Абрамов В. Р. - Кредитная стратегия субъектов рынка ссудных капиталов
Кредитная стратегия субъектов рынка ссудных капиталов
В настоящее время в Российской Федерации создан и быстро развивается рынок ссудных капиталов. Одними из основных субъектов этого рынка являются банки, которые выполняют исключительно важные функции для экономики государства: аккумулирование временно свободных денежных средств и предоставление их в кредит. Действуя на рынке ссудных капиталов, банки самостоятельно строят свои взаимоотношения с клиентом.
Принимая вклады от клиентов, банк выступает в качестве заемщика, но, с другой стороны, предоставляя их во временное пользование, он является одновременно и кредитором, что существенно усложняет его кредитную стратегию из-за появления риска непогашения ссуды или кредитного риска.
В современных условиях риск невозврата кредита особенно велик из-за множества факторов (инфляции, неплатежей, стагнации производства, политической нестабильности и так далее). Так как предоставление ссуд является одним из важнейших видов кредитной стратегии коммерческих банков, который должен обеспечивать им высокий доход, то непогашение кредитов банкам может привести к их банкротству (а также к банкротству их клиентов и подрыву доверия к банкам со стороны населения и предприятий).
При проведении кредитной стратегии на уровне конкретного заемщика банку важно определить его кредитоспособность. Для этого необходимо провести анализ финансового состояния заемщика. Существует ряд показателей, позволяющих по данным периодической отчетности субъекта рынка ссудных капиталов определить его платежеспособность и финансовую устойчивость.
Это коэффициенты ликвидности, показатель обеспеченности собственными средствами и другие.
Кредитоспособность заемщика тесно связана с обеспечением кредита, то есть зависит от способности заемщика предоставить необходимые и достаточные гарантии своевременного возврата ссуженной стоимости. Если механизм погашения ссуды, закрепляемый в кредитных договорах, является основной предпосылкой возврата кредита, то определение форм обеспечения возврата представляет собой гарантию этого возврата.
Такая гарантия нужна при высокой степени риска просрочки платежа. Формы обеспечения возврата кредита гарантируют кредитору сохранность и мобильность его ссудного фонда.
Поэтому для Центрального банка (ЦБ) России и коммерческих банков при проведении своей кредитной стратегии основной задачей является определение кредитоспособности субъектов рынка ссудных капиталов с целью максимального снижения риска, связанного с невозвратом кредитов.
В этой связи целями данной работы являются: анализ проблем развития банковской системы России в современных условиях; рассмотрение общих проблем предоставления кредитов субъектам рынка ссудных капиталов; описание единой методики определения кредитоспособности субъекта рынка(коммерческой фирмы и банка) на основе отечественного и зарубежного опыта.
Состояние банковской системы в условиях переходной экономики
В настоящее время в Российской Федерации действует свыше 2,0 тыс. коммерческих банков (КБ), а если учесть, что у коммерческих банков, не считая Сберегательного, более 5,5 тыс. филиалов (у Сбербанка их более 30,0 тыс.), то общая цифра получится весьма внушительной. Банковская система России превратилась в одну из ключевых составляющих хозяйственного механизма страны.
Коммерческие банки стали основным источником инвестиций, главным кредитором экономики. В 1996 году суммарный объем кредитов, предоставленных банками экономике страны, превысил 100 трлн. руб.
Активно идет процесс сращивания банковского и промышленного капиталов.
Однако Россия остается страной в основном мелких банков. Доля КБ с уставным фондом до 1 млрд. руб. была (на 1995 г.) 68,0%. Средневесов (1-5 млрд. руб.) 26,0%. И совсем не много тех, у кого уставный фонд свыше 5 млрд. руб.
6,0% (149 КБ).
Период 1994-1996 гг., наряду с возросшим темпом разорения банков, стал также вехой в их участившихся слияниях и поглощениях, взаимном участии в капиталах, создании консорциумов, картелей, формальных и неформальных союзов, ассоциаций и т.д. Это помогает банкам выжить, разделить сферы влияния, закрепиться на рынках инвестиций и услуг, противостоять конкурентам, накапливать капитал для подъема промышленности и народного хозяйства в целом, облегчает доступ к ресурсам (федеральным, местным, отраслевым, зарубежным).
Дальнейшее развитие банковской системы России идет по пути совершенствования правовой основы и государственного управления финансово-кредитной системой, интеграции с промышленностью (участие в создании ФПГ и других высокоинтегрированных структур), компьютеризации, создания лизинговых и других компаний и корпораций.
Практика показывает, что российское хозяйство не удовлетворено уровнем развития банковских услуг. В ряду многих можно выделить две основные причины этого. Первая причина связана с низким финансовым потенциалом многих банков, большинство из которых имеет малый уставный капитал и не может выполнять всего комплекса работ по обслуживанию и кредитованию клиентуры (табл.
1.1).
Хотя по числу банков на миллион жителей Россия опережает ряд развитых стран (например, Канаду, Великобританию, Японию), заметно уступая лишь Германии и США, экономический потенциал наших банков очень мал. Величина активов среднего российского банка в начале 1996 года составляла лишь 54 млн. долл., что в 20 раз меньше показателей среднего венгерского банка, в 30 раз чешского и почти в 900 японского.
Сбербанк, лидирующий среди российских банков по размеру активов (по состоянию на 01.07.96г. валюта баланса около 34 млрд. долл.), занимает по этому показателю лишь 237-ю строчку в мировой банковской табели о рангах списке 1000 крупнейших банков, ежегодно публикуемом лондонским журналом The Banker. Сбербанк в 10 раз меньше крупнейших китайских банков, в 15 - 20 крупнейших японских.
Таблица 1.1
Удельный вес банков с различными уставными фондами (бюллетень банковской статистики за 1994-1995 годы)
|
Уставный фонд |
Удельный вес банков в 1994 г. (%) |
Удельный вес банков в 1995 г. (%) |
|
до 100 млн. руб. |
13.5 |
3.9 |
|
от 100 млн. до 1 млрд. руб. |
78.28 |
46.09 |
|
1-5 млрд. руб. |
6.83 |
27.73 |
|
более 5 млрд. руб. |
1.39 |
6.48 |
В связи с этим Центробанк установил с марта 1994 года размер уставных фондов вновь создаваемых банков в 1 млн. ЭКЮ (в рублевом эквиваленте), а к 1999 году предложено довести этот показатель до 5 млн.
ЭКЮ, как это принято в Европейском сообществе. Многим создаваемым и уже функционирующим банкам взять такую высоту не по силам.
Вторая причина недостаточной обеспеченности народного хозяйства и населения банковскими услугами связана с тем, что основная масса банков сосредоточена в Москве, где их свыше 900 и около 450 банковских филиалов. В абсолютном же большинстве административных районов существует не более одного банковского учреждения.
Это не способствует развитию экономики, малого и среднего бизнеса, предпринимательства в целом.
Можно назвать три обстоятельства, осложнивших в настоящее время деятельность банков или приведших их к разорению. Прежде всего, убытки у большинства банков вызваны невозвратом кредитов в срок или стремлением клиентов списать свои долги. Дебиторская задолженность предприятий в 1994 году превысила 130 трлн. руб.
Темпы роста просроченной задолженности были еще выше. Платежеспособность производителей снизилась до катастрофического уровня: в промышленности, например, до 20 %, в строительстве и сельском хозяйстве ее уровень еще ниже.
Просроченная задолженность клиентов банка составила к началу 1996 года 13,7 трлн. руб., или 23% от общей суммы задолженности. По отдельным банкам этот показатель доходит до 90%.
Ясно, что ликвидность банков в конечном счете, основывается на ликвидности обслуживаемых ими предприятий реального сектора экономики.
Второй момент, повлиявший на деятельность банков, неполучение планируемого дохода в виде процентов за кредиты, что, в свою очередь, тоже в значительной мере зависит от общего состояния экономики, ее стабильности, стабильности рубля.
И, наконец, третий момент, обусловлен проведением неоправданной рискованной кредитной политики самими банками, которая неминуемо приводит к краху.
Кроме этого, проводимая в 1995-1996 гг. Правительством РФ и ЦБ России политика быстрого ограничения денежной массы в совокупности с мерами по увеличению обязательных резервных требований к банкам серьезно осложнила функционирование банковской системы.
За последние три года Центральный банк РФ отозвал лицензии на совершение банковских операций у 312 банков, что составляет 12,5% от общего количества кредитных учреждений. Особенно интенсивно лишались банки лицензий в 1995 году, когда были отозваны 255 лицензий. Банкротство такого большого количества банков ведет к тяжелым последствиям. Оно наносит значительный ущерб кредиторам и вкладчикам, вызывает беспокойство других банков, которые находятся в корреспондентских и кредитных отношениях.
В этих условиях Центральному банку РФ целесообразно сконцентрироваться на оздоровлении банков, переживающих трудности, на проведении организационно-экономических мер по восстановлению их платежеспособности, на совершенствовании надзора за банковской деятельностью.
Положение российской банковской системы усугубляют и такие характерные для нее явления, как хроническая недостаточность собственных капиталов и отсутствие сколько-нибудь достаточных резервов под кредитные риски. По западным стандартам, минимальным соотношением между капиталом и размером активов, взвешенных по риску, считается 8%. В российском банковском секторе этот показатель находится на уровне 3,4%.
Что же касается дефицита резервов под кредитные риски, то он составляет примерно 16 трлн. руб.
В развитых индустриальных странах совершенствованию системы банковского регулирования и надзора (института аудита) придается исключительное значение, в то время как в России она находится в процессе формирования и еще весьма далека от совершенства. В этой связи чрезвычайно остро встала проблема прогнозирования основных направлений деятельности Центрального банка РФ и акционерных коммерческих банков, а также разработки принципов управления сбалансированной ликвидностью банков и их организационной структуры.
Успешное развитие банка невозможно без выбора стратегии его деятельности, т. е. без широкого плана наступления и тактики, которые представляют собой детальный план действий, включающий механику реализации общих стратегий и конкретные инструменты (технологии, правила и процедуры), которые при этом будут использоваться.
Данные вопросы призвана решать система управления банковским делом и персоналом, или банковский менеджмент, поскольку надежность банка определяется не размерами активов, а качеством управления инвестиционно-кредитным портфелем, сбалансированным с источниками ресурсов банка и квалифицированных кадров.
Основополагающим инструментом, обеспечивающим оперативное и своевременное решение банковских проблем, служит квалифицированный банковский финансовый менеджмент, который является частью банковского менеджмента и подразумевает решение следующих задач:
учет банковского окружения (банк на финансовом рынке и регулирующая среда банковской деятельности);
адаптация банка к внешнему окружению (принципы управления и планирования, позиционирование и политика продвижения банковских продуктов);
управление традиционными банковскими рисками (управление банковским портфелем на основе разработки банковских технологий и процедур (продуктов), обеспечивающих разрешение банковских рисков);
управление ликвидностью банка и плановыми параметрами его деятельности.
Целесообразно и возможно также применение ряда мер организационного характера.
Например, некоторые банки (ОНЭКСИМ Банк, "МЕНАТЕП", "Инкомбанк", Альфа-банк и др.) пошли по пути создания финансово-промышленных групп. Банки Империал, Столичный и другие, подписав договор о сотрудничестве и совместной банковской деятельности, тем самым как бы продемонстрировали стремление к разделу рынка.
Создаются банковские консорциумы для выполнения определенных задач, банковские холдинги. Образовалось новое неформальное банковское объединение клуб надежности.
Усилился процесс взаимопроникновения банков через совместное участие в капитале пример тому ОНЭКСИМ Банк, имеющий крупные пакеты акций других банков. Чтобы противостоять сильным конкурентам, некоторые банки стали объединяться.
К сожалению, такие процедуры, как реорганизация, слияние, поглощение банков, у нас еще не достаточно отработаны. Во многих странах мира существует сеть региональных и муниципальных банков, учредителями которых являются местное правительство и городские власти.
Конкурентоспособность этих банков поддерживается за счет местных бюджетов, поскольку деятельность банков нацелена на финансирование приоритетных отраслей данной территории.
Погоду в банковской сфере делает примерно треть КБ из бывших специализированных и отраслевых банков со значительным участием государства в акционерных капиталах. Это Промстройбанк, Агропромбанк, Сбербанк, Внешторгбанк, Мосбизнесбанк, Токобанк и др.
У них наибольший собственный капитал, активы, количество филиалов, позволяющих постоянно пополнять собственную кредитную базу, обороты.
Далее идут "ОНЭКСИМ Банк", "Инкомбанк", "МЕНАТЕП", "Автобанк", Столичный и другие коммерческие банки последующих поколений, которые пополняют ряды, замещают выбывших, а по некоторым показателям банковской деятельности выходят на первые места. С 1994 года по настоящее время более 100 банков прекратили существование лишились лицензии, обанкротились, не приступили к работе, так как остановились предприятия - пайщики, не смогли преодолеть новой планки для уставного капитала или по другим причинам.
Кроме того, у ряда КБ ограничен круг выполняемых ими операций.
И все же возросло значение коммерческих банков в движении валового национального продукта, в перемещении по горизонтали ресурсов в отрасли и регионы, которые испытывают острую потребность в финансовых средствах. Коммерческие банки постепенно превращаются в действенный рычаг эффективного хозяйствования, исправления структурных перекосов и деформаций в российской экономике.
Сделать предстоит еще больше. Россия государство, где оазисы с насыщенной финансовой инфраструктурой (Москва, Петербург, Урал и др.) соседствуют с гигантскими банковскими пустынями размером со среднее европейское государство. Например, в Швейцарии один банк приходится на 1250 жителей, в других странах 1-5 банков и их отделений на 10000 человек (не считая сбербанков и небанковских учреждений).
У нас около 2,5 тыс. коммерческих банков обслуживают 1/8 часть суши, в среднем 1-2 банка (а без учета Москвы 0,8 банка) на 100 тыс. россиян (табл. 1.2).
Ситуация более благополучна, если принимать во внимание филиалы, отделения, учреждения Сбербанка, Промстройбанка, Агропромбанка и др. (всего около 40 тыс.): одно банковское учреждение на 3-3,5 тыс. человек.
Таблица 1.2
Плотность банковской сети в Европе
| |
Численность
банковских служащих
на 1 млн. жителей |
Численность занятых в агентстве |
Численность
банковских агентств
на 1 млн. Жителей |
|
Великобритания |
10000 |
30 |
329 |
|
Германия |
9259 |
14 |
653 |
|
Франция |
7194 |
16 |
462 |
|
Испания |
6369 |
7 |
903 |
|
Италия |
5714 |
15 |
382 |
|
В среднем по Европе |
7874 |
15 |
520 |
Несмотря на многочисленные трудности, коммерческие банки продолжают финансировать промышленное и аграрное производство, торговлю, малый и средний бизнес, население, хотя инфляция и обесценивает кредиты и инвестиции.
Значительная часть кредитных ресурсов коммерческих банков формируется за счет централизованных ссуд Центрального банка РФ (в бывших спецбанках эта доля втрое выше, чем у других). Но если в 1992 году они составляли в целом в коммерческих банках 52%, то в 1996 г. только 25%.
Остальное является свободными средствами предприятий и организаций на расчетных и других счетах КБ, покупается ими на свободном рынке. Свыше половины инвестиций в стране производится через коммерческие банки, обеспечивающих лучший контроль за использованием, гарантии возвратности кредитов.
В разных регионах России уже создано около 100 банков (а нужно 400-500), способных проводить эффективную кредитную политику, предоставить кредиты предприятиям и организациям промышленности послужить коагулянтами создания высокоинтегрированных структур в народном хозяйстве России. Ведь коммерческие банки располагают широкими связями, самой детальной, а главное достоверной информацией о состоянии дел на предприятиях в регионах (Приложение 5).
Формирование высокоинтегрированных структур и корпораций, в том числе ФПГ и холдингов не только ускорило бы капиталообразование, но и повысило бы прямую заинтересованность их участников в долгосрочном инвестировании. Это позволило бы быстро сконцентрировать необходимую критическую массу ресурсов для сырьевых и добывающих отраслей с большим экспортным потенциалом (нефть, газ, золото, редкоземельные металлы, алмазы) для прорыва в передовых производствах (космос, авиация, информатика, средства коммуникации, нефтехимия, автомобилестроение, металлургия) и наукоемких технологиях (ЭВМ, новые материалы, средства передачи энергии и др.).
Некоторые показатели финансовой деятельности кредитных учреждений России приведены в Приложении.
Анализ деятельности субъектов рынка ссудных капиталов России в 1996 году
Как известно, кредитно-банковская система неотъемлемая часть современной экономики. Ее развитие отражает тенденции развития всей экономики страны.
Кредитно-банковская система стран с развитой рыночной экономикой имеет сложную, как правило, двухуровневую структуру и включает верхний уровень Центральный (эмиссионный) банк страны и нижний, который состоит из коммерческих банков и различных специализированных финансовых учреждений, в том числе финансово-кредитных организаций.
Центральный банк это банк банков. Он не ведет операций с коммерческими фирмами или населением и обслуживает только коммерческие банки и другие кредитные учреждения, а также правительственные организации.
Коммерческие банки являются универсальными кредитными учреждениями, предоставляющими своим клиентам практически все виды кредитно-расчетных услуг. Специализированные финансово-кредитные организации обслуживают отдельные, более узкие сферы рынка ссудного капитала.
Коммерческие банки и специализированные финансово-кредитные организации проводят единую политику по аккумуляции временно свободных денежных средств, сбережений и накоплений, а также кредитованию предприятий, организаций и населения.
Главным инструментом кредитно-денежной политики Центрального банка России и других стран становятся операции на открытом рынке. Суть этого инструмента состоит в управлении эмиссиями коммерческих банков, покупке и продаже ценных бумаг.
Анализ данных Центрального Банка Российской Федерации показывает, что по состоянию на первое июля 1996 года в России насчитывается более 2,0 тыс. действующих коммерческих банков. Из них более 43% составляют акционерные.
Кроме того, в форме акционерного общества действуют 12 небанковских кредитных организаций.
Наблюдается резкое сокращение количества банков, осуществляющих эмиссионную деятельность по выпуску акций. Если в 1995 году в среднем в квартал проводило эмиссии 306 банков, то в первом квартале 1996 года 170, а во втором квартале только 128 или 13,8% от действующих акционерных банков.
Такое снижение эмиссионной активности банков обусловлено общим состоянием экономики страны.
Отсутствие у субъектов хозяйственной деятельности свободных денежных средств, которые могли бы быть направлены на инвестиции в экономику, с одной стороны, и неудовлетворительное финансово хозяйственное состояние самих банков, с другой стороны, затрудняют деятельность банков по наращиванию своего уставного капитала. В настоящее время примерно каждый четвертый банк работает с убытками. Активы этих банков составляют 52,5 трлн. руб.
Просроченная задолженность клиентов по ссудам кредитных организаций составляет около 17 трлн. руб. и по просроченным процентам примерно 23 трлн. руб., а созданные банками резервы составляют 15 трлн. руб.
Кроме того, снижение эмиссионной активности банков связано с сокращением общего количества действующих акционерных банков из-за участившихся случаев отзыва у них банковской лицензии. Так, во втором квартале 1996 года предписание Банка России об отзыве банковской лицензии получили 33 акционерных банка, а вновь создано только 3 акционерных банка и 1 банк изменил свою организационно-правовую форму, преобразовавшись в акционерный.
Продолжается снижение темпов создания новых банков. Если во втором квартале 1995 года было зарегистрировано 20 вновь образованных акционерных банков, то во втором квартале 1996 года в семь раз меньше.
Наряду с причинами экономического характера, это также связано с достаточно высокими требованиями Центрального Банка России к величине минимального уставного капитала, необходимого для создания банка.
В начале второго квартала 1996 года эта величина составляла 6 миллиардов рублей, а затем возросла для вновь создаваемых банков со стопроцентным участием российского капитала и банков, имеющих долю участия иностранных инвестиций, не превышающую пятьдесят процентов уставного капитала до 12 млрд. рублей. Для вновь создаваемых банков с долей иностранных инвестиций, превышающей пятьдесят процентов уставного капитала, минимальная сумма уставного капитала установлена в размере 30 млрд. рублей.
Уставный капитал только 155 акционерных банков, или 16,8 % от общего числа акционерных банков, соответствует промежуточным требованиям Центрального Банка России. Остальным примерно 750 акционерным банкам еще предстоит наращивать свой уставный капитал.
Кроме выпусков акций акционерными банками, во втором квартале 1996 года зарегистрирован незавершенный выпуск Расчетной палаты Московской межбанковской валютной биржи, действующей как небанковская кредитная организация и объявившей первый выпуск акций на общую сумму 3,5 млрд. рублей.
Общий объем акций, выпущенных кредитными организациями в первом полугодии 1996 года, составил почти 3900,0 млрд. рублей. Однако такой рост связан не столько с общей эмиссионной активностью банков по выпуску собственных акций, сколько с эмиссиями крупных банков.
Рассматривая источники увеличения уставного капитала акционерных банков в 1996 году, следует отметить, что более 75,0% составили рублевые средства. При реализации акций в первом полугодии 1996 года за иностранную валюту принимались только доллары США.
Курс рубля к доллару устанавливался в основном с учетом биржевого курса, за исключением АКБ Москва-Центр, принявшего валютный номинал одной обыкновенной тысячерублевой акции в размере одного доллара США.
Более половины банков (52,4%), формирующих уставный капитал иностранной валютой, устанавливало двойной номинал по своим акциям, хотя было значительное число банков (47,6%), реализовавших рублевые акции за валюту. Однако принятые 11 апреля 1996 года изменения и дополнения к Инструкции Центрального Банка России от 11 февраля 1994 года 8 отменяют двойной номинал акций.
Это требование не распространяется на банки, зарегистрировавшие эмиссию до даты ввода в действие указанного документа.
Самым значительным изменениям в структуре вновь сформированного уставного капитала подверглась доля средств, поступивших за счет капитализации. Если в первом квартале 1996 года она составляла более трети всего прироста уставного капитала, то во втором уменьшилась в пять раз (до 7,7%).
Можно говорить о том, что средства, имеющиеся у банков для капитализации, ограничены, хотя акционерные банки по-прежнему рассматривают капитализацию, как один из основных источников пополнения уставного фонда.
Одним из основных источников средств, привлеченных путем капитализации, по-прежнему остаются средства, полученные в результате проведенной по решениям Правительства РФ переоценки основных средств.
Анализ кредитоспособности заемщика - коммерческой фирмы
с баланса на 1.07.96 г. 10%,
с баланса на 1.07.97 г. 2%.
Вместе с тем, для кредитных организаций, не обеспечивших выполнение установленного на 1.07.96 г. значения норматива, на период до 1.07.97 г. определяется следующий порядок регулирования их деятельности. Главные управления (национальные банки) Центрального банка РФ устанавливают квартальные значения норматива Н10 таким образом, чтобы постепенно (равными долями) от фактически сложившегося значения по балансу на 1.07.96 г. привести значение данного норматива к 2% по балансу на 1.07.97 г.
При этом совокупная величина кредитов, выданных инсайдерам, начиная с баланса на 1 июля 1997 г. не может превышать 3% собственных средств (капитала) кредитной организации.
Также на завершающем этапе проводится сравнительная оценка формальных показателей данного заемщика с аналогичными показателями других заемщиков для выявления характерных признаков качества заемщика и его кредитоспособности.
Анализ кредитоспособности заемщика - коммерческой фирмы
Как правило, за кредитом обращаются коммерческие фирмы, которые нуждаются в пополнении оборотных средств для ведения деятельности. Поэтому для кредитора очень важно определить внутреннее и внешнее окружение коммерческой фирмы для избежания кредитования заведомо рискованных мероприятий.
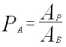
Оценка активов заемщика
При проведении оценки активов заемщика - коммерческой фирмы работа проводится в двух направлениях: оценка ликвидности видов активов и определение стоимости активов с учетом возможных потерь, оценка качества активов, а также оценка структуры активов.
Для оценки ликвидности видов активов проводится изучение активов с точки зрения их продажи и "превращения" в денежные средства.
По балансу коммерческой фирмы активы отражаются в трех группах:
необоротные активы;
оборотные активы;
убытки.
Для удобства активы можно перераспределить в более четкие группы и упорядочить в порядке убывания ликвидности, тогда структуру баланса можно представить в виде четырех крупных групп (по категориям ликвидности):
первая категория ликвидности денежные средства и прочие финансовые вложения;
вторая категория ликвидности запасы и затраты;
третья категория ликвидности необоротные активы;
четвертая категория ликвидности убытки.
Очевидно, что ликвидность убытков равна нулю. Поэтому оценивать ликвидность имеет смысл только по первым трем категориям ликвидности.
В результате перегруппировки получим таблицу ликвидностей активов (таблица 2.7), по которой можно определить вероятность потерь при "превращении" тех или иных активов в денежные средства.
Таблица 2.7
Ликвидность по видам активов
|
Наименование вида актива |
Значение ликвидности |
|
Первая категория ликвидности |
|
|
Денежные средства |
0,99 |
|
Краткосрочные финансовые вложения |
0,9 |
|
Вторая категория ликвидности |
|
|
Запасы |
0,8 |
|
Дебиторская задолженность (платежи более 12 месяцев) |
0,6 |
|
Дебиторская задолженность (платежи менее 12 месяцев) |
0,7 |
|
Третья категория ликвидности |
|
|
Нематериальные активы |
0,6 |
|
Основные средства |
0,4 |
|
Долгосрочные финансовые вложения |
0,3 |
|
Незавершенное строительство |
0,2 |
Таким образом, по данным таблицы можно рассчитать реальную стоимость активов и определить на сколько стоимость привлеченных средств превосходит реальную стоимость активов.
Для оценки качества активов рассчитываются следующие показатели:
Коэффициент структуры, который соотносит необоротные и оборотные активы

,
где
КС коэффициент структуры;
НА необоротные активы;
ОА оборотные активы.
Технологичность производства, соотносящая стоимость нематериальных активов со стоимостью основных средств и показывающая за счет использования каких необоротных активов предприятие производит продукцию

,
где
ТПР технологичность производства;
АН остаточная стоимость нематериальных активов;
ОС остаточная стоимость основных средств.
Реализуемость продукции, которая соотносит стоимость продукции, отгруженной потребителям, со стоимостью незавершенного производства

,
где
РП реализуемость продукции предприятия;
ТО стоимость отгруженных товаров;
НП стоимость незавершенного производства.
Доля активов первой категории в оборотных активах (ДЛА) показывает структуру оборотных активов коммерческой фирмы

,
где
ЛА1 сумма ликвидных активов первой категории;
ОА общая сумма оборотных активов (раздел II актива баланса коммерческой фирмы).
Для оценки структуры активов вычисляются доли каждого вида актива по группам: необоротные активы, оборотные активы.
Пример 2.4. Рассмотрим данные в таблице 2.8, в которой приведен сжатый баланс коммерческой фирмы.
Таблица 2.8
Активы коммерческой фирмы
|
Актив |
млн. руб. |
|
Необоротные активы |
|
|
Нематериальные активы |
1 100 |
|
Основные средства |
32 560 |
|
Долгосрочные финансовые вложения |
3 000 |
|
Незавершенное строительство |
2 430 |
|
Итого необоротных активов |
39 090 |
|
Оборотные активы |
|
|
Запасы |
3 430 |
|
Дебиторская задолженность (платежи более 12 месяцев) |
2 140 |
|
Дебиторская задолженность (платежи менее 12 месяцев) |
1 730 |
|
Денежные средства |
120 |
|
Краткосрочные финансовые вложения |
620 |
|
Итого оборотных активов |
8 040 |
|
Итого активов (баланс) |
47 130 |
В частности, доля основных средств в необоротных активах рассчитывается следующим образом:

,
где
ДОС доля основных средств;
ОС основные средства;
ПА необоротные активы.
Таким же образом рассчитываются и остальные доли. Доля необоротных активов в общих активах рассчитывается как частное от деления суммы необоротных активов на общую стоимость активов коммерческой фирмы.
Результаты расчетов представлены в таблице 2.9.
В результате комплексной оценки активов можно сделать выводы о качестве активов, а также о характере деятельности коммерческой фирмы (производственная, торговая и др.). После оценки активов коммерческой фирмы проводится оценка пассивов.
Таблица 2.9
Структура активов коммерческой фирмы
|
Актив |
Доля |
|
Необоротные активы |
|
|
Нематериальные активы |
2,81% |
|
Основные средства |
83,29% |
|
Долгосрочные финансовые вложения |
7,67% |
|
Незавершенное строительство |
6,22% |
|
Доля необоротных активов общих активах |
82,94% |
|
Оборотные активы |
|
|
Запасы |
42,66% |
|
Дебиторская задолженность (платежи более 12 месяцев) |
26,62% |
|
Дебиторская задолженность (платежи менее 12 месяцев) |
21,52% |
|
Денежные средства |
1,49% |
|
Краткосрочные финансовые вложения |
7,71% |
|
Доля оборотных активов в общих активах |
17,06% |
|
Итого активов (баланс) |
100,00% |
Оценка пассивов коммерческой фирмы
Оценка пассивов коммерческой фирмы проводится по нескольким направлениям:
1. Оценка финансовой устойчивости.
2. Оценка структуры пассивов.
3. Оценка динамики структуры пассивов.
Оценка финансовой устойчивости проводится для расчета показателей, показывающих внутреннюю структуру пассивов предприятия. При оценке финансовой устойчивости рассчитываются следующие показатели:
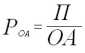
Коэффициент общей платежеспособности, определяющий долю собственного капитала в имуществе фирмы

,
где
Коп коэффициент общей платежеспособности;
СК собственный капитал;
ВБ валюта баланса.
С помощью этого показателя оценивается самостоятельность коммерческой фирмы и ее независимость от внешних источников финансирования.
Коэффициент автономии, соизмеряющий собственный и заемный капитал

,
где
КАВ коэффициент автономии;
ЗК заемный капитал.
Данный показатель непосредственно связан с коэффициентом общей платежеспособности.
Коэффициент капитализации прибыли (ККП), который показывает динамику увеличения уставного фонда за счет накопленной прибыли

,
где
УФ уставный фонд коммерческой фирмы.
Финансовый рычаг (ФР), представляющий соотношение заемного и собственного капиталов, рассчитываемое по формуле

.
Финансовый рычаг позволяет увеличить финансовые возможности коммерческой фирмы за счет привлечения заемных средств. Таким образом, с помощью этого показателя можно оценить, какой стратегией пользуется коммерческая фирма при привлечении средств для финансирования своей деятельности.
Оценка структуры пассивов проводится аналогично оценке структуры пассивов, для этого пассивы подразделяются на группы.
|
I группа Капитал и резервы: |
|
Уставный капитал. |
|
Добавочный капитал. |
|
Резервный капитал. |
|
Резервы по сомнительным долгам. |
|
Фонды накопления. |
|
Фонд социальной сферы. |
|
Целевые финансирования и поступления. |
|
Нераспределенная прибыль. |
|
II группа Долгосрочные пассивы: |
|
Заемные средства. |
|
Прочие долгосрочные пассивы (арендные обязательства). |
|
III группа Краткосрочные пассивы: |
|
Заемные средства. |
|
Кредиторская задолженность. |
|
Расчеты по дивидендам. |
|
Доходы будущих периодов. |
|
Фонды потребления. |
|
Резервы предстоящих расходов и платежей. |
|
Прочие краткосрочные пассивы. |
Далее следует расчет долей видов пассивов в группах, а также оценка удельного веса групп пассивов в общих пассивах.
Таким образом, можно оценить насколько рациональную политику ведет коммерческая фирма по привлечению средств.
Пример 2.5. Исходные данные для расчетов приведены в таблице 2.10.
Расчет структуры проводится по описанному плану, в частности, доля нераспределенной прибыли в группе "Капитал и резервы" рассчитывается следующим образом:

,
где
ДНП доля нераспределенной прибыли;
НП сумма нераспределенной прибыли;
СК сумма собственных средств коммерческой фирмы.
Таблица 2.10
Пассив коммерческой фирмы
|
Пассив |
млн. Руб. |
|
Уставный капитал |
20 000 |
|
Добавочный капитал |
130 000 |
|
Резервный капитал |
30 000 |
|
Резервы по сомнительным долгам |
12 000 |
|
Фонды накопления |
3 000 |
|
Фонд социальной сферы |
1 500 |
|
Целевые финансирования и поступления |
1 200 |
|
Нераспределенная прибыль прошлых лет |
7 000 |
|
Итого 1 группа |
204 700 |
|
Заемные средства |
40 000 |
|
Прочие долгосрочные пассивы (арендные обязательства) |
120 000 |
|
Итого 2 группа |
160 000 |
|
Заемные средства |
9 000 |
|
Кредиторская задолженность |
15 000 |
|
Расчеты по дивидендам |
2 000 |
|
Доходы будущих периодов |
3 000 |
|
Фонды потребления |
8 000 |
|
Резервы предстоящих расходов и платежей |
3 000 |
|
Прочие краткосрочные пассивы |
7 000 |
|
Итого 3 группа |
47 000 |
|
Итого пассивов |
411 700 |
Результаты вычислений представлены в таблице 2.11.
Таблица 2.11
Структура пассивов
|
Статьи |
Доля |
|
Уставный капитал |
9,77% |
|
Добавочный капитал |
63,51% |
|
Резервный капитал |
14,66% |
|
Резервы по сомнительным долгам |
5,86% |
|
Фонды накопления |
1,47% |
|
Фонд социальной сферы |
0,73% |
|
Целевые финансирования и поступления |
0,59% |
|
Нераспределенная прибыль прошлых лет |
1,47% |
|
Нераспределенная прибыль отчетного года |
1,95% |
|
Итого 1 группа |
49,72% |
|
Заемные средства |
25,00% |
|
Прочие долгосрочные пассивы (арендные обязательства) |
75,00% |
|
Итого 2 группа |
38,86% |
|
Заемные средства |
19,15% |
|
Кредиторская задолженность |
31,91% |
|
Расчеты по дивидендам |
4,26% |
|
Доходы будущих периодов |
6,38% |
|
Фонды потребления |
17,02% |
|
Резервы предстоящих расходов и платежей |
6,38% |
|
Прочие краткосрочные пассивы |
14,89% |
|
Итого 3 группа |
11,42% |
|
Итого пассивов |
100,00% |
Динамика структуры пассивов оценивается для того, чтобы изучить возможные сезонные колебания в структуре пассивов и выяснить, в какие промежутки времени коммерческая фирма испытывает трудности с финансированием. После проведения оценки активов, а также по окончании оценки пассивов проводится оценка соотношения активов и пассивов.
Оценка соотношения активов и пассивов коммерческой фирмы
Для оценки соотношения активов и пассивов проводится два этапа исследования: оценка ликвидности баланса, расчет показателей структуры. Ликвидность баланса предприятия это способность предприятия отвечать по краткосрочным обязательствам своими текущими активами. Для оценки ликвидности баланса коммерческой фирмы используют следующие показатели:
Коэффициент общей ликвидности, который характеризует степень обеспеченности текущими активами всех краткосрочных обязательств предприятия

,
где
КОЛ коэффициент общей ликвидности;
ОА оборотные активы;
ТП краткосрочные пассивы.
Коэффициент промежуточной ликвидности, характеризующий способность предприятия выполнять краткосрочные обязательства с учетом того, что предприятию придется быстро реализовать все оборотные активы для выполнения обязательств

,
где
КПЛ коэффициент промежуточной ликвидности;
ОАР оборотные активы, взвешенные с учетом значения ликвидности по видам активов.
Коэффициент абсолютной (мгновенной) ликвидности, определяющий способность предприятия выполнять краткосрочные обязательства за счет ликвидных активов первой категории ликвидности

,
где
КАЛ коэффициент абсолютной ликвидности;
ОА1 оборотные активы первой категории ликвидности;
Расчет показателей структуры позволяет оценить соотношение различных групп активов и пассивов для определения возможностей реструктуризации баланса и улучшения финансового состояния. На этапе оценки структуры вычисляются следующие показатели.
Сумма мобильных активов рассчитывается по формуле:

,
где
МА мобильные активы.
Значение мобильных активов можно рассчитать и как разность между инвестированным и постоянным капиталом:

,
где
НА необоротные активы.
Использование данной формулы позволяет проанализировать причины изменения ликвидности предприятия.
Коэффициент маневренности показывает, какая часть собственного капитала вложена в наиболее маневренную (мобильную) часть активов

,
где
КМ коэффициент маневренности.
Доля собственных источников финансирования оборотных активов показывает, какая часть оборотных активов образована за счет собственного капитала

,
где
КСОА доля собственных источников финансирования оборотных активов;
НА необоротные активы;
ДП долгосрочные пассивы;
Уб убытки.
Коэффициент обеспеченности долгосрочных инвестиций определяет, какая доля инвестированного капитала иммобилизована в необоротные активы

,
где
КОДИ коэффициент обеспеченности долгосрочных инвестиций;
Коэффициент самофинансирования показывает, какая часть чистой прибыли (ЧП) предприятия направлена на его развитие, т.е. на увеличение дополнительного капитала предприятия (ДК)

,
где
КФИН коэффициент самофинансирования;
ДК добавочный капитал.
После оценки активов, пассивов, а также оценки соотношения активов и пассивов можно сделать выводы о финансовом состоянии коммерческой фирмы. Затем необходимо проанализировать эффективность ее затрат и оценить возможные пути их минимизации.
Оценка эффективности затрат
Оценка эффективности затрат позволяет определить удельную прибыль, полученную на единицу затрат. Поскольку анализируются различные виды затрат, появляется возможность определить направление оптимизации затрат коммерческой фирмы.
Для оценки эффективности затрат рассчитываются следующие показатели.
Эффективность переменных затрат показывает, насколько изменится валовая прибыль при изменении переменных затрат на 1 у.е.

,
где
ЭПЕРЗ эффективность переменных затрат;
ВП валовая прибыль;
ЗПЕР переменные затраты.
Эффективность постоянных затрат иллюстрирует степень отдаления предприятия от точки безубыточности

,
где
ЭПОСТЗ эффективность постоянных затраты;
ПОСНД прибыль от основной деятельности;
ЗПОСТ постоянные затраты.
Совокупная эффективность затрат показывает, сколько прибыли от основной деятельности приходится на 1 у.е. текущих затрат

,
где
ЭЗ эффективность всех затрат;
З сумма переменных и постоянных затрат.
Эффективность продаж показывает долю прибыли от основной деятельности в выручке от реализации

,
где
ЭПР эффективность продаж;
ВР выручка от реализации (без НДС).
Балансовая эффективность затрат показывает, какую балансовую прибыль получило предприятие, произведя затраты

,
где
ЭЗБ балансовая эффективность затрат;
БП балансовая прибыль.
Чистая эффективность затрат показывает, какую чистую прибыль получило предприятие, произведя затраты
ЭЗЧ =

,
где
ЭЗЧ чистая эффективность затрат;
П чистая прибыль коммерческой фирмы.
Чистая эффективность деятельности показывает, сколько чистой прибыли содержится в выручке от реализации и доходах от прочей реализации:
ЭДЧ =

,
где
ЭДЧ прибыльность всей деятельности;
Д совокупные доходы.
Точка безубыточности показывает, какую минимальную сумму предприятие должно получить при реализации продукции, чтобы покрыть свои издержки

,
где
ТБ точка безубыточности.
Абсолютное отклонение от точки безубыточности показывает, на сколько реальная выручка от реализации превосходит значение точки безубыточности

,
где
Откл отклонение предприятия от ТБ.
Запас прочности отношение предыдущего показателя к выручке от реализации, показывающее, какую долю в выручке занимает доходная часть.

,
где
ПР запас прочности.
Производственный рычаг показывает, насколько эффективно предприятие занимается неосновной деятельностью

,
где
РП производственный рычаг.
После изучения двух основополагающих документов внешней финансовой отчетности по отдельности следует расчет коэффициентов, соотносящих данные двух документов между собой.
Оценка эффективности ресурсов
На этапе оценки эффективности ресурсов финансовые результаты за определенный промежуток времени сопоставляются с различными статьями баланса в этом периоде. В ходе оценки эффективности ресурсов проводится два этапа исследования: оценка рентабельности и оценка оборачиваемости.
Рентабельность- показатель, характеризующий эффективность использования видов активов и видов пассивов. Анализ рентабельности позволяет определить отдачу на каждый вложенный рубль. Для изучения рентабельности рассчитываются следующие показатели:
Общая рентабельность (рентабельность всех ресурсов) показывает, сколько чистой прибыли (чистый экономический эффект) приходится на рубль всего вложенного в предприятие капитала

,
где
РО общая рентабельность.
Таким образом, общая рентабельность показывает эффективность функционирования исследуемого предприятия.
Рентабельность собственного капитала характеризует эффективность использования собственного капитала и показывает, сколько чистой прибыли приходится на рубль собственного капитала

,
где
РСК рентабельность собственного капитала.
Рентабельность уставного капитала характеризует эффективность использования уставного капитала и показывает, сколько чистой прибыли приходится на рубль уставного капитала

,
где
РУК рентабельность уставного капитала.
Рентабельность необоротных активов характеризует эффективность использования необоротных активов и показывает, сколько чистой прибыли приходится на рубль необоротных активов

,
где
РНА рентабельность необоротных активов;
НА необоротные активы.
Рентабельность оборотных активов характеризует эффективность использования оборотных активов и показывает, сколько чистой прибыли приходится на рубль оборотных активов

,
где
РОА рентабельность оборотных активов;
ОА оборотные активы.
После оценки рентабельности проводится расчет показателей оборачиваемости.
Оборачиваемость видов активов и пассивов коммерческой фирмы позволяет определить среднюю длительность процесса переработки и средние сроки привлечения заемных средств.
В ходе оценки оборачиваемости рассчитываются следующие показатели:
Фондоотдача (Ф), который показывает количество выручки, полученное на единицу стоимости необоротных активов.

,
где

,
НАНП стоимость необоротных активов на начало периода;
НАКП стоимость необоротных активов на конец периода.
Оборачиваемость оборотных активов исчисляется продолжительностью одного оборота в днях (оборачиваемость оборотных активов в днях) или количеством оборотов за отчетный период.
Оценка оборачиваемости включает:
оценку оборачиваемости оборотных активов;
оценку оборачиваемости краткосрочных пассивов;
анализ "чистого цикла".
Для анализа оборачиваемости рассчитываются следующие показатели:
Оборачиваемость активов (ОА) показывает, сколько раз за период "обернулся" рассматриваемый вид актива (А).

,
где

,
АНП значение актива на начало периода;
АКП значение актива на конец периода.
База для расчета оборачиваемости (числитель приведенной выше формулы) для каждого элемента текущих активов может быть разная: для дебиторской задолженности выручка от реализации, для товаров покупная стоимость реализованных товаров, для незавершенного производства и запасов себестоимость реализованной продукции.
Период оборота активов (ПОА) показывает какова продолжительность одного оборота актива в днях (срок "бездействия").

.
Сумма периодов оборота отдельных составляющих текущих активов, за исключением денежных средств, составляет "затратный цикл" предприятия.
Период оборота предъявленных счетов (кредит поставщиков) и период оборота авансов и предоплат (кредит покупателей) рассчитываются по формулам, аналогичным периодам оборота активов. Период оборота прочих текущих пассивов определяется экспертным методом, исходя из частоты выплаты заработной платы и налогов.
Сумма периодов оборота текущих пассивов составляет "кредитный цикл" предприятия.
Разность между "затратным циклом" и "кредитным циклом" составляет "чистый цикл". "Чистый цикл" важнейший показатель, характеризующий финансовую организацию основного производственного процесса. Рост этого показателя свидетельствует о росте потребности в финансировании со стороны внешних по отношению к производственному процессу источников (собственный капитал, кредиты).
Отрицательное значение "чистого цикла" может означать, что кредиты поставщиков и покупателей с избытком покрывают потребность в финансировании производственного процесса и предприятие может использовать образующийся излишек на иные цели, например, на финансирование постоянного капитала.
Оценка дополнительных показателей
Как правило, в качестве дополнительных показателей, характеризующих деятельность коммерческой фирмы, используют показатели, позволяющие оценить вероятность ее банкротства. Вероятность банкротства коммерческой фирмы это одна из оценочных характеристик текущего состояния и обстановки на исследуемой коммерческой фирмы.
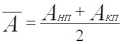
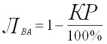
Одним из самых распространенных способов оценки вероятности банкротства является метод совокупной оценки некоей модели. В частности, один из показателей вероятности банкротства получил название показателя Альтмана по имени своего создателя.
В формуле Альтмана используются пять переменных:
х1 = ОА / ВБ отношение оборотного капитала к сумме активов фирмы;
х2 = ДК / ВБ отношение нераспределенного дохода к сумме активов;
х3 = ПОСНД / ВБ отношение операционных доходов (до вычета процентов и налогов) к сумме активов;
х4 = УК / ВБ отношение рыночной стоимости акций фирмы к общей сумме активов;
х5 = ВР / ВБ отношение суммы продаж к сумме активов.
Для оценки финансовой устойчивости можно пользоваться следующей формулой, адаптированной к российской терминологии:

,
где
КА показатель (коэффициент) Альтмана.
Степень близости предприятия к банкротству определяется по шкале, представленной в таблице 2.12.
Таблица 2.12
|
Значение КА |
Вероятность банкротства |
|
менее 1.8 |
очень высокая |
|
от 1.81 до 2.7 |
высокая |
|
от 2.71 до 2.99 |
средняя |
|
от 3.0 |
низкая |
Принимая во внимание, что формула расчета КА в представленном здесь виде отличается от оригинала (в частности, вместо уставного капитала (УК) в оригинальном варианте используется рыночная стоимость акций неопределяемый сейчас для большинства фирм показатель) рекомендуется снизить верхнюю границу "очень высокой" степени вероятности банкротства до 1.
При ретроспективном анализе предприятия следует обращать внимание не столько на шкалу вероятностей банкротства, сколько на динамику этого показателя.
Лизинг
Таким путем с помощью незначительной суммы денег в сравнении с общей суммой денежных операций между банком и клиентом сводится окончательный расчет по всему кругу денежных операций. При этом достигается результат, благодаря которому и банк, и его клиент, несмотря на возможную взаимную задолженность, могут свободно распоряжаться суммой денежных средств, равной сумме платежей до окончания контокоррентного периода или оговоренной заранее даты сверки взаимной задолженности, и уплачивают лишь выведенное сальдо.
Таким образом, при контокорренте действительный взаимный платеж требуется лишь в отношении остатка (сальдо) в пользу либо банка, либо клиента.
Выяснение экономического содержания контокоррента и его цели дает возможность определить: к какому роду договоров контокоррент должен быть отнесен. Цель контокоррента состоит в том, чтобы сохранить у контрагентов суммы денег, которые они были бы обязаны уплатить своему контрагенту, на решение других проблем, т. е. ускорить оборот их средств, расширить операции. С этой целью обе стороны, участвующие в контокоррентном договоре, соглашаются исключить платежи по каждой отдельно проведенной операции и выплатить в будущем или получить сальдо платежей по этим операциям.
Подобные отсрочки платежей по существу являются кредитными сделками. Поэтому контокоррент это договор, направленный к взаимному открытию кредита.
Предметом его является кредит, а сам договор представляет собой вид кредитной сделки.
Не случайно особое распространение контокоррент получил в банковском деле, где сношения с клиентами так часты, что расчеты с ними по каждой отдельной операции затормозили бы сделки. Но кроме общеэкономического значения банковский контокоррент имеет и свое специальное значение предоставление кредита и исчисление доходов от кредита.
В контокоррент вносятся и комиссионные, которые банк берет за определенные услуги. Заключение контокоррента обычно производится два раза в год, иногда каждые три месяца.
Промежуток времени между контокоррентными договорами называется контокоррентным периодом.
При заключении контокоррентного договора сторонам предоставляется значительный простор для установления условий этого договора: процент, начисляемый при контокорренте; продолжительность срока договора; предоставляется ли право одному из корреспондентов односторонне требовать досрочного прекращения контокоррента и установления сальдо ранее конца предполагавшегося контокоррентного периода.
По контокоррентному счету начисляются проценты, поступающие в пользу кредитора, причем различные по своей величине. Процент, начисляемый клиенту, ниже процента, начисляемого банку.
В современных российских условиях коммерческие банки заключают непосредственно контокоррентные договора преимущественно с органами государственной власти, кредитоспособность которых находится вне сомнений. В Москве, например, это мэрия, префектуры и т. п. При открытии контокоррентного счета в хозяйственной организации любой формы собственности, естественно, если коммерческий банк идет на заключение с ней контокоррентного договора, явление в настоящее время весьма нечастое, ее расчетный счет в банке закрывается и остаток средств на указанном счете перечисляется в кредит ссудного счета, который и начинает выполнять роль контокоррентного счета.
Контокоррент распространен во многих странах мира, однако в англосаксонских странах, применяется иная форма краткосрочного кредита, имеющая некоторое сходство с контокоррентом. Это овердрафт.
Предоставляя овердрафт клиенту, банк осуществляет списание средств со счета клиента сверх остатка на этом счете, т. е. открывает кредит. При этом между банком и клиентом заключается договор о максимальной сумме овердрафта, условиях его предоставления и порядке погашения.
Отметим, что порядок погашения овердрафта точно такой же, как и контокоррентного кредита: на погашение задолженности направляются все суммы, зачисляемые на текущий счет клиента. Поэтому по мере поступления средств на текущий счет клиента объем кредита по овердрафту сокращается, как это происходит и при контокорренте.
Но принципиальное отличие овердрафта от контокоррента состоит в том, что договор об овердрафте каждый раз заключается заново, включая в себя лишь одно соглашение о предоставлении кредита, а договор по контокорренту предполагает автоматическое продление кредитных соглашений на протяжении всего0 контокоррентного периода.
Лизинг
Одной из наиболее новых и стремительно развивающихся форм кредита сегодня является лизинг.
Слово лизинг английского происхождения, точного аналога которому в русском языке нет. Обычно и у нас, и за рубежом под лизингом понимают долгосрочную аренду машин, оборудования, транспортных средств и другого движимого и недвижимого имущества производственного назначения.
Но это не обычная аренда, а специфическая, приближающая лизинг к кредиту. В отличие от аренды в нем участвуют, как правило, не два, а три и более субъектов: поставщик оборудования, лизинговая (финансовая) компания и пользователь.
Кроме того, могут быть посред0ники, гаранты и др.
Сам процесс лизинга можно разбить на несколько стадий:
1. Пользователь (лизинговый получатель, арендатор) находит предприятие, которое производит необходимое ему оборудование, обговаривает с ним техническую сторону дела и заключает предварительное соглашение о поставке.
2. Лизингополучатель (иногда вместе с изготовителем) обращается в лизинговую компанию с просьбой купить для него это оборудование у поставщика, а затем предоставить ему во временное владение.
3. Лизинговая компания, купив это оборудование и став его собственником, передает его во временное пользование арендатору за определенную плату.
При отсутствии у потенциального лизингополучателя полной информации о товаропроизводителях, ему просто выгоднее обратиться к лизинговой компании с просьбой определить поставщика необходимого ему оборудования, чем самому заниматься поисками поставщика.
Таким образом, лизинг включает отношения купли-продажи и отношения аренды. Но стержнем отношений здесь является кредитная операция, а ключевой фигурой лизинговая компания, которая оказывает арендатору финансовую услугу.
Лизингодатель покупает имущество в собственность за полную стоимость, но не для себя, а для пользователя, который получает и использует это имущество, не выкладывая деньги полностью, а периодически выплачивая за это соответствующие взносы. Следовательно, лизинг можно рассматривать как передачу имущества во временное пользование на условиях возвратности, срочности, платности, то есть квалифицировать как кредит в основной капитал.
Поэтому с экономической точки зрения лизинг есть специфический кредит, предоставляемый лизингодателем лизингополучателю в форме передаваемого в пользование имущества.
Существует великое множество лизинговых операций, отличающихся друг от друга по составу участников, типу имущества, срокам аренды, степени окупаемости, объему услуг и другим признакам.
Кратко рассмотрим достоинства и выгоды лизинга.
1. Лизинг дает возможность получить оборудование в пользование без его полной оплаты, организовать новое производство без мобилизации необходимых крупных финансовых ресурсов. С его помощью лизингополучатель решает проблему приобретения и финансирования оборудования одновременно.
А при международном лизинге смягчается проблема привлечения инвалютных средств.
2. Возможность опробовать оборудование до полной оплаты, т. е. до приобретения в собственность и использовать сезонное оборудование только в течение периода, когда оно необходимо.
3. Закупка предоставляемого по лизингу оборудования по оптимальным рыночным ценам. Не только лизингополучатель, но и лизингодатель заинтересованы в минимизации цены на оборудование.
4. Не привлекается заемный капитал. Лизинг не утяжеляет активы предприятия и помогает поддерживать оптимальное соотношение собственного и заемного капитала.
5. Широкий спектр сопутствующих услуг по наладке и обслуживанию приобретаемого оборудования, более гибкий порядок осуществления лизинговых платежей. Лизингополучатель сам принимает участие в процессе заключения сделки, совместно с лизинговой компанией определяет основные условия финансирования: срок, сумму и объем дополнительных услуг, периодичность платежей, фиксированную или плавающую процентную ставку, условия закупки объекта лизинга у поставщика и условия расчетов с лизингодателем.
6. Лизинговые платежи могут производиться из выручки от продажи производимой на арендуемом оборудовании продукции и не только в денежной, но и в товарной форме (компенсационный лизинг).
7. Налоговые выгоды. Во-первых, плата пользователя оборудования в лизинговой сделке относится на издержки производства и соответственно снижает облагаемую налогом прибыль, а значит и размер налога, изымаемого в бюджет.
Во-вторых, как правило, налоговое законодательство предусматривает для лизинговых сделок систему ускоренной амортизации, т. е. дополнительных налоговых льгот не только арендатору, но и арендодателю.
8. Лизинг освобождает арендатора от процедур и расходов, связанных с владением имуществом, поскольку юридическим собственником остается лизингодатель.
9. Лизинг расширяет возможности сбыта продукции для фирм-производителей. Достаточно отметить, например, что крупнейшая в мире компания по производству компьютеров IВМ реализует посредством лизинга более 80% всей производимой продукции.
Вместе с тем в процессе анализа вопросов о возможности использования лизинга необходимо учитывать, что:
лизинг дает лишь временное право арендатору пользоваться оборудованием;
краткосрочный лизинг может быть экономически невыгоден для арендодателя, а при определенных условиях и для арендатора;
лизинг может быть и более дорогостоящим, чем банковский кредит на покупку такого же имущества. Поэтому исключительное значение имеет расчет уровня и график выплаты лизинговых платежей.
Правовые основы лизинга. Важным условием успешного развития лизинга является его правовое обеспечение.
На это следует обратить особое внимание потому, что, с одной стороны, лизинговые отношения чрезвычайно сложны, а с другой стороны потому что в разных странах они квалифицируются и регулируются неодинаково, что для российских предпринимателей имеет особое значение при международном лизинге.
В Российской Федерации, как и в других странах СНГ, пока нет специальных законов, регулирующих лизинговые отношения. Пока эти отношения регулируются законодательными актами по договору имущественного найма (аренды), в частности Основами гражданского законодательства Союза ССР и союзных республик, введенными в действие с 1 января 1992 года (глава 10 "Аренда"), а также Гражданским кодексом РСФСР (глава ХХVI "Имущественный наем").
В соответствии с пунктом "м" ст. 5 "Банковские операции и сделки" Закона РСФСР "О банках и банковской деятельности в РСФСР" банкам разрешено проведение лизинговых операций, т. е. они имеют право не только кредитовать лизинговые компании, создавать таковые, но и сами непосредственно заниматься лизингом.
Развитие лизинга в нашей стране прошло 3 кратких этапа. Первый до конца 80-х годов.
Лизинг использовался в очень ограниченных масштабах и только в сфере международной торговли.
Предприятия не имели свободного выхода на внешний рынок, а значит и иностранной валюты для оплаты импортного оборудования. Существовала государственная монополия внешней торговли и государственная валютная монополия. Лизинг рассматривался советскими внешнеторговыми организациями как одна из форм приобретения или реализации станков, оборудования, транспортных средств, вычислительной техники с использованием специальной формы кредита.
Лизинг фиксировался в соглашениях советских партнеров с иностранными как аренда на определенный срок, соответствующий сроку службы сдаваемого в аренду имущества (или несколько меньший) с сохранением права собственности за арендодателем.
Наиболее активно лизинговые операции использовались в импорте в СССР морских судов, контейнеров, грузового автотранспорта, а в 1990 г. нескольких пассажирских самолетов западноевропейского производства. Реже практиковалась сдача в аренду экспортируемых из СССР машин и оборудования, в первую очередь, тракторов и автомашин.
Второй этап продолжался немногим больше двух лет. Это была короткая "оттепель" в развитии лизинга в России. Она началась весной 1989 года, после того, как с 1 апреля этого года предприятия получили право выхода на внешний рынок, в связи с чем у многих из них появился источник иностранной валюты, а затем возможность приобретения ее на внутреннем рынке.
Кроме того, открылась возможность для компенсационного лизинга, позволяющего, как уже отмечалось, осуществлять расчеты по лизингу оборудования не валютой, а поставками производимой на нем продукции.
Значительный импульс развитию лизинга на этом этапе был дан в середине 1989 года в связи с переводом предприятий на арендные формы хозяйствования и перестройкой банковской системы, созданием коммерческих и кооперативных банков. Коммерческие банки на полгода раньше существовавших тогда специализированных государственных банков приступили к развертыванию лизинговых операций.
Однако робкие всходы лизингового бизнеса на ниве российского предпринимательства, не окрепнув, начали чахнуть. Начавшаяся в январе 1992 года либерализация цен и неуправляемая инфляция дестабилизировали всю финансовую и кредитно-денежную систему России. Разразился не только неслыханный спад производства, но и еще более глубокий инвестиционный кризис.
Начался третий этап в развитии лизинга.
Факторинг
Факторинг это покупка банком или специализированной факторинговой компанией денежных требований поставщика к покупателю и их инкассация за определенное вознаграждение.
Суть факторинга состоит в том, что факторинговая компания (или фактор-фирма) покупает у своих клиентов их платежные требования к покупателям на условиях немедленной оплаты 80-90% стоимости отфактурованных поставок и уплаты остальной части, за вычетом комиссионных и процентов за кредит в строго определенные сроки, независимо от поступления выручки от покупателей. Разумеется, поступающий затем платеж от покупателя зачисляется на счет фактор-компании.
В соответствии с Конвенцией о международном факторинге, принятой в 1988 г. Международным институтом унификации частного права, операция считается факторингом в том случае, если она удовлетворяет хотя бы двум требованиям из четырех:
1. Наличие кредитования в форме предварительной оплаты долговых требований.
2. Ведение бухгалтерского учета поставщика, прежде всего учета реализации.
3. Инкассирование его задолженности.
4. Страхование поставщика от кредитного риска.
Форфейтинг
Это одна из самых новых форм кредитования. Форфейтинг кредитование экспортера путем покупки векселей или других долговых требований.
Это форма трансформации коммерческого кредита в банковский.
Продавцом при форфейтинге обычно выступает экспортер, выполнивший свои обязательства по контракту и стремящийся инкассировать расчетные документы импортера с целью получить наличные средства. В качестве покупателя (форфетера) обычно выступает банк или специализированная компания.
Покупатель (банк) берет на себя коммерческие риски, связанные с неплатежеспособностью импортеров без права регресса (оборота) этих документов на экспортера.
Если импортер не является первоклассным заемщиком, пользующимся несомненной репутацией, форфетер требует по приобретаемым долговым обязательствам безусловную гарантию банка страны импортера. Форфетер приобретает долговые требования за вычетом процентов за весь срок, на который они выписаны.
Тем самым экспортная сделка превращается в наличную.
Форфетер может хранить купленные документы у себя. В этом случае затраченные им средства рассматриваются как капиталовложения. Но он может продать их другой форфейтинговой фирме также на безоборотной основе.
С наступлением срока платежа конечный держатель документов предъявляет их в банк для оплаты.
Для проведения особо крупных сделок форфетеры образуют консорциумы. Форфейтинг как метод трансформации коммерческого кредита в банковский представляет для экспортера ряд преимуществ:
1. Многократно ускоряет поступление средств за экспортируемый товар, а значит и оборот всего капитала.
2. Освобождает от риска неплатежа, от валютного риска.
3. Упрощает баланс предприятия за счет частичного освобождения от дебиторской задолженности.
4. Освобождает от рисков, связанных с колебанием процентных ставок.
Недостатки для экспортера сводятся к возможным относительно более высоким расходам по передаче рисков форфетеру. Рассматривая главные условия форфейтинговой сделки, основное внимание следует уделить механизму погашения, валюте, дисконтированию, видам форфетируемых документов, банковской гарантии и дополнительным условиям.
Форфейтинг одна из самых новых форм кредитования внешней торговли, который появился под влиянием быстрого роста экспорта дорогостоящего оборудования с длительным сроком производства, усиления конкурентной борьбы на мировых рынках и повышения роли кредита в развитии мировой торговли.
Внутрибанковский кредит
Коммерческий банк финансовый посредник между теми, кто располагает временно свободными денежными средствами и теми хозяйственными единицами, которые нуждаются в дополнительном капитале. В основе структуры коммерческого банка лежат две главные составляющие: подразделения, задача которых формировать финансовые ресурсы банка, и подразделения, размещающие средства на внешнем рынке (см.
1.1). В рамках банка финансовые ресурсы передаются от одной функциональной единицы к другой, формируя тем самым внутрибанковский оборот денежных средств, без оценки которого в широком смысле невозможен финансовый анализ деятельности как отдельных подразделений банка, так и банка в целом, в узком смысле контроль за банковской маржей.
Модель внутрибанковского оборота денежных средств
Движение денежных средств внутри банка рассматривается как последовательность сделок по внутрибанковскому кредитованию.
К ресурсам, рассматриваемым в качестве объекта внутрибанковского оборота, относятся денежные средства, находящиеся в распоряжении профит-центров и венчуров, а также казначейства коммерческого банка (это подразделение, основной задачей которого, как правило, является реализация централизованного управления движением потоков денежных средств, образуемых в результате деятельности банка).
Эти средства могут быть разбиты на четыре группы: денежные средства, внесенные на срочные вклады и вклады до востребования, свободные ресурсы, целевые ресурсы, собственный капитал-нетто коммерческого банка.
Движение денежных средств внутри банка в данном случае рассматривается как некая последовательность сделок по внутрибанковскому кредитованию. При этом величина дохода подразделения, передающего ресурс, будет определяться полученным спрэдом.
Международный кредит
Международный кредит носит как частный, так и государственный характер, отражая движение ссудного капитала в сфере международных экономических и валютно-финансовых отношений. Международный кредит выполняет следующие функции, отражающие специфику движения ссудного капитала в сфере международных экономических отношений:
1. Перераспределение ссудных капиталов между странами для обеспечения потребностей расширенного воспроизводства. Через механизм международного кредита ссудный капитал устремляется в те сферы, которым отдают предпочтение экономические агенты в целях обеспечения прибылей.
Тем самым кредит способствует выравниванию национальной прибыли в среднюю прибыль и повышению ее массы.
2. Экономия издержек обращения в сфере международных расчетов путем замены действительных денег кредитными, а также путем развития и ускорения безналичных платежей, замены наличного валютного оборота международными кредитными операциями. На базе международного кредита возникли кредитные средства международных расчетов векселя, чеки, а также банковские переводы, депозитные сертификаты и др.
Экономия времени обращения ссудного капитала в международных экономических отношениях увеличивает время производительного функционирования капитала, обеспечивая расширение производства и рост прибылей.
3. Ускорение концентрации и централизации капитала: благодаря привлечению иностранных кредитов ускоряется процесс капитализации прибавочной стоимости, раздвигаются границы индивидуального накопления, капиталы предпринимателей одной страны увеличиваются за счет присоединения к ним средств других стран. Международный кредит издавна выступает фактором превращения индивидуальных предприятий в акционерные общества, создания новых фирм, монополий. Кредит дает возможность распоряжаться в известных пределах капиталом, собственностью и трудом других стран.
Льготные международные кредиты крупным компаниям и затруднение доступа мелких и средних фирм к мировому рынку ссудных капиталов способствуют усилению концентрации и централизации капитала.
Значение функций международного кредита неравноценно и меняется по мере развития национального и мирового хозяйства. В современных условиях международный кредит выполняет функцию регулирования экономики и сам является объектом регулирования.
Кредитоспособность субъекта рынка ссудных капиталов
Конкуренция как неотъемлемый элемент рыночных отношений предполагает не только определенный экономический динамизм, но и его обратную, негативную сторону стагнацию производства. Условия функционирования любого субъекта рыночных отношений таковы, что ему самому приходится решать проблему привлечения оборотных средств для возобновления нормального процесса функционирования.
В этом случае субъект рыночных отношений становится заемщиком и обращается к другой стороне кредитору.
При размещении денежных средств их владелец всегда стремится обезопасить себя от возможных потерь, которые могут быть вызваны невозвратом вложенных сумм. Возможность потери вложенных средств или их части называется риском невозврата. Задача кредитора минимизировать вероятные потери (риски).
В этой связи для кредитора возникает задача тщательного отбора потенциальных контрагентов.
Известно, что кредитный риск связан с возможностью невыполнения заемщиком своих финансовых обязательств. Наиболее распространенными в практике зарубежных банков мероприятиями, направленными на снижение кредитного риска являются:
1. Оценка кредитоспособности заемщика.
В практике зарубежных банков все большее распространение получает метод, основанный на балльной оценке ссудополучателя. Этот метод предполагает определение рейтинга клиента.
Критерии, по которым производится оценка заемщика, строго индивидуальны для каждого банка, базируются на его практическом опыте и периодически пересматриваются.
2. Уменьшение размеров выдаваемых кредитов одному заемщику.
Этот способ применяется, когда банк не полностью уверен в достаточной кредитоспособности клиента.
3. Страхование кредитов.
Страхование кредита предполагает полную передачу риска его невозврата организации, занимающейся страхованием. Все расходы, связанные со страхованием, как привило, относятся на ссудополучателей.
4. Привлечение достаточного обеспечения.
Такой метод практически гарантирует банку возврат выданной суммы и получение процентов. Приоритет при защите от кредитного риска отдается не привлечению достаточного обеспечения, предназначенного для покрытия убытков, а анализу кредитоспособности заемщика, направленному на недопущение этих убытков, поскольку ссуда выдается в расчете на то, что она будет возвращена в соответствии с кредитным договором.
5. Выдача дисконтных ссуд.
Дисконтные ссуды лишь в небольшой степени позволяют снизить кредитный риск. Такой способ предоставления кредитов гарантирует как минимум получение платы за кредит, а вопрос о ее возврате остается открытым, если не используются другие методы защиты от кредитного риска.
Оценка неформальных показателей
Показатель вероятности банкротства является комплексным показателем, включающим в себя целую группу показателей, характеризующих разные стороны деятельности предприятия: структуру активов и пассивов, рентабельность и оборачиваемость.
Оценка неформальных показателей проводится с помощью проведения экспертных опросов.
3. определение кредитоспособности реальных субъектов рынка ссудных капиталов 3.1. Оценка кредитоспособности АКБ Конверсбанк на основе расчета формальных показателей
Проверка и подтверждение на практике предложенных теоретических разработок одна из главных целей любого прикладного исследования. Поэтому представляется целесообразным провести оценку кредитоспособности какого-либо банка, а также какой-либо коммерческой или производственной фирмы. Для проведения практических исследований выбраны:
АКБ Конверсбанк;
АО Челябинский тракторный завод.
Данные для оценки кредитоспособности получены в ходе практической деятельности. Рассмотрим баланс АКБ Конверсбанк на 1.01.97 (приложение 1).
Далее проводится расчет формальных показателей.
Оценка активов АКБ Конверсбанк
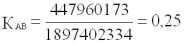
Первым шагом анализа баланса банка является преобразование его из развернутой формы в агрегированную согласно Временной инструкции по составлению общей финансовой отчетности коммерческими банками, принятой ЦБ РФ 24 августа 1993 г., 17. Агрегированный баланс АКБ Конверсбанк приведен в таблице 3.1.
С помощью агрегированного баланса изучается структура активов и рассчитываются значения некоторых формальных показателей.
Таблица 3.1
Агрегированный баланс АКБ Конверсбанк на 1.01.97 г.
|
Актив |
Тыс. руб. |
|
1. Денежные средства |
187 835 918 |
|
2. Депозиты |
609 596 499 |
|
3. Долговые ценные бумаги |
229 588 749 |
|
4. Ценные бумаги для перепродажи |
11 695 862 |
|
5. Ссуды |
668 448 619 |
|
6. Лизинг клиентам |
0 |
|
7. Минус: резерв на возможные потери по ссудам |
0 |
|
8. Чистые ссуды и лизинг клиентам |
668 448 619 |
|
9. Основные средства и нематериальные активы (за минусом износа) |
324 662 469 |
|
10. Инвестиционные ценные бумаги |
|
|
11. Наращенные доходы и авансовые расходы |
11 136 439 |
|
12. Прочие активы |
302 397 952 |
|
13. Всего активов |
2 345 362 507 |
|
Пассив |
|
|
Заемные средства |
|
|
14. Депозиты ЦБ РФ |
0 |
|
15. Депозиты банков и других кредитных учреждений |
238 648 818 |
|
16. Депозиты клиентов |
1 080 814 574 |
|
17. Наращенные расходы и досрочные расходы |
|
|
18. Выпущенные долговые ценные бумаги |
318 301 085 |
|
19. Прочие заемные средства |
248 679 996 |
|
20. Резерв на покрытие рисков |
10 957 861 |
|
21. Всего заемные средства |
1 897 402 334 |
|
Капитал |
|
|
22. Уставный капитал (простые акции) |
60 000 000 |
|
23. Привилегированные акции |
|
|
24. Эмиссионные разницы |
|
|
25. Прибыль, оставленная в распоряжении банка |
215 408 567 |
|
26. Переоценка основных средств |
|
|
27. Чистая прибыль (убыток) отчетного периода |
172 551 606 |
|
28. Всего капитал |
447 960 173 |
|
29. Всего пассивов |
2 345 362 507 |
Далее рассчитаем структуру активов по группам и проанализируем ее (результаты расчета в табл. 3.2)
Таблица 3.2
Структура активов АКБ Конверсбанк
Структура активов баланса
|
Наименования статей |
Доли в общих активах |
|
Денежные средства, счета в Центральном банке |
11,00% |
|
Средства в кредитных организациях |
35,71% |
|
Вложения в ценные бумаги, паи и акции |
14,14% |
|
Кредиты предприятиям, организациям и населению |
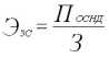
39,16% |
|
Итого оборотных активов |
100,00% |
|
Доля в общих активах |
72,79% |
|
Основные средства и нематериальные активы |
50,87% |
|
Прочие активы |
49,12% |
|
Итого необоротных активов |
100,00% |
|
Доля в общих активах |
27,21% |
|
Итого активов |
100,00% |
Схематически структура оборотных активов представлена на 3.1.

Структура оборотных активов АКБ Конверсбанк
Доля денежных средств в оборотных активах покажет мобильность и рискованность вложений банка.

,
Таким образом, около 10% оборотных активов это денежные средства, что говорит о высокой степени мобильности оборотных активов. Это несомненно является положительным фактором при оценке кредитоспособности.
Следующим шагом оценки активов проводится оценка ликвидности и сравнение суммы активов, взвешенных с учетом риска с общей суммой актива по балансу.
Сумма активов, взвешенных с учетом риска составляет 4 170 630 026 тыс. руб. Это свидетельствует о том, что совокупная ликвидность активов банка составляет

Таким образом, совокупный интегральный коэффициент риска баланса составляет 18%. То есть, можно сказать, что практически все активы находятся в первой или второй группах риска.
Для оценки активов рассчитаем значения основных формальных показателей.
Значение показателя мобильности активов равно

,
Как видно из расчетов, сумма оборотных активов примерно в 2,7 раза больше, чем необоротных. АКБ Конверсбанк большую часть своих ресурсов вкладывает в активы, приносящие доход через непродолжительное время, то есть краткосрочные финансовые вложения.
Значение показателя общей ликвидности активов

,
что в 3 раза больше норматива ЦБ РФ на 1.07.96, а также в 1,5 раза больше норматива на 1.02.97.
Оценивая активы АКБ Конверсбанк в целом, можно сделать следующие выводы:
риск активов АКБ Конверсбанк находится в пределах второй группы риска;
значения расчетных показателей находятся в пределах допустимых значений.
То есть, активы банка достаточно высокого качества и в целом свидетельствуют о высокой надежности АКБ Конверсбанк как заемщика.
Оценка пассивов АКБ Конверсбанк
Следующим шагом оценки кредитоспособности АКБ Конверсбанк является оценка качества пассивов, а также расчет формальных показателей, характеризующих его пассивы.
В первую очередь необходимо проанализировать структуру пассивов.
Результаты расчета представлены в таблице 3.3.
Таблица 3.3
Структура пассивов АКБ Конверсбанк
|
Обязательства |
|
|
Средства Центрального банка |
0,00% |
|
Средства кредитных организаций |
12,58% |
|
Средства клиентов, включая вклады населения, кредитных организаций |
56,96% |
|
Выпущенные кредитной организацией долговые обязательства |
16,78% |
|
Прочие обязательства |
13,69% |
|
Итого заемных средств |
80,90% |
| |
|
|
Капитал |
|
|
Уставный фонд |
13,39% |
|
Прочие фонды и другие собственные средства |
0 |
|
Прибыль (убыток) за отчетный год |
48,09% |
|
Использовано прибыли в отчетном году |
|
|
Нераспределенная прибыль (убыток) |
38,52% |
|
Итого собственных средств |
19,10% |
|
Итого пассивов |
100,00% |
Как видно из табл. 3.3 заемные средства АКБ Конверсбанк в 4 раза больше собственных.
Если принять во внимание , что у ведущих банков мира это соотношение равно от 30 до 200, то поддержание соотношения на существующем уровне представляется разумным в условиях нестабильной российской экономики.
На основании данных агрегированного и ежедневного баланса проведем расчет формальных показателей, относящихся к этой группе.
Коэффициент автономии равен

,
что подтверждает выводы, сделанные по данным табл. 3.3.
Коэффициент общей платежеспособности равен

,
таким образом, собственные средства составляют пятую часть источников, что позволяет банку достигать высокой отдачи на собственные средства.
Максимальный размер привлеченных вкладов за 1996 год

,
что по сути в 2 раза меньше максимально допустимого значения, установленного ЦБ РФ для банков и кредитных организаций в 1997 году.
Доля собственных средств, направленная на инвестирование по итогам 1996 года в АКБ Конверсбанк составила

,
фактическое значение КА в три раза меньше нормативного, что свидетельствует о разумной и низкорискованной инвестиционной политике АКБ Конверсбанк.
Коэффициент фондовой капитализации прибыли, значение которого равно по итогам 1996 года

,
показывает, что в целом собственные средства образованы за счет накоплений, появившихся в результате деятельности банка.
В целом по формальным показателям о пассивах АКБ Конверсбанк можно сделать следующие выводы:
значения показателей, имеющих нормативные значения, установленные ЦБ ФР, находятся в допустимых пределах;
риски, связанные с использованием собственных средств, незначительны;
структура пассивов близка к разумной, с учетом макроэкономической ситуации в России.
В совокупности оценка формальных показателей для активов и пассивов АКБ Конверсбанк говорит о том, что, достигнув низких рисков активов, а также, создав разумную структуру пассивов, банк является привлекательным заемщиком и объектом размещения инвестиций.
Оценка соотношения активов и пассивов АКБ Конверсбанк
При оценке соотношения активов и пассивов банка с целью определения его кредитоспособности особое внимание необходимо уделить тем показателям, которые при своих расчетах используют значения уже существующих займов. В этой связи на первое место выходят так называемые показатели ликвидности.
Одним из основных показателей ликвидности является показатель величины мобильных активов, характеризующий наличие у банка средств, полученных на более долгий срок, чем срок ожидаемого дохода по ним.
Показатель мобильных активов АКБ Конверсбанк равен на 1.01.97

,
значение этого показателя имеет отрицательный знак. Это свидетельствует о том, что часть краткосрочных обязательств банк будет вынужден покрыть за счет собственных средств.
Коэффициент текущей ликвидности АКБ Конверсбанк необходимо сравнить с нормативным значением, установленным ЦБ РФ

,
при нормативе 30%, то есть значение норматива превышено на 25%, что свидетельствует о достаточно высокой обеспеченности обязательств.
Значение коэффициента мгновенной ликвидности АКБ Конверсбанк

,
при нормативном значении 20%.
Для определения стратегии развития банка необходимо вычислить коэффициент долгосрочной ликвидности

,
столь низкое значение свидетельствует о недооценке банком такого инструмента как долгосрочное кредитование.
Показатель достаточности капитала

,
в 5 раз выше норматива, что свидетельствует о высокой степени обеспеченности активов собственными источниками финансирования.
Таким образом, значения практически всех показателей, рассчитанных для оценки соотношения активов и пассивов банка, позволяют сделать следующие выводы:
банк проводит осторожную кредитную политику;
значения всех коэффициентов, имеющих нормативные ограничения, находятся в допустимых пределах;
недостатком баланса можно считать отрицательное значение показателя мобильности активов;
в целом банк может быть отнесен к привлекательным заемщикам с высокой кредитоспособностью.
Оценка эффективности затрат АКБ Конверсбанк
Для оценки эффективности затрат АКБ Конверсбанк необходимо составить отчет о прибылях и убытках АКБ Конверсбанк за 1996 год. Для этого необходимо воспользоваться Инструкцией ЦБ РФ 17 от 24.08.93 г.
При формировании отчета о прибылях и убытках необходимо учитывать тот факт, что сумма прибыли в отчете о прибылях и убытках должна соответствовать значению прибыли в балансе на ту же дату.
Это одна из важнейших статей отчетности, поскольку она позволяет провести достаточно подробное исследование эффективности.
Отчет о прибылях и убытках АКБ Конверсбанк представлен в таблице 3.4.
Таблица 3.4
Отчет о прибылях и убытках АКБ Конверсбанк на 1.01.97 г.
|
Статья |
Тыс. руб. |
|
Доходы от процентов за предоставленные кредиты |
634 002 328 |
|
Доходы по операциям с ценными бумагами |
411 845 244 |
|
Доходы по валютным операциям |
166 200 109 |
|
Прочие доходы |
244 217 042 |
|
Итого доходов |
1 456 264 723 |
|
Расходы от процентов за предоставленные кредиты |
523 682 912 |
|
Расходы по операциям с ценными бумагами |
409 678 651 |
|
Расходы по валютным операциям |
109 633 909 |
|
Прочие расходы |
180 324 583 |
|
Итого расходов |
1 223 320 055 |
|
Балансовая прибыль (убыток) |
232 944 668 |
|
Чистая прибыль |
172 551 606 |

Структура расходов АКБ Конверсбанк
Структура затрат представлена на 3.2. Показатели эффективности затрат для удобства анализа можно сгруппировать в таблицу (табл.
3.5).
Таблица 3.5
Значения показателей эффективности затрат АКБ Конверсбанк
|
Наименование показателя |
Значение |
|
Эффективность затрат на обслуживание задолженности |
32,95% |
|
Эффективность расходов по операциям с ценными бумагами |
42,12% |
|
Эффективность валютных операций |
157,39% |
|
Эффективность прочих расходов |
95,69% |
|
Эффективность всех затрат |
14,11% |
В целом по отчету о прибылях и убытках АКБ Конверсбанк можно сделать следующие выводы:
наибольшее значение эффективности имеют расходы на совершение валютных операций, это обусловлено тем, что в абсолютном выражении расходы на совершение валютных операций имеют наименьшее значение;
деятельность банка в целом доходна, и эффективность всех затрат составляет 14%, это свидетельствует о достаточно осторожном поведении банка и высокой ликвидности его инвестиционного портфеля.
Оценка эффективности ресурсов АКБ Конверсбанк
Ресурсы АКБ Конверсбанк были проанализированы ранее. По итогам оценки были сделаны выводы о качестве ресурсов.
Теперь необходимо оценить насколько эффективно банк использует свои ресурсы в качестве источника получения дохода.
Для ответа на поставленный вопрос воспользуемся формальными показателями эффективности, значения которых рассчитаны по данным финансовой отчетности АКБ Конверсбанк.
Для удобства оценки результаты расчетов сведены в таблицу 3.6.
Таблица 3.6
Показатели эффективности ресурсов АКБ Конверсбанк на 1.01.97 г.
|
Наименование показателя |
Значение, % |
|
Рентабельность активов |
3,39% |
|
Рентабельность капитала |
58,22% |
|
Рентабельность акционерного капитала |
287,59% |
Как было видно из предыдущих расчетов, банк проводит низкорискованную политику, направленную на поддержание высокой надежности. Это подтверждается данными таблицы 3.6.
Рентабельность активов находится на уровне 3,5%. В условиях России это может быть и низкий показатель, но повышение этого показателя может привести к снижению надежности банка, а следовательно, снижению его кредитоспособности, поэтому с точки зрения надежности банка как заемщика, значение этого показателя вкупе с оценкой качества активов и пассивов свидетельствует о высокой кредитоспособности АКБ Конверсбанк.
Для определения кредитоспособности АКБ Конверсбанк расчет дополнительных показателей не требуется.
Таким образом на основании проведенного изучения финансового состояния, а также финансовых результатов АКБ Конверсбанк можно сделать следующие выводы о его кредитоспособности:
комплексная оценка формальных показателей АКБ Конверсбанк свидетельствует о его высокой степени кредитоспособности;
высокое качество активов банка, а также низкий уровень рентабельности активов свидетельствуют о консервативности банка как кредитора, а следовательно могут характеризовать консервативность банковской политики в целом;
общий уровень всех формальных показателей находится на разумном уровне, а показатели, значения которых подлежат регулированию ЦБ РФ, находятся в пределах нормы.
Такое положение в банке свидетельствует о высокой степени надежности средств, размещаемых другими банками в этом банке, а значит и о высокой кредитоспособности АКБ Конверсбанк.
Оценка кредитоспособности АО Челябинский тракторный завод на основе расчета формальных показателей
Оценка активов АО Челябинский тракторный завод
Для оценки активов АО Челябинский тракторный завод необходимо проанализировать баланс предприятия на 1.01.97 (Приложение 2). Для удобства дальнейших расчетов также можно преобразовать баланс в агрегированную форму (Приложение 3)
После преобразования рассмотрим структуру активов АО Челябинский тракторный завод, представленную в табл. 3.7.
Таблица 3.7
Структура активов АО Челябинский тракторный завод
|
СТРУКТУРА НЕОБОРОТНЫХ АКТИВОВ |
|
|
Нематериальные активы |
0,0% |
|
Основные средства |
72,7% |
|
Незавершенные капит. вложения |
15,8% |
|
Долгосрочные финан. вложения |
7,3% |
|
Прочие необоротные активы |
4,1% |
|
=== Итого |
100,0% |
|
Доля в общих активах |
74,7% |
|
СТРУКТУРА ОБОРОТНЫХ АКТИВОВ |
|
|
Незавершенное производство |
0,4% |
|
Авансы поставщикам |
47,7% |
|
Производств. запасы и МБП |
18,3% |
|
Готовая продукция |
6,7% |
|
Товары |
0,2% |
|
Счета к получению |
11,8% |
|
Денежные средства |
11,4% |
|
Прочие |
3,5% |
|
=== Итого |
100,0% |
|
Доля в общих активах |
25,3% |
По данным таблицы можно сказать, что большую часть активов занимают необоротные активы, они в 3 раза превосходят оборотные активы, поэтому реальная стоимость активов может оказаться намного ниже номинальной с учетом коэффициентов ликвидности. Расчет показывает, что стоимость активов, взвешенных с учетом риска, составляет

от общей суммы активов, то есть в 2 раза меньше. Это свидетельствует об общем уровне ликвидности активов АО Челябинский тракторный завод 0,5 или 50%, что для российских предприятий является достаточно высоким показателем в связи с недооценкой оборотных активов.
Для дальнейшего изучения активов проведем расчет формальных показателей.
Значение коэффициента структуры равно 3, это подтверждается данными таблицы 3.7.
Технологичность производства АО Челябинский тракторный завод равна 0, что говорит о моральном устаревании технологий.
Значение коэффициента реализуемости продукции равно на 1.01.97

,
то есть стоимость отгруженных товаров в 26 раз превосходит стоимость незавершенного производства. Это говорит о коротком цикле производства продукции, а также о гибкой маркетинговой политике АО Челябинский тракторный завод.
Доля активов первой категории в оборотных активах равна 11,4%. Это достаточно высокий показатель защищенности оборотных активов.
Как видно из табл. 3.7 наибольшую долю необоротных активов занимают основные средства 72,7%.
Из этих данных можно сделать вывод, что производство на предприятии является трудоемким.
Таким образом, по данным комплексной оценки активов можно сделать следующие выводы:
нельзя дать однозначную оценку качеству активов, есть как положительные, так и отрицательные аргументы по оценке качества активов;
с точки зрения кредитора несомненно положительным является высокое значение показателя реализуемости продукции;
но в то же время низкое значение технологичности производства наводит на размышления.
В целом по активам нельзя дать однозначный ответ и требуется дополнительная оценка кредитоспособности АО Челябинский тракторный завод.
Оценка пассивов АО Челябинский тракторный завод
Для углубления анализа финансовой отчетности АО Челябинский тракторный завод проведем оценку его пассивов.
Значение коэффициента общей платежеспособности равно

.
Что говорит о достаточной степени защищенности капитала от внешних источников финансирования, которые в условиях достаточно высокой инфляции имеют высокую стоимость и повышают себестоимость продукции.
Значение коэффициента автономии

лишь подтверждает сделанные выше выводы.
Коэффициент капитализации прибыли иллюстрирует успешность деятельности предприятия, у АО Челябинский тракторный завод он равен

это говорит о достаточно успешной деятельности предприятия, но при этом не стоит забывать, что у российских предприятий основной прирост капитала произошел за счет переоценки основных средств и резкого увеличения добавочного капитала.
Насколько предприятие увеличивает рентабельность капитала, привлекая заемные средства позволяет судить финансовый рычаг, значение которого для АО Челябинский тракторный завод на 1.01.97 составило

,
что говорит об увеличении отдачи на единицу капитала на 16% по сравнению с отсутствием заемных средств.
Доли различных статей пассивов по видам, а также доли видов пассивов в общих пассивах можно представить в виде сводной таблицы. Для этого значение каждой статьи пассивов делится на общую сумму либо капитала, либо заемных средств в зависимости от того, к какому виду пассивов относится статья.
Рассчитанная таким образом структура пассивов АО Челябинский тракторный завод приведена в таблице 3.8.
Таблица 3.8
Структура пассивов АО Челябинский тракторный завод
|
СТРУКТУРА ДОЛГОСРОЧНЫХ ПАССИВОВ |
|
|
Уставный капитал |
60,4% |
|
Накопленный капитал |
39,6% |
|
Долгосрочное финансирование |
0,0% |
|
=== Итого долгосрочные пассивы |
100,0% |
|
Доля в общих пассивах |
86,2% |
|
СТРУКТУРА ТЕКУЩИХ ПАССИВОВ |
|
|
Краткосрочные кредиты |
4,0% |
|
Счета к оплате |
20,6% |
|
Авансы |
29,6% |
|
Расчеты с бюджетом |
17,5% |
|
Расчеты по заработной плате и отчислениям |
3,3% |
|
Прочие текущие пассивы |
25,1% |
|
=== Итого текущие пассивы |
100,0% |
|
Доля в общих пассивах |
13,8% |
Структура заемных средств предприятия представлена на 3.3.

Структура текущих пассивов АО Челябинский тракторный завод
Общая оценка пассивов позволяет сделать вывод о привлекательности предприятия в качестве потенциального заемщика.
Логическим завершением анализа финансового положения АО Челябинский тракторный завод служит оценка соотношения его активов с его пассивами.
Оценка соотношения активов и пассивов АО Челябинский тракторный завод
Показатели, рассчитываемые на этом этапе анализа, можно сгруппировать для дальнейшего анализа в две таблицы: первая будет включать значения относительных показателей, вторая абсолютных.
Сгруппированные по такому принципу значения показателей представлены в таблице 3.9.
Таблица 3.9
Значения относительных показателей ликвидности
|
Наименование показателя |
Значение |
|
Коэффициент общей ликвидности |
2,28 |
|
Коэффициент промежуточной ликвидности |
1,11 |
|
Коэффициент абсолютной мгновенной ликвидности |
0,27 |
|
Коэффициент маневренности |
0,13 |
|
Доля собственных источников финансирования оборотных активов |
0,46 |
|
Коэффициент обеспеченности долгосрочных инвестиций |
0,87 |
|
Коэффициент самофинансирования |
0,48 |
Результаты расчетов, сведенные в таблицу 3.9, свидетельствуют достаточно рациональном размещении средств предприятия, значения показателей ликвидности свидетельствуют о достаточном количестве оборотных активов для покрытия текущих пассивов.
Таким образом, по результатам анализа финансового положения предприятия, включающего три этапа:
оценку активов предприятия;
оценку пассивов предприятия;
оценку соотношения активов и пассивов предприятия,
можно сделать выводы о высокой степени кредитоспособности АО Челябинский тракторный завод и его надежности в качестве заемщика.
После анализа финансового положения проводится оценка эффективности деятельности предприятия, которая включает два этапа:
оценку эффективности затрат;
оценку эффективности ресурсов.
Результаты оценки эффективности деятельности должны либо подтвердить предварительные выводы, либо опровергнуть их, но в любом случае второй этап оценки кредитоспособности АО Челябинский тракторный завод уточнит полученные на первом этапе результаты.
Оценка эффективности затрат АО Челябинский тракторный завод
Для проведения оценки эффективности затрат необходимо рассмотреть Отчет о прибылях и убытках АО Челябинский тракторный завод (Приложение 4).
Оценка соотношения активов и пассивов банка
Оценка соотношения активов и пассивов банка
В ходе оценки соотношения активов и пассивов проводятся:
- Оценка чистого оборотного капитала банка.
- Оценка ликвидности баланса банка.
- Оценка рациональности размещения средств.
На первом этапе рассчитываются следующие показатели:
Значение мобильных активов (МА), показывающее возможность банка маневрировать своими средствами

,
где
ОД обязательства кредитной организации по депозитным счетам, кредитам, полученным кредитной организацией, и обращающиеся на рынке долговые обязательства сроком погашения свыше года (в рублях и иностранной валюте) (код 8997).
На втором этапе рассчитываются коэффициенты, относящиеся к так называемым коэффициентам ликвидности.
Коэффициент текущей ликвидности (КТЛ) представляет собой отношение суммы ликвидных активов кредитной организации к сумме обязательств кредитной организации по счетам до востребования и на срок до 30 дней:

,
где
ОВТ обязательства до востребования и на срок до 30 дней: 071 + 073 + 076 (К) + 078 + 079 (К) + 081 + 087 + 090 + 100 (К-Д) + 120 (К-Д) + 13 + 141 + 142 + 144 + 145 (К-Д) + 158 + 168 + (17 - 18) + 199 + 20 + 22 + 24 + 26 + 28 + 30 + 32 + 34 + 36 + 38 + 40 + 42 + 44 + 46 + 48 + 50 + 52 + 54 + 56 + 58 + 60 (без сч. 604) + 623 + 624 + 631 + 632 + 64 + 67 (К-Д) 69 + 70 + 710 + 711 + 713 + 714 + 715 + 717 + 718 + 720 + 722 + 723 + 724 + 726 + 74 + 750 + 807 + вклады и депозиты с истекающим сроком до одного месяца и выпущенные собственные векселя со сроками предъявления до 30-ти дней (код 8991) + 810 + 811 + 812 + 814 + 817 (К-Д) + 818 + 819 + кредиты, полученные от других кредитных организаций (включая кредиты Центрального банка РФ), а также юридических лиц-нерезидентов, со сроком погашения в течение ближайших 30-ти дней (код 8992) + 900 + 904 (К) + 932 (К) + 50% гарантий и поручительств, выданных кредитной организацией, со сроком исполнения обязательств в течение ближайших 30-ти дней (код 8993) - код 8994.
Примечание.
1. При расчете по балансу на 1 января балансовые счета 130 - 134 принимаются в расчет по кредитовому сальдо (К-Д).
2. Счета 170 и 180 в расчет не принимаются.
Минимально допустимое значение норматива КТЛ устанавливается в размере:
с баланса на 1.07.96 г. 20%
с баланса на 1.02.97 г. 30%
с баланса на 1.02.98 г. 50%
с баланса на 1.02.99 г. 70%
Коэффициент мгновенной ликвидности (КМЛ) представляет собой отношение суммы высоколиквидных активов кредитной организации к сумме обязательств кредитной организации по счетам до востребования:

,
где
ЛАМ высоколиквидные активы сч. 031 + 032 + 035 + 036 + 050 + 060 + + 061 + 062 + часть 072 (код 8976) + часть 083 (код 8972) + 161 + 194 + 729 (Д-К) + 821 - код 8990.
Примечание.
1. Счет 161 принимается в расчет, если на него не наложен арест.
2. При наличии кредитового сальдо по сч. 729 ликвидные активы уменьшаются на эту сумму.
ОВМ обязательства до востребования 20% от [071 + 073 + 076 (К) + + 078 + 079 (К) + 081 + 087 + 090 + 100 (К-Д) + 120 (К-Д) + 13 + 141 + 142 + 144 + + 145 (К-Д) + 158 + 168 + 20 + 22 + 24 + 26 + 28 + 30 + 32 + 34 + 36 + 38 + 40 + 42 + 44 + 46 + 48 + 50 + 52 + 54 + 56 + 58 + 60 (без сч. 604) + 623 + 624 + 631 + 632 + 64 + 67 (К-Д) + 69 + 70 + 715 + 717 + 718 + 720 + 722 + 723 + 724 + 726 + 74 + 750 + 807 + 810 + 811 + 812 + 814 + 817 (К-Д) + 818 + 819 + 904 (К) + 932 (К)] + вклады и депозиты до востребования и выплаченные кредитной организацией собственные векселя до востребования (код 8995) - код 8994.
Примечание.
1. При расчете по балансу на 1 января балансовые счета 130-134 принимаются в расчет по кредитовому сальдо (К-Д).
Минимально допустимое значение норматива КМЛ устанавливается в размере:
с баланса на 1.07.96 г. 10%
с баланса на 1.02.97 г. 20%
Вместе с тем, для кредитных организаций, не обеспечивших выполнение установленного на 1.07.96 г. значения норматива, на период до 1.07.97 г. определяется следующий порядок регулирования их деятельности. Главные управления (национальные банки) Центрального банка РФ устанавливают квартальные значения норматива КМЛ таким образом, чтобы постепенно (равными долями) от фактически сложившегося значения по балансу на 1.07.96 г. привести значение данного норматива к 20% по балансу на 1.07.97 г.
Коэффициент долгосрочной ликвидности (КДЛ) представляет собой отношение выданных кредитной организацией кредитов сроком погашения свыше года к капиталу кредитной организации, а также обязательствам кредитной организации по депозитным счетам, полученным кредитам и другим долговым обязательствам на срок свыше года и рассчитывается по следующей формуле:

,
где
КРД кредиты, выданные кредитной организацией в рублях и иностранной валюте, с оставшимся сроком до погашения свыше года, а также 50% гарантий и поручительств, выданных кредитной организацией сроком действия свыше года (часть внебалансового сч. 9925) (код 8996).
Максимально допустимое значение норматива КДЛ устанавливается в размере 120%.
Отношение капитала кредитной организации к суммарному объему активов, взвешенных с учетом риска достаточность капитала (ДК):

,
где
АВ активы, взвешенные с учетом риска за вычетом счета 944, а также за вычетом разности (часть 945 - часть 948).
Генеральный коэффициент надежности (КГН) представляет максимальный интерес для кредиторов и вкладчиков банка. Он равен отношению капитала банка к работающим активам и показывает степень обеспеченности рискованных вложений банка его собственным капиталом, за счет которого будут погашаться возможные убытки в случае невозврата того или иного работающего актива.

,
где
АР размер работающих (рискованных) активов: суммарный объем ссудной задолженности, включая просроченные кредиты (сч. 620 + 780) и проценты по ним, вложения в ценные бумаги (сч.
191-193, 195-198) + средства для участия в хозяйственной деятельности других организаций (сч. 825) + лизинговые операции (сч.
924(а) + расчеты по факторинговым операциям (сч. 907(а)).
Коэффициент абсолютной ликвидности (КАЛ), равный отношению ликвидных активов банка к его обязательствам до востребования, показывает, использует ли банк клиентские деньги в качестве собственных кредитных ресурсов и таким образом: а) в какой мере клиенты могут претендовать на получение процентов по остаткам на расчетных текущих счетах; б) в какой мере их платежные поручения обеспечены возможностью банка быстро совершать платежи. Представляет наибольший интерес для клиентов, состоящих в банке на расчетном и кассовом обслуживании.

,
где
ЛА ликвидные активы, включающие рублевые и валютные средства на корсчетах банка (сч. 072 + 161) + наличные деньги в кассе и в пути (рубли и валюта; сч.
03 + 04 + 06) + резервы в ЦБ (сч. 816) + вложения в государственные ценные бумаги (194);
ОВ обязательства до востребования, включающие величину остатков на расчетных и текущих счетах клиентов + обязательства перед эмитентами, ценные бумаги которых распространяет банк (сч. 199) + вклады граждан (сч. 711) + средства в расчетах (сч.
720 - 724 и 725 (п-а)) + несквитованные суммы по выпискам ЦБ (сч. 86 (п)) + остатки внутригородских расчетов (сч.
871(п)).
Кросс-коэффициент (ККРОСС) показывает отношение всех обязательств банка к выданным кредитам.

,
где
СО суммарные обязательства банка (привлеченка): обязательства до востребования + депозиты (сч. 144, 710, 713, 714) + полученные межбанковские кредиты (сч. 823, 824) + сч. 904 (п) + сч.
076 (п).
Генеральный коэффициент ликвидности (КГЛ), равный отношению ликвидных активов и защищенного капитала к суммарным обязательствам банка, показывает обеспеченность средств, доверенных банку клиентами ликвидными активами недвижимостью и ценностями. Иными словами, характеризует способность банка при невозврате выданных займов удовлетворить требования кредиторов в минимальный срок.

,
где
ЗК защищенный капитал: основные средства банка (сч. группы 92, за исключением нематериальных активов (сч. 925)) + активные остатки группы счетов капитальных вложений (сч. 93) + драгоценные металлы (сч.
050).
Коэффициент защищенности капитала (КЗК), равный отношению защищенного капитала ко всему собственному капиталу, показывает, насколько банк учитывает инфляционные процессы и какую долю своих активов размещает в недвижимость, ценности и оборудование. Этот коэффициент может также использоваться как косвенный показатель основательности банка банки, рассчитанные на кратковременный срок деятельности, обычно не вкладывают средства в свое развитие.

.
На третьем этапе оценки соотношения активов и пассивов проводится изучение того, насколько сроки возврата средств по размещенным активам соответствуют срокам исполнения обязательств банка.
Поэтому баланс банка считается рациональным, если состав и структура его активов и пассивов таковы, что создают возможность быстрого превращения активов в денежную форму в целях выполнения обязательств перед кредиторами и вкладчиками по пассиву баланса в соответствии со сроками их погашения. При этом решающим является соотношение сроков привлечения и размещения средств. Важно, чтобы структура пассивов по суммам и срокам привлечения ресурсов соответствовала структуре и величине высвобождения вложенных ресурсов по активу баланса:

Если это равенство соблюдается, то обеспечивается равновесие высвобождаемых по срокам ресурсов в денежной форме и задолженности банка по наступающим датам погашения обязательств. В этом случае банк будет считаться платежеспособным.
Баланс банка, структурированный таким образом, чтобы можно было рассчитать ликвидность по наступающим срокам погашения обязательств, называется балансом ликвидности. Для составления и расчета ликвидности данные баланса в развернутом виде делят на группы, одинаковые по срокам возвратности и погашаемости по активу и пассиву баланса.
Такие балансы могут составляться на отдельную дату, на первое число месяца, квартала или года. В одних балансах ликвидность будет положительная и тогда сумма ресурсов на определенную дату превысит сумму обязательств по наступившим срокам погашения.
В других отрицательная и тогда размер возможной мобилизации денежных средств будет меньше суммы обязательств. Таким образом, банк считается ликвидным, если суммы денежных средств, которые он может активно использовать, соответствуют его обязательствам по срокам их погашения.
Ликвидность ресурсов банка зависит прежде всего от структуры пассивов, характеризующей источники средств и природу финансовых взаимосвязей банка. Это связано с тем, что именно пассивные операции предопределяют условия, формы и направления использования банковских ресурсов, т. е. состав и структуру активов банка.
Таким образом, оценка соотношения активов и пассивов банка позволяет не только изучить как используются привлеченные средства, но и косвенно оценить компетенцию руководства банка.
Оценка эффективности затрат банка
Оценка эффективности затрат банка проводится для изучения отчета о прибылях и убытках банка. Поэтому в ходе оценки эффективности затрат банка рассчитываются показатели, соотносящие чистую прибыль банка, как очищенный эффект деятельности банка за прошедший период, к различным статьям затрат, которые банк произвел для получения эффекта.
Как правило, основные расходы банка связаны с теми видами деятельности, которым банк отдает приоритет в своей работе.
Основными статьями расходов являются:
расходы по процентам за полученные кредиты, а также по вкладам и депозитам (расходы связанные с обслуживанием задолженности банка);
расходы по операциям с ценными бумагами (показывают активность банка на фондовом рынке);
расходы по валютным операциям (потери в результате валютных спекуляций);
прочие расходы (содержание персонала, расходы связанные с неосновной деятельностью).
Для оценки эффективности затрат используются следующие показатели:
Эффективность затрат на обслуживание задолженности (ЭЗ), которая показывает, сколько рублей чистой прибыли получено на рубль уплаченных процентов

,
где
П чистая прибыль банка ([балансовая прибыль] - [налоги] - [проценты, невключаемые в себестоимость]);
ЗЗ расходы по обслуживанию задолженности.
Эффективность расходов по операциям с ценными бумагами (ЭЦБ), которая показывает сколько рублей чистой прибыли получено на рубль затрат на приобретение ценных бумаг

,
где
ЗЦБ расходы, связанные с операциями с ценными бумагами.
Эффективность валютных операций (ЭВО), которая соотносит чистую прибыль и расходы по валютным операциям

,
где
ЗВО расходы, связанные с валютными операциями.
Эффективность прочих расходов (ЭР), показывает долю чистой прибыли в прочих затратах

,
где
ЗР прочие расходы.
Для иллюстрации расчета эффективности затрат рассмотрим пример.
Пример 2.3. Исходные данные для расчета приведены в таблице 2.6.
По данным таблицы проводятся следующие расчеты:
вычисляется значение эффективности расходов на обслуживание задолженности

,
затем вычисляется значение эффективности прочих расходов (так как другие статьи расходов равны нулю)

.
Таблица 2.6
Отчет о прибылях и убытках банка
|
Доходы |
млн. руб. |
|
Доходы от процентов за предоставленные кредиты |
13216,3 |
|
Доходы по операциям с ценными бумагами |
237,7 |
|
Доходы по валютным операциям |
0 |
|
Прочие доходы |
1883,7 |
|
Итого доходов |
15337,7 |
|
Расходы |
|
|
Расходы по процентам за полученные кредиты, а также по вкладам и депозитам |
11113,4 |
|
Расходы по операциям с ценными бумагами |
0 |
|
Расходы по валютным операциям |
0 |
|
Прочие расходы |
3331,4 |
|
Итого расходов |
14444,8 |
|
Прибыль / убыток (+/-) |
892,9 |
|
Чистая прибыль |
580,3 |
После изучения отчета о прибылях и убытках проводится оценка эффективности ресурсов заемщика банка.
Оценка эффективности ресурсов банка
После того как оба основных документа внешней отчетности банка изучены по отдельности, необходимо провести комплексную оценку, при которой бы соотносились данные из баланса банка и данные из отчета о прибылях и убытках банка. Для этой цели используются показатели рентабельности, которые также являются показателями эффективности ресурсов банка.
Для оценки эффективности ресурсов, как правило, используются показатели рентабельности активов (общей рентабельности), рентабельности капитала банка, а также рентабельности акционерного капитала.
На этом этапе оценки рассчитываются следующие показатели
Рентабельность активов банка (РА), показывающая сколько чистой прибыли получил банк на рубль всех своих активов

,
где
А совокупные активы банка (валюта баланса).
Рентабельность капитала банка (РК), показывающая насколько эффективно банк использует свой капитал

.
Рентабельность акционерного капитала (уставного фонда) (РАК), характеризующая банк с точки зрения соблюдения интересов владельцев банка

,
где
АК уставной фонд банка (сч. 010).
Проведение оценки эффективности ресурсов банка подводит черту под оценкой отчетности банка и завершает комплекс расчетов, связанных с оценкой финансового состояния и финансовых результатов. После этого рассчитываются дополнительные показатели, которые выбираются по усмотрению кредитора, по отношению к заемщику банку это могут быть показатели рискованности кредитов, используемые Центральным банком Российской федерации.
Оценка дополнительных показателей
Максимальный размер риска на одного заемщика или группу связанных заемщиков (РРЗ) устанавливается в процентах от собственных средств (капитала) кредитной организации.
При определении размера риска учитывается совокупная сумма кредитов, выданных кредитной организацией данному заемщику или группе связанных заемщиков, а также гарантий и поручительств, предоставленных кредитной организацией одному заемщику (группе связанных заемщиков). При расчете используется следующая формула:

,
где
Крз совокупная сумма требований кредитной организации к заемщику или группе взаимосвязанных заемщиков по кредитам в рублях и иностранной валюте и суммы, не взысканные по банковским гарантиям (сч. 728), а также 50% забалансовых требований (гарантий, поручительств) кредитной организации в отношении данного заемщика (заемщиков), предусматривающих исполнение в денежной форме (внебалансовый счет 9925).
Эти требования, т. е. активы, взвешиваются по степени риска (рассчитывается по методике определения активов, взвешенных с учетом риска).
Настоящий норматив рассчитывается также по совокупной сумме требований в рублях и иностранной валюте (в том числе и 50% забалансовых требований гарантий, поручительств) к кредитной организации, выступающей заемщиком по межбанковским кредитам.
Норматив рассчитывается и в случае, если кредитная организация выступает только гарантом или поручителем (в размере 50%) в отношении какого-либо юридического или физического лица.
Примечание.
1. В совокупную сумму требований кредитной организации к заемщику (заемщикам) входят также просроченные ссуды, учитываемые по дебету: сч. 055, 056, 620, 627, 780 (без учета начисленных и просроченных процентов).
2. В совокупную сумму требований кредитной организации к заемщику (заемщикам) входят также приобретенные долговые обязательства заемщика: сч. 083, 085, 086, 193, 195, 197.
3. Под взаимосвязанными заемщиками понимаются юридические и физические лица-заемщики, связанные между собой экономически и юридически (т. е. имеющие общую собственность и/или взаимные гарантии, и/или обязательства, и/или контролирующие имущество друг друга, а также совмещение одним физическим лицом руководящих должностей), таким образом, что финансовые трудности одного из заемщиков обуславливают или делают вероятным возникновение финансовых трудностей другого (других) заемщика (заемщиков). Под контролем понимается прямое или косвенное (через дочерние предприятия) владение более 50% голосов у стороны (лица) или способность контролировать больше половины голосов по специальной договоренности с другими его акционерами или согласно его уставу, т. е. одна сторона (лицо) способна контролировать другую и может существенно повлиять на ее финансовые и оперативные решения.
Максимально допустимое значение норматива РРЗ устанавливается в размере:
с баланса на 1.07.96 г. 60%
с баланса на 1.02.97 г. 40%
с баланса на 1.02.98 г. 25%
Вместе с тем, для кредитных организаций, не обеспечивших выполнение установленного на 1.07.96 г. значения норматива, на период до 1.07.97 г. определяется следующий порядок регулирования их деятельности. Главные управления (национальные банки) Центрального банка РФ устанавливают квартальные значения норматива РРЗ таким образом, чтобы постепенно (равными долями) от фактически сложившегося значения по балансу на 1.07.96 г. (но не выше ранее действовавших значений прежней инструкции) привести значение данного норматива к 40% по балансу на 1.07.97 г.
Максимальный размер крупных кредитных рисков (РКР) устанавливается как процентное соотношение совокупной величины крупных кредитных рисков и собственных средств (капитала) кредитной организации

,
где
S Кркр совокупная величина крупных кредитов, выданных кредитной организацией (код 8998).
Совокупная сумма требований, взвешенных с учетом риска, к одному заемщику (или группе связанных заемщиков) кредитной организации по кредитам с учетом 50% сумм забалансовых требований (гарантий, поручительств), имеющихся у кредитной организации в отношении одного заемщика (или группы связанных заемщиков), превышающая 5% капитала кредитной организации, рассматривается в качестве крупного кредита.
Решение о выдаче крупных кредитов должно в обязательном порядке приниматься Правлением кредитной организации либо его кредитным комитетом с учетом заключения кредитного отдела кредитной организации. Решение о выдаче должно быть оформлено соответствующими документами.
Сведения о крупных кредитах ежемесячно представляются в главное управление (национальный банк) Центрального банка РФ по месту нахождения корреспондентского счета одновременно с представлением баланса и расчетов экономических нормативов. Главные управления (национальные банки) Центрального банка РФ обобщают информацию по крупным кредитам и формируют базу данных для осуществления контроля за концентрацией рисков в банковской системе путем анализа займов одним юридическим или физическим лицом в различных кредитных организациях.
Одновременно указанные сведения направляются в Главный центр информатизации Центрального банка России в электронном виде по системе БАНКОМ для формирования реестра крупных кредитных рисков банковской системы.
В Департамент банковского надзора главные управления (национальные банки) Центрального банка РФ в составе аналитической записки сообщают о мерах, принимаемых по выходу кредитных организаций из критического положения, и перспективах их дальнейшей деятельности.
Устанавливается, что совокупная величина крупных кредитов, выданных кредитной организацией, включая взаимосвязанных заемщиков, с учетом 50% забалансовых требований (гарантий, поручительств) не может превышать размер капитала кредитной организации более, чем:
1996 г. в 12 раз,
1997 г. в 10 раз,
1998 г. в 8 раз.
Максимальный размер риска на одного кредитора (вкладчика) (РОК) устанавливается как процентное соотношение величины вклада или полученного кредита, полученных гарантий и поручительств данной кредитной организацией, остатков по счетам одного или группы связанных между собой кредиторов (вкладчиков) и собственных средств кредитной организации:

,
где
Овкл совокупная сумма обязательств кредитной организации в рублях и иностранной валюте по вкладам, полученным кредитам, гарантиям и поручительствам (50%) и остаткам по расчетным, текущим счетам и счетам по операциям с ценными бумагами одного или группы взаимосвязанных кредиторов (вкладчиков). Остатки по бюджетным счетам в расчет не принимаются.
Настоящий норматив рассчитывается также по совокупной сумме обязательств перед другой кредитной организацией, выступающей кредитором (вкладчиком) по отношению к данной кредитной организации.
Максимально допустимое значение норматива РОК устанавливается в размере:
с баланса на 1.07.96 г. 60%,
с баланса на 1.02.97 г. 40%,
с баланса на 1.02.98 г. 25%.
Вместе с тем, для кредитных организаций, не обеспечивших выполнение установленного на 1.07.96 г. значения норматива, на период до 1.07.97 г. определяется следующий порядок регулирования их деятельности. Главные управления (национальные банки) Центрального банка РФ устанавливают квартальные значения норматива РОК таким образом, чтобы постепенно (равными долями) от фактически сложившегося значения по балансу на 1.07.96 г. привести значение данного норматива к 40% по балансу на 1.07.97 г.
Максимальный размер риска на одного заемщика-акционера (пайщика) банка (РЗА):

,
где
Кра совокупная сумма требований банка в рублях и иностранной валюте в отношении одного акционера (пайщика) банка и забалансовые требования (50% гарантий и поручительств) банка в отношении данного заемщика.
Максимально допустимое значение норматива РЗА устанавливается в размере:
с баланса на 1.07.96 г. 60%,
с баланса на 1.10.96 г. 40%,
с баланса на 1.01.97 г. 20%.
При этом совокупная величина кредитов, выданных акционерам (пайщикам) банка не может превышать с 1 января 1998 года 50% собственных средств (капитала) банка.
Максимальный размер кредитов, гарантий и поручительств, предоставленных кредитной организацией своим инсайдерам (РИК).

,
где
Кри совокупная сумма требований (в том числе, забалансовых требований 50% гарантий и поручительств) кредитной организации в рублях и иностранной валюте в отношении инсайдера кредитной организации и связанных с ним лиц.
В соответствии с международной практикой к категории инсайдеров относятся физические лица: акционеры, имеющие более 5% акций, директора (президенты, председатели и их заместители), члены Совета, члены кредитного совета (комитета), руководители дочерних и материнских структур и другие лица, которые могут повлиять на решение о выдаче кредита, а также родственники инсайдеров, бывшие инсайдеры и другие лица, участвующие в сторонних структурах, в которых также участвуют инсайдеры.
Максимально допустимое значение РИК на одного инсайдера и связанных с ним лиц устанавливается в размере:
Схема оценки кредитоспособности субъекта рынка
Для характеристики надежности заемщика используется понятие кредитоспособности, с помощью которой можно классифицировать заемщиков и разбивать их на группы, в зависимости от целей кредитора. Таким образом, кредитоспособность это совокупность значений определенных показателей формальной и неформальной оценки различных аспектов деятельности заемщика.
Совокупность показателей, выбираемая для оценки кредитоспособности, зависит от многих условий, среди которых можно выделить несколько основных:
кредитная и коммерческая репутация заемщика;
характер деятельности заемщика;
сумма кредита;
цель кредита.
Репутация заемщика может характеризоваться, прежде всего, его кредитной историей. Кредитная история это автобиография заемщика, характеризующая его предыдущие взаимоотношения с кредиторами. При изучении кредитной истории, основное внимание уделяется репутации предыдущих кредиторов, поскольку народная мудрость гласит: Скажи мне, кто твой друг, и я скажу, кто ты. Если предыдущими кредиторами были солидные банки, активно действующие на кредитном рынке, это говорит в пользу заемщика.
Если кредитором являлся преимущественно один банк, это может насторожить и потребует дополнительной информации. Зачастую, при оценке кредитной репутации заемщика у кредитора складывается определенное мнение о заемщике.
Цель оценки кредитоспособности не определить положение дел у заемщика, а оценить риск возможного вложения средств. Для решения этой цели в практике кредитора всегда существует система принципов, с помощью которых оценивается кредитоспособность заемщика.
В связи в вышесказанным, общий порядок оценки кредитоспособности можно изобразить в виде принципиальной схемы ( 2.1), представляющей собой последовательность этапов, выполнение которых способствует снижению риска вложения денежных средств.
На первом этапе, независимо от характера предстоящей кредитной сделки, заемщик идентифицируется. Идентификация позволяет четко определить характер деятельности заемщика (коммерческая фирма, банк, частное лицо) и наметить примерный набор показателей для оценки кредитоспособности.
На втором этапе оценивается кредитная история заемщика и его коммерческая репутация.
Формальные показатели получившие такое название из-за того, что они могут быть рассчитаны по определенным формулам, и имеющие числовое значение рассчитываются на основании данных финансовой отчетности заемщика - юридического лица. Для расчета формальных показателей заемщика - физического лица исходными являются данные о финансовых операциях заемщика.
Неформальные показатели могут быть оценены только экспертами, они не имеют формул для расчета и четкого набора исходных данных. Комплексная оценка финансовой отчетности представляет собой структурный анализ деятельности заемщика.
Оценка коммерческой репутации это комплексное экспертное заключение, которое является своего рода рекомендацией о продолжении сотрудничества с заемщиком.
Таким образом, после идентификации заемщика и определения набора формальных и неформальных показателей кредитор переходит к непосредственному расчету и получению экспертного заключения.
Алгоритм расчета и оценки формальных показателей субъектов рынка представлен на 2.2. С помощью формальных показателей оценивается финансовое состояние субъекта, его финансовые результаты, а также эффективность затрат и ресурсов.
Схема оценки кредитоспособности субъекта рынка
2.2. Алгоритм расчета и оценки формальных показателей заемщика
Расчет формальных показателей проводится на основании финансовой отчетности субъекта рынка ссудных капиталов - юридического лица. В этой связи, при общем подходе, существуют некоторые особенности расчета формальных показателей, обусловленные, прежде всего, различиями во внешней отчетности.
Поэтому в работе рассмотрены подходы к расчету формальных показателей для юридического лица банка (иного юридического лица, отчетность которого идентична банковской), а также коммерческой фирмы (иного юридического лица с идентичной внешней отчетностью).
Таким образом, под субъектом рынка ссудных капиталов (заемщиком) - юридическим лицом в работе понимается такое юридическое лицо, внешняя отчетность которого идентична либо банковской, либо отчетности коммерческой фирмы.
Определение кредитоспособности заемщика - банка
Одним из наиболее развитых в настоящее время направлений кредитования является выдача межбанковских кредитов (МБК). Это направление деятельности является более надежным и менее рисковым по сравнению с кредитованием предприятий, поэтому многие банки сейчас активно работают на межбанковском рынке.
Однако предоставлять межбанковский кредит ненадежному заемщику дело рискованное и низкоэффективное, поэтому необходимо четко знать кому предоставляется кредит.
Расчет формальных показателей для оценки кредитоспособности заемщика - банка проводится по схеме, приведенной на 2.2, с учетом специфики внешней отчетности банка.
Оценка активов банка
Оценка активов банка состоит из двух частей: горизонтального (оценка изменений статей актива), а также вертикального (оценка структуры активов, оценка ликвидности активов).
Оценка изменения статей актива проводится для изучения и определения динамики. Положительными являются изменения, направленные на стабилизацию активов.
Для расчета динамики из значений определенных статей актива за определенный период вычитаются значения этих статей за предыдущий период.
При проведении вертикального анализа, на первом этапе изучается структура активов, для этого активы, прежде всего, разделяются на необоротные и оборотные (работающие).
Доли видов активов рассчитываются как отношения значений соответствующих видов активов к общим суммам оборотных и необоротных активов. Для иллюстрации расчета структуры активов рассмотрим пример, в котором по данным баланса рассчитываются доли оборотных и необоротных активов в общих активах.
Пример 2.1. Исходные данные для анализа приведены в таблице 2.1.
В таблице выделяются две группы: оборотные и необоротные активы, затем проводятся вычисления, результаты которых представлены в таблице 2.2.
Таблица 2.1
Актив баланса коммерческого банка
|
Наименования статей |
млн. руб. |
|
Оборотные активы |
|
|
Денежные средства, счета в Центральном банке |
38830,2 |
|
Средства в кредитных организациях |
51641,6 |
|
Вложения в ценные бумаги, паи и акции |
84207,4 |
|
Кредиты предприятиям, организациям, населению, кредитным организациям |
78911,3 |
|
Необоротные активы |
|
|
Основные средства и нематериальные активы |
7432,5 |
|
Прочие активы |
22929,6 |
|
Итого активов |
283952,6 |
Таблица 2.2
Структура активов баланса
|
Наименования статей |
Доли в общих активах |
|
Денежные средства, счета в Центральном банке |
15,31% |
|
Средства в кредитных организациях |
20,36% |
|
Вложения в ценные бумаги, паи и акции |
33,21% |
|
Кредиты предприятиям, организациям и населению |
31,12% |
|
Итого оборотных активов |
100,00% |
|
Доля в общих активах |
89,31% |
|
Основные средства и нематериальные активы |
24,48% |
|
Прочие активы |
75,52% |
|
Итого необоротных активов |
100,00% |
|
Доля в общих активах |
10,69% |
|
Итого активов |
100,00% |
Доля денежных средств в оборотных активах рассчитывается следующим образом:

,
где
ДДС доля денежных средств;
ДС денежные средства, счета в Центральном банке;
ОА оборотные активы.
Для изучения ликвидности видов активов используются статистические значения возможных потерь при обращении различных видов активов в денежные средства, для этого активы подразделяются на 5 групп, исходя из степени риска вложений и возможной потери части стоимости. Устанавливаются следующие коэффициенты риска по группам активов.
|
Виды активов |
Коэф - т риска (в %) |
|
I группа |
|
|
средства на кор. счете, открытом в ЦБ РФ (сч.161) |
0 |
|
средства на резервном счете в ЦБ РФ (сч. 816+681) |
0 |
|
средства ком. банков для операций по расч. чекам (сч.821) |
0 |
|
вложения в государственные долговые обязательства (194) |
0 |
|
вложения в облигации внутр. Валютного займа (часть сч. 083) |
0 |
|
касса и приравненные к ней средства (сч. 031 + 032 + 035 + 036 + 050 + 060 + 061 + 062 + 729 (Д-К)) |
2 |
|
II группа |
|
|
ссуды, гарантированные Правительством РФ |
10 |
|
ссуды под залог государственных ценных бумаг РФ |
10 |
|
ссуды под залог драгоценных металлов в слитках |
10 |
|
III группа |
|
|
вложения в долговые обязательства субъектов РФ и местных органов власти (сч. 192) |
20 |
|
средства на корр. счетах у банков-нерезидентов стран-членов ОЭСР в СКВ (часть сч. 072) |
20 |
|
средства, перечисленные на счета у банков-нерезидентов стран-членов ОЭСР (части сч. 075 (Д) + 615) |
20 |
|
ссуды под залог ценных бумаг субъектов РФ и местных органов власти |
20 |
|
IV группа |
|
|
средства на счетах у банков-резидентов РФ в инвалюте (сч. 080) |
70 |
|
средства на корр. счетах в рублях у банков-резидентов (сч. 167) |
70 |
|
средства на счетах у банков-нерезидентов стран - не членов ОЭСР (часть сч. 072 + части 075 (Д) и 615, исключая по данному счету страны ближнего зарубежья) |
70 |
|
собственные здания и сооружения за минусом переданных в залог (сч. 920 - код 8985) |
70 |
|
ценные бумаги для перепродажи (части сч. 059 + 083 +191+ 193) |
70 |
|
V группа |
|
|
все прочие активы кредитной организации (активные остатки по балансовым счетам разделов III, V, VII, IX, Х, ХIV, ХV, ХVIII, ХIХ, ХХI, ХХII Плана счетов бухгалтерского учета) |
100 |
|
гарантии, поручительства, выданные кредитной организацией (внебалансовый счет 9925) |
50 |
Взвешивание активов по степени риска производится путем умножения остатка средств на соответствующем балансовом счете (счетах), или их части, на коэффициент риска (в %), деленный на 100%.
Ликвидность актива измеряется следующим образом

,
где
ЛВА ликвидность вида актива;
КР коэффициент риска в %.
Пример 2.2. Пусть имеется активная часть баланса банка (таблица 2.3), сгруппированная по группам активов.
Задача сводится к тому, чтобы взвесить активы с учетом риска и определить ликвидную стоимость групп активов.
Таблица 2.3
|
Виды активов |
млрд. руб. |
|
I группа |
|
|
средства на корреспондентском счете, открытом в Центральном банке РФ (сч.161) |
100 |
|
средства на резервном счете в Центральном банке РФ (сч. 816+681) |
200 |
|
вложения в государственные долговые обязательства (194) |
150 |
|
касса и приравненные к ней средства (сч. 031 + 032 + 035 + 036 + 050 + 060 + 061 + 062 + 729 (Д-К)) |
2 |
|
II группа |
|
|
ссуды, гарантированные Правительством РФ |
100 |
|
III группа |
|
|
вложения в долговые обязательства субъектов РФ и местных органов власти (сч. 192) |
120 |
|
IV группа |
|
|
средства на счетах у банков-резидентов РФ в иностранной валюте (сч. 080) |
150 |
|
ценные бумаги для перепродажи (части сч. 059 + 083 + 191 + 193) |
90 |
|
V группа |
|
|
все прочие активы кредитной организации (активные остатки по балансовым счетам разделов III, V, VII, IX, Х, ХIV, ХV, ХVIII, ХIХ, ХХI, ХХII Плана счетов бухгалтерского учета) |
50 |
|
гарантии, поручительства, выданные кредитной организацией (внебалансовый счет 9925) |
60 |
|
Баланс |
1022 |
Сумма активов, взвешенных с учетом риска, будет следующей:
С = 100 + 200 + 150 + 2 * (1 - 0,02) + 100 * 0,9 + 120 * 0,8 + (150 + 90) * 0,3 + (50 + 60) *0 = 967,96 млрд. руб.
Таким образом, взвешенные активы банка на 54,04 млрд. руб. меньше, чем активы по балансу.
Соответственно:
ликвидность первой группы активов равна 1 (касса и приравненные к ней средства 0,98);
ликвидность второй группы 0,9;
ликвидность третьей группы 0,8;
ликвидность четвертой группы 0,3;
ликвидность пятой группы 0.
Примечание.
1. При взвешивании активов необходимо для расчетов использовать остатки средств на балансовых счетах (или их часть) согласно Плану счетов бухгалтерского учета, изложенному в письме Банка России от 21 ноября 1995 года 123-95, с последующими дополнениями и изменениями, а также с учетом Расшифровок отдельных балансовых счетов, приведенных в Приложении 1 к Инструкции О порядке регулирования деятельности кредитных организаций от 30 января 1996 года.
2. Цифры означают номера балансовых счетов первого и второго порядка. Номер балансового счета первого порядка означает, что в расчет принимаются остатки по всем входящим в него балансовым счетам второго порядка.
3. Обозначение (К) или (Д) после балансового счета означает, что в расчет принимается либо кредитовый остаток данного балансового счета, либо дебетовый. Если после балансового счета стоит (Д-К) или (К-Д), то в расчет включается дебетовое либо кредитовое сальдо активно-пассивного счета.
4. Перечень стран-членов Организации экономического сотрудничества и развития (ОЭСР): Австралия, Австрия, Бельгия, Великобритания, Германия, Греция, Дания, Ирландия, Исландия, Испания, Италия, Канада, Люксембург, Мексика, Нидерланды, Новая Зеландия, Норвегия, Португалия, США, Турция, Финляндия, Франция, Чехия, Швейцария, Швеция, Япония.
5. Ценные бумаги для перепродажи ценные бумаги со сроком нахождения на балансе банка менее 6 месяцев (код 8980).
6. В V группе активов учитываются дебетовые остатки по всем балансовым счетам, входящим в эти разделы, без учета балансовых счетов (или части средств по ним), нашедших отражение в I-IV группах активов. Начисленные, но не полученные проценты по предоставленным кредитам (включая просроченные проценты), в расчет не принимаются.
Кредиты, выданные кредитной организацией в рублях и иностранной валюте (краткосрочные и долгосрочные), принимаются в расчет за минусом ссуд, гарантированных Правительством РФ (код 8973), под залог государственных ценных бумаг (код 8974), под залог драг. металлов в слитках (код 8975).
В разделе V балансовый счет 075 (Д) принимается в расчет в части средств, размещенных в банках-нерезидентах стран ближнего зарубежья (код 8981), а балансовый счет 083 Вложения в облигации и депозитные сертификаты за минусом вложений в облигации внутреннего валютного займа и в ценные бумаги для перепродажи (код 8982). Балансовый счет 076 (Д) принимается в расчет в части дебетовых остатков, числящихся на счете менее 30 дней (код 8983).
Балансовый счет 089 в расчет не принимается.
В ХIХ разделе балансовый счет 817 (Д - К) принимается в расчет по сальдо.
В ХХI разделе сч. 904 учитывается в части сумм длительностью до 30 дней за минусом сумм, перечисленных на приобретение ГКО и ОФЗ (код 8984).
Балансовый счет 901 в расчет не принимается.
В ХХII разделе учитываются:
сч. 92 (сч.
920 в части переданных в залог зданий и сооружений: код 8985), 937, 940 за минусом сч. 015;
сч. 930, 932 и 933 в части остатков средств, не превышающих остатка по балансовому счету 016 (код 8986);
сч. 948 в расчет не принимается;
остальные счета этого раздела учитываются в расчете без корректировок.
Таким образом, для любого банка можно рассчитать систему показателей, иллюстрирующую его ликвидность. Система показателей дает представление как о ликвидности баланса банка, так и о ликвидности активов банка.
Но помимо ликвидности как таковой для составления полного представления о банке необходимо рассчитывать и другие показатели.
Для оценки активов банка можно также использовать показатели соотношения различных статей активов. К ним относятся:
Показатель мобильности активов, характеризующий сколько рублей оборотных активов приходится на рубль необоротных активов:

,
где
МА мобильность активов;
НА необоротные активы.
Рискованность активов, которая показывает во сколько раз взвешенные с учетом риска активы меньше обозначенной в балансе банка суммы:

,
где
РА рискованность активов;
АР активы, взвешенные с учетом риска;
АБ активы по балансу.
Общая ликвидность активов

,
где
ЛАТ ликвидные активы сч. 031 + 032 - 035 - 036 + 050 + 060 + 061 + 062 + часть 072 (код 8976) + часть 083 (код 8972) + 161 + 194 + 729 (Д-К) + 821 + кредиты, выданные кредитной организацией в рублях и иностранной валюте, со сроком погашения в течение ближайших 30-ти дней (исключая пролонгированные, хотя бы один раз и выданные в погашение ранее выданных ссуд), а также другие платежи в пользу кредитной организации, подлежащие перечислению в эти сроки (код 8989) - код 8990.
Примечание.
1. Счет 161 принимается в расчет, если на него не наложен арест.
2. При наличии кредитового сальдо по сч. 729 ликвидные активы уменьшаются на эту сумму.
А общая сумма всех активов по балансу кредитной организации за минусом дебетовых остатков балансовых счетов: 019, 145, 18, 681, 816, 817, 820, 89, 948, 950, 951, 970, 971, 979, 980, 981.
Минимально допустимое значение норматива Н5 устанавливается в размере:
с баланса на 1.07.96 г. 10%
с баланса на 1.02.97 г. 20%
Вместе с тем, для кредитных организаций, не обеспечивших выполнение установленного на 1.07.96 г. значения норматива на период до 1.07.97 г. определяется следующий порядок регулирования их деятельности. Главные управления (национальные банки) Центрального банка РФ устанавливают квартальные значения норматива Н5 таким образом, чтобы постепенно (равными долями) от фактически сложившегося значения по балансу на 1.07.96 г. привести значение данного норматива к 20% по балансу на 1.07.97 г.
Оценка пассивов банка
Оценка пассивов заемщика проводится для того, чтобы определить насколько дороги привлеченные для осуществления повседневной деятельности. Оценка пассивов проводится в два этапа: на первом этапе проводится горизонтальный анализ анализ изменения статей пассива с течением времени.
Горизонтальный анализ пассивов проводится аналогично горизонтальному анализу активов. На втором этапе проводится изучение структуры пассивов. Все пассивы разделяются на две группы: собственные средства капитал, а также заемные (привлеченные) средства.
Далее проводится изучение долей по статьям пассивов относительно совокупных значений собственных и заемных средств.
Рассмотрим изучение структуры пассивов на примере данных, представленных в таблице 2.4.
По данным баланса проводится изучение структуры, в ходе которого результаты вычислений заносятся в таблицу 2.5. Структура пассива может также изучаться в динамике.
При этом положительной динамикой можно считать то, что увеличивается доля более дешевых пассивов (собственных средств, средств Центрального банка, средств на расчетных счетах клиентов), а отрицательной увеличение доли более дорогих пассивов (средств кредитных организаций, вкладов населения).
Таблица 2.4
Пассив баланса банка
|
Обязательства |
млн. руб. |
|
Средства Центрального банка |
0 |
|
Средства кредитных организаций |
24681,9 |
|
Средства клиентов, включая вклады населения, кредитных организаций |
179205,1 |
|
Выпущенные кредитной организацией долговые обязательства |
705,8 |
|
Прочие обязательства |
41924,1 |
|
Итого заемных средств |
246517 |
| |
|
|
Капитал |
|
|
Уставный фонд |
2000 |
|
Прочие фонды и другие собственные средства |
35435,7 |
|
Прибыль (убыток) за отчетный год |
30829,1 |
|
Использовано прибыли в отчетном году |
30829,1 |
|
Нераспределенная прибыль (убыток) |
0 |
|
Итого собственных средств |
37435,7 |
|
Итого пассивов |
283952,6 |
По окончании второго этапа исследуется так называемая платежеспособность банка, когда сопоставляются между собой и рассчитываются значения следующих показателей.
Коэффициент автономии

,
где
К капитал банка (сч. 010 + 011 + часть 012 + 016 + 018 + 019 (К - Д) + (часть 945 - 948) + 96 + 980 (К) + 981 (К) - 034 - часть 076 (Д) - 901 - часть 904 (Д) - часть 930 - часть 932 (Д) - часть 933 - 950 - 951 - 97 - 980 (Д) - 981 (Д);
О обязательства банка:

,
где
Б валюта баланса банка.
Таблица 2.5
Структура пассива баланса банка
|
Обязательства |
|
|
Средства Центрального банка |
0,00% |
|
Средства кредитных организаций |
10,01% |
|
Средства клиентов, включая вклады населения, кредитных организаций |
72,69% |
|
Выпущенные кредитной организацией долговые обязательства |
0,29% |
|
Прочие обязательства |
17,01% |
|
Итого заемных средств |
86,82% |
| |
|
|
Капитал |
|
|
Уставный фонд |
5,34% |
|
Прочие фонды и другие собственные средства |
94,66% |
|
Прибыль (убыток) за отчетный год |
|
|
Использовано прибыли в отчетном году |
|
|
Нераспределенная прибыль (убыток) |
0,00% |
|
Итого собственных средств |
13,18% |
|
Итого пассивов |
100,00% |
Коэффициент общей платежеспособности (КОП), соотносящий капитал банка и валюту его баланса:

.
При оценке пассива используются также нормативы, используемые Центральным банком Российской Федерации. К ним относятся:
Максимальный размер привлеченных денежных вкладов (депозитов) населения, который устанавливается как процентное соотношение общей суммы денежных вкладов (депозитов) граждан и величины собственных средств (капитала) банка

,
где
РВ риск вкладов;
ВН совокупная сумма вкладов населения в рублях и иностранной валюте (сч. 605 + 710 + 711 + 718 + 732 + 733 + 734 + 735 + код 8999 (части сч.
070 + 084 - 088 + 196 + 199 + 730 + 731)).
Максимально допустимое значение норматива РВ устанавливается в размере 100%.
При этом для кредитных организаций, превышающих данное соотношение, главные управления (национальные банки) Центрального банка РФ устанавливают квартальные значения данного норматива таким образом, чтобы постепенно (равными долями) от фактически сложившегося значения по балансу на 1.04.96 г. привести значение данного норматива к 100% по балансу на 1 января 1999 года.
Норматив использования собственных средств кредитных организаций для приобретения долей (акций) других юридических лиц (КА), который устанавливается в форме процентного соотношения размеров инвестируемых и собственных средств кредитной организации

,
где
КИН собственные средства кредитной организации, инвестируемые на приобретение долей (акций) других юридических лиц (сч. 059 + 191 + 825).
Примечание.
Внесенные кредитной организацией средства в паи и акции других банков резидентов в иностранной валюте должны учитываться на балансовых счетах 825 и 191 соответственно.
Максимально допустимое значение норматива КА устанавливается в размере:
с баланса на 1.07.96 г. 45%
с баланса на 1.10.96 г. 35%
с баланса на 1.01.97 г. 25%
При этом устанавливается, что собственные средства кредитной организации, инвестируемые на приобретение долей (акций) одного юридического лица не могут превышать с баланса на 1 января 1997 года 10% собственных средств (капитала) кредитной организации.
Коэффициент фондовой капитализации прибыли (КФКП) показывает соотношение собственных ресурсов банка к деньгам, которые внесли учредители и наряду с эффективностью работы банка характеризует его независимость от отдельных учредителей:

,
где
УФ уставный фонд: (сч. 010) + дооценка валютных вкладов учредителей (сч.
019 (п-а)).
После проведения оценки активов и пассивов проводится оценка соотношения активов и пассивов заемщика, с помощью которой исследуется размещение привлеченных средств.
Виды и функции кредита
Их доля в общем объеме капитализированных средств 38,5%. Впервые значительную долю в капитализации составили остатки фондов экономического стимулирования по итогам года 21,5%, из них 93% за счет капитализации фондов АКБ Нефтепромбанк.
Колебание доли материальных активов в течение 1996 года было незначительным. По-прежнему более 90% материальных активов составляют здания, стоимость которых достаточно высока.
Например, Волго-Камский коммерческий банк принял в оплату за акции здание стоимостью более 36 миллиардов рублей.
Доля средств, привлеченных во втором квартале 1996 года в уставный капитал за счет конвертации ранее выпущенных ценных бумаг в акции составила менее одного процента. И хотя конвертация выгодна с экономической точки зрения, так как она позволяет избежать режима накопительного счета, а следовательно, отвлечения средств из оборота, банки пока еще мало пользуются этим инструментом и идут по более короткому пути формирования уставного капитала в рамках одной эмиссии.
Сводные данные по источникам увеличения уставного капитала акционерных коммерческих банков во втором квартале 1996 года (Материалы ЦБ России, 1996 г.) представлены в табл. 1.3.
В территориальном разрезе основной процент общего прироста уставного капитала по завершенным выпускам акций по-прежнему сохраняется за акционерными банками города Москвы 70,9%, по незавершенным выпускам также за банками города Москвы 67,8% и кроме того, банками республик Татарстан 7,1% и Удмуртия 5,3%.
В структуре выпусков по типам акций в основном банками эмитировались обыкновенные акции. Привилегированные акции составили незначительную долю как по количеству, так и по объему выпусков.
Среди рассмотренных выпусков акций 87% реализовано по номинальной стоимости. Однако зарегистрирован выпуск, в котором цена реализации акций превосходит номинал в 4,9 раза.
Таблица 1.3
Сводные данные по источникам увеличения
уставных капиталов акционерных коммерческих банков
|
Источники увеличения уставного капитала АКБ во II квартале 1996 г. |
Доля в совокупном приросте уставного капитала, % |
Абсолютный прирост уставного капитала, млрд. рублей |
|
Денежные средства (руб.) |
75,3 |
734,8 |
|
Валюта |
9,0 |
87,3 |
|
Материальные активы |
7,2 |
70,2 |
|
Капитализация собственных средств |
7,7 |
75,3 |
|
Конвертируемые ценные бумаги |
0,8 |
8,2 |
|
Всего |
100,0 |
975,8 |
Зарегистрировано три случая консолидации акций, имеющих низкий номинал, в акции с более высокой номинальной стоимостью. Консолидацию с одновременным аннулированием ранее выпущенных акций провели акционерные коммерческие банки Дальрыббанк, Камчатбизнесбанк и Россия.
По способу проведения подписки на акции банки распределились почти равномерно. Открытую подписку провело 55% коммерческих банков от общего числа банков, завершивших эмиссию во втором квартале. Остальные 45% банков провели закрытую подписку, в том числе 6 банков, образованных в форме открытого акционерного общества.
Среди рассмотренных выпусков преобладают выпуски в безналичной форме 84,7% от общего количества выпусков.
Во втором квартале 1996 года, кроме выпусков акций, было зарегистрировано два незавершенных выпуска облигаций на общую сумму 18,0 млрд. рублей. Омский АКБ Соотечественники выпустил именные конвертируемые облигации со сроком обращения один год и размером дохода 50% годовых.
Кроме того, КАБ Викинг г. Санкт-Петербург зарегистрировал выпуск именных облигаций со сроком обращения десять лет и ежемесячной выплатой процентов в соответствии с заранее утвержденным графиком.
Однако говорить об эмиссионной активности банков по выпуску облигаций преждевременно. Во втором квартале 1996 года было аннулировано 38 выпусков акций 30 акционерных банков на общую сумму более 200,0 млрд. рублей, что чуть меньше, чем в первом квартале 49 выпусков на 255 млрд. рублей.
Самой распространенной причиной аннулирования объявленных выпусков акций по-прежнему остается отсутствие необходимых средств у акционеров, что не позволяет банкам в установленный срок собрать 50% от суммы предполагавшегося в начале выпуска увеличения уставного капитала и зарегистрировать отчет об итогах эмиссии. По этой причине во втором квартале 1996 года аннулировано 20 выпусков акций на общую сумму 188 млрд. рублей.
Следует отметить, что с невозможностью в утвержденные сроки собрать средства в объеме, необходимом для регистрации выпуска, чаще сталкиваются региональные, чем столичные банки. Так, три банка вынуждены были уменьшить уставный капитал, зарегистрированный в соответствии с объемом реализованных акций, из-за неплатежеспособности акционеров, которым была предоставлена рассрочка по оплате приобретенного пакета акций на общую сумму 3,2 млрд. рублей.
Анализ данных Центрального банка России также показал, что некоторые акционеры отказались от приобретения акций во втором квартале 1996 года в связи с обеспокоенностью развитием политической и экономической ситуации в России после президентских выборов.
Виды и функции кредита
Кредит одно из важнейших звеньев рыночной экономики. В широком смысле слова кредит это предоставление в пользование одним субъектом рынка другому товарно-материальных ценностей на условиях срочности, возвратности и платности.
Данные условия есть суть кредита и этим отличают кредит от других товарно-финансовых операций. Для осуществления кредитной сделки на рынке ссудных капиталов необходимо наличие минимум двух участников: кредитора и заемщика.
Кредитор это субъект кредитной сделки, предоставляющий кредит. Заемщик субъект кредитной сделки, получающий средства в пользование.
Срочность означает, что кредит предоставлен на определенный и зафиксированный в документах срок, по окончании которого заемщик обязан вернуть сумму кредита.
Возвратность означает, что заемщик должен вернуть средства, полученные в качестве кредита.
Платность означает, что заемщик должен заплатить за пользование средствами определенную условиями соглашения цену (как правило, процент за пользование кредитом).
Таким образом, кредит это предоставление в долг денег или товаров. Кредиты подразделяются на: коммерческий, инвестиционный налоговый, банковский и др.
Они отличаются друг от друга составом участников, объектом ссуд, динамикой, величиной процента и сферой функционирования.
Кредиты могут выдаваться в рублях и в валюте. Плата за кредит взимается по ставкам, сложившимся на денежном рынке по краткосрочным кредитам и на рынке капиталов по долгосрочным кредитам.
Проценты, уплаченные по кредитам в соответствии с действующим законодательством, могут относиться либо на себестоимость продукции, либо на балансовую прибыль, либо на чистую прибыль.
Хозяйствующий субъект кроме кредитов банков может привлекать средства, взятые взаймы у других предприятий и организаций (заимодавцев). Такие кредиты называются займами.
Займы также бывают краткосрочные и долгосрочные.
Кредит одно из важнейших звеньев рыночной экономики, позволяющее бесперебойно функционировать всем остальным звеньям. Поэтому кризис кредитной сферы всегда влечет за собой кризис всей экономики в целом. Примерами этого могут служить черный вторник и черный четверг.
Кредитно-банковские учреждения многие авторы называют нервными узлами, мозгом, задающим импульсы развитию хозяйства, сердцем экономики, перекачивающим в народном хозяйстве кровь особого рода деньги.
По источникам кредиты можно разделить на три основные группы: коммерческий кредит, государственный кредит, банковский кредит. Рассмотрим некоторые виды кредита.
Коммерческий кредит
Он предоставляется одним функционирующим предприятием другому в виде продажи товаров с отсрочкой платежа. Инструментом такого кредита является вексель, оплачиваемый через коммерческий банк.
Как правило, объектом коммерческого кредита выступает товарный капитал, который обслуживает кругооборот промышленного капитала, движение товаров из сферы производства в сферу потребления.
Особенность коммерческого кредита состоит в том, что ссудный капитал здесь сливается с промышленным. Главная цель такого кредита ускорить процесс реализации товаров и заключенной в них прибыли. Процент по коммерческому кредиту, входящий в цену товара и сумму векселя, как правило, ниже, чем по банковскому кредиту.
Размеры коммерческого кредита ограничиваются величиной резервных капиталов, которыми располагают промышленные и торговые компании.
Коммерческие кредиты предоставляются хозяйствующему субъекту поставщиками продукции (работ, услуг) в форме вексельного кредита, фирменного кредита или открытого счета, а покупателем поставщику в форме аванса.
Вексельный кредит
Кругооборот средств предприятия в процессе производства продукции, услуг и других видов коммерческой деятельности часто сопровождается такой ситуацией, когда возникает недостаток финансовых ресурсов покупатель продукции по различным причинам не может сразу рассчитаться с поставщиком. В этом случае возникает необходимость отсрочки платежа, т. е. коммерческого кредита, который может предоставить поставщик товара потребителю с получением от него долгового обязательства векселя.
Вексель это ценная бумага, которая удостоверяет безусловное денежное обязательство векселедателя (должника) уплатить до наступления определенного срока обусловленную сумму денег владельцу векселя (векселедержателю), или по его указанию другим лицам. В нормально функционирующей рыночной экономике любой субъект рынка, покупая товары в долг, с отсрочкой платежа, вправе выдать продавцу, при условии его согласия, долговое обязательство вексель.
Расширение практики выдачи и применения векселей уже давно выступает одним из важных направлений развития рынка кредитно-финансовых услуг. Ведь смысл векселя в том, чтобы не только гарантировать возврат долга, но и активно использовать это долговое обязательство для ускорения оборота ресурсов в целях повышения эффективности коммерческой деятельности.
Поэтому векселедержатель, не дожидаясь уплаты по векселю, ищет юридическое или физическое лицо, которое купило бы вексель (в качестве покупателя обычно выступает банк), или приняло его в качестве платежного средства за приобретаемые товары и услуги.
Вексель один из самых старых и важнейших финансовых инструментов активной реализации товарно-денежных отношений и коммерческого кредита. В странах с развитыми финансовыми системами, например в ФРГ вексель занимает весьма достойное место в финансовом обороте 20-25%.
И это при наличии современных электронных кредитов, которые можно оформить в течение часа.
Если предприятие разумно ведет дело, то покрыть временную нехватку оборотных средств векселем ему будет совсем несложно, так же, как и отпустить товар под вексель надежному партнеру в случае временного недостатка средств у него. Сейчас, когда в России идет становление рыночных отношений, в условиях острого дефицита платежных средств, резкого спада производства, нарушения хозяйственных связей и огромного объема неплатежей, значительно повысился интерес к векселю как средству безналичных расчетов.
Поэтому вексель начинает все больше входить в хозяйственную практику. Уже появился целый ряд нормативных документов, регулирующих вексельное обращение.
Вексельное обращение может охватывать различные сферы экономических отношений. В основе выпуска и обращения векселей лежит характер и цели сделок. Функциональная задача рынка векселей перераспределение денежных средств через краткосрочное кредитование. Вексель выступает документом, формализующим экономические взаимосвязи покупателя и продавца денежного или материального товара.
Лежащая в основе вексельного обращения ссудная сделка как в товарной, так и в денежной формах предполагает взаимоконтроль контрагентов и основывается на свободном выборе партнеров экономических взаимосвязей.
Поскольку вексель связан с риском неоплаты, то он принимается в качестве платежного средства лишь при наличии определенного доверия к векселедателю. При этом партнерами по сделке осуществляется взаимный контроль.
Если векселедатель контролирует качество, стоимость, своевременность и другие условия поставки товаров, то векселедержатель платежеспособность своего партнера, и не только в момент получения векселя, но, и это особенно важно, его перспективные финансовые возможности до момента наступления срока платежа.
Взаимный контроль и одновременно доверие участников вексельной сделки друг к другу, их стремление четко выполнить принятые обязательства выступают важной морально-этической стороной и развития рыночных взаимосвязей.
Фирменный кредит или открытый счет
Фирменный кредит это традиционная форма кредитования, при которой поставщик (продавец) предоставляет кредит покупателю в форме отсрочки платежа. Разновидностью фирменного кредита является аванс покупателя, который выплачивается поставщику (продавцу) после подписания договора (контракта).
Кредит по открытому счету, как правило, совершается при экспортно-импортных операциях одновременно означает и расчеты по открытому счету. Эти кредиты предоставляются в расчетах между постоянными партнерами (контрагентами), особенно при многократных поставках однородных товаров.
Сущность кредитов или расчетов по открытому счету заключается в том, что продавец отгружает товар покупателю и направляет в его адрес товарораспорядительные документы, относя сумму задолженности в дебет счета, открытого им на имя покупателя. В обусловленные контрактом сроки покупатель погашает свою задолженность по открытому счету.
Для покупателя открытый счет выгодная форма расчетов и получения кредита, так как в этом случае отсутствует риск оплаты непоставленного товара, а проценты за использование такого кредита обычно не взимаются.
Хозяйствующие субъекты, использующие открытый счет, как правило, выступают попеременно в качестве продавцов и покупателей, что является одним из способов обеспечения выполнения сторонами платежных обязательств.
Аванс
Аванс это предварительная оплата покупателем продукции, которая будет поставлена через определенный договором или контрактом срок. В случае оплаты аванса выгоду приобретают обе стороны сделки.
Покупатель страхует себя от инфляционного изменения цен на продукцию. Продавец получает гарантии, что его продукция будет реализована, а также получает оборотные средства для осуществления производственного процесса.
Отличительная особенность использования аванса в том, что он применяется особенно в условиях высокой нестабильности экономики, когда связи между контрагентами еще не налажены, велик риск срыва сделки, существуют форс-мажорные обстоятельства, идет постоянное изменение законодательства.
Государственный кредит
Государственный кредит и государственный долг
Государственный кредит следует разделять на собственно государственный кредит и государственный долг. В первом случае кредитные институты государства (банки и другие кредитно-финансовые институты) кредитуют различные секторы экономики. Во втором случае государство заимствует денежные средства у банков и других кредитно-финансовых институтов на рынке капиталов для финансирования бюджетного дефицита и государственного долга.
При этом кроме кредитных институтов, государственные облигации покупают население, юридические лица, т. е. различные предприятия и компании.
Одной из разновидностей государственного кредита является оказание государством прямой финансовой поддержки бюджетам субъектов Российской Федерации в виде субвенций, дотаций, ссуд и трансферт. Применяются данные виды кредитов безвозмездно в фиксированной денежной сумме.
Субвенции
В Законе РФ "О субвенциях республикам в составе Российской Федерации, краям, областям,..." от 15 июля 1992 г. 3303 - 1 субвенция определяется как "фиксированный объем государственных средств, выделяемых на безвозмездной основе для целевого финансирования (возмещения) расходов бюджетов национально - государственных и административно-территориальных образований". Таким образом, субвенция - денежная сумма, выделяемая из вышестоящего бюджета в нижестоящий, во-первых, с условием использования в течение оговоренного срока и, во-вторых, для выполнения конкретных целей (текущие или инвестиционные субвенции, финансирование текущих расходов, инвестиционной, инновационной и другой деятельности).
При использовании не по назначению либо при просрочке субвенция подлежит возврату предоставившему ее органу, что установлено статьей 3 закона.
Дотации
Дотация, в отличие от субвенции, выделяется единовременно и без целевого назначения. Согласно закону дотация предоставляется в случаях, если закрепленных и регулируемых источников недостаточно для формирования минимального бюджета региона (субъекта).
Начиная с 1992 г. в нормативных актах стал употребляться термин "трансферты", который в разных ситуациях следует понимать как разновидность дотаций или субвенций, т.е. нечто среднее между ними.
Трансферты
В Российской Федерации применительно к бюджетно-кредитной сфере понятие трансферты употребляется в настоящее время как перевод средств в бюджеты нижестоящего территориального уровня из специального фонда финансовой поддержки регионов. Доля в данном фонде каждой территории, нуждающейся в финансовой помощи, устанавливается расчетным путем. Сам фонд образуется в составе вышестоящего бюджета на нормативной основе.
Средства фонда формируются за счет процентных отчислений от фактически поступающих бюджетных доходов. Формирование федерального фонда финансовой поддержки закрепляется федеральным законом "О федеральном бюджете..."на соответствующий год.
Инвестиционный налоговый кредит
Под инвестиционным налоговым кредитом понимается отсрочка налогового платежа, предоставляемая органами государственной власти или налоговыми органами. Порядок и условия выдачи этого кредита определены Законом РСФСР "Об инвестиционном налоговом кредите". Законом предусматривается отсрочка налоговых платежей для двух категорий предприятий:
малых предприятий при закупке и вводе в действие определенных видов оборудования;
приватизируемых предприятий (при некоторых ограничениях) по кредиту для выкупа имущества предприятия.
Банковский кредит
Банковский кредит предоставляется банками и другими кредитно-финансовыми институтами юридическим лицам (промышленным, транспортным, торговым компаниям), населению, государству, иностранным клиентам в виде денежных ссуд.
Банковский кредит превышает границы коммерческого кредита по направлению, срокам, размерам. Он имеет более широкую сферу применения. Замена коммерческого векселя банковским делает этот кредит более эластичным, расширяет его масштабы, повышает обеспеченность. Различна также динамика банковского и коммерческого кредитов.
Так, объем коммерческого кредита зависит от роста и спада производства и товарооборота. Спрос на банковский кредит в основном определяется финансовым состоянием в различных секторах экономики. Однако он также подвержен циклическим колебаниям экономики.
Банковский кредит носит двойственный характер: он может выступать как ссуда капитала для функционирующих предприятий и компаний либо в виде ссуды денег для заемщиков, в том числе как платежное средство при уплате долгов.
По мере развития и расширения кредитной системы увеличиваются темпы роста банковского кредита. В настоящее время существует несколько форм банковского кредита.
Потребительский кредит
Потребительский кредит, как правило, предоставляется торговыми компаниями, банками и специализированными кредитно-финансовыми институтами для приобретения населением товаров и услуг с рассрочкой платежа. Обычно с помощью такого кредита реализуются товары длительного пользования (автомобили, холодильники, мебель, бытовая техника).
Как правило, срок кредита составляет 3 года, процент от 10 до 25. Население в промышленно развитых странах тратит от 10 до 20% своих ежегодных доходов на покрытие потребительского кредита.
В случае неуплаты по нему имущество изымается кредитором.
В последние годы органы власти Соединенных Штатов отменили потолки ставок, выше которых банки не имели права оценивать свои потребительские ссуды, так что в настоящее время по сравнению с прошлыми периодами ставки по потребительским ссудам достаточно высоки. В результате по прибыльности и рискам потребительские ссуды начинают отличаться от других ссуд.
Риск неплатежа индивидуального заемщика выше, чем риск неплатежа коммерческого клиента. Следовательно, для того, чтобы компенсировать более высокий риск, ставки потребительских ссуд становятся выше.
Хотя ставки потребительских ссуд по большей части фиксированы, платежи в рассрочку повышают их чувствительность к изменению процентных ставок, поэтому сроки погашения таких ссуд относительно коротки. Однако долгосрочные ссуды могут подставить банк под большую степень риска, связанного с изменением процентных ставок. И, наконец, потребительские ссуды относительно неликвидны.
Обычно банки не могут продать их близко к номиналу, поскольку не существует вторичного рынка таких ссуд. Однако это положение медленно меняется все больше банков пытаются перевести в ценные бумаги (секьюритизировать) ссуды на приобретения автомобилей и дебиторскую задолженность по кредитным карточкам.
Ипотечный кредит
Одной из наиболее распространенных форм кредитов в развитых странах являются ссуды под недвижимость, или ипотечные кредиты. Самые крупные направления кредитования под недвижимость ссуды на покупку и строительство жилья, на освоение земельных участков, под нежилые строения коммерческого и промышленного назначения.
Ипотека давно стала мощным инструментом экономического развития в большинстве стран мира. Ипотечные банки снова появились и в России. Поэтому следует более подробно рассмотреть, что же это за инструмент, в чем его двигательная сила?
Каковы перспективы его развития и какую роль он мог бы сыграть в развитии российского предпринимательства и в выходе страны из глубокого экономического и социального кризиса?
Сегодня под ипотекой понимают залог недвижимого имущества (главным образом земли и строений) с целью получения ссуды. Он представляет собой право заимодавца на удержание этого имущества в случае неуплаты долга.
Сегодня в России насчитывается около двух десятков ипотечных банков. Первыми среди них начали свою деятельность Санкт-Петербургский ипотечный банк, Московский коммерческий банк ипотечного кредита, Опцион, Акционерный специализированный ипотечный коммерческий банк (АСИКомбанк), Кубанский земельный ипотечный банк и другие. Правда, в силу недостаточной еще развитости операций с недвижимостью, особенно с землей, многие из них занимаются преимущественно выдачей кредитов под залог квартир, а также обычным краткосрочным коммерческим кредитованием.
Ипотечные операции в ряде этих банков проводятся как пробные.
Контокоррентный кредит
Современные коммерческие банки осуществляют множество различных операций: расчетных, платежных, кредитных, комиссионных и т. п. Среди них особое место занимает одна из старейших форм банковских операций, о природе и месте которой экономисты и юристы, занимающиеся банковской деятельностью, спорят уже более сотни лет. Это контокоррент, что по-итальянски означает текущий счет. Но хотя контокоррент и переводится как текущий счет, но это не просто текущий счет в банке как таковой.
Он одновременно имеет типичные черты кредитной операции, причем двусторонней: со стороны банка и со стороны клиента; и это делает контокоррент особой, специфической формой банковской операции.
Осуществляемая на контокоррентном договоре идея крайне проста. Банк и клиент, находящиеся в постоянных денежных отношениях, при совершении между собой в течение определенного времени различных видов денежных операций, как расчетных, так и кредитных, вынуждены передавать один другому те суммы, которые только что от него получены, вследствие чего на покрытие взаимных претензий происходит непрерывное взаимное движение денег.
Поэтому они заключают между собой договор, на основании которого в течение определенного, оговоренного в договоре времени, не регулируют своих денежных претензий друг к другу с тем, чтобы впоследствии по мере их накопления, иметь возможность сразу подвести общее сальдо.
Задачи при расчете формальных показателей потенциальных заемщиков
Эффективность переменных затрат у АО Челябинский тракторный завод на 1.01.97 составляет

.
Это говорит о том, что при изменении переменных затрат на 1 у.е. валовая прибыль увеличится на 28,9%.
Точка безубыточности АО Челябинский тракторный завод составляет 342 797 543 руб., а абсолютное отклонение от точки безубыточности составляет 369 018 575 руб., что говорит о высоком запасе прочности предприятия и подтверждает выводы, сделанные на предыдущих этапах анализа о высокой степени реализуемости продукции.
Все остальные показатели, рассчитываемые на данном этапе можно свести в таблицу (табл. 3.10) и проанализировать в совокупности.
Таблица 3.10
Показатели эффективности затрат АО Челябинский тракторный завод
|
Наименование статей |
Значение |
|
Эффективность постоянных затрат |
105,9% |
|
Совокупная эффективность затрат |
40,8% |
|
Эффективность продаж |
29,0% |
|
Балансовая эффективность затрат |
42,5% |
|
Чистая эффективность затрат |
36,0% |
|
Чистая эффективность деятельности |
25,3% |
|
Запас прочности |
51,4% |
|
Производственный рычаг |
190,0% |
Оценка показателей, приведенных в таблице 3.10, свидетельствует об успешной деятельности предприятия на рынке и говорит достаточно высокой степени прибыльности затрат, как по видам, так и в целом по всему предприятию.
Завершающим шагом по оценке кредитоспособности АО Челябинский тракторный завод является оценка эффективности его ресурсов. Так деятельность предприятия прибыльна, использование его ресурсов эффективно.
Насколько эффективно ответ на этот вопрос будет дан в следующем параграфе.
Оценка эффективности ресурсов АО Челябинский тракторный завод
Для оценки эффективности ресурсов предприятия рассмотрим и проанализируем две таблицы (табл. 3.11, 3.12).
В первую вошли показатели рентабельности, во вторую показатели оборачиваемости.
Таблица 3.11
Показатели рентабельности АО Челябинский тракторный завод
|
Общая рентабельность |
13,9% |
|
Рентабельность собственного капитала |
16,1% |
|
Рентабельность уставного капитала |
33672,2% |
|
Рентабельность необоротных активов |
18,4% |
|
Рентабельность оборотных активов |
57,0% |
Таблица 3.12
Показатели оборачиваемости АО Челябинский тракторный завод
|
ОБОРАЧИВАЕМОСТЬ ТЕКУЩИХ АКТИВОВ |
|
|
Оборот запасов материалов |
10,7 |
|
Доля в затратном цикле |
22,1% |
|
Оборот авансов поставщикам |
26,1 |
|
Доля в затратном цикле |
53,8% |
|
Оборот незавершенного производства |
0,3 |
|
Доля в затратном цикле |
0,6% |
|
Оборот готовой продукции |
4,3 |
|
Доля в затратном цикле |
8,8% |
|
Оборот товаров |
0,0 |
|
Доля в затратном цикле |
0,0% |
|
Оборот выставленных счетов |
5,1 |
|
Доля в затратном цикле |
10,5% |
|
Оборот прочих текущих активов |
2,0 |
|
Доля в затратном цикле |
4,2% |
|
=== Итого затратный цикл |
48,5 |
|
ОБОРАЧИВАЕМОСТЬ ТЕКУЩИХ ПАССИВОВ |
|
|
Оборот предъявленных счетов |
7,2 |
|
Доля в кредитном цикле |
25,4% |
|
Оборот авансов покупателей |
6,3 |
|
Доля в кредитном цикле |
22,0% |
|
Оборот прочих текущих пассивов |
15,0 |
|
Доля в кредитном цикле |
52,6% |
|
=== Итого кредитный цикл |
28,5 |
|
=== Итого чистый цикл |
20,0 |
По таблице 3.11 можно сделать следующие выводы:
общая рентабельность предприятия составляет 13,9%, что для российских предприятий является достаточно высоким показателем;
в целом прибыль, полученная от использования ресурсов АО Челябинский тракторный завод достаточна для покрытия процентов, что свидетельствует о высокой степени кредитоспособности. Об этом же свидетельствуют и данные таблицы 3.12.
Таким образом, по окончании всех этапов анализа по предприятию АО Челябинский тракторный завод можно сделать следующие выводы:
общая оценка качества активов не дала однозначного ответа на вопрос о кредитоспособности, поэтому были рассмотрены другие группы показателей;
высокая доля собственных средств в пассивах предприятия свидетельствует о высокой степени защищенности предприятия от колебаний кредитного рынка;
предприятие действует эффективно, так как сумело наладить выпуск хорошо реализуемой продукции.
Все эти факты говорят о надежности предприятия в качестве заемщика и позволяют на основе расчета формальных показателей сделать вывод о его достаточной кредитоспособности.
Задачи информационного обеспечения при расчете формальных показателей потенциальных заемщиков
Анализ кредитоспособности заемщика очень важен для банка, однако, в настоящее время на основании одного анализа отчетности заемщика и цели кредитования трудно принять решение о выдаче кредита. Данные источники информации имеют значительные ограничения по полноте и достоверности.
Причем это относится не только к российской, но и к западной практике кредитования.
В частности, австрийский экономист Антон Шмелль в своей книге Praxis der Kredituberwachung указывает на недостатки периодической отчетности в качестве информационного материала:
1. Возможность манипулирования данными при составлении баланса.
Предприятие при составлении отчетности может пользоваться различными бухгалтерскими приемами (вполне легальными), чтобы баланс стал как можно более красивым. Особо популярно в западных странах применение различных систем стоимостной оценки средств предприятия в зависимости от его экономического положения.
Совокупность таких приемов называют балансовой политикой. В нашей стране у предприятий также есть возможности для проведения балансовой политики, не говоря уже о том, что балансы часто бывают неправильными из-за умышленной фальсификации или ошибок бухгалтеров.
2. Недостаточная полнота и актуальность.
В балансе не всегда содержатся исчерпывающая информация о состоянии предприятия. Например, в нем не отражаются ограничения в распоряжении имуществом (собственность, переданная в залог).
Также балансы, которые фиксируют состояние предприятия на определенную дату, могут быть недостаточно актуальными к моменту выдачи кредита, так как за 2-3 месяца ситуация на предприятии может полностью измениться.
Также и анализ сделки далеко не всегда бывает эффективным. Часто для получения кредита предприятия представляют в банк липовые договора, контракты, технико-экономические обоснования. Проверка же достоверности таких документов и реальной осуществимости сделки весьма затруднена, так как весьма сложно получить необходимую информацию в условиях неразвитости глобальных и локальных информационных систем.
Также на рынке весьма велик разброс цен, и если в одних условиях сделка может оказаться выгодной, то в других точно такая же сделка не даст положительных результатов.
Поэтому банк, помимо вышеуказанных источников информации, должен собрать и проанализировать как можно больше всевозможных данных о кредитоспособности заемщика (различные расшифровки, информацию от третьих лиц о надежности заемщика, о его предшествующей хозяйственной деятельности и так далее), о выгодности и реальности сделки, на которую берется кредит; особенно важна информация, предупреждающая о возможности мошенничества со стороны заемщика.
Основными критериями при сборе информации служат: доступность; быстрота получения информации; затраты на получение информации; качество информационного источника; независимость источников информации; наличие людских и технических ресурсов для своевременной обработки полученной информации.
В целом банк должен собрать всю возможную информацию, и только комплексный анализ всех факторов может служить надежным основанием для принятия решения о выдаче кредита.
Заключение
Подводя итоги, можно сделать следующие выводы. На современном этапе становления и развития рынка ссудных капиталов, в условиях нестабильной экономической обстановки в России проблема определения кредитоспособности заемщика субъекта данного рынка является одной из наиболее практически важных задач.
Кредитоспособность субъекта рынка ссудных капиталов (заемщика) это фундаментальное свойство кредитных отношений и, поскольку экономическую основу кредитоспособности составляет кругооборот и оборот фондов участников воспроизводственного процесса, то можно сказать, что именно кредитоспособность заемщика и выступает необходимым условием функционирования всей кредитной системы.
В общебанковском масштабе для любого банка очень важно умелое проведение кредитной стратегии и управление собственными активами. При этом необходимо соблюдать принцип диверсификации деятельности банка, который выражается, во-первых, в развитии других активных операций, помимо кредитования; во-вторых, в рамках самого кредитования важно предоставлять кредиты как предприятиям и населению, так и другим банкам, что позволяет выбирать оптимальное соотношение доходности и надежности кредитования; в-третьих, необходимо распределять кредитный риск между несколькими заемщиками, тогда крах одного из заемщиков не повлечет за собой банкротство банка.
На уровне конкретного заемщика банку важно определить его кредитоспособность. Для этого необходимо провести анализ финансового состояния заемщика. Существует ряд показателей, позволяющих на базе периодической отчетности предприятия определить его платежеспособность и финансовую устойчивость.
Это коэффициенты ликвидности, показатель обеспеченности собственными средствами и другие. Для комплексной оценки кредитоспособности заемщика можно воспользоваться балльной системой, где каждый показатель имеет свой рейтинг в зависимости от его значимости для анализа. Перемножая рейтинг показателя на класс кредитоспособности по данному показателю можно по сумме полученных баллов определить общий класс кредитоспособности заемщика.
Данную методику необходимо совершенствовать, дабы она наиболее точно отражала реальное состояние дел субъекта рынка.
Помимо предприятий и индивидуальных заемщиков банки активно кредитуют другие коммерческие банки. Сейчас это направление работы является менее рискованным по сравнению с кредитованием предприятий и граждан. О деятельности коммерческого банка можно собрать больше информации, и вообще, банки сейчас являются наиболее надежными заемщиками.
Этому способствует и ужесточение требований к созданию коммерческих банков, к размеру их уставного капитала. Также для банка очень важно сохранять свою репутацию, поскольку он зависит от привлекаемых им депозитов и межбанковских кредитов, а случаи невозврата МБК подорвут доверие к банку со стороны его кредиторов и вкладчиков.
Эти причины во многом определяют меньшую рискованность межбанковских кредитов. Однако даже самый крупный банк может попасть в затруднительное финансовое положение и не вернуть кредит. Поэтому при предоставлении межбанковских кредитов проводится тщательный анализ баланса банка-заемщика.
Здесь важен не только показатель валюты баланса (то есть абсолютный размер банка), но и структура активов и пассивов банка, показывающая, насколько рискованную политику проводит банк.
Существенную роль при принятии решения о выдаче межбанковской ссуды имеют также: опыт работы с данным банком, наличие у него прибыли, присутствие его в официальных рейтингах, наличие валютной лицензии (особенно генеральной) и так далее.
Подробный анализ по всем этим пунктам позволяет снизить риск невозврата межбанковских ссуд.
Другая часть работы, проводимой перед принятием решения о выдаче кредита, анализ сделки, на осуществление которой он испрашивается. Банк должен правильно оценить, насколько выгодна данная сделка, на основе контрактов, договоров и товарораспорядительных документов, а также на основе внешней информации о состоянии рынка.
Однако анализ отчетности и документов, относящихся к сделке, не дает полной информации о кредитоспособности заемщика. Эти источники информации часто бывают неполными, неточными и неактуальными.
Поэтому для банка важно собрать всю возможную информацию о заемщике из прессы, от деловых партнеров заемщика, от других банков, кредитовавших данное предприятие, и так далее.
И все же в современных условиях трудно быть до конца уверенным, что заемщик вернет кредит и уплатит проценты по нему, даже если его финансовое состояние стабильно и направления вложения средств являются выгодными. Поэтому очень важен вопрос о твердом обеспечении кредита, то есть о дополнительных гарантиях его возвратности.
Наиболее распространенными формами обеспечения возвратности кредитов являются залог, гарантии банков, страхование кредитов. В настоящий момент наиболее надежным обеспечением являются гарантии банков.
К тому же их оформление не связано с дополнительными трудностями. Если банк-гарант является надежным, то принять решение о выдаче кредита значительно легче.
Вместо банка гарантом погашения кредита могут выступать страховые компании. Здесь также важно оценить надежность страховой компании, и ее готовность в кратчайшие сроки отвечать по своим обязательствам при непогашении заемщиком кредита.
Но страхование кредита также стоит дорого.
Видимо, в дальнейшем, самым распространенным видом обеспечения будет являться залог, поскольку финансово устойчивое предприятие обычно имеет большие запасы товаров или недвижимость в своей собственности. Использование залога дает наиболее широкие возможности для кредитования (как предприятий, так и населения, для которого почти недоступны другие виды обеспечения), однако сейчас недостаточно отработано залоговое законодательство и на практике возникает много трудноразрешимых вопросов.
Помимо залога товаров очень интересны залог недвижимости, получающий сейчас все большее распространение, залог транспортных средств и другого имущества, а также залог ценных бумаг. Эти виды залога позволяют осуществлять кредитование как юридических лиц, так и населения.
Существуют также и другие формы обеспечения возвратности: передача права собственности, переуступка требований.
С целью повышения эффективности кредитной стратегии субъектов рынка ссудных капиталов необходимо разрабатывать прогнозы будущего развития заемщиков. Объективную оценку надежности партнеров коммерческих банков могут дать независимые организации, сеть которых уже достаточно развита.
Дальнейшее улучшение кредитной стратегии субъектов рынка безусловно требует преодоления такого существенного недостатка, как слабое развитие компьютеризации их деятельности во всех направлениях. Только некоторые из них используют новые совершенные системы автоматизированной обработки информации. Унифицированных программных средств по анализу кредитной стратегии поведения субъектов рынка нет.
Они создаются самими субъектами под каждый вид своей деятельности.
Список литературы
- Бандурин В.В., Беленький Л.П., Блинов В.В., Корпоративное управление в условиях рынка. М.: Изд-во МО РФ, 1996.
- Банковский учет по международным стандартам бухгалтерской отчетности. "Die Bank", 7, 1996.
- Банковское дело / Под ред. Лаврушина О.И. - М., 1992.
- Банковское дело: Справ. пособие / Под ред. Бабичевой Б. - М.: Экономика, 1993.
- Банковское дело: Учебник. - 2-е изд., стереотип./ Под ред. проф. В.И. Колесникова, проф. Л.П. Кроливецкой. - М.: Финансы и статистика. 1996.
- Деньги. 1- 20, 1996.
- Закон РСФСР О банках и банковской деятельности в РСФСР от 2 декабря 1990 г. // Бизнес и банки, 1991, 4.
- Инструкция ЦБ РФ от 30.04.1991 г. 1 О порядке регулирования деятельности коммерческих банков.
- Клиланд Д., Кинг У. Системный анализ и целевое управление. М.: Мир, 1974.
- Коган М.Л. Предприятие и банк. - М.: ПТФ, "Аркаюр", 1993.
- Коммерсант. 1 - 20, 1996.
- Маркова О.М., Сахарова Л.С., Сидоров В.Н. Коммерческие банки и их операции: Учеб. пособие. - М.: Банки и биржи, ЮНИТИ, 1995.
- Общая теория денег и кредита: Учебник / Под ред. проф. Е.Ф. Жукова. - М.: Банки и биржи, ЮНИТИ, 1995.
- Практика банковского дела. Стратегическое управление банковской деятельностью. М.: ПРИОР, 1995.
- Рейтинг надежности российских банков. Деньги. 38 (48). М.: ИД "Коммерсантъ". 1995.
- Рид Э.. Коттер Р.. Гилл Э.. Смит Р. Коммерческие банки. - М.: СП "Космополис", 1991.
- Тимоти У. Кох. Управление банками: Пер. с англ. Уфа: Спектр. Ч. V, 1993. - 192 с.
- Усоскин В.М. Современный коммерческий банк. Управление и операции. - М.: Все для вас, 1993.
- Финансист, 25, 1996.
- Финансовый анализ деятельности фирмы. - М.: Крокус Интернэшнл, 1993.
21. Финансы, 1 - 5, 1996.
22. Эксперт, 38 - 41, 1996.