели, характеризующие
объем инвестиций и риск, что позволяет сравнивать между собой
различные альтернативы вложения капитала с точки зрения поставленных
целей и тем самым создать масштаб для оценки различных комбинаций.
В качестве масштаба ожидаемого дохода из ряда возможных доходов
на практике используют наиболее вероятное значение, которое в
случае нормального распределения совпадает с математическим ожиданием.
Пусть формируется портфель из п ценных бумаг. Ожидаемое значение
дохода по г'-й ценной бумаге (Е^) рассчитывается как среднеарифметическое
из отдельных возможных доходов Rj с весами P^j, приписанными
им вероятностями наступления:

Для измерения риска служат показатели рассеивания, поэтому чем больше разброс величин возможных доходов, тем больше опасность, что ожидаемый доход не будет получен.
Таким образом, риск выражается отклонением (причем более низких!) значений доходов от наиболее вероятного значения. Мерой рассеивания является среднеквадратичное отклонение а,, и чем больше это значение, тем больше риск:

в модели Марковитца для измерения риска вместо среднеквадратичного
отклонения используется дисперсия D,, равная квадрату а так
как этот показатель имеет преимущества по технике расчетов:

Инвестора, желающего оптимально вложить капитал, интересует не
столько сравнение отдельных видов ценных бумаг между собой, сколько
сравнение всевозможных портфелей, так как это позволяет использовать
эффект рассеивания риска, т.е. определяется ожидаемое значение
дохода и дисперсия портфеля. Ожидаемое значение дохода Е портфеля
ценных бумаг определяется как сумма наиболее вероятных доходов Е-
различных ценных бумаг п. При этом доходы взвешиваются с относительными
долями Xj (i = ... «), соответствующими вложениям капитала
в каждую облигацию или акцию:

Для дисперсии эта сумма применима с определенными ограничениями,
так как изменение курса акций на рынке происходит не изолированно
друг от друга, а охватывает весь рынок в целом. Поэтому дисперсия
зависит не только от степени рассеяния отдельных ценных бумаг, а также
от того, как все они в совокупности одновременно понижаются или
повышаются по курсу, т.е. от корреляции между изменениями курсов
отдельных ценных бумаг. При сильной корреляции между отдельными
курсами (если все акции одновременно повышаются или понижаются)
риск за счет вкладов в различные ценные бумаги нельзя ни уменьшить,
ни увеличить. Если же курсы акций абсолютно не коррелируют между
собой, но в предельном случае (портфель содержит бесконечное число
акций) риск можно было бы исключить полностью, так как колебания
курсов в среднем были бы равны нулю.
На практике число ценных бумаг в портфеле всегда конечно, и поэтому распределение инвестиций по различным ценным бумагам может лишь
уменьшить риск, но не исключить его полностью.
Итак, при определении риска конкретного портфеля ценных бумаг
необходимо учитывать корреляцию курсов акций. В качестве показателя
корреляции Г. Марковитц использует ковариацию С, между изменениями
курсов отдельных ценных бумаг.
Таким образом, дисперсия всего портфеля рассчитывается по следующей
формуле:

По определению, при i = к С., равно дисперсии акции. Это означает,
что дисперсия, а значит, и риск данного портфеля зависят от риска
данной акции, ковариации между отдельными акциями (систематического
риска рынка) и долей Z. отдельных ценных бумаг в портфеле в
целом.
Рассматривая теоретически предельный случай, при котором в портфель
можно включать бесконечное количество ценных бумаг, дисперсия
асимптоматически будет приближаться к среднему значению ковариации С.
Графически это можно представить в виде рис. 2
Г. Марковитц разработал очень важное для современной теории портфеля
ценных бумаг положение, которое гласит: совокупный риск портфеля
можно разложить на две составные части. С одной стороны, это
так называемый систематический риск, который нельзя исключить и
которому подвержены все ценные бумаги практически в равной степени.
С другой — специфический риск для каждой конкретной ценной бумаги,
который можно избежать при помощи управления портфелем ценных
бумаг. При этом сумма вложенных средств по всем объектам должна
быть равна общему объему инвестиционных вложений (например,
часть средств на банковском счете вводится в модель как инвестиция с
нулевым риском), т.е. сумма относительных долей X. в общем объеме
должна равняться единице:


Проблема заключается в численном определении относительных долей
акций и облигаций в портфеле (значений X), которые наиболее выгодны
для владельца. Г. Марковитц ограничивает решение модели тем,
что из всего множества «допустимых» портфелей, т. е. удовлетворяющих
ограничениям, необходимо выделить те, которые наиболее рискованные.
Это портфели, содержащие при одинаковом доходе больший
риск (дисперсию) по сравнению с другими, или портфели, приносящие
меньший доход при одинаковом уровне риска.
При помощи разработанного Г. Марковитцем метода критических
линий можно выделить неперспективные портфели, не удовлетворяющие
ограничениям. В итоге остаются только эффективные портфели,
т.е. имеющие минимальный риск при заданном доходе или приносящие
максимально возможный доход при заданном максимальном уровне риска,
на который может пойти инвестор.
Данный факт имеет очень большое значение в современной теории
портфелей ценных бумаг. Отобранные таким образом портфели объединяют
в список, содержащий сведения о процентном составе портфеля
из отдельных ценных бумаг, а также о доходе и риске портфелей. Выбор
конкретного портфеля зависит от максимального риска, на который
готов пойти инвестор.
На рис. 24 представлены недопустимые, допустимые и эффективные
портфели. Портфель является эффективным, если он удовлетворяет
ограничениям, и, кроме того, для заданного дохода, например
£•,, содержит меньший риск R^ по сравнению с другими портфелями,
приносящими такой же доход £,, или при определенном риске
R^ приносит более высокий доход Е^ по сравнению с другими комбинациями
с R^.

С методологической точки зрения модель Марковитца можно определить
как практически нормативную, что, конечно, не означает навязывания
инвестору определенного стиля поведения на рынке ценных
бумаг. Задача модели заключается в том, чтобы показать, насколько
поставленные цели достижимы на практике.
Индексная модель У. Шарпа. Как следует из модели Г. Марковитца,
задавать распределение доходов отдельных ценных бумаг не требуется.
Достаточно определить только величины, характеризующие это
распределение: математическое ожидание Ер дисперсию D. и ковариа-
цию С^ между доходами отдельных ценных бумаг. Все это следует проанализировать до составления портфеля. На практике для сравнительно
небольшого числа ценных бумаг возможно произвести расчеты по
определению ожидаемого дохода и дисперсии.
При определении же коэффициента корреляции трудоемкость весьма велика. Так, например,
при анализе 100 акций потребуется оценить около 500 ковариаций.
Для избежания столь высокой трудоемкости У. Шарп предложил
индексную модель. Причем он не разработал новый метод составления
портфеля, а упростил проблему таким образом, что приближенное решение
может быть найдено со значительно меньшими усилиями. У. Шарп
ввел так называемый Р- фактор, который играет особую роль в современной
теории портфеля.
В индексной модели Шарпа используется тесная (и сама по себе нежелательная
из-за уменьшения эффекта рассеивания риска) корреляция
между изменением курсов отдельных акций. Предполагается, что необходимые
входные данные можно приблизительно определить при помощи
всего лишь одного базисного фактора и отношений, связывающих
его с изменением курсов отдельных акций. Предположив существование
линейной связи между курсом акции и определенным индексом, можно
при помощи прогнозной оценки значения индекса определить ожидаемый
курс акции. Помимо этого можно рассчитать совокупный риск
каждой акции в форме совокупной дисперсии.
Модель выравненной цены (Arbitraregeprais — Theorie — Model! APT).
Целью арбитражных стратегий является использование различий в цене
на ценные бумаги одного или родственного типа на различных рынках
или сегментах рынков с целью получения прибыли (как правило, без
риска). Тем самым при помощи арбитража удается избежать неравновесия
на рынках наличных денег и в отношениях между рынками наличных
денег и фьючерсными рынками. Арбитраж является выравнивающим
элементом для образования наиболее эффективных рынков капитала.
В качестве основных данных в модели используются общие факторы
риска, например показатели развития экономики, инфляции и т.д.
Проводятся специальные исследования, как курс определенной акции
в прошлом реагировал на изменение подобных факторов риска. При
помощи полученных соотношений предполагается, что можно рассчитать
поведение акций в будущем. Естественно, для этого используют
прогнозы факторов риска. Если рассчитанный таким образом курс
акций выше настоящего курса, это свидетельствует о выгодности покупки
акции.
В данной модели ожидаемый доход акции зависит не только от одного
Р-фактора, как в предыдущей модели, а определяется множеством
факторов. Вместо дохода по всему рынку рассчитывается доля по каждому
фактору в отдельности. Исходным моментом является то, что средняя
чувствительность соответствующего фактора равна единице.
В зависимости от восприимчивости каждой акции к различным факторам
изменяются соответствующие доли дохода. В совокупности они определяют
общий доход акции. Согласно модели, в условиях равновесия,
обеспечиваемого при помощи арбитражных стратегий, ожидаемый доход,
например Е/, складывается из процентов по вкладу без риска Х^ и
определенного количества (не менее трех) воздействующих факторов,
проявляющихся на всем рынке в целом с соответствующими премиями
за риск (^[ ^), которые имеют чувствительность (b^ д.) относительно различных
ценных бумаг:

Чем сильнее реагирует акция на изменение конкретного фактора, тем больше может быть в положительном случае прибыль. Доход портфеля имеет следующий вид:

Пример. Упрощенно ожидаемый совокупный доход акции по этой модели можно представить как

Предположим, для конкретной акции заданы следующие показатели чувствительности:

Ожидаемый доход, зависимый от факторов, составляет:

Безрисковое начисление процентов (R) — 7%.
В случае если вкладчик идет на риск по трем факторам, ожидаемый доход может быть увеличен с 7 до 14%:

За счет того, что рыночный портфель и индекс в данной модели не
рассматриваются, она проще, чем предыдущие.
Недостатком данной модели является следующее: на практике трудно
выяснить, какие конкретные факторы риска нужно включать в
модель.
В настоящее время в качестве таких факторов используют показатели
развития промышленного производства, изменений уровня банковских
процентов, инфляции, риска неплатежеспособности конкретного
предприятия и т.д.
В целом любые модели инвестиционного портфеля являются открытыми
системами и соответственно могут дополняться и корректироваться
при изменениях условий на финансовом рынке. Модель инвестиционного
портфеля позволяет получить аналитический материал, необходимый
для принятия оптимального решения в процессе инвестиционной
деятельности.
Получение математической оценки состояния портфеля на разных
этапах инвестирования при учете влияния различных факторов делает
возможным непрерывно управлять структурой портфеля на каждом этапе
принятия решения, т.е. по сути управлять рисками.
Использование компьютерной техники при реализации моделей значительно
увеличивает оперативность получения аналитического материала
для принятия решений. Следовательно, выполняются такие основные
условия управления как эффективность, непрерывность и оперативность.
ОСНОВНЫЕ ОПРЕДЕЛЕНИЯ
Портфель ценных бумаг — совокупность ценных бумаг, принадлежащих
физическому или юридическому лицу, выступающая как целостный
объект управления, имеющая своей целью улучшать условия инвестирования,
придав данной совокупности такие инвестиционные характеристики,
которые недостижимы с позиции отдельно взятой ценой
бумаги и возможны только при их комбинации.
Тип портфеля — это его инвестиционная характеристика, основанная
на соотношении дохода и риска.
Управление портфелем ценных бумаг — совокупность методов и технических
возможностей, направленная на сохранение основного инвестиционного
качества портфеля и тех свойств, которые соответствовали
бы интересам его держателя.
Под акцией обычно понимают ценную бумагу, которую
выпускает акционерное общество: при его создании (учреждении),
при преобразовании предприятия или организации в акционерное
общество, при слиянии (поглощении) двух или нескольких акционерных
обществ, а также для мобилизации денежных средств при увеличении
существующего уставного капитала. Поэтому акцию можно
считать ценной бумагой, фиксирующей право собственности на капитал,
своеобразным свидетельством о внесении определенной доли в
уставный капитал акционерного общества. В Федеральном законе
«О рынке ценных бумаг» от 22 апреля 1996 г. Л? 39-ФЗ с последующими
изменениями и дополнениями дается следующее определение акции:
«Акция — эмиссионная ценная бумага, закрепляющая права ее владельца
(акционера) на получение части прибыли акционерного общества
в виде дивидендов, на участие в управлении акционерным обществом
и на часть имущества, остающегося после его ликвидации».
Таким образом, акция за ее держателем закрепляет три вида прав:
1) на участие в получении прибыли (дивиденда);
2) на участие в управлении (акция дает право голоса);
3) на долю имущества при ликвидации (ликвидационную стоимость).
К выпуску акций эмитент прибегает в силу того, что:
• это установленный законом способ формирования уставного капитала;
• акционерное общество не обязано возвращать инвесторам их капитал,
вложенный в покупку акций. Покупка ими акций рассматривается
как долгосрочное финансирование затрат эмитента держателями
акций. Хотя законом предусматриваются случаи, когда акционеры -
владельцы голосующих акций вправе требовать выкупа всех или части принадлежащих им акции, если затрагиваются их имущественные права.
Например, если они голосовали против решения о реорганизации
акционерного общества, против совершения крупной сделки или не принимали
участия в голосовании, но эти решения приняты;
• выплата дивидендов не гарантируется;
• размер дивидендов момсет устанавливаться произвольно, независимо
от прибыли. Даже если имеется чистая прибыль, акционерное общество
может всю прибыль направить на развитие производства и не
выплачивать дивидендов.
Получив денежные средства за счет размещения выпушенных акций,
эмитент имеет возможность использовать их для формирования производственных
и непроизводственных основных и оборотных фондов.
Инвестора в акциях привлекает следующее:
• право голоса в обмен на вложенный в акции капитал;
• прирост капитала, связанный с возможным ростом цепы акций на
рынке. По существу, это является основным мотивом приобретения акций,
особенно в России, в настоящее время;
• дополнительные льготы, которые может предоставить акционерное
общество своим акционерам. Они принимают форму скидок при
приобретении продукции, производимой акционерным обществом, или
пользовании услугами (льготный проезд, льготные цены за проживание
в гостинице и т.д.);
• право преимущественного приобретения вновь выпущенных акций;
• право на часть имущества акционерного общества, остающегося
после его ликвидации и расчетов со всеми иными кредиторами.
Вместе с тем приобретение акций связано с определенным риском:
• выплата дивидендов не гарантируется;
• право акционера на часть имущества при ликвидации реализуется
в последнюю очередь;
• значительное влияние на принятие решений в процессе управления
имеет только держатель крупного пакета акций при обычной форме голосования;
• рост цен акций нестабилен, к тому же он характерен для крупных,
успешно работающих акционерных обществ.
Держателей (акционеров) можно разделить на:
• физических (частных, индивидуальных);
• коллективных (институциональных);
• корпоративных.
В мировой практике предпочтение отдается коллективному (институциональному)
держателю, который поддерживается государством и имеет
больше возможностей по сравнению с индивидуальным (физическим).
За рубежом наиболее влиятельными коллективными инвесторами
считаются страховые компании, частные пенсионные фонды, паевые
фонды (фонды взаимных вложений).
Акции обладают следующими свойствами:
• акция — это титул собственности, т.е. держатель акции является
совладельцем акционерного общества с вытекающими из этого правами;
• она не имеет срока существования, т.е. права держателя акции
сохраняются до тех пор, пока существует акционерное общество;
• для нее характерна ограниченная ответственность, так как акционер
не отвечает по обязательствам акционерного общества. Поэтому
при банкротстве инвестор не потеряет больше того, что вложил в
акцию;
• для акции характерна неделимость, т.е. совместное владение акцией
не связано с делением прав между собственниками, все они выступают
как одно лицо;
• акции могут расщепляться и консолидироваться.
При расщеплении одна акция превращается в несколько. Эмитентом
это свойство акций может быть использовано для увеличения предложения
акций данного вида. При расщеплении не изменяется величина
уставного капитала. Например, при номинальной стоимости 1 акции в
1000 руб. выпускаются четыре новых, поэтому номинальная стоимость
новых акций становится равной 250 руб. У акционеров изымаются старые
сертификаты и выдаются новые, в которых указывается, что они
владеют большим числом акций.
При консолидации число акций уменьшается, что может привести к
росту их рыночной цены. Их номинальная стоимость возрастает, а размер
уставного капитала остается прежним. Владельцы акций также
получают новые сертификаты взамен изымаемых, в которых будет указано
меньшее число новых акций.
Акция — это формальный документ, поэтому согласно определению
ценной бумаги она должна иметь обязательные реквизиты. По нормативным документам акция должна содержать следующие
реквизиты:
1) фирменное наименование акционерного общества и его местонахождение;
2) наименование ценной бумаги — «акция»;
3) ее порядковый номер;
4) дата выпуска;
5) вид акции (простая или привилегированная);
6) номинальная стоимость;
7) имя держателя при выпуске именных акций;
8) размер уставного фонда на день выпуска акций;
9) количество выпускаемых акций;
10) срок выплаты дивидендов, ставка дивиденда и ликвидационная
стоимость (только для привилегированных акций);
11) подпись председателя правления акционерного общества;
12) печать компании - эмитента.
Кроме того, возможно указание регистратора и его местонахождение
и банка — агента, производящего выплату дивидендов.
появление акций связано с выпуском в конце 80-х годов акций
трудового коллектива. Их выпускали государственные, арендные, коллективные
предприятия, предприятия общественных организаций. Такие
акции, по существу, представляли собой свидетельство о внесении
собствещ1ых сбережений на бессрочной основе для развития производства.
Это была попытка заинтересовать работников предприятий идеей
общественного руководства. Акции трудового коллектива не предназначались
для свободного обращения (покупки-продажи на вторичном
рынке), их владельцами могли быть только физические лица -
работники данного предприятия. По оценкам экономистов, к концу
1990 г. акций трудового коллектива было выпущено на сумму около
200 млн руб."
В это же время государственные, арендные, коллективные предприятия,
предприятия общественных организаций, коммерческие банки,
товарищества, хозяйственные ассоциации могли выпускать акции предприятий,
которые предназначались для юридических лиц и аналогично
акциям трудового коллектива представляли собой свидетельство о внесении
средств на развитие предприятия. Эти акции могли покупаться и
продаваться на вторичном рынке. Однако интерес к ним был незначительный,
и объем выпуска к 1990 г. не превышал 80 млн руб.
В настоящее время интереса к акциям трудового коллектива и акциям
предприятий нет и к их выпуску не прибегают.
Акция может быть выпущена как в документарной
форме, так и в бездокументарной форме — в виде соответствующих
записей на счетах. При документарной форме выпуска
акций возможна замена акции сертификатом, который представляет
собой свидетельство о владении названным в нем лицом определенным
количеством акций. При полной оплате акций акционер получает один
сертификат на все количество приобретенных им акций. Сертификат
акций должен содержать те же реквизиты, которые характерны для акции,
а также указание на количество акций, которые принадлежат владельцу
(акционеру). В некоторых нормативных документах сертификат
акций относят к ценным бумагам, хотя это утверждение довольно
спорно и может усложнить обращение ценных бумаг, привести к одновременному
обращению как акций, так и их сертификатов.
В зависимости от порядка владения (способа легитимации) акции
могут быть именными и на предъявителя. Согласно Федеральному закону
«Об акционерных обществах» все акции общества являются именными.
Это предполагает, что владелец акции должен быть внесен в реестр
акционерного общества.
Федеральный закон «О рынке ценных бумаг» разрешает выпуск акций
на предъявителя в определенном отношении к величине оплаченного
уставного капитала эмитента в соответствии с нормативом, устанавливаемым
Федеральной Комиссией по рынку ценных бумаг.
В связи с тем, что акционерные общества могут быть открытыми и
закрытыми, следует различать выпускаемые ими акции. Их различие
состоит в том, что акции открытых акционерных обществ могут продаваться
их владельцами без согласия других акционеров этого общества.
При реализации акций закрытого акционерного общества необходимо
учитывать, что его акционеры имеют преимущественное право
на их приобретение. При этом срок реализации этого права не может
быть менее 30 дней, но и не более 60 дней.
Кроме того, следует иметь в виду, что акции закрытых акционерных
обществ могут выпускаться только в форме закрытой эмиссии и не
могут быть предложены для приобретения неограниченному кругу лиц.
Открытое же акционерное общество может проводить как открытую,
так и закрытую эмиссии.
Акции акционерного общества можно разделить на размещенные и
объявленные. Размещенными считаются акции, уже приобретенные акционерами.
Объявленными являются акции, которые акционерное общество
может выпустить дополнительно к размещенным акциям. Поэтому
акционерное общество может принять решение о дополнительном
выпуске акций только при наличии в уставе сведений об объявленных акциях.
Причем объем выпускаемых дополнительных акций не может
быть больше объявленных.
В зависимости от объема прав акции принято делить на обыкновенные
и привилегированные (преференциальные). Согласно Гражданскому
кодексу (статья 102) и Федеральному закону «Об акционерных обществах
» (статья 25, пункт 2) номинальная стоимость размещенных
привилегированных акций не должна превышать 25% уставного капитала
общества.
Владелец обыкновенной акции имеет права, предоставляемые акциями,
в полном объеме (участвовать в общем собрании акционеров с правом
голоса по всем вопросам его компетенции, иметь право на получение
дивидендов, а в случае ликвидации общества — право на получение
части его имущества).
Привилегированная акция не дает права голоса на общем собрании
акционеров, а привилегии владельца такой акции заключаются в том,
что в уставе должны быть определены размер дивиденда и стоимость,
выплачиваемая при ликвидации общества (ликвидационная стоимость),
которые определяются в твердой денежной сумме, в процентах к номинальной
стоимости привилегированных акций или устанавливается порядок
их расчета.
Однако не следует понимать буквально лишение права голоса владельца
привилегированной акции. Закон определяет случаи, когда владелец
привилегированной акции получает право участвовать в общем
собрании акционеров с правом голоса при решении вопросов о реорганизации
и ликвидации общества или о внесении изменений и дополнений
в устав общества, ограничивающих или изменяющих права акционеров
— владельцев привилегированных акций.
Право голоса владелец привилегированных акций получает и в том
случае, если на годовом собрании акционеров принимается решение о
невыплате или неполной выплате установленных по привилегированным
акциям дивидендов (за исключением владельцев кумулятивных
привилегированных акций).
В зарубежной практике используются разновидности как обыкновенных,
так и привилегированных акций.
Например, обыкновенные акции могут быть многоголосными (плюральными)
или ограниченными. В российской практике они не используются,
хотя законодательно их выпуск не ограничивается.
Федеральным законом «Об акционерных обществах» предусматривается
выпуск одного или нескольких типов привилегированных акций.
При этом описаны два типа привилегированных акций: кумулятивные и
конвертируемые.
Кумулятивными считаются такие акции, по которым невыплаченный
или не пол1юстью выплаченный дивиденд, размер которого определен
в уставе, накапливается и выплачивается впоследствии.
Например, если при эмиссии привилегированных акций было установлено,
что дивиденд по ним выплачивается в размере 14% к номиналу,
а по решению общего собрания акционеров он в текущем году не
выплачивается, то в следующем году размер дивиденда по кумулятивной
привилегированной акции составит 28%.
Выпуск таких акций может привлечь инвесторов возможностью увеличения
своих доходов. Если владелец привилегированной акции такого
типа решит продать ее при невыплате дивидендов, то он будет вынужден
продавать ее по низкой курсовой стоимости. Купивший такую
акцию имеет возможность получить дивиденды за весь период, в течение
которого они не выплачивались. Кроме того, владелец кумулятивной
привилегированной акции в порядке, установленном законом, получает
право голоса.
Характеризуя конвертируемые акции, следует подчеркнуть, что
возможна конвертация:
• в другие ценные бумаги;
• акций с большей номинальной стоимостью в акции с меньшей номинальной
стоимостью и наоборот;
• акций с большим объемом прав в акции с меньшим объемом прав и
наоборот;
• акции в акции при консолидации и расщеплении.
Зарубежная практика показывает, что обмен конвертируемых акций
должен наступать не менее чем через три года. Конверсионное соотношение
показывает, на какое количество других ценных бумаг обменивается
привилегированная акция. Курс конвертации устанавливается в момент
выпуска таких акций, и он, как правило, превышает текущий рыночный
курс обыкновенных акций в тот период. Поэтому, если в установленный
период обмена текущий рыночный курс обыкновенных акций превысит
курс конвертации, владелец конвертируемой привилегированной акции
имеет возможность получить дополнительный доход, обменяв свою акцию
на обыкновенную по курсу конвертации и же продав ее по более
высокому курсу. Такая возможность позволяет эмитенту устанавливать
по конвертируемым привилегированным акциям дивиденд ниже, чем по
другим типам привилегированных акций. Если срок обмена закончен, а
владелец конвертируемой привилегированной акции не обменял ее ни на
какую другую акцию, она признается прямой (простой) привилегированной
акцией.
Устав может наделить владельца конвертируемой привилегированной
акции правом голоса на общем собрании акционеров, при этом количество
голосов должно соответствовать тому количеству обыкновенных
акций, на которые обменивается принадлежащая ему привилегированная
акция.
Акционерное общество по закону может выпускать другие типы
привилегированных акций, поэтому рассмотрим еще несколько типов
таких акций, которые выпускаются за рубежом.
Большое распространение получили отзывные, или возвратные, привилегированные
акции. Суть их заключается в том, что они могут быть
погашены в отличие от обычных, которые не могут гаситься до тех пор,
пока существует акционерное общество, их выпустившее.
Отзыв, или возвратность, акционерное общество может обеспечить
разными способами.
Выкуп с премией. Премия выступает в роли своеобразной компенсации
инвестору за то, что он теряет принадлежащий ему источник дохода.
При этом выкуп может происходить целиком в любое время после
увеломления о выкупе или частями в установленные сроки. Погашение
происходит по цене, устанавливаемой выше номинала.
Выкуп через выкупной или отложенный фонд. Формирование выкупного
фонда дает возможность ежегодно выкупать через вторичный
рынок определенную часть привилегированных отзывных акций и тем
самым способствовать стабилизации рынка своих акций.
Отложенный фонд формируется акционерным обществом для того,
чтобы произвести выкуп по рыночной цене.
Обеспечение гарантий досрочного выкупа по инициативе держателя
за счет выпуска особого вида привилегированных акций. К их выпуску
прибегают тогда, когда у эмитента нет абсолютных гарантий
отзыва привилегированных акций путем погашения с помощью выкупа.
При выпуске таких типов привилегированных акций держатель (инвестор)
сам устанавливает срок гашения, уведомляет об этом эмитента
и при наступлении срока гашения предъявляет их. Выпуск отзывных
(возвратных) привилегированных акций представлен на рис.
Акционерное общество может выпустить привилегированные акции
с долей участия. Такие акции дают право ее владельцу не только на
фиксированный дивиденд, установленный при ее выпуске, но и на дополнительный
дивиденд, если дивиденд по обыкновенным акциям по
итогам года его превысит.
В зарубежной практике получают распространение привилегированные
акции с плавающей ставкой дивиденда, ориентированной на доходность
каких-либо общепризнанных ценных бумаг (например, в нашей
практике — на доходность по каким-либо государственным ценным
бумагам).

Схема выпуска отзывных (возвратных) привилегированных акций
Могут выпускаться гарантированные привилегированные акции.
Такие акции могут быть выпущены дочерними предприятиями. В этом
случае дивиденд по привилегированным акциям гарантируется репутацией
вышестоящей организации. Это должно привлечь инвесторов к
покупке акций дочернего предприятия.
В ходе приватизации в России появились специфические привилегированные
акции: типа А и типа Б. Привилегированные акции типа А
выпускались при создании открытых акционерных обществ, они предназначались
для работников преобразуемых предприятий, которые получали
их бесплатно. Число привилегированных акций типа А составляло
25% уставного капитала, а для выплаты дивидендов по этим акциям
выделялось 10% чистой прибыли. Эти акции давали право владельцам
присутствовать на ежегодных собраниях акционеров, вносить предложения
по обсуждаемым вопросам, но не давали права голоса. Собственники
таких акций имели право свободной их продажи.
Привилегированные акции типа Б выпускались в счет доли уставного
капитала, принадлежащей Фонду имущества. То есть владельцем
таких акций становился Фонд имущества, который получал их бесплатно.
Для выплаты дивидендов по таким акциям направлялось 5% чистой
прибыли, но размер дивиденда по таким акциям не должен быть ниже
дивиденда, выплачиваемого по обыкновенным акциям.
Число таких акций не должно превышать 25% уставного капитала.
Фонд имущества, который являлся держателем акций данного типа,
имел право без согласия других акционеров свободно продавать их неограниченному
кругу покупателей, однако при их продаже они автоматически
конвертировались в обыкновенные акции.
Держатель привилегированных акций типа Б не имел права голоса,
хотя мог присутствовать на собраниях акционеров и вносить свои предложения
по обсуждаемым вопросам.
Правительство РФ, органы государственной власти субъектов РФ,
органы местного самоуправления могут принять решение о выпуске
так называемой «золотой акции», которая дает им специальное право
на контроль за деятельностью государственных и муниципальных унитарных
предприятий, преобразованных в открытые акционерные общества.
«Золотая акция» дает право назначать представителей Правительства
РФ, субъектов Федерации, муниципальных образований в
совет директоров (наблюдательный совет) и ревизионную комиссию
ОАО.
Специальное право («золотая акция») действует до принятия решения
о его прекращении.
Таким образом, выпускаемые акции представлены в следующей таблице
(табл. 1).


получить акционер за счет части чистой прибыли текущего года акционерного
общества, которая распределяется между держателями акций в
виде определенной доли их номинальной стоимости, т.е. через дивиденд
реализуется право акционера на участие в прибыли, получаемой акционерным
обществом. Право на дивиденд имеют акционеры, внесенные
в реестр акционеров общества в установленном порядке. Акционерное
общество вправе по своему усмотрению решать вопрос о выплате дивидендов,
т.е. закон не обязывает его в обязательном порядке их выплачивать.
Кроме того, законом устанавливаются определенные ограничения
на выплату дивидендов. Так, например, дивиденды не могут выплачиваться
до тех пор, пока не оплачен весь уставный капитал, они не
могут быть выплачены тогда, когда предприятие отвечает установленным
законом признакам банкротства (несостоятельности) или если в
результате выплаты дивидендов такие признаки появятся.
Однако если о выплате дивидендов объявлено, общество обязано их
выплатить по каждому типу (категории) акций.
На выплату дивидендов может быть израсходована только часть
чистой прибыли, которая устанавливается советом директоров (т.е. той
прибыли, которая останется после отчислений в резервный фонд (пока
он не достигнет 15% уставного капитала), фонд накопления, потребления
и т.д.).
Дивиденд может выплачиваться деньгами или по усмотрению общества
иным имуществом (как правило, акциями дочерних предприятий
или собственными акциями).
Если дивиденды выплачиваются собственными акциями, то такая
практика носит название «капитализация доходов» или «реинвестирование
». С точки зрения теории выплата дохода собственными акциями
не может считаться дивидендом, так как они не представляют часть
чистой прибыли. Однако в мировой и российской практике выплата дивидендов
собственными акциями довольно распространена. При этом
дивиденд устанавливается либо в процентах к одной акции, либо выплачивается
самими акциями в определенной пропорции к определенному
их числу с учетом даты приобретения (например, 4 на 10 ранее приобретенных
за год владения или 1 па 10 ранее приобретенных за один
полный квартал владения).
Пример расчета «капитализации дохода»: 20 акций куплены
1098 г., решение о выплате дивидендов в форме собственных акций
принято 2099 г. из расчета 4 акции за 10 приобретенных за полный
год владения: 20 • 4/10 • 9/12 = 6 акций (так как полных месяцев
владения — 9).
Сроки выплаты дивидендов устанавливаются акционерным обществом.
Они могут быть годовыми и промежуточными (ежеквартальными
или полугодовыми). Решение о выплате годовых дивидендов (размере
и форме выплаты) по каждой категории акций принимает o6niee
собра1шс акционеров по рекомендации совета директоров (наблюдательного
совета) общества, а решение о выплате промежуточных дивидендов
принимается советом директоров (наблюдательным советом) общества
самостоятельно.
При выплате дивидендов соблюдается определенная приоритетность.
В первую очередь устанавливаются дивиденды по привилегированным
акциям, при этом из них на первом месте стоят привилегированные акции,
имеющие преимущество в очередности получения дивиденда, затем
выплачиваются дивиденды по прямым привилегированным акциям,
а в последнюю очередь дивиденды по привилегированным акциям,
размер дивиденда по которым не определен.
После того как принято решение о выплате дивидендов по привилегированным
акциям, принимается решение о выплате (объявлении) дивидендов
по обыкновенным акциям.
Дивиденд рассчитывается только на те акции, которые находятся
на руках у держателей. Акции, которые выкуплены у держателей или
не размещены и находятся на балансе акционерного общества, в расчет
при установлении дивидендов не принимаются.
Размер годового дивиденда не может быть больше того, который
рекомендован советом директоров (наблюдательным советом), однако
он не может быть и меньше выплаченных промежуточных дивидендов.
Общее собрание вправе принять решение о частичной выплате дивидендов
(о выплате дивидендов в неполном размере), а также о невыплате
дивидендов.
Пример расчета дивидендов. Уставный капитал в 1 млрд руб. разделен
на привилегированные акции (25%) и обыкновенные (75%) одной
номинальной стоимости в 10(Ю руб. По привилегированным акциям
дивиденд установлен в размере 14% к 1юминальной стоимости. Какие
дивиденды могут быть объявлены по акциям, если на выплату дивидендов
совет директоров рекомендует направить 110 млн руб. чистой прибыли?
Первоначально рассчитывают дивиденды, приходящиеся на привилегированные
акции: 1000 • 14 ; 100 = 140 руб. на одну акцию, всего
140 • 250 000 = 35 000 000 руб.
Затем определяют чистую прибыль, которую можно использовать
для выплат по обыкновенным акциям; 110 - 35 = 75 млн руб., и, наконец,
устанавливают дивиденд, выплачиваемый гю одной обыкновенной
акции: 75 000 000 : 750 000 = 100 руб., или 10% номинальной стоимости.
который охватывает выпуск, первичное размещение и обращение акций.
Поэтому первая оценка акций по российскому законодательству в
период ее выпуска номинальная. Номинал акции — это то, что указано
на ее лицевой стороне, поэтому иногда ее называют лицевой, или нарицательной,
стоимостью. Номинальная стоимость всех обыкновенных
акций общества должна быть одинаковой и обеспечивать всем держателям
акций этого общества равный объем прав.
По Федеральному закону «Об акционерных обществах» уставный капитал
общества составляется из номинальной стоимости акций общества,
приобретенных акционерами, иначе говоря, равен сумме номиналов
акций в обращении.
Такой порядок стоимостной оценки акций принят не во всех странах.
В некоторых странах, например в США, номинальная стоимость не
указывается, а в акции оговаривается, что капитал компании разбит на
столько-то частей — акций.
Предприятие, выпустившее акцию с указанием ее номинальной, т.е.
нарицательной, стоимости, еще не гарантирует ее реальную ценность.
Такую ценность определяет рынок. Однако номинальная стоимость выступает
как некоторый ориентир ценности акции, особенно на неразвитом,
Мало ликвидном фондовом рынке. В этом случае 1юминальная стоимость
длительное время является базой для определения последующих
стоимостных оценок акции.
Затем стоимостная оценка акций происходит при их первичном размещении,
когда необходимо установить эмиссионную стоимость - это
цена акции, по которой ее приобретает первый держатель. По существующему
законодательству эмиссионная цена акции превышает номинальную
стоимость или равна ей. Оплата акций общества при его
учреждении производится его учредителями по их номинальной стоимости.
При всех последующих выпусках реализация акций осуществляется
по эмиссионной цене, ориентированной на рыночную. Это
обусловливается тем, что собственный капитал акционерного общества
больше уставного, так как в процессе существования акционерного
общества происходит увеличение стоимости его активов из-за
инфляционных процессов, присоединения нераспределенной прибыли
(реинвестирования прибыли) и т.д.
Превышение эмиссионной цены над номинальной стоимостью называется
эмиссионной выручкой, или эмиссионным доходом. Он не может
быть использован на цели потребления и должен быть присоединен к
собственному капиталу акционерного общества. Эмиссионная цена
может быть ниже рыночной. Это возможно, во-первых, в том случае,
если акционер использует имеющееся у него преимущественное право
приобретения акций со скидкой 10% рыночной цены. Таким образом,
эмиссионная цена для него составляет 90% рыночной. Во-вторых, в случае
размещения дополнительных акций при участии посредников но цене,
которая не может быть ниже их рыночной стоимости более чем на размер
вознаграждения посредника. Таким образом, эмиссионная цена равна
рыночной минус вознаграждение посредника.
Следовательно, уже на стадии эмиссии акций, определяя перспективы
продажи новых обыкновенных акций и время их выпуска, возникает
потребность в рыночной оценке. Потребность в оценке акции особенно
необходима при:
• поглощении и слиянии общества;
• покупке голосующего пакета акций;
выдаче кредита под обеспечение акций;
• преобразовании открытого акционерного оби1,ества в закрытое
акционерное общество;
• определении целесообразности выкупа ранее реализованных собственных
акций;
• разделении и выделении общества;
• ликвидации общества.
«Рыночной стоимостью имущества, включая стоимость акций или
иных ценных бумаг общества, является цена, по которой продавец, имеющий
полную информацию о стоимости имущества и не обязанный его
продавать, согласен был бы продать его, а покупатель, имеющий полную
информацию о стоимости имущества и не обязанный его приобрести,
согласен был бы приобрести» {Федеральный закон «Об акционерных
обществах» от 26 декабря 1995 г. № 208-ФЗ с последующими изменениями
и дополнениями).
Таким образом, на ликвидном эффективном рынке цепных бумаг
рыночная цена акции - это стоимость в текущих ценах по сделкам,
заключенным в каждый момент времени, не более и не менее.
Рыночная (курсовая) цена — это цена, по которой акция продается
и покупается на вторичном рынке.
Рыночная цена обычно устанавливается на торгах на фондовой
бирже и отражает действительную цену акции при условии большого
объема сделок. Биржевой курс как результат биржевой котировки определяется
равновесным соотношением спроса и предложения. Цену
предложения (оферту) (рис. 2) устанавливает продавец, цену спроса
(бид) — покупатель.

Котировка предполагает наличие двух цен.
Цена приобретения, по которой покупатель выражает желание
приобрести акцию, или цена спроса (bid price), — цена бид.
Цена предложения, по которой владелец, или эмитент, акции желает
ее продать, — цена предложения (offer price) — оферта.
Как правило, между ними находится цена исполнения сделки, т.е. цена
реальной продажи акций, называемая курсовой (рыночной) ценой. Курсовая
цена бумаги при большом спросе может равняться цене предложения,
а при избыточном количестве ценных бумаг — цене спроса. Таким
образом, реальная курсовая цена складывается под влиянием ожиданий
продавца и покупателя ценных бумаг. Широко известна формула расчета
этой цены (Цд):

меняются и цены. Как правило, учитывается и рыночная конъюнктура,
поэтому в течение рабочего дня биржи цена продажи определенной акции
может меняться. Цена, по которой совершается первая сделка, называется
ценой открытия, а цена, по которой совершается последняя
сделка, — ценой закрытия.
В течение дня устанавливается высшая и низшая цены на акцию (рис. 3).
Высшая и низшая цены на акцию определяются не только за день, но
и за более продолжительные периоды — неделю, месяц, квартал, год.
Это позволяет установить тенденцию рыночной цены на ту или иную
акцию. Цена открытия текущего дня может существенно отличаться от
цены закрытия предыдущего рабочего дня биржи. Изменение цены является
одним из показателей биржевой активности.
Рыночная цена акции в расчете на 100 денежных единиц номинала
называется курсом:

Диаграмма цен на акцию в течение рабочего дня биржи
Ситуация. Определим курс акции, продаваемой по цене 15 000 руб.
при номинале 10 000 руб.

Курс акции равен 150 процентным пунктам, или просто 15
Рыночная цена акций определяется соотношением спроса и предложения.
В каждый данный момент определенная акция имеет свой курс, и
задача оценщика-инвестора — спрогнозировать тенденцию, направленность
его изменения.
При стоимостной оценке акций важную роль играет низкая, или
балансовая, стоимость. Ее определяют эксперты как частное от деления
стоимости чистых активов компании на количество выпущенных акций,
находящихся в обращении. Такая оценка доступна очень узкому
кругу инвесторов. Если курсовая цена превышает балансовую, то это
является основой для биржевого роста цены.
Балансовую стоимость определяют при аудиторских проверках в том
случае, если эмитент намерен пройти листинг для включения своих акций
в биржевой список ценных бумаг, допущенных к биржевым торгам,
а также при ликвидации акционерного общества, чтобы определить
долю собственности, приходящуюся на одну акцию.
Кроме того, выделяют ликвидационную стоимость. Она определяется
только для привилегированных акций и устанавливается при
эмиссии.
Особое значение в настоящее время придается реальной стоимости
акций, определяемой на основе дисконтирования потоков платежей, которые
может обеспечить акция.
Стоимостная оценка акций тесно связана с показателями, характеризующими
качество акций; к таким показателям относят следующие:

Соотношение PIE показывает, какую цену должен заплатить инвестор
за единицу прибыли. Поэтому оно может быть использовано для
сравнения стоимости сопоставимых ценных бумаг и определения ориентира
(рамок) для конкретных отраслей. Высокое соотношение PIE
может указывать на то, что инвесторы, покупающие данные акции,
ожидают роста дивидендных выплат в связи с предполагаемым ростом
прибыли компании, но вместе с тем оно же свидетельствует и о том, что
в текущий момент данные акции переоценены, потенциал роста курсовой
стоимости исчерпан, и поэтому возможно скорое падение цены.

Этот показатель характеризует текущую рыночную доходность акций.

Этот показатель называют дивидендным выходом. Он не может быть
больше единицы. Низкий показатель DIE может свидетельствовать о
высокой рентабельности компании и достаточной перспективе ее роста.
Однако он может толкнуть держателя к продаже акций и приобретению
других акций, у которых этот показатель имеет тенденцию к росту.
Инвестиции в акции являются разновидностью финансовых
инвестиций, т.е. вложением денег в финансовые активы с целью
получения дохода. Доходными будут считаться такие вложения в акции,
которые способны обеспечить доход выше среднерыночного.
Получение именно такого дохода и есть цель, которую преследует
инвестор, осуществляя инвестиции на фондовом рынке. При этом доход,
который может принести акция, обращаясь на фондовом рынке, интересует
в основном портфельного инвестора. Составляющими этого
дохода будут дивиденды и рост курсовой стоимости. На что он рассчитывает
— на дивиденды или рост курсовой стоимости? ^ем измерить
доходность инвестиций в акции?
Для ответа на эти вопросы необходимо выбрать критерий, своеобразную
«быструю пробу», по которой можно судить о доходе инвестора
в данный период, а следовательно, и количественный показатель,
используемый при оценке доходности акций.
Являясь держателем (владельцем) ценной бумаги, инвестор может
рассчитывать только на получение дивиденда по акциям, т.е. текущие
выплаты по ценной бумаге (В).
После реализации акции ее держатель может получить вторую составляющую
совокупного дохода — прирост курсовой стоимости. Количественно
это обозначается как доход, равный разнице между ценой
продажи (Ц|) и ценной покупки (Цц)- Естественно, при превышении цены
продажи над ценой покупки (Ц, > Цд) инвестор получает доход (Д = Ц, -
Цд), а при снижении цен на фондовом рынке и соответственно снижении
цены продажи по сравнению с ценой покупки (Ц, < Ц^) инвестор имеет
потерю капитала (П = Ц, - Ц,).
Кроме того, следует иметь в виду, что расчет дохода по акциям зависит
от инвестиционного периода.
Если инвестор А осуществляет долгосрочные инвестиции, и в инвестиционный
период, по которому происходит оценка доходности акции,
не входит ее продажа, то текущий доход определяется величиной выплачиваемых
дивидендов (В). При такой ситуации рассматривают текущую
доходность (Д^), которую рассчитывают как отношение полученного
дивиденда к цене приобретения акции (Цц).

Кроме того, можно рассчитывать текущую рыночную доходность
(Д ), которая будет зависеть от уровня цены, существующей на рынке
в каждый данный момент времени ЩУ.

Если инвестиционный период, по которому оцениваются акции, включает
выплату дивидендов и заканчивается их реализацией, то доход
определяется как совокупные дивиденды с учетом изменения курсовой
стоимости, т.е. Д = ^ В . , + (Ц, - Цц), таким образом, конечный доход
после реализации акции может быть любым: Д < О, если В < Ц| - Ц^ при
условии, что Ц| < Цц и Д > О, если Ц, — Ц^ < В или если Ц, > Ц^.
Доходность является конечной (Д^^), когда инвестор реализовал свою
ценную бумагу, и доход за инвестиционный период измеряется соотношением

Чистые активы — это стоимость активов компании за вычетом нематериальных
активов, суммы всех долгов и номинальной стоимости
привилегированных акций. Показатель P/N показывает цену, которую
рынок заплатит за единицу собственного капитала. Превышение Р над
N говорит о том, что инвестор уверен в дальнейшем росте компании.
Однако по этому показателю трудно проводить сравнение' компаний,
принадлежащих к разным отраслям промышленности. Поэтому он используется
значительно реже других и преимущественно для специализированных
типов компаний. Чаще всего это банки и инвестиционные
фонды. У этих типов компаний активы легко измеримы, а учет построен
так, что балансовая стоимость никогда не должна значительно отличаться
от справедливой рыночной цены.
Бета-коэффициент. Данный коэффициент определяет влияние общей
ситуации на рынке в целом на судьбу конкретной ценной бумаги.
Если бета-коэффициент положителен, то эффективность данной ценной
бумаги аналогична эффективности рынка. При отрицательном бета-
коэффициенте эффективность данной ценной бумаги будет снижаться
при возрастании эффективности рынка.
Бета-коэффициент также принято считать мерой риска инвестиций
в данные ценные бумаги. При бета больше единицы риск инвестиций
выше, чем в среднем по рынку, а при бета меньше единицы —
наоборот.
и фиксацией определенных экономических отношений, т.е. отношений
по поводу производства, обращения и использования капитала в современном
обществе, постольку можно сразу отметить, что экономическое
существо ценной бумаги как экономической категории состоит в том,
что она, с одной стороны, есть представитель капитала, с другой — капитал сам по себе. Однако ясно, что если бы речь шла об одном и том же
капитале, то такое положение было бы просто невозможно. На самом
деле ценная бумага есть представитель реально функционирующего в
экономике, или действительного, капитала, а как капитал ценная бумага
есть фиктивный капитал.
Ценная бумага не всегда была представителем капитала. В докапиталистическую
эпоху она была просто представителем стоимости, или
общепринятым платежным средством, как, например, вексель — исторически
первая форма ценной бумаги. Известно, что современные кредитные
деньги произошли из данной функции векселя.
Существующий товарный мир делится на две группы: собственно
товары (материальные блага, услуги) и деньги. В свою очередь деньги
могут быть просто деньгами и капиталом, т.е. самовозрастающей стоимостью,
или в обыденном представлении деньгами, которые приносят
новые (добавочные) деньги.
В соответствии с этим ценная бумага может быть представителем
товара или денег.
В условиях капиталистического хозяйства и товары, и деньги суть
лишь обособившиеся части общественного капитала, а поэтому в современных
условиях все ценные бумаги — это в конечном счете представители
определенных видов функционирующего капитала: товарного,
денежного или производительного. Каждая ценная бумага в зависимости
от направлений использования капитала, полученного взамен нее
или представителем которого она является, может выражать разные
части функционирующего капитала или даже их комбинации одновременно,
а потому — представлять этот капитал в целом во всех его формах
как капитал, создающий прибавочную стоимость в ее различных
проявлениях.
Особое место в ряду ценных бумаг занимают ценные бумаги, выпускаемые
государством, или государственные ценные бумаги. Государство
не является капиталистом и не использует привлекаемые через
ценные бумаги денежные средства для получения дохода, оно лишь перераспределяет их через государственный бюджет или через свою финансовую
систему, т.е. выступает посредником. Следовательно, государственные
ценные бумаги — это не представитель непосредственно
функционирующего капитала, а представитель капитала, которого у
государства нет, который окольными путями возвращается в экономику
(через заработную плату государственных служащих, военных, закупку
товаров, военной техники и др.). Поэтому государственные ценные
бумаги — это «косвенный» представитель действительного капитала.
В процессе разделения труда перечисленные ранее виды функционирующего
капитала обособляются и превращаются в ссудный, торговый
и промышленный' капиталы.
Поскольку ценная бумага есть представитель капитала, то ее владелец
ни в коей мере не утрачивает связи с этим капиталом. Эта связь
теперь выражается в ценной бумаге, а не в непосредственном обладании
капиталом. Лицо, получившее в свое распоряжение капитал, может
использовать его и как ссудный, и как товарный, и как промышленный
капитал. Лицо, получившее в обмен на свой капитал ценную бумагу,
использовало последнюю как форму для вложения ссудного капитала.
Безвозвратное отчуждение капитала означало бы, что его бывший владелец
потерял все права на него, а поэтому не могла бы иметь место и
форма ценной бумаги на капитал, обеспечивающая сохранение тех или
иных, прежде всего имущественных, прав на этот капитал.
Ценная бумага не просто представитель капитала, ведь последний
приносит доход (производит прибавочную стоимость), а поэтому она
есть представитель приносящего доход капитала. Капитализация этого
дохода приводит к тому, что приносящий доход актив, т.е. в данном
случае сама ценная бумага, получает денежную оценку, или рыночную
цену. А поэтому из простого представителя капитала ценная бумага
превращается в капитал, сама становится одной из форм существования
капитала, самостоятельным его видом. Однако это уже не капитал,
производящий прибавочную стоимость, а фиктивный капитал, т.е. совокупность
различного рода притязаний на действительный капитал —
на деньги, товары, оборудование, имущество, технологии, системы
транспорта и связи и т.п. (рис. 2).
Ценная бумага — это не деньги и не материальный товар. Ее ценность
состоит в тех правах, которые она дает своему владельцу. Последний обменивает
свой товар или свои деньги на ценную бумагу только в том случае,
если он уверен, что эта бумага ничуть не хуже, а даже лучше и удобнее,
чем сами деньги или товар. Поскольку и деньги, и товар в современных
условиях суть разные формы существования капитала, то экономическое
определение ценной бумаги можно выразить следующим образом.
Ценная бумага — это форма существования капитала, отличная от
его товарной, производительной и денежной форм, которая может передаваться
вместо него самого, обращаться на рынке как товар и приносить
доход. Это особая форма существования капитала наряду с его
существованием в денежной, производительной и товарной формах, при которой у владельца капитала сам капитал отсутствует, но имеются
имущественные права на него, которые и зафиксированы в форме ценной
бумаги.

Рис. Экономическая трактовка ценной бумаги
Последняя позволяет отделить собственность на капитал
от самого капитала и соответственно включить последний в рыночный
процесс в таких формах, в каких это необходимо для самой экономики.
Ценная бумага — представитель капитала, но для ее владельца она
не всегда есть капитал. Это имеет место в том случае, когда она не
приносит дохода, например, если владелец чека получает причитающуюся
по нему в банке сумму денег или владелец складского свидетельства
просто получает соответствующий товар со склада.
Диалектика развития капитала состоит в том, что сначала действительный
капитал порождает свою видимость — ценные бумаги, а они, в
свою очередь, воспроизводят новый капитал, но уже как фиктивный, а
не действительный. И действительный капитал, и фиктивный капитал
как совокупность ценных бумаг вместе образуют функционирующий в
современной экономике общественный капитал.
Действительный и фиктивный капитал — это две стороны одного
и того же общественного капитала. Однако каждый из них развивается
по своим законам. Рост действительного капитала в конечном счете
определяется наличием материальных и трудовых ресурсов, с одной
стороны, и потребностями общества — с другой. Рост фиктивного
капитала, находящего свое отражение в рыночной цене ценных бумаг,
имеет спекулятивный характер, нацеленный на максимизацию дохода
от обращения этих бумаг. Благодаря фиктивному капиталу, т.е. ценным
бумагам, общественный капитал получает возможность неограниченно
самовозрастать, выходить за пределы реально функционирующего
капитала, ибо закон капитала — это безграничный рост.
Однако возрастание фиктивного капитала в форме ценных бумаг (а
вместе с ним и всего общественного капитала) за количественные пределы
реально функционирующего капитала, первоначальной рефлексией
(отражением, видимостью) которого он является, не может происходить
непрерывно и безгранично, так как только действительный капитал
создает материальную основу всех видов доходов, в том числе и
доходов от ценных бумаг. Опережаю1Ций рост фиктивного капитала по
сравнению с действительным находит свое отражение в конечном счете
в снижении показателей доходности капитала в целом, что, в свою очередь,
становится причиной систематических скачкообразных сокращений
размеров фиктивного капитала или общего падения цен на ценные
бумаги.
бумаг являются облигации. Облигация - ценная бумага, удостоверяющая
отношения займа между ее владельцем (кредитором) и лицом,
выпустившим ее (заемщиком).
Действующее российское законодательство определяет облигацию
как «эмиссионную ценную бумагу, закрепляющую право ее держателя
на получение от эмитента облигации в предусмотренный ею срок ее
номинальной стоимости и зафиксированного в пей процента от этой стоимости
или иного имущественного эквивалента».'
Таким образом, облигация это долговое свидетельство, которое
непременно включает два главных элемента:
· обязательство эмитента вернуть держателю облигации по истечении
· оговоренного срока сумму, указанную на титуле (лицевой стороне)
облигации;
• обязательство эмитента выплачивать дepжaтeлю облигации фиксированный
доход в виде процента от номинальной стоимости или иного
имущественного эквивалента.
Принципиальная разница между акциями и облигациями заключается
в следующем. Покупая акцию, инвестор становится одним из собственников
компании-эмитента. Купив облигацию компании-эмитента,
инвестор становится ее кредитором. Кроме того, в отличие от акций
облигации имеют ограниченный срок обращения, но истечении которого
гасятся. Облигации имеют преимущество перед акциями при реализации
имущественных нрав их владельцев: в первую очередь выплачиваются
проценты по облигациям и лишь затем дивиденды; при делении имущества компании-эмитента в случае ее ликвидации акционеры могут
рассчитывать лишь на ту часть имущества, которая останется после
выплаты всех долгов, в том числе и по облигационным займам.
Если акции, являясь титулом собственности, предоставляют их владельцам
право на участие в управлении компанией-эмитентом, то облигации,
будучи инструментом займа, такого права не дают.
Облигации выступают главным инструментом мобилизации средств
правительствами, различными государственными органами и муниципалитетами.
К организации и размещению облигационных займов прибегают
и компании, когда у них возникает потребность в дополнительных
финансовых средствах.
Выпуск облигаций содержит ряд привлекательных черт для компании-
эмитента: посредством их размещения хозяйственная организация может
мобилизовать дополнительные ресурсы без угрозы вмешательства их держателей-
кредиторов в управлении финансово-хозяйственной деятельностью
заемщика. Однако займы компаний следует рассматривать
как дополнение к заемным средствам, получаемым в виде банковских кредитов.
Даже в странах с развитым фондовым рынком посредством выпуска
облигаций компании покрывают далеко не всю потребность в заемных
средствах. Поскольку облигационный заем выражает отношения по поводу
возвратного движения ссуженной стоимости, то он по своей сути и назначению
схож с банковской ссудой. В этой связи следует заметить, что
право на эмиссию облигаций может быть предоставлено только таким компаниям,
которые отвечают требованию кредитоспособности.
Порядок выпуска облигаций акционерными обществами регламентируется
Федеральным законом «Об акционерных обществах». В соответствии
с названным Законом при выпуске облигаций акционерными обществами
должны быть coблюдeны следующие дополнительные условия:
• номинальная стоимость всех выпущенных обществом облигаций
не должна превышать размер уставного капитала общества либо величину
обеспечения, предоставленного обществу третьими лицами для
целей выпуска;
• выпуск облигаций допускается после полной оплаты уставного
капитала;
• выпуск облигаций без обеспечения допускается на третьем году
существования общества и при условии надлежащего утверждения к
этому времени двух годовых балансов общества;
• общество не вправе размещать облигации, конвертируемые в акции
общества, если количество объявленных акций общества меньше
количества акций, право на приобретение которых предоставляют облигации.
Резюмируя сказанное выше об облигации, мы можем рассматривать
облигацию как:
• долговое обязательство эмитента;
• источник финансирования расходов бюджетов, превышающих доходы;
• источник финансирования инвестиций акционерных обществ;
• форму сбережений средств граждан и организаций и получения ими
дохода.
для описания их различных видов классифицируем облигации по ряду
признаков. Чтобы дать развернутую классификацию облигаций, используем
не только пока еще небольшой опыт функционирования российского
облигационного рынка, но и богатый зарубежный опыт организации
облигационных займов. Можно предложить следующую классификацию:
• В зависимости от эмитента различают облигации:
государственные;
корпоративные;
иностранные.
• В зависимости от сроков, на которые выпускается заем, все многообразие
облигаций условно можно разделить на две большие группы:
А. Облигации с некоторой оговоренной датой погашения, которые в
свою очередь делятся на:
краткосрочные;
среднесрочные;
долгосрочные.
Временные рамки, ограничивающие перечисленные облигационные
группы, для каждой страны различны и определяются законодательством,
действующим в этой стране, и сложившейся практикой. Например,
в США к краткосрочным обычно относят облигации со сроком
обращения от 1 года до 3 лет, к среднесрочным — от 3 до 7 лет, долгосрочным
— свыше 7 лет. Что касается российского законодательства,
то оно содержит указания о сроках обращения только для государственных
долговых обязательств.
Б. Облигации без фиксированного срока погашения включают:
бессрочные, или непогашаемые;
отзывные облигации могут быть востребованы (отозваны) эмитентом
до наступления срока погашения.
Еще при выпуске облигации эмитент устанавливает условия такого
востребования — по номиналу или с премией;
облигации с правом погашения предоставляют право инвестору
на возврат облигации эмитенту до наступления срока погашения
и получения за нее номинальной стоимости;
продлеваемые облигации предоставляют инвестору право продлить
срок погашения и продолжать получать проценты в течение этого
срока;
отсроченные облигации дают эмитенту право на отсрочку погашения.
В зависимости от порядка подтверждения права владения облигации
могут быть:
именные, права владения которыми подтверждаются внесением
имени владельца в текст облигации и в книгу регистрации, которую
ведет эмитент;
на предъявителя, права владения которыми подтверждаются простым
предъявлением облигации.
По целям облигационного займа облигации подразделяются на:
обычные, выпускаемые для рефинансирования имеющейся у эмитента
задолженности или для привлечения дополнительных финансовых
ресурсов, которые будут использованы на различные многочисленные
мероприятия;
целевые, средства от продажи которых направляются на финансирование
конкретных инвестиционных проектов или конкретных
мероприятий (например, строительство моста, проведение телефонной
сети и т. п.).
По способу размещения различают:
свободно размещаемые облигационные займы;
займы, предполагающие принудительный порядок размещения.
Принудительно размещенными чаще всего являются государственные
облигации (например, Государственные облигационные
займы СССР 40—50-х годов).
В зависимости от формы, в которой возмещается позаимствованная
сумма, облигации делятся на:
с возмещением в денеж:ной форме;
натуральные, погашаемые в натуре. Примером натуральных облигаций
являются облигации хлебных займов СССР 20-х годов,
облигации АвтоВАЗа, выпущенные в 1993 г.
По методу погашения номинала могут быть:
облигации, погашение номинала которых производится разовым
платеж:ом;
облигации с распределенным по времени погашением, когда за определенный
отрезок времени погашается некоторая доля номинала;
облигации с последовательным погашением фиксированной доли
общего количества облигаций (лотерейные или тиражные займы).
В зависимости от того, какие выплаты производятся эмитентом
по облигационному займу, различают:
облигации, по которым производится только выплата процентов,
а капитал не возвращается, точнее, эмитент указывает на возможность
их выкупа, не связывая себя конкретным сроком. К этой
группе облигаций бессрочного займа относятся, например, английские
консоли, выпущенные еще в середине XVIII в. и обращающиеся
до настоящего времени;
облигации, по которым лишь возвращается капитал по номинальной
стоимости, но не выплачиваются проценты. Это так называемые
облигации с нулевым купоном;
облигации, по которым проценты не выплачиваются до момента
их погашения, а при погашении инвестор получает номинальную
стоимость облигации и совокупный процентный доход. К таким
облигациям можно отнести сберегательные сертификаты серии Е,
выпускаемые в США;
облигации, по которым возвращается капитал по номинальной
стоимости, а выплата процентов не гарантируется и находится
в прямой зависимости от результатов деятельности компании-
эмитента, т.е. от того, получает компания прибыль или нет.
Такие облигации называются доходными или реорганизационными,
так как выпускаются, как правило, компаниями, которым грозит
банкротство;
облигации, дающие право их владельцам на получение периодически
выплачиваемого фиксированного дохода, а номинальной стоимости
облигации — в будущем, при ее погашении. Этот вид облигации
наиболее распространен в современной практике во всех
странах.
Периодическая выплата доходов по облигациям в виде процентов
производится по купонам. Купон представляет собой вырезной талон
с указанной на нем цифрой купонной (процентной) ставки. По
способам выплаты купон1юго дохода облигации подразделяются на:
облигации с фиксированной купонной ставкой;
облигации с плавающей купонной ставкой, когда купонная ставка
зависит от уровня ссудного процента;
облигации с равномерно возрастающей купонной ставкой по годам
займа. Такие облигации еще называют индексируемыми, они
обычно эмитируются в условиях инфляции;
Облигации с минимальным или нулевым купоном (мелко процентные
или беспроцентные облигации). Рыночная цена но таким облигациям
устанавливается ниже номинальной, т.е. предполагает
скидку. Доход по этим облигациям выплачивается в момент ее
погашения по номинальной стоимости и представляет разницу
между номинальной и рыночной стоимостью;
облигации с оплатой по выбору. Владелец этой облигации может
доход получить как в виде купонного дохода, так и облигациями
нового выпуска;
облигации смешанного типа. Часть срока облигационного займа
владелец облигации получает доход по фиксированной купонной
ставке, а часть срока - по плавающей ставке.
• По характеру обращения облигации бывают:
неконвертируемые;
конвертируемые, предоставляющие их владельцу право обменивать
их па акции того же эмитента (как на обыкновенные, так и
на привилегированные). Важное значение для держателей конвертируемых
облигаций имеют конверсионный коэффициент и конверсионная
цена. Конверсионный коэффициент показывает, какое
количество акций можно получить в обмен на такую облигацию.
Конверсионный коэффициент 10:1 означает, что при
конверсии одной облигации можно получить 10 акций. Конверсионная
цепа представляет собой отношение номинальной цены облигации
(например, 100 000 руб.) к конверсионному коэффициенту
(10) и в данном случае равняется 10 000 руб.
• В зависимости от обеспечения облигации делятся на два класса:
А. Обеспеченные залогом:
обеспечиваются физическими активами: в виде недвижимости; в
виде оборудования (облигации с подобным залогом чаще всего
выпускаются транспортными организациями, которые в качестве
обеспечения используют суда, самолеты и т. п.). Облигации под
залог физических активов (как в виде вещного имущества, так и
в виде оборудования) включают так называемые облигации под
первый заклад и второ закладные облигации, или облигации под
второй заклад. Облигации под второй заклад стоят на втором
месте после перво закладных и называются еще обще закладными.
Претензии по облигациям под второй заклад рассматриваются
после расчетов с держателями облигаций под первый заклад, но
до расчетов с прочими инвесторами;
облигации с залогом фондовых бумаг обеспечиваются находящимися
в собственности эмитента ценными бумагами какой-либо
другой компании (неэмитента);
Облигации с залогом пула закладных (ипотек). Такие облигации
выпускаются кредитором, на обеспечении у которого находится
пул ипотек под выданные им ссуды под недвижимость. Поступление
платежей по этим ссудам является источником погашения и
выплаты процентов по облигационному займу, обеспеченному
пулом закладных.
Не обеспеченные залогом:
облигации, не обеспеченные какими-либо материальными активами.
Они подкрепляются «добросовестностью» компании-эмитента,
т.е. обещанием этой компании выплатить проценты и возместить
всю сумму займа по наступлении срока погашения;
облигации под конкретный вид доходов эмитента. По этим o6лигациям
эмитент обязуется выплачивать проценты и погашать заем
за счет каких-либо конкретных доходов;
облигации под конкретный инвестиционный проект. Средства, полученные
от реализации данных облигаций, направляются эмитентом
на финансирование какого-либо инвестиционного проекта.
Доходы, полученные от реализации этого проекта, эмитент
использует на погашение займа и выплату процентов;
гарантированные облигации. Облигации не обеспечены залогом,
но выполнение обязательств по займу гарантируется не компанией-
эмитентом, а другими компаниями. Чаще всего гарантом является
более сильная с экономической точки зрения компания, что
делает облигации более надежными;
облигации с распределенной или переданной ответственностью.
По этим облигациям обязательства по данному займу либо распределяются
между некоторым числом компаний, включая эмитента,
либо целиком принимают на себя другие компании, исключая
эмитента;
застрахованные облигации. Данный облигационный заем компания-
эмитент страхует в страховой компании на случай возникновения
каких-либо затруднений в выполнении обязательств по этому
займу.
В зависимости от степени защищенности вложений инвесторов различают:
облигации, достойные инвестиций, — надежные облигации, выпускаемые
компаниями с твердой репутацией и имеющие хорошее
обеспечение;
макулатурные облигации, носящие спекулятивный характер. Вложения
в такие облигации всегда сопряжены с высоким риском.
рыночную цену. Номинальная цена облигации напечатана на самой облигации
и обозначает сумму, которая берется взаймы и подлежит возврату
по истечении срока облигационного займа. Номинальная цена
является базовой величиной для расчета принесенного облигацией дохода.
Процент по облигации устанавливается к номиналу, а прирост
(уменьшение) стоимости облигации за соответствующий период рассчитывается
как разница между номинальной ценой, по которой облигация
будет погашена, и ценой покупки облигации.
Как правило, облигации выпускаются с высокой номинальной ценой.
Они ориентированы на богатых инвесторов, как индивидуальных,
так и институциональных. Этим они отличаются от акций, номинальную
стоимость которых эмитент устанавливает в расчете на приобретение
их самыми широкими слоями инвесторов. Следует при этом отмстить,
что если для акций номинальная стоимость — величина довольно
условная, акции и продаются, и покупаются преимущественно по цене,
не привязанной к номиналу (акции, как известно, могут выпускаться и
без указания номинала), то для облигаций номинальная стоимость является
очень важным параметром, значение которого не меняется на протяжении
всего срока облигационного займа. Именно по изначально зафиксированной
величине номинала облигации будут гаситься по окончании
срока их обращения.
Как уже отмечалось ранее, облигации являются привлекательным
для покупателей объектом инвестирования, а значит, товаром, предметом
перепродажи. С момента их эмиссии и до погашения они продаются
и покупаются по установившимся на рынке ценам. Рыночная цена в
момент эмиссии (эмиссионная цена) может быть ниже номинала, равна
номиналу и выше номинала. В дальнейшем рыночная цена облигаций
определяется исходя из ситуации, сложившейся на рынке облигаций и
финансовом рынке в целом к моменту продажи, а также двух главных
элементов самого облигационного займа. Этими элементами являются:
• перспектива получить при погашении номинальную стоимость облигации
(чем ближе в момент покупки облигации срок ее погашения,
тем выше ее рыночная стоимость);
• право на регулярный фиксированный доход (чем выше доход, приносимый
облигацией, тем ниже ее рыночная стоимость).
Рыночная цена облигаций зависит и от ряда других условий, важнейшим
из которых является надежность (степень риска) вложений.
Поскольку номиналы у разных облигаций могут существенно различаться
между собой, то часто возникает необходимость в сопоставимом
измерителе рыночных цен облигаций. Таким показателем является
курс.
Курсом облигации называется значение рыночной цены облигации,
выраженное в процентах к ее номиналу:

Например, если облигация с номиналом 100 руб. продается за 150
руб., то ее курс 15
В зарубежной практике, помимо номинальной и рыночной, употребляется
еще одна стоимостная характеристика облигаций — их выкупная
цена, по которой эмитент по истечении срока займа погашает
облигации. Выкупная цена может совпадать с номинальной, а может
быть выше или, наоборот, ниже ее. Российское законодательство исключает
существование выкупной цены, так как Федеральный закон
«О рынке ценных бумаг» от 22 апреля 1996 г. № 39-ФЗ с последующими
изменениями и дополнениями закрепляет право держателя на
получение от эмитента ее номинальной стоимости'. Это означает, что
облигации могут погашаться (выкупаться) только по номинальной
стоимости.
инвестирования на фондовом рынке, приносят своим держателям
определенный доход.
Общий доход от облигации складывается из следующих элементов:
• периодически выплачиваемых процентов (купонного дохода);
• изменения стоимости облигации за соответствующий период;
• дохода от реинвестирования полученных процентов.
Рассмотрим каждый из перечисленных элементов дохода в отдельности.
Облигация, в отличие от акции, приносит владельцу фиксированный
текущий доход. Этот доход представляет собой постоянные аннуитеты
годовые фиксированные выплаты в течение ряда лет. Как правило,
проценты по облигациям выплачиваются 1 2 раза в год. При этом
чем чаще производятся процентные выплаты, тем больший потенциальный
доход приносит облигация, ведь полученные процентные выплаты
могут быть реинвестированы.
Размер купонного дохода по облигациям зависит прежде всего от
надежности облигации, иначе говоря, от того, кто является ее эмитентом.
Чем устойчивее компания-эмитент и надежнее облигация, тем ниже
предлагаемый процент. Кроме того, существует зависимость между
процентным доходом и сроком обращения облигации: чем больше отдален
срок погашения, тем выше должен быть процент, и наоборот.
Процентные (купонные) выплаты по облигациям условно можно
разделить па три группы:
• фиксированные ежегодные выплаты по ставке, установленной эмитентом
при выпуске облигаций;
• индексируемые ежегодные выплаты. Процентный индекс по облигациям
определяется эмитентом чаще всего в соответствии с государственным
инфляционным индексом. Индексация позволяет инвесторам
получать стабильный доход в реальном выражении, защищенный
от инфляционных колебаний цен на основные товары и услуги.
Ставка процента по облигациям может также индексироваться на
некоторую величину, непосредственно связанную с целевым назначением
займа, например на объем выпускаемой продукции или па цену
1 кВтч для займов под энергетические проекты. В эту же группу
купонных выплат можно отнести возрастающие во времени процентные
выплаты;
• выплачиваемые одновременно с основной суммой долга.
Облигация может также приносить доход в результате изменения
стоимости облигации с момента ее покупки до продажи. Разница между
ценой покупки облигации (Цу) и ценой, по которой инвестор продает
облигацию (Ц|), представляет собой прирост капитала, вложенного инвестором
в конкретную облигацию (Д = Ц, - Цд).
Данный вид дохода приносят прежде всего облигации, купленные
по цене ниже номинала, т.е. с дисконтом. При продаже облигаций с
дисконтом важным моментом /и1я эмитента является определение цены
продажи облигации. Иными словами, по какой цене следует продать
облигацию сегодня, если известны сумма, которая будет получена в
будущем (номинал), и базовая норма доходности (ставка рефинансирования).
Подсчет этой цены называется дисконтированием, а сама цена сегодняшней стоимостью будущей суммы денег. Дисконтирование осуществляется по формуле

Разность (Ц^^ - Цдд) является дисконтом и представляет собой доход
по данному виду облигации.
Последний элемент совокупного дохода — доход от реинвестиций
полученных процентов — присутствует лишь при условии, что полученный
в виде процентов текущий доход по облигации постоянно реинвестируется.
Данный вид дохода может иметь довольно существенное
значение при покупке долгосрочных облигаций.
Общий, или совокупный, доход по облигациям обычно ниже, чем по
другим ценным бумагам. Это объясняется прежде всего тем, что облигации
обладают большей, по сравнению с другими видами ценных бумаг,
надежностью. Доходы по облигациям меньше подвергнуты циклическим
колебаниям и не так зависимы от конъюнктуры рынка, как, например,
доходы по акциям.
Показатель текущей доходности характеризует годовые (текущие)
поступления по облигации относительно произведенных затрат на ее покупку.
Текущая доходность облигации рассчитывается по формуле

Пример. Инвестор А приобрел за 900 руб. облигацию номинальной
стоимостью 1000 руб. Купонная ставка равна 20% годовых. Проценты
выплачиваются один раз в конце года. Срок погашения облигации наступит
через 2 года.
Текущая доходность облигации в соответствии с формулой равна

Для принятия инвестиционного решения — оставить данную облигацию
или продать и вложить деньги в другие ценные бумаги — доходность
облигации нужно сравнить с доходностью других инструментов в настоящий
момент. Для этого определяют текущую рыночную доходность как
отношение процентного дохода к текущей рыночной цене облигации:

Текущая доходность облигации является простейшей характеристикой
облигации. Пользуясь только этим показателем, нельзя выбрать
наиболее эффективную для инвестирования средств облигацию, так
как в текущей доходности не нашел отражения еще один источник дохода
— изменение стоимости облигации за период владения ею. Поэтому
по облигациям с нулевым купоном текущая доходность равна
нулю, хотя доход в форме дисконта они приносят.
Оба источника дохода отражаются в показателе конечной, или полной,
доходности, характеризующей полный доход по облигации, приходящийся
на единицу затрат на покупку этой облигации в расчете на
год.
Показатель конечной доходности определяется по формуле

Известны более сложные математические формулы расчета конечного
дохода, в том числе с учетом третьей составляющей совокупного дохода,
приносимого облигацией, — реинвестирования процентных поступлений.
Существуют два важных фактора, влияющих на доходность облигаций.
Это инфляция и налоги. Если доход от облигации равен 14% в год, а
уровень инфляции — 13%, то реальная доходность составит только 1%.
Если уровень инфляции повысится до 14% и выше, то инвесторы — держатели
облигаций с фиксированным 14%>-ным доходом — будут иметь
перспективу получить нулевой доход или даже понести убытки. Поэтому
в условиях инфляции инвесторы избегают вложений в долгосрочные облигации
(хотя эмитентам они, несомненно, интересны), чтобы доходность
собственных инвестиций поддержать на уровне, соизмеримом с базовой
ставкой доходности — ставкой рефинансирования.
Налоги уменьшают доход по облигациям, а значит, и их доходность.
Учитывая все вышесказанное, реальная доходность тех или иных облигаций
должна рассчитываться после вычета из дохода выплачиваемых
налогов с учетом инфляции. Эти показатели доходности следует сравнивать,
выбирая наиболее эффективные для инвестирования объекты.
ОСНОВНЫЕ ОПРЕДЕЛЕНИЯ
Облигация — эмиссионная ценная бумага, закрепляющая за ее держателем
право на гарантированный доход, размер и порядок выплаты
которого эмитент определяет при выпуске, а также на получение ее номинальной
стоимости при истечении срока займа.
ГЛАВНЫЕ ВЫВОДЫ
Облигация представляет собой эмиссионную долговую ценную бумагу,
отражающую отношение займа между эмитентом (заемщиком) и
инвестором (кредитором).
Видов выпускаемых облигаций достаточно много и все они используются
участниками рынка для получения дохода от переданных взаймы
денежных средств.
является результатом многовекового развития товарно-денежного
хозяйства. История его возникновения уходит в далекое прошлое. Известно,
что элементы вексельного обращения появились еще в эпоху средневекового
феодализма (XII—XIV вв.).
Появление нового расчетного инструмента в средние века многие
специалисты истории вексельного права связывают с потребностью
средневековых торговцев, стремящихся сохранить свой капитал во
время переездов и переселений от разбоя на дорогах, в заменителе
денег.
Само название «вексель» произошло от обменных операций, что подтверждается
в современных названиях вексельных документов. На английском
языке вексель называется bill of exchange (обменное письмо),
на немецком — Wechscl-Brief (обменное письмо), на французском — lettre
de change (письмо для обмена), на итальянском — lettera di cambio.
Вексель стал необходим при переводе денег из одной местности в
другую, а также при обмене монет, имеющих хождение в одном государстве,
на валюту другого государства. Тем более государство, защищая
свое право чеканки, запрещало обращение монет другого государства
в своем и вывоз своих монет в другие. Так потребовались услуги
менял, которые имели своих представителей в различных государствах.
Желающий получить деньги в другом месте, чтобы предупредить
риск потери денег при переезде, уменьшить хлопоты и убытки, стал
заключать договор с менялой. По договору меняла, получив деньги в
одном месте, не отдавал эквивалент немедленно, а обещал выплатить
его при предъявлении договора в оговоренном месте в установленное
время. Опасность передвижения по средневековым дорогам способствовала
развитию вексельных расчетов. Роль векселя расширялась, и он
превратился в расчетное средство за поставленный товар. С его помощью
фиксировался факт получения товара в том случае, когда деньги
передавались позже.
Развитие экономики, усиление роли государства, установление прочных
деловых отношений как между государствами, так и отдельными
торговцами и ремесленниками создавали условия для расширения объемов
вексельного оборота и изменения функций векселя. Распространению
векселя способствовала конкуренция между тремя финансовыми
группами, наиболее значимыми в XII—XIII вв.:
• менялы, банкиры Италии, терминология которых до сих пор составляет
основу вексельного обращения;
• могущественные рыцари, которые, помимо охраны торговых караванов
и паломников, имели свои торговые конторы и славились безукоризненным
делопроизводством;
• евреи, которых периодически изгоняли со своих земель и для которых
наличие писем-гарантий давало возможность сохранить капитал и
облегчить вынужденные переезды и переселения.
Сфера применения векселя расширилась также благодаря ярмарочной
торговле. Его стали использовать для расплаты из-за недостатка
денег, поэтому время выдачи векселя и время исполнения по нему стшю
отдаляться одно от другого. Это превратило вексель в особый вид денежной
ценности и дало возможность совершать крупные сделки без
немедленной оплаты. Постепенно вексель стал использоваться при оформлении
долговых отношений.
Использование векселя при ярмарочной торговле потребовало выработки
специальных норм, связанных с передачей векселя другому лицу
и взысканием вексельных обязательств, которые установили строгость
и быстроту вексельных взысканий. Это дало возможность одним векселем
рассчитываться по нескольким сделкам, производя на них передаточные
надписи.
Развитие вексельных отношений происходило в прямой зависимости
или, лучше сказать, в «рамках» экономического развития различных государств.
Следовательно, стали появляться различия в вексельных обычаях
разных стран, что значительно затрудняло использование векселей
в .международных расчетах. Поэтому делается попытка повсеместно
использовать законодательство в отношении векселя отдельных
государств. Первоначально использовалось французское законодательство,
а затем — германское.
В 1847 г. прусским правительством была предпринята попытка
создания Общегерманского Вексельного Устава, который был принят
в 1848 г. Именно этот устав был взят за основу вексельного законодательства
Швеции в 1851 г., Финляндии — в 1858 г., Сербии в
1860 г., Бельгии в 1878 г., Норвегии — в 1880 г., Италии — в 1882 г.
Таким образом, во второй половине XIX в. появились предпосылки для
создания единого межгосударственного вексельного устава. Однако
лишь в 1930 г. в Женеве была принята конвенция, унифицировавшая
основные нормы международного вексельного права, которые действуют
и по сей день. Принятый в Женеве рядом стран Единообразный
вексельный закон (ЕВЗ) был большим достижением в истории развития
вексельного права. Женевская конвенция обязала каждую из стран-
участниц строго придерживаться Единообразного вексельного закона
и принять его за основу местного вексельного законодательства. К
настоящему времени к Женевской конвенции присоединились Германия,
Австрия, Бельгия, Бразилия, Колумбия, Дания, Польша, Эквадор,
Испания, Финляндия, Франция, Греция, Венгрия, Италия, Япония,
Люксембург, Норвегия, Нидерланды, Перу, Швеция, Швейцария, Чехословакия,
Турция, Югославия; СССР присоединился к Женевской
конвенции в 1937 г.
Следует отметить, что в Англии, Австралии, Израиле, Канаде,
Кипре, США, Филиппинах, ЮАР и некоторых других странах вексельное
законодательство основано на английском законе о переводных векселях
(1882 г.), отличном от Единообразного вексельного закона.
денежного рынка. Его считают не эмиссионной долговой ценной бумагой.
Вексель дает право векселедержателю требовать уплаты в установленный
срок определенной суммы денег от плательщика по векселю.
Поэтому можно сравнить вексель с долговой распиской. Однако
следует иметь в виду, что от обычной долговой расписки вексель отличается
следующим.
Вексель — это абстрактное обязательство, т.е., возникнув в
результате конкретной сделки, он может быть передан любому лицу,
которое, не имея никакого отношения к условиям его возникновения,
получает право требовать платежа по векселю, являясь его держателем.
Вексель рассматривается как безусловное обязательство, т.е. платеж
по векселю не зависит ни от каких условий.
Пример. Предприятие А заключает договор с предприятием Б на поставку
товара. Расчет по данной сделке происходит векселем, который
предприятие А (покупатель) выписывает в пользу предприятия Б (пролавиа). Предприятие Б в силу каких-то обстоятельств полностью либо
частично не исполнило своих обязанностей по договору. В данном случае
предприятие А не освобождается от обязанности уплатить по векселю
и не может использовать факт невыполнения проданном своих обязательств
по данной сделке как основание для неуплаты по векселю. В
этом заключается основное свойство векселя, или вексельная сила, —
право безусловного требования платежа ко всем обязанным по векселю
липам. Пример показывает, что вексель - безусловное денежное обязательство,
т.е. платеж по векселю не может быть ограничен никакими
условиями. В тексте векселя не допускаются никакие ссылки на основание
его выдачи. Все условия, не относящиеся к обязательным реквизитам
векселя, будут считаться ненаписанными. Поэтому добросовестному
держателю векселя не могут быть противопоставлены возражения,
вытекающие из договора, который лежит в основе выдачи или
переуступки векселя.
Вексель - это денежный документ со строго определенным набором
реквизитов. Это значит, что векселем является только тот документ,
который содержит все необходимые реквизиты векселя, сформулированные
в соответствии с Положением о переводном и простом
векселе. При этом если не будет хотя бы одного обязательного вексельного
реквизита, то вексель теряет свою вексельную силу, а все
другие реквизиты, которые написаны сверх обязательных, считаются
ненаписанными. Совокупность надлежащим образом оформленных реквизитов
векселя составляет форму векселя, а отсутствие либо неверное
оформление хотя бы одного из них может привести к дефекту
формы векселя. Дефект формы векселя — это термин, определяющий
несоответствие представленного как вексель документа формальным
требованиям вексельного права. Дефект формы векселя ведет к потере
документом вексельной силы, безусловности изложенного в документе
текста, абстрактности вексельного долга и солидарной ответственности
всех обязанных по векселю лиц.
Вексель отличает солидарная ответственность, т.е. полная ответственность
каждого обязанного по векселю лица перед законным векселедержателем.
Векселедержатель в случае неплатежа и надлежащего
протеста в неплатеже имеет право предъявить иск ко всем или некоторым обязанным по векселю лицам, не соблюдая очередности индоссаментов.
Предметом вексельного обязательства могут быть только деньги.
Вексель передается от одного лица другому на основании специальной
передаточной надписи - индоссамента, которая не требует нотариального
заверения.
Вексель выполняет две главные функции: он выступает средством
расчета, и с его помощью можно оформить или получить кредит.
Являясь средством расчета, вексель заменяет деньги. Деньги, заменив
натуральный обмен, позволили отделить акт продажи от акта покупки;
вексель же, заменяя в этой части деньги, отделяет акт платежа
от акта получения денег, выступая универсальным средством платежа.
Вексель может служить средством сохранения денег, вместо наличных
денег выступать расчетным средством. К тому же вексель может не
только сохранить деньги, но и приумножить их.
Вексельное обращение способно ускорить расчеты, уменьшить потребность
в наличных деньгах, так как при развитом коммерческом обороте
вексель до срока оплаты может пройти через многих держателей,
погашая их обязательства друг перед другом. Вексель широко используется
в качестве платежного средства в международных расчетах, при
экспорте и импорте.
Следующая функция векселя заключается в том, что его рассматривают
в качестве орудия кредита. С помощью векселя можно оформить
различные кредитные операции: получить отсрочку в платеже при покупке
(получении) товара, возвратить полученный кредит, предоставить
кредит заемщику и т.д. Особое значение вексель в части этой функции
имеет для покупателя (потребителя), так как он дает ему возможность
получить кредит от продавца (поставщика) без посредничества банков
и других финансовых институтов.
Для обращения векселей в России основополагающими выступают
следующие нормативные документы.
/. Конвенция, устанавливающая Единообразный закон о переводном
и простом векселях от 7 июня 1930 г. (Россия как правопреемница СССР
является участником этой конвенции).
Постановление ЦИК и СНК СССР «О введении в действие Поломсе-
ния о переводном и простом векселе» от 7 августа 1937 г. № 104/134
Федеральный закон «О переводном и простом векселе» от 11 марта
1997 г. № 48 ФЗ.


Наибольшее значение имеет деление векселей на переводные и простые
векселя.
Переводной вексель (тратта) представляет собой письменный документ,
содержащий безусловный приказ векселедателя плательщику
уплатить определенную сумму денег в установленный срок и в конкретном
месте векселедержателю или его приказу. Таким образом, переводной
вексель (тратта) — это документ, регулирующий вексельные отношения
трех сторон: векселедателя (трассанта), должника (трассата) и
векселедержателя — получателя платежа (ремитента). При этом трассант
— должник перед ремитентом, трассат — должник перед трассантом.
Трассат становится главным плательщиком после соглашения (акцепта)
принять на себя платеж по векселю. Закон устанавливает, что
векселедатель (трассант) несет ответственность и за акцепт, и за платеж
по векселю.
Схему вексельной сделки с использованием переводного векселя
можно представить следующим образом (рис. 1).
Простой вексель представляет собой письменный документ, содержащий
простое и ничем не обусловленное обязательство векселедателя
уплатить определенную сумму денег в установленный
срок и в конкретном месте векселе держателю или его приказу. Схема
сделки с использованием простого векселя следующая (рис. 2).

Структура вексельных отношений по простому векселю несколько проще, чем по переводному. В простом векселе векселедатель является прямым должником, и он обязан по простому векселю, так же как акцептант по переводному, следовательно, простои вексель акцептовать
не нужно.
В настоящее время в России наибольшей популярностью среди промышленных
и финансово-кредитных учреждений пользуются простые
векселя (соло). Такая популярность простых векселей на фондовом рынке
России объясняется направлениями использования векселей. Соло-векселя
активно используются в следующих направлениях:
• привлечение временно свободных денежных средств. Банки активно
используют простые векселя для привлечения денежных средств, поскольку
вексель имеет неоспоримые преимущества как перед депозитом,
так и перед сберегательным сертификатом.
Во-первых, в отличие от депозитов, доходы по которым облагаются
налогом по общей ставке для налога на прибыль, налогообложение доходов
по векселям обычно значительно ниже. Такая разница в налогообложении, безусловно, делает вексель как инструмент привлечения денежных
средств более привлекательным как для банков, так и для вкладчиков.
Во-вторых, хотя ставки налогообложения доходов по векселям и
сберегательным сертификатам одинаковы, вексель все же предпочтительнее
сберегательных сертификатов ввиду большей ликвидности.
Это значит, что векселедержатель имеет возможность рассчитаться со
своими кредиторами не только денежными средствами, но и векселем
за поставленные товары и оказанные услуги либо досрочно учесть
вексель;
• вексельное кредитование. Суть данного вида кредитования заключается
в том, что заемщик получает кредит не денежными средствами,
а векселями. Как правило, такие векселя достаточно ликвидные, поскольку
заемщик использует их как расчетное средство в своих финансово-
хозяйственных операциях. Данный вид кредитования выгоден как банку,
так и заемщику, поскольку банк, кредитуя заемщика, не использует
своих активов, что значительно снижает себестоимость кредитной операции.
Соответственно и кредитный процент для заемщика обычно значительно
меньше;
• вексель как средство платежа. Вексель является особенной ценной
бумагой. Эта особенность состоит в том, что вексель может быть
использован как средство платежа. В настоящее время большой популярностью
среди банков, финансово-кредитных и промышленных предприятий
пользуются операции с так называемыми «расчетными» векселями.
«Расчетный» вексель - это вексель, который приобретается с дисконтом
для покрытия кредиторской задолженности перед векселедателем
в размере вексельной суммы. Суть такой операции заключается в том,
что разница между ценой покупки векселя и вексельной суммой является доходом.
Обычно в таких операциях используются векселя надежных
банков либо предприятий транспортной (прежде всего железных
дорог), энергетической, металлургической и других отраслей, продукция
либо услуги которых достаточно ликвидные. Векселя вышеуказанных
промышленных предприятий приобретаются с целью досрочного
погашения кредиторской задолженности перед векселедателем, поэтому
к ним обычно прилагаются гарантийные письма с обязательством
векселедателя досрочно погасить вексель в счет кредиторской задолженности
векселедержателя перед векселедателем за производимые последним
товары и оказываемые услуги.
Операции с «расчетными» векселями можно отнести к разряду сверх доходных.
Пример. Предприятие имеет кредиторскую задолженность перед АО
«Сибэнерго» в размере 500 млн руб. На фондовом рынке курсовая
стоимость векселя АО «Сибэнерго» составляет 27% номинальной стоимости.
Следовательно, предприятию-должнику очень выгодно приобрести
вексель номинальной стоимостью 500 млн руб. всего лишь за 135 млн
руб. и получить доход, или экономию, от погашения кредиторской задолженности
перед векселедержателем в размере 365 млн руб. Как мы
видим, эффективность подобных операций достаточно высока, это объясняет
образование ко второй половине 1995 г. многочисленных посреднических
компаний. Более широкое использование предприятиями простых
векселей объясняется также тем, что структура вексельных отношений
в простом векселе значительно проще правил обращения
переводного векселя. Это весьма важно, поскольку уровень экономического
образования (особенно это касается фондового рынка) руководящего
состава предприятий остается достаточно низким. Руководители
«старой закалки» с большим трудом осваивают новые расчетные
инструменты. Вексельное же обращение является одной из наиболее сложных
областей экономики. Именно отсутствие специальных знаний у
руководящего состава промышленных и других предприятий затрудняет
развитие вексельного обращения в России.
Определенное значение имеет деление векселей в зависимости от их
экономической сущности, в этом случае выделяют следующие виды
векселей:
• коммерческие;
• финансовые;
• фиктивные;
• банковские.
В основе коммерческого векселя лежит конкретная товарная сделка.
Для финансового векселя характерно то, что он является дополнительной
гарантией возврата выданного кредита, т.е. в его основе лежит
движение денег.
Вексель фиктивный — в основе векселя нет ни движения товара, ни
движения денег. К фиктивным векселям относят: бронзовый, дружеский,
встречный.
Бронзовый вексель — вексель, не имеющий реального обеспечения,
плательщиком по нему является либо вымышленное лицо, либо заведомо
неплатежеспособное.
Дружеский вексель — вексель, который выдает одно платежеспособное
лицо другому неплатежеспособному как средство платежа или
изыскания денежных средств путем учета векселя в банке. Возможная
схема дружеского векселя (рис. 3).

Встречный вексель — два лица выставляют векселя друг другу, после
чего учитывают их в разных банках. При наступлении срока платежа
они вновь обмениваются векселями и учитывают их в других банках.
Возможная схема встречного векселя (рис. 4).
Вексель банковский — одностороннее, ничем не обусловленное обязательство
банка — эмитента векселя уплатить векселедержателю указанную
в векселе сумму в установленный срок. Схему банковского векселя
можно представить следующим образом (рис. 5).

Банки выпускают векселя процентные и дисконтные. Процентные
продаются по номиналу, а при представлении векселя к погашению векселедержателю
выплачивается номинал, а также проценты по нему.
Процентная сумма зависит от установленной процентной ставки, условий
ее выплаты и времени, в течение которого вексель находился у векселедержателя.
Такие векселя должны быть неопределенно срочные: оплачиваться
банком по предъявлении или во столько-то времени от
предъявления. Банк в таких векселях может указать, что срок их предъявления
не раньше такого-то времени от составления (продажи).
Дисконтные векселя продаются ниже номинала (со скидкой-дисконтом).
Такие векселя определенно срочные, т.е. при продаже банк оговаривает
срок погашения такого векселя. Для банка-эмитента такие векселя
служат средством привлечения временно свободных денежных
средств как у юридических, так и физических лиц. Выгода банка и в ТОМ. что выпуск векселей не требует регистрации, т.е. не нужно раскрывать
информацию о себе, как этого требует выпуск других ценных
бумаг, не нужно уплачивать эмиссионный налог и т.д.
Для покупателя приобретение банковских векселей выгодно потому,
что:
• они ликвидные;
• можно получить кредит под вексельное обеспечение;
• векселя банка продаются и покупаются на вторичном рынке ценных
бумаг;
• их можно использовать как платежное средство.
который существовал в России на протяжении всего периода ее
социалистического развития, рынок негосударственных, или корпоративных, ценных
бумаг возродился в начале 90-х годов прежде всего в связи с началом
процесса приватизации государственной собственности в 1992 г., а раньше
— с образованием акционерных коммерческих банков и бирж.
Условно современную историю российского рынка корпоративных
ценных бумаг можно разделить на три этапа.
Первый этап (1990-1992 гг.) — создание предпосылок для развития
фондового рынка: образование фондовых бирж и рынка акций коммерческих
банков, товарных и фондовых бирж.
Второй этап (1993 г. первая половина 1994 г.) фондовый рынок
существует в форме рынка приватизационных чеков.
Третий этап (со второй половины 1994 г. до настоящего времени) —
начало обращения акций российских акционерных обществ; зарождение
рынка корпоративных ценных бумаг в общепринятом понимании.
На первом этапе началось формирование законодательной базы российского
рынка ценных бумаг. Были приняты Положение о выпуске и
обращении ценных бумаг и фондовых биржах в РСФСР, Положение об
акционерных обществах; установлен порядок лицензирования и аттестации
на рынке ценных бумаг.
Второй этап это начало, расцвет и закрытие рынка приватизационных
чеков, которые были выпущены государством и выдавались
гражданам России бесплатно. Последние обменивали их на акции приватизируемых
предприятий, вкладывали в чековые инвестиционные
фонды или продавали на биржевом и внебиржевом рынках.
Важной особенностью второго и начала третьего этапа было наличие на
российском фондовом рынке, кроме приватизационных чеков, различного
рода псевдо ценных бумаг (тапа акций МММ и др.), которые активно покупались
российским населением под влиянием, с одной стороны, соответствующей
рекламы, а с другой — внешних обстоятельств (высочайшая инфляция,
нищета и т.п.), что провоцировало широкие слои населения вкладывать
свои средства в «высокодоходные ценные бумаги», которые оказывались в
дальнейшем совсем не ценными, хотя и бумагами. Обманутые ожидания
широких слоев населения на рынке ценных бумаг подорвали веру частного
инвестора в этот рынок, возможно, на многие годы вперед.
Российский рынок корпоративных ценных бумаг
Со второй половины 1994 г. начался складываться новый фондовыйрынок, на котором торговля ведется уже акциями существующих российских акционерных обществ. В отличие от второго этапа в ходе третьего
формируется рынок крупных инвесторов и посредников — отечественных
и зарубежных, который имеет две основные цели.
Во-первых, это борьба за собственность — покупка контрольного пакета
акций предприятий, которые либо представляют стратегические интересы
для соответствующих зарубежных или отечественных компаний, либо
являются высокодоходными, имеют крупную валютную выручку и т.п.
Во-вторых, это получение спекулятивной прибыли от операций на
фондовом рынке благодаря использованию колебаний цен в зависимости
от соотношения спроса и предложения, политических и экономических
факторов, с помощью знаний внутренней информации о компании,
недоступной для других участников рынка и т.п.
Для третьего этапа развития российского рынка корпоративных ценных
бумаг характерно:
• дальнейшее развитие законодательной базы рынка;
• прекращение и преобразование деятельности чековых инвестиционных
фондов;
• увеличение числа участников фондового рынка;
• быстрое развитие страховых и негосударственных пенсионных
фондов;
• образование крупного вексельного рынка в стране;
• создание организаций инфраструктуры фондового рынка (регистраторов,
депозитариев, расчетных палат);
• создание рынка первых фьючерсных контрактов (валютных).
В отличие от первого и второго этапов, в течение которых рынок в
значительной мере был биржевым, на третьем этапе рынок корпоративных
ценных бумаг практически полностью превратился во внебиржевой
рынок. Биржевая торговля акциями приобрела второстепенное значение.
Российский рынок корпоративных акций условно делится на две части:
рынок наиболее ликвидных акций, насчитывающий акции примерно
20—30 компаний, относящихся к отраслям нефтегазодобычи, электроэнергетики,
телекоммуникаций, металлургии, транспорта, которые
постоянно продаются и покупаются по рыночным ценам; и рынок всех
остальных акций, прежде всего региональных предприятий, которые
практически отсутствуют в свободном обращении, а это акции порядка
40 000 акционерных обществ открытого типа. Кроме эмитентов, к
числу участников фондового рынка в настоящее время можно отнести
около 3000 инвестиционных компаний, свыше 2000 коммерческих банков,
порядка 1000 страховых организаций и столько же негосударственных
пенсионных фондов. Правда, очень многие из этих участников не
принимают активного участия на рынке.
Рынок российских акций в большой степени функционирует за счет
иностранного капитала (до августа 1998 г. приток его составлял 1,5—2
млрд долл. в год). Всякий отток этого капитала по причинам, например,
политического характера, ввергает рынок акций в глубокий спад. В то
же время внутренние финансовые ресурсы страны сосредоточены главным
образом либо в виде наличных сбережений у населения, которое
уже не рискует вкладывать их в акции любого вида, либо в виде депозитов
в Сберегательном банке России.
В 1995 г. начался выход российских корпоративных ценных бумаг
на внешние фондовые рынки через механизм депозитарных расписок
(прежде всего, американских депозитарных расписок, которые обращаются
на фондовом рынке США и европейских стран).
К основным проблемам российского рынка акций, решение которых
будет происходить в ближайшие годы, относятся:
• развитие инфраструктуры фондового рынка — возрождение фондовых
бирж и создание организованных внебиржевых систем торговли,
укрупнение и объединение регистраторов и депозитариев рынка, создание
расчетно-клиринговых систем;
• повышение информационной открытости рынка, увеличение его
«прозрачности», т.е. создание системы обеспечения информацией обо
всех эмитентах, доступной для всех участников рынка;
• создание полной законодательной и другой нормативной базы функционирования
фондового рынка, обеспечивающей защиту интересов
инвесторов от мошенничества и недобросовестности отдельных участников
рынка при одновременном совершенствовании регулирования
фондового рынка со стороны государства и уполномоченных им организаций
и контроля за соблюдением этой нормативной базы;
• дальнейшая интеграция с фондовыми рынками развитых стран мира;
• вовлечение в рыночный оборот все большего числа акций (по объему
и по количеству эмитентов) российских акционерных обществ.
Основными тенденциями развития современного рынка
ценных бумаг в странах с развитыми рыночными отношениями на
нынешнем этапе являются:
• концентрация и централизация капиталов;
• интернационализация и глобализация рынка;
• повышение уровня организованности и усиление государственного
контроля;
• компьютеризация рынка ценных бумаг;
• нововведения на рынке;
• секьюритизация;
• взаимопроникновение в другие рынки капиталов.
Тенденция к концентрации и централизации капиталов имеет два
аспекта по отношению к рынку ценных бумаг. С одной стороны, это
Обще рыночная тенденция, которая на рынке ценных бумаг проявляется
в укрупнении организаций профессиональных посредников и в сокращении
их количества, включая функционирующие в каждой стране фондовые
биржи. Указанные организации становятся все более мощными
по размерам собственного капитала и привлекаемым капиталам своих
клиентов; разрастается их филиальная сеть как внутри своей страны,
так и за рубежом; они становятся все более многофункциональными, и
спектр услуг, которые они предоставляют на рынке, становится все
более широким; идет процесс их слияния как между собой, так и с другими
финансовыми и банковскими структурами.
С другой стороны, эта тенденция находит отражение в том, что рынок
ценных бумаг сам по себе притягивает все большие капиталы общества.
Интернационализация рынка ценных бумаг означает, что национальный
капитал переходит границы стран, формируется мировой
рынок ценных бумаг, по отношению к которому национальные рынки
становятся второстепенными, а барьеры на пути движения капиталов
убираются. Рынок ценных бумаг принимает глобальный характер. Национальные
рынки — это составные части глобального всемирного
рынка ценных бумаг. Торговля на таком глобальном рынке ведется непрерывно
и повсеместно. Его основу составляют ценные бумаги транснациональных
компаний.
Формирование мирового рынка ценных бумаг — это тот локомотив,
который движет вперед процесс в целом. Объединение национальных
рынков ценных бумаг в мировой практике идет по таким
направлениям, как обеспечение возможности для любого инвестора оперировать
с ценными бумагами независимо от их национальной принадлежности;
тесная связь национальных рынков между собой благодаря
современным средствам связи и организации банковских расчетов в мировом
масштабе; переход на единые стандарты деятельности с различными
инструментами рынка, а также на фондовых рынках разных стран
и их общее регулирование и т.п.
ИНСТРУМЕНТЫ РЫНКА, ПОДОБНЫЕ ЦЕННЫМ БУМАГАМ
Если абстрагироваться от того, что статус ценной бумагиутверждается законом, то ее основными признаками остаются:
стандартный набор реквизитов, существование выражаемого ею имущественного
права в качестве обособленного объекта, возможность передачи
от одного владельца к другому, доходность.
Имущественные права и обязательства возникают обычно в результате
заключения тех или иных договоров (сделок). Это касается, как
было сказано, и ценной бумаги. Она есть имущественное право, кото-
рос передается путем вручения или уступки требования. Однако возможна
передача не только прав кредитора, но и обязательств, т.е. перевод
долга с одного лица на другое, но это возможно лии1ь с согласия
владельца права (кредитора). В случае с ценной бумагой передача обязательства
по ней не предусмотрена.
В то же время в практике рынка появились такие имущественные
обязательства, передача которых стала возможной и привлекательной
(т.е. доходной) для участников рынка. Речь идет о так называемых производных
инструментах современного финансового рынка, представляющих
собой имущественные обязательства по срочным сделкам. Срочная
сделка - это сделка купли-продажи, исполнение сторонами которой
вытекающих из нее обязательств должно произойти через какой-то
период времени в будущем. В результате ее заключения возникают сразу
два обязательства: обязательство продавца по сделке и обязательство
покупателя по сделке, которые одновременно являются и соответствующими
правами, но которые, в отличие от ценной
бумаги, неотделимы от противоположных им обязательств. Эти
обязательства существуют какое-то время, а не исчезают сразу же, как
это имеет место в обычной (кассовой) сделке купли-продажи какого-
либо актива.
Передача ценной бумаги как имущественного права — это обычно
ее купля-продажа по договору (кассовому или срочному), то передача
обязательства, возникп1его в результате заключившего срочного договора
(но не его ликвидация вообще), возможна лишь путем заключения
такого же срочного договора, в котором передающая обязательство
сторона занимает противоположную позицию. То есть если в первом
договоре лицо А было покупателем, т.е. имело обязательство купить
какой-то актив через какой-то период времени, то во втором договоре
лицо А должно стать продавцом этого же актива на ту же дату, что и в
первом договоре, т.е. взять обязательство продать этот актив. В результате
такого механизма передачи обязательства обязательство купить
актив переходит от лица А к другому лицу, т.е. сохраняется при передаче,
но у лица А противоположные и равные по всем параметрам обязательства
могут быть взаимопогащены.
Технически передача таких имущественных обязательств очень облегчается
при выполнении двух условий: а) если они существуют в форме
стандартных, одинаковых для всех участников рынка обязательств (как
и в случае с правами по ценной бумаге); б) если эти обязательства существуют перед одним и тем же кредитором, т.е. легко обеспечить согласие
последнего на перевод долга с одного обязанного лица на другое,
которое желает «взвалить» на себя это обязательство. (В случае с
ценной бумагой передача имущественных прав вообще не требует согласия
обязанного по ней лица.)
Если причиной для передачи прав по ценной бумаге является либо
желание ее владельца вернуть свой действительный капитал, либо возможность
заработать дифференциальную прибыль при превышении продажной
цены ценной бумаги над ее покупной ценой, то причиной для
передачи обязательства может служить или нежелание нести по нему
убытки, или желание досрочно (т.е. до достижения срока погашения обязательства)
получить дифференциальную прибыль по нему или положительную
разницу между «продажей» обязательства и его «покупкой».
Действительно, если, например, лицо А как владелец обязательства «купить
актив по цене 100» передает это обязательство другому лицу путем
принятия на себя обязательства «продать этот актив по цене 110»,
то оба обязательства как противоположные могут быть погашены путем
выплаты лицу А дифференциальной прибыли, равной 10 (110 100).
Фактически это как бы абстрактное воплощение двух реальных процессов:
лицо А купило актив по цене 100 и затем продало этот же актив
по цене 110, заработав на такой спекулятивной операции 10 единиц дохода.
Если лицо А приняло бы на себя обязательство «продать этот актив
по цене 90», то это означало бы, что он ликвидирует свое первоначальное
обязательство «купить этот актив по цене 100» с убытком для
себя в размере 10 единиц.
На практике обязательство по срочному контракту называется просто
контрактом или позицией. Если обязательство на покупку, то это купленный
контракт, или длинная позиция. Ecjm обязательство на продажу, то
это проданный контракт, или короткая позиция. Соответственно передача
обязательств называется куплей-продажей контрактов: если надо передать
обязательство на покупку, то следует взять обязательство на продажу,
продать контракт; если надо передать обязательство на продажу, то следует
взять обязательство на покупку, или купить контракт.
Главное отличие производных инструментов от ценных бумаг состоит
в том, что они не есть титулы действительного капитала, а потому
они не входят и в понятие фиктивного капитала. Производные инструменты
~ это имущественные обязательства в неразрывном единстве
с имущественными правами, но не на действительный (или фиктивный)
капитал, а на будущий капитал, которого еще нет, но прогнозы на который
рынок строит ежедневно и ежечасно путем принятия сторонами срочного
контракта соответствующих обязательств на будущее.
Производные инструменты есть выразители экономических отношений
по поводу будущего капитала, а ценные бумаги — это титулы уже
существующего капитала.
Обращение ценных бумаг — это просто их купля-продажа как самостоятельных
объектов рынка. Обращение производных инструментов
— это заключение сделок противоположных, или обратных, ранее
заключенным.
Производные инструменты — это титулы будущей стоимости безотносительно
к форме ее существования. Не имеет никакого значения
для обращения производного инструмента, что является объектом его
обязательства (и права). Главное — это как меняется текущая оценка
будущей стоимости, будущих капиталов в их предметной или даже абстрактной
форме, так как с точки зрения настоящего, текущего момента
времени предметная форма будущего капитала есть сама по себе абстракция.
Ценная бумага есть выразитель исключительно реальных имущественных
прав, а не абстрактных.
Производные инструменты объединяет с ценной бумагой то, что они
есть представители капитала (но первые — будущего, а вторые — настоящего);
обособленные имущественные права (но первые неразрывны
от обязательств, а вторые отделены от них); передаваемые от одного
владельца к другому инструменты рынка, при этом передача или
обращение производных инструментов на практике принимает форму
купли-продажи бездокументарных ценных бумаг; инструменты, приносящие
доход своим владельцам (но первые приносят доход только в форме
дифференциальной прибыли, а вторые приносят и доход в форме дифференциальной прибыли, и начисляемый доход).
Тенденции развития современного мирового рынка ценных бумаг
Надежность рынка ценных бумаг и степень доверия к нему со сторонымассового инвестора напрямую связаны с повышением уровня организованности рынка и усиления государственного контроля за ним.
Масштабы и значение рынка ценных бумаг таковы, что его разрушение
прямо ведет к разрушению экономического процесса, процесса воспроизводства
вообще. Никакое государство в современную эпоху не
может допустить, чтобы вера в этот рынок была бы поколеблена, чтобы
массы людей, вложивших свои сбережения в ценные бумаги своей
страны или любой другой, вдруг потеряли бы их в результате каких-
либо катаклизмов или мошенничества. Все участники рынка поэтому
имеют прямую заинтересованность в том, чтобы рынок был правильно
организован и жестко контролировался, в первую очередь, самым главным
участником рынка — государством.
Но есть и другая причина данного процесса — фискальная.
Усиление организованности рынка и контроля за ним позволяет каждому
государству увеличивать свою налогооблагаемую базу и размер
налоговых поступлений от участников рынка. Одновременно все более
и более перекрываются возможности для «отмывания» денег, полученных
от незаконных видов бизнеса — торговли наркотиками и др.
Компьютеризация рынка ценных бумаг — результат широчайшего
внедрения компьютеров во все области человеческой жизни в последние
десятилетия. Без компьютеризации рынок ценных бумаг в современных
формах и размерах был бы просто невозможен. Компьютеризация позволила
совершить революцию как в обслуживании рынка, прежде всего
через современные системы быстродействующих и всеохватывающих
расчетов для участников рынка и между ними, так и в его способах
торговли. Компьютеризация составляет фундамент всех нововведений
на рынке ценных бумаг.
Нововведения на рынке ценных бумаг и производных инструментов:
• новые инструменты данного рынка;
• новые системы торговли ценными бумагами;
• новая инфраструктура рынка.
Новыми инструментами рынка ценных бумаг являются прежде все-
I о многочисленные виды производных ценных бумаг.
Новые системы торговли — это системы торговли, основанные на
использовании компьютеров и современных средств связи, позволяющие
вести торговлю полностью в автоматическом режиме, без посредников,
без непосредственных контактов между продавцами и покупателями.
Новая инфраструктура рынка — это современные информационные
системы, системы клиринга и расчетов, депозитарного обслуживания
участников рынка ценных бумаг.
Секьюритизация — это тенденция перехода денежных средств из
своих традиционных форм (сбережения, наличность, депозиты и т.п.) в
форму ценных бумаг; тенденция превращения все большей массы капитала
в форму ценных бумаг; тенденция перехода одних форм ценных
бумаг в другие, более доступные для широких кругов инвесторов; тенденция
повышения ликвидности (ускорения оборачиваемости) любых
активов и пассивов компаний через форму ценной бумаги или с помощью
производных инструментов.
Развитие рынка ценных бумаг вовсе не ведет к прекращению использования
других рынков капиталов, происходит процесс их взаимопроникновения,
взаимо стимулирования. С одной стороны, рынок ценных бумаг
оттягивает на себя капиталы, а с другой — перемещает эти капиталы
через механизм ценных бумаг на другие рынки, тем самым способствует
их развитию. Например, все более широкое распространение получает
выпуск долговых ценных бумаг под страховку страховых компаний.
Иными словами, инструментарий страхового рынка используется для
страхования рисков на рынке ценных бумаг. Выплаты доходов по ценным
бумагам ведут к резкому увеличению размеров мирового валютного
рынка, что, в свою очередь, является фактором быстрого развития
рынка валютных фьючерсных контрактов и опционов и т.п.
В последующие годы на рынке ценных бумаг и производных инструментов
все отчетливее проявляются две новейшие тенденции:
• индивидуализация инструментов рынка;
• стирание различий между инструментами рынка.
В первом случае имеет место выпуск таких ценных бумаг и (или)
производных инструментов, которые отвечают индивидуальным интересам
(требованиям) отдельных эмитентов и инвесторов (или их небольших
групп) с точки зрения сочетания доходности, риска, налогообложения
и т.п.
Во втором случае создание все новых инструментов рынка осуществляется
путем комбинации различных свойств существующих инструментов
рынка на каком-либо новом инструменте — «гибридном», или
«синтетическом», «искусственном».
ОСНОВНЫЕ ОПРЕДЕЛЕНИЯ
Эволюция рынка ценных бумаг — это его историческое развитие от низших
форм к высшим в соответствии с развитием рыночных отношений.
Тенденция рынка ценных бумаг — одно из важнейших направлений
будущего развития рынка ценных бумаг, основанное на его предшествующем
историческом развитии.
В развитии биржевой торговли ценными бумагами в России выделяют
три этапа: дореволюционный (до 1917 г.), советский (нэп и последующие
годы), современный (от приватизации государственной собственности
до настоящего времени).
Дореволюционный период развития рынка ценных бумаг характеризуется
тем, что торговля ценными бумагами осуществлялась через
коммерческие банки России и на товарных биржах, имеющих фондовые
отделы. Торговля ценными бумагами контролировалась государством.
В советский период государство не было заинтересовано в рынке
ценных бумаг, поскольку для реализации своих программ оно могло использовать
регулирование оплаты труда и цеп, налоги, свободный доступ
к ссудному фонду Центрального банка, налично денежную и кредитную
эмиссию. Государственные займы носили принудительный нерыночный
характер.
Современный этап развития рынка ценных бумаг обусловлен переходом
к рыночной экономике. В его структуре можно выделить рынок
государственных, муниципальных и корпоративных цепных бумаг, которые
имеют специфические условия развития.
Тенденция развития современно10 мирового рынка ценных бумаг
заключается в:
• концентрации и централизации капиталов;
• интернационализации и глобализации рынка;
• повышении уровня организованности и усилении государственного
контроля;
• компьютеризации рынка ценных бумаг;
• нововведениях на рынке;
• секьюритизации;
• взаимопроникновении рынка ценных бумаг и других рынков капитала.
Эмиссия ценных бумаг
ПОНЯТИЕ ОБ ЭМИССИИЭмиссию ценных бумаг следует рассматривать в качестве
одного из источников финансовых ресурсов, привлекаемых для решения
определенных целей.
Государство использует эмиссию собственных бумаг потому, что
чрезмерное увеличение налогов может привести к спаду экономической
активности в стране, а неконтролируемая эмиссия денег грозит ростом
темпов инфляции. Внешние кредиты могут ослабить экономическую независимость,
а внутренние ограничат возможности Центрального банка
Российской Федерации при регулировании денежного обращения. Субъекты
Федерации и местные органы власти и управления (муниципальные
органы) за счет выпуска собственных долговых обязательств могут обеспечить
как приток денежных средств в бюджет, так и финансирование
отдельных инвестиционных проектов. Эмиссия ценных бумаг наряду с
другими источниками финансовых ресурсов может быть привлекательна
для корпораций, так как в этом случае можно:
• варьировать сроки привлечения необходимых денежных средств
(без ограничения срока при эмиссии акций) и выбирать приемлемый срок
(при эмиссии облигаций);
• устанавливать приемлемую плату за привлекаемые денежные ресурсы,
комбинируя имущественные права, закладываемые в ценные
бумаги;
• увеличивать объем привлекаемых средств по сравнению с кредитом,
который может выдать отдельный банк, за счет предложения выпускаемых
ценных бумаг потенциально неограниченному кругу покупателей.
Эмиссия представляет собой выпуск и размещение ценных бумаг.
Федеральный закон «О рынке ценных бумаг» трактует эмиссию как
установленную законом последовательность действий эмитента по размещению эмиссионных ценных бумаг, т.е. действия, которые охватывают
подготовку к выпуску, сам выпуск ценных бумаг и отчуждение
их первым владельцам путем заключения гражданско-правовых сделок,
осуществляемые эмитентом самостоятельно или андеррайтером по договору
с ним.
Эмиссия охватывает исключительно эмиссионные ценные бумаги.
Исходя из определения эмиссионных бумаг, к ним относят акции и облигации.
При эмиссии ценных бумаг необходимо учитывать то, что как
инвестор, так и эмитент особое значение придают набору имущественных
нрав, которые закреплены за ними. Поэтому у эмитента возникает
возможность комбинировать различные имущественные права и тем
самым изменять инвестиционные характеристики ценных бумаг, делая
их более привлекательными для инвесторов. А у инвестора появляется
возможность сравнивать инвестиционные характеристики предлагаемых
ценных бумаг и выбирать те, которые соответствуют его инвестиционным
целям.
Участниками этого процесса являются:
• эмитенты;
• инвесторы;
• профессиональные участники рынка ценных бумаг, выполняющие
посреднические функции;
• органы, регистрирующие выпуски ценных бумаг.
В качестве эмитента ценных бумаг могут выступать:
• юридические лица (ак1ДИонерные общества, общества с ограниченной
ответственностью, товарищества, производственные кооперативы
и др.);
• государство (органы исполнительной власти, к функциям которых
по решению Правительства Российской Федерации отнесены составление
и (или) исполнение федерального бюджета);
• субъекты Федерации (органы государственной власти, уполномоченные
на составление и (или) исполнение бюджета субъекта Федерации);
• муниципальные образования (органы местного самоуправления,
уполномоче1шые на составление и (или) исполнение местного бюджета).
Для каждого типа эмитента цель эмиссии может быть своя, однако
можно выделить следующие общие цели эмиссии для всех типов эмитентов:
привлечение необходимых денежных средств; реконструкция
собственности; секьюритизация задолженности; снижение риска; совершенствование
финансового планирования и управления; формирование
рациональной структуры капитала.
Наиболее важной целью эмиссии следует счигать привлечение необходимых
денежных средств. Эта цель является приоритетной для всех
типов эмитентов.
Выпуск ценных бумаг государством, субъектами Федерации и муниципальными
образованиями был освещен выше. Поэтому в дальнейшем
рассмотрим эмиссию ценных бумаг применительно к акционерному
обществу.
В настоящее время в России эмиссия ценных бумаг акционерного
общества с целью привлечения денежных средств необходима в связи с
существующей экономической ситуацией, нехваткой собственных
средств, почти полным отсутствием централизованного инвестирования,
относительной дороговизной банковских кредитов.
Наиболее остро проблема привлечения денежных средств стоит перед
акционерным обществом при учреждении, реорганизации или преобразовании.
В этом случае эмиссию используют для формирования
уставного капитала.
Привлечение денежных средств как цель эмиссии находит свое проявление
также при осуществлении инвестиционной деятельности акционерного
общества или расширении его производственно-хозяйственной деятельности.
Тогда эмиссию связывают либо с привлечением заемного капитала,
либо с увеличением уставного капитала.
Эмиссия ценных бумаг связана с первичным рынком. Она предполагает
привлечение денежных средств под ценные бумаги, выпускаемые
эмитентом. Но не нужно думать, что эмитент связан исключительно с
первичным рынком. Осуществляя эмиссию своих ценных бумаг, эмитент
должен не только поддерживать вторичный рынок, но и нести свои обязательства
перед новыми приобретателями его ценных бумаг (рис. 11).
Кто бы ни выступал в роли эмитента при эмиссии ценных бумаг, он
должен обеспечивать всех потенциальных покупателей необходимой
информацией о предстоящем выпуске. Прежде всего он должен сообщать
о виде выпускаемых ценных бумаг и объеме выпуска, имущественных
нравах, особенностях размещения и обращения.
Инвестором ценных бумаг может быть резидент или нерезидент,
физическое лицо или институциональный инвестор. Для эмитента наибольший интерес представляет институциональный инвестор, который
может приобрести больший объем выпускаемых ценных бумаг по сравнению
с отдельным физическим лицом.
Для России достаточно важно было привлечь нерезидентов как потенциальных
инвесторов. Нерезиденты рассматривались как наиболее
крупные покупатели, располагающие большими инвестиционными ресурсами.

Основная доля иностранного капитала предназначалась для
сектора государственных ценных бумаг (67% в 1997 г. и 61% в 1998 г.),
однако необходимо иметь в виду, что нерезидент никогда не будет патриотом
чужого рынка. При малейших признаках кризиса он станет сбрасывать
чужие ценные бумаги, что и показал российский кризис 1998 г.
При эмиссии ценных бумаг посредник выполняет роль андеррайтера,
т.е. берет на себя обязательства перед эмитентом по выпуску и размещению
ценных бумаг на согласованных условиях и за вознаграждение. В
международной практике андеррайтер выполняет следующие функции.
Анализ эмитента — оценка предложения эмитента, подтверждение
возможностей эмитента выполнить те имущественные права, которые
могут быть закреплены в выпускаемых ценных бумагах, оценка
рейтинга эмитента и его бумаг. Анализируя эмитента, андеррайтер может
определить его положение на рынке, в отрасли, к которой относится
эмитент, в экономике страны в целом.
Подготовка эмиссии — оказание помощи эмитенту при установлении
цели эмиссии, выборе типа ценных бумаг, подготовке проспекта
эмиссии, установлении связи эмитента с ключевыми инвесторами, регистрации
выпуска.
Размещение ценных бумаг — отчуждение ценных бумаг их первым
владельцам на основе заключения гражданско-правовых сделок на
согласованных с эмитентом условиях.
После рыночная поддержка — поддержка курса размещенных ценных
бумаг в течение года.
Аналитическая и исследовательская поддержка — контроль динамики
курса ценных бумаг, выявление факторов, оказывающих влияние
на курс.
Организация субандеррайтинга, или институционального размещения.
Если андеррайтер, выполняя свои рыночные функции, будет уверен
в том, что для компании и для рынка будет выгодно, чтобы компания
имела много акционеров, он может быть готов к тому, чтобы предложить
часть своих комиссионных другим, разделив с ними груз гарантийной
ответственности или, наоборот, заранее разместить (возможно, на условиях
«клобэк») часть акций в крупных инвестиционных организациях.
(«Клобэк» — это процесс, при котором финансовому институту предлагается
какое-либо число акций, но в случае, если публичный спрос на них
окажется выше предполагавшегося, часть акций забирается у этого института
обратно и направляется на удовлетворение публичного спроса.)
В мировой практике используются достаточно разнообразные условия
соглашений между эмитентом и андеррайтером. В российской практике
применяют следующие виды андеррайтинга:
• «на базе твердых обязательств», или «с полным финансовым участием
». В этом случае по условиям соглашения с эмитентом андеррайтер
несет твердые обязательства по выкупу всего выпуска по фиксированным
ценам с целью дальнейшей перепродажи привлеченным инвесторам,
принимая на себя тем самым финансовые риски размещения
ценных бумаг;
• «с частичным финансовым участием». По условиям соглашения
андеррайтер принимает на себя обязательства по выкупу части выпуска.
(Андеррайтинг с частичным финансовым участием может быть двух
видов: андеррайтер сразу определяет размер выкупаемой части выпуска
или берет на себя обязательство выкупить неразмещенную часть по
окончании срока размещения);
• «на базе лучших усилий», или «без финансовых обязательств». В
этом случае по условиям соглашения с эмитентом андеррайтер не несет
никаких обязательств по выкупу неразмещенной части выпуска. Тем
самым финансовые риски ложатся на эмитента. Нераспроданная часть
выпуска возвращается эмитенту. Обязательства андеррайтера ограничиваются
усилиями по размещению ценных бумаг, однако финансовой
ответственности за конечный результат андеррайтер не несет.
В мировой практике андеррайтинг для эмитента рассматривается как
определенная гарантия того, что в результате продажи выпускаемых
ценных бумаг он получит некую определенную сумму денег. Для мелких
эмитентов андеррайтинг позволяет избежать трудоемких процедур,
сопровождающих размещение ценных бумаг. Крупные эмитенты поручают
процедуру эмиссии крупным банкам, которые могут создавать
специальные синдикаты, занимающиеся размещением и выступающие
в качестве посредника между эмитентом и инвестором. Синдикаты в
этом случае представляют собой добровольное временное объединение
андеррайтеров без образования юридического лица, которое создается
для выполнения совместных обязательств в отношении конкретного
выпуска ценных бумаг. Синдикат организуется на договорных началах
на принципах разделения прибылей.
В мировой практике банк (фирма), входящий в состав синдиката,
может играть разные роли в эмиссионном процессе. Он может быть:
• ведущим .менеджером, тогда он объединяет других участников
синдиката и ведет все дела, связанные с обслуживанием конкретного
эмитента;
• андеррайтером; в этом случае банк не претендует на роль организатора,
он вкладывает свой капитал в синдикат для покупки определенной
части выпуска ценных бумаг с целью перепродажи;
• торговым агентом, когда банк не вкладывает свой капитал, а только
подбирает покупателей для размещаемых ценных бумаг.
Каждый из указанных участников синдиката имеет различную долю
в получаемой прибыли. Эта доля определяется вложенным капиталом и
выполняемыми функциями.
В мировой практике синдикаты действуют на основе раздельного и
нераздельного счета.
Первый принцип наиболее распространен. Он заключается в том, что
каждый член синдиката несет установленную ответственность за выпуск
ценных бумаг в пределах своего участия. Например, если участие
конкретного банка составляет 5%, то при выпуске акций на сумму
40 млн руб. он несет ответственность за продажу акций на 2 млн руб. и
не отвечает за другие непроданные акции.
Второй принцип чаще всего используется при выпуске государственных
или муниципальных ценных бумаг. Он заключаетсяв том, что
каждый член синдиката несет ответственность за свою долю и долю
других членов синдиката. Например, член синдиката вложил в него
10% капитала и взял на себя обязательства продать облигации на сумму
20 млн руб. при объеме эмиссии 200 млн руб. Если он продал свою
долю, а в целом неразмещенных облигаций осталось на 50 млн руб.,
то этот член синдиката будет нести ответственность за продажу облигаций
еще на 5 млн руб.
Эмитент может обратиться к одному андеррайтеру или объявить
конкурс андеррайтеров. В соответствии с этим выделяют:
• договорный андеррайтинг. При этой форме андеррайтинга ценовые
условия эмиссии (цена выпуска акций у эмитента, спрэд между
указанной ценой и ценой, по которой размещает эмиссию синдикат) устанавливаются
на основе переговоров между эмитентом и единственным
менеджером синдиката;
• конкурентный, или конкурсный, андеррайтинг. При таком виде андеррайтинга
подготовку эмиссии на конкурентных началах ведут несколько
андеррайтеров, каждый из которых формирует свои ценовые
условия (естественно, скрыто друг от друга). Эмитент выбирает андеррайтера
по конкурсу заявок на проведение андеррайтинга, обычно ориентируясь
на лучшие ценовые и иные условия.
Конкурентный андеррайтинг характерен при эмиссии государственных,
муниципальных ценных бумаг или при осуществлении эмиссии
крупными компаниями (ЛУКойл, РАО «ЕЭС России»). Для небольших
компаний чаще используется договорный андеррайтинг.
Посредник, выполняющий роль андеррайтера, берет на себя ответственность
за качество эмиссионного проспекта, и не только за его
полноту, но и за достоверность. В международной практике рынок,
закон и саморегулирование превращают андеррайтеров в самых строгих
оппонентов и экзаменаторов компаний в период подготовки к
выпуску ценных бумаг. Пройдя через «мелкое сито» андеррайтерско-
го анализа, проспекты эмиссии редко дают инвесторам повод для судебных
тяжб. Кроме того, они обязаны сертифицировать проспект
эмиссии, они могут использовать такое мощное дисциплинирующее
средство, как «эскрау», т.е. «арест» ценных бумаг или выручки
от их продажи до наступления какого-либо события или выполнения
какого-либо условия. «Эскрау» используется в случаях, когда
риск провала эмиссии или развала только что учрежденной компании
велик. Проводником в жизнь идеи эскрау должен быть андеррайтер.
«Эскрау» следует применять к венчурным компаниям, когда у них
нет ничего, кроме уставного капитала и проекта на бумаге. Таким образом
инвесторы при определенных условиях могут вернуть свои деньги,
не обращаясь в суд для доказательства вины эмитента.
В мировой практике вознаграждение, взимаемое андеррайтером с
эмитентов, колеблется от 1 до 7%. Причем в более развитых странах
вознаграждение выше.
В России за регистрацию выпускаемых ценных бумаг отвечает Федеральная
комиссия по рынку ценных бумаг (ФКЦБ). Она регистрирует
и ежегодно утверждает перечень органов, осуществляющих государственную
регистрацию выпусков ценных бумаг на территории Российской
Федерации (табл. 11).


Процедура эмиссии ценных бумаг акционерными обществами регламентируется:
Федеральным законом «Об акционерных обществах» (1995 г.);
Федераль}1ым законом «О рынке ценных бумаг» (1996 г.);
Федеральным законом «О защите прав и законных интересов инвесторов
на рынке ценных бумаг» от 5 марта 1999 г. № 46-ФЗ;
Инструкцией Центрального банка Российской Федерации № 8
«О правилах выпуска и регистрации ценных бумаг кредитными организациями
на территории Российской Федерации» (1996 г.);
«Стандартами эмиссии акций при учреж:дении акционерных обществ,
дополнительных акций, облигаций и их проспектов эмиссий»
(1998 г.) (далее — «Стандарты эмиссии»).
Эмиссия ценных бумаг связана с риском для эмитента. Наиболее
существенные виды риска следующие:
1) риск ликвидности:
• снижение цены размещения (эмиссионной стоимости);
• увеличение комиссионных андеррайтеру;
2) временной риск:
• упущено выгодное время для размещения (рынок не готов или «перегрет»);
3) риск платежа:
• затягивание оплаты ценных бумаг приобретателями;
• возможность их оплаты не только деньгами, но и другими ценностями;
4) операционный риск:
• отсутствие навыков у эмитента;
• неправильный выбор андеррайтера;
5) риск неразмещения:
• нет возможности разместить заявленный объем;
• не стоило устанавливать объем размещения, при котором эмиссия
считается состоявшейся.
КЛАССИФИКАЦИИ эмиссии
Для понимания сущности эмиссии, осуществляемой корпорациями,определения ее целей, порядка проведения и параметров важно
четко представлять себе отдельные виды (типы) эмиссии. Для этого
проводят классификацию эмиссий, выделяя следующие наиболее значимые
классификационные принципы:
• очередность проведения;
• форма осуществления;
• способ размещения ценных бумаг;
• форма существования выпускаемых ценных бумаг;
• характер владения;
• тип ценных бумаг.
В зависимости от очередности проведения эмиссию принято делить
на первичную и последующие (дополнительные).
Первичная эмиссия имеет место тогда, когда образуется акционерное
общество и необходимо сформировать уставный капитал. Порядок
проведения первичной эмиссии зависит от того, какой способ учредительства
законодательно закреплен в той или иной стране. В мировой
практике принято различать единовременное (симультанное) и постепенное
(суксессивное) учредительство.
Учредительство рассматривается как первоначальное вложение денежного
капитала в акции, т. е. покупка акций в соответствии с их номиналом.
Более простой формой учредительства считается единовременное.
При этой форме акционерное общество считается учрежденным только
после того, как все выпущенные им акции полностью оплачены. В этом
случае уставный капитал образуется за счет взносов учредителей, переданных
в оплату акций общества. Как правило, государственная регистрация
общества осуществляется после оплаты его учредителями
определенной части уставного капитала, которая как бы служит гарантией
организации и функционирования общества. Оставшаяся часть
уставного капитала, как правило, должна быть оплачена в течение определенного
законодательством срока.
Именно такой порядок учредительства принят в России. Согласно
Федеральному закону «Об акционерных обществах» (ст. 34) акции акционерного
общества при его учреждении должны быть полностью оплачены
в течение срока, указанного в уставе общества. При этом не
менее 50% уставного капитала общества должно быть оплачено к моменту
его регистрации, а остальная часть — в течение одного года с
момента регистрации.
Использование подобного подхода направлено прежде всего на защиту
интересов контрагентов общества, поскольку оплаченный уставный
капитал в этом случае является гарантией исполнения обществом
своих обязательств (ст. 165 и 166).
Закон устанавливает (ст. 26) минимальный уставный капитал для
государственной регистрации (100 МРОТ для ЗАО и 1000 МРОТ для
ОАО) и обязательное указание в уставе на объем размещенных и объявленных
акций (ст. 27).
При постепенном учредительстве акционерное общество считается
учрежденным сразу же после его государственной регистрации независимо
от того, полностью или нет оплачен уставный капитал общества. Учредители
общества после его государственной регистрации привлекают
инвесторов для оплаты уставного капитала. Постепенное учредительство
получило распространение в практике США и Великобритании.
Необходимо подчеркнуть, что первичная эмиссия касается исключительно
акций и имеет особое значение для акционерных обществ.
Последующие эмиссии преследуют более широкий круг целей, так
как они связаны с финансированием инвестиционной деятельности эмитента
и расширением его хозяйственной деятельности. К последующим
эмиссиям эмитент прибегает тогда, когда недостаточно внутренних
накоплений (собственных средств).
В России последующие эмиссии используются пока редко по следующим
причинам:
• отсутствие опыта по эмиссии собственных ценных бумаг;
• слабое знание конъюнктуры рынка и механизма его функционирования;
• желание избежать издержек, сопровождающих эмиссию;
• преувеличение рисков, связанных с эмиссией ценных бумаг;
• стремление избежать размывания капитала и привлечения к управлению
новых акционеров.
Если первичная эмиссия связана исключительно с привлечением денег,
необходимых для формирования уставного капитала, то последующие
эмиссии могут использоваться эмитентом не только для привлечения
денежных средств, но и для решения других целей.
В зависимости от формы осуществления эмиссию можно разделить
на открытую и закрытую.
Открытую эмиссию чаще называют публичной, так как она предполагает
предложение выпускаемых ценных бумаг неограниченному кругу
потенциальных инвесторов и публичное объявление о предполагаемой
эмиссии, сопровождаемое обязательством о раскрытии информации.
Закрытая эмиссия считается частной, или приватной, так как выпускаемые
ценные бумаги предлагаются заранее определенному кругу
инвесторов, поэтому при ней не требуется, как правило, принимать на
себя обязательства по раскрытию информации.
Независимо от формы акционерного общества (открытого или закрытого)
первичная эмиссия может осуществляться только в закрытой форме.
Указанные формы эмиссии различаются кругом инвесторов, привлекаемых
к приобретению ценных бумаг, а также составом обязательств,
принимаемых на себя эмитентом при выпуске ценных бумаг.
Выбор той или иной формы эмиссии имеет большое значение для эмитента
при привлечении денег под свои финансовые обязательства, поэтому
важно определить достоинства и недостатки этих форм эмиссии.
К достоинствам открытой эмиссии можно отнести, во-первых, широкие
возмож:ности для привлечения дополнительных финансовых ресурсов. Это
напрямую зависит от количества возможных потенциальных инвесторов.
При открытом размещении их количество не ограничено, а при закрытом
оно заранее определено. Особое значение этот фактор приобретает при необходимости
финансирования крупномасштабного проекта.
Во-вторых, обеспечение ликвидности ценных бумаг. С точки зрения
эмитентов одним из факторов привлекательности ценной бумаги является
степень ее ликвидности, которая определяет возможность для него
быстро и без потерь мобилизовать денежные ресурсы в обмен на выпускаемые
ценные бумаги. Естественно, что владелец свободно обращающихся
акций находится в более предпочтительном положении, чем учредитель
закрытого акционерного общества. Помимо этого эмитенты,
сформировавшие ликвидный рынок своих ценных бумаг, имеют возможность
более мобильно действовать на фондовом рынке, т.е. в относительно
короткие сроки разместить новые выпуски ценных бумаг по приемлемой
цене.
Несмотря на существенные преимущества, открытое размещение
акций имеет и негативные стороны:
• потеря контроля над управлением компанией путем размывания
ее акционерного капитала. На сегодняшний день для многих российских
компаний это тот фактор, который во многом тормозит развитие как
данных конкретных компаний, так и всего фондового рынка;
• возрастание издержек по обслуживанию корпоративного капитала
и поддержанию компанией курса своих акций на вторичном рынке —
проявляется в необходимости нести издержки по составлению ежеквартальных
и годовых отчетов о финансово-хозяйственной деятельности.
По способу размещения выделяют четыре вида эмиссии:
• распределение среди учредителей при первичной эмиссии;
• распределение среди акционеров при последующих эмиссиях;
• подписка;
• конвертация.
Распределение как вид эмиссии имеет место только для акций. При
этом распределение акций среди учредителей при первичной эмиссии производится
согласно письменному договору, заключаемому учредителями
между собой (ст. 9 Федерального закона «Об акционерных обществах»).
Распределение акций среди акционеров происходит при последующих
эмиссиях, когда выпускаются дополнительные акции. Этот вид
эмиссии осуществляется за счет собственных средств, поэтому он не
связан с дополнительным привлечением денежных ресурсов. Для акционеров
это бесплатное получение акций дополнительно к тем, которыми
они уже владеют. Поэтому данный вид эмиссии чаще называют премиальной,
или бонусной, эмиссией. Такая эмиссия увеличивает платный капитал,
так как эмитент обязан выплачивать одинаковые дивиденды как
по акциям, за которые инвестор заплатил деньги, так и по акциям, которые
тот получил бесплатно в виде премии.
Эмиссия в порядке размещения среди акционеров возможна только
за счет:
• эмиссионного дохода;
• остатков фондов специального назначения по итогам предыдущего
года;
• нераспределенной прибыли;
• средств от переоценки основных фондов.
Распределение акций среди акционеров должно охватывать всех акционеров,
которые получают распределяемые акции пропорционально числу
принадлежащих им акций. Поэтому их доля в уставном капитале не меняется,
хотя число акций и их номинальная стоимость увеличиваются.
Подписка как вид эмиссии отличается тем, что она осуществляется
на возмездной основе, так как предполагает заключение договоров купли-
продажи между инвестором и эмитентом или между инвестором и
андеррайтером, реализующим ценные бумаги эмитента по его поручению.
Подписка делится на открытую и закрытую, так как зависит от
формы осуществления эмиссии. Как правило, при открытой подписке
эмитент привлекает к эмиссии андеррайтера.
Эмиссия в порядке конвертации представляет собой замену ценных
бумаг одних видов на другие на предлагаемых эмитентом условиях.
Возможны следующие разновидности конвертации:
• выпуск ценных бумаг, конвертируемых в акции;
• выпуск ценных бумаг, конвертируемых в облигации;
• конвертация акций в акции с большим или меньшим номиналом в
соответствии с решением акционерного общества;
• конвертация при консолидации и дроблении;
• конвертация акций в акции с иными имущественными правами.
При эмиссии в порядке конвертации эмитент устанавливает порядок
и условия конвертации. При этом определяется, в каком порядке
она будет осуществляться: по требованию владельцев или при наступлении
срока, определенного конкретной датой или истечением периода.
При э.миссии облигаций могут быть использованы только подписка
и конвертация, в то время как эмиссия акций может осуществляться
любым способом.
В России из указанных видов эмиссии наибольшее распространение
получили распределение среди учредителей и подписка. В последнее
время начинает проявляться интерес к конвертации, особенно к выпуску
облигаций, конвертируемых в обыкновенные акции. Распределение
среди акционеров проводится пока в том случае, когда происходит переоценка
основных фондов.
По форме существования выпускаемых ценных бумаг выделяют эмиссию
документарных и бездокументарных ценных бумаг.
Эмитент имеет право выбора любого вида эмиссии. Эмиссия без
документарных ценных бумаг находит все большее распространение в
связи с развитием самого рынка ценных бумаг, а также особенностей
его инфраструктуры.
При эмиссии документарных ценных бумаг эмитент обязан в соответствии
с нормативными документами выпускать сертификаты ценных
бумаг. Однако в пределах одного выпуска эмитент вправе выбрать
только одну форму ценных бумаг.
По характеру распоряжения эмитент вправе выпускать как именные,
так и предъявительские ценные бумаги. При именной форме информация
о владельцах должна быть доступна эмитенту в форме реестра владельцев
ценных бумаг, переход прав на которые требует идентификации
владельца. Если ценная бумага эмитирована на предъявителя, то
переход прав на нее и осуществление закрепленных ею нрав не требуют
идентификации владельца.
В зависимости от целей, которые преследует эмитент при эмиссии
ценных бумаг, он может выпускать различные типы ценных бумаг: ак-
ции обыкновенные или привилегированные, облигации, конвертируемые
и производные ценные бумаги. Эмитируемые им ценные бумаги могут
обладать разным набором прав и различными инвестиционными характеристиками.
Во многом это определит как параметры, так и условия
привлечения капитала эмитентом. В этой связи для эмитента становится
важным процесс конструирования ценных бумаг и формирования их
инвестиционных характеристик.
ОРГАНИЗАЦИЯ и ПОРЯДОК эмиссии ЦЕННЫХ БУМАГ
Для того чтобы осуществить эмиссию ценных бумаг,эмитент разрабатывает концепцию эмиссии. Безусловно, она будет специфична
для каждого отдельного эмитента, но вместе с тем можно установить
обязательные вопросы, которые должны быть затронуты при
ее разработке.
К ним следует отнести:
• установление цели эмиссии в соответствии с тем местом, которое
занимает эмитент в отрасли и экономике;
• расчет ее объема;
• выбор вида и типа (категории, разновидности) выпускаемых ценных
бумаг на основе сравнительной характеристики их инвестиционных
свойств;
• анализ состояния рынка ценных бумаг и возможностей размещения
выпускаемых ценных бумаг;
• анализ возможных моделей конструирования ценных бумаг;
• выбор формы эмиссии;
• обоснование способа эмиссии;
• установление формы существования и характера распоряжения имущественными
правами, закрепленными в выпускаемых ценных бумагах;
• расчет эмиссионной цены или порядка ее установления;
• выбор андеррайтера;
• определение затрат, связанных с предстоящей эмиссией;
• анализ эффективности эмиссии.
Определение цели эмиссии должно вытекать из концепции развития
эмитента и того места, которое он занимает или планирует занять в
отрасли. Это позволит эмитенту решить проблему конкурентоспособности,
а также установить объем необходимого капитала и его структуру.
В конечном счете эмитент определит тип выпускаемых ценных
бумаг' и необходимый объем эмиссии.
Устанавливая объем эмиссии, эмитент должен учитывать объективные
ограничения. К их числу можно отнести сохранение в результате
дополнительной эмиссии закрепленной доли государства или муниципального
образования, а также отдельных акционеров в уставном капитале
общества-эмитента, если она равна или выше 25 %. Дополнительный
выпуск акций возможен только в том случае, если в уставе есть
разделение на размещенные и объявленные акции, объем их эмиссии должен
соответствовать указанному в уставе. Номинальная стоимость всех
обыкновенных акций (размещенных и выпущенных дополнительно) должна
быть одинаковой. Привилегированные акции в уставном капитале
по номинальной стоимости не должны превышать 25%. Объем выпуска
акций на предъявителя должен соответствовать установленному ФКЦБ
соотношению к величине оплаченного уставного капитала. Уставный
капитал не может превышать чистые активы акционерного общества, а
объем выпуска облигаций не может превышать размер уставного капитала
или величину обеспечения, предоставленного третьим лицом.
Выбирая те или иные бумаги, которые могут выступить в качестве
объекта эмиссии, следует иметь в виду, что это касается только эмиссионных
ценных бумаг.
Согласно Федеральному soKotty «О рынке ценных бумаг» к эмиссионным
ценным бумагам относят те, которые размещаются отдельными
выпусками и имеют одинаковый объем прав независимо от срока их
приобретения, т.е. применительно к акционерному обществу эмиссионными
ценными бумагами можно считать акции и облигации.
Выбор той или иной ценной бумаги для эмитента в основном будет
зависеть от цели эмиссии. Акционерное общество может выпускать разные
типы (разновидности) акций и облигаций в зависимости от объема
имущественных прав, закрепляемых за той или иной ценной бумагой
(табл. 12).
Поэтому эмитент имеет возможность их комбинировать. Заложенные
имущественные права будут не только привлекать инвесторов, но
и накладывать определенные обязанности на эмитента, так как он принимает
на себя обязательства по выплате дивидендов или гарантированного
дохода по облигациям.
При выпуске ценных бумаг эмитент должен анализировать рынок,
на котором предстоит размещать его бумаги. Поэтому эмитент должен
производить экономические расчеты потребности в денежных средствах
как прогнозного характера, так и основанные на его конкретных потребностях
в ресурсах для осуществления инвестиционного проекта с
учетом эффективности их использования и сроков окупаемости.

Анализ рынка ценных бумаг позволит эмитенту решить и другие вопросы, входящие в эмиссионную концепцию.
После разработки концепции эмитент приступает непосредственно к процедуре эмиссии.
ПРОЦЕДУРА эмиссии
Под процедурой эмиссии ценных бумаг следует пониматьвыполнение эмитентом установленных действий, а также подготовку
специальных документов, которые необходимы для признания
эмиссии состоявшейся. Отдельные действия эмитента называют этапами
эмиссии. Количество этапов и их содержание зависят от двух факторов:
1) формы эмиссии;
2) требуется или нет подготовка проспекта эмиссии.
Проспект эмиссии необходим независимо от ее параметров, если
эмитентом выбрана открытая форма эмиссии, а также если при закрытой
эмиссии число потенциальных покупателей более 500 и объем эмиссии
превышает 50 000 МРОТ.
В настоящее время этапы эмиссии определяются Федеральным законом
«О рынке ценных бумаг» и «Стандартами эмиссии». При открытой
эмиссии и при подготовке проспекта эмиссии таких этапов может быть
восемь (табл. 13).

При закрытой эмиссии, когда не требуется выпуск проспекта эмиссии,
количество этапов уменьшается за счет того, что в этом случае не
нужно готовить проспект, раскрывать информацию, содержащуюся как
в проспекте эмиссии, так и в отчете об итогах эмиссии.
Содержание самих этапов сводится к следующему.
I этап. Принятие решения о выпуске цепных бумаг. Решение — это
специальный документ, который составляет эмитент. Цель этого документа
— зафиксировать те имущественные права, которые эмитент
закладывает в выпускаемые ценные бумаги. Решение принимается
в при:
• учреждении;
• росте уставного капитала путем размещения дополнительных акций
или увеличения их номинальной стоимости;
• конвертации одних ценных бумаг в другие;
• уменьшении уставною капитала путем снижения номинальной стоимости
акций;
• консолидации или дроблении акций;
• при выпуске облигаций;
• при выпуске производных ценных бумаг.
Принятое решение о выпуске ценных бумаг утверждается советом
директоров (органом, который по законодательству выполняет эти функции)
в срок не позднее шести месяцев с момента принятия решения об
их размещении. В принятом документе должна найти отражение следующая
информация:
О вид выпускаемых ценных бумаг (категория и тип для акций, серия
и транши для облигаций);
О форма выпуска ценных бумаг (документарная или бездокументарная);
О наличие или отсутствие обязательного централизованного хранения;
О номинальная стоимость;
О права владельца;
О количество ценных бумаг данного выпуска;
О порядок размещения (способ, сроки, цена или порядок ее установления,
условия и порядок оплаты, доля, при размещении которой эмиссия
цепных бумаг будет считаться состоявшейся, а также порядок возврата
средств, переданных в их оплату, если выпуск будет признан несостоявшимся).
В ходе принятия решения о выпуске следует иметь в виду, что эмитент
вправе выпускать ценные бумаги как в документарной, так и бездокументарной
форме.
При этом форма выпуска должна быть однозначно определена в учредительных документах и (или) в решении о выпуске
ценных бумаг, а также в проспекте эмиссии ценных бумаг. Невыполнение
эмитентом этих требований является основанием для отказа в регистрации
выпуска ценных бумаг. Форма эмиссионных ценных бумаг может
быть изменена по решению органа управления эмитента, который принял
решение о выпуске ценных бумаг. При этом форма выпуска может быть
изменена только с согласия всех владельцев ценных бумаг данного выпуска
и после регистрации такого решения в уполномоченном государственном
органе.
В решении не могут предусматриваться привилегии одним инвесторам
в ущерб других. Привилегии могут быть предоставлены только
акционерам данного эмитента, владеющим и голосующими акциями, и
ценными бумагами, конвертируемыми в голосующие акции. Для них
цена размещения может быть установлена ниже на 10%, чем цена размещения,
установленная для других.
Кроме того, эмитент вправе включить в решение о выпуске ограничения:
• касающиеся числа акций или номинальной стоимости акций, принадлежащих
одному акционеру;
• на приобретение его ценных бумаг нерезидентами.
Если выпуск ценных бумаг осуществляется в порядке закрытой подписки,
то в решении о выпуске определяется круг лиц, среди которых
эмитент будет размещать ценные бумаги.
Если выпуск ценных бумаг происходит в порядке распределения среди
акционеров, то обязательно указывается источник, за счет которого
увеличивается уставный капитал.
II этап. Подготовка проспекта эмиссии. Проспект эмиссии составляется
при распределении акций среди учредителей и акционеров, при
конвертации и закрытой подписке, если число потенциальных приобретателей
превышает 500 и (или) объем эмиссии (номинальная стоимость
выпуска) превышает 50 000 МРОТ, а также при открытой
подписке.
Проспект эмиссии включает пять разделов:
А — данные об эмитенте;
Б данные о финансовом положении эмитента;
В — сведения о предыдущих выпусках ценных бумаг;
Г — сведения о размещаемых ценных бумагах;
Д — дополнительная информация.
Раздел А. Наиболее важными в данном разделе являются сведения
об учредителях эмитента, структуре и органах управления, о специализации
или основной выпускаемой продукции, о наличии филиалов
или дочерних организаций, об аффилированных лицах эмитента.
В этом разделе указываются крупные акционеры, владеющие 5% голосующих
акций и более, а также те юридические лица, в которых эмитент
признается крупным акционером, т.е. владеет 5% голосующих акций
и более.
Раздел Б. Здесь содержится характеристика бухгалтерских балансов
эмитента за прошедшие три года или за каждый отчетный период,
если эмитент существует менее трех лет. Для этого раздела наиболее
важными показателями считаются такие, как формирование уставного
капитала и резервного фонда, прибыль и направления ее
использования, задолженности эмитента, в том числе по платежам в
бюджет.
В этом разделе указывается доля государства (муниципального образования)
в уставном капитале эмитента, наличие «золотой акции».
Приводятся также сведения об объявленных и размещенных акциях каждой
категории (типа) и их номинальная стоимость. Раздел Б может быть
опущен, если акционерное общество создается вновь, однако если оно
создается в ходе реорганизации, то этот раздел проспекта эмиссии сохраняется.
Раздел В содержит данные, характеризующие предшествующие выпуски,
каждый в отдельности. Они соответствуют той информации,
которая отражается в решении о выпуске, а также указываются даты
начала и окончания размещения, орган, который проводил регистрацию
выпуска, состояние акций (облигаций) выпуска, рыночная информация
о ценных бумагах эмитента.
Раздел Г. В нем приводятся сведения о размещаемых ценных бумагах
отдельно по акциям и облигациям. В этом разделе повторяется информация,
содержащаяся в решении о выпуске. Кроме того, указываются
любые ограничения на эмиссию акций, а также доля акций, при
неразмещении которой выпуск акций признается несостоявшимся. Этот
раздел также включает порядок хранения и учета прав, порядок принятия
эмитентом решения о заключении крупной сделки и сделки, в которой
имеется заинтересованность. Здесь же приводятся сведения об андеррайтере
и о существенных условиях договора между андеррайтером
и эмитентом. Эмитент в этом разделе характеризует использование
средств от размещения ценных бумаг, порядок налогообложения доходов
по ценным бумагам.
Раздел Д включает ограничения в обращении ценных бумаг, особенности
и условия выпуска, основные места (место) продажи размещаемых
ценных бумаг путем подписки или обмена при конвертации.
III этап. Независимо от цели и вида эмиссии (открытая или закрытая)
выпускаемые эмитентом бумаги подлежат обязательной регистрации.
Под государственной регистрацией понимается регистрация:
• утвержденного решения о выпуске ценных бумаг;
• подготовленного проспекта эмиссии в том случае, если выпуск ценных
бумаг требует его составления;
• самих ценных бумаг.
Законодательно устанавливается срок, в течение которого эмитент
должен представить ценные бумаги для регистрации. Эмитент представляет
необходимые документы в течение одного месяца после государственной
регистрации как юридического лица, когда происходит распределение
акций среди учредителей. В такой же срок после принятия
решения о выпуске эмитент представляет документы на регистрацию
при выпуске акций или облигаций, конвертируемых в акции открытым
акционерным обществом. В остальных случаях документы на государственную
регистрацию должны быть представлены не позднее трех
месяцев с даты утверждения решения об их выпуске.
Законодательно устанавливается перечень документов, необходимых
для регистрации, а также основания для отказа в регистрации.
Регистрирующий орган проводит регистрацию или принимает мотивированное
решение об отказе в государственной регистрации не позднее
30 дней с даты представления эмитентом документов для регистрации.
Основанием для отказа в регистрации может быть только одно из
следующих условий:
1) нарушение эмитентом требований законодательства о выпуске и
обращении ценных бумаг;
2) несоответствие представленных документов и информации, которая
в них содержится, требуемой по закону (неполный перечень документов,
недостаточная информация в проспекте эмиссии и т.д.);
3) нарушение эмитентом установленных требований (ложная информация
в проспекте эмиссии, отсутствие указаний на форму выпуска
и т.д.).
4) неполная уплата налога при эмиссии ценных бумаг (налог составляет
0,8% объявленного объема эмиссии).
Если регистрирующий орган отказывает эмитенту в государственной
регистрации, то он не позднее трех дней с даты принятия такого
решения должен отправить уведомление об отказе с обоснованием отказа.
Если принимается решение о регистрации выпуска, то эмитент получает
уведомление регистрирующего органа о регистрации выпуска
ценных бумаг и государственном регистрационном номере этого выпуска
ценных бумаг, который должен упоминаться при всех сделках с
ними.
Например, Московское региональное отделение ФКЦБ использует
следующую схему регистрационного номера. Для обозначения номера
используется девять знаков (разрядов):
X, — категория и тип ценной бумаги;
цифры 1, 2, 3 используются для обозначения акций: 1 — обыкновенные,
2 — привилегированные; 3 — конвертируемые; цифры 4 и 5 — для
обозначения облигаций: 4 — необеспеченные; 5 — конвертируемые;
Хт и Хз используются для обозначения очередности (порядкового номера)
выпуска данного вида ценной бумаги;
Х4, Xj, Х(;, Ху, Xjj повторяют уникальный код эмитента, который он получил
при государственной регистрации выпуска ценных бумаг;
Хц указывает на принадлежность эмитента и обозначается буквой
латинского алфавита: А указывает, что эмитент ~ - открытое акционерное
общество, Н - закрытое акционерное общество, R — иная организация.
При регистрации регистрирующие органы несут ответственность за
полноту сведений, содержащихся в решении о выпуске и проспекте эмиссии,
но не за их достоверность. За достоверность сведений отвечает эмитент.
До государственной регистрации эмитент не может совершать никаких
действий по размещению выпускаемых ценных бумаг (реклама,
подготовка и совершение сделок и т.д.). В порядке исключения эмитенту
до регистрации выпуска разрешается распределить акции среди учредителей
и заключить договор с андеррайтером.
IV этап. Если эмитент принял решение о выпуске документарных
ценных бумаг, то сертификат рассматривается в качестве документа,
удостоверяющего права, закрепленные ценной бумагой в том объеме,
в котором они установлены решением о выпуске ценных бумаг. Поэтому
сертификат должен содержать те же данные, что и решение. За
соответствие этих данных отвечает эмитент. Сертификат должен содержать
тс же реквизиты, что и ценная бумага. К обязательным реквизитам
сертификата именной ценной бумаги относится имя (наименование)
владельца. Эмитент может одним сертификатом удостоверять
права на одну, несколько или на все выпущенные эмиссионные ценные
бумаги, имеющие один номер. Однако одна эмиссионная ценная бумага
может иметь только один сертификат. При выпуске документарных
ценных бумаг эмитент имеет право устанавливать или не устанавливать
обязательное централизованное хранение сертификатов.
При обязательном централизованном хранении эмитент определяет депозитарий,
которому передается глобальный сертификат (один на весь выпуск),
а на руки владельцам сертификаты не выдаются. Обязательное
централизованное хранение может использоваться эмитентом только в
том случае, если ценные бумаги имеют одну и ту же форму выпуска,
т.е. НС допускается, например, обязательное централизованное хранение
для акций акционерных обществ в документарной и бездокументарной
формах.
Если эмитент не устанавливает обязательного централизованного
хранения, то владелец, получив сертификат, может передать его на хранение
в депозитарий на общих условиях.
При открытой (публичной) эмиссии, а также при закрытой эмиссии,
которая сопровождается выпуском проспекта эмиссии, эмитент
обязан обеспечить всем потенциальным покупателям равный доступ
к информации, которая может повлиять на принятие решения о приобретении
его ценных бумаг. Эта информация носит название раскрываемой
информации. Она должна быть доступна до приобретения
ценных бумаг.
Прежде всего эмитент обязан после государственной регистрации
опубликовать информацию о регистрации выпуска в средствах массовой
информации тиражом не менее 50 тыс. экземпляров или в Вестнике,
выпускаемом ФКЦБ. Обязательно должна быть представлена следующая
информация:
• наименование эмитента;
• вид и форма размещаемых ценных бумаг;
• количество ценных бумаг, подлежащих размещению;
• сроки и условия размещения;
• дата и номер государственной регистрации выпуска ценных
бумаг;
• место (места) и порядок ознакомления с проспектом эмиссии.
Кроме того. Федеральным законом «О рынке ценных бумаг» установлено,
что эмитент раскрывает информацию о своих ценных
бумагах и своей финансово-хозяйственной деятельности в двух
формах:
Не позднее чем через 30 календарных дней после окончания квартала
представляет в регистрируемый орган ежеквартальный отчет.
Не позднее чем через пять дней после возникновения публикует
сообщение о существенных фактах, затрагивающих финансово-хозяйственную
деятельность эмитента.
Ежеквартальный отчет эмитента должен содержать следующую информацию:
• КОДЫ, присвоенные регистрирующим органом сообщениям о раскрытых
в отчетном квартале существенных фактах, затрагивающих
финансово-хозяйственную деятельность эмитента;
• данные о финансово-хозяйственной деятельности эмитента (бухгалтерский
баланс, счета прибылей и убытков на конец отчетного квартала);
• факты, повлекшие увеличение чистой прибыли или убытков эмитента
более чем на 20% в течение отчетного квартала по сравнению с
предыдущим кварталом;
• данные о формировании и использовании резервного и других специальных
фондов эмитента.
К существенным фактам относятся следующие сведения:
• изменения в списке лиц, входящих в органы управления эмитента
(за исключением общего собрания участников в ООО и общего собрания
акционеров в акционерных обществах);
• изменения в размере участия лиц, входящих в органы управления
эмитента, в уставном капитале эмитента, а также его дочерних и зависимых
обществ, участие этих лиц в капитале других юридических лиц,
если они владеют более чем 20% указанного капитала;
• изменения в списке владельцев (акционеров) эмитента, владеющих
20% уставного капитала эмитента и более;
• изменение в списке юридических лиц, в которых данный эмитент
владеет 20% уставного капитала и более;
• реорганизация эмитента, его дочерних и зависимых обществ;
• начисление и (или) выплата доходов по ценным бумагам эмитента;
• погашение ценных бумаг;
• выпуски ценных бумаг, приостановленные или признанные несостоявшимися;
• появление в реестре эмитента лица, владеющего более чем 25%
его эмиссионных ценных бумаг любого отдельного вида.
V этап. Размещению подлежат только те эмиссионные ценные бумаги,
которые прошли регистрацию в установленном законом порядке.
Таким образом, эмитент может начинать размещение ценных бумаг только
после их регистрации и не ранее чем через две недели после раскрытия
информации о государственной регистрации выпуска и обеспечения
всем потенциальным приобретателям возможности доступа к информации,
которая отнесена к раскрываемой.
Если для эмиссии ценных бумаг выбрана подписка или конвертация
их в акции или облигации, то размещение должно быть завершено в срок,
указанный в зарегистрированном решении, который не может превышать
одного года со дня утверждения решения о выпуске ценных бумаг.
Распределение акций среди акционеров и конвертация в акции с большей
(меньшей) номинальной стоимостью, в акции с иными правами, при
дроблении или консолидации завершаются в сроки, установленные законодательством
Российской Федерации.
В ходе размещения ценных бумаг эмитент не может разместить больше
указанного в проспекте эмиссии количества. В процессе эмиссии он может
изменить цену размещения, но не может предоставлять преимущество приобретения
ценных бумаг одним инвесторам перед другими. (Это ограничение
не применяется при эмиссии государственных ценных бумаг; при предоставлении
акционерам преимущественного права выкупа нового выпуска
цепных бумаг в количестве, пропорциональном числу принадлежащих им
акций в момент принятия решения об эмиссии; при введении эмитентом
ограничений на приобретение ценных бумаг нерезидентами.)
Выпускаемые эмитентом акции и облигации должны размещаться
по рыночной цене. При этом цена акции не может быть ниже их номинальной
стоимости.
Эмитент может проводить размещение собственными силами или
привлекать к этому андеррайтера.
В ходе размещения регистрирующий орган может приостановить
эмиссию при выявлении нарушений установленного порядка. Для возобновления
размещения требуется специальное разрешение ФКЦБ.
При размещении ценных бумаг возможны крупные сделки или сделки,
в совершении которых имеется заинтересованность. Для заключения
таких сделок необходимо решение о согласии, которое принимается
до совершения такой сделки в соответствии с Федеральным законом «Об
акционерных обществах» и «Стандартами эмиссии». При этом решение
о согласии на совершение крупной сделки, связанной с размещением
обыкновенных акций или привилегированных акций, конвертируемых
в обыкновенные, составляющих от 25 до 50% ранее размешенных акций,
принимается советом директоров единогласно. Если единогласия
нет, то вопрос выносится на общее собрание акционеров, которое принимает
решение о согласии на совершение крупной сделки, составляющей
свыше 50% ранее размешенных акций.
Реализация выпускаемых акций может происходить следующим образом:
Прием от акционеров в установленном порядке взносов в уставный
капитал (взносы могут быть в виде наличных денежных средств,
материальных ценностей, иностранной валюты, нематериальных активов,
ценных бумаг, эмитированных третьими лицами).
Продажа акций (заключение эмитентом с покупателями договоров
купли-продажи акций на оговоренное число акций).
Переоформление ранее внесенных паев в акции (при преобразовании,
например, паевого банка в акционерный).
Капитализация собственных средств с распределением соответствующего
количества акций среди акционеров.
Замена конвертируемых ценных бумаг на объявленные акции (привилегированные
или обыкновенные).
VI этап. Отчет об итогах выпуска ценных бумаг представляется
после завершения размещения. Окончанием размещения считается:
• наступление указанного в решении срока окончания размещения;
• истечение одного года с даты утверждения решения о выпуске ценных
бумаг;
• дата последней сделки с размещаемыми ценными бумагами.
Эмитент должен представить отчет об итогах выпуска в регистрирующий
эмиссию орган не позднее чем через 30 дней после завершения
размещения. (Регистрация отчета об итогах выпуска акций, распределяемых
среди учредителей при образовании акционерного общества,
осуществляется одновременно с государственной регистрацией выпуска
этих акций.)
В отчете об итогах выпуска должна быть отражена следующая информация:
Даты начала и окончания размещения. Для распределения среди
учредителей и акционеров — дата распределения; при подписке - фактические
начало и окончание размещения; при конвертации дата фактической
конвертации или срок, в течение которого она была фактически
осуществлена.
Номинальная стоимость каждой ценной бумаги выпуска.
Фактическое количество размещенных ценных бумаг. При распределении
среди учредителей и акционеров — количество фактически
распределенных акций; при подписке отдельно указывается количество
фактически размещенных ценных бумаг, оплачиваемых денежными средствами
в рублях, иностранной валюте и иным имуществом; при конвертации
— количество ценных бумаг, фактически размещенных путем
конвертации в них ценных бумаг каждого вида.
Цена или цены размещения с указанием количества ценных бумаг,
распределяемых по каждой цене размещения.
Общий объем поступлений за размещенные ценные бумаги по видам
поступивших средств.
Если была предусмотрена доля акций, при неразмещении которой
выпуск акций признается несостоявшимся, то указывается такая
доля.
Доля размещенных и неразмещенных ценных бумаг выпуска (в
процентах от общего количества ценных бумаг выпуска).
Сумма эмиссионного дохода.
Сведения о крупных сделках и сделках, в совершении которых
имеется заинтересованность.
1 Сведения об акционерах, владеющих не менее чем 2% голосующих
акций общества, а также о руководителях акционерного общества
и принадлежащих им акциях.
Если в ходе размещения оплата ценных бумаг производилась в неденежной
форме, то одновременно с отчетом об итогах выпуска представляется
заключение независимого оценщика о стоимости имущества,
внесенного в оплату ценных бумаг.
Регистрация отчета регистрирующим органом должна быть проведена
в течение двух недель с даты представления отчета эмитентом.
При регистрации отчета эмиссия может быть признана несостоявшейся.
Это происходит в том случае, если эмитенту отказано в регистрации
или в случае неразмещения предусмотренной обязательной доли размещения
акций, а также в случае неразмещения ни одной ценной бумаги
выпуска.
Если эмиссия признается несостоявшейся, то государственная регистрация
выпуска аннулируется, а эмитент должен привести все в исходное
положение, т.е. все ценные бумаги данного выпуска подлежат
возврату эмитенту, а средства, полученные эмитентом, должны быть
возвращены владельцам.
Все издержки, связанные с выпуском эмиссионных ценных бумаг,
который признан несостоявшимся, и с возвратом средств владельцам,
относятся за счет эмитента.
В случае нарушения, выражающегося в выпуске ценных бумаг в
обращение сверх объявленного в проспекте эмиссии, эмитент обязан
обеспечить выкуп и погашение ценных бумаг, выпущенных в обращение
сверх количества, объявленного к выпуску.
Если эмитент в течение двух месяцев не обеспечит выкуп и погашение
ценных бумаг, выпущенных в обращение сверх количества, объявленного
к выпуску, то ФКЦБ вправе обратиться в суд о взыскании
средств, неосновательно полученных эмитентом.
VII этап. Эмитент должен представить отчет об итогах выпуска общему
собранию акционеров, на котором он должен быть утвержден.
Кроме того, эмитент раскрывает информацию о завершении размещения
в установленном порядке.
VIII этап. После регистрации отчета об итогах выпуска дополнительных
акций, размещаемых путем подписки, в устав акционерного
общества вносятся изменения, связанные с:
1) увеличением уставного капитала на номинальную стоимость фактически
размещенных дополнительных акций;
2) увеличением числа размещенных акций соответствующих категорий
(типов);
3) уменьшением числа объявленных акций соответствующих категорий
(типов).
Основанием для внесения изменений в устав служат:
• решение об увеличении уставного капитала путем размещения дополнительных
акций;
• зарегистрированный отчет об итогах выпуска дополнительных
акций.
ОСНОВНЫЕ ОПРЕДЕЛЕНИЯ
Эмиссия — установленная законом последовательность действий
эмитента по размещению эмиссионных ценных бумаг, т.е. действия,
которые охватывают подготовку к выпуску, сам выпуск ценных бумаг
и отчуждение их первым владельцам путем заключения гражданско-
правовых сделок, осуществляемые эмитентом самостоятельно или
андеррайтером по договору с ним.
Андеррайтинг — это посредническая деятельность, имеющая своей
целью размещение ценных бумаг.
Андеррайтер — профессиональный участник рынка ценных бумаг,
принимающий на себя определенные обязательства перед эмитентом по
размещению его эмиссионных ценных бумаг на согласованных условиях
и за вознаграждение.
Первичная эмиссия — эмиссия с целью формирования уставного капитала.
Последующие эмиссии - дополнительные эмиссии, которые проводятся
после формирования уставного капитала.
Открытая эмиссия — эмиссия, при которой круг потенциальных
инвесторов не ограничен, т.е. ценные бумаги предлагаются широкой
публике.
Закрытая эмиссия — эмиссия, при которой круг потенциальных инвесторов
заранее определен.
Подписка — эмиссия, которая осуществляется на возмездной основе
и предполагает заключение договоров купли-продажи между инвестором и эмитентом или между инвестором и андеррайтером, реализующим
ценные бумаги эмитента по его поручению.
Процедура эмиссии — выполнение эмитентом установленных действий,
обеспечивающих эмиссию ценных бумаг.
ГЛАВНЫЕ ВЫВОДЫ
Эмиссия ценных бумаг является одним из источников привлечения
финансовых средств. Она используется как государством, органами
власти и управления, так и отдельными юридическими лицами, которым
предоставлено право выпуска ценных бумаг.
Эмиссия составляет основу первичного рынка ценных бумаг. Его
участниками являются эмитенты, инвесторы, органы, регистрирующие
выпуск ценных бумаг.
Эмиссия ценных бумаг представляет собой строго регламентированный
со стороны государства процесс, обеспечивающий прозрачность
рынка цепных бумаг.
СИСТЕМА ЦЕННЫХ БУМАГ
Система ценных бумаг — это их упорядоченное единствокак представителей капитала, титулами или представителями которого
они являются. С одной стороны, капитал объединяет виды ценных
бумаг в единую систему, а с другой — в соответствии с его делением
происходит деление ценных бумаг на их экономические виды.
Система ценных бумаг как титулов (представителей) капитала изображена
на рис.
Функционирующий, или действительный, капитал любой хозяйственной
организации может иметь два источника: капитал уставный, или
собственный, и капитал, полученный от других лиц (юридических, физических)
и по которому организация несет установленные обязательства перед ними, или заемный капитал.

Соответственно этому ценные бумаги как представители
действительного капитала делятся на два
класса: долевые, или совладельческие, цепные бумаги и долговые, или
обязательственные, ценные бумаги.
Класс долевых ценных бумаг в России представлен только акциями
(и появившимися сравнительно недавно инвестиционными паями, которые
по российскому законодательству еще пе получили статус цепной
бумаги). Все остальные виды ценных бумаг, указанные ранее, есть долговые
ценные бумаги.
Получение заемного капитала может осуществляться либо в денежной
форме, либо в товарной форме. В соответствии с этим долговые
ценные бумаги могут быть либо представителем денег, либо представителем
товара. В первом случае это финансовый вексель, облигация,
закладная. Во втором случае это товарный вексель, складские свидетельства,
коносамент. Как следует их сказанного, экономическая природа
векселя неоднозначна. С одной стороны, он есть долговая ценная
бумага, а с другой — в зависимости от того, что передается в долг по
векселю или что является основанием для его выпуска - товар или денежная
сумма, вексель может быть либо товарным, либо финансовым
(денежным). Из формы векселя и произошли все остальные долговые
ценные бумаги.
Деление долговых ценных бумаг как представителей товара на свои
виды связано с фазами его обращения. Если товар отдается в пользование,
то это товарный вексель; если он отдается на хранение, то это складское
свидетельство; если он отдается в процессе перевозки, то это коносамент.
Деление долговых ценных бумаг как представителей денег на упомянутые
виды не связано с каким-либо особым экономическим содержанием,
а отражает условия, на которых деньги функционируют в качестве
заемных средств.
Экономически все виды долговых цепных бумаг как представителей
денег есть одна и та же цепная бумага под общим названием, например
«облигация» или «вексель» (финансовый), т.е. между ними нет капитального
различия.
Обычно по всем этим видам долговых ценных бумаг выплачивается
доход в форме процента к их номинальной стоимости, и возвращается
сам этот номинал. Выплата дохода может производиться либо через
определенные временные промежутки (например, раз в полгода), либо
при гашении ценной бумаги. Соответственно возврат номинала может
происходить по частям или при гашении ценной бумаги. Различные сочетания
форм уплаты процентов (дохода) и выплаты номинала образуют существующие виды основополагающих долговых ценных бумаг
(вариант А):

Различия между долговыми ценными бумагами принимают в дальнейшем
более конкретный и внешний по отношению к их экономической
природе характер. Например, осуществляется ли обращение с согласия
государства (государственная регистрация) или в этом нет необходимости;
каким образом происходит передача прав по ценной бумаге; могут
ли они быть средством платежа (расчетов) или нет. Описанные различия
между долговыми ценными бумагами как представителями денег
приведем в табличной форме (табл. 1).

Различия между перечисленными видами ценных бумаг в их конкретных
формах могут состоять также и в сроках обращения: облигации
и закладные часто выпускаются на сроки вплоть до нескольких десятков
лет, а векселя — обычно на срок до 1 года.
Следует подчеркнуть, что все эти конкретные различия между ценными
бумагами, раз они не определяются их экономической природой,
могут видоизменяться по воле законодателя (государства) или того,
кто их выпускает в обращение, в зависимости от потребностей рынка.
В конце концов никто не мешает, к примеру, ввести государственную
регистрацию выпусков векселей или, например, разрешить передачу
закладной по соглашению сторон.
Исторически сложившиеся различия экономических видов долговых
ценных бумаг в соответствии с вариантом А стираются по мере появления
все новых их форм, поскольку на самом деле сочетаний способов
выплаты дохода и номинала не четыре, а девять (вариант Б):

Итак, вариант Б наглядно показывает, что между долговыми ценными
бумагами нет нестираемых различий даже в части комбинирования
выплаты дохода и возврата их номинала. Развитие конкретных форм
долговых ценных бумаг как представителей денежного капитала ведет
ко все большему стиранию различий между ними, что и доказывает их
абсолютно одинаковую экономическую сущность.
Если обратить внимание на треаье и на девятое сочетаР1ия в варианте
Б, то нетрудно заметить, что такой комбинации отвечает другая
классическая ценная бумага - акция. Третье сочетание условно подходит
с учетом того, что владелец акции имеет право на пропорциональную
стоимость принадлежащих ему акций, часть имущества компании
в случае ее ликвидации. Может создаться видимость, что по
своей экономической природе акция и ценная бумага (например, облигация) мало чем отличаются или отличаются лишь внешней
формой проявления одних и тех же нрав на капитал и на доход. Однако
это не так. Экономическая природа акции принципиально отличается
от всех других рассмотренных видов ценных бумаг. Это отличие
состоит в том, что в форме акции имеет место образование новой
формы собственности акционерной, что совершенно не характерно
для других ценных бумаг, выпуск и обращение которых не влияют на
изменение или преобразование собственности лица, обязанного по ним.
Эта особенность акции частично находит отражение в особом праве,
которое она в своей простейшей форме предоставляет своему владельцу,
— праве на участие в управлении акционерным обществом.
Однако в мировой практике имеются прецеденты предоставления такого
права даже владельцам облигаций.
Следовательно, экономическая суть акций в отличие от других ценных
бумаг состоит в том, что она есть единство двух свидетельств:
а) процентного свидетельства, или свидетельства о нраве на доход
(плюс на остаток имущества, в котором был воплощен вложенный владельцем
акции капитал);
б) свидетельства общей формы собственности, а точнее, свидетельства
совладения акционерным обществом.
Как процентное свидетельство акция очень близка к долговой ценной
бумаге, как свидетельство совладения она абсолютно противоположна ей.
Иначе можно сказать, что между облигациями, векселями
и закладными нет неустранимых различий, а между ними и акциями
есть.
Классификация ценных бумаг как представителей различных видов
капитала па разных стадиях его обращения образует скелетную основу
системы ценных бумаг. Но как было рассмотрено в параграфе 5, форма
ценной бумаги имеет целый ряд реквизитов, или экономических характеристик,
наряду с их сущностным (капитальным) содержанием.
Указанные рыночные характеристики обычно имеют попарно-противоположный
характер (например, бумажная или безбумажная формы существования
ценной бумаги), а потому ценные бумаги могут классифицироваться
в зависимости от того, какому признаку из соответствующей их пары они отвечают. Совокупность этих признаков, присущих
ценной бумаге, составляет ее экономическое содержание.
Набор характеристик, которыми обладает любая ценная бумага,
включает:
Временные характеристики:
• срок существования ценной бумаги: когда выпущена в обращение,
на какой период времени или бессрочно.
Пространственные характеристики:
• форма существования: бумажная, или, выражаясь юридически, документарная
форма, или безбумажная, бездокументарная форма;
• национальная принадлежность: ценная бумага отечественная или
другого государства, т.е. иностранная.
Рыночные характеристики:
• порядок фиксации владельца: ценная бумага на предъявителя или
на конкретное лицо (юридическое, физическое);
• форма выпуска: эмиссионная, т.е. выпускаемая отдельными сериями,
внутри которых все ценные бумаги совершенно одинаковы по своим
характеристикам, или неэмиссионная (индивидуальная);
• вид эмитента, т.е. того, кто выпускает на рынок ценную бумагу:
государство, корпорации, частные лица;
• степень обращаемости: свободно обращается на рынке или есть
ограничения;
• уровень риска: высокий, низкий и т.п.;
• наличие начисляемого дохода: выплачивается по ценной бумаге
какой-то доход или нет;
• порядок передачи (форма обращения): вручение, уступка прав требования
(цессия или индоссамент);
• регистрируемость: регистрируемая или нерегистрируемая;
• вид номинала: постоянный или переменный.
Деление ценных бумаг на группы в соответствии с перечисленными
характеристиками приведено в табл.

Ценные бумаги, выпускаемые на весь срок существования лица,
обязанного по ним, напрямую не связаны с каким-либо временным периодом,
а потому они есть бессрочные бумаги. К ним обычно относятся
акции. Ценные бумаги, выпускаемые на какой-то ограниченный период
времени, независимо от того, задан он при выпуске ценной бумаги или
будет определен в ходе ее обращения, составляют группу срочных ценных
бумаг.
Срочные ценные бумаги — это ценные бумаги, имеющие установленный
при их выпуске срок существования или порядок установления
этого срока. Обычно срочные бумаги делятся на три подвида:
• краткосрочные, имеющие срок обращения до 1 года;
• среднесрочные, имеющие срок обращения свыше 1 года в пределах
до 5 10 лет;
• долгосрочные, имеющие срок обращения до 20—30 лет.
Срочные ценные бумаги, срок обращения которых ничем не регламентирован,
т.е. они существуют до момента погашения, дата которого
никак не обозначена при выпуске ценной бумаги, а установлен лишь
порядок их гашения (выкупа), называются отзывными.
Классическая форма существования ценной бумаги — это бумажная
форма, при которой ценная бумага представлена в форме документа.
Развитие рынка ценных бумаг требует перехода многих видов ценных
бумаг, прежде всего эмиссионных, к бездокументарной форме.
Инвестиционные (капитальные) ценные бумаги — ценные бумаги,
являющиеся объектом для вложения денег как капитала, т.е. с целью
получения дохода.
Не инвестиционные ценные бумаги — ценные бумаги, обслуживающие
денежные расчеты на товарных или других рынках. Обычно в этой
роли выступают коносаменты, складские свидетельства, векселя.
Владение ценной бумагой может быть именное или на предъявителя.
Предъявительская ценная бумага не фиксирует имя ее владельца, и ее
обращение осуществляется путем простой передачи от одного лица к
другому. Именная ценная бумага содержит имя ее владельца и, кроме
того, регистрируется в специальном реестре. Обычно она передается по
соглашению сторон, или путем цессии.
Если именная ценная бумага передается другому лицу путем совершения
на ней передаточной надписи (индоссамента) или приказа ее владельца,
то она называется ордерной ценной бумагой.
Государственные ценные бумаги — это обычно различные виды облигаций,
выпускаемые государством. Негосударственные ценные бумаги
- это ценные бумаги, которые выпускаются в обращение корпорациями
(компаниями, банками, организациями) и даже частными лицами.
Основные виды ценных бумаг являются рыночными, т.е. могут свободно
продаваться и покуна1ься на рынке. Однако в ряде случаев обращение
ценных бумаг может быть ограничено, и ценную бумагу нельзя
продать никому, кроме как тому, кто ее выпустил, и то через оговоренный
срок. Такие бумаги называются нерыночными.
С точки зрения начисляемого дохода ценные бумаги, как правило,
являются доходными, но могут быть и бездоходными, когда для их
владельца они есть простое свидетельство на товар или на деньги, а
не капитал. Доход по ценной бумаге может начисляться в форме дивиденда
(акции), процента (долговые бумаги) или дисконта, т.е. разницы
между номиналом ценной бумаги и более низкой ценой ее приобретения.
Эмиссионные ценные бумаги выпускаются обычно крупными сериями,
в больших количествах, и внутри каждой серии все ценные бумаги
абсолютно идентичны. Это обычно акции и облигации. Не эмиссионные
ценные бумаги выпускаются поштучно или небольшими сериями.
По российскому законодательству каждая ценная бумага имеет свой
номинал или номинальную стоимость. Однако в мировой практике разрешается
выпуск, например, акций без денежною номинала или с нулевым
номиналом. В этом случае указывается, какую долю в уставном
капитале составляет одна акция, а потому ее номинал, исчисленный
путем деления уставного капитала на число акций, меняется каждый
раз с изменением размеров этого капитала, а не остается неизменным,
как в случае, когда номинал ценной бумаги задан при ее выпуске. Если
ценная бумага выпускается с указанием денежного номинала, то это
бумага с постоянным номиналом. Если ценная бумага выпускается без
денежного номинала (с нулевым номиналом), то это бумага с переменным
номиналам.
Выпуск ценных бумаг может сопровождаться или не сопровождаться
их обязательной регистрацией в органах государственного управления.
Обычно государственной регистрации подлежат эмиссионные ценные
бумаги, так как их выпуск затрагивает интересы большого числа
участников рынка. По российскому законодательству обязательной
регистрации подлежат выпускаемые акции, o6jmraHHH. Остальные виды
российских ценных бумаг независимо от размеров их выпуска государственной
регистрации не подлежат.
По уровню риска ценные бумаги условно подразделяются на без рисковые
и рисковые. Без рисковые - это бумаги, по которым риск практически
отсутствует. В мировой практике эго краткосрочные (срок 1--
3 месяца) государственные долговые обязательства (казначейские векселя).
Все остальные ценные бумаги по уровню риска принято делить
на низко рисковые (это обычно государственные бумаги), средне рисковые
(это обычно корпоративные облигации) и высоко рисковые (это
обычно акции). Существуют и более высоко рисковые, чем акции, ценные
бумаги и другие инструменты рынка.
Графически место основных видов доходных ценных бумаг с точки
зрения соотношения в них риска и уровня доходности принято изображать
следующим образом (рис. 5).

Рис. Зависимость дохода от риска
С учетом описанных ранее характеристик система российских ценных
бумаг в сравнительном виде представлена в табл.
В свою очередь, каждый из видов основных ценных бумаг делится
на подвиды и т.п., вплоть до ценной бумаги, выпускаемой конкретным
лицом. В этом смысле каждый вид ценной бумаги представляет собой
систему внутри самого себя, которая есть подсистема во всей системе
ценных бумаг. Дифференциация видов ценных бумаг на подвиды и группы
рассматривается в главах, посвященных соответствующей ценной
бумаге.


В своей совокупности экономические реквизиты дают наименование
той или иной ценной бумаге. Парадокс заключается в том, что чем
больп1им числом этих реквизитов обладает та или иная денная бумага,
тем меньше она отличается от других ее видов. Неизменными остаются
лишь те ее отличия, которые ведут свое происхождение от капитала,
свидетельством которого она является.
ОСНОВНЫЕ ОПРЕДЕЛЕНИЯ
Ценная бумага это закрепленные в соответствии с законом имущественные
права в документарной или бездокументарной формах, представляющие
собой движимое имущество.
Действительный капитал капитал, непосредственно участвующий
в производстве и реализации прибавочной стоимости.
Фиктивный капитал — каптал, не участвующий в производстве и
реализации прибавочной стоимости.
Капитализация — это процесс превращения актива, приносящего
доход, в капитал.
Кругооборот ценной бумаги — это исторические этапы се существования.
Выпуск ценной бумаги — это обмен ссудного капитала (в товарной
или денежной форме) на титул имущественных прав, на ценную бумагу.
Обращение ценной бумаги это переход прав собственности на нее.
Гашение ценной бумаги — это ее обратный обмен на действительный
капитал.
Потребительная стоимость ценной бумаги — это взятые как единое
целое права, которыми наделена ценная бумага.
Качество ценной бумаги — это мера реализации прав, которыми она
наделена.
Ликвидность ценной бумаги — это сочетание нрава на передачу ее
от одного владельца к другому с осуществимостью этого права.
Доход по ценной бумаге — это доход в абсолютном или относительном
выражении, который она приносит за определенный период времени.
Начисляемый доход это доход, который приносит ценная бумага
как представитель действительного капитала.
Дифференциальный доход это доход, который приносит ценная
бумага в качестве фиктивного капитал; это положительная разница
между ценами ее продажи и покупки.
Риск ценной бумаги - это неопределенность, связанная с реализацией
ее прав.
Нарицательная стоимость ценной бумаги — величина стоимости
действительного капитала, которую она представляет.
Номинал ценной бумаги — это сумма денег, которую она представляет
в момент своего обмена на действительный капитал; это денежное
выражение нарицательной стоимости.
Рыночная стоимость ценной бумаги - это результат капитализации
ее имущественных прав.
Рыночная цена ценной бумаги — денежная оценка ее рыночной стоимости.
Реквизиты ценной бумаги — установленный по закону набор ее экономических
и неэкономических характеристик, или набор обязательных
сведений о ней.
Форма существования ценной бумаги — это ее материальное бытие в
бумажной (документарной) или безбумажной (бездокументарной) форме.
Срок существования ценной бумаги — это период времени ее кругооборота.
Принадлежность — это порядок фиксации права собственности владельца
ценной бумаги.
Владелец ценной бумаги — это лицо, которое обменивает действительный
капитал на его титул.
Предъявительская ценная бумага — ценная бумага, права собственности
по которой фиксируются самим фактом ее владения (т.е. не фиксируется
ни на ней самой, ни где-либо еще).
Именная ценная бумага — ценная бумага, права собственности по
которой неразрывно связаны с ней самой (т.е. зафиксированы на ней
самой или в специальном реестре ее собственников).
Обязанное лицо — это юридическое или физическое лицо, которое
имеет обязательства по ценной бумаге перед ее владельцем.
Права ценной бумаги - это основания, которые позволяют ее владельцу
получать имущественные выгоды от нее.
Основные ценные бумаги — это экономически самостоятельные виды
ценных бумаг, закрепленные юридически.
Вторичные ценные бумаги — это ценные бумаги, представляющие
собой имущественное право на другие виды ценных бумаг и (или) на
доход от них.
Производные инструменты — это имущественные обязательства
сторон, возникающие в результате заключения срочного контракта,
передача которых любой из сторон может осуществляться путем заключения
обратной срочной сделки.
Система ценных бумаг ~ это совокупность ценных бумаг как представителей
капитала (действительного или фиктивного).
Классификация ценных бумаг — это распределение ценных бумаг,
составляющих единую систему, по классам и видам.
ГЛАВНЫЕ выводы
Юридический подход состоит в вычленении из широкого круга документов,
удостоверяющих имущественные права, конкретных документов,
которым присваивается статус ценной бумаги, во многом
исходя из существующего мирового опыта. Отличие статуса документа
как ценной бумаги от других документов, удостоверяющих иму-
Н1ественные права, состоит, во-первых, в том, что этот статус может
устанавливаться только законом или в определенном им порядке,
т.е. ценная бумага — это титул высшего уровня нормотворчества, а
все другие виды титулов — это более низкие уровни юридических
документов; а во-вторых, ценная бумага есть не только представитель
имущественных прав, не только их титул, но и имущество как
таковое.
Ценная бумага — результат отделения функций собственника на
действительный капитал от функций управления этим капиталом в результате
развития крупного капиталистического производства.
Ценная бумага это представитель действительного капитала (в
случае государственных ценных бумаг - косвенный представитель),
который .может быть использован и как ссудный, и как промышленный,
и как товарный капитал, но сама по себе ценная бумага есть форма
вложения ссудного капитала.
Ценная бумага есть одновременно и представитель действительного
капитала, и фиктивный капитал. Данное единство есть экономическая
основа ценной бумаги.
Капитал в форме ценных бумаг имеет тенденцию к самовозрастанию.
Однако развитие этого фиктивного капитала происходит циклично,
а его материальной основой является действительный капитал.
Ценная бумага существует только в сфере обращения, в которой
она совершает свой кругооборот: выпуск, обращение и гашение. Обращение
ценной бумаги позволяет действительному капиталу, представителем
которого она является, максимально сосредоточиться на производстве
прибавочной стоимости.
Ценная бумага имеет присущую ей потребительную стоимость, которая
коренится не в ее материальном содержании, а в ее имущественных
правах. Мерой потребительной стоимости ценной бумаги является
ее качество, которое проявляется в трех основных свойствах: ликвидности,
доходности и риске.
Ликвидность есть форма выражения права на передачу (обращение)
ценной бумаги. Доходность есть проявление капитальной природы ценной
бумаги, двойственный характер которой выражается в двух формах ее дохода: начисляемого дохода и дифференциального дохода.
Риск отражает неопределенность, присущую ценной бумаге как инструменту
рынка.
Ценная бумага в отличие от обычного товара имеет две стоимости
и соответствующие им две цены: нарицательную стоимость и номинал;
рыночную стоимость и рыночную цену.
Сущность ценной бумаги проявляется в ее реквизитах (прежде всего
экономических реквизитах), которые закрепляются законом. К экономическим
реквизитам относятся: форма существования ценной бумаги;
срок ее существования; принадлежность; обязанное лицо по ней; номинал
и предоставляемые ею права.
Ценная бумага может существовать в бумажной или безбумажной
форме. Время существования ценной бумаги как исторического вида
может исчисляться столетиями. Срок существования конкретной ценной
бумаги определяется временем ее кругооборота.
Ценная бумага всегда кому-нибудь принадлежит, однако в зависимости
от порядка фиксации права собственности на нее она может быть
предъявительской или именной. Владелец ценной бумаги обменивает свой
действительный капитал на его титул. Получатель действительного
капитала становится лицом, обязанным по данной ценной бумаге.
Величина действительного капитала, обмениваемая на титул в момент
выпуска или гашения ценной бумаги, фиксируется в форме номинала
этой бумаги на стадии ее выпуска, который используется для
определения размеров капитала компании и величины дохода, начисляемого
владельцам ценных бумаг от функционирования этого капитала.
Владелец действительного капитала обменивает его на ценную бумагу.
Это означает приобретение им соответствующих имущественных
(и неимущественных) прав, позволяющих иметь отвечающие его интересам
имущественные и другие выгоды, прежде всего в виде получения
права на доход.
Ценная бумага дает ее владельцу две группы прав:
а) права, вытекающие из капиталистической сути ценной бумаги:
• право на возврат номинала (в денежной или товарной форме);
• право получения начисляемого дохода;
• право передачи ее другому владельцу;
б) дополнительные права, вытекающие из условий экономической
конкуренции:
• права в области управления и контроля за деятельностью обязанного
по ценной бумаге лица;
• права обмена на другие ценные бумаги;
• права преимущественного и (или) льготного приобретения новых
ценных бумаг;
• права досрочного изъятия из обращения;
• права на дополнительную информацию и т.п.
Ценная бума1' а благодаря присущим ей правам выполняет платежно -
расчетные функции, функции мобилизации, перераспределения и возрастания
капитала. Она является инструментом расчетов, инвестирования,
спекулирования и т.п.
Юридические виды российских ценных бумаг объединяются в шесть
основных экономических видов: акция, облигация, вексель, закладная,
коносамент, складское свидетельство.
Кроме основных ценных бумаг в мировой практике существуют
вторичные ценные бумаги, которые представляют собой титулы основных
ценных бумаг. Однако в российском законодательстве вторичные
ценные бумаги пока отсутствуют.
Производные инструменты не являются ценными бумагами, так как
они — титулы будущего капитала, а не действительного, реально существующего
капитала.
Производные инструменты — это инструменты рынка, подобные
ценным бумагам в бездокументарной форме, так как они обращаются в
порядке, аналогичном купле-продаже ценных бумаг.
В зависимости от того, какой капитал и какую стадию его функционирования
отражают ценные бумаги, они делятся на классы: долевые
(акции) и долговые. Долговые ценные бумаги делятся на ценные бумаги
как представители капитала в товарной и в денежной формах. Отражением
различных фаз движения товарного капитала являются вексель
(товарный), складское свидетельство и коносамент. Долговые ценные
бумаги как представители денежного капитала исторически разделились
на вексель (финансовый), облигации и закладные в зависимости от
сочетания форм выплаты дохода по ним и возврата капитала. Однако
развитие все новых конкретных форм этих долговых ценных бумаг стирает
ранее существовавшие различия между ними, высвечивая их единую
экономическую природу, внутри которой ценные бумаги различаются
по экономическим признакам, или по экономическому содержанию,
которое лежит в основе их деления на группы, виды и подвиды.
Вторичный рынок ценных бумаг
1 СУЩНОСТЬ ОБРАЩЕНИЯ ЦЕННЫХ БУМАГЕсли первичный рынок связан с появлением ценных бумаг
на рынке (их выпуском и размещением), то вторичный рынок создает
необходимые условия для их обра1цения. Под обращением ценных бумаг
понимается переход права собственности от одного их держателя (владельца)
к другому при заключении ими гражданско-правовых сделок. При
этом следует также иметь в виду, что гражданско-правовые сделки могут
совершаться как на рыночных условиях, так и на основе гражданско-
правовых норм, определенных Гражданским кодексом РФ. Состав и характер
сделок при этом будут разные. Для рынка ценных бумаг необходимы
спрос и предложение, поэтому сделка подразумевает взаимное
согласование условий и цены. Гражданско-правовые нормы четко определяют
условия тех или иных сделок, они становятся законом и не могут
согласовываться или оспариваться сторонами. На рынке ценных бумаг
их обращение принимает форму сделки купли-продажи или обмена (мены).
Гражданско-правовые сделки предусматривают, что переход права собственности
может произойти при таких сделках, как мена, дарение, наследование.
Право собственности от одного держателя к другому может
перейти и по решению суда, при приватизации, внесении ценных бумаг в
качестве взноса в уставный капитал (рис. 11).
На рынке ценных бумаг их обращение регламентируется как государством,
так и самими участниками рынка через устанавливаемые ими
правила торговли, стандарты и нормы поведения.
Для обращения ценных бумаг на рынке характерна определенная
последовательность действий, которой обязаны придерживаться
профессиональные участники рынка ценных бумаг

Листинг необходим дня допуска ценных бумаг на тот или иной рынок
(биржевой или внебиржевой), выдвигающий совокупность требований, которым
должны соответствовать ценные бумаги, выступающие объектом
сделок. Только после листинга как продавец, так и покупатель могут давать
посредникам торговые поручения на продажу или покупку ценных
бумаг.
Наиболее сложным этапом обращения являются торги ценными бумагами.
Торги ценными бумагами могут происходить только в том случае,
если их участники будут располагать необходимой информацией, достаточной
для согласования условий сделки. Такая информация формируется
на основе торговых поручений (приказов) непосредственных продавцов
и покупателей ценных бумаг, а также на основе заявок, которые
представляют участники торгов.
В зависимости от системы организации торгов в ряде случаев может
требоваться предварительное депонирование ценных бумаг и денежных
средств.
Если в результате торгов произошло заключение сделки, то торговая
система должна создать необходимые условия для сверки параметров сделки отдельными участниками.

По результатам такой сверки торговая
система гарантирует равенство объемов покупки и продажи, возможность
подбора сделок, а участники сделок исключают технические
ошибки, связанные с заключением сделок.
Согласно действующему законодательству факт совершения сделки
не означает перехода прав собственности на ценные бумаги. Для этого
необходимо исполнение сделки, которому предшествуют клиринг и расчеты
по сделкам. Основное назначение клиринга состоит в выявлении
позиций участников сделок (обеспечение требований и обязательств).
Переход права собственности на ценные бумаги связан со следующими
проблемами.
Прежде всего необходимо подчеркнуть, что переход права собственности
на ценную бумагу означает и переход к новому держателю тех
имущественных прав, которые закреплены за той или иной ценной бумагой
(рис. 13).

Поэтому о переходе права собственности, а следовательно, и о передаче
имущественных прав, закрепленных за ценной бумагой, должен бытъ извещен
тот, кто осуществляет эти имущественные права, и тот, кто учитывает
как право собственности, так и право на имущественные права по ценным
бумагам — номинальный держатель, депозитарий, регистратор (держатель
реестра). При этом ответственность за своевременное уведомление о переходе
права собственности лежит на приобретателе ценной бумаги.
Имущественные права, закрепленные за ценной бумагой, должен
обеспечивать эмитент или уполномоченное им лицо. При этом эмитент
обязан осуществлять имущественные права по предъявленным ценным
бумагам в следующем порядке (табл. 11):

Каким же образом фиксируется право собственности на ценную
бумагу? Форма удостоверения права собственности на ценную бумагу
зависит от формы ее существования, а также места нахождения
(табл. 12).

Учет прав собственности именных ценных бумаг документарной
формы выпуска, помещенных на хранение в депозитарий, ведется на
основании записи на счете депо о количестве ценных бумаг, находящихся
в централизованном (коллективном) или обособленном хранении.
Именная ценная бумага может находиться у владельца, тогда право
собственности будет удостоверяться не только сертификатом, но и записью
на лицевом счете в реестре, и для осуществления имущественных
прав, как было отмечено ранее, необходимо совпадение имени владельца,
указанного в сертификате и на лицевом счете.
В случае бездокументарных ценных бумаг, которые могут быть
только именными, право собственности удостоверяется либо записью
на счете депо, либо на лицевом счете в зависимости от принятой системы
учета прав (места нахождения).
Форма удостоверения права собственности для документарных ценных
бумаг на предъявителя будет зависеть от их места нахождения: если
ценная бумага находится у владельца, то право собственности удостоверяется
только сертификатом, если она помещена владельцем в депозитарий
— то записью на счете депо.
Переход права собственности на ценную бумагу будет означать изменение
формы удостоверения права собственности (табл. 13).

Чаще всего перерегистрацией права собственности на ценные бумаги
занимается держатель реестра (сам эмитент или независимый регистратор).
Он обязан вносить в реестр записи о переходе права собственности
на ценные бумаги при представлении передаточного распоряжения,
которое может представить лицо, зарегистрированное в
реестре. Таким лицом может быть продавец, передающий ценные бумаги
приобретателю. Переданное распоряжение может представить и
покупатель, на лицевой счет которого должны быть зачислены приобретенные
ценные бумаги, или уполномоченный представитель продавца
или покупателя.
Для внесения записи в реестр о переходе права собственности на ценные
бумаги необходимо, чтобы:
• были представлены все установленные действующим законодательством
документы;
• представленные документы содержали всю необходимую информацию;
• количество ценных бумаг, указанное в передаточном распоряжении,
соответствовало тому количеству, которое учитывается на лицевом
счете лица, передающего ценные бумаги;
• была произведена сверка подписи лица, представившего передаточное
распоряжение;
• лицо, представившее передаточное распоряжение, оплатило услуги,
связанные с перерегистрацией права собственности;
• не было блокирования операций по лицевому счету лица, передающего
ценные бумаги.
ПОРЯДОК ВКЛЮЧЕНИЯ ЦЕННЫХ БУМАГ В РЫНОЧНЫЙ ПРОЦЕСС
К торгам могут быть допущены любые виды ценныхбумаг отечественных и зарубежных эмитентов, которые будут продаваться
и покупаться в той или иной торговой системе. Как известно,
на фондовом рынке встречается товар различного качества — можно
купить ак1щю надежного эмитента, по которой обеспечиваются высокие
дивиденды, а можно приобрести и суррогаты ценных бумаг. В
случае прохождения процедуры листинга ценная бумага включается в
котировальный бюллетень — Реестр ценных бумаг, допущенных к торгам.
Чем выше степень ор1анизации рынка, тем жестче ограничения
по качеству ценных бумаг, официально включенных в котировальный
бюллетень.
Так, биржевой рынок, или, как его называют в странах с развитой
экономикой, официальный рынок, предполагает наивысшие гарантии
качества. Для того чтобы ценные бумаги стали биржевым товаром, они
проходят процедуру допуска, которая в англоговорящих странах и в
России называется листингом, во Франции — интрадукцией, в Германии
— допуском и т.д.
Внебиржевой организованный рынок также имеет свои стандарты
по допуску ценных бумаг к биржевым торгам, которые по мере развития
рынка все более приближаются к стандартам биржевого рынка.
Неорганизованный, «уличный», свободный или стихийный рынок
не предполагает, что ценные бумаги должны пройти экспертизу качества.
Режим, регулирующий допуск ценных бумаг к котировке, в совокупности
с порядком проведения операций с фондовыми ценностями
обслуживает и регулирует движение финансового капитала. Биржевая
и внебиржевая торговля, совершение операций с фондовыми ценностями
невозможны без котировки, т.е. особого способа формирования,
учета и публикации биржевых цен. Под биржевой котировкой
понимают действия Котировальной комиссии биржи, преследующие
цели:
• допуск ценных бумаг на фондовую биржу для совершения с ними
различных операций после соответствующей проверки и изучения финансового
положения фирм, предлагающих эти фондовые ценности;
• определение величины курса ценных бумаг, а также регистрация и
публикация курсов (цен) на фондовые ценности в биржевых бюллетенях.
Любой компании необходимо внести таким путем в лист (список)
соответствующей биржи свои ценные бумаги, что является обязательной
предпосылкой для допуска к торговле на ней. Иногда фондовые
биржи не только не допускают фондовые ценности, отсутствующие в
листах (списках), к процессу обращения в своих помеп1ениях, но под
страхом самых суровых санкций категорически запрещают зарегистрированным
на них членам осуществлять какие-либо операции с такими
ценностями даже по инициативе клиентов. Все сделки с не внесенными
в биржевые листы ценными бумагами подлежат обсуждению и
исполнению исключительно в частном порядке только между самими
участниками и вне помещения биржи; при этом биржа не несет ответственности
за надежность и законность таких сделок, как не попадающих
под ее юрисдикцию и не отвечающих принятым на ней правилам
и положениям.
Листинг конкретных видов ценных бумаг, т.е. их появление в биржевых
списках, по существу означает разрешение на участие этих бумаг
в торговле и дает им все те привилегии, которыми наделяется любая
другая ценная бумага, уже задействованная в биржевой торговле. С
юридической точки зрения никакая компания изначально не обязана вносить
свои акции и иные ценные бумаги в котировальные листы той или
иной биржи; она лищь имеет на это право, выполнение которого вовсе
не обязательно. В то же время присутствие ценных бумаг компании в
торговле на бирже является столь выгодным и привлекательным, что,
как правило, большинство компаний стремится разместить свои ценные
бумаги на какой-либо одной или даже нескольких биржах.
Если ценные бумаги прошли процедуру листинга, то тем самым повысится
их надежность, возрастает доверие к ним инвесторов, что создает
целый ряд несомненных выгод и привилегий.
Так, компании, внесенные в списки биржи, получают б6льн1ую известность
и популярность (паблисити) среди лиц, занятых в сфере инвестиций,
так как компания, чьи ценные бумаги вносятся в котировальные
листы, должна соответствовать определенным требованиям.
Ликвидность акций, включенных в котировальный лист, выше, и поэтому
желание инвесторов совершать сделки с ними растет, тем самым
облегчается процесс купли-продажи этих акций и обеспечивается
прозрачность деятельности на рынке компании-эмитента.
В случае выпуска компанией, чьи акции котируются на бирже, новых
видов ценных бумаг издержки, связанные с их размещением, окажутся
значительно ниже по сравнению с издержками фирм, чьи ценные
бумаги не обращаются на бирже. Как свидетельствует зарубежный опыт,
в дальнейшем облегчается привлечение заемного капитала. Листинг
повышает эффективность размещения выпуска конвертируемых облигаций
или облигаций с ордерами. Такие облигации легче продать, если
инвесторы смогут впоследствии обменять их на акции, включенные в
котировальный лист. Кроме того, банки и другие финансовые институты
крайне неохотно соглашаются заниматься подпиской на новые выпуски
акций и иных ценных бумаг тех компаний, которые отвечают
отказом на предложения о внесении таких бумаг в биржевые листы хотя
бы на одной бирже. Напротив, компаниям, чьи акции официально допущены
к котировке на ведущих биржах, как правило, легче бывает добиться
доверия и расположения банков и финансовых институтов в случаях
возникновения у них потребности в займах и кредитах, а также
облегчает для компании размещение новых выпусков ценных бумаг.
Компании, ценные бумаги которой прошли процедуру листинга, предлагаются
лучшие условия кредитования, ведь кредиторы могут сравнить
балансовую стоимость активов компании с рыночной, биржевой
оценкой ее деятельности. Если последняя выше первой, то кредиторы
скорее согласятся с возможностью кредитования этой компании. Кроме
того, в этом случае они имеют установочную стоимость для залога.
При прочих равных условиях кредиторы с большей охотой примут в
залог прошедшие процедуру листинга акции, чем вне списочные, — продать
списочные акции легче, если продажа неизбежна из-за несостоятельности
заемщика.
При поглощении и слиянии компаний оценка активов опирается на
курсовую рыночную стоимость акций, а не на книжную, балансовую,
которая у таких компаний, как правило, ниже. Нельзя не принимать во
внимание и то, что для акционерного общества, чьи акции обращаются
на бирже, легче определить установочную стоимость при слияниях и
поглощениях, которая ориентируется на рыночную цену соответствующих
акций. Если же данная финансовая операция организуется в отношении
компании, акции которой не имеют рыночной котировки, то она
вынуждена согласиться с ценой, близкой к книжной стоимости своих
активов, которую сопоставить будет не с чем.
Листинг в ряде стран является основанием для предоставления компании
определенных, более существенных скидок при налогообложении.
Подводя итоги, можно отметить, что листинг обеспечивает большую
рыночность и внимание к компании со стороны инвесторов.
Публикация данных о рынке списочных акций позволяет инвесторам и финансовым
экспертам составить полное представление о рыночном «поведении
» каждого списочного выпуска, что привлекает к этим акциям новых
покупателей, способствует увеличению числа сделок с ними и повышению
их ликвидности. Это в конечном итоге позволяет компании,
чьи акции допущены к обращению на бирже, увеличить число своих акционеров
и распределить собственность между большим числом лиц, а
следовательно меньшим числом акций, управлять большим капиталом,
что облегчает управление компанией теми, кто владеет контрольным
пакетом акций.
Котировка акций на бирже приносит компании дополнительную известность,
способствует формированию благоприятного общественного
мнения о ней, что в свою очередь сказывается на повышении спроса
на ее продукцию и услуги.
Котировка акций на бирже позволяет компаниям занять устойчивые
позиции на рынке. Биржа — это система поддержки рыночной стоимости
акций, так как в своих собственных интересах она осуществляет ряд
мероприятий, направленных на поддержание рыночной стоимости акций
и предотвращение манипулирования ценами, которое могло бы привести
к нежелательным изменениям их стоимости.
Таким образом, листинг — это система поддержки рынка, которая
создает наиболее благоприятные условия для организованного рынка,
позволяет выявить надежные и качественные ценные бумаги и способствует
повышению их ликвидности.
Вместе с тем не следует понимать, что преимущества, которых позволяет
добиться листинг, реализуются автоматически. Часто рынок
проявляет безразличие к тому, прошли ли акции процедуру листинга
или нет. Если компания малоизвестна и не может использовать преимущества листинга, то активность торговли акциями снижается, и акции
перестают удовлетворять требованиям листинга. Иногда цены на такие
акции после листинга находятся на более низком уровне, чем до него.
К тому же, контроль за компанией и ее деятельностью со стороны биржи,
если это предусматривается соглашением о листинге, предполагает
дополнительные обязательства и расходы, связанные с листингом: биржевой
сбор за листинг, ежегодная плата за поддержание листинга и т.д.
Инвестор, покупающий ценные бумаги, включенные в котировальный
лист биржи, может быть уверен в достоверности информации о компании-
эмитенте и рынке ее ценных бумаг. В зарубежной практике компании,
чьи ценные бумаги котируются на бирже, в соответствии с договором
о листинге представляют инвесторам значительно больше
информации о себе и своей деятельности.
Это позволит им оценивать перспективы экономического развития эмитента и качество его ценных бумаг. Котировка на бирже увеличивает ликвидность
акций и позволяет легче реализовывать их.
Таким образом, можно утверждать, что всякий инвестор, решивший
вложить средства во внесенные в листы фондовые ценности, вместе с
ними автоматически приобретает и полный набор преимуществ, которые
песет в себе комплекс средств защиты, предлагаемый фондовыми
биржами. Фондовая биржа, однако, не гарантирует доходность инвестиций
в акции компаний, прошедших листинг.
Получает ряд преимуществ от введения листинга и биржа. Отсев
некачественных ценных бумаг повышает стабильность и ликвидность
рынка, это ведет к увеличению числа участников торговли и их активности,
что в свою очередь способствует росту репутации биржи и ее
доходов. Процесс листинга является одним из элементов контроля за
обращением ценных бумаг на бирже и непосредственно регулируется
самой биржей, которая таким образом предохраняет заключаемые на
ней сделки от мошенничества и злоупотреблений.
В 1992— 1993 гг. некоторые российские фондовые биржи, претендовавшие
на ведущее положение на российском рынке ценных бумаг, объявили
о введении процедуры листинга. Первой среди них была Московская
центральная фондовая биржа. В то время процедура допуска цепных
бумаг к торговле на российских фондовых биржах законодательно
не регулировалась, и биржи устанавливали порядок включения ценных
бумаг в свои списки исключительно самостоятельно. В тот период в
нашей стране листинг не оказывал сколько-нибудь значительного влияния
как на оценку качества ценной бумаги с точки зрения инвестора,
так и на оценку эмитента с точки зрения партнера. Однако все чаще в
нормативных документах упоминались ценные бумаги, имеющие рыночную
котировку.
Например, покупатели — банковские структуры, владеющие ценными
бумагами, включенными в рыночную котировку, как правило, имеют
преимущество в резервировании под их обеспечение по сравнению с
ценными бумагами, такой котировкой не обладающими.
Биржи устанавливают правила для компаний-эмитентов, желающих
включить акции в биржевой список, поэтому на каждой бирже была своя
«технология» допуска ценных бумаг к котировке, различались и требования
к компаниям, желающим котировать свои акции на данной бирже.
Разрабатывая положения о листинге, российские биржи опирались на
мировой опыт.
Например, в Германии существует восемь фондовых бирж, но эмитенту
важнейших немецких ценных бумаг («национальных») достаточно
пройти процедуру листинга хотя бы в одной из них, и его акции могут
котироваться и на остальных семи. Считается, что в Германии установлены
самые либеральные требования к допуску ценных бумаг к
биржевым торгам, более строгие — в Японии и, наконец, самые жесткие
— в США.
Это, по-видимому, объясняется тем, что при допуске к биржевой торговле
ценных бумаг в Германии решающую роль играют кредитные
институты. Без их участия эмитент не может включить свои ценные
бумаги в списки биржи, и кредитные институты, сопровождающие допуск
ценных бумаг эмитента в биржевые торги, принимают на себя такую
же ответственность за качество ценных бумаг, как и их эмитенты.
Банк, стремясь избежать удара по репутации от введения в биржевой
торг «некачественной» ценной бумаги и потерять доверие клиентов,
осуществляет тщательный отбор эмитентов для продвижения их ценных
бумаг на биржу. Благодаря информационной открытости биржевого
рынка, сведения о неблагоприятном положении дел компании-эмитента
быстро становятся достоянием широкой общественности, что может
негативным образом сказаться на деятельности данного кредитного
учреждения.
Поэтому основная проблема для эмитента, желающего пройти процедуру
листинга, найти банк, который возьмет на себя ответственность
ввести его ценные бумаги на биржу. В Германии банки являются
универсальными, и их деятельность распространяется как на осуществление
банковских операций, так и па торговлю ценными бумагами, хранение
и управление ими. Банк, занимаясь подготовкой документа на
допуск, принимает на себя руководство по осуществлению этой процедуры.
Предприятие-эмитент должно просуществовать по крайней мере
три года, прежде чем оно сможет подать ходатайство о допуске своих
ценных бумаг к официальной котировке на бирже.
Вместе с подачей ходатайства представляется официально заверенная
выписка из торгового реестра, последняя регистрация устава, а также
годовые балансы и платежи за три года деятельности. Собственный капитал
компании должен составлять не менее 3,5 млн нем. марок, а
предположительная курсовая стоимость эмиссии — 2,5 млн нем. марок. Для
обеспечения достаточного уровня спроса на акции, допуск которых предусматривается,
необходимо разместить на рынке по крайней мере 25%
уставного капитала, т.е. ценные бумаги свободно обращаются на рынке,
и в них учитываются потребности биржевой торговли. При этом акция
каждого номинала и каждого вида, эмитируемая данной компанией,
проходит процедуру листинга.
Сравним условия допуска на внебиржевой
организованный или, как он называется в Германии, регулируемый
рынок. Первый критерий — срок существования акционерного общества
— не имеет значения, однако если отсутствует финансовый отчет,
банк не станет подвергать себя риску и осуществлять торговлю такими
ценными бумагами.
Собственный капитал должен составлять не менее 500 тыс. нем. марок,
а процент «распыления» акций, т.е. распространения их среди акционеров,
не менее 5%. Таким образом, это рынок акций средних и мелких
предприятий, поэтому правила допуска к торговле менее жесткие,
кроме того, в основном такие предприятия — это собственность семьи,
и банк совместно с клиентом решает, какая часть будет котироваться
на внебиржевом организованном, или регулируемом, рынке.
Для проверки соответствия параметров выпуска ценных бумаг установленным
критериям, а также постоянного анализа инвестиционных
качеств ценных бумаг на биржах создан специальный отдел — отдел
листинга, который решает следующие задачи: осуществляет экспертизу
соответствия показателей, указанных в заявке эмитента, формальным
критериям, установленным биржей, и выносит свои рекомендации.
Если в Германии процедуру листинга наряду с государственными
органами организуют банки, то в Японии окончательное решение о допуске
ценных бумаг к обращению на бирже принимается лично министром
финансов. Отличительной особенностью японской модели организации
листинга является то, что ценные бумаги могут быть включены
в котировальные листы биржи не только по заявлению эмитента, но
и по заявлению участника торговли. Однако, как было показано выше,
листинг помимо целого ряда очевидных преимуществ может иметь и
отрицательные черты для эмитента.
Развитие биржевого законодательства направлено на ужесточение
правил листинга для обеспечения больших гарантий инвесторам, поэтому
для того, чтобы акции корпорации были приняты к котировке, например,
на Нью- Йоркской фондовой бирже, корпорация должна отвечать
ряду требований. Часть из них касается количественных показателей
деятельности последней: величина активов для резидентов минимум
18 млн долл.; для слаборазвитых стран — 12 млн долл.; для стран, где
нет фондовых бирж, — 10 млн долл.; прибыль за последний балансовый
год должна составлять 2,5 млн долл., за каждый год из двух предшествующих
последнему балансовому году — не менее 2,5 млн долл. (или
суммарная прибыль за последние три года — не менее 6,5 млн долл.,
причем каждый год должен быть прибыльным); число выпущенных в
обращение акций должно составлять не менее 1,1 млн штук, число акционеров,
владеющих не менее чем 100 акциями, — 2 тыс. человек или
общее число акционеров — 2,2 тыс. человек.
Вместе с тем корпорация, отвечающая всем «количественным» требованиям, автоматически не
включается в число фирм, котирующих свои акции на бирже, так как
биржа оценивает еще и степень известности компании в масштабе страны,
место, занимаемое ею в отрасли, и т.п.
Другой тенденцией развития процедуры листинга является унификация
правил допуска ценных бумаг на биржу в пределах одной страны
путем установления одинаковых количественных и качественных критериев,
по которым происходит отбор ценных бумаг. С учетом многолетнего
опыта развития биржевой торговли в развитых странах построены
механизмы государственного регулирования, устанавливающие
минимальные общие критерии листинга для всех бирж. В России правила
листинга и делистинга, установленные биржей, должны включать
следующие требования к эмитенту ценных бумаг для занесения их в
котировальный лист первого уровня:
• размер собственного капитала эмитента ценных бумаг должен составлять
не менее 10 млн ЭКЮ;
• срок существования эмитента ценных бумаг должен быть не менее
трех лет;
• соблюдение эмитентом обязанности раскрывать информацию о своих
ценных бумагах в соответствии с Федеральным законом «О рынке
ценных бумаг» и информацию об акционерном обществе в соответствии
с Федеральным законом «Об акционерных обществах».
К ценным бумагам эмитента для их включения в котировальный лист
первого уровня должны устанавливаться следующие требования:
• ценные бумаги должны быть выпущены и зарегистрированы в соответствии
с требованиями российского законодательства;
• отчет об итогах выпуска ценных бумаг должен быть зарегистрирован
в соответствии с действующим законодательством;
• ценные бумаги должны быть свободно обращаемыми;
• наличие в торговой системе на постоянной основе котировок не
менее чем двух маркет-мейкеров;
• для акционерных обществ не более чем 60% голосующих акций
должно находиться во владении заинтересованных лиц акционерного
общества. В соответствии с требованиями Федерального закона «Об
акционерных обществах» заинтересованными лицами признаются: член
совета директоров общества, лицо, занимающее должность в иных органах
управления общества, акционер, владеющий совместно с аффилированным
лицом 20% и более голосующих акций общества;
• численность акционеров общества должна составлять не менее
1000 чел.;
• минимальный объем продаж ценных бумаг в среднем за месяц по
итогам каждого отчетного полугодия не может быть менее 40 тыс. ЭКЮ.
Для включения ценных бумаг в котировальный лист первого уровня
их эмитент должен принять перед биржей обязательство соблюдать требования
по раскрытию информации в порядке и объеме, установленными
биржей.
Правила листинга и делистинга должны включать следующие требования
к эмитенту ценных бумаг для внесения их в котировальный лист
второго уровня:
• размер собственного капитала эмитента ценных бумаг должен составлять
не менее 6 млн ЭКЮ;
• срок существования эмитента ценных бумаг должен быть не менее
двух лет;
• соблюдение эмитентом обязанности раскрывать информацию о своих
ценных бумагах в соответствии с Федеральным законом «О рынке
ценных бумаг» и информацию об акционерном обществе в соответствии
с Федеральным законом «Об акционерных обществах».
К ценным бумагам эмитента для их включения в котировальный лист
второго уровня должны устанавливаться следующие требования:
• ценные бумаги должны быть выпущены и зарегистрированы в соответствии
с требованиями российского законодательства;
• отчет об итогах выпуска ценных бумаг должен быть зарегистрирован
в соответствии с действующим законодательством;
• ценные бумаги должны быть свободно обращаемыми;
• наличие в торговой системе на постоянной основе котировок не
менее чем двух маркет-мейкеров;
• для акционерных обществ не более чем 60% голосующих акций
должно находиться во владении заинтересованных лиц акционерного
общества. В соответствии с требованиями Федерального закона «Об
акционерных обществах» заинтересованными лицами признаются: член
совета директоров общества, лицо, занимающее должность в иных органах
управления общества, акционер, владеющий совместно с аффилированным
лицом 20% и более голосующих акций общества;
• численность акционеров общества должна быть не менее 500 чел.;
• минимальный объем продаж ценных бумаг в среднем за месяц
по итогам каждого отчетного полугодия не может быть менее 20 тыс.
ЭКЮ.
Правилами листинга и делистинга биржи могут устанавливаться
дополнительные требования и критерии для включения ценных бумаг в
котировальные листы первого и второго уровней, а также более строгие
требования к эмитентам и их ценным бумагам по сравнению с требованиями,
изложенными в Полоукении «О требованиях, предъявляемых
к организаторам торговли на рынке ценных бумаг».
Однако в зависимости от размеров биржи, ее престижа и занимаемого
ею положения на фондовом рынке страны могут различаться числовые
величины, характеризующие соответствующие критерии. Чем выше
престиж биржи и ее значение для национального рынка ценных бумаг,
тем выше требования, предъявляемые ею к ценным бумагам и их эмитентам.
Рассматривая опыт применения листинга на пяти крупнейших
отечественных биржах, необходимо отметить, что до введения правил
листинга ФКЦБ были установлены такие качественные критерии, как
число акций в обращении, срок существования эмитента без убытков
хозяйственно-финансовой деятельности, а на четырех из них еще и минимальная
граница уставного фонда.
Вместе с тем наблюдался значительный разброс по показателям, принятым
в качестве критерия листинга как в количественном, так и качественном
отношениях. Это отличало процедуру листинга на отечественных
фондовых биржах от допуска ценных бумаг к списочной биржевой
торговле акциями в развитых странах, где критерии листинга в основном
унифицированы. Критерии, используемые на отечественных биржах,
были неоднородны, что особенно четко прослеживалось при изучении
опыта развитых фондовых рынков.
Значение унификации требований к листингу весьма велико. Пройдя
процедуру листинга на одной из бирж, эмитенты могут без особых
сложнocтeй обеспечить котировки своих ценных бумаг на другой бирже
и по существу быть включены в котировальные листы сразу нескольких
бирж. Это существенно расширяет их рыночное пространство. Например,
в Германии ценные бумаги наиболее крупных эмитентов и государственные
ценные бумаги, включенные в списки одной из восьми
фондовых бирж, могут быть автоматически допущены к обращению на
всех остальных.
В связи с этим важное значение имеет принятое ФКЦБ Положение
«О требованиях, предъявляемых к организаторам торговли на рынке
ценных бумаг», которое является первым нормативным актом, регулирующим
процесс допуска и исключения ценных бумаг из обращения на
фондовых биржах. До принятия данного Положения порядок включения
ценных бумаг в списки биржи регулировался исключительно самими
биржами.
Положением установлены обязательные минимальные требования,
предъявляемые к эмитентам и их ценным бумагам при проведении
листинга. Очень важен тот факт, что эти требования являются общими
для всех бирж. Таким образом, можно сказать, что создана единая
база, на основании которой биржи могут составлять свои правила
листинга.
Унификация требований к листингу позволяет преодолеть существующий разброс показателей, используемых при листинге на
различных биржах.
Положение устанавливает более строгие требования к эми1ен1ам
ценных бумаг в части раскрытия ими информации о своей деятельности
и своих ценных бумагах. Это ведет к большей информационной
прозрачности биржевого рынка ценных бумаг, а также позволяет более
точно определить качество ценных бумаг, предлагаемых к торговле
на бирже, что в свою очередь повышает степень защищенности
инвесторов.
Система допуска ценных бумаг к обращению должна быть достаточно
эффективной и надежно защищать инвесторов от неправомерных
действий участников биржевой торговли, на это нацелены основные
принципы ее организации, такие как:
• создание равных возможностей для участников торговли и их клиентов
при получении информации, раскрываемой в соответствии с правилами
листинга и делистинга;
• осуществление необходимых мер, предотвращающих манипулирование
ценами.
Правила листинга и делистинга ценных бумаг для включения в котировальные
листы второго уровня должны обеспечивать своевременное
исключение из котировального листа ценных бумаг, не соответствующих
установленным требованиям.
Организация процедуры листинга на отечественном фондовом рынке
в целом соответствует мировой практике. Как правило, на всех российских
биржах процедура листинга начинается с подачи заявки в отдел листинга с приложением ряда нотариально заверенных документов. Заявка
может подаваться только тем эмитентом, ценные бумаги которого размещены
и зарегистрированы в соответствии с действующим законодательством.
Она представляется на фирменном бланке и должна иметь печать
и подпись руководителя, сведения о регистрируемом выпуске ценных
бумаг, наименование, номер выпуска, номинал, гарантию
достоверности представляемых в отдел листинга документов, а также
уведомление о согласии с существующими правилами допуска к листингу.
Кроме того, представляются учредительные документы, справка об
оплаченном уставном капитале, копии проспекта эмиссии установленного
образца. Ecjm акционерное общество функционирует более одного года
или является правопреемником другого юридического лица, то дополнительно
представляются бухгалтерский баланс и отчет о распределении
прибыли за последний финансовый год, заверенный независимыми аудиторами.
Как правило, биржа оставляет за собой право требовать от эмитента
представления других документов и информации, необходимой для
проведения экспертной оценки и допуска ценных бумаг к котировке. Рассмотрение
заявки обычно не превышает один месяц.
Решение о внесении в биржевой список принимают последовательно
три инстанции: отдел листинга, затем комиссия по допуску ценных бумаг
и, наконец, биржевой совет. Если принимаемое решение положительное,
биржа и акционерное общество-эмитент заключают договор (соглашение) о листинге.
Отказ в допуске ценных бумаг к обращению на бирже возможен исключительно
в случае несоответствия представленных документов законодательству
Российской Федерации и правилам листинга и делистинга.
Подписав соглашение о листинге, эмитент обязуется представлять
бирже годовые и промежуточные отчеты, сведения о трансфер- агенте и
регистраторе акций, о дивидендах и иных распределяемых доходах, а
также другую информацию, указанную в данном соглашении.
Например, одним из требований, предъявляемых к корпорациям, котирующим
акции на Нью-Йоркской фондовой бирже, является периодическое
представление ими достаточно большого объема информации
инвесторам, а также периодической публичной отчетности о финансово-
хозяйственной деятельности. Публикация сведений, касающихся финансового
положения компании — один из центральных моментов как
саморегулирования, осуществляемого биржей, так и государственного
регулирования фондового рынка. Подобные требования введены и на
российских биржах.
Компания уплачивает бирже единовременный сбор за листинг, размеры
которого зависят от числа акций, включаемых в биржевой список,
и ежегодно вносит определенную сумму за поддержание листинга.
Процедура регулирования допуска к обращению ценных бумаг может
предусматривать и процедуру делистига. Она проводится на ведущих
биржах экономически развитых стран (исключение составляет
Германия) и состоит в том, что биржа с целью занщты интересов инвесторов
может временно или навсегда исключить ценные бумаги акционерного
общества из котировочного листа. Например, правилами допуска
акций корпорации к котировке, действующими на Нью-Йоркской
фондовой бирже, за последней закрепляется право приостановить
котировку акций компании или вообще исключить ее из числа котирующихся,
если появятся обстоятельства, которые совет директоров сочтет
достаточно основательными для принятия такого рода мер. Они
могут быть приняты по отношению к фирмам, отвечающим всем количественным требованиям, но имеющим неблагоприятное финансовое
состояние, поскольку банкротство компании — это удар и по репутации
биржи, где котировались ее акции.
Существуют три формы временного прекращения котировки на
бирже:
• отсрочка начала торговли — до открытия торгов биржа может приказать
трейдерам сбалансировать заказы на покупку или продажу и тем
самым определить более справедливую цену, если по какому-либо виду
акций поступило очень большое количество заказов на покупку или
продажу;
• перерыв в торговле, который объявляется в любое время, в случае
если необходимо сообщить какую-либо важную информацию;
• приостановка торговли на одну сессию и более используется, когда
нужно время, чтобы разобраться в каком-либо важном событии, или
при нарушении компанией соглашения о листинге. Торговля приостанавливается
до устранения такого нарушения или принятия решения о
делистинге ценных бумаг компании-эмитента.
Исключение ценных бумаг из котировального листа биржи (делистинг
ценных бумаг) может производиться биржей по следующим причинам:
• заявитель подал заявление на исключение ценных бумаг из
котировальною листа;
• регулирующим органом принято решение о признании выпуска ценных
бумаг несостоявшимся;
• вступило в силу решение суда о недействительности выпуска ценных
бумаг;
• ликвидирован эмитент ценных бумаг;
• истекли сроки допуска ценных бумаг к обращению на бирже;
• истекли сроки обращения ценных бумаг;
• эмитент ценных бумаг не выполнил обязательств перед биржей,
принятых при включении ценных бумаг в котировальный лист;
• показатели деятельности эмитента и объемы продаж ценных бумаг
эмитента не соответствуют требованиям, предъявляемым при включении
ценных бумаг в котировальный лист биржи.
Помимо ценных бумаг, включенных в котировальные листы, к обращению
на бирже по решению органа управления биржи могут допускаться
иные ценные бумаги, выпущенные в порядке и в соответствии с
требованиями действующего законодательства. Порядок листинга и
делистинга этих ценных бумаг, а также предъявляемые при этом требования
к эмитенту и непосредственно ценным бумагам устанавливаются
биржей самостоятельно. Отдельно биржа организует торговлю и рас-
крытие информации о данных ценных бумагах согласно принятому
Полоукению «О требованиях, предъявляемых к организаторам торговли
на рынке ценных бумаг».
Ситуацию, складывающуюся на российском фондовом рынке, можно
охарактеризовать как этап становления листинга. Хотя на многих
биржах в основном обращаются ценные бумаги, которые не прошли
установленную процедуру листинга, и различия между введением ценной
бумаги в процесс биржевой и внебиржевой организованной торговли
мало ощутимы, основные отечественные биржи, например ММВБ, а
также внебиржевые торговые площадки применяли систему листинга,
включая согласно нормативным документам ценные бумаги в котировальные
листы первого и второго уровней.
ВНУТРЕННИЙ УЧЕТ ЦЕННЫХ БУМАГ В БРОКЕРСКОЙ ФИРМЕ
Обеспечение прозрачности рынка ценных бумаг зависитот информации, которая поступает от профессиональных посредников.
Для однотипности ведения внутреннего учета Федеральная комиссия по
рынку ценных бумаг предъявляет определенные требования к профессиональным
участникам и порядку внутреннего учета ценных бумаг, по
которым осуществляются операции. При этом брокерские и дилерские
фирмы руководствуются постановлением ФКЦБ «Об утверждении Временного
положения "О лицензировании брокерской и дилерской деятельности
на рынке ценных бумаг"» от 19 декабря 1996 г. № 22 и Временного
положения «О порядке осуществления брокерской и дилерской деятельности
на рынке ценных бумаг».
В данном документе предусматриваются следующие требования к
брокерской и дилерской деятельности:
• исполнять поручения клиентов в полном соответствии с полученными
от них указаниями;
• доводить до сведения клиентов всю необходимую информацию,
связанную с осуществлением поручений клиентов и исполнением обязательств
по договору купли-продажи ценных бумаг;
• исполнять поручения клиентов в порядке их поступления с учетом
условий поручений клиентов;
• обеспечить надлежащее хранение и отдельный учет ценных бумаг;
• утвердить внутренние процедуры и правила ведения учетных регистров
и составление внутренней отчетности в соответствии с требованием
ФКЦБ.
При ведении внутреннего учета ценных бумаг в брокерской и дилерской
фирмах они руководствуются Временным положением об учетных
регистрах и внутренней отчетности профессиональных участников
рынка ценных бумаг, утвержденным Постановлением Федеральной
комиссии по рынку ценных бумаг России от 26 ноября 1996 г. № 2
В данном документе представлены первичные документы и регистры
внутреннего учета ценных бумаг.
К первичным документам относятся поручение клиента на совершение
сделки с ценными бумагами и распорядительная записка (документ,
удостоверяющий совершение сделки с ценными бумагами).
К регистрам внутреннего учета относятся: регистр учета сделок,
регистр учета расчетов и регистр учета ценных бумаг.
Процесс специализации между профессиональными посредниками
требует четкого отражения операции с ценными бумагами в посреднических
подразделениях. Это позволяет повысить конкурентоспособность
конкретной посреднической фирмы и обеспечивает доверие со стороны
клиентов. Внутренний учет ценных бумаг необходим для того, чтобы
знать о состоянии ценных бумаг на каждый рабочий день.
В структуре брокерской и дилерской компании можно выделить следующие
подразделения, связанные с процессом исполнения и учета сделок;
• фронт-офис (торговый отдел), сотрудники которого заключают
сделки с ценными бумагами;
• бэк-офис, обеспечивающий исполнение сделок, осуществляющий
внутренний учет и контроль операций с ценными бумагами;
• бухгалтерия, осуществляющая учет операций и составляющая финансовую
отчетность в соответствии с существующими нормативами учета.
Фронт-офис может включать следующие отделы:
• торговый отдел (дилинг);
• отдел портфельного менеджмента;
• отдел по работе с институциональными клиентами;
• отдел но работе с индивидуальными клиентами.
Основной задачей фронт-офиса является заключение сделок с ценными
бумагами от имени компании и по поручению ее клиентов.
Бэк-офис осуществляет процедуры учета и исполнение сделок по ценным
бумагам.
Основными функциями бэк-офиса являются:
• контроль за исполнением заказов клиентов;
• улаживание сделок;
• контроль за соблюдением нормативов финансового состояния счетов
и использованием денежных средств и ценных бумаг клиентов;
• учет движения ценных бумаг и денежных средств;
• хранение ценных бумаг и денежных средств клиента;
• представление информации руководству фирмы и брокерам;
• поддержание связи между владельцами и эмитентами ценных бумаг.
Организационная структура бэк-офиса брокерской фирмы была разработана
американским ученым Дэвидом Вайсом и используется в 65
странах мира (рис. 14).

В каждой отдельно взятой стране и на каждой фирме бэк-офис представлен
определенными из указанных отделов. В России бэк-офис брокерской
фирмы представлен двумя отделами: отделом заказов и отделом
покупок и продаж.
Рассмотрим функции, выполняемые отделами бэк-офиса брокерской
фирмы.
Отдел клиентской документации - это подразделение бэк-офиса,
которое осуществляет первоначальное установление отношений брокера
с клиентом. Клиент заполняет заявление и анкету. Анкета имеет важное
значение в установлении взаимоотношений и представляет собой информационный
документ, дающий возможность брокеру знать, как найти клиента, размер его годового дохода, инвестиционные цели и др.
На основании этих документов подписывается договор, в котором
отражаются права и обязанности как клиента, так и брокера.
В российской практике эти функции выполняют юристы фирмы.
После подписания договора осуществляется открытие счета клиенту,
посредством которого брокерская фирма ведет раздельный учет активов
и пассивов денежных средств и ценных бумаг клиента и собственных
ценностей.
В зависимости от статуса клиента счета могут быть розничные и
институциональные. Розничный счет открывается физическому лицу, а
институциональный - юридическому (банку, страховой компании, пенсионному
фонду и т.д.).
В зависимости от степени участия клиента в управлении счетом счета
могут быть дискреционные, управляемые и обыкновенные.
Дискреционный (экстренный) счет — счет, по которому брокер управляет
клиентскими ценностями по собственному усмотрению. Например,
если клиента на данный момент нет на месте или он выбыл на определенное
время.
Управляемый (доверительный) счет открывается в случае, если клиент
доверяет управление счетом брокерской фирме.
Обыкновенный счет открывается в случае, если сам клиент будет
принимать участие в управлении счетом с учетом степени участия.
В зависимости от степени участия клиента в оплате и поставке ценных
бумаг можно выделить следующие типы счетов:
• регулярный расчетный счет предусматривает полную оплату и
поставку ценных бумаг в установленные сроки;
• счет Оплата при доставке подразумевает полную оплату ценных
бумаг в день их поставки продавцом;
• счет «Поставка против платежа» предусматривает поставку ценных
бумаг в день их оплаты покупателем;
• ссудный (кредитный) счет предполагает, что каждая новая покупка
частично оплачивается клиентом, а продажа ценных бумаг не предполагает
их поставку со стороны клиента;
• счет «Хранение» открывается для хранения ценных бумаг по письменному
договору с клиентом.
Каждый клиент (индивидуальный и коллективный) может иметь одновременно
один регулярный расчетный счет, а также счета «Оплата
при доставке», «Поставка против платежа», ссудный, и счет «Хранение
». Эти счета, кроме счета «Хранение», могут быть дискреционными.
Наличие ссудного счета исключает счета «Оплата при доставке» и «Поставка
против платежа».
На основании открытия счета ему присваивается номер в системе
счетов внутреннего учета в брокерской фирме и формируется система
счетов внутреннего учета.
После открытия счета клиенту он может составить торговое поручение,
которое поступит в отдел заказов.
Отдел заказов осуществляет функции подготовки торгового поручения
и контроля за его исполнением. При этом отдел заказов контактирует
с биржевым (внебиржевым) рынком.
Вид заказа отражается в тикете — документе, содержащий инструкции
заказчика, а также отчет и инструкции трейдера, исполнившего заказ.
Тикет состоит из четырех разделов: «заказ», «заказчик», «исполнение
», «улаживание». Разделы «заказ» и «заказчик» заполняются в отделе
заказов. Раздел «заказ» содержит информацию: о виде ценных бумаг,
которые надо купить/продать; виде сделки; количестве ценных бумаг;
пене одной ценной бумаги. Раздел «заказчик» содержит информацию о
заказчике и менеджере счета, которому предстоит исполнять заказ клиента.
Работа по исполнению сделки производится во фронт-офисе.
Получив от трейдера отчет об исполнении заказа, отдел заказов заносит
цену в тикет, информирует клиента об исполнении заказа, уведомляет
отдел покупок и продаж об исполнении заказа.
Отдел покупок и продаж: готовит покупки и продажи к урегулированию
требований, что отражается в соответствующем разделе тике-
га. Определяется срок оплаты сделки, валюта платежа, тип договора,
принятый на данном рынке, форма оплаты (со счета клиента, со счета
фирмы), регистрируется срок поставки ценных бумаг (на имя клиента,
па имя фирмы, на имя депозитария) и др.
После получения информации об исполнении сделки отдел покупок
и продаж готовит блотер (регистр учета сделок) и оформляет сделки по
регистрам учета ценных бумаг.
Отдел проводит работу по калькулированию (подготовка счетов-
фактур, расчет комиссионных, регистрационных сборов). Неисполненные
сделки оформляются в журнале неулаженных сделок.
Получив копию извси1ения о сделке и другие документы, кассовый
отдел осуществляет оплату и поставку ценных бумаг. На этом этапе
он получает инструкции из кредитного отдела о состоянии клиентских
счетов.
В зависимости от степени развития фондового рынка в стране кассовый
отдел может состоять из отдельных секторов (сектора приема-
выдачи, сектора перевода собственности, сектора хранения, сектора
сток-ссуд, денежных ссуд, сектора реорганизаций).
Кредитный отдел контролирует все клиентские счета. По решению
ФКЦБ брокерская фирма может осуществлять кредитование покупок
ценных бумаг не более чем на 50%.
За рубежом кредитный отдел является важнейшим в структуре бэк-
офиса брокерской фирмы. Без его разрешения кассовый отдел не может
выдавать денежные средства и ценные бумаги.
Кредитный отдел осуществляет запись операций в счета клиентов
1Ю данным из отдела покупок и продаж, отдела клиентской документации
и кассового отдела.
Отдел учета движения ценных бумаг осуществляет контроль за возникновением
и соблюдением обязательств по сделкам и перемещением
ценных бумаг.
В функции отдела входит:
• ежедневные подготовка и анализ книги учета ценных бумаг (дневная
оборотная ведомость по выпускам ценных бумаг);
• в случае обнаружения дисбаланса (несовпадение позиций дебета и
кредита) анализ первичных документов и корректировка журнала.
Внутренний учет, проводимый в бэк-офисе брокерской фирмы, должен
дать ответы на вопросы: Кому принадлежат ценные бумаги? Где
они находятся?
Этим обусловлено деление счетов внутреннего учета на счета
принадлежности (кому) и счета местонахождения (где). Из этого деления
проистекает требование к учетным проводкам: счету принадлежности
должен противостоять счет (счета) местонахождения. Остатки на счетах
принадлежности в сумме должны равняться остаткам на счетах местонахождения.
Для счетов принадлежности нормальное сальдо — дебетовое (увеличение
отражается по дебету), а для счетов местонахождения — кредитовое
(увеличение отражается по кредиту), т.е. счета принадлежности -
активные счета, счета местонахождения — пассивные.
Счета принадлежности ценных бумаг:
счет «Ценные бумаги фирмы» показывает, сколько ценных бумаг
разных выпусков полностью оплачено фирмой;
счет «Регулярные расчеты» показывает, сколько ценных бумаг разных
выпусков полностью оплачено клиентом в общепринятый срок улаживания.
Предполагается, что имеет место быть стандартный срок поставки,
нарушение которого влечет за собой штрафные санкции;
счет «Оплата при доставке» показывает, сколько ценных бумаг
разных выпусков полностью оплачено клиентом в срок улаживания,
определенный сторонами сделки. Предполагается, что стандартный срок
поставки отсутствует и стороны сами договариваются, когда и какие
штрафные санкции вступят в силу;
счет «Ссудный long» в корреспонденции со счетом «Сток-ссуда»
показывает, сколько ценных бумаг, купленных клиентом в кредит, находятся
в распоряжении фирмы банка до погашения клиентской задолженности
по кредиту;
счет «Ссудный short» показывает, сколько ценных бумаг клиент продал
без займа ценных бумаг (нормальное сальдо кредитовое). Счет «Ссудный
short» в корреспонденции со счетом «Сток-заем» показывает, сколько
ценных бумаг агент занял у фирмы для короткой продажи;
счет «Хранение» показывает, сколько полностью оплаченных клиентом
ценных бумаг разных выпусков хранит для него фирма по письменному
договору о хранении. Счет открывается каждому юшенту, для которого
фирма хранит ценные бумаги. Он корреспондируется со счетом
«Депо».
Счета местонахождения ценных бумаг:
счет «Денежная ссуда» показывает, сколько ценных бумаг' заложено
под банковскую ссуду. Открывается каждому кредитному учреждению,
которое финансирует сделки фирмы с ценными бумагами;
счет «Клиринг» показывает, сколько ценных бумаг фирма должна
поставить в клиринговый центр или получить оттуда, если центр оказывает
услуги по расчетам (нормальное сальдо - дебетово- кредитовое);
счет «Не поставлено» показывает, сколько ценных бумаг фирма не
поставила в оговоренный срок (нормальное сальдо — дебетовое);
счет «Не получено» показывает, сколько ценных бумаг фирма не
получила в оговоренный срок;
счет «В пути» показывает, сколько ценных бумаг находится в пути
более одного рабочего дня;
счет «Реестр» показывает, сколько ценных бумаг находится на перерегистрации.
Открывается каждому реестродержателю;
счет «Сегрегировано» показывает, сколько ценных бумаг, полностью
оплаченных клиентом, находится на обособленном ответственном
хранении;
счет «Сток-заем» показывает, сколько ценных бумаг взято фирмой
взаймы у клиентов или профессиональных участников рынка (1юрмаль-
ное сальдо дебетовое);
счет «Сток-ссуда» показывает, сколько ценных бумаг дано фирмой
взаймы клиентам или профессиональным участникам рынка;
счет «Утрачено» показывает, сколько ценных бумаг потеряно;
счет «Депо» показывает, сколько ценных бумаг в результате сделок
хранится в кассе фирмы или депозитарии.
Прочие счета:
счет «Контрагент» используется для хранения информации о расчетах
с профессиональными участниками рынка. Открывается каждому
контр-брокеру;
счет «Эмитент» показывает, сколько дополнительных акций получено
от эмитента в связи с выплатой сток-дивидендов или Сплитом;
сче! «Сверка» показываег, сколько ценных бумаг вписано в подтверждение
сделки, переданное контр-брокерам;
счет «Договор» показывает, сколько ценных бумаг фигурирует в
договоре купли-продажи, отправленном контр-брокеру.
Отдел бухгалтерского учета осуществляет свою деятельность в соответствии
с Правилами отражения профессиональными участниками
рынка ценных бумаг и инвестиционными фондами в бухгалтерском учете
отдельных операций с ценными бумагами, утвержденными ФКЦБ
от 27 ноября 1997 г. № 4
Учет операций по приобретению, реализации и прочему выбытию
ценных бумаг производится на дату перехода прав на ценные бумаги.
При организации бухгалтерского учета по счету 06 «Долгосрочные
финансовые вложения» и счету 38 «Краткосрочные финансовые вложения
» обеспечивается раздельный учет ценных бумаг, приобретенных для
собственных нужд как финансовые вложения (с целью получения инвестиционного
дохода) и для перепродажи (с целью получения дохода от их
реализации).
Ценные бумаги, приобретаемые с целью получения инвестиционного
дохода, принимаются к учету в сумме по дебету счета 06 «Долгосрочные
финансовые вложения» в корреспонденции со счетами учета
денежных средств.
Ценные бумаги, приобретаемые с целью получения дохода от их реализации,
принимаются к учету в сумме фактических затрат на приобретение
по дебету счета 58 «Краткосрочные финансовые вложения» в
корреспонденции со счетами учета денежных средств.
При этом стоимость ценных бумаг на счете 58, выраженная в иностранной валюте,
подлежит пересчету в рубли. Пересчет производится по курсу, установленному
ЦБ РФ на дату совершения операции с указанными ценными
бумагами, а также на дату составления бухгалтерской отчетности.
Профессиональным участникам разрешается производить переоценку
вложений в ценные бумаги, котировки которых регулярно публикуются.
Переоценка отражается путем увеличения (уменьшения) балансовой
стоимости ценных бумаг в корреспонденции со счетом 80 «Прибыли
и убытки», субсчет «Прибыли и убытки от переоценки финансовых
в:южений».
Выручка от реализации ценных бумаг, приобретаемых ДJ^я перепродажи,
отражается по кредиту счета 46 «Реализация продукции, работ,
услуг» в корреспонденции со счетами учета расчетов.
Выручка от реализации и прочего выбытия ценных бумаг, приобретенных
с целью получения инвестиционного дохода, отражается по кредиту
счета 48 «Реализация прочих активов» в корреспонденции с дебетом
счетов учета расчетов.
Затраты профессиональных участников, связанные с образованием
юридического лица (плата за регистрацию проспекта эмиссии, государственная
пошлина за регистрацию, единовременный сбор за выдачу долгосрочных
лицензий, стоимость приобретения бланков при их выпуске)
включаются в состав нематериальных активов. Указанные затраты
отражаются по дебету счета 04 «Нематериальные активы».
Затраты, связанные с деятельностью профессиональных участников,
отражаются на счете 26 «Общехозяйственные расходы». К ним можно
отнести комиссионные и вознаграждения посредникам, причитающиеся
при покупке и продаже ценных бумаг, приобретаемых с целью получения
дохода от реализации. Затраты, учтенные на счете 26, ежемесячно
вписываются в дебет счета 46 «Реализация продукции, работ, услуг».
Затраты, связанные с обслуживанием ценных бумаг, приобретенных
с целью получения инвестиционного дохода, в том числе расходы на
оплату услуг депозитария, регистратора и др., отражаются по дебету
счета 80 «Прибыли и убытки» в корреспонденции со счетами учета денежных
средств.
Затраты на выплату комиссионных и вознаграждение посреднику
при реализации и прочем выбытии ценных бумаг, приобретенных с целью
получения инвестиционного дохода, отражаются по дебету счета
48 «Реализация прочих активов».
При приобретении облигаций по стоимости, включающей часть процента,
начисляемого с момента его последней выплаты, в случае его
отражения в бухгалтерском учете, производятся следующие записи: по
дебету счетов 06 «Долгосрочные финансовые вложения» или 58 «Краткосрочные
финансовые вложения», субсчет «Облигации» (на сумму покупной
стоимости облигаций, уменьшенной на величину оплаченного
процента, дохода), субсчет «Средства полученные и затраты произведенные
по облигационным процентам (доходам)» (на сумму оплаченного
процента (дохода), причитающегося к получению на момент приобретения
облигации) и соответствующих счетов учета денежных средств
или расчетов.
Получение процентов (при наличии по данной облигации уплаченного
процента) отражается по дебету счетов учета денежных средств или
расчетов и кредиту счетов 06 «Долгосрочные финансовые вложения» или
58 «Краткосрочные финансовые вложения», субсчет «Средства полученные
и затраты произведенные по облигационным процентам».
В случае реализации (погашения) облигаций суммы процентов (доходов),
начисленные с момента реализации облигации, отражаются по
кредиту счета 06 «Долгосрочные финансовые вложения», субсчет «Средства
полученные и затраты произведенные по облигационным процентам
» в корреспонденции со счетами реализации.
Разница между полученным и уплаченным процентом но каждому
отдельному выпуску облигации подлежит списанию со счетов 06 и 58
на счет 80 «Прибыли и убытки» в день реализации облигации.
Начисление процентов по облигациям отражается в бухгалтерском
учете записью по дебету счета 76 «Расчеты с различными дебиторами и
кредиторами», субсчет «Проценты (доходы) по облигациям» и кредиту
счета 80 «Прибыли и убытки».
Себестоимость реализованных и выбывших ценных бумаг определяется
в соответствии с учетной политикой организации одним из методов
оценки: по средней себестоимости, по себестоимости первых по времени
закупок (ФИФО), но себестоимости последних но времени закупок
(ЛИФО).
В течение отчетного года используется один метод оценки.
Отдел бухгалтерского учета представляет руководству фирмы и в
официальные инстанции бухгалтерские отчеты по установленной форме.
Отдел бухгалтерского учета участвует в подготовке справок о состоянии
клиентских счетов. Эти справки рассылаются клиентам ежемесячно
и позволяют иметь достоверную информацию о совершенных операциях
с денежными средствами и ценными бумагами клиента.
Создание и функционирование отдела дивидендов и отдела по работе
с реальными владельцами связано с проблемами реальной и номинальной
собственности. Клиент, являясь владельцем ценных бумаг, — реальный
владелец.
После того как клиент отдает ценные бумаги и денежные
средства в управление брокерской фирме, последняя становится
номинальным владельцем.
При начислении дивидендов на обыкновенные акции они будут перечислены
на счет брокерской фирмы, т.е. номинального владельца.
Функции отдела дивидендов:
• составление списка клиентов, которым причитается полученный
фирмой совокупный дивидендный доход;
• кредитование счетов клиентов, которым полагается дивиденд, соответствующими
суммами;
• подготовка требований контрагентам о выплате фирме причитающихся
дивидендов, не полученных в связи с особенностями дивидендного
цикла или ошибок.
Отдел по работе с реальными владельцами осуществляет рассылку
информации, полученной фирмой от эмитентов как номинальных держателей.
Отдел высылает реальным владельцам бланки запросов на
голосование (proxy). «Proxy» представляет собой сочетание бюллетеня
и доверенности, в котором указаны вопросы, поставленные на повестку
дня общего собрания акционеров, т.е. вопросы, требующие решения
путем голосования. Получив заполненные бланки от клиентов, сотрудники
отдела по работе с реальными владельцами обрабатывают их, подсчитывают
голоса, и фирма выступает на собрании в качестве номинального
держателя.
Необходимость создания бэк-офиса брокерской фирмы была определена
спецификой деятельности брокеров и дилеров и тем, что учет операций
с ценными бумагами в рамках бухгалтерии фирмы не в полной
мере отвечает задачам оперативного управления и принятия инвестиционных
решений.
Важнейшей задачей бэк-офиса брокерской фирмы является оперативность
учета ценных бумаг и денежных средств, что становится возможным
при его программном обеспечении.
БРОКЕРСКОЕ ОБСЛУЖИВАНИЕ КЛИЕНТОВ И ВИДЫ КЛИЕНТСКИХ ПРИКАЗОВ
Основным условием торговли ценными бумагами является наличие спроса и предложения, которое выражается через механизм введения заказовна покупку и продажу в процессе торга.
На организованном рынке оформление заказов на покупку и продажу
формализовано и имеет определенные стандарты. На стихийном
рынке продавец и покупатель включаются в процесс торговли; в связи
с этим отсутствуют формальные требования к оформлению спроса и
предложения. Когда же торговля осуществляется через посредника (брокера),
то для эффективного выполнения приказов клиента необходимы
четкие указания.
Технология биржевой торговли ценными бумагами предполагает, что
имеющийся спрос оформляется согласно правилам работы биржи заявкой
на покупку (заказом на покупку), а предложение - заявкой на продажу
ценных бумаг (заказом на продажу).
Современный инвестор имеет возможность дать разнообразные поручения
своему брокеру по заключению сделок с ценными бумагами,
котирующимися на бирже. Вид и способ обработки поручений зависит
от того, какой клиент осуществляет поручение и каковы параметры
заключаемой сделки. Заявку (заказ) может оформить любое физическое
или юридическое лицо (клиент), имеющее договор с брокером, который
может выполнить данный заказ на бирже. В свою очередь институциональными
инвесторами - клиентами брокера могут быть коллективные
инвесторы (например, инвестиционные компании, паевые инвестиционные
фонды и т.д.), юридические лица (резиденты и нерезиденты),
иностранные банки и брокеры. Процесс обработки поручения брокером
будет зависеть также и от того, осуществляется ли доверительное управление
активами клиента. Инвестор может поручить брокеру не только
купить те или иные ценные бумаги наиболее предпочтительного с eгo
точки зрения эмитента, но и оговорить в заявке условия сделки. Мелкие
индивидуальные инвесторы, которые предпочитают заключить сделку
быстро и с минимальными издержками, дают поручение на стандартную
сделку своему менеджеру в отдел по работе с клиентами. Такие
поручения поступают на сделки с ликвидными ценными бумагами, имеющими
нормальный рыночный размер (NMS - - normal market size), и
сделка может быть заключена сразу. Она завершается дебетованием
денежного счета или по желанию клиента путем осуществления наличного
расчета через кассу. При этом наличные ценные бумаги вручаются
день в день или переводятся на счет депо.
В отличие от стандартных, индивидуальные сделки частных инвесторов
требуют обработки различных параметров поручения, которое
клиент дает брокеру. После консультации с менеджером и получения
детальной информации о состоянии рынка, индексах, а также об эмиссионных
характеристиках ценных бумаг (например, условиях и порядке
выплаты дохода эмитентом) клиент отдает поручение.
Поручение - это конкретная инструкция клиента, которая должна содержать необходимую
информацию для совершения сделок.
Во-первых, должен быть определен вид операции, указывающей положение
клиента в сделке как покупателя или продавца (заказ или предложение),
указаны номер договора, код брокера, вид ценной бумаги, ее
точное наименование, которое фигурирует в курсовом бюллетене. Кроме
того, если бумаги котируются по сериям, как, например, «Облигации
государственного сберегательного займа», то следует указать и серию.
Подавая заявку на акцию, необходимо уточнить ее категорию, например,
простая или привилегированная акция. Если эмитент имеет несколько
выпусков облигаций, обязательно уточняется год выпуска ценной бумаги,
указанной в заявке. Объединение этих распоряжений не случайно.
Общее правило по кассовым сделкам «спот» на ведущих фондовых биржах
мира состоит в том, что биржевая заявка действительна на всех биржевых
торгах того месяца, в течение которого была подана. После последних
биржевых торгов текущего месяца она теряет силу. Если брокер
получил «контингентный» заказ, то он должен одновременно покупать
одни ценные бумаги и продавать другие фо1щовые ценности.
Во-вторых, должно быть указано количество ценных бумаг, т.е. определен
объем заявки. В связи с существующей классификацией приказов
они различаются следующим образом: заявки, в которых указано
(lot round), партия ценных бумаг, являющаяся единицей сделок, обычно
100 акций или неполный лот (odd lot); любое количество акций, меньшее
единицы сделок, например, менее 100 акций или приказ на покупку нестандартной
партии ценных бумаг. Конкретная величина лота, принимаемая
на бирже, называется фасовкой, или торговой мерой. Обычно,
по правилам электронной торговли, клиент может заказать любое количество
ценных бумаг, самые крупные приказы исполняются в первую
очередь.
В-третьих, в каждом поручении должен быть определен срок его исполнения:
текущий биржевой торг, перенос сроков, условия продления
этих сроков и тип сделки (кассовая сделка «спот», срочная сделка «форвард
»; опцион «кол», опцион «пут»).
Однако клиент всегда может изменить срок действия своего поручения,
и, рассматривая классификацию по времени их действия, следует
выделить такие приказы:
• на один день (day order);
• на одну неделю;
• до момента исполнения приказа или исгечения срока — открытый
приказ (good till cancelled — GTC);
• по открытию (opening order) или закрытию (close order).
Поручение, подлежащее исполнению в течение дня, в котором оно
передано, считается в мировой практике дневным. Поручение, выданное
клиентом без временного ограничения, остается в силе до последнего
биржевого дня месяца. Брокеры могут по желанию клиента продлить
срок таких приказов до 60 или 90 дней, а затем вновь запрашивают своих
клиентов, желают ли те снова продлить сроки. Приказы «на момент
закрытия» .могут быть введены в любое время рабочего дня, но будут
выполнены настолько близко ко времени закрытия биржи, насколько
позволяют условия сделки. Приказ «при открытии»,
должен быть в течение нескольких минут после открытия биржи введен
в систему биржевого торга до определенного, строго фиксированного
часа. На некоторых биржах заявки на приобретенные акции, связанные
с реализацией права акционера на преимущественное приобретение дополнительных
акций при увеличении уставного капитала, обычно действуют
в течение всего периода подписки на акции.
Если же сделка срочная, то обычно заявка действительна до даты
текущей ликвидации сделки, т.е. текущего расчета, если участник сделки
не ограничил срок действия своего поручения более ранней датой. На
некоторых биржах существуют исключения, например, поручения на
куплю-продажу по первому («первый курс») и последнему курсу действительны
лишь в течение одного заседания биржи.
В-четвертых, важным условием каждого поручения является уровень
цены, поэтому приказы классифицируются по следующим типам:
• рыночный приказ (market order);
• приказ, ограниченный условиями (limit order);
• стоп-заказ (stop order).
Именно типы приказов отражают конкретную стратегию клиента
на фондовом рынке.
Если клиент поручает брокеру купить или продать определенное количество
ценных бумаг по текущему рыночному курсу, купить или про-
дать определенные ценные бумаги на фиксированную сумму по усмотрению
брокера либо предоставляет нрава брокеру действовать в рамках определенной клиентом суммы, оставляя выбор ценных бумаг, их
количество, направление сделки, цену на его усмотрение, то брокер имеет
право брать цену с рынка, т.е. выполнять данное поручение как рыночный
приказ. Таким образом, если не указан лимит на сумму, поручение
на покупку считается как «по минимальной цене», а поручение на продажу
выполняется «наилучшим образом». Следовательно, если клиент
хочет купить ценные бумаги с инвестиционными целями, т.е. для увеличения
капитала в течение длительного периода, то текущая цена не
может быть существенным фактором, и отдается рыночный приказ.
Брокер в любом случае постарается получить наилучшую возможную
цену. При этом он имеет право выполнить приказы, поступающие
до открытия биржи, полностью по первому котируемому курсу, а
приказы, поданные в ходе заседания биржи, — учитывая возможности
рынка с момента их поступления. Все приказы, где нет цены, считаются
рыночными, т.е. их можно продавать или покупать по наиболее
выгодному для клиента курсу на момент распоряжения последнего о
сделке.
Клиент, который имеет краткосрочные цели и хочет получить доход
от перепродажи ценных бумаг, устанавливает ценовой лимит, т.е. цену,
по которой должна состояться сделка, если брокер не сможет получить
лучшую. В этом случае он предлагает брокеру купить ценные бумаги
по фиксированному курсу или ниже или продать ценные бумаги по фиксированному
курсу или выше, иначе говоря, клиент отдает лимитный
приказ, в котором установлен минимальный курс покупки или максимальный
курс продажи. Трудно ожидать, что такие заказы будут исполняться
сразу же по прибытии на биржу, поэтому они заносятся в книгу
лимита заказов.
Данный приказ может иметь различные оговорки, конкретизирующие
полномочия брокера, и по существу требуют от него знания нынешней
конъюнктуры фондового рынка для успешного определения курса
и времени проведения сделки.
«Лучший приказ» (better order) обязывает брокера всегда стремиться
получать цену лучшую, чем цена ограниченного приказа. Приказ,
оцененный как «лучпшй», показывает, что лимитная цена выше рыночной
(при покупке) или ниже (в случае продажи).
Если брокер получил приказ выполнить по возможности, остальное
отменить (immediate-or-cancelled-IOC), приказ выполняется немедленно
либо полностью, либо частично, а невыполненная часть отменяется. Возможна
и более жесткая форма приказа — выполнить или отменить (fill
or kill) «горящий» приказ. Этот приказ исполняется полностью и немедленно
по получению, иначе он должен быть отменен.
Приказ «не понижать» (do not reduce) содержит указания о том, чтобы
ограничения по приказу не были снижены на сумму дивиденда в случае,
если с ценными бумагами производятся сделки без выплаты дивидендов
наличными. Приказ «не понижать» применяется только к обычным
наличным дивидендам.
Приказ «не повышать» определяется как ограниченный приказ на
покупку, стон-приказ на продажу или стоп-ограниченный приказ на продажу,
который не должен быть повышен на сумму акций, покупаемых
без дивидендов.
Если котируемый курс выше установленного в заявке лимита при
продаже и ниже при покупке, то заявки исполняются, и торговля ценными
бумагами для клиента осуществляется непрерывно. Однако лимитный
заказ позволяет остановить торговлю ценными бумагами для клиента,
как только их цена выходит из определенного интервала. К такому
приему клиент прибегает в том случае, если желает, чтобы брокер
продавал его акции, но до тех пор, пока цена снизится до установленного
в лимитном заказе предела, с целью сокращения убытков от падения
цены. Напротив, если цена акции растет, а инвестор желает приобрести
эти ценные бумаги, то его брокер покупает их в тот момент, когда курс
ценной бумаги совпадает с «лимит-ценой», на которой клиент просил
остановить покупку ценных бумаг. Лимитные приказы неэффективны
тогда, когда биржевая цена близка к курсу, зафиксированному в приказе,
но не достигает его.
Одной из особенностей «стоп -приказа», название которого произошло от выражения «stop loss» ограниченные потери, является возможность
его использования для хеджирования от возможных потерь (убытков)
или от возможного сокращения «бумажной прибыли». Одно из правил
работы с ценными бумагами гласит: нельзя покупать ценные бумаги
при самом высоком курсе, а продавать при самом низком. С помощью
«стоп -заказа», или, как его еще называют, порогового поручения, клиент
устанавливает свой, приемлемый для него минимальный уровень
при продаже и максимальный при покупке. Стоп-приказ — это приказ
продавать (покупать) в случае падения (роста) до определенного уровня
или ниже (выше). Например, если клиент купил акции по 90 единиц,
рассчитывая их продать по большей цене, однако вопреки прогнозам
курс акции пошел вниз, то его брокер имеет «стоп-цену» продажи 88
единиц, таким образом, клиент знает, что его максимальные потери от
падения курса не будут превышать 2 единиц.
Заявка на продажу («стоп-приказ») ценной бумаги превращается в
рыночную заявку в тот момент, когда она продается по котируемому
курсу, равному или более низкому, чем цена «стоп-заказ».
Если спекулянт совершает срочную сделку, рассчитывая на понижение
курса, и имеет договор, по которому к концу месяца должен поставить
ценные бумаги по 80 единиц, а курс неожиданно для него пошел
вверх, то его брокер имеет «стоп-цену» покупки 82 единицы, таким образом
он ограничивает свои потери 2 единицами.
Аналогично «стоп-заказ» используется и для сокращения потерь прибыли.
Инвестор, имея некоторую «бумажную прибыль», которую не
хочет превратить в наличность, в частности потому, что рассчитывает
на рост курса, вместе с тем страхует себя от ее потери.
При падении курса его брокер имеет поручение продать акции при достижении курсом порогового значения.
Например, инвестор приобрел ценные бумаги за 60 единиц, в настоящее
время биржевой курс — 70 единиц, и есть надежда на рост курса,
«бумажная прибыль» — 10 единиц. Однако если курс упадет до 68 единиц,
брокер продаст ценные бумаги, таким образом, «недополученная
прибыль» не будет превышать 2 единиц.
Таким образом, инвестиционные цели клиента всегда конкретны, между
тем, вводя приказ просто как рыночный или лимитный, брокер не может
учесть их в полной мере. Поэтому существует пятый вид классификации
приказов по конкретным распоряжениям (или особым реквизитам):
• приказ на собственный выбор;
• «связанный заказ»;
• «лучший приказ»;
• приказ на выполнение по возможности, остальное отменить и выполнить
или отменить;
• не понижать, не повышать;
• приказ «или-или»;
• приказ «с переключением», «сначала ..., а затем ...»;
• «все или ничего»;
• приказ «приму в любом виде»;
• приказ «проявить внимание».
Приказ на собственный выбор передается в том случае, если между
брокером и его клиентом установились доверительные отношения, и
последний полагается на знание брокером конъюнктуры фондового рынка,
тогда в его заявке может быть указано:
• купить определенные ценные бумаги на фиксированную сумму по
усмотрению брокера;
• продать определенные ценные бумаги по усмотрению брокера.
Клиент может передать «дискретное поручение», которое предоставляет
брокеру право действовать в рамках определенной суммы. Причем
в этом случае выбор ценных бумаг, их количество, направление
сделки, цены и время выполнения выбирает брокер. Такой заказ фактически
означает передачу брокеру всех полномочий в области принятия
инвестиционных решений. Неограниченные полномочия требуют высокой
квалификации и безупречной репутации брокера.
Близок по значению к дискретному поручению и «связанный заказ».
Он предполагает, что брокер исполнит для клиента в течение одной биржевой
сессии ряд сделок по покупке ценных бумаг и по продаже. Иногда
клиент назначает разницу, которая должна быть между курсом продажи
и покупки.
Клиенту, в частности, предоставляется право поставить
в зависимость заключение одной сделки от заключения или не заключения
другой. Приказ «или-или» предполагает, что заключение одной из
сделок автоматически отменяет все остальные заказы. Приказ «с переключением» означает, что выручка от продажи одних ценных бумаг
может быть использована для покупки других. Несколько иначе формулируется,
но близок к нему по значению приказ «сначала ..., а затем ...»,
выполнение которого также предполагает покупку и продажу ценных
бумаг в последовательности, обязательной для брокера, «сначала» продать,
а «затем» купить ценные бумаги, или наоборот. Например, клиент
может пожелать «сначала» совершить продажу, чтобы иметь денежный
резерв для торговли ценными бумагами, «а затем» совершить покупку.
Приказ «все или ничего» означает, что брокер должен купить
или продать все акции, указанные в заказе, прежде чем клиент согласится
с исполнением заявки. Приказ «приму в любом виде» предполагает,
что клиент примет любое количество ценных бумаг из указанных
им в заявке, вплоть до заказанного максимума.
Приказы подаются либо накануне биржевого торга, либо в процессе
его. Техника передачи биржевых приказов весьма разнообразна:
можно воспользоваться услугами курьера, отправить заказное письмо
по почте, послать заверенную телеграмму или телекс, использовать
телефакс. Если есть взаимосогласованный документ, подтверждающий
периодическую силу заявок по телефону или сетям компьютерной связи,
то возможно и таким путем передавать информацию своему брокеру.
Так или иначе, приказ, оформляемый в письменном виде, передается
менеджеру, который должен сразу письменно подтвердить его получение
с указанием даты и времени. После этого менеджер обязан проверить
поручение на достоверность и прежде всего распорядительные
полномочия клиента.
Для того чтобы заказ был исполнен, клиент должен предоставить
гарантии оплаты приобретаемых ценных бумаг. Если торговля организована
по принципу «с полным обеспечением», то необходимо предварительное
депонирование и ценных бумаг, и денежных средств, которые
предполагается использовать в процессе биржевого торга. Если нет,
то гарантиями исполнения сделки со стороны покупателя могут быть
представление брокеру простого векселя на полную сумму сделки либо
перечисление на его счет суммы в определенном проценте от суммы
сделки, которая является залогом и может быть использована брокером,
если клиент не выполнит свои обязательства, либо открытие брокеру
текущего счета (с правом распоряжения) на сумму, составляющую определенный
процент от суммы сделок, поручаемых последнему в течение
полугодия.
Можно также предоставить брокеру аккредитив на полную сумму сделки или страховой полис. Однако самым эффективным
средством расчета является банковская гарантия, по которой банком
должны быть оплачены все обязательства клиента по первому требованию
брокера. Такая форма расчетов не отвлекает финансовые ресурсы
из оборота брокера или его клиента и максимально приближает время
совершения сделки и время платежа.
Если клиент направляет менеджеру заявку-предложение с поручением
продать ценные бумаги, то одновременно он должен направить брокеру
сами ценные бумаги, предназначенные для продажи, или сохранную
расписку (заверенную руководителем и главным бухгалтером).
Сохранная расписка содержит обязательство выдать ценные бумаги по
первому требованию брокеру или другому лицу, имеющему доверенность
от брокера.
Современные системы торговли все больше ориентируются на торговлю
с полным обеспечением поданных поручений. Обычно менеджер.
принимающий поручения клиентов, не имеет самостоятельного доступа
в торговые системы, где данное поручение будет исполняться. Поэтому
он направляет поручение брокеру, работающему на бирже, либо
в то подразделение, которое будет обеспечивать исполнение поручения.
Пред торговая фаза обработки поручений обеспечивает трансформацию
поручений клиентов в заявки или ордера, которые могут подаваться
в систему торгов. Часто для этого используются электронные системы,
которые обеспечивают обработку поручений, регистрацию (прием)
заявок и передачу их исполняющему брокеру (маклеру). Брокер анализирует
ситуацию, складывающуюся на рынке, просматривает все поданные
заявки, вносит необходимые с его точки зрения коррективы по
любым параметрам, уточняет состав открытых приказов.
Формирование заявок на куплю-продажу ценных бумаг может осуществляться
брокером в электронной системе на основе приказов клиентов,
которые несут полную ответственность за соответствие поданных
заявок этим поручениям. Исполнение заявок осуществляется в процессе
биржевого торга. Есть определенные особенности, отличающие
процесс исполнения заявок в ходе биржевой сессии в режиме открытого
выкрика и электронных торгов.
Для проведения операций с ценными бумагами на торгах, организованных
по методу открытого выкрика, технология обработки поручений
следующая. Первым этапом процесса является передача поручения
биржевому брокеру. Брокер записывает все инструкции на дилерском
бланке, на котором часто проставляется отметка текущего времени.
Инструкции немедленно передаются клеркам брокера, работающим в
соответствующих секциях операционного зала (обычно клерки располагаются в кабине, находящейся вне торговой зоны). Они регистрируют
поступившее поручение и связываются с трейдерами «на полу» (в
«яме»), которые затем приступают к выполнению поручения. В ходе
торгов трейдеры передают все детали о ситуации в кабину клерков, а
оттуда информация передается в офис брокерской фирмы и клиенту.
В электронной системе торгов сделки с ценными бумагами заключаются
в соответствии с предварительно подготовленными на основе
поручений клиентов электронными заявками на покупку/продажу ценных
бумаг. Подача заявки в систему торгов означает безоговорочное
согласие совершить сделку на условиях, указанных в ней. Заявка, таким
образом, является офертой, адресованной всем участникам торгов.
Заявке присваивается идентификационный номер в системе торгов.
Применяются различные виды заявок в системе электронных торгов:
лимитные заявки с сохранением или без сохранения в котировках;
рыночные заявки с сохранением или без сохранения в котировках; заявки
периода закрытия. Информация, которая содержится в заявках, незначительно
различается в зависимости от их видов. Так, во всех заявках
на заключение сделок должны быть указаны: вид заявки (заявка с
сохранением или без сохранения в котировках); код участника торгов,
направленность заявки (заявка на покупку или заявка на продажу); наименование
ценной бумаги; количество ценных бумаг, выраженное в лотах;
позиция по ценным бумагам (количество ценных бумаг, которые
могут быть использованы в качестве обеспечения заявок на продажу в
течение торгов), в счет которой подана данная заявка. В лимитной заявке,
кроме того, фиксируется цена за одну ценную бумагу; в качестве
цены в заявке периода закрытия указывается цена закрытия, определяемая
в соответствии с правилами торговли. При отсутствии цены закрытия
заявка периода закрытия не принимается к исполнению. В рыночной
заявке также может указываться цена за одну ценную бумагу (если
вид заявки — рыночная заявка с сохранением в котировках).
Заявки подаются трейдерами с рабочих мест, находящихся в торговом
зале или с удаленных рабочих мест. При приеме заявки в системе
торгов автоматически фиксируется время ее ввода и присваивается идентификационный
номер. Все заявки, находящиеся в очереди в системе
торгов, могут быть сняты или изменены путем ввода участником торгов
соответствующего распоряжения. Внесение изменений в заявку, находящуюся
в очереди в системе торгов, осуществляется исключительно
путем отмены прежней и введения в систему торгов новой заявки.
Изменение реквизитов заявки рассматривается в системе торгов как
снятие первоначальной заявки и подача новой и влечет за собой ее перемещение
в конец очереди по времени подачи.
ОРГАНИЗАЦИЯ ТОРГОВ НА ФОНДОВОМ РЫНКЕ
Процессы, происходящие на фондовом рынке, приводятк тому, что различия в организации биржевых торгов и торговли на внебиржевом
организованном рынке стираются. Технологически любая из
современных систем торговли может происходить в режиме биржевой и
внебиржевой торговли. Однако исторически именно биржевая торговля
определяла стандарты организации торгов.
Организация торговли оказывает значительное влияние на ее стабильность
и ликвидность. Ее формы зависят в основном от состояния
фондового рынка, а именно от его глубины, ширины и уровня сопротивляемости.
Чем больше объем спроса и предложения на ценные бумаги,
тем рынок шире; чем крупнее объемы заявок инвесторов и концентрированнее
спрос и предложение, тем глубже вторичный рынок. Сопротивляемость
связана с диапазоном цен, в котором участники рынка готовы
покупать или продавать ценные бумаги. Основной задачей биржи
является установление рыночной цены путем использования различных
форм организации биржевой торговли.
Можно выделить четыре основные формы организации биржевой
торговли, в которых различаются механизмы установления рыночной
цены:
• аукцион;
• система со специалистами;
• система с котировками, устанавливаемыми маркет- мейкерами,
• система, основанная на заявках.
Рассматривая вопрос в историческом аспекте, следует отметить,
что на первых биржах в качестве механизма установления рыночной
цены использовался исключительно аукцион. Такая форма организации
биржевого торга широко известна и в настоящее время обычно
применяется при первичном размещении ценных бумаг. Она используется
и на вторичном рынке для торговли мало ликвидными ценными
бумагами, — если различные условия функционирования рынка изменяются,
существует разрыв между спросом и предложением и цена
подвержена влиянию многих факторов, сделки заключаются редко, а
цена сильно колеблется. Биржевая торговля, организованная в форме
аукциона, предполагает подачу и сравнение заявок. Классификация
аукционов приведена на рис, 1
При небольшом объеме спроса или предложения торговля организуется
в форме простого аукциона (рис. 15).

Такой аукцион может быть организован либо продавцом, который получает предложение покупателей
(аукцион продавца), либо покупателем, который ищет выгодное
предложение от ряда потенциальных продавцов (аукцион покупателя).
В России биржевая торговля также возрождалась, начиная с простых
аукционов продавцов по типу английского аукциона, когда продавцы
до начала торговых собраний подают свои заявки на продажу фондовых
ценностей по начальной цене. Они сводятся в котировочных бюллетенях,
которые раздаются участникам биржевого торга. В ходе аукциона,
если есть конкуренция покупателей, цена последовательно, шаг
за шагом повышается (размер шага аукциона определяется до начала
торгов), пока не остается один покупатель, и ценные бумаги продаются
по самой высокой цене предложения.
Таким образом, английский аукцион
— это прямая борьба между покупателями, последовательно повышающими
цену, и последним покупателем, предложившим самую высокую
цену, по которой приобретается биржевой товар (см. рис. 15).
По правилам голландского аукциона продавец назначает максимальную
цену, заведомо зная, что его начальная, стартовая цена завышена,
и ведущий торги последовательно предлагает все более низкие ставки
за выставленный лот, пока какая-либо из них не принимается. В этом
случае ценные бумаги продаются первому покупателю, которого устраивает
предложенный курс. Таким образом, голландский аукцион заключается
в последовательном снижении максимальной цены продавца
до уровня, приемлемого для покупателя, и признаваемого в качестве цены,
по которой заключается сделка (см. рис. 15).
На аукционе «в темную», или так называемом закрытом (заочном),
все покупатели предлагают свои ставки одновременно, и ценные бумаги
приобретает тот, кто сделал самое высокое предложение (см.
рис. 15). Такой тип аукциона Министерство финансов Российской
Федерации использовало при размещении государственных краткосрочных
облигаций (трехмесячных, шестимесячных и годовых). Покупатели
(физические и юридические лица) представляют свои ставки
одновременно до оговоренного срока, и размещение осуществляется
по ценам, указанным в заявке. Эти цены выше цены отсечения нижней
цены размещения данного выпуска или равны ей. Таким образом, закрытый
аукцион основан на предварительном сборе заявок, ранмсировании
и выборе наиболее привлекательных из них.
Нетрудно заметить, что простой аукцион предполагает конкуренцию
либо продавцов (в условиях избытка фондовых ценностей и недостатка
платежеспособного спроса), либо покупателей (при избытке платежеспособного
спроса и монопольном положении продавцов ценных
бумаг). При отсутствии этих факторов, а также при достаточной глубине
и ширине фондового рынка наиболее эффективной оказывается
система двойного аукциона (см. рис. 15). Он предполагает наличие
конкуренции между продавцами и покупателями. Двойные аукционы
как форма организации биржевой торговли наиболее полно соответствуют
природе фондового рынка. В свою очередь, имеются две формы двойных
аукционов: онкольный рынок и непрерывный аукцион (см. рис. 15).
Состояние рынка ценных бумаг, а именно его ликвидность, предопределяет
выбор формы двойного аукциона. Если сделки на рынке осуществляются
редко, существует большой разрыв между ценой покупателя
и ценой продавца (этот разрыв в биржевой котировке называется «спрэдом»),
а колебания цен от сделки к сделке велики, и сделки носят не регулярный
характер, то такой рынок нельзя назвать ликвидным, и биржевая
торговля практически не может быть организована в форме непрерывного
аукциона.
Более приемлемым является организация биржевой торговли
по типу онкольного рынка с редким шагом. Чем менее ликвиден рынок,
тем реже шаг аукциона и длительнее период накопления заявок на
покупку и продажу ценных бумаг, которые затем «выстреливаются залпом
» в торговый зал для одновременного исполнения. При неустойчивом
рынке, испытывающем резкие колебания цен для достижения относительной
стабильности, аукцион временно прекращается, и это наиболее эффективно
при онкольной форме двойного аукциона. С точки зрения техники
проведения, аукцион может быть голосовым или устным (см. рис.
15). При этом собираются биржевые посредники для устного сопоставления
заявок клиентов, находящихся в их портфеле. Делается это с целью
установления равновесия между заявками на покупку и заявками на продажу:
заявки на продажу с одинаковыми параметрами в процессе торга
исполняются.
В шумной атмосфере, царящей на голосовых рынках, трудно сориентироваться,
НС прибегая к определенным жестам. Эти жесты были выработаны
историей биржевых аукционов, например, «аукцион выкриков» (out
cry system) имеет достаточно глубокие исторические корни. Федеральное
правительство США в 1790 г. выпустило на 80 млн долл. облигаций для
рефинансирования своего долга, связанного с войной за независимость.
Облигации вызвали большой интерес у спекулянтов, и вскоре неформальная
торговля в кофейнях и конторах уступила место регулярным аукционам,
проводимым в полдень на Уолл- Стрит. Ведущий аукцион в окружении
собравшихся выкрикивал названия отдельных ценных бумаг по порядку
одного за другим. После объявления выпуска участники аукциона
выкрикивали свои предложения: одни называли цену, по которой они согласны
купить ценные бумаги, - - bid price («цена покупателя»), другие -
цену ask price, по которой согласны продать («цена продавца»).
Таким образом, нетрудно заметить, что онкольному рынку соответствует
такая временная конфигурация, как залповый аукцион. Рассматривая
вопрос в историческом аспекте, следует отметить, что заказы
вводились либо устно, либо письменно, либо организация торгов осуществлялась
полуписьменно, полуустно. При устном вводе уполномоченный
биржи ведет аукцион по каждому выпуску от цены последней
сделки вчерашнего дня. По мере поступления заявок он увеличивает или
уменьшает цену, пока не наступает наибольший баланс спроса и предложения,
таким образом, максимизирует оборот. При этом брокер может
изменить свой первоначальный заказ. Каждый из участников торга
знает о неукоснительном соблюдении приоритета цены, а при прочих
равных условиях и второго приоритета объема, т. е. количества указанных
в заявке ценных бумаг.
Например, в Париже устный аукцион использовался при торговле крупными, активными выпусками. Он обходится дороже, чем полуписьменный,
полуустный. При его проведении
заявки на покупку и продажу сосредоточиваются в специальном журнале
(отдельном для каждой ценной бумаги). Механизм указанного способа
основывается преимущественно на деятельности котировщика-служащего.
До начала заседания биржи маклеры стараются исполнить поступившие
к ним рыночные заявки на основе голосового аукциона. И только
после этого неисполненные заявки передают для регистрации в журнал.
Сопоставляя заказы для увеличения оборота, специалист прибегает
к поиску держателей заявок на рассматриваемую ценную бумагу.
Ликвидный рынок предоставляет возможность использовать письменный
ввод заказов в биржевой аукцион (см. рис. 15).
При письменном вводе заказов исходная цена устанавливается курс-
маклером (официальным брокером), который концентрирует заявки на
покупку и продажу, а затем устанавливает цену, максимизирующую
оборот. Подавая заявку заранее, брокер не может изменить свой первоначальный
заказ, поэтому приоритет времени, который действует на
любом устном аукционе, в случае письменной подачи заявки теряет
смысл. В итоге определяется клиринговая цена, по которой продавцы и
покупатели заключают сделки, таким образом, каждый «залп» «очищает
» рынок от наибольшего количества заказов. При ликвидном рынке
«залпы» осуществляются несколько раз в течение биржевого дня. Крупнейшие
залповые рынки ^ это биржи Австрии, Бельгии, Германии и
Израиля. Частые залпы свидетельствуют о наличии постоянного спроса
и предложения на ценные бумаги, ликвидности рынка, позволяют перейти
к непрерывному аукциону, который в свою очередь имеет три
вида (см. рис. 15).
Первый из них — использование книги заказов, куда заносятся устно
передаваемые брокерами заявки, которые исполняются клерком (уполномоченным
биржей) путем сличения объемов и цен. Таким образом осуществляется
подбор заказов, благодаря которому конкретные покупатели
торгуют с конкретными продавцами, причем в сделке могут участвовать
несколько заказов. Так, крупный заказ на покупку может
исполняться несколькими заказами на продажу, и наоборот.
Второй вид непрерывного аукциона — «табло» (см. рис. 15), на котором
указывается наилучшая пара цен на каждый выпуск (наивысшая —
при покупке, наименьшая — при продаже). Маклер группирует поступившие
заявки и определяет по каждому виду ценных бумаг курсовые пожелания (наивысшую — при покупке, наименьшую — при продаже).
Эти цены выводятся на табло или экран рабочего места брокера. Например, на табло Нью-Йоркской фондовой биржи по акциям какой-либо корпорации указано
«17 и 3/8 к 17 и 3/4» или «3/8, 3/4». Это означает, что 17 и 3/8 — наилучшая
цена спроса, а 17 и 3/4 — наилучшая цена предложения.
Данные цены служат основой для корректировки собственных заявок
и построения стратегии игры в процессе биржевого торга. Проанализировав
ситуацию, брокеры сами вводят цены на табло, которые видны
всем трейдерам, находящимся в торговом зале. Заказы размещаются
на табло в хронологическом порядке, поэтому приоритет времени
играет определяющую роль. Заказ может быть не выполнен, если аналогичные
заказы на ту же цену приходят раньше и поглощают заказы
противоположной стороны рынка. Причиной невыполнения данного заказа,
таким образом, может быть «опережение» заявки на акции. Если
диапазон цен, который, как уже отмечалось, характеризует уровень
сопротивляемости рынка, большой, то маклер может внести корректировки
в ходе биржевой торговли, исключив те заявки, которые слишком
отрываются от цен спроса и предложения. Сама организация биржевой
торговли позволит повысить ликвидность рынка путем установления
предельного «спрэда».
Третий вид непрерывного аукциона — толпа (см. рис. 15). Трейдеры
собираются вокруг клерка (уполномоченного биржи), который лишь
объявляет поступающий в торговлю выпуск, а затем сами делают все
остальное (выкрикивают котировки, отыскивая контрагента). Сделки
в «толпе» заключаются по разным ценам, причем один покупатель может
заключить сделку с разными продавцами, не пытаясь определить
некую общую цену. Трудно себе представить торговлю «толпой» на
больших биржах, оснащенных современной компьютерной техникой, по
активным выпускам крупнейших компаний. Однако и у этого вида непрерывного
аукциона есть определенные преимущества, которые заключаются
в объединении заказов для долговых рынков, что позволяет
«очистить рынок» от ценных бумаг, максимально увеличив количество
исполняющихся заказов.
Таким образом, мы видим, что «залповый» аукцион способствует
установлению единой, наиболее справедливой с точки зрения рынка
цены, а на непрерывном аукционе цена колеблется от сделки к сделке,
поэтому попытка применить этот способ на рынке, объемы спроса и
предложения на котором незначительны либо число участников биржевой
торговли ограничено, могут привести к росту колебаний цен от сделки
к сделке в силу неравномерности поступления заявок и, возможно, к
биржевой панике.
Организация биржевой торговли и ее эффективность зависят не только
от формы аукциона, принятой на той или иной бирже, но и от роли
биржевых посредников в процессе ее осуществления. Облик биржевой
торговли определяет работа биржевых посредников, их статус и порядок
участия в торгах. Как уже упоминалось ранее, для установления
рыночной цены могут быть использованы:
• система со специалистами;
• система с котировками, устанавливаемыми маркет-мейкерами;
• система, основанная на заявках.
Биржа — это царство посредников, и трудно найти фондовую биржу,
на которой операции с фондовыми ценностями осуществляли бы
сами инвесторы. Однако основная цель биржи — организовать торговлю,
которую осуществляют профессионалы рынка брокеры и дилеры,
— с целью исполнения заявок инвестора. Для этого может быть
использована система со специалистами, которая обеспечивает торговлю
через посредничество. Особенно наглядно это иллюстрирует исторический
пример.
В 1875 г., согласно преданию, травма ноги, полученная брокером по
имени Джеймс Бойд, способствовала введению в действие практики, которая
впоследствии стала главной отличительной чертой современной
американской фондовой биржи. Потеряв способность передвигаться по
залу, Дж. Бойд рещил предложить брокерские услуги только по одному
наименованию акций — по акциям «Вестерн Юнион Компани». Осуществляя
функции центральной клиринговой (расчетной) палаты, Дж. Бойд
скоро обнаружил, что его возможности по совмещению поручений на продажу
и покупку акций возросли. Благодаря этому к нему стало поступать
еще больше заказов от других брокеров. Существенная часть предложений
поступала от тех брокеров, которым их клиенты поручили совершить
сделки с акциями «Вестерн Юнион Компания» по ценам выше
либо ниже преобладающей рыночной цены. Для того чтобы устраивать
другие свои сделки, требовавшие их присутствия в разных местах биржевого
зала, брокеры оставляли свои заказы по акциям «Вестерн Юнион
Компани» Дж. Бойду с тем, чтобы он выполнял их по мере возможности.
Таким образом, Дж. Бойд стал первым «специалистом» на Нью-Йоркской
фондовой бирже. Тот тип поручений, который он выполнял для других
брокеров, стал известен под названием «лимитные поручения». В качестве
центра притяжения потока предложений Дж. Бойд стал привлекать
также тех брокеров, которые искали возможность совершить сделку по
наилучшей цене в соответствии с «рыночными поручениями» своих клиентов.
Такие поручения не содержали указаний относительно лимита цены
и должны были реализовываться «в соответствии с рынком».
Преследуя аналогичные выгоды, другие брокеры стали копировать
практику Дж. Бойда, выбирая для себя другие акции. Вскоре эти специалисты
осознали, что исполнение ими роли расчетных палат позволяло
обладать привилегированной информацией относительно спроса и предложения
по избранным ими ценным бумагам. Эта информация могла
быть использована для выгодной торговли за свой собственный счет.
Поэтому специалисты стали действовать не только в качестве посредников
в сделках, но и в качестве принципалов или дилеров. Таким образом,
специалисты заключают сделки со всеми участниками торгов и
выступают в роли посредников между брокерами.
Однако на традиционно функционирующей бирже не все сделки будут
заключаться только через специалистов. Рассмотрим работу «комиссионных
» и «двухдолларовых» брокеров на Нью-Йоркской фондовой
бирже. «Комиссионный» брокер — служащий ко.мпании члена биржи
и работающий в зале биржи на «полу». «Двух долларовый брокер» (от
англ. two-dollar broker) - независимый брокер торгового зала; в прошлом
такие брокеры брали комиссию в размере 2 долл. за каждые 100
единиц реализованных ценных бумаг.
Получив поручение клиента, «комиссионный» брокер обычно идет к
месту, где работает специалист по таким акциям. Если он в данный
момент занят, то просит отнести поручение к специалисту - одному из
«двухдолларовых» брокеров. Будучи независимыми дельцами, они берут
комиссионные за каждое поручение, которое помогают исполнить.
Эти комиссионные выплачиваются «верхней» брокерской фирмой. Работа
«комиссионных» и «двухдолларовых» брокеров состоит в том,
чтобы обеспечить наилучшие возможные цены для тех поручений, которые
им передала «верхняя» брокерская фирма.
Принеся поручение к специалисту, брокер торгового зала («комиссионный
» или «двухдолларовый») может выбрать одну из нескольких
возможностей. Он определяет наилучшие предлагаемую и запрашиваемую
цены (самую высокую предлагаемую и самую низкую запрашиваемую)
по данному наименованию акций; обычно он выясняет эту информацию
у специалиста или считывает с электронного терминала,
расположенного над местом его работы. На терминале также высвечивается
количество акций, которые предлагается купить или продать по
указанной цене; это количество называется «размещением заявки». Вооружившись
этой информацией, брокер может разработать стратегию
исполнения поручения. Если, например, у брокера есть «рыночное» поручение
на покупку 1200 акций, он может оценить наилучшую запрашиваемую
цену и количество акций, которое предлагается к продаже
по этой цене. Если количество акций не менее 1200 и если брокер посчитает
цену привлекательной, то он может выкрикнуть, что хочет принять
предложение.
В этом случае сделка совершается немедленно.
Если оказывается, что наилучшее предложение исходит от брокера
торгового зала, также находящегося возле этого места, то оба эти брокера
обмениваются названиями фирм, представляют и утверждают детали
сделки, которую они совершили. В данном случае сделка обходится
без прямого участия специалиста, и каждый из брокеров зарабатывает
комиссионные от той брокерской фирмы, которую он представляет
(если только они не работают по твердой ставке). Специалист от такой
сделки никаких комиссионных не получает.
С другой стороны, если наилучшая цена названа в «лимитном» предложении,
которое было оставлено у специалиста для реализации, то
брокер торгового зала, пришедший с поручением на покупку, зарабатывает
комиссионные, а специалист получает комиссионные от брокерской
фирмы, оставившей у него «лимитное» поручение. Если специалист
продает 1200 акций из собственного запаса, то он не получает комиссионных.
Разумеется, брокер с «рыночным» поручением на покупку
1200 акций не обязан «хвататься» за лучшую текушую цену сразу по
приходу к месту специалиста. Если брокер полагает, что он может получить
более выгодную цену, подождав или предложив немного более
низкую цену, то он может так поступить.
Если вместо «рыночного» поручения брокеру торгового зала дано
«лимитное» поручение, причем оговоренная в нем цена существенно ниже
или выше преобладающей рыночной цены, он может предпочесть оставить
это поручение у специалиста, чтобы тот исполнил его, когда позволят
рыночные условия. Поступая так, брокер торгового зала отказывается
от возможности заработать на этом поручении комиссионные
от брокерской фирмы.
Исполняя лимитные поручения, оставленные им «комиссионными» и
«двухдолларовыми» брокерами, специалисты зарабатывают комиссионные
от «верхних» фирм. Конечно, брокер торгового зала может сам
остаться у места специалиста в поисках возможности исполнить «лимитное
» поручение по более выгодной цене, чем та, которая оговорена
инвестором. В этом случае он, а не специалист, получит комиссионные
от «верхней» брокерской фирмы. В общем случае брокеры торгового
зала и специалисты зарабатывают комиссионные только тогда, когда
они действительно осуществляют посреднические услуги. Например,
большинство специалистов Нью- Йоркской фондовой биржи берут за
исполняемые поручения единообразную комиссию в размере от 1,5 до
2 долл. за 100 акций. «Двухдолларовые» брокеры зарабатывают в среднем
от 1 до 1,5 долл. за 100 акций.
В отличие от брокера специалист покупает и продает ценные бумаги
за свой счет или за счет фирмы, которую он представляет. Исполняя заказ
на покупку, дилер продает часть своего фондового резерва, а выполняя
заказ на продажу, покупает за счет собственных средств, т.е. выступает
на рынке принципалом. Совокупность сделок, в которых одним из
контрагентов выступает дилер, называется дилерским рынком. Различие
между дилерским и агентским рынками не столь формально, как это может
показаться на первый взгляд, т.е. дилер может предлагать свои котировки,
а также поддерживать ликвидность, обеспечивать порядок и справедливость
этого рынка. Дилер, будучи профессионалом и обладая определенным
резервным капиталом, может способствовать большей
ликвидности рынка. Его прибыль — это результат игры на мелких колебаниях
курса, которые он обязан сглаживать.
На агентском рынке брокер как агент клиента, имеющий те же обязательства
перед противоположной стороной рынка, что и его клиент,
получив заявку, старается как можно лучше ее исполнить, найдя контрагента
по сделке, интересы которого на бирже представляет другой
брокер или он сам (в этом последнем случае заказы будут самовыполняющимися).
Если сделка и со стороны продавца, и со стороны покупателя
будет заключена на бирже от имени клиента и за его счет, то брокер
представляет клиента, поэтому рынок, являющийся совокупностью
этих сделок, называется агентским (рис. 16). Например, в Германии
клиент, желая купить или продать ценные бумаги, обращается в банк,
который и будет выступать агентом клиента при заключении сделки на
Франкфуртской бирже или на одной из семи региональных бирж.
В других европейских странах банки не занимают столь решающего
монопольного положения на фондовом рынке, как в Германии, и агентами
клиентов при исполнении заказа являются брокеры. Таким образом,
сочетание формы организации биржевой торговли с агентским и дилерским
рынками составляет основу биржевого механизма и определяет фундаментальные
особенности биржевой торговли. Поскольку биржевая торговля
— это всегда сочетание различных видов рынков, аукционов, профессиональных
посредников, то нет ничего удивительного, что биржевой
процесс, организованный в рамках одной биржи, включает и агентский, и
дилерский рынки. И это подтверждает организация торговли на каждой
из бирж мира. Большинство из них — это сочетание агентского рынка и
аукциона. Например, на Франкфуртской фондовой бирже можно наблюдать
агентский рынок в сочетании с онкольным, причем последний имеет
очень «частый шаг» и по ликвидности мало чем отличает от непрерывного.
С 10—30 до 13—30 ежедневно «онкольный рынок» идет «частым шагом». Цена по активным выпускам меняется в среднем 30—40 раз.

По неактивно торгуемым выпускам цена устанавливается одним залпом в
12 часов дня. Токийская фондовая биржа — пример агентского рынка,
непрерывный аукцион, который организован с помощью книги лимит- заказов
и табло, а американские и канадские биржи являются в основном
дилерскими рынками, на которых непрерывный аукцион обеспечивается
тем, что каждый дилер, отвечающий за выпуск, объявляет цену продавца
и цену покупателя, т.е. поддерживает непрерывный двусторонний
рынок путем продажи или покупки акций за свой счет, если временно нарушается
баланс спроса и предложения. При этом все дилеры придерживаются
определенных правил.
По правилам Нью-Йоркской фондовой биржи каждый дилер-специалист
отвечает за «эффективное исполнение доверенных ему посреднических
поручений». Таким образом, специалист будет искать для поручений
от публики возможность исполнения по наилучшей возможной
цене. Это обязывает специалиста во всякое время доводить до общего
сведения наивысшую предлагаемую и наинизшую запрашиваемую цену
по закрепленным за ним акциям. В рамках одной сделки специалист не
может выступать одновременно и как посредник, и как принципал.
Правила биржи требуют, чтобы специалист воздерживался от участия
в торговле в качестве принципала, если его дилерская роль не является необходимой для осуществления поручений, например, если по данной
акции одновременно поступают предложения купли и продажи, оба
по цене 3 долл.
Какова бы ни была цена, специалист должен отдавать
предпочтение исполнению публичных поручений по сравнению с собственным
интересом. Напротив, если поручения от публики трудно или
невозможно совместить, то правила допускают, что специалист будет
«по мере разумной возможности» выступать в качестве принципала.
Таким образом, значения предлагаемой и запрашиваемой цен, как
они даются в котировке Нью-Йоркской фондовой биржи, обычно представляют
собой наиболее привлекательные цены публичных предложений,
соответственно покупки и продажи, представленные у специалиста
(самим специалистом или брокерами торгового зала). Однако если
публичных предложений нет в наличии, от специалиста требуется сделать
публичные предложения покупки и продажи от своего собственного
имени. При этом у него есть некоторая свобода в установлении разницы,
или «спрэда», между своими значениями предлагаемой и запрашиваемой
цен. Если «спрэд» большой, то специалист может больше
заработать на перепродаже акций, покупая их по низкой предлагаемой
цене и продавая по высокой запрашиваемой цене. Если «спрэд» небольшой,
то на средней единичной сделке специалист заработает меньше,
но, возможно, благодаря более привлекательным ценам, в операциях примет
участие большее количество инвесторов.
В наши дни брокеры и инвесторы постоянно просматривают преобладавшие значения предлагаемых и запрашиваемых цен на электронном
терминале, который подключен к специалисту. От специалиста
требуется сообщать, таким образом, только о самой высокой предлагаемой
и самой низкой запрашиваемой ценах на закрепленные за ним
акции.
Возможно, самая важная обязанность специалиста состоит в том,
чтобы поддерживать «справедливость и порядок» в торговле закрепленными
за ним акциями. Правила требуют, чтобы специалист проводил в
жизнь систему приоритетов, определяющую порядок исполнения поручений.
Согласно этой системе, каждому поручению приписывается некоторый
приоритет в зависимости от фигурирующих в нем цены, времени
поступления поручения к специалисту и размера поручения. При
любых прочих условиях приоритетом пользуются самая высокая предлагаемая
цена и самая низкая запрашиваемая цена.
На Нью-Йоркской фондовой бирже, например, запрещается всем ее
членам-брокерам действовать в качестве принципалов или посредников
между покупателем и продавцом в сделках по котируемым акциям
без представления сделки на непрерывный аукцион, происходящий
в торговом зале.
В соответствии с правилом № 390 большая часть
поручений на операции с котируемыми акциями направляется для исполнения
в торговый зал, чем обеспечивается соблюдение системы приоритетов
на бирже. В результате происходит консолидация потока заявок,
которая может улучшить шансы отдельного поручения на то,
чтобы быть исполненным по наилучшей возможной цене; при этом
также поддерживается монополия специалиста. Биржа последовательно
защищает правило № 390 как необходимое средство обеспечения
справедливости и эффективности рынка; в то же время критики утверждают,
что в действительности биржа при этом хочет сохранить свой
контроль за торговлей котируемыми акциями. Некоторые брокеры-
дилеры, являющиеся членами биржи, желали бы отмены правила № 390,
что позволило бы им создать свои рынки котируемых акций наподобие
внебиржевого рынка.
Биржевая торговля существует несколько столетий, постоянно развиваясь
и совершенствуясь. За это время улучшались правила торговли
и клиринг, убыстрялись расчеты и исполнение сделок и т.д. Параллельно
в биржевой торговле происходили изменения в технике ее ведения.
Система с котировками и маркет-мейкерами (quoote-driven system)
осуществляется в системе электронных торгов с помощью ручных манипуляций
и основана на использовании модуля «акцепт», который можно
сравнить с электронной «доской объявлений».
Посредники, именуемые маркет-мейкерами, выставляют на этой доске
цены, по которым они могут продать или купить ценные бумаги. Фондовые
брокеры заключают сделки с ними по поручению своих клиентов
(физических лиц и институциональных инвесторов). Маркет-мейкеры —
игроки, действующие как принципалы и активно влияющие на цены, выставляя
свои котировки, чтобы побудить маркет-тейкеров вступить в
ифу. Таким образом, участники торгов разделены на две группы — маркет-
мейкеры и маркет-тейкеры. Маркет-мейкеры, постоянные участники
торгов, вводят свою котировку в систему на условиях, которые они
обязуются поддерживать, и дают публичные обязательства покупать и
продавать ценные бумаги по объявленным ими ценам.
При этом другие участники — маркет-тейкеры — имеют право заключить
сделку только с маркет-мейкерами. Они могут выбрать наиболее
выгодное предложение и вступить в переговоры относительно цены
или объема. Сделка считается заключенной после того, как они придут
к согласию. При этом в результате переговоров предложение на покупку
или продажу может отличаться от того, которое было введено в систему
первоначально, путем введения новых условий сделки через компьютерный
терминал.
Аналогичная система используется в РТС, когда в период торговой
сессии для всех ее участников котировки являются твердыми.
«Твердая котировка» — котировка, сопряженная с обязательством
ее участника заключить сделку на содержащихся в ней условиях. При
этом она может быть как односторонней, т.е. содержащей предложение
либо на покупку, либо на продажу ценных бумаг определенного
эмитента с указанием их количества, цены, валюты расчета и числа
дней, необходимых для регистрации перехода права собственности,
так и двусторонней, одновременно объявляющей о покупке и продаже
ценной бумаги одного эмитента. Каждая из них объявляется под именем
участника электронных торгов, и поэтому он несет ответственность
за соответствие котировок установленным в системе электронных
торгов правилам. Кроме этого, выставляя котировку, участник
электронного торга берет на себя обязательства заключать сделки по
указанной в котировке цене и гарантировать надлежащее ее исполнение.
Сделка при такой системе заключается в результате согласия
(«акцепта») двух участников электронной торговли, из которых маркет
-мейкер выставил котировку в торговой системе на покупку или
продажу ценных бумаг. Сделки должны заключаться по «твердым»
котировкам, но иногда разрешается заключение сделки в системе РТС
по индикативным (в мировой практике они носят название «объявленных
котировок»).
Индикативная котировка не сопряжена с обязательством объявившего
ее участника заключить сделку на содержащихся в ней условиях и
поэтому, например, в РТС, сделки по таким котировкам заключаются
вне торговой сессии при условии документально зафиксированного сбоя
в торговой системе, и если инициатором сделки является кандидат в
маркет-мейкеры.
Система, основанная на котировках, например, существовала и по
ликвидным и неликвидным акциям до конца 1997 г. на Лондонской фондовой
бирже. Однако повышение ликвидности рынка приводило к сбоям
в системе, основанной на котировках. Посредники, именуемые маркет-
мейкерами, выставляли цены, по которым они могли продать или купить
ценные бумаги, а фондовые брокеры посылали запросы, и если их
было так много, чтомаркет-мейкеры не могли на них ответить с помощью
ручных манипуляций, то система давала сбой. Таким образом, движение
рынка было быстрее, чем они могли ответить на запрос. Поэтому
система с котировками и маркет-мейкерами используется для ограниченно
ликвидного рынка. И вот с 20 октября 1997 г. торговля по наиболее
ликвидным акциям (акции ТОРЮО) на Лондонской фондовой бирже
перешла на систему, основанную на заявках.
Она использует Лондонскую SETS систему, которая представляла собой систему электронной торговли.
Система, основанная на заявках, или мэтчинг, — «метчинг» (автоматическая
система сверки и подбора контрагента). При такой системе
каждый аккредитованный участник торговли может поставить на проведение
операции свои заявки, которые затем вводятся в компьютер и
исполняются автоматически, как только совпадает цена. В отличие от
акцепта, система «мэтчинг» предусматривает, что брокеры должны ввести
в компьютер код ценной бумаги, xapaтep сделки (покупка или продажа),
цену и количество ценных бумаг. Ввод заявок может происходить
24 ч в сутки, и электронная система автоматически фиксирует время
ее ввода и присваивает ей номер.
Как правило, заявка не принимается к исполнению, если она не обеспечена
предварительно внесенными денежными средствами, необходимыми
для исполнения заказа на покупку или ценными бумагами в случае
заказа на продажу. Так, заявка на продажу ценных бумаг принимается
системой торгов к исполнению при условии, если ее величина не
превосходит позиции аккредитованного участника торговли по ценным
бумагам, а заявка на покупку ценных бумаг принимается системой торгов
к исполнению при условии, если ее величина не превосходит позиции
аккредитованного участника торговли по денежным средствам. При
поступлении заявки на продажу ценных бумаг значение позиции данного
аккредитованного участника торговли по ценным бумагам, указанное
в данной заявке, в системе торгов автоматически уменьшается на
количество ценных бумаг, которое необходимо для полного удовлетворения
поданной заявки. Если получившийся результат отрицателен, то
данная заявка не принимается к исполнению в системе торгов.
При поступлении заявки от аккредитованного участника торговли
на покупку ценных бумаг значение денежной позиции автоматически
уменьшается в системе торгов на сумму денежных средств, которые
необходимы для полного удовлетворения поданной заявки (включая
суммы, необходимые для уплаты комиссионного вознаграждения). Ваш
получившийся результат отрицателен, то данная заявка не принимается
к исполнению. Для определения суммы денежных средств, необходимой
для полного удовлетворения поданной заявки, используется:
• для лимитной и заявки периода закрытия цена, указанная в заявке;
• для рыночной заявки без сохранения в котировках максимальная
цена в заявках на продажу, находящихся в очереди;
• для рыночной заявки с сохранением в котировках — цена, указанная
в заявке, либо максимальная цена в заявках на продажу, находящихся
в очереди (в зависимости от того, какая из этих двух цен будет
большей).
Заявка, включенная в систему электронных торгов по правилам непрерывного
сопоставления заявок, автоматически (мгновенно) проверяется
на наличие допустимых встречных заявок. Встречными называются
заявки, поданные на покупку и продажу одной и той же ценной
бумаги. При этом заявки на покупку всегда будут встречными по отношению
к заявкам на продажу, и наоборот.
Допустимыми встречными заявками считаются те из них, в которых
цена на продажу не выше цены, указанной в заявке на покупку, и соответственно
цена на покупку в поданной заявке не ниже указанной во
встречной заявке цены на продажу. При наличии допустимых встречных
заявок происходит заключение сделки, которое не требует дополнительного
согласия участника электронного торга, подавшего заявку.
Сделка заключается между поданной встречной заявкой, стоящей
первой в очереди на исполнение. Очередность устанавливается, как правило,
в соответствии с приоритетом цены и времени подачи заявок. Хотя
допустимы и иные приоритеты очередности заявок, например, их объем.
На немецких биржах соединение контрагентов друг с другом происходит
по случайному признаку, и при этом рационализация повышается.
Количество ценных бумаг, указанных в поданной заявке и допустимой
встречной заявке, при заключении сделки уменьшается на объем
последней, и это повторяется до тех пор, пока заявка не будет исполнена
или не останется ни одной допустимой встречной заявки. В зарубежной
практике третий модуль системы — отчетность также используется
для заключения сделок вне торговой системы, например, по телефону.
По окончании торговой операции обе стороны обязаны ввести отчет
в систему в течение 90 секунд.
Электронные торги по системе «мэтчинг» возможны лишь на рынках
наиболее ликвидных ценных бумаг и обычно используются для заключения
крупных сделок, тогда как мелкие заказы чаше всего исполняются
через систему акцепта.
Преимущества системы, основанной на котировках, очевидны: более
объективно формируется цена, сужается спрэд, снижаются издержки
на проведение операции, возрастает активность рынка. Система позволяет
обеспечивать высокую надежность сделки, быстрое ее исполнение.
Технологически любая из систем может быть организована и в
рамках традиционной биржи, но что же привлекает в организации электронной
торговли?
Прежде всего электронная торговля позволяет повысить ликвидность
фондового рынка.
Если на бирже рынок акций какой-либо компании«делает» один специалист,
то в системе электронных торгов в создании
рынка участвует широкая сеть «брокеров-дилеров», которые и по существу,
а в ряде стран и по названию являются «производителями рынка
». Название «брокеры/дилеры» (или «брокеры-дилеры») связано с тем,
что на внебиржевом электронном рынке большинство фирм функционирует
одновременно и как брокеры, и как дилеры. Торговец, выступающий
«производителем» рынка, исполняет заявки на куплю-продажу ценных
бумаг по своему выбору, не совмещая в одной операции функции
брокера и дилера. Некоторые «брокеры-дилеры» берутся за исполнение
заказов, охватывающих тысячи акций, которые по стандартам биржевой
торговли не могут обращаться на бирже.
Технические возможности электронной системы торгов позволяют
ежедневно осуществлять сделки, включающие несколько миллионов акций.
К достоинствам компьютеризированной торговли относится то, что
она прекрасно подготовлена к большим торговым объемам. При расширении
рынка увеличить ее мощность значительно проще и дешевле.
Вторым преимуществом электронной торговли является возможность
работать с индивидуальным инвестором. Подыскивая для покупки акцию,
агент обычно контактирует со своим брокером. Если тот не является
«производителем» рынка по данной ценной бумаге, он принимает
поручение клиента, уведомляя его, что при исполнении заявки он будет
действовать как брокер, и отправляет заказ другим участникам внебиржевого
рынка путем введения информации в систему. При исполнении
заказа участник внебиржевого рынка, действуя как брокер, получает
комиссионное вознаграждение, которое обычно не должно превышать
5% суммы сделки. Если же он действует на рынке данной ценной
бумаги как дилер, т.е. имеет определенный резерв по указанной в заявке
ценной бумаге, то исполнение приказа клиента на покупку осуществляется
за счет данного резерва и на продажу — за счет его собственных
средств: исполнение заказа приводит к увеличению резерва дилера.
В этом варианте исполнение заказа представляет собой обычную принципиальную
сделку, вознаграждением по которой является стандартный
дилерский сбор. Он, как правило, также фиксируется правилами
торговли, устанавливаемыми профессиональными участниками рынка.
Например, в Правилах торговли в РТС, принятых НАУФОР, было зафиксировано,
что максимальный спрэд внутри котировок на покупку
или продажу не должен превышать 10 (десяти) % от лучшей котировки
на покупку или продажу. Участник торговой системы, чья котировка в
торговой системе вышла за указанную границу, обязан изменить или
убрать ее. Например, если лучшая котировка на покупку 10 руб., а лучшая
котировка на продажу 14 руб., то все остальные котировки должны
быть в следующих пределах: на покупку — не менее 9 руб., на продажу—
не более 15 руб. 40 коп.
При этом минимальный размер торгового лота для всех котировок, объявленных членами торговой системы, не
может быть ниже 10 тыс. долл. США, а минимальный размер торгового
лота для всех других котировок, объявленных в торговой системе, не
может быть ниже 20 тыс. долл. США.
Очень наглядно влияние электронной торговли на повышение качества
рынка можно проследить, изучая опыт системы автоматизации
котировки Национальной ассоциации дилеров по ценным бумагам (НАСДАК).
До 1971 г. — года наступления эры НАСДАК внебиржевой рынок,
рынок ОТС (Over the counter Market) страдал от торговых злоупотреблений
и недостатка надзора. При отсутствии «прозрачности» этого
рынка торговля на нем зачастую осуществлялась акциями несуществующих
компаний. В настоящее время к торговле через систему НАСДАК
допускаются лишь те эмитенты, которые удовлетворяют определенным
требованиям, хотя котировки акций в системе НАСДАК ниже акций
аналогичных компаний на фондовых биржах. Еще более жесткие ограничения
существуют в системе РТС.
Качество рынка электронной торговли определяется также и работой
его участников. Хотя при торговле акциями на внебиржевом электронном
рынке и не устанавливаются описанные выше правила или система
приоритетов, тем не менее механизм подключения участников торгов
к торговой системе позволяет клиенту выбрать лучшую цену.
КОТИРОВКА ЦЕННЫХ БУМАГ
Если процедура листинга, допуск ценных бумаг к котировке— единовременный акт, то определение цены или курса ценной
бумаги — это операция, постоянно возобновляемая на каждом биржевом
собрании в процессе аукциона.
Котировка' ценной бумаги — это механизм выявления цены, ее фиксация
и публикация в бирж:евых бюллетенях. Появление цены в процессе
биржевого торга, как следует из предыдущего параграфа, — результат
взаимодействия зарегистрированных торговцев, а биржа лишь выявляет
ее, объективно способствуя ее формированию.
Биржа концентрирует спрос и предложение на покупку и продажу
ценных бумаг, определяя соотношение между текущими спросом и предложением,
и в результате этого выявляется цена как выражение равновесия,
временного и относительного, но достаточного для осуществления
той или иной сделки. Цена, по которой заключаются сделки и ценные
бумаги переходят из рук в руки, называется курсом. Вот почему
биржевые курсы используются как ориентир при заключении сделок как
в биржевом, так и во внебиржевом обороте. При этом естественно, что
«залповый» биржевой аукцион позволяет выявить единую цену, которая
будет существовать до следующего «залпа». Непрерывный — соотношение
между текущим спросом (цена спроса ~ наивысшая цена,
предлагаемая покупателем) и предложением на ценную бумагу (цена
предложения - минимальная цена продажи ценной бумаги) в этом случае
не фиксируется в цене, как это имеет место при двойном аукционе.
На внебиржевом рынке котировки существуют либо как одностороннее
выставление цены (указывается лишь цена спроса), либо как двустороннее
(выставляется и цена спроса, и цена предложения).
Касаясь биржевой котировки, следует отмстить, что нормативные
акты и законы о биржах, как правило, не фиксируют порядок определения
биржевого курса ценных бумаг. Однако в зависимости от принципов,
положенных в основу котировки, различают:
1) метод единого курса, основанный на установлении единой (типичной)
цены;
2) регистрационный метод, основанный на регистрации фактических
цен сделок, спроса и предложения (цен продавцов и покупателей).
Как правило, биржевые заседания начинаются с объявления цен, которые
имели место в конце предыдущего заседания. Они определяются
специальной котировальной комиссией по результатам предыдущего
торга (например, вчерашнего дня) и раздаются участникам биржевого
торга в виде котировочного листа. На тех биржах, где применяется
способ формирования единой биржевой цены, т.е. торговля осуществляется
с помощью залпового аукциона, эта цена «строится» таким образом,
что субъективная оценка положения рынка со стороны лиц, производящих
котировку, почти устранена. Проблема заключается в том,
чтобы установить такую цену, которую не мог бы оспорить никто -
ни покупатель, ни продавец. Прежде всего представляет интерес метод
фондовой котировки, используемый на немецких биржах. В данном случае
при установлении биржевых цен во внимание принимаются только
сделки, заключенные при посредстве официальных, так называемых
курсовых, маклеров. По каждой группе фондовых ценностей имеются
специальные маклеры, принимающие заявки спроса и предложения. В
конкретное время они сходятся в определенном месте биржевого зала и
в присутствии всех лиц, заинтересованных в данных ценных бумагах,
приступают к установлению того курса, при котором они смогли бы
покрыть максимальную сумму спроса и предложения.
При дефиците заявок с какой- либо стороны рынка они выкрикивают в зал заказ, который помог бы уравновесить рынок. Если данный заказ находит поддержку у какого-либо свободного маклера и он желает его выставить,
но от своего имени, то курсовой маклер вводит его заказ в компьютер,
и рынок по данной ценной бумаге становится более равновесным.
Итоговые расчеты единого курса, осуществленные с помощью компьютера,
можно представить следующей таблицей (табл. 14).

Совершенно очевидно, что при установлении курса необходимо учитывать
определенные правила:
1) биржевой курс устанавливается на уровне, обеспечивающем наибольшее
количество сделок;
2) все заявки «продать по любому курсу», «купить по любому курсу» осуществляются при появлении первого предложения цены;
3) все заявки, в которых содержатся максимальные уровни цен при
покупке и минимальные цены при продаже, должны осуществляться;
4) все заявки, в которых указываются цены, приближающиеся к максимальным
при покупке и минимальным при продаже, могут реализовываться частично;
5) все заявки, где указаны цены ниже искомого курса при покупке
или выше при продаже, не реализуются.
Те приказы, которые поступили на покупку ценных бумаг по любой
цене, могут быть исполнены и по цене 555, поэтому общее количество
приказов на покупку по этой цене 150 (80+70). Аналогично желающие
купить по цене 555 будут рады совершить сделку по цене 554 и т.д.
В отношении приказов на продажу нетрудно заметить, что их суммирование
осуществляется в обратном порядке от наименьшей цены в
соответствии с желаниями продавцов продать дороже.
Наибольшее количество сделок, а именно 600, удовлетворяется при
курсе 55 Он и фиксируется как единый. Однако может сложиться ситуация,
при которой, например, 600 сделок будут исполняться при курсе
550 и 55 Какими приоритетами руководствоваться в этом случае?
Искусство курсового маклера состоит в том, чтобы поддерживать наиболее
ликвидный рынок, а следовательно, стимулировать увеличение
заявок с той стороны рынка, где их меньше. Таким образом, если заявок
на покупку меньше, чем на продажу, целесообразно установить курс
550, а если наоборот — 55
Простому и непрерывному аукциону соответствует котировка по
регистрационному методу; в биржевом бюллетене отмечаются (регистрируются)
действительные цены сделок, заключенных в течение данного
периода времени (биржевого дня). Поскольку котировка заключается
в регистрации фактических цен, под ней не следует понимать
механическое фиксирование выявленных в процессе биржевого торга
курсов (цен), котировка воспроизводит только показательные для
оборота цены.
Анализируя данные регистрации сделок и заявки инвесторов, котировальная
комиссия определяет верхний и нижний пределы цен по видам
ценных бумаг, исключая при этом цены, не показательные для рыночной
конъюнктуры.
Обычно в биржевых бюллетенях регистрируются не все цены сделок,
а лишь предельные, наиболее полно характеризующие динамику
цен в процессе биржевого дня. Предельные цены берутся в вертикальном
и горизонтальном разрезах: высшая и низшая в продолжении биржевого
дня, начальная в первые минуты и заключительная цена в конце
биржевого дня.
Например, во Франции после каждого заседания Парижской фондовой
биржи Профессиональная палата Компании биржевых маклеров
публикует бюллетень, в котором приводятся официальные курсы реализованных
ценных бумаг. Информация проходит по разделам: курсы
сделок за наличные, курсы срочных сделок, курсы рынка опционов,
курсы срочных сделок на дополнительном сеансе предшествующего
дня, а также публикуются сведения о специальных рынках. В
конце курсового бюллетеня фигурируют: объявленные купоны и заимствования,
решения и сообщения Профессиональной палаты Компании
биржевых маклеров и ежедневные сообщения но крупным отраслям
экономики.
Не менее важным для обеспечения «прозрачности» рынка, а значит
для создания цивилизованного и эффективного фондового рынка, является
наличие информации о ценах внебиржевого рынка. Например, в
США источником информации о котировках фондовых ценностей, обращающихся
вне бирж, являются издания Национального котировочного
бюро, в частности «Бюллетень Борд» Национальной ассоциации дилеров
фондового рынка и ежедневный справочник «Розовые страницы»
(Pink Sheets). Такое название соответствует цвету бумаги, на которой
они печатаются, а та часть справочника, где публикуются цены на облигации,
называется «Желтые страницы».
ОСНОВНЫЕ ОПРЕДЕЛЕНИЯ
Обращение ценных бумаг — заключение гражданско-правовых сделок,
влекущих переход права собственности на ценные бумаги.
Листинг — процедура допуска ценных бумаг на организованный
рынок после соответствующей проверки и изучения финансового положения
фирм —эмитентов этих ценных бумаг.
Делистинг — процедура исключения ценных бумаг из котировок соответствующего
организованного рынка.
Фронт-офис — торговые подразделения брокерской компании, сотрудники
которого заключают сделки с ценными бумагами по поручению
клиентов.
Бэк-офис — подразделение брокерской компании, обеспечивающее
исполнение сделок после их заключения и осуществляющее внутренний
учет и контроль операций с ценными бумагами.
Торговые поручения — документ, выдаваемый в установленной форме
клиентом брокеру, содержащий всю необходимую информацию для
осуществления покупки и продажи ценных бумаг.
Заявка — безусловное обязательство участника биржевой торговли
совершить сделку с ценными бумагами на условиях, зафиксированных
в ней.
Английский аукцион — вид аукциона, на котором исходное число
покупателей превышает число продавцов, и поэтому аукционная цена
изменяется снизу вверх.
Голландский аукцион вид аукциона, на котором исходное число
покупателей меньше числа продавцов, и поэтому аукционная цена изменяется
сверху вниз.
Закрытый аукцион вид аукциона, происходящего без открытого
торга, не требующий физического присутствия участников. Основан на
предварительном сборе заявок покупателей, их ранжировании и выборе
наиболее привлекательных по предложенной цене на покупку.
Котировка цепной бумаги - - процедура выявления цены, ее фиксация
и публикации в биржевых бюллетенях.
ГЛАВНЫЕ ВЫВОДЫ
Вторичный рынок создает необходимые условия для обращения ценных
бумаг, в ходе которого происходит перепродажа и смена собственника.
Формы перехода права собственности могут быть разными: купля-
продажа, обмен, дарение и т.д. Они регулируются, как правило, и
рынком, и нормами права, установленными государством.
Обращение ценных бумаг на организованных рынках начинается с
процедуры допуска их к торгам, которая основывается на проверке и
изучении финансового положения эмитента, характеристик эмиссии и
т.п. Наиболее сложным в обращении ценных бумаг является сам процесс
торгов, который происходит на основе торговых поручений клиентов
и заявок непосредственных его участников.
Механизм торговли ценными бумагами предъявляет определенные
требования к брокерским конторам, которые обязаны вести внутренний
учет принятых торговых поручений клиентов и хода их выполнения.
Развитие фондового рынка приводит к стиранию различий биржевого
и внебиржевого рынка, так как целью того и другого является выявление
цены спроса и предложения.
Виды рисков на рынке ценных бумаг
Инвестирование на рынке ценных бумаг не может несопровождаться риском, под которым каждый понимает некую неопределенность
финансовых результатов в будущем. Однако интуитивных
представлений о риске недостаточно для успешной деятельности на современном
рынке. Поэтому необходимо управление риском, связанное
с определением количественных вероятностей наступления определенных
событий.
Всякое инвестирование в финансовые активы подразумевает существование
некоторого неблагоприятного события, в результате которого:
• будущий доход ниже ожидаемого;
• доход не будет получен;
• можно потерять часть вложенного капитала — капитальной стоимости
ценной бумаги;
• может быть потерян весь капитал — все вложения в ценную бумагу.
Неопределенность финансовых результатов, связанная с потерями
инвестора, носит название чистой неопределенности.
В качестве допустимого риска можно принять угрозу потери части
прибыли от предпринимательской деятельности на фондовом рынке.
Критический (катастрофический) риск сопряжен не только с потерей
прибыли, но и потерей части или всей капитальной стоимости ценной
бумаги.
Может ли инвестиция считаться нерискованной, если доход по ней
гарантирован? Нет, просто риск этой инвестиции будет ниже.
Таким образом, каждому виду инвестиции присущ собственный уровень
риска. Его оценка и сопоставление с уровнем вероятного дохода
позволяют видеть, что для различных видов инвестиций с одинаковым
уровнем риска величина дохода различная. И в то же время одинаковый
уровень дохода возможен при совершенно различных уровнях
риска.
Инвестиционный риск связан с возможным распределением нормы
дохода и рассчитанной вероятностью ее получения. Вероятность наступления
событий случайного характера, изменяющего норму дохода тем
больше, чем дольше период инвестирования. Таким образом, риск —
категория вероятностная, и его оценивают как допустимость уровня
потерь того или иного вида. Если говорить о неопределенности, то отклонение
результата возможно и в большую сторону, и в меньшую.
Следовательно, неопределенность является не только источником убытка,
но и потенциальной прибыли, т.е. неопределенность является спекулятивной.
Риск — сложная экономическая категория, и в экономике в целом, и
на рынке ценных бумаг постоянно возникают новые риски. В связи с
этим универсальная классификация рисков отсутствует, но существуют
общие подходы к их изучению и классификации. Так, важно выявить
масштаб проявления риска и степень его влияния на инвестиционный
процесс, т.е. относится ли он к финансовому рынку в целом или только
к его сектору - рынку ценных бумаг, связан ли он с государственным
регулированием экономики, обусловлен ли он изменением политической
ситуации и т.д.
Таким образом, на макроуровне выделяют страновой риск, возникновение
которого обусловлено воздействием социально-политических, экономических
факторов, фискально-монетарной политикой государства и т.д.
На мезоуровне проявляются риски, связанные с функционированием
рынка ценных бумаг как отрасли (бумажная индустрия), с ее способностью
функционировать и развиваться.
На микроуровне следует учитывать как риски отдельного оператора,
так и риски фирмы — инвестиционной компании или брокерской конторы.
Риск, существующий на рынке ценных бумаг, можно классифицировать
по уровню оценки, причинам возникновения и последствиям. При
этом каждый из выделенных видов риска оцениваются по-разному.
Риски по уровню оценки подразделяются на:
• страновыс;
• отраслевые;
• риски, связанные с деятельностью отдельного оператора (рис. 11).

Страновые риски — это риски вложения денежных средств в ценные
бумаги стран с неустойчивым фондовым рынком. Уровень странового
риска определяет инвестиционный климат. Страновые риски анализируют
при инвестициях в фондовые ценности иностранных государств.
При этом оцениваются экономические, фискально-монетарные, социально-
политические риски.
Для инвестора экономические риски на макроуровне прежде всего
отражаются в инфляционном риске. Покупая ценные бумаги, инвестор
испытывает воздействие инфляции, и в результате доходы, получаемые
инвесторами от ценных бумаг, обесцениваются с точки зрения реальной
покупательной способности, а инвестор несет потери.
Фискально-монетарные риски возникают в результате законодательных
изменений денежно-кредитной, налоговой и других направлений политики
государства. Следует учитывать, что в обществе всегда существует
возможность радикального изменения экономического курса,
особенно при избрании нового президента, парламента. Думы, правительства,
а следовательно, возникает опасность:
• отказа правительства выполнять ранее принятые обязательства по
определенным фондовым инструментам или задержки в исполнении этих
обязательств (например, чеки «Урожай» и целевой беспроцентный заем
1990 г., внутренний заем 1982 г.);
• необходимости перерегистрации выпусков ценных бумаг;
• изменения инвестиционного климата при введении новых налоговых,
торговых и иных правил.
Нерезидент испытывает риски репатриации прибыли, для него большое
значение имеет налоговый климат и другие экономические условия.
Например, политические риски возникают и усиливаются из-за «эксплуатации
» сильной политической группы более слабой. Внещние инвесторы
сталкиваются с международным политическим риском в том
случае, если происходит изъятие из обращения активов и одновременное
контролирование валютного обмена, в связи с чем иностранные инвесторы
не могут забрать свой капитал. Их также отпугивают жесткие
требования, которые предъявляют к ним местные власти.
Примером социально-политических рисков является риск военных
конфликтов. Военные действия, проводимые на той или иной территории,
приводят к нарушению функционирования организованных рынков,
в том числе и фондовых. Как правило, государство приостанавливает
работу бирж, запрещает сделки с ценными бумагами и т.д.
Отраслевые риски. Риски, связанные с особенностями отдельных
отраслей. Анализ отраслевых рисков состоит из трех частей.
I часть — определение стадии жизненного цикла отрасли:
1) подверженные циклическим колебаниям;
2) менее подверженные циклическим колебаниям;
3) стабильно работающие;
4) быстро растущие молодые отрасли.
II часть — установление позиции отрасли в отношении делового цикла
и макроэкономических условий.
III часть — качественный анализ и прогнозирование перспектив развития
отрасли.
В качестве исходной информации используются объем продаж, доходы,
дивиденды, данные социологических исследований по инновациям
на предприятиях этой индустрии.
Для инвестора наиболее благоприятным является вложение в ценные
бумаги корпораций отраслей, находящихся в стадии расширения,
во время которой стабильные и высокие дивиденды сочетаются с относительно
низким уровнем риска.
Оценка цикличности развития отрасли основана на сравнении динамики
ее развития с общеэкономическими тенденциями. Такой анализ
позволяет предвидеть дальнейшие события в зависимости от прогнозирования
роста процентных ставок и общеэкономической конъюнктуры.
На основе указанных материалов делаются выводы о перспективности
вложения средств в предприятия данной отрасли и о риске, который несет
инвестор, вкладывая свои средства в корпорации, занимающиеся
данным видом деятельности.
Отраслевые риски проявляются в изменениях инвестиционного качества
и курсовой стоимости ценных бумаг и соответствующих потерях
для инвестора в зависимости от принадлежности отрасли к тому
или иному типу и правильности оценки инвесторами данных факторов.
Таким образом, отраслевой риск связан со спецификой отрасли промышленности,
сельского хозяйства, коммунального хозяйства или сферы
обслуживания.
Риски финансового оператора на рынке ценных бумаг можно разделить
на финансовые и коммерческие.
Финансовые риски — возможность потерь в результате неопределенности
рынка, изменения действий контрагента или собственных ошибок.
Рыночные риски — неопределенность стоимости активов в результате
колебаний процентных ставок курсов валют, цен акций и т.д. Рыночные
риски связаны с неопределенностью рынка, на котором работает
оператор, т.е. возможным снижением стоимости активов, обусловленным
рыночными факторами:
• колебание процентных ставок;
• падение цен на акции, облигации;
• изменение курсов валют и т.д.
Процентные риски — это вероятность снижения стоимости активов
в результате изменения процентных ставок. Оперируя на рынке ценных
бумаг, нельзя не испытывать влияние кредитного, валютного и иных
секторов финансового рынка, которые определяют общий процент по
вложенным в финансовые активы средствам.
Валютные риски возникают в том случае, если существует вероятность
отрицательного изменения стоимости активов в связи с изменением
курса одной иностранной валюты по отношению к другой. Валютный
риск связан с вложением в ценные бумаги, деноминированные в
иностранной валюте, и возникает при изменении курса валюты.
Риски изменения цены акции называют риски на рынке «быков» и
«медведей». Неотъемлемой чертой фондового рынка является чередование
периодов повышающегося тренда фондового рынка «быка» и понижающего
тренда рынка «медведя». Возникновение потерь, связанных
с изменением тенденции в движении рынка, является составляющей рыночного
риска — риска потерь от снижения стоимости ценной бумаги в
связи с общим падением рынка. Таким образом, рыночный риск возникает
в результате возможного падения спроса на данный вид ценных
бумаг, который является объектом инвестирования.
Кредитные риски — риски того, что выпустивший ценные бумаги
окажется не в состоянии платить по ним. Предварительный анализ кредитоспособности
клиента существенно снижает кредитный риск.
Риски ликвидности связаны с возможностью потерь при реализации
ценных бумаг из-за изменения оценки их качества, а также из-за невозможности
продать актив. Таким образом, снижение предполагаемой цены
реализации ценной бумаги или изменение размера комиссионных за их
реализацию — источник риска ликвидности. Неликвидные активы, как
правило, не являются высокодоходными и требуют существенного снижения
цены при реализации.
К операционным рискам относят возможность потерь в результате
действий оператора рынка. Они носят как технический характер, так и
связаны с ошибками в используемых моделях и методах оценки риска.
Этот риск определяется качеством сервисного обслуживания операций
с ценными бумагами.
Коммерческие риски (риски предприятия) возникают в связи с отклонением
от ожидаемых результатов деятельности предприятия и, таким
образом, связаны с использованием потенциала фирмы. Данные
риски на уровне отдельно взятой фирмы оцениваются при экспертном
анализе финансового состояния компании-эмитента ценных бумаг,
Организационных условий и позиций инвестора на рынке.
При проведении исследований на уровне отдельных фирм крупнейшие
рейтинговые агентства ориентируются на следующие показатели
в расчете на одну акцию: объем продаж (оборот), общий доход, амортизация,
уплаченные налоги, заработная плата работников, рабочий капитал и капиталовложения (затраты на приобретение).
Кроме того, ими учитываются такие показатели, как отношение цены к прибыли, дивиденды в процентах к сумме продаж, прирост дивидендов, прирост прибыли
к активам.
Деятельность оператора на рынке ценных бумаг также порождает
риски; неверно осуществил селекцию или выбор ценных бумаг во временном
или качественном аспекте. Комбинация ценных бумаг в портфеле
должна оптимальным образом обеспечивать цель портфельного инвестирования.
Например, при минимаксной модели портфеля — максимальный
доход при минимальном риске. Наилучший результат может
дать только определенный подбор ценных бумаг, и вместе с тем всегда
существует риск, что оператор, менеджер портфеля не обеспечит его
качественного формирования.
Маркетинговые риски предприятия. Риски, связанные с выбором стратегии
поведения предприятия на рынке. Данное предприятие может быть
консервативного типа, т.е. оно не преследует стратегию расширения,
универсализации и использует выгоду от максимальной специализации
своих работ, качества предоставляемой продукции (услуг), работы со
стабильной клиентурой. Предприятию агрессивного типа (выбравшего
стратегию расширения и универсализации, освоения новых типов технологий
и продуктов) присущ другой тип риска. Предприятие умеренного
риска сочетает в себе консервативный и агрессивный типы риска.
Деловые риски определяются такими факторами, как эффективность
управления, эффективность производственной и инвестиционной деятельности.
Деловые риски могут быть представлены и в такой ситуации,
при которой различные компании конкурируют между собой с целью
изыскания новых рынков сбыта для однородных товаров.
Для завоевания рынка фирма затрачивает дополнительные финансовые
ресурсы, что снижает доходность инвестиций. Если произойдет расширение
сектора продаж, то эти затраты окупятся, в противном случае
эта операция является источником инвестиционного риска.
Если рассмотреть риски с точки зрения инвесторов, то можно сделать
вывод, что они будут проявляться в зависимости от рыночных
факторов, поэтому их следует назвать систематическими. Величину этих
рисков нельзя изменить, применяя тактику диверсификации, т.е. вложения
в различные виды ценных бумаг. Поскольку систематический риск,
как риск падения рынка ценных бумаг в целом, присущ всем обращающимся
на нем фондовым ценностям, то он является недиверсифицируемым,
т.е. не снижается при изменении или расширении направления вложений.
Однако их характеристики для каждого актива индивидуальны
и измеряются Р- коэффициентом.
Вторым видом рисков можно считать диверсифицируемые (несистемные)
риски. Они связаны с особенностями каждой конкретной ценной
бумаги, т.е. носят индивидуальный характер. Эти риски для данной
ценной бумаги зависят также от условий выпуска и обращения, т.е. определяются
возможностью наступления таких событий, которые изменят
величину предполагаемого дохода.
Риски переплетаются, концентрируясь в какой-либо ценной бумаге
или в действиях операторов рынка. Поэтому важно установить основные
разновидности рисков.
Выше были перечислены далеко не все виды рисков, возникающих
при финансовых инвестициях на фондовом рынке.
Составляющие диверсифицированных рисков более сложные. В них
выделяются риски объектов инвестирования, направлений инвестирования,
селективные и технические риски, которые в свою очередь включают
определенные разновидности рисков (рис. 12).
Риски объекта инвестирования в основном зависят от эмитента и
определяются уровнем его доходности и способностью к выплате дохода
по ценной бумаге. Таким образом, риски объекта инвестирования зависят
от возможности наступления события случайного характера и потерь
от вложений в ценные бумаги данного эмитента.
Управленческие риски определяются квалификацией менеджеров, осуществляющих
управление предприятием. Ошибки, допущенные бизнес-
менеджером, могут повлечь за собой ущерб для тех, кто вложил средства
в ценные бумаги данного эмитента.
Конвертируемые риски возникают при переводе облигаций или привилегированных
акций в простые акции.
Риски невыплаты дивидендов являются частным случаем общего
вида рисков, связанные с индивидуальным положением инвестора в компании.
Они анализируются в основном по двум позициям:
• права, предоставляемые инвестору: уровень дивидендов и сколько
раз они выплачиваются, имеет ли инвестор право голоса при решении
важнейших вопросов стратегии, приоритетность его требований
по отношению к держателям других ценных бумаг данной компании;
• рыночная позиция данной акции: ее популярность, объем выпуска,
дополнительные и последующие выпуски, история обращения на рынке.
Как правило, невыплата дивидендов связана не с отсутствием прибыли,
а с нежеланием администрации их выплачивать и невозможностью
для отдельного акционера потребовать выплаты.
Катастрофические риски, приводящие к банкротству, потере инвестиций
или даже имущества предпринимателя, являются результатом
крупных ошибок предпринимателей и редко рассматривается в качестве
инвестиционных решений.

По своим последствиям риски подразделяются на риски прекращения
деятельности (например, вследствие банкротства, неплатежеспособности,
бесперспективности геологического объекта и др.) и вариационный,
обусловленный изменчивостью доходности по ценным бумагам. Риски
банкротства и неплатежеспособности компании связаны с рейтингом выпускаемых
ею ценных бумаг. Их возникновение связано с тем, что уровень
процентной ставки дисконта при расчете ориентировочной цены
увеличивается на величину дополнительной премии независимо от того,
изменяется ли доходность ценной бумаги или остается постоянной.
Риски, связанные с направлением инвестирования, можно разделить
на страновые, отраслевые и региональные риски.
Региональные риски возникают не только в связи с различным экономическим
положением районов, уровнем развития фондового рынка,
технологий торговли ценными бумагами, взаимосвязи с центральными
фондовыми рынками, но и с особенностями налогового климата, действиями
местной администрации и т.д.
В частности, к немаловажным факторам рисков можно отнести экологическую
ситуацию в регионе: вероятность аварий, экологических катастроф.
К селективным рискам можно отнести риски портфельного инвестирования
и временные риски.
Временные риски — риск выпуска, покупки или продажи ценной бумаги
в неоптимальное время, что обусловливает вероятность определенных
потерь. Известное правило работы с ценными бумагами гласит;
«Нельзя покупать ценные бумаги при самом высоком курсе, а продавать
при самом низком». Приближение к максимальному значению курсов
служит сигналом к продажам — «время продаж», а минимальным —
к покупкам («время покупок»). Продажа в иные периоды влечет за собой
риски.
Технологические риски обусловлены применяемой системой торговли
и расчетов, зависят от квалификации операторов, надеж1юсти технических
систем обеспечения т.д. Они включают следующие разновидности:
• риски поставки - невыполнение обязательств по поставке ценной
бумаги: поставка не принадлежащей продавцу ценной бумаги (отсутствие
перерегистрации прав собственности на купленные ценные бумаги).
Поскольку многие акции существуют лишь в форме записей, то весьма
распространенной разновидностью риска является невключе1гис в
реестр держателей ценных бумаг;
• риски платежа являются оборотной стороной риска поставки. Действующая
система расчетов позволяет не платить в течение определенного
периода времени за приобретение фондовых ценностей;
Клиринговые риски --- риски, возникающие в связи с ошибками в
исчислении чистой позиции; ошибками в переводе денег и т.д.. т.е. риски
функционирования клиринговой системы;
• операционные риски в современных условиях в основном связаны с
непрофессионализмом технического персонала, осуществляющего поручения
с нарушениями в технологии операций с ценными бумагами. Возможны
и риски потерь в результате сбоя в работе компьютерных систем:
• риски перевода определяются возможностью покупателя перевести
средства продавцу в конвертируемой валюте.
Отдельно стоят вариационные риски, заключающиеся в том, что действующая
компания может выплачивать по своим ценным бумагам больший
или меньший доход и, таким образом, ожидания инвесторов относительно
будущих дивидендов и роста курсовой стоимости могут оправдаться
в большей или меньшей степени. Поскольку эти риски связаны с
отклонениями фактических значений доходности относительно ожидаемых,
то они при статическом моделировании цены акций рассчитываются
как дисперсия, коэффициент вариации, среднеквадратическое отклонение
возможных значений доходности в будущем относительно наиболее
вероятного значения этого показателя.
Вариационные риски подразделяются на систематические и несистематические.
Систематические связаны с обще рыночными колебаниями
цен и доходности. Несистематические отражают изменчивость доходности
данной ценной бумаги и обусловлены спецификой спроса и предложения
на конкретную акцию или облигацию.
По результатам комплексного анализа делаются выводы об инвестиционной
привлекательности данного вида вложений в сравнении с альтернативными
вариантами вложений с позиций отраслевого, внутрифирменного
риска и индивидуального риска инвестора. Поскольку подобный
анализ достаточно дорогостоящий и сравнительно длительный, он проводится
не всегда, а лишь при решении стратегических вопросов инвестирования
(например, приобретении контроля над акционерным обществом,
организации подписной кампании, рейтинговой оценки).
На практике классификация рисков по последствиям используется для
того, чтобы оценить, какой должна быть доходность интересующей нас ценной
бумаги. Одно из фундаментальных положений инвестиционного
за состоит в том, что более высокие риски должны компенсироваться более
высоким доходом. Вопрос, таким образом, формулируется так: насколько
должна быть повышена доходность по акции или иной ценной бумаге, чтобы
компенсировать данный уровень рисков?
Значительная часть процессов, происходящих в рыночной экономике,
не поддается априорному оцениванию, т.е. заведомому суждению о будущих результатах.
Единственный способ научного предвидения в этих
случаях заключается в статистическом анализе рынка, дающем возможность
на основании результатов прошлых лет обнаружить устойчивые
тенденции и количественные взаимосвязи отдельных рыночных звеньев и
элементов. В методологическом отношении базой такого анализа являются
вероятностно-статистические методы, которые, как известно, оперируют
приближенными характеристиками и условными допущениями.
Поэтому все оценки, полученные на их основе, весьма условны.
Для определения рисков можно воспользоваться статистическим,
экспертным и комбинированным методами.
Суть статистического метода заключается в том, что изучается статистика
потерь и прибылей, имевших место при данном и аналогичном инвестиционных
решениях, устанавливается величина и частота получения той
или иной экономической отдачи, а затем проводится вероятностный анализ
и составляется прогноз для будущего инвестиционного проекта.
Экспертный метод может быть реализован путем обработки мнений
опытных предпринимателей и менеджеров.
Наиболее приемлемым для практического применения является комбинированный
метод, сочетающий расчет показателей и экспертную
оценку вариантов инвестиционных решений.
ОСНОВНЫЕ ОПРЕДЕЛЕНИЯ
Риск — неопределенность финансового результата в будущем.
Системный (недиверсифицируемый) риск присущ рынку в целом,
который нельзя снизить рыночным путем (например, применяя тактику
диверсификации).
Диверсифицируемый (несистемный) риск может быть уменьшен, так
как связан с конкретной ценной бумагой, квалификацией операторов,
работающих с ценными бумагами, применяемой системой расчетов, т.е.
определяется возможностью наступления таких событий, которые изменят
величину предполагаемого дохода.
ГЛАВНЫЕ ВЫВОДЫ
Работа на рынке ценных бумаг сопряжена с рисками. Каждому виду
инвестиций присущи те или иные уровни рисков. Избежать рисков невозможно,
но снизить их уровень либо заранее предусмотреть необходимые
действия для смягчения их последствий можно. Для этого следует
изучать природу возникновения рисков, выявлять отдельные их виды
и степень их влияния.
Методы анализа рынка ценных бумаг
ФУНДАМЕНТАЛЬНЫЙ АНАЛИЗКак проанализировать все многообразие изменяющихся
и зачастую неожиданно возникающих причин, прямо или косвенно
влияющих на установление биржевых курсов? Ответ на этот и
многие другие вопросы можно получить, используя методы, приемы
анализа, которые выработала теория и практика зарубежного фондового
рынка.
Подойти к оценке инвестиционной привлекательности фондовых
инструментов можно двояко. Во-первых, с точки зрения их рыночной
конъюнктуры, исследуя динамику курсов. Во-вторых, давая инвестиционные
характеристики ценной бумаге, изучая финансово-экономическое
положение эмитента, отрасли, к которой он принадлежит, и т.д.
Так исторически сложилocь два направления в анализе фондового рынка.
Сторонники первого направления создали школу технического анализа,
а последователи второго — школу фундаментального анализа.
Фундаментальный анализ основывается на оценке эмитента: его
доходов, положения на рынке, в основном через показатели объема продаж,
активов и пассивов компании. При этом рассчитывается норма
прибыли на собственный капитал и другие показатели, характеризующие
эффективность деятельности компании. Базой анализа является изучение
балансов, отчетов о прибылях и убытках, других материалах,
публикуемых компанией.
Кроме того, изучается практика управления компанией, состав управляющих
органов (совета директоров). Анализируются данные о состоянии
дел в отрасли на базе использования классификаторов отраслей
по уровню деловой активности и по стадиям развития, а также качественного анализа развития отрасли, рынков, на которые компания
выходит как продавец или покупатель.
Эти многочисленные и весьма трудоемкие исследования позволяют
сделать вывод, завышена или занижена стоимость ценной бумаги
данной корпорации по сравнению с реальной стоимостью активов,
будущими прибылями и т.д. Таким образом, с помощью фундаментального
анализа делается прогноз дохода, который определяет будущую
стоимость акции и, следовательно, может повлиять на цену. На
основе этого даются рекомендации о целесообразности покупок и
продаж.
Технический анализ, напротив, предполагает, что все бесчисленные
фундаментальные причины суммируются и отражаются в ценах фондового
рынка. Основное пoложeниe, на котором строится технический анализ,
заключается в том, что в движении биржевых курсов уже отражена
вся информация, публикующаяся в отчетах фирмы, она и становится
объектом фундаментального анализа. Основной объект технического
анализа — спрос и предложение ценных бумаг, динамика курсов и объемов
операций по их купле-продаже.
Более того, сторонники технического анализа склонны отрицать
влияние роста доходности компаний и риска предпринимательства на
стоимость акций. Действительно, резкие колебания цеп на акции, наблюдаемые,
например, па отечественном фондовом рынке, показывают,
сколь велик бывает разрыв между предполагаемым доходом и реальной
рыночной ценой.
Доходность ценной бумаги, которая была определена фундаментальными
аналитиками, необходимо оценить через механизм фондового рынка.
Там и только там под воздействием спроса и предложения устанавливается
цена, и в ней в каждой конкретной ситуации может быть отражена
оценка «модель идеального дохода» на основе фундаментального
анализа. Но этого может и не произойти.
Цена на фондовом рынке реагирует на различные слухи, страхи, изменение
политической ситуации, рациональные и иррациональные представления
сотен покупателей и продавцов. Но она опирается и на фундаментальную
оценку акции в целом — рынок отражает и потребность
покупателя в ценной бумаге именно такого качества.
Таким образом, между техническим и фундаментальным анализом
не существует «китайской стены». Фактически многие аналитики фондового
рынка используют инструментарий и технического, и фундаментального
анализа. Однако приемы технического анализа используются
чаще, и можно сказать, что это широко распространенная практика на
цивилизованном фондовом рынке.
Приверженцы этого метода так характеризуют его преимущества:
1) техническая легкость;
2) быстрота анализа;
3) пригодность для большего числа акций, чем при осуществлении
фундаментального анализа.
Тем не менее операторы рынка, использующие технический анализ,
не могут предвидеть цены фондового рынка на длительную перспективу
достаточно точно. Поэтому необходимо учитывать данные фундаментального
анализа. Безусловно, добывать эти данные каждому оператору
рынка сложно. Можно с уверенностью сказать, что практически
каждому профессионалу доступен инструментарий технического анализа,
но далеко не каждому — фундаментальный.
Допустим, фундаментальный аналитик выясняет, завышена или занижена
рыночная стоимость акций данной компании по сравнению с
их «внутренней», или «действительной», стоимостью. Цель этого анализа
- выявить «недооцененные» рынком ценные бумаги. На основании
этого принимаются инвестиционные решения — купить, продать
или держать.
Однако если рынок «недооценил» акцию сейчас, то вполне возможно,
что он не сделает это и в будущем, в результате издержки (затраты
на анализ) не окупятся, т.е. нет никаких гарантий, что рынок подтвердит
фундаментальные оценки аналитиков.
Кроме того, фундаментальный анализ — это тяжелая, трудоемкая
работа, требующая и создания базы данных, и адекватного финансирования.
Причем доход от операций с ценными бумагами каждого отдельного
оператора может оказаться недостаточным для финансирования затрат
по проводимому им фундаментальному анализу. В странах с развитой
рыночной экономикой широко используется методика рейтинговой
оценки корпораций в различных отраслях экономики, применяемая специалистами
в рамках фирмы, компании, агентства, бюро и т.д.
Результаты фундаментального анализа становятся товаром фондового
рынка, и в форме бюллетеней, отчетов и т.д. продаются участникам
рынка. Если характеризовать основные направления фундаментального
анализа, то можно выделить следующие его этапы.
Общеэкономический, или макроэкономический, анализ. Положение
экономики оценивается с учетом следующих факторов: ВНП, занятости,
инфляции, процентных ставок, валютного курса и т.п. Учитывается
фискальная и монетаристская политика правительства, влияние их
на фондовый рынок. Таким образом, определяется социально-политический
и экономический климат инвестиционной деятельности.
Индустриальный анализ предполагает изучение делового цикла в
экономике, его индикаторов, осуществление классификации отраслей
по отношению к уровню деловой активности и по стадиям развития, а
также качественный анализ развития отрасли.
Анализ конкретного предприятия (фирмы, корпорации). Оценка
корпорации включает: анализ состояния и перспектив развития менеджмента,
организационные и коммерческие условия работы; анализ финансового
положения компании (предприятия); коэффициенты, оценка
платежеспособности; оценка финансовой устойчивости — определение
цены фирмы.
Моделирование пены ценных бумаг. Макроэкономический анализ
в рыночной экономике — это исследования рынка, живущего по законам
спроса и предложения. Цена на фондовом рынке зависит прежде
всего от совокупности капиталов, инвестируемых в ценные бумаги
(спрос) и от объема предлагаемых для продажи ценных бумаг (предложение),
т.е. их соотношение определяет конъюнктуру фондового рынка.
В стадии высокой конъюнктуры наблюдается прирост денежной массы,
направленной в фондовый сектор финансового рынка, что требует
повышения курсов для уравновешивания цены. Внешний спрос позволяет
фондовому рынку функционировать устойчиво, и курсы легко двигаются
вверх.
В стадии низкой конъюнктуры, когда объем ценных бумаг, предназначенных
для продажи, превышает платежеспособный спрос и наблюдается
отток капитала из секторов фондового рынка, держатели ценных бумаг
могут их реализовать только при значительных потерях в цене. В результате
курсы понижаются, такой рынок называется «тяжелым».
Следовательно, конъюнктура рынка находится под влиянием спроса
— притока капитала на фондовый рынок и оттока его. Фундаментальный
макроэкономический анализ изучает влияние факторов на этот
процесс. Основной источник капитала — валовой национальный продукт.
Финансовый рынок его не создает, а лишь перераспределяет. Поэтому
чем выше произведенный ВНП, тем на больший объем инвестиций
можно рассчитывать на фондовом рынке.
Однако вполне возможно, что средства не поступят на фондовый
рынок, так как они могут быть использованы на потребление. Основную
часть инвестиций на фондовый рынок поставляет население, если
оно имеет доходы, превышающие расходы на потребление. Увеличение
занятости, рост заработной платы, снижение налогов способствуют притоку
капитала на рынок, хотя высокий уровень инфляции может привести
к тому, что практически все средства населения будут использованы
на потребление.
Аналитики, занимающиеся фундаментальными исследованиями на
макроуровне, отмечают:
• эффективная система социального обеспечения, при которой расходы,
ранее покрываемые образованием резервов, обеспечиваются социальными
выплатами, снижает приток капитала на фондовый рынок;
• инвесторы могут отдать предпочтение либо ценным бумагам, либо
другим видам использования своих средств. Конкуренция существует
не только между реальным инвестированием и финансовыми вложениями,
но и внутри секторов финансового рынка, например, вложение средств
в валюту, на вклады в банк или в фондовые ценности. Поэтому фундаментальный
анализ изучает движение процентных ставок, динамику
валютного курса в сопоставлении с индикаторами фондового рынка.
• доходы могут быть инвестированы за границей. В связи с этим
предметом макроэкономической части фундаментального анализа становится
социально-политический и экономический климат в стране, фискальная
и монетарная политика ее правительства и влияние фондового
рынка.
Для установления приоритетов инвестирования средств также большое
значение имеет отраслевой, или индустриальный, анализ.
Цены на большинство акций меняются в соответствии с основной
рыночной тенденцией (трендом рыночной конъюнктуры), но при этом
следует учитывать, что при падении цен в первую очередь снижается
курс акций наименее устойчивых компаний.
Кроме того, в разные периоды приоритетное развитие получит какая-
либо отрасль или группа отраслей, имеющая монопольное положение
на рынке, например, добывающие отрасли или инновации, обеспечивающие
открытие нового сектора продаж.
Выявить и прогнозировать отраслевые отклонения от тренда рыночной
конъюнктуры позволяет индустриальный анализ. Эта часть фундаментального
анализа позволяет классифицировать отрасли по отношению
к уровню деловой активности и по стадиям развития.
Третий этап фундаментального анализа предполагает изучение деятельности
фирмы, оценку ее финансового состояния и положения на рынке.
Большинство аналитиков считают, что наиболее существенным является
получение информации по следующим вопросам:
• Чем занимается компания?
• Каков доход на акции компании?
• Какой дивиденд выплачивает компания?
• Какова текущая рыночная цена на ее акции и как она выглядит в
сравнении с максимальными верхними и нижними уровнями цен прошлого
цикла?
• Как соотносится рыночный курс с расчетной стоимостью акций (исходя
из стоимости активов компании и доходности их использования)?
• Каковы резервы компании?
• Как выглядит настоящий и будущий рынок компании?
• Кто управляет компанией, насколько велико доверие к руководству
компании (качество менеджмента)?
Анализ этих вопросов лежит в сфере «интересов» школы фундаментального
анализа.
Касаясь четвертого этапа фундаментального анализа, задача которого
спрогнозировать цену на товар, следует рассмотреть основные
элементы оценки — объем резервов, финансовые операции, структуру
рынка данной ценной бумаги и, наконец, доходность ценной бумаги,
которая и является с учетом всех вышеперечисленных факторов базой
для определения цены.
Объем резервов компании служит гарантией стабильности дивидендных
выплат и позволяет акционерному обществу увеличить капитал
за счет присоединения резервов. Кроме того, они повышают ликвидную
стоимость акций. Таким образом, увеличение резервов влияет
на курс акций, хотя и не так непосредственно, как дивиденд, и поэтому
учитывается фундаментальными аналитиками при моделировании
цены акций.
Сами по себе финансовые операции, проводимые акционерным обществом,
могли и НС оказать влияние на курсы акций, однако рыночные
ожидания держателей акций или инвесторов приводят к тому, что курс
ценной бумаги приходит в движение. Так, например, если акционерное
общество увеличивает свой капитал за счет резервов, то инвесторы
воспринимают это как признак процветания компании и расширения
рынка акций.
Аналогично воспринимается увеличение капитала за счет поглощения
другой компании. Повышение курса акций может последовать и за
выпуском облигаций. Инвесторы считают, что эффективное использование
заемных средств, привлеченных облигационным займом, повысит
доходность акционерного общества, и ожидания инвесторов отражаются
в росте курса акций.
Важным элементом моделирования цены является структура рынка
данной ценной бумаги.
«Узкий» рынок, где ежедневно совершаются сделки с небольшим
количеством ценных бумаг, чутко реагирует на незначительное их количество.
Цена на таком рынке управляема. Стоит совершить всего
несколько сделок, чтобы добиться желаемого повышения или понижения
курса.
«Широкий» рынок, напротив, не изменят даже крупные сделки, так
как подобные операции осуществляются ежедневно.
И наконец, главный элемент - это доходность ценной бумаги, ее
способность приносить прибыль от инвестируемых в нее денежных
средств.
Курс ценных бумаг с фиксированным доходом выравнивается почти
автоматически в зависимости от степени капитализации дохода
по ставке, равной процентной. Падение рыночного процента против
установленного по данному долговому обязательству повышает его
рыночную цену; рост — понижает. При этом учитываются и условия
эмиссии ценной бумаги — срок, на который она выпускается, и условия
погашения.
На эффективном рынке курс акций зависит от величины дивиденда.
Однако, покупая акцию, владелец приобретает не только сегодняшний
доход, но и будущие дивиденды. Поэтому при стабильном, постоянно
выплачиваемом дивиденде, который имеет тенденцию роста, курс акций
возрастает.
Метод определения цены акции на основе дивиденда является частным
случаем оценки акции как производной от величины будущих доходов
компании, скорректированной на степень риска, который связывается
инвестором с реализацией прогнозируемых доходов. В таких ситуациях
аналитик оценивает поток дохода, а не реальные и не материальные
активы, использование которых обеспечивает его получение. Этот метод
широко используется в практике фундаментального анализа, но его нелегко
применять.
Методом оценки капитализации доходов предусматривается два
этапа: первый — необходимо оценить будущие доходы и второй - необходимо
выбрать норму капитализации для использования в оценке.
Обычно аналитик основывает оценку будущих доходов компании
на ее средних доходах за последние несколько лет с учетом корректировки,
связанной с его ожиданиями дальнейших перспектив компании
на ближайшие пять или более лет. Вместо попытки предсказать доходы
на каждый год из будущего периода аналитик принимает среднюю величину
доходов на этот период или прогнозирует плавную тенденцию.
Корректировки ранее сложившейся структуры доходов могут быть связаны
с ожидаемыми изменениями в национальной экономике, появлением
новых продуктов, потенциальными слияниями компаний, обращением
в обычные акции основных конвертируемых ценных бумаг и
с другими факторами, выявленными в процессе макроэкономическою
индустриального анализа, влияющими на величину дохода на одну
акцию.
Норма капитализации является обратным отношением цены к доходам,
выраженным в процентах. Она отражает норму, по которой на
рынке капитализируется стоимость текущих доходов. Например, умножение
средней величины доходов на норму капитализации в 10% равнозначно
расчету дисконтированной стоимости по потоку равных годовых
доходов за длительный период времени, уменьшенному на 10%. Также
норма капитализации в 20% эквивалентна коэффициенту цены к
доходам, равному пяти, который, будучи умноженным на средние прогнозируемые
доходы, даст стоимость, являющуюся дисконтированной
стоимостью такого же потока доходов, уменьшенного на 20%. Ясно, что
потоки доходов непостоянны по времени. Однако из-за высокой степени
неуверенности, чему будут равняться действительные доходы в любом
конкретном году, аналитику удобнее упростить проблему, используя
расчет средних прогнозируемых доходов.
В большинстве случаев чем больше аналитик уверен, что прогнозируемые
доходы будут реализованы, тем ниже норма капитализации,
применяемая к этим доходам. Например, в бизнесе с очень стабильными
доходами аналитик может использовать норму капитализации 7%. Если
прогнозируемые доходы составляли 5 долл. на акцию, такая норма предполагает
рыночную стоимость около 70 долл. (5/0,07 = 71,43). Также
аналитик, оценивающий бизнес с высокой степенью риска, может использовать
или консервативный прогноз доходов, или высокую норму
капитализации. В компаниях с большим потенциальным ростом иногда
к текущим доходам применяется очень низкая норма капитализации. В
этих случаях она может достигать 1%.
Выбор соответствующей нормы капитализации очень субъективен. Она
является производной от рассчитанного риска, связанного с реализацией
прогнозируемого потока доходов и желанием инвестора взять на себя этот
риск и обусловленного финансовым положением инвестора и его отношением
к риску. Например, на основе прогнозируемых доходов аналитик может
принять норму капитализации 15%. Однако инвестор считает, что она
слишком низка, поскольку в случае, если компании не удастся достичь прогнозируемых
доходов, любые потери от инвестирования в акции уничтожат
большую часть его сбережений. Поэтому инвестор вправе потребовать
установить норму капитализации 30% до начала осуществления вложений.
Одним из показателей для принятия приемлемых норм капитализации
является система коэффициентов цены к доходам, определенных рынком
для текущих доходов конкретных отраслей или компаний с характеристиками,
приближенными к таковым оцениваемой компании.
Определенная политика связана с ролью выплачиваемых дивидендов
в оценке надежности.
Метод капитализации доходов предполагает что 1 долл. доходов одинаково
ценен для инвестора, будет ли он выплачен в качестве дивиденда или
оставлен для реинвестирования в компанию.
Напротив, некоторые инвесторы утверждают, что оценка надежности
отражает ожидаемый поток денежных средств, не поступающий
в собственность, т.е. платежи по дивидендам. Такой подход для определения
стоимости скорее предполагает капитализацию прогнозируемого
потока выплат по дивидендам, чем доходов. В конечном итоге конкретный
инвестор будет зависеть от финансовых потребностей эмитента и
его ресурсов, а также перспектив роста доходов компании относительно
потенциальной нормы прибыли по дивидендам инвестора.
К инструментарию фундаментального анализа относится и применяемый
метод коэффициентов. При этом, однако, нельзя не отметить,
что анализ коэффициентов имеет дело лишь с количественными данными.
Поэтому использование только коэффициентов без проведения всех
этапов фундаментального анализа может привести к получению недостоверной
информации.
Наиболее часто используются следующие коэффициенты:
• коэффициент р/е = ratio определяется как отношение курсовой стоимости
акции к величине чистой прибыли в расчете на одну обыкновенную
акцию;
• коэффициент d/p = ratio определяется как отношение дивиденда
по обыкновенной акции к ее курсовой стоимости;
• бета-коэффициент. Данный коэффициент определяет влияние общей
ситуации на рынке в целом на судьбу конкретной ценной бумаги.
Если бета-коэффициент положителен, то эффективность данной ценной
бумаги аналогична эффективности рынка. При отрицательном бета-
коэффициенте эффективность данной ценной бумаги будет снижаться
при возрастании эффективности рынка.
Бета-коэффициент также принято считать мерой риска инвестиций
в данные ценные бумаги. При бета- коэффициенте больше единицы риск
инвестиций выше, чем в среднем по рынку, а при бета- коэффициенте
меньшем единицы - наоборот;
• R-квадрат (R-squared). Этот коэффициент характеризует долю
риска вклада в данную ценную бумагу по отношению к риску в целом:
чем ближе R-квадрат к нулю, тем более независимым является поведение
акции по отношению к общей тенденции рынка.
Результаты анализа финансовых коэффициентов имеют несомненное
значение при сравнении со стандартами, выбор которых всегда затруднителен.
Сравнение можно проводить с аналогичными показателями
западных компаний или коэффициентами других эмитентов в данном
секторе рынка.
Высокое соотношение p/e- ratio может указывать, например, на то,
что инвесторы, покупающие данную ценную бумагу, ожидают роста
прибыли компании. Вместе с тем вполне возможно, что потенциал роста
курсовой стоимости данной ценной бумаги исчерпан и может начаться
падение цены.
Классическими приемами анализа p/e-ratio являются:
1) сравнение сегодняшнего соотношения р/е (данного коэффициента)
со средним уровнем прошлого периода, составляющего от 5 до 10 лет.
При этом необходимо учитывать инфляцию, а следовательно, ключевым
является вопрос о том, компенсируют ли в будущем доходы и дивидендные
выплаты рост рыночного процента, обусловленный инфляционными
процессами. Это, естественно, зависит от возможности продаж
производимой продукции по более высоким ценам и роста
рентабельности в пропорции, опережающей или соответствующей темпам
инфляции;
2) сравнение сегодняшнего p/e-ratio к p/e-ratio других компаний, по
основным условиям оценки: рентабельности, возможностям реинвестирования,
недиверсифицированным эксплуатационным характеристикам
и финансовому риску.
Перехитрить рынок — это явно нелегкая задача, которую пытается
решить фундаментальный аналитик. Если даже он, занимаясь поиском
недооцененной рынком бумаги и имея информацию, не доступную широкой
публике, выявил ее, то где гарантия того, что ценная бумага все-
таки будет оценена рынком в соответствии с фундаментальным анализом.
Поэтому следует более внимательно подойти к инструментам, которые
используются техническими аналитиками.
ТЕХНИЧЕСКИЙ АНАЛИЗ ОПРЕДЕЛЕНИЕ И ПРИНЦИПЫ ТЕХНИЧЕСКОГО АНАЛИЗА
Технический анализ рынка ценных бумаг базируетсяна трех основополагающих принципах - отражения, тренда, повторяемости.
Принцип отражения означает, что все происходящие события
(экономические, политические, социальные, психологические и др.)
находят свое отражение в ценах. Иными словами, цены финансовых
активов изменяются под воздействием сложнейшей совокупности сфер
человеческой жизни, в том числе и заранее не поддающихся количественному выражению (математическому описанию). Это подтверждается,
например, историческими данными о балансовой и рыночной
стоимости акций. Можно сказать, ссылаясь и на российскую практику,
что правилом остается ситуация, когда между указанными показателями
существует значительный разрыв. Технические аналитики
имеют дело с реальными ценами по итогам торговой сессии на бирже
или в какой-либо электронной системе. Техническому аналитику фактически безразличны те причины, по которым меняются цены. Однако
он стремится точно знать, что же на самом деле произошло с ценами
и в каком направлении будут происходить изменения? Принцип отражения
позволил сформулировать правило «продавать при появлении
хороших новостей». Хорошие новости практически моментальное отражаются
на ценах. Поэтому ожидать дальнейшего повышения рыночной
цены нецелесообразно.
Согласно принципу тренда, изменения цен происходят в соответствии
с определенным преобладающим направлением. Именно эти, поддающиеся
выделению, направления и представляют собой нормальное
«описание» рынка. Стихийные взлеты и падения занимают в рыночной
истории менее значительное место по сравнению с трендами. Тренд создается
соотношением спроса и предложения и остается стабильным до
появления чего-то полностью противоположного. Рыночные цены изменяются
таким же образом: сначала они движутся в одном направлении,
например вверх, создавая тем самым повышательный тренд. Этот тренд
остается господствующим до тех пор, пока скорость его изменений не
начинает снижаться, что предупреждает его предстоящей смене направления.
В это время уже начинает зарождаться новый тренд. Выявление
тренда и момента его смены является главной целью технического
анализа. Следуя определенному тренду, можно значительно повысить
вероятность получения положительного результата от проводимых операций.
И наконец, принцип повторяемости. Его суть состоит в выявлении
модельных ситуаций, появляющихся время от времени на рынке. Эти
модели позволяют интерпретировать уже произошедшие изменения и
прогнозировать будущие движения цен. Принцип повторяемости дает
возможность в новых ситуациях реализовать уже приобретенный ранее
опыт. Человеческая природа такова, что люди, как правило, действуют
в соответствии с уже приобретенным ими опытом. А любой
рынок есть не что иное, как результат действий людей; он отражает
их поведение. Поэтому рынок ценных бумаг склонен к повторяемости.
При этом технический аналитик должен стараться отследить эти повторения.
На основе раскрытых выше принципов технического анализа можно
дать его развернутое определение. Технический анализ представляет
собой совокупность методов анализа динамики котировок отдельных
ценных бумаг и всего рынка в целом на основе постоянно изменяющегося
спроса и предложения. На практике это означает отслеживание и интерпретацию
истории ценовых и объемных показателей, характеризующих
происходящие на рынке изменения.
Технический анализ дает возможность инвесторам реализовать самостоятельный
подход к инвестициям. Известно, что каждый инвестор
обладает единственным, присущим только ему отношением к риску,
темпераментом, опытом, суммой свободных денежных средств. Все это
определяет и различия инвестиционного поведения. По указанной причине
каждый инвестор, участник рынка ищет свою золотую середину,
стремится в заданных условиях принять наиболее адекватные собственным
предпочтениям решения. Именно на этой основе каждый инвестор
формирует собственный набор, можно сказать, систему показателей.
Технический анализ позволяет оценить краткосрочные, среднесрочные
и долгосрочные инвестиционные альтернативы, избежать субъективных
оценок ситуации на рынке.
Технические аналитики, как уже было показано ранее,
не верят в то, что цены отдельных ценных бумаг изменяются случайным
образом. Более того, они уверены в наличии тесной зависимости
между ценовыми изменениями прошлого и будущего. При этом их цель,
т. е. цель технического анализа, состоит в определении степени и формы
этой зависимости и возможном предсказании на ее основе роста или падения
курса как отдельных ценных бумаг, так и рынка в целом. Основным
методом, которым пользуются технические аналитики, является построение
«картин» движения цен или графиков.
Основные виды графиков, применяемых при проведении технического
анализа, представлены на рис. 11, 1 Данные графические
построения носят название «биржевого графика» и «графика цены закрытия».
Независимо от того, какой график используется, изучаемый период
будет определяться продолжительностью инвестиционных горизонтов.
Следует отметить, что однозначного определения этих горизонтов не
существует. Однако в большинстве случаев под краткосрочным инвестиционным горизонтом понимается период в 3 месяца, под среднесрочным
— от 3 до 6 месяцев, а под долгосрочным — от 6 месяцев до одного года.

Для определения супер краткосрочных тенденций многие аналитики
используют почасовые или поминутные графики происходящих ценовых
изменений. Для получения качественных прогнозов для среднесрочных
инвестиций в большинстве случаев применяются недельные графики,
а месячные и годовые больше подходят для долгосрочных инвестиций.
Рассмотрим указанные виды графиков более подробно.
Построение биржевого графика можно легко проиллюстрировать. Ценовые
изменения отражаются по вертикальной шкале, а временные —
по горизонтальной. Для каждого периода времени отмечаются четыре
показателя: максимальная цена, минимальная цена, цена открытия и цена
последней сделки (цена закрытия).
Таким образом, вертикальная черта соединяет максимальную и минимальную
цены, а горизонтальные полосы направо и налево представляют
соответственно цену открытия и цену закрытия.
Можно рассмотреть и более сложный пример. Предположим, что какая-
либо ценная бумага торговалась на протяжении нескольких недель
(например, трех, что равнозначно 15 торговым дням). Недельный биржевой
график, который является сжатой версией ежедневного, показан
на рис. 1 В недельном графике одна черта представляет собой пять
дней.
При изучении трех видов биржевых графиков (ежедневных, недельных
и месячных) можно получить представление о соответствующих
сценариях развития событий. Так, месячные графики позволяют оценить
сравнительно долгосрочную перспективу инвестиций. Недельные графики
дают представление о менее продолжительных ожиданиях, в отличие
от ежедневных графиков, на которых отражается краткосрочный
срез ценовой информации.
Некоторые аналитики предпочитают использовать только цену закрытия,
считая ее наиболее информационно насыщенным показателем,
и строят графики исходя из этого. Этот график, как правило, основывается
на двух видах информации: цене закрытия и обороте торгов. Вполне
вероя1но, что чистое отображение цены закрытия является более наглядным,
однако оно далеко не всегда отражает происходившие на рынке
события. Это в большей мере относится к тем рынкам, которые
находятся на начальных стадиях своего развития.
Объемы торговли традиционно показываются в нижней части биржевого
графика. Каждый из объемов торговых сессий отмечается вертикальной
чертой под соответствующими ценовыми показателями.

Вполне понятно, что высокая черта свидетельствует о значительном
объеме торгов. При указании объемов торгов используется вторая шкала
ординат.
Точечные диаграммы являются одним из старейших видов отображения
рыночных тенденций в техническом анализе. Некоторые аналитики
предпочитают использовать именно эти диаграммы с целью выявления
трендов.
Существует несколько различий между точечными диаграммами и
обычными графиками. Главное отличие состоит в принципе построения
и отображения колебаний цен. Точечная диаграмма — это набор ячеек,
в которых положительные изменения цен отмечаются знаком «X»,
а отрицательные — «О» (рис. 14).
Изучая горизонтальную ось, можно заметить, что фактор времени
не принимается в расчет, т.е. в одном «столбце» зафиксированы несколько
однородных событий. Масштаб клетки также выбирается произвольно.
Одним знаком «X» или «О» может быть обозначено изменение
цены на 5 или 10 условных единиц (например, процентные пункты).
Однако чем меньше эта величина, тем чувствительнее становится
график.

Рассмотрим конкретный пример. Масштаб каждой клетки
примем за 1%-ный пункт. Предположим, что цена первой сделки на
рынке была зафиксирована на уровне 8 В первый момент времени
она выросла до 8 Затем цена поднялась еще на 3 пункта — с 85 до
8 Этот рост отражается на рисунке одним столбиком из семи «X».
После этого цена опустилась на 4 пункта до значения 84, падение
отмечено как четыре «О».
«Японские подсвечники» как инструмент технического анализа использовались
японскими трейдерами на протяжении столетий, и лишь
сравнительно недавно они привлекли внимание трейдеров из других
стран. «Японские подсвечники» достаточно легко строить. Каждый
подсвечник — это цена открытия, закрытия, максимальный и минимальный
уровни, которые являются отражением торговой активности
в течение одного момента времени (часа, дня, недели и т.д.). Основная
часть подсвечника — разница между величиной цены открытия и ценой
закрытия. В случае роста цены к моменту закрытия торгов по
отношению к цене открытия подсвечник будет пустой (белый) если же
цена к концу торгов опустилась ниже цены открытия, подсвечник —
темный.
Тонкие линии сверху и снизу подсвечника называют тенями. Они
показывают самые высокие и самые низкие значения цен, зафиксированных
в течение торгов (как на биржевом графике). Длинный белый
подсвечник (рис. 15) обычно является показателем присутствия «быков
» на рынке. После торговли в широком диапазоне цена закрытия
оказывается около максимума. Длинный черный подсвечник формируется
по результатам торгов в широком диапазоне цен, однако цена закрытия
оказывается около минимального значения, ниже цены открытия.
Это рассматривается как проявление «медведей» на рынке.

Может случиться и так, что основная часть подсвечника ни белая,
ни черная — ее просто нет. Это происходит, когда цена закрытия оказывается
равна цене открытия (Доджи- линия).
Для построения «японских подсвечников» требуется цена открытия,
но поскольку она не публикуется в финансовых изданиях, их использование
как инструмента технического анализа может быть затруднено
для большинства частных и мелких инвесторов. Несмотря на это, отсутствие
цены открытия в периодических изданиях не может полностью
отстранить инвесторов от использования «японских подсвечников»
для анализа фондового рынка.
Линии подсвечников могут иметь разнообразные формы в зависимости
от соотношений цен открытия и закрытия, максимальных и минимальных
уровней. На рис. 16 показаны наиболее общие формы подсвечников
с их интерпретацией, позволяющей судить о текущем состоянии
рынка.

Чрезвычайно сильное проявление «медведей» на рынке.
Чрезвычайно сильное проявление «быков» на рынке.
Проявление «медведей» па рынке.
Проявление «медведей» на рынке.
Проявление «быков» на рынке.
Проявление «быков» на рынке.
Нейтральный рынок.
Нейтральный рынок.
На понижательном тревде проявление «быков»; на повышательном «медведей».
1 На понижательном тренде проявление «быков»; на повышательном — «медведей».
1 Точка изменения тренда.
1 Точка изменения тренда.
1 Конец понижательного тренда.
1 Точка изменения тренда.
1 Возможная точка изменения тренда.
ТОРГОВЫЕ СИСТЕМЫ
Построение графиков напрямую связано с введениемсоответствующих баз данных по ценовой и объемной информации. В
противном случае полученные графики не будут полезными при принятии
инвестиционных решений. Эта проблема представляется едва ли не
самой главной по той причине, что следует точно установить вид необходимой
информации и возможные источники ее получения. При подготовке
графиков большую помощь могут оказать специальные аналитические
пакеты. Однако они представляют собой стандартизованные
компьютерные программы и могут быть полезными только в случае соответствующего информационного обеспечения. Кроме того, следует
обратить внимание на результаты, получаемые от использования пакета.
Ведь может оказаться, что на их основе нельзя достичь необходимых
инвестиционных результатов. При этом практика использования технического
анализа показывает, что лучше изучать уже построенные
графики, а не создавать новые.
Разработка и применение торговых систем, под которыми следует
понимать определенный алгоритм накопления и обработки специфических
данных о рынке и принятия торговых решений, являет собой необходимый
и жизненно важный компонент технического анализа любого
рынка. Это подтверждается следующими моментами.
Во-первых, развитие технического анализа основано на единстве
двух противоположностей, первой из которых является специализация
методов технического анализа. В данном случае хорошим примером
могут служить так называемые обратные модели, многие из которых
просто неприменимы на рынке долговых инструментов. Вторым направлением
развития технического анализа однозначно является противоположная
специализации комбинаторика различных методов, основанная
на принципе подтверждения. Последний на практике означает, как уже
отмечалось ранее, желательность, необходимость подтверждения сигнала
одного индикатора сигналом, полученным от другого индикатора.
Объединение различных методов технического анализа позволяет в значительной
степени освободиться от одностороннего подхода, свойственного
отдельному использованию единичных индикаторов рынка.
Во-вторых, существующее техническое обеспечение технического анализа
позволяет, с одной стороны, использовать сколь угодно длинные массивы
данных, а с другой — создавать увязки таких важных компонентов
торговых операций, как торговая стратегия, управление риском и пр.
В-третьих, потребности участников рынка, которые в условиях чрезвычайно
быстро меняющихся рынков должны быстро принимать адекватные
рыночной ситуации решения. Это в значительной степени корреспондирует
с повышением качества анализа ситуации при использовании
многообразия индикаторов.
В-четвертых, возможность внесения в торговую систему элемента
саморазвития, иначе говоря, возможности оптимизации входящих в нее
параметров. Таковы основания использования торговых систем. Что же
собой представляет создание торговой системы?
Создание торговой системы представляет собой сложный процесс,
состоящий из нескольких внутренне связанных шагов. Так, к примеру,
Р. Пардо в своей книге «Дизайн, тестирование и оптимизация торговых
систем»' наиболее важными считает следующие этапы формирования
модели торговой системы:
• формулирование торговой стратегии в строго определенной
форме;
• проверка торговой стратегии;
• оптимизация торговой стратегии;
• практическое использование торговой стратегии;
• отслеживание рыночных результатов и сравнение их с результатами
специальных тестов;
• «шлифовка» торговой стратегии.
Каждый из указанных шагов полностью зависит от результатов предыдущих
этапов. Так, можно с большой степенью уверенности утверждать,
что выбор неудачной торговой стратегии однозначно приведет к
низким результатам предварительного тестирования, которые ничем не
смогут быть скорректированы, ничем кроме пересмотра основных правил
поведения на рынке. Рассмотрим этапы развития торговой системы
более подробно.
Принципиальным моментом является определение собственной торговой
стратегии. Она может быть как простой, так и сложной. Однако в
любом случае торговая стратегия должна давать четкие и недвусмысленные
ответы по меньшей мере на два чрезвычайно важных вопроса -
когда войти в рынок и когда с него уйти? При этом правила вхождения
и выхода с рынка могут быть симметричными (правило выхода представляет
собой зеркальное отражение правил входа) и асимметричными
(правило входа полностью отличается от правила выхода). Если обратиться
к практике, то хорошим примером симметричного входа и выхода
является покупка при условии, что цены превзошли максимальный
уровень последних двух дней, и продажа в том случае, когда цены упали
ниже минимальных цен за последние опять же два дня. Асимметричный
подход иллюстрируется на примере торговой системы, состоящей
из правила входа на рынок (предположим, роста цен выше максимумов
последних трех дней) и выхода с рынка, формулируемого как пересечение
6-дневных и 18-дневных скользящих средних. Правила входа и выхода
с рынка могут быть разделены на три группы, первая из которых
относится к правилам входа. Они связываются с условиями открытия
короткой или длинной позиции на рынке того или иного инструмента.
Вторая группа правил относится к условиям ухода с рынка и поэтому
описывает ситуации закрытия существующих длинных и коротких позиций.
Третья группа правил образует комбинацию входа и выхода. При
этом происходит закрытие текущих открытых позиций и автоматическое
открытие противоположных позиций на рынке.
Другим аспектом торговой стратегии можно назвать управление
риском, иными словами, ограничение суммы средств, подверженных риску
в момент открытия какой-либо из позиций.
Одним из примеров в данном случае является так называемый стоп- лосс, который отражает максимальный убыток, «приемлемый» для одной сделки. Однако этим риск, связанный с открытой позицией, не ограничивается. Если, к примеру,
позиция сохраняется на следующий день, то это означает возникновение
так называемого риска овернайт (overnight). Другими словами, переход
позиции из одного дня в другой может привести к потенциальным
убыткам из-за возникновения разницы между вчерашней ценой закрытия
и завтрашней ценой открытия торгов. Наиболее надежным средством
решения этой проблемы является закрытие позиций каждый день.
Однако если стоп-лосс служит ограничителем убытков, то «ползучий
» стоп обеспечивает фиксацию минимальной прибыли в каждой сделке.
О чем в данном случае идет речь? Предположим, что была открыта
длинная позиция по облигациям на уровне 80 «Ползучий» стоп на
продажу устанавливается на уровне в два пункта. Через три дня цена
на рынке достигла 80 Соответственно при возможном последующем
снижении цен «ползучий» стоп в любом случае сохраняет два пункта
прибыли на одну купленную облигацию. В данной ситуации «ползучий»
стоп выполняет роль средства управления прибылью с каждой сделки.
В установлении «ползучего» стопа, как показывает практика, наиболее
применимы следующие подходы. Первый основывается на том, что стоп
устанавливается только при достижении позицией минимальной прибыльности.
Иначе говоря, когда есть что защищать. Другой подход несколько
отличен от первого и основывается на установлении «ползучего
» стопа в день открытия позиции. Сложно сказать, какой из этих вариантов
является наиболее предпочтительным. Наилучшим критерием
в данном случае является практическое тестирование.
Таким образом, любая торговая стратегия должна максимально четко
отвечать на вопросы входа и выхода, управления риском и прибылью.
Будем считать, что торговая стратегия уже разработана. Дальше,
как отмечалось ранее, следует этап тестирования. К нему, с нашей точки
зрения, предъявляются свои требования.
Во-первых, тестирование торговой стратегии должно в технико-организационном
плане показать, что торговая система выполняет то, что
она должна делать. Иначе говоря, она отвечает правилам входа и выхода,
соответствует установленным этапам.
Во-вторых, тестирование торговой системы по отдельных данным
позволяет оценить реальный уровень рискованности и прибыльности,
которому она соответствует. В данном случае наиболее репрезентативные
результаты достигаются посредством проверки торговой системы
на различных рынках с использованием информации за продолжительный
период времени.
Результатом тестирования является сводный лист
результатов, содержащий информацию о прибылях и убытках, включая
данные о максимальных убытках, количестве сделок, проценте удачных
(прибыльных) сделок.
Удовлетворительные результаты тестирования, как правило, становятся
основой для оптимизации торговой стратегии. Задачей оптимизации
является выработка, определение наиболее эффективного применения
правил, представляющих собой торговую стратегию. Это в наибольшей
степени относится к индикаторам, индексам, другим методам
технического анализа, образующим торговую систему. С практической
точки зрения, оптимизация торговой системы сводится к проведению
тестирования различных вариантов использования показателей на
одном массиве информации. Хорошим примером процесса оптимизации
выступает система скользящих средних, основанная на применении короткой
и длинной средних. Предположим, что начальными значениями
периодов короткой и длинной средних были 9 и 18 дней. Более того, торговая
система, состоящая из указанных средних, уже была протестирована
и дала определенные результаты. Самое время задаться вопросом
о том, в какой степени эта система может быть улучшена? Ответ на
этот вопрос подсказывает оптимизация, которая из заданного набора
значений для короткой и длинной скользящих средних позволяет выбрать
наиболее эффективное соотношение.
Оптимизация торговой системы фактически заканчивает этап ее
лабораторного существования. Следующим важным шагом в жизни
торговой системы становится ее практическое применение. Необходимо
отметить, что оно требует выполнения определенных правил, среди
которых особо выделяется необходимость следования сигналам, подаваемым
торговой системой. Отслеживание этих сигналов позволяет
наилучшим образом понять поведение системы в условиях реального
рынка, для которого могут быть характерны затяжные периоды низкой
ликвидности или резкие всплески волатильности. Практические
решения системы дают возможность оценить реальный уровень риска,
возникающий при ее использовании. Более того, практическое применение
торговой системы нуждается в постоянной фиксации с целью
проведения сравнительного анализа с результатами предварительного
тестирования. Наиболее важными показателями в этом случае являются;
максимальные потери, максимальная прибыль, количество
проведенных сделок, количество прибыльных/убыточных сделок и пр.
Данные показатели сопоставляются с результатами тестов. При этом
все значительные отклонения в лучшую или худшую сторону должны
быть максимально четко объяснены. Только после этого можно принимать
какие-либо решения относительно общей эффективности всей
торговой системы.
Последний этап создания и развития торговой системы связывается
с ее улучшением, которое становится логическим завершением всех
предшествующих шагов. В данном случае совершенствование торгового
подхода основывается и зависит от всеобъемлющего понимания
используемого торгового механизма.
ТЕОРИИ ДВИЖЕНИЯ ЦЕН
Теория Доу. Она представляет собой один из старейшихметодов, применяемых для определения ценовых трендов на рынке
акций. Ее основные положения были выведены из работ Чарльза Доу,
написанных в 90-х годах XIX в.
Теория Доу основывается на использовании двух рыночных индексов,
а именно: Dow Jones Industrial Average и Dow Jones Transportation
Average. Основные принципы теории таковы.
Во-первых, все отражается в динамике средних. Учитывая то, что
поведение каждого инвестора влияет на изменения средней, каждое событие,
изменяющее спрос или предложение, отражается средними.
Во-вторых, на рынке традиционно выделяются три вида трендов:
первичные, вторичные и второстепенные. Первичные тренды представляют
собой долгосрочные ценовые тренды акций. Вторичные имеют
характер корректирующих. Они на время прерывают господство первичных
трендов и действуют в направлении, им противоположном. Что
же касается второстепенных трендов, то к ним относятся однодневные
изменения цен, которым в теории не придается сколько-нибудь важное
значение.
В-третьих, первичные тренды («бычий» рынок) обычно имеют три
движения вверх. При этом первое движение является результатом действий
наиболее дальновидных инвесторов, аккумулирующих акции в то
время, когда бизнес-цикл замедляется в расчете на то, что дальнейшие
условия будут постепенно улучшаться. Вторая повышательная волна
связывается с тем, что инвесторы начинают покупать акции, основываясь
на росте доходов корпорации-эмитента. И, наконец, последняя волна
повышения цен создается публикой, покупающей акции при условиях,
когда все финансовые новости могут однозначно считаться хорошими.
Во время последней волны спекуляция становится необузданной.
В-четвертых, первичные понижательные тренды («медвежий» рынок)
также состоят из трех этапов снижения цен.
Первое снижение цен происходит, когда наиболее дальновидные инвесторы приходят к выводу о том, что доходы от бизнеса слишком высоки для того, чтобы удерживаться на существующем уровне, и принимают решение о
продаже облигаций.
Вторая волна фактически означает панику на рынке, при которой
покупатели становятся все более осторожными, а продавцы стремятся
всеми силами уйти с рынка. Последняя волна снижения цен
означает вынужденную продажу и желание инвесторов любыми средствами
получить столь желаемые деньги в обмен на ценные бумаги.
В-пятых, две средние должны подтверждать друг друга. При этом в
качестве сигнала для повышательного тренда рассматривается превышение
Dow Jones Industrial Average и Dow Jones Transportation Average
своих максимальных значений за время предыдущих вторичных изменений.
По аналогии с этим понижательный тренд начинает господствовать
тогда, когда значения указанных средних падают ниже уровня предыдущих
вторичных изменений.
В-шестых, расчет средних Dow Jones Industrial Average и Dow Jones
Transportation Average производится на основе цен закрытия. Как правило,
изменение тренда сначала показывается одной средней, а затем -
другой.
В-седьмых, тренд остается эффективным до тех пор, пока сигнал об
обратном тренде не подается двумя средними.
Несмотря на то что в целом теория Доу может быть признана достаточно
успешной, противники этой теории продолжают ее критиковать за
слишком поздние сигналы, приводящие инвесторов к потере прибыли.
Теория случайного движения. Согласно Иану Нотли, в 1900 г. Луи
Бакалье написал провокационную работу, которая получила название
«Теория спекуляции». Она легла в основу теории случайного движения,
среди основополагающих принципов которой необходимо отметить следующие.
Отрицание правдивости как технического, так и фундаментального
анализа. В этой теории устанавливалось, с одной стороны, что изменения
цен акций являются случайными, а с другой, проводилась идея о
невозможности прогнозирования будущего ни одним из известных методов.
Тем самым подразумевалось, что цены акций не имеют памяти и
последняя история не может предсказать будущее в том смысле, что
данные сами по себе не являются основой для сколько-нибудь качественного
прогноза. На практике это означало, что все аналитические усилия
специалистов технического анализа признавались тщетными из-за
использования прошлой информации для определения будущих движений
цен. Эта гипотеза получила поддержку среди незначительного числа
профессионалов, но была встречена с энтузиазмом в академических кругах.
Необходимо отметить, что фактически никто из «академиков»
не смог улучшить или развить идеи Л. Бакалье. Тем самым они были
полностью удовлетворены достигнутым разрушением практически
любой надежды на создание какого-либо интеллекта, способного капитализировать
изменения рыночных цен. Тот факт, что отдельные инвесторы
весьма преуспели в использовании технической информации, не
признавался и сводился к простому везению.
Однако в дальнейшем, по мере развития рынка, позиции так называемых
«академиков» в значительной степени ослабли в связи с тем, что
они уже не могли отрицать долгосрочный повышательный тренд цен
акций наряду с 200-летним ростом доходов и дивидендов. В дальнейшем
они были вынуждены признать и тот факт, что технический анализ
способен не просто делать деньги, но и делать это очень часто.
Однако, несмотря на это, реальная проверка качества технических
методов так и не была проведена. Вместо этого из практики рынка выхватывались
отдельные примеры, которые критиковались за неэффективность
по сравнению с наиболее прибыльной с позиции сторонников теории
долгосрочной стратегии «купи и держи». Важно понимать, что указанная
стратегия в значительной степени себя оправдала за последние
два века, однако можно выделить отдельные периоды времени, когда
последствия пассивного держания были исключительно разрушительными.
Так, ни один практик рынка никогда не сможет забыть, что стратегия
«купи и держи» привела к потере 89% вложенного капитала за
период с 1929 г. по 1932 г., а также потере от 20 до 50'М) в дальнейшем в
ходе последующих периодов «медвежьего» рынка. Даже многие консервативные
инвесторы отказались от подобной стратегии как наиболее
рискованной.
Принцип Эллиота. Волновой принцип был разработан Р. Эллиотом и
впервые опубликован в серии статей в 1939 г. Основой волновой теории
стало наблюдение за ритмической регулярностью, повторяемостью различных
событий. Р. Эллиот отмечал, что все циклы природы, такие как
смена дня и ночи, обладают способностью повторяться. Эти циклические
изменения характеризовались двумя силами: одной — создающей,
другой — разрушающей.
Концепция природного закона повторения связывалась Р. Эллиотом
с выдающимися числовыми последовательностями, открытыми математиком
XIII в. Фибоначчи. Числовая последовательность Фибоначчи
1, 2, 3, 5, 8, 13, 21, 34, 55, 89, 144, 233 обладает целым рядом
характеристик:
• сумма двух последовательных чисел дает последующее число: так,
3+5=8, а 5+8=13 и т.д.;
• отношение любого числа к последующему составляет 61,8 к 100, а
к предыдущему составляет 161,8 к 100;
• отношение 1,68, умноженное на 0,618, дает
Оказывается, что отношения чисел Фибоначчи встречаются во многих
проявлениях природы. Например, подсолнух имеет 89 колец, из которых
55 направлены в одну сторону, а 34 — в противоположную. В
музыке октава составляет 13 клавиш на пианино, из которых 5 черных
и 8 белых. Деревья всегда дают ветки на основе последовательности
Фибоначчи.
Сопоставляя природные циклы со знанием чисел Фибоначчи, Р. Эллиот
отметил, что 80-летний период истории рынка характеризуется
пятью повышательными волнами и тремя понижательными (рис. 17).

Наиболее длинный цикл в концепции Р. Эллиота получил название
Великого супер цикла и начался в 1800 г. При этом последняя понижательная
волна имела место в период с 1929 по 1932 г. Если обратиться к
более современной истории, то можно отметить 8-летний период между
падениями 1966 и 1974 гг., а также ростами 1968 и 1976 гг., и 5 лет,
которые прошли между 1968 и 1973 гг.
Предварительный анализ данного подхода выявляет, что моменты начала
и окончания тех или иных волн, как правило, определяются весьма
субъективно и фактически уже после самого события. Тем самым старая
аксиома о том, что недостаточные знания представляют собой очень опасную
вещь, оказывается наиболее применимой именно к теории Эллиота.
ОСНОВНЫЕ ОПРЕДЕЛЕНИЯ
Фундаментальный анализ рынка ценных бумаг — анализ, основанный
на использовании основных экономических факторов, влияющих
на рыночную оценку ценной бумаги.
Технический анализ —- совокупность математических методов анализа
и прогнозирования динамики котировок отдельных ценных бумаг
и рынка в целом.
ГЛАВНЫЕ ВЫВОДЫ
Успешная работа на рынке ценных бумаг требует оценки инвестиционной
привлекательности обращающихся на нем ценных бумаг. Для
этого используют фундаментальный и технический анализ рынка ценных
бумаг. Фундаментальный анализ в своей основе имеет оценку основополагающих
факторов ценообразования.
Современный технический анализ базируется на трех основных принципах:
отражение в цене всех факторов, тренда и повторяемости. Цель
технического анализа — прогнозирование курса как ценных бумаг, так
и рынка в целом на основе анализа движения цен и их интерпретации.
Технический анализ позволяет каждому инвестору реализовать собственный
подход к инвестициям, исходя из своих оценок предыдущего и
текущего состояния рынка.
Рейтинг ценных бумаг и участников рынка
Рейтинг — это мнение, суждение эксперта об объективныхпоказателях рынка относительно вероятности изменения цен, уровня
дивидендов, оплаты основной суммы долга и процента по ценной бумаге,
т.е. рейтинг - это точка зрения эксперта на качество той или иной
фондовой ценности.
Создание рейтинговых оценок один из способов охарактеризовать
рынок.
Рейтинг не означает конкретной рекомендации по покупке или продаже
ценных бумаг, это лишь информация, которую могут использовать
инвесторы в качестве критериев, осуществляя операции с ценными
бумагами. В мире ценных бумаг инвестору необходимы какие-либо
ориентиры, непредвзятое суждение о доходности и надежности фондовых
ценностей как объектов инвестирования. Рейтинг оказывается весьма
полезным и для эмитента — он помогает повысить ликвидность ценной
бумаги. Действительно, на развитом рынке, где практически все
долговые обязательства имеют рейтинговую оценку, трудно продать
какую-либо облигацию, если отсутствует ее рейтинг.
Цивилизованный рынок ценных бумаг вынуждает эмитента обратиться
с заказом в известные рейтинговые агентства, уплатив определенную
сумму для того, чтобы специалисты-аналитики проверили качество
ценной бумаги и дали ей рейтинговую оценку. Таким образом, на
эффективном фондовом рынке только долговые обязательства, которые
прошли процедуру рейтинга, могут обеспечить доступ к получению
заемных средств. При этом цена займа для эмитента определяется
категорией, которую присваивает рейтинговое агентство.
Рейтинг — американское изобретение, имеющее длительную, более
чем 70-летнюю историю развития в этой стране. Практически все доли имеют рейтинг.
Трудно поверить, но 15 лет назад на европейском рынке
рейтинга не было, но в последнем десятилетии ситуация изменилась, и
рейтинговый процесс на еврорынке активизировался. Однако по-прежнему
наиболее известными рейтинговыми агентствами являются «Стандард
энд Пурз» — компания, ведущая свою историю с 1860 г., и определяющая
рейтинг выпускаемых ценных бумаг с 1923 г. — «Мудиз инвесторз
сервис». Они дают облигациям рейтинговую оценку (табл. 11).

Итак, мы видим, что рейтинг для эмитента определяет цену займа,
делает рынок выпускаемой им ценной бумаги ликвидным и в конечном
итоге определяет ее место («нишу») на рынке.
Не менее важны рейтинги для посредников — они содействуют продаже
и гарантируют размещение долговых обязательств. Исходя из потребностей
инвестора, финансовый посредник предлагает ему ценные
бумаги, которые считает для него приемлемыми.
Рейтинговые оценки включают прогнозы курса, а это поддерживает
рынок, делает его более устойчивым.
Поскольку кредитный риск принимает на себя инвестор, посреднику
очень важно иметь независимую оценку, на которую он может опираться,
работая с инвестором.
Говоря об интересах, возникающих в связи с рейтинговым процессом,
нельзя не упомянуть и об органах регулирования — государственных
и саморегулируемых организациях, связанных с фондовым рынком.
Как известно, одним из основных направлений их деятельности является
обеспечение прозрачности рынка. Рейтинги, которые являются обобщенной
характеристикой финансово-экономического положения эмитента,
в немалой степени способствуют созданию здорового и эффективного
фондового рынка. Это связано с тем, что рейтинг обеспечивает
дифференциацию эмитентов, выявляя наиболее слабых из них, не гарантирующих
погашение задолженности, создавая объективную основу
для оценки кредитного риска и стандарты открытости и прозрачности
на фондовом рынке.
На молодых, формирующихся рынках, где процесс рейтинга только
зарождается, может возникнуть вопрос — должно ли установление рейтинга
быть прерогативой государственных структур? Против этого
можно привести два аргумента;
• во-первых, необходимо создание системы финансирования вне
бюджета.
• во-вторых, рейтинг не дает государственных гарантий.
Решение вопроса об организации рейтингового процесса тесно связано
с заказчиками, т.е. теми, кто оплачивает анализ финансового и экономического
состояния. В связи с этим можно различать рейтинг спроса
и рейтинг предложения.
Считается, что эффективный и прозрачный рынок создается тогда,
когда рейтинг осуществляется под давлением инвестора. Например,
компания «Мудиз инвесторз сервис» осуществляет агрессивный рейтинг,
т.е. проводит рейтинг компаний без их официального разрешения.
Просьба о рейтинге, как правило, исходит от эмитента.
Рассматривая рейтинг как результат аналитической работы, следует
выделить три основных направления:
• независимый рейтинг;
• рейтинг финансовых институтов;
• рейтинг промышленных компаний.
Независимый рейтинг (рис. 11) оценивает возможности страны по
возврату долга в национальной или иностранной валюте. При этом
следует учитывать, что рейтинг — это не формула, а качественная
интерпретация количественных показателей. Следовательно, выбирается
некая совокупность факторов, которая подвергается анализу. Исследование
начинается с оценки политических рисков. Рассматривается,
насколько общественная среда, существующая в стране, обеспечивает
готовность к уплате внешнего долга, т.е., во-первых, оценивается
политическая система; во-вторых, изучается социальная среда (уровень
жизни, демографическая ситуация и т.д.); третье направление в
исследовании политического риска — это сфера международных отношений.

Второй крупный блок независимого рейтинга — оценка экономических
рисков. В первую очередь оценивается экономический потенциал
страны, ее ресурсы, капиталовложения, производство, сфера услуг, распределение
созданного продукта на накопление и потребление. Во вторую
очередь характеризуются государственные финансы, налоговая
система страны, бюджет, его издержки, размер государственного
долга и т.д.
Присвоение рейтинговой оценки стране осуществляется, как правило,
по просьбе ее правительства.
Рейтинг финансовых институтов — это рейтинг банков и начинается
он с оценки бизнес- рисков и финансовых рисков.
Корпоративный рейтинг, базой которого является анализ финансово-
экономического положения эмитента, применяется при оценке облигаций,
векселей и других коммерческих обязательств, получении банковских
кредитов, а также установлении основного кредитного рейтинга
при операциях лизинга, гарантийных операциях и т.д.
Следует отметить, что так же, как корпоративный рейтинг не существует
вне экономической системы, так и построение рейтинга инвестиционной
привлекательности эмитента основывается на анализе положения
экономической и отраслевой среды.
На первом этапе рейтингового процесса обосновывается набор показателей,
используемых для оценки деятельности акционерных компаний.
В странах развитого фондового рынка оценка, как правило,
базируется на анализе конкурентоспособности и состояния финансов.
При этом детально исследуются перспективы деятельности компании,
качество управления, позиции по конкурентоспособности и т.д.
Одним словом, осуществляется качественный анализ корпорации,
а затем уже переходят к рассмотрению проблем количественных оценок,
т.е. финансовой политики, прибыльности за максимально возможный
период времени, притока наличности, структуры капитала, финансовой
гибкости и т.д.
В отечественной практике при построении рейтинга инвестиционной
привлекательности эмитентов, как правило, осуществляется сравнение
предприятий по конкретному набору количественных показателей. Предлагается
формировать пять групп оценочных показателей, которые мы
далее и рассмотрим.
В первую группу включены наиболее общие и важные показатели,
характеризующие эффективность использования и доходность вложенного
капитала:
• норма прибыли;
• доходность (рентабельность) активов;
• оборачиваемость и отдача активов;
• рентабельность (прибыльность) продаж;
• рентабельность производства;
• текущая (дивидендная) и общая доходность акций;
• рыночная капитализация компании.
Данные показатели характеризуют прибыльность предприятия и качество
управления его активами.
Во вторую группу включены показатели, характеризующие финансовое
состояние компании (ее устойчивость):
• платежеспособность;
• ликвидность;
• рыночную (финансовую устойчивость) предприятия.
К третьей группе относятся показатели, характеризующие производственный
потенциал предприятия, состав и структуру имущества
компании и источники его финансирования. Основным показателем
является доля (удельный вес) основных средств в уставном капитале
компании и в активах баланса. Сюда также входят показатели, характеризующие
степень использования и изношенности основных средств:
• коэффициент износа основных средств;
• рентабельность основных средств;
• стоимость основных средств (по первоначальной и остаточной стоимости)
в расчете на одну акцию.
В четвертую группу включены показатели, характеризующие надежность
и безопасность вложения средств в ценные бумаги определенной
корпорации:
• риск дебиторской задолженности;
• соотношение дебиторской и кредиторской задолженности;
• ликвидационная стоимость одной акции;
• риск банкротства;
• риск не ликвидности акций на вторичном рынке.
В пятую группу включены показатели, отражающие перспективы
роста стоимости акций. Основу составляют показатели, характеризующие
перспективы отрасли, ее экспортный потенциал.
ОСНОВНЫЕ ОПРЕДЕЛЕНИЯ
Рейтинг - экспертная оценка авторитетных участников рынка ценных
бумаг объективных показателей состояния рынка той или иной страны
и его инструментов, основанная на соответствующих количественных
и качественных подходах.
Еще раз напомним, что рейтинг — это не конкретные рекомендации
по покупке или продаже ценных бумаг, это лишь информация, которую
могут использовать инвесторы в качестве критериев при проведении
операций с ценными бумагами. Инвесторам необходимы какие-либо
ориентиры, непредвзятое суждение о доходности и надежности фондовых
ценностей как объектов инвестирования. Рейтинг очень важен и для
эмитента, поскольку помогает повысить ликвидность ценной бумаги. В
современных условиях на развитом рынке, где практически все долговые
обязательства имеют рейтинговую оценку, трудно продать какую-
либо облигацию, если отсутствует ее рейтинг.
ГЛАВНЫЕ ВЫВОДЫ
Рейтинг, представляя собой мнение авторитетных на рынке экспертов,
дает возможность оценить качество ценных бумаг, обращаемых
на рынке той или иной страны. Рейтинг не означает обязательной рекомендации
к покупке тех или иных ценных бумаг, его следует рассматривать
в качестве ориентира, который можно принимать во внимание
при совершении операций с ценными бумагами.
Портфель ценных бумаг
ПОНЯТИЕ ПОРТФЕЛЯ ЦЕННЫХ БУМАГВ сложившейся мировой практике фондового рынка под
инвестиционным портфелем понимается некая совокупность ценных
бумаг, принадлежащих физическому или юридическому лицу, выступающая
как целостный объект управления. Это означает, что при формировании
портфеля и в дальнейшем изменяя его состав, структуру менеджер-
управляющий формирует новое инвестиционное качество с заданным
соотношением риск/доход. Однако созданный портфель
представляет собой определенный набор из корпоративных акций, облигаций
с различной степенью обеспечения и риска и бумаг с фиксированным
гарантированным государством доходом, т.е. с минимальным
риском потерь по основной сумме и текущих поступлений — дивидендов,
процентов. Теоретически портфель может состоять из бумаг одного
вида. Его структуру можно изменить путем замещения одних бумаг
другими. Вместе с тем каждая ценная бумага в отдельности не может
достичь подобного результата. Смысл портфеля — у.1учшить условия
инвестирования, придав совокупности ценных бумаг такие инвестиционные
характеристики, которые недостижимы с позиции отдельно
взятой ценной бумаги и возмож:ны только при их комбинации.
В процессе формирования портфеля достигается новое инвестиционное
качество с заданными характеристиками. Портфель ценных бумаг
является тем инструментом, с помощью которого инвестору обеспечивается
требуемая устойчивость дохода при минимальном риске. Доходы по
портфельным инвестициям представляют собой валовую прибыль по всей
совокупности бумаг, включенных в тот или иной портфель с учетом риска.
Возникает проблема количественного соответствия между прибылью
и риском, которая должна решаться оперативно в целях постоянного совершенствования структуры уже сформированных портфелей и создания
новых в соответствии с пожеланиями инвесторов.
Надо сказать, что указанная проблема относится к числу тех, которые
имеют общую схему решения, но которые практически не решаются до конца,
С учетом инвестиционных качеств ценных бумаг можно сформировать различные портфели, в каждом из которых будет собственный баланс между
существующим риском, приемлемым для владельца портфеля, и ожидаемой им отдачей (доходом) в определенный период времени. Соотношение этих
факторов позволяет определить тип портфеля ценных бумаг.
Тип портфеля — это его инвестиционная характеристика, основанная
на соотношении дохода и риска. При этом важным признаком
классификации типа портфеля является то, каким способом и за счет
какого источника данный доход получен: роста курсовой стоимости или
за счет текущих выплат - - дивидендов, процентов (рис. 21).

Было бы упрощенным понимание портфеля как некой однородной
совокупности: несмотря на то что портфель роста, например, ориентирован
на акции, инвестиционной характеристикой которых является рост
курсовой стоимости, в его состав могут входить и ценные бумаги с иными
инвестиционными свойствами.
Портфель роста формируется из акций компаний, курсовая стоимость
которых растет. Цель данного типа портфеля — рост его капитальной
стоимости вместе с получением дивидендов. Однако дивидендные
выплаты производятся в небольшом размере. Темпы роста курсовой
стоимости совокупности акций, входящих в портфель, определяют
виды портфелей, входящих в данную группу.
Портфель агрессивного роста нацелен на максимальный прирост
капитала. В его состав входят акции молодых, быстрорастущих компаний.
Инвестиции в данный тип портфеля являются достаточно рискованными,
но вместе с тем могут приносить самый высокий доход.
Портфель консервативного роста является наименее рискованным.
Состоит в основном из акций крупных, хорошо известных компаний,
характеризующихся хотя и невысокими, но устойчивыми темпами роста
курсовой стоимости. Состав портфеля остается стабильным в течение
длительного периода времени и нацелен на сохранение капитала.
Портфель среднего роста представляет собой сочетание инвестиционных
свойств портфелей агрессивного и консервативного роста. В
данный тип портфеля включаются наряду с надежными ценными бумагами,
приобретаемыми на длительный срок, рискованные фондовые инструменты,
состав которых периодически обновляется. При этом обеспечивается
средний прирост капитала и умеренная степень риска вложений.
Надежность определяется ценными бумагами консервативного
роста, а доходность — ценными бумагами агрессивного роста. Данный
тип является наиболее распространенной моделью портфеля и пользуется
большой популярностью у инвесторов, не склонных к высокому
риску.
Портфель дохода — данный тип портфеля ориентирован на получение
высокого текущего дохода - процентных и дивидендных выплат.
Он составляется в основном из акций дохода, т.е. таких акций,
которые характеризуются умеренным ростом курсовой стоимости и
высокими дивидендами, облигаций и других ценных бумаг, инвестиционным
свойством которых являются высокие текущие выплаты.
Особенностью этого типа портфеля является то, что цель его создания —
получение соответствующего уровня дохода, величина которого отвечала
бы минимальной степени риска, приемлемого консервативным
инвестором. Поэтому объектами портфельного инвестирования
ЯВЛЯЮ1СЯ высоконадежные инструменты фондового рынка, у которых
высокое соотношение стабильно выплачиваемого процента и курсовой
стоимости.
Портфель регулярного дохода формируется из высоконадежных ценных
бумаг и приносит средний доход при минимальном уровне риска.
Портфель доходных бумаг состоит из высокодоходных облигаций
корпораций, ценных бумаг, приносящих высокий доход при среднем
уровне риска.
Портфель роста и дохода. Формирование данного типа портфеля
осуществляется во избежание возможных потерь на фондовом рынке как
от падения курсовой стоимости, так и низких дивидендных или процентных
выплат. Одна часть финансовых активов, входящих в состав данного
портфеля, дает владельцу рост капитальной стоимости, а другая —-
доход. Потеря одной части может компенсироваться возрастанием другой.
Охарактеризуем виды данного типа портфеля.
Портфель двойного назначения. В состав этого портфеля включаются
бумаги, приносящие его владельцу высокий доход при росте вложенного
капитала. В данном случае речь идет о ценных бумагах инвестиционных
фондов двойного назначения. Они выпускают собственные
акции двух типов, первые приносят высокий доход, вторые -— прирост
капитала. Инвестиционные характеристики портфеля определяются значительным
содержанием данных бумаг в портфеле.
Сбалансированный портфель предполагает сбалансированность не
только доходов, но и риска, который сопровождает операции с ценными
бумагами, и поэтому в определенной пропорции состоит из ценных бумаг,
быстро растущих в курсовой стоимости, и из высокодоходных ценных
бумаг, В состав портфелей могут включаться и высоко рискованные
ценные бумаги, а также обыкновенные и привилегированные акции,
облигации. В зависимости от конъюнктуры рынка в те или иные
фондовые инструменты, включенные в данный портфель, вкладывается
большая часть средств. Портфели можно классифицировать и по другим
признакам.
Как известно, такое инвестиционное качество портфеля, как ликвидность,
означает возможность быстрого превращения портфеля в денежную
наличность без потери его стоимости. Лучше всего данную задачу
позволяют решить портфели денежного рынка.
Портфели денежного рынка. Эта разновидность портфелей ставит
своей целью полное сохранение капитала, В состав такого портфеля
включается преимущественно денежная наличность или быстрореализуемые
активы. Следует отметить, что одно из «золотых» правил работы
с ценными бумагами гласит; «Нельзя вкладывать все средства i
ценные бумаги -— необходимо иметь резерв свободной денежной наличности
для решения инвестиционных задач, возникающих неожиданно».
Портфели ценных бумаг, освобожденных от налога, содержат в основном
государственные долговые обязательства и предполагают сохранение
капитала при высокой степени ликвидности.
Отечественный рынок позволяет получать по этим ценным бумагам и
самый высокий доход, который, как правило, освобождается от налогов. Именно поэтому портфель государственных ценных бумаг — наиболее распространенная
разновидность портфеля и, в частности, сформированная по
некоторым ценным бумагам. Например, рассматривая ГКО в качестве
примера, характеризующего высоконадежные ценные бумаги, отметим,
что покупая краткосрочные облигации, выпушенные Министерством
финансов РФ, инвестор тем самым дает в долг правительству, которое
оплатит эту облигацию в конце срока с уплатой в виде дисконтной разницы.
Фактически это не вызывает дефицита бюджета, так как богатство
нации вкладывается в эти облигации. Поэтому государственные
ценные бумаги являются, возможно, самыми безопасными, так как считается,
что государство в принципе обанкротиться не может. Их краткосрочный
характер и небольшой риск делают данные инструменты
одним и из самых низко рискованных и реально должны были бы показывать
низкую изменчивость дохода. Относительно высокий доход по
ГКО и их надежность привлекают инвесторов к покупке ценных бумаг,
выпущенных государственными органами власти. Любопытно, что портфель
ГКО в сущности — это портфель роста, так как доход образуется
как курсовая разница.
Портфели, состоящие из ценных бумаг государственных структур.
Эта разновидность портфеля формируется из государственных и муниципальных
ценных бумаг и обязательств. Вложения в данные рыночные
инструменты обеспечивают держателю портфеля доход, получаемый от
разницы в цене приобретения с дисконтом и выкупной ценой и по ставкам
выплаты процентов. Немаловажное значение имеет и то, что и центральные
и местные органы власти предоставляют налоговые льготы.
Инвестиционная направленность вложений в региональном разрезе приводит
к созданию портфелей, сформированных из ценных бумаг определенных
эмитентов, находящихся в одном регионе; ценных бумаг иностранных
эмитентов.
Портфели, состоящие из ценных бумаг различных отраслей промышленности.
Портфель данной разновидности формируется на базе ценных
бумаг, выпущенных предприятиями различных отраслей промышленности,
связанных технологически, или какой-либо одной отрасли.
В зависимости от целей инвестирования в состав портфелей включаются
различные ценные бумаги, которые соответствуют поставленной
цели. Так, например, конвертируемые портфели состоят из конвертируемых
привилегированных акций и облигаций, которые могут быть
обменены на установленное количество обыкновенных акций по фиксированной
цене в определенный момент времени.
При активном рынке —«рынке быка» — это дает возможность получить дополнительный доход.
Мы рассмотрели принципы формирования портфеля в качественном
отношении, но не менее важен количественный аспект проблемы.
Сколько ценных бумаг должно быть в портфеле?
Согласно теории инвестиционного анализа, простая диверсификация,
т.е. распределение средств портфеля по принципу «не клади все яйца в
одну корзину», ничуть не хуже, чем диверсификация по отраслям, предприятиям
и т.д. Кроме того, увеличение различных активов (более восьми)
т.е. видов ценных бумаг, находящихся в портфеле, не дает значительного
уменьшения портфельного риска. Максимальное сокращение
риска достижимо, если в портфель отобрано от 40 до 70 видов различных
ценных бумаг. Дальнейшее увеличение состава портфеля нецелесообразно,
так как возникает эффект излишней диверсификации, который
может привести к следующим отрицательным результатам:
• невозможность качественного портфельного управления;
• покупка недостаточно надежных, доходных, ликвидных ценных бумаг;
• высокие издержки поиска ценных бумаг (расходы на предварительный анализ и т.д.);
• высокие издержки по покупке небольших мелких партий ценных бумаг и т.д.
Издержки по управлению излишне диверсифицированным портфелем
не дадут желаемого результата, так как доходность портфеля вряд ли
будет возрастать более высокими темпами, чем издержки в связи с излишней
диверсификацией.
Формирование и управление портфелем — область деятельности профессионалов,
а создаваемый портфель — это товар, который может продаваться
либо частями — продают доли в портфеле для каждого инвестора;
либо целиком, когда менеджер берет на себя труд управлять портфелем
ценных бумаг клиента. И как любой товар, портфель определенных
инвестиционных свойств может пользоваться или нет спросом на фондовом
рынке. Кроме того, существуют бессистемные портфели — результат
деятельности непрофессионалов (в частности, например, нерационального
инвестора), не имеющих четких инвестиционных целей.
Разновидностей портфелей много, и каждый конкретный держатель
придерживается собственной стратегии инвестирования, учитывая состояние
рынка ценных бумаг и основательно «перетряхивая» портфель,
согласно «золотому правилу» работы с ценными бумагами, не реже
одного раза в три-пять лет. Поэтому материал, изложенный в этом параграфе,
не охватывает все многообразие существующих портфелей, а
лишь позволяет определить принципы их формирования.
УПРАВЛЕНИЕ ПОРТФЕЛЕМ ЦЕННЫХ БУМАГ
Рынок ценных бумаг изменчив, и для того, чтобы состави структура портфеля соответствовали его типу, необходимо управление
портфелем. Под управлением понимается применение к совокупности
различных видов ценных бумаг определенных методов и технологических
возможностей, которые позволяют:
• сохранить первоначально инвестированные средства;
• достигнуть максимального уровня дохода;
• обеспечить инвестиционную направленность портфеля.
Иначе говоря, процесс управления направлен на сохранение основного
инвестиционного качества портфеля и тех свойств, которые соответствовали
бы интересам его держателя. Поэтому необходима текущая
корректировка структуры портфеля на основе мониторинга факторов,
которые могут вызвать изменение его составных частей.
Совокупность применяемых к портфелю методов и технических возможностей
представляет способ управления, который может быть охарактеризован
как «активный» и «пассивный».
Первым и одним из наиболее дорогостоящих, трудоемким элементом
управления является мониторинг, представляющий собой непрерывный
детальный анализ:
• фондового рынка, тенденций его развития;
• секторов фондового рынка;
• финансово-экономических показателей фирмы — эмитента ценных
бумаг;
• инвестиционных качеств ценных бумаг.
Таким образом, конечной целью мониторинга является выбор ценных
бумаг, обладающих инвестиционными свойствами, соответствующими
данному типу портфеля.
Мониторинг является основой как активного, так и пассивного способов
управления. Активная модель управления предполагает тщательное
отслеживание и немедленное приобретение инструментов, отвечающих
инвестиционным целям портфеля, а также быструю смену состава
фондовых инструментов, входящих в него.
Отечественный фондовый рынок характеризуется резким изменением
котировок, динамичностью процессов, высоким уровнем риска. Все
это позволяет считать, что состояние российского фондового рынка
адекватно активной модели мониторинга, которая делает управление портфеля эффективным.
Мониторинг является базой для прогнозирования размера возможных доходов от инвестиционных средств и интенсификации операций с ценными бумагами (рис. 22).

Менеджер, занимающийся активным управлением, должен суметь
отследить и прибрести наиболее эффективные ценные бумаги и максимально
быстро избавиться от низко доходных активов. При этом важно
не допустить снижение стоимости портфеля и потерю им инвестиционных
свойств, а следовательно, необходимо сопоставлять стоимость,
доходность, риск и иные инвестиционные характеристики «нового» портфеля
с учетом вновь приобретенных ценных бумаг и продажи низко доходных с аналогичными характеристиками имеющегося «старого» портфеля.
При этом нельзя не учитывать затраты по изменению состава
портфеля, что в определенной степени зависит от формы обмена, или
так называемого «свопинга».
Менеджер должен уметь опережать конъюнктуру фондового рынка
и превратить в реальность то, что подсказывает анализ. От него требуются
смелость и решительность в реализации замыслов в сочетании с
осторожностью и точным расчетом. Затраты по активному управлению
портфелем довольно высоки.
Какие же формы «свопинга», или обмена старого портфеля на новый,
чаще применяют в работе отечественные менеджеры? Поскольку
им приходится, как правило, работать с государственными ценными
бумагами, то в основном это «подбор чистого дохода» и «подмена».
Например, при работе с портфелем ГКО менеджер постоянно осуществлял
«подбор чистого дохода». Он проводится из-за временной
рыночной неэффективности; при этом две идентичные облигации обмениваются
по ценам, немногим отличающимся друг от друга, В итоге
продается облигация с низким доходом, а покупается — с более
высоким,
«Подмена» предполагает обмен двух похожих, но не идентичных
ценных бумаг, имеющих разные курсовые цены: например, ГКО на ОФЗ-
ПК, «Сектор-своп» предполагает перемещение ценных бумаг из разных
секторов экономики, с различными сроками действия и доходом. При
этом особое внимание менеджеров привлекают ценные бумаги, показатели
которых заметно отличаются от средних. При получении информации
о том, что условия, вызывающие отличия, могут измениться,
менеджеры проводят операции купли-продажи с этими фондовыми ценностями.
В случае нестабильности учетной ставки используется метод «предвидения
учетной ставки». Он основывается на стремлении удлинить срок
действия портфеля, когда учетные ставки снижаются. Высокая конъюнктура
фондового рынка диктует необходимость сократить срок существования
портфеля; чем больше срок действия портфеля, тем значительнее
его стоимость подвержена колебаниям вследствие изменения
учетных ставок. Активный мониторинг на спекулятивном, нестабильном
рынке представляет непрерывный процесс. Управление портфелем
ценных бумаг ориентируется в этом случае на возможные изменения
учетной ставки ценных бумаг, входящих в его состав.
Пассивное управление предполагает создание диверсифицированных
портфелей с заранее определенным уровнем риска, рассчитанным на
длительную перспективу. Такой подход возможен при достаточно эффективном
рынке, насыщенном ценными бумагами высокого качества.
Продолжительность «жизни» портфеля предполагает стабильность процессов
на фондовом рынке. В условиях инфляции, а следовательно, наличия
в основном рынка краткосрочных ценных бумаг, а также нестабильной
конъюнктуры фондового рынка такой подход представляется
малоэффективным.
Во-первых, пассивное управление эффективно лишь в отношении
портфеля, состоящего из низко рискованных ценных бумаг, а их на отечественном
рынке немного.
Во-вторых, ценные бумаги должны быть долгосрочными для того,
чтобы портфель существовал в неизменном состоянии длительное время.
Это позволит реализовать основное преимущество пассивного управления
- низкий уровень накладных расходов. Динамизм российского
рынка не позволяет портфелю иметь низкий оборот, так как велика
вероятность потери не только дохода, но и стоимости.
Малоприменим и такой способ пассивного управления как метод
и1щексного фонда, Индексный фонд - это портфель, отражающий движение
выбранного биржевого индекса, характеризующего состояние
всего рынка ценных бумаг, Если инвестор желает, чтобы портфель отражал
состояние рынка, он должен иметь в портфеле такую долю ценных
бумаг, какую эти бумаги составляют при подсчете индекса, В целом
отечественный рынок ценных бумаг в настоящее время малоэффективен,
поэтому применение данного метода может принести убытки
вместо желаемого положительного результата.
Определенные трудности могут возникнуть и при использовании
метода сдерживания портфеля.
Вариант пассивного управления связан с инвестированием в неэффективные
ценные бумаги. При этом выбираются акции с наименьшим
соотношением цены к доходу, что позволяет в будущем получить доход
от спекулятивных операций на бирже.
Сигналом к изменению сформированного портфеля служат не рыночные
изменения, как в случае активного управления, а падение доходности
портфеля ниже минимальной. Таким образом, доходность является
тем индикатором, который заставляет «перетряхнуть» портфель.
Нельзя утверждать, что только конъюнктура фондового рынка
определяет способ управления портфелем.
Выбор тактики управления зависит и от типа портфеля. Скажем, трудно ожидать значительного выигрыша, если к агрессивному портфелю применить тактику
«пассивного» управления. Вряд ли будут оправданы затраты на активное
управление, ориентированное, например, для портфеля регулярного дохода.
Выбор тактики управления зависит также от способности менеджера
(инвестора) выбирать ценные бумаги и прогнозировать состояние
рынка. Если он плохо ориентируется в ценных бумагах или не учитывает
время, то ему следует создать диверсифицированный портфель и держать
риск на желаемом уровне. Если инвестор уверен, что он в состоянии
верно спрогнозировать состояние рынка, ему можно менять состав
портфеля в зависимости от рыночных перемен и выбранного им вида
управления. Например, пассивный метод управления возможен по портфелю
облигаций государственного сберегательного займа. Расчет доходности
и колебания рыночных цен с позиции отдельного инвестора
представляется малопривлекательным.
Как «активная», так и «пассивная» модели управления могут быть
осуществлены либо на основе поручения клиента и за его счет или на
основе договора. Активное управление предполагает высокие затраты
специализированного финансового учреждения, которое берет на
себя решение всех вопросов по купле-продаже и структурному построению
портфеля ценных бумаг клиента, управлению имеющихся в
его распоряжении средств инвестора. Управляющий осуществляет
операции с фондовыми ценностями, руководствуясь своим знанием
рынка, выбранной стратегией и т.д. Прибыль будет в значительной
степени зависеть от инвестиционного искусства менеджера, а следовательно,
комиссионное вознаграждение определяется процентом от полученной
прибыли. Данный вид услуг называется «Investment portfolio
management treaty», или «договором об управлении портфелем ценных
бумаг».
Пассивная модель управления подразумевает передачу денежных
средств специализированному учреждению, которое занимается портфельными
инвестициями с целью вложения этих средств от имени и по
поручению их владельца в различные фондовые инструменты с целью
извлечения прибыли. За проведение операций взимается комиссионное
вознаграждение. В зарубежной практике операции такого рода
носят название «Private banking», или «доверительные банковские операции».
ЮРИДИЧЕСКИЙ ПОДХОД
В первой части Гражданского кодекса РФ (статья 142)дается юридическое определение ценной бумаги как документа установленной
формы и реквизитов, удостоверяющего имущественные права,
осуществление или передача которых возможны только при его
предъявлении.
Поскольку число документов, которые могут удостоверять имущественные
права, достаточно велико, постольку в следующей, 143-й статье
указанного Кодекса устанавливается способ отнесения того или
иного документа к классу ценных бумаг: только по закону или в установленном
им порядке.
Статьей 149 Гражданского кодекса разрешается бездокументарная
форма фиксации прав, удостоверяемых ценной бумагой, а поэтому
юридической сутью ее понимания остаются сами эти права. Ценная
бумага — это просто титул, т.е. юридическое основание прав ее владельца
на что-то, на какое-либо имущество (деньги, товары, недвижимость
и т.п.).
В соответствии со статьей 128 цитируемого Кодекса ценные бумаги
относятся к объектам гражданских прав и приравнены к вещам, имуществу.
Следовательно, трактовка ценной бумаги лищь как имущественного
права является неполной. Юридически ценная бумага есть и титул,
и само имущество' одновременно (рис. 1).

Рис. Юридическое понимание ценной бумаги
В расширенном понимании ценная бумага — это любой документ
(«бумага»), который продается и покупается по соответствующей цене.
Исторические примеры: продажа индульгенций в средние века, в наше
время - продажа ценных бумаг типа «билеты МММ». Юридическое
понятие ценной бумаги более узкое, так как оно включает только такие
ценные бумаги, которые отражают конкретные имущественные отношения,
а не любые отношения, например отношения религиозной веры
или веры во что-либо другое.
Юридический подход к определению ценной бумаги состоит в следующем.
Если невозможно дать строгое юридическое определение, если
невозможно сформулировать понятие ценной бумаги на все случаи
жизни, то эту труд1юсть можно обойти путем перечисления признанных
государством видов ценных бумаг, которые выработала практика.
Например, в Гражданском кодексе или других законах, относящихся
к рынку ценных бумаг, определенные виды конкретных бумаг
фиксируются именно как ценные бумаги. Все, что объявлено как ценная
бумага, подпадает под законодательные акты, регулирующие ее
жизнь.
МОДЕЛИ ФОРМИРОВАНИЯ ПОРТФЕЛЯ ЦЕННЫХ БУМАГ
Основная задача, которую необходимо решить при формированиипортфеля ценных бумаг, — распределение инвестором определенной
денежной суммы по различным альтернативным вложениям
(например, акции, облигации, наличные деньги и др.) так, чтобы наилучшим
образом достичь своих целей.
В первую очередь инвестор стремится к получению максимального
дохода за счет выигрыша от благоприятного изменения курса акций, дивидендов,
получения твердых процентов и тд. С другой стороны, любое
вложение капитала связано не только с ожиданием получения дохода, но
и с постоянной опасностью проигрыша, а значит, в оптимизационных задачах
по выбору портфеля ценных бумаг необходимо учитывать риск.
В принципе для создания портфеля ценных бумаг достаточно инвестировать
деньги в какой-либо один вид финансовых активов. Но современная
экономическая практика показывает, что такой однородный по содержанию
портфель встречается очень редко. Гораздо более
распространенной формой является так называемый диверсифицированный
портфель, т.е. портфель с самыми разнообразными ценными бумагами.
Приведем классический пример, почему именно диверсифицированный
портфель стал преобладающим. Допустим, существуют две фирмы:
первая производит солнцезащитные очки, вторая — зонты. Инвестор
вкладывает половину денежных средств в акции «Очки», а другую
половину — в акции «Зонты». Результат проведенной операции представлен
в табл. 2

Использование диверсифицированного портфеля элиминирует разброс в нормах доходности различных финансовых активов. Иными словами, портфель, состоящий из акций столь разноплановых компаний, обеспечивает стабильность получения положительного результата.
Нынешнее состояние финансового рынка заставляет быстро и адекватно
реагировать на его изменения, поэтому роль управления инвестиционным
портфелем резко возрастает и заключается в нахождении той
грани между ликвидностью, доходностью и рискованностью, которая
позволила бы выбрать оптимальную структуру портфеля. Этой цели
служат различные модели выбора оптимального портфеля.
Рассмотрим некоторые из известных моделей выбора оптимального
портфеля ценных бумаг.
Модель Марковитца. Основная идея модели Марковитца заключается
в том, чтобы статистически рассматривать будущий доход, приносимый
финансовым инструментом, как случайную переменную, т.е. доходы
по отдельным инвестиционным объектам случайно изменяются в
некоторых пределах. Тогда, если неким образом установить по каждому
инвестиционному объекту вполне определенные вероятности наступления,
можно получить распределение вероятностей получения дохода
по каждой альтернативе вложения средств. Из модели Марковитца следует,
что доходы по альтернативам инвестирования распределены нормально.
По модели Марковитца определяются показатели, характеризующие
объем инвестиций и риск, что позволяет сравнивать между собой
различные альтернативы вложения капитала с точки зрения поставленных
целей и тем самым создать масштаб для оценки различных комбинаций.
В качестве масштаба ожидаемого дохода из ряда возможных доходов
на практике используют наиболее вероятное значение, которое в
случае нормального распределения совпадает с математическим ожиданием.
Пусть формируется портфель из п ценных бумаг. Ожидаемое значение
дохода по г'-й ценной бумаге (Е^) рассчитывается как среднеарифметическое
из отдельных возможных доходов Rj с весами P^j, приписанными
им вероятностями наступления:

Для измерения риска служат показатели рассеивания, поэтому чем больше разброс величин возможных доходов, тем больше опасность, что ожидаемый доход не будет получен.
Таким образом, риск выражается отклонением (причем более низких!) значений доходов от наиболее вероятного значения. Мерой рассеивания является среднеквадратичное отклонение а,, и чем больше это значение, тем больше риск:

в модели Марковитца для измерения риска вместо среднеквадратичного
отклонения используется дисперсия D,, равная квадрату а так
как этот показатель имеет преимущества по технике расчетов:

Инвестора, желающего оптимально вложить капитал, интересует не
столько сравнение отдельных видов ценных бумаг между собой, сколько
сравнение всевозможных портфелей, так как это позволяет использовать
эффект рассеивания риска, т.е. определяется ожидаемое значение
дохода и дисперсия портфеля. Ожидаемое значение дохода Е портфеля
ценных бумаг определяется как сумма наиболее вероятных доходов Е-
различных ценных бумаг п. При этом доходы взвешиваются с относительными
долями Xj (i = ... «), соответствующими вложениям капитала
в каждую облигацию или акцию:

Для дисперсии эта сумма применима с определенными ограничениями,
так как изменение курса акций на рынке происходит не изолированно
друг от друга, а охватывает весь рынок в целом. Поэтому дисперсия
зависит не только от степени рассеяния отдельных ценных бумаг, а также
от того, как все они в совокупности одновременно понижаются или
повышаются по курсу, т.е. от корреляции между изменениями курсов
отдельных ценных бумаг. При сильной корреляции между отдельными
курсами (если все акции одновременно повышаются или понижаются)
риск за счет вкладов в различные ценные бумаги нельзя ни уменьшить,
ни увеличить. Если же курсы акций абсолютно не коррелируют между
собой, но в предельном случае (портфель содержит бесконечное число
акций) риск можно было бы исключить полностью, так как колебания
курсов в среднем были бы равны нулю.
На практике число ценных бумаг в портфеле всегда конечно, и поэтому распределение инвестиций по различным ценным бумагам может лишь
уменьшить риск, но не исключить его полностью.
Итак, при определении риска конкретного портфеля ценных бумаг
необходимо учитывать корреляцию курсов акций. В качестве показателя
корреляции Г. Марковитц использует ковариацию С, между изменениями
курсов отдельных ценных бумаг.
Таким образом, дисперсия всего портфеля рассчитывается по следующей
формуле:

По определению, при i = к С., равно дисперсии акции. Это означает,
что дисперсия, а значит, и риск данного портфеля зависят от риска
данной акции, ковариации между отдельными акциями (систематического
риска рынка) и долей Z. отдельных ценных бумаг в портфеле в
целом.
Рассматривая теоретически предельный случай, при котором в портфель
можно включать бесконечное количество ценных бумаг, дисперсия
асимптоматически будет приближаться к среднему значению ковариации С.
Графически это можно представить в виде рис. 2
Г. Марковитц разработал очень важное для современной теории портфеля
ценных бумаг положение, которое гласит: совокупный риск портфеля
можно разложить на две составные части. С одной стороны, это
так называемый систематический риск, который нельзя исключить и
которому подвержены все ценные бумаги практически в равной степени.
С другой — специфический риск для каждой конкретной ценной бумаги,
который можно избежать при помощи управления портфелем ценных
бумаг. При этом сумма вложенных средств по всем объектам должна
быть равна общему объему инвестиционных вложений (например,
часть средств на банковском счете вводится в модель как инвестиция с
нулевым риском), т.е. сумма относительных долей X. в общем объеме
должна равняться единице:


Проблема заключается в численном определении относительных долей
акций и облигаций в портфеле (значений X), которые наиболее выгодны
для владельца. Г. Марковитц ограничивает решение модели тем,
что из всего множества «допустимых» портфелей, т. е. удовлетворяющих
ограничениям, необходимо выделить те, которые наиболее рискованные.
Это портфели, содержащие при одинаковом доходе больший
риск (дисперсию) по сравнению с другими, или портфели, приносящие
меньший доход при одинаковом уровне риска.
При помощи разработанного Г. Марковитцем метода критических
линий можно выделить неперспективные портфели, не удовлетворяющие
ограничениям. В итоге остаются только эффективные портфели,
т.е. имеющие минимальный риск при заданном доходе или приносящие
максимально возможный доход при заданном максимальном уровне риска,
на который может пойти инвестор.
Данный факт имеет очень большое значение в современной теории
портфелей ценных бумаг. Отобранные таким образом портфели объединяют
в список, содержащий сведения о процентном составе портфеля
из отдельных ценных бумаг, а также о доходе и риске портфелей. Выбор
конкретного портфеля зависит от максимального риска, на который
готов пойти инвестор.
На рис. 24 представлены недопустимые, допустимые и эффективные
портфели. Портфель является эффективным, если он удовлетворяет
ограничениям, и, кроме того, для заданного дохода, например
£•,, содержит меньший риск R^ по сравнению с другими портфелями,
приносящими такой же доход £,, или при определенном риске
R^ приносит более высокий доход Е^ по сравнению с другими комбинациями
с R^.

С методологической точки зрения модель Марковитца можно определить
как практически нормативную, что, конечно, не означает навязывания
инвестору определенного стиля поведения на рынке ценных
бумаг. Задача модели заключается в том, чтобы показать, насколько
поставленные цели достижимы на практике.
Индексная модель У. Шарпа. Как следует из модели Г. Марковитца,
задавать распределение доходов отдельных ценных бумаг не требуется.
Достаточно определить только величины, характеризующие это
распределение: математическое ожидание Ер дисперсию D. и ковариа-
цию С^ между доходами отдельных ценных бумаг. Все это следует проанализировать до составления портфеля. На практике для сравнительно
небольшого числа ценных бумаг возможно произвести расчеты по
определению ожидаемого дохода и дисперсии.
При определении же коэффициента корреляции трудоемкость весьма велика. Так, например,
при анализе 100 акций потребуется оценить около 500 ковариаций.
Для избежания столь высокой трудоемкости У. Шарп предложил
индексную модель. Причем он не разработал новый метод составления
портфеля, а упростил проблему таким образом, что приближенное решение
может быть найдено со значительно меньшими усилиями. У. Шарп
ввел так называемый Р- фактор, который играет особую роль в современной
теории портфеля.
В индексной модели Шарпа используется тесная (и сама по себе нежелательная
из-за уменьшения эффекта рассеивания риска) корреляция
между изменением курсов отдельных акций. Предполагается, что необходимые
входные данные можно приблизительно определить при помощи
всего лишь одного базисного фактора и отношений, связывающих
его с изменением курсов отдельных акций. Предположив существование
линейной связи между курсом акции и определенным индексом, можно
при помощи прогнозной оценки значения индекса определить ожидаемый
курс акции. Помимо этого можно рассчитать совокупный риск
каждой акции в форме совокупной дисперсии.
Модель выравненной цены (Arbitraregeprais — Theorie — Model! APT).
Целью арбитражных стратегий является использование различий в цене
на ценные бумаги одного или родственного типа на различных рынках
или сегментах рынков с целью получения прибыли (как правило, без
риска). Тем самым при помощи арбитража удается избежать неравновесия
на рынках наличных денег и в отношениях между рынками наличных
денег и фьючерсными рынками. Арбитраж является выравнивающим
элементом для образования наиболее эффективных рынков капитала.
В качестве основных данных в модели используются общие факторы
риска, например показатели развития экономики, инфляции и т.д.
Проводятся специальные исследования, как курс определенной акции
в прошлом реагировал на изменение подобных факторов риска. При
помощи полученных соотношений предполагается, что можно рассчитать
поведение акций в будущем. Естественно, для этого используют
прогнозы факторов риска. Если рассчитанный таким образом курс
акций выше настоящего курса, это свидетельствует о выгодности покупки
акции.
В данной модели ожидаемый доход акции зависит не только от одного
Р-фактора, как в предыдущей модели, а определяется множеством
факторов. Вместо дохода по всему рынку рассчитывается доля по каждому
фактору в отдельности. Исходным моментом является то, что средняя
чувствительность соответствующего фактора равна единице.
В зависимости от восприимчивости каждой акции к различным факторам
изменяются соответствующие доли дохода. В совокупности они определяют
общий доход акции. Согласно модели, в условиях равновесия,
обеспечиваемого при помощи арбитражных стратегий, ожидаемый доход,
например Е/, складывается из процентов по вкладу без риска Х^ и
определенного количества (не менее трех) воздействующих факторов,
проявляющихся на всем рынке в целом с соответствующими премиями
за риск (^[ ^), которые имеют чувствительность (b^ д.) относительно различных
ценных бумаг:

Чем сильнее реагирует акция на изменение конкретного фактора, тем больше может быть в положительном случае прибыль. Доход портфеля имеет следующий вид:

Пример. Упрощенно ожидаемый совокупный доход акции по этой модели можно представить как

Предположим, для конкретной акции заданы следующие показатели чувствительности:

Ожидаемый доход, зависимый от факторов, составляет:

Безрисковое начисление процентов (R) — 7%.
В случае если вкладчик идет на риск по трем факторам, ожидаемый доход может быть увеличен с 7 до 14%:

За счет того, что рыночный портфель и индекс в данной модели не
рассматриваются, она проще, чем предыдущие.
Недостатком данной модели является следующее: на практике трудно
выяснить, какие конкретные факторы риска нужно включать в
модель.
В настоящее время в качестве таких факторов используют показатели
развития промышленного производства, изменений уровня банковских
процентов, инфляции, риска неплатежеспособности конкретного
предприятия и т.д.
В целом любые модели инвестиционного портфеля являются открытыми
системами и соответственно могут дополняться и корректироваться
при изменениях условий на финансовом рынке. Модель инвестиционного
портфеля позволяет получить аналитический материал, необходимый
для принятия оптимального решения в процессе инвестиционной
деятельности.
Получение математической оценки состояния портфеля на разных
этапах инвестирования при учете влияния различных факторов делает
возможным непрерывно управлять структурой портфеля на каждом этапе
принятия решения, т.е. по сути управлять рисками.
Использование компьютерной техники при реализации моделей значительно
увеличивает оперативность получения аналитического материала
для принятия решений. Следовательно, выполняются такие основные
условия управления как эффективность, непрерывность и оперативность.
ОСНОВНЫЕ ОПРЕДЕЛЕНИЯ
Портфель ценных бумаг — совокупность ценных бумаг, принадлежащих
физическому или юридическому лицу, выступающая как целостный
объект управления, имеющая своей целью улучшать условия инвестирования,
придав данной совокупности такие инвестиционные характеристики,
которые недостижимы с позиции отдельно взятой ценой
бумаги и возможны только при их комбинации.
Тип портфеля — это его инвестиционная характеристика, основанная
на соотношении дохода и риска.
Управление портфелем ценных бумаг — совокупность методов и технических
возможностей, направленная на сохранение основного инвестиционного
качества портфеля и тех свойств, которые соответствовали
бы интересам его держателя.
Краткосрочные процентные фьючерсы
Порядок включения ценных бумаг в рыночный процесс
Акции
ОБЩАЯ ХАРАКТЕРИСТИКАПод акцией обычно понимают ценную бумагу, которую
выпускает акционерное общество: при его создании (учреждении),
при преобразовании предприятия или организации в акционерное
общество, при слиянии (поглощении) двух или нескольких акционерных
обществ, а также для мобилизации денежных средств при увеличении
существующего уставного капитала. Поэтому акцию можно
считать ценной бумагой, фиксирующей право собственности на капитал,
своеобразным свидетельством о внесении определенной доли в
уставный капитал акционерного общества. В Федеральном законе
«О рынке ценных бумаг» от 22 апреля 1996 г. Л? 39-ФЗ с последующими
изменениями и дополнениями дается следующее определение акции:
«Акция — эмиссионная ценная бумага, закрепляющая права ее владельца
(акционера) на получение части прибыли акционерного общества
в виде дивидендов, на участие в управлении акционерным обществом
и на часть имущества, остающегося после его ликвидации».
Таким образом, акция за ее держателем закрепляет три вида прав:
1) на участие в получении прибыли (дивиденда);
2) на участие в управлении (акция дает право голоса);
3) на долю имущества при ликвидации (ликвидационную стоимость).
К выпуску акций эмитент прибегает в силу того, что:
• это установленный законом способ формирования уставного капитала;
• акционерное общество не обязано возвращать инвесторам их капитал,
вложенный в покупку акций. Покупка ими акций рассматривается
как долгосрочное финансирование затрат эмитента держателями
акций. Хотя законом предусматриваются случаи, когда акционеры -
владельцы голосующих акций вправе требовать выкупа всех или части принадлежащих им акции, если затрагиваются их имущественные права.
Например, если они голосовали против решения о реорганизации
акционерного общества, против совершения крупной сделки или не принимали
участия в голосовании, но эти решения приняты;
• выплата дивидендов не гарантируется;
• размер дивидендов момсет устанавливаться произвольно, независимо
от прибыли. Даже если имеется чистая прибыль, акционерное общество
может всю прибыль направить на развитие производства и не
выплачивать дивидендов.
Получив денежные средства за счет размещения выпушенных акций,
эмитент имеет возможность использовать их для формирования производственных
и непроизводственных основных и оборотных фондов.
Инвестора в акциях привлекает следующее:
• право голоса в обмен на вложенный в акции капитал;
• прирост капитала, связанный с возможным ростом цепы акций на
рынке. По существу, это является основным мотивом приобретения акций,
особенно в России, в настоящее время;
• дополнительные льготы, которые может предоставить акционерное
общество своим акционерам. Они принимают форму скидок при
приобретении продукции, производимой акционерным обществом, или
пользовании услугами (льготный проезд, льготные цены за проживание
в гостинице и т.д.);
• право преимущественного приобретения вновь выпущенных акций;
• право на часть имущества акционерного общества, остающегося
после его ликвидации и расчетов со всеми иными кредиторами.
Вместе с тем приобретение акций связано с определенным риском:
• выплата дивидендов не гарантируется;
• право акционера на часть имущества при ликвидации реализуется
в последнюю очередь;
• значительное влияние на принятие решений в процессе управления
имеет только держатель крупного пакета акций при обычной форме голосования;
• рост цен акций нестабилен, к тому же он характерен для крупных,
успешно работающих акционерных обществ.
Держателей (акционеров) можно разделить на:
• физических (частных, индивидуальных);
• коллективных (институциональных);
• корпоративных.
В мировой практике предпочтение отдается коллективному (институциональному)
держателю, который поддерживается государством и имеет
больше возможностей по сравнению с индивидуальным (физическим).
За рубежом наиболее влиятельными коллективными инвесторами
считаются страховые компании, частные пенсионные фонды, паевые
фонды (фонды взаимных вложений).
Акции обладают следующими свойствами:
• акция — это титул собственности, т.е. держатель акции является
совладельцем акционерного общества с вытекающими из этого правами;
• она не имеет срока существования, т.е. права держателя акции
сохраняются до тех пор, пока существует акционерное общество;
• для нее характерна ограниченная ответственность, так как акционер
не отвечает по обязательствам акционерного общества. Поэтому
при банкротстве инвестор не потеряет больше того, что вложил в
акцию;
• для акции характерна неделимость, т.е. совместное владение акцией
не связано с делением прав между собственниками, все они выступают
как одно лицо;
• акции могут расщепляться и консолидироваться.
При расщеплении одна акция превращается в несколько. Эмитентом
это свойство акций может быть использовано для увеличения предложения
акций данного вида. При расщеплении не изменяется величина
уставного капитала. Например, при номинальной стоимости 1 акции в
1000 руб. выпускаются четыре новых, поэтому номинальная стоимость
новых акций становится равной 250 руб. У акционеров изымаются старые
сертификаты и выдаются новые, в которых указывается, что они
владеют большим числом акций.
При консолидации число акций уменьшается, что может привести к
росту их рыночной цены. Их номинальная стоимость возрастает, а размер
уставного капитала остается прежним. Владельцы акций также
получают новые сертификаты взамен изымаемых, в которых будет указано
меньшее число новых акций.
Акция — это формальный документ, поэтому согласно определению
ценной бумаги она должна иметь обязательные реквизиты. По нормативным документам акция должна содержать следующие
реквизиты:
1) фирменное наименование акционерного общества и его местонахождение;
2) наименование ценной бумаги — «акция»;
3) ее порядковый номер;
4) дата выпуска;
5) вид акции (простая или привилегированная);
6) номинальная стоимость;
7) имя держателя при выпуске именных акций;
8) размер уставного фонда на день выпуска акций;
9) количество выпускаемых акций;
10) срок выплаты дивидендов, ставка дивиденда и ликвидационная
стоимость (только для привилегированных акций);
11) подпись председателя правления акционерного общества;
12) печать компании - эмитента.
Кроме того, возможно указание регистратора и его местонахождение
и банка — агента, производящего выплату дивидендов.
Виды АКЦИЙ
Акции могут быть разных видов. В российской практикепоявление акций связано с выпуском в конце 80-х годов акций
трудового коллектива. Их выпускали государственные, арендные, коллективные
предприятия, предприятия общественных организаций. Такие
акции, по существу, представляли собой свидетельство о внесении
собствещ1ых сбережений на бессрочной основе для развития производства.
Это была попытка заинтересовать работников предприятий идеей
общественного руководства. Акции трудового коллектива не предназначались
для свободного обращения (покупки-продажи на вторичном
рынке), их владельцами могли быть только физические лица -
работники данного предприятия. По оценкам экономистов, к концу
1990 г. акций трудового коллектива было выпущено на сумму около
200 млн руб."
В это же время государственные, арендные, коллективные предприятия,
предприятия общественных организаций, коммерческие банки,
товарищества, хозяйственные ассоциации могли выпускать акции предприятий,
которые предназначались для юридических лиц и аналогично
акциям трудового коллектива представляли собой свидетельство о внесении
средств на развитие предприятия. Эти акции могли покупаться и
продаваться на вторичном рынке. Однако интерес к ним был незначительный,
и объем выпуска к 1990 г. не превышал 80 млн руб.
В настоящее время интереса к акциям трудового коллектива и акциям
предприятий нет и к их выпуску не прибегают.
Акция может быть выпущена как в документарной
форме, так и в бездокументарной форме — в виде соответствующих
записей на счетах. При документарной форме выпуска
акций возможна замена акции сертификатом, который представляет
собой свидетельство о владении названным в нем лицом определенным
количеством акций. При полной оплате акций акционер получает один
сертификат на все количество приобретенных им акций. Сертификат
акций должен содержать те же реквизиты, которые характерны для акции,
а также указание на количество акций, которые принадлежат владельцу
(акционеру). В некоторых нормативных документах сертификат
акций относят к ценным бумагам, хотя это утверждение довольно
спорно и может усложнить обращение ценных бумаг, привести к одновременному
обращению как акций, так и их сертификатов.
В зависимости от порядка владения (способа легитимации) акции
могут быть именными и на предъявителя. Согласно Федеральному закону
«Об акционерных обществах» все акции общества являются именными.
Это предполагает, что владелец акции должен быть внесен в реестр
акционерного общества.
Федеральный закон «О рынке ценных бумаг» разрешает выпуск акций
на предъявителя в определенном отношении к величине оплаченного
уставного капитала эмитента в соответствии с нормативом, устанавливаемым
Федеральной Комиссией по рынку ценных бумаг.
В связи с тем, что акционерные общества могут быть открытыми и
закрытыми, следует различать выпускаемые ими акции. Их различие
состоит в том, что акции открытых акционерных обществ могут продаваться
их владельцами без согласия других акционеров этого общества.
При реализации акций закрытого акционерного общества необходимо
учитывать, что его акционеры имеют преимущественное право
на их приобретение. При этом срок реализации этого права не может
быть менее 30 дней, но и не более 60 дней.
Кроме того, следует иметь в виду, что акции закрытых акционерных
обществ могут выпускаться только в форме закрытой эмиссии и не
могут быть предложены для приобретения неограниченному кругу лиц.
Открытое же акционерное общество может проводить как открытую,
так и закрытую эмиссии.
Акции акционерного общества можно разделить на размещенные и
объявленные. Размещенными считаются акции, уже приобретенные акционерами.
Объявленными являются акции, которые акционерное общество
может выпустить дополнительно к размещенным акциям. Поэтому
акционерное общество может принять решение о дополнительном
выпуске акций только при наличии в уставе сведений об объявленных акциях.
Причем объем выпускаемых дополнительных акций не может
быть больше объявленных.
В зависимости от объема прав акции принято делить на обыкновенные
и привилегированные (преференциальные). Согласно Гражданскому
кодексу (статья 102) и Федеральному закону «Об акционерных обществах
» (статья 25, пункт 2) номинальная стоимость размещенных
привилегированных акций не должна превышать 25% уставного капитала
общества.
Владелец обыкновенной акции имеет права, предоставляемые акциями,
в полном объеме (участвовать в общем собрании акционеров с правом
голоса по всем вопросам его компетенции, иметь право на получение
дивидендов, а в случае ликвидации общества — право на получение
части его имущества).
Привилегированная акция не дает права голоса на общем собрании
акционеров, а привилегии владельца такой акции заключаются в том,
что в уставе должны быть определены размер дивиденда и стоимость,
выплачиваемая при ликвидации общества (ликвидационная стоимость),
которые определяются в твердой денежной сумме, в процентах к номинальной
стоимости привилегированных акций или устанавливается порядок
их расчета.
Однако не следует понимать буквально лишение права голоса владельца
привилегированной акции. Закон определяет случаи, когда владелец
привилегированной акции получает право участвовать в общем
собрании акционеров с правом голоса при решении вопросов о реорганизации
и ликвидации общества или о внесении изменений и дополнений
в устав общества, ограничивающих или изменяющих права акционеров
— владельцев привилегированных акций.
Право голоса владелец привилегированных акций получает и в том
случае, если на годовом собрании акционеров принимается решение о
невыплате или неполной выплате установленных по привилегированным
акциям дивидендов (за исключением владельцев кумулятивных
привилегированных акций).
В зарубежной практике используются разновидности как обыкновенных,
так и привилегированных акций.
Например, обыкновенные акции могут быть многоголосными (плюральными)
или ограниченными. В российской практике они не используются,
хотя законодательно их выпуск не ограничивается.
Федеральным законом «Об акционерных обществах» предусматривается
выпуск одного или нескольких типов привилегированных акций.
При этом описаны два типа привилегированных акций: кумулятивные и
конвертируемые.
Кумулятивными считаются такие акции, по которым невыплаченный
или не пол1юстью выплаченный дивиденд, размер которого определен
в уставе, накапливается и выплачивается впоследствии.
Например, если при эмиссии привилегированных акций было установлено,
что дивиденд по ним выплачивается в размере 14% к номиналу,
а по решению общего собрания акционеров он в текущем году не
выплачивается, то в следующем году размер дивиденда по кумулятивной
привилегированной акции составит 28%.
Выпуск таких акций может привлечь инвесторов возможностью увеличения
своих доходов. Если владелец привилегированной акции такого
типа решит продать ее при невыплате дивидендов, то он будет вынужден
продавать ее по низкой курсовой стоимости. Купивший такую
акцию имеет возможность получить дивиденды за весь период, в течение
которого они не выплачивались. Кроме того, владелец кумулятивной
привилегированной акции в порядке, установленном законом, получает
право голоса.
Характеризуя конвертируемые акции, следует подчеркнуть, что
возможна конвертация:
• в другие ценные бумаги;
• акций с большей номинальной стоимостью в акции с меньшей номинальной
стоимостью и наоборот;
• акций с большим объемом прав в акции с меньшим объемом прав и
наоборот;
• акции в акции при консолидации и расщеплении.
Зарубежная практика показывает, что обмен конвертируемых акций
должен наступать не менее чем через три года. Конверсионное соотношение
показывает, на какое количество других ценных бумаг обменивается
привилегированная акция. Курс конвертации устанавливается в момент
выпуска таких акций, и он, как правило, превышает текущий рыночный
курс обыкновенных акций в тот период. Поэтому, если в установленный
период обмена текущий рыночный курс обыкновенных акций превысит
курс конвертации, владелец конвертируемой привилегированной акции
имеет возможность получить дополнительный доход, обменяв свою акцию
на обыкновенную по курсу конвертации и же продав ее по более
высокому курсу. Такая возможность позволяет эмитенту устанавливать
по конвертируемым привилегированным акциям дивиденд ниже, чем по
другим типам привилегированных акций. Если срок обмена закончен, а
владелец конвертируемой привилегированной акции не обменял ее ни на
какую другую акцию, она признается прямой (простой) привилегированной
акцией.
Устав может наделить владельца конвертируемой привилегированной
акции правом голоса на общем собрании акционеров, при этом количество
голосов должно соответствовать тому количеству обыкновенных
акций, на которые обменивается принадлежащая ему привилегированная
акция.
Акционерное общество по закону может выпускать другие типы
привилегированных акций, поэтому рассмотрим еще несколько типов
таких акций, которые выпускаются за рубежом.
Большое распространение получили отзывные, или возвратные, привилегированные
акции. Суть их заключается в том, что они могут быть
погашены в отличие от обычных, которые не могут гаситься до тех пор,
пока существует акционерное общество, их выпустившее.
Отзыв, или возвратность, акционерное общество может обеспечить
разными способами.
Выкуп с премией. Премия выступает в роли своеобразной компенсации
инвестору за то, что он теряет принадлежащий ему источник дохода.
При этом выкуп может происходить целиком в любое время после
увеломления о выкупе или частями в установленные сроки. Погашение
происходит по цене, устанавливаемой выше номинала.
Выкуп через выкупной или отложенный фонд. Формирование выкупного
фонда дает возможность ежегодно выкупать через вторичный
рынок определенную часть привилегированных отзывных акций и тем
самым способствовать стабилизации рынка своих акций.
Отложенный фонд формируется акционерным обществом для того,
чтобы произвести выкуп по рыночной цене.
Обеспечение гарантий досрочного выкупа по инициативе держателя
за счет выпуска особого вида привилегированных акций. К их выпуску
прибегают тогда, когда у эмитента нет абсолютных гарантий
отзыва привилегированных акций путем погашения с помощью выкупа.
При выпуске таких типов привилегированных акций держатель (инвестор)
сам устанавливает срок гашения, уведомляет об этом эмитента
и при наступлении срока гашения предъявляет их. Выпуск отзывных
(возвратных) привилегированных акций представлен на рис.
Акционерное общество может выпустить привилегированные акции
с долей участия. Такие акции дают право ее владельцу не только на
фиксированный дивиденд, установленный при ее выпуске, но и на дополнительный
дивиденд, если дивиденд по обыкновенным акциям по
итогам года его превысит.
В зарубежной практике получают распространение привилегированные
акции с плавающей ставкой дивиденда, ориентированной на доходность
каких-либо общепризнанных ценных бумаг (например, в нашей
практике — на доходность по каким-либо государственным ценным
бумагам).

Схема выпуска отзывных (возвратных) привилегированных акций
Могут выпускаться гарантированные привилегированные акции.
Такие акции могут быть выпущены дочерними предприятиями. В этом
случае дивиденд по привилегированным акциям гарантируется репутацией
вышестоящей организации. Это должно привлечь инвесторов к
покупке акций дочернего предприятия.
В ходе приватизации в России появились специфические привилегированные
акции: типа А и типа Б. Привилегированные акции типа А
выпускались при создании открытых акционерных обществ, они предназначались
для работников преобразуемых предприятий, которые получали
их бесплатно. Число привилегированных акций типа А составляло
25% уставного капитала, а для выплаты дивидендов по этим акциям
выделялось 10% чистой прибыли. Эти акции давали право владельцам
присутствовать на ежегодных собраниях акционеров, вносить предложения
по обсуждаемым вопросам, но не давали права голоса. Собственники
таких акций имели право свободной их продажи.
Привилегированные акции типа Б выпускались в счет доли уставного
капитала, принадлежащей Фонду имущества. То есть владельцем
таких акций становился Фонд имущества, который получал их бесплатно.
Для выплаты дивидендов по таким акциям направлялось 5% чистой
прибыли, но размер дивиденда по таким акциям не должен быть ниже
дивиденда, выплачиваемого по обыкновенным акциям.
Число таких акций не должно превышать 25% уставного капитала.
Фонд имущества, который являлся держателем акций данного типа,
имел право без согласия других акционеров свободно продавать их неограниченному
кругу покупателей, однако при их продаже они автоматически
конвертировались в обыкновенные акции.
Держатель привилегированных акций типа Б не имел права голоса,
хотя мог присутствовать на собраниях акционеров и вносить свои предложения
по обсуждаемым вопросам.
Правительство РФ, органы государственной власти субъектов РФ,
органы местного самоуправления могут принять решение о выпуске
так называемой «золотой акции», которая дает им специальное право
на контроль за деятельностью государственных и муниципальных унитарных
предприятий, преобразованных в открытые акционерные общества.
«Золотая акция» дает право назначать представителей Правительства
РФ, субъектов Федерации, муниципальных образований в
совет директоров (наблюдательный совет) и ревизионную комиссию
ОАО.
Специальное право («золотая акция») действует до принятия решения
о его прекращении.
Таким образом, выпускаемые акции представлены в следующей таблице
(табл. 1).


ДИВИДЕНД
Дивиденд представляет собой доход, который можетполучить акционер за счет части чистой прибыли текущего года акционерного
общества, которая распределяется между держателями акций в
виде определенной доли их номинальной стоимости, т.е. через дивиденд
реализуется право акционера на участие в прибыли, получаемой акционерным
обществом. Право на дивиденд имеют акционеры, внесенные
в реестр акционеров общества в установленном порядке. Акционерное
общество вправе по своему усмотрению решать вопрос о выплате дивидендов,
т.е. закон не обязывает его в обязательном порядке их выплачивать.
Кроме того, законом устанавливаются определенные ограничения
на выплату дивидендов. Так, например, дивиденды не могут выплачиваться
до тех пор, пока не оплачен весь уставный капитал, они не
могут быть выплачены тогда, когда предприятие отвечает установленным
законом признакам банкротства (несостоятельности) или если в
результате выплаты дивидендов такие признаки появятся.
Однако если о выплате дивидендов объявлено, общество обязано их
выплатить по каждому типу (категории) акций.
На выплату дивидендов может быть израсходована только часть
чистой прибыли, которая устанавливается советом директоров (т.е. той
прибыли, которая останется после отчислений в резервный фонд (пока
он не достигнет 15% уставного капитала), фонд накопления, потребления
и т.д.).
Дивиденд может выплачиваться деньгами или по усмотрению общества
иным имуществом (как правило, акциями дочерних предприятий
или собственными акциями).
Если дивиденды выплачиваются собственными акциями, то такая
практика носит название «капитализация доходов» или «реинвестирование
». С точки зрения теории выплата дохода собственными акциями
не может считаться дивидендом, так как они не представляют часть
чистой прибыли. Однако в мировой и российской практике выплата дивидендов
собственными акциями довольно распространена. При этом
дивиденд устанавливается либо в процентах к одной акции, либо выплачивается
самими акциями в определенной пропорции к определенному
их числу с учетом даты приобретения (например, 4 на 10 ранее приобретенных
за год владения или 1 па 10 ранее приобретенных за один
полный квартал владения).
Пример расчета «капитализации дохода»: 20 акций куплены
1098 г., решение о выплате дивидендов в форме собственных акций
принято 2099 г. из расчета 4 акции за 10 приобретенных за полный
год владения: 20 • 4/10 • 9/12 = 6 акций (так как полных месяцев
владения — 9).
Сроки выплаты дивидендов устанавливаются акционерным обществом.
Они могут быть годовыми и промежуточными (ежеквартальными
или полугодовыми). Решение о выплате годовых дивидендов (размере
и форме выплаты) по каждой категории акций принимает o6niee
собра1шс акционеров по рекомендации совета директоров (наблюдательного
совета) общества, а решение о выплате промежуточных дивидендов
принимается советом директоров (наблюдательным советом) общества
самостоятельно.
При выплате дивидендов соблюдается определенная приоритетность.
В первую очередь устанавливаются дивиденды по привилегированным
акциям, при этом из них на первом месте стоят привилегированные акции,
имеющие преимущество в очередности получения дивиденда, затем
выплачиваются дивиденды по прямым привилегированным акциям,
а в последнюю очередь дивиденды по привилегированным акциям,
размер дивиденда по которым не определен.
После того как принято решение о выплате дивидендов по привилегированным
акциям, принимается решение о выплате (объявлении) дивидендов
по обыкновенным акциям.
Дивиденд рассчитывается только на те акции, которые находятся
на руках у держателей. Акции, которые выкуплены у держателей или
не размещены и находятся на балансе акционерного общества, в расчет
при установлении дивидендов не принимаются.
Размер годового дивиденда не может быть больше того, который
рекомендован советом директоров (наблюдательным советом), однако
он не может быть и меньше выплаченных промежуточных дивидендов.
Общее собрание вправе принять решение о частичной выплате дивидендов
(о выплате дивидендов в неполном размере), а также о невыплате
дивидендов.
Пример расчета дивидендов. Уставный капитал в 1 млрд руб. разделен
на привилегированные акции (25%) и обыкновенные (75%) одной
номинальной стоимости в 10(Ю руб. По привилегированным акциям
дивиденд установлен в размере 14% к 1юминальной стоимости. Какие
дивиденды могут быть объявлены по акциям, если на выплату дивидендов
совет директоров рекомендует направить 110 млн руб. чистой прибыли?
Первоначально рассчитывают дивиденды, приходящиеся на привилегированные
акции: 1000 • 14 ; 100 = 140 руб. на одну акцию, всего
140 • 250 000 = 35 000 000 руб.
Затем определяют чистую прибыль, которую можно использовать
для выплат по обыкновенным акциям; 110 - 35 = 75 млн руб., и, наконец,
устанавливают дивиденд, выплачиваемый гю одной обыкновенной
акции: 75 000 000 : 750 000 = 100 руб., или 10% номинальной стоимости.
СТОИМОСТНАЯ ОЦЕНКА АКЦИЙ
Вопрос оценки акций тесно связан с ее жизненным циклом,который охватывает выпуск, первичное размещение и обращение акций.
Поэтому первая оценка акций по российскому законодательству в
период ее выпуска номинальная. Номинал акции — это то, что указано
на ее лицевой стороне, поэтому иногда ее называют лицевой, или нарицательной,
стоимостью. Номинальная стоимость всех обыкновенных
акций общества должна быть одинаковой и обеспечивать всем держателям
акций этого общества равный объем прав.
По Федеральному закону «Об акционерных обществах» уставный капитал
общества составляется из номинальной стоимости акций общества,
приобретенных акционерами, иначе говоря, равен сумме номиналов
акций в обращении.
Такой порядок стоимостной оценки акций принят не во всех странах.
В некоторых странах, например в США, номинальная стоимость не
указывается, а в акции оговаривается, что капитал компании разбит на
столько-то частей — акций.
Предприятие, выпустившее акцию с указанием ее номинальной, т.е.
нарицательной, стоимости, еще не гарантирует ее реальную ценность.
Такую ценность определяет рынок. Однако номинальная стоимость выступает
как некоторый ориентир ценности акции, особенно на неразвитом,
Мало ликвидном фондовом рынке. В этом случае 1юминальная стоимость
длительное время является базой для определения последующих
стоимостных оценок акции.
Затем стоимостная оценка акций происходит при их первичном размещении,
когда необходимо установить эмиссионную стоимость - это
цена акции, по которой ее приобретает первый держатель. По существующему
законодательству эмиссионная цена акции превышает номинальную
стоимость или равна ей. Оплата акций общества при его
учреждении производится его учредителями по их номинальной стоимости.
При всех последующих выпусках реализация акций осуществляется
по эмиссионной цене, ориентированной на рыночную. Это
обусловливается тем, что собственный капитал акционерного общества
больше уставного, так как в процессе существования акционерного
общества происходит увеличение стоимости его активов из-за
инфляционных процессов, присоединения нераспределенной прибыли
(реинвестирования прибыли) и т.д.
Превышение эмиссионной цены над номинальной стоимостью называется
эмиссионной выручкой, или эмиссионным доходом. Он не может
быть использован на цели потребления и должен быть присоединен к
собственному капиталу акционерного общества. Эмиссионная цена
может быть ниже рыночной. Это возможно, во-первых, в том случае,
если акционер использует имеющееся у него преимущественное право
приобретения акций со скидкой 10% рыночной цены. Таким образом,
эмиссионная цена для него составляет 90% рыночной. Во-вторых, в случае
размещения дополнительных акций при участии посредников но цене,
которая не может быть ниже их рыночной стоимости более чем на размер
вознаграждения посредника. Таким образом, эмиссионная цена равна
рыночной минус вознаграждение посредника.
Следовательно, уже на стадии эмиссии акций, определяя перспективы
продажи новых обыкновенных акций и время их выпуска, возникает
потребность в рыночной оценке. Потребность в оценке акции особенно
необходима при:
• поглощении и слиянии общества;
• покупке голосующего пакета акций;
выдаче кредита под обеспечение акций;
• преобразовании открытого акционерного оби1,ества в закрытое
акционерное общество;
• определении целесообразности выкупа ранее реализованных собственных
акций;
• разделении и выделении общества;
• ликвидации общества.
«Рыночной стоимостью имущества, включая стоимость акций или
иных ценных бумаг общества, является цена, по которой продавец, имеющий
полную информацию о стоимости имущества и не обязанный его
продавать, согласен был бы продать его, а покупатель, имеющий полную
информацию о стоимости имущества и не обязанный его приобрести,
согласен был бы приобрести» {Федеральный закон «Об акционерных
обществах» от 26 декабря 1995 г. № 208-ФЗ с последующими изменениями
и дополнениями).
Таким образом, на ликвидном эффективном рынке цепных бумаг
рыночная цена акции - это стоимость в текущих ценах по сделкам,
заключенным в каждый момент времени, не более и не менее.
Рыночная (курсовая) цена — это цена, по которой акция продается
и покупается на вторичном рынке.
Рыночная цена обычно устанавливается на торгах на фондовой
бирже и отражает действительную цену акции при условии большого
объема сделок. Биржевой курс как результат биржевой котировки определяется
равновесным соотношением спроса и предложения. Цену
предложения (оферту) (рис. 2) устанавливает продавец, цену спроса
(бид) — покупатель.

Котировка предполагает наличие двух цен.
Цена приобретения, по которой покупатель выражает желание
приобрести акцию, или цена спроса (bid price), — цена бид.
Цена предложения, по которой владелец, или эмитент, акции желает
ее продать, — цена предложения (offer price) — оферта.
Как правило, между ними находится цена исполнения сделки, т.е. цена
реальной продажи акций, называемая курсовой (рыночной) ценой. Курсовая
цена бумаги при большом спросе может равняться цене предложения,
а при избыточном количестве ценных бумаг — цене спроса. Таким
образом, реальная курсовая цена складывается под влиянием ожиданий
продавца и покупателя ценных бумаг. Широко известна формула расчета
этой цены (Цд):

меняются и цены. Как правило, учитывается и рыночная конъюнктура,
поэтому в течение рабочего дня биржи цена продажи определенной акции
может меняться. Цена, по которой совершается первая сделка, называется
ценой открытия, а цена, по которой совершается последняя
сделка, — ценой закрытия.
В течение дня устанавливается высшая и низшая цены на акцию (рис. 3).
Высшая и низшая цены на акцию определяются не только за день, но
и за более продолжительные периоды — неделю, месяц, квартал, год.
Это позволяет установить тенденцию рыночной цены на ту или иную
акцию. Цена открытия текущего дня может существенно отличаться от
цены закрытия предыдущего рабочего дня биржи. Изменение цены является
одним из показателей биржевой активности.
Рыночная цена акции в расчете на 100 денежных единиц номинала
называется курсом:

Диаграмма цен на акцию в течение рабочего дня биржи
Ситуация. Определим курс акции, продаваемой по цене 15 000 руб.
при номинале 10 000 руб.

Курс акции равен 150 процентным пунктам, или просто 15
Рыночная цена акций определяется соотношением спроса и предложения.
В каждый данный момент определенная акция имеет свой курс, и
задача оценщика-инвестора — спрогнозировать тенденцию, направленность
его изменения.
При стоимостной оценке акций важную роль играет низкая, или
балансовая, стоимость. Ее определяют эксперты как частное от деления
стоимости чистых активов компании на количество выпущенных акций,
находящихся в обращении. Такая оценка доступна очень узкому
кругу инвесторов. Если курсовая цена превышает балансовую, то это
является основой для биржевого роста цены.
Балансовую стоимость определяют при аудиторских проверках в том
случае, если эмитент намерен пройти листинг для включения своих акций
в биржевой список ценных бумаг, допущенных к биржевым торгам,
а также при ликвидации акционерного общества, чтобы определить
долю собственности, приходящуюся на одну акцию.
Кроме того, выделяют ликвидационную стоимость. Она определяется
только для привилегированных акций и устанавливается при
эмиссии.
Особое значение в настоящее время придается реальной стоимости
акций, определяемой на основе дисконтирования потоков платежей, которые
может обеспечить акция.
Стоимостная оценка акций тесно связана с показателями, характеризующими
качество акций; к таким показателям относят следующие:

Соотношение PIE показывает, какую цену должен заплатить инвестор
за единицу прибыли. Поэтому оно может быть использовано для
сравнения стоимости сопоставимых ценных бумаг и определения ориентира
(рамок) для конкретных отраслей. Высокое соотношение PIE
может указывать на то, что инвесторы, покупающие данные акции,
ожидают роста дивидендных выплат в связи с предполагаемым ростом
прибыли компании, но вместе с тем оно же свидетельствует и о том, что
в текущий момент данные акции переоценены, потенциал роста курсовой
стоимости исчерпан, и поэтому возможно скорое падение цены.

Этот показатель характеризует текущую рыночную доходность акций.

Этот показатель называют дивидендным выходом. Он не может быть
больше единицы. Низкий показатель DIE может свидетельствовать о
высокой рентабельности компании и достаточной перспективе ее роста.
Однако он может толкнуть держателя к продаже акций и приобретению
других акций, у которых этот показатель имеет тенденцию к росту.
Инвестиции в акции являются разновидностью финансовых
инвестиций, т.е. вложением денег в финансовые активы с целью
получения дохода. Доходными будут считаться такие вложения в акции,
которые способны обеспечить доход выше среднерыночного.
Получение именно такого дохода и есть цель, которую преследует
инвестор, осуществляя инвестиции на фондовом рынке. При этом доход,
который может принести акция, обращаясь на фондовом рынке, интересует
в основном портфельного инвестора. Составляющими этого
дохода будут дивиденды и рост курсовой стоимости. На что он рассчитывает
— на дивиденды или рост курсовой стоимости? ^ем измерить
доходность инвестиций в акции?
Для ответа на эти вопросы необходимо выбрать критерий, своеобразную
«быструю пробу», по которой можно судить о доходе инвестора
в данный период, а следовательно, и количественный показатель,
используемый при оценке доходности акций.
Являясь держателем (владельцем) ценной бумаги, инвестор может
рассчитывать только на получение дивиденда по акциям, т.е. текущие
выплаты по ценной бумаге (В).
После реализации акции ее держатель может получить вторую составляющую
совокупного дохода — прирост курсовой стоимости. Количественно
это обозначается как доход, равный разнице между ценой
продажи (Ц|) и ценной покупки (Цц)- Естественно, при превышении цены
продажи над ценой покупки (Ц, > Цд) инвестор получает доход (Д = Ц, -
Цд), а при снижении цен на фондовом рынке и соответственно снижении
цены продажи по сравнению с ценой покупки (Ц, < Ц^) инвестор имеет
потерю капитала (П = Ц, - Ц,).
Кроме того, следует иметь в виду, что расчет дохода по акциям зависит
от инвестиционного периода.
Если инвестор А осуществляет долгосрочные инвестиции, и в инвестиционный
период, по которому происходит оценка доходности акции,
не входит ее продажа, то текущий доход определяется величиной выплачиваемых
дивидендов (В). При такой ситуации рассматривают текущую
доходность (Д^), которую рассчитывают как отношение полученного
дивиденда к цене приобретения акции (Цц).

Кроме того, можно рассчитывать текущую рыночную доходность
(Д ), которая будет зависеть от уровня цены, существующей на рынке
в каждый данный момент времени ЩУ.

Если инвестиционный период, по которому оцениваются акции, включает
выплату дивидендов и заканчивается их реализацией, то доход
определяется как совокупные дивиденды с учетом изменения курсовой
стоимости, т.е. Д = ^ В . , + (Ц, - Цц), таким образом, конечный доход
после реализации акции может быть любым: Д < О, если В < Ц| - Ц^ при
условии, что Ц| < Цц и Д > О, если Ц, — Ц^ < В или если Ц, > Ц^.
Доходность является конечной (Д^^), когда инвестор реализовал свою
ценную бумагу, и доход за инвестиционный период измеряется соотношением

Чистые активы — это стоимость активов компании за вычетом нематериальных
активов, суммы всех долгов и номинальной стоимости
привилегированных акций. Показатель P/N показывает цену, которую
рынок заплатит за единицу собственного капитала. Превышение Р над
N говорит о том, что инвестор уверен в дальнейшем росте компании.
Однако по этому показателю трудно проводить сравнение' компаний,
принадлежащих к разным отраслям промышленности. Поэтому он используется
значительно реже других и преимущественно для специализированных
типов компаний. Чаще всего это банки и инвестиционные
фонды. У этих типов компаний активы легко измеримы, а учет построен
так, что балансовая стоимость никогда не должна значительно отличаться
от справедливой рыночной цены.
Бета-коэффициент. Данный коэффициент определяет влияние общей
ситуации на рынке в целом на судьбу конкретной ценной бумаги.
Если бета-коэффициент положителен, то эффективность данной ценной
бумаги аналогична эффективности рынка. При отрицательном бета-
коэффициенте эффективность данной ценной бумаги будет снижаться
при возрастании эффективности рынка.
Бета-коэффициент также принято считать мерой риска инвестиций
в данные ценные бумаги. При бета больше единицы риск инвестиций
выше, чем в среднем по рынку, а при бета меньше единицы —
наоборот.
ЭКОНОМИЧЕСКИЙ ПОДХОД
Поскольку юридические формы являются отражениеми фиксацией определенных экономических отношений, т.е. отношений
по поводу производства, обращения и использования капитала в современном
обществе, постольку можно сразу отметить, что экономическое
существо ценной бумаги как экономической категории состоит в том,
что она, с одной стороны, есть представитель капитала, с другой — капитал сам по себе. Однако ясно, что если бы речь шла об одном и том же
капитале, то такое положение было бы просто невозможно. На самом
деле ценная бумага есть представитель реально функционирующего в
экономике, или действительного, капитала, а как капитал ценная бумага
есть фиктивный капитал.
Ценная бумага не всегда была представителем капитала. В докапиталистическую
эпоху она была просто представителем стоимости, или
общепринятым платежным средством, как, например, вексель — исторически
первая форма ценной бумаги. Известно, что современные кредитные
деньги произошли из данной функции векселя.
Существующий товарный мир делится на две группы: собственно
товары (материальные блага, услуги) и деньги. В свою очередь деньги
могут быть просто деньгами и капиталом, т.е. самовозрастающей стоимостью,
или в обыденном представлении деньгами, которые приносят
новые (добавочные) деньги.
В соответствии с этим ценная бумага может быть представителем
товара или денег.
В условиях капиталистического хозяйства и товары, и деньги суть
лишь обособившиеся части общественного капитала, а поэтому в современных
условиях все ценные бумаги — это в конечном счете представители
определенных видов функционирующего капитала: товарного,
денежного или производительного. Каждая ценная бумага в зависимости
от направлений использования капитала, полученного взамен нее
или представителем которого она является, может выражать разные
части функционирующего капитала или даже их комбинации одновременно,
а потому — представлять этот капитал в целом во всех его формах
как капитал, создающий прибавочную стоимость в ее различных
проявлениях.
Особое место в ряду ценных бумаг занимают ценные бумаги, выпускаемые
государством, или государственные ценные бумаги. Государство
не является капиталистом и не использует привлекаемые через
ценные бумаги денежные средства для получения дохода, оно лишь перераспределяет их через государственный бюджет или через свою финансовую
систему, т.е. выступает посредником. Следовательно, государственные
ценные бумаги — это не представитель непосредственно
функционирующего капитала, а представитель капитала, которого у
государства нет, который окольными путями возвращается в экономику
(через заработную плату государственных служащих, военных, закупку
товаров, военной техники и др.). Поэтому государственные ценные
бумаги — это «косвенный» представитель действительного капитала.
В процессе разделения труда перечисленные ранее виды функционирующего
капитала обособляются и превращаются в ссудный, торговый
и промышленный' капиталы.
Поскольку ценная бумага есть представитель капитала, то ее владелец
ни в коей мере не утрачивает связи с этим капиталом. Эта связь
теперь выражается в ценной бумаге, а не в непосредственном обладании
капиталом. Лицо, получившее в свое распоряжение капитал, может
использовать его и как ссудный, и как товарный, и как промышленный
капитал. Лицо, получившее в обмен на свой капитал ценную бумагу,
использовало последнюю как форму для вложения ссудного капитала.
Безвозвратное отчуждение капитала означало бы, что его бывший владелец
потерял все права на него, а поэтому не могла бы иметь место и
форма ценной бумаги на капитал, обеспечивающая сохранение тех или
иных, прежде всего имущественных, прав на этот капитал.
Ценная бумага не просто представитель капитала, ведь последний
приносит доход (производит прибавочную стоимость), а поэтому она
есть представитель приносящего доход капитала. Капитализация этого
дохода приводит к тому, что приносящий доход актив, т.е. в данном
случае сама ценная бумага, получает денежную оценку, или рыночную
цену. А поэтому из простого представителя капитала ценная бумага
превращается в капитал, сама становится одной из форм существования
капитала, самостоятельным его видом. Однако это уже не капитал,
производящий прибавочную стоимость, а фиктивный капитал, т.е. совокупность
различного рода притязаний на действительный капитал —
на деньги, товары, оборудование, имущество, технологии, системы
транспорта и связи и т.п. (рис. 2).
Ценная бумага — это не деньги и не материальный товар. Ее ценность
состоит в тех правах, которые она дает своему владельцу. Последний обменивает
свой товар или свои деньги на ценную бумагу только в том случае,
если он уверен, что эта бумага ничуть не хуже, а даже лучше и удобнее,
чем сами деньги или товар. Поскольку и деньги, и товар в современных
условиях суть разные формы существования капитала, то экономическое
определение ценной бумаги можно выразить следующим образом.
Ценная бумага — это форма существования капитала, отличная от
его товарной, производительной и денежной форм, которая может передаваться
вместо него самого, обращаться на рынке как товар и приносить
доход. Это особая форма существования капитала наряду с его
существованием в денежной, производительной и товарной формах, при которой у владельца капитала сам капитал отсутствует, но имеются
имущественные права на него, которые и зафиксированы в форме ценной
бумаги.

Рис. Экономическая трактовка ценной бумаги
Последняя позволяет отделить собственность на капитал
от самого капитала и соответственно включить последний в рыночный
процесс в таких формах, в каких это необходимо для самой экономики.
Ценная бумага — представитель капитала, но для ее владельца она
не всегда есть капитал. Это имеет место в том случае, когда она не
приносит дохода, например, если владелец чека получает причитающуюся
по нему в банке сумму денег или владелец складского свидетельства
просто получает соответствующий товар со склада.
Диалектика развития капитала состоит в том, что сначала действительный
капитал порождает свою видимость — ценные бумаги, а они, в
свою очередь, воспроизводят новый капитал, но уже как фиктивный, а
не действительный. И действительный капитал, и фиктивный капитал
как совокупность ценных бумаг вместе образуют функционирующий в
современной экономике общественный капитал.
Действительный и фиктивный капитал — это две стороны одного
и того же общественного капитала. Однако каждый из них развивается
по своим законам. Рост действительного капитала в конечном счете
определяется наличием материальных и трудовых ресурсов, с одной
стороны, и потребностями общества — с другой. Рост фиктивного
капитала, находящего свое отражение в рыночной цене ценных бумаг,
имеет спекулятивный характер, нацеленный на максимизацию дохода
от обращения этих бумаг. Благодаря фиктивному капиталу, т.е. ценным
бумагам, общественный капитал получает возможность неограниченно
самовозрастать, выходить за пределы реально функционирующего
капитала, ибо закон капитала — это безграничный рост.
Однако возрастание фиктивного капитала в форме ценных бумаг (а
вместе с ним и всего общественного капитала) за количественные пределы
реально функционирующего капитала, первоначальной рефлексией
(отражением, видимостью) которого он является, не может происходить
непрерывно и безгранично, так как только действительный капитал
создает материальную основу всех видов доходов, в том числе и
доходов от ценных бумаг. Опережаю1Ций рост фиктивного капитала по
сравнению с действительным находит свое отражение в конечном счете
в снижении показателей доходности капитала в целом, что, в свою очередь,
становится причиной систематических скачкообразных сокращений
размеров фиктивного капитала или общего падения цен на ценные
бумаги.
Облигации
Еще одним важным объектом торговли на рынке ценныхбумаг являются облигации. Облигация - ценная бумага, удостоверяющая
отношения займа между ее владельцем (кредитором) и лицом,
выпустившим ее (заемщиком).
Действующее российское законодательство определяет облигацию
как «эмиссионную ценную бумагу, закрепляющую право ее держателя
на получение от эмитента облигации в предусмотренный ею срок ее
номинальной стоимости и зафиксированного в пей процента от этой стоимости
или иного имущественного эквивалента».'
Таким образом, облигация это долговое свидетельство, которое
непременно включает два главных элемента:
· обязательство эмитента вернуть держателю облигации по истечении
· оговоренного срока сумму, указанную на титуле (лицевой стороне)
облигации;
• обязательство эмитента выплачивать дepжaтeлю облигации фиксированный
доход в виде процента от номинальной стоимости или иного
имущественного эквивалента.
Принципиальная разница между акциями и облигациями заключается
в следующем. Покупая акцию, инвестор становится одним из собственников
компании-эмитента. Купив облигацию компании-эмитента,
инвестор становится ее кредитором. Кроме того, в отличие от акций
облигации имеют ограниченный срок обращения, но истечении которого
гасятся. Облигации имеют преимущество перед акциями при реализации
имущественных нрав их владельцев: в первую очередь выплачиваются
проценты по облигациям и лишь затем дивиденды; при делении имущества компании-эмитента в случае ее ликвидации акционеры могут
рассчитывать лишь на ту часть имущества, которая останется после
выплаты всех долгов, в том числе и по облигационным займам.
Если акции, являясь титулом собственности, предоставляют их владельцам
право на участие в управлении компанией-эмитентом, то облигации,
будучи инструментом займа, такого права не дают.
Облигации выступают главным инструментом мобилизации средств
правительствами, различными государственными органами и муниципалитетами.
К организации и размещению облигационных займов прибегают
и компании, когда у них возникает потребность в дополнительных
финансовых средствах.
Выпуск облигаций содержит ряд привлекательных черт для компании-
эмитента: посредством их размещения хозяйственная организация может
мобилизовать дополнительные ресурсы без угрозы вмешательства их держателей-
кредиторов в управлении финансово-хозяйственной деятельностью
заемщика. Однако займы компаний следует рассматривать
как дополнение к заемным средствам, получаемым в виде банковских кредитов.
Даже в странах с развитым фондовым рынком посредством выпуска
облигаций компании покрывают далеко не всю потребность в заемных
средствах. Поскольку облигационный заем выражает отношения по поводу
возвратного движения ссуженной стоимости, то он по своей сути и назначению
схож с банковской ссудой. В этой связи следует заметить, что
право на эмиссию облигаций может быть предоставлено только таким компаниям,
которые отвечают требованию кредитоспособности.
Порядок выпуска облигаций акционерными обществами регламентируется
Федеральным законом «Об акционерных обществах». В соответствии
с названным Законом при выпуске облигаций акционерными обществами
должны быть coблюдeны следующие дополнительные условия:
• номинальная стоимость всех выпущенных обществом облигаций
не должна превышать размер уставного капитала общества либо величину
обеспечения, предоставленного обществу третьими лицами для
целей выпуска;
• выпуск облигаций допускается после полной оплаты уставного
капитала;
• выпуск облигаций без обеспечения допускается на третьем году
существования общества и при условии надлежащего утверждения к
этому времени двух годовых балансов общества;
• общество не вправе размещать облигации, конвертируемые в акции
общества, если количество объявленных акций общества меньше
количества акций, право на приобретение которых предоставляют облигации.
Резюмируя сказанное выше об облигации, мы можем рассматривать
облигацию как:
• долговое обязательство эмитента;
• источник финансирования расходов бюджетов, превышающих доходы;
• источник финансирования инвестиций акционерных обществ;
• форму сбережений средств граждан и организаций и получения ими
дохода.
Виды ОБЛИГАЦИЙ
Поскольку существует большое разнообразие облигаций,для описания их различных видов классифицируем облигации по ряду
признаков. Чтобы дать развернутую классификацию облигаций, используем
не только пока еще небольшой опыт функционирования российского
облигационного рынка, но и богатый зарубежный опыт организации
облигационных займов. Можно предложить следующую классификацию:
• В зависимости от эмитента различают облигации:
государственные;
корпоративные;
иностранные.
• В зависимости от сроков, на которые выпускается заем, все многообразие
облигаций условно можно разделить на две большие группы:
А. Облигации с некоторой оговоренной датой погашения, которые в
свою очередь делятся на:
краткосрочные;
среднесрочные;
долгосрочные.
Временные рамки, ограничивающие перечисленные облигационные
группы, для каждой страны различны и определяются законодательством,
действующим в этой стране, и сложившейся практикой. Например,
в США к краткосрочным обычно относят облигации со сроком
обращения от 1 года до 3 лет, к среднесрочным — от 3 до 7 лет, долгосрочным
— свыше 7 лет. Что касается российского законодательства,
то оно содержит указания о сроках обращения только для государственных
долговых обязательств.
Б. Облигации без фиксированного срока погашения включают:
бессрочные, или непогашаемые;
отзывные облигации могут быть востребованы (отозваны) эмитентом
до наступления срока погашения.
Еще при выпуске облигации эмитент устанавливает условия такого
востребования — по номиналу или с премией;
облигации с правом погашения предоставляют право инвестору
на возврат облигации эмитенту до наступления срока погашения
и получения за нее номинальной стоимости;
продлеваемые облигации предоставляют инвестору право продлить
срок погашения и продолжать получать проценты в течение этого
срока;
отсроченные облигации дают эмитенту право на отсрочку погашения.
В зависимости от порядка подтверждения права владения облигации
могут быть:
именные, права владения которыми подтверждаются внесением
имени владельца в текст облигации и в книгу регистрации, которую
ведет эмитент;
на предъявителя, права владения которыми подтверждаются простым
предъявлением облигации.
По целям облигационного займа облигации подразделяются на:
обычные, выпускаемые для рефинансирования имеющейся у эмитента
задолженности или для привлечения дополнительных финансовых
ресурсов, которые будут использованы на различные многочисленные
мероприятия;
целевые, средства от продажи которых направляются на финансирование
конкретных инвестиционных проектов или конкретных
мероприятий (например, строительство моста, проведение телефонной
сети и т. п.).
По способу размещения различают:
свободно размещаемые облигационные займы;
займы, предполагающие принудительный порядок размещения.
Принудительно размещенными чаще всего являются государственные
облигации (например, Государственные облигационные
займы СССР 40—50-х годов).
В зависимости от формы, в которой возмещается позаимствованная
сумма, облигации делятся на:
с возмещением в денеж:ной форме;
натуральные, погашаемые в натуре. Примером натуральных облигаций
являются облигации хлебных займов СССР 20-х годов,
облигации АвтоВАЗа, выпущенные в 1993 г.
По методу погашения номинала могут быть:
облигации, погашение номинала которых производится разовым
платеж:ом;
облигации с распределенным по времени погашением, когда за определенный
отрезок времени погашается некоторая доля номинала;
облигации с последовательным погашением фиксированной доли
общего количества облигаций (лотерейные или тиражные займы).
В зависимости от того, какие выплаты производятся эмитентом
по облигационному займу, различают:
облигации, по которым производится только выплата процентов,
а капитал не возвращается, точнее, эмитент указывает на возможность
их выкупа, не связывая себя конкретным сроком. К этой
группе облигаций бессрочного займа относятся, например, английские
консоли, выпущенные еще в середине XVIII в. и обращающиеся
до настоящего времени;
облигации, по которым лишь возвращается капитал по номинальной
стоимости, но не выплачиваются проценты. Это так называемые
облигации с нулевым купоном;
облигации, по которым проценты не выплачиваются до момента
их погашения, а при погашении инвестор получает номинальную
стоимость облигации и совокупный процентный доход. К таким
облигациям можно отнести сберегательные сертификаты серии Е,
выпускаемые в США;
облигации, по которым возвращается капитал по номинальной
стоимости, а выплата процентов не гарантируется и находится
в прямой зависимости от результатов деятельности компании-
эмитента, т.е. от того, получает компания прибыль или нет.
Такие облигации называются доходными или реорганизационными,
так как выпускаются, как правило, компаниями, которым грозит
банкротство;
облигации, дающие право их владельцам на получение периодически
выплачиваемого фиксированного дохода, а номинальной стоимости
облигации — в будущем, при ее погашении. Этот вид облигации
наиболее распространен в современной практике во всех
странах.
Периодическая выплата доходов по облигациям в виде процентов
производится по купонам. Купон представляет собой вырезной талон
с указанной на нем цифрой купонной (процентной) ставки. По
способам выплаты купон1юго дохода облигации подразделяются на:
облигации с фиксированной купонной ставкой;
облигации с плавающей купонной ставкой, когда купонная ставка
зависит от уровня ссудного процента;
облигации с равномерно возрастающей купонной ставкой по годам
займа. Такие облигации еще называют индексируемыми, они
обычно эмитируются в условиях инфляции;
Облигации с минимальным или нулевым купоном (мелко процентные
или беспроцентные облигации). Рыночная цена но таким облигациям
устанавливается ниже номинальной, т.е. предполагает
скидку. Доход по этим облигациям выплачивается в момент ее
погашения по номинальной стоимости и представляет разницу
между номинальной и рыночной стоимостью;
облигации с оплатой по выбору. Владелец этой облигации может
доход получить как в виде купонного дохода, так и облигациями
нового выпуска;
облигации смешанного типа. Часть срока облигационного займа
владелец облигации получает доход по фиксированной купонной
ставке, а часть срока - по плавающей ставке.
• По характеру обращения облигации бывают:
неконвертируемые;
конвертируемые, предоставляющие их владельцу право обменивать
их па акции того же эмитента (как на обыкновенные, так и
на привилегированные). Важное значение для держателей конвертируемых
облигаций имеют конверсионный коэффициент и конверсионная
цена. Конверсионный коэффициент показывает, какое
количество акций можно получить в обмен на такую облигацию.
Конверсионный коэффициент 10:1 означает, что при
конверсии одной облигации можно получить 10 акций. Конверсионная
цепа представляет собой отношение номинальной цены облигации
(например, 100 000 руб.) к конверсионному коэффициенту
(10) и в данном случае равняется 10 000 руб.
• В зависимости от обеспечения облигации делятся на два класса:
А. Обеспеченные залогом:
обеспечиваются физическими активами: в виде недвижимости; в
виде оборудования (облигации с подобным залогом чаще всего
выпускаются транспортными организациями, которые в качестве
обеспечения используют суда, самолеты и т. п.). Облигации под
залог физических активов (как в виде вещного имущества, так и
в виде оборудования) включают так называемые облигации под
первый заклад и второ закладные облигации, или облигации под
второй заклад. Облигации под второй заклад стоят на втором
месте после перво закладных и называются еще обще закладными.
Претензии по облигациям под второй заклад рассматриваются
после расчетов с держателями облигаций под первый заклад, но
до расчетов с прочими инвесторами;
облигации с залогом фондовых бумаг обеспечиваются находящимися
в собственности эмитента ценными бумагами какой-либо
другой компании (неэмитента);
Облигации с залогом пула закладных (ипотек). Такие облигации
выпускаются кредитором, на обеспечении у которого находится
пул ипотек под выданные им ссуды под недвижимость. Поступление
платежей по этим ссудам является источником погашения и
выплаты процентов по облигационному займу, обеспеченному
пулом закладных.
Не обеспеченные залогом:
облигации, не обеспеченные какими-либо материальными активами.
Они подкрепляются «добросовестностью» компании-эмитента,
т.е. обещанием этой компании выплатить проценты и возместить
всю сумму займа по наступлении срока погашения;
облигации под конкретный вид доходов эмитента. По этим o6лигациям
эмитент обязуется выплачивать проценты и погашать заем
за счет каких-либо конкретных доходов;
облигации под конкретный инвестиционный проект. Средства, полученные
от реализации данных облигаций, направляются эмитентом
на финансирование какого-либо инвестиционного проекта.
Доходы, полученные от реализации этого проекта, эмитент
использует на погашение займа и выплату процентов;
гарантированные облигации. Облигации не обеспечены залогом,
но выполнение обязательств по займу гарантируется не компанией-
эмитентом, а другими компаниями. Чаще всего гарантом является
более сильная с экономической точки зрения компания, что
делает облигации более надежными;
облигации с распределенной или переданной ответственностью.
По этим облигациям обязательства по данному займу либо распределяются
между некоторым числом компаний, включая эмитента,
либо целиком принимают на себя другие компании, исключая
эмитента;
застрахованные облигации. Данный облигационный заем компания-
эмитент страхует в страховой компании на случай возникновения
каких-либо затруднений в выполнении обязательств по этому
займу.
В зависимости от степени защищенности вложений инвесторов различают:
облигации, достойные инвестиций, — надежные облигации, выпускаемые
компаниями с твердой репутацией и имеющие хорошее
обеспечение;
макулатурные облигации, носящие спекулятивный характер. Вложения
в такие облигации всегда сопряжены с высоким риском.
СТОИМОСТНАЯ ОЦЕНКА ОБЛИГАЦИЙ
Облигации имеют нарицательную цену (номинал) ирыночную цену. Номинальная цена облигации напечатана на самой облигации
и обозначает сумму, которая берется взаймы и подлежит возврату
по истечении срока облигационного займа. Номинальная цена
является базовой величиной для расчета принесенного облигацией дохода.
Процент по облигации устанавливается к номиналу, а прирост
(уменьшение) стоимости облигации за соответствующий период рассчитывается
как разница между номинальной ценой, по которой облигация
будет погашена, и ценой покупки облигации.
Как правило, облигации выпускаются с высокой номинальной ценой.
Они ориентированы на богатых инвесторов, как индивидуальных,
так и институциональных. Этим они отличаются от акций, номинальную
стоимость которых эмитент устанавливает в расчете на приобретение
их самыми широкими слоями инвесторов. Следует при этом отмстить,
что если для акций номинальная стоимость — величина довольно
условная, акции и продаются, и покупаются преимущественно по цене,
не привязанной к номиналу (акции, как известно, могут выпускаться и
без указания номинала), то для облигаций номинальная стоимость является
очень важным параметром, значение которого не меняется на протяжении
всего срока облигационного займа. Именно по изначально зафиксированной
величине номинала облигации будут гаситься по окончании
срока их обращения.
Как уже отмечалось ранее, облигации являются привлекательным
для покупателей объектом инвестирования, а значит, товаром, предметом
перепродажи. С момента их эмиссии и до погашения они продаются
и покупаются по установившимся на рынке ценам. Рыночная цена в
момент эмиссии (эмиссионная цена) может быть ниже номинала, равна
номиналу и выше номинала. В дальнейшем рыночная цена облигаций
определяется исходя из ситуации, сложившейся на рынке облигаций и
финансовом рынке в целом к моменту продажи, а также двух главных
элементов самого облигационного займа. Этими элементами являются:
• перспектива получить при погашении номинальную стоимость облигации
(чем ближе в момент покупки облигации срок ее погашения,
тем выше ее рыночная стоимость);
• право на регулярный фиксированный доход (чем выше доход, приносимый
облигацией, тем ниже ее рыночная стоимость).
Рыночная цена облигаций зависит и от ряда других условий, важнейшим
из которых является надежность (степень риска) вложений.
Поскольку номиналы у разных облигаций могут существенно различаться
между собой, то часто возникает необходимость в сопоставимом
измерителе рыночных цен облигаций. Таким показателем является
курс.
Курсом облигации называется значение рыночной цены облигации,
выраженное в процентах к ее номиналу:

Например, если облигация с номиналом 100 руб. продается за 150
руб., то ее курс 15
В зарубежной практике, помимо номинальной и рыночной, употребляется
еще одна стоимостная характеристика облигаций — их выкупная
цена, по которой эмитент по истечении срока займа погашает
облигации. Выкупная цена может совпадать с номинальной, а может
быть выше или, наоборот, ниже ее. Российское законодательство исключает
существование выкупной цены, так как Федеральный закон
«О рынке ценных бумаг» от 22 апреля 1996 г. № 39-ФЗ с последующими
изменениями и дополнениями закрепляет право держателя на
получение от эмитента ее номинальной стоимости'. Это означает, что
облигации могут погашаться (выкупаться) только по номинальной
стоимости.
Доход по ОБЛИГАЦИИ
Облигации, являясь, как и другие ценные бумаги, объектоминвестирования на фондовом рынке, приносят своим держателям
определенный доход.
Общий доход от облигации складывается из следующих элементов:
• периодически выплачиваемых процентов (купонного дохода);
• изменения стоимости облигации за соответствующий период;
• дохода от реинвестирования полученных процентов.
Рассмотрим каждый из перечисленных элементов дохода в отдельности.
Облигация, в отличие от акции, приносит владельцу фиксированный
текущий доход. Этот доход представляет собой постоянные аннуитеты
годовые фиксированные выплаты в течение ряда лет. Как правило,
проценты по облигациям выплачиваются 1 2 раза в год. При этом
чем чаще производятся процентные выплаты, тем больший потенциальный
доход приносит облигация, ведь полученные процентные выплаты
могут быть реинвестированы.
Размер купонного дохода по облигациям зависит прежде всего от
надежности облигации, иначе говоря, от того, кто является ее эмитентом.
Чем устойчивее компания-эмитент и надежнее облигация, тем ниже
предлагаемый процент. Кроме того, существует зависимость между
процентным доходом и сроком обращения облигации: чем больше отдален
срок погашения, тем выше должен быть процент, и наоборот.
Процентные (купонные) выплаты по облигациям условно можно
разделить па три группы:
• фиксированные ежегодные выплаты по ставке, установленной эмитентом
при выпуске облигаций;
• индексируемые ежегодные выплаты. Процентный индекс по облигациям
определяется эмитентом чаще всего в соответствии с государственным
инфляционным индексом. Индексация позволяет инвесторам
получать стабильный доход в реальном выражении, защищенный
от инфляционных колебаний цен на основные товары и услуги.
Ставка процента по облигациям может также индексироваться на
некоторую величину, непосредственно связанную с целевым назначением
займа, например на объем выпускаемой продукции или па цену
1 кВтч для займов под энергетические проекты. В эту же группу
купонных выплат можно отнести возрастающие во времени процентные
выплаты;
• выплачиваемые одновременно с основной суммой долга.
Облигация может также приносить доход в результате изменения
стоимости облигации с момента ее покупки до продажи. Разница между
ценой покупки облигации (Цу) и ценой, по которой инвестор продает
облигацию (Ц|), представляет собой прирост капитала, вложенного инвестором
в конкретную облигацию (Д = Ц, - Цд).
Данный вид дохода приносят прежде всего облигации, купленные
по цене ниже номинала, т.е. с дисконтом. При продаже облигаций с
дисконтом важным моментом /и1я эмитента является определение цены
продажи облигации. Иными словами, по какой цене следует продать
облигацию сегодня, если известны сумма, которая будет получена в
будущем (номинал), и базовая норма доходности (ставка рефинансирования).
Подсчет этой цены называется дисконтированием, а сама цена сегодняшней стоимостью будущей суммы денег. Дисконтирование осуществляется по формуле

Разность (Ц^^ - Цдд) является дисконтом и представляет собой доход
по данному виду облигации.
Последний элемент совокупного дохода — доход от реинвестиций
полученных процентов — присутствует лишь при условии, что полученный
в виде процентов текущий доход по облигации постоянно реинвестируется.
Данный вид дохода может иметь довольно существенное
значение при покупке долгосрочных облигаций.
Общий, или совокупный, доход по облигациям обычно ниже, чем по
другим ценным бумагам. Это объясняется прежде всего тем, что облигации
обладают большей, по сравнению с другими видами ценных бумаг,
надежностью. Доходы по облигациям меньше подвергнуты циклическим
колебаниям и не так зависимы от конъюнктуры рынка, как, например,
доходы по акциям.
Показатель текущей доходности характеризует годовые (текущие)
поступления по облигации относительно произведенных затрат на ее покупку.
Текущая доходность облигации рассчитывается по формуле

Пример. Инвестор А приобрел за 900 руб. облигацию номинальной
стоимостью 1000 руб. Купонная ставка равна 20% годовых. Проценты
выплачиваются один раз в конце года. Срок погашения облигации наступит
через 2 года.
Текущая доходность облигации в соответствии с формулой равна

Для принятия инвестиционного решения — оставить данную облигацию
или продать и вложить деньги в другие ценные бумаги — доходность
облигации нужно сравнить с доходностью других инструментов в настоящий
момент. Для этого определяют текущую рыночную доходность как
отношение процентного дохода к текущей рыночной цене облигации:

Текущая доходность облигации является простейшей характеристикой
облигации. Пользуясь только этим показателем, нельзя выбрать
наиболее эффективную для инвестирования средств облигацию, так
как в текущей доходности не нашел отражения еще один источник дохода
— изменение стоимости облигации за период владения ею. Поэтому
по облигациям с нулевым купоном текущая доходность равна
нулю, хотя доход в форме дисконта они приносят.
Оба источника дохода отражаются в показателе конечной, или полной,
доходности, характеризующей полный доход по облигации, приходящийся
на единицу затрат на покупку этой облигации в расчете на
год.
Показатель конечной доходности определяется по формуле

Известны более сложные математические формулы расчета конечного
дохода, в том числе с учетом третьей составляющей совокупного дохода,
приносимого облигацией, — реинвестирования процентных поступлений.
Существуют два важных фактора, влияющих на доходность облигаций.
Это инфляция и налоги. Если доход от облигации равен 14% в год, а
уровень инфляции — 13%, то реальная доходность составит только 1%.
Если уровень инфляции повысится до 14% и выше, то инвесторы — держатели
облигаций с фиксированным 14%>-ным доходом — будут иметь
перспективу получить нулевой доход или даже понести убытки. Поэтому
в условиях инфляции инвесторы избегают вложений в долгосрочные облигации
(хотя эмитентам они, несомненно, интересны), чтобы доходность
собственных инвестиций поддержать на уровне, соизмеримом с базовой
ставкой доходности — ставкой рефинансирования.
Налоги уменьшают доход по облигациям, а значит, и их доходность.
Учитывая все вышесказанное, реальная доходность тех или иных облигаций
должна рассчитываться после вычета из дохода выплачиваемых
налогов с учетом инфляции. Эти показатели доходности следует сравнивать,
выбирая наиболее эффективные для инвестирования объекты.
ОСНОВНЫЕ ОПРЕДЕЛЕНИЯ
Облигация — эмиссионная ценная бумага, закрепляющая за ее держателем
право на гарантированный доход, размер и порядок выплаты
которого эмитент определяет при выпуске, а также на получение ее номинальной
стоимости при истечении срока займа.
ГЛАВНЫЕ ВЫВОДЫ
Облигация представляет собой эмиссионную долговую ценную бумагу,
отражающую отношение займа между эмитентом (заемщиком) и
инвестором (кредитором).
Видов выпускаемых облигаций достаточно много и все они используются
участниками рынка для получения дохода от переданных взаймы
денежных средств.
Вексель
Вексель как инструмент кредитно- расчетных отношенийявляется результатом многовекового развития товарно-денежного
хозяйства. История его возникновения уходит в далекое прошлое. Известно,
что элементы вексельного обращения появились еще в эпоху средневекового
феодализма (XII—XIV вв.).
Появление нового расчетного инструмента в средние века многие
специалисты истории вексельного права связывают с потребностью
средневековых торговцев, стремящихся сохранить свой капитал во
время переездов и переселений от разбоя на дорогах, в заменителе
денег.
Само название «вексель» произошло от обменных операций, что подтверждается
в современных названиях вексельных документов. На английском
языке вексель называется bill of exchange (обменное письмо),
на немецком — Wechscl-Brief (обменное письмо), на французском — lettre
de change (письмо для обмена), на итальянском — lettera di cambio.
Вексель стал необходим при переводе денег из одной местности в
другую, а также при обмене монет, имеющих хождение в одном государстве,
на валюту другого государства. Тем более государство, защищая
свое право чеканки, запрещало обращение монет другого государства
в своем и вывоз своих монет в другие. Так потребовались услуги
менял, которые имели своих представителей в различных государствах.
Желающий получить деньги в другом месте, чтобы предупредить
риск потери денег при переезде, уменьшить хлопоты и убытки, стал
заключать договор с менялой. По договору меняла, получив деньги в
одном месте, не отдавал эквивалент немедленно, а обещал выплатить
его при предъявлении договора в оговоренном месте в установленное
время. Опасность передвижения по средневековым дорогам способствовала
развитию вексельных расчетов. Роль векселя расширялась, и он
превратился в расчетное средство за поставленный товар. С его помощью
фиксировался факт получения товара в том случае, когда деньги
передавались позже.
Развитие экономики, усиление роли государства, установление прочных
деловых отношений как между государствами, так и отдельными
торговцами и ремесленниками создавали условия для расширения объемов
вексельного оборота и изменения функций векселя. Распространению
векселя способствовала конкуренция между тремя финансовыми
группами, наиболее значимыми в XII—XIII вв.:
• менялы, банкиры Италии, терминология которых до сих пор составляет
основу вексельного обращения;
• могущественные рыцари, которые, помимо охраны торговых караванов
и паломников, имели свои торговые конторы и славились безукоризненным
делопроизводством;
• евреи, которых периодически изгоняли со своих земель и для которых
наличие писем-гарантий давало возможность сохранить капитал и
облегчить вынужденные переезды и переселения.
Сфера применения векселя расширилась также благодаря ярмарочной
торговле. Его стали использовать для расплаты из-за недостатка
денег, поэтому время выдачи векселя и время исполнения по нему стшю
отдаляться одно от другого. Это превратило вексель в особый вид денежной
ценности и дало возможность совершать крупные сделки без
немедленной оплаты. Постепенно вексель стал использоваться при оформлении
долговых отношений.
Использование векселя при ярмарочной торговле потребовало выработки
специальных норм, связанных с передачей векселя другому лицу
и взысканием вексельных обязательств, которые установили строгость
и быстроту вексельных взысканий. Это дало возможность одним векселем
рассчитываться по нескольким сделкам, производя на них передаточные
надписи.
Развитие вексельных отношений происходило в прямой зависимости
или, лучше сказать, в «рамках» экономического развития различных государств.
Следовательно, стали появляться различия в вексельных обычаях
разных стран, что значительно затрудняло использование векселей
в .международных расчетах. Поэтому делается попытка повсеместно
использовать законодательство в отношении векселя отдельных
государств. Первоначально использовалось французское законодательство,
а затем — германское.
В 1847 г. прусским правительством была предпринята попытка
создания Общегерманского Вексельного Устава, который был принят
в 1848 г. Именно этот устав был взят за основу вексельного законодательства
Швеции в 1851 г., Финляндии — в 1858 г., Сербии в
1860 г., Бельгии в 1878 г., Норвегии — в 1880 г., Италии — в 1882 г.
Таким образом, во второй половине XIX в. появились предпосылки для
создания единого межгосударственного вексельного устава. Однако
лишь в 1930 г. в Женеве была принята конвенция, унифицировавшая
основные нормы международного вексельного права, которые действуют
и по сей день. Принятый в Женеве рядом стран Единообразный
вексельный закон (ЕВЗ) был большим достижением в истории развития
вексельного права. Женевская конвенция обязала каждую из стран-
участниц строго придерживаться Единообразного вексельного закона
и принять его за основу местного вексельного законодательства. К
настоящему времени к Женевской конвенции присоединились Германия,
Австрия, Бельгия, Бразилия, Колумбия, Дания, Польша, Эквадор,
Испания, Финляндия, Франция, Греция, Венгрия, Италия, Япония,
Люксембург, Норвегия, Нидерланды, Перу, Швеция, Швейцария, Чехословакия,
Турция, Югославия; СССР присоединился к Женевской
конвенции в 1937 г.
Следует отметить, что в Англии, Австралии, Израиле, Канаде,
Кипре, США, Филиппинах, ЮАР и некоторых других странах вексельное
законодательство основано на английском законе о переводных векселях
(1882 г.), отличном от Единообразного вексельного закона.
ОБЩАЯ ХАРАКТЕРИСТИКА
В настоящее время вексель относится к инструментамденежного рынка. Его считают не эмиссионной долговой ценной бумагой.
Вексель дает право векселедержателю требовать уплаты в установленный
срок определенной суммы денег от плательщика по векселю.
Поэтому можно сравнить вексель с долговой распиской. Однако
следует иметь в виду, что от обычной долговой расписки вексель отличается
следующим.
Вексель — это абстрактное обязательство, т.е., возникнув в
результате конкретной сделки, он может быть передан любому лицу,
которое, не имея никакого отношения к условиям его возникновения,
получает право требовать платежа по векселю, являясь его держателем.
Вексель рассматривается как безусловное обязательство, т.е. платеж
по векселю не зависит ни от каких условий.
Пример. Предприятие А заключает договор с предприятием Б на поставку
товара. Расчет по данной сделке происходит векселем, который
предприятие А (покупатель) выписывает в пользу предприятия Б (пролавиа). Предприятие Б в силу каких-то обстоятельств полностью либо
частично не исполнило своих обязанностей по договору. В данном случае
предприятие А не освобождается от обязанности уплатить по векселю
и не может использовать факт невыполнения проданном своих обязательств
по данной сделке как основание для неуплаты по векселю. В
этом заключается основное свойство векселя, или вексельная сила, —
право безусловного требования платежа ко всем обязанным по векселю
липам. Пример показывает, что вексель - безусловное денежное обязательство,
т.е. платеж по векселю не может быть ограничен никакими
условиями. В тексте векселя не допускаются никакие ссылки на основание
его выдачи. Все условия, не относящиеся к обязательным реквизитам
векселя, будут считаться ненаписанными. Поэтому добросовестному
держателю векселя не могут быть противопоставлены возражения,
вытекающие из договора, который лежит в основе выдачи или
переуступки векселя.
Вексель - это денежный документ со строго определенным набором
реквизитов. Это значит, что векселем является только тот документ,
который содержит все необходимые реквизиты векселя, сформулированные
в соответствии с Положением о переводном и простом
векселе. При этом если не будет хотя бы одного обязательного вексельного
реквизита, то вексель теряет свою вексельную силу, а все
другие реквизиты, которые написаны сверх обязательных, считаются
ненаписанными. Совокупность надлежащим образом оформленных реквизитов
векселя составляет форму векселя, а отсутствие либо неверное
оформление хотя бы одного из них может привести к дефекту
формы векселя. Дефект формы векселя — это термин, определяющий
несоответствие представленного как вексель документа формальным
требованиям вексельного права. Дефект формы векселя ведет к потере
документом вексельной силы, безусловности изложенного в документе
текста, абстрактности вексельного долга и солидарной ответственности
всех обязанных по векселю лиц.
Вексель отличает солидарная ответственность, т.е. полная ответственность
каждого обязанного по векселю лица перед законным векселедержателем.
Векселедержатель в случае неплатежа и надлежащего
протеста в неплатеже имеет право предъявить иск ко всем или некоторым обязанным по векселю лицам, не соблюдая очередности индоссаментов.
Предметом вексельного обязательства могут быть только деньги.
Вексель передается от одного лица другому на основании специальной
передаточной надписи - индоссамента, которая не требует нотариального
заверения.
Вексель выполняет две главные функции: он выступает средством
расчета, и с его помощью можно оформить или получить кредит.
Являясь средством расчета, вексель заменяет деньги. Деньги, заменив
натуральный обмен, позволили отделить акт продажи от акта покупки;
вексель же, заменяя в этой части деньги, отделяет акт платежа
от акта получения денег, выступая универсальным средством платежа.
Вексель может служить средством сохранения денег, вместо наличных
денег выступать расчетным средством. К тому же вексель может не
только сохранить деньги, но и приумножить их.
Вексельное обращение способно ускорить расчеты, уменьшить потребность
в наличных деньгах, так как при развитом коммерческом обороте
вексель до срока оплаты может пройти через многих держателей,
погашая их обязательства друг перед другом. Вексель широко используется
в качестве платежного средства в международных расчетах, при
экспорте и импорте.
Следующая функция векселя заключается в том, что его рассматривают
в качестве орудия кредита. С помощью векселя можно оформить
различные кредитные операции: получить отсрочку в платеже при покупке
(получении) товара, возвратить полученный кредит, предоставить
кредит заемщику и т.д. Особое значение вексель в части этой функции
имеет для покупателя (потребителя), так как он дает ему возможность
получить кредит от продавца (поставщика) без посредничества банков
и других финансовых институтов.
Для обращения векселей в России основополагающими выступают
следующие нормативные документы.
/. Конвенция, устанавливающая Единообразный закон о переводном
и простом векселях от 7 июня 1930 г. (Россия как правопреемница СССР
является участником этой конвенции).
Постановление ЦИК и СНК СССР «О введении в действие Поломсе-
ния о переводном и простом векселе» от 7 августа 1937 г. № 104/134
Федеральный закон «О переводном и простом векселе» от 11 марта
1997 г. № 48 ФЗ.
Виды ВЕКСЕЛЕЙ
Класс векселей достаточно многообразен (табл. 1).

Наибольшее значение имеет деление векселей на переводные и простые
векселя.
Переводной вексель (тратта) представляет собой письменный документ,
содержащий безусловный приказ векселедателя плательщику
уплатить определенную сумму денег в установленный срок и в конкретном
месте векселедержателю или его приказу. Таким образом, переводной
вексель (тратта) — это документ, регулирующий вексельные отношения
трех сторон: векселедателя (трассанта), должника (трассата) и
векселедержателя — получателя платежа (ремитента). При этом трассант
— должник перед ремитентом, трассат — должник перед трассантом.
Трассат становится главным плательщиком после соглашения (акцепта)
принять на себя платеж по векселю. Закон устанавливает, что
векселедатель (трассант) несет ответственность и за акцепт, и за платеж
по векселю.
Схему вексельной сделки с использованием переводного векселя
можно представить следующим образом (рис. 1).
Простой вексель представляет собой письменный документ, содержащий
простое и ничем не обусловленное обязательство векселедателя
уплатить определенную сумму денег в установленный
срок и в конкретном месте векселе держателю или его приказу. Схема
сделки с использованием простого векселя следующая (рис. 2).

Структура вексельных отношений по простому векселю несколько проще, чем по переводному. В простом векселе векселедатель является прямым должником, и он обязан по простому векселю, так же как акцептант по переводному, следовательно, простои вексель акцептовать
не нужно.
В настоящее время в России наибольшей популярностью среди промышленных
и финансово-кредитных учреждений пользуются простые
векселя (соло). Такая популярность простых векселей на фондовом рынке
России объясняется направлениями использования векселей. Соло-векселя
активно используются в следующих направлениях:
• привлечение временно свободных денежных средств. Банки активно
используют простые векселя для привлечения денежных средств, поскольку
вексель имеет неоспоримые преимущества как перед депозитом,
так и перед сберегательным сертификатом.
Во-первых, в отличие от депозитов, доходы по которым облагаются
налогом по общей ставке для налога на прибыль, налогообложение доходов
по векселям обычно значительно ниже. Такая разница в налогообложении, безусловно, делает вексель как инструмент привлечения денежных
средств более привлекательным как для банков, так и для вкладчиков.
Во-вторых, хотя ставки налогообложения доходов по векселям и
сберегательным сертификатам одинаковы, вексель все же предпочтительнее
сберегательных сертификатов ввиду большей ликвидности.
Это значит, что векселедержатель имеет возможность рассчитаться со
своими кредиторами не только денежными средствами, но и векселем
за поставленные товары и оказанные услуги либо досрочно учесть
вексель;
• вексельное кредитование. Суть данного вида кредитования заключается
в том, что заемщик получает кредит не денежными средствами,
а векселями. Как правило, такие векселя достаточно ликвидные, поскольку
заемщик использует их как расчетное средство в своих финансово-
хозяйственных операциях. Данный вид кредитования выгоден как банку,
так и заемщику, поскольку банк, кредитуя заемщика, не использует
своих активов, что значительно снижает себестоимость кредитной операции.
Соответственно и кредитный процент для заемщика обычно значительно
меньше;
• вексель как средство платежа. Вексель является особенной ценной
бумагой. Эта особенность состоит в том, что вексель может быть
использован как средство платежа. В настоящее время большой популярностью
среди банков, финансово-кредитных и промышленных предприятий
пользуются операции с так называемыми «расчетными» векселями.
«Расчетный» вексель - это вексель, который приобретается с дисконтом
для покрытия кредиторской задолженности перед векселедателем
в размере вексельной суммы. Суть такой операции заключается в том,
что разница между ценой покупки векселя и вексельной суммой является доходом.
Обычно в таких операциях используются векселя надежных
банков либо предприятий транспортной (прежде всего железных
дорог), энергетической, металлургической и других отраслей, продукция
либо услуги которых достаточно ликвидные. Векселя вышеуказанных
промышленных предприятий приобретаются с целью досрочного
погашения кредиторской задолженности перед векселедателем, поэтому
к ним обычно прилагаются гарантийные письма с обязательством
векселедателя досрочно погасить вексель в счет кредиторской задолженности
векселедержателя перед векселедателем за производимые последним
товары и оказываемые услуги.
Операции с «расчетными» векселями можно отнести к разряду сверх доходных.
Пример. Предприятие имеет кредиторскую задолженность перед АО
«Сибэнерго» в размере 500 млн руб. На фондовом рынке курсовая
стоимость векселя АО «Сибэнерго» составляет 27% номинальной стоимости.
Следовательно, предприятию-должнику очень выгодно приобрести
вексель номинальной стоимостью 500 млн руб. всего лишь за 135 млн
руб. и получить доход, или экономию, от погашения кредиторской задолженности
перед векселедержателем в размере 365 млн руб. Как мы
видим, эффективность подобных операций достаточно высока, это объясняет
образование ко второй половине 1995 г. многочисленных посреднических
компаний. Более широкое использование предприятиями простых
векселей объясняется также тем, что структура вексельных отношений
в простом векселе значительно проще правил обращения
переводного векселя. Это весьма важно, поскольку уровень экономического
образования (особенно это касается фондового рынка) руководящего
состава предприятий остается достаточно низким. Руководители
«старой закалки» с большим трудом осваивают новые расчетные
инструменты. Вексельное же обращение является одной из наиболее сложных
областей экономики. Именно отсутствие специальных знаний у
руководящего состава промышленных и других предприятий затрудняет
развитие вексельного обращения в России.
Определенное значение имеет деление векселей в зависимости от их
экономической сущности, в этом случае выделяют следующие виды
векселей:
• коммерческие;
• финансовые;
• фиктивные;
• банковские.
В основе коммерческого векселя лежит конкретная товарная сделка.
Для финансового векселя характерно то, что он является дополнительной
гарантией возврата выданного кредита, т.е. в его основе лежит
движение денег.
Вексель фиктивный — в основе векселя нет ни движения товара, ни
движения денег. К фиктивным векселям относят: бронзовый, дружеский,
встречный.
Бронзовый вексель — вексель, не имеющий реального обеспечения,
плательщиком по нему является либо вымышленное лицо, либо заведомо
неплатежеспособное.
Дружеский вексель — вексель, который выдает одно платежеспособное
лицо другому неплатежеспособному как средство платежа или
изыскания денежных средств путем учета векселя в банке. Возможная
схема дружеского векселя (рис. 3).

Встречный вексель — два лица выставляют векселя друг другу, после
чего учитывают их в разных банках. При наступлении срока платежа
они вновь обмениваются векселями и учитывают их в других банках.
Возможная схема встречного векселя (рис. 4).
Вексель банковский — одностороннее, ничем не обусловленное обязательство
банка — эмитента векселя уплатить векселедержателю указанную
в векселе сумму в установленный срок. Схему банковского векселя
можно представить следующим образом (рис. 5).

Банки выпускают векселя процентные и дисконтные. Процентные
продаются по номиналу, а при представлении векселя к погашению векселедержателю
выплачивается номинал, а также проценты по нему.
Процентная сумма зависит от установленной процентной ставки, условий
ее выплаты и времени, в течение которого вексель находился у векселедержателя.
Такие векселя должны быть неопределенно срочные: оплачиваться
банком по предъявлении или во столько-то времени от
предъявления. Банк в таких векселях может указать, что срок их предъявления
не раньше такого-то времени от составления (продажи).
Дисконтные векселя продаются ниже номинала (со скидкой-дисконтом).
Такие векселя определенно срочные, т.е. при продаже банк оговаривает
срок погашения такого векселя. Для банка-эмитента такие векселя
служат средством привлечения временно свободных денежных
средств как у юридических, так и физических лиц. Выгода банка и в ТОМ. что выпуск векселей не требует регистрации, т.е. не нужно раскрывать
информацию о себе, как этого требует выпуск других ценных
бумаг, не нужно уплачивать эмиссионный налог и т.д.
Для покупателя приобретение банковских векселей выгодно потому,
что:
• они ликвидные;
• можно получить кредит под вексельное обеспечение;
• векселя банка продаются и покупаются на вторичном рынке ценных
бумаг;
• их можно использовать как платежное средство.
КРУГООБОРОТ ЦЕННОЙ БУМАГИ
Глава 1 Глава 2 Глава 3
Ценная бумага — это всего лишь право, а не какая- нибудь вещь, а потому для нее не существует ни стадии производства, ни стадии потребления. Единственное место в экономике, где она может существовать — это сфера обращения. Однако если для товара обращение есть простой переход от одного владельца к другому, так как
до этого имел место процесс его производства, а после обращения наступит время использования товара, для ценной бумаги в сфере обращения сосредоточены все этапы ее жизни — «рождение, жизнь и смерть», которые в совокупности составляют ее кругооборот. Последний распадается на три стадии: выпуск, т.е. обмен ссудного капитала на титул; собственно обращение как переход права собственности на
нее от одного владельца к другому; гашение, или изъятие, титула из обращения, или его обратный обмен на действительный капитал
(рис. 3).

Рис. Кругооборот ценной бумаги
Перечисленные стадии кругооборота ценной бумаги имеют свои
особенности: в первой и третьей стадиях ценная бумага пребывает
только однажды, а во второй стадии, в обращении, проходит большая
часть ее жизни. Если ценная бумага, приносящая доход, по каким-либо
причинам не обращается, не переходит из рук в руки, то она по экономической
форме превращается в обычный депозит, по которому начисляется
установленный для него доход (процент). Однако следует
всегда помнить, что экономическая природа ценных бумаг и депозита
(например, банковского) различна. Депозит — это форма существования
денежного, т.е. действительного, капитала, а ценная бумага может
быть только представителем (титулом) последнего. Депозит в своей
непосредственной форме обращаться не может, а ценная бумага может
свободно переходить от одного владельца к другому различными
рыночными способами.
Экономическое достоинство ценной бумаги состоит в том, что она
может постоянно обращаться, в отличие от действительного капитала,
для которого процесс обращения — лишь одна из стадий его кругооборота,
и чем она короче, тем при прочих равных условиях лучше, гак как
больший доход может быть создан тем же размером действительного
капитала в единицу времени. В форме ценной бумаги действительный
капитал получает форму вечного обращения, так как сам он должен
«трудиться», производить материальный доход (прибавочную стоимость)
для всего общества, а обращается по преимуществу его «заместитель
» -- фиктивный капитал.
Обращение ценной бумаги имеет обратное влияние на нее. Если речь
идет о ценных бумагах, которые не являются доходными, т.е. не есть
представители капитала для их владельцев, то обращение может придать
им статус капитала, например, если они перепродаются. Если вести
речь о ценных бумагах, которые по своему статусу приносят доход
их владельцу, то в ходе обращения последний может получить дополнительный доход.
Поскольку ценная бумага — это особый род капитала, то и ее рынком
является особый рынок — рынок ценных бумаг, на котором титулы
капитала (т.е. соответствующие права) обращаются как обычные право (на доход), а меновой стоимостью — фиктивная стоимость (капитализированный
доход). Рынок ценных бумаг — это не совсем то же
самое, что рынок товаров или денег. Рынок ценных бумаг — это экономические
отношения но поводу их кругооборота, или экономические
отношения, возникающие в связи с их кругооборотом, а стадии кругооборота
- это составные часги указанного рынка.
• вексельные метки;
• вексельная сумма;
• наименование и адрес плательщика;
• срок платежа;
• наименование получателя платежа;
• место платежа;
• указание места и даты составления;
• подпись векселедателя.
Теперь мы рассмотрим эти реквизиты подробнее.
Вексельные метки. В тексте документа, являющегося векселем, обязательно
должно быть указано, что данный документ есть вексель и все
обязательства, вытекающие из документа, имеют вексельный характер.
Например, «...уплатить по данному векселю...», «...местом платежа
по векселю является...».
Вексельная сумма. Вексельная сумма обычно указывается и цифрами,
и прописью. В случае расхождения в сумме, написанной цифрами,
и сумме, написанной прописью, вексель считается выписанным на сумму,
написанную прописью. Если в векселе имеется несколько сумм, то
вексель считается выписанным на меньшую. Не допускается разбивка
суммы векселя по срокам, т.е. поэтапная оплата векселя. Вексель — это
абстрактное обязательство оплатить определенную сумму денег.
Наименование и адрес плательщика. В случае если плательщиком
является юридическое лицо, обязательно должны быть указаны юридический
адрес плательщика, его полное наименование. Когда плательщиком
выступает физическое лицо, указываются фамилия, имя, отчество
и место жительства этого лица.
Срок платежа. Существуют определенные вексельным законодательством
сроки платежа:
а) «По предъявлении». Платеж по векселю с таким сроком производится
по предъявлении векселя. Он должен быть предъявлен к платежу в
течение одного года со дня его составления. В векселе с таким сроком
платежа векселедатель может оговорить сроки предъявления к оплате.
Например, «... по предъявлении, но не ранее 1 февраля .... года». При
просрочке этого периода вексель теряет свою вексельную силу.
б) «Во столько-то времени от предъявления». Данный срок платежа
определяет обязательство оплатить вексель через определенный период
времени после факта предъявления векселя. Факт предъявления векселя
к оплате фиксируется отметкой на лицевой стороне векселя, что фактически
является согласием на оплату или днем опротестования векселя в
акцепте.
в) «Во столько-то времени от составления». Такой срок платежа по
векселю может быть установлен таким образом: на один или несколько
месяцев от составления, и тогда он наступает в соответствующий день
того месяца, в котором платеж должен быть произведен.
г) «На определенный день».
В случае когда срок платежа в векселе не указан, считается, что
вексель подлежит оплате по предъявлении. Требование платить по такому
векселю действительно в течение года с момента выставления векселя.
Вексель, в котором не указаны даты составления и платежа одновременно,
является недействительным.
Наименование получателя платежа. В векселе обязательно должно
содержаться полное наименование получателя платежа — ремитента.
Обычно запись в векселе имеет следующий вид: «Платите...(наименование
ремитента) или его приказу». Вексель не может быть выставлен
на предъявителя. Ремитентом в переводном векселе может выступать
и сам векселедатель. В этом случае в векселе будет следующая оговорка:
«Уплатить в мою пользу или моему приказу» либо другая равнозначная
по смыслу.
Место платежа. В силу того что по переводному векселю не должник
приходит с платежом к кредитору, а сам кредитор приходит к должнику,
данный реквизит является одним из самых важных в векселе. Местом
платежа обычно является местонахождение плательщика, если иное не оговорено
в векселе. В случае отсутствия в реквизитах векселя места платежа
местом платежа будет считаться местонахождение плательщика. При отсутствии
в реквизитах векселя места платежа и местонахождения плательщика
вексель считается недействительным. Вексель также считается недействительным,
если в нем указано несколько мест платежа.
Указание места и даты составления векселя. Местонахождение
векселедателя и место составления векселя могут не совпадать. Переводной
вексель, в котором не указано место его составления, признается
выписанным в месте, обозначенном рядом с наименованием векселедателя.
Если в векселе отсутствует место составления и местонахождение
трассанта, то он будет считаться недействительным. Место
составления векселя должно быть четко указано. Недопустимо указывать
неконкретные географические пункты, например Российская Федерация,
Красноярский край.
В случае если в векселе будет указано место, не имеющее никакого
отношения к действительному месту составления векселя, вексель будет
считаться недействительным.
Дата составления векселя должна быть обязательно указана, поскольку
она имеет большое значение для исчисления срока платежа по векселю
и периода вексельного обязательства. Векселя с заведомо нереальными
датами будут считаться недействительными.
Подпись векселедателя. Подпись трассанта обычно находится после
его полного наименования и местонахождения в правом нижнем углу
векселя и производится только рукописным путем. Без подписи вексель
считается недействительным. В российской практике в случае если вексель
выписывается юридическим лицом, необходимо наличие печати
предприятия и двух подписей — директора и главного бухгалтера. В
случае когда на векселе имеются поддельные подписи, подписи несуществующих лиц, подписи других лиц остаются действительными и вексель
также является действительным. Подписи лиц, не полномочных к
подписанию векселя, также являются действительными, и все обязательства,
вытекающие из векселя, будут отнесены непосредственно к лицам,
подписавшим вексель. В случае исполнения обязательств по векселю
вышеуказанными лицами последние приобретают все права требования
по отношению ко всем обязанным по векселю лицам.
К обязательным реквизитам простого векселя относятся:
Наименование «вексель», включенное в текст и выраженное на
том языке, на котором этот документ составлен.
Простое и ничем не обусловленное обязательство оплатить определенную
сумму.
Указание срока платежа.
Указание места платежа.
Наименование получателя платежа, которому или приказу которого
он должен быть совершен.
Указание места и даты составления векселя.
Подпись векселедателя, т.е. того, кто выдает вексель.
Как и в переводном векселе, просгой вексель допускает, что если не
указан срок платежа, то вексель подлежит оплате по предъявлении; место
составления векселя может рассма1риваться как место платежа и
место жительства векселедателя; если не указано место составления векселя,
то им считается место, обозначенное рядом с наименованием векселедателя.
до этого имел место процесс его производства, а после обращения наступит время использования товара, для ценной бумаги в сфере обращения сосредоточены все этапы ее жизни — «рождение, жизнь и смерть», которые в совокупности составляют ее кругооборот. Последний распадается на три стадии: выпуск, т.е. обмен ссудного капитала на титул; собственно обращение как переход права собственности на
нее от одного владельца к другому; гашение, или изъятие, титула из обращения, или его обратный обмен на действительный капитал
(рис. 3).

Рис. Кругооборот ценной бумаги
Перечисленные стадии кругооборота ценной бумаги имеют свои
особенности: в первой и третьей стадиях ценная бумага пребывает
только однажды, а во второй стадии, в обращении, проходит большая
часть ее жизни. Если ценная бумага, приносящая доход, по каким-либо
причинам не обращается, не переходит из рук в руки, то она по экономической
форме превращается в обычный депозит, по которому начисляется
установленный для него доход (процент). Однако следует
всегда помнить, что экономическая природа ценных бумаг и депозита
(например, банковского) различна. Депозит — это форма существования
денежного, т.е. действительного, капитала, а ценная бумага может
быть только представителем (титулом) последнего. Депозит в своей
непосредственной форме обращаться не может, а ценная бумага может
свободно переходить от одного владельца к другому различными
рыночными способами.
Экономическое достоинство ценной бумаги состоит в том, что она
может постоянно обращаться, в отличие от действительного капитала,
для которого процесс обращения — лишь одна из стадий его кругооборота,
и чем она короче, тем при прочих равных условиях лучше, гак как
больший доход может быть создан тем же размером действительного
капитала в единицу времени. В форме ценной бумаги действительный
капитал получает форму вечного обращения, так как сам он должен
«трудиться», производить материальный доход (прибавочную стоимость)
для всего общества, а обращается по преимуществу его «заместитель
» -- фиктивный капитал.
Обращение ценной бумаги имеет обратное влияние на нее. Если речь
идет о ценных бумагах, которые не являются доходными, т.е. не есть
представители капитала для их владельцев, то обращение может придать
им статус капитала, например, если они перепродаются. Если вести
речь о ценных бумагах, которые по своему статусу приносят доход
их владельцу, то в ходе обращения последний может получить дополнительный доход.
Поскольку ценная бумага — это особый род капитала, то и ее рынком
является особый рынок — рынок ценных бумаг, на котором титулы
капитала (т.е. соответствующие права) обращаются как обычные право (на доход), а меновой стоимостью — фиктивная стоимость (капитализированный
доход). Рынок ценных бумаг — это не совсем то же
самое, что рынок товаров или денег. Рынок ценных бумаг — это экономические
отношения но поводу их кругооборота, или экономические
отношения, возникающие в связи с их кругооборотом, а стадии кругооборота
- это составные часги указанного рынка.
ОБЯЗАТЕЛЬНЫЕ РЕКВИЗИТЫ ВЕКСЕЛЯ
Переводной вексель содержит следующие реквизиты:• вексельные метки;
• вексельная сумма;
• наименование и адрес плательщика;
• срок платежа;
• наименование получателя платежа;
• место платежа;
• указание места и даты составления;
• подпись векселедателя.
Теперь мы рассмотрим эти реквизиты подробнее.
Вексельные метки. В тексте документа, являющегося векселем, обязательно
должно быть указано, что данный документ есть вексель и все
обязательства, вытекающие из документа, имеют вексельный характер.
Например, «...уплатить по данному векселю...», «...местом платежа
по векселю является...».
Вексельная сумма. Вексельная сумма обычно указывается и цифрами,
и прописью. В случае расхождения в сумме, написанной цифрами,
и сумме, написанной прописью, вексель считается выписанным на сумму,
написанную прописью. Если в векселе имеется несколько сумм, то
вексель считается выписанным на меньшую. Не допускается разбивка
суммы векселя по срокам, т.е. поэтапная оплата векселя. Вексель — это
абстрактное обязательство оплатить определенную сумму денег.
Наименование и адрес плательщика. В случае если плательщиком
является юридическое лицо, обязательно должны быть указаны юридический
адрес плательщика, его полное наименование. Когда плательщиком
выступает физическое лицо, указываются фамилия, имя, отчество
и место жительства этого лица.
Срок платежа. Существуют определенные вексельным законодательством
сроки платежа:
а) «По предъявлении». Платеж по векселю с таким сроком производится
по предъявлении векселя. Он должен быть предъявлен к платежу в
течение одного года со дня его составления. В векселе с таким сроком
платежа векселедатель может оговорить сроки предъявления к оплате.
Например, «... по предъявлении, но не ранее 1 февраля .... года». При
просрочке этого периода вексель теряет свою вексельную силу.
б) «Во столько-то времени от предъявления». Данный срок платежа
определяет обязательство оплатить вексель через определенный период
времени после факта предъявления векселя. Факт предъявления векселя
к оплате фиксируется отметкой на лицевой стороне векселя, что фактически
является согласием на оплату или днем опротестования векселя в
акцепте.
в) «Во столько-то времени от составления». Такой срок платежа по
векселю может быть установлен таким образом: на один или несколько
месяцев от составления, и тогда он наступает в соответствующий день
того месяца, в котором платеж должен быть произведен.
г) «На определенный день».
В случае когда срок платежа в векселе не указан, считается, что
вексель подлежит оплате по предъявлении. Требование платить по такому
векселю действительно в течение года с момента выставления векселя.
Вексель, в котором не указаны даты составления и платежа одновременно,
является недействительным.
Наименование получателя платежа. В векселе обязательно должно
содержаться полное наименование получателя платежа — ремитента.
Обычно запись в векселе имеет следующий вид: «Платите...(наименование
ремитента) или его приказу». Вексель не может быть выставлен
на предъявителя. Ремитентом в переводном векселе может выступать
и сам векселедатель. В этом случае в векселе будет следующая оговорка:
«Уплатить в мою пользу или моему приказу» либо другая равнозначная
по смыслу.
Место платежа. В силу того что по переводному векселю не должник
приходит с платежом к кредитору, а сам кредитор приходит к должнику,
данный реквизит является одним из самых важных в векселе. Местом
платежа обычно является местонахождение плательщика, если иное не оговорено
в векселе. В случае отсутствия в реквизитах векселя места платежа
местом платежа будет считаться местонахождение плательщика. При отсутствии
в реквизитах векселя места платежа и местонахождения плательщика
вексель считается недействительным. Вексель также считается недействительным,
если в нем указано несколько мест платежа.
Указание места и даты составления векселя. Местонахождение
векселедателя и место составления векселя могут не совпадать. Переводной
вексель, в котором не указано место его составления, признается
выписанным в месте, обозначенном рядом с наименованием векселедателя.
Если в векселе отсутствует место составления и местонахождение
трассанта, то он будет считаться недействительным. Место
составления векселя должно быть четко указано. Недопустимо указывать
неконкретные географические пункты, например Российская Федерация,
Красноярский край.
В случае если в векселе будет указано место, не имеющее никакого
отношения к действительному месту составления векселя, вексель будет
считаться недействительным.
Дата составления векселя должна быть обязательно указана, поскольку
она имеет большое значение для исчисления срока платежа по векселю
и периода вексельного обязательства. Векселя с заведомо нереальными
датами будут считаться недействительными.
Подпись векселедателя. Подпись трассанта обычно находится после
его полного наименования и местонахождения в правом нижнем углу
векселя и производится только рукописным путем. Без подписи вексель
считается недействительным. В российской практике в случае если вексель
выписывается юридическим лицом, необходимо наличие печати
предприятия и двух подписей — директора и главного бухгалтера. В
случае когда на векселе имеются поддельные подписи, подписи несуществующих лиц, подписи других лиц остаются действительными и вексель
также является действительным. Подписи лиц, не полномочных к
подписанию векселя, также являются действительными, и все обязательства,
вытекающие из векселя, будут отнесены непосредственно к лицам,
подписавшим вексель. В случае исполнения обязательств по векселю
вышеуказанными лицами последние приобретают все права требования
по отношению ко всем обязанным по векселю лицам.
К обязательным реквизитам простого векселя относятся:
Наименование «вексель», включенное в текст и выраженное на
том языке, на котором этот документ составлен.
Простое и ничем не обусловленное обязательство оплатить определенную
сумму.
Указание срока платежа.
Указание места платежа.
Наименование получателя платежа, которому или приказу которого
он должен быть совершен.
Указание места и даты составления векселя.
Подпись векселедателя, т.е. того, кто выдает вексель.
Как и в переводном векселе, просгой вексель допускает, что если не
указан срок платежа, то вексель подлежит оплате по предъявлении; место
составления векселя может рассма1риваться как место платежа и
место жительства векселедателя; если не указано место составления векселя,
то им считается место, обозначенное рядом с наименованием векселедателя.
Понятия, ИСПОЛЬЗУЕМЫЕ ПРИ ВЕКСЕЛЬНОМ Обращении
Глава 1 Глава 2 Глава 3
АКЦЕПТ ПЕРЕВОДНОГО ВЕКСЕЛЯ
Акцепт переводного векселя (тратты) ~ согласие оплатить
по векселю в пользу векселедержателя, предъявившего его к оплате.
Лицо, совершившее акцепт, называется акцептантом. Акцепт отмечается
в левой части на лицевой стороне векселя и выражается словами
«Акцептован», «Заплачу» или другими словами, равнозначными
по смыслу, с обязательным проставлением подписи, печати плательщика
и даты акцепта. Векселедержатель имеет право предъявить вексель
для акцепта плательщику по месту жительства последнего в любое время,
начиная с даты выдачи векселя и заканчивая датой платежа. Вексель
может быть предъявлен к акцепту и акцептован даже после наступления
срока платежа, причем акцептант будет обязан по векселю так
же, как если бы он совершил акцепт до наступления срока платежа.
Акцепт следует рассматривать как сопоставление истинной задолженности
трассата перед трассантом тому обязательству, которое накладывает
на него переводной вексель.
Акцепт должен быть простым и ничем не обусловленным, однако
плательщик может ограничить его частью суммы. Все изменения, произведенные
акцептантом в содержании переводного векселя, равносильны
отказу в акцепте. Однако акцептант отвечает согласно содержанию
своего акцепта. Акцептант по переводному векселю обязан так же, как
векселедатель по простому векселю. Плательщик посредством акцепта
берет на себя безусловное обязательство оплатить переводной вексель
в срок, указанный в векселе. В случае неплатежа векселедержатель имеет
против акцептанта прямой иск, основанный на требовании по векселю.
В случае неакцепта тратты в день предъявления векселя векселедержателем
трассат может потребовать вторичного предъявления векселя,
но только на следующий день после первого предъявления. Ремитент
не обязан передавать трассату вексель, предъявленный к акцепту. Если
трассат поставил на переводном векселе подпись о своем акцепте и зачеркнул
ее до возвращения векселя, то будет считаться, что зачеркивание
было сделано до возвращения документа векселе держателю, и оно
будет означать отказ от акцепта. Однако если трассат письменно сообщил
о своем акцепте векселедержателю или кому-либо из подписавшихся
на векселе лиц, то он является обязанным перед ними согласно условиям
своего акцепта.
Обычно не акцептуются векселя со сроком платежа «по предъявлении
», при таких векселях акцепт и платеж могут совпадать по времени.
Аваль — вексельное поручительство, суть которого
заключается в том, что какое-то лицо берет на себя ответственность за
платеж по векселю одного или нескольких ответственных по векселю
лиц. Аваль не может быть дан за лицо, не ответственное по векселю
(например, за трассата, не акцептовавшего вексель).
Аваль делается на лицевой стороне векселя либо на аллонже (добавочном
листе к векселю) и обычно выражается словами «считать за
аваль» или другими равнозначными словами.
Лицо, выдающее аваль, называют авалистом. Авалист может ограничить
поручительство только частью суммы или определенным сроком.
Аваль может быть выдан за любое ответственное по векселю лицо,
поэтому авалист должен указать, за кого он дает поручительство. В
противном случае, если не указано лицо, за которое выдается аваль,
будет признано, что аваль выдан за векселедателя. Авалем считается и
простая подпись на лицевой стороне векселя, если только она не проставлена плательщиком или векселедателем. В данном случае будет
считаться, что аваль дан за векселедателя.
Авалистом может выступать любое лицо. Авалист и лицо, за которое
он поручается, несут солидарную ответственность за платеж по
векселю. В случае если лицо, за которое было дано поручительство, не
в состоянии оплатить вексель, обязанность платить по векселю возлагается
на авалиста. После оплаты векселя авалист приобретает право
требования уплаты вексельной суммы к тому, за кого он дал поручительство,
а также ко всем обязанным перед этим лицам, т.е. ко всем
предыдущим индоссантам, если они имеются, векселедателю и акцептанту.
Исходя из положения вексельного права, следует подчеркнуть,
что аваль, как и сам вексель, является абстрактным обязательством.
Наиболее часто в практике авалистами выступают банки, дающие
поручительство за лиц, финансовое положение которых находится под
их контролем. Нетрудно заметить зависимость между уровнем кредитоспособности
авалиста и ликвидностью авалированного векселя — чем
крупнее и надежнее поручитель, тем большей ликвидностью обладает
авалированный вексель.
стороне векселя. Индоссамент фиксирует переход права требования
по векселю от одного лица к другому. Обычно индоссамент имеет
форму «Платите приказу...» или «Уплатите в пользу...».
При индоссаменте указывается полное наименование лица, в пользу
которого передается вексель. Такое лицо называют индоссатом, а лицо,
передающее вексель,— индоссантом.
Индоссамент должен быть простым и ничем не обусловленным. Не
допускается передача части суммы векселя, т.е. частичный индоссамент.
Индоссамент должен быть собственноручно подписан индоссантом, а
если индоссант — юридическое лицо, требуется наличие печати рядом с
подписью первого лица. Индоссамент должен быть обязательно датирован.
Индоссант отвечает за акцепт и платеж по переводному векселю и
платеж по простому векселю. Однако он может и снять с себя ответственность
за акцепт и платеж, если делает оговорку «без оборота на
меня». В этом случае он исключается из цепочки обязанных по векселю
лиц. Очевидно, что такая оговорка значительно снизит ликвидность векселя.
Векселедержатель может исключить возможность дальнейшего
индоссирования векселя, включая в текст векселя слова «не приказу». В
этом случае вексель может быть передан только посредством цессии.
Индоссаменты могут быть следующих видов:
Именной индоссамент содержит наименование индоссата, подпись
и печать индоссанта. Такой индоссамент фиксирует переход права собственности
на вексель от одного лица к другому.
Бланковый индоссамент отличается от именного тем, что в нем не
содержится наименования индоссата, и фактически вексель с таким индоссаментом
является предъявительским. Индоссат имеет возможность самостоятельно
вписать наименование нового векселедержателя или передать
вексель, не делая больше никаких записей. Бланковый индоссамент становится
именным после вписания в текст индоссамента наименования векселедержателя,
обычно это делается при наступлении срока платежа.
Инкассовый индоссамент — это передаточная надпись в пользу
какого- то банка, уполномочивающая последний получить платеж по
векселю. Такой индоссамент имеет вид «на инкассо» и дает банку
право предъявить вексель к акцепту или платежу, а в случае неакцепта
или неплатежа - к протесту. Обычно инкассовые операции банка
оформляются отдельным договором и оплачиваются клиентом. Дальнейшие
индоссаменты могут быть на таком векселе только пере поручительного
характера, т.е. не дающие права собственности на вексель.
Залоговый индоссамент делается в том случае, когда векселедержатель
передает кредитору вексель в залог выданного кредита. Обычно
такой вексель сопровождается оговоркой «валюта в залог» либо другой
равнозначной фразой. Залоговый индоссамент не дает права собственности
на вексель индоссанту. Причем все дальнейшие индоссаменты, как
и в случае с инкассовым, могут иметь только пре поручительный характер.
Индоссамент может быть совершен в любое время после составления
векселя, даже после срока платежа, и он будет иметь ту же силу, как если
бы он был совершен до срока платежа. Однако индоссамент, совершенный
после протеста векселя, не может считаться индоссаментом и имеет
силу цессии. Соответственно в таком случае индоссант не может нести
ответственность за платеж по векселю. Дата совершения индоссамента
имеет большое значение, поскольку недатированный индоссамент автоматически
считается совершенным до протеста, если не будет доказано
иное.
Виды индоссаментов могут быть представлены следующей таблицей (табл. 2).


Акцепт переводного векселя (тратты) ~ согласие оплатить
по векселю в пользу векселедержателя, предъявившего его к оплате.
Лицо, совершившее акцепт, называется акцептантом. Акцепт отмечается
в левой части на лицевой стороне векселя и выражается словами
«Акцептован», «Заплачу» или другими словами, равнозначными
по смыслу, с обязательным проставлением подписи, печати плательщика
и даты акцепта. Векселедержатель имеет право предъявить вексель
для акцепта плательщику по месту жительства последнего в любое время,
начиная с даты выдачи векселя и заканчивая датой платежа. Вексель
может быть предъявлен к акцепту и акцептован даже после наступления
срока платежа, причем акцептант будет обязан по векселю так
же, как если бы он совершил акцепт до наступления срока платежа.
Акцепт следует рассматривать как сопоставление истинной задолженности
трассата перед трассантом тому обязательству, которое накладывает
на него переводной вексель.
Акцепт должен быть простым и ничем не обусловленным, однако
плательщик может ограничить его частью суммы. Все изменения, произведенные
акцептантом в содержании переводного векселя, равносильны
отказу в акцепте. Однако акцептант отвечает согласно содержанию
своего акцепта. Акцептант по переводному векселю обязан так же, как
векселедатель по простому векселю. Плательщик посредством акцепта
берет на себя безусловное обязательство оплатить переводной вексель
в срок, указанный в векселе. В случае неплатежа векселедержатель имеет
против акцептанта прямой иск, основанный на требовании по векселю.
В случае неакцепта тратты в день предъявления векселя векселедержателем
трассат может потребовать вторичного предъявления векселя,
но только на следующий день после первого предъявления. Ремитент
не обязан передавать трассату вексель, предъявленный к акцепту. Если
трассат поставил на переводном векселе подпись о своем акцепте и зачеркнул
ее до возвращения векселя, то будет считаться, что зачеркивание
было сделано до возвращения документа векселе держателю, и оно
будет означать отказ от акцепта. Однако если трассат письменно сообщил
о своем акцепте векселедержателю или кому-либо из подписавшихся
на векселе лиц, то он является обязанным перед ними согласно условиям
своего акцепта.
Обычно не акцептуются векселя со сроком платежа «по предъявлении
», при таких векселях акцепт и платеж могут совпадать по времени.
Аваль — вексельное поручительство, суть которого
заключается в том, что какое-то лицо берет на себя ответственность за
платеж по векселю одного или нескольких ответственных по векселю
лиц. Аваль не может быть дан за лицо, не ответственное по векселю
(например, за трассата, не акцептовавшего вексель).
Аваль делается на лицевой стороне векселя либо на аллонже (добавочном
листе к векселю) и обычно выражается словами «считать за
аваль» или другими равнозначными словами.
Лицо, выдающее аваль, называют авалистом. Авалист может ограничить
поручительство только частью суммы или определенным сроком.
Аваль может быть выдан за любое ответственное по векселю лицо,
поэтому авалист должен указать, за кого он дает поручительство. В
противном случае, если не указано лицо, за которое выдается аваль,
будет признано, что аваль выдан за векселедателя. Авалем считается и
простая подпись на лицевой стороне векселя, если только она не проставлена плательщиком или векселедателем. В данном случае будет
считаться, что аваль дан за векселедателя.
Авалистом может выступать любое лицо. Авалист и лицо, за которое
он поручается, несут солидарную ответственность за платеж по
векселю. В случае если лицо, за которое было дано поручительство, не
в состоянии оплатить вексель, обязанность платить по векселю возлагается
на авалиста. После оплаты векселя авалист приобретает право
требования уплаты вексельной суммы к тому, за кого он дал поручительство,
а также ко всем обязанным перед этим лицам, т.е. ко всем
предыдущим индоссантам, если они имеются, векселедателю и акцептанту.
Исходя из положения вексельного права, следует подчеркнуть,
что аваль, как и сам вексель, является абстрактным обязательством.
Наиболее часто в практике авалистами выступают банки, дающие
поручительство за лиц, финансовое положение которых находится под
их контролем. Нетрудно заметить зависимость между уровнем кредитоспособности
авалиста и ликвидностью авалированного векселя — чем
крупнее и надежнее поручитель, тем большей ликвидностью обладает
авалированный вексель.
ИНДОССАМЕНТ
Индоссамент — это передаточная надпись на оборотнойстороне векселя. Индоссамент фиксирует переход права требования
по векселю от одного лица к другому. Обычно индоссамент имеет
форму «Платите приказу...» или «Уплатите в пользу...».
При индоссаменте указывается полное наименование лица, в пользу
которого передается вексель. Такое лицо называют индоссатом, а лицо,
передающее вексель,— индоссантом.
Индоссамент должен быть простым и ничем не обусловленным. Не
допускается передача части суммы векселя, т.е. частичный индоссамент.
Индоссамент должен быть собственноручно подписан индоссантом, а
если индоссант — юридическое лицо, требуется наличие печати рядом с
подписью первого лица. Индоссамент должен быть обязательно датирован.
Индоссант отвечает за акцепт и платеж по переводному векселю и
платеж по простому векселю. Однако он может и снять с себя ответственность
за акцепт и платеж, если делает оговорку «без оборота на
меня». В этом случае он исключается из цепочки обязанных по векселю
лиц. Очевидно, что такая оговорка значительно снизит ликвидность векселя.
Векселедержатель может исключить возможность дальнейшего
индоссирования векселя, включая в текст векселя слова «не приказу». В
этом случае вексель может быть передан только посредством цессии.
Индоссаменты могут быть следующих видов:
Именной индоссамент содержит наименование индоссата, подпись
и печать индоссанта. Такой индоссамент фиксирует переход права собственности
на вексель от одного лица к другому.
Бланковый индоссамент отличается от именного тем, что в нем не
содержится наименования индоссата, и фактически вексель с таким индоссаментом
является предъявительским. Индоссат имеет возможность самостоятельно
вписать наименование нового векселедержателя или передать
вексель, не делая больше никаких записей. Бланковый индоссамент становится
именным после вписания в текст индоссамента наименования векселедержателя,
обычно это делается при наступлении срока платежа.
Инкассовый индоссамент — это передаточная надпись в пользу
какого- то банка, уполномочивающая последний получить платеж по
векселю. Такой индоссамент имеет вид «на инкассо» и дает банку
право предъявить вексель к акцепту или платежу, а в случае неакцепта
или неплатежа - к протесту. Обычно инкассовые операции банка
оформляются отдельным договором и оплачиваются клиентом. Дальнейшие
индоссаменты могут быть на таком векселе только пере поручительного
характера, т.е. не дающие права собственности на вексель.
Залоговый индоссамент делается в том случае, когда векселедержатель
передает кредитору вексель в залог выданного кредита. Обычно
такой вексель сопровождается оговоркой «валюта в залог» либо другой
равнозначной фразой. Залоговый индоссамент не дает права собственности
на вексель индоссанту. Причем все дальнейшие индоссаменты, как
и в случае с инкассовым, могут иметь только пре поручительный характер.
Индоссамент может быть совершен в любое время после составления
векселя, даже после срока платежа, и он будет иметь ту же силу, как если
бы он был совершен до срока платежа. Однако индоссамент, совершенный
после протеста векселя, не может считаться индоссаментом и имеет
силу цессии. Соответственно в таком случае индоссант не может нести
ответственность за платеж по векселю. Дата совершения индоссамента
имеет большое значение, поскольку недатированный индоссамент автоматически
считается совершенным до протеста, если не будет доказано
иное.
Виды индоссаментов могут быть представлены следующей таблицей (табл. 2).


УЧЕТ ВЕКСЕЛЕЙ
Глава 1 Глава 2 Глава 3
Учет векселей представляет собой оплату банком несобственного
векселя до наступления срока платежа, т.е. векселедержатель
передает (продает) вексель банку по индоссаменту до наступления
срока платежа и получает за это вексельную сумму за вычетом (за
досрочное получение) определенного процента от этой суммы, так называемого
учетного процента, или дисконта. Каждый банк, учитывая
векселя, устанавливает размер учетного процента избирательно в зависимости
от векселедержателя, представившего вексель к учету. Размер
дисконта теоретически можно рассчитать по следующей формуле:

Заинтересованность банков в этой операции объясняется тем, что
они:
• расширяют круг обслуживаемых клиентов;
• имеют возможность получить дополнительный доход в виде учетного
процента (дисконта).
При учете векселей банки должны выработать как процедуру учета,
так и определить требования, предъявляемые к векселедержателям и
учитываемым векселям.
Процедура платежа по векселю строго стандартизирована
и состоит из следующих правил.
Вексель предъявляется к оплате в месте нахождения плательщика,
если в векселе }ie указано иное место.
Плательщик должен осуществить платеж немедленно по предъявлении
векселя, если предъявление последнего своевременно. Отсрочка
платежа по векселю допускается только в случае возникновения обстоятельств
непреодолимой силы.
При исчислении срока погашения векселя не следует учитывать день,
в который он выписан. В случае когда день погашения приходится на нерабочий
день, вексель должен быть погашен в ближайший рабочий день.
Предъявление векселя к оплате до срока его погашения не обязывает
должника платить по нему, равно как и не может быть удовлетворено
требование должника к векселедержателю принять платеж до срока
погашения векселя.
Должник может оплатить в день погашения векселя только часть
суммы, а векселедержатель не имеет права не принять платеж. В данном
случае на лицевой стороне векселя делается отметка о погашении
части вексельной суммы. Векселедержатель имеет право опротестовать
неоплаченную сумму и предъявить иск к любому из всех обязанных по
векселю лиц в размере неоплаченной суммы.
Как уже отмечалось выше, отсрочка платежа по векселю невозможна,
однако в практике возникают такие обстоятельства, когда необходимо
продлить срок платежа. Это можно сделать посредством надписания
на лицевой стороне векселя оговорки «срок платежа продлен до....»
либо другой равнозначной по смыслу. При этом для того чтобы новая
надпись имела силу, необходимы подписи всех обязанных по векселю
лиц. В случае если кто-либо из этих лиц не согласен с новым сроком
платежа, данное лицо перестает нести ответственность после истечения
старого срока платежа.
Существует еще один способ отсрочки платежа по векселю: путем
выставления нового векселя с датой платежа, увеличенной на период
отсрочки платежа. Обычно первый вексель возвращается плательщику
после акцепта им нового векселя.
Вексель может быть не принят к платежу или к акцепту в следующих
условиях:
1) по указанному адресу невозможно отыскать плательщика;
2) смерть плательщика;
3) несостоятельность плательщика;
4) в векселе указано «не акцептован» или «не принят»;
5) запись об акцепте окажется зачеркнутой.
Домициляция векселей — назначение плательщиком какого-
то третьего лица. Обычно такую функцию выполняет банк. Он
заключает с должником по векселю договор о домициляции векселей
последнего, взимая за эту услугу комиссионный процент. В задачу банка
входят: оплата векселей клиента, соблюдение процедуры предъявления
векселей к оплате. Банк производит платеж по векселям клиента,
предъявленным к оплате, только в случае заблаговременного предоставления
последним достаточной суммы денежных средств для погашения векселей. В противном случае банк отказывает предъявителям в
платеже. Внешним признаком домицилированного векселя являются слова
в тексте векселя «платеж в банке ...» или другие равнозначные по смыслу.
формализован. Суть данной процедуры заключается в том, что это
есть официально удостоверенное требование платежа или акцепта и его
неполучение. В случае если векселедержатель надлежащим образом не
опротестует вексель в неакцепте или в неплатеже, вексель потеряет вексельную
силу.
При потере векселем такого качества право требования долга будет
носить уже условный характер, т.е. вексель будет иметь статус всего
лишь долговой расписки.
Например, предприятие ненадлежащим образом опротестовало вексель
в неплатеже, т.е. нарушило одно или несколько условий протеста.
В данном случае предприятие, безусловно, имеет право обратиться в
арбитражный суд с исковым заявлением против должника, однако решение
суда будет принято исходя из условий основной сделки, а отнюдь
не вексельного права.
Это означает, что если векселедержатель полностью либо частично
не исполнил своих обязательств по основной сделке, то не исключено,
что иск не будет удовлетворен и должник не заплатит по векселю. Если
же вексель опротестовывается надлежащим образом, то должник в соответствии
с вексельным законодательством обязан совершить платеж
независимо от наличия нарушений условий основной сделки.
Теперь мы рассмотрим саму процедуру протеста векселя. Векселедержатель
или его уполномоченное лицо должны предъявить неоплаченный
вексель в нотариальную контору по месту нахождения плательщика
или, если это домицилированные векселя, по месту нахождения домицилянта,
а для совершения протеста векселей в неакцепте — по месту
нахождения должника (трассата).
Вексель должен быть предъявлен в нотариальную контору для совершения
протеста в неплатеже на следующий день после истечения даты
платежа по векселю, но не позже 12 ч следующего после этого срока
дня. Для совершения протеста в неакцепте вексель должен быть предъявлен
в нотариальную контору в течение срока, установленного для
предъявления векселя к акцепту, а если вексель был предъявлен к акцепту
в последний день срока — не позднее 12 ч следующего после этого
срока дня.
Нотариальная контора в день принятия векселя к протесту предъявляет
должнику или домицилянту требование о платеже или акцепте векселя.
Если после этого последует платеж, нотариальная контора, не производя
протеста, возвращает вексель должнику или домицилянту с надписью
о получении платежа. Если должник сделал отметку об акцепте
на переводном векселе, вексель возвращается векселедержателю без
протеста.
Если на требование произвести акцепт или платеж векселя плательщик
либо домицилянт отвечает отказом, нотариусом составляется акт
о протесте в неакцепте или в неплатеже, одновременно он делает соответствующую
запись в реестре, а также отметку в неплатеже или в неакцепте
на самом векселе. При невозможности установить место нахождения
должника протест векселя совершается без предъявления требования
о платеже или акцепте.
При надлежащем совершении протеста наступают следующие последствия.
Органы суда вправе выдавать судебные решения по искам, основанным
на опротестованных векселях.
Наступает ответственность: по простому векселю — надписателей,
а в переводном — надписателей и трассанта. Все эти лица являются
солидарно ответственными перед векселедержателем. Последний
вправе предъявить иск ко всем обязанным по векселю лицам или к одному
из них, не считаясь с порядком подписей этих лиц на векселях.
Векселедержатель вправе требовать с обязанных по векселю лиц
большую сумму, чем указано в векселе, ввиду понесенных издержек,
вызванных совершением протеста и неполучением платежа по нему.
В случае истечения сроков, установленных для совершения протеста
в неакцепте или неплатеже, векселедержатель теряет свои права против
индоссантов, векселедателя и других обязанных лиц, за исключением
акцептанта. При своевременном совершении протеста векселедержатель
имеет право взыскания причитающейся ему суммы в судебном
порядке в течение определенного срока, называемого вексельной давностью.
Поскольку ответственность каждого из участников вексельного обращения
имеет разные уровни, сроки вексельной давности для каждого
из них также различны. Так, для предъявления иска векселедержателем
к акцептанту переводного векселя установлен трехлетний срок, а векселедателю
простого векселя — один год со дня протеста, совершенного
в установленный срок, или со дня срока платежа, в случае оговорки
«об обороте без издержек». Последнее имеет силу и в отношении индоссантов.
Для исковых требований индоссантов друг к другу и к векселедателю
установлена исковая давность — 6 месяцев со дня, в который
индоссант оплатил вексель, или со дня предъявления к нему иска.
ОСНОВНЫЕ ОПРЕДЕЛЕНИЯ И ПОНЯТИЯ
Вексель -- не эмиссионная ценная бумага, закрепляющая за ее держателем
право на получение вексельной суммы в указанное время и в
указанном месте.
Простой вексель (соло) — письменный документ, содержащий простое
и ничем не обусловленное обязательство векселедателя (должника)
уплатить определенную сумму денег в установленный срок и в конкретном
месте векселедержателю или его приказу.
Переводной вексель (тратта) — письменный документ, содержащий
безусловный приказ векселедателя плательщику уплатить определенную
сумму денег в установленный срок и в конкретном месте получателю
или его приказу.
Акцепт — согласие плательщика оплатить по векселю в пользу векселедержателя.
Индоссамент — передаточная надпись на оборотной стороне векселя
или дополнительном листе (аллонже), фиксирующая переход права
требования по векселю от одного лица к другому.
Аваль — вексельное поручительство, суть которою заключается в
том, что какое-то лицо берет на себя ответственность за платеж по векселю
одного или нескольких ответственных по векселю лиц.
Аваль не может быть дан за лицо, не ответственное по векселю (например, за трассата, не акцептовавшего вексель).
Домициляция векселей — назначение плательщиком какого-то третьего
лица.
Протест векселя есть официально удостоверенное требование платежа
шт акцепта и его неполучение.
Гашение векселя — платеж по векселю в установленный срок платежа.
Учет векселей — оплата несобственных векселей банком до наступления
срока платежа.
ГЛАВНЫЕ ВЫВОДЫ
Вексель является разновидностью долговых ценных бумаг, отличительными
характеристиками которого являются абстрактность, безусловность,
солидарная ответственность всех лиц, обязанных по векселю.
Он может существовать только в документарной форме, и предметом
вексельного обязательства выступают только деньги. Вексель
относят к строго формальным документам, т.е. он должен содержать
установленные законом реквизиты. Основные функции векселя заключаются
в том, что он выступает средством расчета, и с его помощью
можно оформить или получить кредит. Вексель находит широкое
распространение в хозяйственном обороте.
векселя до наступления срока платежа, т.е. векселедержатель
передает (продает) вексель банку по индоссаменту до наступления
срока платежа и получает за это вексельную сумму за вычетом (за
досрочное получение) определенного процента от этой суммы, так называемого
учетного процента, или дисконта. Каждый банк, учитывая
векселя, устанавливает размер учетного процента избирательно в зависимости
от векселедержателя, представившего вексель к учету. Размер
дисконта теоретически можно рассчитать по следующей формуле:

Заинтересованность банков в этой операции объясняется тем, что
они:
• расширяют круг обслуживаемых клиентов;
• имеют возможность получить дополнительный доход в виде учетного
процента (дисконта).
При учете векселей банки должны выработать как процедуру учета,
так и определить требования, предъявляемые к векселедержателям и
учитываемым векселям.
Процедура платежа по векселю строго стандартизирована
и состоит из следующих правил.
Вексель предъявляется к оплате в месте нахождения плательщика,
если в векселе }ie указано иное место.
Плательщик должен осуществить платеж немедленно по предъявлении
векселя, если предъявление последнего своевременно. Отсрочка
платежа по векселю допускается только в случае возникновения обстоятельств
непреодолимой силы.
При исчислении срока погашения векселя не следует учитывать день,
в который он выписан. В случае когда день погашения приходится на нерабочий
день, вексель должен быть погашен в ближайший рабочий день.
Предъявление векселя к оплате до срока его погашения не обязывает
должника платить по нему, равно как и не может быть удовлетворено
требование должника к векселедержателю принять платеж до срока
погашения векселя.
Должник может оплатить в день погашения векселя только часть
суммы, а векселедержатель не имеет права не принять платеж. В данном
случае на лицевой стороне векселя делается отметка о погашении
части вексельной суммы. Векселедержатель имеет право опротестовать
неоплаченную сумму и предъявить иск к любому из всех обязанных по
векселю лиц в размере неоплаченной суммы.
Как уже отмечалось выше, отсрочка платежа по векселю невозможна,
однако в практике возникают такие обстоятельства, когда необходимо
продлить срок платежа. Это можно сделать посредством надписания
на лицевой стороне векселя оговорки «срок платежа продлен до....»
либо другой равнозначной по смыслу. При этом для того чтобы новая
надпись имела силу, необходимы подписи всех обязанных по векселю
лиц. В случае если кто-либо из этих лиц не согласен с новым сроком
платежа, данное лицо перестает нести ответственность после истечения
старого срока платежа.
Существует еще один способ отсрочки платежа по векселю: путем
выставления нового векселя с датой платежа, увеличенной на период
отсрочки платежа. Обычно первый вексель возвращается плательщику
после акцепта им нового векселя.
Вексель может быть не принят к платежу или к акцепту в следующих
условиях:
1) по указанному адресу невозможно отыскать плательщика;
2) смерть плательщика;
3) несостоятельность плательщика;
4) в векселе указано «не акцептован» или «не принят»;
5) запись об акцепте окажется зачеркнутой.
Домициляция векселей — назначение плательщиком какого-
то третьего лица. Обычно такую функцию выполняет банк. Он
заключает с должником по векселю договор о домициляции векселей
последнего, взимая за эту услугу комиссионный процент. В задачу банка
входят: оплата векселей клиента, соблюдение процедуры предъявления
векселей к оплате. Банк производит платеж по векселям клиента,
предъявленным к оплате, только в случае заблаговременного предоставления
последним достаточной суммы денежных средств для погашения векселей. В противном случае банк отказывает предъявителям в
платеже. Внешним признаком домицилированного векселя являются слова
в тексте векселя «платеж в банке ...» или другие равнозначные по смыслу.
ПРОТЕСТ ВЕКСЕЛЕЙ
Протест векселя, как и все действия с векселями, строгоформализован. Суть данной процедуры заключается в том, что это
есть официально удостоверенное требование платежа или акцепта и его
неполучение. В случае если векселедержатель надлежащим образом не
опротестует вексель в неакцепте или в неплатеже, вексель потеряет вексельную
силу.
При потере векселем такого качества право требования долга будет
носить уже условный характер, т.е. вексель будет иметь статус всего
лишь долговой расписки.
Например, предприятие ненадлежащим образом опротестовало вексель
в неплатеже, т.е. нарушило одно или несколько условий протеста.
В данном случае предприятие, безусловно, имеет право обратиться в
арбитражный суд с исковым заявлением против должника, однако решение
суда будет принято исходя из условий основной сделки, а отнюдь
не вексельного права.
Это означает, что если векселедержатель полностью либо частично
не исполнил своих обязательств по основной сделке, то не исключено,
что иск не будет удовлетворен и должник не заплатит по векселю. Если
же вексель опротестовывается надлежащим образом, то должник в соответствии
с вексельным законодательством обязан совершить платеж
независимо от наличия нарушений условий основной сделки.
Теперь мы рассмотрим саму процедуру протеста векселя. Векселедержатель
или его уполномоченное лицо должны предъявить неоплаченный
вексель в нотариальную контору по месту нахождения плательщика
или, если это домицилированные векселя, по месту нахождения домицилянта,
а для совершения протеста векселей в неакцепте — по месту
нахождения должника (трассата).
Вексель должен быть предъявлен в нотариальную контору для совершения
протеста в неплатеже на следующий день после истечения даты
платежа по векселю, но не позже 12 ч следующего после этого срока
дня. Для совершения протеста в неакцепте вексель должен быть предъявлен
в нотариальную контору в течение срока, установленного для
предъявления векселя к акцепту, а если вексель был предъявлен к акцепту
в последний день срока — не позднее 12 ч следующего после этого
срока дня.
Нотариальная контора в день принятия векселя к протесту предъявляет
должнику или домицилянту требование о платеже или акцепте векселя.
Если после этого последует платеж, нотариальная контора, не производя
протеста, возвращает вексель должнику или домицилянту с надписью
о получении платежа. Если должник сделал отметку об акцепте
на переводном векселе, вексель возвращается векселедержателю без
протеста.
Если на требование произвести акцепт или платеж векселя плательщик
либо домицилянт отвечает отказом, нотариусом составляется акт
о протесте в неакцепте или в неплатеже, одновременно он делает соответствующую
запись в реестре, а также отметку в неплатеже или в неакцепте
на самом векселе. При невозможности установить место нахождения
должника протест векселя совершается без предъявления требования
о платеже или акцепте.
При надлежащем совершении протеста наступают следующие последствия.
Органы суда вправе выдавать судебные решения по искам, основанным
на опротестованных векселях.
Наступает ответственность: по простому векселю — надписателей,
а в переводном — надписателей и трассанта. Все эти лица являются
солидарно ответственными перед векселедержателем. Последний
вправе предъявить иск ко всем обязанным по векселю лицам или к одному
из них, не считаясь с порядком подписей этих лиц на векселях.
Векселедержатель вправе требовать с обязанных по векселю лиц
большую сумму, чем указано в векселе, ввиду понесенных издержек,
вызванных совершением протеста и неполучением платежа по нему.
В случае истечения сроков, установленных для совершения протеста
в неакцепте или неплатеже, векселедержатель теряет свои права против
индоссантов, векселедателя и других обязанных лиц, за исключением
акцептанта. При своевременном совершении протеста векселедержатель
имеет право взыскания причитающейся ему суммы в судебном
порядке в течение определенного срока, называемого вексельной давностью.
Поскольку ответственность каждого из участников вексельного обращения
имеет разные уровни, сроки вексельной давности для каждого
из них также различны. Так, для предъявления иска векселедержателем
к акцептанту переводного векселя установлен трехлетний срок, а векселедателю
простого векселя — один год со дня протеста, совершенного
в установленный срок, или со дня срока платежа, в случае оговорки
«об обороте без издержек». Последнее имеет силу и в отношении индоссантов.
Для исковых требований индоссантов друг к другу и к векселедателю
установлена исковая давность — 6 месяцев со дня, в который
индоссант оплатил вексель, или со дня предъявления к нему иска.
ОСНОВНЫЕ ОПРЕДЕЛЕНИЯ И ПОНЯТИЯ
Вексель -- не эмиссионная ценная бумага, закрепляющая за ее держателем
право на получение вексельной суммы в указанное время и в
указанном месте.
Простой вексель (соло) — письменный документ, содержащий простое
и ничем не обусловленное обязательство векселедателя (должника)
уплатить определенную сумму денег в установленный срок и в конкретном
месте векселедержателю или его приказу.
Переводной вексель (тратта) — письменный документ, содержащий
безусловный приказ векселедателя плательщику уплатить определенную
сумму денег в установленный срок и в конкретном месте получателю
или его приказу.
Акцепт — согласие плательщика оплатить по векселю в пользу векселедержателя.
Индоссамент — передаточная надпись на оборотной стороне векселя
или дополнительном листе (аллонже), фиксирующая переход права
требования по векселю от одного лица к другому.
Аваль — вексельное поручительство, суть которою заключается в
том, что какое-то лицо берет на себя ответственность за платеж по векселю
одного или нескольких ответственных по векселю лиц.
Аваль не может быть дан за лицо, не ответственное по векселю (например, за трассата, не акцептовавшего вексель).
Домициляция векселей — назначение плательщиком какого-то третьего
лица.
Протест векселя есть официально удостоверенное требование платежа
шт акцепта и его неполучение.
Гашение векселя — платеж по векселю в установленный срок платежа.
Учет векселей — оплата несобственных векселей банком до наступления
срока платежа.
ГЛАВНЫЕ ВЫВОДЫ
Вексель является разновидностью долговых ценных бумаг, отличительными
характеристиками которого являются абстрактность, безусловность,
солидарная ответственность всех лиц, обязанных по векселю.
Он может существовать только в документарной форме, и предметом
вексельного обязательства выступают только деньги. Вексель
относят к строго формальным документам, т.е. он должен содержать
установленные законом реквизиты. Основные функции векселя заключаются
в том, что он выступает средством расчета, и с его помощью
можно оформить или получить кредит. Вексель находит широкое
распространение в хозяйственном обороте.