Скоробогатова Т. Н. - Логистика. Учебное пособие
РЕТРОСПЕКТИВНЫЙ АНАЛИЗ ЛОГИСТИКИ
1.Понятие и аспекты логистики
"Logistics" современный англо-русский словарь дает перевод:
- материально-техническое обеспечение;
- организация и осуществление работы тыла, тыл и снабжение.
Действительно, развитие логистики происходило в двух направлениях.
Первое направление само по себе разноплановое.
Древние греки понимали под логистикой искусство выполнения расчетов (греческое "logistice" искусство вычислять, рассуждать). По свидетельству Архимеда в Древней Греции было 10 логистиков. В Древнем Риме под логистикой понимали распределение продуктов. Немецкие философы 17-18 веков называли логистикой математическую логику (представитель Лейбниц).
Термин закрепили на конференции в Женеве.
Второе направление связано с войсковой логистикой. О войсковой логистике в Византийской империи: "Делом логистики является удерживать армию, надлежащим образом вооружать и организовывать, снабжать войсковыми средствами, своевременно и полно удовлетворять потребности, каждый поход готовить. Это значит рассчитывать время и пространство так, как и оценивать силу противника."
В начале 19-го века получил известность труд по логистике французского военного специалиста А. Жомини, который определял логистику как науку об управлении при планировании запасов, перевозках и снабжении войск. Широкое признание получила логистика после наполеоновских войн.
Новый этап в развитии военной логистики наступил во время второй мировой войны, когда логистические подходы стали применяться в американской армии.
Первоначально логистику определяли как:
- новое направление в организации движения грузов;
- теория планирования различных потоков в человеко-машинных системах;
- совокупность различных видов деятельности с целью получения необходимого количества груза в нужном месте в нужное время с минимальными затратами;
- интеграция процессов производства и транспортировки;
- процесс планирования затрат по перемещению и хранению грузов от производства до потребления;
- производственная инфраструктура;
- форма управления физическим распределением продукта;
- эффективное движение готовой продукции от места производства до места потребления;
- наука о рациональной организации производства и распределения;
- новое научное направление, связанное с разработкой рациональных методов управления материальными и информационными потоками.
В настоящее время под логистикой понимается наука об управлении материальными, а также связанными с ними информационными, финансовыми и сервисными потоками в определенной системе. Логистику рассматривают в 3-х аспектах, т.е. как
- многостадийный хозяйственный процесс, включающий:
- складирование готовой продукции у предприятий-изготовителей;
- перевозку товаров, перегрузку их с одного вида транспорта на другой при смешанных перевозках;
- складирование и хранение товаров в системе посреднических предприятий и организаций оптовой торговли;
- разгрузку, приемку товаров у конечных потребителей, в том числе в системе розничной торговли;
- систему управления, объединяющую:
- управляющую систему (подразделения аппарата управления предприятий-поставщиков и потребителей, коммерческо-посреднические, торговые и транспортные организации, координирующие органы государственного управления);
- управляемую систему, т.е. отдельные логистические объекты (склады, транспортные средства и др.) и потоки;
- экономическую науку, основанную на экономике, планировании и организации материально-технического снабжения. Связана с экономикой транспорта и экономикой торговли.
Элементы логистики
Актуальность логистики на современном этапе экономического развития
Во влиянии логистики на экономическое развитие можно выделить 4 фактора:
1. Экономический, позволяющий сократить производственно-сбытовые затраты предприятийпроизводителей, уменьшить издержки обращения торгово-посреднических организаций, расширить ассортимент услуг и улучшить качество обслуживания потребителей.
2. Организационный. Дробление структур и децентрализация управления сопровождается развитием ассоциативных начал в хозяйственной деятельности.
Все более устойчивое положение приобретают интегральные формы, что и характерно для логистических процессов.
3. Информационный. В настоящее время на первый план выходит развитие информационных связей, которые являются причиной и следствием рыночных отношений.
Информационные потоки в то же время выступают предметом, средством и составляющей логистических процессов.
4. Технический фактор проявляется в том, что субъекты и объекты управления развиваются на основе современных технических достижений в транспортно-складском хозяйстве и сфере управления. В свою очередь, коммерческая инициатива и товарно-денежные отношения стимулируют внедрение новой техники в процессы товародвижения, которые в условиях технической модернизации обуславливают эффективное управление на логистической основе.
Логистика оказывает существенное воздействие на развитие рыночных отношений:
- развивается конкуренция продукции и сервиса;
- снижаются затраты на товародвижение, т.е. на заготовку, складирование, разгрузку и отправку продукции;
- рационально используются ресурсы;
- эффективно функционируют отрасли производственной инфрастуктуры.
Многоплановое влияние оказывает логистика на работу органов государственного управления:
- востребуются их координационные функции, поскольку в последнее время хозяйственные связи формируются спонтанно, по инициативе предприятий-поставщиков и потребителей, а также в связи с развитием посреднических структур. В масштабе регионов функции координации товаропотоков призваны выполнять местные органы исполнительной власти;
- в региональных органах управления получают развитие функции рекомендательного и научно-методического характера при оказании государственной поддержки логистическим структурам;
- изыскиваются дополнительные источники повышения доходов государственного бюджета, например, благодаря регулированию цен на логистические услуги;
- развиваются межотраслевые связи предприятий промышленности, транспорта, торговли;
- логистические методы управления получают развитие в области межгосударственных отношений, что учитывается при образовании транснациональных финансово-промышленных групп.
Элементы, из которых складывается эффект от логистического подхода к управлению предприятием:
- производство ориентируется на рынок, возможен переход к малосерийному и индивидуальному производству;
- налаживаются партнерские отношения с поставщиками;
- сокращаются простои из-за нехватки материалов на рабочих местах;
- оптимизируются запасы (одна из центральных проблем логистики);
- сокращается численность вспомогательных рабочих вследствие повышения определенности процесса;
- улучшается использование производственных и складских площадей за счет снижения неопределенности потоковых процессов (в частности, на оптовых торговых базах до 30%);
- снижается травматизм из-за улучшения техники безопасности.
Этапы развития логистики
Использование принципов логистики в экономике началось сравнительно недавно. В 60-х - начале 70-х годов ХХ века в странах с развитой рыночной экономикой стали осознавать, что рационализация распределения произведенной продукции позволяет снизить ее себестоимость без дополнительных капитальных вложений.
Проведенные в Великобритании исследования показали, что в стоимости продукта, попавшего к конечному потребителю, более 70% занимают расходы на логистику, т.е. на транспортировку, хранение, упаковку и т.д. Главные причины резкого возрастания интереса к логистике:
- обеспечение конкурентных преимуществ за счет снижения себестоимости и улучшения качества поставок;
- энергетический кризис (70-е годы);
- НТП и в первую очередь, компьютеризация;
- превращение рынка продавца в рынок покупателя.
Выделяют следующие этапы совершенствования логистики (графически они представлены на 1.2-1.5):
I. 60-е годы ХХ века. Происходит интеграция складского хозяйства с транспортом и координация их использования.
Ранее транспорт и склад были связаны только oпeрациями погрузки-разгрузки, теперь они работают по единой технологии (тара, в которой отправляется груз, выбирается с учетом транспорта).
Ключевые моменты первого этапа развития логистики:
- непосредственное реагирование на колебания спроса;
- оценка логистической системы выражается долей затрат на транспортировку и другие операции по распределению продукции в выручке от реализации.
II. Середина 80-х годов ХХ века. Ко взаимодействию складирования и транспортировки подключается планирование производства.
Это позволяет повысить качество обслуживания покупателей за счет своевременности выполнения заказов и более рационально использовать оборудование.
Ключевые моменты второго этапа развития логистики:
- система логистики включает следующие элементы: обработку заказов, обслуживание заказчика, управление запасами готовой продукции;
- используются компьютеры, но информационные системы не отличаются высокой сложностью;
- работа логистической системы оценивается сопоставлением сметы расходов и реальных затрат.
III. 90-е годы ХХ века.
Совокупность материалопроводящих звеньев приобретает целостный характер.
Ключевые моменты третьего этапа развития логистики:
- к элементам логистической системы второго этапа добавляются: добыча или закупка сырья, доставка сырья на предприятие, управление запасами сырья и незавершенного производства;
- управление основано на планировании упреждающих воздействий;
- работа системы оценивается сравнением со стандартом качества обслуживания.
IV. Настоящее время.
Логистические операции интегрируются с операциями маркетинга и финансов.
Ключевые моменты четвертого этапа:
- увязка противоречивых целей подразделений предприятия;
- долговременное (более года) планирование;
- оценка работы системы с учетом требований международных стандартов.
Элементы 4-го этапа развития логистики
Однако, необходимо отметить, что и в настоящее время некоторые предприятия с недоверием относятся к логистике. Во многом это объясняется изменчивым экономическим климатом, нацеливающим на получение сиюминутной прибыли.
Кроме того, иногда трудно выделить отдачу от инвестиций в логистику. Отчасти это следствие сложности затрат на управление запасами и стоимости улучшений в обслуживание потребителей.
Отечественная история развития логистики существенно отличается от западной:
- в странах СНГ задачи оптимизации решались в основном для ППТН (продукции производственно-технического назначения);
- в западных странах логистика развивалась как хозяйственная деятельность по управлению товарными потоками в сфере обращения.
В настоящее время ученые разных стран сходятся во мнении, что объектом логистики является материальный поток на всем пути своего движения, т.е. от первичного источника до конечного потребителя ( 1.6).
Логистика как управление материальным потоком
Логистические операции с материальными и информационными потоками
Все вышеизложенные определения логистики (см. тему 1) сходятся в том, что это наука об управлении материальными потоками в сферах производства и обращения.
Управление материальными потоками осуществляется с помощью логистических операций. К ним можно отнести: погрузку, транспортировку, разгрузку, комплектацию, складирование, упаковку и т.д.
Материальным потокам сопутствуют информационные потоки. Логистические операции с информационными потоками - это сбор, обработка и передача информации.
Логистические операции можно классифицировать следующим образом:
1) по переходу права собственности на товар:
- односторонние (внутри системы);
- двусторонние (материальный поток входит в систему или покидает её);
2) по изменению потребительских свойств:
- без добавления стоимости (погрузка);
- с добавлением стоимости (расфасовка);
3) по природе потока:
- с материальным потоком;
- с информационным потоком
- с финансовым потоком;
- с сервисным потоком.
При управлении материальными и информационными потоками решаются следующие вопросы:
- объём;
- сроки;
- средства;
- пункты и пути транспортировки.
Данные общие вопросы разбиваются на частные (таблица 2.1.).
Таблица 2.1
Проблемы при управлении материальными и информационными потоками
Материальные потоки в логистике
Материальные потоки (ключевое понятие логистики) образуются в результате операций с сырьем, полуфабрикатами, готовыми изделиями, начиная с первичного источника сырья вплоть до конечного потребителя.
Классификация материальных потоков:
- по отношению к логистической системе: - входной (разгрузка железнодорожных вагонов, автомобильного транспорта); - выходной (погрузка); - внутренний (операции внутри предприятия); - внешний (движение грузов, к которым предприятие имеет отношение);
- по натурально-вещественному составу: одноассортиментные (хранение в картофелехранилище) и многоассортиментные (торговля на рынке);
- по количественному признаку:
- массовые (железнодорожный состав, колонна машин, караван судов);
- крупные (несколько вагонов, автомашин, судов);
- средние (одиночные вагоны, автомобили, суда);
- мелкие, не позволяющие заполнить грузоподъемность транспорта и требующие совмещения с другими грузами;
- по весу грузов: - тяжеловесные (металлы) и легковесные (1 т занимает объем более 2
, пример табачные изделия).
- по степени совместимости образующих совместимые и несовместимые;
- по консистенции грузов:
- насыпные (например, зерно) могут перевозиться в открытых вагонах, в контейнерах, на автомашинах;
- навалочные, как правило, минерального происхождения, могут смерзаться, спекаться (соль, уголь, руда, песок и т.д.), перевозятся без тары;
- тарно-штучные имеют самые разнообразные физико-химические свойства. Могут перевозиться в контейнерах, ящиках, мешках. Крупные грузы могут транспортироваться без тары;
- наливные перевозятся в цистернах и наливных судах.
Варианты направленности материального потока внутри торговой базы демонстрирует 2.1.
Объём работ по отдельной логистической операции за определённый период времени выражается в единице материального потока.
Схема материального потока на торговой базе
Размерность материального потока
Единица измерения груза (шт., т.)________
Единица измерения времени (сутки, месяц, год)
Пример расчёта материального потока приведён в табл. 2.2.
Если материальный поток рассматривается для заданного момента времени, его можно назвать материальным запасом. Запас отражает результат изменения и накопления потока

(2.1.).
Если запасы на предприятии не используются, то выходной поток равен входному.
Таблица 2.2
Расчет годового материального потока на участке разгрузки железнодорожных вагонов торговой оптовой базы площадью 5 тысяч квадратных метров.
п/п
|
|
|
|
|
|
|
|
|
- на участок приёмки
- в экспедицию
- до зоны хранения |
730
1218 |
|
|
|
Совокупный материальный поток (товарно-материальные ценности, рассматриваемые в свете приложения к ним логистических операций в определенном интервале времени) для всего предприятия определяется суммой потоков на отдельных участках.
Пример логистической оптимизации материального потока в сфере обращения. Материальный поток в виде сахарного песка направлен от завода - изготовителя через оптовую базу Бакалея к магазинам розничной сети.
При производстве сахарный песок затаривается в мешки емкостью 50 кг. Покупатели приобретают в основном расфасованный сахар.
Задание. Снизить затраты на логистику за счет оптимизации упаковки товара.
Постановка задачи.
Возможны четыре варианта расфасовки:
- за прилавком магазина во время обслуживания очередного покупателя;
- в магазине, в помещении для подготовки товара к продаже;
- на оптовой базе в цехе фасовки;
- на заводе - изготовителе.
1 минимальный эффект; 4 максимальный эффект, т.к. здесь сосредоточено наиболее высокопроизводительное оборудование.
Почему в настоящее время расфасовка не ведется на заводе? Завод не имеет от этого никакой выгоды, зато осуществляет лишние затраты.
В результате завоза в магазины нерасфасованного сахарного песка участники процесса товародвижения упускают часть возможной прибыли. Этого не произойдет, если они объединятся и решат следующие задачи:
- определить размер дополнительной прибыли за счет расфасовки сахара на заводе-изготовителе, установить порядок ее распределения - экономическая задача;
- выбрать средства для доведения фасованного сахара до торговых залов магазинов: - тару; - виды транспортных средств; - погрузочно-разгрузочные механизмы техническая задача;
- договориться о едином процессе обработки материального потока от цеха фасовки на заводе до торгового зала магазина - технологическая задача;
- решить оптимизационные задачи: - оптимизировать запасы на каждом участке движения материального потока; - определить оптимальный размер поставляемых партий и т.д. - математическая задача.
Информационные потоки в логистике
Информационный поток - совокупность циркулирующих в логистической системе, между логистической системой и внешней средой сообщений, необходимых для управления и контроля логистических операций. Информационный поток соответствует материальному и может существовать в бумажной и электронной формах. Взаимодействие материального и информационного потоков показано на 2. 2.
Выделяют следующие информационные потоки:
- -по направлению движения: горизонтальный и вертикальный;
- -по отношению к системе: внутренний, внешний, связующий (входной и выходной).
- по времени функционирования: стационарные, периодические (с жесткими ограничениями времени передачи), оперативные (обеспечивающие связь абонентов в диалоговом режиме);
- в зависимости от назначения: директивные, нормативно-справочные, отчетные, вспомогательные.
2.2. Виды взаимодействия материального и информационного потоков
Информационный поток характеризуется следующими показателями:
- источник;
- направление движения;
- скорость передачи и приема;
- интенсивность.
Соответственно управлять потоком можно:
- изменяя направление потока;
- ограничивая скорость передачи до соответствующей скорости приема;
- лимитируя объем потока до величины пропускной способности отдельного узла или участка пути.
Измерение информационного потока:
единица информации , то есть байт, бит . единица времени час, мин., сек.
В практике хозяйственной деятельности информационный поток может измеряться:
- количеством обрабатываемых и передаваемых документов;
- суммарным количеством документострок.
В качестве примера рассмотрим структуру общего объема информации в магазине продовольственных товаров (табл. 2.3).
Таблица 2.3
Структура общего объема информации в магазине
продовольственных товаров (%).
п/п
|
|
|
(%) |
|
|
В т.ч.
- от поставщиков
- от подотчетных лиц |
63,0
11,8 |
0,1
- |
63,1
11,8 |
В т.ч.
- в вышестоящие организации
- в банк |
1,8
3,1 |
0,3
- |
2,1
3,1 |
В т.ч.
- для управления торгово-хозяйственной деятельностью
- для расчетов как вспомогательный материал
Итого |
3,8
8,7
92,2 |
7,2
0,2
7,8 |
11,0
8,9
100 |
Концепция логистики
Проводим анализ данных. Наибольшую часть информации составляет входящий информационный поток, поступает от поставщиков (товарно-сопроводительные документы) - 63% и от подотчетных лиц - 11%.
Концепция логистики
Деятельность по управлению материальными потоками, также как и производственная, торговая и другие виды хозяйственной деятельности осуществлялась человеком, начиная с ранних периодов экономического развития. Однако сравнительно недавно человечество осознало, каким потенциалом повышения эффективности обладает рационализация потоковых процессов в экономике, т.е. логистика.
Основные положения концепции логистики:
1. Реализация принципа системного подхода. Максимальный эффект можно получить при оптимизации совокупного материального потока на всем протяжении от первичного источника сырья до конечного потребителя.
При этом все звенья материалопроводящей цепи должны работать как единый слаженный механизм.
2. Отказ от выпуска универсального технологического и подъемно-транспортного оборудования. При выполнении отдельной операции универсальное оборудование проигрывает оборудованию, созданному специально для этой работы.
Принцип применим в условиях высокого уровня технического развития (массовое использование широкой номенклатуры средств производства).
3. Гуманизация технологических процессов, создание современных условий труда. В настоящее время работа в сфере управления материальными потоками не престижна.
Логистический подход создает объективные предпосылки для привлечения в отрасль кадров.
4. Учет логистических издержек на протяжении всей логистической цепи. Одна из задач логистики минимизация затрат по доведению материального потока от первичного источника сырья до конечного потребителя.
Минимум совокупных издержек - важный критерий выбора оптимального варианта логистической системы.
5. Развитие услуг сервиса на современном уровне. Логистический сервис становится средством повышения конкурентоспособности. Предположим на рынке несколько поставщиков одинакового товара.
Потребитель выбирает того, кто обеспечит наибольший сервис - доставка вовремя, в удобной таре и т.д.
6. Способность логистических систем к адаптации в условиях неопределенности окружающей среды. Принцип обусловлен появлением большого количества товаров, следовательно, неопределенностью спроса на них, резким колебанием качественных и количественных характеристик материальных потоков, проходящих через логистические системы.
Цель логистической деятельности считается достигнутой, если выполняются шесть правил логистики:
1) груз - нужный товар;
2) качество - необходимое;
3) количество - заданное;
4) время - доставка в указанное время;
5) место - доставка в указанное место;
6) затраты - с минимальными затратами.
Функции логистики
Принципы логистики реализуются через ее функции. Логистическая функция - это укрупненная группа логистических операций, направленных на реализацию целей логистической системы.
Выделяют базисные, ключевые и поддерживающие функции. Базисные это функции, осуществляемые любым товаропроизводителем.
К ним относятся: снабжение, производство, сбыт.
Рассмотрим ключевые логистические функции:
- Поддержание стандартов обслуживания потребителей, обеспечение заданного уровня качества продукции, дистрибьюции и послепродажного сервиса. Широкое распространение получила идеология всеобщего управления качеством, принята обязательная сертификация товаров на основе стандартов ISO 9000.
- Управление закупками, включающее:
- выбор поставщиков материальных ресурсов,
- планирование потребности в ресурсах,
- определение рациональных сроков и объемов поставок,
- выбор форм поставок и товаропроводящих путей,
- выбор типов транспорта для доставки материальных ресурсов.
- Управление транспортировкой. Под транспортировкой понимается совокупность процессов перевозки, погрузки, разгрузки и др. сопутствующих операций. Управление транспортировкой предполагает:
- выбор перевозчика и экспедитора,
- выбор вида транспорта,
- определение рациональных маршрутов,
- подбор транспортного средства под определенный вид груза.
- Управление запасами, т. е. процесс создания, контроля и регулирования уровня запасов в снабжении, производстве и сбыте.
- Управление процедурами заказов.
- Управление производственными процедурами (операционный менеджмент). Функция заключается в управлении потоками материальных ресурсов и незавершенного производства, нацеленном на минимизацию уровня запасов и сокращение длительности производственного цикла.
- Ценообразование, связанное с маркетинговой и логистической стратегиями предприятия-производителя. Логистическая стратегия задаёт уровень общих издержек. От маркетинговой стратегии зависит планируемый уровень рентабельности и окончательная цена продажи готовой продукции потребителю.
Поддерживающие логистические функции включают:
- Складирование, т.е. управление пространственным размещением заказов, предусматривающее выполнение следующих задач:
- определение числа, типа и дислокации складов,
- расчёт площади хранения материальных ресурсов,
- планирование размещения запасов,
- проектирование зон транспортировки, сортировки, погрузки разгрузки,
- выбор погрузочно-разгрузочного и другого складского оборудования.
- Грузопереработка, т.е. перемещение материальных ресурсов на складе, сортировка или комплектование грузов, поддержание рационального объёма грузооборота склада.
- Защитная упаковка.
- Обеспечение возврата товаров, которые по каким-то причинам не удовлетворяют покупателей или не прошли гарантийного послепродажное срока службы. обслуживание
- Обеспечение запасными частями.
- Ремонт и другие виды сервиса.
- Сбор возвратных отходов.
- Информационно-компьютерная поддержка, во многом обеспечивающая выполнение интегрирующей функции логистики, как на микро-, так и на макроэкономическом уровне.
Каждая из функций представляет собой достаточно однородную с точки зрения цели совокупность действий.
Укажем на две особенности приведенного комплекса логистических функций:
-
- все функции взаимосвязаны и подчинены единой цели - управлению материальным потоком;
- носителями функций выступают субъекты, участвующие в логистическом процессе, ключевыми из которых являются:
- предприятия - изготовители, чьи склады готовой продукции выполняют разнообразные коммерческие операции;
- коммерческо-посреднические организации;
- предприятия оптовой торговли;
- транспортные предприятия, экспедиционные фирмы.
Функциональный цикл логистики
Совокупность функций логистики образует функциональный цикл или цикл исполнения заказа.
Динамику функциональным циклам придаёт необходимость согласования потребностей в ресурсах на входе и на выходе. Потребности функционального цикла на входе определяются заказом на конкретное количество определенных ресурсов.
Обычно для выполнения крупного заказа требуется комбинация функциональных циклов, включающих на разных стадиях различные сделки и операции.
Потребности на выходе - это ожидаемые результаты работы. В той мере, в какой удовлетворены эти потребности, можно говорить об эффективности функционального цикла.
В зависимости от предназначения конкретного функционального цикла необходимые для его завершения операции могут находиться в полном ведении одного предприятия, а могут потребовать участия нескольких предприятий. По сути, функциональные циклы формируют снабженческо-сбытовую цепь и связывают между собой её участников.
Разным функциональным циклам присуща разная частота операций. Некоторые циклы предназначены для обеспечения единоразовой покупки-продажи.
В подобных случаях цикл планируется, осуществляется и по завершении операции прекращает своё существование. Другие же функциональные циклы предполагают исполнение долгосрочных контрактов.
Любая операция или объект в рамках конкретного логистического контракта одновременно могут быть причастны ко множеству других функциональных циклов. Например, складское предприятие может регулярно приобретать товары сразу у нескольких производителей. В то же время транспортное агентство, предоставляя услуги многим предприятиям, обслуживает несколько функциональных циклов.
Поэтому для предприятия, имеющего многочисленные связи с поставщиками и потребителями, часто трудно вычленить отдельный функциональный цикл.
Функциональные циклы в физическом распределении и снабжении имеют, как общие черты, так и различия.
Физическое распределение сводится к обработке и выполнению заказов потребителей до непосредственной поставки продукции. Отметим, что всю деятельность, связанную с привлечением и сохранением клиентов, можно грубо разделить на две составляющие: заключение сделок и их реальное исполнение.
Физическое распределение ведает реальным исполнением сделок и складывается из таких видов деятельности, как систематизация и передача заказа, идентификация заказа, комплектование заказа, доставка заданных грузов потребителям ( 2.3.).
Базовый цикл физического распределения
Ключом к пониманию динамики функционального цикла физического распределения служит ориентация на заказы потребителей. Поэтому целесообразно разработать программу координации действий с потребителями, на основе которой строить управление заказами.
Функциональный цикл снабжения во многом схож с циклом обработки заказов ( 2.4.).
Функциональный цикл снабжения
Среди расхождений наиболее важными являются следующие:
- Снабжение отличается сроками доставки, размерами грузоперевозок, способами транспортировки и стоимостью задействованных ресурсов. Относительно более низкая стоимость материалов в сравнении с готовой продукцией открывает широкие возможности для манёвра при выборе соотношения между издержками на содержание запасов в пути и сроками транспортировки с использованием дешёвых способов грузоперевозки. В результате функциональный цикл процесса закупок обычно продолжительнее цикла обработки заказов.
Исключение составляют дорогостоящие компоненты, которые перевозятся мелкими партиями в точном соответствии с потребностью при использовании более скоростных и надёжных (а соответственно и затратных) средств доставки.
- Численность поставщиков предприятия, как правило, меньше численности потребителей. Материалы часто закупаются прямо у производителя либо у специализированного оптового продавца. Поэтому функциональный цикл в снабжении имеет более простую конфигурацию, чем в физическом распределении.
- Функциональный цикл обработки заказов, по определению, начинается в ответ на поступившие запросы клиентов. В силу этого, система физического распределения вынуждена приспосабливаться к нерегулярным требованиям потребителей. Система снабжения, напротив, сама порождает заказы. Способность назначать время и место закупок значительно уменьшает неопределенность хозяйственной деятельности.
Понятие логистической системы
Понятие логистической системы является частным по отношению к общему понятию системы. Система (греч. целое, составленное из частей, соединение) - множество элементов, находящихся в связях друг с другом, образующих единую целостность, единство.
Классификация систем представлена на 3.1.
Выделим пять свойств системы:
1) целостность и членимость, т.е. система состоит из элементов;
2) наличие связей, между элементами системы должны существовать связи более мощные, чем связи отдельных элементов с внешней средой, иначе система не сможет существовать;
- организация, т.е. связи должны быть упорядочены, представлять определенную структуру;
При формировании межэлементных связей образуется определенная структура системы. В зависимости от вида организации из комбинации элементов и их связей можно создавать различные структуры.
Любой элемент системы обладает определенным количеством свойств, одни из которых при формировании межэлементных связей подавляются, другие усиливаются. Это дает основание к возникновению систематизирующих факторов. Таким образом, система может разрушиться не только из-за внешних воздействий, когда они сильнее внутренних связей системы, но и из-за износа и перерождения внутренних связей;
- вхождение в систему высшего порядка;
- интегративные качества, т.е. присущие системе в целом, но не присущие ни одному из ее элементов в отдельности.
Примеры систем: ручка, человеческий организм, логистическая система.
Логистические системы относятся к сложным, динамическим (стохастическим), открытым (адаптирующимся) системам.
Основные классификации систем
Рассмотрим последний пример, т. е. логистическую систему предприятие:
- совокупность элементов: закупка, склады, запасы, транспорт, кадры, сбыт, обслуживание производства;
- существуют связи как внутренние, так и с внешней средой;
- связи упорядочены, причем они обычно имеют циклический характер, т.к. отражают стадии последовательной передачи материального потока между контактирующими подсистемами, а также внешней средой;
- предприятие входит в состав логистической цепи, которая, в свою очередь, может быть частью логистического объединения на государственном или международном уровне;
- интегративное свойство: способность доставить нужный товар в определенное время, в указанное место, необходимого количества и качества, с минимальными затратами, а также способность адаптироваться к изменяющимся условиям внешней среды (изменение спроса, выход из строя технических средств и т.д.).
Дадим определение логистической системы. Под логистической системой понимают совокупность функционально соотнесенных элементов, нацеленную на выполнение основной задачи логистики доставку товара необходимого количества и качества в нужные время и место с минимальными затратами.
Логистическая система представляет собой упорядоченную структуру, в которой осуществляются планирование и реализация движения и развития совокупного ресурсного потенциала, организованного в виде логистического потока, начиная с отчуждения ресурсов у окружающей среды вплоть до реализации конечной продукции ( 3.2). Логистическая система может допускать относительную изолированность от внешней среды в информационном аспекте, в материально-энергетическом аспекте её границы должны быть абсолютно проницаемы.
- финансовый поток
- материальный поток
- финансовый поток
- материальный поток
Выделение границ логистической системы на базе цикла обращения средств производства
Выделяют три вида логистических систем:
- логистические системы с прямыми связями (потребитель - производитель);
- логистические системы эшелонированные (производитель посредник(и) - потребитель);
- гибкие логистические системы (производитель (посредник) потребитель).
Логистические системы делятся на макро- и микро-. Макрологические системы представляют собой определенную инфраструктуру экономики региона, страны или группы стран. Это крупная система управления материальными потоками, охватывающая промышленные предприятия, посреднические, торговые, транспортные организации.
Микрологистические системы включают технологически связанные производства, объединенные общей инфраструктурой. Они объединяются в макрологистику на базе товарно-денежных отношений.
Формирование логистических систем должно быть направлено на достижение целей хозяйствования. Под экономической надёжностью логистических систем подразумевается их свойство достигать планируемых экономических показателей, способствующих достижению цели обслуживаемой и обслуживающей систем.
Производственная логистика
Логистические системы, рассматриваемые производственной логистикой, носят название внутрипроизводственных логистических систем (ВПЛС); к ним можно отнести: промышленное предприятие, оптовую базу, узловую грузовую станцию, узловой морской порт и т.д.
ВПЛС можно рассматривать на макро- и микро-уровне.
ВПЛС на макроуровне задают ритм всей логистической системе, определяют способность ее адаптации к окружающей среде путем изменения качественных и количественных критериев выходного потока (количество и ассортимент продукции). Гибкость ВПЛС проявляется через качественные и количественные параметры ( 3.3.).
Гибкость ВПЛС
На микроуровне ВПЛС представляет собой ряд подсистем, обеспечивающих вхождение материального потока в систему, прохождение внутри нее и выход из системы. К ним относятся закупка, склады, запасы, транспорт, информация, обслуживание производства и кадры, сбыт.
Принципы производственной логистики:
- отказ от избыточных запасов;
- отказ от изготовления серий изделий, на которых нет заказа покупателей;
- устранение простоев оборудования;
- обязательное устранение брака;
- устранение нерациональных внутризаводских перевозок;
- превращение поставщиков из противостоящей стороны в доброжелательных партнеров.
Управление материальными потоками в рамках ВПЛС может осуществляться различными способами; наиболее существенные:
- Толкающая система - предметы труда, поступающие на производственный участок, им не заказаны, а поступают согласно команде из центральной системы управления производством ( 3.4).
- материальный поток
- информационный поток
3.4. Схема толкающей системы
Толкающие системы способны увязать сложный производственный процесс в единое целое. Однако их возможности определяются количеством факторов, влияющих на производственную ситуацию.
Чем их больше, тем совершеннее должна быть система управления.
Толкающие системы характеризуются высоким уровнем автоматизации управления, позволяющим:
- обеспечивать текущее регулирование и контроль производственных запасов;
- в реальном масштабе времени согласовывать и оперативно корректировать планы и действия различных служб предприятия;
- составлять прогнозы.
- Тянущая система система организации производства, где предметы труда подаются на последующую технологическую операцию с предыдущей по мере необходимости. Здесь центральная система управления не вмешивается в обмен материальными потоками между различными участками предприятия, а ставит задачу лишь перед конечным звеном технологической цепи ( 3.5).
- материальный поток
- информационный поток
Схема тянущей системы
Характерные черты тянущей и толкающей систем даны в табл. 3.1.
К тянущим производственным системам относится система Канбан, позволяющая значительно снизить производственные запасы (в расчете на 1 выпускаемый автомобиль запасы деталей у фирмы Тойота составляют 77 долл., на автомобильных фирмах США 500 долл.). Перемещение деталей (изделий) по системе Канбан запрещается без сопроводительной карточки.
Различают два вида карточек: 1) карточка отбора, где указаны вид и количество изделий, поступающих в предыдущего участка; 2) карточка заказа, где предусмотрены те же параметры продукции.
Основные правила системы Канбан:
- производство продукции в больших количествах, чем указано в карточках, запрещается;
- различные детали должны изготавливаться в той последовательности, в какой подавались карточки;
- бракованная продукция не должна поступать на последующие участки.
Необходимые условия для внедрения системы Канбан:
- сбалансированность производства;
- сокращение времени переналадки оборудования;
- автономный контроль качества продукции на рабочих местах.
Таблица 3.1
Сравнение тянущей и толкающей производственных систем.
Распределение в логистике
Интегрированный взгляд на функцию распределения получил развитие в 60-х начале 70-х годов ХХ века. До этого вопросы выбора каналов распределения, упаковки товаров, транспортировки и доставки решались как самостоятельные функции управления.
Распределение можно рассматривать с позиций микро- и макро-логистики. Основные составляющие первой: снабжение, производство, сбыт. При этом решаются задачи:
- планирование процесса реализации;
- получение и обработка заказа;
- упаковка, комплектация и другие операции, предшествующие отгрузке;
- отгрузка;
- доставка, контроль за транспортировкой;
- послереализационное обслуживание.
На уровне макрологистики задачами распределения являются:
- выбор схемы распределения материального потока;
- размещение распределительных центров на логистическом полигоне, т.е. построение сети складских объектов.
1. Материальный поток исходит ( 3.6):
- из источника сырья (1);
- из производства (2);
- из распределительного центра (3);
- поступает:
- на производство (4);
- в распределительный центр (5);
- к конечному потребителю (6).
Потребление материального потока может быть производственным (использование общественного продукта в виде ППТН в качестве средств и предметов труда) и непроизводственным (использование общественного продукта на личное потребление и потребление на предприятиях непроизводственной сферы).
Поставщик и потребитель, в общем случае, представляют собой две микрологистические системы, связанные каналом распределения или логистическим каналом. Логистический канал частично упорядоченное множество различных посредников, осуществляющих доведение материального потока от производителя до потребителя.
ЛОГИСТИЧЕСКИЙ СЕРВИС
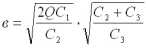
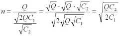
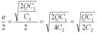
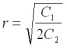
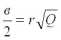
Формулу Вильсона можно преобразовать следующим образом. Примем за С3 потери из-за дефицита на единицу продукции в год. Тогда размер оптимальной партии поставки определится по формуле:

(6.25).
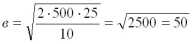
ЗАДАЧА.
Определить размер оптимальной партии поставки мелкосортовой стали (пруток 12 мм) машиностроительному заводу при следующих условиях: годовая потребность 500 т Q, транспортно-заготовительные расходы на один заказ С1=25 грн., издержки по содержанию материала С2=10 грн. в год.
Потери из-за дефицита установлены, исходя из необходимости замены прутка диаметром 12 мм прутком диаметром 14 мм, что составляет убыток 25 грн. на тонну.
Решение.
Размер партии без учета дефицита:

(т)
Размер партии с учетом дефицита:

(т).
Исходные данные для расчета параметров системы (табл. 6.6):
- потребность;
- оптимальный размер заказа;
- время доставки;
- возможное опоздание поставки.
Таблица 6.6
Расчет параметров системы с фиксированным размером заказа.
Заказ подается, когда запас достигает точки заказа:

(6.26).
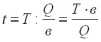
Б) Система с фиксированной периодичностью заказа.
Данная система предполагает равные интервалы поставки, количество которых рассчитывается по формуле:

(6.27),
где Т количество дней в году.
Однако на практике рассчитанный интервал моет корректироваться на основе оценок специалистов.
Исходные данные для расчета параметров системы (табл. 6.7):
- потребность;
- интервал между заказами;
- время доставки;
- возможное опоздание поставки.
Таблица 6.7
Расчет параметров системы с фиксированной периодичностью заказа.
Максимальный уровень запасов определяется по формуле:
М=Зстрах + сут (tдост + tзак) (6.28),
где tдост время доставки заказа;
tзак промежуток между заказами.
Средний уровень запаса равен:
Зсредн.=Зстрах+

(6.29).
Средний уровень запаса часто рассматривается вместо текущего.
В большинстве случаев размер заказа равен разности между максимальным уровнем, до которого происходит пополнение запасов, и фактическим уровнем в момент проверки.
Пример. Определить средний и максимальный уровень запаса, а также размер заказа при следующих данных:
страховой запас 16 единиц;
среднесуточное потребление 2 единицы;
время доставки заказа 3 суток;
время между заказами 10 суток.
Принять средний запас в качестве наличного в момент проверки.
Решение.
М=16+2(10+3)=42 (ед.)
Зсредн.=16+

=26 (ед.)
q=42-26=16 (ед.)
ЛОГИСТИЧЕСКИЙ СЕРВИС
Понятие логистического сервиса. Его задачи в условиях формирования рыночных отношений
Под логистическим сервисом понимается совокупность нематериальных логистических операций, обеспечивающих максимальное удовлетворение спроса потребителей в процессе управления материальными и информационными потоками, наиболее оптимальным, с точки зрения затрат, способом. Другими словами, логистический сервис представляет собой управление потоками услуг (табл. 7.1.).
Осуществляется логистический сервис либо самим поставщиком, либо экспедиторской фирмой, специализирующейся в области логистического обслуживания.
Основные принципы логистического сервиса:
- максимальное соответствие требованиям потребителей к характеру потребляемых изделий;
- неразрывная связь сервиса с маркетингом;
- гибкость сервиса, его направленность на учет меняющихся требований рынка.
Таблица 7.1
Сопоставление управления логистическими операциями с материальными потоками и потоками услуг
Задачи логистического сервиса:
- консультирование потенциальных покупателей перед приобретением ими изделий, позволяющее сделать правильный выбор;
- подготовка покупателя к наиболее эффективной и безопасной эксплуатации приобретаемой техники;
- передача необходимой технической документации, позволяющей соответствующим специалистам должным образом выполнять обслуживающие функции;
- предпродажная подготовка изделия во избежание отказа в работе во время демонстрации потенциальному покупателю;
- доставка изделия на место эксплуатации таким образом, чтобы свести к минимуму вероятность его повреждения в пути;
- приведение изделия в рабочее состояние и демонстрация потребителю его в действии;
- обеспечение полной готовности изделия к эксплуатации в течении всего срока нахождения его у потребителя;
- оперативная поставка запасных частей.
Система логистического обслуживания
Варианты сервисного обслуживания:
- организация сервиса силами самого предприятия-изготовителя;
- делегирование функций сервиса филиалу предприятия-изготовителя;
- для организации сервиса создается специализированная фирма;
- сервис выполняется силами привлекаемых агентов с закреплением за ними всей ответственности по качеству выполняемых услуг;
- формируется специализированное организационное образование (фирма, консорциум), за которым закрепляется право производства и поставки запасных частей и осуществление ремонтных работ;
- дифференциация услуг между потребителем и изготовителем.
Система логистического сервиса включает такую последовательность действий:
- сегментация потребительского рынка по географическому фактору, характеру сервиса или иному признаку;
- определение перечня наиболее значимых для потребителя услуг;
- ранжирование услуг, входящих в составленный перечень;
- установление связи между уровнем сервиса и стоимостью оказываемых услуг, определение уровня сервиса, необходимого для обеспечения конкурентоспособности компании;
- установление обратной связи с потребителями, выяснение критериев их оценки услуг.
Важным критерием, позволяющим оценить систему сервиса, как с позиции производителя, так и потребителя услуг является уровень логистического обслуживания. Его рассчитывают по следующей формуле:

(7.1),
где M- количественная оценка теоретически возможного объема логистического сервиса, m- количественная оценка фактически оказываемого объема логистического сервиса.
Уровень логистического сервиса практически рассчитывают как отношение:
- фактически оказываемого объема (ассортимента) услуг к максимально возможному объему (ассортименту) услуг;
- времени на выполнение фактически оказываемых логистических услуг ко времени, которое необходимо было бы затратить в случае оказания всего комплекса возможных услуг.
Классификация логистического сервиса
- По временному параметру логистический сервис делится на 3 стадии:
1 предпродажный: определение политики фирмы в сфере оказания услуг, а также планирование объема реализации услуг;
2 работы по оказанию логистических услуг: подбор ассортимента, упаковка, формирование грузовых единиц, предоставление информации о прохождении грузов и т.д.;
3 послепродажный логистический сервис: гарантийное обслуживание, обязательства по рассмотрению претензий покупателей, обмен и т.д.
К предпродажному сервису относятся следующие услуги: доставка к месту продажи, устранение дефектов, возникших в процессе погрузочно-разгрузочных и транспортировочных операций, монтаж, а также консультации потребителю относительно особенностей транспортировки, хранения, использования продукции и т.д.
Сервис в процессе продажи зависит от условий договорных обязательств контрагентов коммерческой сделки.
Услуги в послепродажный период по сути создают условия для непрерывности процесса продажи, увеличивая взаимозависимость участников торгово-логистических операций.
- В зависимости от формы оплаты логистический сервис делится на платный и бесплатный. Бесплатный (временный) сервис это комплекс услуг, учтенных при калькуляции издержек обращения, стоимость которых входит в цену поставки. Обычно сюда относят гарантийные услуги послепродажного обслуживания. Платный логистический сервис это совокупность услуг, оплату за которые потребитель осуществляет по отдельно выставленному счету.
- По содержанию работ логистический сервис можно классифицировать на материальный и нематериальный. Материальные услуги направлены непосредственно на потоки товарно-материальных ценностей. Нематериальные услуги связаны с диспетчеризацией потоков, оказанием консультаций. В последнее время их доля резко увеличивается.
- По направленности выделяют прямой и косвенный логистический сервис. Прямой сервис обеспечивается договором. Косвенный направлен на создание условий для сотрудничества.
- По степени адаптивности к потребностям сервис разделяют на стандартизированный и индивидуальный. Стандартизированный сервис включает в себя пакет услуг, потребность в которых наиболее часто испытывают клиенты. Его преимуществом является относительно низкие издержки организации. Применение стандартизированного обслуживания целесообразно в случаях, когда услуги оказываются значительному количеству фирм с небольшим объемом деловых операций. Индивидуальное обслуживание требует, с одной стороны, глубоких знаний клиента и его проблем, с другой оптимальных способов удовлетворения потребностей, что предполагает наличие гибких технологий обслуживания, соответствующего оборудования и персонала.
- По форме организации логистический сервис классифицируется на децентрализованный (реализуется собственными силами) и самообслуживание (потребитель организует сервис от своего имени и за свой счет).
- По масштабу логистический сервис делится на локальный и региональный, национальный и международный. Классификация обусловлена спецификой внутреннего и международного рынка логистических услуг, законодательной базой, регламентирующей порядок организации и реализации предпринимательской деятельности.
Принципы логистического сервиса
К принципам логистического сервиса можно отнести:
- обязательность предложения. Принцип можно определить как минимально допустимый уровень логистического обслуживания, определяемый интенсивностью конкуренции на рынке. Определение пороговых величин представляет собой задачу, решаемую исходя из стратегии развития:
YijkМ (7.2),
i j k
где М минимально допустимый уровень обслуживания;
Yijk логистическая услуга, опосредующая i-тый вид товаропотока, адресуемого в j-тый регион k-тому потребителю;
- свободный выбор потребителем формы и уровня логистического обслуживания. Обязательность предложения вовсе не предполагает обязательность потребления услуг. Потребитель услуг всегда имеет право отказаться от логистического сервиса. При этом стоимость поставки должна быть уменьшена на сумму стоимости пакета логистических услуг.
Sполн=Sm+Sn+Sэ (7.3)
S1=Sполн-(Sn+Sэ) (7.4)
S2=Sполн-Sэ (7.5),
где Sполн полная стоимость потребления услуг,
Sm стоимость приобретения товара,
Sn стоимость поставки,
Sэ стоимость эксплуатации,
S1 стоимость поставки, по условиям которой потребитель отказывается от всего пакета логистического обслуживания,
S2 стоимость поставки, по условиям которой потребитель отказывается от послепродажного обслуживания;
- эластичность, гибкость сервиса. Пакет логистических услуг должен быть нацелен на конкретного потребителя. Способность коммерческой организации индивидуализировать логистическое обслуживание потребителя предопределяет его приверженность конкретному посреднику. Гибкость логистического сервиса по сути является компенсатором рисков, возникающих в процессе реализации продукции, качественные характеристики которой не позволяют гарантировать потребителям устойчиво оптимальный режим эксплуатации:
Y=(x1,x2), (7.6),
где Y эластичность логистического обслуживания,
x1 внутренние ограничения посредника (по ресурсам),
x2 внешние ограничения (динамика потребительских предпочтений).
- удобство сервиса. Интегральная оценка качества логистического сервиса зависит не только от соотношения качества и стоимости услуг, но и от косвенных затрат, связанных с условиями потребления и доступностью услуг. Такие затраты обусловлены расположением предприятия сервиса, временем ожидания услуги и т.д.
- технико-технологическая адаптивность сервиса. Параметры логистического сервиса в значительной степени производны от технических характеристик товаропотока. Техническая адекватность сервиса означает соответствие технологии, методов, средств и инструментов логистического обслуживания, а также уровня соответствующей профессиональной подготовки персонала техническим требованиям перерабатываемых товаропотоков. К примеру, используемая тара должна быть адекватна техническим характеристикам перевозимого в неё товара, а также применяемым погрузочно-разгрузочным механизмам, устройствам и транспортным средствам, осуществляющим непосредственную доставку в места складирования, хранения и потребления.
- адекватность ценовой политики в сфере логистического сервиса внутренним и внешним переменным деятельности предприятия. Субъекты услуг формируют их цену, определяя приоритетные цели логистического обслуживания:

(7.7)
где S спрос на логистические услуги;
P предложение логистических услуг,
Z затраты, связанные с оказанием услуг,
S ценовая стратегия предприятия.
Качество логистического обслуживания
Одной из главных задач логистической службы является поиск оптимальной величины уровня обслуживания. Для этого необходимо анализировать параметры качества сервиса, определяя расхождения между ожидаемым и фактическим результатами.
1. Расхождение между ожиданиями покупателя в качестве сервиса и восприятием предприятия этих ожиданий. Это расхождение возникает, т.к. представители предприятия не всегда понимают, что покупатель подразумевает под высоким качеством услуг.
Причины возникновения подобной ситуации: недостаточность маркетинговых исследований, неадекватность используемых оценочных параметров измерения качества сервиса, неточность информации, содержащей факты о спросе на услуги и оценки их качества, большое количество уровней логистического менеджмента.
2. Расхождение между восприятиями ожиданий потребителей и действительным качеством услуг. Возможные причины разрыва: несоответствие требований к качеству предприятия и потребителей, недостаточный уровень исполнительской и технологической дисциплины на предприятии, низкий уровень стандартизации качества, слабая система контроля качества.
3. Расхождение между рекламируемым и реальным сервисом. Причины расхождения: неадекватные горизонтальные коммуникации среди оперативного персонала и персонала отдела маркетинга логистической системы, предрасположенность к преувеличению достоинств сервиса в рекламе.
Формирование потребительских ожиданий строится на использовании следующих ключевых факторов:
- речевых коммуникаций, т.е. той информации, которую покупатели узнают от других клиентов;
- личных потребностей. Данный фактор относится к личности покупателя, его запросам, представлению о качестве сервиса, политическим, религиозным и др. убеждениям;
- прошлого опыта, т.е. использование такого же или подобного сервиса;
- внешних сообщений, т.е. рекламы в СМИ.
Покупательские ожидания являются стартовой и ориентировочной линией развития предприятия. Приоритетным окажется то предприятие, которое сумеет определить латентные покупательские ожидания.
К наиболее важным параметрам сервиса можно отнести:
- надёжность физического распределения (нужный доставленный товар, в необходимые время и место), информационных и финансовых процедур;
- доступность (простота установления контактов с поставщиками сервиса, удобное для покупателя время оказания услуг, наличие у поставщика запасов материальных ресурсов (готовой продукции) для бесперебойного обеспечения клиентов);
- безопасность (сохранение груза, предотвращение возможного ущерба самому клиенту);
- гибкость поставки (способность поставляющей системы учитывать пожелания или положения клиентов), т.е. возможность:
- изменения формы заказа,
- изменения способа передачи заказа,
- изменение вида тары и упаковки,
- отзыва заявка на поставку,
- получения клиентом информации о состоянии его заказа;
- взаимопонимание с покупателем (искренний интерес к покупателю, возможность войти в его роль и знать его нужды).
Реинжиниринг процесса обслуживания потребителей
Реинжиниринг предусматривает замену устаревших методов управления на новые, более современные и на этой основе значительное улучшение основных показателей деятельности предприятия. Он включает в себя:
- пересмотр и реконструирование процессов выполнения заказов в целях улучшения показателей системы обслуживания;
- разработку системы обслуживания по процессам создания дополнительных ценностей для потребителя.
Типовой план реинжиниринга процесса обслуживания:
-
- Составление списка всех процессов.
Координирует действия руководитель службы логистики, поскольку ответственность специалистов функциональных подразделений обычно разграничивается по вертикальным функциям и в горизонтальном процессе они отвечают только за отдельные его стадии. Организация обслуживания ориентируется не на функции, а на процессы.
-
-
- Выбор приоритетного процесса.
Исследуется процесс прохождения одного, как правило, самого важного или срочного заказа. Анализ начинается с той стадии процесса, которая ближе всего к потребителю.
-
-
- Интервью с конечными потребителями.
Анализируют требования потребителей к обслуживанию, фактические и желательные параметры системы обслуживания.
Для получения чёткого и ясного представления о маршруте заказа посещают рабочие места. Выясняют количество стадий процесса, степень участия сотрудников функциональных подразделений предприятия в выполнении заказа.
-
-
- Составление схемы процесса.
Определяют границы ответственности исполнителей на каждой стадии процесса обслуживания. При составлении схемы осуществляют следующие операции:
-
-
-
- анализ последовательности стадий процесса выполнения заказов;
- определение лиц, участвующих в каждой операции;
- составление перечня ресурсов, используемых в процессе выполнения заказов;
- анализ сбоев в обслуживании;
- систематизация всей сопровождающей заказ документации;
- анализ имеющихся инструкций, определение круга вопросов, необходимых для изучения;
- выбор сотрудников в группу по проведению реинжиниринга, включение сюда представителя заказчика.
- Перепроектирование процесса.
Решают задачу сокращения времени, в течение которого не создаётся добавленная стоимость для потребителя. Направления мероприятий по сокращению времени обслуживания:
- установление (пересмотр) границ ответственности специалистов функциональных подразделений и координация взаимодействий на горизонтальной основе;
- определение документооборота, необходимого на каждом рабочем месте;
- упрощение или механизация отдельных процессов выполнения заказа;
- выполнение операций параллельно, а не последовательно;
- разделение процесса обслуживания по сложности задач, выделение трудных и врменных задач;
- исключение ситуаций, когда решение одной задачи может привести к появлению другой;
- упрощение схемы принятия решений и получения разрешений.
- Испытание и проверка процесса.
Анализируют вероятность возникновения новых проблем, определяют ограничивающие факторы внешней среды, возможные реакции на изменения.
- Реализация, контроль и стандартизация процесса.
ЛОГИСТИКА ПРЕДПРИЯТИЯ
Снабженческо-транспортный комплекс предприятия
Служба материально-технического снабжения предприятия представляет собой организационно-структурное подразделение, в обязанности которого входят поставка на предприятие основных и вспомогательных материалов, топлива, покупных полуфабрикатов, инструментов и технологической оснастки, оборудования. Систему снабжения образуют отдел материально-технического снабжения и находящиеся в его распоряжении снабженческие склады.
Обеспечение подразделений осуществляется на основе лимитов и норм расхода. Лимиты составляют технические и технологические службы предприятия совместно со службой МТС.
Лимит устанавливается с учетом величины производственной программы и технического состояния производства.
В практике встречаются следующие схемы обеспечения цехов: на основе стандарт-плана и на основе заявок.
Первая схема (активное обеспечение) распространена в массовом и крупносерийном производстве. Доставка материалов здесь осуществляется службой транспортного хозяйства по разработанному графику, что дает возможность снизить расходы на транспортировку и на хранение материалов, т.к. материалы доставляются непосредственно на рабочие места.
Вторая схема свойственна мелкосерийному, единичному, а тем более индивидуальному производству. При организации цеха получают материалы, заполняя лимитно-заборные карты или разовые накладные и, как правило, доставляют их самостоятельно в цеховые кладовые.
Структура транспортного хозяйства предприятия зависит от многих факторов: объема внутренних и внешних перевозок, типа производства, массы и габаритов изготавливаемой продукции, уровня кооперированных связей. Обязательно формируются цеха безрельсового транспорта, электротранспорта.
Кроме того, при необходимости образуются цеха железнодорожных или автомобильных средств. Соответственно создается ремонтная база.
В массовом и крупносерийном производстве к транспортным средствам непрерывного действия относятся конвейеры.
Кроме цехов в состав транспортного хозяйства входят диспетчерское бюро и группа учета. Подчиняется транспортное хозяйство главному инженеру.
Работа транспортного хозяйства строится на использовании таких понятий как грузооборот и грузопоток.
Грузооборот представляет собой общее количество грузов, перемещаемых на территории завода, цеха, склада в единицу времени в течении учетного периода. Грузооборот складывается из отдельных грузовых потоков.
Грузопотоком называется количество грузов, транспортируемых в единицу времени между двумя смежными пунктами.
ЛОГИСТИКА ЗАПАСОВ
Расчет показателей материально-технической базы транспорта
- Материально-техническая база железнодорожного транспорта.
К материально-технической базе железнодорожного транспорта относят вагоны и вагонное хозяйство, локомотивы и локомотивное хозяйство, станции, грузовые дворы и весовое хозяйство и т.д.
Рассмотрим основу базы вагонное хозяйство.
Каждый вагон характеризуется грузоподъемностью и вместимостью, массой тары, т.е. абсолютными показателями.
Относительные показатели вагона:
- технический коэффициент тары вагона:

(5.1),
чем ТКТ меньше, тем более эффективно используется мощность локомотива;
б) коэффициент удельного объема вагона

(5.2.),
чем К больше, тем шире номенклатура грузов, которые могут перевозиться с полным использованием грузоподъемности;
в) коэффициент использования грузоподъемности;

(5.3),
г) коэффициент вместимости;

(5.4).
Важнейшей операцией при отправке и приемке груза является определение его веса. Применяемые на грузовых станциях весы подразделяют на настольные, платформенные (передвижные и стационарные), крановые и т.д.
Производительность весов определяется по формуле:

(5.5),
где q грузоподъемность;
T время работы склада;
t время, затрачиваемое на один отвес;
Кгр. коэффициент использования весов по грузоподъемности;
Квр коэффициент использования весов по времени.
- Материально-техническая база водного транспорта.
Основными показателями, характеризующими речные и морские суда, являются:
а) водоизмещение, определяемое массой или объемом воды, вытесняемой плавающим судном;
б) грузоподъемность судна это его перевозочная способность. Дедвейт полная грузоподъемность количество тонн груза, которое может принять судно сверх собственной массы до осадки по грузовую марку;
Дв=Вп - Во=ПГ (5.6),
где Вп водоизмещение судна с полным грузом;
Во водоизмещение судна без груза.
Чистая грузоподъемность равна только массе перевозимого груза, полная включает служебный груз (топливо, воду, провиант);
в) грузовместимость способность судна принять груз определенного объема, м3;
г) удельная грузовместимость:

(5.7),
где ГР грузовместимость;
ЧГ чистая грузоподъемность
Контейнеры и поддоны.
Контейнер (по определению МОС международной организации по стандартизации) элемент транспортного оборудования, многократно используемый на одном или нескольких видах транспорта, предназначенный для перевозки и временного хранения грузов, оборудованный приспособлениями для механизированной установки и снятия его с транспортных средств, имеющий постоянную техническую характеристику и объем не менее 1 м3. МОС приняла рекомендации по установлению единых размеров выпускаемых контейнеров: ширина и высота по 2438 мм, а длина 12192 мм, 9125 (3/4), 6058 (1/2), 2991 (1/4)мм, т.е.
3/4, 1/2, 1/4 от наибольшей длины.
Грузоподъемность контейнера определяют в тоннах:
qнетто=АУМКпл., (5.8),
где А полезный объем контейнера;
УМ удельная масса груза;
Кпл. коэффициент плотности укладки груза.
qбрутто=qнетто+qтары (5.9).
Тарные и штучные грузы перевозят на поддонах. Поддоны делятся на плоские, стоечные и ящичные.
Наиболее распространены плоские.
Необходимое количество поддонов:

(5.10),
где Ргр. вес перевозимого груза;
Доб. длительность оборота поддона;
Т- период эксплуатации поддона;
q грузоподъемность поддона;
Кисп.груз. коэффициент использования грузоподъемности поддона.
ЛОГИСТИКА ЗАПАСОВ
1. Запасы. Их классификация
Запасы это неиспользованные материальные ресурсы.
Стоимость запасов в странах СНГ составляет примерно 1/3 валового национального продукта. Поэтому проблема их оптимизации весьма важна.
Запасы в зависимости от назначения продукции делятся на две большие группы: 1 - запасы средств производства; 2 - запасы предметов потребления.
I. Запасы средств производства могут сосредотачиваться в следующих сферах производства и обращения:
1) у предприятий - изготовителей в виде запасов готовой продукции. Склады готовой продукции в местах ее производства - исходные точки соприкосновения сферы производства со сферой обращения;
2) на подвижном составе транспортных организаций, перемещающем средства производства от пунктов изготовления к пунктам потребления - запасы в пути.
3) на базах ССО и на предприятиях торговли в виде продукции, которую нецелесообразно поставлять в транзитной форме, поскольку она требуется потребителям в больших количествах или нуждается в подготовке к потреблению.
4) на складах предприятий - потребителей, где ППТН вступает в процесс производства. Склады сырья, материалов, топлива являются конечными точками соприкосновения сферы производства со сферой обращения.
1, 2, 3 - товарные запасы (ТЗ), 4 - производственные запасы (ПЗ); в сумме они составляют совокупные запасы (СЗ):
ТЗ+ПЗ=СЗ (6.1).
II- я группа включает:
- Сырьевые запасы.
- Товарные запасы:
- готовая продукция,
- транспортные запасы,
- запасы оптовой торговли,
- запасы розничной торговли.
- Запасы предметов коллективного потребления.
- Запасы предметов индивидуального потребления у населения.
Кроме указанного деления запасы классифицируют в отраслевом разрезе: первичные (предприятий), отраслевые, государственные- и в территориальном разрезе: первичные, районные, областные, государственные.
По степени укрупнения материалов различают специфицированные, видовые и групповые запасы. К специфицированным относятся запасы конкретных материальных ресурсов (запасы листовой стали марки 10 размером 1 х 1000 х 2000 мм).
Видовые запасы соответствуют номенклатуре материальных ресурсов, применяемой в планировании и при определении материальных балансов (запасы тонколистовой стали углеродистой). Запасы групповые выделяются по отдельным наиболее крупным классификационным группировкам материалов (прокат черных металлов, лесоматериалы, строительные материалы и т.д.).
Величина запасов может устанавливаться как в абсолютных, так и в относительных показателях.
К абсолютным относятся запасы, выраженные в натуральных и денежных единицах измерения. Они необходимы при разработке материальных балансов, определении потребности в складских площадях, оборотных средствах и т.д.
Относительные запасы показывают их уровень по отношению к объему потребления материалов и выражаются в днях (месяцах) или в процентах к общей потребности в материале. Относительным является и показатель запасоемкости, представляющий собой отношение средней величины запаса к объему производства продукции за определенный период времени.
Между указанными показателями существует зависимость:
Забснат = Зотнднсут. (6.2),
Забссум=Ц (6.3),
где Забснат абсолютный запас в натуральном выражении;
Забссум абсолютный запас в стоимостном выражении;
сут. среднесуточное потребление;
Ц цена за единицу ресурсов.

(6.4),
где А объем производства;
Забссум/ср средние запасы за период (абсолютные в стоимостном выражении).

(6.5),
где Зотнпроц относительный запас в процентах;
Q потребность в материальных ресурсах.
Определение оптимального размера запасов
При выборе размера запасов опираются на стадию воспроизводственного процесса (табл. 6.1.) и на место предприятия в товаропроводящей цепи (табл.
6.2.).
Таблица 6.1
Факторы, определяющие величину запасов на разных стадиях воспроизводства.
процессов
|
на величину запасов |
2. Номенклатура потребляемых материалов
3. Периодичность (сезонность) потребления
4. Необходимость подготовки к потреблению
Степень специализации и кооперирования, унификация материалов
Характер технологического процесса, размер оптимальной партии потребления
Характер производства, свойства получаемых материалов |
2. Сезонность производства
|
Возможность производства в отдельные периоды года |
2. Время на транспортировку
|
Вид транспорта, расстояние между пунктами |
При выборе размера запасов опираются на стадию воспроизводственного процесса (табл. 6.1.) и на место предприятия в товаропроводящей цепи (табл.
6.2.).
Таблица 6.2
Влияние размера запасов на экономичность и устойчивость снабжения.
|
|
|
|
1) удовлетворения срочных заказов потребителей;
2) выпуска крупной партии продукции без переналадки оборудования |
|
|
|
|
|
|
|
Основные условия, которым должны удовлетворять материальные запасы: а) обеспечивать непрерывность производственного процесса; б) требовать минимума затрат на содержание.
Планирование материальных запасов
Размеры запасов должны, с одной стороны, обеспечить непрерывность процесса воспроизводства, с другой из кругооборота не должно отвлекаться слишком большое число материальных ресурсов.
Величина запасов влияет на план приобретения ресурсов:
ПЛ=Q+Зкп Знп, (6.6),
где ПЛ план приобретения ресурсов;
Зкп запасы на конец периода;
Знп запасы на начало периода.
Основой планирования запасов является их норма:
Знорм=Зтек.ср.+Зстр+Зподг, (6.7),
где Знорм норма запаса;
Зтек.ср средний текущий запас;
Зстр страховой (резервный) запас;
Зподг подготовительный запас.
Текущий запас создается для обеспечения производства материальными ресурсами в перерыве между поставками. Его величина изменяется от максимального уровня в момент поставки ( формула 6.8) до минимального перед следующей поставкой.
В норму включается средняя величина этого запаса.
Зтек.макс.=

(6.8),
где tф/i фактический интервал между поставками;
Вi партия поставки;

количество поставок.
Страховой запас призван обеспечивать производство при отклонении фактических условий поставки от запланированных (формула 6.9).
Зстр.=

, (6.9),
где tср средний интервал между поставками.
Подготовительные запасы необходимы на время осуществления операций по подготовке поступивших материалов к производственному потреблению. Их величина зависит от конкретных условий приемки и проведения таких операций. Обычные подготовительные запасы определяются временем, необходимым для количественной и качественной приемки продукции (1-3 дня).
Специальные подготовительные запасы требуются для проведения операций по сушке пиломатериалов, формированию комплектов и т.д. Время этих операций и определяет величину запаса.
ЗАДАЧА.
Поставка материалов предприятию в мае происходила следующим образом:
5 числа 70 кг
11 числа 80 кг
18 числа 80 кг
23 числа 60 кг
29 числа 70 кг
Определить средний интервал поставки, если последняя поставка была 30 числа в апреле.

(дня).
ЗАДАЧА.
Среднесуточное потребление моющих средств в прачечной т/базы Солнечная - 2,8 кг. Размеры и интервалы поставок за прошлый год составляют:
2 партии по 70 кг через 50 дней
1 партия в размере 100 кг через 45 дней
1 партия в размере 250 кг через 220 дней
Определить общий запас моющих средств, принимая подготовительный запас в размере однодневного и страховой в размере 50% текущего.
Решение.
Змакстек=

Зобщ.=Зсртек+Зподг+Зстр
Зобщ.=

Рассмотренные разновидности запасов могут принимать характер сезонных при условии существенного влияния на них сезонных факторов. Текущий запас становится сезонным, если:
- материалы доставляются потребителям сезонными видами транспорта (морской, речной);
- преобладает сезонное производство продукции (растениеводство);
- потребление материалов сезонное (топливо, горючее и запасные части в сельскохозяйственном производстве).
Страховые сезонные запасы создаются на случай возможных нарушений условий поставки в отдельные периоды года (снежные заносы, весенняя или осенняя распутица и т.д.).
Могут создаваться подготовительные запасы сезонного характера (размораживание руды, разогрев поступившего зимой мазута и т.д.).
Максимальная величина сезонного запаса:
Зсез.макс.=сут.Мtсез. (6.10),
где tсез. продолжительность перерыва в поступления в связи с сезонностью.
В некоторых отраслях существует своя специфика определения подготовительного, страхового и текущего запасов.
Рассмотрим нормирование запасов на примере предприятия общественного питания.
Текущий запас торговый запас, состоит из двух частей: - запас, который должен постоянно находиться в производстве, торговом зале и буфете (формула 6.11); - запас, обеспечивающий нужды предприятия до очередной поставки (формула 6.12).

(6.11),
где Зн необходимый запас в размере среднедневного оборота;
Зд дополнительный запас в ассортиментном наборе для бесперебойной работы предприятия в течении дня.
З2=

(6.12),
где t время между поставками, дн.;
n количество разновидностей изделий в каждой поставке;
N количество разновидностей изделий в ежедневном ассортименте.

(6.13),
При определении текущего запаса берется половина второй части запаса, т.к. запасы максимальны в день поступления партии поставки и минимальны перед следующей поставкой.
Подготовительный запас принимается в размере 0,51 день.
Гарантийный запас может предусматриваться в размере до 100% торгового запаса при условии достаточных холодильных ёмкостей.
ЗАДАЧА.
В столовой турбазы Крым сумма однодневной реализации мяса составляет 1600 грн., а сумма ассортиментного запаса мясных изделий в буфетах 320 грн. Частота поступления мясных изделий 2 дня, причем каждая партия содержит 6 наименований.
На предприятии питания в среднем должно быть 18 разновидностей полуфабрикатов.
Определить размер запаса в днях, принимая, что подготовительный запас составляет 0,5 дня, а гарантийный 50% от текущего запаса.
Решение.
З1=

(дня)
З2=

(дней)
Зобщтек=1,2+

(дня)
Зобщ=0,5дн.+4,2дн.+0,5·4,2дн.=6,8 дня
Планирование запасов оборудования
Методика определения величины запасов оборудования обусловлена характером его использования.
- Если оборудование предназначено для комплектации продукции, его величина определяется также, как и других запасов (в зависимости от интервалов поставки с учетом времени на приемку). Среднесуточное потребление определяется мощностью предприятия.
- Если оборудование предназначено для замены износившегося или нового строительства, задачей является обеспечение наличия оборудования к моменту его установки. Величина запаса определяется оптимальным временем опережения поступления по отношению к монтаже. Она складывается из:
- текущей части, которая определяется несовпадением сроков изготовления и монтажа оборудования. Время зависит от возможности изготовления продукции поставщиком, а также от степени отклонения фактических сроков монтажа оборудования от запланированных;
- страховой части запаса, время которой должно характеризовать своевременный монтаж оборудования при нарушении установленных сроков его отгрузки, увеличении времени транспортировки, опережении графиков монтажа и в ряде других непредвиденных случаев;
- подготовительной части запаса, которая включает время для разгрузки оборудования и доставки его к месту монтажа, расконсервации, для комплектования, если отдельные части оборудования поступают от различных поставщиков или требуется доукомплектование оборудования.
Пример расчета величины не установленного оборудования для строительной организации дан в табл. 6.3:
Таблица 6.3
Расчет величины запаса оборудования.
Определение совокупных запасов средств производства при разных формах снабжения
Общие методологические принципы планирования совокупных запасов основаны на закономерностях кругооборота средств производства в процессе воспроизводства.
При транзитной форме снабжения абсолютный размер совокупного запаса определяется суммированием сбытовых запасов на складах изготовителей и производственных запасов у потребителей.
Зсов.тр.=Зсб/пост.+Зпр./потр. (6.14).
Если принять с некоторой степенью условности величину текущей части запасов у поставщиков и потребителей равной половине партии поставки, вторую половину которой составляет страховой и подготовительный запас, то формулу можно записать так:
Зсов.тр.= n·B+m·B=B(n+m) (6.15),
где В величина партии поставки при транзитной форме снабжения;
n количество поставщиков;
m количество потребителей.
При складской форме снабжения создаются запасы на складах которых ССО.
Величина запасов потребителей будет зависеть от величины поставки с баз в. Тогда величина запаса в случае складской формы снабжения определяется по формуле:
Зсов.скл.=n·B+k·B+m·в (6.16).
Подставляем в формулу коэффициент С, равный

, он показывает, во сколько раз величина транзитной партии больше партии, полученной со склада. Отсюда

.
Тогда формула 6.16 примет вид:
Зсов.скл.=

(6.17).
На практике предприятия поставщики редко используют только транзитную или только складскую форму доставки. Чаще используется смешанная форма снабжения: если потребность потребителя больше или равна транзитной норме отпуска материал поставляется транзитом; в остальных случаях через складские организации.
Примем за a удельный вес складской формы снабжения в общем объеме. Тогда общие совокупные запасы можно рассчитывать по формуле:
Зсов.общ.= aМЗсов.скл.+(1-a)Зсов.тр. (6.18),
Зсов.общ=

(6.19).
ЗАДАЧА 1.
Конкретный типоразмер материала производится на 5 заводах, а отгружается транзитом вагонами по 60 т в адрес 40 потребителей. Предлагается перейти от транзитной к складской системе снабжения: поставки при этом будут осуществляться со складов 10 снабженческо-сбытовых организаций автомашинами грузоподъемностью 6 т. Как изменится совокупный запас при переходе от транзитной к складской форме снабжения?
Решение.
Зсов.тр.=60(5+40)=2700 (т)
Зсов.скл.=60(5+10+

)=1140 (т)
Переход к складской форме позволит уменьшить совокупный запас на 1560 т или 2,4 раза:
2700т-1140т=1560т,

=2,37 (раза).
ЗАДАЧА 2.
Используя данные предыдущей задачи, определите совокупный запас материальных ресурсов при условии, что они поступают как транзитом, так и со складов, причем доля складского снабжения составляет 20%.
Решение.
Зсов.общ.=60[5+0,2М10+40(1-0,2+0,2:10)]=2388 (тонн).
Системы управления запасами
Выбор системы зависит от следующих факторов:
- закономерности спроса на материал;
- закономерности поступления материала на склад;
- минимально возможного размера запаса, при котором может быть удовлетворен заказ. Данные факторы определяют конкретные параметры систем управления запасами (табл. 6.4.).
Таблица 6.4
Параметры систем управления запасами.
запасами
|
|
|
2. Размер заказа
3. Продолжительность периода между заказами |
Постоянный
Переменный |
2. Продолжительность периода между заказами
3. Размер заказа |
Постоянный
Переменный |
2. Точка заказа
3. Периодичность
4. Размер заказа |
Постоянный
Переменный
Переменный или постоянный |
2. Точка заказа
3. Периодичность
4. Размер заказа |
Постоянный
Постоянный
Переменный |
Все системы управления запасами фактически основаны на первых двух: - с фиксированным размером заказа; - с фиксированной периодичностью заказа. Их различия представлены в табл.
6.5.
Таблица 6.5
Различия систем с фиксированным размером заказа и фиксированной периодичностью заказа
А) Система с фиксированным размером заказа.
Данная система основана на выборе размера партии, минимизирующей общие издержки управления запасами.
Величина затрат по образованию и хранению запасов включает следующие составляющие: а) заготовительные издержки:
- расходы по содержанию аппарата заготовительных баз и контор, размещению заказов и заключению хозяйственных договоров с поставщиками;
- командировочные расходы и расходы на содержание средств связи (телефон, телетайп и т.д.);
- издержки по завозу и разгрузке поступающих материалов, из приемке и размещению на складе;
- затраты по учету заготовительных операций и осуществлению расчетов по поставкам;
б) издержки хранения:
- заработная плата складского персонала;
- аренда и содержание складских зданий, сооружений и инвентаря;
- собственно расходы по хранению и складской переработке материалов;
- расходы по учету материалов на складе и проведению инвентаризаций;
- непроизводительные расходы (недостачи, потери, убыль);
в) затраты на приобретение. Определим математическим путем, чему равна оптимальная величина запаса.
Пусть Q годовая потребность в материале в натуральных единицах;
в размер партии поставки;
Z цена за единицу материала;
C1 заготовительные расходы на партию поставки;
C2 издержки хранения в расчете на единицу материала, находящегося в запасе;

- планируемое количество поставок в год;

- средняя величина текущего запаса.
Тогда суммарная величина затрат по заготовке материала, его приобретении в запасе:

(6.20).
Путем математических преобразований получаем следующие величины.
Размер партии поставки

- формула Вильсона (6.21).
Найдем отсюда

- оптимальное количество поставок

(6.22).
Оптимальный интервал между поставками

Оптимальный размер текущего запаса:
З=

(6.23).
Обозначим

, тогда

(6.24).
Показатель r может быть рассчитан на основе статистических данных за прошлые периоды.
При установлении величины страхового запаса руководствуются теми же критериями, что и при определении текущего запаса. Используются при этом в основном вероятностные методы, например метод Монте-Карло, где изменение величины запаса имитируется с помощью статистических данных за достаточно продолжительный период времени.
Предприятие как логистическая система
Величина грузопотоков может быть измерена:
- в условиях постоянной номенклатуры и объемов производства на основе норм расхода и производственной программы;
- в условиях часто изменяющихся факторов на основе средних показателей (проводится специальное исследование с последующей обработкой показателей или выбор типового представителя).
С целью установления равномерных грузопотоков составляется шахматная таблица грузооборота, где указывается масса поступивших и вывезенных грузов. Шахматная таблица с учетом пространственной планировки предприятия является исходным материалом для составления схемы грузопотоков.
С целью выявления фактов встречных, возвратных, не полностью загруженных и чрезмерно дальних перевозок проводится анализ грузопотоков и грузооборота.
При условии стабильных грузопотоков, что характерно для массового производства, перевозки осуществляются согласно графику по постоянным маршрутам с одинаковой интенсивностью. При неустойчивых грузопотоках (серийное и единичное производство) перемещение грузов осуществляется на основе разовых заданий или сменного графика.
Межцелевые перевозки могут осуществляться по маятниковой (веерной) или кольцевой схеме. Маятниковая схема может включать одностороннее или двустороннее движение транспортных средств.
По данной схеме происходит доставка изделий (материалов, деталей) со склада в цеха. Недостаток схемы: транспортные средства, имея максимальную загрузку по пути со склада в цех, возвращаются пустыми.
При кольцевой схеме транспортные средства доставляют грузы по очереди всем цехам, после чего возвращаются на склад за новой партией грузов. Такая схема часто называется кольцевой с затухающим грузооборотом.
Важнейшей задачей при внутризаводских перевозках является выбор средств автоматизации или механизации. При этом следует принимать во внимание ряд факторов:
I. Общие: - транспортные свойства грузов (габариты, масса, подверженность повреждениям, огне- и взрывоопасность), - условия перемещения (количество перемещаемых грузов, маршруты и расстояния перемещения, строительные характеристики зданий), - согласованность межцеховых, внутрицеховых и складских перевозок.
II. Частные:
1. При межцеховых перевозках наличие необходимого объема грузов в начале и конце маршрута, обеспечение фронта загрузки и разгрузки.
2. При внутрицеховых перевозках технология производства, наличие механизированных и почтовых линий обработки и сборки изделий.
3. При складских перевозках номенклатура хранимых материалов; оборачиваемость грузов; периодичность их поступления и выдачи со склада; выполнение на складе операций комплектования, упаковки, выборочного контроля; вид транспорта, поставляющего грузы на склад и со склада в цеха.
Предприятие как логистическая система
Представляя предприятие в качестве логистической системы, рассмотрим её основные составляющие (рис 8.1).
Отдельные функциональные цели логистики снабжения (поставок):
- расчет потребности в материальных ресурсах в соответствии с программой производства;
- правильный выбор поставщиков, сведение их количества к минимуму;
- заблаговременный запрос на материалы;
- использование единых контейнеров на протяжении длительного времени;
- минимизация запасов;
- достижение снабжения по требованию;
- гарантия безошибочного размещения материалов;
- интеграция снабжения и производства;
Для производственной логистики:
- сокращение простоев оборудования;
- оптимизация запасов;
- улучшение использования производственных и складских площадей;
- повышение качества продукции, обязательное устранение брака;
- устранение нерациональных внутризаводских перевозок.
Отдельные функциональные цели логистики сбыта (распределительной):
- поставка готовой продукции в соответствии с заявками клиентов (время, качество, цена);
- качественное складирование с минимальными затратами;
- повторное использование тары;
- обеспечение высокого уровня сервиса;
- сквозное управление изготовлением заказов до сбыта включительно.
Для транспортной логистики:
- разработка оптимальных маршрутов и графиков движения транспорта;
- совместное планирование работы различных видов транспорта;
- координация работы транспорта со складскими и производственными звеньями;
- выбор вида транспортных средств;
- создание транспортных коридоров и транспортных цепей.
Для информационной логистики:
- сопровождение и обслуживание материального потока;
- нахождение (размещение);
- время прибытия и (или) отправки в пункт (из пункта) размещения;
- система транспортировки;
- резервирование.
Кроме того, задачей информационной логистики является минимизация материальных потоков, замена их информационными, замена материальных запасов надежной информацией.
Следует отметить роль информационной логистики при контроле и управлении как всем предприятием, так и его подсистемами. Контроль осуществляется на основе следующих данных:
- вид ППТН;
- количество (объем);
- происхождение ППТН;
Отдельные функциональные цели логистики утилизации:
- планирование переработки и утилизация отходов;
- сортировка отходов;
- быстрая переработка материалов, которые могут повторно использоваться;
- экологически безопасное складирование отходов, которые не могут использоваться повторно.
В индустриально развитых странах кроме отдельных видов деятельности законодательно обуславливаются ограничения относительно переработки отходов, что вызвано требованиями экологии. Поэтому логистика утилизации должна охватывать планирование, управление и физическую обработку отходов до допустимых норм.
Условия использования логистических методов на предприятии
Логистика способствует повышению эффективности работы предприятия при соблюдении следующих условий:
- Связь логистики с корпоративной стратегией. Руководители, применяющие логистику, должны постоянно задаваться вопросом: Обеспечивают ли наши логистические операции конкурентоспособность на рынках?
- Создание логистической службы на предприятии. Такая служба должна контролировать и координировать все функции, связанные с закупкой, транспортировкой, складированием, хранением запасов и сбытом.
В настоящее время такие службы только начинают создаваться, причем первой ступенью интеграции выступает объединение управления запасами и распределения продукции.
- Внедрение современных технологий обработки информации. Ранее ЭВМ были предназначены для обработки данных, относящихся к самой сделке (информация по заказ наряду, закупкам и т.д.). Сейчас создаются системы, позволяющие принимать логистические решения. Такие системы окупаются за 3-4 месяца и приносят значительную выгоду предприятию. Например, вложение средств в усовершенствование системы обработки информации, связывающей администрацию и подразделения логистической службы позволило некоторым компаниям добиться сокращения уровня запасов в 15-20 раз.
- Обучение кадров основным методам логистики.
- Установление тесных внутренних (координация действий подразделений предприятия) и внешних (сотрудничество с брокерами, поставщиками, оптовыми фирмами, потребителями и т.д.) связей.
Указанное условие непосредственно связано с использованием положений теории компромиссов. Теория предполагает учет интересов всех участников логистического процесса (как подразделений предприятия, так и других предприятий) при выработке управленческих решений. При этом оценкой эффективности решения служит соотношение затраты - эффект.
Экономические компромиссы можно рассматривать на стратегическом, организационном и оперативном уровнях. Примеры экономических компромиссов:
-
- на стратегическом уровне - заключение контракта с поставщиком на определенный период;
- на организационном уровне - выбор способа отгрузки, вида транспорта, уровня обслуживания потребителей;
- на оперативном уровне - выбор размера партии груза, видов тары, скидов с количества.
- Учет прибыли от логистики в системе финансовых показателей ( 8.2.). Такая прибыль возникает за счет:
- сокращения дебиторской задолженности в связи с уменьшением сроков исполнения заказов и точности выписанных счетов;
- уменьшения запасов;
- замены собственных основных фондов арендуемыми;
- увеличения наличности.
Внедрение данного показателя привело к тому, что все большее число компаний стало пользоваться услугами специализированных фирм (транспортные предприятия, склады общего пользования и т.д.)
Влияние логистики на показатели деятельности предприятия
- Определение оптимального уровня качества логистического обслуживания, для чего сопоставляют прибыль с затратами на поддержание такого уровня. На основе предварительных расчетов разрабатывается программа обслуживания потребителей (пример представлен в табл. 8.1):
Таблица 8.1
Программа обслуживания потребителей
- Тщательная (полная, детализированная, учитывающая возможные изменения обстоятельств) разработка логистических операций.
Функции логистической службы
Логистический подход к функциональному планированию на предприятии предполагает выделение специальной логистической службы, начиная от формирования договорных отношений с поставщиком и кончая доставкой покупателю готовой продукции. Последнее способствует принятию системных решений, например решению задачи MOB: Make or buy - сделать или купить.
В узком смысле - это принятие решения, касающегося самостоятельного выпуска необходимых предприятию комплектующих. В широком принятие решения относительно использования собственного транспорта или транспорта общего пользования, собственных или общих складов.
Логистической службой решаются такие частные задачи, как контроль за состоянием запасов, управление техническим обслуживанием основных фондов. Последняя система, называемая PRM (Phyzical Resource Management), включает сбор и обработку информации, выдачу рекомендаций относительно профилактики и ремонтных работ, контроль за наличием и использованием вспомогательных материалов и запасных частей.
На современном уровне логистический подход привел к созданию системы LRP- (logistic requirement planning) - системы планирования и контроля входного, внутреннего и выходного материального потока на уровне предприятия, объединения. Система обеспечивает интегральный подход к:
- управлению запасами в каналах сферы производства и обращения;
- прогнозирование потребности в транспортере;
- определение величины спроса в продукции предприятия;
- составление оптимальных логистических цепей.
Наиболее тесно логистика связана со службой маркетинга, ее можно рассматривать как инструмент реализации стратегии маркетинга. Маркетинг формирует спрос, а логистика его реализует. Например, если служба маркетинга обосновала необходимость выпуска нового вида продукции, то задачами службы логистики будут:
- обеспечение производства сырьем;
- управление запасами;
- транспортировка.
Основные моменты различия маркетинга и логистики представлены в табл. 8.2.
Таблица 8.2
Сравнение маркетинга и логистики
Служба логистики тесно связана с планированием производства:
- производство дает готовые изделия, т.е. объем работ для сбытовой логистики;
- производство зависит от заготовительной логистики (своевременной и качественной доставки сырья, материалов, комплектующих частей).
Противоречия в логистике
Планирование, управление, контроль логистической деятельности на предприятии тесно переплетается с другими видами работ и расчленяется по службам. Одно подразделение предприятия занимается закупками материалов, другое - содержанием запасов, третье сбытом готовой продукции. При этом частные цели (т.е. подразделений) могут не совпадать с целями рациональной организации совокупного материального потока (табл.
8.3).
Таблица 8.3
Противоречия между производством и логистической системой
В предыдущем вопросе были рассмотрены составляющие логистики и указано, что основными из них являются снабженческая, сбытовая и производственная подсистемы. Противоречия между ними демонстрирует рисунок 8.6.
Рассмотрим противоречия, возникающие в каждой логистической подсистеме. Они наглядно представлены на 8.3. (снабженческая логистика), 8.4. (производственная логистика), 8.5. (сбытовая логистика).
Противоречия в снабженческой логистике
Преобразование логистического канала в логистическую цепь
После того, как будет сделан выбор конкретных участников процесса продвижения материального потока, логистический канал преобразуется в логистическую цепь ( 3.7).
- логистическая цепь;
- логистический канал.
Преобразование логистического канала в логистическую цепь
При выборе канала распределения происходит выбор формы товародвижения, при выборе логистической цепи выбор выбор конкретного перевозчика, страховщика, экспедитора и т.д.
2. Задача выбора оптимального варианта размещения распределительного центра ставится и решается, когда на определенной территории имеется несколько потребителей материального потока. Причем необходимым и достаточным условием применения логистического метода является наличие потокового процесса и определенная системная целостность объекта, т.е. потребители и распределительный центр должны быть организационно, экономически, технологически и технически интегрированы.
Если распределение осуществляется в месте сосредоточения производства и отправка производится с помощью средств магистрального транспорта (например, железная дорога), то распределительный центр помещают близ транспортного узла. Если распределение осуществляется в месте потребления материального потока, то выбираем оптимальный вариант ( 3.8):

а) транспортные расходы будут наибольшими; б) транспортные расходы минимальны, но увеличиваются капиталовложения на строительство второго центра и текущие расходы на его эксплуатацию; в) средние транспортные расходы, но минимальны остальные.
Варианты расположения распределительного центра в регионе
При выборе размещения распределительного центра применяется такая последовательность действий:
- изучается конъюнктура рынка, определяются стратегические цели логистической системы. Дается прогноз величины материального потока, проходящего через систему. Определяются запасы во всей системе, а также на отдельных участках товаропроводящей цепи.
- составляются схемы распределения материального потока внутри логистической системы.
- Осуществляется выбор варианта места расположения распределительного центра, отвечающего критерию минимума приведенных затрат:
З=Странс+ Сэкспл+ Енорм К (3.1),
где Стран годовые транспортные расходы по проекту;
Сэкспл годовые эксплуатационные расходы по проекту;
К капиталовложения в строительство распределительного центра;
Енорм нормативный коэффициент экономической эффективности.
Возможно моделирование микрологистической системы, в которой осуществляется распределение. Применяется метод, аналогичный определению центра тяжести физического тела: - из легкого листового материала вырезают пластину, контуры которой повторяют границы района обслуживания; - на пластину в местах расположения населенных пунктов прикрепляют грузы, вес которых соответствует численности населения данных пунктов, или средним товарооборотам магазинов по продукции данного профиля, или производственным мощностям предприятия или другим грузовым показателям ( 3.9).
Модель определения распределительного центра
При расположении распределительного центра в центре тяжести модели транспортные расходы будут минимальны. Следует учитывать ошибку, которая будет внесена весом пластины (ошибка выразится присутствием на модели мнимого города, расположенного в центре тяжести самой пластины, с населением, соответствующим ее весу).
Применение описанного метода ограничено следующими условиями:
- на модели расстояние от населенного пункта до места размещения распределительного центра учитывается по прямой, поэтому принцип подобия моделируемого объекта и модели сохраняется только при наличии в районе развитой сети дорог;
- следует правильно выбрать грузовые показатели.
4. Основные функции и каналы распределения в логистической системе
Функции процесса распределения подразделяются на:
- коммерческие, т.е. содействующие покупке-продаже и осуществлению передач прав собственности и владения;
- физические: размещение товаров, сортировка и накопление, обеспечение сохранности.
Распределение бывает эксклюзивным, селективным и интенсивным. Эксклюзивное распределение намеренно ограничивает число торговых точек.
При селективном имеется небольшое количество торговых точек, при интенсивном значительное. В любом случае использование посредника позволяет уменьшить число сделок, тем самым сэкономив время и другие ресурсы ( 3.10).

Пр производители
РТ розничные торговцы
ОТ- оптовый торговец
3.10. Снижение количества сделок за счет оптовиков при селективном распределении: а) распределение при отсутствии оптовика; б) распределение при наличии оптовика
В логистической системе выделяют:
I. Посреднические организации.
Посреднические организации бывают двух видов: оптовые базы и оптовые конторы. Деятельность оптовых баз сосредоточена на сбыте продукции своей фирмы. Оптовые конторы физических операций с товаром не производят, часто имея в наличии лишь образцы.
Их задача установление контактов с потребителями, сбор и размещение заказов, организация транзитной поставки товаров со складов фирмы.
II. Посредников (табл.
3.2).
1. Независимые оптовые посредники (дилеры) приобретают товары от своего имени и за свой счет, т.е. принимают на себя весь риск, вызванный порчей, моральным старением товаров, изменением конъюнктуры рынка. Они осуществляют хранение и транспортировку товаров, оказывают консультативно-информационные услуги.
Отношения между дилером и производителем прекращаются после выполнения всех условий поставки.
2. Дистрибьюторы ведут операции от имени производителя, но за свой счет. Производитель предоставляет право дистрибьютору торговать своей продукцией на определенной территории в течении определенного срока.
Дистрибьютор приобретает право продажи согласно договору.
Следующие группы посредников не приобретают права собственности на товары, поэтому не несут потерь в связи с их обесцениванием, порчей и т.д.
3. Комиссионеры обычно имеют в наличии реализуемые товары, продают их от своего имени, но за счет владельца, не являясь собственниками товара. Располагают конторами, складами для приемки, хранения, обработки и продажи товаров.
Они кредитируют покупателей под свою ответственность и предоставляют различные услуги: информационное обеспечение, организацию транспортировки. Таким образом, комиссионер является посредником только для производителя, а не для конечного потребителя, рассчитывающегося непосредственно с комиссионером.
4. Брокеры обслуживают акт купли-продажи на временной основе, не вступают в длительные договорные отношения с поставщиками и потребителями. Играют роль посредников, за что получают комиссионные в форме процента от объема продаж, совершенных при их содействии. Сфера действия брокеров: - подержанное оборудование; - рынок сезонных товаров; - продажа недвижимости и т.д.
Примерно 1/6 брокеров имеют франшизинговое соглашение с крупными фирмами по продаже недвижимости, что позволяет им использовать торговый знак фирмы.
Оптовые агенты ведут операции путем продажи за счет и от имени поручителя, причем могут обслуживать несколько фирм-производителей, выпускающих неконкурирующие товары. Услугами оптовых агентов пользуются крупные и средние фирмы, если объем их продаж в данном регионе невысок и содержать собственного агента невыгодно.
Мелкие предприятия могут предоставить агенту право сбыта всей продукции в любом регионе. На рынке средств производства оптовые агенты реализуют в основном машины, оборудование, электротовары.
Отличие агента от брокера: агент устанавливает длительные связи с клиентами, иногда берет на себя функции складирования и осуществляет доставку. Агенты часто успешно реализуют новые виды продукции, за что берут высокие комиссионные (10-15%) (при обычной продаже 4%).
Таблица 3.2
Типы посредников в каналах распределения
Склады как составляющие логистической системы
Объективная необходимость в специально обустроенных местах для содержания запасов существует на всех стадиях движения материального потока, что объясняет большое количество разнообразных видов складов.
Склады разделяются:
- по размерам (по площади и по высоте укладки груза);
- по конструкции (открытые, закрытые и полузакрытые);
- по количеству потребителей (для 1-го индивидуального пользования, для коллективного склад-отель);
- по степени механизации (немеханизированные, механизированные, комплексно механизированные, автоматизированные и автоматические);
- по возможности доставки и вывоза груза с помощью железнодорожного или водного транспорта:
- пристанционные (портовые) на территории железнодорожных станций или портов;
- прирельсовые (имеющие железнодорожную ветку для подачи вагонов);
- глубинные;
- в зависимости от широты ассортимента: специализированные, смешанные, универсальные;
- по месту в движении материального потока:
- склады предприятий-изготовителей;
- склады сферы обращения (ССО);
- склады потребителей.
Комплекс складских операций представляет собой такую последовательность:
- разгрузка;
- приемка товара;
- размещение на хранение;
- отборка товаров из мест хранения;
- комплектование и упаковка товаров;
- погрузка.
Кроме того, между указанными операциями осуществляется внутрискладское перемещение грузов.
Технологические процессы складов и производства связывают в единое целое такие элементы логистики как грузовые единицы. Грузовая единица некоторое количество груза, которое погружают, транспортируют, выгружают и хранят как единую массу. Существенными характеристиками грузовой единицы являются:
- размеры;
- способность к сохранению целостности, а также первоначальной геометрической формы в процессе разнообразных логистических операций.
В качестве платформы для формирования грузовой единицы используются стандартные поддоны размерами 1200 х 800 мм2, 1200 х 1000 мм2. Любой груз, упакованный в стандартную тару, располагается на них рационально.
Задача. Расположить на поддоне размерами 1200 х 800 (мм2):
- 8 единиц тары размерами 400 х 300 (мм2);
- 12 единиц тары размерами 400 х 200 (мм2);
- 5 единиц тары размерами 800 х 240 (мм2).
Решение.
ИНФОРМАЦИОННАЯ ЛОГИСТИКА
1. Понятие и виды логистических информационных систем
Одной из важнейших составляющих логистической системы является информация. При детальном подходе элемент информация сам разворачивается в систему, включающую совокупность взаимосвязанных элементов, обладающую интегративными качествами. Наиболее часто информационную систему подразделяют на две подсистемы:
1) функциональную, состоящую из совокупности решаемых задач, сгруппированных по целевому признаку;
2) обеспечивающую, включающую следующие элементы:
- техническое обеспечение (совокупность технических средств, обеспечивающих обработку и передачу информационных потоков);
- справочное обеспечение (классификаторы, кодификаторы и т.д.);
- математическое обеспечение (комплекс программ, обеспечивающих решение задач).
Логистические информационные системы (ЛИС) подразделяют на три группы:
1. Плановые, создаются на административном уровне управления и служат для принятия долгосрочных решений стратегического характера. Примеры решаемых задач: создание и оптимизация звеньев логистической цепи, планирование производства, общее управление запасами.
2. Диспозитивные (диспетчерские), создаются на уровне управления складом или цехом и служат для обеспечения отлаженной работы логистических систем. Могут решаться следующие задачи: - детальное управление запасами (распределение по местам складирования); - распоряжение внутризаводским (внутрискладским) транспортом; - учет отправляемых грузов; - отбор грузов по заказам.
3. В исполнительных (оперативных) логистических информационных системах обработка информации производится в темпе, определяемом скоростью ее поступления в ЭВМ (реальный масштаб времени). Решаются задачи контроля материальных потоков, оперативного управления обслуживанием производства, управления перемещением ППТН.
Различия в обеспечивающих подсистемах указанных систем:
- в плановых информационных системах весьма высок уровень стандартизации;
- в диспозитивных информационных системах возможность применения стандартных программ ниже, что вызвано следующими причинами: 1) производственный процесс на предприятии, сложился за долгий период времени и трудно поддается существенным изменениям во имя стандартизации; 2) структура обрабатываемых данных существенно различается у разных пользователей;
- в исполнительных информационных системах применяется индивидуальное программное обеспечение.
С позиций системного подхода в процессах логистики выделяют три уровня:
-
- рабочее место, на котором осуществляется логистическая операция с материальным потоком, т.е. передвигается, разгружается, упаковывается грузовая единица;
- участок, цех, склад, где происходят процессы транспортировки грузов;
- логистическая система в целом от момента отгрузки сырья поставщиком до поступления готовых изделий конечное потребление.
Задачи логистических информационных систем:
-
- плановых информационных систем - осуществить сквозное планирование в цепи снабжение - производство - сбыт, ввязать логистическую систему во внешнюю среду, в совокупный материальный поток;
- диспозитивных и исполнительных систем - детализация намеченных планов и обеспечение их выполнения на отдельных производственных участках, на складах и на конкретных рабочих местах.
Информационные системы, относящиеся к разным группам, интегрируются в единую информационную систему. Различают вертикальную и горизонтальную интеграцию. Вертикальной считается связь между плановой, диспозитивной и исполнительной системами посредством вертикальных информационных потоков. Горизонтальной считается связь между отдельными комплексами задач в диспозитивных и исполнительных системах посредством горизонтальных информационных потоков.
Преимущества интеграции систем:
- возрастает скорость обмена информацией;
- уменьшается количество ошибок в учете;
- снижается объем непроизводительной, бумажной работы;
- совмещаются ранее разрозненные информационные блоки.
При построении ЛИС следует придерживаться следующих принципов:
-
- возможность поэтапного создания системы. ЛИС являются постоянно развиваемыми системами, поэтому при проектировании необходимо учесть возможность постоянного увеличения числа объектов автоматизации, расширения реализуемых информационной системой функций и количества решаемых задач;
- четкое установление мест стыка материальных и информационных потоков между подразделениями предприятия или отдельными предприятиями;
- гибкость системы с точки зрения специфических требований конкретного применения;
- принцип приемлемости системы для пользователя диалога человек - машина.
2. Использование в логистике технологии автоматизированной идентификации штриховых кодов
Чтобы эффективно управлять динамичной логистической системой, необходимо в любой момент времени иметь детальную информацию о входящих, выходящих и внутренних потоках. Данная проблема частично решается путем использования микропроцессорной техники, способной считывать (сканировать) разнообразные штриховые коды.
Наиболее широкое применение получил код EAN ( 4.1.):

4.1. Код EAN
I. Код страны - 3 цифры.
II. Код изготовителя (4 цифры).
Вместе однозначно идентифицируют предприятия, производящие товар.
III. Код товара, определяемый производителем по своему усмотрению 0-99999.
IV. Контрольное число рассчитывается по особому алгоритму на основе 12-ти предыдущих цифр и служит для проверки правильности расшифровки кода.
Проведенные исследования показывают, что введенные с клавиатуры компьютера вручную данные о товаре содержат в среднем 1 ошибку на каждые 300 введенных знаков. При использовании штриховых кодов этот показатель снижается до 1 ошибки на 3 млн. знаков.
Штриховой код представляет собой чередование темных и светлых полос разной ширины, построенных в соответствии с определенными правилами. При сканировании световой луч проходит по коду, улавливается светочувствительным устройством и преобразуется в дискретный электрический сигнал. ЭВМ расшифровывает сигнал и преобразует его в цифровой код.
В области внешней торговли наличие штрихового кода на товаре является обязательным при поставке товаров на экспорт.
В качестве примера эффективности использования штриховых кодов можно привести американскую торговую компанию Kmart Corporation. Компания обслуживает 2200 магазинов в разных регионах США, ассортимент которых включает 100000 наименований.
Используя коды, компания организовала систему управления товародвижением, позволяющую безошибочно определить, какой товар, в каком количестве, куда и когда надо поставить.
Преимущества технологии автоматизированной идентификации штриховых кодов:
1. На производстве:
- создание единой системы учета и контроля за движением изделий на каждом участке, а также за состоянием логистического процесса на предприятии в целом;
- сокращение численности вспомогательного персонала;
- снижение отчетной документации;
- почти полное исключение ошибок.
2. В складском хозяйстве ( 4.2):
- автоматизация учета и контроля за движением материального потока;
- автоматизация процесса инвентаризации.

4.2. Схема идентификации штриховых кодов в складском хозяйстве
3. В торговле ( 4.3):
- создание единой системы учета материального потока;
- автоматизация заказа и инвентаризации товаров;
- сокращение времени обслуживания покупателей.

4.3. Схема идентификации штриховых кодов в торговле
ТРАНСПОРТНАЯ ЛОГИСТИКА
1. Основные виды транспорта и их характеристика
Транспорт по назначению делится на две большие группы: 1) транспорт общего пользования, обслуживающий сферу обращения и население; 2) транспорт специального пользования внутрипроизводственный транспорт, а также принадлежащий нетранспортным организациям.
Организация перемещения грузов транспортом не общего пользования является предметом изучения производственной логистики. Транспортная логистика решает задачи, связанные с транспортом общего пользования:
- выбор вида транспортных средств;
- совместное планирование транспортного процесса со складским и производственным;
- координация транспортных процессов на различных видах транспорта;
- определение рациональных маршрутов доставки.
При выборе транспортных средств во внимание принимают следующие факторы (табл. 5.1): 1) надежность соблюдения графика доставки; 2) время доставки; 3) стоимость перевозки; 4) способность перевозить различные грузы; 5) частота отправки груза; 6) способность доставить груз в любую точку территории.
Таблица 5.1
Факторы, определяющие выбор транспорта.
Одним из важных факторов, определяющих выбор транспорта, является стоимость перевозки, рассчитываемая на основе тарифов.
Системы тарифов для различных видов транспорта:
I. Железнодорожный транспорт.
- общие;
- исключительные могут быть повышенными или пониженными; цель регулировать стоимость перевозки отдельных видов сырья (угля, руды и т.д.), снизить неравномерность перевозок;
- льготные, применяются при перевозке грузов для отдельных целей, а также для самих железных дорог;
- местные, устанавливают начальники железных дорог в пределах их компетенции.
Факторы, определяющие плату при перевозке по железной дороге:
- вид отправки (повагонная, контейнерная, малотоннажная весом до 25 т и V до 1/2 вагона и мелкая вес до 10 т и V 1/3 вместимости вагона);
- скорость перевозки (грузовая, большая или пассажирская);
- расстояние;
- тип вагона (универсальный или специализированный; крытый, полувагон, цистерна или платформа);
- принадлежность (железной дороге, грузополучателю или грузоотправителю);
- количество груза.
II. Автомобильный транспорт.
Тарифы:
- сдельные (факторы: расстояние перевозки, масса груза, использование грузоподъемности автомобиля);
- повременные (грузоподъемность автомобиля, время его использования и общий пробег);
- на условиях платных автотонно часов.
На размер платы всегда влияет район, где осуществляется перевозка, для чего используют поясные поправочные коэффициенты.
III. Водный транспорт.
На речном транспорте тарифы определяются пароходствами самостоятельно с учетом конъюнктуры рынка. В основу расчета закладывается себестоимость и предельный уровень рентабельности, установленный законодательством.
На морском транспорте оплата за перевозку грузов осуществляется:
- по тарифу (грузовой поток устойчив, перевозка осуществляется системой линейного судоходства);
- по фрахтовой ставке, если работа грузовых судов не связана с постоянными районами плавания, портами погрузки и выгрузки. Фрахтовая ставка устанавливается в зависимости от вида и транспортных характеристик груза, условий рейса и связанных с ним расходов.
Виды транспортировки
В процессе осуществления закупок материальных ресурсов, а также дистрибьюции готовой продукции предприятие может использовать различные виды транспорта, разных логистических партнеров, а также различные варианты транспортировки.
Выделяются следующие транспортировки грузов:
- унимодальную (одновидовую). Применяется, когда заданы начальный и конечный пункты транспортировки без промежуточных операций складирования или грузопереработки;
- смешанную. Осуществляется обычно двумя видами транспорта. Первым видом транспорта груз доставляется в пункт перевалки (грузовой терминал) без хранения или с кратковременным хранением с последующей перегрузкой на другой вид транспорта. Примером является обслуживание автотранспортными предприятиями ж/д станций или морских (речных) портов;
- комбинированную (более чем два вида транспорта). Смешанную и комбинированную перевозки отличают наличие нескольких транспортных документов, отсутствие единой тарифной ставки, последовательная схема взаимодействия участников транспортного процесса. Каждый перевозчик производит расчёты с грузовладельцем и несёт материальную ответственность за сохранность груза только на соответствующем участке маршрута;
- интермодальную, при которой грузовладелец заключает договор на весь путь следования с одним лицом (оператором). Оператором может выступить, например, экспедиторская фирма, которая освобождает грузовладельца от необходимости вступать в договорные отношения с другими транспортными предприятиями. Перевозка осуществляется по одному транспортному документу с применением единой фрахтовой ставки;
- мультимодальную, где один из видов транспорта выступает в роли перевозчика, а взаимодействующие виды как клиенты, оплачивающие его услуги.
Товарная биржа: Сырье - Энергетика - Логистика