Зейналов А. А. - ЭКОНОМИЧЕСКИЙ МЕХАНИЗМ УПРАВЛЕНИЯ ИНВЕСТИЦИОННО-ЗАЁМНЫМИ СРЕДСТВАМИ
ВЫСШАЯ ШКОЛА ПРИВАТИЗАЦИИ И ПРЕДПРИНИМАТЕЛЬСТВА
ВВЕДЕНИЕ
Отличительной чертой экономической политики государства на современном этапе становления и развития рыночных отношений является необходимость привлечения и аккумуляции средств не только институциональных, но также мелких и средних инвесторов для финансирования экономики. Особую значимость приобретает этот процесс для регионов субъектов РФ - доноров Федерального бюджета. Инвестиционные потребности этих регионов с одной стороны значительно превышают возможности собственного бюджета, с другой - имеются свободные денежные средства у потенциальных инвесторов, включая население.
В настоящее время субфедеральные и муниципальные займы стали реальным финансовым инструментом обеспечения инвестиционных потребностей региона. Показателен опыт Москвы, где за период с 1997 г. по настоящее время общие объемы инвестиций, осуществляемых на основе заемных средств, составили 30,77 млрд. рублей, а доходная часть столичного бюджета развития на 2000 год на 44,22% сформирована из заемных средств.
Управление подобными финансовыми потоками зависит от множества внутренних и внешних факторов, в том числе привлечения и погашения займов и кредитов, курсов валют, структуры займов и инвестиций, наличия финансовых резервов. В этих условиях оптимизация управленческих решений в значительной мере зависит от возможности унификации плановых расчетов, формирования системы учета, моделирования ситуаций и управленческих процессов на близкую и дальнюю перспективу.
Актуальность данных управленческих проблем для становления региональной экономики в период перехода к экономическому росту определила выбор темы исследования.
Целью диссертации является теоретическое обоснование, методическая разработка и анализ результатов поэтапного внедрения в управленческий процесс инвестиционно-заемной деятельностью субъекта Российской Федерации экономических методов, основанных на финансово-экономической модели, методиках и алгоритмах программного обеспечения.
Достижение поставленной цели было обеспечено решением взаимосвязанных задач. К ним относятся:
- Разработка структуры и механизма действия финансово-экономической модели инвестиционно-заемного процесса субъекта РФ.
- Разработка методики определения объемных, стоимостных и временных параметров заемных и инвестиционных средств.
- Разработка критерия текущей эффективности заимствования и инвестирования как единого процесса.
- Разработка алгоритмов планирования финансовых потоков и учета заемных и инвестиционных средств.
- Разработка методик и алгоритмов расчета финансовых показателей, пакета прикладных программ управления заемными средствами и инвестициями.
Объектом исследования являются заемная и инвестиционная деятельность в субъекте РФ.
Предметом исследования является процесс формирования и управления финансовыми потоками в инвестиционно-заемной деятельности субъекта РФ.
Теоретическую и методическую основу исследования составляют научные положения, содержащиеся в трудах ведущих отечественных и зарубежных ученых и специалистов в области экономической теории, управления экономикой, системного анализа, экономического моделирования, теории финансов, рынка ценных бумаг, инвестиций, социально-экономического развития регионов.
Изучению данных проблем посвящены труды зарубежных экономистов. Среди них Бурне К., Маршал Э., Хангерфорд Ф., Окимото И., а также современных российских экономистов, среди которых следует выделить Алексеева М., Миркина Я., Мусатова В., Фельдмана А. Проблеме управления финансовыми потоками посвящены труда Аткинсона А., Брейли Р., Бригхема Ю., Майерса С., Гапенски Л. Проблеме создания инвестиционно-заемной системы в Москве посвятили свои труды Богачев Е., Гладский Д., Зяблов Е., Климовича М., Клыков В., Кривошеин А., Пахомов С., Тумасянц С.
Обоснованность и достоверность исследования обеспечивается применением системного анализа, синтеза, балансового, нормативного, экономико-математических и других методов.
Информационной базой исследования стали официальные документы законодательных и исполнительных органов власти РФ, г. Москвы, Госкомстата и Минфина России.
В работе использованы данные специализированных источников об опыте государственных, субфедеральных и муниципальных заимствований, по управлению финансовыми обязательствами; отчеты и данные о функционировании инвестиционно-заемной системы г. Москвы, а также результаты расчетов автора.
Научная новизна выполненного исследования состоит в том, что в нем разработаны экономические методы управления финансовыми обязательствами инвестиционной направленности субъекта РФ на основе финансово-экономического моделирования.
Личный вклад автора в решение данной проблемы, имеющий элементы научной новизны и вынесенный на защиту, состоит в следующем:
1. Разработана структура и механизм действия финансово-экономической модели инвестиционно-заемного процесса субъекта РФ.
2. Разработаны методики определения объемных, стоимостных и срочностных параметров заемных и инвестиционных средств.
3. Разработан критерий текущей окупаемости заимствования и инвестирования как единого процесса.
4. Разработаны алгоритмы планирования финансовых потоков и учета заемных и инвестиционных средств.
5. Разработан пакет частных методик по управлению финансовыми потоками в условиях изменяющихся внешних факторов, в том числе: а) методика определения цен облигаций; б) методика определения структуры займов в условиях нестабильности валютных курсов; в) методика проведения долговых зачетов на основе неденежных активов; г) методика определения структуры портфеля инвестиционных проектов; д) методика расчета сумм обслуживания долга по бюджету развития.
Практическая значимость работы состоит в том, что теоретические исследования, методические положения и рекомендации, содержащиеся в ней, использованы при разработке и внедрении инвестиционно-заемной системы г. Москвы, а также управлении этой системой, как в условиях финансовой стабильности, так и в пост кризисный период.
Результаты исследования могут быть использованы при:
формировании финансовых схем заимствования и инвестирования средств субъектов РФ и муниципальных образований;
разработке вариантных прогнозов и планов обслуживания финансовых обязательств субъектов и муниципальных образований Российской Федерации;
формировании исходных параметров инвестиционной программы (стоимость, этапы финансирования, объемы, сроки) с учетом рыночных рисков;
оценке текущей окупаемости заимствования и инвестирования средств как единого процесса;
разработке программно-методической базы для создания автоматизированной системы управления субфедеральными и муниципальными займами и инвестициями за счет этих финансовых обязательств.
Апробация результатов работы. Основные результаты работы использованы в процессе подготовки нормативных документов правительства Москвы и его структур, в том числе: Постановления Московской городской Думы от 11 июня 1997 г. 37 Об утверждении Положения о финансовых фондах городских облигационных займов Москвы; Постановления Правительства Москвы от 22 апреля 1997 г. 281 о вопросах Инвестиционного Совета города Москвы и финансирования городских инвестиционных проектов из Финансовых фондов городских облигационных займов Москвы; а также в методиках и пакетах прикладных программ, применяемых в практической работе Финансовым агентством города Москвы; на рабочих совещаниях НОУ-ХАУ Фонда (Великобритания), Фонда стратегических исследований и развития фондового рынка (Москва), семинарах и конференциях по проблемам развития рынка ценных бумаг.
Материалы диссертации вошли в ряд отчетов о НИР, выполненных по заказу правительства Москвы в рамках научной проблемы Создания и обеспечения стабильного функционирования инвестиционно-заёмной практики крупных регионов России, в том числе: Разработка общей финансово-экономической модели и методического подхода к управлению формированием и использованием средств городского муниципального займа; Моделирование процесса формирования инвестиционного фонда заемно-инвестиционной системы г. Москвы.
По теме диссертации опубликовано 4 работы общим объемом 2,1 печатных листа.
Структура и объем работы. Диссертация состоит из введения, трех глав, заключения, списка использованной литературы; содержит 197 страницы машинописного текста, 11 рисунков, 19 таблиц, 6 приложений.
Библиография содержит 169 наименований.
Анализ опыта управления финансовыми потоками в инвестиционно-заемной практике региона.
Проблема привлечения инвестиций в экономику города, региона, является сегодня одной из самых актуальных. Чаще, впрочем, говорят просто о привлечении средств.
И, поскольку новые эффективные собственники способные на реальные и долгосрочные инвестиции присутствуют в нашей экономике в гораздо меньших масштабах, чем хотелось бы, то в условиях хронического скрытого дефицита, задачу добывания денег для региона вынуждены в полной мере брать на себя региональные, муниципальных власти.
В странах, имеющих давнюю историю фондового рынка, местные органы власти широко используют выпуск своих обязательств для финансирования местных бюджетов, осуществления инвестиционных проектов и социальных программ. Соотношение объемов государственных ценных бумаг, эмитируемых местными органами власти, с одной стороны, и центральным правительством, с другой, в различных странах колеблется в значительных пределах.
Так, например, в США это соотношение составляет 360 : 1000, в ФРГ 1080 : 1000.
В России этот процесс также начал развиваться, хотя аналогичное соотношение составляет порядка 22 : 1000. До 1997 года наиболее популярными на российском фондовом рынке были федеральные ценные бумаги.
Среди них бесспорным лидером до августа 1998 года оставались государственные краткосрочные обязательства (ГКО) с тенденцией постепенного удлинения сроков действия обязательств первоначально с трех до шести месяцев, а затем и до года.
В настоящее время начинает формироваться вторая ступень обязательств органов государственной власти, а именно, появляются облигации субъектов Федерации.
В основе этой практики лежит стремление региональной власти разрешить общие хозяйственные проблемы в рамках тех полномочий, какими располагает регион для стабилизации местной экономики и поддержания социальной стабильности. Конечно же, это и попытка компенсировать известную инерционность федерального бюджетного механизма, сложность налогового режима и повысить управляемость теми ресурсами, которые остаются в ведении субъекта федерации.
Москвой на сегодня накоплен опыт централизованного привлечения инвестиций, централизованного формирования городского инвестиционного ресурса, когда Правительство Москвы посредством выпуска облигационных займов обеспечивает финансирование городской инвестиционной программы, обеспечивает финансирование на принципах окупаемости и возвратности инвестиционных проектов, имеющих существенное значение для развития Москвы.
Сегодня в России реально сосуществуют различные подходы к организации муниципальных заимствований. Каждому из них соответствует свой уровень эффективности, свой уровень сложности организации и управления.
Можно выделить три основных подхода. Первый это выпуск муниципальных займов, организуемых, фактически, для покрытия кассовых разрывов бюджета; второй выпуск займов инвестиционной направленности и третий подход, реализуемый ныне в Москве, - создание постоянно действующей инвестиционно-заёмной системы.
Займы, выпускаемые для покрытия бюджетного дефицита, решая горящие задачи местного бюджета, не могут решить проблему стабилизации бюджета, а тем более проблемы развития местной экономики.
Кратковременно улучшая финансовую ситуацию, эти займы на долгий срок обременяют городской бюджет финансовыми обязательствами, погашаемыми из скудных поступлений, а в тех случаях, когда применялась схема налоговых освобождений надолго лишают бюджет реальных доходов.
Займы инвестиционной направленности отражают, на наш взгляд, более прогрессивный подход. Он обеспечивает направление привлекаемых средств на развитие экономики, финансирование инвестиционных проектов.
Однако в этом подходе имеется существенный недостаток. Так как займы инвестиционной направленности выпускаются под конкретный проект, т.е. единовременно, то невозможно удовлетворительнV решить две важнейшие проблемы.
Во-первых, это проблема длины денег, которая заключается в то, что срок, на который можно занять деньги, составляет, как правило, не более одного года, тогда как время реализации серьезного инвестиционного проекта заведомо больше.
Вторая проблема это цена денег. Невозможно создать устойчивый рынок облигаций, если выпускать их нерегулярно.
Эпизодическое присутствие эмитента на рынке ведет, в свою очередь, к увеличению издержек по привлечению денег, а в конечном итоге, существенно повышает цену денег, которые достаются устроителю инвестиционного проекта.
Подход связанные с формированием инвестиционно-заёмной системы использует пока только Москва. Другие регионы и города пока лишь присматриваются к нему.
Но уже начинают применять его совместно с Москвой, в рамках общей единой системы.
Суть этого подхода в том, что создается единый механизм, который, с одной стороны, постоянно привлекает деньги, обеспечивает постоянное присутствие эмитента на рынке облигаций, а с другой стороны, обеспечивает постоянные отбор, подготовку и реализацию все новых инвестиционных проектов.
На сегодняшний день этот организационно-технологический комплекс Московская инвестиционно-заемная система, позволяет городу:
- выпускать несколько видов облигационных займов одновременно;
- привлекать денежные средства на внутренних и внешних финансовых рынках в необходимых объемах;
- финансировать из привлекаемых средств городские инвестиционные проекты;
- осуществлять подготовку и реализацию инвестиционных проектов;
- обеспечивать контроль целевого использования и возвратности заемных средств.
Наличие инвестиционно-заемной системы позволяет Москве привлекать средства под невысокий процент. Так в октябре 1997 г.*), т.е. в период спокойного состояния фондового рынка, не искаженного внешним влиянием мирового кризиса, облигации городского
*)На момент начала функционирования Инвестиционно-заемной системы.
внутреннего займа г. Москвы размещались под 19,07%, что было всего лишь на 0,7% годовых выше, чем ГКО.
Принципы инвестиционно-заемной системы, наличие которой позволяет формировать, а в дальнейшем поддерживать постоянный объем заемных средств, направляемых на инвестиционные нужды Москвы, были утверждены Постановлением Правительства Москвы 681 от 13 августа 1996 года О системе городских займов Москвы.
Москва в соответствии с Постановлением Правительства Москвы 81 от 29 октября 1996 года О выпуске городских займов Москвы в 1996-1997 г.г., а также Постановлением Московской Городской Думы 99 от 13 ноября 1996 г. О городских займах Москвы в 1996-1997 г.г. осуществляет выпуск трех займов:
а) городского облигационного (внутреннего) займа;
б) городского облигационного сберегательного займа;
в) облигационный заем города Москвы в иностранной валюте.
Заемная часть Московской инвестиционно-заемной системы представляет собой сбалансированный комплекс 3-х типов облигационных займов, а также кредитов номинированных в рублях и в валюте. Характеристики и свойства этих займов ориентированы на различные категории инвесторов.
Внутренний облигационный заем типа ГКО не требует долгой технической подготовки, но имеет и недостатки он относительно дорог и краткосрочен.
Внутренний сберегательный заем, предназначенный для населения, более трудоемок по организации, медленнее по возможным темпам заимствования, но он гораздо дешевле и является долгосрочным.
Внешний валютный заем представляется самым выгодным, но в силу технических причин и отсутствия у Москвы кредитной истории он не может быть достаточно большим.
К достоинствам кредитов можно отнести то, что Москва, как заемщик имеет возможность привлечения единовременно значительных средств, а также то, что в случае необходимости заемщику легче проводить реструктуризацию долга имея дело с одним кредитором, чем с множеством владельцев облигаций. Основным недостатком кредитов является их сложность с точки зрения управления долгом.
Так откупая и доразмещая облигации, Москва имеет возможность регулировать стоимость и объем долга, чего не позволяют кредитные отношения.
Проведенные расчеты показали (см. гл. 3), что нужно одновременно выпускать все три займа, имея в виду постоянное смещение по всем видам займов от краткосрочных выпусков к долгосрочным, а также уменьшение, по мере снижения инфляции, доходности займов до принятого в международной практике уровня, а так же сокращения доли кредитов в общем объеме долга.
Такая структура заемных средств придает системе обслуживания внутреннего долга города максимально возможную гибкость, решает проблему создания долгосрочного устойчивого рынка муниципальных заимствований. При этом выпуск и размещение новых отдельных займов осуществляется по мере организационной готовности на любом этапе функционирования заемной системы, а выпускаемые ценные бумаги конструируются индивидуально для выполнения конкретной задачи в конкретных условиях.
Система заимствования, основанная на единстве предлагаемых займов, образующих общую совокупность, позволяет, благодаря включению механизма распределения рисков, обеспечить высокую устойчивость инвестиционно-заемной системы, создать условия, при которых каждый из вновь выпускаемых займов пополняет систему и решает конкретные задачи.
Принципиальное условие единства займов определяет долгосрочность и масштабность проводимой работы, определяет все конструктивные особенности займов, их параметры, систему сопряжения займов между собой.
Стратегические цели займов определяются правовыми актами Московской городской Думы, в них устанавливаются общие объемы привлекаемых финансовых ресурсов и основные направления использования средств. Конкретные вопросы, связанные со срочностью и объемом привлекаемых средств под ту или иную ценную бумагу, выпускаемую городом и конкретным направлениям использования средств решаются Правительством Москвы.
Для обеспечения целевого использования средств доходы от размещения займа, и реализации инвестиционных проектов, аккумулируются в специально создаваемом фонде, на который ложится основная нагрузка по обслуживанию и погашению займа.
Как показали расчеты, к моменту выхода заемной системы на максимальную мощность доход от инвестиционных проектов уже может полностью компенсировать издержки на обслуживание займов. При запаздывании отдачи от инвестиционных проектов обслуживание долга производится либо из бюджета и тогда на бюджет города в его расходной части ложится только стоимость обслуживания долга в части обеспечения функционирования займа без капитализации стоимости его обслуживания, - либо путем выпуска дополнительных облигаций как раз на величину выплачиваемого дохода или привлечения на короткий срок кредитов с последующим их замещением на облигационные займы.
Тем не менее, если не инвестиционные расходы не будут превышать 20% от суммы заимствования, а именно такой запас прочности закладывался при расчетах, то в бюджетных выплатах вообще не возникает потребности. Доходы от реализации инвестиционных проектов должны создать источник обслуживания и погашения займа еще на стадии разворачивания системы.
В условиях дефицита инвестиционных ресурсов займы действительно решают проблему инвестиций, а значит, поддерживают динамику развития города, способствуют созданию рабочих мест, обеспечению налоговых поступлений в городскую казну. Создаваемый приток инвестиций радикально меняет социально-экономическую обстановку в городе, дает мощный импульс деловой активности в столице. Население города получает выгоды от улучшения качества жизни и состояния городской среды, более широкого предложения товаров и услуг.
Создается более 50 тысяч дополнительных рабочих мест, и соответственно возрастают доходы горожан, занятых работой в рамках проектов.
Анализ текущего состояния и перспектив развития инвестиционной программы города показывает, что доля заемных средств в инвестиционной программе может составить от 30 до 50% при условиP постепенного наращивания объемов заемных ресурсов в течение 2-3-х лет [57]. Суммарный объем текущих обязательств зависит от условий привлечения средств, но не должен превышать определяемой на каждый период времени доли от доходной части годового бюджета.
Инвестиционно-заемная система предполагает тесную увязку заемной и инвестиционной частей системы, предотвращая появление денег, которые некуда вложить, или проектов, которые нечем финансировать.
Следует отметить, что настоящая работа посвящена как заемной части ИЗС, именуемой в дальнейшем Системой муниципального заимствования (СМЗ), так и инвестиционной части. В работе не рассматриваются вопросы отбора, финансирования, мониторинга, обеспечения возвратности и т.п.*).
Однако результаты, полученные в процессе исследования, позволяют определять стоимостные, временные и валютные показатели, как отдельного инвестиционного проекта, так и инвестиционного портфеля в целом, в зависимости от стоимостных, временных и валютных характеристик займов.
Анализ организационно-методической и нормативно-правовой базы субфедеральных и муниципальных займов.
Как было указано во введении, предметом исследования настоящей диссертации являются финансовые потоки. Именно поэтому автор считает необходимым подвергнуть анализу, прежде всего практику управления финансовыми потоками в организованных инвестиционных и заемных процессах, реализуемых региональными и муниципальными органами управления, а также методы оценки эффективности управления финансовыми потоками.
*) Данная проблема рассмотрена в [57].
Практика региональных заимствований в странах развитой рыночной экономикой заняла прочное место в городских и других региональных хозяйствах*). При этом имеет место, в подавляющем большинстве стран, повторяющаяся последовательность действий, представляющаяся в следующем виде:
а) отбор проектов, претендующих на финансирование за счет регионального бюджета;
б) включение объемов финансирования отобранных проектов в расходную часть регионального бюджета;
в) определение бюджетного дефицита, вызванного расходами на финансирование проектов;
г) осуществление заимствований для покрытия бюджетного дефицита, рассчитанных на длительный срок обслуживания;
д) обслуживание долга, осуществляемое в течение запланированного срока за счет собственных доходов бюджета.
Из этого следует, что региональные власти, по существу не занимались финансовым бизнесом, не инвестируют средства в проекты, а осуществляют:
а) заимствования средств для покрытия бюджетного дефицита;
б) финансирование проектов из бюджета;
в) обслуживание займов за счет собственных доходов бюджета.
Таким образом, множество финансовых пVтоков представляются следующими основными группами:
*)Под региональными заимствованиями автор понимает заимствования, осуществляемые территориальными органами власти и, следовательно, не имеющими возможности обслуживания долга за счет дополнительной денежной эмиссии.
- заемные потоки;
- потоки, связанные с финансированием проектов;
- потоки образующие собственные доходы бюджета;
- потоки, связанные с обслуживанием займов.
Следует отметить, что Бюджетный Кодекс РФ образца 2000 года [8] предусматривает аналогичный порядок формирования и использования бюджетных средств с тем лишь отличием, что в нем предусмотрены бюджетные кредиты юридическим лицам, реализуемые на возмездной и платной основе, в связи, с чем в инвестиционно-заемных процессах фигурируют следующие группы финансовых потоков:
- заемные потоки*);
- инвестиционные потоки;
- возвратные потоки из инвестиционных проектов (сумм инвестиционных кредитов и процентов по ним);
- потоки, связанные с обслуживанием долга;
- потоки, вызванные с покрытием затрат на организацию инвестиционно-заемного процесса.
Примечание: понятия, касающиеся инвестиционно-заемной деятельности, приведенные в [8] и используемые нами помещены в справочном приложении 6.
Указанное отличие, как представляется автору, вызвано следующими обстоятельствами.
*)В соответствии с Бюджетным кодексом РФ под государственным (муниципальным) займом/или заимствованием понимается передача в собственность субъекта РФ или муниципального образования денежных средств, которые субъект РФ или муниципальное образование обязуется возвратить в той же сумме с уплатой процента (платы) на сумму займа (т.е. как облигационные займы, так и кредиты и ссуды).
Органы управления регионами развитых стран имеют возможность поддерживать постоянный или растущий объем государственного долга путем рефинансирования и производить его обслуживание поскольку кредиторы расценивают риски своих вложений как несущественные и, как следствие, денежные средства, привлекаемые региональными органами, характеризуются относительно невысокой стоимостью при значительных сроках кредитования. При этом объемы доходов бюджета таковы, что позволяют безболезненно обслуживать текущий долг за счет бюджетных средств.
В нашей же стране экономическая и политическая ситуация таковы, что кредиторы оценивают риски своих вложений достаточно высоко. Именно поэтому кредитные средств привлекаемые субъектами Федерации и муниципальными образованиями характеризуются большой стоимостью при достаточно коротких сроках кредитования. Кроме того, субъекты Федерации вследствие общей нестабильности постоянно находятся под риском невозможности перекредитования. Поэтому объемы расходов бюджета по обслуживанию и погашению долга образуют тяжелое бремя для бюджета.
Именно поэтому органы управления вынуждены инвестировать заемные денежные средства на платной и возвратной основе с целью полной или частичной компенсации расходов бюджета по обслуживанию долга.
Об оценке финансовых потоков.
Фундаментальными понятиями теории оценки финансовых потоков являются приведенная стоимость и альтернативные издержки. В основе этих понятий лежат сегодняшняя оценка будущих поступлений и состоянии рынка инвестиций с позиций доходности
краткосрочных и долгосрочных вложений. Основным методом, используемым для оценки финансовых потоков подавляющим большинством авторов признается метод расчета критерия чистой приведенной стоимости*):

( 1 )
для одного периода вложений, или для нескольких периодов:

, ( 2 )
где: NPV чистая приведенная стоимость; Со начальный (сегодняшний) поток инвестиций; С1 ожидаемая; С1 доход, планируемый к получению в результате инвестиций Со; r норма доходности или ставка дисконта; 1/1+r дисконтирующий множитель (коэффициент дисконтирования; t количество периодов дисконтирования.
Суть чистой приведенной стоимости состоит в том, что разность между сегодняшней суммой инвестиций и планируемым к получению доходам, дисконтированным по норме доходности альтернативных вложений должна быть неотрицательной. Это означает, что инвестируемые средства Со вложены, не менее выгодно, как если
бы они были вложены в другие рыночные инструменты.
Таким образом, правило чистой приведенной стоимости гласит: инвестиции осуществляются, если они имеют неотрицательную чистую приведенную стоимость.
Данное правило справедливо для тех случаев, когда риски инвестиций в планируемый проект примерно равны рискам альтерна-
*)См. например, [ 5 ].
тивных инвестиций. При этом под альтернативными инвестициями понимаются:
а) альтернативный проект, аналогичный по целевому назначению, различающийся с исходным по срокам и экономическим показателям;
б) вложение в некоторый доходный финансовый рыночный инструмент;
в) среднестатистический рыночный инструмент, представляющий собой условный набор инструментов, характеризующихся аналогичной степенью риска и среднестатистической доходностью.
Примерная структура финансовых инструментов в системе координат риск доходность для индивидуального или группового сравнения представляется в следующем виде (рис.*) 1).
Наряду с чистой приведенной стоимостью в теоретических работах рассматриваются также четыре альтернативных критерия оценки финансовых потоков: окупаемость; средняя прибыль в расчете на балансовую стоимость активов; внутренняя норма доходности; коэффициент рентабельности.
Окупаемость или период окупаемости определяется, в течение которых совокупные прогнозируемые потоки денежных средств покрывают первоначальные инвестиции. Данный метод имеет узко
целевую направленность, поскольку в нем не учитывается порядок возникновения потоков денежных средств в течение периода окупаемости, и совершенно игнорируются последующие потоки денежных средств. Метод имеет смысл только для приближенной оценки
*) Цит. По [ 14 ] стр. 242
проектов. В теоретических исследованиях этот метод именуется не иначе как грубая сверхупрощенная концепция [ 5 ].

, ( 3)
где - среднегодовая норма прибыли (за вычетом амортизации*)); - среднегодовые инвестиции.
Данный метод имеет те же недостатки, что и метод окупаемости, и, кроме того, он учитывает изменение прибыли в среднегодовом исчислении, которое существенно отличается от создаваемых проектом потоков денежных средств.
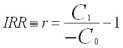
Внутренняя норма доходности определяется как ставка дисконта, при которой чистая приведенная стоимость равнялась бы нулю, т.е.

(4)
откуда

(5)
На практике внутреннюю норму доходности определяют, как правило, методом подбора, исходя из выражения;

(6)
где t продолжительость инвестиционного проекта.
Применение данного метода, как указывается в [5 ] сопряжено с выполнением следующих условий.
- Инвестиции в проект должны направляться, если их внутренняя норма доходности меньше альтернативных издержек.
- При наличии взаимоисключающих проектов, которые
*) Для отечественной практики расчет по формуле ( 3) должен быть скорректирован на величину амортизации, которая по методологии США включается в сумму прибыли.
различаются по своей продолжительности и/или по объемам требуемых инвестиций, рассмотрению подлежит внутренняя доходность каждой дополнительной инвестиции.
Коэффициент рентабельности или коэффициент выгоды-издержки (Кр) представляет собой отношение приведенной стоимости (PV) к первоначальным инвестициям (-Со), т.е.

(7)
причем критериальная постановка этого метода состоит в том, что при оценке проектов принимаются те, у которых Кр 1. Это равнозначно утверждению о неотрицательности чистой приведенной стоимости. Недостатком этого метода состоит в том, что он не обладает свойством слагаемости, как в случае с чистыми приведенными стоимостями.
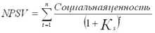
Инвестиционно-заемная система по своей сути является сложной социально-экономической системой. В этой связи и оценки денежных потоков, свойственные бизнес-инвестициям должны быть приспособлены для анализа социального характера этой системы. В теории финансового менеджмента данному вопросу уделяется определенное внимание, а именно в том ее отделе, который посвящен финансовому менеджменту в некоммерческих организациях.
Так Ю.Бригхем и Л.Гапенски в [ 6 ] отмечают, что если в дополнение к чисто экономическому эффекту, оцениваемому с помощью показателя приведенной стоимости, некоторые проекты приносят социальный эффект, то социальная их ценность должна рассматриваться наряду с финансовой ценностью, т.е.

; (8)

, (9)
где:
NPV стандартный NPV денежного потока по проекту; NPSV (Net Present Social Value) чистый приведенный социальный эффект; t номер года, в котором достигается социальная ценность проекта; Кs ставка дисконта социальной ценности в денежном выражении.
При этом авторы [6] отмечают, что при TNPV 0 проект считается приемлемым, однако следует иметь в виду, что инвестиционный портфель должен сопровождаться оценкой NPV0, а в противном случае социально-ориентированные проекты вытеснили бы со временем финансово-доходные проекты (что вполне естественно), но система в этом случае потеряла бы свою финансовую устойчивость и вынуждена была бы рассчитывать на внешнюю (государст
МЕТОДИЧЕСКОЕ ОБЕСПЕЧЕНИЕ ФИНАНСОВО-ЭКОНОМИЧЕСКОЙ МОДЕЛИ ИНВЕСТИЦИОННО-ЗАЕМНОГО ПРОЦЕССА
Рассмотренная в разделе 1.3 общая финансово-экономическая модель системы муниципальных займов предполагает наличие достаточно строгого методического обеспечения, дающего возможность количественно оценить финансовые потоки и результаты финансовых операций в системе, с последующим отражением в городском бюджете и в официальной отчетности. Методическое обеспечение системы формируется по мере появления задач, требующих своего решения (см., например, приложение 2, где приведены разработки автора в обеспечение частных задач и алгоритмов функционирования системы), однако данная глава посвящена описанию методик, являющихся базовыми. К таковым, по мнению автора относятся:
а) методика определения и расчета основных параметров займов;
б) методика расчета сумм обслуживания городского долга;
в) методика ценообразования на долговые обязательства.
Методика определения и расчета основных параметров займов и критерия текущей окупаемости инвестиционно-заемного процесса.
Методика расчета параметров займа предназначена для осуществления планово-прогнозных расчетов графиков набора заемных средств и формирования финансовых фондов займов.
Основными задачами методики являются:
а) количественное определение величин, характеризующих заемный процесс и процесс формирования финансовых фондов займа;
б) обеспечение контроля фактического состояния инвестиционно-заёмного процесса по сравнению с планово-рогнозируемыми характеристиками процессов набора и инвестирования средств;
в) расчет планово-прогнозируемых значений показателей для анализа динамики и эффективности инвестиционно-заёмного процесса.
Расчет параметров займа состоит из трех этапов:
- определение задаваемых показателей;
- расчет вычисляемых показателей.
- расчет средневзвешенных величин.
Данная методика была использована при разработке методического обеспечения заемно-инвестиционной системы [114].
-
-
Определение задаваемых показателей.
Из всей системы показателей инвестиционных проектов для расчета параметров займа необходимо выделить показатели, задающие потребные и возвращаемые потоки. Данные показатели задаются таблично в зависимости от времени и имеют вид графиков.
2.1.1.1. График средств, которые необходимо направить в инвестиции определяет:
- дату начала этапа финансирования инвестиционного проекта - НЭ.
- сумму этапа СУМЭ (Далее эта величина обозначена как ГР).
2.1.1.2. График возвратов из инвестиций задает:
- дату возврата тела кредита - ДВТ.
- сумму возвращаемого тела кредита - КР.
2.1.1.3. График возвратов прибыли, полученной из инвестиционных проектов.
- Дата возврата прибыли инвестиционного проекта ДВП.
- Сумма возвращаемой прибыли - ПР.
-
-
-
- График распределения во времени аукционов устанавливает зависимость времени проведения аукционов внешнего (ТАВЗ), сберегательного (ТАСЗ) и облигационного (ТА) займов от текущей даты ДатаТек.
2.1.1.5.Графики движения денежных средств в резервном фонде и фонде операционно-технологических расходов.
-
-
- Расчет вычисляемых показателей.
-
-
-
- По облигациям сберегательного займа.
2.1.2.1.1. Размещенная эмиссия сберегательного займа
ЭРСЗ = ЭОСЗ * КСЗ, ( 10 )
где ЭОСЗ - объем выпуска ценных бумаг, предлагаемых к размещению на текущем аукционе по номиналу, КСЗ - коэффициент размещения.
2.1.2.1.2. Выручка аукциона
ВСЗ = ЭРСЗ * ЦСЗ, ( 11 )
где ЦСЗ - цена (стоимость ценных бумаг по отношению к номиналу).
2.1.2.1.3. Текущее погашение ПСЗ и текущая выплата купона ПКСЗ
ПСЗ = ЭРСЗ*, ( 12 )
где ЭРСЗ*- объем выпуска ценных бумаг, размещенных на аукционе ТЖСЗ дней назад (ТЖСЗ - количество дней от момента размещения ценной бумаги до момента ее погашения).
ПКСЗ = (ЭРСЗ* х СКСЗ / 36400) х (ДВКСЗ - ДВКСЗ*), (13 )
где СКСЗ - ставка купона, (ДВКСЗ - ДВКСЗ*) - количество дней между двумя ближайшими выплатами купонов (для первого купона дата выплаты предыдущего купона ДВКСЗ* принимается равной дате размещения бумаги ТАСЗ).
2.1.2.1.4. Выручка чистая
ЧВСЗ = ВСЗ - ПСЗ (14 )
2.1.2.1.5. Текущий объем используемых средств
ОСЗ = Сумма (ЧВСЗ), (15 )
где Сумма - арифметическая сумма по всем проведенным аукционам.
2.1.2.1.6. Текущая сумма долга ДСЗ
ДСЗ = ((ЭРСЗ - ВСЗ) / ТЖСЗ) х (ДатаТек - ТАСЗ) + ВСЗ - ПСЗ - ПКСЗ, (16 )
где ДатаТек - текущая дата, а (ДатаТек - ТАСЗ) - количество дней от момента размещения бумаги до даты проведения расчета.
-
-
-
- По облигациям внешнего займа.
2.1.2.2.1. Размещенная эмиссия внешнего займа
ЭРВЗ = ЭОВЗ * КВЗ, ( 17)
где ЭОВЗ - объем выпуска ценных бумаг, предлагаемых к размещению на текущем аукционе по номиналу, КВЗ - коэффициент размещения.
2.1.2.2.2. Выручка аукциона
ВВЗ = ЭРВЗ * ЦВЗ, ( 18)
где ЦВЗ - цена (стоимость ценных бумаг по отношению к номиналу).
2.1.2.2.3. Текущее погашение ПВЗ и текущая выплата купона ПКВЗ
ПВЗ = ЭРВЗ*, (19)
где ЭРВЗ*- объем выпуска ценных бумаг, размещенных на аукционе ТЖВЗ дней назад (ТЖВЗ - количество дней от момента размещения ценной бумаги до момента ее погашения).
ПКВЗ = (ЭРВЗ* х СКВЗ / 36400) х (ДВКВЗ - ДВКВЗ*), (20)
где СКВЗ - ставка купона, (ДВКВЗ - ДВКВЗ*) - количество дней между двумя ближайшими выплатами купонов (для первого купона дата выплаты предыдущего купона ДВКВЗ* принимается равной дате размещения бумаги ТАВЗ).
2.1.2.2.4. Выручка чистая
ЧВВЗ = ВВЗ - ПВЗ ( 21)
2.1.2.2.5. Текущий объем используемых средств
ОВЗ = Сумма (ЧВВЗ), (22)
где Сумма - арифметическая сумма по всем проведенным аукционам.
2.1.2.2.6. Текущая сумма долга ДВЗ
ДВЗ = ((ЭРВЗ - ВВЗ) / ТЖВЗ) х (ДатаТек - ТАВЗ) + ВВЗ - ПВЗ - ПКВЗ, (23 )
где ДатаТек - текущая дата, а (ДатаТек - ТАВЗ) - количество дней от момента размещения бумаги до даты проведения расчета.
2.1.2.3. По облигациям внутреннего облигационного займа.
2.1.2.3.1. Текущее погашение
П = Сумма(ЭР*), (24)
где ЭР*- объем выпуска ценных бумаг, размещенных на прошедших аукционах, который необходимо погасить в текущий момент времени.
2.1.2.3.2. Пропорциональное уменьшение текущего значения резервного фонда (РФ) при возврате тела кредита КР.
Введем вспомогательную переменную ВРФ.
2.1.2.3.3. Необходима проверка: будет ли величина, на которую уменьшается резервный фонд превышать текущий остаток резервного фонда РФ:
(КР / (100 - %РФ)) х 100 - КР = РФ, ( 25)
где %РФ - задаваемый для модельной части расчетов процент отчисления в резервный фонд.
Если неравенство ( 16) верно, то возврат из резервного фонда равен:
ВРФ = (КР / (100 - %РФ)) * 100 - КР, (26)
в противном случае возвращается весь остаток резервного фонда
ВРФ = РФ (27 )
Соответственно, на величину ВРФ уменьшается текущее значение резервного фонда:
РФ = РФ - ВРФ (28)
и увеличивается остаток денежных средств:
Остаток = Остаток + ВРФ, ( 29 )
где Остаток - денежные средства, неиспользованные после предыдущего аукциона.
2.1.2.3.4. Вычисление прибыли РФ на текущую дату:
ПРБРФ = Сумма (ПрибРФ), (30)
где ПрибРФ - прибыль, полученная на текущую дату от одного отдельно взятого источника.
2.1.2.3.5. Из исходных графиков (п. 2.1.5) определяется необходимость наполнения резервного фонда и фонда организационно-технологических расходов.
При необходимости наполнения фондов поток потребных средств увеличивается на процент отчисления в фонды (ПФ):
ГР* = (ГР / (100 - ПФ)) х 100 (31)
Разница ГР* - ГР будет определять ту сумму, которую необходимо направить в фонды:
ВРФ = ГР* - ГР. (32)
2.1.2.3.6. Определяется необходимость в наборе средств путем установления истинности неравенства:
ГР* + П = Остаток + КР + ПР + ЧВСЗ + ЧВВЗ, (33)
где Остаток - денежные средства, неиспользованные после предыдущего аукциона.
Если данное неравенство истинно - есть необходимость в наборе средств, тогда:
В = ГР* + П - (Остаток + КР + ПР + ЧВСЗ + ЧВВЗ), (34)
где В - выручка аукциона.
ЧВ = ГР* - КР - ПР - ЧВВЗ - ЧВСЗ - Остаток, ( 35)
где ЧВ - чистая выручка, полученная на аукционе, при этом:
Остаток = 0 (36)
Если неравенство (33) неверно, необходимости в наборе средств нет, тогда:
В = 0, ( 37 )
ЧВ = -П ( 38 )
Остаток = Остаток + КР + ПР + ЧВСЗ + ЧВВЗ - ГР* - П (39)
2.1.2.3.7. Размещенная эмиссия внутреннего облигационного займа
ЭР=В/Ц, ( 40 )
где Ц - цена.
2.1.2.3.8. Эмиссия объявленная
ЭО=ЭР/К, ( 41 )
где К - коэффициент размещения.
2.1.2.3.9. Текущий объем используемых средств
О = Сумма(ЧВ) + ПР ( 42 )
2.1.2.3.10. Текущая сумма долга:
Д=Д+ЧВ+ Долг, ( 43 )
где Д - сумма долга на предыдущем шаге, Долг - приращение долга (сумма приращений долгов по всем находящимся в обращении на текущую дату бумагам).
2.1.2.3.11. Проверить необходимость пополнения резервного фонда прибылью РФ и возможность его переполнения:
РФ+ПРБРФ=ПРЕД, ( 44 )
где ПРЕД - максимально возможный остаток средств в резервном фонде. Если неравенство, верно, то прибыль, полученная от размещения остатка денежных средств резервного фонда в финансовых инструментах направляется в резервный фонд, а затем снова в финансовые вложения:
ПВРФ=ПРБРФ, ( 45 )
где ПВРФ - сумма, поступлений в РФ,
при этом
Остаток = 0 (46 )
2.1.2.3.12. Если неравенство (44) неверно, т.е. возможно переполнение резервного фонда, то часть полученной прибыли дополняет текущее значение резервного фонда до предела и направляется в финансовые инструменты, а оставшаяся часть денежных средств увеличивает свободный остаток денежных средств:
ПВРФ = ПРЕД - РФ ( 47 )
Остаток = ПРБРФ - (ПРЕД - РФ) ( 48 )
или полностью переходит в свободный остаток денежных средств:
ПВРФ = 0 ( 49 )
Остаток = ПРБРФ ( 50 )
2.1.2.3.13. Наполнение резервного фонда средствами, полученными на аукционе:
Если ВРФ больше нуля текущее значение резервного фонда не превышает максимально допустимого остатка (т.е. РФ = ПРЕД), то
ПВРФ = ПВРФ + ВРФ, ( 51 )
при этом средства, поступившие в резервный фонд (ВРФ), могут быть направлены во вложения в финансовые инструменты.
Если ВРФ больше нуля и текущий остаток средств резервного фонда достиг возможного предела, то:
ПВРФ = 0 ( 52 )
2.1.2.3.14. Корректируется текущее значение резервного фонда:
РФ = РФ - ИРФ + ПВРФ ( 53 )
Исходя из установленных базовых зависимостей, инвестиционно-заемный процесс может быть реализован в рамках двух основных концепций. Первая концепция состоит в примате бюджетного инвестиционного задания, исходящего от высшего уровня управления системой Инвестиционного Совета. В этом случае займы осуществляются под портфель инвестиционных заказов. Возможна и вторая концепция, состоящая в том, что займы осуществляются без предварительной ориентации на портфель инвестиционных проектов, а с ориентацией лишь на возможности размещения займов. В этом случае заемные средств как бы ожидают появления готовых проектов и попадают в категорию временно свободных средств. Преимущественная роль принадлежит первой концепции, являющейся основной. Однако, как можно видеть из представленного в данном разделе алгоритме методика расчета параметров займов полностью соответствует механизму функционирования финансовых фондов займов, наполнение которых осуществляется в соответствии с нижеследующей схемой ( 9).
Потоки, представляющие собой систему измерителей результатов функционирования текущего контура ИЗС представляются в следующем виде:
- текущий объем используемых средств;
- объемы возвратов из инвестиционных проектов;
- объем выручки;
- объем текущих погашений муниципального долга;
- текущий объем привлеченных средств;
- объем средств, направляемых на инвестиции.
Источники наполнения Направления Финансовые фонды резервно-операния средств расходования займов (ФФЗ)
Взаимосвязь структуры текущих объемов используемых средств с финансовыми фондами займов в системе муниципальных займов.
Взаимосвязь перечисляемых показателей результатов текущей деятельности ИЗС между собой имеет интегральный характер, при этом нетрудно убедиться в том, что каждый последующий измеритель является подмножеством предыдущего измерителя, а также в том, что прослеживается четкая институциональная связь ряда показателей результатов текущей деятельности ИЗС с финансовыми фондами займов.
Система измерителей затрат на получение результатов деятельности в рамках текущего контура представляется следующим перечнем:
- текущие затраты на погашение долга и обслуживание займов;
- текущие технологические расходы;
- текущие резервные средства;
- средства, направляемые на инвестиции;
- совокупные текущие издержки, представляющие собой сумму предыдущих текущих затрат.
Примечание. Сравнивая две системы показателей результатов функционирования ИЗС и затрат на их достижение, можно отметить дублирование отдельных показателей. Так, например, текущие затраты на погашение долга и обслуживание займа, объем инвестиций входят одновременно в обе группы измерителей.
Данное обстоятельство не является методической ошибкой, и объясняется спецификой инвестиционно-заемной системы, в рамках которой функционируют две относительно-самостоятельные ветви: заемная и инвестиционная. Таким образом, например, объем инвестиций, являясь результатов функционирования заемной ветви ИЗС, одновременно выступает и как затраты в ее инвестиционной ветви.
Аналогично-обратная ситуация складывается с текущим объемом средств погашения долга и обслуживание займа: в инвестиционной ветви это результат (в части возвратов от инвестиций), а в заемной затраты, употребляемые на расчеты с инвесторами.
В соответствии с Концепцией Инвестиционно-заемной системы [ 42 ] последовательность наполнения финансовых фондов займов такова:
а) поступление всех денежных средств в Резервно-операционный фонд;
б) возмещение (при необходимости) до нормативной величины Резервного фонда;
в) отчисление средств на текущие технологические расходы;
г) отчисление средств в Фонд обслуживания и погашения займов;
д) наполнение Инвестиционного фонда для финансирования проектов.
На практике данная последовательность определяется графиками необходимых платежей с таким расчетом, чтобы избежать возможных кассовых разрывов. Поэтому в реальности наполнение финансовых фондов займов может осуществляться и одновременно и частично в зависимости от их текущего состояния. Примерная схема-макет наполнения фондов показана в таблице 9.
Для принятия текущих решений по управлению финансовыми потоками необходим единственный критерий, наиболее комплексно отражающий состояние системы. Для вывода критерия рассмотрим взаимосвязь финансовых потоков в системе.
Предположим, что на некоторый момент времени t инвестиционно-заемный процесс характеризуется следующими исходными данными о финансовых потоках (фактических и планируемых):
а) поступающих средств от займов - Z+;
б) выплачиваемых средств (погашение долга, возврат долга) - Z-;
в) возвраты от проектоустроителей - I+;
г) инвестируемые средства - I-.
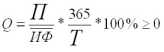
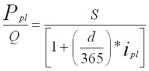
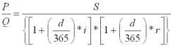
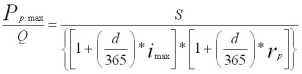
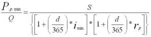
В теоретическом смысле под текущей окупаемостью инвестиционно-заемного процесса мы понимаем такое состояние этого процесса, при котором для любого наперед заданного момента времени сумма выходных финансовых потоков не превышает сумму входных потоков.
Под текущей окупаемостью (Q) инвестиционно-заемного процесса понимается отношение всех ожидаемых доходов (включая и планируемые привлеченные средства) к суммарным затратам на обслуживание и погашение долга (с учетом обслуживания планируемых привлеченных средств). При этом должно соблюдаться условие:

, (54)
представляющее собой общий вид критерия (Q) текущей окупаемости.
В практической работе применение критерия в указанном виде затруднено, поскольку он не отражает влияние фактора времени получения и расходования средств. Для учета этого фактора необходимо перейти к критерию текущей окупаемости, выраженному в годовых процентах. Для этого представим формулу (54) в более детализированном виде, выделив в показателях Z и I основной долг и проценты, т.е.:

(55)
где - сумма привлеченных средств (основного долга по займам); - сумма возвращенного основного дола из инвестиций; - сумма возвращенных процентов из инвестиций; - сумма погашения основного долга по займам; - сумма погашения процентов по займам; - сумма предоставленных инвестиционных кредитов.
Откуда имеем:

(56)
и тогда

, (57)
и окончательно с приведением к годовой базе:

, (58)
где

- прибыль в системе на дату последнего возврата основного долга по инвестиционному кредиту;

- средневзвешенный объем предоставленных инвестиционных кредитов.
Примечание: Переход от абсолютных объемов, предоставленных инвестиционных кредитов к средневзвешенным (по времени) показателям необходим для учета распределенного во времени процесса выдачи инвестиционных кредитов.
Полученный критерий является базовым для текущего управления состоянием системы.
Следует отметить, что предлагаемый критерий (57) является авторской модификацией чистой приведенной стоимости, описание которой сделано нами в первой главе.
Сравнительный анализ предлагаемого метода оценки потоков с методом чистой приведенной стоимости позволяет говорить о сходимости результатов, которая обеспечивается фундаментальным правилом для такого рода методических инструментов, а именно: оценка финансовых потоков, распределенных во времени и различных по объемам должна осуществляться на основе эквивалентов приведенных к одному и тому же моменту времени.
Основным отличием предлагаемого в настоящей диссертации метода от метода чистой приведенной стоимости является то, что в нашем методе дисконтирование потоков осуществляется ко времени окончания последнего (в обозримом будущем) проекта, а при использовании метода чистой приведенной стоимости дисконтирования потоков осуществляется к моменту начала инвестирования.
Сравнивая метод чистой приведенной стоимости и предлагаемый автором подход можно сделать следующий вывод о том, что при кажущейся алгебраической адекватности эти два метода в своей основе имеют принципиально разное экономическое содержание.
Действительно: суть NPV метода состоит в том, что доходность планируемого к реализации проекта должна быть не меньше, чем доходность альтернативных равнорисковых вложений средств, тогда как суть предлагаемого метода заключается в том, что сумма входящих и выходящих потоков в системе должна иметь положительное сальдо. Сказанное говорит о совершенно различных изначальных концептуальных постановках задач формирования критерия окупаемости.
Т.к. Москва является эмитентом своих бумаг, то доходность по ним фактически является для рынка ставкой альтернативных издержек, т.е. для Москвы ставка альтернативных издержек это ставка по ее же бумагам.
Поэтому доходность по проектам обеспечивающая положительное сальдо фактически является внутренней нормой доходности (IRR), а по технологии расчета MIRR модифицированной формой IRR. Чистая привлеченная стоимость (NVP) предполагает определение лучшего вложения относительно рынка. IRR, MIRR и наш коэффициент, исходя из целей ИЗС, определяет доходность достаточную для покрытия издержек
Полученный критерий является базовым для текущего управления состоянием системы.
Критерий окупаемости функционирования системы муниципальных займов, отражающий внутреннее состояние системы, целесообразно сопровождать расчетом показателей, характеризующих выгодность системы для кредитополучателей.
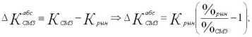
В качестве таких показателей можно предложить показатель кредитного эквивалента и показатель льготного кредитования.
Показатель кредитного эквивалента формируется, исходя из условия, что процентные платежи по кредиту, предоставляемому кредитополучателем в системе муниципальных займов, приравнены к доходу по кредиту, меньшему по размеру, но взятому кредитополучателем на коммерческих условиях. Тогда разность (абсолютная или относительная) между суммой кредита в СМЗ и кредита на рынке, доход по которым будет равновелик, укажет на ту часть, которая предоставляется кредитополучателю в СМЗ как бы безвозмездно, т.е. если

( 59 )

( 60 )

( 61 )
то

; ( 62 )

,
откуда
а)

( 63 )
б)

( 64 )

, ( 65 )
где ППСМЗ процентные платежи, получаемые СМЗ от кредитополучателя; - плата за кредит, взятого на рыночных условиях; КСМЗ кредит, получаемый в СМЗ; Крын кредит, получаемый на рыночных условиях; % и %рын соответственно проценты за кредит, получаемые в СМЗ и на рынке;

- относительная разность кредитов взятых в СМЗ и на рынке.
Показатель льготного кредитования может быть рекомендован для сопоставления условий предоставления кредитов в системе муниципальных займов и на рынке кредитов. Он показывает, какую часть платежей в счет погашения долга недополучает кредитор (СМЗ) ежегодно в результате предоставления кредита на более льготных условиях. Показатель льготного кредитования определяется по формуле:

, (66 )
где: КЛК показатель льготного кредитования; - фактические платежи в счет погашения долга в i-ом году; КСМЗ объем предоставляемого в СМЗ кредита; %рын процентная ставка (средняя или конкретного банка) на рынке кредитов.
-
- Методика расчета сумм обслуживания финансовых обязательств, как источника инвестиционной программы.
Данная методика предназначена для расчета сумм обслуживания долга по финансированию городской инвестиционной программы средствами Финансовых фондов городских облигационных займов.
Данная методика разделена на две части:
1 часть. Расчет планируемой суммы обслуживания долга по финансированию городской инвестиционной программы средствами Финансовых фондов городских облигационных займов за год. Расчет производится на основании планируемых объемов городской инвестиционной программы и плановых объемных и стоимостных показателей заимствований с учетом планируемого роста курса доллара США.
2 часть. Расчет суммы обслуживания долга по финансированию городской инвестиционной программы средствами Финансовых фондов городских облигационных займов, на основании фактически произведенных заимствований с учетом планируемого роста курса доллара США и объемов финансирования городской инвестиционной программы.
Кроме того, в приложении 3 представлен пример расчетов сумм обслуживания долга по финансированию городской инвестиционной программы в соответствии с данной методикой.
Периодичность проведения расчетов по фактическому исполнению сметы доходов и расходов Финансовых фондов городских облигационных займов - ежеквартально по предоставлению отчетов от Комитета муниципальных займов и развития фондового рынка о фактических показателях, применяемых для расчета. При проведении расчетов плановые суммы перечисления средств из бюджета корректируются в соответствии с фактическими показателями и с учетом коррекции сметы.
Часть I.
1. Плановый годовой объем сумм обслуживания долга по финансированию городской инвестиционной программы определяется как объем планового стоимостного прироста пассивов, в доле соответствующей среднегодовому объему городской инвестиционной программы и планового объема накладных расходов по привлечению средств в аналогичной доле. Плановый объем учитывается в составе статей расходов бюджета на соответствующий год и рассчитывается по формуле:

(67)
где: Vпл.обсл.ИП плановый годовой объем обслуживания долга;
2. - плановый средневзвешенный объем инвестиционной программы.
Представляет собой среднегодовой объем средств, направляемых в городскую инвестиционную программу. Вычисляется по формуле:

, (68)
где:
Vфi i-ый объем средств, направляемых на финансирование городской инвестиционной программы;
tфi кол-во дней от даты выдачи i-гo объема средств на финансирование городской инвестиционной программы до конца года;
Vпог.пл.n планируемый n-ый объем средств погашения основного долга по городской инвестиционной программе;
tпог.n кол-во дней от планируемой даты погашения основного долга до конца года;
Тгода кол-во дней в году.
2.1.VИП пред. - объем городской инвестиционной программы в предыдущем году. Вычисляется по формуле:

(69)
где:
Vф.пред.j j-ый объем средств, направленных на финансирование городской инвестиционной программы за предыдущие периоды на начало текущего года;
Vпог.осн.k k-ый объем погашения основного долга по городской инвестиционной программе за предыдущие периоды на начало текущего года.
3. - плановый средневзвешенный объем пассивов.
Методы базового ценообразования при размещении субфедеральных и муниципальных займов РФ.
Вычисляется по формуле:

, (70)
где
Vэр..k объем k-го заимствования по номиналу*);
Tзk - кол-во дней от даты заимствования до конца года;
Vпог.i - объем погашения основного долга по i-му заимствованию**);
Tпог.i - кол-во дней от даты погашения до конца года;
*)Под заимствованием понимаются как облигационные займы, так и кредиты. (Для кредитов под номиналом понимается сумма предоставленного кредита). При этом для валютных займов Vэрk пересчитывается в рубли по курсу данной валюты на дату проведения займов.
**)Для валютных займов Vпог.i пересчитывается в рубли по курсу данной валюты на дату проведения этого займа.
Vосн. - объем основного долга на начало года;
Тгода кол-во дней в году.
4. Vпл.ст. пр. - плановый стоимостной прирост пассивов.
Стоимостной прирост пассивов представляет собой прирост долга города за счет начисляемых процентов по купонным облигациям (кредитам) и разницы между ценой размещения и номиналом у облигаций с нулевым купоном. Вычисляется по формуле:

(71)
где:
4.1.Vпр.пред. объем стоимостного прироста пассивов по ранее произведенным и не погашенным заимствованиям. Вычисляется по формуле:

(72)
где:
Vэр.пред.i - объем размещенной эмиссии по номиналу i-го займа предыдущих периодов не погашенного на начало текущего года;
Vвыр.пред.i - объем выручки i-го займа предыдущих периодов не погашенного на начало текущего года;
Тпред.i - срок обращения i-го займа предыдущих периодов не погашенного на начало текущего года;
Тпред.рi кол-во дней от начала года до даты погашения i-го займа предыдущих периодов не погашенного на начало текущего года для займов, погашаемых в текущем году или кол-во дней в текущем году для займов, не погашаемых в текущем году;
КДпред.i - i-ый купонный доход займа предыдущих периодов не погашенный на начало текущего года (или сумма процентов по кредитам предыдущих периодов, не погашенных на начало текущего года);
ТКдпред.i - период начисления i-го купонного дохода займа предыдущих периодов не погашенного на начало текущего года (или срок кредита предыдущих периодов не погашенного на начало текущего года);
ТНКДпред.i- кол-во дней с начала года до даты выплаты i-го купонного дохода для займа предыдущих периодов не погашенного на начало текущего года, погашаемого в текущем году или кол-во дней в текущем году для займа предыдущих периодов не погашенного на начало текущего года и не погашаемого в текущем году (кол-во дней с начала года до даты выплаты i-ых процентов по кредиту для кредитов предыдущих периодов, не погашенных на начало текущего года, погашаемого в текущем году или кол-во дней в текущем году для кредитов предыдущих периодов не погашенных на начало текущего года и не погашаемых в текущем году).
4.2. Vпр.тек. стоимостной прирост пассивов по заимствованиям текущего года. Вычисляется по формуле:

(73)
где:
Vэр.тек.j - объем размещенной эмиссии по номиналу j-го займа текущего года;
Vвыр.тек.j - объем выручки j-го займа текущего года;
Т.тек. j - срок обращения j-го займа текущего года;
Ттек. р.j кол-во дней от даты размещения до даты погашения j-го займа (кредита) текущего года для займов погашаемых в текущем году или кол-во дней от даты размещения j-го займа (кредита) текущего года до конца года для займов не погашаемых в текущем году;
КДтек.j - сумма j-ого купонного дохода начисляемого в текущем году (или сумма процентов по кредитам текущего года);
ТКдтек.j - период начисления j-го купонного дохода (процентов по кредитам);
ТНКДтек.j- - период начисления j-го купонного дохода от начала процентного периода до даты его выплаты для купонов выплачиваемых в текущем году или кол-во дней от начала процентного периода j-го купонного дохода до конца года для купонов выплачиваемых в последующих годах (период начисления процентов по кредитам от начала процентного периода до даты их выплаты для кредитов, погашаемых в текущем году или кол-во дней от начала процентного периода до конца года для кредитов погашаемых в последующих годах)*).
*) Началом процентного периода считать: а) дату начала текущего года для не погашенных купонов (кредитов), проценты по которым на начало года уже начислялись; б) дату начала начисления процентов по купонам (кредитам), проценты по которым на начало года еще не начислялись.
4.3. Для займов номинированных в иностранной валюте объем размещенной эмиссии вычисляется по формуле:

, где (74)

, где (75)
Vэр.вал. объем размещенной эмиссии по номиналу в иностранной валюте;
КДвал. величина купонного дохода (или процентов по кредиту) по займам, номинированным в иностранной валюте;
Кср.год планируемый среднегодовой курс, вычисляется по формуле:

, где (76)
Кнач. курс на начало года;
Тренд темп роста курса валюты, относительно рубля, выраженный в годовых процентах;
Тпог. кол-во дней от начала года до даты погашения.
4.4.Vпл.об.н.р. плановый объем накладных расходов по привлечению средств в текущем году.
Представляет собой сумму расходов по привлечению займов в соответствии с нормативами расходов, предельный размер которых утверждается Правительством Москвы.
5. Средневзвешенная стоимость заимствования средств Комитетом муниципальных займов и развития фондового рынка без учета издережек на проведение займов вычисляется по формуле:

, % годовых (77)
5.1. . Средневзвешенная стоимость заимствования средств Комитетом муниципальных займов и развития фондового рынка с учетом издережек на проведение займов вычисляется по формуле:

, % годовых (78).
1. Объем сумм обслуживания долга по финансированию городской инвестиционной программы в n-ом квартале определяется как объем фактического стоимостного прироста пассивов в этом квартале, в доле соответствующей среднеквартальному объему городской инвестиционной программы и фактического объема накладных расходов по привлечению средств в аналогичной доле. Вычисляется по формуле:

(79)
где: Vфакт..обсл.ИП.n фактический объем обслуживания долга в n-ом квартале;
2. - средневзвешенный объем инвестиционной программы в n-ом квартале. Вычисляется по формуле:

, (80)
где:
Vфin i-ый объем средств , направляемых на финансирование городской инвестиционной программы в n-ом квартале;
tфin кол-во дней от даты выдачи i-гo объема средств на финансирование городской инвестиционной программы в n-ом квартале до конца квартала;
Vпог.kn k-ый объем средств погашения основного долга по городской инвестиционной программе в n-ом квартале;
tпог.kn кол-во дней от даты погашения основного долга по городской инвестиционное программе в n-ом квартале до конца квартала;
Ткв. кол-во дней в квартале.
2.1.VИП пред. - объем городской инвестиционной программы в предыдущем году. Вычисляется по формуле:

(81)
где:
Vф.пред.j j-ый объем средств, направленных на финансирование городской инвестиционной программы за предыдущие периоды на начало текущего года;
Vпог.осн.k k-ый объем погашения основного долга по городской инвестиционной программе за предыдущие периоды на начало текущего года.
2.2. VИП.n-1 объем финансирования городской инвестиционной программы в предыдущем квартале. Вычисляется по формуле:

(82)
где:
Vф.n-1 j j-ый объем средств, направленных на финансирование городской инвестиционной программы в n-1-ом квартале;
Vпог.осн.n-1k k-ый объем погашения основного долга по городской инвестиционной программе в n-1-ом квартале.
VИП.n-1 в первом квартале равен нулю.
3. - средневзвешенный объем пассивов в n-ом квартале. Вычисляется по формуле:

, (83)
где
Vэр. n.k объем k-го заимствования по номиналу в n-ом квартале*);
Tз n k - кол-во дней от даты заимствования до конца квартала в n-ом квартале;
*)Под заимствованием понимаются как облигационные займы, так и кредиты. (Для кредитов под номиналом понимается сумма предоставленного кредита). При этом для валютных займов Vэр.n.k пересчитывается в рубли по курсу данной валюты на дату проведения займов.
Vпог.n i - объем погашения основного долга по i-му заимствованию в n-ом квартале*);
Tпог n.i - кол-во дней от даты погашения до конца квартала;
Ткв. кол-во дней в квартале;
3.1. Vпасс.n-1 объем пассивов в предыдущем квартале вычисляется по формуле:

(84)
где:
Vпасс.пред.кв. объем пассивов предыдущего для n-1-го квартала;
Vвыр.n-1 m объем m-ой выручки в n-1-ом квартале;
Vпог.n-1 q объем q-го погашения в n-1-ом квартале.
В первом квартале Vпасс.n-1 равен нулю.
4. Vфакт..ст. пр.n - фактический стоимостной прирост пассивов в n-ом квартале.
Стоимостной прирост пассивов представляет собой прирост долга города за счет начисляемых процентов по купонным облигациям (кредитам) и разницы между ценой размещения и номиналом у облигаций с нулевым купоном. Вычисляется по формуле:

(85)
где:
4.1.Vпр.n-1 объем стоимостного прироста пассивов в предыдущем квартале.
Vпр.n-1 в первом квартале равен нулю.
*)Для валютных займов Vпог.n.i пересчитывается в рубли по курсу данной валюты на дату проведения этого займа.
4.2. Vпр.n стоимостной прирост пассивов по заимствованиям в n-ом квартале. Вычисляется по формуле:

(86)
где:
Vэр.n j - объем размещенной эмиссии по номиналу j-го займа произведенного в n-ом квартале;
Vвыр.n j - объем выручки j-го займа произведенного в n-ом квартале;
Т.n j - срок обращения j-го займа произведенного в n-ом квартале;
Тn р.j кол-во дней от даты размещения до даты погашения j-го займа (кредита) произведенного в n-ом квартале для займов погашаемых в этом квартале или кол-во дней от даты размещения j-го займа (кредита) произведенного в n-ом квартале до конца квартала для займов не погашаемых в этом квартале;
КД n j сумма j-ого купонного дохода начисляемого в n-ом квартале (или сумма процентов по кредитам в n-ом квартале);
ТКд n j - период начисления j-го купонного дохода (процентов по кредитам);
ТНКД n j- период начисления j-го купонного дохода от начала процентного периода до даты его выплаты для купонов выплачиваемых в n-ом квартале или кол-во дней от начала процентного периода j-го купонного дохода до конца года для купонов выплачиваемых в последующих кварталах (период начисления процентов по кредитам от начала процентного периода до даты их выплаты для кредитов, погашаемых в n-ом квартале или кол-во дней от начала процентного периода до конца квартала для кредитов погашаемых в
последующих кварталах)*).
4.3. Для займов номинированных в иностранной валюте объем размещенной эмиссии вычисляется по формуле:

, где (87)

, где (88)
Vэр.вал. объем размещенной эмиссии по номиналу в иностранной валюте;
КДвал. величина купонного дохода (или процентов по кредиту) по займам, номинированным в иностранной валюте;
Ккон.кв. фактический курс на конец квартала.
4.4.Vфакт..об.н.р.n фактический объем накладных расходов по привлечению средств в n-ом квартале.
Представляет собой сумму расходов по привлечению займов в соответствии с нормативами расходов, предельный размер которых утверждается Правительством Москвы.
*) Началом процентного периода считать: а) дату начала квартала для не погашенных купонов (кредитов), проценты по которым на начало квартала уже начислялись;б) дату начала начисления процентов по купонам (кредитам), проценты по которым на начало квартала еще не начислялись.
5. Средневзвешенная стоимость привлеченных средств в n-ом квартале Комитета муниципальных займов и развития фондового рынка без учета издержек вычисляется по формуле:

, % годовых. (89) Средневзвешенная стоимость привлеченных средств в n-ом квартале Комитета муниципальных займов и развития фондового рынка с учетом издержек вычисляется по формуле:

, % годовых. (90).
Отчетные формы, предоставляемые ежеквартально Комитетом муниципальных займов и развития фондового рынка Департаменту Финансов приведены в приложении 3.
-
Методы базового ценообразования при размещении субфедеральных и муниципальных займов РФ.
Ценообразование на муниципальные долговые обязательства является одним из основных параметров инвестиционно-заемного процесса, с помощью которого выдерживается главное соотношение (первого приближения)

, ( 91 )
где Цд рыночная средняя цена денег; Цкр совокупная цена кредитов.
Ценообразование на муниципальные долговые обязательства зависит от вида обязательства, т.е. вида облигаций (валютные, внутренние, сберегательные) и характера размещения обращения облигаций (первичный, вторичный рынок). Исходя из этих факторов, с т р у к т у р а методов ценообразования представляется в виде, показанном в таблице 10.
Таблица 10.
Методы ценообразования на долговые обязательства
Виды долговых обязательств
Виды размещения (тип рынка) |
Облигации валютного займа |
Облигации внутреннего облигационного займа |
Облигации сберегательного облигационного займа |
|
Первоначальное размещение (первичный рынок) |
- Рейтинговое определение доходности облигаций.
- Определение цены андеррайтинга и агентской схемы.
|
Аукционный метод ценообразования. |
Метод определения величины купонной ставки. |
|
Обращение на вторичном рынке. |
Метод накопленного дисконта. |
Метод накопленного купона (метод текущей минимальной цены облигаций) |
Рассмотрим подробнее указанные подходы к ценообразованию на облигации.
Ценообразование на облигации валютного займа при первичном размещении.
Ценообразование на облигации валютного займа (ОВЗ) при первичном размещении основывается на двух основных обстоятельствах. Первое обстоятельство связано с тем, что ОВЗ размещаются главным образом среди зарубежных инвесторов, что в свою очередь определяется более низкой доходностью, сложившейся на западе по сравнению с условиями России.
При этом Москва обязана считаться с тем, что доходность облигаций для инвестора впрямую зависит от установленного кредитного рейтинга эмитента, который определяется и обнародуется специализированными и авторитетными рейтинговыми агентствами.
Для примера приведем принципиальные схемы рейтинг-релизов компаний Moоdys и Standart Pours ( 10), заметив, кстати, что данные компании, добившись на Западе общего признания, как рейтинговые агенства, весьма тщательно скрывают методическую сторону своей деятельности. Даже с такой, на первый взгляд информацией как перечень факторов, учитываемых агенствами при назначении рейтингов, не говоря уже о методах исчисления их вместимости, автору удалось познакомиться лишь весьма приблизительно.
Москва, например, как заёмщик средств в иностранной валюте, удостоилась лишь рейтингов Ba2 - Moodys и ВВ+, и по градации этих агенств облигации валютного займа относятся к группе спекулятивных, но никак не инвестиционных ценных бумаг; к моменту размещения облигаций их доходность, соответствующая рейтинг-оценкам могла быть в размере не более 9,5% годовых.
Второе обстоятельство связано со способом размещения ОВЗ. Следует отметить, что наиболее приемлемым методом размещения ОВЗ был признан андеррайтинг. Подробный сравнительный анализ
претендентов на роль лидменеджера облигационного валютного займа проведен в [158] с использованием модели системы Блумберг. Исходя из сравнительного анализа, лидменеджером ОВЗ Москвы была признана финансовая компания Nomura Ltd, а плата за предложенный ею андеррайтинг внешнего займа составила libor + 3,07% при доходности облигаций в пределах (9,29 9,99%).
Ценообразование на облигации внутреннего облигационного займа
Этот вид ценообразования определяется порядком размещения облигаций, а так как основным методом размещения облигаций внутреннего облигационного займа был признан аукционный метод, что соответственно и параметрами цены являются показатели аукционных торгов:
- аукционный спрос на облигации;
- предложение эмитента;
- цена отсечения;
- средневзвешенная цена;
- фактические объемы и ценовая структура продаж облигаций.
Методика определения цен продажи при первичном размещении облигаций городского облигационного внутреннего займа
Порядок определения исходных данных и установления цен продажи и выкупа облигаций представляется в следующем виде:
- Определение номинальной процентной ставки доходности для планируемого выпуска облигаций на основе анализа ставок доходности по альтернативным инструментам вложения, действующим на рынке на момент принятия решения о начале размещения выпуска (например, валютные депозиты, рублевые депозиты и др.).
- Определение уровня инфляции на момент принятия решения о начале размещения выпуска.
- Определение суммы затрат на организационные расходы по размещению и погашению выпуска облигаций (расходы на рекламу, оплата комиссионных, оплата регистрации проспекта эмиссии и т.д.) и резервной суммы (до 5% от суммы займа).
- С использованием указанных данных определяется максимальная, минимальная и средняя цены, в границах которых возможно произвести первичное размещение облигаций.
- На основании данных клиринговой организации производится расчет и устанавливается цена отсечения, а также средневзвешенная цена.
Расчеты производятся с использованием следующих показателей (см. таблицу 11).
Таблица 11.
Условные обозначения, используемые при расчете цены облигации (первичное, аукционное размещение).
|
п/п |
Показатели |
Условные обозначения |
Расчетная формула |
1.
2.
3.
4.
5.
6.
7.
8.
9.
10.
10.1.
10.2.
10.3.
10.4.
11.
12.
13.
14.
15.
16. |
Номинальная стоимость всего объема выпуска облигаций.
Количество облигаций в выпуске.
Номинальная стоимость одной облигации (цена погашения).
Цена продажи (первичного размещения) всего объема выпуска облигаций.
Цена продажи одной облигации.
Курс облигации.
Дисконт (разница между ценой погашения и ценой покупки облигации).
Затраты по размещению и погашению всего объема выпуска облигаций.
Организационные расходы по размещению и погашению выпуска облигаций (расходы на рекламу, оплата комиссионных, оплата регистрации проспекта эмиссии и т.д.).
Номинальная процентная ставка доходности на рынке.
Максимальная номинальная процентная ставка доходности.
Минимальная номинальная процентная ставка доходности.
Средняя номинальная процентная ставка доходности.
Плановая номинальная процентная ставка доходности, исходя из планируемой доходности вложений в инвестиционные проекты.
Примечание: норма доходности по инвестиционным проектам, в которые вкладываются средства от размещения облигаций должна превышать или, в крайнем случае, быть равной номинальной процентной ставке доходности на рынке.
Текущий уровень инфляции.
Прогнозный уровень инфляции.
Срок обращения, в годах (в году 365 дней).
Срок обращения в днях.
Число периодов начисления процентов в году.
Число периодов начисления процентов за весь срок обращения. |
N
Q
No
Р
Po
Pk
D
S
Z
i
imax
imin
imid
ipl
rp
rf
n
d
m
T |


Т = n * m
|
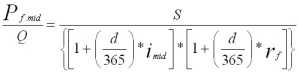
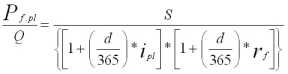
Определение современной стоимости облигации городского облигационного внутреннего займа сроком обращения до одного года, то есть цены, по которой Комитет может реализовать облигации при первичном размещении.
Без учета уровня инфляции и ставки налога:

, (92)
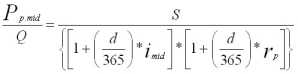
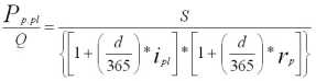
Подставляя в формулу значения imax, imin, imid, ipl получаем значения максимальной, минимальной, средней и плановой цены размещения:

, (93)

, (94)

, (95)

, (96)
Таким образом, Комитет имеет возможность разместить выпуск по цене, попадающей в границы коридора максимального и минимального значений.
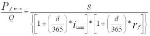
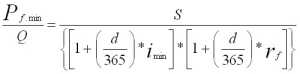
С учетом уровня инфляции и без учета ставки налога формула будет иметь следующий вид:

, (97)
Подставляя в формулу значения imax, imin, imid, ipl можно получить значения максимальной, минимальной, средней и плановой цены размещения:
Для текущего уровня инфляции

, (98)

, (99)

, (100)

, (101)
Для прогнозируемого уровня инфляции

, (102)

, (103)

, (104)

, (105)
Таким образом, имеется возможность разместить выпуск по цене, попадающей в границы коридора максимального и минимального значений.
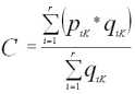
Определение цены отсечения и средневзвешенной цены первичного размещения облигаций.
На основе информации клиринговой организации производится отсечение по количеству поданных конкурентных заявок, при этом должно выполняться условие:

; (106)

(107)

(108)
где m номер последней поданной неконкурентной заявки;
r количество удовлетворенных конкурентных заявок или номер последней удовлетворенной конкурентной заявки;
qik ; qjH K количество облигаций поданных соответственно в i-х конкурентных и j-х неконкурентных заявках;
Q общее количество облигаций в выпуске;
QK; QH K общее количество облигаций поданных соответственно конкурентных и неконкурентных заявках.
Устанавливается цена отсечения, удовлетворяющая требованиям доходности и находящаяся в границах цен по п. 6, при одновременном соблюдении условия (106 108).

. (109)
По данной цене будут удовлетворены все конкурентные заявки, цена которых больше или равна цене отсечения.
Определяем средневзвешенную цену размещения:

, (110)
где:
piK цена облигации установленная в i-ой конкурентной заявке.
Определяем объем денежных средств, привлеченных в процессе размещения:

; (111)
где:
PK ; PHK объем денежных средств, привлеченных при первичном размещении соответственно по конкурентным и неконкурентным заявкам.
Путем изменения цены отсечения, возможно осуществлять регулирование в ту или иную сторону объема привлекаемых денежных средств в процессе первичного размещения, а следовательно и регулировать стоимость долга.
Ценообразование на облигации внутреннего облигационного сберегательного займа
Внутренний облигационный сберегательный займ является действенным альтернативным средством организации сбережений физическими лицами. Именно поэтому определение совокупной доходности облигаций для инвесторов является проблемой, требующей нахождения и установления оптимального значения купонной ставки.
Основными параметрами привлекательности облигационных и других финансовых операций являются:
- надежность вложений, исключающая даже самый незначительный риск потери средств;
- ликвидность, трактуемая инвесторами как практически "мгновенная" доступность к собственным вложенным средствам, пусть даже ценой потери части дохода;
- доходность, которая трактуется инвесторами двояко: с одной стороны - это сохранение покупательной способности вложенных и накапливаемых средств, с другой стороны - это возможность относительного увеличения средств по сравнению со вкладом.
Самым веским доводом в пользу высокой надежности сберегательного займа являются гарантии Правительства Москвы, которые базируются на следующих соображениях:
Во-первых, Москва как центральный регион страны, обладающий вместе с Россией достаточно высоким кредитным рейтингом, присвоенным Россией вправе рассчитывать на высокую степень доверия со стороны населения и профессиональных участников рынка.
Во-вторых, значительный совокупный рейтинг финансовых институтов, участвующих в Московской системе заимствования дает все основания начать, что негативным явлением, связанным с финансовой несостоятельностью участников просто не будет места.
В-третьих, сберегательный займ Москвы является составной частью пакета займов (внешний валютный займ и внутренний облигационный займ по методу ГКО), что существенно повышает надежность каждого из займов, а значит и сберзайма.
В-четвертых, московская заемная компания имеет своей целью аккумулирование средств для инвестирования высокоприбыльных бизнес-проектов.
Это означает, что московская заемная компания является Инвестиционно-заемной долгосрочной системой (ИЗС), что существенно отличает ее от других заемных компаний, ориентированных на "покрытие бюджетного дефицита" или на финансирование социальных проектов, безусловно, важных, но не дающих достаточной отдачи в короткие сроки.
Подтверждением сказанному может служить состояние московского бюджета, который на 1997 год год первой эмиссии облигаций сберегательного займа составлял 43.835.107 млн. рублей и включала:
- девять защищенных социально ориентированных групп расходов;
- бюджет развития в размере 10.700.000 млн.рублей, что составляло 6.16 процентов от суммы бюджета;
- включая 2.700.000 млн. Рублей федеральных субвенций, расходуемых на финансирование капитальных вложений.
Кроме того статьей 15 Закона города Москвы О бюджете города Москвы на 1997 г. Устанавливается, что в 1997 году формирование поступлений и объемов бюджетных затрат по обслуживанию городских облигационных займов осуществляется в соответствии с условиями объявляемых траншей городских облигационных займов в порядке исполнения бюджета города Москвы, а также, что Правительство Москвы обеспечивается обособленный учет поступления и расходования средств на цели обслуживания городских муниципальных займов, а также, безусловное выполнение обязательств перед держателями облигаций, включая оплату процентного дохода и своевременное их погашение.
ОСОБЕННОСТИ ПРИМЕНЕНИЯ ФИНАНСОВО-ЭКОНОМИЧЕСКОЙ МОДЕЛИ
3.1. Управление инвестиционно-заемным процессом в условиях наличия малодоходных проектов.
Рассмотренная в предыдущих разделах технология управления движением финансовых средств в Инвестиционно-заёмной системе Москвы предполагает:
а) определение потребностей в заемных средствах для реализации инвестиционных проектов;
б) определение реальной величины рентабельности инвестиционных проектов, рассчитываемой как отношение прибыли от реализации проекта к величине инвестиционных кредитов;
в) заем средств со средневзвешенной ценой, не превышающей расчетную средневзвешенную рентабельность инвестиционных проектов.
Таким образом, концептуально предполагается, что использование заемных средств в качестве инвестиционных кредитов должно окупать как возвратность заемных средств и обслуживание займов, так и покрытие технологических расходов и резервов Системы. При этом считается концептуально допустимым, чтобы превышение доходов Системы над совокупными затратами равнялись нулю, т.е. считается допустимым бесприбыльный ее характер.
Это означает, что рентабельность инвестиций должна быть не меньше цены денег с учетом необходимых текущих затрат, в том числе и на поддержание рынка облигаций.
В процессе реализации Инвестиционной программы города в Систему по решению Инвестиционного Совета Москвы могут быть включены социально-ориентированные, т.е. убыточные проекты. Это означает, что при финансировании таких проектов Система может перестать быть безубыточной и недостаток средств на покрытие долга придется компенсировать за счет каких-то источников, примерный перечень которых представляется в следующем виде:
- экономия на технологических расходах, объем которых определяется сметой, но в целом не должен превышать 5% от суммы займов, что в принципе позволяет изыскать некоторые средства, объем которых впрочем, должен быть достаточен для покрытия дефицита;
- экономия на резервных средствах, которая может быть получена лишь при условии стабильности рынка облигаций и (или) практическом отсутствии сбойных ситуаций, ликвидация которых требует включения в оборот резервных средств;
- экономия на средствах, предназначенных для покрытия и обслуживания займов за счет реструктуризации муниципального долга, т.е. покрытия его за счет выпуска новых облигаций и отнесения момента расчета с инвесторами на более или менее отдаленный момент времени, что, вообще говоря, может считаться в известном смысле палиативой и носить разовый характер в силу негативного влияния на величину спроса на облигации.
- дополнительное (сверх 5-ти процентов от суммы займов), резервирование средств на убыточные проекты с последующим вложением в максимально доходные активы при заданном уровне надежности по их возврату и выплате процентов;
- покрытие дефицита, возникающего при финансировании убыточных, по социально значимых проектов за счет средств городского бюджета;
- априорное инвестиционное кредитование заемщиков средств под более высокий процент, чем это необходимо для обеспечения безубыточности Системы, что позволило бы компенсировать убытки по социально-ориентированным проектам за счет дополнительной прибыли от других проектов.
- одновременное и комплексное применение всех перечисленных способов изыскания финансовых резервов для реализации убыточных проектов.
- перенос сроков финансирования проектов на более длительный срок с целью текущего высвобождения средств.
Заметим, кстати, что перечисленные методы не включают рефинансирование долга.
Учитывая изложенное, постановка задачи управления инвестициями при наличии убыточных проектов выглядит так:
- определить порядок изыскания средств для финансирования проектов в условиях наличия в инвестиционном портфеле убыточных проектов при обеспечении нулевого финансового результата для Инвестиционно-заемной системы.
Данная задача может решаться следующим порядком.
Шаг 1 Определение степени социальной значимости проекта для принятия решения по его финансированию. Решение следует оформлять специальным протоколом, где должно содержаться указание на то, что данный проект является убыточным и отражаться условия заимствования средств в целом по заемному портфелю и условия инвестирования в льготный (нулевой, например) проект.
Шаг 2 Определение текущего (во времени) дефицита средств, который образуется при включении такого проекта в портфель.
Шаг 3 Определение валютной структуры долгового и инвестиционного портфелей.
Шаг 4 Определение срочностной структуры долгового и инвестиционного портфелей.
Шаг 5 Расчет базовых параметров инвестирования средств с учетом рефинансирования долга.
Рассмотрим пример.
Текущее состояние ИЗС.
Объем заемных средств, находящихся в системе характеризуется следующими параметрами:
Долговые обязательства:
Шаг 1.
- 100 млн. $ - по ставке 9,5% с полугодовым переходом начисленных процентов на 3 года;
- 1000 млн. руб. по ставке 30% с ежеквартальным периодом начисления процентов сроком на 1 год.
Текущий курс 30 руб/$.
Предполагаемый темп роста курса доллара США 30 % годовых.
Объем формируемого из привлекаемых средств резерва 5%.
Необходимо включить в инвестиционный портфель льготный проект на следующих условиях:
- объем финансирования 200 млн. руб.;
- ставка 0 % годовых;
- срок возврата 2,5 года.
При этом предполагается, что на остаток денежных средств после формирования РФ и финансирования льготного проекта существует набор инвестиционных проектов прошедших предварительную экспертизу и находящихся в режиме ожидания денежных средств.
Фактически задача сводится к определению ставки на выдаваемые на платной основе средства, таким образом, чтобы общий заемно-инвестиционный портфель был безубыточным. При этом в расчетах необходимо учитывать валютную и срочностную структуру долга.
Шаг 3.
В нашем случае, при оценке долга по текущему курсу структура долга выглядит следующим образом:
Структура долгового портфеля
Таблица 13.
|
Валюта учета долга |
Сумма, млн. |
Текущий курс |
Оценка долга по текущему курсу |
|
USD |
100,00 |
30,00 |
3000,00 |
|
РУБ |
1000,00 |
|
1000,00 |
Структура текущего долга (валютные обязательства оценены по текущему курсу) представлена на рис. 12.
Для исключения валютный рисков инвестиционный портфель должен иметь такую же валютную структуру.
Шаг 4.
Срочностная структура долга выглядит следующим образом:
- по валютным средствам 3 года;
- по рублевым 1 год.
Для исключения дисбаланса между сроками на который привлекаются средства и сроком на который они инвестируются, необходимо чтобы инвестиционный портфель имел такую же срочностную структуру, как и долговой портфель.
Шаг 5.
Стоимостная структура долга выглядит следующим образом:
- по валютному займу 9,5%;
- по рублевому займу 30%.
Однако в течение срока предоставления средств предстоят процентные выплаты, и для того чтобы их исполнить необходимо будет дополнительно привлекать денежные средства. Поэтому, для того, чтобы учесть будущие привлечения средств для обслуживания долга, необходимо вычислить капитализированную ставку по долговым обязательствам.
В этом случае стоимостная структура долга будет выглядеть следующим образом:
- по валютным займам 10,70;
- по рублевым займам 33,55.
Расчет представлен в таблице 14.
Расчет капитализированной ставки
Таблица 14.
|
Ставка по долговому обязательству, % год |
Валюта учета долга |
Период начисления процентов, мес. |
Срок долгового обязательства, лет |
Капитализированная ставка по долговому обязательству, % год |
|
9,50 |
USD |
6 |
3 |
10,70 |
|
30,00 |
РУБ |
3 |
1 |
33,55 |
По условиям задачи, объем средств направляемых в РФ составляет 5 % от объема привлеченных средств. Тогда, стоимость привлеченных средств с учетом того, что часть из них единовременно отвлекается на создание резерва, составит:
- по валютным займам 13,02;
- по рублевым займам 40,58.
Расчет приведен в таблице 15.
Расчет итоговой стоимости привлечения средств
Таблица 15.
|
Капитализированная ставка по долговому обязательству, % год |
Валюта учета долга |
Объем отчислений в резервный фонд, % |
Срок долгового обязательства, лет |
Итоговая стоимость привлечения средств, % год |
|
10,70 |
USD |
5 |
3 |
13,02 |
|
33,55 |
РУБ |
5 |
1 |
40,58 |
Таким образом, базовые условия инвестирования выглядят следующим образом:
- по валютным инвестициям:
- объем 95 млн. $;
- ср. взвешенный срок инвестирования 3 года;
- ср. взвешенная ставка инвестирования 13,02 %.
- по рублевым инвестициям:
- объем 950 млн. руб.;
- ср. взвешенный срок инвестирования 1 год;
- ср. взвешенная ставка инвестирования 40,58%.
Один из возможных вариантов структуры инвестиционного портфеля представлен в таблице 16.
Определение возможного варианта структуры инвестиционного портфеля.
Таблица 16.
|
Валюта учета |
Сумма предоставляемого финансирования, млн. |
Ставка по долговому обязательству, % год |
Период начисления процентов, мес. |
Срок долгового обязательства, лет |
Капитализированная ставка по долговому обязательству, % год |
|
USD |
5,00 |
13,00 |
3 |
1 |
13,65 |
|
15,00 |
12,00 |
6 |
2 |
13,12 |
|
50,00 |
11,30 |
6 |
3 |
13,02 |
|
20,00 |
10,87 |
6 |
3,8 |
12,99 |
|
5,00 |
10,00 |
12 |
5 |
12,21 |
|
Итого по инвестициям в валюте |
95,00 |
11,34 |
|
3,00 |
13,02 |
|
РУБ |
500,00 |
46,00 |
1 |
0,5 |
50,64 |
|
200,00 |
48,69 |
3 |
0,8 |
54,85 |
|
50,00 |
41,00 |
6 |
1,0 |
45,20 |
|
200,00 |
0,00 |
12 |
2,5 |
0,00 |
|
Итого по инвестициям в рублях |
950,00 |
36,62 |
|
1,00 |
40,58 |
Из таблицы видно, что при диапазоне ставок от 10 до 13% годовых в валюте и сроке инвестиций валютных средств от 1 года до 5 лет, и диапазоне рублевых ставок от 41 до 46% годовых и сроке инвестиций рублевых средств 0,5 2,5 года было решено несколько задач:
- валютная структура инвестиционного портфеля соответствует валютной структуре заемного портфеля. Т.е. понижен валютный риск;
- при значительных колебаниях сроков инвестиций от сроков привлечения средств достигнуто соответствие средневзвешенного срока инвестирования сроку привлечения средств;
- путем повышения ставок на инвестируемые средства, была получена возможность включения в инвестиционный портфель бездоходного проекта.
При этом хотелось бы отметить, что субъект федерации, имея более высокий кредитный рейтинг имеет возможность привлечения более дешевых (относительно кредитов для юридических и физических лиц) денежных средств.
Необходимость создания резервов и наличия в общем, портфеле льготных проектов, ведет к удорожанию денежных средств для кредитополучателей. Однако даже при достижении уровня рыночных ставок по кредитам, срочность предоставления средств субъектом федерации кредитополучателю гораздо привлекательнее для последнего.
Примечание. Определение текущего (во времени) дефицита средств, который образуется при включении проекта с нулевой доходностью, производится автоматически на пятом шаге при определении базовых параметров инвестирования средств.
Управление инвестиционно-заемным процессом в условиях нестабильности валютных курсов.
Основная концептуальная посылка Инвестиционно-заёмной системы состоит в следующей формуле: Осуществить такие-то займы на общую сумму в таком-то размере для финансирования таких-то инвестиционных проектов.
Однако процесс инвестирования заёмных средств подвержен различного рода сбоям и отклонениям, связанным как с готовностью инвестиционного портфеля к финансированию, так и колебаниями валютных курсов. Естественно, в этих ситуациях необходимо оперативно решать стратегические вопросы о структуре городских займов.
Вводная, состоящая в том, что инвестиционные проекты отсутствуют, означает, что заёмные средства:
- либо находятся в ожидании инвестиционных проектов и вкладываются в высоколиквидные активы;
- либо направляются на финансирование проектов: а) с низкой доходностью; б) с нулевой доходностью; в) с невозвращаемым кредитом, т.е. носят характер субвенций,
а эффективность использования заёмных средств определяется соответственно ставками на вклады, уровнем доходности низкодоходных проектов, косвенной эффективностью развития социально-экономической инфраструктуры Москвы.
Исходя из сказанного и принимая во внимание положение о финансировании только инвестиционных проектов, займ целесообразно осуществлять в размерах необходимых для покрытия и обслуживания, ранее сделанных займов и очевидно, что такие займы целесообразнее делать на рублевой основе, поскольку идея покрытия и обслуживания внутренних займов за счет новых внешних начисто выпадает из концепций ИЗС.
Постановка задачи альтернативного выбора займа в условиях отсутствия или явной недостаточности высокодоходных инвестиционных проектов и заданных объемах займов предполагает оценку позитивных и негативных моментов того или иного варианта.
Исходя из начальных условий осуществления займов:
- 500 млн.ам.долл. под 10% годовых;
- 2.899,3 млн. руб. под 32% годовых,
начальное решение возникает как безусловное, а именно: валютный займ обходится дешевле, со всеми возникающими последствиями (меньший объем обслуживания займа при равных объемах погашения, относительная выгода при размещении заемных средств в ликвидные активы, меньшая сумма долга и потенциально равных объемах инвестирования и пр.).
Однако есть ряд соображений, позволяющих считать весьма возможным организацию внутреннего рублевого займа.
Инвестиционно-заёмная система концептуально представляет собой метод организации длительного займа при условии, что он регулярно обслуживается. Таким образом, внутренний займ является нормальной заёмной операцией с возможностью многоразовой реструктуризации муниципального долга, который по своей сути представляет собой обычный трансферт.
Валютный же займ представляет собой долг внешний, рефондирование которого сопряжено с такими трудностями как:
- необходимость повышения бюджетных гарантий займа;
- регулярный пересмотр кредитного рейтинга Москвы как эмитента еврооблигаций;
- зависимость операции рефондирования от валютных рисков, хеджирование которых практически невозможно без существенного увеличения суммы займа.
В целом, исходя из сказанного, предпочтительность валютного займа по критерию доходности существенно снижается, если принимать во внимание известную неопределенность экономической ситуации в стране.
Вообще говоря, валютный займ может считаться надежно осуществимым только при наличии высокодоходных бизнес-проектов при условии законодательных от лица Москвы бюджетных гарантий. Именно в этом случае обеспечивается быстрота и полнота размещения облигаций на основе андеррайтинга в силу повышения доверия инвестору со стороны зарубежных инвесторов и погашение займа за счет прибыльных проектов.
Внутренний же займ средств - это по большей части инструмент решения проблем развития с о ц и а л ь н о - э к о н о м и ч е с к о й инфраструктуры, отличающейся от бизнес-проектов либо уровнем доходности, либо сроками возврата средств и процентов по инвестиционным кредитам.
Между рассмотренными крайними альтернативами существует множество комбинационных вариантов связанных с:
а) привязкой еврозайма к курсу рубля, что позволяет компенсировать валютный риск, объявив индексацию в условиях андеррайтинга;
б) с сочетанием еврозайма с внутренним рублевым займом в различных квотах, что позволило бы несколько удешевить внутренний займ и одновременно снизить валютный риск еврозайма.
Возможные комбинации займов показаны в таблице 17.
Проверка валютного займа по критерию интервальной эффективности показана на нижеследующих схемах.
Итак, как уже было сказано, для решения задач Инвестиционной Программы Москвы на основе займов требуется: формирование массы привлеченных средств в необходимых объемах; обеспечение минимальности средств на обслуживание займов; минимизация финансовых рисков, прежде всего валютных, вызываемых возможными колебаниями курса и обеспечение реструктуризации и рефондирования муниципального долга в связи с длительным лагом освоения инвестиций и, как следствие существенным сроком возврата инвестиционных кредитов и процентов по ним.
Структура займов в рамках Инвестиционно-заёмной системы Москвы определяется удельным весом объема заимствования по различным видам займов, а именно: внутреннему облигационному;
сберегательному; внутреннему купонному; внешнему (2 эмиссии).
Каждый из пеXечисленных займов характеризуется: стоимостью заимствования; степенью валютного (курсового) риска; возможностью оперативной реструктуризации и рефондирования долга.
Так, внешний займ обладает относительно невысокой ценой и значительными объемами заимствования, но опасен с точки зрения курсовых рисков, а также весьма ответственен с позиций жесткости условий возвратности, обслуживания и возможностей его реструктуризации и рефондирования.
Внутренний облигационный займ практически не влечет за собой валютных рисков, достаточно легок в обслуживании и возвратности, но относительно дорог и характеризуется медленными темпами набора требуемых объемов.
Внутренний купонный займ, исходя из андеррайтерских условий его размещения, может быть достаточно быстро сформирован в необходимых объемах, к моменту погашения требует значительных средств в системе.
Таким образом, при разработке стратегии заимствования средств требуется сформировать оптимальную структуру займов, ориентируясь на их позитивные и негативные качества.
Детальный анализ различных вариантов структуры муниципального займа показывает, что оптимальная его структура выглядит следующим образом*).
- Внутренний облигационный займ.............500 млн.долл.
- Сберегательный...........................................250 млн.долл.
- Внутренний купонный займ.......................500 млн.долл.
- Внешний 1.....................................................500 млн.долл.
- Внешний 2.....................................................0.
Расчеты и обоснования.
Цель данного меморандума - проанализировать влияние структуры займов на уровень стоимости заёмных средств и, следовательно, на состояние пассивов Инвестиционно-заемной системы при разных темпах роста курса доллара.
Вероятные структуры займов описываются четырьмя возможными вариантами:
*) Дальнейшие расчеты выполнены.
Примечание: величина сберегательного займа во всех вариантах постоянна в связи с условиями эмиссии.
Таблица 17.
Объемы заимствования, млн.долл.
Варианты
структур
Виды займов |
Вариант 1 |
Вариант 2 |
Вариант 3 |
Вариант 4 |
|
Внутренний облигационный |
1000 |
500 |
0 |
500 |
|
Сберегательный |
250 |
250 |
250 |
250 |
Внутренний
купонный |
0 |
500 |
500 |
0 |
|
Внешний 1 |
500 |
500 |
500 |
500 |
|
Внешний 2 |
0 |
0 |
500 |
500 |
|
ВСЕГО: |
1750 |
1750 |
1750 |
1750 |
|
Доля внешнего займа, % |
28,5 |
28,5 |
57,1 |
57,1 |
Предварительный анализ вариантов структуры займов показывает:
- Первый вариант структуры займов, принимаемый как базовый при существующем темпе роста курса доллара (9,71 % годовых) приводит к суммарной стоимости заимствования средств в размере 30,84% годовых в рублях и 19,16% годовых в валюте.
Осуществление займа по первому варианту имеет следующие недостатки:
а) высокая стоимость денег по внутреннему облигационному займу, доля которого в общей сумме займов составляет 57,1%, а стоимость их превышает стоимость денег на рынке ГКО примерно на 4% и инвесторам выгоднее вкладывать деньги в ГКО, нежели в облигации внутреннего займа;
б) недостаточная емкость рынка облигаций внутреннего займа не позволит набрать планируемый объем средств по приемлемой цене;
в) недостаточная развитость вторичного рынка облигаций делает его менее привлекательным для инвестора. Что также ведет к удорожанию средств.
- Второй вариант структуры займов, предполагающий уменьшение заимствований на рынке облигаций внутреннего займа за счет организации внутреннего купонного займа в объеме 500 млн.долл. приводит к стоимости заимствования в размере 30,5% годовых в рублях и 18,90% годовых в валюте.
Данный вариант предпочтительнее базового в связи:
а) с единовременным характером размещения на основе андеррайтинга и меньшей стоимостью заимствования на 0,28% годовых в рублях и 0,26% годовых в валюте;
б) с сокращением объемов заимствования на рынке облигации внутреннего облигационного займа.
- Третий вариант структуры займов предполагает полный отказ от размещения облигаций внутреннего займа за счет введения дополнительного валютного займа при сохранении внутреннего купонного займа. Он приводит к стоимости заимствования в размере 28,80% годовых в рублях и 17,27% годовых в валюте, что дешевле, чем во втором варианте соответственно на 1,76% годовых в рублях и на 1,63% годовых в валюте.
При видимом удешевлении стоимости заимствования по сравнению с первыми двумя третий вариант не может быть рекомендован по следующим причинам:
а) это ведет к дисбалансировке всего заемно-инвестиционного портфеля;
б) отказ от внутреннего облигационного займа означает фактическую ликвидацию этого сегмента рынка;
в) организация второго валютного займа повлечет за собой необходимость 100-процентного увеличения бюджетных гарантий.
- Четвертый вариант структуры займов предполагает равномерное распределение объемов заимствования между внутренним и двумя валютными займами при отказе от внутреннего купонного займа. Этот вариант приводит к стоимости заимствования в размере 29,12% годовых в рублях и 17,53% годовых в валюте, т.е. является менее выгодным, нежели третий вариант. При этом он обладает теми же недостатками, что и третий вариант в связи с увеличением объема валютного займа.
- Увеличение объемов заимствования на рынке валютных облигаций является нежелательным и неприемлемым еще как минимум по трем причинам.
Первая причина состоит в том, что единовременно с относительным удешевлением стоимости заимствования возрастает степень валютного риска, связанного с вероятным колебанием курса доллара, существенно влияющим на общую стоимость заимствования.
Кроме того, при значениях темпа роста курса, превышающих 16% годовых стоимость заимствования на внешнем займе становится выше, чем на внутреннем купонном займе. Такой темп роста курса доллара возможен, например, при принятии Государственной Думой решения о дополнительной денежной эмиссии.
Поэтому при равенстве объемов заимствования на внутреннем купонном и втором внешнем валютном займах второй вариант структуры займов становится предпочтительнее как третьего, так четвертого вариантов. Помимо этого, погашение внешних займов повлечет за собой необходимость концентрации и замораживания значительных объемов денежных средств и, как следствие, удорожание общей стоимости заимствования.
Вторая причина, делающая неприемлемым увеличение валютной составляющей муниципального долга состоит в практической трудности его реструктуризации, что связано с необходимостью регулярного пересмотра кредитного рейтинга Москвы как эмитента еврооблигации.
Третья причина состоит в прямом ограничении объемов заимствования, установленном Федеральными органами для субъектов федерации в размере 30% от суммы доходов бюджета.
Это ограничение приводит к необходимости пересмотра всей структуры займов Москвы.
Таким образом, исходя из сказанного:
наиболее приемлемым вариантом структуры займов является второй вариант, являющийся оптимальным, как по стоимости заимствования, так и по критерию минимизации валютных рисков.
Таблица 18.
Структура второго варианта
|
Виды займов |
Объемы заимствования |
|
Внутренний облигационный |
500 |
|
Сберегательный |
250 |
|
Внутренний купонный |
500 |
|
Внешний 1 |
500 |
|
Внешний 2 |
0 |
Как видно из представленной таблицы в условиях валютных рисков, несмотря на кажущуюся дешевизну внешних займов, основной упор следует делать на внутренние займы.
Вариантная стратегия заимствования и обслуживания финансовых обязательств субъекта и муниципального образования РФ.
В настоящее время в связи с развитием Инвестиционно-заемной системы (которая включает в себя в качестве подсистемы систему муниципальных займов) сложились объективные предпосылки для перехода на качественной новый уровень использования средств городских муниципальных займов для удовлетворения растущих потребностей города в инвестициях. Сегодня город, опираясь на сбалансированный подход к имеющемуся у него мощному источнику заемных средств, в состоянии использовать дополнительные инвестиционные ресурсы не только на заведомо эффективные проекты, но и на финансирование необходимых городу капитальных затрат, направленных на улучшение качества городской среды, вне зависимости от их текущей прибыльности и возвратности (см. раздел 3.1). Стратегия ускоренного инвестиционного развития предполагает перенос основной нагрузки по финансированию капитальных затрат с плеч городского бюджета на заемные ресурсы.
При этом на бюджет, точнее говоря на бюджет развития, ложатся заботы об обслуживании и погашении городского долга. Принципиально новая идеология бюджетного планирования*) требует сопряжения меха-
*) Подробнее см. в статье автора Бюджет развития отражение стратегии ускоренного инвестиционного развития региона В кн. Управление инвестиционно-заемными системами: Учебник для ВУЗов. / Под ред. М.В.Климовича, С.М.Тумасянц.
М.: Изд. Дом РЦБ, 1998 стр 20-24.
низма муниципального заимствования и инвестирования с бюджетным механизмом.
Следует отметить, что в настоящее время в стратегии заимствования средств и обслуживания городского муниципального долга наметились два актуальных момента, носящие характер противоречий, по которым необходимо согласованное решение.
Первый момент состоит в том, что существуют известные разногласия по вопросу формирования средств для наполнения доходной части бюджета развития города за счет муниципальных займов. Суть разногласий состоит в существовании двух взаимоисключающих позиций. Первая позиция заключается в том, что инвестиционные объемы, предназначенные для бюджета развития, формируются и обслуживаются независимо от источника их получения
(вида займа), т.е. на основе комплексного подхода. В противовес первой позиции существует мнение о том, что на цели бюджета развития допустимо направлять средств от конкретного займа, желательно внешнего и, следовательно, как представляется сторонникам этой позиции, более дешевого в обслуживании.
Возражение автора против такой позиции основано на следующем.
- Инвестиционная программа Москвы, реализуемая в рамках бюджета развития это весьма масштабная сфера, имеющая своей задачей комплексное, сбалансированное развитие социально-экономической и производственной инфраструктуры города. Решение этой задачи на инвестиционно-заемной основе может быть осуществлено также только при использовании комплексного подхода, означающего:
- заимствование средств различной стоимости (рублевые и валютные займы) и продолжительности (три и более лет);
- включение в программу проектов различной доходности (высоко-, мало- и недоходных) и обеспечение частичной окупаемости финансирования) мало- и недоходных проектов за счет высокодоходных;
- возможность текущего удешевления массы заемных средств за счет использования различных вариантов реструктуризации муниципального долга;
- возможность частичной компенсации цены денег за счет эффективного использования временно свободных средств путем вложения их в высоколиквидные и достаточно доходные активы.
Эти и другие корректно и обоснованно используемые меры и инструменты управления городским муниципальным долгом должны применяться и применяются в зависимости от конкретных ситуаций, как на рынке займов, так и на рынке инвестиций.
- Именно такой комплексный и взвешенный подход к управлению городским долгом принят и Инвестиционным Советом г. Москвы, который своим решением от 17 июля 1997 года 05-ИС/1 утвердил Предельные объемо-стоимостные показатели заимствований и инвестирования на 1997 год (пункт 1.2, приложение 1, таблицы 1 и 2) и Основные критерии формирования инвестиционного портфеля городских проектов (пункт 1.3, приложение 2, таблица 1), а также обязал Комиссии Инвестиционного совета, Комитет и Банк Москвы строго руководствоваться данными показателями. Полный текст упомянутого Решения ИС от 17.07.97 05-ИС/1 помещен в справочном приложении 5 к диссертации.
Следует отметить, что Комитет муниципальных займов и развития фондового рынка считает комплексный подход единственно правильным соответствующим решению Инвестиционного совета Москвы, который определил план финансирования городских капитальных вложений за счет средств Финансовых фондов займов в 1998 году в размере 10,413 млн. рублей; при этом предполагалось, что Департамент финансов выплачивает Комитету в счет обслуживанию долга сумму в размере 1200 млн. рублей, причем данная сумма должна рассматриваться как минимально необходимая, с учетом амортизации самого долга.
Весьма показательной является следующая ситуация, сложившаяся в 1998 году
В январе апреле текущего года Комитетом за счет ФФЗ профинансировано капиталовложений в размере 2580,4 млн. рублей (в том числе 1 квартал 1224,4, апрель 1356,0 млн. рублей), что составляет 24,78% от общей годовой программы. Это означает (при пропорциональном пересчете), что долг Департамента финансов составляет 297,37 млн. рублей (см. приложение 2).
Эти средства Комитетом муниципальных займов до сих пор не получены, несмотря на острую необходимость в средствах на обслуживание муниципального долга.
Следует обратить внимание на то, что указанная сумма является минимально необходимой и существенно отличается от истинной задолженности бюджета по обслуживанию городского муниципального долга, в части финансирования городских проектов, которая составляет 462,75 млн. рублей (расчет см. приложение 3). Такая разница между истинным долгом и требуемой суммой (462,75 297,37 = 165,38 млн. рублей) явилась следствием использования Комитетом всех возможностей по ослаблению нагрузки на Финансовые фонды займов, заложенных в Инвестиционно-заемной системе, о которых говорилось выше.
Указанная позиция является прямым следствием ошибочного суждения о том, что в бюджет развития направляются средства какого-то конкретного займа. На самом деле это далеко не так, последующим соображениям.
- Инвестиционно-заемная система это специализированный инструмент, обеспечивающий формирование массы денежных средств, обслуживание городского муниципального долга как во внешней сфере (отношение с инвесторами, с федеральным бюджетом по вопросам эмиссии и т.п.) так и внутри системы (отношения с уполномоченными участниками системы, управление технологическими расходами, реализация технологии заимствования, работа на рынке ценных бумаг и т.п.).
- Основной задачей ИЗС является поддержание постоянного долга как стабильного источника наполнения инвестиционного фонда, из которого осуществляется финансирование проектов Инвестиционной программы города и, в том числе, перечисление средств в бюджет развития Москвы.
- Средства, направленные на финансирование проектов и в бюджет развития формируются по специальной технологии при посредстве Финансовых фондов займов, создание, наполнение и расходование которых регламентируется целой серией нормативных актов федерального и муниципального уровня, в частности Постановлением Московской городской Думы от 11.06.97 37 Об утверждении Положения о финансовых фондах городских облигационных займов Москвы. В соответствии с этой технологией создается единый Резервно-операционный фонд (РОФ) ИЗС, в который поступают абсолютно все средства системы: займы, возвраты из инвестиций (кредиты и проценты по ним)... вплоть до штрафов и пеней и из которого формируется фонд обслуживания и погашения займов (ФОП), фонд обеспечения технологических расходов (ФОТР), Инвестиционный фонд (ИФ) и резервы Системы.
- В соответствии с принятой концепцией управления городским муниципальным долгом (см. Приложение 3, п.п. 1.1, 1.2) и указанным в п. 3 порядком, цена подготовленных к инвестированию объемов финансирования определяется не стоимостью какого-либо конкретного займа, а всей совокупностью долга и текущими расходами, связанными с его формированием, обслуживанием и реализаций мероприятий, обеспечивающих финансово-экономическую безопасность функционирования Инвестиционно-заемной системы.
Исходя из сказанного, отказ от комплексного подхода к формированию и расходованию заемных средств и организация локального обслуживания и погашение (учетное вычленение) конкретного займа целевым образом направляемого на финансирование мероприятий в рамках бюджета развития означал бы:
а) значительное увеличение нагрузки на бюджет, связанной с нестабильностью обслуживания и погашения долга и с ликвидацией возможностей Инвестиционно-заемной системы по мягкому компенсационному управлению городским долгом;
б) существенное увеличение валютных рисков, вызываемое нестабильностью рыночного курса валюты.
Вторым актуальным моментом, требующим согласованного решения, является вопрос о сроках обслуживания муниципального долга, связанного с исполнением бюджета развития. Здесь явно просматриваются две принципиальные позиции.
Первая позиция предполагает реализацию кредитной схемы формирования бюджета развития, которая, как известно, состоит в том, что средства занимаемые на относительно короткий срок, обслуживаются в течение этого срока и возвращаются инвестором в последний год. Такая схема чревата следующими негативными обстоятельствами:
1. Значительные суммы по обслуживанию городского долга.
2. Весьма значительная нагрузка на бюджет в момент возврата долга и, как следствие, пиковые нагрузки на бюджет.
3. Ограниченные возможности мощных инъекций в бюджет развития за счет муниципальных займов, столь необходимых для постоянно растущей стоимости капитального строительства, реконструкции и технического перевооружения.
Вторая позиция, базирующаяся на увеличении срока возврата первоначальных займов за счет обслуживания долга до периода 10 и более лет с постепенным распределением возврата основного кредита по годам.
Эта позиция реализует подход, использует в муниципалитетах многих стран с развитой рыночной экономикой и состоящий в переносе бремени долга на будущие поколения, пользующиеся вводимыми ныне мощностями производственной и социально-экономической инфраструктурой.
Данный подход позволяет снизить нагрузку на бюджет, связанную:
а) с обслуживанием муниципального долга по годам;
б) с единовременным возвратом средств.
Схема формирования величины купонной ставки облигаций
Приведенные данные подтверждают нормальное финансовое положение Москвы, которая не нуждается в дополнительных займах для покрытия бюджетных займах для покрытия бюджетного дефицита.
В-пятых технологией Инвестиционно-заемной деятельности Москвы планируется процедура страхования финансовых рисков, для чего в системе предусматривается формирование и текущее поддержание резервного фонда, ориентированного на оперативное обслуживание муниципального долга в ситуациях нестабильности рынка муниципальных ценных бумаг.
Весьма тесно связанный с надежностью вкладов в облигации сберегательного займа параметр ликвидности определяется, как было указано выше, достаточно значительными возможностями системы по обслуживанию займа, т.е. выплат по купону и погашению облигаций . Кроме того, в качестве основного распространителя облигаций сберзайма определен Сбербанк РФ в лице Московского Сберегательного банка, который обязан осуществлять выплаты по купонам и погашение облигаций по наступлению соответствующих сроков.
Исходя из сказанного основу подхода к расчету величины купонной ставки по облигациям сберегательного займа составляют следующие основные положения.
- Практически безусловная надежность вложений, гарантируется Правительства Москвы и базируется на сути самой Инвестиционно-заемной системы, что приближает эти вложения к вкладам в Сбербанк РФ.
- Высокая ликвидность облигаций сберегательного займа, которую можно считать практически равной ликвидности аналогичных финансовых инструментов, используемых Сбербанком РФ.
- Привлекательность сберегательного займа обеспечивается его ориентацией на доходность аналогичных финансовых инструментов, используемых Сберегательным банком РФ, а также ведущими коммерческими банками России с учетом тех возможностей, которые потенциальные инвесторы имеют при вложениях средств в иностранную валюту.
Методика расчета величины купонной ставки по облигациям внутреннего облигационного сберегательного займа представляется в следующем виде.
1. Ставка купона
1 (СК) облигации сберегательного займа в первом приближении определяется как средневзвешенная величина ставок депозитных сертификатов по избирательной совокупности ведущих банков по формуле

, (112)
где: СК - искомая ставка купона облигации сберегательного займа; Ki - расчетный текущий рейтинг i-го банка, включенного в избирательную совокупность ведущих банков; Кn+1-рейтинг операции "вложения в валюту"; Кn+1=max {Ki}; СKi -ставка по депозитным вкладам по i-му банку, действующая на момент проведения расчета или планируемая i-м банком на период, соответствующий расчетному; равна максимальному значению годовой доходности по различным депозитным инструментам; n -количество банков, включенных в избирательную совокупность банков на расчетный период; СКn+1 - среднерасчетная доходность от вложений в валюту ($) по средней цене покупки. РТ
2. Расчетный рейтинг i-го банка, Кi включенного в избирательную совокупность банков определяется, исходя из таких основ
? Общая схема формирования ставки купона показана в приложении 4.
ных факторов как: доля средств населения в активах, количество филиалов, рейтинг Центрального банка России в отношении данного банка, рейтинг надежности данного банка, определяемый по методике "Коммерсанта". Расчетный текущий рейтинг i-го банка определяется по формуле:

, (113 )
НА
где: di - доля средств населения в активах i-го банка; КiФ -доля филиалов i-го банка в сумме всех отделений банков, включенных в избирательную совокупность; RiЦБ - рейтинг ЦБ России в отношении i-го банка; Rъ - рейтинг "Ъ - надежность" присваевыемый г. "Коммерсантъ" i-му банку.L4i-L4i - соответствующие перечисленным факторам показателям весовые коэффициенты.
3. Доля средств населения в активах i-го банка определяется по формуле:

, ( 114 )
где: - привлеченные средства населения i-м банком на момент определения текущего расчетного рейтинга. Определяется по данным опубликованного баланса предшествующего моменту расчета рейтинга; А - сумма активов i-го банка по указанному балансу.
4. Доля филиалов i-го банка в сумме всех филиалов и отделений банков, включенных в избирательную совокупность, рассчитывается по формуле

, ( 115 )
где: Фi - количество филиалов и отделений i-го банка;

- общее количество филиалов i-го банка.
5. Рейтинг Центрального Банка России в отношении i-го банка, включенного в избирательную совокупность ведущих банков, определяется исходя из следующих основных показателей; определяемых на основе ежеквартальной официальной отчетности:
- достаточность капитала (коэффициент Кука). Он рассчитывается в соответствии с требованиями Инструкции 1 ЦБ РФ;
- качество кредитного портфеля. Расчет этого показателя осуществляется в соответствии с Инструкцией ЦБ РФ, т.е. объем ссуд умножается на соответствующий коэффициент риска, определенный для каждой из 5 групп риска. Затем полученные результаты по группам складываются, и общая сумма относится к общему объему ссуд;
- прибыльность (отношение чистой прибыли к активам). Она рассчитывается в соответствии с Инструкцией 17);
- ликвидность банка. Показатель ликвидности определяют следующим образом. Из суммы совокупных краткосрочных активов со сроками погашения до 6 месяцев вычитываются совокупные краткосрочные обязательства, а полученная разность делится на размер совокупных активов (сумму баланса, агрегированную по Инструкции 17);
- рейтинг надежности по Коммерсанту устанавливается по данным расчетов и результатам публикаций, т.е. исходя из условного обозначения рейтинга, определяется соответствующий коэффициент Ri"ъ".
- коэффициенты L1L4 определяются в следующем порядке.
6.1 производится экспертное назначение приоритетов каждого из означенных факторов;
6.2 исходя из номера приоритета по таблице для n=4 определяются значения L1L4.
Значение весовых коэффициентов Li по методу экспертной ранжировки определяется по формуле ( 115) и вспомогательной таблице 12.

, ( 116)
где i - номер экспертной ранжировки; n - число показателей-характеристик.
Схема формирования величины купонной ставки облигацийсберегательного займа
Таблица 12.
(справочно)
N
номер приори-тета |
2 |
3 |
4 |
5 |
6 |
7 |
8 |
9 |
10 |
|
1 |
0.62 |
0,45 |
0,38 |
0,29 |
0,24 |
0,21 |
0,19 |
0,18 |
0,16 |
|
2 |
0,38 |
0,32 |
0,26 |
0,23 |
0,21 |
0,18 |
0,16 |
0,15 |
0,14 |
|
3 |
|
0,23 |
0,20 |
0,19 |
0,17 |
0,16 |
0,14 |
0,14 |
0,12 |
|
4 |
|
|
0,16 |
0,16 |
0,15 |
0,14 |
0,13 |
0,12 |
0,12 |
|
5 |
|
|
|
0,13 |
0,13 |
0,12 |
0,11 |
0,12 |
0,10 |
|
6 |
|
|
|
|
0,10 |
0,10 |
0,10 |
0,11 |
0,08 |
|
7 |
|
|
|
|
|
0,09 |
0,09 |
0,09 |
0,07 |
|
8 |
|
|
|
|
|
|
0,08 |
0,08 |
0,06 |
|
9 |
|
|
|
|
|
|
|
0,06 |
0,05 |
|
10 |
|
|
|
|
|
|
|
|
0,04 |
Общий порядок расчета величины купонной ставки по облигациям сберегательного займа представляется в следующем виде:
Шаг 1. Формируется исходный перечень коммерческих банков по публикуемому списку лучших двадцати банков (по рейтингу ЦБ РФ).
Шаг 2. Из исходного перечня ("лучшей двадцатки") отбираются десять банков по критерию максимума привлеченных средств населения в активах банка.
Шаг 3. Определяется величина расчетного текущего рейтинга каждого из десяти банков, определенных на 2-ом шаге.
Шаг 4. Рассчитывается величина совокупной годовой купонной ставки.
Шаг 5. Определяется величина квартальной купонной ставки как частное отделение совокупной годовой купонной ставки на 4.
Для оценки среднегодовой доходности вложений в американский доллар используется динамика курса американского доллара за истекший календарный год.
1998 г., руб\$*)
|
Периоды |
май |
июнь |
июль |
август |
сентябрь |
Октябрь |
ноябрь |
Декабрь 1997 |
Январь 1998 |
февраль |
март |
апрель |
|
на начало месяца |
5,764 |
5,773 |
5,779 |
5,805 |
5,840 |
5,859 |
5,900 |
5,935 |
5,96 |
6,025 |
6,07 |
6,108 |
|
на конец месяца |
5,773 |
5,782 |
5,809 |
5,840 |
5,864 |
5,900 |
5,926 |
5,974 |
6,025 |
6,07 |
6,106 |
6,166 |
|
Среднемесячное те-кущее значение S |
5,769 |
5,778 |
5,794 |
5,826 |
5,852 |
5,880 |
5,913 |
5,955 |
5,993 |
6,048 |
6,088 |
6,121 |
Среднегодовая доходность вложений в $ США по официальному курсу ()на конец года на начало года

(117)
на начало года
Доходность с учетом необходимости покупки (n)
n= 0,95
где 0,95 - коэффициент учитывающий отклонение курса покупки от официального курса.
Пример расчета величины купонной ставки по первому купону первого выпуска облигаций Городского облигационного сберегательного займа Москвы приведен в приложении 4.
Ценообразование на облигации, обращающиеся на вторичном рынке
Рассматривая этот вид ценообразования, следует сразу же отметить, что на первый взгляд Система муниципальных займов не имеет прямого отношения по вторичному рынку облигаций. Однако это не так. Во-первых, наличие вторичного рынка повышает привлекательность облигаций, т.к. увеличивает их ликвидность.
Во-вторых, в процессе инвестиционно-заемной деятельности, как этот будет показано в третьей главе диссертации, может сложиться ситуация, при которой необходим досрочный откуп облигаций, либо другие меры по поддержанию котировок.
Заметим, что, как правило цены на вторичном рынке определяются его конъюнктурой, однако динамика изменения цены долговых обязательств подчиняется общим правилам, свойственным как для купонных так и для дисконтных бумаг, а именно: текущая цена облигаций есть функция доходности облигации к погашению и определяется следующим образом:

, ( 118 )

, ( 119)
где: Ц текущая минимальная цена облигации к погашению; - доходность облигации к погашению; N номинал; Р цена приобретения; Т кол-во дней с момента приобретения до дня погашения; (365/Т)*100% - множитель перевода относительных величин в годовые проценты.
Текущая цена реализации облигаций сберегательного займа определяется по формуле:

, (120)
где Н номинал; СК ставка купона; tв количество дней с момента последней выплаты купонного дохода облигации.
Заключение
В процессе исследований, проведенных в диссертации, получены следующие основные р е з у л ь т а т ы.
- На основании проведенного анализа функционирования системы муниципальных займов и ее нормативно-правового обеспечения обоснована и разработана структура и финансово-экономической модели управления инвестиционно-заемным процессом.
- Разработана методика определения и расчета основных параметров займов и кредитов, позволяющая рассчитать графики привлечения заемных средств и формирования финансовых фондов займов.
- Разработана методика расчета сумм обслуживания финансовых обязательств, направленных на финансирование инвестиционных проектов.
- Разработаны методы базового ценообразования в системе субфедеральных и муниципальных займов по видам долговых обязательств (внешние, внутренние) для первичного размещения и для условий обращения на вторичном рынке.
- В процессе апробации финансово-экономической модели управления инвестиционно-заемным процессом решены конкретные задачи.
- Предложены схемы управления инвестиционно-заемным процессом в условиях необходимости финансирования малодоходных, но социально значимых проектов.
- Разработан метод управления инвестиционно-заемным процессом в условиях нестабильности валютного курса.
- Предложен способ формирования стратегии заимствования и обслуживания финансовых обязательств в зависимости от различной валютной структуры займов.
- Предложенная финансово-экономическая модель и ее методическое обеспечение внедрены в виде пакетов прикладных программ в г. Москве.
Полученные в процессе исследования результаты позволяют сделать следующие в ы в о д ы и дать ряд рекомендаций:
- Предложенный критерий текущей окупаемости инвестиционно-заемного процесса региона позволяет сформировать структуру инвестиционного портфеля, при которой доходы данного портфеля обеспечивают покрытие затрат на обслуживание и погашение финансовых обязательств, а также технологические расходы.
- Методика расчета сумм обслуживания финансовых обязательств позволяет достичь планового и текущего балансов активов и пассивов в системе субфедеральных и муниципальных займов в зависимости от изменяющихся внешних условий.
- Разработанные базовые методики позволяют создать сбалансированную структуру инвестиционного портфеля и финансовых обязательств по стоимостным характеристикам, валюте, срокам.
- Разработанный методический аппарат позволяет путем проведения вариантных расчетов обеспечить оптимизацию управления инвестиционно-заемным процессом в условиях колебаний валютного курса, различных конъюнктурных ситуациях на рынке ссудных капиталов.
- Предложенные методы базового ценообразования по видам облигационных займов для условий первичного размещения и вторичного обращения облигаций позволяют обеспечить более выгодные условия, как для заимодателей, так и для потребителей инвестиционных кредитов с соблюдением условий самоокупаемости системы инвестирования заемных средств субъекта Российской Федерации.
- Реализация методического обеспечения в виде пакетов прикладных программ и расчетных алгоритмов делает финансово-экономическую модель управления инвестиционно-заемным процессом и ее методический инструментарий приемлемыми для его тиражирования в других субъектах и муниципальных образованиях Российской Федерации.
Инвестиции: Анализ - Инвестирование - Инвестиционные фонды