Бочаров В. - Инвестиционный менеджмент
Производственная и коммерческая деятельность предприятий и корпораций связана с объемами и формами осуществляемых инвестиций. Термин инвестиции происходит от латинского слова invest, что означает вкладывать.
В более широкой трактовке они выражают вложение капитала с целью его последующего увеличения. При этом прирост капитала, полученный в результате инвестирования, должен быть достаточным, чтобы компенсировать инвестору отказ от имеющихся средств на потребление в текущем периоде, вознаградить его за риск и возместить потери от инфляции в будущем периоде.
Инвестиции выражают все виды имущественных и интеллектуальных ценностей, которые вкладываются в объекты предпринимательской деятельности, в результате которой образуется прибыль (доход) или достигается социальный эффект. Инвестиционная деятельность вложение инвестиций и осуществление практических действий для получения прибыли или иного полезного эффекта.
Инвестиции в активы предприятия отражаются на левой стороне бухгалтерского баланса, а источники их финансирования на правой (в пассиве баланса). Они могут направляться в капитальные, нематериальные, оборотные и финансовые активы.
Последние выступают в форме долгосрочных и краткосрочных финансовых вложений.
Инвестиции в основной капитал (основные средства) осуществляются в форме капитальных вложений и включают в себя затраты на новое строительство, расширение, реконструкцию и техническое перевооружение действующих предприятий, приобретение оборудования, инструмента и инвентаря, проектной продукции и иные расходы капитального характера. Капитальные вложения неразрывно связаны с реализацией инвестиционных проектов.
Инвестиционный проект обоснование экономической целесообразности, объема и сроков проведения капитальных вложений, включая необходимую документацию, разрабатываемую в соответствии с принятыми в России стандартами (нормами и правилами), а также описание практических действий по осуществлению инвестиций (бизнес-план).
Источники финансирования инвестиций (пассив баланса) собственные (нераспределенная прибыль) и привлеченные средства (кредиты банков, займы юридических лиц, авансы, полученные от заказчиков проектов).
Следовательно, при рассмотрении понятия инвестиции следует ответить на три основных вопроса:
1. Кто инвестор?
2..Что он вкладывает?
- С какой целью и куда?
В роли инвесторов выступают юридические лица (предприятия и организации), государство, граждане. Российской Федерации, иностранные юридические и физические лица.
Итак, что можно вкладывать?
Авансируется капитал в различных формах:
- амортизационные отчисления и чистая прибыль (оставшаяся после налогообложения предприятий (фирм));
- денежные ресурсы коммерческих банков, страховых компаний и иных финансовых посредников;
- финансовые ресурсы государства, мобилизуемые в рамках бюджетной системы;
- сбережения населения;
- профессиональные способности и навыки к труду, а также здоровье и время вкладчика (предпринимателя).
Основу инвестирования составляет вложение средств в реальный сектор экономики, т. е. в основной и оборотный капитал предприятий и корпораций.
Главными этапами инвестирования являются:
- Преобразование ресурсов в капитальные затраты, т. е. Процесс трансформации инвестиций в конкретные объекты инвестиционной деятельности (собственно инвестирование);
- Превращение вложенных средств в прирост капитальной стоимости, что характеризует конечное потребление инвестиций и получение новой потребительской стоимости (зданий, сооружений и т. д.);
- Прирост капитальной стоимости в форме прибыли, т. е. реализуется конечная цель инвестирования.
Таким образом, начальная и конечная цепочки замыкаются, образуя новую взаимосвязь: доходресурсыконечный результат (эффект), т. е. процесс накопления повторяется.
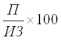
Итак, источником прироста капитала и целью инвестиций является получаемая от них прибыль (доход). На практике масса прибыли (П) сопоставляется с инвестиционными затратами (ИЗ) и определяется их эффективность:
Эффективность инвестиций =

(1)
Процесс сравнения инвестиционных затрат и финансовых результатов (прибыли) осуществляется непрерывно: до инвестирования (при разработке бизнес-плана инвестиционного проекта), в ходе его (в процессе строительства объекта) и после инвестирования (при эксплуатации нового объекта).
Процессы вложения капитала и получения прибыли могут происходить в различной временной последовательности.
При последовательном протекании этих процессов прибыль реализуется сразу после сдачи готового объекта в эксплуатацию и выхода его на проектную мощность, как правило, в пределах до одного года. Например, установка новой технологической линии на действующем предприятии.
При параллельном их протекании получение прибыли возможно до полного завершения строительства нового предприятия. Например, при вводе в эксплуатацию первой очереди (цеха или пускового комплекса).
При интервальном протекании процессов вложения капитала и получения прибыли между периодом завершения строительства предприятия и реализацией прибыли проходит длительное время (несколько лет).
Продолжительность временного лага зависит от форм инвестирования и особенностей конкретных объектов, а также от финансовых возможностей застройщиков. Следует также отметить характерные неточности, допускаемые отдельными авторами при определении термина инвестиции.
Во-первых, к ним часто относят потребительские инвестиции граждан (покупка бытовой техники, автомобилей, недвижимости и т. д.). Такие инвестиции не приводят к росту капитала и получению прибыли.
Во-вторых, встречается отождествление терминов инвестиции и капитальные вложения. Капитальные вложения форма институциональной деятельности предприятий, связанная с авансированием денежных средств в основной капитал.
Инвестиции же могут осуществляться в нематериальные и финансовые активы.
В-третьих, во многих определениях отмечается, что инвестиции являются вложением денежных средств. На практике так бывает не во всех случаях.
Инвестирование может осуществляться и в других формах, например взносов в уставный капитал предприятий движимого и недвижимого имущества, ценных бумаг, программного продукта и др.
В-четвертых, в ряде определений подчеркивается, что инвестиции это долгосрочное вложение средств.
Безусловно, капитальные вложения, связанные с новым строительством, расширением и реконструкцией производственных объектов, как правило, носят долгосрочный характер. Однако часто они бывают и краткосрочными.
Например, приобретение машин и оборудования, не требующих монтажа.
Темпы роста объема инвестиций зависят от ряда факторов.
Прежде всего объем инвестиций зависит от распределения получаемого дохода на потребление и накопление (сбережение). В условиях низких среднедушевых доходов населения основная их доля (75-80 %) расходуется на потребление.
Рост доходов граждан вызывает повышение доли, направляемой на сбережения, которые являются источником инвестиционных ресурсов. Следовательно, рост доли сбережений в общем доходе вызывает увеличение объема инвестиций, и наоборот.
На объем инвестиций оказывает влияние ожидаемая норма прибыли, так как прибыль является основным побудительным мотивом для них. Чем выше ожидаемая норма прибыли, тем больше объем инвестиций, и наоборот.
Существенное влияние на объем инвестиций оказывает ставка ссудного процента, так как в процессе инвестирования используются не только собственные, но и заемные средства. Если норма ожидаемой чистой прибыли оказывается выше средней ставки ссудного процента, то такие вложения выгодны для инвестора.
Поэтому рост процентной ставки вызывает снижение объема инвестиций в экономику страны.
На объем инвестиций также влияет предполагаемый темп инфляции. Чем выше этот показатель, тем в большей степени будет обесцениваться будущая прибыль инвестора и меньше стимулов к увеличению объема инвестиций (особенно в процессе долгосрочного инвестирования).
Поэтому в разработке бизнес-планов инвестиционных проектов указанные факторы должны учитываться при оценке эффективности их отбора для реализации.
Инвестиции в объекты предпринимательской деятельности осуществляются в различных формах. Для учета, анализа и планирования они классифицируются по отдельным признакам.
Во-первых, по объектам вложения денежных средств выделяют реальные и финансовые инвестиции.
Реальные инвестиции (капиталовложения) авансирование денег в материальные и нематериальные активы (инновации). Капитальные вложения классифицируются по:
- Отраслевой структуре (промышленность, транспорт, сельское хозяйство и т. д.);
- Воспроизводственной структуре (новое строительство, расширение, реконструкция и расширение действующих предприятий);
- Технологической структуре (строительно-монтажные работы, приобретение оборудования, прочие капитальные затраты).
Финансовые инвестиции вложения средств в ценные бумаги: долевые (акции) и долговые (облигации).
Во-вторых, по характеру участия в инвестировании прямые и косвенные инвестиции.
Прямые инвестиции предполагают непосредственное участие инвестора в выборе объекта для вложения денежных средств.
Косвенные инвестиции осуществляются через финансовых посредников коммерческие банки, инвестиционные компании и фонды и др. Последние аккумулируют и размещают собранные средства по своему усмотрению, обеспечивая их эффективное использование.
В-третьих, по периоду инвестирования вложения делятся на краткосрочные (на срок до 1 года) и долгосрочные (на срок свыше 1 года). Последние из них служат источником воспроизводства капитала.
В-четвертых, по форме собственности инвестиции подразделяются на частные, государственные, совместные и иностранные.
Частные инвестиции выражают вложение средств в объекты предпринимательской деятельности юридических лиц негосударственных форм собственности, а также граждан.
Государственные инвестиции характеризуют вложение капитала государственных унитарных и муниципальных предприятий, а также средств федерального и регионального бюджетов и внебюджетных фондов.
В-пятых, по региональному признаку инвестиции подразделяются на вложения внутри страны и за рубежом.
В-шестых, по уровню инвестиционного риска выделяют следующие виды инвестиций.
Безрисковые инвестиции характеризуют вложение средств в такие объекты инвестирования, по которым отсутствует реальный риск потери ожидаемого дохода или капитала, и практически гарантированно получение реальной прибыли.
Низко рисковые инвестиции характеризуют вложения капитала в объекты, риск по которым ниже среднерыночного уровня.
Средне рисковые инвестиции выражают вложения капитала в объекты, риск по которым соответствует среднерыночному уровню.
Высокорисковые инвестиции определяются тем, что уровень риска по объектам данной группы обычно выше среднерыночного.
Наконец, спекулятивные инвестиции выражают вложение капитала в наиболее рисковые активы (например, в акции молодых компаний), где ожидается получение максимального дохода.
Субъектами инвестиционной деятельности в России являются инвесторы (заказчики проектов, пользователи объектов, подрядчики, финансовые посредники, граждане и т. д.). Они классифицируются по следующим признакам.
1. По направлениям основной эксплуатационной деятельности индивидуальные и институциональные инвесторы. В роли индивидуальных инвесторов выступают физические лица, а институциональных юридические лица (например, финансовые посредники).
2.По целям инвестирования выделяют стратегических и портфельных инвесторов. Первые из них ставят цель приобрести контрольный пакет акций компании или большую долю в ее уставном капитале для осуществления реального управления фирмой. Они также осуществляют стратегию слияния и поглощения других компаний.
Портфельные инвесторы вкладывают свой капитал в различные финансовые инструменты с целью получения высокого текущего дохода или прироста капитала в будущем.
3.По принадлежности к резидентам выделяют отечественных и иностранных инвесторов. В роли последних могут выступать иностранные физические и юридические лица, государства и международные финансово-кредитные организации (Мировой Банк, Европейский Банк реконструкции и развития и т. д.).
Классификация форм инвестиций и видов инвесторов позволяет предприятиям и корпорациям более эффективно управлять инвестиционным портфелем.
ИНВЕСТИЦИОННАЯ ПОЛИТИКА ПРЕДПРИЯТИЙ
Инвестиционная политика составная часть общей финансовой стратегии предприятия, которая заключается в выборе и реализации наиболее рациональных путей расширения и обновления производственного потенциала.
При выработке инвестиционной политики целесообразно руководствоваться следующими принципами.
1.Достижение экономического научно-технического и социального эффекта от рассматриваемых мероприятий. При этом для каждого объекта инвестирования используются конкретные методы оценки эффективности. По итогам такой оценки осуществляется отбор отдельных инвестиционных проектов по критерию эффективности (рентабельности).
При прочих равных условиях принимаются к реализации те из них, которые обеспечивают предприятию максимальную эффективность.
2.Получение предприятием наибольшей прибыли на вложенный капитал при минимальных инвестиционных затратах.
3.Рациональное распоряжение средствами на реализацию бес прибыльных проектов, т. е. снижение расходов на достижение научно-технического, социального или экономического эффектов.
4.Использование предприятием государственной поддержки для повышения эффективности инвестиций в форме бюджетных ссуд, гарантий Правительства РФ и т. д.
5.Привлечение субсидий и льготных кредитов международных финансово-кредитных организаций и частных иностранных инвесторов.
6.Обеспечение минимизации инвестиционных рисков, связанных с реализацией конкретных проектов. Влияние коммерческих рисков (строительных, производственных, транспортных и иных рисков) может быть оценено через вероятное изменение ожидаемой доходности инвестиционных проектов и соответствующее снижение их эффективности. Такие риски могут быть снижены заказчиками проектов и привлеченными инвесторами посредством самострахования, т. е. созданием финансовых резервов, диверсификации инвестиционного портфеля и коммерческого страхования.
Защита от некоммерческих рисков (стихийные бедствия, аварии, беспорядки и др.) обеспечивается путем предоставления гарантий Правительства РФ и страхования инвестиций.
7.Обеспечение ликвидности инвестиций следует предусматривать в силу значительных изменений внешней инвестиционной среды, конъюнктуры рынка или стратегии развития предприятия в предстоящем периоде (году). Поэтому по отдельным объектам инвестирования может существен но снизиться доходность, что окажет негативное воздействие на общую инвестиционную привлекательность предприятия.
В силу влияния этих негативных факторов часто приходится принимать решение о своевременном выходе из неэффективных проектов и реинвестировании высвобождающегося капитала. С этой целью по каждому инвестиционному объекту следует оценить уровень ликвидности инвестиций по формулам:

(2)
где ОПл общий период ликвидности конкретного объекта инвестирования, дни; ПКв возможный период конверсии конкретного объекта инвестирования в денежные средства, дни; ПКт технический период конверсии инвестиций с абсолютной ликвидностью в денежные средства, принимаемый за 7 дней.

(3)
где Кли коэффициент ликвидности инвестиций, доли единицы; ПКт и ПКв - технический и возможный периоды конверсии конкретного объекта инвестирования в денежные средства.
Пример
ПКв = 60дн.; ПКт = 7дн.
Тогда ОПл = 60-7 = 53 дня;
Кли = 7 / 60 = 0,12.
По итогам оценки производится ранжирование проектов по критерию их ликвидности. Для реализации отбираются те из них, которые имеют максимальный уровень ликвидности.
При разработке инвестиционной политики учитываются следующие факторы:
- финансовое положение предприятия;
- технический уровень производства, наличие незавершенного строительства и не установленного оборудования;
- возможность получения оборудования по лизингу;
- наличие у предприятия как собственных, так и возможности привлечения заемных средств в форме кредитов и займов;
- финансовые условия инвестирования на рынке капитала;
- льготы, получаемые инвесторами от государства;
- коммерческая и бюджетная эффективность намечаемых к реализации проектов;
- условия страхования и получения соответствующих гарантий от некоммерческих рисков.
Потребность в ресурсах для реализации инвестиционной политики предприятия определяется его производственным и научно-техническим потенциалом, необходимым для обеспечения выпуска продукции в соответствии с запросами ранка. При оценке рынка продукции учитываются следующие факторы:
- географические границы реализации рынка данной продукции;
- общий объем продаж и его динамика за последние три года;
- динамика потребительского спроса, прогнозируемого на период реализации инвестиционного проекта;
- технический уровень продукции и возможности его повышения за счет реализации конкретных проектов.
Потребность предприятия в инвестиционных ресурсах соответствует расходам, которые предстоят с начала периода реализации инвестиционной политики. Стоимость объектов незавершенного строительства, оплаченного не установленного оборудования, иные затраты истекших лет не включаются в общий объем капитальных вложений предстоящего периода.
При разработке инвестиционной политики рекомендуется определить общий объем инвестиций, способы рационального использования собственных средств и возможности привлечения дополнительных денежных ресурсов с кредитного и фондового рынков.
Инвестиционные проекты в рамках долгосрочной стратегии предприятия целесообразно согласовывать между собой по объемам выделяемых ресурсов и срокам реализации исходя из достижения максимального экономического эффекта (дохода или прибыли), полученного в ходе реализации инвестиционной политики.
Данная политика разрабатывается специалистами предприятия на 1-2 года, а долгосрочная на период свыше двух лет. Ключевые аспекты данной политики рекомендуется учитывать при принятии решений по разработке технико-экономических обоснований (ТЭО) проектов, привлечению различных источников финансирования, участию в реализации проектов сторонних организаций в порядке долевого вклада в строительство.
Эффективность инвестиционной политики оценивается по показателям доходности и срока окупаемости инвестиций.
Указанные показатели определяются на основе бизнес-плана и предварительных расчетов по обоснованию проектов в рамках инвестиционной стратегии предприятия. Для конкретизации сроков осуществления различных мероприятий в рамках инвестиционной политики и обеспечения их финансовыми ресурсами предприятия разрабатывают бизнес-план инвестиционных проектов.
Бизнес-план включает в себя следующие разделы:
а) вводнную часть;
б) обзор состояния отрасли, к которой относится предприятие;
в) производственный план реализации проектов;
г) план маркетинга и сбыта продукции;
д) организационный план реализации проекта;
е) финансовый план;
ж) оценку экономической эффективности затрат, осуществленных в ходе реализации проекта.
Ключевым разделом бизнес-плана является финансовый план реализации проекта. Календарный план денежных потоков, поступлений и платежей в ходе реализации проекта включает три блока расчетов, относящихся к производственно-сбытовой, инвестиционной и финансовой деятельности предприятия.
Расчеты по каждому блоку завершаются определением сальдо притока и оттока денежных средств.
Сальдо поступлений и платежей от производственно-сбытовой деятельности представляет собой сумму чистой и амортизационных отчислений предприятия по годам.
Сальдо инвестиционной деятельности получается вычитанием полного объема инвестиций из инвестируемых собственных средств предприятия (кроме реинвестируемых чистой прибыли и амортизации).
Сальдо финансовой деятельности равно разности между суммой заемных средств, включая продажу эмитированных акций, необходимых для реализации проекта, и суммой средств, направляемых для погашения долга, уплаты процентов и выплаты дивидендов.
Условием успеха инвестиционного проекта является положительное значение общего сальдо денежного потока, определяемое суммированием итоговых величин сальдо производственно-сбытовой, инвестиционной и финансовой деятельности.
ПРАВОВОЕ РЕГУЛИРОВАНИЕ ИНВЕСТИЦИОННОЙ ДЕЯТЕЛЬНОСТИ ПРЕДПРИЯТИЙ, ОСУЩЕСТВЛЯЕМОЙ В ФОРМЕ КАПИТАЛЬНЫХ ВЛОЖЕНИЙ
В рыночном (товарном) хозяйстве объем намечаемых в экономику инвестиций зависит от уровня доходности капитальных и финансовых активов. Норма дохода, а через нее цена (курс) этих активов определяются спросом и предложением на инвестиционные товары.
Государство посредством финансовой и денежно-кредитной политики может влиять на изменение соотношений между инвестиционным спросом и предложением, а следовательно, на величину нормы дохода, получаемого от различных капитальных и финансовых активов.
Государство определяет стратегию поведения инвесторов на рынке инвестиционных товаров, а также структуру инвестиций. Исходя из состояния экономики (уровня инфляции, дефицита бюджетной системы, структуры производства, платежеспособного спроса населения на товары и услуги и иных факторов) применяются те или иные концепции регулирования рынка инвестиционных товаров.
При этом любая концепция базируется на целевых установках двух уровней: конечных целях (рост национального дохода, увеличение занятости населения, снижение темпов инфляции до 3-5 % в год); промежуточных целях (соотношение между спросом и предложением на капитал, процентные ставки на кредитные ресурсы, динамика денежной массы и др.).
Конечные (стратегические) цели определяют степень воздействия данной формы финансовой и денежно-кредитной политики на производство.
Промежуточные цели служат в качестве ориентиров регулирования пропорций между спросом и предложением на ресурсы в финансовой и денежно-кредитной сферах.
Принципы регулирования инвестиционной сферы в России определяются федеральными законами Об инвестиционной деятельности в Российской Федерации, осуществляемой в форме капитальных вложений от 25.02.1999 г. 39-ФЗ и Об иностранных инвестициях в Российской Федерации от 9,07.1999 г. 160-ФЗ.
Если рассмотреть данные законодательные акты с позиции их соответствия рыночным отношениям, то можно отметить следующие аспекты.
- Расширительная трактовка инвестиций и инвестиционной деятельности как вложение инвестиций и осуществление практических действий для получения прибыли или иного полезного эффекта.
- Четкая и конкретная формулировка основных понятий, характеризующих инвестиционную сферу, что создает единую терминологию для изучения инвестиционного процесса (напри
мер, капиталовложения, инвестиционный проект, субъекты инвестиционной деятельности и др.).
- Легализация сферы негосударственного инвестирования, функционирующей на основе договоров между субъектами инвестиционной деятельности (застройщиками и подрядчиками).
- Широкий перечень мер государственного регулирования инвестиционной деятельности, включая экономические и административные методы управления инвестициями.
5. Комплексный характер защитных мер и гарантий государства в области инвестирования, в том числе для иностранных инвесторов.
Законодательные основы политики инвестирования регулируют инвестиционную деятельность в различных формах (табл. 1.1).
Таблица 1.1
Формы государственного регулирования инвестиционной деятельности предприятий
|
п/п |
Наименование форм регулирования |
|
1 |
Создание благоприятных экономических условий для развития инвестиционной деятельности |
|
1.1 |
Налоговая политика (налоговые льготы) |
|
1.2 |
Амортизационная политика (применение методов ускоренной амортизации) |
|
1.3 |
Расширение использования средств населения и других внебюджетных источников |
|
1.4 |
Развитие возможностей использования залога при кредитовании инвесторов |
|
1.5 |
Развитие финансового лизинга движимого и недвижимого имущества |
|
1.6 |
Создание возможностей субъектам инвестиционной деятельности для формирования собственных денежных фондов развития |
|
2 |
Прямое участие государств в инвестиционной деятельности, осуществляемой в форме капитальных вложений |
|
2.1 |
Разработка, утверждение и финансирование инвестиционных проектов, осуществляемых за счет средств федерального бюджета и бюджетов субъектов РФ, а также реализуемых РФ совместно с иностранными инвесторами |
|
2.2 |
Предоставление на конкурсной основе государственных гарантий по проектам, реализуемых за счет средств федерального бюджета и бюджета субъектов РФ |
|
2.3 |
Размещение на конкурсной основе средств федерального бюджета и средств бюджетов субъектов РФ для финансирования проектов |
|
2.4 |
Выпуск облигационных займов для финансирования конкретных инвестиционных проектов |
|
2.5 |
Предоставление концессий отечественным и иностранным инвесторам по итогам торгов (конкурсов и аукционов) и др. |
|
3 |
Иные формы регулирования инвестиционной деятельности |
|
3.1 |
Экспертиза инвестиционных проектов |
|
3.2 |
Защита законных прав и интересов субъектов инвестиционной деятельности и т.д. |
АНАЛИЗ СОВРЕМЕННОГО СОСТОЯНИЯ ПОРТФЕЛЬНЫХ ИНВЕСТИЦИЙ В РОССИИ
Инвестиционный портфель представляет собой совокупность входящих в него инвестиционных проектов и ценных бумаг. Основной целью управления данного портфеля является обеспечение наиболее эффективных путей реализации инвестиционной стратегии акционерного общества на отдельных этапах его развития.
В процессе реализации основной цели при управлении портфелем решаются следующие действия.
Во-первых, обеспечение высоких темпов экономического развития акционерного предприятия за счет эффективной инвестиционной деятельности. Между эффективностью инвестиционной деятельности и темпами экономического развития существует прямая связь чем выше объем продаж и прибыли, тем больше средств остается на инвестиции.
Во-вторых, обеспечение максимизации дохода (прибыли) от инвестиционной деятельности. Для целей экономического развития предприятия приоритетное значение имеет не валовая, а чистая прибыль.
Поэтому при наличии нескольких инвестиционных проектов рекомендуется выбирать тот из них, который обеспечивает наибольшую сумму чистой прибыли на вложенный капитал.
В-третьих, обеспечение минимизации рисков. Инвестиционные риски многообразны и сопутствуют всем видам инвестиционной деятельности.
При неблагоприятных условиях они могут вызвать не только потерю прибыли (дохода) от инвестиций, но и части инвестируемого капитала.
Поэтому для принятия решений по реализации инвестиционных проектов целесообразно существенно ограничивать инвестиционные риски.
В-четвертых, обеспечение финансовой устойчивости и платежеспособности предприятия в процессе осуществления инвестиционной деятельности. Данная деятельность связана с отвлечением финансовых ресурсов в больших размерах и на длительный срок, что может привести к снижению платежеспособности предприятия по текущим хозяйственным операциям. Кроме того, финансирование отдельных инвестиционных проектов осуществляется за счет привлечения заемных средств.
Резкое повышение их удельного веса в пассиве баланса предприятия может привести к потере финансовой устойчивости предприятия в долгосрочном периоде. Поэтому, формируя инвестиционные источники, следует заранее прогнозировать, какое влияние они окажут на финансовую устойчивость и платежеспособность предприятия.
В-пятых, изыскание путей ускорения реализации инвестиционных проектов. Намеченные к реализации проекты должны быть выполнены как можно быстрее исходя из следующих соображений:
- прежде всего высокие темпы реализации каждого проекта способствуют ускорению экономического развития предприятия в целом;
- чем раньше реализуется проект, тем быстрее формируется дополнительный денежный поток в форме прибыли от инвестиций;
- ускорение времени реализации проекта сокращает сроки инвестиционных рисков, связанных с неблагоприятным изменением конъюнктуры на рынке инвестиционных товаров.
Перечисленные задачи управления инвестиционным портфелем тесно взаимосвязаны. Так, обеспечения высоких темпов развития предприятия можно достигнуть за счет подбора высокодоходных проектов и ускорения их реализации. В свою очередь максимизация прибыли (доход) от инвестиций, как правило, сопровождается ростом инвестиционных рисков, что требует их оптимизации.
Минимизация инвестиционных рисков является важнейшим условием обеспечения финансовой устойчивости и платежеспособности предприятия в процессе осуществления инвестиционной деятельности.
Следовательно, исходя из рассмотренных задач управления инвестиционным портфелем приоритетной из них является не максимизация прибыли от инвестиционной деятельности, а обеспечение высоких темпов экономического развития предприятия при достаточном уровне его финансовой устойчивости в процессе этого развития.
С учетом перечисленных выше задач определяется программа действий по формированию и реализации инвестиционного портфеля:
1) исследование внешней инвестиционной среды и прогнозирование конъюнктуры на рынке инвестиционных товаров. Сюда относятся:
- правовые условия инвестиционной деятельности в разрезе форм инвестиций;
- анализ текущего состояния рынка;
- прогноз конъюнктуры рынка в разрезе сегментов в целом;
- разработка стратегических направлений инвестиционной деятельности предприятия, что предполагает формирование целей инвестирования на ближайшую перспективу;
- разработка стратегии формирования инвестиционных ресурсов для реализации выбранной инвестиционной стратегии. К таким ресурсам относятся собственные средства: чистая прибыль, амортизационные исчисления и привлеченные средства с кредитного и фондового рынков;
- поиск и оценка инвестиционной привлекательности реальных проектов, отбор наиболее эффективных из них. Тщательная экспертиза выбранных проектов, расчет уровня доходности и ранжирование по этому показателю выбранных проектов для инвестирования;
- оценка инвестиционного качества отдельных финансовых инструментов и отбор наиболее эффективных из них (например, акций и корпоративных облигаций);
- формирование инвестиционного портфеля и его оценка по критериям доходности, риска и ликвидности. Расчет ведется по каждому инвестиционному проекту и фондовому инструменту. Сформированный инвестиционный портфель можно рассматривать как реализуемую в текущем периоде совокупность инвестиционных программ;
- текущее планирование и оперативное управление отдельных инвестиционных программ и проектов (календарные планы и бюджеты реализации отдельных инвестиционных проектов);
- организация мониторинга реализации отдельных проектов (контроль и анализ за ходом реализации);
- подготовка решений о своевременном выходе из неэффективных проектов и продаже отдельных финансовых инструментов, реинвестирование высвобождаемого капитала. Если фактическая эффективность проектов (ценных бумаг) окажется ниже расчетной, то принимается решение о выходе из таких проектов и определяются формы такого выхода (реализация активов, акционирование, поглощение отдельных фирм и т. д.);
10) корректировка инвестиционного портфеля путем подбора других проектов или фондовых инструментов, в которые реинвестируется высвобождаемый капитал.
Важнейшие аспекты формирования и управления инвестиционным портфелем рассматриваются в последующих разделах данной работы.
АНАЛИЗ СОСТОЯНИЯ И ПЕРСПЕКТИВ РАЗВИТИЯ ПОРТФЕЛЬНЫХ ИНВЕСТИЦИЙ
Ключевой задачей, которую должен выполнять фондовый рынок в России, является обеспечение гибкого межотраслевого перераспределения инвестиционных ресурсов, максимально возможного притока отечественных и зарубежных инвестиций в реальный сектор экономики, а также создание благоприятных условий для стимулирования накоплений и трансформации сбережений в инвестиции.
С учетом специфики российского рынка ценных бумаг в рамках переходной экономики складывающаяся модель должна содействовать достижению следующих целей:
а) макроэкономической стабилизации;
б) создания условий для экономического роста;
в) эффективного финансирования внутреннего государственного долга;
г) надёжной защиты прав инвесторов;
д) развития процессов интеграции отдельных регионов;
е) стимулирования вложения капитала преимущественно в российскую экономику.
В то же время текущее развитие народного хозяйства происходит в условиях глубокого инвестиционного кризиса. Он выражается как в остром дефиците финансовых ресурсов на рынке, так и в нежелании инвесторов (внутренних и внешних) вкладывать средства в реальный сектор, и прежде всего в промышленность. Главная причина высокий уровень инвестиционных рисков политических, рыночных, законодательных, валютных и др.
В такой ситуации особое значение приобретает мобилизация внутренних источников инвестиций и в особенности денежных средств населения.
Институциональные реформы, которые были осуществлены в 90-е гг., не могут считаться завершенными без создания надежного финансового сектора, способного мобилизовать и предоставить реформируемой экономике инвестиционные ресурсы для нее. Стимулирование производства и инвестиций, структурная перестройка и повышение эффективности экономики являются определяющими факторами становления конкурентоспособности финансового рынка.
Принимая во внимание масштаб задач, которые предстоит решить в ближайшие годы, очевидно, что хозяйство России не может полагаться на бюджетную систему и банковский сектор для обеспечения финансирования реструктуризации экономики. Очевидно, что роль рынка ценных бумаг в этой связи приобретает исключительно важное значение.
Фондовый рынок в России получил свое развитие в 1991 г. после принятия известного Постановления Совета Министров РСФСР Об утверждении Положения об акционерных обществах от 25.12.1990, 60. Для первого этапа были характерны такие процессы, как появление первых открытых акционерных обществ (ОАО), появление государственных облигаций на биржевых торгах, создание десятков бирж, начало функционирования первых инвестиционных компаний и др, К концу этого этапа было закончено формирование первичной базы развития портфельных инвестиций.
Постановление Совета Министров РСФСР Об утверждении Положения о выпуске и обращении ценных бумаг на фондовых биржах в РСФСР от 28.12.1991, 78 на пять последующих лет стало основным документом, регулирующим инвестиционную деятельность в стране.
Второй этап развития портфельных инвестиций (1992-1994 гг.) характеризовался процессом приватизации и разгосударствления предприятий. В этом периоде законодательство было направлено на создание основ организационного рынка государственных ценных бумаг.
Наибольшее влияние на развитие фондового рынка в 1992-1994 гг. оказал Указ Президента РФ Об организационных мерах по преобразованию государственных предприятий, добровольных объединений государственных предприятий в акционерные общества от 01.07.1992, 721. Технология чековой (ваучерной) приватизации стала в свою очередь решающей для развития инфраструктуры фондового рынка.
По имеющимся оценкам, именно в 1994 г. рынок ценных бумаг в России впервые стал оказывать сильнейшее влияние на общеэкономическое развитие страны. Так, расширение рынка государственных краткосрочных облигаций (ГКО) в 1994 г. позволило в определенной мере уменьшить размер свободных денежных ресурсов -, оказывающих негативное влияние на курс рубля к доллару и на темпы инфляции.
1994 г. ознаменовался также осуществлением первых вложений иностранных инвесторов в акции российских приватизационных предприятиях. Таким образом, в 1994 г. совпали во времени два качественных сдвига:
1)резкое увеличение предложения ценных бумаг вследствие интенсификации эмиссионной деятельности;
2)значительный рост спроса на инвестиционные ценности (табл. 4.1). К концу 1994 г. в России сформировался ряд новых институциональных структур:
а) корпоративный центр экономики (более 50 тыс. акционерных обществ открытого и закрытого типа);
Таблица 4.1
Важнейшие показатели первичного рынка ГКО-ОФЗ
|
Период |
Объем эмиссии |
Объем размещения |
Объем выручки |
Привлечение средств в бюджет |
|
ГКО |
ОФЗ |
ГКО |
ОФЗ |
ГКО |
ОФЗ |
ГКО |
ОФЗ |
1994
1995 |
20,5 |
|
17,5 |
|
12,9 |
|
5,7 |
|
1995
1996 |
157,0 |
14,0 |
134,2 |
6,2 |
100,1 |
6,1 |
8,9 |
2,1 |
|
1 полугодие |
185,5 |
8,0 |
159,5 |
12,2 |
110,2 |
12,5 |
7,8 |
4,2 |
б) биржевой и внебиржевой рынки корпоративных ценных бумаг, включая их инфраструктуру и вторичный рынок акций приватизированных предприятий;
в) система институциональных инвесторов (инвестиционных компаний и фондов);
г) социальный слой формальных собственников (около 40 млн. акционеров приватизированных государственных предприятий).
В результате быстрого развития фондового рынка потребности эмитентов переросли те возможности, которые предоставляла инфраструктура рынка. Если в 1992-1993'гг. можно было констатировать, что развитие его инфраструктуры опережало развитие рынка ценных бумаг в целом, то в 1995-1996 гг. ситуация поменялась на обратную.
Быстрое развитие фондового рынка поставило в качестве одного из ключевых вопросов создание новой нормативной базы.
Для третьего этапа развития рынка ценных бумаг (1995 г. - июль 1998 г.) характерны следующие признаки:
- выход в 1995-1997 гг. законодательной и нормативной базы, определяющей инвестиционально-регулятивные аспекты функционирования фондового рынка в России;
- позитивные качественные изменения, связанные с развитием инфраструктуры рынка около 200 лицензированных регистраторов, 6 лицензированных депозитариев и подготовка к
созданию центрального депозитария, создание и развитие Российской торговой системы (РТС), формирование системы саморегулируемых организаций участников рынка;
- общие благоприятные тенденции и значительные резервы в развитии ликвидности и стабильности рынка;
- вступление в силу в 1996 г. федеральных законов Об акционерных обществах и О рынке ценных бумаг.
Решение проблемы привлечения инвестиций в экономику России является одной из актуальных задач и во многом зависит от развития фондового рынка. С помощью данного рынка предполагалось облегчить условия для привлечения иностранных инвестиций на российские предприятия и доступ последних к более дешевому, по сравнению с банковским, кредитом капиталу.
До настоящего времени эта проблема не решена.
К числу наиболее острых, ухудшающих инвестиционный климат проблем относятся: слабая защита акционеров, недостаточное развитие инфраструктуры фондового рынка по сравнению с западными аналогами, высокая налоговая нагрузка на эмитентов, инвесторов и др.
Определенные надежды на разрешение данной проблемы появились в связи с выходом в свет в апреле 1996 г. Федерального Закона РФ О рынке ценных бумаг , который заменил свыше 110 охватывающих сферу его действия нормативных документов. Нелишенный некоторых противоречий, он представляет собой значительный вклад в развитие регулирования фондового рынка. Данным законодательным актом регулируются финансовые отношения, возникающие при выпуске и обращении всех видов эмиссионных ценных бумаг и связанные с деятельностью профессиональных участников с единым государственным регулированием и информационным обеспечением фондового рынка. Функции главного координатора рынка ценных бумаг возложены на Федеральную комиссию по ценным бумагам (ФКЦБ) при Правительстве РФ, которой придан статус федерального ведомства.
Основные операторы были объединены в Профессиональную ассоциацию участников фондового рынка России (НАУФОР). Создана также профессиональная ассоциация регистраторов, трансфер-агентов и депозитариев (ПАРТАД), которая призвана способствовать развитию инфраструктуры рынка. Указом Президента РФ от 01.07.1996, 1008 была утверждена Концепция развития рынка ценных бумаг в Российской Федерации, определяющая стратегию и основные положения государственной политики, а также развитие нормативной базы рынка. Важнейшими целями, достижение которых формулировалось в Концепции, являлись формирование в России самостоятельного национального фондового центра, привлечение в экономику через рынок ценных бумаг иностранных инвесторов и др.
Российский фондовый рынок на третьем этапе развития (1995-1998 гг.) был представлен несколькими сегментами, а именно: рынками государственных долговых обязательств, муниципальных и региональных займов, корпоративных ценных бумаг, эмитированных банками и другими инвестиционными институтами.
Вместе с тем структура фондового рынка отличалась диспропорциональностью, так как большая часть оборота (свыше 80 %) приходилась на торговлю государственными ценными бумагами. Данный сегмент фондового рынка оказался наиболее продвинутым, с относительно развитой инфраструктурой, высоким уровнем регулирования, а следовательно, и технической надежностью.
Созданный в 1992 г. с целью финансирования дефицита федерального бюджета, он стремительно развивался и занял большую долю всего рынка ценных бумаг. По мнению одних специалистов, рынок государственных бумаг оказался в тупике, а по мнению других, на распутье.
Проследим развитие этого рынка по кризисным этапам его становления. В 1993 г. произошло первое погашение обязательств по ГКО, что было большим событием на фондовом рынке. В октябре 1994 г. случился черный вторник. В этом году произошло качественное изменение компьютерной системы, используемой на рынке ГКО.
Другой критический момент пришелся на август 1995 г., когда произошел обвал рынка межбанковских кредитов (МБК) и, кроме продажи государственных ценных бумаг и валюты, других способов получения денежных средств почти не осталось. Рынок ГКО тогда помог банковской системе выйти из кризисного состояния, и стало ясно, что он может быть важным инструментом для стабилизации финансовой системы государства.
В маеиюне 1996 г. на рынок ГКО устремились иностранные инвесторы, что способствовало его мобилизации и интеграции с международным финансовым рынком. Это помогло удержать российский фондовый рынок в более или менее стабильном состоянии.
В тот период рынок устоял, но появились новые проблемы:
- высокие затраты по обслуживанию внутреннего государственного долга, достигавшие 25-30 % общего объема расходов федерального бюджета;
- в условиях экономического кризиса рынок ГКО благодаря высокой доходности отвлекал значительные финансовые ресурсы из реального сектора экономики, в частности с рынка производственных инвестиций.
Поэтому государство предприняло ряд шагов по снижению доходности ГКО до уровня инфляции. Правительство РФ 08.06.1996 издало распоряжение об ограничениях в третьем квартале уровня доходности по трехмесячным ГКО в пределах 20-30 %, по шестимесячным 30-40 %, а по ОФЗ в пределах 40-50 % годовых.
Для этой же цели (снижения доходности) было введено обложение налогом доходов от операций с государственными ценными бумагами и принято решение о допуске (с августа 1996 г.) нерезидентов на вторичный рынок ГКО-ОФЗ.
Однако ориентиры, намеченные правительственным распоряжением, достигнуты не были, хотя во второй половине 1996 г. удалось несколько снизить доходность ГКО (табл. 4.2).
Рынок государственных долговых обязательств работал только для покрытия дефицита федерального бюджета. Это, с одной сторо-
Таблица 4.2
Сравнение доходности по ГКО-ОФЗ с рядом макроэкономических показателей
|
Годы |
Эмиссия
ГКО -ОФЗ |
Налоговые доходы в федеральный
бюджет (% к утвержденному) |
Просроченная
кредиторская
задолженность
(трлн) |
Зарплата в
Ценах декабря
1991 года (%) |
Рентабельность
промышленноети(%) |
Доходность
ГКО-ОФЗ
(% годовых на
начало года) |
|
1 |
2 |
3 |
4 |
5 |
6 |
7 |
|
1995 |
171,0 |
100,1 |
253,2 |
31 |
20,1 |
250,0 |
|
1996 |
479,0 |
77,4 |
514,4 |
35 |
8,8 |
105,7 |
1997 (январь -
сентябрь) |
466,0 |
59,4 |
723,4 |
35 |
7,0 |
32,8 |
Таблица 4.3
Структура денежной массы (в %)
|
Показатели |
Годы |
|
1994 |
1995 |
1996 |
1997 |
|
Денежная масса (М2) всего, в том числе |
100 |
100 |
100 |
100 |
|
Наличные деньги (МО) |
40,1 |
37,3 |
36,6 |
35,2 |
|
Безналичные средства |
59,9 |
62,7 |
63,4 |
64,8 |
ны, препятствовало снижению доходности ГКО-ОФЗ, а с другой требовало увеличения объема заимствований.
Для эффективного развития рынка ГКО-ОФЗ имелись две возможности, которые не были реализованы:
1) благоприятные изменения в структуре денежной массы (снижение доли наличных и рост доли безналичных составляющих М2);
2)увеличение ликвидных возможностей контрагентов в реальном секторе экономики.
Структура денежной массы в экономике РФ показана в табл. 4.3.
Эти возможности связаны с экономической стабилизацией, которая требует производственных инвестиций и снижения налогового бремени на товаропроизводителей, но в российской экономике свободных денежных средств не оказалось. Они были направлены на выплату процентов по государственному долгу держателям ГКО-ОФЗ, что в конечном итоге привело к кризису финансовой системы России и фондового рынка в частности в августесентябре 1998 г.
На третьем этапе становления фондового рынка в России (1995 г. июль 1998 г.) определенное развитие получил рынок корпоративных ценных бумаг. Однако до 90 % торгового оборота в данном сегменте рынка приходилось на акции крупнейших акционерных компаний топливно-энергетического комплекса (так называемые голубые фишки). Уже в 1996 г. голубые фишки (blue chip) были вполне приемлемым финансовым активом для умеренных инвесторов.
Доходы от инвестирования в эти активы были сопоставлены с доходами от операций с ГКО. В 1997 г. тенденция сохранилась.
Однако в 1998 г. доходы по ним резко снизились, а инвесторам необходима гарантия дохода, которую могут предоставить привилегированные акции крупных нефтегазовых компаний. Тем не менее следует отметить, что голубые фишки будут занимать лидирующие позиции на рынке корпоративных ценных бумаг.
В настоящее время (после 17.08.1998) для инвесторов, вкладывающих средства в корпоративные ценные бумаги, существуют три возможные стратегии на фондовом рынке.
Первая стратегия основана на предложении, что стоимость финансовых активов недоступна и разница в рыночной капитализации будет постоянно сокращаться вместе с экономической стабилизацией. Инвесторы, действующие исходя из данной стратегии, предпочитают покупать перспективные акции и держать их в портфеле, дожидаясь роста курсовой стоимости, связанной с глобальной стабилизацией хозяйственной системы России и инфраструктуры фондового рынка в частности.
Вторая стратегия, преобладающая среди иностранных инвесторов, купи сегодня, продай завтра. Придерживаясь ее, инвестор пытается спрогнозировать объем потока инвестиций в Россию и уловить рыночную устойчивость, которая служит индикатором данного вида ценных бумаг.
Для таких (стратегических) инвесторов по-прежнему основным объектом вложения капитала остаются голубые фишки и наиболее ликвидные акции второго эшелона (высокотехнологических предприятий). Именно они подвержены наиболее заметным колебаниям цен и обладают достаточной перспективной ликвидностью и доходностью.
Однако максимальную прибыль можно получить, используя третью стратегию поимки ликвидности. При продвижении акций вверх по уровню ликвидности все более высокая премия за ликвидность ценных бумаг входит в их цену. Поэтому ключевой проблемой является поиск акционерных компаний, находящихся на стадии превращения в наиболее ликвидные.
Инвесторы, делающие ставку на рост ликвидности, стремятся опередить конъюнктуру рынка, находя предприятия, акции которых относительно недооценены. В каждой отрасли всегда найдутся предприятия с невысокой стоимостью капитала, но имеющие благоприятные возможности для реализации своей продукции и получения прибыли, а также располагающие сильной командой руководителей.
Ключевым аспектом стратегии поимки ликвидности является предположение, что рынок корпоративных ценных бумаг в России рационален в оценке акций на основе финансовых показателей эмитентов. Тем не менее многие иностранные инвесторы не верят в эффективность российского фондового рынка. Российский рынок корпоративных акций и облигаций возник в период массовой приватизации государственных предприятий, когда не существовало законодательства, регулирующего раскрытие информации об эмитентах.
Многие предприятия закрывали информацию о доходности и ликвидности своих акций. Большинство руководителей, опасаясь утратить контроль над предприятиями, всячески блокировали раскрытие финансовой информации для инвесторов и вкладчиков. Однако каждое предприятие нуждается в производственных инвестициях, которые могут поступить либо от внешних, либо от отечественных инвесторов, неплохо разбирающихся в рыночной конъюнктуре.
Позему политика, направленная на сокрытие финансовой информации, обречена на неудачу. Уже в 1995 г., когда финансовые ресурсы были иммобилизованы в неплатежи, а инвестиции предприятиям так и не поступили, ситуация с информацией стала меняться к лучшему.
В настоящее время фундаментальный анализ российских предприятий начинает играть все более заметную роль не только в отчетах аналитических отделов инвестиционных компаний, но и в решениях инвесторов.
Федеральная комиссия по рынку ценных бумаг
- Федеральная комиссия по рынку ценных бумаг (ФКЦБ) и ее региональные отделения;
- Министерство финансов РФ;
- Центральный банк России;
- Государственный антимонопольный Комитет;
- Министерство по налогам и сборам.
ФКЦБ РФ является органом исполнительной власти в области фондового рынка по контролю за деятельностью его профессиональных участников. Она определяет порядок их деятельности и устанавливает стандарты эмиссии ценных бумаг. Руководитель ФКЦБ является по должности федеральным министром. ФКЦБ осуществляет разработку основных направлений развития фондового рынка и координирует деятельность федеральных органов исполнительной власти по вопросам регулирования данного рынка.
Круг деятельности ФКЦБ достаточно широк и определяется федеральным законодательством.
Саморегулируемой организацией профессиональных участников рынка ценных бумаг является добровольное объединение финансовых посредников. Саморегулируемая организация функционирует на некоммерческой основе.
Она учреждается профессиональными участниками фондового рынка для обеспечения благоприятных условий их деятельности на этом рынке.
Все доходы саморегулируемой организации используются для выполнения уставных задач и не распределяются среди ее членов. Исходя из требований федерального законодательства по проведению операций на рынке ценных бумаг саморегулируемая организация устанавливает для своих членов правила осуществления профессиональной деятельности на этом рынке, стандарты проведения операций с ценными бумагами и контроль за их соблюдением.
ФКЦБ вправе отказать в выдаче лицензии саморегулируемой организации и аннулировать выданную ей ранее лицензию с обязательным опубликованием сообщения об этом в средствах массовой информации.
ВЫВОДЫ
- При формировании портфеля не представляется возможным найти фондовый инструмент, который одновременно был бы высоко доходным и ликвидным, но малорискованным. Каждый фондовый инструмент может обладать, как правило, двумя свойствами. Однако качественно составленный портфель из различных ценных бумаг помогает разрешить это противоречие.
- Основной вопрос, который возникает при управлении портфелем: как определить пропорции между различными видами ценных бумаг с неодинаковыми свойствами?
Определение пропорций между сегментами фондового рынка и между ценными бумагами, входящими в портфель конкретного инвестора, базируется на следующих принципах: диверсификация портфеля, консервативность, достаточная ликвидность и безопасность.
- Стратегической целью при работе на фондовом рынке должно
быть освоение технологий получения дополнительной прибыли путем эффективного реинвестирования денежных средств в более доходные активы.
- Без создания эффективного фондового рынка невозможно решить задачу его превращения в организатора и регулятора хозяйства России. По своей экономической природе фондовый рынок призван обеспечить динамическое и рациональное движение капитала между отдельными отраслями для подъема реального сектора экономики страны. Именно реальный сектор народного хозяйства является фундаментом для экономического и социального развития России
Вопросы по курсу Инвестиционный менеджмент
- Основный понятия и определения: инвестиции, инвестиционный проект; объекты,
источники и формы инвестиций, этапы инвестирования.
- Эффективность инвестиций. Факторы, влияющие на объем инвестирования.
- Классификации инвестиций и инвесторов.
- Принципы инвестиционной политики предприятия.
- Бизнес-план инвестиционных проектов. Сальдо денежных потоков.
- Формы государственного регулирования инвестиционной деятельности.
7 Правила инвестирования, выработанные практикой.
8. Цена капитала. Средневзвешенная стоимость капитала.
- Принципы оценки инвестиционных проектов.
- Методы финансовой оценки инвестиционных проектов.
- Метод чистой текущей стоимости оценки проекта.
- Метод внутренней нормы прибыли оценки проекта.
- Эффект финансового рычага.
- Анализ чувствительности инвестиционного проекта.
- Финансовый рынок: определение, назначение, участники и сегменты.
- Функции финансового рынка.
- Портфель ценных бумаг и его типы.
- Классификация финансовых рынков. Емкость и коньюктура рынка.
- Фондовая биржа.
- Продавцы и покупатели фондовых инструментов.
- Финансовые посредники фондового рынка.
- Аспекты инвестиционного менеджмента (анализ дисконтированного денежного потока и д.р.)
- Теория портфеля (модель САРМ).
- Цели и задачи управления инвестиционным портфелем
- Программа действий по формированию и реализации инвестиционного портфеля.
- Краткий анализ инвестиционной среды России.
- Стратегии инвесторов корпоративных ценных бумаг.
- Портфель ценных бумаг и его типы.
- Концепции управления портфелем ценных бумаг.
- Требования, предъявляемые к портфелю ценных бумаг.
31. Цели портфельного инвестирования.
- Структура фондового портфеля различных (по риску) инвесторов. Финансовый
леверидж.
- Использование средств, полученных АО с иондового рынка.
- Традиционный подход к управлению портфелем ценных бумаг.
- Методы оптимизации фондового портфеля.
- Диверсификация фондового портфеля.
- Виды доходов по ценным бумагам. Доходность инвестиций и портфеля.
- Фундаментальный анализ инвестиционной ситуации.
- Технический анализ инвестиционной ситуации.
- Активная модель управления фондовым портфелем.
- Пассивная модель управления фондовым портфелем.
- Оценка инвестиционной привлекательности эмитента.
- Риски портфельных инвестиций
- Способы снижения рисков портфельных инвестиций.
ЛИТЕРАТУРА
- Гражданский Кодекс Российской Федерации (часть первая) от 21.10.1994.
- Гражданский Кодекс Российской Федерации (часть вторая) от 22.12.1995.
- Налоговый Кодекс Российской Федерации (часть первая) от 31.12.J998.
- Закон РФ О валютном регулировании и валютном контроле от 9,10.1992, 3615-1.
- Федеральный Закон О Центральном банке Российской Федерации (Банк России) от 26.04.1995, 65-ФЗ.
- Федеральный Закон О банках и банковской деятельности от 3.02.1996, 17-ФЗ.
- Федеральный Закон Об акционерных обществах от 26.12.1995, 208-ФЗ.
- Федеральный Закон О рынке ценных бумаг от 22.04.1996, 39-ФЗ.
- Федеральный Закон О несостоятельности (банкротстве) от 8.01.1998, 6-ФЗ.
- Федеральный Закон Об особенностях правового положения акционерных обществ работников (народных предприятий) от 19.07.1998, 115-ФЗ.
- Федеральный Закон О первоочередных мерах в области бюджетной и налоговой политики от 29.12.1998, 192-ФЗ.
- Федеральный Закон Об инвестиционной деятельности в Российской Федерации, осуществляемой в форме капитальных вложений от 25.02.1999, 39-ФЗ.
- Федеральный Закон О несостоятельности (банкротстве) кредитных организаций от 25.02.1999, 40-ФЗ.
- Федеральный Закон О защите прав и законных интересов инвесторов на рынке ценных бумаг от 5.03.1999, 46-ФЗ.
- Указ Президента РФ Об организационных мерах по преобразованию государственных предприятий, добровольных объединений государственных предприятий в акционерные общества от 1.07.1992, 721.
- Указ Президента РФ О дополнительных мерах по повышению эффективности инвестиционной политики Российской Федерации от 26.07.1995, 765.
- Указ Президента РФ О мерах по оздоровлению государственных финансов от 11.12.1997, 1278.
- Указ Президента РФ О государственной комиссии по защите прав инвесторов на финансовом и фондовом рынках России от 16.07.1997, 730.
- Указ Президента РФ Об обеспечении прав инвесторов и акционеров на ценные бумаги РФ от 16.09.1997, 1034.
- Указ Президента РФ О мерах по укреплению финансовой дисциплины и исполнению бюджетного законодательства от14.05.1998, 554.
- Указ Президента РФ О порядке выпуска органами исполнительной власти субъектов РФ внешних облигационных займов от 9.06.1998, 696.
- Указ Президента РФ О неотложных мерах по обеспечению финансовой стабилизации в стране от 16.07.1998.
- Указ Президента РФ О некоторых мерах по стабилизации финансовой системы РФ от 25.08.98, 988.
- Указ Президента РФ Об изменении порядка обязательной продажи части валютной выручки от 15.03 1999, 334.
- Постановление Правительства РФ О выпуске государственных краткосрочных облигаций от 8.02.1993, 107.
- Постановление Правительства РФ О выпуске облигаций федеральных займов от 22.04.1997, 445.
- Постановление Правительства РФ О выпуске облигаций государственных нерыночных займов от 3.07.1997, 812.
- Постановление Правительства РФ О реформе предприятий и иных коммерческих организаций от 30.10.1997, 1373.
- Методические рекомендации по разработке финансовой политики предприятия. Приказ Министерства экономики РФ от 1.10.1997,118.
- Постановление Правительства РФ О дополнительных мерах по стимулированию деловой активности и привлечению инвестиций в экономику Российской Федерации от 19.12.1997, 1605.
- Постановление Правительства РФ О привлечении финансовых ресурсов международных рынков капитала в 1998 г. от 14.03.1998, 302.
- Постановление Правительства РФ О мерах по укреплению финансовой дисциплины 12.05.1998, 438.
- Постановление Правительства РФ О мерах по повышению эффективности процедур банкротства 22.05.1998, 476.
- Постановление Правительства РФ О погашении государственных краткосрочных бескупонных облигаций и облигаций с постоянным и переменным купонным доходами со сроками погашения до 31 декабря 1999 г. и выпущенных в обращение до 17 августа 1998 г. от 25.08.1998, 1007.
- Распоряжение Правительства РФ О новации по государственным ценным бумагам от 12.12.1998, 1787-Р.
- Постановление Правительства РФ О порядке предоставления Центральным депозитарием Центральным фондом хранения и обработки информации фондового рынка документов, подтверждающих права на ценные бумаги, которые находятся на хранении либо права на которые учитываются в национальной депозитарной системе 16.02.1999, 291.
- Приказ Минфина РФ Об утверждении условий эмиссии и обращения Государственных облигаций, погашаемых золотом от 28.10.1998, 48 н.
- Указания Госналогслужбы РФ О налогообложении операций с государственными облигаций Российской Федерации и облигациями органов местного самоуправления от 18.12.1998, ВАК-6-05/ 890.
- Указания Центрального банка России О внесении изменений и дополнений в Инструкцию ЦРБ 417-У от 23.11.1998. О правилах выпуска и регистрации ценных бумаг кредитными организациями на территории Российской Федерации от 17.09.1996, 8.
- Центральный Банк РФ. Указания от 30.03.1998, 196-У. О дополнительных мерах по защите интересов вкладчиков банка.
- Алексеев М. Ю. Рынок ценных бумаг-М.: Финансы и статистика, 1992.
- Алехин Б. И. Рынок ценных бумаг. Введение в фондовые операции. Саратов: Самвен, 1992.
- Агарков М. М. Учение о ценных бумагах. М.: Финстатинформ, 1993.
- Астахов В. П. Ценные бумаги. М.: Аксамит, 1995.
- Балабанов И. Т. Риск-менеджмент. М.: Финансы и статистика, 1996.
- Балабанов И. Т. Основы финансового менеджмента: Учеб. пособие. М.: Финансы и статистика, 1997.
- Банковское дело: Учебник/ Под ред. В. И. Колесникова и Л. П. Кроливецкой. М.: Финансы и статистика, 1998.
- Банковское дело: Учебник/ Под ред. О. И. Лаврушина. М.: Финансы и статистика, 1998.
- Биржевая деятельность: Учебник/ Под ред. А. Г. Грязновой и др. М.: Финансы и статистика, 1995.
- Белов В. А. Ценные бумаги: вопросы правовой регламентации: Учеб. пособие. М.: МГУ, 1993.
- Бригхем Ю., Гапенски Л. Финансовый менеджмент: Пер. с англ. М.: Экономическая школа, 1997.
- Брейли Р., Майерс С. Принципы корпоративных финансов: Пер. с англ. М.: ЗАО Олимп-Бизнес, 1997.
- Бланк И. А. Финансовый менеджмент. Киев: Ника-Центр, Эльга, 1999.
- Бочаров В. В. Методы финансирования инвестиционной деятельности предприятий. М.: Финансы и статистика, 1998.
- Букато В. И., Львов Ю. И. Банки и Банковские операции в России. М.: Финансы и статистика, 1996.
- Буренин А. М. Рынки производственных финансовых инструментов. М.: Инфра-М, 1996.
- Ван Хорн. Основы управления финансами: Пер. с англ. М.: Финансы и статистика, 1996.
- Введение во фьючерсы и опционы. СПб.: Диалог-Инвест, 1993.
- Ващенко Т. П. Математика финансового менеджмента. М.: Перспектива, 1996.
- Гарнер Д., Оуэн Р., Конвей Р. Привлечение капитала: Пер. с англ. М.: Джон У аил и энд Сандс, 1995.
- Герчиков И. Н. Финансовый менеджмент. М.: АО Консалтбанкир, 1996.
- Гитман Л. Д., Джонк М. Д. Основное инвестирование: Пер. с англ. М.: Дело, 1997.
- Грузинов В. П., Грибов В. Д. Экономика предприятия: Учеб. пособие. М.: Финансы и статистика, 1998.
- Грабовый П. Г. и др. Риски в современном бизнесе. М.: Алане, 1994.
- Домари Р. Финансы и предпринимательство. Ярославль: Периодика, 1993.
- Едронова В. Н., Мизиковский Е. А. Учет и анализ финансовых активов. М.: Финансы и статистика, 1995.
- Ипотечно-инвестиционный анализ: Учеб. пособие/ Под редзасл. деят. науки РФ, проф. Е. В. Есипова. СПб.: Изд-во СПбГУЭФ, 1998.
- Ковалев В. В. Финансовый анализ: Управление капиталом. Выбор инвестиций. Анализ отчетности. М.: Финансы и статистика, 1997.
- Кочович Е. Финансовая математика. Теория и практика финансово-банковских расчетов. М.: Финансы и статистика, 1994.
- Крейнина М. Н. Финансовый менеджмент. М.: Дело и Сервис, 1998.
- Козлов А. А. Основные этапы проведения сделок с ценными бумагами// Деньги и кредит. 1994. 2.
- Кохно А. П., Микрюков В. А., Комаров С. Е. Менеджмент. М.: Финансы и статистика, 1992.
- Лембден Д. К., Таргет Д. Финансы в малом бизнесе. М.: Финансы и статистика, 1992.
- Лялин В. А., Воробьев П. В. Финансовый менеджмент (управление финансовыми фирмами). СПб.: Юность, Петрополь, 1994.
- Лавров А. М. Проблемы рынка ценных бумаг и фондовых биржевых структур: вопросы теории и практики. Кемерово: Книжное издательство, 1993.
- Лапуста М. Г., Шаршукова Л. Г. Риски в предпринимательской деятельности. М.: Инфра-М, 1998.
- Лукасевич И. Я. Анализ финансовых операций. М.: Финансы, ЮНИТИ, 1998.
- Лимитовский М. А. Основы оценки инвестиционных и финансовых решений. М.: Инжиниринго-консалтинговая компания Дека, 1996.
- Меньшиков И. С. Финансовый анализ ценных бумаг. М.: Финансы и статистика, 1998.
- Михайлова Е. В. Финансовый рынок в Российской Федерации. СПб.: Изд-во СПбГУЭФ, 1992.
- Мелкумов Я. С. Экономическая оценка Эффективности инвестиций. М.: ИКЦ ДИС, 1997.
- Мелкумов Я. С. Техническое и практическое пособие по финансовым вычислениям. М.: Инфра-М, 1996.
- Миркин Я. М. Ценные бумаги и фондовый рынок. М.: Перспектива, 1995.
- Мелкумов Я. С., Румянцев В. Н. Кредитные ресурсы: расчеты и анализы. М.: Бизнес-школа Интел-Синтез, 1995.
- Мартене А. В. Инвестиции. Киев: Киевское инвестиционное агентство, 1997.
- Маршалл Д., Бансал В. Финансовая инженерия: полное руководство по финансовым нововведениям: Пер. с англ. М.: Инфра-М, 1998.
- Норкотт Д. Принятие инвестиционных решений. М.: Банки и биржи, ЮНИТИ, 1997.
- Ошеров М. Е. Бухгалтерский учет ценных бумаг и операции с ценными бумагами. СПб.: Изд-во СПбГУ, 1995.
- Павлова Л. Н. Операции с корпоративными ценными бумагами. М.: ЗАО Бухгалтерский бюллетень, 1997.
- Принципы инвестирования. М : Крокус-Интернейшнл, 1992.
- Первозванские А. А. и Т. Н. Финансовый рынок расчет и риск. М.: Инфра-М, 1994.
- Портфель конкуренции и управления финансами. М.: СОМИНТЭК, 1996.
ФИНАНСОВАЯ ОЦЕНКА ЭФФЕКТИВНОСТИ ИНВЕСТИЦИОННЫХ ПРОЕКТОВ
Раскроем содержание каждого блока.
Первый блок создание благоприятных экономических условий для развития инвестиционной деятельности заключается во взвешенной налоговой политике. Данная политика в сфере инвестиционной деятельности включает совершенствование системы налогов, установление субъектам этой деятельности специальных налоговых режимов, не носящих индивидуальный характер.
Например при исчислении налога на прибыль облагается прибыль при фактически произведенных затратах за счет прибыли, остающейся в распоряжении предприятия, исключая суммы, направленные:
а) предприятиями отраслей сферы материального производства, а финансирование производственных капитальных вложений в том числе в порядке долевого участия), а также на погашение кредитов банков, полученных и использованных на эти цели, включая проценты по кредитам;
б) предприятиями всех отраслей народного хозяйства на финансирование жилищного строительства (в том числе в порядке долевого участия), а также на погашение кредитов банков, полученных и использованных на эти цели, включая проценты по ссудам.
Данная льгота предоставляется указанным предприятиям, осуществляющим развитие собственной производственной базы и жилищное строительство, при условии полного использования ими сумм начисленной амортизации на последнюю отчетную дату.
Амортизационная политика является составной частью инвестиционной стратегии предприятия, так как амортизационные отчисления служат важнейшим источником финансирования капитальных вложений в основные фонды.
В процессе эксплуатации основные средства постепенно изнашиваются, т. е. утрачивают свои первоначальные физические свойства. В результате погашается их первоначальная (реальная) стоимость.
Изменение первоначальной стоимости происходит в случаях реконструкции, достройки, до оборудования и частичной ликвидации отдельных объектов. Увеличение (понижение) первоначальной стоимости основных средств относится на добавочный капитал. Стоимость объектов основных средств погашается посредством начисления амортизации, которая относится на издержки производства и обращения. Объектами для начисления амортизации являются основные средства, находящиеся на предприятии на праве собственности, хозяйственного ведения и управления.
Начисление амортизации производится до полного погашения стоимости объектов либо списания их с бухгалтерского учета в связи с прекращением права собственности. Срок полезного использования объекта определяется предприятием при принятии его к бухгалтерскому учету. Величина амортизационных отчислений зависит от балансовой стоимости основных средств и установленных форм их возмещения.
Обычно нормы амортизации устанавливаются в процентах к балансовой стоимости основных средств и дифференцируются исходя из вида инвентарных объектов и условий их эксплуатации.
В течение 1991 -1999 гг. в России действовали нормы амортизационных отчислений на полное восстановление основных средств, утвержденные постановлением Совета Министров СССР от 22.10.1990г. 1072 О единых нормах амортизационных отчислений на полное восстановление основных фондов народного хозяйства СССР.
Они предназначены для возмещения балансовой (первоначальной) стоимости основных фондов предприятий путем включения начисленной амортизации по данным нормам в себестоимость продукции (работ, услуг). В соответствии с Указом Президента РФ от 8.05.1996 г. 685 Об основных направлениях налоговой реформы в Российской Федерации и о мерах по укреплению налоговой и платежной дисциплины внесен ряд изменений в порядок оценки стоимости имущества, относящегося к основным средствам. В частности, в состав имущества, подлежащего амортизации для целей налогообложения, включается имущество, стоимость которого превышает 100-кратный размер установленного законодательством месячного минимального размера оплаты труда, полезный срок использования которого более одного года.
В отношении нематериальных активов амортизационные отчисления производятся равными долями в течение срока их существования. Если срок использования данных активов определить невозможно, то период их амортизации устанавливается в 10 лет.
Исходя из решения Правительства РФ о переходе отечественных предприятий на принципы ведения бухгалтерского учета и отчетности, заложенные в международных стандартах, в январе 1998 г. Минюстом РФ зарегистрировано Положение по бухгалтерскому учету Учет основных средств от 3.09.1997 г. (ПБУ 6/97).
В 1998 г. были введены в действие методические указания по бухгалтерскому учету основных средств, утвержденные Приказом Минфина РФ от 20.07.1998 г. 33 н. Этими нормативными документами установлены следующие новации.
1. Предприятиям предоставлено право не чаще одного раза в год (на начало отчетного года) переоценивать объекты основных средств по восстановительной стоимости путем индексации или прямого пересчета по документально подтвержденным рыночным ценам с отнесением возникающих разниц на добавочный капитал.
2.Амортизационные отчисления отражаются в бухгалтерском учете путем накопления соответствующих сумм на отдельном счете по учету амортизации. Они начисляются в отчетном периоде независимо от результатов деятельности предприятия.
- В соответствии с Федеральным законом О государственной поддержке малого предпринимательства в Российской Федерации от 14.06.1995 г. 88-ФЗ малые предприятия вправе начислять амортизацию по основным производственным фондам по нормам, в 2 раза превышающим нормы, установленные для соответствующих видов основных средств. Они могут так же списывать дополнительно как амортизационные отчисления до 50% первоначальной стоимости основных средств со сроком полезного использования более трех лет.
- Предприятиям предоставлено право самостоятельно устанавливать порядок начисления амортизации одним из следующих способов:
- традиционным линейным способом;
- способом уменьшаемого остатка;
- способом списания стоимости основных средств по сумме лет полезного использования;
- способом списания стоимости основных средств пропорционально объему продукции (работ).
Применение одного из способов по группе однородных объектов производится в течение всего срока их полезного использования и предусматривается в учетной политике предприятия.
При линейном методе амортизация начисляется равными долями в течение всего срока службы основных средств до полного перенесения их стоимости на издержки производства и обращения.
При использовании метода уменьшаемого остатка годовая сумма амортизационных отчислений определяется исходя из остаточной стоимости инвентарного объекта на начало отчетного года и нормы амортизации, исчисленной исходя из срока полезного функционирования этого объекта и коэффициента ускорения, установленного законодательством РФ. Коэффициент ускорения применяется по перечню высокотехнологичных отраслей и эффективных видов оборудования и составляет, как правило, 2,0, а по оборудованию, составляющему предмет финансового лизинга, не более 3,0.
При методе списания стоимости основных средств по сумме лет полезного использования амортизация начисляется линейным способом, по понижающимся нормам. В результате ускоренной амортизации значительно понижается налогооблагаемая прибыль предприятия.
При способе списания стоимости основных средств пропорционально объему продукции (работ) начисление амортизации производится исходя из натурального показателя объема продукции в отчетном периоде и соотношения первоначальной стоимости объекта.
Несмотря на возможность применения различных методов начисления амортизации, определяющим фактором амортизационной политики является выбор оптимального амортизационного срока службы различных категорий основных средств. Выбор такого срока находится в компетенции дирекции предприятия.
Наряду с налоговой амортизационной политикой предусмотрено расширение возможностей использования залога при осуществлении кредитования. Согласно Федеральному закону Об ипотеке (залоге) недвижимости от 16.07.1998 г. Ю2-ФЗ, ипотека может быть установлена в обеспечение обязательства по кредитному договору, по договору займа, а также иного обязательства.
Ипотека обеспечивает уплату залогодателем (должником обязательства) залогодержателю (кредитору) основной суммы долга по кредитному договору или иному обеспеченному ипотекой обязательству полностью либо в части, предусмотренной договором об ипотеке. Ипотека, установленная в обеспечение кредитного договора (договора займа), обеспечивает уплату кредитору (заимодавцу) причитающихся ему процентов за пользование кредитом.
Ипотека призвана способствовать развитию жилищного строительства в России.
Субъектам инвестиционной деятельности предоставлена возможность создавать собственные денежные фонды для развития производственного потенциала и решения социальных задач (фондов накопления и потребления). Основным источником их образования является чистая прибыль предприятий.
Второй блок прямое участие государства в инвестиционной деятельности, осуществляемой в форме капитальных вложений, находит утверждение в разработке, утверждении и финансировании проектов, реализуемых за счет средств федерального и региональных бюджетов.
Формирование перечня строек и объектов технического перевооружения для федеральных государственных нужд и финансирование их за счет бюджетных ассигнований осуществляет Правительство РФ. Размещение заказов на подрядные строительные работы для государственных нужд за счет средств федерального и региональных бюджетов для реализации инвестиционных проектов осуществляется государственными заказчиками путем проведения конкурсов. Правительство РФ может предоставлять на конкурсной основе государственные гарантии по инвестиционным проектам, реализуемым за счет средств федерального бюджета.
Для реализации таких проектов на конкурсной основе могут размещаться средства федерального бюджета.
Размещение средств федерального бюджета осуществляется, как правило, на возвратной и срочной основах с уплатой процентов за пользование ими в размерах, определяемых Законом о федеральном бюджете на соответствующий год.
Бюджет развития исходя из требований Федерального закона О бюджете развития Российской Федерации от 26.11.1998 г. 181-ФЗ предназначен для осуществления государственной поддержки инвесторов путем предоставления им государственных гарантий либо путем непосредственного выделения им средств (в форме ссуды) на условиях возвратности, срочности и платности. Объем денежных средств, направляемых в Бюджет развития, устанавливается федеральным законом о федеральном бюджете на соответствующий год. Средства Бюджета развития образуются за счет следующих источников:
- внутренних и внешних заимствований на цели инвестирования;
- части доходов федерального бюджета от использования и приватизации объектов федеральной собственности, созданных в результате финансирования инвестиционных проектов за счет средств Бюджета развития;
- части доходов федерального бюджета от использования и продажи имущества, находящегося в федеральной собственности;
- доходов федерального бюджета от ранее произведенных бюджетных ассигнований на условиях возвратности, срочности и платности и др.
Денежные средства бюджета развития аккумулируются на специальных счетах органов Главного управления федерального казначейства Минфина РФ и в учреждениях Центрального банка России.
Денежные средства Бюджета развития направляются на:
- финансирование инвестиционных проектов, отобранных на конкурсной основе;
- исполнение обязательств Правительства РФ по предоставленным инвесторам государственным гарантиям за счет средств Бюджета развития.
Отвлечение временно свободных средств Бюджета развития на финансовые операции, не связанные с реализацией инвестиционных проектов, не допускается. Предоставление средств за счет Бюджета развития осуществляется:
- путем кредитования отобранных на конкурсах инвестиционных проектов, обеспеченных собственными средствами инвестора и иными источниками финансовых ресурсов в дополнение к собственным средствам;
- посредством прямых вложений в имущество коммерческих организаций, осуществляющих проекты при соответствующем увеличении доли государства в их уставном капитале.
Для финансирования инвестиционных программ государство вправе выпускать облигационные займы, вовлекать в инвестиционный процесс временно приостановленные и законсервированные стройки и объекты, находящиеся в федеральной собственности. Государство предоставляет также концессии отечественным и зарубежным инвесторам по итогам торгов (аукционов и конкурсов) в соответствии с законодательством РФ.
Третий блок иные формы государственного регулирования инвестиционной деятельности включает экспертизу проектов и защиту прав субъектов инвестиционной деятельности. Все инвестиционные проекты независимо от форм собственности и источников финансирования до их утверждения подлежат экспертизе. Она проводится для предотвращения создания объектов, использование которых нарушает права юридических и физических лиц или не отвечает требованиям утвержденных стандартов (норм и правил), а также для оценки эффективности капитальных вложений.
Порядок проведения государственной экспертизы инвестиционных проектов устанавливается Правительством РФ.
Защита прав субъектов инвестиционной деятельности выражается в следующем:
- обеспечении равных прав при осуществлении данной деятельности;
- гласности при обсуждении инвестиционных проектов;
- праве обжалования в судебном порядке любых решений органов государственной власти и должностных лиц, противоречащих законным интересам юридических лиц и граждан.
Капитальные вложения могут быть:
- национализированы только при условии предварительного и равноценного возмещения государством убытков, понесенных субъектами инвестиционной деятельности;
- реквизированы по решению органов государственной власти в случаях и порядке, определенных Гражданским Кодексом РФ.
Страхование капиталовложений осуществляется в соответствии с законодательством РФ.
ВЫВОДЫ
1.Для регулирования денежных потоков в инвестиционной сфере целесообразно сочетать методы денежно-кредитной и финансовой политики. Денежно-кредитная политика может быть разработана на долгосрочную перспективу и является поэтому приоритетной.
Финансовая политика определяется финансовыми возможностями государства формировать в достаточном объеме Бюджет развития.
2.Активизация инвестиционной деятельности может осуществляться как за счет государственных инвестиций, кредитов банков и других привлеченных средств, так и путем косвенного регулирования фондов накопления предприятий посредством понижательного давления налогов. Снижение налогового бремени позволит предприятиям повысить уровень самофинансирования вложений в капитальные активы. Инвестиционная деятельность предприятий в различных формах осуществляется при активном посредничестве банков.
Поэтому целесообразно строить взаимоотношения банков с заемщиками с учетом накопленного мирового опыта в инвестиционной сфере. Например, выдача заемщикам консорциальных кредитов, проектное (спонсорское) финансирование крупных проектов, активизация участия банков в формировании финансово-промышленных групп, развитие долгосрочного кредитования капитальных вложений и финансового лизинга.
ФИНАНСОВАЯ ОЦЕНКА ЭФФЕКТИВНОСТИ ИНВЕСТИЦИОННЫХ ПРОЕКТОВ
Наиболее общими условиями успеха во всех формах инвестирования являются:
- сбор необходимой информации;
- прогнозирование перспектив рыночной конъюнктуры по интересующим инвестора объектам;
- гибкая корректировка инвестиционной тактики, а часто и стратегии.
Выбор наиболее эффективного способа инвестирования начинается с четкого определения возможных вариантов. Альтернативные проекты поочередно сравниваются друг с другом и выбирается наилучший из них с точки зрения доходности, надежности и безопасности.
При решении вопроса об инвестировании целесообразно определить, куда выгоднее вкладывать капитал: в производство, ценные бумаги, приобретение товаров для перепродажи, недвижимость или в валюту. Поэтому при инвестировании рекомендуется соблюдать следующие правила, выработанные практикой.
1.Принцип финансового соотношения сроков (Золотое банковское правило) гласит получение и использование средств должны происходить в установленные сроки, а капитальные вложения с длительными сроками окупаемости целесообразно финансировать за счет долгосрочных заемных средств (облигационных займов с длительными сроками по гашения и долгосрочных банковских кредитов).
2.Принцип сбалансированности рисков особенно рисковые инвестиции рекомендуется финансировать за счет собственных средств (чистой прибыли и амортизационных отчислений).
3.Правило предельной рентабельности целесообразно выбирать такие капитальные вложения которые обеспечивают инвестору достижение максимальной (предельной) доходности.
4.Чистая прибыль от данного вложения капитала должна превышать ее величину от помещения средств на банковский депозит.
5.Рентабельность инвестиций всегда должна быть выше индекса инфляции.
6.Рентабельность конкретного инвестиционного проекта с учетом фактора времени (временной стоимости денег) всегда больше доходности альтернативных проектов.
7.Рентабельность активов предприятия после реализации проекта увеличивается и в любом случае превышает среднюю ставку банковского процента по заемным средствам.
8.Рассмотренный проект соответствует главной стратегии поведения предприятия на рынке товаров и услуг с точки зрения формирования рациональной ассортиментной структуры производства, сроков окупаемости затрат, наличия финансовых источников покрытия издержек производства и обеспечения стабильности поступления доходов от реализации проекта.
Инвестиции в реальные проекты длительный по времени процесс. Поэтому при их оценке необходимо учитывать:
а) рискованность проектов чем длительнее срок окупаемости затрат, тем выше инвестиционный риск;
б) временную стоимость денег, так как с течением времени деньги теряют свою ценность вследствие инфляции;
в) привлекательность проекта по сравнению с альтернативными вариантами вложения капитала с точки зрения максимизации дохода и роста курсовой стоимости акций компании при минимальном уровне риска, так как эта цель для инвестора определяющая.
Используя указанные правила на практике, инвестор может принять обоснованное решение, отвечающее его стратегическим целям.
ЦЕНА И ОПРЕДЕЛЕНИЕ СРЕДНЕВЗВЕШЕННОЙ СТОИМОСТИ КАПИТАЛА
Каждому предприятию необходимы денежные ресурсы, чтобы финансировать свою производственно-торговую деятельность.
Исходя из продолжительности функционирования в данной конкретной форме активы и пассивы классифицируются на краткосрочные и долгосрочные. Мобилизация того или иного источника средств связана для предприятия с определенными расходами:
- акционерам следует выплачивать дивиденды;
- владельцам корпоративных облигаций проценты;
- банкам проценты за предоставленные ими ссуды и др.
Общая величина средств, которую следует уплатить за использование определенного объема финансовых ресурсов, выраженная в процентах к этому объему, называется ценой капитала.
В идеальном случае предполагается, что оборотные активы финансируются за счет чтобы не снизить свою рыночную стоимость.
На практике следует различать два понятия:
краткосрочных обязательств, а необоротные активы за счет долгосрочных обязательств. Поэтому оптимизируется общая сумма затрат на привлечение различных источников
- Концепция цены является ключевой в теории капитала. Она характеризует ту норму доходности инвестиционного капитала, которую должно обеспечить предприятие, цена капитала данного предприятия;
- цена действующего предприятия в целом как хозяйствующего субъекта на рынке капитала;
Первое понятие количественно выражается в сложившихся на предприятии относительных годовых расходах по обслуживанию долга перед собственниками (аукционерами) и кредиторами. Второе выражается различными параметрами, в частности стоимостью активов, объемом собственного капитала и прибыли и т. д.
Оба понятия количественно взаимосвязаны. Так, если компания участвует в реализации инвестиционного проекта, рентабельность которого ниже цены капитала, то цена фирмы после завершения данного проекта понизится.
Поэтому цена капитала учитывается менеджерами компании в процессе принятия инвестиционных решений.
В пассиве баланса отражаются как собственные, так и заемные источники средств. Структура данных источников существенно различается по видам предприятий и сферам предпринимательской деятельности.
Неодинакова также цена каждого источника средств, поэтому цену капитала предприятия исчисляют обычно по средней арифметической взвешенной.
Основная сложность заключается в вычислении стоимости единицы капитала, полученного за счет конкретного источника средств. Для некоторых источников цену капитала можно определить достаточно точно. Например, цена акционерного капитала, банковского кредита и т. д.
По другим источникам выполнить такие расчеты довольно сложно. Например, по нераспределенной прибыли, кредиторской задолженности.
Зная даже ориентировочную величину цены капитала можно осуществить сравнительный анализ эффективности авансированных средств, включая оценку инвестиционных проектов.
Средневзвешенная стоимость капитала (ССК) представляет собой минимальную норму прибыли, которую ожидают инвесторы от своих вложений. Выбранные для реализации проекты должны обеспечивать хотя бы не меньшую рентабельность, чем ССК. Рассчитывается ССК как средневзвешенная величина из индивидуальных стоимостей (цен), в которые обходится предприятию привлечение различных видов источников средств:
1)акционерного капитала, состоящего из стоимости обыкновенных и привилегированных акций (префакций);
2)облигационных займов;
3)банковских кредитов;
4)кредиторской задолженности и др.
Первый этап в определение ССК вычисление индивидуальных стоимостей, перечисленных видов ресурсов.
Второй этап перемножение каждой из полученных цен на удельный вес ресурса в общей сумме источников средств.
Третий этап суммирование полученных результатов.
С точки зрения риска ССК определяется как безрисковая часть нормы прибыли на вложенный капитал, которая обычно равна средней норме доходности по государственным долговым обязательствам (облигациям Банка России, муниципальным облигациям и др).
Концепция ССК многогранна и связана с многочисленными вычислениями. В повседневной практике возможен экспресс-анализ, в котором за ССК принимается средняя ставка банковского процента (СП).
Такой подход вполне логичен, так как при выборе варианта инвестирования ожидаемая норма прибыли (рентабельность инвестиций) должна быть выше, т. е. Ри. СП. ССК используется в инвестиционном анализе при отборе проектов к реализации:
- для дисконтирования денежных потоков в целях исчисления чистой текущей стоимости (ЧТС) проектов. Если ЧТС 0, то проект допускается к дальнейшему рассмотрению;
- при сопоставлении с внутренней нормой прибыли (ВНП) проектов. Если ВНП ССК, то проект может быть осуществлен как обеспечивающий удовлетворение интересов инвесторов и кредиторов.
При условии ВНП = ССК предприятие безразлично к данному проекту. При условии ВНП ССК проект отвергается. Расчет ССК приведен в табл.
2,1.
Таблица 2.1
Расчет ССК по акционерной компании
|
Источники средств |
Средняя стоимость источника для компании (среднегодовой процент) |
Удельный вес источника в пассиве баланса (доли единицы) |
|
1 ) Обыкновенные акции |
40 |
0,5 |
|
2) Привилегированные акции (префакций) |
20 |
0,1 |
|
3) Корпоративные облигации |
25 |
0,05 |
|
4) Кредиторская задолженность |
10 |
0.20 |
|
5) Краткосрочные кредиты банков |
60 |
0.15 |
|
Итого: |
|
1,0 |
ФИНАНСОВЫЕ МЕТОДЫ ОЦЕНКИ ЭФФЕКТИВНОСТИ РЕАЛЬНЫХ ИНВЕСТИЦИОННЫХ ПРОЕКТОВ

Учетная ставка ЦБР в IV квартале 1999 г. в расчете на год установлена в размере 55 %. Следовательно, привлечение капитала в указанных выше пропорциях для компании выгодно, так как СКК СП (34,25 % 55%).
Определив ССК, можно переходить к оценке инвестиционных проектов, имея ввиду, что рентабельность инвестиций должна быть выше средневзвешенной стоимости капитала (Ри ССК).
ФИНАНСОВЫЕ МЕТОДЫ ОЦЕНКИ ЭФФЕКТИВНОСТИ РЕАЛЬНЫХ ИНВЕСТИЦИОННЫХ ПРОЕКТОВ
Наиболее важный этап в процессе принятия инвестиционных решений оценка эффективности реальных инвестиций (капиталовложений).
От правильности и объективности такой оценки зависят сроки возврата вложенного капитала и перспективы развития предприятия.
Рассмотрим важнейшие принципы и методические подходы, используемые в международной практике для оценки эффективности реальных инвестиционных проектов.
Первым из таких принципов является оценка возврата вложенного капитала на основе показателя денежного потока, формируемого за счет прибыли и амортизационных отчислений в процессе эксплуатации проекта.
Показатель денежного потока может применяться для оценки проектов с дифференциацией по отдельным годам эксплуатации объекта или как среднегодовой.
Вторым принципом оценки является обязательное приведение к настоящей стоимости как вложенного капитала, так и величины денежных потоков. Это связано с тем, что процесс инвестирования осуществляется не одномоментно, а проходит ряд этапов, что находит отражение в бизнес-плане инвестиционного проекта.
Аналогично должна приводиться к настоящей стоимости и сумма денежного потока (по отдельным этапам его формирования).
Третьим принципом оценки является выбор дифференцированного проекта (дисконта) в процессе дисконтирования денежного потока (приведения его к настоящей стоимости) для различных инвестиционных проектов.
Размер дохода от инвестиций (в форме денежного потока) образуется с учетом следующих факторов:
а) средней реальной дисконтной ставки;
б) темпа инфляции (инфляционной премии);
в) премии за низкую ликвидность инвестиций;
г) премии за инвестиционный риск.
С учетом этих факторов при сравнении проектов с различными уровнями риска должны применяться при дисконтировании неодинаковые ставки процента. Более высокая ставка процента применяется обычно по проектам с большим уровнем риска.
Аналогично при сравнении двух или более проектов с различными общими периодами инвестирования (ликвидностью инвестиций) более высокая ставка процента должна применяться по проекту с более длительным сроком реализации.
Четвертый принцип оценки заключается в том, что выбираются различные варианты форм используемой ставки процента для дисконтирования исходя из целей оценки. Для определения различных показателей эффективности проектов в качестве дисконтной ставки могут выбираться:
- средняя депозитная или кредитная ставка по рублевым или валютным кредитам;
- индивидуальная норма прибыльности (доходности) инвестиций с учетом темпа инфляции, уровня риска и ликвидности инвестиций;
- норма доходности по государственным ценным бумагам (облигациям Центрального банка России или муниципальным краткосрочным облигациям);
- альтернативная норма доходности по другим аналогичным проектам;
- норма доходности по текущей (эксплуатационной) доходности предприятия.
Для финансовой оценки эффективности реальных инвестиций проектов используются следующие основные методы:
- метод простой (бухгалтерской) нормы прибыли;
- метод расчета чистой текущей стоимости (ЧТС) проекта;
3) индекс доходности;
- период (срок)окупаемости;
- внутренняя норма прибыли (ВНП) проекта;
- модифицированный метод внутренней нормы прибыли.
Рассмотрим содержание указанных методов более подробно.
Метод простой (бухгалтерской) нормы прибыли заключается в том, что рассчитывается простая норма прибыли как отношение суммы прибыли по отчетам предприятия к исходным инвестициям (капиталовложениям). Для расчета используется чистая прибыль (после налогообложения), к которой добавляется сумма амортизационных отчислений.

(5)
где Пнп - простая (бухгалтерская) норма прибыли, %;
ЧП - чистая прибыль, оставшаяся в распоряжении предприятия после налогообложения;
АО - сумма амортизационных отчислений по основным средствам;
И - исходные инвестиции в проект (капиталовложения).
Выбирается проект с наибольшей простой нормой прибыли (табл. 2.2).
Таблица 2.2
Расчет рентабельности инвестиционного проекта с помощью простой
(бухгалтерской) нормы прибыли
п/п |
Показатели |
Величина
показателя |
|
Расчет простой (бухгалтерской) прибыли |
|
1 |
Доходы от проекта |
9000 |
|
2 |
Инвестиционные затраты на проект |
6750 |
| |
В том числе: |
|
|
2.1 |
Денежные расходы |
4500 |
|
2.2 |
Неденежные расходы (амортизационные отчисления) |
2250 |
|
3 |
Прибыль от проекта |
2250 |
|
4 |
Налог на прибыль по ставке 30% (2250 х 30 : 100) |
675 |
|
5 |
Чистая прибыль от проекта (2250-675) |
1575 |
|
6 |
Рентабельность (доходность) проекта (1575 : 6750 х 100), % |
23,3 |
|
Расчет простой (бухгалтерской) нормы прибыли на основе движения денежных потоков от проекта |
|
1 |
Доходы от проекта |
9000 |
|
2 |
Инвестиционные затраты на проект |
5175 |
| |
В том числе: |
|
|
2.1 |
Денежные расходы |
4500 |
|
2.2 |
Налог на прибыль |
675 |
|
3 |
Чистый денежный поток от проекта, включая амортизационные отчисления (9000 - 5175) |
3825 |
|
4 |
Рентабельность проекта, исчисляется по чистому денежному потоку (3825 : 5175 х 100), % |
73,9 |
Достоинством данного метода является его простота и надежность для проектов, реализуемых в течение одного года. При использовании данного метода игнорируются:
а) неденежный (скрытый) характер некоторых затрат (амортизационных отчислений);
б) доходы от ликвидности прежних активов, заменяемых новыми;
в) возможности реинвестирования получаемых доходов и временная стоимость денег;
г) невозможность определить предпочтительность одного из проектов, имеющих одинаковую простую норму прибыли, но различные объемы инвестиций.
Метод чистой текущей стоимости (ЧТС) проекта ориентирован на достижение главной цели инвестиционного менеджмента увеличении доходов акционеров (собственников).
ЧТС позволяет получить наиболее обобщенную характеристику результата инвестирования, т. е. конечный эффект в абсолютном выражении. ЧТС это прибыль от проекта, приведенная к настоящей стоимости (НС).
Проект принимается к дальнейшему рассмотрению, если ЧТС О, т. е. он генерирует большую, чем ССК, норму прибыли. Инвесторы и кредиторы будут удовлетворены, если подтвердится рост курса акций акционерной компании, которая успешно реализовала инвестиционный проект.
ЧТС выражает разницу между приведенными к настоящей стоимости (путем дисконтирования) суммой денежных потоков за период эксплуатации проекта и суммой инвестируемых в его реализацию денежных средств:

, (6)
где ЧТС чистая текущая стоимость проекта;
НС настоящая стоимость денежного потока за период эксплуатации инвестиционного проекта;
И сумма инвестиций (капиталовложений), направляемых на реализацию данного проекта.
Применяемая дисконтная ставка при определении ЧТС дифференцируется с учетом риска и ликвидности инвестиций.
Пример.
В банк поступили для рассмотрения бизнес-планы двух инвестиционных проектов со следующими параметрами (табл. 2.3).
Расчет настоящей стоимости денежных потоков приведен в табл. 2.4. ЧТС по инвестиционным проектам 1 и 2 составляют:
ЧТС1 = (34,808 - 28,0) = 6,808 млн руб.;
ЧТС2 = (32,884 - 26,8) = 6,084 млн руб.
Итак, сравнение показателей ЧТС по проектам подтверждает, что проект 1 является более эффективным, чем проект 2. ЧТС по нему в 1,12 раза (6,808 : 6,084) выше, капитальные вложения для его реализации на 1,2 млн руб. (28,0 26,8) больше, чем по проекту 2. Вместе с тем отдача (в форме будущего денежного потока) по проекту 2 на 4 млн руб. (44 - 40) выше, чем по проекту 1.
Таблица 2.3
Исходные данные по двум инвестиционным проектам (млн руб)
|
Показатели |
Инвестиционный проект 1 |
Инвестиционный проект 2 |
|
Объем инвестируемых средств, млн руб. |
28,0 |
26,8 |
|
Период эксплуатации проектов, лет |
3 |
4 |
|
Сумма денежного потока (доход от проектов), млн руб. |
40,0 |
44,0 |
|
В том числе год: |
|
|
|
первый |
24,0 |
8,0 |
|
второй |
12,0 |
12,0 |
|
третий |
4,0 |
12,0 |
|
четвертый |
- |
12,0 |
|
Дисконтная ставка, % |
10 |
12 |
|
Среднегодовой темп инфляции, % |
7 |
7 |
Таблица 2.4
Расчет настоящей стоимости по двум инвестиционным проектам (млн руб)
|
Годы
|
Инвестиционный проект 1 |
Инвестиционный проект 2 |
|
Будущая стоимость денежных потоков |
Дисконтный множитель при ставке 10% |
Настоящая
стоимость (НС) |
Будущая стоимость денежных потоков |
Дисконтный множитель при ставке 12% |
Настоящая
стоимость (НС) |
|
Первый |
24 |
0,909 |
21,816 |
8 |
0,893 |
7,144 |
|
Второй |
12 |
0,826 |
9,912 |
12 |
0,797 |
9,564 |
|
Третий |
4 |
0,752 |
3,080 |
12 |
0,712 |
8,544 |
|
Четвертый |
|
|
|
12 |
0,636 |
7,632 |
|
Всего |
40 |
|
34,808 |
44 |
|
32,884 |
Аналогичные расчеты проводятся по проекту 2.
Показатель ЧТС может быть использован не только для сравнительной оценки эффективности инвестиционных проектов, но и как критерий целесообразности их реализации. Проект, по которому ЧТС является отрицательной величиной или равен нулю, отвергается инвестором, так как не принесет ему дополнительный доход на вложенный капитал.
Проект с положительным значением ЧТС позволяет увеличить первоначально авансированный капитал вкладчика.
И сумма инвестиций, направленных на реализацию проекта. (при разновременности вложений также приводится к настоящей стоимости).
Пример.
Используем данные по двум инвестиционным проектам и определим по ним индекс доходности. По проекту I индекс доходности ИД = (34,808 : 28) = 1,24.
По проекту 2 индекс доходности ИД = (32,884 : 26,8) = 1,23.
Следовательно, по данному критерию эффективность проектов примерно одинакова.
Если значение индекса доходности меньше единицы или равно ей, то проект не принимается к рассмотрению, так как он не принесет инвестору дополнительного дохода, а банку не дает гарантии вложенных в него заемных средств.
Период окупаемости (Т) - один из наиболее распространенных методов оценки эффективности инвестиционных проектов. Он рассчитывается по формуле:

(8)
где И сумма инвестиций направленных на реализацию проекта (при разновременности вложений приводит к настоящей стоимости);
НС - настоящая стоимость денежного потока в периоде t.
Пример.
Используя данные по приведенным ранее практикам, определим по ним период окупаемости Т.
В этих целях устанавливается среднегодовая сумма денежного потока в настоящей стоимости.
По проекту 1 она равна 11,603 млн руб. (34,808: 3);
По проекту 2 8,2221 млн руб. (32,884 : 4).
С учетом среднегодовой стоимости денежного потока период окупаемости Т равен:
По проекту 1 2,4 года (28,0 :11,603);
По проекту 2 3,3 года (26,8 : 8,221).
Это свидетельствует о серьезном преимуществе проекта 1. При сравнении данных проектов по показателям ЧТС и индексу доходности ИД эти преимущества были менее заметными.
Характеризуя показатель период окупаемости, следует отметить, что он может быть использован не только для оценки эффективности капитальных вложений, но уровня инвестиционного риска, связанного с ликвидностью. На практике чем длительнее период реализации проекта до полной его окупаемости, тем выше уровень инвестиционного риска. Недостатком данного метода является то, что он не учитывает те денежные потоки, которые образуются после периода окупаемости капитальных вложений.
Так, по проектам с длительным сроком окупаемости может быть получена более весомая сумма ЧТС, чем по проектам с коротким сроком эксплуатации.
Метод внутренней нормы прибыли (ВНП)характеризует уровень доходности конкретного инвестиционного проекта (маржинальной эффективности вложенного капитала), выражаемый дисконтной ставкой, по которой будущая стоимость денежного потока от капитальных вложений приводится к настоящей стоимости авансированных средств. ВНП можно принять в размере дисконтной ставки, по которой чистая текущая стоимость в процессе дисконтирования будет приведена к нулю.
Пример.
Используя данные, приведенные в табл. 2.3 и 2.4, определим ВНП по проектам.
Например, по проекту 1 необходимо найти размер дисконтной, при которой настоящая стоимость денежного потока 34,808 млн руб.
Размер этой ставки определяется по формуле:
(9)
где ЧТС чистая текущая стоимость; И объем инвестируемых в проект средств.

Приведенные данные свидетельствуют о приоритетном значении для инвестора проекта 1, так как ВНП по нему больше, чем по проекту 2, а также превышает среднегодовой темп инфляции (7%). На практике инвестиционный бюджет предприятия часто ограничен, поэтому перед его руководством стоит задача установить такую комбинацию проектов, которая в рамках имеющихся денежных средств дает наибольшее приращение чистой текущей стоимости.
Затем подбирается комбинация с учетом делимости (возможности частичной реализации) или неделимости (возможности полного осуществления проектов).
Исходные данные для отбора проектов представлены в табл. 2.5. Из ее показателей следует, что для делимых проектов А, Б, В, и Г при инвестиционном бюджете 12,6 млн руб., портфель инвестиций будет состоять:
- из полной реализации проекта А 2,475 млн руб.;
- частичной реализации проекта Б 10,125 млн руб. (12,6-2,475).
Таблица 2.5
Исходные данные для отбора инвестиционных проектов
|
Проект |
Начальные инвестиционные затраты, млн руб. |
Внутренняя норма прибыли, % |
Чистая текущая стоимость, млн руб. |
|
А |
4,5 |
55 |
2,475 |
|
Б |
10,8 |
35 |
3,78 |
|
В |
3,6 |
30 |
1,08 |
|
Г |
5,4 |
25 |
1,35 |
Примечание. 1. ЧТС по проекту А 2,475 млн руб. (4,5x55:100).
2. Аналогичные расчеты производятся по проектам Б, В, Г. Показатель внутренней нормы прибыли наиболее приемлем для сравнительной оценки проектов в рамках более широкого диапазона:
- с уровнем рентабельности всех активов в процессе эксплуатационной деятельности предприятия;
- со средней нормой доходности аналогичных инвестиционных проектов;
- с нормой прибыльности по альтернативному инвестированию с депозитным вкладом, муниципальным облигационным займом, валютным операциям и т д.).
Исходя из приведенных критериев любое предприятие вправе установить для себя приемлемый уровень ВНП (конечно, с учетом степени инвестиционного риска).
Модифицированный метод ВНП представляет собой более усовершенствованную модель внутренней нормы прибыли. Он дает более правильную оценку эффективности авансированных в проект средств и снимает проблему множественности нормы прибыли.
Этапы проведения расчетов следующие.
Первый шаг. Все денежные потоки доходов приводятся к конечной (будущей) стоимости по средневзвешенной стоимости капитала и складываются по годам.
Второй шаг. Полученная сумма приводится к настоящей стоимости по ставке внутренней нормы прибыли проекта.
Третий шаг. Из настоящей стоимости доходов вычитается настоящая стоимость инвестиционных затрат и вычисляется чистая текущая стоимость проекта.
Она сравнивается с настоящей стоимостью инвестиционных затрат и должна ее превышать (ЧТС больше настоящей стоимости затрат).
Каждый из методов оценки инвестиционных проектов дает возможность менеджерам предприятия изучить характерные особенности проекта и принять правильное решение.
Следовательно, основные критерии принятия инвестиционных решений следующие:
- отсутствие более выгодных альтернатив для вложения свободных денежных средств;
- минимизация риска потерь от инфляции;
- краткость срока окупаемости капитальных вложений;
- дешевизна проекта;
- обеспечение стабильности поступлений доходов от проекта;
- высокая рентабельность инвестиций после дисконтирования.
Используя комбинацию указанных показателей, инвестор (кредитующий его банк) может принять обоснованное решение в пользу того или иного проекта. Из данного набора инвестиционных критериев целесообразно выделить ключевые и на их основе выбрать приемлемый для инвестора вариант.
Главное требование к инвестиционному портфелю предприятия его сбалансированность. Это означает, что необходимо располагать проектами, которые в настоящее или ближайшее время обеспечат предприятие денежными средствами, а также перспективными проектами, которые принесут высокую отдачу (в форме прибыли) в будущем.
Одновременно целесообразно доинвестировать денежные средства из стареющих видов производства в более современные.
Очень часто на практике предприятие, выбрав рентабельный проект, сталкивается с нехваткой денежных средств для его реализации. В таком случае целесообразно осуществить дополнительные расчеты с учетом привлечения внутренних и внешних источников финансирования.
Привлечение заемных средств для реализации проекта нередко повышает рентабельность собственного капитала, вложенного в него. Однако это наблюдается в том случае, если доходность инвестиций выше цены кредита (средней ставки процента по банковскому кредиту).
Максимизация массы прибыли при различных соотношениях внутренних и внешних источников финансирования инвестиционной деятельности достигается в процессе расчета эффекта финансового рычага (табл. 2.6).
Данный эффект заключается в том, что к норме прибыли на собственный капитал присоединяется прибыль, полученная благодаря использованию заемных средств несмотря на их плотность. В приведенном примере за счет использования заемных средств норма чистой прибыли на собственный капитал по проекту 2 выше, чем по проекту 1. Эффект финансового рычага 4 % (16 - 12) достигнут за счет того, что норма прибыли на инвестируемый капитал превышает ставку ссудного процента. В нашем примере такое превышение по проекту 2 составляет 8 % (20 - 12).
По проекту 1 эффект финансового рычага отсутствует, поскольку заемные средства для его реализации не привлекались.
Расчет эффекта финансового рычага по двум инвестиционным проектам
|
Показатели |
Инвестиционный проект 1 |
Инвестиционный проект 2 |
|
Объем инвестиционных ресурсов, млн руб. |
15,0 |
15,0 |
В том числе:
Собственные средства
Заемные средства |
15,0 |
7,5
7,5 |
|
Норма налоговой прибыли на инвестированный капитал, % |
20 |
20 |
|
Ставка процента за кредит, % |
- |
12 |
|
Ставка налога на прибыль, % |
30 |
30 |
|
Валовая прибыль (15 х 20 : 100) |
3,0 |
3,0 |
|
Налог на прибыль (3 х 30 : 100) |
0,9 |
0,9 |
|
Сумма процента за кредит (7,5x12:100) |
- |
0.9 |
|
Чистая прибыль |
2,1 |
1,2 |
|
Норма чистой прибыли на собственный капитал, % |
14,0(2,1:15 х100) |
16,0(1,2:7,5 х100) |
Для принятия обоснованного инвестиционного решения следует ответить на несколько ключевых вопросов.
1.Какие факторы мешают росту эффективности инвестирования?
2.Какова сила их влияния на производственно-коммерческую деятельность предприятия?
3.Какова их реальная долговечность с учетом фактора времени?
4.Какие новые факторы могут мешать инвестированию в будущем?
5.Насколько надежна защита предприятия от неблагоприятных факторов?
6.Насколько эффективность инвестиций зависит от изменения экономической конъюнктуры?
В настоящее время крупные капиталоемкие проекты имеют, как правило, низкие показатели доходности и длительные сроки окупаемости. Поэтому они должны финансироваться преимущественно за счет средств федерального и муниципальных бюджетов. Те сферы предпринимательской деятельности, которые дают быструю отдачу в форме прибыли (дохода) или имеют высокую оборачиваемость вложенных средств, целесообразно финансировать за счет собственных средств инвесторов (производство товаров народного потребления, торговля и т д.)
Реальный процесс принятия управленческих решений требует обширной информации и множества финансовых расчетов, которые находят отражение в инвестиционных планах предприятий.
При выборе инвестиционной стратегии предприятию необходимо учитывать жизненный цикл товара на рынке.
На первой стадии (освоения) доходы от продаж растут очень медленно, так как объем сбыта продукции невелик. Рынок знакомится с товаром.
Прибыли еще нет, она невелика.
На второй стадии (рост) наблюдается быстрое увеличение объема продаж и прибыли.
На третьей стадии (зрелость) доходы от реализации остаются на постоянном уровне, поскольку возможности привлечения новых покупателей исчерпаны. Прибыль в этот период достигает своего максимального значения.
На четвертой стадии (закат) жизненного цикла объем продаж падает, а прибыль стремится к нулю. Товар необходимо снимать с производства и заменять его новым.
Учет жизненного цикла товара позволяет инвестору выбирать наиболее высокодоходные инвестиционные проекты.
АНАЛИЗ ЧУВСТВИТЕЛЬНОСТИ ИНВЕСТИЦИОННОГО ПРОЕКТА
Цель анализа установить уровень влияния отдельных варьирующих факторов на финансовые показатели инвестиционного проекта. Его инструментарий позволяет оценить потенциальное воздействие риска на эффективность проекта.
Однако как ответить на вопрос, насколько сильно каждый конкретный параметр проекта может измениться в негативную сторону (при стабильности остальных параметров), прежде чем это повлияет на решение о выгодности проекта?
В анализе чувствительности инвестиционные критерии определяются для широкого диапазона исходных условий. Выделяются наиболее важные параметры проекта, выявляются закономерности изменения финансовых результатов от динамики каждого из параметров.
В ходе исследования чувствительности капитального проекта обычно рассматриваются следующие параметры:
а) физический объем продаж как результат емкости рынка, доли предприятия на рынке, потенциала роста рыночного спроса;
б) цена продукта (услуги);
в) темп инфляции;
г) необходимый объем капитальных вложений;
д) потребность в оборотном капитале;
е) переменные издержки;
ж) постоянные издержки;
з) учетная ставка процента за банковский кредит и др.
Данные параметры не могут быть изменены посредством принятия управленческих решений.
В процессе анализа чувствительности вначале определяется базовый вариант, при котором все изучаемые факторы принимают свои первоначальные значения. Только после этого значение одного из исследуемых факторов варьируется в определенном интервале при стабильных значениях остальных параметров.
При этом оценка чувствительности проекта начинается с наиболее важных факторов, которые соответствуют пессимистическому и оптимистическому сценариям. Только после этого устанавливается влияние изменений отдельных параметров на уровень эффективности проекта.
Кроме того, анализ чувствительности положен в основу принятия проекта. Так, например, если цена оказалась критическим фактором, то можно усилить программу маркетинга или пересмотреть затратную часть проекта, чтобы снизить его стоимость. Если осуществленный количественный анализ рисков проекта выявит его высокую чувствительность к изменению объема производства, то следует уделить внимание мерам по повышению производительности труда, обучению персонала менеджменту и т. п.
В формировании денежного потока проекта, а следовательно, его эффективности участвуют факторы позитивного (доходного) и негативного (расходного) характера.
ЭКОНОМИЧЕСКОЕ СОДЕРЖАНИЕ И НАЗНАЧЕНИЕ ФИНАНСОВЫХ ИНВЕСТИЦИЙ
К позитивным факторам можно отнести задержку оплаты за поставленные материальные ресурсы, а также период времени поставки продукции с момента получения авансового платежа при реализации продукции на условиях предоплаты. Однако задержки оплаты за поставленные материалы оказывают позитивное влияние на финансовый результат только в том случае, если цена материалов определяется на дату поставки и соответствует текущему уровню цен на них.
Важной является группа факторов, связанная с формированием и управлением товарно-материальными запасами.
Показатель чувствительности вычисляется как отношение процентного изменения критерия - выбранного показателя эффективности инвестиций (относительно базисного варианта) к изменению значения фактора на один процент. Таким способом определяются показатели чувствительности по каждому из исследуемых факторов.
С помощью анализа чувствительности на базе полученных данных можно установить наиболее приоритетные с точки зрения риска факторы, а также разработать наиболее эффективную стратегию реализации инвестиционного проекта.
Отметим, что, несмотря на все преимущества метода анализа чувствительности проекта: объективность, простоту расчетов, их наглядность (именно эти критерии положены в основу его практического использования), данный метод обладает серьезным недостатком -однофакторностью. Он ориентирован только на изменения одного фактора проекта, что приводит к недоучету возможностей связи между отдельными факторами или недоучету их корреляции.
Поэтому на практике используется также метод анализа сценариев. Он включает в себя учет одновременного (параллельного) изменения ряда факторов, влияющих на степень риска проекта.
Таким образом, определяется воздействие одновременного изменения всех основных переменных проекта, характеризующих его денежные потоки (приток И отток денежных средств). Важным преимуществом метода является тот факт, что отклонения параметров (от базовых значений) рассчитываются с учетом их взаимосвязей (корреляции).
ЭКОНОМИЧЕСКОЕ СОДЕРЖАНИЕ И НАЗНАЧЕНИЕ ФИНАНСОВЫХ ИНВЕСТИЦИЙ
В условиях товарного (рыночного) хозяйства бесперебойное формирование финансовых ресурсов, а также их эффективное использование достигается с помощью финансового рынка. Он представляет собой форму организации движения денежных средств в народном хозяйстве и функционирует в виде рынка ценных бумаг и рынка ссудного капитала.
Объективной предпосылкой функционирования финансового рынка является несовпадение потребностей в финансовых ресурсах у хозяйствующих субъектов с наличием источников покрытия данных потребностей. На практике свободные денежные средства могут быть в наличии у одних владельцев (собственников), а инвестиционные потребности возникают у других субъектов рынка.
Для мобилизации временно свободных денежных средств и рационального их использования и предназначен финансовый рынок. Его функциональное назначение заключается в посредничестве движению денежных ресурсов от их владельцев к пользователям.
Владельцами выступают юридические лица и граждане, накапливающие у себя денежные средства для последующего инвестирования в финансовые и капитальные активы. Частные лица (домашние хозяйства) осуществляют вложения своих сбережений либо непосредственно (индивидуальным способом), либо через финансовых посредников (финансово-кредитные институты).
В роли заемщиков выступают хозяйствующие субъекты, вкладывающие полученные с финансового рынка денежные средства в различные объекты предпринимательской деятельности (например, расширение производства товаров и услуг в недвижимость) с целью извлечения дополнительного дохода (прибыли).
Функционирование финансового рынка неразрывно связано с наличием в народном хозяйстве реальных собственников, обладающих реальной хозяйственной самостоятельностью и ответственностью за результаты финансовой деятельности.
Только такие независимые собственники способны заключать на финансовом рынке коммерческие сделки и предъявлять спрос на фондовые ценности в обмен на деньги.
Большинство зарубежных и отечественных ученых-экономистов, определяя экономическую природу финансового рынка, исходят из целевого назначения выполняемых им функций.
Так, Ван Хорн отмечал: Назначение финансовых рынков эффективное распределение накоплений между конечными потребителями. Экономика могла бы процветать и без финансовых рынков, если бы одни и те же хозяйствующие субъекты сберегали средства и мобилизовали капитал для ее развития. Однако в современном хозяйстве субъекты рынка, занимающиеся преимущественно мобилизацией капитала, используют для инвестиций в реальные активы больше средств, чем сберегают.
С другой стороны, домашние хозяйства накапливают больше средств, чем расходуют на цели потребления.
Следовательно, чем выше разрыв между объемами предлагаемых инвестиций и сбережений, тем актуальнее необходимость существования эффективного финансового рынка для распределения сбережений между конечными потребителями. Согласование интересов конечного инвестора и конечного владельца денежных средств осуществляется оптимальным образом и с минимальными затратами на финансовом рынке.
Эффективный финансовый рынок абсолютно необходим для обеспечения адекватного объема свободного капитала и поддержания экономического роста государства. При отсутствии финансовых активов, кроме наличных денежных средств, субъекты рынка могли бы инвестировать не больше, чем накоплено, поэтому их финансовая активность оказалась бы ограниченной. Если же размер намечаемых реальных инвестиций превышает сумму текущих сбережений, то субъекты рынка вынуждены были бы отложить их осуществление до накопления необходимых денежных средств.
Вследствие отсутствия финансирования хозяйствующим субъектам (предприятиям и корпорациям), не располагающим достаточным капиталом, пришлось отложить или отказаться от реализации многих высокодоходных проектов. Данная ситуация характерна для экономики России, отличающейся острым дефицитом инвестиционных ресурсов для вложения их в капитальные активы (здания, сооружения, оборудование и т. д.).
В переводной и отечественной экономической литературе можно встретить различные определения финансового рынка. Так, Л. Д. Гитман и М. Д. Джонк трактуют финансовые рынки как механизм, объединяющий тех, кто предлагает финансовые ресурсы тем, кто их ищет для заключения сделок, как правило, при помощи посредников, таких как фондовые биржи. Под финансовым рынком они понимают только рынок акций, облигаций и опционов.
Их общей особенностью является то, что цена каждого финансового инструмента в любой момент находится в точке равновесия спроса и предложения. По мере появления новой информации о доходности риска, инфляции, событиях в мире и т. д. изменения в соотношении спроса и предложения приводят к образованию нового равновесия или новой рыночной цены на финансовые инструменты.
М. Ю. Алексеев полагает, что рынок, обеспечивающий распределение денежных средств между участниками экономических отношений, называется финансовым рынком. Автор правильно отмечает, что понятие финансового рынка является весьма широким, поскольку охватывает не только традиционные финансовые, но и многообразные формы кредитных отношений.
М. Ю. Алексеев признает только два сегмента финансового рынка рынок банковских кредитов и ценных бумаг.
И. С. Меньшиков дает более краткое и прагматичное определение данному термину: Финансовый рынок это организованная торговля ценными бумагами. Тогда неясно, куда отнести неорганизованную торговлю фондовыми инструментами на внебиржевом рынке.
Е. В. Михайлова рассматривает финансовый рынок в двух аспектах: теоретическом и практическом. С политико-экономических позиций финансовый рынок представляет собой сферу реализации экономических отношений, выраженных финансовым капиталом, сферу проявления отдельных сторон финансового капитала. С практической точки зрения финансовый рынок означает операции с ценными бумагами.
Таким образом, территориально финансовый рынок может охватывать страну, регион или мир в целом.
Наиболее полное определение представлено В. С. Торкановским: Финансовый рынок - это совокупность всех денежных ресурсов, находящихся в постоянном движении, распределении или перераспредёлёнии, меняющихся под влиянием спроса и предложения на эти ресурсы со стороны различных субъектов экономики.
При этом В. С Торкановский выделяет три наиболее важных сегмента финансового рынка:
1.рынок находящихся в обращении наличных денег и выполняющих аналогичные функции краткосрочных платежных средств (векселей, чеков и т. д.) денежный рынок;
2.рынок ссудного капитала, т. е. кратко- и долгосрочных банковских кредитов;
3.рынок ценных бумаг фондовый рынок.
Следует полагать, что последний из них и является собственно финансовым рынком в более узком его понимании. Поэтому финансовый рынок представляет собой совокупность финансовых ; институтов, направляющих поток денежных средств от владельцев (собственников) к заемщикам с помощью фондовых инструментов (ценных бумаг).
Финансовый рынок многообразен, но предмет купли-продажи - это деньги, предоставляемые в пользование в различных формах. На фондовом рынке функционируют финансовые (портфельные) инвестиции, предназначенные для приобретения ценных бумаг.
Состав финансового рынка в России представлен в табл. 3.1.
Экономическая природа финансового рынка наиболее полно раскрывается в его функциях:
1.реализация стоимости и потребительной стоимости, заключенной в финансовых активах;
2.организация процесса доведения финансовых активов до потребителей (вкладчиков и покупателей);
3.финансовое обеспечение процесса инвестирования (вложения капитала);
4.воздействие на денежное обращение в стране.
В процессе выполнения финансовым рынком первой функции происходит движение стоимости валового внутреннего продукта (ВВП), которое выражается через обмен: деньги обмениваются на финансовые активы.
Таблица 3.1
Схема классификации финансового рынка по определяющим его признакам
|
Финансовый рынок |
|
Эмитенты |
Экономическая
Природа ценных
бумаг |
Связь ЦБ с первичным
размещением и
последующим
обращением |
Длительность
привлечения временно свободных средств |
Способ выплаты
доходов по ЦБ |
Уровень
риска |
|
1 |
2 |
3 |
4 |
5 |
6 |
|
1. Государство (государственные и муниципальные долговые обязательства) |
1. Ценные бумаги,
имеющие отношение к совпадению (долевые акции) |
1. Первичный рынок |
1 . Денежный рынок |
1.ЦБс
фиксированным
доходом |
1.ЦБс
небольшим
уровнем риска |
2. Частный
сектор (корпоративные ценные бумаги ЦБ) |
2. Ценные
бумаги, выражающие
отношение займа (облигации) |
2. Вторичный рынок |
2. Рынок капитала |
2. ЦБ с плавающим
доходом |
2. Высоко-
рисковые ЦБ (корпоративные
акции и
облигации) |
3. Иностранные
субъекты |
3. Производные
ценные бумаги (опционы, фьючерсы) |
3. ЦБ с
дисконтом |
|
Процесс инвестирования в финансовые активы можно выразить формулой:
Акции(Г1) Облигации(Г2)
И-д фа-Д1 (10)
Депозиты(Г3) Прочие финансовые активы(Г4)
Здесь И инвестиции; Д фа денежное выражение инвестиций, вложенные финансовые активы (акции, облигации), паи, займы и др; Г1, Г2, ГЗ, Г4 норма доходности соответствующих финансовых активов, %; Д1 доход от финансовых активов в форме дивидендов, процентов и т.д.
Завершение процесса такого обмена означает законченность, акта реализации стоимости, заключенной в финансовом инструменте, и общественное признание его потребительной стоимости, произведенной и выраженной в данном активе. Реализация финансовых активов означает возмещение первоначальных инвестиций и получение инвестором дополнительного дохода в форме прибыли.
Вторая функция финансового рынка заключается в организации процесса доведения финансовых активов до потребителя. Эта функция выражается через создание сети различных институтов по реализации ценных бумаг: банков, фондовых бирж, страховых инвестиционных компаний и фондов.
Назначение этих институтов заключается в создании приемлемых условий для обмена денежных средств инвесторов (покупателей) на интересующие их финансовые активы.
Содержание третьей функции финансового рынка состоит в аккумулировании денежных ресурсов у инвесторов (вкладчиков) для приобретения финансовых активов. Процесс сбережения финансовых ресурсов включает в себя как накопление собственного капитала, так и взятие его взаймы (в форме ссуды), внаем (инвестиционный селенг).
Содержанием четвертой функции является создание с помощью финансового рынка необходимых условий для непрерывного движения денег в процессе совершения платежей (вместо бартерного обмена и взаимозачетов) и регулирование денежной массы в обращении. Через данную функцию осуществляется реализация на финансовом рынке денежной политики государства (посредством отвлечения части денежной массы из обращения и вложения ее в ценные бумаги). До недавнего времени (до 17.08.1998) такую политику осуществлял Центральный банк России путем операций купли и продажи на фондовом рынке государственных ценных бумаг (через уполномоченные коммерческие банки).
От устойчивости денежного обращения в стране зависит и стабильность финансового рынка.
Финансовый рынок является объектом управления со стороны государственных органов. Как объект управления он характеризуется следующими показателями: емкостью и конъюнктурой рынка, сбалансированностью спроса и предложения на фондовые инструменты, условиями их реализации, уровнем финансового риска и доходности ценных бумаг.
Под емкостью финансового рынка понимается возможный годовой объем продажи определенного актива при сложившемся уровне цен на него. Емкость данного рынка зависит как от вида финансовых активов (например, голубые фишки), так и от всей их массы, находящейся в обращении.
Она складывается под влиянием ряда внешних и внутренних факторов: социально-экономических процессов, доходов покупателей и вкладчиков, уровня цен (курса ценных бумаг), нормы дивиденда и ставки процента.
Изучение конъюнктуры предполагает постоянное наблюдение за рынком, отклонением спроса от предложения финансовых активов.
Исходя из соотношения спроса и предложения различают благоприятную и неблагоприятную ситуации на финансовом рынке. Изменение конъюнктуры проявляется в движении рыночной цены. Нормальное развитие финансового рынка требует установления правильного соотношения между спросом и предложением финансовых активов, их сбалансированности.
Спрос и предложение должны находиться в динамическом развитии, которое обеспечивает беспрепятственную реализацию предлагаемых на рынке финансовых активов при одновременном удовлетворении спроса на них.
Следует отметить, что на развитом рынке финансовые активы обладают большей ликвидностью, чем многие промышленные товары и недвижимость. Их можно купить и сразу продать, что создает благоприятные условия для игры на понижение или повышение курсов ценных бумаг.
Поэтому один и тот же субъект рынка может выступать в роли продавца и в роли покупателя финансовых активов (посредством заключения срочных контрактов).
Финансовый (фондовый) рынок представляет собой систему самостоятельных сегментов. Например, рынки корпоративных ценных бумаг, государственных долговых обязательств, производных фондовых инструментов.
По сфере распространения, т. е. по широте охвата, можно выделить международный и внутренний финансовые рынки. В свою очередь внутренний рынок делится на региональные рынки и образуемые финансовыми центрами (фондовыми биржами, банками, финансовыми компаниями и т. д.). В качестве товара на внутреннем финансовом рынке выступают:
- валютные ценности (иностранная валюта и ценные бумаги,выражаемые в этой валюте);
- ценные бумаги (эмиссионные и коммерческие); драгоценные металлы и камни;
- ценные бумаги, представляющие безусловное долговое обязательство страховых компаний и негосударственных пенсионных фондов (страховое свидетельство, медицинский полис,
пенсионный полис и др.);
- деньги (рублевые банкноты, депозитные и сберегательные сертификаты).
По основной группе финансовых активов фондовый рынок подразделяется на денежный рынок и рынок капитала. На денежном рынке продаются и покупаются краткосрочные ценные бумаги (со сроком погашения до одного года).
На рынке капитала заключаются сделки с долгосрочными ценными бумагами (акциями и корпоративными облигациями). Рынок капитала в свою очередь подразделяется на первичный и вторичный. На первичном рынке предполагаются новые выпуски ценных бумаг.
Вторичный рынок механизм купли-продажи ранее размещенных ценных бумаг. По степени организованности финансовый рынок можно классифицировать на организованный (фондовые и валютные биржи) и неорганизованный (сфера купли-продажи ценных бумаг через сеть брокерских и дилерских компаний).
Согласно Федеральному Закону РФ О рынке ценных бумаг от 22.04.1996 г., организатором торговли на рынке ценных бумаг выступает фондовая биржа, функционирующая в форме некоммерческого партнерства. С ее помощью совершаются сделки с ценными бумагами, приводящие к смене их владельца.
Биржа оказывает информационные, расчетные услуги, дает определенные гарантии своим клиентам, накладывает ограничения на торговлю ценными бумагами и получает комиссионное вознаграждение от сделок.
Фондовая биржа работает по лицензии, выдаваемой Минфином РФ (Письмо Минфина РФ О лицензировании биржевой деятельности на рынке ценных бумаг от 15.04.1992, 20 и от 2.03.1993, 10). Фондовой биржей признается только организатор торговли на рынке ценных бумаг, не совмещающий деятельность по организации торговли с другими видами деятельности, за исключением депозитарной и деятельности по определению взаимных обязательств.
Биржа организует торговлю между ее членами. Другие участники фондового рынка вправе совершать операции на бирже только через посредничество ее членов, которыми могут быть любые профессиональные участники фондового рынка.
Фондовая биржа вправе установить количественное ограничение числа ее членов. Она самостоятельно определяет процедуру включения в список ценных бумаг, допущенных к обращению на бирже, процедуру листинга и делистинга. Биржа обязана обеспечить гласность и публичность проводимых торгов путем оповещения ее членов о месте и времени проведения торгов, о списке и котировке ценных бумаг, допущенных к обращению на данной бирже, о результатах торговых сессий, а также предоставлять информацию о правилах торговли ценными бумагами.
Фондовая биржа не может определять размеры вознаграждения, взимаемого ее членами за совершение биржевых сделок.
Следует отметить, что биржа не определяет цены на фондовые ценности. Она их только констатирует, объективно способствуя их формированию.
Во всем мире нормативные акты о биржах не фиксируют порядок определения биржевого курса ценных бумаг. В ряде биржевых уставов лишь указывается, что биржевой ценой должна считаться такая цена, которая соответствует реальному положению биржевого оборота.
Биржей констатируется процесс предложения и спроса, а результатом их сопоставления выступает цена как выражение равновесия, достаточного для осуществления той или иной сделки.
При формировании биржевых курсов ценных бумаг на всех фондовых биржах мира соблюдается пять ключевых правил:
- искомый биржевой курс всегда будет таким, по которому может быть осуществлено наибольшее количество сделок;
- все заявки, в которых указывается по наилучшему курсу, всегда осуществляются при появлении уже первого предложения цены;
- все заявки, в которых содержатся максимальные уровни цен при покупке и минимальные при продаже, должны осуществляться;
- все заявки, в которых указываются цены, приближающиеся к максимальным при продаже, могут реализоваться частично;
5) все заявки, где указаны цены ниже искомого курса при покупке или выше при продаже, не реализуются.
В настоящее время часть финансовых операций осуществляется во внебиржевом обороте, но это не снижает роли ценообразования на бирже, так как проведение таких операций во внебиржевом обороте имеет своей целью удешевление цены на фондовые инструменты.
Фондовые биржи обычно предъявляют жесткие требования не только своим членам, но и эмитентам, которые желают, чтобы их акции продавались во время торговой сессии. Котирование ценных бумаг акционерных компаний (корпораций) на фондовой бирже дает им следующие преимущества:
- включение акций компании в котировочный бюллетень делает их более известными и доступными, повышает их привлекательность для инвесторов, способствует увеличению числа сделок и повышению курса ценных бумаг;
- в случае выпуска новых видов бумаг компаниями, чьи акции котируются на фондовой бирже, затраты, связанные с их размещением, оказываются значительно ниже по сравнению с издержками корпорации, чьи акции не обращаются на бирже;
- котировка акций на бирже приносит дополнительную известность, что способствует повышению спроса на ее продукцию;
- компании, акции которых допущены к биржевой торговле, могут увеличить число своих акционеров, что дает возможность распределить акционерный капитал между большим числом владельцев и облегчает управление тем собственникам, которые имеют контрольный пакет акций;
- допуск к котировке способствует формированию реальных цен на акции компании и позволяет более правильно рассчитать ее финансовый потенциал и стоимость активов.
Котировка акций на фондовой бирже выгодна не только эмитентам, но и инвесторам, так как возрастает ликвидность акций, обоснованность инвестиционных решений, информированность потенциальных вкладчиков.
Другим участником фондового рынка является инвестиционный институт. Он представляет собой физическое или юридическое лицо, осуществляющее операции с ценными бумагами.
К инвестиционному институту относятся: финансовый брокер, инвестиционный консультант, инвестиционная компания или фонд. Они должны иметь лицензию на свою деятельность.
Инвестиционные институты осуществляют свою работу на фондовые рынки как исключительную, т. е. не допускающую ее совмещения с другими видами деятельности.
В заключение отметим, что ключевой задачей, которую должен выполнять финансовый рынок, является прежде всего обеспечение эффективного межотраслевого перераспределения инвестиционных ресурсов, максимально возможного притока национальных и зарубежных инвестиций в экономику России, формирования необходимых условий для стимулирования накоплений и трансформации сбережений в реальные инвестиции.
Создание полнокровного финансового рынка в России не может считаться завершенным без образования конкурентоспособного корпоративного сектора, способного мобилизовать и предоставить реальному сектору экономики инвестиционные ресурсы, достаточные для ее развития.
Стимулирование производства и инвестиций, структурная перестройка и повышение эффективности хозяйственной деятельности предприятий и корпораций являются определяющими факторами становления социально-ориентированной рыночной экономики.
ФИНАНСОВЫЕ ВЗАИМООТНОШЕНИЯ МЕЖДУ УЧАСТНИКАМИ ФОНДОВОГО РЫНКА
На фондовом рынке присутствуют различные участники, функции которых определяются целями их деятельности. Состав ведущих участников классифицируется исходя из форм осуществления сделок с ценными бумагами, которые подразделяются на прямые и непрямые (опосредованные).
Финансовые посредники (финансовые институты) представляют собой компании, выпускающие финансовые обязательства (требования к себе) и продающие их в качестве активов за деньги. На полученные таким образом денежные средства приобретаются активы других компаний (капитальные или финансовые).
Промышленные предприятия инвестируют денежные средства главным образом в реальные активы (основные средства, товарно-материальные запасы и др.) для развития производства. К финансовым посредникам относятся коммерческие и инвестиционные банки, инвестиционные компании и фонды, страховые фирмы, негосударственные пенсионные фонды и др.
МОНИТОРИНГ ПОРТФЕЛЯ ЦЕННЫХ БУМАГ
Инвестор стремится вложить свои денежные средства в наиболее доходные финансовые активы. Однако неопределенность будущих доходов требует учета возможных отклонений доходности от ожидаемого значения, т. е. учета риска, связанного с вложениями в данный финансовый инструмент.
Фондовый портфель имеет ограничения по сроку жизни, а также по минимальной и максимальной суммам инвестиций. Его доходность определяется тремя величинами: ожидаемой, возможной и средней.
Ожидаемая (минимальная) доходность величина, которая будет получена по окончании срока жизни портфеля при сочетании наименее благоприятных обстоятельств.
Возможная (максимальная) доходность величина, получаемая при наиболее вероятном развитии событий. Более высокая доходность связана с повышенным риском для
инвестора. Поэтому в процессе инвестирования следует учитывать оба фактора, которые сравниваются со среднерыночным уровнем доходности.
Базовая формула совокупной доходности портфеля при использовании годового периода имеет вид:
где ПДП полученные дивиденды и проценты; РКП реализованная курсовая прибыль; НКП нереализованная курсовая прибыль; НИ . начальные инвестиции; ДС дополнительные средства; Т1 число месяцев нахождения денежных средств, вложенных в фондовые инструменты в портфеле; ИС извлеченные средства; Т2 число месяцев отсутствия денежных средств, вложенных в фондовые инструменты в портфеле.
Данная формула включает как реализованные (текущие поступления плюс прирост курсовой стоимости), так и нереализованные доходы в результате прироста курсовой стоимости за год. Внесенные дополнительные суммы и извлеченные средства взвешиваются по числу месяцев, когда они были вложены в портфель.
Значение показателя доходности портфеля, полученное в результате указанных формул, может быть использовано в анализе доходности, скорректированной с учетом риска и среднерыночных показателей.
Данный способ сравнительного исследования очень удобен для инвестора, поскольку он может показать, насколько положительно зарекомендовал себя фондовый портфель относительно рынка ценных бумаг в целом.
МОНИТОРИНГ ПОРТФЕЛЯ ЦЕННЫХ БУМАГ
Система мониторинга фондового портфеля представляет собой разработанный акционерной компанией механизм непрерывного наблюдения за ликвидностью, доходностью и безопасностью входящих в него ценных бумаг в условиях постоянно меняющейся рыночной конъюнктуры.
Основными целями разработки системы мониторинга являются:
- постоянный контроль за движением рыночной стоимости ценных бумаг и отклонением ее от среднерыночного курса;
- анализ причин, вызвавших эти отклонения;
- разработка мер по соответствующей корректировке состава и структуры портфеля и вывода из него неэффективных фондовых инструментов;
- формирование нового портфеля ценных бумаг, отвечающих
инвестиционной направленности владельца.
В этих целях используются различные методы анализа за состоянием фондового рынка и инвестиционных качеств ценных бумаг отдельных эмитентов.
Наиболее представительными считаются два направления:
- фундаментальный анализ;
- технический анализ.
Анализ требует больших денежных затрат и высокой квалификации инвестиционных менеджеров.
Фундаментальный анализ оправдывает себя при длительной работе с крупными компаниями и при ориентации на среднесрочные и долгосрочные инвестиции.
Приемы технического анализа более оперативны и основаны на информации о динамике биржевых курсов акций, что вполне достаточно для принятия инвестиционных решений. Часто указанные методы используются в комбинации.
В условиях недостаточно развитого рынка ценных бумаг в России наиболее предпочтительным является фундаментальный анализ. Он включает три уровня задач:
- изучение общей экономической ситуации в стране;
- анализ отдельных сегментов рынка ценных бумаг;
- изучение финансового состояния отдельных компаний-эмитентов.
Результаты фундаментального анализа оформляются в форме исследовательского отчета. Изучение общей экономической ситуации основано на показателях, характеризующих динамику производства, уровень деловой активности, накопления и потребления, темпы инфляции, финансовое состояние государства (бюджетный дефицит, объем внутреннего и внешнего долга и др.). Важнейшие макроэкономические показатели развития народного хозяйства России представлены в табл.
5.2.
Исследование приведенных в табл. 5.2 данных позволяет оценить, насколько денежно-кредитная и финансовая политика государства благоприятна для инвестирования.
Анализ отдельных сегментов фондового рынка осуществляется в отраслевом разрезе. В каждый данный момент устанавливаются отрасли, которые находятся на подъеме и обеспечивают инвесторам наиболее выгодные вложения средств.
В фундаментальном анализе практикуется классификация всех отраслей на три типа: устойчивые, циклические и растущие.
Таблица 5.2 Основные показатели развития народного хозяйства РФ
|
Показатели |
1996г. |
1997г. |
1998г. |
|
1 . Официальный валютный курс на конец периода: рублей за $1, % к предыдущему году |
5,56
119,8 |
5,96
107,2 |
20,65
346,5 |
|
2. Валовой внутренний продукт: на конец периода в среднем за месяц |
121,8
1,7 |
111,0
0,9 |
184,4
5,2 |
|
3. Продукция промышленности |
96,0 |
102,0 |
94,8 |
|
4. Индекс цен производителей на продукцию промышленности, % в среднем за месяц |
125,6
1,9 |
107,5
0,6 |
123,2
1,75 |
|
5. Продукция сельского хозяйства |
94,9 |
101,3 |
87,7 |
|
6. Инвестиции в основной капитал |
81,9 |
95,0 |
93,3 |
|
7. Объем розничной торговли |
97,2 |
105,0 |
95,6 |
|
8. Уровень безработицы (% к экономически активному населению) |
3,4 |
2,75 |
2,7 |
|
9. Экспорт |
109,3 |
99,7 |
83,6 |
|
10. Импорт |
113,0 |
107,0 |
80,9 |
К устойчивым относятся отрасли, выпускающие жизненно важную продукцию для населения, а также оказывающие ему необходимые услуги (пищевая промышленность, коммунальные услуги и др.). Эти отрасли наиболее надежны с точки зрения инвестиций в их ценные бумаги, которые, однако, не отличаются высокой доходностью.
Циклические отрасли производят средства и товары длительного пользования (автомобилестроение, энергомашиностроение, сельхозмашиностроение и др.). Результативность вложений в данные отрасли зависит от стадии цикла, на которой они находятся.
Те из них, которые проходят стадию подъема, обеспечивают высокую доходность инвестиций в ценные бумаги.
Растущие отрасли отличаются высокими темпами объема производства, превосходящими темпы роста ВВП по стране в целом. В России это отрасли горнодобывающей промышленности, электроэнергетики, нефтепереработки.
Инвестиции в такие отрасли сопряжены с большим риском, но они предлагают вкладчикам высокий доход в настоящем и будущем периодах.
Анализ финансового состояния отдельных акционерных компаний позволяет отобрать те из них, которые в наибольшей степени отвечают инвестиционным целям вкладчиков.
Оценка инвестиционной привлекательности акционерных обществ включает четыре этапа:
- изучение текущего финансового положения и перспектив его изменения;
- анализ показателей деятельности компаний (ликвидности, платежеспособности, оборачиваемости и доходности активов и др.);
- анализ состава и структуры капитала (собственного и заемного);
- оценка потенциала акций.
Для определения потенциала акций применяется система покупателей, отражающих качество данных фондовых инструментов. Она представлена в табл.
5.3. В ходе анализа производится сравнение этих показателей с данными других аналогичных компаний, а также с величинами, сложившимися за предшествующие периоды. По результатам фундаментального анализа составляется справка, отражающая основные финансовые показатели
Таблица 5.3
Результативные показатели инвестиционной привлекательности акционерного общества
|
Показатели |
Расчетные формулы |
|
1 . Чистая прибыль на одну обыкновенную акцию
|
Чистая прибыль дивиденды по префакциям |
|
Количество обыкновенных акций у акционеров |
|
2. Соотношение рыночной цены годового дохода по акции (цена /доход)
|
Рыночная цена акции |
|
Чистая прибыль на одну обыкновенную акцию |
|
3. Дивиденд на одну обыкновенную акцию
|
Величина дивидендного покрытия |
|
Количество обыкновенных акций у акционеров |
|
4. Соотношение рыночной и номинальной стоимости акций
|
Рыночная стоимость акции |
|
Номинальная стоимость акции , |
|
5. Норма выплаты дивиденда к чистой прибыли
|
Дивиденд на одну обыкновенную акцию |
|
Чистая прибыль на одну обыкновенную акцию |
|
6. Соотношение между бухгалтерской и рыночной стоимостью акции
|
Бухгалтерская стоимость одной акции |
|
Рыночная стоимость одной акции |
и коэффициенты по рассмотренным компаниям. Затем делаются выводы относительно покупки, продажи или сохранения в своем портфеле ценных бумаг, эмитируемых данными акционерными компаниями.
Технический анализ инвестиционной ситуации базируется на использовании графических методов изучения динамики цен,
В процессе графического анализа решаются три задачи:
- прогнозирование уровня цен;
- нахождение оптимального момента времени для покупки или продажи ценных бумаг;
3) проверка полноты и достоверности фундаментального анализа.
Основным методом технического анализа является построение
гистограмм, с помощью которых для каждого биржевого дня определяются минимальный и максимальный уровни цены, а также цена при закрытии биржи, т. е. отражаются уровень и размах колебаний цен. Их совокупность за достаточно длительный период времени позволяет изучить основные тенденции в ценах на акции.
Для снижения риска на фондовом рынке РФ целесообразно отдавать предпочтение прямым инвестициям в ценные бумаги эмитентов, обладающих реальным имуществом, а не покупке акций надстроечных структур типа холдингов.
Высокая инфляция и экономическая нестабильность вынуждают инвесторов сокращать сроки вложений, отдавая предпочтение инвестициям в краткосрочные ценные бумаги (МКО, облигации Банка России, банковские векселя и т. д.).
Совокупность применяемых к портфелю методов и технических приемов представляет собой способ управления, который может быть активным или пассивным. Мониторинг может быть способом как активного, так и пассивного управления.
Организация мониторинга портфеля ценных бумаг акционерной компании представлена в табл. 5.4.
Конечной целью мониторинга служит выбор ценных бумаг, обладающих инвестиционными качествами, соответствующими данному типу портфеля.
Активная модель управления предполагает систематическое наблюдение и быстрое приобретение ценных бумаг, отвечающих инвестиционным целям портфеля, а также оперативное изучение его
Таблица 5.4
Организация мониторинга фондового портфеля акционерной компании
|
Активный способ управления |
Пассивный способ управления |
|
1. Отбор ценных бумаг, рациональных к покупке и низкодоходных к продаже |
1 . Отбор ценных бумаг в достаточно диверсифицированный фондовый портфель |
|
2. Расчет нового портфеля, его доходности и риска с учетом ротации ценных бумаг |
2. Оптимизация портфеля |
|
3. Оценка эффективности старого и нового портфелей с учетом расходов по купле-продаже ценных бумаг |
3. Расчет минимально необходимой доходности |
|
4. Формирование нового портфеля
|
4. Падение доходности ниже минимального уровня |
|
5. Формирование нового портфеля |
состава и структуры. Фондовый рынок России характеризуется быстрым изменением котировок ценных бумаг и высоким уровнем риска. Поэтому ему адекватна активная модель мониторинга, которая делает модель управления портфеля более рациональной.
С помощью мониторинга можно прогнозировать размер возможных доходов от операций с ценными бумагами.
Инвестиционный менеджер, занимающийся активным управлением портфеля, обязан купить наиболее эффективные ценные бумаги и быстро продать низкодоходные финансовые активы. В данном случае целесообразно не допустить снижения стоимости портфеля и потерю им инвестиционных качеств.
Поэтому необходимо постоянно сравнивать стоимость, доходность, ликвидность и безопасность нового портфеля с аналогичными показателями прежнего портфеля, чтобы принимать обоснованные управленческие решения.
Активный способ управления предполагает значительные финансовые расходы, связанные с информационной, аналитической, экспертной и торговой деятельностью на фондовом рынке. Эти затраты могут нести только крупные банки и финансовые компании, имеющие большой портфель ценных бумаг и стремящиеся к получению максимального дохода от профессиональной деятельности на фондовом рынке.
В процессе мониторинга фондового портфеля инвестиционные менеджеры часто используют методы, основанные на анализе кривых доходности, и операции СВОП (обмен одних ценных бумаг на другие: акции на корпоративные облигации).
В первом случае в процессе инвестирования ориентируются на предполагаемые изменения доходности ценных бумаг, чтобы использовать в интересах инвестора будущие изменения процентных ставок. Инвестиционные менеджеры прогнозируют состояние финансового рынка и в соответствии с этим прогнозом корректируют фондовый портфель.
Например, если кривая доходности в данный момент находится на сравнительно низком уровне и будет, согласно прогнозу, повышаться, то это приведет к падению курса надежных ценных бумаг (муниципальных облигаций). Поэтому целесообразно приобретать краткосрочные облигации, которые по мере роста процентных ставок предъявляются к продаже и реинвестируются в более доходные финансовые активы. В данном случае краткосрочные облигации являются дополнительным резервом денежной наличности (ликвидности) компании.
Если кривая доходности высока и будет иметь тенденцию к снижению, то инвестор переключается на покупку долгосрочных облигаций, которые обеспечивают более высокий доход.
Таким образом, активный мониторинг представляет собой непрерывный процесс управления портфелем, что требует его периодического пересмотра, частота которого зависит от общей ситуации на финансовом рынке (включая динамику процентной ставки).
Пассивная модель управления предполагает формирование сильно диверсифицированных портфелей с заранее фиксированным уровнем риска, рассчитанным на длительный период времени. Подобный подход возможен для развитого фондового рынка с относительно стабильной конъюнктурой.
В условиях общей экономической нестабильности, высоких темпов инфляции в России пассивный мониторинг малоэффективен.
Отметим наиболее общие правила пассивного управления фондовым портфелем:
- такое управление рационально только в отношении портфеля, состоящего из малорискованных ценных бумаг;
- ценные бумаги должны быть долгосрочными, чтобы портфель существовал в неизменном виде длительное время.
Это дает возможность реализовать на практике основное преимущество пассивного управления - значительной объем накладных расходов по сравнению с активным мониторингом.
В условиях России портфель не может быть стабильным в обозримом будущем, так как велика вероятность потери не только его стоимости, но и дохода владельца. В российской практике до недавнего времени (до 17.08.1998) применялся собственный метод пассивного управления портфелем ГКО-ОФЗ. Его сущность заключалась в следующем. Исходя из средневзвешенной стоимости капитала (ССК) инвестор определяет минимально необходимый доход.
После этого на основе мониторинга осуществлялся отбор ценных бумаг в портфель с гарантированной доходностью и минимальным уровнем риска. Сигналом к изменению образованного портфеля является не конъюнктура фондового рынка, как при активном управлении, а падение доходности портфеля ниже минимального уровня.
Следовательно, доходность является тем индикатором, который заставляет инвестора пересматривать состав портфеля.
Выбор тактики управления зависит и от типа портфеля. Например, трудно ожидать высокого дохода, если к портфелю агрессивного дохода, или к портфелю агрессивного роста, применить тактику пассивного управления.
Вряд ли будут оправданы высокие расходы на активное управление портфелем, ориентированны на стабильный доход.
Существуют два варианта управления портфелем:
- выполнение управленческих функций держателем портфеля;
- передача всех функций по управлению портфелем другому юридическому лицу в форме траста (банку или финансовой компании).
Второй способ управления предпочтителен для фондовых портфелей крупных инвесторов.
Рассмотрим оба варианта более подробно. В первом варианте владелец фондового портфеля управляет им самостоятельно.
В данном случае держатель портфеля обязан создать специальное структурное подразделение (фондовый отдел), за которым будет закреплено управление портфелем.
В функции фондового отдела акционерной компании входят:
- определение целей и типа портфелей;
- разработка стратегии и тактики управления портфелем;
- оперативное планирование ценных бумаг в рамках заданных целей;
- реализация операций, относящихся к управлению портфелем;
- анализ и выявление факторов, влияющих на состав, структуру и динамику движения ценных бумаг, входящих в портфель;
- принятие и реализация практических решений, направленных на корректировку состава и структуры портфеля.
Для предприятий с небольшим портфелем функции фондового отдела может выполнять один квалифицированный специалист.
Во втором варианте владелец портфеля доверяет осуществлять управление им другому юридическому лицу на основе договора доверительного управления имуществом. С помощью такого договора (траста) можно управлять фондовым портфелем промышленных акционерных обществ, инвестиционных компаний и фондов.
ОЦЕНКА ИНВЕСТИЦИОННОЙ ПРИВЛЕКАТЕЛЬНОСТИ ЦЕННЫХ БУМАГ АКЦИОНЕРНОГО ОБЩЕСТВА (ЭМИТЕНТА)
Цель инвестирования в финансовые активы зависит от предпочтений каждого вкладчика. Классический вариант вложение денежных средств в ценные бумаги промышленных компаний (корпораций).
В условиях депрессивной экономики России и недостатка достоверной информации о деятельности акционерных предприятий принятие правильного решения об инвестировании требует от вкладчика умения правильно оценить качество обращающихся на фондовом рынке ценных бумаг.
Основная задача рассматриваемой методики оценить инвестиционную привлекательность акционерной промышленной компании.
Под инвестиционной привлекательностью понимается наличие экономического эффекта (дохода) от вложения денег в ценные бумаги (акции) при минимальном уровне риска. Методика основана на использовании детерминированного факторного анализа и предполагает расчет результативных показателей (коэффициентов), их группировку по экономическому содержанию, обоснование полученных значений и оценку текущего финансового состояния акционерного общества и перспектив его развития.
Итогом анализа является заключение о степени инвестиционной привлекательности акционерной компании.
Показатели инвестиционной привлекательности эмитента классифицируются по двум группам:
1)акции предлагаются впервые (первичная эмиссия);
2) акции продолжительное время обращаются на фондовом рынке.
В первом случае оценка инвестиционной привлекательности компании (инвесторами, кредиторами, рейтинговыми формами) проводится с использованием традиционных показателей:
- оборачиваемости активов;
- прибыльности активов;
- финансовой устойчивости;
- ликвидности активов.
Во втором случае эта оценка дополняется анализом ряда новых показателей, среди которых наиболее важную роль играют следующие (табл. 5.5).
Таблица 5.5
Коэффициенты, характеризующие эффективность первичной эмиссии акций
|
Показатель |
Назначение |
Расчетная формула |
|
1. Коэффициент отдачи, акционерного капитала |
Характеризует уровень чистой прибыли, приходящейся на акционерный капитал |
Чистая прибыль (после налогообложения), деленная на среднюю стоимость акционерного капитала за расчетный период |
|
2. Балансовая стоимость одной акции |
Отражает величину акционерного и резервного капиталов, приходящихся на одну акцию, т. е. обеспеченность акционерного общества собственными средствами |
Сумма (акционерный капитал + резервный капитал), деленная на общее количество акций акционерного общества на определенную Дату |
|
3. Коэффициент дивидендных выплат |
Характеризует долю дивидендных выплат в чистой прибыли акционерного общества |
Сумма дивидендов, выплаченных акционерным обществом в рассматриваемом периоде, деленная на сумму чистой прибыли общества за расчетный период |
|
4. Коэффициент обеспеченности привилегированных акций (префакций) чистыми активами |
Отражает величину чистых активов, приходящихся на одну префакцию Чистые активы = активы -обязательства по балансу |
Чистые активы общества на определенную дату, деленные на количество префакций, находящихся в обращении |
|
5. Коэффициент покрытия дивидендов по префакциям |
Позволяет оценить, в какой мере размер чистой прибыли общества обеспечивает выплату дивидендов |
Чистая прибыль общества за расчетный период, деленная на сумму дивидендов, предусмотренную к выплате по префакциям в расчетном периоде |
Рассмотренные показатели характеризуют эффективность предыдущих выпусков акций акционерного общества.
Оценка характера обращения акций на рынке ценных бумаг связана прежде всего с показателями их рыночной стоимости и ликвидности. Среди этих параметров наиболее важную роль играют следующие (табл.
5.6).
Таблица 5.6
Коэффициенты, определяющие характер обращения акций на организованном рынке ценных бумаг
|
Показатель |
Назначение |
Расчетная формула |
|
1 . Коэффициент выплаты дивидендов |
Характеризует соотношение суммы дивиденда и цены акции |
Сумма дивиденда, выплаченного по акции в определенном периоде (руб.), деленная на цену котировки акции на начало рассматриваемого периода (руб.) |
|
2. Коэффициент соотношения цены и доходности акции |
Показывает соотношение между ценой акции и доходом по ней. Чем ниже это соотношение, тем привлекательнее акция для инвестора |
Цена акции на начало рассматриваемого периода (руб.), деленная на совокупный доход, полученный по акции в рассматриваемом периоде (руб.) |
|
Показатель |
Назначение |
Расчетная формула |
|
3. Коэффициент ликвидности акций на фондовой бирже |
Характеризует возможности быстрого превращения акций в деньги в случае необходимости их реализации |
Общий объем предложения рассматриваемых акций на биржевых торгах (или по периоду в целом), деленный на общий объем продажи рассматриваемых акций на биржевых торгах (или по всем торгам за период) |
|
4. Коэффициент соотношения котируемых цен предложения и спроса на акцию |
Отражает соотношение между ценой предложения и спроса на акцию |
Средний уровень цен предложения на торгах, деленный на средний уровень цен спроса на акцию на торгах |
|
5. Коэффициент обращения акций |
Отражает объем их обращения, а также уровень ликвидности по результатам биржевых торгов |
Общий объем продаж рассматриваемых акций на торгах за период, деленный на общее количество акций фирмы, умноженное на среднюю цену продажи одной акции в рассматриваемом периоде |
По законодательству России установлены жесткие требования к проспекту эмиссии ценных бумаг. Он должен содержать:
- сведения об эмитенте;
- данные о его финансовом положении. Эти сведения не приводятся в проспекте эмиссии при создании акционерного общества, за исключением случаев преобразования в него юридических лиц иной организационно-правовой формы (товариществ);
- сведения о предстоящем выпуске эмиссионных ценных бумаг (акций и корпоративных облигаций).
Условия размещения выпущенных ценных бумаг следующие:
- эмитент имеет право начинать размещение выпускаемых им ценных бумаг только после регистрации их выпуска;
- количество размещенных ценных бумаг не может превышать их количества, указанного в учредительных документах о выпуске ценных бумаг;
- эмитент вправе разместить меньшее количество ценных бумаг, чем указано в проспекте эмиссии. Фактическое количество размещенных ценных бумаг указывается в отчете об итогах выпуска, предоставляемом на регистрацию.
ОСНОВНЫЕ МОДЕЛИ КЛАССИЧЕСКОГО ПОРТФЕЛЬНОГО ИНВЕСТИРОВАНИЯ
Они косвенным образом обеспечивают дополнительную возможность привлечения средств для предприятий и корпораций. Посредники являются промежуточным звеном между конечными заемщиками и кредиторами.
Например, коммерческие и инвестиционные банки покупают первичные ценные бумаги и в свою очередь эмитируют собственные. Например, в России коммерческие банки выпускают собственные акции и облигации, векселя и т. д.
Финансовые посредники трансформируют средства таким образом, чтобы обеспечить наибольшую привлекательность своих ценных бумаг для инвесторов. Предоставляется большой спектр услуг и возможностей сбережения денег.
Помимо этого они имеют возможность собирать более полную информацию о заемщиках, чем отдельные индивидуальные инвесторы.
Посредники также могут преобразовывать первичные ценные бумаги с одним сроком погашения во вторичные ценные бумаги с самыми разными сроками погашения. В результате сроки погашения фондовых инструментов могут оказаться для инвесторов более привлекательными, чем если бы их средства вкладывались непосредственно в первичные ценные бумаги (акции корпораций). Наконец, финансовые посредники предоставляют часто необходимые экспертные услуги при инвестировании в первичные ценные бумаги.
Финансовые взаимоотношения между посредниками и инвесторами показаны на 3.1, 3.2.
Прямая форма заключения сделок
Следовательно, финансовые посредники приспосабливают номинальную стоимость и вид собственных ценных бумаг, которые они эмитируют, к пожеланиям владельцев денежных средств. Конечно, их цель получение прибыли за счет перепродажи первичных ценных бумаг по ценам, превышающим цены их покупки.
Финансовые посредники направляют денежные средства конечных кредиторов конечным заемщикам по меньшей стоимости и с более низкими неудобствами, чем если бы это было осуществлено при прямой форме заключения сделок.
Однако не всегда посредничество выгодно для инвесторов. Нередко оно становится обременительным и его следует избегать. Эту проблему позволяет решить секьютеризация посредством использования неликвидных активов и преобразования их в ценных бумаги.
Секьютеризация процесс увеличения роли ценных бумаг на финансовом рынке в ущерб банковским кредитам.
В странах с развитой рыночной экономикой в процессе секьютеризации такие финансовые активы, как закладные, объединяются в пул и под него выпускают ценные бумаги. В случае с закладными инвестор, который приобрел эмитированные ценные бумаги, имеет непосредственное право на часть пула закладных. Это означает, что доходы и основная часть платежей по закладным направляются инвестору.
Другие ценные бумаги представляют собой облигации, обеспечиваемые пулом активов.
Причиной распространения секьютеризации является то, что с ее использованием снижаются общие трансакционные издержки по кредиту, в то время как депозитарная компания является посредником между заемщиком и владельцем денежных средств. Направление секьютеризации является ориентиром для инвестиционного менеджера в процессе принятия решений о способах финансирования компании. Поэтому необходим тщательный мониторинг данного направления финансовой деятельности.
Если дешевле осуществлять финансирование непосредственно в ценные бумаги, а не через финансовых посредников, то менеджер обязан рассмотреть преимущества этого варианта.
Исходя из форм заключения сделок на фондовом рынке России основные его участники подразделяются на три группы:
1) продавцы и покупатели ценных бумаг;
- финансовые посредники;
- участники, осуществляющие вспомогательные функции на
рынке.
Продавцы и покупатели фондовых инструментов составляют группу прямых участников рынка, осуществляющих на нем основные функции по проведению операций. Состав основных видов данной группы участников фондового рынка определяется характером обращающихся на нем финансовых активов. Основные виды прямых участников операций на фондовом рынке эмитенты и инвесторы. Согласно Федеральному Закону О рынке ценных бумаг от 22.04.1996 г., эмитенты привлекают необходимые денежные ресурсы за счет выпуска (эмиссии) ценных бумаг.
На фондовом рынке они выступают исключительно в роли продавцов ценных бумаг с обязательством выполнять все требования, вытекающие из условий их выпуска. Эмитентами ценных бумаг, как правило, выступают государство, муниципальные органы власти и хозяйствующие субъекты (предприятия и коммерческие организации).
Инвесторы вкладывают собственные средства в разнообразные виды ценных бумаг с целью получения дохода (в форме дивидендов и процентов). Инвесторы классифицируются по ряду признаков:
- по статусу индивидуальные (отдельные физические и юридические лица) и институциональные (финансово-кредитные институты);
- по целям инвестирования выделяют стратегических (приобретающих контрольный пакет акций для осуществления стратегического управления предприятием) и портфельных инвесторов (приобретающих отдельные виды ценных бумаг для получения дохода);
- по принадлежности к резидентам на фондовом рынке различают отечественных и иностранных инвесторов.
Финансовые посредники классифицируются на:
а) осуществляющих исключительно брокерскую деятельность;
б) осуществляющих дилерскую деятельность.
Инвестиционные брокеры осуществляют гражданско-правовые
сделки с ценными бумагами в качестве поверенного или комиссионера и действуют на основании договора поручения или комиссии, а также доверенности на совершение сделок. Сделки, осуществляемые по поручению клиентов, в любом случае подлежат первоочередному исполнению по сравнению с дилерскими операциями самого брокера (при. совершении им деятельности брокера или дилера). Если брокер действует в качестве комиссионера, то договор комиссии может предусматривать обязательство хранить денежные средства, предназначенные для вложения в ценные бумаги или полученные в результате их реализации. Часть прибыли, полученной от использования указанных средств, остающаяся в распоряжении брокера, в соответствии с договором перечисляется клиенту.
Брокер не вправе гарантировать или давать обещания клиенту в отношении дохода от инвестирования, хранимого в форме денежных средств. Основу доходов инвестиционных брокеров составляют комиссионные выплаты от суммы заключенных им сделок.
Финансовые посредники, осуществляющие дилерскую деятельность, также являются профессиональными участниками фондового рынка. Дилеры производят сделки по купле и продаже ценных бумаг от своего имени и за свой счет путем публичного объявления цен покупки или продажи ценных бумаг по объявленным дилером ценам.
Кроме цены дилер вправе объявить другие существенные условия договора купли-продажи ценных бумаг:
- минимальное или максимальное количество продаваемых фондовых инструментов;
- срок, в течение которого действуют объявленные цены и иные условия.
Дилерскую деятельность на фондовом рынке РФ осуществляют лица, прошедшие лицензирование. В данную группу финансовых посредников включаются:
а) коммерческие банки;
б) инвестиционные компании и фонды;
в) трастовые компании (фонды);
г) финансово-промышленные группы и холдинговые компании;
д) финансовые дома (супермаркеты), оказывающие комплексные
финансовые услуги своим клиентам.
К участникам, осуществляющим вспомогательные функции на фондовом рынке, относятся:
а) фондовые и валютные биржи;
б) депозитарии ценных бумаг;
в) регистраторы ценных бумаг;
г) расчетно-клиринговые центры;
д) информационно-консультационные центры.
Доходы дилеров образуются в виде разницы между ценой продажи и ценой покупки ценных бумаг или в форме комиссионного вознаграждения.
В индустриально развитых странах экономическая система подразделяется на четыре основных сектора:
- домашние хозяйства;
- коммерческие организации;
- государственный сектор;
- финансовые институты.
Домашние (семейные) хозяйства являются конечными владельцами всех коммерческих фирм от нефинансовых компаний до нефинансовых институтов. Особая роль финансовых посредников (институтов) обнаруживается при изучении их активов, имеющих, как правило, финансовую форму.
Они владеют сравнительно небольшим объемом недвижимого имущества. В пассиве баланса доминируют их финансовые обязательства, т. е. финансовые посредники занимаются преобразованием прямых требований в косвенные, более привлекательные для инвесторов.
Общая сумма инвестиций в реальные активы коммерческих организаций, как правило, превышает объем сбережений. Разница покрывается выпуском обязательств (ценных бумаг) на сумму превышения имеющихся финансовых активов.
Существование секторов экономики с дефицитом финансовых ресурсов объясняется наличием секторов, обладающих избытком денежных средств. Наряду с этим финансовые посредники также являются донорами, хотя превышение сбережений над инвестициями часто бывает небольшим, поэтому данный сектор (финансовые институты) действует всегда как посредник, увеличивая объем собственных финансовых активов выпуском финансовых обязательств (акций и облигаций).
Наконец, государственный сектор испытывает недостаток сбережений. Дефицит федерального бюджета в значительной мере покрывается за счет выпуска финансовых обязательств на недостающую сумму поступлений.
Покупателями государственных долговых обязательств выступают домохозяйства, коммерческие организации и финансовые посредники.
В России указанные финансовые взаимосвязи между секторами национального хозяйства нарушены вследствие острого финансового кризиса (с 17.08.1998), последствия которого не удается преодолеть и в этом году. Для восстановления российского финансового рынка потребуется преодолеть кризис в реальном секторе экономики и вернуть доверие населения к финансовым институтам.
ОСНОВНЫЕ МОДЕЛИ КЛАССИЧЕСКОГО ПОРТФЕЛЬНОГО ИНВЕСТИРОВАНИЯ
Переход России к регулируемым государством рыночным отношениям обусловил возможность и необходимость внедрения на отечественных предприятиях элементов финансового менеджмента. На целесообразность решения данной проблемы указывалось в Постановлении Правительства РФ О реформировании предприятий и иных коммерческих организаций от 30.10.1997, 1373.
К числу наиболее характерных для предприятий проблем, препятствующих их эффективной работе, относятся:
- отсутствие стратегических целей и ориентация на краткосрочные результаты в ущерб долгосрочным;
- недостаточные знания конъюнктуры рынка, включая и фондовый рынок;
- низкий уровень квалификации менеджеров, отсутствие трудовой мотивации персонала;
- неэффективность финансового менеджмента, включая и управление инвестиционным процессом;
- обеспечение минимальной гарантии удовлетворения возможных требований кредиторов. Так, на начало 1996 г. более 85 % акционерных обществ имели уставный капитал не менее 100 тыс. руб.
и только у 3% таких обществ он превышал 1 млн. руб.
Объектами изучения финансового менеджмента являются:
- управление финансовыми ресурсами, активами и пассивами, а также денежными потоками корпораций;
- финансовый анализ бухгалтерской отчетности;
- финансовое планирование и прогнозирование;
- дивидендная и инвестиционная политика;
- управление финансовыми рисками.
В условиях нестабильной экономической конъюнктуры, значительного рыночного риска, непредсказуемости налогового законодательства и высокой инфляции в России собственники и менеджеры имеют различные интересы в вопросах регулирования прибыли (дохода) акционерного общества, увеличения дивидендных выплат акционерам, контроля за курсовой стоимостью акций, финансовой и инвестиционной политики. Эти направления деятельности финансовых и инвестиционных менеджеров в какой-то мере поддаются управлению и контролю с помощью универсальных методов, выработанных рыночной практикой и интегрированных в науках Финансовый менеджмент и ^Инвестиционный менеджмент в единую и приемлемую для практической работы систему.
В теории финансового и инвестиционного менеджмента, разработанные учеными-экономистами индустриально развитых стран Запада, включаются следующие аспекты.
Во-первых, анализ дисконтированного денежного потока (DCF). Поскольку почти все финансовые решения связаны с оценкой прогнозируемых денежных потоков, анализ DCF имеет практическое значение. Впервые концепция DCF была разработана Д. Б. Уильямсом. М. Д. Гордон первым принял этот метод для управления финансами корпораций.
Анализ DCF основан на понятии временной стоимости денег.
Денежная единица сегодня имеет большую ценность по сравнению с денежной единицей, которая может быть получена через определенное время. Это связано с тем, что денежная единица может быть инвестирована сегодня в материальные или финансовые активы для получения дополнительного дохода в будущем.
Анализ денежных потоков (DCF) включает следующие этапы:
- расчет прогнозируемых денежных потоков (FV);
- оценка степени риска денежных потоков;
- включение степени риска финансовых активов в инвестиционный анализ;
- определение (настоящей) приведенной стоимости денежного потока (PV).
Расчетные формулы следующие:

, (11)
где Г ставка процента или норма доходности (дисконтная ставка), доли единицы; t число лет, за которые происходит суммирование дохода.
Коэффициент дисконтирования (Г) всегда меньше единицы, так как в ином случае деньги сегодня стоили бы меньше, чем деньги завтра. При любом анализе DCF необходимо использовать ставку дисконта, учитывающую альтернативные затраты капитала. Подобная ставка должна отражать влияние трех факторов:
1) приоритетный уровень показания доходности, т. е. ставка дисконта должна отражать среднюю доходность, сложившуюся в экономике по государственным ценным бумагам (например, по казначейским векселям федерального правительства);
- степень риска конкретного денежного потока;
- периодичность денежных потоков, т. е. временной интервал, на котором рассматриваются денежные потоки (квартал, полугодие, год и т. д.).
В России по указанным формулам определяется будущая и настоящая стоимость денежных потоков по реальным инвестиционным проектам, намечаемым к реализации.
Во-вторых, теория структуры капитала, которая помогает ответить на вопросы: каким образом компания должна образовать необходимый ей капитал? следует ли ей прибегать к заемным средствам или достаточно ограничиться акционерным капиталом? Авторы данной теории Ф. Модильяни и М. Миллер.
Они исходили из идеальных рынков капитала (с нулевым налогообложением), при наличии которого стоимость компании зависит исключительно от принятых ею решений по инвестиционным проектам. Данные решения определяют будущие денежные потоки и уровень их риска.
Способы формирования капитала (его структуры) не оказывают влияния на стоимость компании.
В-третьих, Ф. Модильяни и М. Миллер исследовали также влияние политики выплаты дивидендов на курсы акций корпораций. Наряду с предпосылкой о наличии идеальных рынков капитала они предполагают следующие допущения:
- политика выплаты дивидендов не влияет на инвестиционный бюджет компании;
- поведение всех инвесторов является рациональным.
Приняв данные условия, Модильяни и Миллер пришли к выводу, что политика выплаты дивидендов и структура капитала не влияют на стоимость компании, т. е. являются нейтральной. Это означает, что каждая денежная единица, направленная сегодня на выплату дивидендов, понижает величину нераспределенной прибыли, предназначенной для инвестирования в новые активы, и данное уменьшение может быть компенсировано за счет эмиссии акций.
Новым владельцам акций необходимо будет выплачивать дивиденды, и эти выплаты снижают приведенную стоимость ожидаемых дивидендов для прежних собственников на величину, равную сумме дивидендов, полученных ими в текущем году. Следовательно, каждая денежная единица полученных дивидендов лишает акционеров будущих доходов на эквивалентную в дисконтированном масштабе величину. Исходя из данной теории акционерам будет безразличен выбор между получением дивидендов на одну денежную единицу сегодня и получением их в будущем, так как приведенная стоимость составляет ту же одну денежную единицу.
Таким образом, дивидендная политика не окажет никакого влияния на цену акций.
В-четвертых, теория портфеля (САРМ) и модель оценки доходности финансовых активов, разработанная Г. Марковицем, У. Шарпом и Д. Линтнером, приводит специалистов к следующим выводам:
- структура инвестиционного портфеля влияет на степень риска собственных ценных бумаг компании;
- требуемая инвесторами доходность (прибыльность) акций за висит от величины этого риска;
- для минимизации риска инвесторам целесообразно объединить рисковые активы в портфель;
- уровень риска по каждому виду активов следует измерять не изолированно от остальных активов, а с точки зрения его влияния на общий уровень риска диверсифицированного портфеля.
Теория САРМ основана на предположении идеальных рынков капитала, равнодоступности информации для всех инвесторов. Согласно данной теории, требуемая доходность для любого вида финансовых активов зависит от трех факторов:
1) безрисковой доходности по государственным ценным бумагам;
2) средней доходности на фондовом рынке в целом;
3) индекса изменения доходности данного финансового актива (акций) по Отношению к средней доходности на рынке ценных бумаг в целом.
Модель САРМ может быть представлена в виде следующей формулы:
P = Kn + x (Km-Kn), (12)
где Р ожидаемая доходность акций компании, %; Кn доходность безрисковых ценных бумаг (в США берется доходность по государственным казначейским векселям, используемым для краткосрочного регулирования денежного рынка со сроком погашения до одного года 5-7 % в год); Km ожидаемая доходность на фондовом рынке в целом, %; - бета-коэффициент данной компании, доли единицы.
Показатель (Km-Kn) имеет вполне реальную интерпретацию, представляя собой рыночную (среднюю) премию за риск вложения капитала в рисковые ценные бумаги (акции и облигации корпораций). Аналогично показатель (Р - Kn) выражает премию за риск вложений денег в фондовые инструменты данной компании.
Модель САРМ означает, что премия за риск вложений в ценные бумаги данной компании прямо пропорциональна рыночной премии за риск. В США значение - коэффициента определяется по статистическим данным для каждой компании, котирующей свои ценные бумаги на фондовой бирже, и периодически публикуется в специальных справочниках.
Интерпретация - коэффициента для акций конкретной компании означает:
- при = 1 акции компании имеют среднюю степень риска, которая сложилась на рынке в целом;
- при 1 акции компании менее рискованны, чем в среднем на рынке;
- при 1 акции компании более рискованны, чем в среднем на фондовом рынке.
Рост - коэффициента в динамике свидетельствует о том, что инвестиции в ценные бумаги данной компании становятся более рискованными. Снижение - коэффициента в динамике свидетельствует о том, что инвестиции в ценные бумаги данной компании становятся менее рискованными. Расчет данного показателя осуществляется по формуле:
где - бета-коэффициент; К - степень корреляции между уровнем доходности по индивидуальному виду ценных бумаг (или по их портфелю) и средним уровнем доходности финансовых активов по рынку в целом; - среднеквадратичное (стандартное) отклонение доходности по индивидуальному виду ценных бумаг (или по их портфелю в целом);

- среднеквадратичное (стандартное) отклонение по фондовому рынку в целом.
Важным свойством модели САРМ является ее линейность относительно степени риска, что дает возможность определить -коэффициент фондового портфеля как средневзвешенную величину коэффициентов, входящих в портфель финансовых активов:
(14)
где фп значение коэффициента бета фондового портфеля;
i значение коэффициента бета i- го актива в портфеле;
d число различных финансовых активов в портфеле;
di доля 1- го актива в портфеле.
Следовательно, модель САРМ имеет важное практическое значение для определения общей цены капитала компании и требуемой для отдельных инвестиционных проектов, реализуемых в рамках корпораций.
В-пятых, теория ценообразования опционов Ф. Блека и М. Шоулза, согласно которой опцион представляет собой право, но не обязательство приобрести или продать финансовые активы по заранее согласованной цене в течение зафиксированного в договоре периода. Опцион может быть реализован или нет исходя из решения, принимаемого его владельцем.
Важной особенностью опциона является то, что его держатель в любой момент может отказаться от его исполнения. Цель подобного контракта защита от финансового риска.
В-шестых, теория эффективного рынка и соотношения между доходностью и риском (ЕМН). Эффективный это такой рынок, в ценах на товары которого учтена вся известная информация о финансовых активах.
Наличие достоверной экономической информации позволяет субъектам рыночных отношений максимизировать прибыль (доход) от финансовых операций.
Для обеспечения информационной эффективности рынка необходимо выполнение следующих условий:
- информация доступна для всех участников рынка и ее получение не связано с расходами;
- отсутствуют трансакционные (брокерские) издержки, налоги и другие факторы, препятствующие совершению сделок;
- сделки, совершаемые отдельными физическими и юридическими лицами, не могут существенно влиять на уровень цен;
- все субъекты рынка действуют рационально, стремясь максимизировать доход от финансовых операций.
Очевидно, что эти условия не соблюдаются ни на одном реальном рынке, так как для получения информации необходимы время и денежные затраты, существуют трансакционные издержки, налоги и т. п. Поэтому модель ЕМН имеет свои разновидности. Например, слабая форма эффективности, сильная форма эффективности, компромисс между риском и доходом.
Как бы сильно ни было желание менеджеров забыть о теории рынка и финансов, не признавая ее важной роли в предпринимательской деятельности, они не могут игнорировать наличие финансовых (денежных) связей как внутри корпорации, так и в ее взаимоотношениях с внешними партнерами и государством. Так, видный менеджер, президент корпорации АТТ Гарольд Дженин утверждал, что есть только одна непоправимая ошибка в бизнесе - остаться без денег.
Почти все другие ошибки в той или иной мере можно исправить. Но если вы остаетесь без денег вы выбываете из игры .
Западные экономисты определяют финансовый менеджмент как управление финансами корпораций в целях максимизации курса акций, уровня дивидендов, имущества акционеров и прибыли. Финансовый менеджмент призван разрешить противоречие между целями акционерной компании (корпорации) и финансовыми возможностями их реализации.
В отличие от финансового инвестиционный менеджмент это искусство управления денежными ресурсами, направляемыми на финансирование инвестиций (вложений капитала)-корпорации. Эти инвестиции используются при формировании основного и оборотного капиталов, а также нематериальных и финансовых активов.
Важно отметить, что механическое копирование и использование зарубежных моделей управления финансами и инвестициями акционерных компаний в современных российских условиях не только не приемлемо, но и невозможно. Связано это со спецификой отечественного финансового рынка, особенностями налогообложения, бухгалтерского учета и отчетности.
Поэтому универсальные финансовые модели и инструменты инвестиционного менеджмента, принятые в международной практике, нуждаются в адаптации к российским условиям. Главная задача теории портфельных инвестиций помочь инвестору сделать правильный выбор при операциях на рынке ценных бумаг.
Знание основных положений теории необходимо каждому участнику фондового рынка, даже если некоторые ее положения не отвечают реалиям рынка России. Но по мере его развития потребность в таких знаниях возрастает, особенно для молодых специалистов.
РИСКИ, СВЯЗАННЫЕ С ПОРТФЕЛЬНЫМИ ИНВЕСТИЦИЯМИ, И СПОСОБЫ ИХ СНИЖЕНИЯ
Доля не размещенных ценных бумаг из числа, отраженного в проспекте эмиссии, определяется Федеральной комиссией по рынку ценных бумаг (ФКУБ). Она же устанавливает порядок возврата средств инвесторов при несостоявшейся эмиссии;
- эмитент обязан завершить размещение выпускаемых им ценных бумаг по истечении одного года с даты начала эмиссии, если действующим законодательством России не определены иные сроки их размещения. Не допускается размещение ценных бумаг нового выпуска ранее чем через две недели после обеспечения всем потенциальным инвесторам возможности доступа к информации о выпуске. Информация о цене размещения ценных бумаг может быть раскрыта в день начала размещения этих бумаг;
- при публичном размещении или обращении выпуска эмиссионных ценных бумаг эмитент не вправе предоставлять преимущество для приобретения этих бумаг одним потенциальным
покупателям перед другими.
Однако установлены исключения из этого правила:
- при эмиссии государственных ценных бумаг;
- при предоставлении акционерам акционерного общества преимущественного права выкупа новой эмиссии ценных бумаг в количестве, пропорциональном числу принадлежащих им акций в момент принятия решения об эмиссии;
- при введении эмитетом ограничений на приобретение ценных бумаг нерезидентами. Не позднее 30 дней после окончания размещения ценных бумаг эмитент обязан представить в
регистрирующий орган отчет об итогах выпуска эмиссионных ценных бумаг.
Итак, оценка условий эмиссии акций является заключительным этапом изучения их инвестиционных качеств. Предметом такого изучения являются:
- цена эмиссии;
- условия и периодичность выплаты дивидендов;
- степень участия отдельных владельцев в управлении акционерным обществом и другие важные для инвестора сведения, содержащиеся в эмиссионном проспекте.
Следует иметь в виду, что часто предлагаемый эмитентом размер дивидендов по акциям не носит характера не только юридических, но и контрактных обязательств. Поэтом/ориентироваться только на этот показатель вряд ли целесообразно.
Многое зависит от конъюнктуры фондового рынка, финансового положения эмитента и других факторов.
На основе изучения перечисленных параметров, характеризующих текущее финансовое состояние эмитента и перспективы его развития, делается выводе степени его инвестиционной привлекательности.
Надежным и перспективным объектом инвестирования считается акционерная компания с устойчивым финансовым положением, растущим объемом продаж, с повышающейся нормой чистой прибыли на авансированный капитал, превышающей среднюю величину за последние 3-5 лет.
Что касается соотношения цена/доход, то данный показатель зависит от рыночной конъюнктуры (курса акций). Поэтому ориентироваться на него следует осторожно, с учетом будущего прогноза рыночных колебаний курса ценных бумаг.
РИСКИ, СВЯЗАННЫЕ С ПОРТФЕЛЬНЫМИ ИНВЕСТИЦИЯМИ, И СПОСОБЫ ИХ СНИЖЕНИЯ
Фондовый рынок потенциально остается важным механизмом привлечения денежных ресурсов в экономику страны, так как у государства и коммерческих банков отсутствуют достаточные средства для вложения их в отрасли хозяйства. Однако любые инвестиционные решения хозяйствующих субъектов связаны с определенным риском.
Ожидание потерь, соизмерение их вероятности с предполагаемой выгодой (доходами) составляют основу инвестиционных решений акционерного общества.
Инвестор вкладывает свободные средства в фондовые инструменты с целью получения определенного дохода в абсолютной величине. Доходность - относительный показатель, измеряемый отношением полученного дохода к вложенному капиталу. Инвестора интересует также будущий доход и оценка риска вложений в ценные бумаги.
Данная оценка интуитивно устанавливается с вероятностью отклонения величины дохода от некоторого ожидаемого значения.
Практика фондового рынка выработала следующее условие чем больше предполагаемый доход, тем выше риск, связанный с приобретением тех или иных фондовых инструментов. Риски в инвестиционной деятельности выражаются в снижении доходности реальных или портфельных инвестиций против ожидаемых величин, сопровождаются прямыми финансовыми потерями или упущенной выгодой, возникающей при осуществлении финансовых операций в связи с высокой степенью неопределенности их результатов.
На конечный финансовый результат инвестиционной деятельности влияет множество случайных факторов макро- и микроэкономического характера. Поэтому при осуществлении портфельных инвестиций целесообразно снижать риски, возникающие по зависящим от инвестора (субъективным) причинам (например, его финансовое положение).
Финансовая сделка считается рискованной, если ее эффективность (доходность) не полностью известна инвестору в момент ее заключения (эффективность недетерминирована). Неизвестность (недетерминированность) эффективности, а следовательно, рискованность свойство любой сделки с куплей-продажей ценных бумаг.
До 17.08.1998 некоторое исключение составляли ГКО. После этой даты рискованными считаются и государственные долговые обязательства.
Для измерения последствий действий инвестора в условиях неопределенности используется коэффициент финансового риска (Кфр)
где У максимально возможная сумма убытка; Сфр сумма собственных финансовых ресурсов с учетом точно известных поступлений. Данный коэффициент выражает степень риска, ведущего к банк-
ротству:
- Кфр = 0,3 - оптимальный, не приводящий к банкротству;
- Кфр = 0,31-0,69- занимает промежуточное положение;
- Кфр = 0,7 и выше - приводит к банкротству инвестора.
Уровень риска инвестиционного портфеля по акционерной компании в целом определяется по формуле:
где Урип уровень риска инвестиционного портфеля в целом, %; УСР1 уровень систематического риска фондовых инструментов 1-го вида, измеряемый с помощью В-коэффициента или в ином порядке, принятом акционерной компанией, %; УНРип уровень несистематического риска инвестиционного портфеля, достигнутый в процессе его диверсификации, %; У1 удельный вес фондового инструмента i-ro вида в объеме инвестиционного портфеля, доли единицы; п общее количество видов фондовых инструментов, входящих в портфель (i = 1, 2, 3,...,п).
Результатом расчета по данной формуле является оценка того, насколько удалось снизить уровень портфельного риска по отношению к среднерыночному его уровню, при заданной величине доходности инвестиционного портфеля. Данный портфель, полностью отвечающий целям его формирования как по составу, так и по типу включенных в него ценных бумаг, представляет собой сбалансированный инвестиционный портфель (по уровню доходности, ликвидности и безопасности).
В отдельных случаях возможна корректировка (реструктуризация) сформированного портфеля под влиянием факторов макро- и микроэкономического характера. К приемам снижения финансового риска относятся:
- диверсификация (разнообразие) фондового портфеля;
- приобретение дополнительной информации о предмете сделки;
- самострахование (создание финансовых резервов для покрытия возможных убытков; для акционерных обществ они формируются в обязательном порядке);
- страхование финансовых гарантий;
5) хеджирование страхование контрактов от неблагоприятного изменения цен, что предполагает поставки ценных бумаг в будущем по фиксированным ценам (опционные и фьючерсные контракты)и др.
Эффективность операций по ценным бумагам зависит от трех факторов:
- цены покупки;
- промежуточных выплат;
- цены продажи.
Первый фактор детерминирован, так как цена точно известна в момент совершения сделки.
Применительно к процентным ценным бумагам (облигациям) известны и первые два фактора, поскольку они фиксированы в обязательствах эмитента. Однако существует риск их невыполнения. Может быть принято неожиданное решение об отсрочке погашения государственных ценных бумаг. В данном случае акционерная компания может оказаться несостоятельной и неспособной вернуть долги и проценты по ним.
С другой стороны, динамика курсовой стоимости процентных ценных бумаг также заранее не известна. Владелец вправе продать их в любой момент до объявления срока погашения, если он решит, что текущий курс выгоден.
В случае повышения данного курса в будущем он может оказаться в проигрыше.
Однако эффективность процентных ценных бумаг государства и корпораций может быть предсказуема с определенными допущениями, поскольку купонные и конечные платежи гарантируются государством или имуществом корпораций. Напомним, что даже в случае банкротства акционерной компании ее кредитные обязательства погашаются в первоочередном порядке.
Иное положение складывается с обыкновенными акциями. Условия их покупки не содержат формальных обстоятельств акционерного общества по выплате дивидендов или выкупу по какой-либо фиксированной цене.
Приобретение обыкновенных акций, безусловно, рисковая финансовая операция.
Риск портфеля ценных бумаг степень возможности того, что наступят обстоятельства, при которых инвестор понесет потери, вызванные вложениями в фондовый портфель, а также операциями по привлечению ресурсов для создания портфеля.
Итак, целью управления портфелем является достижение прибыльности, ликвидности и безопасности при минимизации финансовых рисков. Прибыль, получаемая инвестором от фондового портфеля (Порп), устанавливается по формуле:
Порп = доходы от инвестиций в ценные бумаги - расходы по созданию портфеля (...).
Риски по операциям с финансовыми активами подразделяются на систематические (недиверсификационные) и несистематические (диверсификационные). Их классификация приведена в табл.
5.7.
Рассмотрим отдельные виды рисков. Систематический риск обусловлен макроэкономической ситуацией в стране, уровнем деловой активности на финансовом рынке. Он не связан с конкретными ценными бумагами, является не диверсифицируемым и непонижаемым. Это общий риск на всю совокупность вложений в фондовые инструменты.
Инвестор не сможет их высвободить, не понеся определенные потери. Анализ систематического риска сводится к вопросу о том, стоит ли вообще иметь дело с портфелем ценных бумаг, не выгоднее ли вложить свободные денежные средства в иные формы активов (реальные инвестиции, недвижимость, валюту и др.).
Пример систематического риска в России падение фондового рынка в конце 1991 г., в {полугодии 1992г., летом 1994г., в августесентябре 1998 г., что обесценило капитал инвесторов, вложенный в портфельные инвестиции. Так, по итогам финансово-
Таблица5.7.
Классификация рисков на фондовом рынке
|
Виды систематического риска |
Виды несистематического риска |
Макроэкономические, отраслевые, региональные риски
1. Страновой (экономический, политический и д.р.)
2. Риски законодательных изменений
3. Валютные риск
4. Инфляционный риск
5. Отраслевой риск
6. Региональный риск |
7. Риски акционерного роста
7.1. Кредитный (деловой) риск
7.2. Риск ликвидности
7.3. Процентный риск
7.4. Риск недобросовестного проведения операций на фондовом рынке |
8. Риски управления портфелем, включая технические риски
8.1. Капитальный
8.2. Селективный
8.3. Отзывной
8.4. Риски поставки ценных бумаг
8.5. Операционный
8.6. Риск урегулирования расчетов |
го кризиса в августе - сентябре 1998 г. общие потери ВВП, связанные с негативными последствиями решений Правительства РФ и Центрального банка РФ (17.08.1998), оцениваются в сумме свыше 300 млрд руб.
Проанализируем отдельные виды систематического риска.
Страновой риск риск вложения денежных средств в ценные бумаги акционерных компаний, находящихся под юрисдикцией страны с недостаточно устойчивым экономическим положением или с недружественным отношением к стране, резидентом которой является инвестор.
Риск законодательных изменений возникает в связи с перерегистрацией акционерного общества, получением лицензии на право осуществления операций с ценными бумагами, что вызывает дополнительные расходы у эмитента и инвестора.
Валютный риск связан с вложениями в валютные ценные бумаги и обусловлен изменением курса национальной валюты. Потери инвестора возникают в связи с повышением курса национальной валюты по отношению к иностранным валютам.
Инфляционный риск возникает вследствие того, что при высоких темпах инфляции доходы, получаемые инвесторами от ценных бумаг, обесцениваются (с точки зрения реальной покупательной способности денег) быстрее, чем увеличатся в ближайшем будущем. В результате инвестор понесет потери.
Он характерен для вкладов населения в Сбербанк РФ, где предлагаемый банком процент не возмещает потери вкладчиков вследствие роста цен на товары и услуги. Мировой опыт подтверждает, что высокий уровень инфляции разрушает фондовый рынок.
Отраслевой риск связан со спецификой отдельных отраслей. Данный риск проявляется в изменении инвестиционных качеств и курсовой стоимости ценных бумаг и потерях инвесторов исходя из принадлежности отрасли к определенному типу.
По степени риска отрасли классифицируются на подверженные циклическим колебаниям и менее подверженные подобным колебаниям.
Несистематический риск считается диверсифицируемым. Он объединяет (агрегирует) все виды рисков, связанных с конкретными ценными бумагами или эмитентом.
Он может быть понижен за счет подбора в портфель менее рискованных финансовых активов.
Рассмотрим отдельные виды несистематического риска.
Кредитный (деловой) риск наблюдается в ситуации, когда эмитент, выпустивший долговые (процентные) ценные бумаги, окажется не в состоянии выплачивать проценты по ним или основную сумму долга. Кредитный риск компании-эмитента требует внимания как со стороны финансовых посредников, так и инвесторов. Финансовое положение эмитента часто определяется по соотношению между заемными и собственными средствами в пассиве баланса. Дело в том, что банковский кредит достаточно выгодный источник финансирования только в том случае, если сумма процентов по нему меньше, чем сумма затрат по выпуску и размещению дополнительного тиража долговых ценных бумаг (корпоративных облигаций).
Однако чем выше доля заемных средств в пассиве баланса (более 50 %), тем больше вероятность для акционеров остаться без дивидендов и процентов, так как усилия акционерной компании будут направлены на погашение процентов по банковскому кредиту. По действующему в России законодательству проценты за краткосрочный кредит банков относятся на издержки производства и обращения и понижают налогооблагаемую прибыль.
При банкротстве акционерного общества большая часть дохода от продажи активов будет направлена на погашение долга кредиторам (банкам), и возместить инвестированные средства акционерам будет нечем.
Риск ликвидности связан с возможностью потерь при реализации ценных бумаг из-за изменения их качества. Данный вид риска широко распространен на фондовом рынке России, когда ценные бумаги продаются по курсу, ниже их действительной стоимости.
Поэтому инвестор отказывается видеть в них надежный товар.
Процентный риск вероятность потерь, которые понесут инвесторы с изменением процентных ставок на кредитном рынке. Рост банковских процентных ставок по депозитам приводит к погашению курсовой стоимости акций.
При резком повышении процента по депозитным счетам может начаться массовый сброс акций, эмитированных под более низкие проценты. Эти ценные бумаги по условиям выпуска могут быть досрочно возвращены эмитенту.
Риск недобросовестного проведения операций на фондовом рынке часто связан с прямым обманом инвесторов и является предметом рассмотрения в арбитражных судах.
Капитальный риск общий риск на все вложения в ценные бумаги. Потери при данном виде риска неизбежны.
Анализ капитального риска сводится к оценке того, стоит ли иметь дело с портфельными инвестициями, не лучше ли вложить денежные средства в иные виды активов (недвижимость, товары, валюту и т. д.). Типичный пример капитального риска резкое падение курса ценных бумаг большинства российских предприятий и банков в VI квартале 1998 г.
Селективный риск риск неправильного выбора ценных бумаг для инвестирования в сравнении с другими их видами при формировании портфеля. Обычно он вызывается неправильной оценкой инвестиционных качеств ценных бумаг.
Отзывной риск - возможные потери инвестора, если эмитент отзовет свои облигации с фондового рынка в связи с превышением фиксированного уровня дохода по ним над текущим рыночным процентом.
Риск поставки ценных бумаг при фьючерсных контрактах связан с возможным невыполнением обязательств по своевременной поставке ценных бумаг, имеющихся у продавца (особенно при проведении спекулятивных операций с ценными бумагами), т. е. при коротких продажах.
Операционный риск вызывается неполадками в работе компьютерных сетей по обработке информации, связанной с ценными бумагами, низким уровнем квалификации технического персонала, нарушением технологий и др.
Итак, совокупность рисков, связанных с вложениями в ценные бумаги, должна учитываться инвестиционными менеджерами в процессе принятия и реализации конкретных управленческих решений.
Для всех инвесторов защита от финансового риска в определенной мере обеспечивается соблюдением типовых правил коммерческой деятельности:
- основной капитал желательно финансировать за счет долго срочных займов, чтобы надолго не связывать собственный капитал;
- основной капитал должен быть собственным;
- погашение долгосрочных займов и процентов по ним целесообразно осуществлять из денежных поступлений по реализуемым инвестиционным проектам;
- краткосрочное заемное финансирование должно соответствовать действительной потребности в кредите;
- постоянная ориентация на снижение расходов по формированию и управлению инвестиционным портфелем;
- наличные денежные поступления часто важнее прибыли, так как обеспечивают финансовую устойчивость предприятия и его инвестиционную привлекательность для инвесторов и кредиторов;
- ориентация предприятия на будущий денежный поток от инвестиционного проекта в форме инвестируемой им прибыли.
В заключение отметим, что риск нормальная ситуация для деятельности инвестиционного менеджера, который не избегает риска, а, правильно его прогнозируя, стремится снизить до минимального уровня.
Кто не рискует, тот не может добиться большого успеха в предпринимательской деятельности.
ФИНАНСОВОЕ РЕГУЛИРОВАНИЕ ПОРТФЕЛЬНЫХ ИНВЕСТИЦИЙ
Важное место в системе государственного регулирования экономики занимает финансовое регулирование финансового рынка.
За последние годы издано множество нормативных актов, регулирующих деятельность профессиональных участников данного рынка. Среди них определяющую роль играют Федеральные Законы Об акционерных обществах от 26. Г2.1995; О рынке ценных бумаг от 22.04.1996; О защите прав и законных интересов инвесторов на рынке ценных бумаг от 23.06.1999 .
Предпринимательская деятельность на фондовом рынке РФ, включая услуги по размещению, купле-продаже финансовых инструментов, осуществляется профессиональными участниками на основании лицензий, выдаваемых Федеральной комиссией по рынку ценных бумаг (ФКЦБ) и ее региональными комиссиями. Предпринимательская деятельность на финансовом рынке, в том числе оказание финансовых услуг инвесторам, привлечение на коммерческой основе средств юридических и физических лиц, не связанное с эмиссией и обращением ценных бумаг, осуществляется коммерческими банками на основании лицензий, выдаваемых Банком России.
Страховые организации осуществляют фондовые операции на основании лицензий, выдаваемых Минфином РФ.
Объектами регулирования являются следующие виды деятельности:
1) брокерская деятельность совершение гражданско-правовых сделок с ценными бумагами на основании договора комиссии или поручения, а также доверенности на совершение таких сделок при отсутствии указаний на полномочия поверенного или комиссионера в договоре. Сделки, осуществляемые по поручению клиентов, во всех случаях подлежат первоочередному исполнению по сравнению с дилерскими операциями самого брокера при совмещении им деятельности брокера или дилера;
2) дилерская деятельность совершение сделок купли-продажи ценных бумаг от своего имени и за свой счет путем публичного объявления цен купли и продажи этих бумаг с обязательством покупки и продажи их по объявленным ценам;
- деятельность по управлению ценными бумагами осуществляется юридическими и физическими лицами от своего имени в течение срока доверительного управления.
Профессиональный участник рынка ценных бумаг, осуществляющий деятельность по управлению фондовыми инструментами (траст), именуется управляющим. Его права и обязанности определяются законодательством РФ и договорами с клиентами. Если управляющий нанес ущерб своим клиентам, то он обязан возместить за свой счет причиненные им убытки;
- депозитарная деятельность оказание услуг по хранению сертификатов ценных бумаг или учету и переходу прав на ценные бумаги. Депозитарий юридическое лицо, являющееся
профессиональным участником фондового рынка и осуществляющее деятельность. Депонент лицо, пользующееся услугами депозитария по хранению ценных бумаг или учету прав
на них. Взаимоотношения между депозитарием и депонентом регулируются депозитарным договором (договором о счете депо), оформляемым в письменной форме. Заключение такого договора не влечет за собой переход к депозитарию права собственности на ценные бумаги депонента;
- деятельность по ведению реестра владельцев ценных бумаг сбор, фиксация, обработка, хранение и предоставление данных, составляющих систему ведения реестра владельцев ценных бумаг. Деятельностью по ведению данного реестра вправе заниматься только юридические лица (держатели реестра или регистраторы). Регистратор не вправе осуществлять сделки с ценными бумагами. Под системой ведения реестра владельцев понимается совокупность данных, отраженных на бумажных носителях или с использованием электронной базы данных;
- деятельность по определению взаимных обязательств (клиринг) включает: сбор, сверку, корректировку информации по операциям с ценными бумагами и подготовку бухгалтерских документов по ним, а также зачеты по поставкам ценных бумаг и расчеты по ним. Клиринговые организации осуществляют расчеты по ценным бумагам, обязаны формировать специальные фонды для снижения рисков неисполнения сделок с ценными бумагами. Минимальный размер специальных фондов устанавливается ФКЦБ РФ по согласованию с ЦБР;
- деятельность по организации торговли ценными бумагами включает предоставление услуг, способствующих заключению гражданско-правовых сделок с ценными бумагами между профессиональными участниками фондового рынка. Данным видом деятельности занимаются фондовые биржи и фондовые отделы товарных бирж.
Основные направления регулирования первичного рынка ценных бумаг следующие:
- государственная регистрация выпуска ценных бумаг;
- законодательное закрепление общих требований к первичному размещению фондовых инструментов;
- лицензирование деятельности инвестиционных институтов (фондов, компаний, коммерческих банков);
- аттестация специалистов на право ведения операций с ценными бумагами.
Важнейшими принципами регулирования вторичного рынка ценных бумаг являются:
- сделки по купле-продаже ценных бумаг признаются состоявшимися, если эти бумаги оформлены в соответствии с правилами, установленными действующим законодательством;
- участники фондового рынка обязаны предоставлять инвесторам объективную информацию о ценных бумагах: их доходности, сроках получения доходов по ним и механизме налогообложения по ценным бумагам и т. д.;
- государственным служащим, сотрудникам финансовых компаний и банков, имеющим отношение к ценным бумагам, запрещено разглашать конфиденциальную информацию по ценным
бумагам либо использовать ее в целях личного инвестирования;
- каждая сторона (продавец и покупатель), участвуя в сделке с ценными бумагами, обязана уплачивать гербовый сбор, размер которого устанавливается законодательством РФ;
- налогообложение операций с ценными бумагами осуществляется в соответствии с Налоговым Кодексом РФ;
- инвестор вправе самостоятельно работать на фондовом рынке. Однако в связи со сложностью операций с ценными бумагами рациональнее обратиться к услугам профессиональных участников фондового рынка.
Субъектами регулирования рынка ценных бумаг в РФ являются:
ТИПЫ ПОРТФЕЛЕЙ ЦЕННЫХ БУМАГ И ИНВЕСТИЦИОННЫХ СТРАТЕГИЙ
Частично это объясняется тем, что многие предприятия открыто распространяют финансовую информацию, а также ее аудированные версии, соответствующие мировым стандартам. Еще одной причиной более полного раскрытия информации послужило то, что финансовые показатели некоторых российских предприятий стали более привлекательными для внешних пользователей.
Поэтому руководители стремятся показать, что их предприятия прибыльны, профессионально управляемы, дружественны по отношению к инвесторам и готовы к взаимовыгодному привлечению внешнего капитала.
Положительную роль в раскрытии информации, интересующей инвесторов, должен сыграть Федеральный закон О защите прав и законных интересов инвесторов на рынке ценных бумаг от 05.03.1999. Данным законодательным актом определяются:
- условия предоставления профессиональными участниками рынка услуг инвесторам, не являющимся таковыми;
- дополнительные требования к профессиональным участникам, предоставляющим услуги инвесторам на фондовом рынке;
- дополнительные условия размещения эмиссионных ценных бумаг среди неограниченного круга инвесторов;
- дополнительные меры по защите прав и законных интересов инвесторов на фондовом рынке и ответственность эмитентов за их нарушение.
В частности, запрещается рекламировать или предлагать неограниченному кругу лиц фондовые инструменты эмитентов, не раскрывающих информацию, предусмотренную законодательством России о ценных бумагах.
Принципиальное значение для защиты прав и законных интересов инвесторов имеют ст. 6 Предоставление информации инвестору в связи с обращением ценных бумаг и ст.
12 Полномочия федерального органа исполнительной власти по рынку ценных бумаг по наложению штрафов настоящего Федерального Закона. Выход в свет подобного нормативного акта раньше (например, в 1996-1997 гг.) помог бы избежать многих негативных явлений на фондовом рынке России.
После финансового кризиса в августесентябре 1998 г. коммерческие банки продолжают осваиваться наиболее представительными участниками фондового рынка. Для повышения уровня их ликвидности и финансовой устойчивости Центральный банк России (по согласованию с Федеральной комиссией по рынку ценных бумаг) в 2000 г. ввел в обращение новый финансовый инструмент облигации Банка России (ОБР).
Операции по купле-продаже ОБР (РЕПО) позволят активизировать развитие рынка ценных бумаг в России. Сделка РЕПО выражает операцию, состоящую из двух частей. По первой части сделки одна сторона (Банк России) продает другой стороне (коммерческим банкам). В то же время первая сторона берет на себя обязательство выкупить указанные ценные бумаги в определенное время или по требованию другой стороны (кредитной организации).
Данному обязательству на обратную покупку соответствует обязательство на обратную продажу, которое берет на себя вторая сторона. Причем обратная покупка ценных бумаг осуществляется про цене, не совпадающей с первоначальной ценой продажи.
Разница между ценами представляет собой доход, который должна получить сторона, выступающая в качестве покупателя ценных бумаг (коммерческий банк), по первой части РЕПО.
Операции РЕПО по своему экономическому содержанию аналогичны кредитной сделке под залог ценных бумаг. Однако техника осуществления операций РЕПО обеспечивается сочетанием двух сделок купли-продажи, разделенных во временном лаге.
При этом права собственности на ценные бумаги (ОБР) поочередно переходят от одного владельца к другому. Сделки РЕПО оформляются особым договором купли-продажи, в котором стороны поочередно выступают в роли продавца и покупателя фондовых инструментов.
В современных условиях формирование полноценного рынка РЕПО является важной практической задачей, затрагивающей многих участников фондового рынка. В то же время указанные операции позволяют снизить давление денежной массы на валютный рынок и в определенной мере стабилизировать ситуацию на финансовом рынке.
Одним из методов повышения инвестиционной привлекательности предприятий России является разработка и внедрение программы по развитию их ликвидности. Комплекс мероприятий, входящих в эти программы, включает подготовку и распространение аналитической информации о предприятии, проведение аудита, презентации фирмы перед широкой аудиторией заинтересованных инвесторов и кредиторов. Проведение указанных мероприятий позволит существенно повысить курс акций данного предприятия и его инвестиционную привлекательность у потенциальных партнеров.
Не менее важное значение имеет управление собственным инвестиционным портфелем.
ТИПЫ ПОРТФЕЛЕЙ ЦЕННЫХ БУМАГ И ИНВЕСТИЦИОННЫХ СТРАТЕГИЙ
Портфельная стратегия акционерной компаний строится на основе включения в фондовый портфель максимального количества ценных бумаг. Она тесно связана с общими направлениями развития фондового рынка.
В условиях активизации фондовых операций на вторичном ранке вопросы формирования портфеля ценных бумаг особенно актуальны, так как позволяют обеспечить конкретные интересы инвесторов.
Под инвестиционным портфелем автор понимает совокупность ценных бумаг, принадлежащих предприятию, различного срока погашения и неодинаковой ликвидности.
Теория портфеля предполагает оптимальное построение инвестиционной программы, которая позволяет предприятию при имеющемся в его распоряжении капитале получить ожидаемый доход при минимальном риске. Инвестиционный портфель формируется на основе диверсификации вложений.
Это означает, что чем большее количество ценных бумаг включено в портфель, тем более высокий доход в общем объеме даст рост одного из них.
Конкретные портфели могут иметь:
- односторонний целевой характер;
- сбалансированный характер, если имеется в виду, что в портфеле аккумулируются ценные бумаги, приобретенные для решения различных задач, и в целом его содержание соответствует балансу целей, которых придерживается инвестор;
- бессистемный характер, если на фондовом рынке России приобретение ценных бумаг осуществляется хаотично, без ясно выраженной цели и если портфель носит разрозненный характер. В данном случае риски владельца портфеля особенно велики.
Портфель может состоять из бумаг одного вида, а также изменять свой состав и структуру путем замещения одних ценных бумаг другими. С учетом характеристик видов ценных бумаг инвестор формирует свой фондовый портфель, соблюдая определенный баланс между существующими риском и доходностью за каждый период времени.
Тип портфеля его обобщенная характеристика с позиций задач, стоящих перед ним, или видов ценных бумаг, входящих в портфель. На практике существует следующая классификация портфелей: роста, дохода, рискованного капитала, сбалансированные, специализированные, стабильного капитала и дохода, краткосрочных ценных бумаг, долгосрочных ценных бумаг с фиксированным доходом, региональные и отраслевые.
Портфель роста ориентирован на акции, быстро растущие на рынке курсовой стоимости. Цель такого портфеля увеличение капитала инвестора.
Поэтому владельцу портфеля дивиденды могут выплачиваться в небольшом объеме.
Портфель дохода ориентирован на получение высоких текущих доходов. Отношение стабильно выплачиваемого дохода к курсовой стоимости ценных бумаг, входящих в такой портфель, растет немного медленнее, чем величина дохода (процента или дивиденда).
Портфель рискового капитала состоит из ценных бумаг молодых компаний или предприятий агрессивного типа, выбравших стратегию быстрого расширения производства товаров (услуг) на основе современных технологий.
Сбалансированный портфель состоит из ценных бумаг с различными сроками обращения. Его цель обеспечить регулярность поступления денежных средств по различным ценным бумагам.
Специализированный портфель означает ориентацию инвестора на вложение средств в специальные финансовые инструменты (фьючерсы и опционы).
Портфель краткосрочных ценных бумаг формируется исключительно из высоко ликвидных фондовых инструментов, которые могут быть быстро реализованы. Портфель долгосрочных фондов с фиксированным доходом ориентирован на частные долгосрочные облигации (со сроком обращения свыше пяти лет). В него также могут включаться вложения в акции других компаний.
Региональные и отраслевые портфели включают ценные бумаги, выпускаемые отдельными регионами (как частные, так и муниципальные), либо ценные бумаги компаний, участвующих в данной отрасли экономики и обеспечивающих высокую доходность по ним.
Портфель иностранных ценных бумаг предусматривает вложения только в фондовые инструменты частных иностранных компаний, составляющих основу инвестиционного портфеля.
Следует отметить, что инвесторы в России используют первые три типа портфеля, так как они являются менее рискованными при выборе инвестиционной стратегии.
По соотношению риска и дохода портфели подразделяются на следующие виды:
- портфель агрессивного инвестора. Его цель получение значительного дохода при высоком уровне риска (выбираются ценные бумаги, курс которых существенно изменяется в результате краткосрочных вложений для получения высокой прибыли);
- портфель умеренного инвестора. Позволяет при заданном риске получать приемлемый доход;
- портфель консервативного инвестора. Предусматривает минимальные риски при использовании надежных, но медленно растущих по курсовой стоимости ценных бумаг.
Гарантии получения дохода не поддаются сомнению, но сроки получения различны.
В настоящее время портфельный доход получил широкое распространение на фондовом рынке России. Большинство предприятий использует этот метод для работы с частными инвесторами (в частности, из-за слабого развития рынка трастовых операций).
Главную роль при этом играет информация, одинаково важная для принятия решений агентом (банком) и доверителем (клиентом). Особое внимание целесообразно уделить динамике курсовых колебаний (периодичность и величина среднеквадратичного отклонения), взаимосвязи происходящих изменений ситуации у эмитента и курсовых колебаний фондовых инструментов.
Портфельные инвестиции связаны с формированием портфеля и представляют собой приобретение ценных бумаг и других финансовых активов. Принципами формирования инвестиционного портфеля являются безопасность, доходность вложений, их рост и ликвидность. Главная цель при формировании портфеля состоит в достижении наиболее оптимального соотношения между риском
и доходом.
По мнению автора, можно представить следующие этапы формирования портфеля ценных бумаг:
- выбор оптимального типа портфеля;
- оценка приемлемого сочетания риска и дохода;
- определение первоначального состава портфеля;
- выбор схемы дальнейшего управления портфелем.
В работе по формированию портфеля целесообразно учитывать фактор переоценки стоимости акций, обусловленный сильной изменчивостью конъюнктуры на фондовом рынке, а также финансового состояния эмитентов.
Разработаны минимальные стандарты, дающие представление о пороге безопасности и, следовательно, о способности компаний выполнять финансовые обязательства перед инвесторами. Они используются аналитиками для установления того минимального уровня, выше которого ценные бумаги считаются привлекательными.
Стандартными показателями являются:
- обеспечение процентных платежей (процентное покрытие);
- способность компании погасить задолженность;
- отношение долга к акционерному капиталу;
- обеспечение долга активами;
- независимая оценка платежеспособности и др.
Определив инвестиционные качества ценных бумаг, инвестор обязан оценить такие факторы, как соотношение между рыночной ценой и доходностью, пригодность фондового инструмента для реализации целей портфеля, выгодность конвертируемости акций в облигации, налоговый аспект предстоящей покупки, возможные изменения ставки ссудного процента и др.
После совершения покупки целесообразно осуществлять мониторинг своего фондового портфеля, а также компаний-эмитентов,
КОНЦЕПТУАЛЬНЫЙ ПОДХОД К УПРАВЛЕНИЮ ПОРТФЕЛЕМ ЦЕННЫХ БУМАГ АКЦИОНЕРНОЙ КОМПАНИИ
В условиях становления отечественного фондового рынка возникает необходимость определить методический подход к управлению портфелем ценных бумаг акционерных предприятий. Акционерное общество вправе привлекать денежные ресурсы за счет выпуска (эмиссии) ценных бумаг (пассивные операции) и вкладывать привлеченные средства в высокодоходные активы (активные операции).
Цель таких операций увеличение акционерного капитала и получение дополнительной прибыли.
Если вложения в ценные бумаги и привлеченные средства производятся на основе их выпуска партнером акционерного общества, то возникает проблема объединения его активов и пассивов в единое целое. Портфель ценных бумаг совокупность аккумулируемых воедино инвестиционных ценностей, служащих инструментом для достижения конкретной цели владельца.
В портфель могут включаться ценные бумаги одного типа (акции) или нескольких типов (акции, облигации, депозитные сертификаты, векселя, залоговые свидетельства, страховой полис и т д.).
Формируя портфель, инвестор исходит из инвестиционной стратегии и добивается того, чтобы он был ликвидным, доходным и обладал небольшой степенью риска. Основные принципы формирования инвестиционного портфеля: безопасность, доходность, ликвидность вложений, а также их рост.
Под безопасностью инвестиций имеются в виду страхование от возможных рисков и стабильность получения дохода. Безопасность достигается в ущерб доходности и росту вложений.
Под ликвидностью понимается способность финансового актива быстро превращаться в деньги для приобретения недвижимости, товаров, услуг.
Ни одна инвестиционная ценная бумага не имеет всех перечисленных свойств, поэтому целесообразно выбирать золотую середину.
Если ценная бумага надежна, то ее доходность будет низкой, так как покупатели надежных ценных бумаг будут предлагать за них реальную цену.
Главная цель инвестора достичь оптимального соотношения между риском и доходом. Оптимальный фондовый портфель когда риск минимален? а доход вложений максимален.
Управление фондовым портфелем включает:
- формирование его состава и анализ структуры;
- регулирование его содержания для достижения поставленных перед портфелем целей при сохранении необходимого уровня минимизации связанных с ним расходов.
Цели портфельного инвестирования в западных корпорациях:
- получение дохода (процента, дивиденда, дисконта);
- сохранение акционерного капитала;
- обеспечение прироста капитала на основе курсовой стоимости ценных бумаг.
Эти цели могут быть альтернативными и соответствовать различным типам портфелей ценных бумаг. Например, если ставится цель получения высокого процента, то предпочтение отдается агрессивным портфелям, состоящим из низко ликвидных и высоко рисковых ценных бумаг молодых компаний, способных принести высокий доход в будущем.
Наоборот, если наиболее важными для инвестора являются обеспечение сохранности и увеличение капитала, то в портфель включаются высоко ликвидные ценные бумаги, которые эмитированы известными компаниями.
В нестабильной инвестиционной экономике России система целей управления портфелем может видоизменяться и выглядит следующим образом:
- сохранность и увеличение капитала в отношении ценных бумаг с растущей курсовой стоимостью;
- приобретение ценных бумаг, которые по условиям обращения могут заменить наличность (векселя);
- доступ через приобретение ценных бумаг к дефицитной продукции, имущественным и неимущественным правам;
- расширение сферы влияния и перераспределения собственности, создание холдингов, финансово-промышленных групп и иных предпринимательских структур;
- спекулятивная игра на колебаниях курсов в условиях нестабильности фондового рынка;
- производные цели (зондирование рынка, страхование от излишних рисков путем приобретения государственных краткосрочных облигаций с гарантированным доходом и т. д.).
К портфелю ценных бумаг предъявляются требования. Во-первых, выбор оптимального портфеля из двух возможных вариантов:
- портфель, ориентированный на первоочередное получение дохода за счет процентов и дивидендов;
- портфель, ориентированный на преимущественный прирост
курсовой стоимости входящих в него ценных бумаг.
Во-вторых, установление наиболее выгодного для себя сочетания риска и дохода портфеля, т. е. удельного веса ценных бумаг с различными уровнями дохода и риска. Данная задача решается с учетом общего правила, действующего на фондовом рынке, чем более высокий потенциальный риск имеет ценная бумага, тем более весомый доход она должна приносить владельцу, и наоборот.
В-третьих, оценка ликвидности портфеля, рассматриваемая с двух позиций:
- как способность быстрого превращения всего портфеля или его части в денежные средства (с минимальными расходами на реализацию ценных бумаг);
- как способность акционерного общества своевременно погашать свои обязательства перед кредиторами, которые участвовали в формировании портфеля ценных бумаг (например, перед владельцами облигаций).
В-четвертых, определение первоначального состава портфеля и его возможного изменения с учетом конъюнктуры, сложившейся на рынке ценных бумаг (спроса и предложения фондовых ценностей). С учетом структуры фондового портфеля инвестор может быть агрессивным и консервативным.
Агрессивный инвестор стремится получить максимальный доход от своих вложений, поэтому приобретает акции промышленных акционерных компаний (корпораций).
Консервативный инвестор приобретает главным образом облигации и краткосрочные ценные бумаги, имеющие небольшую степень риска (табл. 4.4).
В-пятых, выбор стратегии дальнейшего управления фондовым портфелем.
Возможны варианты.
- Каждому виду ценных бумаг отводится определенный фиксированный удельный вес в фондовом портфеле, который стабилен в течение времени (месяца). Поскольку на фондовом рынке происходят колебания курсовой стоимости ценных бумаг, целесообразно периодически пересматривать состав портфеля, чтобы сохранить выбранные соотношения между инвестиционными ценными бумагами.
- Инвестор придерживается гибкой шкалы удельных весов ценных бумаг в общем портфеле. Первоначально он образуется из определенных весовых соотношений между видами ценностей. В последующем весовые соотношения корректируются исходя из анализа деловой ситуации на фондовом рынке и ожидаемых изменений характера спроса на ценные бумаги.
- Инвестор активно использует опционные и фьючерсные контракты для изменения состава портфеля в благоприятном для себя направлении изменения цен на фондовом рынке.
В процессе инвестиционной деятельности могут меняться цели вкладчика, что приводит к изменению портфеля. Обновление портфеля сводится к пересмотру соотношения между доходностью и риском входящих в него ценных бумаг.
Таблица 4.4 Структура фондового портфеля различных инвесторов, %
|
Виды ценных бумаг |
Портфель
агрессивного
инвестора |
Портфель
умеренного
инвестора |
Портфель
консервативного
инвестора |
Акции
Облигации
Краткосрочные бумаги |
70
20
10 |
45
30
20 |
20
50
30 |
|
Всего |
100 |
100 |
100 |
По результатам анализа принимается решение о продаже определенных видов ценностей. Инвестиционная ценная бумага продается, если:
- она не принесла требуемой инвестору доход и не ожидается ее роста в будущем;
- она выполнила возложенную на нее функцию;
- появились более доходные сферы вложения собственных денежных средств.
При покупке ценных бумаг (акций и облигаций) одного эмитента инвестору необходимо исходить из принципа финансового левериджа (ФЛ). Он представляет собой соотношение между облигациями и префакциями, с одной стороны, и обыкновенными акциями с другой.
Финансовый леверидж является показателем финансовой устойчивости акционерного общества, что отражается и на доходности портфельных инвестиций. Высокий уровень данного портфеля (свыше 0,5) опасен для акционерной компании, так как приводит к ее нестабильности.
Пример.
Акционерное общество (АО) эмитировало 20-процентные облигации на 30 млн руб., префакции на 6 млн руб. с фиксированным дивидендом 30% и обыкновенные акции на 54 млн руб. Акции акционерной компании имеют высокий уровень левериджа.
Тогда:
Чистая прибыль АО равна 10 млн руб. и используется следующим образом:
а) на уплату процентов по облигациям 6 млн руб. (30 х20 %);
б) на уплату дивидендов по префакциям 1,8 млн руб. (6x30 %);
в)на дивиденды по обыкновенным акциям остается только 2,2 млн руб. (10,0 - 6,0 - 1,8) .
Если чистая прибыль АО снизится до 6 млн руб., то оно не сможет выплатить дивиденды по префакциям и обыкновенным акциям.
Дальнейшее падение прибыли приведет к недостатку средств для выплаты процентов по облигациям. В этом заключается опасность обыкновенных акций с высоким уровнем левериджа и проявляется финансовая неустойчивость тех акционерных компаний, у которых имеется значительная сумма долга в виде облигаций и префакций, что на практике часто приводит к банкротству.
Поэтому консервативный инвестор обычно избегает покупки высоко рискованных ценных бумаг.
Распространенным методом снижения риска потерь инвестора служит диверсификация портфеля, т. е. приобретение им различных видов ценных бумаг. Риск существенно снижается, когда акции АО распределяются между множеством видов ценных бумаг. Диверсификация понижает риск за счет того, что возможные низкие доходы по одним ценным бумагам будут компенсированы высокими доходами по другим фондовым инструментам.
Минимизация риска достигается за счет того, что в фондовый портфель включаются ценные бумаги широкого круга отраслей хозяйства.
Средства, полученные предприятиями с фондового рынка, используются на следующие цели:
1)средства, полученные от первичного выпуска акций, направляются на формирование уставного капитала, предусмотренного учредительными документами акционерного общества;
2)средства, поступившие от дополнительной эмиссии акций, направляются на увеличение уставного капитала, предусмотренного учредительными документами;
3)средства, вырученные от продажи корпоративных ценных облигаций, могут быть направлены на финансирование реальных активов (приобретение оборудования, вычислительной техники, транспортных средств), нематериальных активов (патентов, лицензий, программного продукта и т. д.), а также на приобретение высокодоходных ценных бумаг других эмитентов. Общество вправе выпускать облигации трех типов:
- обеспеченные залогом определенного имущества;
- под обеспечение, предоставленное обществу третьими лицами;
- без обеспечения имуществом.
Выпуск облигаций без обеспечения допускается не ранее третьего года деятельности общества и при условии надлежащего утверждения к этому времени двух годовых балансов. Облигации могут быть именными и на предъявителя.
При выпуске именных облигаций общество обязано вести реестр их владельцев. Следует иметь в виду, что выпуск облигационного займа увеличивает активы,' но не повышает величину уставного капитала общества;
4)государственные краткосрочные облигации служат платежным средством во взаимоотношениях с партнерами, а также источником получения дополнительного дохода;
5)доходы по депозитным счетам и облигационным займам могут быть направлены на пополнение оборотного капитала (приобретение товарно-материальных ценностей);
6)эмиссионный доход общества служит источником формирования добавочного капитала (наряду с дооценкой основных средств).
Следовательно, средства, полученные предприятиями с фондового рынка, повышают их финансовую устойчивость, улучшают ликвидность баланса и платежеспособность хозяйствующих субъектов.
ПРАКТИКА НАЛОГООБЛОЖЕНИЯ ОПЕРАЦИЙ С ЦЕННЫМИ БУМАГАМИ
Важное место в системе государственного регулирования экономики занимает финансовое регулирование первичного и вторичного рынков ценных бумаг. За последние пять лет издано немало нормативных актов, регулирующих деятельность участников фондового рынка.
Среди них определяющую роль играют Федеральные Законы Об акционерных обществах от 26.12.1995. и О рынке ценных бумаг от 22.04.1996.
Указанные нормативные акты регламентируют деятельность всех участников рынка ценных бумаг.
УПРАВЛЕНИЕ ПОРТФЕЛЕМ ЦЕННЫХ БУМАГ АКЦИОНЕРНОГО ОБЩЕСТВА И МЕТОДЫ ЕГО ОПТИМИЗАЦИИ
Меры воздействия государства на операции, совершаемые на данном рынке, можно классифицировать на две категории.
1.Прямое вмешательство. Сюда относится весь комплекс законотворческой деятельности органов представительной и исполнительной власти по данному вопросу.
2. Рычаги косвенного воздействия:
- контроль над денежной массой, находящейся в обращении, и объёмом кредитных ресурсов с помощью влияния на учетную ставку банковского процента;
- гарантии Правительства РФ по депозитам, кредитам и займам частному сектору;
- внешнеэкономическая политика, т. е. развитие или свертывание Политических и экономических контактов с отдельными странами и международными финансово-кредитными организациями;
- выход государства на фондовый рынок, который был ограничен с 17.08.1998 после системного развития финансового кризиса в стране, вызванного чрезмерными заимствованиями на внутреннем и внешнем финансовых рынках;
- налоговая политика, относящаяся к налогообложению операций с ценными бумагами.
Следует отметить, что налоги взимаются со всех видов деятельности на фондовом рынке: брокерской, дилерской, трастовой, депозитарной и биржевой. К ценным бумагам, операции по которым облагаются налогами, относятся акции, облигации, переводные векселя, депозитарные сертификаты, производные фондовые инструменты (опционные и фьючерсные контракты).
Операции предприятий и организаций, а также профессиональных участников (инвестиционных компаний и фондов) с ценными бумагами облагаются следующими налогами:
- налог на прибыль;
- налог на операции с ценными бумагами;
- другие налоги (лицензионный сбор с профессиональных участников и т. д.).
Порядок уплаты налога на прибыль от сделок с ценными бумагами регламентируется Законом РФ О налоге на прибыль предприятий и организаций 2116-1 от 27.12.1991 с последующими изменениями и дополнениями (в 1992-'1999 гг.). Прибыль, полученная от продажи ценных бумаг, включается в состав прибыли от реализации, а доходы (дивиденды, проценты) по ценным бумагам, принадлежащим предприятию-акционеру, относятся к внереализационным доходам. Для расчета налога на прибыль валовая прибыль понижается на суммы:
- доходов в форме дивидендов, полученных по акциям, принадлежащим предприятию-акционеру и удостоверяющим право владельца этих ценных бумаг на участие в распределении прибыли предприятия-эмитента;
- прибыли от посреднических операций и сделок с ценными бумагами, если ставка налога на прибыль, зачисляемого в бюджет субъекта РФ, отличается от ставки, установленной законодательством РФ.
- прибыли от банковских операций и сделок с ценными бумагами, если ставка налога на прибыль, зачисляемого в бюджет субъекта РФ, отличается от установленной ставки налога на прибыль по основному виду деятельности. В соответствии с Федеральными Законами от.31.07.1998, 141-ФЗи 143-ФЗ прибыль (убыток) от реализации ценных бумаг, фьючерсных и опционных контрактов определяется как разница между ценой реализации и ценой приобретения с учетом уплаты услуг по их приобретению и реализации.
По акциям и облигациям, обращающимся на организованном рынке ценных бумаг, рыночная цена которых определяется в соответствии с Федеральным Законом О рынке ценных бумаг, убытки от их реализации по цене не ниже установленной границы колебаний рыночной цены могут быть отнесены на уменьшение доходов от реализации данной категории ценных бумаг.
По операциям с биржевыми фьючерсами и опционными контрактами, заключаемыми в целях снижения риска изменения рыночной цены предмета сделки (базисного актива) в период торговли этими контрактами, доходы от купли-продажи фьючерского или опционного контракта либо осуществления расчетов по ним увеличивают, а убытки понижают налогооблагаемую базу по операциям с базисным активом. Условием признания сделки завершенной является ее регистрация на бирже в соответствии с требованиями федерального законодательства.
Убытки от купли-продажи фьючерсных и опционных контрактов, заключенных не для понижения ценовых рисков, могут быть отнесены на уменьшение прибыли только в пределах доходов от купли-продажи указанных производных фондовых инструментов.
При исчислении налогооблагаемой базы банков валовая прибыль снижается на сумму отчислений на образование резервов под обесценение ценных бумаг в порядке, установленном Центральным банком РФ по согласованию с Министерством финансов РФ.
Если предприятия объединяют денежные средства, остающиеся в их распоряжении после уплаты налога, для осуществления операций с ценными бумагами путем оформления в установленном порядке совместной деятельности, они не облагаются налогом на прибыль, полученную в результате использования указанных средств.
Предприятие, осуществляющее учет финансовых результатов совместной деятельности, ежеквартально сообщает каждому участнику этой деятельности и налоговому органу по месту его нахождения о суммах, причитающихся каждому участнику доли прибыли, для учета при налогообложении независимо от фактического распределения прибыли.
Прибыль от операций с ценными бумагами, полученная в результате совместной деятельности нескольких предприятий без создания юридического лица, а также полученная полным товариществом, распределяется между участниками совместной деятельности или членами полного товарищества до налогообложения исходя из заключенного ими договора. Прибыль, полученная каждым участником совместной деятельности или членом полного товарищества, являющимся юридическим лицом, после распределения включается во внереализационные доходы и облагается налогом в составе валовой прибыли.
Ставка налога на прибыль предприятий и организаций по операциям с ценными бумагами, зачисляемого в федеральный бюджет, составляет 11%. В бюджеты субъектов РФ налог зачисляется по ставкам, утвержденным законодательными органами субъектов РФ, в размере не свыше 19 %. Для негосударственных финансовых посредников по прибыли, полученной от посреднических операций и сделок с ценными бумагами (фондовых бирж, брокерских фирм, кредитных организаций, страховщиков, инвестиционных фондов и др.), по ставкам в размере не более 30 %.
Предприятия помимо налога на прибыль уплачивают налог на прибыль с доходов в форме дивидендов, полученных по акциям, принадлежащим предприятию-акционеру и удостоверяющих право владельца этих ценных бумаг на участие в распределении прибыли предприятия-эмитента. Налог по ставке 15 % взимается у источника выплаты этих доходов.
Иностранные юридические лица уплачивают налог по доходам от дивидендов, процентов также по ставке 15%. Для реализации в соответствии с международными договорами права на льготное обложение налогом доходов от источника в России иностранное юридическое лицо обязано в течение года со дня получения дохода подать заявление о снижении или отмене налога в порядке, определенном Госналогслужбой РФ.
Налог с доходов иностранных юридических лиц от источников в РФ удерживается предприятием, выплачивающим такие доходы, в валюте при каждом перечислении платежа. Сумма налога зачисляется в федеральный бюджет одновременно с каждой выплатой дохода.
При выплате доходов от долевого участия иностранным инвесторам и партнерам товариществ ценными бумагами исчисление налога производится от денежного эквивалента таких доходов. При этом законодательством запрещается включать в договоры и контракты налоговые оговорки, в соответствии с которыми российское предприятие или иностранное юридическое лицо берет на себя обязательство нести расходы по уплате налога других плательщиков.
В соответствии с Законом О внесении дополнения в статью 2 Закона РФ О налоге на прибыль с предприятий и организаций от 28.07.1997, 92-ФЗ при увеличении уставного капитала акционерного общества в связи с переоценкой основных фондов, осуществляемой по решению Правительства РФ, не облагается налогом на прибыль:
- стоимость акций, дополнительно полученных юридическим лицом акционером и распределенных между акционерами по решению общего собрания пропорционально количеству принадлежащих им акций;
- разница между номинальной стоимостью первоначальных акций владельцев и ценой их реализации.
Прибыль от реализации, полученная. акционером в результате указанного распределения или увеличения номинальной стоимости акций, устанавливается как разница между ценой реализации и первоначально оплаченной стоимостью этих акций. В случае продажи акций полученная от данной операции прибыль облагается налогом на прибыль.
Закон РФ О налоге на добавленную стоимость от 06.12.1991, 1992-1 с последующими изменениями и дополнениями определяет порядок уплаты в бюджет суммы налога на добавленную стоимость (НДС).
Операции предприятий, связанные с обращением ценных бумаг, кроме посреднических услуг (включая брокерские операции), НДС не облагаются. Посреднические услуги, в том числе оказываемые профессиональными участниками фондового рынка, облагаются налогом. Облагаемым оборотом считается сумма дохода, полученная в форме надбавок, вознаграждений и сборов.
Он устанавливается на базе стоимости реализуемых ценных бумаг исходя их используемых цен без включений в них НДС.
Письмом Минфина РФ от 20.08.1996, 04-07-05/2 установлен порядок уплаты НДС при получении авансовых платежей в счет предстоящего выполнения посреднических услуг по приобретению фондовых инструментов, а также по доверительному управлению имуществом клиента.
В оборот, который облагается НДС, включаются любые денежные средства, поступающие от предприятия, если их получение связано с расчетами по оплате товаров (работ, услуг). В результате авансовые платежи, поступившие по договору комиссии, или поручения за выполнение посреднических услуг по управлению фондовым портфелем заказчика (клиента) облагаются НДС в объеме вознаграждения, которое причитается комиссионеру, поверенному или доверительному управляющему.
В случае образования уставного капитала взносы учредителей предприятия осуществляются в форме денежных и материальных вкладов и НДС не облагаются. Данный налог не взимается и со средств, полученных в виде доходов предприятий в размере, не превышающем их уставный капитал, а также с пая или доли хозяйствующих субъектов при выходе из предприятий в размере, который не превышает их вступительный взнос.
При реализации предприятиями основных средств или нематериальных ценностей, полученных от учредителей в качестве взноса в уставный капитал, облагаемый оборот устанавливается исходя из полной стоимости их продажи, а в случае понижения уставного капитала уменьшается на величину этого взноса. Если размер уставного капитала не изменяется, то исчисление НДС по таким основным средствам и иным материальным Ценностям производится с разницы между продажной ценой и ценой, зафиксированной в уставном капитале.
Налог на операции с ценными бумагами взимается в соответствии с Законом РФ О налоге на операции с ценными бумагами от 18.10.1995, 158-ФЗ. Плательщиками данного налога являются юридические лица эмитенты ценных бумаг.
Объектом налогообложения является номинальная сумма выпуска ценных бумаг, заявленная эмитентом. Данным налогом не облагаются:
а) номинальная сумма выпуска ценных бумаг акционерных обществ, осуществляющих первичную эмиссию ценных бумаг;
б) номинальная сумма выпуска ценных бумаг акционерных обществ, осуществляющих увеличение уставного капитала на величину переоценок основных фондов, производимых по решению Правительства РФ.
Налог на операции с ценными бумагами взимается в размере 0,8 % номинальной суммы выпуска. При отказе в регистрации эмиссии налог не возвращается.
Плательщик исчисляет сумму налога исходя из номинальной суммы выпуска и налоговой ставки. Сумма налога уплачивается плательщиком одновременно с представлением документов на регистрацию эмиссии и подлежит к перечислению в федеральный бюджет.
Предприятия и организации уплачивают налог на прибыль (доход) по операциям с векселями.
Налогом облагаются:
а) разница между покупной ценой и ценой продажи (погашения);
б) проценты, начисленные на вексельную сумму (в векселях со сроком оплаты по предъявлении к моменту их предъявления);
в) проценты, включенные в саму вексельную сумму, при расчетах за товары и услуги для определенно-срочных векселей.
Доходы, получаемые юридическим лицом векселедержателем по векселям, включаются им в состав нереализуемых доходов и облагаются налогом на прибыль по ставке 15 % для предприятий владельцев тратты, если они были получены в форме процентов, сумма которых указана на самих векселях (поскольку они являются доходами по ценной бумаге и подлежат налогообложению у источника их выплаты). Доходы векселедержателя облагаются налогом на прибыль по общей ставке, если они были получены в виде разницы между ценой приобретения и ценой продажи векселя, а также если доход по векселю получен в виде процентов, включенных в его сумму.
Полученная сумма дохода по векселю облагается налогом с источника выплаты дохода, если покупателем или лицом, оплатившим вексель, является предприятие или организация.
Если за поставленные товары (услуги) рассчитываются векселями, то выплата процентов по ним в полном объеме относится на себестоимость продукции. Если векселями оформлена ссуда одного предприятия другому, то выплаченные проценты также относятся на издержки производства аналогично процентам по банковским кредитам, т. е. в пределах учетной ставки Банка России плюс три пункта.
Аналогично и проценты по вексельному кредиту при учете векселей в банках относятся на себестоимость продукции (услуг).
ВЫВОДЫ:
1.В Налоговом Кодексе РФ (часть первая) от 31.07.1998, 147-ФЗ предусмотрен налог на доходы от капитала, что позволит в будущем существенно упорядочить налоговые поступления от финансовых операций.
2.В настоящее время инвестор вынужден платить налог на инфляцию, т. е. налогом на прибыль облагается весь прирост стоимости ценных бумаг независимо от темпов роста цен в России.
3.Система платежей в бюджет по операциям с ценными бумагами усложнена и обременительна для плательщиков.
4.Действующая система налогообложения тормозит развитие рынка корпоративных ценных бумаг, делая приоритетными вложения денежных средств в валютные операции.
УПРАВЛЕНИЕ ПОРТФЕЛЕМ ЦЕННЫХ БУМАГ АКЦИОНЕРНОГО ОБЩЕСТВА И МЕТОДЫ ЕГО ОПТИМИЗАЦИИ
Анализу и методам расчета оптимального, наиболее выгодного плана распределения инвестиций посвящено немало исследований, называемых теорией портфеля. В теории и практике управления портфелем существуют два подхода: традиционный и современный.
Традиционный подход основывается на фундаментальном и техническом анализе фондового рынка. Он делает акцент на широкую диверсификацию ценных бумаг по отраслям хозяйства.
В основном приобретаются бумаги известных промышленных компаний, которые имеют устойчивое финансовое положение.
На основе изучения их прошлой деятельности предполагается, что в будущем они будут иметь положительные финансовые результаты. Кроме того, учитывается более высокая ликвидность ценных бумаг (акций и облигаций), возможность покупать и продавать их в большом количестве, что создает экономию на комиссионных выплатах финансовым посредникам.
Общее правило для осторожных инвесторов, которые обладают возможностями выбора объектов инвестирования, гласит: свои вложения целесообразно распределять между различными видами активов, показавшими за последние 5-10 лет:
- различную тесноту связи каждого актива с общерыночными ценами;
- противоположный диапазон колебаний цен на фондовые инструменты внутри портфеля.
С таким портфелем ценных бумаг риск неожиданных убытков минимален. Однако вопрос о получении максимально возможной прибыли остается открытым.
Основы традиционной теории управления портфелем разработали западные ученые У. Шарп и Г. Маркович. Ее основные положения сводятся к следующему.
Во-первых, успех инвестирования в ценные бумаги главным образом связан с прибыльным распределением средств по типам финансовых активов.
Практика показывает, что прибыль инвестора определяется:
- на 94 % выбором типа используемых фондовых инструментов (акции известных промышленных компаний, долгосрочные корпоративные облигации, краткосрочные казначейские векселя федерального правительства и т. д.);
- на 4 % выбором конкретных ценных бумаг данного типа (например, обыкновенных или привилегированных акций акционерных компаний);
- на 2 % оценкой момента приобретения ценных бумаг.
Данный феномен объясняется тем, что ценные бумаги одного типа заметно коррелируют, т, е. если данная отрасль испытывает спад производства, то убыток инвестора не очень зависит от того, преобладают ли в его портфеле ценные бумаги той или иной компании отрасли.
Во-вторых, риск инвестиций в определенный тип фондовых инструментов определяется вероятностью отклонения прибыли от ожидаемого значения. Ее прогнозируемое значение можно определить на основе статистических данных о динамике прибыли от инвестиций за предыдущие годы, а риск как среднеквадратичное отклонение от ожидаемой прибыли.
В-третьих, общая доходность и риск инвестиционного портфеля могут изменяться путем варьирования его структурой.
Разработаны различные программы, позволяющие конструировать желаемую пропорцию финансовых активов различных типов. Например, модели, минимизирующие риск при заданном уровне ожидаемой прибыли, и, наоборот, модели, максимизирующие прибыль при заданном уровне риска.
Конечно, все модели, используемые при формировании фондового портфеля, носят вероятностный характер.
Констатирование портфеля в соответствии с требованиями классической теории возможно только при наличии ряда факторов:
- развитого рынка ценных бумаг;
- наличия статистики цен на фондовые инструменты за ряд последних лет;
- равнодоступности финансовой информации для всех потенциальных инвесторов.
В России фондовый рынок находится на стадии становления. Поэтому традиционная теория управления фондовым портфелем в полной мере может быть реализована.
Современная теория портфеля базируется на использовании статистических и математических методов. Ее отличие от традиционного подхода заключается во взаимосвязи между рыночным риском и доходом.
Если инвестор стремится получить более высокий доход, то он вынужден сформировать фондовый портфель, состоящий из высокорискованных ценных бумаг (молодых и растущих по объему продаж компаний).
Использование такого подхода требует определенного компьютерного и математического обеспечения. В ряде случаев инвестиционной стратегии акционерной компании отвечает комбинированный подход к управлению портфелем (сочетание традиционного и современного методов).
ДИВЕРСИФИКАЦИЯ ФОНДОВОГО ПОРТФЕЛЯ
Диверсификация портфеля ценных бумаг заключается в приобретении их различных видов. Если портфель разнообразен, то входящие в его состав финансовые активы обесцениваются неодинаково и вероятность равновеликого обесценения всего портфеля незначительна.
Диверсификация портфеля обеспечивает инвестору получение стабильного дохода, если в портфеле наряду с обыкновенными акциями присутствуют такие твердо доходные активы, как привилегированные акции, корпоративные облигации, облигации Банка России.
Диверсификация обязательное условие рационального управления средствами, вложенными в ценные бумаги. Существуют определенные ограничения на диверсификацию портфеля это его чрезмерное разнообразие, не поддающееся эффективному управлению.
В процессе инвестиционной деятельности могут изменяться цели вкладчика, что приводит к необходимости периодического пересмотра состава портфеля. Пересмотр (обновление) портфеля сводится к изменению соотношения между доходностью, ликвидностью и риском входящих в него ценных бумаг.
По результатам анализа принимается решение о продаже определенных видов фондовых инструментов.
Инвестиционная ценная бумага продается, если она:
- не принесла инвестору желаемый доход и не ожидается его
рост в будущем;
- выполнила возложенную на нее функцию;
- появились более доходные сферы вложения собственных де
нежных средств.
Однако на практике встречаются причины более частного характера, приводящие к необходимости реструктуризации фондового портфеля как в отношении акций, так и корпоративных облигаций (табл. 5.1).
Ключевым моментом такого решения служит ожидаемое значение нормы текущей доходности (Р). Решение о продаже ценных бумаг принимается, если значение данного показателя соответствует
следующему требованию:

(16)
где Р норма текущей доходности, %; средняя депозитная ставка процента (с учетом фактора инфляции), %; Пр уровень премии за ликвидность с учетом срока погашения конкретных видов ценных бумаг, %; Пл уровень премий за ликвидность с учетом срока погашения конкретных ценных бумаг, %.
Отдельные экономисты оценивают величину фондового портфеля от 8 до 15 различных видов ценных бумаг. Дальнейшее увеличение состава портфеля нецелесообразно, так как возникает эффект излишней диверсификации. Она может привести к таким негативным последствиям, как:
- невозможность качественного управления портфелем;
- покупка недостаточно доходных и ликвидных ценных бумаг;
- рост расходов инвестора на изучение конъюнктуры фондового рынка (его фундаментальный и технический анализ);
- высокие издержки на приобретение небольших пакетов ценных бумаг.
Расходы по управлению излишне диверсифицированным портфелем не принесут ожидаемого результата, так как его доходность не будет возрастать более высокими темпами, чем затраты по управлению портфелем.
Возникает практический вопрос имеется ли в России достаточное количество видов фондовых инструментов, инвестирования в которые выше соотношения? Конечно, нет, поскольку не каждый инвестор, учитывая кризисное состояние фондового рынка, может позволить себе инвестирование в акции акционерных предприятий.
Таблица 5.1
Основные причины, снижающие эффективность вложений в эмиссионные ценные бумаги
п\п |
Наименование фактора |
1
2
3
4
5
6
7
8
9 |
А Возможные причины снижения эффективности вложений в акции
Изменение дивидендов политики в сторону снижения выплачиваемых дивидендов
Существенное превышение рыночной цены над реальной стоимостью акций
Снижение размера чистой прибыли, приходящейся на одну акцию
Падение значения показателя соотношения цены и доходности
Снижение ликвидности отдельных типов акций на фондовом рынке
Ожидаемый спад в отрасли, где функционирует эмитент
Предполагаемый рост систематического риска на рынке ценных бумаг
Повышение уровня налогообложения по данному виду ценных бумаг
Прочие активы |
1
2
3
4
5
6 |
Б Возможные причины снижения эффективности вложения в корпоративные облигации
Рост ставки ссудного процента на финансовом рынке (например, по депозитным вкладам)
Рост индекса инфляции по сравниванию с предыдущим периодом
Снижение кредитного рейтинга эмитента
Падение ликвидности облигаций
Уменьшение объема выкупного фонда эмитента
Угроза финансовой несостоятельности эмитента (его неспособность своевременно выплачивать проценты) и др. |
Исключение составляют ценные бумаги таких известных российских компаний, как РАО Газпром, РАО ЕЭС России, АО НК Лукойл, АО Сургутнефтьгаз, АО Юкос и ряда других предприятий топливно-энергетического комплекса.
ОЦЕНКА ЭФФЕКТИВНОСТИ ФОНДОВОГО ПОРТФЕЛЯ
Формируя инвестиционный портфель, инвестор должен располагать методикой для оценки инвестиционных качеств ценных бумаг. Они оцениваются посредством методов фундаментального и технического анализа.
Прирост капитала может быть и отрицательной величиной, если стоимость актива снижается.
Полный доход важный показатель, но он не характеризует эффективность инвестиций в финансовые активы.
Для характеристики эффективности инвестиций в финансовые активы используют величину, равную отношению полного дохода к , начальному объему инвестиций (в годовом интервале):
Инвестиции: Анализ - Инвестирование - Инвестиционные фонды