|



Инвестиции экспортных отраслей добывающей промышленности вызвали масштабный мультипликативный эффект в экономике, выразившийся в наращивании внутреннего инвестиционного спроса и росте хозяйственного оживления. Поскольку обновление производственного аппарата добывающих отраслей обеспечивается преимущественно за счет отечественного производства, а не экспорта, стартовые инвестиции дали мощный толчок для инвестиционного и экономического подъема отраслям смежных секторов по всей цепочке межотраслевых взаимодействий — в металлургии, машиностроении и т.д. (табл. 4.8).
Таблица 4.8. Рост инвестиций в нефтедобывающей отрасли и динамика производства в смежных секторах экономики (темпы изменения к соответствующему периоду предыдущего года), %, по крупным и средним предприятиям



Таблица 5.2. Структура инвестиций в основной капитал по источникам финансирования, % к итогу


Сбережения, под которыми в рыночной экономике понимается часть дохода, не используемая для потребления, являются источником инвестиционных ресурсов. Величина реальных ресурсов для сбережений, которыми располагает экономика на каждом конкретном этапе ее развития, в решающей степени зависит от того, какие приоритеты лежат в основе распределения произведенного продукта — текущее потребление или накопление.
В свою очередь изменение нормы сбережений существенно влияет на сдвиги в структуре общественного продукта. При уменьшении нормы сбережений происходит рост потребления и снижение уровня инвестиций, в результате чего выбытие капитала превышает инвестиции. Это вызывает нарушение равновесия в экономике. По мере уменьшения сбережений объемы производства, инвестиций и потребления также снижаются: происходит восстановление равновесия на ином технологическом уровне.
Увеличение нормы сбережения обусловливает другой сценарий экономического развития, характеризующийся падением уровня потребления и увеличением уровня инвестиций. Рост инвестиций через определенный временной лаг приводит к накоплению капитала в производстве, уровень накопления и уровень инвестиций повышаются до тех пор, пока не достигнут оптимального с позиции устойчивости экономики значения. При этом в результате роста сбережений обеспечивается более высокий уровень потребления.
Опыт развитых стран показывает, что те из них, которые при проведении структурной перестройки экономики направляли значительную часть созданного дохода общества на сбережения, канализируя их в инвестиции, достигали высокого уровня среднедушевого дохода. Обнаруживается достаточно тесная положительная зависимость между долей конечного продукта, используемого на инвестиции, и уровнем среднедушевого дохода.
Аналогичное воздействие на динамику инвестиций оказывает распределение доходов населения на сбережение и потребление. Известное положение Дж.М. Кейнса о росте сбережений по мере увеличения получаемого дохода не подтвердилось статистическими исследованиями в этой области.
Рост инвестиций достигается при повышении доли сбережений в получаемых доходах (рис. 2.3, б). Вместе с тем роль сбережений как инвестиционного ресурса во многом зависит от влияния таких факторов, как растущее предпочтение к наличности, развитие системы институциональных сбережений (страхование, социальное страхование), основная часть которых не поступает в распоряжение нуждающихся в капитале предприятий, увеличение значения государства, которое контролирует часть кредита.
Значительное воздействие на инвестиционный спрос оказывает ожидаемый темп инфляции (рис. 2.3, в). В наиболее общем смысле повышение темпов инфляции вызывает обесценение доходов, которые предполагается получить от инвестиций.
Кроме того, инфляция оказывает негативное влияние на объем инвестиций по целому ряду направлений:
через сдерживание движущих сил экономического роста в долгосрочном аспекте,
ограничение процессов накопления и расширения производства,
обесценение производственных фондов во всех функциональных формах,
инфляционное налогообложение прибыли,
перелив денежных средств из сферы производства в сферу обращения,
уменьшение реальных доходов и сбережений, снижение емкости внутреннего рынка и т.д.
Поэтому рост темпов инфляции, а также инфляционных ожиданий препятствует активизации инвестиционной деятельности.
В условиях развитой рыночной экономики формирование инвестиционного спроса связано с функционированием финансового рынка, опосредствующего движение инвестиционного капитала, а также доходов от вложенных активов. Аккумулируя сбережения отдельных инвесторов, финансово-кредитная система образует основной канал инвестиционного спроса. Особенно важную роль при этом играют банки, которые могут использовать не только сбережения, но и обращающиеся денежные средства, эмиссию. Конъюнктура фондового и кредитного рынка, определяя условия инвестиционных вложений, воздействует на объем и структуру инвестиций. Доходы от инвестирования, принимающие на финансовом рынке форму дивиденда и процента, воспроизводят потенциальный инвестиционный спрос, который может быть реализован путем реинвестирования.
Существенное влияние на динамику инвестиций оказывает процентная и налоговая политика государства. Регулирование процентных и налоговых ставок является важным рычагом государственного воздействия на инвестиционный спрос. Снижение налогов на прибыль при прочих равных условиях ведет к увеличению доли накоплений предприятий, направляемых на инвестирование.
Ставка ссудного процента определяет цену заемных средств для инвесторов. Повышение процентной ставки усиливает мотивацию к сбережениям и одновременно ограничивает инвестиции, делая их нерентабельными. При снижении ставки ссудного процента инвестирование оказывается более прибыльным, поэтому уменьшение ставки ссудного процента ведет к росту инвестиций и наоборот (рис. 2.3, г).
Однако снижение ставки процента как фактор активизации инвестиций имеет объективные пределы, поскольку на определенном этапе снижения процентной ставки возрастают предпочтения экономических агентов к хранению денег в более ликвидной наличной форме (теория ликвидности Дж.М. Кейнса) и увеличивается отвлечение средств в сферу спекуляций ценными бумагами. В связи с этим возникает проблема определения оптимального в данных условиях уровня процентной ставки, так как чрезмерное повышение или понижение ставки процента наносит ущерб инвестиционной активности. Таким образом, воздействие процентной ставки на инвестиционный спрос в целом неоднозначно. Результаты ряда эмпирических исследований показывают, что зависимость динамики инвестиций от изменения нормы процента не носит четко выраженного характера.
Определение воздействия процентной ставки на динамику инвестиционного спроса будет неполным без выяснения ее соотношения с нормой ожидаемой прибыли. Вместе с тем при принятии инвестиционных решений существенную роль играет не номинальная, а реальная ставка процента, поскольку фактор инфляции искажает действительные ориентиры и без его учета при сопоставлении ставки ссудного процента с нормой ожидаемой чистой прибыли может быть получен неверный результат.
Прибыль играет двойственную роль в инвестиционной деятельности; с одной стороны, она может рассматриваться как источник финансирования инвестиций, а с другой стороны — как цель инвестирования. Исследования, связанные с решением сложных задач математической формализации уровня и динамики инвестиционного спроса, выявлением основных параметров, определяющих инвестиционный спрос, свидетельствуют о существовании определенной зависимости между прибылью и инвестициями.
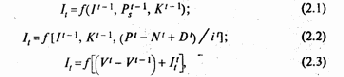
В зависимости от задач анализа зарубежными исследователями получены различные инвестиционные функции, где одними из ключевых параметров изменения инвестиционного спроса являются чистая прибыль, динамика нормы прибыли или величина ожидаемой прибыли. В наиболее общем виде инвестиционные функции могут быть представлены следующим образом:

где It — чистые инвестиции;
Pst-1 — объем чистой прибыли с временным лагом t - 1;
Рt — объем валовой прибыли;
Кt-1 — накопленный основной капитал на конец периода t - 1;
Nt — налоги и трансферты государству в текущих ценах;
Dt — объем амортизационных отчислений;
it — индекс цен на инвестиционные товары;
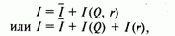
Vt — показатель биржевой котировки курса акций;
Itt — инвестиции на возмещение выбытия основного капитала;
It-1 — чистые инвестиции в периоде t — 1;
Vt-1 — показатель биржевой котировки в периоде t — 1.
Инвестиционные функции (2.1) и (2.2) характеризуют зависимость чистых инвестиций от объема инвестиций предшествующего периода, величины накопленного основного капитала и чистой прибыли. В зависимости от целей исследования они могут быть дополнены включением в состав параметров такого показателя, как ставка процента по долгосрочным ссудам банков.
Особое место в инвестиционных функциях (2.1) и (2.2) занимает параметр накопленного в экономике основного капитала, включаемый в инвестиционные уравнения с отрицательной обратной связью. Он отражает процессы накопления капитала в ходе экономического цикла и их связь с динамикой нормы прибыли. В приближенном виде этот механизм выражается в следующем. Рост нормы прибыли обусловливает активизацию инвестиционного спроса и возрастание чистых инвестиций, что ведет к ускорению роста основного капитала. Рост основного капитала через определенный временной лаг начинает оказывать воздействие на норму прибыли в сторону ее понижения, что в свою очередь вызывает сжатие инвестиций и тем самым замедление темпов роста основного капитала. Сокращение основного капитала определяет создание предпосылок для последующего циклического увеличения нормы прибыли в экономике, что ведет к развитию следующего цикла. Таким образом, механизм инвестирования в основной капитал генерирует цикл деловой конъюнктуры и является одним из механизмов положительных обратных связей в рыночной экономике.
Инвестиционная функция (2.3) отражает модель инвестирования, основанную на величине ожидаемой прибыли. В качестве меры ожидаемой в будущем прибыли используется показатель биржевой котировки курса акций компаний, представляющий собой текущую оценку будущего потока доходов соответствующей компании на основе биржевых показателей ценных бумаг. Сложность построения агрегированного показателя биржевой котировки акций всех частных компаний определяет достаточно узкую область применения данной инвестиционной функции — на уровне отдельных фирм.
Норма ожидаемой прибыли относится к факторам, воздействующим на инвестиционный спрос на микроэкономическом уровне. К ним также следует отнести издержки на осуществление инвестиций, ожидания, изменения в технологии и др.
Норма ожидаемой чистой прибыли имеет особое значение в системе микроэкономических факторов. Это обусловлено тем, что именно прибыль является побудительным мотивом осуществления инвестиций. Инвесторы производят вложения лишь тогда, когда ожидают, что доход, полученный от инвестирования, будет превосходить затраты. Поэтому, чем выше норма ожидаемой чистой прибыли, тем больше инвестиционный спрос (рис. 2.3, д).
При этом эффективное инвестирование будет иметь место лишь в том случае, если норма ожидаемой чистой прибыли превышает реальную ставку процента, иначе привлечение заемных средств теряет экономический смысл. Сопоставление нормы ожидаемой чистой прибыли со ставкой ссудного процента осуществляется предприятиями даже при использовании собственных средств. Прибыль будет инвестирована в собственную фирму, если уровень отдачи от инвестиций окажется выше ставки ссудного процента, в противном случае она будет размещена на рынке капиталов.
Таким образом, процентная ставка является критерием эффективности инвестирования. Эффективность инвестиционного проекта не может опуститься ниже ставки ссудного процента. Являясь основой оценки инвестиционных активов как объектов вложения капитала, процентная ставка выполняет еще одну важную функцию: является средством «актуализации» всех остальных доходов, выступая как метод оценки каждого дохода во времени.
Следующий фактор, воздействующий на инвестиционный спрос, — издержки на осуществление инвестиций. Учет этого фактора производится при исчислении нормы ожидаемой чистой прибыли по каждому инвестиционному проекту. Возрастание затрат вызывает снижение нормы ожидаемой чистой прибыли и наоборот (рис. 2.3, е). При этом, поскольку значительная доля инвестиционных вложений носит долгосрочный характер, во внимание принимается и фактор времени. В целом, чем больше объем издержек на осуществление инвестиций и срок их окупаемости, тем ниже уровень инвестиционного спроса.
На объем инвестиций влияют также ожидания предпринимателей, основанные на прогнозах будущего спроса, объема продаж, рентабельности. Отдача от инвестирования будет зависеть от увеличения этих показателей, поэтому рост оптимистических ожиданий ведет к возрастанию инвестиционного спроса.
Наибольшая отдача связана с инвестициями в инновационную продукцию, обеспечивающими снижение издержек производства, повышение качества продукции и нормы ожидаемой чистой прибыли. Поэтому изменения в технологии являются фактором, стимулирующим инвестиционный спрос.
Таким образом, инвестиционный спрос складывается под воздействием разнородных и разнонаправленных факторов, определяющих его гибкость и динамизм.

Анализ инвестиций должен осуществляться только на основе воспроизводственного подхода, предполагающего их рассмотрение в динамике, а не на основе вычленения и фиксации в качестве объекта исследования отдельных стадий их движения.
С позиций структурного анализа инвестиции как объект исследования можно рассмотреть в единстве следующих основных элементов: субъектов, объектов и собственно экономических отношений.

Зависимость между видами инвестиций и уровнем риска обусловлена опасностью изменения реакции рынка на результаты деятельности фирмы после осуществления того или иного вида инвестиций. Очевидно, что риск негативных последствий инвестирования будет ниже при продолжении выпуска уже апробированных рынком товаров и выше при организации нового производства.
|
Классификационные признаки |
Формы инвестиций |
|
По объектам вложений |
Реальные инвестиции Финансовые инвестиции |
|
По срокам вложений |
Краткосрочные инвестиции Среднесрочные инвестиции Долгосрочные инвестиции |
|
По цели инвестирования |
Прямые инвестиции Портфельные инвестиции |
|
По сфере вложений |
Производственные инвестиции Непроизводственные инвестиции |
|
По формам собственности на инвестиционные ресурсы |
Частные инвестиции Государственные инвестиции Иностранные инвестиции Смешанные инвестиции |
|
По регионам |
Инвестиции внутри страны Инвестиции за рубежом |
|
По рискам |
Агрессивные инвестиции Умеренные инвестиции Консервативные инвестиции |

В условиях дефицита денежных ресурсов предприятия активно использовали необеспеченные долговые обязательства различного рода. Соответственно увеличивались объемы средств, оцениваемых по экономическому содержанию как денежные суррогаты, а также распространенность бартерных сделок. По сведениям Межведомственной балансовой комиссии, на различные формы неденежных расчетов приходилось более 70% операций в российской экономике.
Как отмечает ряд исследователей, уровень цен при осуществлении бартерных сделок, проведении зачетов, применении денежных суррогатов определялся не по рыночным правилам и был выше, чем при оплате реальными деньгами. Данные процессы создавали условия для развития различных посреднических структур криминального и полукриминального характера, которые заинтересованы в сохранении подобных форм хозяйственных связей, поскольку последние служат источником получения высоких доходов.
В результате кризиса платежно-расчетных отношений происходило разрастание небанковского платежного оборота, обслуживающего теневую экономику. Его объем, по экспертным оценкам, вдвое превышал оборот, официально контролируемый государством. Указанные тенденции вели к сокращению поля деятельности банковской системы, сужению ее инвестиционных возможностей.
Рост неплатежей привел к тому, что финансы предприятий стали формироваться в основном за счет кредиторской задолженности. В 1998 г. на долю кредиторской задолженности приходилось 90,8% всех источников оборотных средств, на задолженность по полученным краткосрочным кредитам банков и займам 6,9%. Таким образом, оборотные средства были сформированы в основном за счет долгов и только на 2,3% за счет собственных средств предприятий и организаций.
В условиях деформации платежной системы, ухудшения финансового положения предприятий сокращались возможности инвестирования за счет собственных источников хозяйствующих субъектов: амортизации и прибыли, снижалась действенность используемых для стимулирования накоплений методов амортизационно-налоговой политики.
Отток инвестиций из реального сектора экономики оказал негативное влияние на состояние основных фондов производственных предприятий, конкурентоспособность производимых товаров. Изношенность оборудования привела к резкому увеличению числа аварий, возросли расходы на ремонт и эксплуатацию оборудования, снизились возможности использования наукоемких технологий и структурно-технологических преобразований производства.

Модель IS-LM отражает существенные связи между инвестиционным и денежным рынками. Эта зависимость является важнейшей особенностью инвестиционного рынка. В ее основе лежит использование в качестве основных макроэкономических характеристик инвестиционного и денежного рынка общих для них параметров: процентной ставки и объема общественного производства.
Равновесие на инвестиционном рынке достигается при равенстве инвестиций и сбережений. Объем инвестиций, как отмечалось, определяется различными факторами. Однако при исследовании экономических зависимостей изучаемая связь выделяется путем функционального объединения только нескольких переменных, а не всей их совокупности, которая рассматривается как неизменная.
Из множества макроэкономических факторов, воздействующих на инвестиции, В качестве эндогенных переменных используются объем общественного производства Q и процентная ставка r. Остальные факторы учитывают в качестве экзогенных переменных. При этом формула инвестиций приобретает вид:

где — часть инвестиций, определяемая экзогенными переменными.
Кривая IS выражает такую комбинацию национального объема производства и процентной ставки, при которой инвестиции равны сбережениям.
Равновесие на денежном рынке предполагает равенство предложения денег Мs и спроса на деньги Мd. Последний складывается из спроса на деньги со стороны сделок, который находится в прямой зависимости от национального объема производства Q, и спроса на деньги со стороны активов, обратно пропорционального ставке ссудного процента r. Отсюда условия равновесия на денежном рынке предполагают:

Величина d добавлена для учета влияния на Мd.
Кривая LM отражает все соотношения Q и r, при которых устанавливается равновесие на денежном рынке. Совмещение кривых IS и LM выражает условия двойного равновесия рынков, характеризующие оптимальное состояние инвестиционной и финансовой конъюнктуры.
При изменении эндогенных переменных система IS—LM придет в движение, смещение кривых приведет к установлению новых условий равновесия. Поэтому с помощью данной модели можно проанализировать влияние некоторых рыночных факторов, а также государственного вмешательства, которое будет рассмотрено ниже. Вместе с тем следует отметить определенную ограниченность рассматриваемой модели. Она не учитывает, в частности, инфляционного давления вследствие значительной денежной экспансии (поскольку построена исходя из предположения неизменности цен), воздействия внешнего сектора и т.д.
Взаимосвязь изменения конъюнктуры инвестиционного и финансового рынков определяет существенную роль последнего в функционировании инвестиционного рынка. Она отражается, во-первых, в том, что спрос предприятий и фирм на инвестиционные товары в форме основного и оборотного капитала проявляется как спрос на финансовые средства для его приобретения. При этом предложение инвестиционных товаров принимает денежно-кредитную форму. Оно выступает как сбережения домашних хозяйств и фирм, аккумулирующиеся в учреждениях банковской системы и предоставляемых за определенный процент. Отсюда и следующая особенность инвестиционного рынка: для его эффективного функционирования необходима развитая сеть финансовых посредников, осуществляющих связь между продавцами и покупателями инвестиционного капитала.
Доход по различным финансовым активам, в зависимости от того, какую форму капитала — предпринимательскую или ссудную — они представляют, делится на дивиденд и процент. В совокупности они отражают норму доходности произведенных капитальных стоимостей. Соотношение дивиденда и процента показывает структуру инвестиционного спроса, его распределение между фирмами и банковской системой. На финансовом рынке данное соотношение выступает в форме рыночной стоимости (курса) финансовых инструментов.
Опосредствуя движение капитальных стоимостей, финансовые инструменты ускоряют реакцию цен на изменение норм доходности и обеспечивают тем самым быстрый перелив капитала в наиболее прибыльные сферы инвестиционной деятельности. Вследствие динамизма финансовых активов величина их рыночной стоимости выступает в качестве своеобразного индикатора деловой конъюнктуры. Таким образом, на финансовом рынке механизм равновесных цен приобретает более четкие формы проявления.
Существенной особенностью инвестиционного рынка является та роль, которую играет здесь процентная ставка. Как было показано выше, размер процентной ставки обусловливает, во-первых, величину привлекаемых кредитной системой сбережений домашних хозяйств, во-вторых, норму доходности инвестиционных вложений. Через процентную ставку оцениваются даже собственные потенциальные ресурсы фирм: если ожидаемая отдача выше уровня процентной ставки, они будут направлены на инвестирование, в противном случае — размещены на финансовом рынке в форме вкладов в банковской системе, покупки ценных бумаг и т.д.
Таким образом, инвестиционный рынок может эффективно функционировать лишь в условиях развитого финансового рынка, устойчивой и надежной банковской системы. При этом важными условиями взаимодействия инвестиционного и финансового рынков являются рыночное формирование процентной ставки, равные условия инвестирования в отраслевом и региональном аспектах, привлекательность долгосрочных вложений, регулируемый уровень инфляции.
Рыночный механизм сам по себе не может обеспечить эти условия, что обусловливает необходимость государственного воздействия на рыночные стимулы: государственное регулирование должно соответствовать экономическим закономерностям, на основе которых рыночный механизм реагирует на изменение условий, учитывать прогнозы многосторонних последствий мер воздействия, создавать условия для реализации потенциальных возможностей рыночного механизма путем антимонопольных мер.

В качестве одного из широко применяемых в последнее время направлений инвестирования выступает капитальный ремонт. Анализ показывает, что доля расходов предприятий, связанных с капитальным ремонтом изношенной техники, в объеме производственных инвестиций постоянно увеличивается: 15% — в 1997 г., 17% — в 1998 г., 18% — в 1999 г. Другое направление связано с вложением средств в бывшие в употреблении, но еще работоспособные машины и оборудование. Данные предпочтения инвесторов обусловлены сохраняющимся дефицитом инвестиционно-финансовых ресурсов предприятий, реструктурированием устаревших производств, перепрофилированием незагруженных мощностей, приемлемостью (в отличие от импортируемого оборудования) ценовых параметров.
Сложившаяся динамика ставок на кредитном рынке была ориентирована на доходность остальных сегментов финансового рынка, среди которых важнейшее место до финансового кризиса занимал рынок государственных ценных бумаг. Развитие этого рынка в значительной степени определялось состоянием государственных финансов, дефицита госбюджета. Осуществленный в России переход от финансирования дефицита бюджета за счет прямой эмиссии и банковского кредитования к привлечению кредитных ресурсов путем размещения на рынке государственных ценных бумаг признан во всем мире наименее инфляционным способом покрытия государственных расходов, что обусловливает его широкое применение в финансовой практике цивилизованных государств.
Однако в отличие от России доходность казначейских обязательств в странах с развитой рыночной экономикой является низкой, что соответствует известному положению, в соответствии с которым государственные ценные бумаги как высоколиквидные и надежные инвестиционные активы являются малодоходными. С учетом международных стандартов доходности малорискованных государственных ценных бумаг, а также того, что на российском финансовом рынке практически отсутствовали иные надежные и высоколиквидные инструменты, уровень доходности государственных обязательств должен был быть значительно ниже.
Между тем в российских условиях размещение средств в государственные ценные бумаги (прежде всего — ГКО и ОФЗ) выступало как предпочтительный способ вложения средств не только с точки зрения ликвидности и надежности, но и доходности. Уровень доходности ГКО—ОФЗ колебался от 30 до 300% в текущем выражении, что значительно превышало аналогичные показатели не только в развитых, но и в развивающихся странах и странах с переходной экономикой. Рынок государственных ценных бумаг привлекал значительную часть ресурсов кредитного рынка, уменьшая возможности кредитования реального сектора.
Широкий доступ нерезидентов на рынок государственных ценных бумаг с 1996 г. привел к усилению внешней зависимости российской экономики, связанной с возрастанием рисков внезапного обратного отлива средств и неустойчивости курса рубля. Если в сентябре — октябре 1997 г. у иностранных инвесторов было сосредоточено около 30% портфеля ГКО-ОФЗ, то к концу 1997 г. под воздействием мирового фондового кризиса эта доля сократилась до 20%.
Российский рынок корпоративных ценных бумаг характеризовался еще большей степенью зависимости от поведения иностранных держателей, доля вложений которых в российские акции по различным оценкам доходила в отдельные периоды до 70—95% от общего объема.
Как и на финансовом рынке в целом, на российском рынке корпоративных бумаг преобладали краткосрочные спекулятивные вложения. В соответствии с методикой Standard & Poor's кредитный рейтинг России еще до снижения в результате финансового кризиса и известных событий 17 августа 1998 г. был невысоким и принадлежал к категории, обозначенной ВВ, что означает принадлежность российских ценных бумаг к категории спекулятивных активов. Будучи преимущественно спекулятивным, рынок корпоративных ценных бумаг не выполнял своей роли в системе общественного воспроизводства капитала, практически не был связан с реальным сектором экономики.
Уязвимость фондового рынка подтвердилась его чувствительностью к мировой и внутриполитической конъюнктуре. В результате кризиса с октября 1997 г. по август 1998 г. курсы акций российских предприятий упали в 5—6 раз, доходность ГКО возросла до 200%, что способствовало значительному увеличению государственного долга и привело к фактической невозможности его оплаты и девальвации рубля.



В наиболее общем виде финансовые институты включают следующие типы:
коммерческие банки (универсальные и специализированные),
небанковские кредитно-финансовые институты (финансовые и страховые компании, пенсионные фонды, ломбарды, кредитные союзы и товарищества),
инвестиционные институты (инвестиционные компании и фонды, фондовые биржи, финансовые брокеры, инвестиционные консультанты и пр.).
Общей характеристикой для всех групп институциональных инвесторов является аккумулирование ими временно свободных денежных средств (государства, фирм, населения) с последующим вложением их в экономику.
Вместе с тем каждая из указанных групп обладает собственной спецификой как в осуществлении присущих ей функций, так и в механизме аккумуляции инвестиционных ресурсов и их дальнейшем размещении.

Рост объемов подрядных работ в строительстве привел также к стимулированию спроса на связанные с этим сектором виды продукции в отраслях машиностроения, промышленности строительных материалов. Следует отметить, что рассмотренные тенденции обусловили существенные сдвиги в отраслевой структуре инвестиций.
Ниже приведены данные об отраслевой структуре инвестиций в 1998 и 2000 гг., %:

Приведенные данные свидетельствуют о том, что основными сферами инвестиционного подъема, сосредоточившими практически половину совокупных капиталовложений, явились нефтяной (16,9%) и инфраструктурный (21,1%) секторы. Они опередили по масштабам инвестирования традиционного лидера в области реализации инвестиционных программ — сектор жилищно-коммунального строительства (16,0%).
Среди динамично инвестирующих в последнее время отраслей добывающего комплекса можно отметить черную и цветную металлургию. Между тем в ряде секторов топливной промышленности (сланцевая, торфяная и угольная отрасли) продолжается инвестиционный спад.
Из числа отраслей обрабатывающей промышленности к активно инвестирующим относятся секторы, сопряженные с экспортно-ориентированными отраслями и производящие для них производственно-техническую продукцию.
Более сложной является ситуация в легкой и пищевой промышленности, работающих на удовлетворение конечного спроса населения. В легкой промышленности имеет место незначительный рост инвестиций. В пищевой промышленности инвестиционное оживление 1997-1999 гг. вновь сменилось спадом: в первом полугодии 2000 г. инвестиции в модернизацию и расширение производства сократились на 42,4% по сравнению с соответствующим периодом предыдущего года.
Уменьшились объемы инвестирования в мясной, мукомольной, крупяной, рыбной промышленности, микробиологической отрасли. В качестве основных причин низкой инвестиционной активности в этих отраслях можно назвать: низкие темы роста потребительского спроса, значительное ухудшение состояния производственного потенциала в условиях глубокого инвестиционного спада, ориентированность на импортные поставки ресурсов, постепенное исчерпание девальвационного эффекта и соответствующее ухудшение конкурентоспособности производимой продукции.
Высокие темпы прироста инвестиций демонстрирует инфраструктурный комплекс (транспорт и связь), где наиболее динамично инвестирующими секторами являются железнодорожный, магистральный трубопроводный и морской транспорт, дорожное хозяйство. Устойчивый инвестиционный рост наблюдается в сфере жилищного строительства.

В основе инвестиционного оживления лежала благоприятная макроэкономическая конъюнктура.
К факторам, определившим улучшение экономических условий в 1999—2000 гг., можно, в частности, отнести:
рост рентабельности российского экспорта за счет благоприятной конъюнктуры на мировых сырьевых рынках и снижения рублевых издержек;
получение ценовых преимуществ импортозамещающими отраслями отечественной экономики;
снижение инфляции и благоприятные изменения процентных ставок на кредитном рынке;
рост денежного предложения и некоторое вытеснение неденежных форм расчетов из хозяйственного оборота;
улучшение финансового состояния предприятий;
перелом негативной тенденции сокращения реальных доходов населения, рост совокупного спроса;
увеличение налоговых поступлений в бюджет.
Вместе с тем наметившиеся в экономике позитивные тенденции не приобрели устойчивого характера. Анализ данных за 2000 г. (см. табл. 4.6) показывает, что во второй половине 2000 г. появились признаки замедления экономической активности, что свидетельствует о том, что потенциал благоприятного воздействия посткризисных факторов близок к исчерпанию. В связи с этим следует подробнее рассмотреть основные предпосылки инвестиционного подъема и выявить условия их реализации.

Сопоставление динамики прибыли и цен свидетельствовало о стремлении предприятий занизить отчетные показатели прибыли с целью уклонения от уплаты налогов и использования большей доли валового дохода на текущее потребление. Российские предприятия, чье хозяйственное поведение отличается от поведения обычных субъектов рыночной экономики, были заинтересованы не в максимизации прибыли, а в максимальном повышении цен и присвоении всех инфляционных доходов, получении высоких личных доходов, прежде всего руководства предприятий. Это привело к снижению мотивации к инвестированию, использованию прибыли и амортизации в значительной части не на инвестиции, а на текущее потребление.
Проблемы использования прибыли для инвестирования во многом были связаны с воздействием налоговой политики. Известно, что основным экономическим пороком сложившейся системы налогообложения явилось непомерное налоговое бремя для экономических субъектов. Начиная с 1994 г. на основании Указа Президента РФ от 23 декабря 1993 г. № 2270 региональные органы власти стали самостоятельно вводить огромное количество дополнительных налогов на остающуюся у предприятий после уплаты налога на прибыль ее часть. Если учесть, что реальная ставка налога на прибыль, исчисленная по международным стандартам, значительно выше официальной ставки (соответственно, 64 и 35% для предприятий), то в результате суммарное изъятие прибыли достигало 80% и выше от ее общей массы.
В структуре расходов средств предприятий устойчиво лидирующее положение стали занимать платежи в бюджет. Если в 1991 г. в структуре расходов предприятий наибольшую долю составляли затраты на развитие производства, то с 1996 г. — налоговые платежи. Высокое налоговое бремя не позволяло предприятиям рассматривать оставшуюся часть прибыли как основной источник инвестиций.
Трудности использования прибыли на нужды инвестирования заключались не только в недостаточности ее массы. Происходящее вследствие разрастания неплатежей и бартерных сделок резкое сокращение в выручке от продаж денежной составляющей прибыли практически исключало саму возможность ее использования для инвестирования.
Так, данные Межведомственной балансовой комиссии свидетельствовали о том, что в общей массе прибыли, полученной крупнейшими предприятиями страны, ее денежная часть составляла 27%, что делало невыполнимой задачей использование прибыли как источника инвестирования после уплаты налогов. Совокупные денежные обязательства реального сектора по выплате заработной платы и налогов составляли около 125% выручки, полученной в денежной форме, в том числе на обязательства по налоговым платежам приходилось 88%.
Ухудшение платежной дисциплины являлось для узкого круга предприятий (крупнейшие предприятия нефтегазовой, автомобильной и металлургической промышленности, имевшие основную задолженность по оплате труда и налоговым платежам в бюджет) средством решения проблем их развития и реорганизации, а для большинства предприятий — средством выживания.
В этих условиях доля предприятий, ведущих разработку и внедрение технологических инноваций в промышленности, составляла не более 5% от общего числа. Затраты на инновации не превышали 3% от общего объема инвестиций в объекты производственного назначения. Доля инновационно-активных предприятий колебалась в пределах 0,1-3,5% по отдельным отраслям.
Спад инвестиционной деятельности закономерно привел к ухудшению состояния производственного аппарата предприятий реального сектора экономики. Почти две трети производственного оборудования имели возраст более 15 лет, износ основных фондов превысил 50%, коэффициент обновления оборудования в промышленности снизился с 6% в 1990 г. до 0,7% в 1998 г.


В 1999 г., несмотря на улучшение финансовых результатов функционирования экономики, не удалось остановить падение реальных доходов населения. Их уровень на протяжении 1999 г. оставался ниже показателей предыдущего года и в целом за год снизился на 16,3%. Это негативно сказалось на динамике прироста сбережений населения. В январе - сентябре 2000 г. реальные денежные доходы населения увеличились по сравнению с соответствующим периодом предыдущего года на 9%, в то же время они составили всего 87% от уровня января - сентября 1998 г.
Перелом негативной тенденции сокращения реальных доходов населения способствовал росту сбережений, в основном в рублевой форме. В структуре прироста сбережений постепенно возрастает доля средств, используемых на увеличение вкладов в банках и покупку ценных бумаг. За девять месяцев 2000 г. остатки вкладов физических лиц в банках увеличились на 31,7%, что дает основания говорить о наметившихся признаках восстановления доверия населения к банковской системе. Позитивной тенденцией является сокращение сальдо операций населения на рынке наличной иностранной валюты. Доля покупки валюты в структуре использования доходов населения составила 6,9%, что является самым низким значением этого показателя за период с 1992 г. Однако большей частью накопленные средства населения остаются вне инвестиционной сферы, хотя при создании определенных условий они могли бы составить весомый инвестиционный ресурс.



Исходя из этого инвестиционный рынок может рассматриваться как совокупность рынков объектов реального и финансового инвестирования. В свою очередь рынок объектов реального инвестирования включает рынок капитальных вложений, недвижимого имущества, прочих объектов реального инвестирования, рынок объектов финансового инвестирования — фондовый рынок, денежный рынок и др.

|
Источник финансирования |
Сроки |
Обеспечение |
Требования |
Преимущества |
Недостатки |
Субъект |
|
Открытое размещение акций |
Длительный срок |
Доля в капитале компании |
Установившаяся тенденция роста объема продаж/ прибыли. Высокий потенциал роста. Надежность эмитента |
Получение значительного капитала. Расширение капитальной базы компании. Обеспечение ликвидности активов. Создание привлекательных стимулов инвестирования в акции. Повышение реализуемости акций. Повышение стоимости акций. Отсутствие необходимости выплаты долгов. Не требуется дополнительное обеспечение (гарантии) |
Требуются значительные затраты на эмиссию и размещение ценных бумаг. Регламентация порядка эмиссии со стороны органов управления рынком ценных бумаг. Разводнение акционерного капитала. Давление акционеров, направленное на обеспечение роста прибылей |
Инвестиционные банки. Другие кредитные институты. Открытый рынок |
|
Облигации корпораций |
5-30 лет |
Необеспеченные или обеспеченные |
Требуется предоставление отчета о продажах/прибыли, наличие прогнозируемого денежного потока |
Процентная ставка, как правило, фиксирована. Процент вычитается из налогооблагаемой прибыли. Меньший размер платежей в погашение. Могут восприниматься как дополнительный собственный капитал |
Могут использоваться в основном крупными компаниями. Требуются значительные затраты на эмиссию и размещение ценных бумаг. Регламентация порядка эмиссии со стороны органов управления рынком ценных бумаг. Сложность размещения в кризисной ситуации. Процентная ставка может быть высокой |
Инвестиционные банки. Другие кредитные институты. Открытый рынок |
|
Кредитная линия банков |
1-3 года |
То же |
Требуется дополнительное обеспечение (гарантии), предоставление отчета о продажах/ прибыли, наличие прогнозируемого денежного потока |
Предоставляются дополнительные услуги. Процент прогнозируем. Гибкая схема заимствования и погашения долга |
Может потребоваться дополнительное обеспечение. Предоставление кредита ограничивается установленным лимитом. Возможны высокие процентные ставки |
Коммерческие банки, другие кредитные институты |
|
Возобновляемые ссуды Конвертируемые в срочные |
2-3 года 5-7 лет |
То же |
То же |
Предоставляются дополнительные услуги. Гибкая схема заимствования и погашения долга. Возможность отсрочки выплаты до поступления достаточного по величине денежного потока. Обеспечиваются долговременные обязательства по финансированию. Возможность возобновления ссуды при эффективных результатах деятельности |
Может потребоваться дополнительное обеспечение. Сложность получения в кризисные периоды. Предоставление ссуды ограничивается установленным лимитом. Возможны высокие процентные ставки. При плавающей процентной ставке величина процентов труднопредсказуема |
То же |
|
Срочная ссуда |
3-7 лет |
Необеспеченная или обеспеченная |
То же |
Предоставляются дополнительные услуги. Процент вычитается из суммы налогооблагаемой прибыли. Ставка может быть фиксированной. Обеспечиваются долговременные обязательства по финансированию. Возможность постепенного погашения |
Может потребоваться дополнительное обеспечение. Сложность получения в кризисной ситуации. Возможны высокие процентные ставки. Процентная ставка может быть высокой |
То же |
|
Ипотечное обязательство |
7-30 лет |
Недвижимость |
То же |
Предоставляются дополнительные услуги. Процент вычитается из суммы налогооблагаемой прибыли. Возможность установления фиксированной процентной ставки. Меньшие размеры платежей в погашение за более длительный период |
Требуется дополнительное обеспечение |
Коммерческие банки, другие кредитные институты. Физические лица. Открытый рынок |
|
Государственное финансирование |
Длительный срок |
Государственные гарантии |
Предоставляется компаниям, соответствующим определенным стандартам. Требуется достаточное дополнительное обеспечение. Средства должны использоваться строго по целевому назначению |
Более низкие суммы платежей в погашение при более длительных периодах. Процент вычитается из суммы налогооблагаемой прибыли. Возможно предоставление дополнительных услуг |
Суммы выделяемых средств ограничены. Требуется дополнительное обеспечение. Предоставление кредита оговаривается определенными условиями. Полученные средства должны расходоваться по целевому назначению |
Государственные институты развития. Органы государственного управления |
|
Лизинг |
Ограничение сроком службы лизингового имущества |
Обеспечивается арендуемым имуществом |
Требуется наличие предсказуемого денежного потока |
Предоставляются дополнительные услуги. Удобная схема финансирования. Процентная ставка может быть фиксированной или плавающей. Процент вычитается из суммы налогооблагаемой прибыли. Меньший размер платежей в погашение при более длительном сроке лизинга. Может не требоваться дополнительное обеспечение |
Необходимо дополнительное обеспечение. Процентная ставка может быть высокой. В конце срока аренды могут потребоваться дополнительные платежи |
Коммерческие банки. Лизинговые компании |
|
Венчурный капитал |
3-7 лет |
Собственный капитал компании |
Предоставляется венчурным предприятиям на различных этапах их развития. Финансируемые компании должны обладать большим рыночным потенциалом или уже достичь устойчивого положения и характеризоваться быстрым ростом |
Повышение устойчивости собственного капитала. Позволяет компании достичь достаточного уровня зрелости для обеспечения возможности финансирования другими способами, в частности путем продажи акций на фондовом рынке. Отсутствие расходов на выплату долга и процентов, дополнительных потребностей в ликвидности. Возможность использования опыта венчурных инвесторов в сфере менеджмента и финансов |
Сложность получения: процесс привлечения венчурного капитала требует больших затрат времени и сопряжен с трудностями. Разводнение акционерного капитала. Высокий риск, отсутствие гарантированного успеха. Ожидание высоких доходов со стороны венчурных инвесторов. Экономический контроль над компанией может быть передан венчурным инвесторам |
Физические лица. Государственные и частные фонды венчурного капитала. Специализированные инвестиционные компании и банки |
|
Ограниченные партнерства |
Длительный срок |
Не имеется |
Значительные затраты, связанные с использованием особых технологий или производством перспективного продукта. Длительный цикл |
Налоговые льготы. Гибкая схема финансирования. Сохранение контроля за производством |
Высокий риск потери исключительных прав на технологию, налоговых преимуществ. Уязвимость по отношению к изменениям в налоговом законодательстве. Необходимость обоснованного долгосрочного планирования |
Инвестиционные банки. Члены консорциумов. Корпоративные партнеры. Физические лица |
|
Франчайзинг |
Длительный срок |
Нет |
Фирма- франчайзор должна иметь высокий имидж на рынке. Производимый продукт должен иметь ярко выраженные характеристики и высокое качество. Фирма-франчайзодержатель должна обеспечить требуемые стандарты качества, быстрое распространение продукта |
Немедленное поступление денежных средств, не связанное с образованием задолженности. Ограниченные потребности в капитале. Отсутствует разводнение акционерного капитала. Низкая степень риска. Возможность быстрого расширения. Распределение производственных расходов. Обеспечение постоянных поступлений |
Наличие затрат, связанных с предоставлением франчайза. Трудности юридического оформления предоставления франчайза. Необходимость деления прибыли с франчайзодержателями |
Франчайзодер-жатели |

В ситуации экономической нестабильности наличные деньги практически исключались из сбережений, а следовательно, уменьшали потенциальные ресурсы банковской системы, общий инвестиционный потенциал. При условиях, определяющих завышенную ценность наличных денег по сравнению с безналичными (возможность ухода от налогообложения, высокая ликвидность и скорость оборота относительно других форм активов, защита от непредсказуемых мер воздействия со стороны государства, банков и др.), снизилась привлекательность безналичных расчетов, что также вело к сокращению ресурсов банковской системы. К отрицательным последствиям можно отнести и уменьшение регулирующих возможностей ЦБ РФ, его способности осуществлять контроль за межрегиональной миграцией денежных средств, состоянием платежно-расчетной системы.
Ухудшение функциональной структуры денежной массы заключалось в сокращении объемов сбережений в национальной валюте, сдвиге в сторону краткосрочных средств. Депозитные рублевые компоненты, по своему функциональному назначению формирующие накопления, на практике вовлекались в текущий оборот и теряли потенциал инвестиционного ресурса. Углубление деформации денежной системы было связано с высоким уровнем использования иностранной валюты в качестве средства обращения, платежа и особенно накопления (табл. 4.3 и 4.4).
Таблица 4.3. Наличная валюта в России (1994—1998 гг.)

Таблица 4.4. Ввоз и вывоз наличной иностранной валюты, млрд долл.

Наметилась устойчивая тенденция к росту объемов наличной иностранной валюты, аккумулированной у населения. Об этом свидетельствовала, в частности, динамика агрегированного показателя сальдо операций физических лиц с наличной иностранной валютой* (рис. 4.2).
Рассчитывается как разность между объемами наличной валюты, проданной физическим лицам через обменные пункты и выданной им с их валютных счетов, и объемами наличной иностранной валюты, купленной у физических лиц в обменных пунктах и зачисленной на их валютные счета.

Склонность физических, а также юридических лиц к валютным сбережениям в целом оказывала негативное воздействие на инвестиционный процесс, так как валютные сбережения являлись на российском рынке специфическим альтернативным объектом инвестиций. В связи с этим трансформация рублевых доходов в наличную валюту уменьшала количество инвестиционных ресурсов, которые могли быть использованы реальным сектором для реструктуризации и налаживания производства, вела к сокращению возможностей инвестирования в другие активы, способствовала включению в текущий оборот дополнительной денежной массы, сокращению ресурсов долгосрочного характера.

Замедление этого процесса в 1994- 1997 гг. при продолжающемся спаде инвестиций явилось свидетельством нарастания разрыва между величиной потенциальных и реальных инвестиционных ресурсов. В 1998 г. валовые сбережения существенно снизились, что ограничило воспроизводственные возможности российской экономики (рис. 4.1).

Для характеристики изменений величины реальных инвестиционных ресурсов, направленных в производство, использован показатель инвестиций в основной капитал как наиболее общий индикатор инвестиционной деятельности, отражаемый статистикой в рассматриваемом периоде.
Величина разрыва между валовыми сбережениями и инвестициями в основной капитал, характеризующая неиспользуемый инвестиционный потенциал, достигла почти 20% ВВП.
В общей структуре валовых сбережений достаточно высока доля сбережений домашних хозяйств, которая возросла к 1997 г. до 50% по сравнению с 14% в 1992 г. В 1998 г. прирост сбережений в секторе домашних хозяйств снизился, что явилось следствием потрясений на финансовых рынках, девальвации рубля, роста инфляции и значительного сокращения реальных доходов населения.
По данным Госкомстата России, в целом в 1998 г. реальные денежные доходы населения снизились по сравнению с 1997 г. на 16,3% (в 1997 г. они увеличились на 2,8%).
Падение реальных доходов отразилось и на структуре их использования, % к итогу:

Анализ структуры использования денежных доходов населения показывает, что наметившаяся тенденция возрастания доли прироста сбережений в денежных доходах в 1998 г. была прервана. В результате значительного роста доли расходов на потребление в 1998 г. наблюдался самый низкий показатель доли прироста сбережений с 1992 г.


В условиях опережающих темпов падения инвестиций по сравнению с темпами спада ВВП произошло уменьшение нормы накопления с 39% в 1991 г. до примерно 17% в 1998 г. Данные табл. 4.1 показывают, что при общем снижении объемов инвестиций имело место изменение их структуры, выражающееся в уменьшении доли производственных вложений.
Тенденция роста доли вложений в непроизводственную сферу по внешним признакам совпадает с одной из закономерностей инвестиционного процесса в экономически развитых странах. Однако в российской экономике она не может расцениваться как прогрессивное явление, поскольку, во-первых, сопряжена с сокращением реальных объемов инвестирования в непроизводственную сферу, а во-вторых, вызвана не повышением эффективности использования производственных вложений, а оттоком ресурсов из сферы производства в условиях инфляции, более низкой по сравнению с другими секторами экономики доходностью производственного сектора. Это ведет к утрате технологического потенциала, имеющего важное значение для дальнейшего функционирования экономики, возрастающему старению основного капитала, потере восприимчивости к инновациям.
Отраслевая структура инвестиций во многом способствовала стабильности национальной структуры экономики, характеризующейся преобладанием добывающих отраслей. Сырьевые и топливно-энергетические отрасли, располагающие примерно 1/5 производственных мощностей и 1/10 рабочей силы, концентрировали свыше 40% инвестиций в основной капитал, в то время как на обрабатывающие отрасли промышленности приходилось лишь около 20% их совокупного объема. Как следствие, происходило углубление структурных деформаций в промышленности: доля сырьевого и топливно-энергетического комплекса в 1998 г. достигла более половины от общего объема товарооборота, а доля обрабатывающей промышленности уменьшилась до уровня, характерного для слаборазвитых стран.
Негативные сдвиги имели место и в функциональной структуре инвестиций. Сокращение доли чистых инвестиций в накоплении привело к тому, что их доля в ВВП составила менее 1,2%, тогда как в странах с развитой экономикой 8-10%. При сохранении этой тенденции возникает проблема обеспечения ресурсов для простого воспроизводства.

Банки развития различаются по направлениям и масштабам деятельности, формам собственности, организационно-правовым формам и другим характеристикам. Они представлены как относительно небольшими, так и крупнейшими финансовыми институтами, лидирующими в рейтинге банков развития мира. В мировой практике получили распространение как частные, так и государственные банки развития.
Так, в Германии банки развития, как кредитные институты с особыми задачами, представляют собой частные и государственные финансово-кредитные организации, выполняющие ряд функций по стимулированию определенных сфер национальной экономики. Частным банком является, к примеру, «Industriekreditbank AG — Deutsche Industriebank», занимающийся выдачей долгосрочных кредитов предприятиям, финансовое состояние которых не позволяет привлекать средства за счет эмиссии акций, государственным — «Kreditanstalt fur Wiederaufbau» (Банк восстановления), деятельность которого связана с поддержкой кризисных отраслей экономики и кредитованием экспорта.
В Нидерландах многие из специализированных банков являются государственными или функционируют на основе государственных гарантий. К таким банкам, в частности, относятся Национальный инвестиционный банк («De Nationale Investeringsbank NV»), осуществляющий вложения капитала в менее развитых регионах и предоставление кредитной поддержки компаниям, испытывающим финансовые трудности, и Нидерландская компания страхования кредитов («Nederlandse Credietverzekering Maatschappij NV»), производящая в особых случаях страхование политических рисков. Во Франции на долю государственных кредитных институтов приходится более половины долгосрочных кредитов.
Периоды экономических кризисов характеризуются усилением роли государства в инвестиционных процессах, в том числе и путем роста присутствия в кредитных институтах. В качестве одного из примеров можно привести деятельность созданного в 1930 г. в Италии Института реконструкции развития (ИРИ). Совмещая черты холдинга и банка, ИРИ действовал на основе системы государственного акционерного участия: на средства, полученные от эмиссии облигационных займов, из бюджета, от различных государственных и смешанных финансовых учреждений ИРИ осуществлял покупку крупных, в том числе и контрольных, пакетов акций проблемных банков и промышленных компаний. При необходимости ИРИ приобретал дополнительные пакеты акций и финансировал банки и компании, становившиеся его дочерними предприятиями, или осуществлял ликвидацию структур с безнадежным финансовым положением.
В послевоенные десятилетия был создан ряд аналогичных ИРИ государственных институтов: ЭФИМ, ЭНИ, ДЖЕПИ с участием государственного банка «Institute Mobilliare Italiano» (ИМИ). В настоящее время, когда в условиях определенной экономической стабилизации государственная поддержка потеряла свою значимость, правительство Италии приступило к процессу постепенной приватизации промышленно-финансовых комплексов.
Традиционно значительной является роль государства в поддержке национального, в том числе и банковского, бизнеса в Японии. В отличие от западной модели, ориентированной на вмешательство государства в экономику в случае сбоев рыночного механизма, японская модель носит превентивный характер.
Весьма поучительным является японский опыт восстановления экономики на основе схемы приоритетных производств, в соответствии с которой капитал через Государственную финансовую корпорацию восстановления концентрированно направлялся в базовые отрасли промышленности.
В последующий период, при достижении стабильности экономического развития, для финансового обеспечения инвестиционного спроса были восстановлены банки долгосрочного кредитования, учреждены траст-банки и ряд дополняющих их функции государственных финансовых институтов: «Японский банк развития», «Экспортно-импортный банк Японии», которые предоставляли средства со счетов бюро доверительных фондов Министерства финансов (рис. 9.1).

Использовались также определенные виды финансового регулирования: регулирование процента, сфер деятельности, разделение внутреннего и внешнего рынка (валютный контроль при операциях с капиталом и др.).
В условиях мирового валютно-финансового кризиса 1997—1998 гг., вызвавшего ухудшение положения японской экономики и падение ликвидности банков, для обеспечения экономического подъема и реформирования финансового сектора правительством страны была принята схема банков-мостов, согласно которой убыточные банки должны перейти под временное государственное управление с последующей продажей, а часть тех операций, которые приносят доход, передана государственным банкам-мостам. Государственные банки-мосты создавались в рамках корпорации «Хейсей файнэншл ресторейшн». Корпорация «Страхование депозитов» финансировала эти учреждения необходимыми средствами для оздоровления кредитных операций убыточных банков и покрытия возможных рисков. Для решения проблем 19 крупнейших банков, основной из которых являлся рост безнадежных долгов и, как следствие, ослабление капитальной базы, были использованы государственные средства для стимулирования слияний этих банков, играющих значительную роль в финансировании стратегически важных секторов экономики.
Несомненный интерес представляют процессы государственного участия в становлении механизмов мобилизации инвестиционного капитала в новых индустриальных странах, в частности в Республике Корея, где формирование банковской системы было подчинено потребностям обеспечения экономического роста. С целью финансирования проектов экономического развития в промышленном и аграрном секторах экономики был учрежден «Корейский банк развития», являющийся государственным кредитным институтом, на базе Федерации финансовых ассоциаций образован «Сельскохозяйственный банк Кореи».
Позже была сформирована целая система специализированных банков для оказания финансовой поддержки как стратегическим, так и менее важным отраслям, созданы «Корейский банк долгосрочного кредитования», «Экспортно-импортный банк Кореи», торговые и банковские корпорации, обеспечивающие предоставление нефинансовым предприятиям средне- и долгосрочных кредитов и мобилизацию иностранного капитала. В результате принятия ряда мер, направленных на привлечение средств на организованный фондовый рынок, была учреждена сеть небанковских инвестиционно-финансовых и взаимно-сберегательных компаний.
Таким образом, становление разветвленной и гибкой кредитно-банковской системы, создавшее необходимые предпосылки для достижения высокого уровня инвестиций, восприятия индустриальных и технологических нововведений, происходило при непосредственном участии и контроле со стороны государства.
Эти и другие примеры убедительно свидетельствуют о том, что решение стратегических задач национальной экономики путем активизации инвестиционной деятельности кредитных институтов требует действенного государственного участия. Степень этого участия во многом определяется сформированностью рыночных механизмов, формы и методы — особенностями конкретной экономической ситуации. Эффективность тесного взаимодействия государства, банков, нефинансовых предприятий, необходимого для достижения общих национальных интересов, особенно важна на этапах выхода из экономического кризиса.

Объем продукции, производимой на предприятиях с иностранными инвестициями, в 1999 г. составлял около 4,9% ВВП (рис. 5.3).

В первом полугодии 2000 г. структура иностранных инвестиций ухудшилась. По сравнению с первым полугодием 1999 г. доля прямых иностранных инвестиций сократилась с 56,9 до 37,4%, доля портфельных инвестиций увеличилась с 0,2 до 1,1%, доля прочих инвестиций возросла с 42,9 до 61,5%. В целом динамика инвестиций в девяностые годы характеризовалась быстрым ростом прочих инвестиций и более низкими темпами роста прямых инвестиций, что привело к повышению доли прочих иностранных инвестиций и сокращению прямых инвестиций, и тем самым к ухудшению общей структуры иностранных инвестиций.
Отраслевая и региональная структура иностранных инвестиций также неблагоприятна. Анализ отраслевой структуры иностранных инвестиций показывает, что их приток осуществляется преимущественно в отрасли и секторы экономики с наиболее быстрым оборотом капитала, а также в топливно-энергетические и сырьевые отрасли, что означает закрепление неэффективной структуры российской экономики.
Об этом свидетельствуют приведенные ниже данные, % от годового объема иностранных инвестиций:

Изменение отраслевой структуры инвестиций характеризуется ростом доли промышленности, в том числе топливной и пищевой, уменьшением доли машиностроения и металлообработки, химической и нефтехимической промышленности, лесной, деревообрабатывающей, целлюлозно-бумажной промышленности. Растет доля торговли и общественного питания. Уменьшается доля финансовой, банковской, страховой деятельности, общей коммерческой деятельности по обеспечению рынка и строительства.
В результате снижения инвестиционного рейтинга страны, развития процессов импортозамещения изменилась отраслевая структуpa прямых иностранных инвестиций. В общем объеме прямых инвестиций увеличилась доля инвестиций в топливную промышленность, транспорт и снизилась доля инвестиций в машиностроение и металлообработку, а также пищевую промышленность.
Анализ региональной структуры иностранных инвестиций свидетельствует о неравномерном распределении средств: предпочтения иностранных инвесторов связаны с вложениями ресурсов в крупные центры с развитой инфраструктурой рынка и сравнительно высокой платежеспособностью населения, а также в сырьевые регионы (табл. 5.6).
Таблица 5.6. Региональная структура иностранных инвестиций

Наиболее привлекательными для иностранных инвесторов являются такие регионы, как: Москва, Сахалинская область, Тюменская область, Республика Татарстан, Московская область, Санкт-Петербург, Краснодарский край, Республика Коми, Нижегородская и Иркутская области.
Накопленные иностранные инвестиции в российскую экономику по состоянию на конец 1999 г. оцениваются всего в 29,2 млрд долл., в том числе прямые инвестиции — 12,8, портфельные 309, прочие инвестиции 16,2 млрд долл.
Сегодня объемы иностранных инвестиций в России достигают лишь около 1% от общемировых, а прямых инвестиций — менее 0,5%. Средний размер всех иностранных инвестиций на душу населения за последние пять лет составил около 60 долл., прямых инвестиций 20 долл. (для сравнения: в Венгрии последний показатель равен 200 долл.). Доля прямых инвестиций в ВВП составляет всего 1%, в то время как в большинстве стран Восточной Европы 4—6%. Это значительно меньше действительных потребностей страны в зарубежных инвестициях. Экономический потенциал России, по экспертным оценкам, позволяет аккумулировать ежегодно около 30 млрд долл. иностранных инвестиций, в том числе 10 млрд долл. прямых зарубежных инвестиций.

С существенным отрывом от лидеров в первую десятку входят «Credit Suisse First Boston» (подразделение швейцарской банковской группы «Credit Suisse»), американский коммерческий банк «J.P. Morgan», активно проникающий в последнее время на рынок инвестиционных банковских услуг, американский инвестиционный банк «Leman Brothers», «Warburg Dillon Read» — подразделение крупного швейцарского банка «United Bank of Switzerland», «Deutsche Securities» — инвестиционное подразделение крупнейшего банка Германии «Deutsche Bank», «Chase Securities» — подразделение крупного американского банка «Chase Manhattan».
Формирование глобальной олигополии означает, что менее значимые инвестиционные банки (банки второго и третьего эшелона) могут выжить в конкурентной борьбе, только заняв прочное положение в отдельных специфических нишах. Развитие и трансформация инвестиционных банков, диверсификация их деятельности ведут к тому, что инвестиционные банки все в большей степени вторгаются в традиционную сферу бизнеса коммерческих банков.
В то же время коммерческие банки в условиях ужесточения конкуренции могут рассчитывать на позитивные долгосрочные результаты, как правило, в том случае, если они способны оказывать услуги не только в области корпоративного кредитования, но и на рынках капитала (по размещению эмиссий акций, выпуску корпоративных облигаций и т.д.), т.е. заниматься собственно инвестиционной деятельностью.
Таким образом, совмещение крупнейшими мировыми банками деятельности инвестиционных и коммерческих банков становится ведущей тенденцией в мировой банковской практике. В свою очередь, это можно рассматривать как часть более широкого процесса формирования диверсифицированных финансово-банковских групп с развернутым комплексом функций (корпоративное кредитование, инвестиционная деятельность, розничное банковское обслуживание, страхование), которыми будет в перспективе представлен рынок банковских услуг. Уже сегодня такими институтами являются крупнейшие мировые финансовые холдинги «Deutsche Bank», «City-group», «Credit Suisse Group», «HSBC Holdings», «Lloyds», «UBS» и др.
Если с учетом изложенного рассматривать историю становления инвестиционных банков в России, где развивающийся на фоне сложных кризисных явлений рынок ценных бумаг не достиг такой ступени развития и не играет существенной роли в мобилизации и перераспределении капиталов, то становится очевидным, что в этих условиях банки, созданные первоначально как специализированные инвестиционные банки (Восточно-европейский инвестиционный банк, инвестиционный банк «Восток-Запад», Международный инвестиционный банк, Межрегионинвестбанк и др.), были вынуждены практически перейти к диверсификации своей деятельности, осуществлению всех видов банковских операций, характерных для универсальных банков. Проявление общей тенденции к универсализации применительно к российской экономике связано также с тем, что универсальные банки имеют более широкие возможности развития в условиях нестабильности экономической ситуации.
Стереотип деятельности инвестиционных банков зарубежных стран со сложившимся, устоявшимся финансовым рынком не может быть механически перенесен на условия развивающихся рынков, однако изучение опыта мировой практики в области создания и деятельности инвестиционных банков позволяет выделить апробированные формы и методы, которые могут быть использованы в России.
Организация инвестиционных банков, имеющих особое значение для российской экономики, столь нуждающейся в долгосрочных инвестициях, в рамках формирующейся универсальной модели скорее всего может быть осуществлена путем создания инвестиционных институтов как дочерних организаций крупных универсальных банков или формирования специализированных инвестиционных банков, действующих на основе системы государственных гарантий и льгот.

Таблица 8.5. Структура размещения ГДО в банковской сфере в 1996—1997 гг., %

Снижение доходности спекулятивных операций на финансовом рынке в 1996—1997 гг. не привело к автоматическому притоку банковских ресурсов в производственную сферу
Практика работы банков в период рыночного реформирования экономики подтверждает, что при наличии альтернативных направлений вложения средств в финансовые инструменты банки экономически не заинтересованы вкладывать средства в производственные инвестиции, характеризующиеся меньшей доходностью, длительными сроками окупаемости и высокими рисками.

Однако поскольку на практике инвестиционная деятельность связана с множественными рисками и использованием различных ресурсных источников, количество оптимальных соотношений возрастает. В связи с этим для достижения равновесия между риском и доходом необходимо использовать пошаговый метод решения путем последовательных приближений. Осуществление инвестиционной деятельности предполагает не только принятие известного риска, но и обеспечение определенного дохода. Если предположить, что минимальному риску соответствует минимальный необходимый доход, то можно выделить несколько секторов, характеризующихся определенной комбинацией дохода и риска: А, В, С.
Сектор А, вложения в котором не обеспечивают минимального необходимого дохода, может рассматриваться как область недостаточной доходности. Функционирование в секторе С связано с высокими рисками, снижающими возможность получения ожидаемых высоких доходов, поэтому сектор С может быть определен как область повышенного риска. Осуществление вложений в секторе В обеспечивает инвестору достижение дохода при допустимом риске, следовательно, сектор В является областью оптимальных значений соотношения доходности и риска.
Инвестиционная деятельность связана с различными видами рисков.
Корпоративный сайт. Эффективный инструмент бизнеса
Инвестиции: Анализ - Инвестирование - Инвестиционные фонды